6 July 2007
India Strategy
Though Rupee
appreciation continues to
threaten corporate
earnings…
…inflation has been
tamed and interest rates
are beginning to soften
The last six months have
seen unprecedented flows
into the primary
markets…
…which we believe
reflects sustained faith in
Indian equities
Adopt a sector / stock-
specific investment
approach to maximize
returns
R
ESULTS
P
R E V I E W
Quarter ended June 2007
Joyous ride
Research Team (Rajat@MotilalOswal.com)
Prices as of Friday, 29 June 2007

Contents
India Strategy
1. Automobiles
Amtek Auto
Ashok Leyland
Bajaj Auto
Bharat Forge
Eicher Motors
Hero Honda
Mahindra & Mahindra
Maruti Udyog
Punjab Tractors
Swaraj Mazda
Tata Motors
TVS Motor
2. Banking
Andhra Bank
Bank of Baroda
Bank of India
Canara Bank
Corporation Bank
Federal Bank
HDFC
HDFC Bank
ICICI Bank
Indian Overseas Bank
J&K Bank
Karnataka Bank
Oriental Bank
Punjab National Bank
State Bank
Syndicate Bank
Union Bank
UTI Bank
Vijaya Bank
3. Cement
ACC
Ambuja Cement
Birla Corporation
Grasim Industries
India Cements
Shree Cement
UltraTech Cement
4. Engineering
ABB
Alstom Projects
Bharat Electronics
BHEL
Crompton Greaves
Cummins India
Larsen & Toubro
Siemens
Suzlon Energy
Thermax
29 June 2007
3-38
39-61
50
51
52
53
54
55
56
57
58
59
60
61
62-87
69
70
71
72
73
74
75
76
77
78
79
80
81
82
83
84
85
86
87
88-101
95
96
97
98
99
100
101
102-116
107
108
109
110
111
112
113
114
115
116
5. FMCG
117-135
Asian Paints
124
Britannia Industries
125
Colgate Palmolive
126
Dabur India
127
GSK Consumer
128
Godrej Consumer Products
129
Hindustan Unilever
130
ITC
131
Marico
132
Nestle India
133
Tata Tea
134
United Spirits
135
6. Information Technology136-155
Geometric Software
142
HCL Technologies
143
Hexaware Technologies
144
i-flex solutions
145
Infosys
146
Infotech Enterprises
147
KPIT Cummins
148
MphasiS
149
Patni Computer
150
Sasken Communication
151
Satyam Computer
152
TCS
153
Tech Mahindra
154
Wipro
155
7. Infrastructure
BL Kashyap
Gammon India
GMR Infrastructure
Hindustan Construction
IVRCL
Jaiprakash Associates
Nagarjuna Construction
Patel Engineering
8. Media
Zee Telefilms
9. Metals
Hindalco
Jindal Steel
JSW Steel
Nalco
SAIL
Tata Steel
10. Oil & Gas
BPCL
Chennai Petroleum
GAIL
HPCL
156-168
161
162
163
164
165
166
167
168
169-170
170
171-182
177
178
179
180
181
182
183-200
192
193
194
195
IOC
Indraprastha Gas
IPCL
ONGC
Reliance
196
197
198
199
200
11. Pharmaceuticals
Aurobindo Pharma
Aventis Pharma
Biocon
Cadila Healthcare
Cipla
Dishman Pharma
Divi’ Laboratories
s
Dr Reddy’ Labs.
s
GSK Pharma
Jubilant Organosys
Lupin
Nicholas Piramal
Pfizer
Ranbaxy Labs.
Shasun Chemicals
Sun Pharmaceuticals
Wockhardt
12. Retailing
Pantaloon Retail
Shopper's Stop
Titan Industries
13. Telecom
Bharti Airtel
Reliance Communication
VSNL
14. Textiles
Alok Industries
Arvind Mills
Gokaldas Exports
Himatsingka Seide
Raymond
Vardhman Textiles
Welspun India
15. Utilities
CESC
NTPC
Neyveli Lignite
PTC India
Reliance Energy
Tata Power
16. Others
Ashapura Minechem
Blue Star
Concor
Great Offshore
United Phosphorus
201-226
210
211
212
213
214
215
216
217
218
219
220
221
222
223
224
225
226
227-234
232
233
234
235-241
239
240
241
242-254
248
249
250
251
252
253
254
255-266
261
262
263
264
265
266
267-271
267
268
269
270
271
2

Results Preview
QUARTER ENDED JUNE 2007
India Strategy
BSE Sensex: 14,651
S&P CNX: 4,318
29 June 2007
The BSE Sensex has appreciated by 12% in 1QFY08 to close at an all-time high of
14,650. This positive return is on the back of a 5% decline in 4QFY07. From a state of
viewing the markets as
half full
in 4QFY07, we are now enjoying a
joyous ride.
Continued
upswing in global equities (several markets at all-time highs), sustained confidence in
Indian equities (given the strong response to large equity offerings in recent times), easing
of inflation and rate concerns have been the key drivers of this performance. Indian markets
have been
climbing
one
wall of worry
after another, the latest being the sharp Rupee
appreciation and its impact on corporate earnings.
We estimate 1QFY08 earnings growth of 18% for Sensex, a deceleration from the average
growth of 26% recorded in the last eight quarters. This could partly be attributed to the
decline in profits of ONGC (higher subsidy sharing), impact of Rupee appreciation on
export-oriented sectors and the impact of higher interest rates on Autos. With inflation
estimated at 4-5% in the near term, forecast of normal monsoons and stable interest rates,
we believe that the macro environment is better than a quarter ago. FY08 would be the
third consecutive year of ~9% real GDP growth, with per capita GDP estimated to cross
US$1,000. Amongst the concerns, currency fears continue to loom large and could lead to
downgrades in earnings of few sectors. However, given the contribution from diverse
sectors to earnings, we do not see a serious risk to our estimates.
We are estimating an 18% growth in Sensex EPS in FY08 to Rs846 and a growth of 17%
in FY09 to Rs989. Our target range for the Sensex, based on FY09E earnings is 13,500-
16,500 (12-15x FY09E EPS plus 1,700 points of embedded value). The top-3 sectors to
play the strong earnings momentum are – Wireless, Engineering, and Financials. We also
believe that 2HFY08 could see a revival of positive trends for few sectors that witnessed
significant underperformance till date. Our top-3 bets here are Four-wheelers, Cement
and Real Estate. Our top large-cap bets are Bharti / Reliance Communications, L&T,
SBI, Maruti / Tata Motors, Infosys, DLF, Tata Steel, and Grasim / Ambuja Cement. Amongst
the mid-caps, we prefer Indian Bank, United Phosphorus, Birla Corp / Kesoram, Great
Offshore, HCC, Sobha Developers, SREI, and Nicholas.
1QFY08 – a quarter of new highs for India
?
1QFY08 marked a new high for the Indian markets, with the BSE Sensex closing at
14,650.
?
The quarter marked the highest issuance of capital by Indian corporates. It also
witnessed the largest issuance by a single corporate (ICICI Bank) from India.
?
During the quarter, the Rupee saw its maximum appreciation in the last 10 years.
From 'half full' in April 2007...
...to 'joyous ride' in July 2007
Navin Agarwal (Navin@MotilalOswal.com)/Rajat Rajgarhia (Rajat@MotilalOswal.com)
29 June 2007
3

India Strategy
From a high of 6.5% in
January, inflation has
declined to 4%…
Inflation, interest rate worries lessen
In our
India Strategy
dated 5 April 2007, we had highlighted that inflation would decline
significantly due to the base effect from May onwards. From a high of 6.5% in January
2007, inflation has declined to 4% as per the latest data. Besides the base impact, various
measures by the government and RBI also helped. RBI has also been successful in bringing
down the credit growth from 28% in March to 24% now. We expect inflation to remain in
the range of 4-5% over the next few months. With monsoons expected to be normal, we
remain less concerned about inflation. This will also remove concerns on the pricing power
of number of commodities, which got restricted in 1HCY07.
The taming of inflation would mark the onset of a stable interest rate regime. Since December
2006, interest rates have risen by 200-400bp. Moreover, as the RBI raised CRR thrice, it
also resulted in a credit squeeze. We believe that RBI is unlikely to take up any further
monetary tightening (although consensus is equally divided about one last step of tightening).
In the last couple of months, bulk deposit rates have already declined by 200bp and we
expect them to decline further. Moreover, we also believe that availability of finance would
increase significantly due to strong deposit growth and this would have a positive impact
on sectors that faced liquidity crunch earlier.
Currency risk, the threat of the season
The Rupee has gained 6.5% against the US Dollar in 1QFY08 to close at a 9-year high of
Rs40.7/US$. This is led by strong inflows to the system, high interest rates and RBI’ bias
s
towards a stronger Rupee to help fight inflation. While a rising Rupee is a sign of confidence
in the growth of the economy, it creates its own share of worries, as all export-oriented
industries lose out. Infosys, which averaged an earnings growth of 55% in the last four
quarters, is estimated to grow at just 22% in 1QFY08.
Software Services account for 13% of Sensex profits and have a 17% weightage in the
index. Moreover, Rupee appreciation would also have an adverse impact on all Global
Commodities, resulting in lower realizations and import-parity prices in the domestic market.
Overall, more than half of Sensex earnings are sensitive to currency movements. We
believe that a significant appreciation from current levels could lead to downgrade in
earnings estimates for Corporate India. Our earnings factor a Rupee-Dollar rate of Rs42/
US$ in FY08 and Rs41/US$ in FY09, v/s the current rate of Rs40.5/US$.
1QFY08 earnings growth – slowest in the last five quarters
We estimate growth in Sensex earnings during 1QFY08 at 18%, the slowest in the last
five quarters. This could be attributed to the following reasons: (1) decline in profits of
ONGC due to higher subsidy share, (2) impact of Rupee appreciation on Software Services,
and (3) impact of higher interest rates on Autos. The growth in Sensex EBITDA is expected
to be even slower at 12%. If the Rupee continues to appreciate, it could pose a risk to our
earnings estimates for the remaining quarters of the year. Investors would be keenly
awaiting the guidance that top IT majors provide.
4
… and bulk-deposit rates
have begun to fall…
… though Rupee
appreciation continues to
threaten corporate earnings
1QFY08 earnings growth
has been the slowest in
the last five quarters…
29 June 2007

India Strategy
… and earnings upgrades
can no longer be taken for
granted during FY08
FY08 earnings risks are evenly balanced
We are estimating Sensex EPS growth at 18% for FY08. For the last three years, we
have consistently witnessed significant upgrades to our estimates with each passing quarter.
We believe that in FY08, we are evenly balanced, with risks to either side. Given the
strong currency movement, we consider our estimates for Software Services and Global
Commodities at risk. On the positive side, we believe that Telecom, Engineering, and
Financials could witness earnings upgrades.
Third consecutive year of ~9% GDP growth, fifth year of over 7.5% growth
The Indian economy grew by 9.4% in FY07 on top of a 9% growth in FY06. GDP growth
for FY08 is expected to be ~9%, making it the third consecutive year of ~9% GDP growth,
and an unprecedented fifth consecutive year of 7.5%+ GDP growth. In FY07, India has
emerged as a trillion-dollar economy and per capita income is expected to cross US$1,000
in FY08. This, we believe, has the potential to propel the economy into a virtuous spiral of
consumption, savings and investment.
Very positive response to large equity issuances
CY07 is expected to be the year of largest capital raising by Indian corporates. Banks and
real estate companies have already led the list of raising significant capital in the first six
months. While the initial impression prior to the raisings was concerning (expected response
to the issue, impact of money flowing from secondary to primary markets, etc), the actual
response has positively surprised the markets. In the first six months of CY07, India’
s
corporate sector has raised equity of over Rs600b, higher than in any of the previous six
years. Some of the large equity issues include ICICI Bank (Rs200b), DLF (Rs92b), Sterlite
(~Rs92b), and Idea Cellular (Rs21b). More important is the investor response – an average
oversubscription of 15.6 times! We believe this reflects sustained confidence in Indian
equities and will encourage more corporates to raise money in primary markets.
Valuations fair; adopt sector / stock approach
We are estimating an 18% growth in Sensex EPS in FY08 to Rs846 and a growth of 17%
in FY09 to Rs989. Our target range for the Sensex based on FY09E earnings is 13,500-
16,500 (12-15x FY09E EPS and addition of 1,700 points as embedded value). We see
scope for returns in specific sectors / stocks.
?
The top-3 sectors to play on strong earnings momentum in our view are Telecom,
Engineering, and Financials. These three sectors are witnessing earnings upgrades
and are likely to maintain very strong business momentum for FY08 and FY09. Despite
the strong performance of these stocks, we believe that earnings comfort remains
very high and the stocks have room to move up further.
?
We also believe that 2HFY08 could see a revival of positive trends for few sectors
that witnessed significant underperformance till date. Our top-3 bets here are Four-
wheelers, Real Estate and Cement. While Four-wheelers and Real Estate would be
5
Yet, FY08 would be the fifth
consecutive year of strong
GDP growth…
… and the last six months
have seen unprecedented
flows into the primary
markets
Though the index may not
offer much upside, specific
sectors/stocks hold out
significant opportunities
29 June 2007

India Strategy
direct beneficiaries of stable/lower interest rates and greater availability of finance,
the Cement sector would benefit from the strong demand-supply scenario and ability
hike prices due to low inflation.
?
Our top large-cap bets are Bharti / Reliance Communications, L&T, SBI, Maruti /
Tata Motors, Infosys, DLF, Tata Steel, and Grasim / Ambuja Cement. Amongst the
mid-caps, we prefer Indian Bank, United Phosphorus, Birla Corp / Kesoram, Great
Offshore, HCC, Sobha Developers, SREI, and Nicholas.
29 June 2007
6

India Strategy
Enjoying a ‘
joyous ride’
Indian markets are scaling new highs
In 1QFY08, the BSE Sensex appreciated by 12% to close at its all-time high of 14,650.
This positive return is on the back of a 5% decline in 4QFY07. We believe this performance
captures the combined effect of at least three positives:
In 1QFY08, the Sensex
appreciated by 12% to close
at an all-time high of 14,650
1. Continuing upswing in global equity markets
2. Sustained confidence in Indian equities
3. Improved outlook on inflation and interest rates
These positives collectively outweigh the only major concern – sharp Rupee appreciation
dampening earnings growth in some sectors, mainly IT.
SENSEX RETURN OVER THE PAST 41 QUARTERS (%)
40
Sensex returns have been
positive in 7 out of the
last 10 quarters
22
4
-14
-32
Source: Motilal Oswal Securities
Several global indices,
including BRICs, have hit
their all-time highs
in CY07 so far
Continuing upswing in global equity markets
Several global indices, including BRICs, have hit their all-time highs in CY07 so far. The
upswing in global equities has had a positive impact on Indian markets also. However,
Indian equities have delivered amongst the lowest returns in CY07 YTD. Indian markets
have actually underperformed markets such as China, Brazil and South Korea. A strong
pull-back in 2QCY07 suggests that India is quickly narrowing the gap.
29 June 2007
7

India Strategy
YTD CY07 RETURNS IN KEY STOCK MARKETS (%)
Brazil
South Korea
Thailand
Taiw an
14.3
13.5
12.9
8.9
7.6
7.2
6.3
6.2
5.3
-1.3
22.3
21.6
Indian markets have
underperformed other
global markets in the
first half of CY07
China
India - Nifty
US
MSCI - Asia
India - Sensex
UK
Japan
Russia
2QCY07 RETURNS IN KEY STOCK MARKETS (%)
China
24.5
20.0
18.7
15.3
13.0
12.7
12.1
8.5
5.0
4.9
4.8
-2.0
Source: Bloomberg/Motilal Oswal Securities
But a strong pull-back
in the quarter ended
June suggests that
India is quickly
narrowing the gap
South Korea
Brazil
Thailand
India - Nifty
Taiw an
India - Sensex
US
MSCI - Asia
Japan
UK
Russia
The best performing stocks in the Sensex in CY07 YTD have shown a strong sectoral
bias. While Engineering, Wireless, and Financials have been the best performers, the worst
performers have been Autos, Pharma, and Technology. Surprisingly, only 13 out of the 30
Sensex stocks have delivered positive returns in CY07 YTD.
29 June 2007
8

India Strategy
SENSEX STOCKS: POSITIVE RETURN IN YTD CY07
COMPANY NAME
SECTOR
YTD CHG (%)
SENSEX STOCKS: NEGATIVE RETURN IN YTD CY07
COMPANY NAME
SECTOR
YTD CHG (%)
L&T
BHEL
Reliance
Engineering
Engineering
Oil & Gas
Telecom
Banking
Metals
Banking
Utilities
Utilities
Telecom
Banking
Banking
Oil & Gas
50.5
33.8
32.7
32.1
25.3
24.8
21.6
17.3
10.4
9.8
7.1
6.5
3.0
Tata Motors
Maruti Udyog
Bajaj Auto
Dr Reddy’ Labs.
s
Cipla
Wipro
Infosys Tech.
ACC
Ambuja Cem.
Hind. Unilever
ITC
Hero Honda Motor
Ranbaxy Labs.
Hindalco Inds.
Satyam Computer
TCS
Grasim Inds.
Auto
Auto
Auto
Pharma
Pharma
IT
IT
Cement
Cement
FMCG
FMCG
Auto
Pharma
Metals
IT
IT
Cement
-28.0
-23.3
-22.3
-18.6
-17.1
-15.2
-15.1
-14.5
-13.6
-12.8
-12.5
-12.1
-10.9
-10.0
-8.1
-8.0
-6.9
Stocks that witnessed
earnings upgrades are
the best performers and
vice versa
Bharti
HDFC
Tata Steel
SBI
Rel Energy
NTPC
RCOM
HDFC Bank
ICICI Bank
ONGC
Source: Motilal Oswal Securities
Inflation has declined from a
high of 6.5% in January
to a comfortable 4%
Inflation, interest rate worries reduce considerably
In our
India Strategy
dated 5 April 2007, we had highlighted that inflation would decline
significantly due to the base effect from May onwards. In FY07, the inflation index increased
sharply from April to October, on the back of increase in fuel, food and commodity prices.
Over the last quarter, the base impact has already resulted in moderation of inflation from
a high of 6.5% to 4% as of July 6.
INFLATION (%)
9.0
8.7
6.6
Inflation at 4% is at
the lower end of the
comfort band
7.0
5.0
3.5
3.0
1.0
4.3
3.3
4.0
Source: Bloomberg/Motilal Oswal Securities
Over the next three months,
we expect inflation to
moderate further
While the base effect had its impact, this is not the only factor that has helped to tame
inflation. Over the last quarter, inflation has increased by just 0.8% and over the last five
weeks, the inflation index has remained flat. Primary articles inflation (food inflation, largely),
which was the key driver for high inflation has moderated from 12.1% in April to 6.75% in
June. Even the primary articles inflation index has remained flat over the three months.
With the base impact being even stronger over the next three months (2QFY08), we
expect inflation to remain low.
9
29 June 2007

India Strategy
WHOLESALE PRICE INDEX
214
209
204
199
194
Absolute index has remained flat,
resulting in positive surprise
Source: Bloomberg/Motilal Oswal Securities
With inflation easing, we do
not expect further monetary
tightening by RBI
Owing to high inflation and runaway credit growth, the RBI had adopted a tough monetary
stance and hiked CRR by 150bp over the period November 2006 – March 2007, sucking
out Rs450b of liquidity from the markets. The main intention was to slow down credit
growth; especially towards sectors like real estate, stock markets, commodity markets,
personal loans, etc and controlling inflation. While this resulted in a tight liquidity situation
and rising rates during that period, we believe that the measures are having their desired
effects and we do not expect further monetary tightening.
CREDIT GROWTH YOY (%)
42.0
Credit growth of 24%
in 1QFY08 is the
slowest in last several
quarters
34.0
26.0
18.0
10.0
Source: Motilal Oswal Securities
The resultant easing of the
tight credit crunch would
favorably impact sectors
like Autos
The taming of inflation would give a significant boost to the regime of stable interest rates.
Since December 2006, interest rates have risen by 200-400bp. Moreover, as the RBI
raised CRR thrice, it also resulted in a credit squeeze. We believe that RBI is unlikely to
take up any further monetary tightening (although consensus is equally divided about a last
step of tightening). In the last couple of months, bulk deposit rates have already declined
by 200bp and we expect them to decline further. We also believe that availability of finance
would increase significantly due to strong deposit growth and this would have a positive
impact on sectors that faced liquidity crunch earlier.
10
29 June 2007

India Strategy
10-YEAR G-SEC YIELD
12-MONTH COMMERCIAL PAPER RATES
9.0
8.2
8.0
7.2
7.0
8.0
12.0
11.10
10.6
9.2
7.8
8.80
9.46
8.55
7.13
6.0
5.1
5.0
6.4
5.85
5.0
Source: Bloomberg/Motilal Oswal Securities
Among the triggers for
higher credit flow, interest
rate stability are a
potential CRR cut…
We see following triggers for higher credit flow and stable interest rates in 2HFY08:
?
CRR hike is an interim measure to control liquidity, bring down inflation and lower
credit growth. As credit growth slows down to 24-25% with a decline in inflation, RBI
will be under less pressure to increase rates, CRR. Liquidity management is important
considering the strong capital flows and its impact on currency but RBI will have to
balance out these measures through other liquidity control tools. Once the currency
rate stabilizes, we see no reason for CRR to remain at high levels of 6.5% (RBI has
always maintained its medium term target of 3%). A potential cut in CRR will not only
augment the liquidity of the system but will also pave the way for reduction in lending
rates.
EVERY MEASURE OF RBI HAS BEEN FOLLOWED BY A RATE HIKE BY BANKS
TREND IN CRR HIKE
ICICI HIKES PLR BY 300BP IN FY07
6.60
6.25
6.00
5.90
5.50
5.25
5.20
4.75
4.50
Sep
04
Oct
04
Dec
06
Jan
07
Feb
07
Mar
07
5.00
5.75
6.50
16.0
14.5
13.0
11.5
10.0
Apr
Apr
07
07
14 Apr 28 Apr
Source: Motilal Oswal Securities
29 June 2007
11

India Strategy
… an easing of the stiff
competition for high-cost
deposits amongst banks…
?
Banks have increased deposit rates significantly over the last few months. This has
resulted in significant growth in bank deposits. With more money in hand than to lend,
banks have reduced their rush of grabbing high cost deposits. Moreover, the increase
in lending rates over the last few months has also created some resistance from
borrowers. We believe that banks would now be more moderate in pricing both deposits
and loans. Sustained growth in deposits coupled with slowdown in credit offtake would
improve the availability of funds for several sectors and lead to stable lending rates.
INCREMENTAL CD RATIO
DEPOSIT GROWTH CONVERGENCE TO LOAN GROWTH LEADS TO DECLINING C/D RATIO
DEPOSIT GROWTH YOY (%)
26.0
160.0
130.0
100.0
70.0
40.0
22.0
18.0
14.0
10.0
Source: Motilal Oswal Securities
… and the possibility of a cut
in SLR to below 25%
?
The government has approved the bill to empower RBI to cut SLR below 25%. We
expect banks to be net buyers of government bonds at the current rate of SLR.
Considering the increased appetite of insurance and pension funds for government
bonds, we expect the demand for bonds to outstrip supply significantly in FY08. This
would allow the RBI to reduce the rate of SLR to channelize more funds from the
banking sector towards credit growth.
Rupee appreciation,
however, continues to pose a
threat to corporate earnings
Rupee appreciation – a threat to earnings
The Indian Rupee has appreciated 6% against the US Dollar to close at a 9-year high of
Rs40.7/US$ in 1QFY08. Over the last nine years, while the currency rate has moved in
both directions, it has remained in range of Rs42-48/US$. Post 3QFY07, strong capital
flows in the system, high interest rates and RBI’ bias towards a stronger Rupee to help
s
fight inflation has led to the strong Rupee appreciation.
29 June 2007
12

India Strategy
RUPEE V/S DOLLAR RATE (RS/US$)
50
48
46
44
42
40
QUARTERLY TREND IN RUPEE APPRECIATION V/S DOLLAR (QOQ, %)
8.00
4.00
0.00
-4.00
-8.00
FOREX RESERVE (US$B)
240
180
120
60
0
42
54
110
75
141
152
199
213
Source: Bloomberg/Motilal Oswal Securities
Over 50% of the Sensex
earnings are from sectors
that are sensitive to
currency movements
The outlook on currency assumes significant importance while estimating the earnings of
Indian corporates. Almost 13% of Sensex earnings come from Software Services, which
are directly impacted by currency movement. Also, for Global Commodities lower import-
parity prices and realizations impact earnings. On an average, over 50% of the Sensex
earnings are from sectors that are sensitive to currency movements. Assuming all other
factors constant, our estimates could witness a significant downgrade with any further
currency gains in FY08. Infosys, which averaged earnings growth of 55% in the last four
quarters, is likely to witness just 22% earnings growth in 1QFY08.
29 June 2007
13

India Strategy
CURRENCY IMPACT ON SENSEX STOCKS
COMPANY
(%) PROFIT
IN SENSEX
FY08E
WEIGHT
IN INDEX
(%)
IMPACT OF CURRENCY
Automobile
Bajaj Auto
Hero Honda
Maruti Udyog
Tata Motors
Banking
HDFC
HDFC Bank
ICICI Bank
State Bank
Cement
ACC
Ambuja Cements
5.51
1.12
0.80
1.51
2.08
12.86
1.66
1.33
3.61
6.26
4.50
1.19
1.37
4.93
1.61
0.74
0.92
1.66
21.12
4.94
3.13
9.19
3.86
4.47
1.12
1.41
1.94
8.80
2.82
5.98
6.59
2.23
4.36
17.17
10.01
3.14
2.40
1.62
4.18
1.58
2.60
16.80
4.13
12.67
3.00
1.13
0.88
0.99
9.89
5.93
3.96
3.06
2.01
1.05
No direct impact
No direct impact; Translation gains on outstanding FCCBs could
be positive
Source: Motilal Oswal Securities
Positive impact due to foreign currency loans and capex
Negative impact at operational level. But will record large
translation gains on FCCBs
Negative impact at operational level
Negative - Every 1% currency gains reduces EPS by ~2%
Negative impact due to import parity prices
Negative; Every 1% currency gain lower EPS by
1.25-1.5% (ex other income)
Positive; Reduces the input price pressure
Neutral
Postive; Net imports at 12% of revenues
Neutral; Net exports just at 2%; L&T Infotech contributes 10%
to Cons PAT
No direct impact
Cement exports & import of coal off-sets impact of currency
movement
No direct impact
No direct impact; Indirect impact is through inflation
Neutral; Exports are 20% of sales but to neigbhouring countries
Neutral; Exports are almost nil
Neutral; Exports are just 6%
Positive impact due to foreign currency loans and capex,
exports are just 8%
Grasim Industries 1.93
Engineering
BHEL
Larsen & Toubro
FMCG
Hind. Unilever
ITC
IT
Infosys
TCS
Wipro
Metals
Hindalco
Tata Steel
Oil & Gas
ONGC
Reliance Inds.
Pharma
Cipla
Dr Reddy’ s Labs
Ranbaxy Labs
Telecom
Bharti Airtel
Reliance Comm
Utilities
NTPC
Reliance Energy
4.59
2.62
1.97
3.81
1.44
2.38
12.78
4.01
4.25
3.03
8.86
2.24
6.63
28.90
17.81
11.08
1.70
0.64
0.50
0.56
9.35
5.41
3.94
7.13
6.38
0.75
Satyam Computer 1.49
Impacted adversely by Rupee appreciation
29 June 2007
14

India Strategy
The Indian economy,
nevertheless, is headed
towards the fifth consecutive
year of strong GDP growth
Fifth consecutive year of strong GDP growth
The Indian economy grew by 9.4% in FY07 on top of a 9% growth in FY06. GDP growth
for FY08 is expected to be 8.5-9%, making it the third consecutive year of ~9% GDP
growth, and an unprecedented fifth consecutive year of 7.5%+ GDP growth. In FY07,
India is expected to emerge as a trillion-dollar economy and per capita income is expected
to cross US$1,000 in FY08. This, we believe, has the potential to propel the economy into
a virtuous spiral of consumption, savings and investment.
REAL GDP GROWTH (%)
12
9
6
3
0
5.6
5.1
1.3
5.9
4.8
8.5
7.3
7.3 7.8
7.5
6.5
6.1
4.4
5.8
3.8
9.0
9.4
9.0
NOMINAL GDP GROWTH (%)
16
13.8
14
11
9.1
9
6
7.8
7.9
11.8
12.5
12.0
15.2
14.0
RISING PER CAPITA INCOME (US$)
1,800
1,400
1,000
600
200
Per Capita GDP expected to grow to US$
1786 in 2014 from US$ 812 in 2007
Acceleration in Per Capita
GDP from 2003
CAGR of 1
3.9%
CAGR of 2.2%
CAGR of 1 .9%
1
Source: Motilal Oswal Securities
29 June 2007
15

India Strategy
Government finances are
improving, signaling no
crowding out of private
capital raising
Steady improvement in government finances
Sustained economic growth has gone a long way in improving the picture of government
finances. Over FY02-07, the government’ revenue receipts (net of devolvement to states)
s
have grown at 16% CAGR, against the nominal GDP growth of 12% CAGR. Fiscal
deficit to GDP is down sharply from 6.1% in FY02 to 3.7% in FY07RE. The government’
s
stronger financial position has meant that its borrowing program did not crowd out private
capital, leading to a stable interest regime.
FISCAL DEFICIT UNDER CHECK
Fiscal Def icit (Rs B) - LHS
1,750
1,500
1,250
1,000
750
Fiscal Deficit as % to GDP (RHS)
7
6
5
4
3
INTEREST COST TO RECEIPTS DECLINING
Interest (Rs b) - LHS
1,650
1,400
1,150
900
650
400
Interest % to Revenue Receipts - RHS
55
50
45
40
35
30
Source: Motilal Oswal Securities
CY07 is likely to be the year
of largest capital raising by
Indian corporates
Large equity issuance has generated very strong response
CY07 is expected to be the year of largest capital raising by Indian corporates. Banks and
real estate companies have already led the list of raising significant capital in the first six
months. While the initial impression prior to the raisings was concerning (expected response
to the issue, impact of money flowing from secondary to primary markets, etc), the results
have been impressive till now. In the first six months of CY07, India’ corporate sector
s
has raised equity of over Rs600b, higher than in any of the previous six years. Some of the
large equity issues include ICICI Bank (Rs200b), DLF (Rs92b), Sterlite (~Rs92b), and
Idea Cellular (Rs21b). More important is the investor response – an average
oversubscription of 15.6 times! We believe this reflects sustained faith in Indian equities
and will encourage more corporates to raise money in primary markets.
16
29 June 2007

India Strategy
MONTHLY TREND IN NET FII INVESTMENTS (US$B)
MONTHLY TREND IN NET DOMESTIC MUTUAL FUND INVESTMENTS (US$B)
2.2
2.10
1.1
1.40
0.0
0.70
-1.1
0.00
-2.2
-0.70
Source: Motilal Oswal Securities
CAPITAL RAISING: KEY ISSUES IN CY07
TOP 10 ISSUES BY SIZE
ISSUE SIZE
(RS B)
SUBSCRIPTION
AMOUNT (RS B)
NO. OF TIMES
OVERSUBSCRIBED
ICICI Bank (Including Green Shoe)
DLF
101
92
21
15
10
8
5
5
4
4
265
303
1,153
303
1,053
98
769
251
161
14
219
293
4,315
5,148
11.5
3.3
49.6
6.6
77.2
32.1
30.2
2.8
49.3
80.9
16.3
17.0
The appetite for primary
market offerings reflects
sustained faith in
Indian equities
Idea Cellular
Housing Development & Infrastructure
Power Finance Corporation
Indian Bank
Bharat Earth Movers
Fortis Healthcare
Firstsource Solutions
Akruti Nirman
Total of above
Grand total (52 companies)*
*Excluding 5 Companies for which subscription data not available
Source: Motilal Oswal Securities
Earnings growth at 18% in 1QFY08, slowest in five quarters
We estimate 1QFY08 PAT growth for Sensex companies at 18%. This would be the
slowest earnings growth in the last five quarters, and also lower than the previous 8-
quarter average growth of 26%. Our EBITDA growth estimate is even lower at 12%.
QUARTERLY SENSEX PAT GROWTH (%)
50.0
40.0
30.0
20.0
10.0
0.0
32.8
24.4
30.3
30.0
44.3
33.2
17.9
10.5
5.7
Source: Motilal Oswal Securities
29 June 2007
17

India Strategy
The three major reasons for the slow earnings growth are:
?
Higher subsidy burden on ONGC (ex-ONGC, growth is 24%)
?
Impact of stronger Rupee on Software Services (ex-IT, growth is still 18%)
?
Impact of higher interest rates on Autos (ex-Autos, growth is 20%)
A key offsetting factor has been the performance of the Telecom sector, led by Reliance
Communications, with PAT growth of 116% and Bharti, with PAT growth of 99%. Excluding
these two companies, EBITDA growth is just 8% and PAT growth 12%. Telecom and
financials contribute 50% of growth to the Sensex earnings.
SECTORAL CONTRIBUTION TO TOTAL SENSEX EARNINGS
SECTORAL CONTRIBUTION TO GROWTH IN SENSEX EARNINGS
Utilities
8.2%
Telecom
11.1%
Pharma
1.9%
Automobiles
5.1%
Banking
10.6%
Cements
5.1%
Engineering
2.4%
FMCG
4.9%
Utilities
6.4%
Automobiles
-2.4%
Banking
14.8%
Cements
6.9%
Telecom
37.6%
Engineering
4.4%
FMCG
3.0%
Pharma
0.2%
Oil & Gas
10.0%
Metals
3.8%
Source: Motilal Oswal Securities
Oil & Gas
30.0%
Metals
7.3%
IT
13.5%
IT
15.2%
Going forward, the Rupee could remain strong. Likewise, with crude prices remaining
high, ONGC could continue to bear higher share of subsidy. Though interest rates could
ease, Autos continue to be dogged by intense competition.
FY08 earnings risks are evenly balanced
We are estimating an EPS growth of 18% for the Sensex in FY08. For our universe of 139
stocks, earnings are likely to grow at 19%. For the last three years, we have consistently
witnessed significant upgrades to our estimates during the course of the year. Our end-of-
the-year estimates have been significantly higher than our beginning-of-the-year estimates.
In FY08, while there could
be negative surprises in
Software Services and
Global Commodities…
29 June 2007
18

India Strategy
GROWTH IN SENSEX EPS
Sensex EPS (Rs)
1,050
825
600
450
375
150
FY 03
FY 04
FY 05
FY 06
348
272
35.8
28.0
29.1
523
Sensex EPS Grow th (%)
989
37.3
718
846
30.0
20.0
16.4
17.7
16.9
10.0
0.0
FY 07E
FY 08E
FY 09E
40.0
REVISION IN FY08 SENSEX EPS ESTIMATE
900
850
FY 08 EPS
% Grow th Revision in FY08 EPS
838
810
835
846
822
16
19
800
750
709
700
650
Dec-05
Mar-06
June-06
733
732
780
13
10
Sep- 06
Dec-06
Jan-07
Feb-07
Mar-07
Jun-07
Source: Motilal Oswal Securities
… but Telecom, Engineering
and Financials could throw
up positive surprises
We believe that in FY08, we are evenly balanced with risks to our estimates on either side.
The single biggest threat to our estimates is currency movement. Given the strong Rupee
appreciation, we consider our estimates for Software Services and Global Commodities at
risk. For every 1% gain in the Rupee, Infosys’EPS falls by 1.25-1.5%. Software Services
have 17% weightage in the BSE Sensex, although their contribution to Sensex profits is
lower at 13%. On the positive side, we believe that Telecom, Engineering, and Financials
could witness earnings upgrades.
29 June 2007
19

India Strategy
CONTRIBUTION TO SENSEX EPS GROWTH
COMPANY
WEIGHT IN
SENSEX (%)
FY08E EPS
GROWTH (%)
FY08 CONTRIBUTION
TO SENSEX EPS (%)
Reliance Inds.
Infosys
ICICI Bank
Larsen & Toubro
Bharti Airtel
HDFC
ITC
ONGC
Reliance Comm
State Bank
Satyam Computer
HDFC Bank
BHEL
Tata Steel
TCS
Hind. Unilever
NTPC
Grasim Industries
Tata Motors
Wipro
Bajaj Auto
Hindalco
Ambuja Cements
Cipla
ACC
Reliance Energy
Ranbaxy Labs
Maruti Udyog
Dr Reddy’ s Labs
Hero Honda
12.7
10.0
9.2
6.0
5.9
4.9
4.4
4.1
4.0
3.9
3.1
3.1
2.8
2.6
2.4
2.2
2.0
1.9
1.7
1.6
1.6
1.6
1.4
1.1
1.1
1.1
1.0
0.9
0.9
0.7
6.2
26.8
11.2
26.8
50.0
16.9
4.2
18.4
45.9
16.1
22.5
22.6
29.7
30.8
23.2
10.1
14.7
15.6
9.8
23.5
3.3
-5.7
20.9
14.0
27.8
11.2
22.9
14.2
-36.2
8.8
11.6
7.1
7.5
3.7
4.0
3.1
3.5
7.4
2.9
5.9
3.0
2.2
1.9
9.7
1.8
1.5
2.0
3.0
2.6
1.3
1.6
3.5
2.0
0.9
1.5
1.1
0.8
1.3
0.8
0.8
Source: Company/Motilal Oswal Securities
Valuations fair; adopt sector / stock approach to maximize returns
We are estimating an 18% growth in Sensex EPS in FY08 to Rs846 and a growth of 17%
in FY09 to Rs989. Our target range for the Sensex based on FY09E earnings is 13,500-
SENSEX P/E (X)
SENSEX EARNINGS YIELD V/S BOND YIELD
Sensex ( RHS )
78
60
42
24
6
Sensex P/E ( LHS)
15000
2.0
1.5
1.8
1.4
11500
15 Year Median is 15.8x
8000
4500
1000
1.0
0.5
0.0
0.15
15 Year Avg is 0.73x
0.7
Source: Motilal Oswal Securities
29 June 2007
20

India Strategy
SENSEX P/BV (X)
SENSEX ROE (%)
4.5
26
3.5
22
2.5
15 Year Avg. 2.1x
18
15 Year Average 17.6%
1.5
14
0.5
10
Source: Motilal Oswal Securities
Follow a sector/stock-
specific investment approach
to maximize returns
16,500 (12-15x FY09E EPS and addition of 1,700 points as embedded value). We see
scope for returns in specific sectors / stocks.
?
The top-3 sectors to play on strong earnings momentum in our view are Telecom,
Engineering, and Financials. These three sectors are witnessing earnings upgrades
and are likely to maintain very strong business momentum for FY08 and FY09. Despite
the strong performance of these stocks, we believe that earnings comfort remains
very high and the stocks have room to move up further.
?
We also believe that 2HFY08 could see a revival of positive trends for few sectors
that witnessed significant underperformance till date. Our top-3 bets here are Four-
wheelers, Real Estate and Cement. While Four-wheelers and Real Estate would be
direct beneficiaries of stable/lower interest rates and greater availability of finance,
the Cement sector would benefit from the strong demand-supply scenario and ability
hike prices due to low inflation.
?
Our top large-cap bets are Bharti / Reliance Communications, L&T, SBI, Maruti /
Tata Motors, Infosys, DLF, Tata Steel, and Grasim / Ambuja Cement. Amongst the
mid-caps, we prefer Indian Bank, United Phosphorus, Birla Corp / Kesoram, Great
Offshore, HCC, Sobha Developers, SREI, and Nicholas.
29 June 2007
21

Model Portfolio
MOST MODEL PORTFOLIO
SECTOR WEIGHT /
PORTFOLIO PICKS
BSE-100
MOST
WEIGHT
WEIGHT RELATIVE
TO BSE-100
EFFECTIVE SECTOR
STANCE
Banks
SBI
HDFC
HDFC Bank
PNB
Indian Bank
Information Technology
Infosys
TCS
Satyam Computers
Engg./Infrastrcuture/Real Estate
L&T
DLF
HCC
Telecom
Bharti Airtel
Reliance Comm
Cement
Grasim Industries
Ambuja Cements
Birla Corp
Auto
Maruti Udyog
Tata Motors
Mahindra & Mahindra
Petrochemicals
Reliance Inds.
Metals
Tata Steel
Pharmaceuticals
Ranbaxy Labs
Nicholas
Oil & Gas
ONGC
FMCG
ITC
Utilities
Others
Cash
Total
18.8
2.7
3.4
2.2
0.6
0.0
13.6
6.9
1.7
2.2
11.4
4.2
0.0
0.0
7.4
4.1
2.7
3.7
1.3
1.0
0.0
5.4
0.6
1.1
1.1
10.2
8.8
4.6
1.8
3.7
0.7
0.0
4.7
2.9
5.7
3.0
4.2
6.5
0.0
100.00
19.0
6.0
4.0
4.0
3.0
2.0
15.0
6.0
5.0
4.0
14.0
6.0
5.0
3.0
11.0
6.0
5.0
10.0
5.0
3.0
2.0
9.0
3.0
3.0
3.0
7.0
7.0
5.0
5.0
5.0
3.0
2.0
3.0
3.0
2.0
2.0
0.0
0.0
0.0
100.0
0.2
3.3
0.6
1.8
2.4
2.0
1.4
-0.9
3.3
1.8
2.6
1.8
5.0
3.0
3.6
1.9
2.3
6.3
3.7
2.0
2.0
3.6
2.4
1.9
1.9
-3.2
-1.8
0.4
3.2
1.3
2.3
2.0
-1.7
0.1
-3.7
-1.0
-4.2
-6.5
Overweight
Buy
Buy
Buy
Buy
Buy
Overweight
Buy
Buy
Buy
Overweight
Buy
-
Buy
Overweight
Buy
Buy
Overweight
Buy
Buy
Buy
Overweight
Buy
Buy
Buy
Underweight
Neutral
Overweight
Buy
Overweight
Buy
Buy
Neutral
Buy
Underweight
Buy
Underweight
Underweight
29 June 2007
22

MOSt Universe
ANNUAL PERFORMANCE - MOST UNIVERSE
SECTOR
Y/E MARCH
FY07E
SALES
FY08E
FY09E CH. (%)*
FY07E
EBITDA
FY08E
FY09E CH. (%)*
FY07E
NET PROFIT
FY08E
(RS BILLION)
FY09E CH. (%)*
Auto (12)
922 1,038 1,170
12.6
117
130
149
Banks (19)
656
817 1,000
24.6
432
528
659
Cement (7)
294
342
370
16.1
91
115
114
Engineering (10)
707
953 1,205
34.8
104
141
181
FMCG (12)
462
544
627
17.7
90
100
117
IT (14)
715
926 1,173
29.6
180
225
280
Infrastructure (8)
167
220
303
31.6
26
34
50
Media (1)
14
18
21
25.1
3
5
8
Metals (6)
974 2,021 2,138 107.4
296
417
458
Oil Gas & Petchem (9)
6,847 6,519 6,463
-4.8
810
855
843
Pharma (17)
364
407
478
11.9
75
85
101
Retail (3)
62
97
140
56.7
5
7
10
Telecom (3)
370
520
650
40.5
141
210
268
Textiles (7)
100
120
143
20.6
16
21
26
Utilities (6)
498
595
668
19.5
130
163
177
Others (5)
90
120
144
34.1
21
28
34
MOSt (139)
13,243 15,259 16,695
15.2 2,536 3,063 3,475
MOSt Excl. Banks (120)
12,587 14,442 15,695
14.7 2,104 2,536 2,816
MOSt Excl.Oil & Gas (130)
6,396 8,740 10,231
36.6 1,726 2,208 2,632
MOSt Excl. Banks & Oil (111)
5,740 7,922 9,231
38.0 1,294 1,680 1,973
NM - Not Meaningful; * Growth FY08 over FY07; For Banks : Sales = Net Interest Income, EBITDA
11.4
80
87
22.2
217
265
26.5
59
72
35.7
75
98
10.9
63
71
24.9
149
187
31.6
12
14
69.7
2
3
40.8
174
229
5.6
439
471
14.0
54
61
40.8
2
3
49.0
79
115
25.6
6
7
25.2
90
101
34.3
13
18
20.8 1,514 1,801
20.5 1,297 1,536
27.9 1,075 1,330
29.8
858 1,065
= Operating Profits
98
327
69
127
86
228
19
5
262
471
73
5
141
10
106
23
2,051
1,724
1,580
1,253
9.2
22.2
21.4
31.6
11.9
25.2
18.7
56.8
31.2
7.3
12.3
33.2
45.4
17.9
12.3
37.7
19.0
18.4
23.7
24.1
VALUATIONS - MOST UNIVERSE
SECTOR
P/E
(X)
(NO. OF COMPANIES)
FY07E
FY08E
FY09E
FY07E
EV/EBITDA
(X)
FY08E
FY09E
P/BV
(X)
FY07E
FY08E
FY07E
ROE
(%)
FY08E
FY09E
DIV.
YLD (%)
EARN.
CAGR
FY07E (FY09-07)
Auto (12)
Banks (19)
Cement (7)
Engineering (10)
FMCG (12)
IT (14)
Infrastructure (8)
Media (1)
Metals (6)
Oil Gas & Petchem (9)
Pharma (17)
Retail (3)
Telecom (3)
Textiles (7)
Utilities (6)
Others (5)
MOSt (139)
MOSt Excl. Banks (120)
MOSt Excl.Oil & Gas (130)
MOSt Excl. Banks & Oil (111)
N.M. - Not Meaningful
15.8
16.7
14.2
36.2
25.7
27.5
52.5
59.0
9.3
12.7
22.4
59.8
35.1
12.4
18.8
21.4
18.6
19.0
21.1
22.2
14.5
13.6
11.7
27.5
23.0
22.0
44.2
37.6
7.1
11.8
20.0
44.9
24.1
10.5
16.8
15.5
15.7
16.0
17.0
17.9
12.8
11.0
12.2
21.4
18.9
18.0
32.0
25.9
6.2
11.8
16.6
31.0
19.6
7.5
15.9
11.9
13.8
14.3
14.4
15.2
9.7
N.M
9.2
25.6
17.3
21.7
26.9
41.6
5.5
7.6
17.0
30.5
20.1
9.5
13.2
13.5
N.M
11.9
N.M
14.6
8.4
N.M
7.2
18.9
15.3
17.0
21.9
24.2
4.7
7.1
14.8
22.2
13.4
8.5
10.9
10.0
N.M
10.0
N.M
11.4
6.9
N.M
6.9
14.8
12.6
13.3
16.1
16.5
4.0
7.0
12.2
16.4
10.2
7.1
10.9
7.8
N.M
8.8
N.M
9.6
3.9
2.8
5.3
11.3
8.1
8.4
6.1
5.2
2.7
2.8
5.7
11.7
6.9
1.1
2.4
5.6
4.1
4.4
4.6
5.3
3.2
2.2
3.8
8.7
6.7
6.5
5.1
4.7
1.8
2.4
4.7
8.2
5.4
1.0
2.2
4.4
3.3
3.6
3.6
4.2
24.4
16.8
37.5
31.1
31.4
35.7
11.7
13.6
29.3
24.4
25.3
19.6
23.5
8.9
12.6
26.1
22.1
23.4
22.0
23.9
22.3
16.1
33.0
31.5
29.2
33.3
11.6
17.7
24.9
22.1
23.4
18.2
25.0
9.4
12.9
28.4
21.1
22.3
21.4
23.3
21.4
16.1
24.9
32.6
30.7
31.6
14.2
18.6
23.2
18.9
23.4
21.7
24.1
11.9
12.5
29.0
20.0
21.0
20.9
22.7
1.8
1.3
1.4
0.7
2.2
1.2
0.3
0.3
2.3
2.3
1.2
0.2
0.1
1.8
1.9
0.8
1.4
1.5
1.2
1.2
11.1
22.9
8.0
30.2
16.7
23.6
28.1
50.8
22.6
3.6
16.2
38.9
33.6
28.4
8.8
34.1
16.4
15.3
21.2
20.8
Source: Motilal Oswal Securities
29 June 2007
23

MOSt Universe
1QFY08: slower PAT growth
We expect 1QFY08 to be a quarter of steady corporate performance. For our Universe of
136 companies (excluding the major oil marketing companies, OMCs), we estimate revenue
growth of 17% YoY, EBITDA growth of 14% YoY and PAT growth of 19% YoY. The
major sectors driving profit growth during the quarter would be Telecom, Banks, Engineering,
IT and Cement. Performance has been impacted by a strong Rupee appreciation, which
has limited the growth of the IT sector to 25%. The impact of interest rates has also been
felt on the earnings of Autos. On the OMCs, we have assumed oil bonds to accrue in
1QFY08, which is resulting in aggregate profit growth being very strong at 40%. However,
the timing of issue of oil bonds remains uncertain.
QUARTER-WISE SALES GROWTH (YOY)
QUARTER-WISE NET PROFIT GROWTH (YOY)
40%
30%
20%
10%
0%
34.7%
26.5%
17.1%
16.0%
80%
64.2%
60%
40%
20%
0%
18.9%
46.0%
39.5%
Sep- 06
Dec-06
Mar-07
June-07
Sep- 06
Dec-06
Mar-07
June-07
Source: Motilal Oswal Securities
QUARTERLY PERFORMANCE - MOST UNIVERSE
SECTOR
(NO. OF COMPANIES)
JUN.06
SALES
JUN.07
CHG. (%)
JUN.06
EBITDA
JUN.07
CHG. (%)
JUN.06
NET PROFIT
JUN.07
CHG. (%)
(RS MILLION)
Auto (12)
Banks (19)
Cement (7)
Engineering (10)
FMCG (12)
IT (14)
Infrastructure (8)
Media (1)
Metals (6)
Oil Gas & Petchem (9)
Pharma (17)
Retail (3)
Telecom (3)
Textiles (7)
Utilities (6)
Others (5)
MOSt (139)
MOSt Excl. Banks (120)
MOSt Excl.Oil & Gas (130)
MOSt Excl. Banks & Oil (111)
MOSt Excl Metals & Oil (124)
199,362
143,083
69,392
113,765
106,971
154,901
35,617
3,882
187,689
83,228
11,881
80,305
19,268
120,409
19,754
211,790
176,202
83,103
150,298
125,599
198,265
44,681
4,030
220,121
95,755
19,398
114,186
26,878
135,361
25,752
6.2
23.1
19.8
32.1
17.4
28.0
25.4
3.8
17.3
11.5
15.1
63.3
42.2
39.5
12.4
30.4
16.0
15.6
20.9
20.6
21.5
26,477
98,793
22,648
12,085
21,385
36,890
4,360
726
60,101
127,580
17,345
657
29,214
3,377
28,408
4,025
494,070
395,278
366,490
267,698
306,389
25,342
112,653
28,261
17,481
24,214
45,628
5,355
1,180
70,181
193,152
18,948
1,115
45,227
4,146
33,378
5,423
631,684
519,031
438,532
325,879
368,351
-4.3
14.0
24.8
44.6
13.2
23.7
22.8
62.7
16.8
51.4
9.2
69.5
54.8
22.8
17.5
34.7
27.9
31.3
19.7
21.7
20.2
17,235
42,031
14,331
8,041
15,005
31,750
2,171
549
35,310
53,199
11,735
282
13,559
1,287
21,022
2,625
270,131
228,101
216,933
174,902
181,623
17127
53293
17712
10824
16932
39792
2275
744
41572
106746
14577
401
27335
999
23267
3323
376,920
323,627
270,173
216,881
228,602
-0.6
26.8
23.6
34.6
12.8
25.3
4.8
35.6
17.7
100.7
24.2
42.3
101.6
-22.4
10.7
26.6
39.5
41.9
24.5
24.0
25.9
1,507,953 1,682,085
2,857,463 3,313,505
2,714,379 3,137,302
1,349,509 1,631,420
1,206,426 1,455,217
1,161,820 1,411,299
Source: Motilal Oswal Securities
29 June 2007
24

MOSt Universe
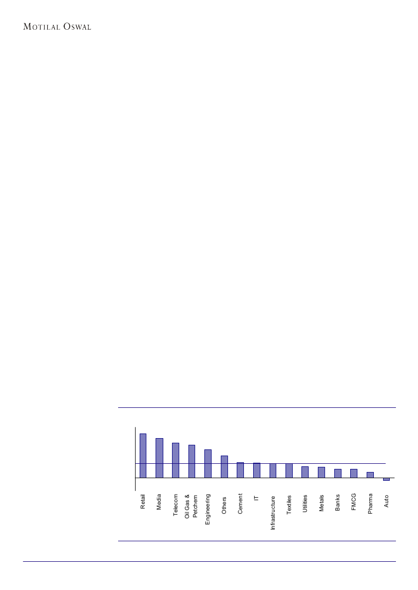
Retail would be the fastest
growing sector, followed
by Telecom
Sales to jump 16% YoY
?
We expect our Universe of 139 companies to record sales growth of 16% YoY in
1QFY08. A key observation is that growth is robust across sectors – Telecom (42%),
Engineering (31%), Infrastructure (25%), Banks (23%) and Cement (20%). For the
first time ever, IT is likely to report flat revenue growth QoQ, with volume growth
being offset by Rupee appreciation.
?
Telecom is expected to witness revenue growth of 42.2% on the back of sustained
strong addition to the wireless subscriber base. Bharti leads the pack, with a revenue
growth of 55.4% YoY followed by Reliance Communication (33.1% YoY).
?
We expect the Engineering sector to record sales growth of 32.1% YoY, on the back
of sustained capex in the Indian economy, especially in the power sector. Siemens is
likely to grow the fastest at 63.5% YoY, followed by Suzlon at 45%, ABB at 35% and
BHEL at 30%.
?
The Infrastructure sector is expected to record revenue growth of 25.4% YoY, driven
by strong order book position. All companies under coverage should show growth of
over 28% YoY except Jaiprakash Associates (2.5% YoY).
?
We expect Banks to register income growth of 23% YoY, on the back of strong credit
growth in a buoyant economy. Private sector banks are emerging as the growth leaders
with HDFC Bank and UTI Bank expected to grow at over 44% YoY.
?
Cement is likely to witness sales growth of 20% YoY, driven by 11-12% volume growth
and 7-8% higher prices. India Cement should see the highest growth at 37% YoY
followed by Shree Cement, with 32% growth.
?
The Pharma sector is likely to report sales growth of 15% YoY, on the back of two
themes – acquisitions (e.g. Dishman’ acquisition of Carbogen AMICS, consolidation
s
of Wockhardt’ Pinewood and Dumex acquisitions), and CRAMS (44% YoY growth
s
for Divi’ Labs, 32% YoY growth for Nicholas Piramal). Pharma MNCs are expected
s
to report muted growth due to divestments (consumer healthcare for Pfizer and animal
healthcare for GSK).
SECTORAL SALES GROWTH - QUARTER ENDED JUNE 2007 (%)
80
60
40
20
0
MOSt Universe Sales Growth = 16%
Source: Motilal Oswal Securities
29 June 2007
25

MOSt Universe
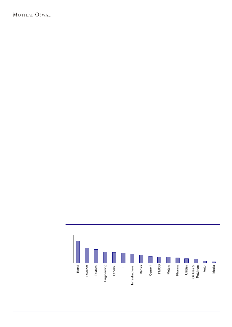
Retail would show the
highest EBITDA jump,
followed by Media
EBITDA margins excluding Banks and OMCs to drop 60bp
?
We expect our Universe of 117 companies (excluding Banks and OMCs) to register
EBITDA growth of 14.7% YoY. This is lower than our topline growth estimate of
17.7%, implying a 60bp drop in EBITDA margins. The major drags on margins are –
Autos (-130bp), Pharma (-110bp), IT (-80bp YoY, -230bp QoQ) and FMCG (-80bp).
Only two sectors are expected to see meaningful margin expansion – Telecom (+320bp)
and Cement (+150bp).
?
The Auto sector would witness margin decline of 130bp due to higher input costs
(mainly metals and rubber), which cannot be passed on due to competitive pressures.
EBITDA for two-wheeler companies is likely to decline by over 25%. Among four-
wheeler companies, M&M, Maruti and Ashok Leyland should manage low EBITDA
growth, while Tata Motors is expected to degrow 15%.
?
Several Pharma majors – Ranbaxy, Cipla, Dr Reddy’ Pfizer – are expected to see
s,
degrowth in EBITDA, muting overall sector EBITDA growth to just 9.2% YoY.
?
IT sector margins could see a sharp 230bp drop QoQ due to the double whammy of
wage hikes and a stronger Rupee. For the first time ever, sector EBITDA is expected
to degrow (-9.5% QoQ).
?
FMCG margins could be down 80bp YoY, led by high prices of key inputs (wheat, milk,
palm oil, etc), and rising ad spend.
?
The Telecom sector is expected to report strong EBITDA growth of 54.8% YoY
(EBITDA margin expansion of 320bp) on the back of operating leverage following
high subscriber addition.
?
Cement should see healthy EBITDA growth of 24.8% YoY. Though cement prices
are up 7-8% YoY, cost pressures – mainly coal and freight – would check margin
expansion at just 150bp YoY.
?
Oil marketing companies (OMCs) could see a huge swing in their EBITDA from a
negative Rs11b to a positive Rs57b, subject to the government issuing oil bonds. We
have factored in oil bonds worth Rs53b in our 1QFY08 estimates; these were not
captured in 1QFY07.
SECTORAL EBITDA GROWTH - QUARTER ENDED JUNE 2007 (%)
80
55
30
5
-20
MOSt Universe EBITDA Growth = 27.9%
Source: Motilal Oswal Securities
29 June 2007
26

MOSt Universe
Telecom would witness the
fastest net profit growth
in our universe
Net profit excluding OMCs to grow 19% YoY
?
We expect overall PAT growth to be a high 39.5% YoY. One major reason for this is
the low base effect of OMCs, which reported losses in 1QFY07 due to under-recoveries
not offset by oil bonds. Excluding OMCs, PAT growth would a steady 19% YoY.
Profit growth for the Sensex companies would also be in line at 18% YoY.
?
Telecom would witness the highest profit growth. Reliance Communication would
lead the pack, with expected PAT growth of 116% YoY, followed by Bharti (99%
YoY).
?
Banks, Cement, Engineering, IT and Pharma are expected to register PAT growth in
the range of 24-32% YoY.
?
Infrastructure PAT growth would be muted at 4.8% mainly due to higher provision for
income tax. For the first three quarters of FY07, companies did not fully provide for
tax, claiming exemption under Section 80IA of the Indian Income-tax Act. Such
exemption was subsequently clarified and denied in the Union Budget of February
2007, and most companies provided for tax arrears only in 4QFY07.
?
Only two sectors are expected to register PAT degrowth – Textiles (-22% YoY) and
Autos (-0.6% YoY). Textiles continues to be hit by: (1) lower volume exports to US
and EU, (2) high competition from China, and now (3) stronger Rupee. In the case of
autos, 4% EBITDA degrowth should be offset by positive financial leverage to restrict
PAT degrowth at just 0.6% YoY.
?
Among Sensex stocks, the top-3 performers in terms of PAT growth YoY are expected
to be Reliance Communication (+116%), Bharti (+99%) and L&T (+59%). The bottom-
3 would be Cipla (-31%), Hero Honda (-17%) and Bajaj Auto (-15.5%).
SECTORAL NET PROFIT GROWTH - QUARTER ENDED JUNE 2007 (%)
120
80
40
0
-40
MOSt Universe Net Profit Growth = 39.5%
Source: Motilal Oswal Securities
29 June 2007
27

MOSt Universe
QUARTERLY PERFORMANCE - MOST UNIVERSE
SECTOR
(NO. OF COMPANIES)
JUN.06
EBITDA MARGIN (%)
JUN.07
CHG. (%)
JUN.06
NET PROFIT MARGIN (%)
JUN.07
CHG. (%)
Auto (12)
Banks (19)
Cement (7)
Engineering (10)
FMCG (12)
IT (14)
Infrastructure (8)
Media (1)
Metals (6)
Oil Gas & Petchem (9)
Pharma (17)
Retail (3)
Telecom (3)
Textiles (7)
Utilities (6)
Others (5)
MOSt (139)
MOSt Excl. Banks (120)
MOSt Excl.Oil & Gas (130)
MOSt Excl. Banks & Oil (111)
MOSt Excl Metals & Oil (124)
13.3
69.0
32.6
10.6
20.0
23.8
12.2
18.7
32.0
8.5
20.8
5.5
36.4
17.5
23.6
20.4
17.3
14.6
27.2
22.2
26.4
12.0
63.9
34.0
11.6
19.3
23.0
12.0
29.3
31.9
11.5
19.8
5.7
39.6
15.4
24.7
21.1
19.1
16.5
26.9
22.4
26.1
-1.3
-5.1
1.4
1.0
-0.7
-0.8
-0.3
10.6
-0.1
3.0
-1.1
0.2
3.2
-2.1
1.1
0.7
1.8
2.0
-0.3
0.2
-0.3
8.6
29.4
20.7
7.1
14.0
20.5
6.1
14.1
18.8
3.5
14.1
2.4
16.9
6.7
17.5
13.3
9.5
8.4
16.1
14.5
15.6
8.1
30.2
21.3
7.2
13.5
20.1
5.1
18.5
18.9
6.3
15.2
2.1
23.9
3.7
17.2
12.9
11.4
10.3
16.6
14.9
16.2
-0.6
0.9
0.7
0.1
-0.5
-0.4
-1.0
4.3
0.1
2.8
1.1
-0.3
7.1
-3.0
-0.3
-0.4
1.9
1.9
0.5
0.4
0.6
Source: Motilal Oswal Securities
EBITDA MARGIN GROWTH - QUARTER ENDED JUNE 2007 (%)
NET PROFIT MARGIN GROWTH - QUARTER ENDED JUNE 2007 (%)
12
8
4
0
-4
-8
MOSt Universe EBITDA Margin Growth = 180bp
12
MOSt Universe Net Profit Margin Growth = 190bp
8
4
0
-4
Source: Motilal Oswal Securities
SECTORAL CONTRIBUTION TO GROWTH IN SALES, EBITDA AND NET PROFIT (%)
SECTOR
CONTRIBUTION
TO SALES GR.
SECTOR
CONTRIBUTION
TO EBITDA GR.
SECTOR
CONTRIBUTION
TO NP GR.
Oil Gas & Petchem (9)
IT (14)
Engineering (10)
Telecom (3)
Banks (19)
Metals (6)
FMCG (12)
Utilities (6)
Cement (7)
Pharma (17)
Auto (12)
Infrastructure (8)
Textiles (7)
Retail (3)
Others (5)
Media (1)
38.2
9.5
8.0
7.4
7.3
7.1
4.1
3.3
3.0
2.7
2.7
2.0
1.7
1.6
1.3
0.0
Oil Gas & Petchem (9)
Telecom (3)
Banks (19)
Metals (6)
IT (14)
Cement (7)
Engineering (10)
Utilities (6)
FMCG (12)
Pharma (17)
Others (5)
Infrastructure (8)
Textiles (7)
Retail (3)
Media (1)
Auto (12)
47.6
11.6
10.1
7.3
6.3
4.1
3.9
3.6
2.1
1.2
1.0
0.7
0.6
0.3
0.3
-0.8
Oil Gas & Petchem (9)
50.1
Telecom (3)
12.9
Banks (19)
10.5
IT (14)
7.5
Metals (6)
5.9
Cement (7)
3.2
Pharma (17)
2.7
Engineering (10)
2.6
Utilities (6)
2.1
FMCG (12)
1.8
Others (5)
0.7
Media (1)
0.2
Retail (3)
0.1
Infrastructure (8)
0.1
Auto (12)
-0.1
Textiles (7)
-0.3
Source: Motilal Oswal Securities
29 June 2007
28

MOSt Universe
Scoreboard (quarter ended June 2007)
TOP 10 BY SALES GROWTH (%)
WORST 10 BY SALES GROWTH (%)
160%
130%
100%
70%
40%
0%
-4%
-8%
-12%
-16%
-20%
-24%
TOP 10 BY EBITDA GROWTH (%)
WORST 10 BY EBITDA GROWTH (%)
250%
200%
150%
0%
-23%
-46%
100%
50%
0%
-69%
-92%
TOP 10 BY NET PROFIT GROWTH (%)
WORST 10 BY NET PROFIT GROWTH (%)
925%
600%
0%
-20%
450%
-40%
300%
-60%
150%
0%
-80%
Matrix: Excluding DocPharma
Source: Motilal Oswal Securities
29 June 2007
29

THIS SPACE IS INTENTIONALLY LEFT BLANK
Note:
In our quarterly performance tables, our four-quarter numbers may not always add up to the full-year numbers. This is because of
differences in classification of account heads in the company’ quarterly and annual results or because of differences in the way we
s
classify account heads as opposed to the company.
29 June 2007
30

MOSt Universe
Ready reckoner: valuations
CMP (RS)
29.6.07
RECO
FY07E
EPS (RS)
FY08E
FY09E
FY07E
P/E (X)
FY08E
FY09E
FY07E
EV/EBITDA
FY08E
FY09E
FY07E
ROE (%)
FY08E
FY09E
Automo biles
Amtek Auto
407
Ashok Leyland
38
Bajaj Auto
2,129
Bharat Forge
308
Eicher Motors
353
Hero Honda
689
Mahindra & Mahindra 723
Maruti Udyog
743
Punjab Tractors
273
Swaraj Mazda
315
Tata Motors
670
TVS Motor
61
Sector Aggregat e
Cement
ACC
Ambuja Cements
Birla Corporation
Grasim Industries
India Cements
Shree Cement
UltraTech Cement
Sector Aggregate
Engineering
ABB
Alstom Projects
Bharat Electronics
BHEL
Crompton Greaves
Cummins India
Larsen & Toubro
Siemens
Suzlon Energy
Thermax
Sector Aggregate
FMCG
Asian Paints
Britannia
Colgate
Dabur
GSK Consumer
Godrej Consumer
Hind. Unilever
ITC
Marico
Nestle
Tata Tea
United Spirits
Sector Aggregate
811
1,575
370
103
573
141
189
155
55
1,160
853
1,291
Buy
Buy
Neutral
Neutral
Buy
Neutral
Neutral
Buy
Buy
Buy
Neutral
Buy
28.1
47.3
14.2
3.3
30.2
5.9
7.0
7.2
1.9
33.9
50.6
25.4
33.7
77.9
16.4
4.0
34.5
7.1
7.7
7.5
2.6
42.1
48.5
36.7
41.3
90.4
18.5
4.9
39.1
8.3
8.7
9.0
3.2
49.3
79.9
58.8
28.8
33.3
26.0
31.4
19.0
23.7
27.1
21.6
29.4
34.2
16.9
50.9
25.7
24.0
20.2
22.5
25.4
16.6
19.9
24.6
20.7
21.2
27.6
17.6
35.2
23.0
19.6
17.4
20.0
20.9
14.7
16.9
21.7
17.2
17.1
23.6
10.7
21.9
18.9
17.9
26.0
22.9
25.4
12.7
18.1
23.6
13.5
17.4
20.5
8.2
28.7
17.3
14.5
12.1
19.5
20.1
10.5
15.7
21.8
13.0
13.4
16.9
5.5
22.3
15.3
11.8
10.1
17.2
17.0
9.0
13.5
18.7
10.4
11.0
14.4
4.4
17.1
12.6
35.7
17.9
68.9
58.8
22.9
123.8
56.5
26.1
69.0
53.8
14.0
17.2
31.4
35.1
25.3
75.6
54.1
22.7
145.8
60.6
24.0
66.5
59.7
7.3
20.6
29.2
34.4
23.6
80.8
50.2
22.2
167.0
65.9
25.5
58.0
63.1
11.0
22.2
30.7
1,095
806
1,830
1,538
253
340
2,196
1,396
1,494
505
Neutral
Neutral
Buy
Buy
Neutral
Neutral
Buy
Neutral
Neutral
Buy
80.3
16.6
89.2
48.8
6.9
10.6
63.9
31.9
30.0
16.1
119.2
23.5
102.3
63.2
9.2
13.2
81.0
45.3
43.0
22.8
30.8
28.8
120.1
79.0
12.0
15.7
103.5
58.0
64.8
30.2
13.6
48.5
20.5
31.5
36.6
32.2
34.4
43.8
49.7
31.3
36.2
9.2
34.3
17.9
24.3
27.6
25.8
27.1
30.8
34.7
22.1
27.5
35.6
27.9
15.2
19.5
21.2
21.7
21.2
24.1
23.0
16.7
21.4
47.0
41.7
11.3
19.0
27.2
18.6
34.0
27.0
36.7
19.6
25.6
29.8
28.9
9.8
14.4
20.4
14.8
24.5
20.2
23.0
14.6
18.9
22.7
23.0
8.0
11.4
16.8
12.0
19.1
17.0
16.1
10.6
14.8
36.7
33.3
27.5
28.8
33.8
26.0
25.7
43.3
29.0
39.7
31.1
49.5
37.5
25.3
29.6
33.6
27.5
27.0
48.0
29.4
40.1
31.5
53.0
35.7
24.0
29.3
32.3
27.7
28.5
47.0
31.6
41.9
32.6
934
125
267
2,638
207
1,274
900
Neutral
Buy
Buy
Buy
Buy
Buy
Buy
58.7
8.8
42.4
214.7
18.6
99.1
62.8
75.0
10.7
49.6
248.3
19.7
135.3
79.0
70.0
10.0
48.1
232.5
19.2
151.6
82.3
15.9
14.1
6.3
12.3
11.2
12.9
14.3
14.2
12.5
11.7
5.4
10.6
10.5
9.4
11.4
11.7
13.3
12.4
5.5
11.3
10.8
8.4
10.9
12.2
10.7
9.9
3.7
9.4
9.1
8.2
8.8
9.2
8.1
7.7
2.6
8.0
7.3
5.6
6.8
7.2
8.5
7.5
2.2
7.9
6.8
4.4
6.2
6.9
35.1
47.3
48.1
29.6
45.2
92.6
55.7
37.5
33.6
37.6
38.1
26.5
31.9
70.4
44.2
33.0
25.6
26.6
28.2
20.5
23.7
46.5
32.5
24.9
Buy
Buy
Sell
Buy
Neutral
Neutral
Buy
Buy
Neutral
Neutral
Buy
Neutral
24.9
3.2
127.1
12.0
21.8
43.4
55.1
53.9
11.0
15.3
55.0
2.8
31.7
3.6
131.3
16.1
27.2
47.2
66.6
61.5
10.3
17.0
60.4
2.8
36.0
4.1
144.1
19.7
30.8
53.3
77.4
75.0
11.3
19.9
67.3
3.1
16.4
11.7
16.8
25.7
16.2
15.9
13.1
13.8
24.8
20.5
12.2
21.7
15.8
12.8
10.5
16.2
19.2
13.0
14.6
10.8
12.1
26.6
18.5
11.1
21.5
14.5
11.3
9.2
14.8
15.7
11.5
12.9
9.3
9.9
24.2
15.9
10.0
19.7
12.8
9.8
7.0
12.0
14.4
7.5
10.0
13.1
7.5
14.1
11.5
8.5
10.6
9.7
7.4
6.1
11.3
10.8
5.3
8.9
11.4
6.2
14.6
10.6
7.7
10.4
8.4
6.1
5.2
9.5
8.5
4.1
7.6
9.9
4.6
13.4
9.4
6.7
8.3
6.9
22.0
25.7
22.9
18.4
14.8
34.3
24.8
22.6
10.3
21.2
28.8
8.2
24.4
22.3
25.1
20.5
19.9
16.1
30.7
22.7
20.9
9.3
20.6
24.8
7.9
22.3
20.6
24.8
19.6
19.9
15.9
28.9
20.6
20.7
9.7
21.1
23.2
8.1
21.4
PULL OUT
29 June 2007
31

MOSt Universe
Ready reckoner: valuations
CMP (RS)
29.6.07
RECO
FY07E
EPS (RS)
FY08E
FY09E
FY07E
P/E (X)
FY08E
FY09E
FY07E
EV/EBITDA
FY08E
FY09E
FY07E
ROE (%)
FY08E
FY09E
Information Technology
Geometric Software
124
Hexaware
162
HCL Technologies
344
i-flex solutions
2,592
Infosys
1,929
Infotech Enterpr
397
KPIT Cummins Inf
139
MphasiS
328
Patni Computer
518
Sasken Comm
490
Satyam Computer
467
TCS
1,149
Tech Mahindra
1,396
Wipro
519
Sector Aggregate
Infrastructure
B.L.Kashyap
GMR Infrastructure
Gammon India
IVRCL Infra.
1,689
748
411
359
Buy
Buy
Buy
Neutral
Buy
Buy
Buy
Buy
Neutral
Buy
Buy
Buy
Buy
Buy
6.1
9.4
16.6
33.2
65.2
17.7
6.8
7.3
25.8
15.5
21.5
41.7
46.4
19.7
8.6
11.8
18.8
51.7
82.7
21.9
8.7
11.1
31.8
29.1
26.3
51.3
59.4
24.4
12.9
14.7
22.8
66.2
99.2
28.1
11.6
12.9
37.8
37.4
31.3
62.9
81.6
28.7
20.3
17.3
20.7
78.0
29.6
22.4
20.5
44.9
20.0
31.5
21.8
27.6
30.1
26.3
27.5
36.4
142.0
39.0
57.8
34.2
42.1
27.1
21.6
52.5
14.4
13.7
18.3
50.1
23.3
18.1
16.0
29.7
16.3
16.9
17.8
22.4
23.5
21.3
22.0
24.1
155.7
27.1
32.6
28.1
38.2
19.5
21.4
44.2
37.6
7.0
11.3
6.2
8.5
7.0
6.5
7.1
6.2
6.3
13.2
9.8
8.7
7.7
10.3
9.2
18.9
11.8
9.6
11.0
15.1
39.1
19.4
14.1
12.0
25.4
13.7
13.1
15.0
18.3
17.1
18.1
18.0
16.6
127.2
19.6
18.7
19.3
28.8
14.2
15.8
32.0
25.9
6.3
10.1
5.8
8.2
6.2
5.4
6.2
6.3
6.3
12.6
9.9
8.6
8.9
9.5
10.4
17.2
11.8
12.9
13.9
15.1
58.2
23.8
15.5
15.5
25.9
12.0
20.5
17.8
22.0
22.8
20.6
21.7
25.2
50.7
18.5
21.9
20.4
22.2
16.9
16.2
26.9
42.9
4.9
10.2
5.2
3.8
4.7
6.8
5.5
5.4
5.8
8.3
6.3
6.8
4.7
6.4
5.3
12.9
7.6
8.6
10.7
11.3
36.8
18.8
11.4
11.1
18.8
10.4
11.2
13.9
17.5
17.3
16.6
17.0
16.6
44.2
13.2
12.9
15.4
20.1
12.8
12.7
21.9
25.0
4.7
7.4
3.9
4.8
3.5
5.3
4.7
4.4
5.6
7.9
7.6
5.9
4.6
5.0
4.5
12.0
7.1
5.8
7.8
9.0
28.4
14.5
8.5
8.1
15.1
8.1
8.3
10.8
14.1
12.0
13.0
13.3
11.8
28.3
9.7
9.7
11.1
15.3
10.1
10.1
16.1
17.1
4.3
5.7
4.1
4.4
3.1
4.4
4.0
6.5
5.7
7.6
7.5
6.8
5.2
5.0
4.7
11.1
7.0
20.9
22.7
27.0
15.3
40.9
31.5
29.7
27.4
16.8
11.0
27.9
54.5
66.2
31.6
35.7
16.7
10.1
9.4
6.6
10.1
12.4
13.8
24.1
11.7
13.6
22.8
28.3
24.7
30.8
34.8
29.0
29.3
21.7
22.9
19.5
14.1
17.5
30.1
32.6
29.5
22.7
24.4
22.7
19.4
26.4
17.6
35.8
28.6
27.3
33.0
18.1
18.2
27.1
45.7
47.7
31.0
33.3
20.6
8.5
12.3
8.9
11.1
11.0
17.1
14.5
11.6
17.7
16.8
28.1
25.8
21.6
32.8
23.6
24.9
16.6
23.8
17.1
9.8
15.6
19.6
31.1
29.4
19.0
22.1
28.3
20.5
28.5
19.2
32.6
28.2
27.3
30.4
18.4
20.2
25.9
41.0
38.1
29.0
31.6
23.5
9.6
15.0
12.1
14.2
13.3
20.2
17.0
14.2
18.6
16.0
26.5
22.7
19.2
28.7
23.0
23.2
15.0
24.1
16.4
9.5
14.0
14.7
27.4
22.5
17.6
18.9
Neutral
Buy
Buy
Buy
Buy
Buy
Buy
Buy
46.4
5.3
10.5
2.1
10.5
17.6
6.6
18.8
70.0
4.8
15.2
3.8
12.8
19.4
9.1
19.0
101.5
5.9
21.0
6.6
18.5
25.7
12.5
25.7
Hindustan Construction 123
Jaiprakash Associates 741
Nagarjuna Construction 178
Patel Engg.
Sector Aggregate
Media
Zee Entertainment
Metals
Hindalco
JSW Steel
Nalco
SAIL
Tata Steel
Sector Aggregate
Oil & Gas
BPCL
Chennai Petroleum
GAIL
HPCL
IOC
IPCL
Indraprastha Gas
ONGC
Reliance Inds.
Sector Aggregate
340
268
308
268
443
343
121
902
1,700
160
611
259
131
597
297
406
Neutral
UR
Buy
Buy
Neutral
Buy
Buy
5.0
24.2
228.3
71.7
37.0
14.6
70.2
7.9
22.8
306.8
99.3
30.6
18.9
91.9
11.5
25.3
342.6
106.1
31.8
21.3
110.9
59.0
6.6
15.1
8.5
7.0
9.0
8.5
9.3
Jindal Steel & Power 3,452
Buy
Neutral
Neutral
Buy
Buy
Neutral
Not Rated
Buy
Neutral
59.2
37.9
24.2
37.4
52.4
49.8
9.9
83.1
84.8
54.7
42.3
23.5
27.2
50.7
44.6
11.7
98.4
90.1
54.3
42.8
24.5
27.1
51.5
38.4
12.7
87.1
98.7
5.7
7.1
12.7
7.2
8.5
6.9
12.3
10.9
20.0
12.7
PULL OUT
29 June 2007
32

MOSt Universe
Ready reckoner: valuations
CMP (RS)
29.6.07
RECO
FY07E
EPS (RS)
FY08E
FY09E
FY07E
P/E (X)
FY08E
FY09E
FY07E
EV/EBITDA
FY08E
FY09E
FY07E
ROE (%)
FY08E
FY09E
Pharmaceuticals
Aurobindo Pharma
Aventis Pharma
Biocon
Cadila Health
Cipla
Dishman Pharma
Divis Labs
Dr Reddy’ s Labs
GSK Pharma
Jubiliant Organosys
Lupin
Nicholas Piramal
Pfizer
Ranbaxy Labs
Shasun Chemicals
Sun Pharma
Wockhardt
Sector Aggregate
Retailing
Pantaloon Retail
Shopper's Stop
Titan Industries
Sector Aggregate
Telecom
Bharti Airtel
Reliance Comm
VSNL
Sector Aggregate
Textiles
Alok Ind
Arvind Mills
Gokaldas Exports
Himatsingka Seide
Raymond
Vardhman Textiles
Welspun Ind
Sector Aggregate
Utilities
CESC
Neyveli Lignite Corp.
NTPC
PTC India
Reliance Energy
Tata Power
Sector Aggregate
809
1,443
441
376
208
306
5,831
656
1,268
308
733
300
804
355
143
1,022
384
Sell
Buy
Buy
Buy
Buy
Buy
Neutral
Buy
Buy
Buy
Neutral
Buy
Neutral
Buy
Buy
Buy
Neutral
29.4
73.5
20.1
18.6
8.5
11.2
149.6
55.6
42.7
11.5
26.4
11.0
40.5
13.4
-0.6
37.4
22.3
45.6
81.0
23.0
22.0
9.7
15.4
206.9
35.5
48.1
17.0
36.6
14.5
38.2
16.5
11.5
41.8
25.3
62.9
27.6
91.2
19.6
27.2
22.0
25.8
20.2
11.8
24.5
18.5
27.2
255.2
39.0
41.8
11.8
56.2
29.7
19.7
26.8
39.2
27.8
17.9
27.3
38.2
19.8
20.5
26.4
14.1 -225.1
52.0
27.3
30.2
17.2
22.4
13.9
16.7
46.9
76.7
57.7
50.3
59.8
17.7
17.8
19.2
17.1
21.5
19.9
28.2
18.5
26.3
18.1
20.0
20.6
21.0
21.5
12.4
24.5
15.2
20.0
54.8
47.5
39.6
44.9
24.8
22.7
28.5
24.1
6.3
28.3
11.1
18.6
11.6
7.5
9.0
10.5
12.7
14.9
16.7
19.0
16.2
21.2
16.8
12.9
15.8
16.2
14.6
17.7
16.6
22.8
15.7
22.6
15.6
18.7
16.8
21.0
17.3
10.1
19.7
12.7
16.6
35.6
34.1
28.5
31.0
20.0
18.4
29.5
19.6
5.6
11.0
9.5
10.1
8.3
6.0
5.1
7.5
11.9
14.5
15.7
14.6
15.6
20.8
15.9
19.5
13.3
15.9
14.0
19.2
25.0
30.8
8.0
20.1
14.9
21.3
20.7
12.7
17.9
11.7
28.1
13.0
17.0
32.6
28.9
28.5
30.5
21.9
18.8
13.6
20.1
10.8
9.0
8.7
21.7
8.6
7.3
10.7
9.5
10.9
6.7
12.1
26.8
49.4
14.1
13.2
11.5
11.4
13.2
10.8
16.7
16.1
22.5
13.2
17.4
10.7
14.9
14.5
11.8
14.8
8.4
22.4
9.8
14.8
22.0
21.2
22.8
22.2
14.4
12.3
11.7
13.4
9.4
9.0
8.2
12.4
5.6
8.7
8.6
8.5
10.3
6.4
10.2
18.2
22.0
13.0
10.9
8.7
9.7
10.9
9.3
13.9
13.2
18.2
11.5
14.5
8.5
14.3
11.9
11.8
11.5
6.8
17.7
8.1
12.2
16.1
15.6
17.5
16.4
10.8
9.5
10.0
10.2
9.1
7.5
7.0
7.4
4.1
7.2
6.5
7.1
10.1
7.4
10.3
14.9
21.2
12.4
10.9
20.1
28.6
18.8
29.0
20.2
35.8
46.1
23.6
30.3
21.7
30.9
23.1
27.5
20.9
19.8
40.6
28.3
25.3
13.7
11.7
40.0
19.6
37.4
19.7
7.9
23.5
16.5
1.1
18.9
9.3
10.5
16.6
8.8
8.9
12.6
8.8
14.0
14.8
10.2
9.4
12.6
24.0
26.2
18.5
27.1
19.4
32.9
44.4
13.5
28.2
24.7
31.8
25.4
15.8
22.7
21.0
35.5
25.3
23.4
13.6
13.2
30.3
18.2
38.1
20.5
7.1
25.0
13.2
2.0
17.3
9.8
11.0
12.2
8.7
9.4
11.6
8.2
14.7
17.5
10.8
8.6
12.9
25.1
24.7
18.7
25.7
19.8
30.0
39.2
14.3
27.1
23.3
27.0
25.4
14.5
24.7
21.9
34.6
24.4
23.4
17.6
16.7
31.4
21.7
33.2
20.6
6.6
24.1
13.2
5.0
17.6
16.4
14.0
13.7
14.2
11.9
11.1
8.1
14.3
20.1
10.8
8.5
12.5
495
568
1,339
Buy
Neutral
Neutral
6.5
9.8
26.6
9.0
12.0
33.8
836
517
468
Buy
Buy
Neutral
22.5
15.6
17.6
33.7
22.8
16.4
41.8
28.2
15.9
37.2
33.1
26.7
35.1
58
44
242
116
308
168
65
Neutral
Neutral
Buy
Neutral
Neutral
Buy
Neutral
8.3
0.8
20.4
5.6
15.5
26.8
6.8
9.2
1.6
21.7
6.2
26.5
22.3
7.2
10.3
4.0
25.6
11.4
37.3
28.0
12.8
6.9
52.3
11.8
20.6
19.9
6.3
9.6
12.4
373
62
152
64
614
671
Buy
Buy
Neutral
Buy
Buy
Buy
28.5
4.3
8.0
2.6
34.1
29.2
29.4
4.1
9.1
3.4
38.0
31.7
31.3
4.3
9.7
4.4
39.3
32.3
13.1
14.5
19.1
25.1
18.0
22.9
18.8
PULL OUT
29 June 2007
33

MOSt Universe
Ready reckoner: valuations
CMP (RS)
29.6.07
RECO
FY07E
EPS (RS)
FY08E
FY09E
FY07E
P/E (X)
FY08E
FY09E
FY07E
EV/EBITDA
FY08E
FY09E
FY07E
ROE (%)
FY08E
FY09E
Others
Ashapura Minchem
Blue Star
Concor
Great Offshore
United Phosphorous
Sector Aggregate
371
234
2,342
834
311
Buy
Buy
Buy
Buy
Buy
33.2
7.9
102.4
38.1
14.3
67.7
10.6
125.2
62.5
18.7
89.6
14.5
150.5
88.4
26.8
11.2
29.6
22.9
21.9
21.8
21.4
5.5
22.1
18.7
13.3
16.7
15.5
4.1
16.1
15.6
9.4
11.6
11.9
7.2
18.7
15.3
14.7
11.3
13.5
4.5
13.8
12.1
10.7
8.7
10.0
4.0
9.9
9.7
8.1
6.5
7.8
47.3
36.9
28.4
23.5
20.5
26.1
50.5
39.7
27.6
29.9
23.0
28.4
43.8
42.4
26.5
31.9
27.0
29.0
CMP (RS)
29.6.07
RECO
FY07E
EPS (RS)
FY08E
FY09E
FY07E
P/E (X)
FY08E
FY09E
FY07E
P/BV (X)
FY08E
FY09E
FY07E
ROE (%)
FY08E
FY09E
Banks
Andhra Bank
Bank of Baroda
Bank of India
Canara Bank
Corporation Bank
Federal Bank
HDFC Bank
HDFC
ICICI Bank
Indian Overseas Bank
J&K Bank
Karnataka Bank
Oriental Bank
Punjab National Bank
State Bank
Syndicate Bank
Union Bank
UTI Bank
Vijaya Bank
Sector Aggregate
86
270
233
270
324
302
1,144
2,030
955
118
674
175
226
540
1,525
77
132
605
50
Buy
Buy
Buy
Buy
Sell
Buy
Buy
Buy
Neutral
Buy
Buy
Buy
Neutral
Buy
Buy
Buy
Buy
Buy
Neutral
11.1
28.1
23.0
34.7
37.4
34.1
35.8
62.1
34.6
18.5
56.6
14.6
33.0
48.8
86.3
13.7
16.7
23.4
7.6
12.7
33.9
27.5
39.3
44.2
42.9
43.8
72.5
38.5
22.5
66.9
17.0
36.2
59.8
98.6
15.5
21.1
25.1
8.9
15.0
41.1
33.5
45.5
52.6
52.9
60.1
86.7
51.5
26.1
82.7
19.6
41.3
72.9
117.2
17.7
25.9
34.4
10.2
7.7
9.6
10.1
7.8
8.7
8.9
32.0
32.7
27.6
6.4
11.9
12.0
6.8
11.1
17.7
5.6
7.9
25.9
6.5
16.7
6.8
8.0
8.5
6.9
7.3
7.0
26.1
28.0
24.8
5.2
10.1
10.3
6.2
9.0
15.5
4.9
6.3
24.1
5.6
13.6
5.7
6.6
7.0
5.9
6.2
5.7
19.1
23.4
18.5
4.5
8.2
8.9
5.5
7.4
13.0
4.3
5.1
17.6
4.9
11.0
1.3
1.2
2.0
1.4
1.2
1.7
5.7
9.3
3.5
1.7
1.6
1.7
1.1
1.7
2.6
1.2
1.4
5.0
1.1
2.8
1.2
1.1
1.7
1.2
1.1
1.4
3.4
5.6
2.2
1.3
1.5
1.5
1.0
1.5
2.3
1.0
1.2
2.5
1.0
2.2
1.0
0.9
1.4
1.0
1.0
1.2
3.0
4.3
2.0
1.1
1.3
1.3
0.8
1.3
2.0
0.9
1.0
2.3
0.9
1.8
17.8
12.4
20.7
16.3
15.0
21.3
19.5
31.3
13.4
28.1
14.4
15.1
15.4
15.5
15.4
21.9
17.3
21.0
18.6
16.8
18.4
13.6
20.9
14.7
15.8
22.2
17.1
25.5
11.9
27.3
15.2
15.7
15.5
16.9
15.5
20.2
19.0
15.0
19.0
16.1
19.3
14.8
21.5
15.2
16.7
22.5
16.8
21.2
11.5
25.5
16.6
15.9
16.1
18.0
16.3
19.7
20.2
13.6
19.3
16.1
PULL OUT
29 June 2007
34

MOSt Universe
Ready reckoner: quarterly performance
CMP (RS)
29.6.07
RECO
JUN.06
SALES
JUN.07
CHG. (%)
JUN.06
EBITDA
JUN.07
CHG. (%)
JUN.06
NET PROFIT
JUN.07
CHG. (%)
Automobiles
Amtek Auto
Ashok Leyland
Bajaj Auto
Bharat Forge
Eicher Motors
Hero Honda
Mahindra & Mahindra
Maruti Udyog
Punjab Tractors
Swaraj Mazda
Tata Motors
TVS Motor
Sector Aggregate
Cement
ACC
Ambuja Cements
Birla Corporation
Grasim Industries
India Cements
Shree Cement
UltraTech Cement
Sector Aggregate
Engineering
ABB
Alstom Projects
Bharat Electronics
BHEL
Crompton Greaves
Cummins India
Larsen & Toubro
Siemens
Suzlon Energy
Thermax
Sector Aggregate
FMCG
Asian Paints
Britannia
Colgate
Dabur
GSK Consumer
Godrej Consumer
Hind. Unilever
ITC
Marico
Nestle
Tata Tea
United Spirits
Sector Aggregate
407
38
2,129
308
353
689
723
743
273
315
670
61
Buy
Buy
Sell
Buy
Neutral
Neutral
Buy
Buy
Neutral
Neutral
Buy
Neutral
7,319
11,088
14,239 16,029
22,027 19,149
4,206
5,152
3,831
4,063
23,644 23,252
22,172 25,267
31,255 37,134
2,436
2,286
1,181
1,325
57,835 59,264
9,218
7,781
199,362 211,790
14,247
13,137
3,489
18,770
4,852
3,094
11,803
69,392
17,923
14,775
4,259
22,418
6,637
4,082
13,009
83,103
51.5
12.6
-13.1
22.5
6.1
-1.7
14.0
18.8
-6.2
12.2
2.5
-15.6
6.2
25.8
12.5
22.1
19.4
36.8
31.9
10.2
19.8
37.5
20.0
5.0
30.0
24.5
20.0
27.7
63.5
45.0
17.5
32.1
14.4
32.6
14.7
17.2
13.1
19.9
12.9
15.8
28.8
19.4
27.7
19.0
17.4
1,278
1,213
3,607
1,073
183
3,190
2,512
5,168
301
31
7,506
416
26,477
4,556
5,156
1,027
5,133
1,655
1,375
3,746
22,648
1,020
90
721
3,182
722
619
2,698
792
1,858
383
12,085
939
326
401
639
531
421
4,146
9,706
563
1,384
1,577
752
21,385
2,028
1,362
2,681
1,262
213
2,546
2,880
5,594
217
60
6,401
97
25,342
5,470
5,882
1,516
6,946
2,325
1,827
4,295
28,261
1,574
144
730
4,317
913
763
4,507
1,258
2,790
485
17,481
1,100
525
490
790
540
500
4,500
10,400
685
1,634
2,050
1,000
24,214
58.7
12.3
-25.7
17.6
16.7
-20.2
14.7
8.2
-27.9
92.4
-14.7
-76.6
-4.3
20.1
14.1
47.6
35.3
40.4
32.9
14.7
24.8
54.3
59.7
1.2
35.7
26.5
23.3
67.0
58.8
50.1
26.9
44.6
17.1
61.0
22.3
23.6
1.6
18.8
8.5
7.2
21.8
18.1
30.0
33.0
13.2
708
756
2,764
616
84
2,377
1,867
3,696
177
2
3,976
213
17,235
2,966
3,484
624
3,119
1,126
904
2,108
14,331
719
116
603
2,367
364
508
1,571
565
953
275
8,041
580
326
361
474
309
328
3,793
6,523
303
844
819
347
15,005
1,118
801
2,335
694
106
1,964
2,247
3,969
121
18
3,698
57
17,127
3,694
4,197
913
4,140
1,365
1,003
2,401
17,712
1,060
130
618
3,017
493
593
2,497
889
1,205
320
10,824
692
432
436
610
346
400
4,300
7,095
403
1,073
660
485
16,932
57.9
5.9
-15.5
12.6
25.4
-17.4
20.3
7.4
-31.7
925.2
-7.0
-73.1
-0.6
24.5
20.5
46.4
32.7
21.3
10.9
13.9
23.6
47.4
12.3
2.6
27.5
35.7
16.8
58.9
57.3
26.5
16.2
34.6
19.4
32.5
20.9
28.8
11.9
21.9
13.4
8.8
33.1
27.1
-19.4
39.9
12.8
934
125
267
2,638
207
1,274
900
Neutral
Buy
Buy
Buy
Buy
Buy
Buy
1,095
806
1,830
1,538
253
340
2,196
1,396
1,494
505
Neutral
Neutral
Buy
Buy
Neutral
Neutral
Buy
Neutral
Neutral
Buy
9,742 13,396
2,237
2,684
4,831
5,073
26,564 34,532
7,406
9,224
3,914
4,697
34,689 44,294
10,465 17,107
10,689 15,499
3,226
3,791
113,765 150,298
6,034
6,900
4,828
6,400
3,096
3,550
4,755
5,575
2,688
3,040
2,376
2,850
30,832 34,800
28,498 33,000
3,728
4,800
6,812
8,134
7,989 10,200
5,335
6,350
106,971 125,599
811
1,575
370
103
573
141
189
155
55
1,160
853
1,291
Buy
Buy
Neutral
Neutral
Buy
Neutral
Neutral
Buy
Buy
Buy
Neutral
Buy
PULL OUT
29 June 2007
35

MOSt Universe
Ready reckoner: quarterly performance
CMP (RS)
29.6.07
RECO
JUN.06
SALES
JUN.07
CHG. (%)
JUN.06
EBITDA
JUN.07
CHG. (%)
JUN.06
NET PROFIT
JUN.07
CHG. (%)
Infrastructure
B.L.Kashyap
GMR Infrastructure
Gammon India
Hindustan Construction
IVRCL Infra.
Jaiprakash Associates
Nagarjuna Construction
Patel Engineering
Sector Aggregate
Media
Zee Entertainment
Metals
Hindalco
Jindal Steel & Power
JSW Steel
Nalco
SAIL
Tata Steel
Sector Aggr egate
Oil & Gas
BPCL
Chennai Petroleum
GAIL
HPCL
IOC
IPCL
Indraprastha Gas
ONGC
Reliance Inds.
Sector Aggregate
Pharmaceuticals
Aurobindo Pharma
Aventis Pharma
Biocon
Cadila Health
Cipla
Dishman Pharma
Divi's Labs
Dr Reddy’ s Labs
GSK Pharma
Jubiliant Organosys
Lupin
Nicholas Piramal
Pfizer
Ranbaxy Labs
Shasun Chemicals
Sun Pharma
Wockhardt
Sector Aggregate
Shasun: Excluding acquisition of Rhodia
PULL OUT
809
1,443
441
376
208
306
5,831
656
1,268
308
733
300
804
355
143
1,022
384
Sell
Buy
Buy
Buy
Buy
Buy
Neutral
Buy
Buy
Buy
Neutral
Buy
Neutral
Buy
Buy
Buy
Neutral
4,386
2,228
2,120
4,458
8,636
822
1,608
14,049
4,041
4,124
5,044
5,226
1,856
14,562
955
4,987
4,127
83,228
5,513
2,476
2,654
5,224
9,840
2,100
2,323
11,323
4,232
5,091
6,807
6,887
1,771
16,149
1,001
5,931
6,434
95,755
25.7
11.1
25.2
17.2
13.9
155.4
44.4
-19.4
4.7
23.4
35.0
31.8
-4.6
10.9
4.9
18.9
55.9
15.1
659
619
544
898
2,289
202
461
2,217
1,252
699
649
877
478
2,648
146
1,811
897
17,345
896
661
742
1,061
1,468
415
1,036
1,868
1,435
877
1,250
1,022
380
2,261
156
2,011
1,409
18,948
36.0
6.7
36.5
18.1
-35.9
105.3
124.8
-15.7
14.6
25.5
92.8
16.5
-20.6
-14.6
7.0
11.0
57.1
9.2
362
439
394
584
1,704
185
267
1,356
911
461
536
539
323
1,211
62
1,767
634
11,735
729
483
480
670
1,177
319
844
1,260
1,037
635
977
575
280
1,915
70
2,418
706
14,577
101.2
10.0
21.9
14.8
-30.9
72.8
215.4
-7.1
13.9
37.8
82.4
6.8
-13.4
58.2
13.6
36.8
11.4
24.2
340
268
308
268
443
343
121
902
1,700
Buy
Neutral
Neutral
Buy
Buy
Neutral
Not Rated
Buy
Neutral
254,338
255,198
76,367
77,123
40,784
39,632
226,795
234,371
486,884
604,811
30,180
31,748
1,358
1,686
146,028
145,204
245,220
292,312
1,507,953 1,682,085
0.3
-2,609 10,494
1.0
4,789
4,727
-2.8
9,416
7,706
3.3
-5,166
6,599
24.2
-8,445
30,114
5.2
5,590
5,619
24.2
541
731
-0.6 81,094 76,806
19.2 42,370 50,356
11.5 127,580 193,152
-
-1.3
-18.2
-
-
0.5
35.1
-5.3
18.8
51.4
-4,265
5,629
2,546
2,544
5,921
4,911
-6,077
3,489
-14,443 16,688
2,580
2,863
276
404
41,190 39,083
25,470 31,135
53,199 106,746
-
-0.1
-17.0
-
-
11.0
46.2
-5.1
22.2
100.7
160
3,452
611
259
131
597
UR
Buy
Buy
Neutral
Buy
Buy
42,737
6,662
15,694
14,855
68,583
39,159
187,689
50,921
11,695
24,735
13,445
73,590
45,736
220,121
19.1
75.5
57.6
-9.5
7.3
16.8
17.3
9,334
3,249
4,558
9,344
17,803
15,813
60,101
10,474
4,319
8,530
7,761
20,324
18,774
70,181
12.2
32.9
87.1
-16.9
14.2
18.7
16.8
6,015
1,531
1,703
6,223
10,179
9,658
35,310
6,559
2,138
3,963
5,269
13,183
10,459
41,572
9.0
39.6
132.7
-15.3
29.5
8.3
17.7
297
Neutral
3,882
4,030
3.8
726
1,180
62.7
549
744
35.6
1,689
748
411
123
359
741
178
406
Neutral
Buy
Buy
Buy
Buy
Buy
Buy
Buy
1,639
4,093
5,539
5,806
4,266
8,950
6,517
2,900
35,617
2,425
-
7,478
7,548
5,546
9,174
8,799
3,712
44,681
48.0
-
35.0
30.0
30.0
2.5
35.0
28.0
25.4
177
1,281
317
461
407
2,130
550
318
4,360
254
-
436
607
513
2,359
777
408
5,355
43.4
-
37.7
31.7
26.0
10.8
41.3
28.3
22.8
104
195
159
201
261
920
326
200
2,171
148
-
171
124
280
985
347
220
2,275
42.3
-
7.1
-38.2
7.1
7.1
6.3
10.4
4.8
29 June 2007
36

MOSt Universe
Ready reckoner: quarterly performance
CMP (RS)
29.6.07
RECO
JUN.06
SALES
JUN.07
CHG. (%)
JUN.06
EBITDA
JUN.07
CHG. (%)
JUN.06
NET PROFIT
JUN.07
CHG. (%)
Retailing
Pantaloon Retail
Shopper,s Stop
Titan Industries
Sector Aggregate
Telecom
Bharti Airtel
Reliance Comm
VSNL
Sector Aggregate
Textiles
Alok Ind
Arvind Mills
Gokaldas Exports
Himatsingka Seide
Raymond
Vardhman Textiles
Welspun Ind
Sector Aggregate
Utilities
CESC
Neyveli Lignite Corporation
NTPC
PTC India
Reliance Energy
Tata Power
Sector Aggregate
Others
Ashapura Minchem
Blue Star
Concor
Great Offshore
United Phosphorous
Sector Aggregate
371
234
2,342
834
311
Buy
Buy
Buy
Buy
Buy
4,614
3,123
7,213
1,122
4,804
19,754
4,393
4,060
8,800
1,412
8,498
25,752
-4.8
30.0
22.0
-
76.9
30.4
491
158
2,160
579
1,215
4,025
916
213
2,680
645
1,615
5,423
86.5
34.3
24.0
-
32.9
34.7
348
73
1,663
351
541
2,625
598
99
1,954
330
673
3,323
71.9
35.1
17.5
-
24.5
26.6
373
62
152
64
614
671
Buy
Buy
Neutral
Buy
Buy
Buy
6,740
6,397
71,536
10,421
11,549
13,766
6,909
7,037
80,496
12,758
13,628
14,534
2.5
10.0
12.5
22.4
18.0
5.6
12.4
1,360
3,085
19,960
88
1,334
2,581
28,408
1,361
3,730
23,653
110
1,908
2,616
33,378
0.1
20.9
18.5
25.0
43.0
1.4
17.5
550
2,238
15,318
120
1,666
1,130
21,022
648
2,077
17,385
135
1,866
1,156
23,267
17.8
-7.2
13.5
12.6
12.0
2.3
10.7
58
44
242
116
308
168
65
Neutral
Neutral
Buy
Neutral
Neutral
Buy
Neutral
3,579
3,546
2,216
378
2,806
4,755
1,989
19,268
5,393
5,302
2,393
530
5,136
5,465
2,661
26,878
50.7
49.5
8.0
40.3
83.0
14.9
33.8
39.5
806
744
225
126
228
836
414
3,377
1,181
700
207
144
709
825
381
4,146
46.5
-5.9
-8.0
14.1
211.2
-1.3
-7.9
22.8
269
67
135
144
130
375
166
1,287
344
56
90
107
76
245
81
999
27.9
-16.5
-33.3
-26.0
-41.6
-34.6
-51.3
-22.4
836
517
468
Buy
Buy
Neutral
38,564
32,501
9,240
80,305
59,926
43,255
11,005
114,186
55.4
33.1
19.1
42.2
15,022
12,062
2,130
29,214
24,779
17,971
2,477
45,227
65.0
49.0
16.3
54.8
7,552
5,127
880
13,559
15,024
11,064
1,247
27,335
98.9
115.8
41.7
101.6
495
568
1,339
Buy
Neutral
Neutral
5,752
1,720
4,410
11,881
10,798
2,500
6,100
19,398
87.7
45.4
38.3
63.3
373
119
165
657
755
160
200
1,115
102.4
33.9
21.1
69.5
158
54
70
282
250
60
91
401
58.0
11.2
30.7
42.3
120,409 135,361
PULL OUT
29 June 2007
37

MOSt Universe
Ready reckoner: quarterly performance
CMP (RS)
29.6.07
RECO
MAR.07
SALES
JUN.07
CHG. (%)
MAR.07
EBITDA
JUN.07
CHG. (%)
MAR.07
NET PROFIT
JUN.07
CHG. (%)
Information Technology
Geometric Software
Hexaware
HCL Technologies
i-flex solutions
Infosys
Infotech Enterpr
KPIT Cummins Inf
MphasiS
Patni Computer
Sasken Comm
Satyam Computer
TCS
Tech Mahindra
Wipro
Sector Aggregate
124
162
344
2,592
1,929
397
139
328
518
490
467
1,149
1,396
519
Buy
Buy
Buy
Neutral
Buy
Buy
Buy
Buy
Neutral
Buy
Buy
Buy
Buy
Buy
1,243
2,644
15,771
5,794
37,720
1,512
1,303
3,373
6,724
1,354
17,792
51,464
8,745
43,345
1,287
2,678
16,112
6,126
38,377
1,573
1,326
3,466
6,746
1,381
18,089
51,936
8,816
40,351
3.6
1.3
2.2
5.7
1.7
4.0
1.8
2.8
0.3
2.0
1.7
0.9
0.8
-6.9
-0.3
166
395
3,668
1,093
11,970
308
206
647
1,427
177
4,102
14,568
2,218
9,449
50,393
139
313
3,555
1,082
10,868
268
181
532
1,103
157
3,994
12,989
1,994
8,453
45,628
-16.6
-20.9
-3.1
-1.0
-9.2
-13.0
-11.7
-17.7
-22.7
-11.7
-2.6
-10.8
-10.1
-10.5
-9.5
101
352
3,318
777
11,440
249
141
456
1,200
117
3,936
11,728
1,960
7,914
43,688
80
304
3,365
860
9,782
172
118
348
1,054
100
3,967
10,511
1,687
7,444
39,792
-20.3
-13.6
1.4
10.7
-14.5
-31.0
-15.7
-23.6
-12.2
-14.8
0.8
-10.4
-13.9
-5.9
-8.9
198,783 198,265
CMP (RS)
29.6.07
RECO
JUN.06
NET INT INCOME
JUN.07
CHG. (%)
OPERATING PROFIT
JUN.06
JUN.07
CHG. (%)
JUN.06
NET PROFIT
JUN.07
CHG. (%)
Banks
Andhra Bank
Bank of Baroda
Bank of India
Canara Bank
Corporation Bank
Federal Bank
HDFC
HDFC Bank
ICICI Bank
Indian Overseas Bank
J&K Bank
Karnataka Bank
Oriental Bank of Commerce
Punjab National Bank
State Bank
Syndicate Bank
Union Bank
UTI Bank
Vijaya Bank
Sector Aggregate
86
270
233
270
324
302
2,030
1,144
955
118
674
175
226
540
1,525
77
132
605
50
Buy
Buy
Buy
Buy
Sell
Buy
Buy
Buy
Neutral
Buy
Buy
Buy
Neutral
Buy
Buy
Buy
Buy
Buy
Neutral
3,352
8,823
7,644
9,478
3,248
1,586
4,443
8,176
14,753
5,755
1,786
953
4,110
12,929
38,841
5,059
6,345
3,218
2,583
3,909
11,004
10,241
10,567
4,028
1,958
5,562
11,816
19,499
7,670
2,051
1,144
4,567
15,202
45,007
6,298
8,094
4,637
2,948
16.6
24.7
34.0
11.5
24.0
23.4
25.2
44.5
32.2
33.3
14.8
20.0
11.1
17.6
15.9
24.5
27.6
44.1
14.1
23.1
2,065
5,559
4,676
5,902
3,015
1,137
3,805
6,157
12,314
4,965
1,229
882
1,510
4,906
28,366
3,019
4,265
3,072
1,951
2,293
6,728
6,185
6,685
3,586
1,567
4,795
7,488
13,049
5,173
1,406
964
2,161
6,991
28,534
3,979
5,490
3,680
1,900
11.0
21.0
32.3
13.3
18.9
37.8
26.0
21.6
6.0
4.2
14.4
9.3
43.1
42.5
0.6
31.8
28.7
19.8
-2.6
14.0
1,164
1,633
2,087
1,909
1,442
402
2,968
2,393
6,200
2,220
624
368
1,553
3,675
7,987
1,806
1,668
1,206
726
42,031
1,355
2,875
2,949
2,501
1,806
606
3,648
3,188
7,239
2,789
718
417
1,575
3,666
10,747
2,379
2,315
1,680
840
53,293
16.4
76.0
41.3
31.0
25.2
50.8
22.9
33.2
16.8
25.6
14.8
13.5
1.4
-0.3
34.6
31.7
38.8
39.4
15.7
26.8
143,083 176,202
98,793 112,653
PULL OUT
29 June 2007
38

Results Preview
QUARTER ENDED JUNE 2007
Automobiles
BSE Sensex: 14,651
S&P CNX: 4,318
29 June 2007
COMPANY NAME
PG.
Amtek Auto
Ashok Leyland
Bajaj Auto
Bharat Forge
Eicher Motors
Hero Honda
Mahindra & Mahindra
Maruti Udyog
Punjab Tractors
Swaraj Mazda
Tata Motors
TVS Motor
50
51
52
53
54
55
56
57
58
59
60
61
After witnessing rapid surge in auto volumes in FY07 across all segments, volume growth
has turned sluggish in the first quarter of the new fiscal. The growth rate has been lower
on two main counts – the high base of the previous year, and more importantly, the
higher interest rates on financing, which has led to a significant increase in the cost of
ownership of a vehicle. Further, stringent financing norms for segments such as two-
wheelers and tractors have led to lower availability of credit as well, leading to these
segments underperforming the auto industry. However, we believe that these are short-
term negatives, and we expect the scenario to improve significantly in 2HFY08, particularly
for four-wheelers. However, input cost pressures will result in stagnant margins in most
segments. Intense competitive pressures and sluggish volume growth will adversely impact
performance of the two-wheeler segment.
Our positive view on the four-wheeler sector is based upon structural and fundamental
positives such as the strong growth in economy/industry, policy focus on infrastructure,
increased propensity to spend among the middle and affluent classes, development of
India as a small car manufacturing hub, increasing middle-class population, reduction in
duties, ban on overloading, infrastructure development, aggressive capex plans of most
passenger car manufacturers, and aggressive targets set in the Draft Automotive Mission
Plan 2006-2016.
Volume growth has perceptibly weakened in 1QFY08, particularly in M&HCVs and
two-wheelers, on the back of short-term concerns like higher interest rates, tighter financing
EXPECTED QUARTERLY PERFORMANCE SUMMARY
RECO
SALES
JUN.07
CHG. (%)
JUN.07
EBITDA
CHG. (%)
(RS MILLION)
NET PROFIT
JUN.07
CHG. (%)
Automobiles
Amtek Auto
Ashok Leyland
Bajaj Auto
Bharat Forge
Eicher Motors
Hero Honda
Mahindra & Mahindra
Maruti Udyog
Punjab Tractors
Swaraj Mazda
Tata Motors
TVS Motor
Sector Aggregate
Buy
Buy
Sell
Buy
Neutral
Neutral
Buy
Buy
Neutral
Neutral
Buy
Neutral
11,088
16,029
19,149
5,152
4,063
23,252
25,267
37,134
2,286
1,325
59,264
7,781
211,790
51.5
12.6
-13.1
22.5
6.1
-1.7
14.0
18.8
-6.2
12.2
2.5
-15.6
6.2
2,028
1,362
2,681
1,262
213
2,546
2,880
5,594
217
60
6,401
97
25,342
58.7
12.3
-25.7
17.6
16.7
-20.2
14.7
8.2
-27.9
92.4
-14.7
-76.6
-4.3
1,118
801
2,335
694
106
1,964
2,247
3,969
121
18
3,698
57
17,127
57.9
5.9
-15.5
12.6
25.4
-17.4
20.3
7.4
-31.7
925.2
-7.0
-73.1
-0.6
Amit Kasat (Akasat@MotilalOswal.com);Tel:+91 22 39825411; Rohan A Korde (RohanKorde@MotilalOswal.com); Tel: + 91 22 3982 5414
29 June 2007
39

Automobiles
AUTO VOLUMES SNAPSHOT FOR APR - MAY FY08 YTD
FY08
FY07
% GR.
Domestic Sales
Motorcycles
Two wheelers
Three wheelers
Passenger cars
UVs
M&HCV
LCV
Total
Export Sales
Motorcycles
Two wheelers
Three wheelers
Passenger cars
UVs
M&HCV
LCV
Total
Total Sales
Motorcycles
Two wheelers
Three wheelers
Passenger cars
UVs
M&HCV
LCV
Total
1,055,017
1,299,721
81,211
222,536
35,774
38,034
33,960
1,711,236
1,168,067
1,380,225
75,983
205,271
32,129
39,752
28,348
1,761,708
-9.7
-5.8
6.9
8.4
11.3
-4.3
19.8
-2.9
114,025
123,153
26,654
28,778
539
2,659
5,315
187,098
84,005
101,059
18,360
31,504
724
2,064
4,154
157,865
35.7
21.9
45.2
-8.7
-25.6
28.8
27.9
18.5
940,992
1,176,568
54,557
193,758
35,235
35,375
28,645
1,524,138
1,084,062
1,279,166
57,623
173,767
31,405
37,688
24,194
1,603,843
-13.2
-8
-5.3
11.5
12.2
-6.1
18.4
-5
Source: SIAM/Motilal Oswal Securities
norms and the higher base of the previous year. On this disappointing volume growth in the
quarter, we expect sector revenues to grow at 6.2% YoY. However, margin pressures,
particularly for two-wheeler companies will result in the sector EBITDA margin on a YoY
basis declining 130bp to 12%.
Risks to sector growth yet to ease
We believe that the risk to sector growth from rising interest rates (leading to concerns on
demand growth) and high input cost prices (impacting operating performance and leading
to concerns on margins) have remained in place. However, with the crude price showing
an upward trend of late, the prices of petrol and diesel, which saw two successive price
cuts in 2HFY07, could be increased again.
While challenges owing to higher interest rates and volatile input costs remain, the strong
demand pull due to the structural and fundamental factors mentioned earlier is expected to
sustain volume growth momentum in the medium to long term, with EBITDA margins
expected to be stable at FY08E levels. Leaders in the sector have aggressive plans for
new products, models and markets, which should drive volume growth.
29 June 2007
40

Automobiles
PRICES OF KEY INPUTS HAVE STABILIZED AT HIGHER LEVELS…
Aluminium Index
205
170
135
100
65
Rubber Index
Steel Index
Source: LME/Bloomberg/Rubber Board of India/Motilal Oswal Securities
Prices of key input commodities have shown a slight upward trend after the decline from
their peaks. This will maintain the pressure from higher input cost prices.
… 10-YEAR G-SEC YIELD AT HIGH LEVELS …
% Chg in Y ield QoQ
7.5
4.0
0.5
7.1
-3.0
-6.5
6.7
6.9
7.1
7.5
10 Yr G-Sec Yield
8.1
7.6
7.6
7.5
7.0
6.5
8.0
8.2
8.5
8.0
Source: Bloomberg/Motilal Oswal Securities
Interest rates have remained at high levels. This is negative for the demand of autos, since
higher rates would mean higher financing cost.
… WHILE CRUDE PRICES HAVE RISEN AGAIN
78
70
62
54
46
2.7/2.3
International Crude Oil Prices US$/BL
4.0/2.0
-2.0/-1.0
3.2/1.4
-2.0/-1.0
Note: Figures below the circles indicate the absolute increase in petrol/diesel prices
Source: Bloomberg/Motilal Oswal Securities
29 June 2007
41

Automobiles
Crude prices have declined by 9.7% since July 2006, resulting in fuel prices in India falling
as well. However, prices have started rising in the last few months again.
FREIGHT RATES HAVE REMAINED FLAT
Freight Index
180
150
120
90
60
Adj. Diesel Price
Source: TCIL/Motilal Oswal Securities
As a result, sector margins are expected to decline 130bp YoY to 12%. The biggest negative
impact on margins for the sector will be from the two-wheeler sector, whose margins are
expected to decline 250bp on a YoY basis.
SECTOR EBITDA MARGIN (%)
1QFY08
1QFY07
4QFY07
Four-wheeler Companies
Two-wheeler Companies
Auto Component Companies
Auto Sector
11.5
10.6
20.3
12.0
12.7
13.1
20.4
13.3
11.9
10.4
20.3
12.1
Source: Company/Motilal Oswal Securities
Key sector developments
Acquisitions/Demerger
?
M&M has acquired the 43.3% stake of Actis and Burman’ in Punjab Tractors (PTL)
s
in an all-cash deal at Rs360 per share. The deal values the equity portion of the
company at Rs21.9b, implying a cash outflow of Rs9.5b to buy the 43.5% stake. PTL
also owns 14% stake in Swaraj Mazda, 33% stake in Swaraj Engines and 24% stake
in Swaraj Automotives. M&M has made an open offer for an additional 20% of PTL
entailing a cash outflow of Rs4.4b if the offer is fully accepted. M&M has also made
an open offer for 20% of the equity of Swaraj Engines amounting to Rs358m if fully
accepted.
Post-acquisition, M&M’ market share in tractors has increased from ~30% to over
s
40%. The acquisition will help M&M consolidate its position in the northern Indian
markets in general and the states of Punjab and Haryana in particular. M&M will also
acquire Swaraj Engines, a JV with Kirloskar that manufactures engines for tractors
and Swaraj Automobiles that makes auto components and seats for tractors.
29 June 2007
42

Automobiles
?
Amtek Auto has acquired the assets of UK-based JL French’ Witham unit, which
s
manufactures high pressure die casting (HPDC) aluminium mainly for automotive
applications for European companies. This acquisition will help Amtek expand its
customer base, product range and technical capabilities in the aluminium HPDC
segment. The capacity of the plant is 20,000 tonnes and its customers include Ford,
Land Rover, Jaguar, Trellborg, and Peugeot. The acquisition will give Amtek access to
18 high pressure die-casting aluminium lines between 400-1,600 tonnes capable of
generating revenues of up to US$120m. Its current revenues are US$60m on 60%
capacity utilization. We are currently not factoring in revenues and profits from this
acquisition in our estimates.
The cost of acquisition is ~Rs1.5b, which would value the stock at a price/revenue
multiple of 0.67x existing revenues. At full utilization of the plant, the price/revenue
multiple falls to 0.3x (without factoring in the cost of relocating the asset), in line with
the valuations of earlier aluminium foundry acquisitions. This is Amtek’ second asset
s
acquisition in the aluminium foundry space in FY07. Amtek Auto earlier spent Rs1.2b
to acquire a 20,000 tonne capacity and spend an additional Rs0.8b on transfer and
modification of assets. These lines have been transferred to Sanaswadi near Pune
and will commence production by June-end. We expect revenues of Rs4b annually
from this acquisition at full utilization.
?
The Board of Directors of Bajaj Auto approved the scheme for de-merger of the
businesses of the company creating 3 entities (a) Bajaj Auto Ltd (BAL) - auto company
+ Rs15b of cash, (b) Bajaj Finserv Ltd (BFL) - financial services company holding
stake in insurance ventures, consumer finance business and wind power business +
Rs8bn cash, (c) Bajaj Holding & Investments Ltd (BHIL) - holding company with a
30% stake each in the auto and financial services companies + ~Rs60bn cash & cash
equivalents. Each shareholder of Bajaj Auto will be allotted one share of each of
above three companies.
Mahindra Forgings has announced the amalgamation of Mahindra Stokes Holding
Company Ltd., Mahindra Forgings Overseas Ltd. and Mahindra Forgings Mauritius
Ltd. with itself. This will result in Stokes, Jeco, and Schoneweiss & Co. consolidating
under Mahindra Forgings. As a result, the equity capital of Mahindra Forgings will
increase from 28m shares to 68m shares, and the forging capacity of this consolidated
entity to 297,000 tonnes. This consolidation will create a strong forging company with
consolidated sales in the region of Rs20b, with good potential for further growth post
integration of operations.
?
Other details
?
Tata Motors has announced plans to raise US$450m (~Rs18b) via foreign currency
convertible alternative reference securities (CARS) to meet capital and product
development expenditure requirement related to its CV and PV business units. Tata
29 June 2007
43

Automobiles
Motors has lined up capex plans of Rs120b over the next four years, of which Rs80b
will be incurred on cars and CVs. Of the total capex, ~Rs75b will be met through
internal accruals over the next 3 years, while the company is now raising Rs18b through
foreign currency notes.
At the conversion price of Rs960.96, this issue represents a further 4.6% dilution of
the existing diluted equity capital. We believe that the quick implementation of the
decision to raise funds indicates that the management believes that the long-term
demand for the company’ core business of four-wheelers is intact. The current fund-
s
raising will help Tata Motors in its plans to introduce its new cars and UVs, its world
truck program, and to set up the small car plant at Singur.
?
Tata Motors has launched the passenger carrier version of its successful sub-one
tonne LCV Ace. The target audience for this vehicle named Magic will be the
autorickshaw, ambulance, security van etc. segments. Simultaneously launched with
the Magic was the Winger, which is a maxi-van, offering a blend of a car with the
spaciousness of a bus for intra-city and long-distance transportation needs. The
management expects both these launches to complement each other in both the urban
areas as well as rural interiors.
Passenger vehicles: Expect double digit volume growth
The demand for passenger cars in India is likely to grow at a CAGR of 12.7% over FY07-
FY10 driven by changing lifestyles, rapid growth in high income households, vibrant service
sector and rapid improvement in road network. Stable interest rates and higher availability
of finance will also improve the demand outlook.
We remain positive on Maruti’ growth prospects. We expect its volume to grow at 15.7%
s
CAGR over FY07-09; aggressive model launches could result in positive surprises both in
domestic and export markets. After the launch of the diesel powered Swift, MUL has
launched the SX4 to revive its fortunes in the A3 segment. Maruti is expected to maintain
its dominance in the small cars segment and outpace the industry growth therein, while
new launches by other auto companies in a booming economy and upgradation cycle will
see the overall passenger vehicle industry maintaining double digit volume growth rate.
Two-wheelers: Margins under pressure
The motorcycle segment has lost momentum in CY07 due to rising interest costs, tighter
financing norms, and high base effect of the previous year. In April-May 2007, the industry
sales have declined by 5.8%. Hero Honda, Bajaj Auto and TVS Motor have registered
volume declines of 3.6%, 13.3% and 14.7% respectively in 1QFY08. Intense competitive
pressures and sluggish volume growth will adversely impact performance of the two-
wheeler segment.
29 June 2007
44

Automobiles
The market share in motor cycles for the top 3 players in 1QFY08 has witnessed significant
re-alignment, with Hero Honda gaining market share at the expense of Bajaj Auto and
TVS Motors.
MOTOR CYCLES COMPARATIVE MARKET SHARE
65%
50%
1QFY 08
55.5%
50.9%
1QFY 07
34.1%
35%
20%
5%
-10%
Hero Honda
34.8%
10.4%
14.3%
Bajaj Auto
TVS Motor
Source: Company/Motilal Oswal Securities
With a decline in sales volumes and high competitive pressures, EBITDA margins have
come under pressure. Margin pressures have come to the fore on account of aggressive
pricing of entry-level bikes like Platina, price cuts and promotional offers, new launches
resulting in higher development costs and increased adspend and higher raw material
prices. These factors have affected all the 3 two-wheeler majors negatively, as a result,
we have a Neutral view on the two-wheeler sector.
CV industry: Demand slackens
The M&HCV industry growth rate has slackened in 1QFY08 on two main counts – the
high base of the previous year, and more importantly, the higher interest rates on financing,
which has led to a significant increase in the cost of ownership of a vehicle. However, we
believe that these are short-term negatives, and we expect the scenario to improve
significantly in 2HFY08, but input cost pressures will result in stagnant margins in most
segments. However, LCVs driven by the success of the Ace have maintained a robust
growth rate even in FY08.
We remain positive on Tata Motors and Ashok Leyland.
Tractors: Government’ thrust on rural segment is growth driver
s
The tractor industry registered 18.4% growth in FY06, while it has registered 25.6%
growth in 9MFY07. Increased farm credit offtake, focus on agri-driven growth and normal
monsoons have been the demand drivers for tractors. M&M’ performance has been in
s
line with that of the tractor industry during this period, registering 24.7% growth. However,
given the high base of the previous year, we expect the growth rate for tractors to be
significantly lower at 6-9% in FY08.
29 June 2007
45

Automobiles
M&M also has a sizeable presence in USA (with sales of 10,000 units in FY06) and is
gaining a foothold in China via Jiangling Tractor. It has also set up distribution in Australia.
M&M now has a presence in the largest tractor markets in the world. Currently, M&M’
s
exports are at 7.5% of sales and we expect this to improve to 15% over the next 3-4
years.
Valuation and view
After witnessing a rapid surge in auto volumes in FY07 across all segments, volume
growth has turned sluggish in the first quarter of the new fiscal. The growth rate has been
lower on two main counts – the high base of the previous year, and more importantly, the
higher financing interest rates, which has led to a significant increase in the cost of ownership
of a vehicle. Further, stringent financing norms for segments such as two-wheelers and
tractors has led to lower availability of credit as well, leading to these segments
underperforming the auto industry. However, we believe that these are short-term negatives,
and we expect the scenario to improve significantly in 2HFY08, particularly for four-
wheelers, but input cost pressures will result in stagnant margins in most segments. Intense
competitive pressures and sluggish volume growth will adversely impact performance of
the two-wheeler segment.
Our positive view on the four-wheeler sector is based upon structural and fundamental
positives such as the strong growth in economy/industry, policy focus on infrastructure,
increased propensity to spend among the middle and affluent classes, development of
India as a small car manufacturing hub, increasing middle-class population, reduction in
duties, ban on overloading, infrastructure development, aggressive capex plans of most
passenger car manufacturers, and aggressive targets set in the Draft Automotive Mission
Plan 2006-2016.
Valuations continue to be in a comfortable zone for the sector. We reiterate our Overweight
stance on four-wheelers and a Neutral stance on two-wheelers. Our top picks, Maruti
Udyog, M&M and Tata Motors are dominant players in highly consolidated segments,
where the top-two players command more than 50% market share.
29 June 2007
46

Automobiles
PERFORMANCE OF MAJOR PLAYERS IN THE INDUSTRY
HERO HONDA: MONTHLY MARKET SHARE MOVEMENT (MOTORCYCLES)
440,000
330,000
220,000
110,000
0
38
42
40
Units (Nos) - LHS
Market Share (%) - RHS
58
51
42
38
34
36
39
39
41
41
40
42
42 44
37
30
BAJAJ AUTO: MONTHLY MARKET SHARE MOVEMENT
(MOTORCYCLES)
320,000
260,000
200,000
140,000
80,000
Units (Nos) - LHS
Market Share (%) - RHS
40
32
24
16
8
TVS MOTORS: MONTHLY MARKET SHARE MOVEMENT
(MOTORCYCLES)
Motorcycles (Nos) - LHS
180,000
19.0
140,000
100,000
60,000
20,000
17.2 18.4
19.5
21.7
Market Share (%) - RHS
24
19.4 16.4
18.4 16.7
16.4 16.0 16.9 17.7
16.1
18
12
6
0
TATA MOTORS: MONTHLY MARKET SHARE MOVEMENT (PASSENGER CARS)
TTMT Sales (Unit Nos) -LHS
20,000
17,000
14,000
11,000
8,000
14
16
18
17
16
14
13
Market Share (%) -RHS
20
16
13
16
17
16
15
17
14 14
11
8
Source: SIAM/Motilal Oswal Securities
29 June 2007
47

Automobiles
TATA MOTORS: MONTHLY MARKET SHARE MOVEMENT (M&HCV)
Tamo M&HCV Sales
24,000
Market Share (%) - RHS
74
69
18,000
12,000
67
65
64
65
61
63
59
60
63
62
60
59
68
62
56
50
60
6,000
0
ASHOK LEYLAND: MONTHLY MARKET SHARE MOVEMENT (M&HCV)
12,000
9,500
7,000
4,500
27
26
25
ALL (Nos) - LHS
% Market Share - RHS
32
36
32
28
24
30
28
31
31
28
29
27
31
30
22
2,000
20
MARUTI UDYOG: MONTHLY MARKET SHARE MOVEMENT (PASSENGER CARS)
MUL Sales (Unit Nos) -LHS
80,000
56
68,000
51
56,000
44,000
32,000
49
48
49
51
53
54
Market Share (%) -RHS
58
54
54
51
50
45
40
58
53
60
55
Source: SIAM/Motilal Oswal Securities
29 June 2007
48

Automobiles
Stock performance and valuations
STOCK PERFORMANCE (%)
ABSOLUTE PERF
3M
1 YEAR
REL PERF TO SENSEX
3M
1 YEAR
REL PERF TO SECTOR
3M
1 YEAR
Automobiles
Amtek Auto
Ashok Leyland
Bajaj Auto
Bharat Forge
Eicher Motors
Hero Honda
Mahindra & Mahindra
Maruti Udyog
Punjab Tractors
Swaraj Mazda
Tata Motors
TVS Motor
10
-2
-12
-2
43
1
-7
-9
-10
-9
-8
2
39
1
-22
-2
49
-13
16
-7
31
40
-16
-38
-2
-14
-24
-14
30
-12
-19
-21
-23
-21
-20
-10
0
-37
-60
-40
10
-51
-22
-45
-8
2
-54
-76
17
5
-6
4
49
7
-1
-3
-4
-2
-2
9
46
9
-15
6
56
-5
24
1
38
47
-8
-30
RELATIVE PERFORMANCE - 3 MONTH (%)
RELATIVE PERFORMANCE - 1 YEAR (%)
Sensex
120
MOSt Automobiles Index
MOSt Automobiles Index
145
130
Sensex
110
115
100
100
90
Mar-07
Apr-07
May-07
Jun-07
85
Jun-06
Sep-06
Dec-06
Mar-07
Jun-07
CMP (RS)
29.6.07
RECO
FY07E
EPS (RS)
FY08E
FY09E
FY07E
P/E (X)
FY08E
FY09E
FY07E
EV/EBITDA
FY08E
FY09E
FY07E
ROE (%)
FY08E
FY09E
Automo biles
Amtek Auto
Ashok Leyland
Bajaj Auto
Bharat Forge
Eicher Motors
Hero Honda
Mahindra & Mahindra
Maruti Udyog
Punjab Tractors
Swaraj Mazda
Tata Motors
TVS Motor
Sector Aggregate
407
38
2,129
308
353
689
723
743
273
315
670
61
Buy
Buy
Sell
Buy
Neutral
Neutral
Buy
Buy
Neutral
Neutral
Buy
Neutral
24.9
3.2
127.1
12.0
21.8
43.4
55.1
53.9
11.0
15.3
55.0
2.8
31.7
3.6
131.3
16.1
27.2
47.2
66.6
61.5
10.3
17.0
60.4
2.8
36.0
4.1
144.1
19.7
30.8
53.3
77.4
75.0
11.3
19.9
67.3
3.1
16.4
11.7
16.8
25.7
16.2
15.9
13.1
13.8
24.8
20.5
12.2
21.7
15.8
12.8
10.5
16.2
19.2
13.0
14.6
10.8
12.1
26.6
18.5
11.1
21.5
14.5
11.3
9.2
14.8
15.7
11.5
12.9
9.3
9.9
24.2
15.9
10.0
19.7
12.8
9.8
7.0
12.0
14.4
7.5
10.0
13.1
7.5
14.1
11.5
8.5
10.6
9.7
7.4
6.1
11.3
10.8
5.3
8.9
11.4
6.2
14.6
10.6
7.7
10.4
8.4
6.1
5.2
9.5
8.5
4.1
7.6
9.9
4.6
13.4
9.4
6.7
8.3
6.9
22.0
25.7
22.9
18.4
14.8
34.3
24.8
22.6
10.3
21.2
28.8
8.2
24.4
22.3
25.1
20.5
19.9
16.1
30.7
22.7
20.9
9.3
20.6
24.8
7.9
22.3
20.6
24.8
19.6
19.9
15.9
28.9
20.6
20.7
9.7
21.1
23.2
8.1
21.4
29 June 2007
49

Results Preview
SECTOR: AUTOMOBILES
Amtek Auto
STOCK INFO.
BLOOMBERG
BSE Sensex: 14,651 AMTK IN
REUTERS CODE
29 June 2007
Previous Recommendation: Buy
162.6
YEAR
END
NET SALES
(RS M)
PAT
(RS M)
ADJ.EPS
EPS
P/E
(X)
P/BV
(X)
ROE
(%)
ROCE
(%)
EV/
(RS) GROWTH (%)
Buy
Rs407
EV/
SALES EBITDA
S&P CNX: 4,318
AMTK.BO
Equity Shares (m)
52-Week Range
1,6,12 Rel. Perf. (%)
M.Cap. (Rs b)
M.Cap. (US$ b)
438/243
-1/8/0
51.8
1.6
6/07E
6/08E
6/09E
40,438
51,114
57,494
4,045
5,156
5,850
24.9
31.7
36.0
57.7
27.5
13.4
16.4
12.8
11.3
2.4
1.9
1.1
19.9
20.2
18.6
15.8
18.2
18.7
1.4
1.0
1.1
7.6
5.7
6.1
?
?
?
?
?
?
We expect Amtek Auto’ consolidated revenues to grow 51.5% YoY to Rs11.1b in 4QFY07, while the consolidated
s
adj. PAT is expected to grow 57.9% YoY to Rs1.1b.
EBITDA margin is expected to improve 80bp YoY to 18.3% (flat QoQ) driven by higher offshoring from group
companies in US and Europe. EBITDA is expected to increase 58.7% YoY to Rs2b.
Amtek Auto’ subsidiaries - Benda Amtek and Amtek Siccardi are expected to continue to contribute to topline
s
growth, while margin improvement at Ahmednagar Forgings will help improve the consolidated EBITDA margin.
We expect Amtek Auto to report net sales of Rs40.4b in FY07 (+45.9%), and adjusted PAT of Rs4b (+57.7%).
Amtek Auto has acquired the assets of UK-based JL French’ Witham unit, which manufactures high pressure die
s
casting (HPDC) aluminium mainly for automotive applications for European companies. This is Amtek’ second
s
asset acquisition in the aluminium foundry space in FY07.
The stock trades at 12.8x FY08E consolidated EPS of Rs31.7 and 11.3x FY09E EPS of Rs36. Maintain
Buy.
(RS MILLION)
FY06
1Q
2Q
3Q
4Q
1Q
2Q
FY07
3Q
4QE
FY06
FY07E
QUARTERLY PERFORMANCE
Y/E JUNE
Net Sales
Change (%)
Total Cost
EBITDA
As % of Sales
Change (%)
Other Income
Interest
Depreciation
PBT
Tax
Effective Tax Rate (%)
PAT
Minority Interest
Adj. PAT
Change (%)
E: MOSt Estimates
6,061
38.2
5,015
1,047
17.3
43.2
59
122
253
731
139
19.0
592
46
546
50.3
6,922
52.6
5,678
1,244
18.0
92.6
39
141
266
876
185
21.1
691
67
624
98.6
7,420
56.5
6,077
1,343
18.1
91.0
46
114
276
999
225
22.5
774
76
698
84.6
7,319
62.2
6,041
1,278
17.5
74.4
65
137
296
909
187
20.6
721
13
708
75.5
8,877
46.5
7,275
1,602
18.0
53.0
151
171
330
1,252
293
23.4
959
87
872
59.8
9,667
39.7
7,890
1,777
18.4
42.8
178
199
339
1,417
343
24.2
1,074
103
971
55.7
10,805
45.6
8,812
1,994
18.4
48.4
203
211
368
1,618
409
25.3
1,209
125
1,085
55.4
11,088
51.5
9,060
2,028
18.3
58.7
218
216
374
1,656
411
24.8
1,245
127
1,118
57.9
27,711
52.5
22,811
4,900
17.7
74.2
209
514
1,091
3,503
736
21.0
2,767
202
2,565
73.9
40,438
45.9
33,038
7,400
18.3
51.0
750
797
1,410
5,944
1,456
24.5
4,487
442
4,045
57.7
Amit Kasat (AKasat@MotilalOswal.com);Tel:+91 22 3982 5411/ Rohan A Korde (RohanKorde@MotilalOswal.com); Tel: + 91 22 3982 5414
29 June 2007
50

Results Preview
SECTOR: AUTOMOBILES
Ashok Leyland
STOCK INFO.
BLOOMBERG
BSE Sensex: 14,651 AL IN
REUTERS CODE
29 June 2007
Previous Recommendation: Buy
YEAR
END
NET SALES
(RS M)
PAT
(RS M)
ADJ.EPS
EPS
P/E
(X)
P/BV
(X)
ROE
(%)
ROCE
(%)
EV/
Buy
Rs38
EV/
SALES EBITDA
(RS) GROWTH (%)
S&P CNX: 4,318
ASOK.BO
Equity Shares (m)
52-Week Range
1,6,12 Rel. Perf. (%)
M.Cap. (Rs b)
M.Cap. (US$ b)
1,323.9
51/31
0/-23/-37
50.0
1.2
3/07A
3/08E
3/09E
71,682
82,698
91,804
4,276
4,787
5,421
3.2
3.6
4.1
30.5
12.0
13.2
11.7
10.5
9.2
3.0
2.6
2.3
26.5
25.1
24.8
23.5
20.1
19.0
0.7
0.6
0.5
7.0
6.1
5.2
?
?
?
?
?
Ashok Leyland is likely to report 9.3% growth in vehicle volumes in 1QFY08, resulting in sales growth of 12.6% to
Rs16b. Sales growth would be higher than volume growth, as the company’ product mix is shifting toward higher
s
tonnage vehicles. For FY08, we expect Ashok Leyland to register volume growth of 12.5% to 93,489 units.
Volume growth in the CV goods segment has slowed in 1QFY08 due to higher interest rates impacting demand.
However, demand from the bus segment is strong, and will help ALL sustain growth momentum.
In 1QFY08, we expect EBITDA margin to be flat on a YoY basis at 8.5%, resulting in EBITDA of Rs1.4b (growth
of 12.3% YoY).
We expect Ashok Leyland to register growth of 12.5% in FY08 and 9% in FY09. Its focus on non-cyclical businesses
such as passenger buses, sale of spare parts, supply to defense and exports would cushion domestic business cyclicality
in the long term. ALL’ acquisition of Detroit-based testing services firm Defiance for US$17m, will complement
s
ALL’ design and engineering services division and help the segment target value-added business.
s
The stock trades at 10.5x FY08E EPS of Rs3.6 and 9.2x FY09E EPS of Rs4.1. We maintain our
Buy
recommendation.
(RS MILLION)
FY07
1Q
2Q
3Q
4Q
1Q
2Q
FY08E
3Q
4Q
FY07
FY08E
QUARTERLY PERFORMANCE
Y/E MARCH
Total Volumes (nos)
Net Sales
Change (%)
Total Cost
EBITDA
As a % of Sales
Change (%)
Non-Operating Income
Interest
Gross Profit
Less: Depreciation
PBT
Tax
Effective Tax Rate (%)
Adj. PAT (before EO)
Change (%)
Extraordinary Income
Extraordinary Loss
Rep. PAT
Change (%)
E: MOSt Estimates
17,067
14,239
33.9
13,026
1,213
8.5
41.4
139
5
1,346
328
1,019
262
25.7
756
126.1
0
65
692
7.5
19,836
16,757
34.0
15,437
1,320
7.9
10.3
99
4
1,415
365
1,050
334
31.8
716
-10.7
268
31
954
27.1
20,068
17,776
47.8
15,907
1,869
10.5
61.0
64
26
1,907
332
1,574
463
29.4
1,112
96.5
0
59
1,053
93.1
26,130
22,910
32.3
20,314
2,596
11.3
20.6
169
19
2,746
481
2,264
573
25.3
1,692
28.0
54
30
1,715
28.5
18,653
16,029
12.6
14,666
1,362
8.5
12.3
145
18
1,489
400
1,089
289
26.5
801
5.9
0
0
801
15.7
22,000
18,864
12.6
17,298
1,566
8.3
18.6
100
18
1,648
435
1,213
352
29.0
861
20.2
0
0
861
-9.7
23,250
20,903
17.6
18,876
2,028
9.7
8.5
80
20
2,088
450
1,638
459
28.0
1,179
6.1
0
0
1,179
12.0
29,586
26,902
17.4
23,794
3,107
11.6
19.7
160
20
3,247
489
2,758
811
29.4
1,946
15.1
0
0
1,946
13.5
83,101
71,682
36.6
64,685
6,997
9.8
30.3
470
53
7,414
1,506
5,908
1,632
27.6
4,276
41.4
322
185
4,413
34.8
93,489
82,698
15.4
74,635
8,063
9.8
15.2
485
76
8,472
1,774
6,697
1,910
28.5
4,787
12.0
0
0
4,787
8.5
Amit Kasat (AKasat@MotilalOswal.com);Tel:+91 22 3982 5411/ Rohan A Korde (RohanKorde@MotilalOswal.com); Tel: + 91 22 3982 5414
29 June 2007
51

Results Preview
SECTOR: AUTOMOBILES
Bajaj Auto
STOCK INFO.
BLOOMBERG
REUTERS CODE
BSE Sensex: 14,651 BJA IN
S&P CNX: 4,318
BJAT.BO
29 June 2007
Previous Recommendation: Sell
Sell
Rs2,129
EPS
P/E
(X)
P/BV
(X)
ROE
(%)
ROCE
(%)
EV/
EV/
SALES EBITDA
EPS
(RS M)
(RS) GROWTH (%)
Equity Shares (m)
52-Week Range
1,6,12 Rel. Perf. (%)
M.Cap. (Rs b)
M.Cap. (US$ b)
101.2
3,175/2,063
-5/-25/-60
215.4
5.3
YEAR
END
NET SALES ADJ. PAT
(RS M)
3/07A
3/08E
3/09E
95,204
100,460
110,972
12,857
13,283
14,583
127.1
131.3
144.1
14.5
3.3
9.8
16.8
16.2
14.8
3.8
3.3
2.9
22.9
20.5
19.6
24.9
22.9
22.5
1.8
1.6
1.4
12.0
11.3
9.5
?
Total volumes of Bajaj Auto have declined by 11.7% in 1QFY08, making it the second successive weak quarter in
terms of volume growth for the company. Motorcycles have registered 13.1% YoY decline in volumes during 1Q,
while three-wheelers volumes have increased by merely 0.7%.
?
We expect sales to decrease by 13.1% to Rs19.1b in 1QFY08. Despite higher contribution of three-wheelers to the
product mix (12.5% v/s 11% in 1QFY07), we expect EBITDA margin to dip by 240bp YoY%. Margins are expected
to be impacted on account of advertising and promotional offers, intense competition, and lower growth in three-
wheeler sales. We expect EBITDA of Rs2.7b (-25.7% YoY) and adj. PAT of Rs2.3b (-15.5% YoY).
?
The new plant at Pantnagar in Uttarakhand commenced commercial production in April 2007, where Platina production
is now being shifted. The new motorcycle platform based on Bajaj’ DTS-I technology is scheduled for launch in
s
2QFY08, and will have an initial capacity of 50,000 per month.
?
We maintain our
Sell
rating following disappointment in the demerger announcement, lower insurance valuation and
competitive pressures, triggering the possibility of further downgrades in earnings estimates as well as valuations.
The stock trades at valuations of 16.2x FY08E and 14.8x FY09E EPS of Rs131.3 and Rs144.1 respectively.
QUARTERLY PERFORMANCE
Y/E MARCH
1Q
2Q
FY07
3Q
4Q
1Q
2Q
FY08E
3Q
4Q
FY07
(RS MILLION)
FY08E
Total Volumes (nos)
Net Sales
Change (%)
Total Cost
EBITDA
As % of Sales
Change (%)
Other Income
Interest
Depreciation
PBT
Tax
Effective Tax Rate (%)
Adj. PAT
Change (%)
Extraordinary Expenses
Extraordinary Income
PAT
Change (%)
E: MOSt Estimates
647,086
22,027
34.8
18,420
3,607
16.4
40.1
946
7
481
4,064
1,300
32.0
2,764
32.2
104
-
2,660
27.3
708,125
24,360
30.5
20,708
3,652
15.0
15.7
1,424
20
492
4,564
1,250
27.4
3,314
14.0
139
-
3,176
9.2
738,219
25,682
28.4
22,046
3,636
14.2
1.5
1,609
2
472
4,771
1,200
25.2
3,571
22.8
123
4
3,452
23.3
625,346
23,136
6.8
19,873
3,263
14.1
-23.2
1,577
24
458
4,358
1,151
26.4
3,208
-3.9
125
0
3,083
-4.2
571,113
19,149
-13.1
16,468
2,681
14.0
-25.7
1,040
20
480
3,221
886
27.5
2,335
-15.5
-
-
2,335
-12.2
689,900
23,436
-3.8
20,132
3,304
14.1
-9.5
1,709
16
500
4,498
1,237
27.5
3,261
-1.6
-
-
3,261
2.7
832,950
29,050
13.1
24,969
4,082
14.1
12.2
1,770
10
520
5,322
1,463
27.5
3,858
8.0
-
-
3,858
11.8
776,620
28,824
24.6
24,678
4,147
14.4
27.1
1,696
7
555
5,281
1,452
27.5
3,828
19.4
-
-
3,828
24.2
2,718,776 2,870,583
95,204
24.2
81,046
14,158
14.9
4.4
5,556
53
1,903
17,758
4,901
27.6
12,857
14.4
490
4
12,371
12.3
100,460
5.5
86,246
14,214
14.1
0.4
6,216
53
2,055
18,321
5,038
27.5
13,283
3.3
-
-
13,283
7.4
Amit Kasat (AKasat@MotilalOswal.com);Tel:+91 22 3982 5411/ Rohan A Korde (RohanKorde@MotilalOswal.com); Tel: + 91 22 3982 5414
29 June 2007
52

Results Preview
SECTOR: AUTOMOBILES
Bharat Forge
STOCK INFO.
BLOOMBERG
REUTERS CODE
BSE Sensex: 14,651 BHFC IN
S&P CNX: 4,318
BFRG.BO
29 June 2007
Previous Recommendation: Buy
Buy
Rs308
CON.
EPS (RS)
P/E
(X)
CON.
P/E (X)
ROE
(%)
ROCE
(%)
EV/
EV/
SALES EBITDA
PAT
(RS M)
EPS
(RS)
Equity Shares (m)
52-Week Range
1,6,12 Rel. Perf. (%)
M.Cap. (Rs b)
M.Cap. (US$ b)
237.3
396/271
-5/-21/-40
73.2
1.8
YEAR
END
NET SALES
(RS M)
3/07A
3/08E
3/09E
18,644
23,878
28,705
2,533
3,274
3,955
10.0
12.9
15.6
12.0
16.1
19.7
30.6
23.9
19.8
25.5
19.2
15.7
17.5
19.9
19.9
15.8
18.0
18.9
3.4
2.6
2.0
13.3
10.1
7.8
?
?
?
?
?
We expect Bharat Forge to post sales growth of 22.5% in 1QFY08 to Rs5.2b, driven by 24% increase in domestic
sales and 20% increase in exports. Completion in ramp-up of capacities will help accelerate sales growth.
We expect the company to report 17.6% growth in EBITDA to Rs1.3b, with EBITDA margin declining 100bp YoY
to 24.5%. We estimate PAT at Rs694m (up 12.6%) for 1QFY08.
The company plans capex of Rs3.5b for its non-automotive business ventures — aerospace, oil and gas exploration,
energy, railways and locomotives, marine activities, infrastructure, solar, wind, thermal power equipment etc. Entry
into the non-automotive space will further de-risk BFL’ business model and this segment is expected to contribute up
s
to 35-40% of global revenues by FY11 (17% in FY07 and 25% in FY09).
BFL’ global subsidiaries operate at a blended margin of close to 10%. The company plans to enhance margins by
s
achieving higher capacity utilization and introducing value-added products.
We remain positive on Bharat Forge’ ‘
s dual shore’model and management’ global vision. We estimate consolidated
s
EPS at Rs16.1 for FY08 and Rs19.7 for FY09. The stock trades at 19.2x FY08E and 15.7x FY09E consolidated
EPS. Maintain
Buy.
(RS MILLION)
FY07
1Q
2Q
3Q
4Q
1Q
2Q
FY08E
3Q
4Q
FY07
FY08E
QUARTERLY PERFORMANCE (STANDALONE)
Y/E MARCH
Net Sales
Change (%)
Total Expenses
EBITDA
As % of Sales
Change (%)
Other Income
Interest
Depreciation
Extraordinary Expenses
PBT
Tax
Effective Tax Rate (%)
PAT
Adj. PAT
Change (%)
4,206
15.7
3,132
1,073
25.5
23.3
233
176
229
101
800
285
35.6
515
616
29.9
4,507
19.7
3,330
1,177
26.1
21.1
192
197
250
0
922
301
32.6
622
622
20.1
4,771
19.5
3,532
1,239
26.0
25.6
162
215
253
22
911
281
30.9
630
652
22.4
5,161
17.7
3,917
1,243
24.1
18.1
222
234
267
0
965
322
33.4
643
643
21.3
5,152
22.5
3,889
1,262
24.5
17.6
215
177
260
0
1,040
346
33.3
694
694
12.6
5,840
29.6
4,351
1,489
25.5
26.6
180
198
262
0
1,209
403
33.3
807
807
29.7
6,185
29.6
4,577
1,608
26.0
29.8
150
216
263
0
1,279
426
33.3
853
853
35.5
6,701
29.8
5,001
1,700
25.4
36.7
183
236
266
0
1,380
460
33.3
921
921
43.2
18,644
18.2
13,912
4,732
25.4
21.9
809
821
998
124
3,598
1,189
33.0
2,409
2,533
23.3
23,878
28.1
17,819
6,059
25.4
28.0
728
827
1,051
0
4,909
1,635
33.3
3,274
3,274
29.3
E: MOSt Estimates; quarter numbers are for standalone company.
Amit Kasat (AKasat@MotilalOswal.com);Tel:+91 22 3982 5411/ Rohan A Korde (RohanKorde@MotilalOswal.com); Tel: + 91 22 3982 5414
29 June 2007
53

Results Preview
SECTOR: AUTOMOBILES
Eicher Motors
STOCK INFO.
BLOOMBERG
REUTERS CODE
BSE Sensex: 14,651 EIM IN
S&P CNX: 4,318
EICH.BO
29 June 2007
Previous Recommendation: Neutral
Neutral
Rs353
P/E
(X)
P/BV
(X)
ROE
(%)
ROCE
(%)
EV/
EV/
SALES EBITDA
PAT
(RS M)
EPS
EPS
(RS) GROWTH (%)
Equity Shares (m)
52-Week Range
1,6,12 Rel. Perf. (%)
M.Cap. (Rs b)
M.Cap. (US$ b)
28.1
416/203
-2/-9/10
9.9
0.2
YEAR
END
NET SALES
(RS M)
3/07A
3/08E
3/09E
19,525
21,566
24,046
613
764
866
21.8
27.2
30.8
21.6
24.6
13.4
16.2
13.0
11.5
2.4
2.1
1.8
14.8
16.1
15.9
16.0
17.7
18.0
0.4
0.3
0.3
7.5
5.3
4.1
?
?
?
?
?
We expect Eicher Motors’CV volumes to grow 5% in 1QFY08 and 9.7% in FY08, led by the passenger and LCV
goods segments.
Eicher should report sales of Rs4.1b for the quarter, resulting in EBITDA of Rs213m and PAT of Rs106m. For FY08,
we expect sales of Rs21.6b and PAT of Rs764m (24.6% growth).
Management has decided not to transfer the motorcycle business to a subsidiary as was initially planned, due to its
being unable to find a suitable JV partner.
Eicher Motors is a small player in the CV industry and faces margin pressures. However, initiatives such as restructuring,
new model launches in high growth segments, attempts to improve realizations and reduce costs, will help counter the
margin pressures.
The company enjoys good customer recall for its products. While growth may get capped on account of its limited
geographical reach and distribution and service network, it is attempting to resolve this issue by expanding its marketing
and distribution network. We maintain our
Neutral
recommendation.
(RS MILLION)
FY07
1Q
2Q
3Q
4Q
1Q
2Q
FY08E
3Q
4Q
FY07
FY08E
QUARTERLY PERFORMANCE
Y/E MARCH
Total Volumes (nos)
Net Sales
Change (%)
Total Expenses
EBITDA
As a % of Sales
Change (%)
Non-operating Income
Interest
Gross Profit
Less: Depreciation
PBT
Tax
Effective Tax Rate (%)
PAT
Adjusted PAT
Change (%)
E: MOSt Estimates
5,365
3,831
-1.2
3,649
183
4.8
83.9
73
34
221
98
123
39
31.7
84
84
2,238.9
6,546
4,565
29.3
4,301
263
5.8
1293.7
73
31
305
99
206
65
31.3
142
142
N.A.
7,096
4,938
26.6
4,612
326
6.6
87.3
52
32
346
102
244
66
27.0
178
178
-39.6
9,065
6,191
20.3
5,807
384
6.2
7.3
70
41
413
107
306
97
31.8
209
209
-25.5
5,633
4,063
6.1
3,850
213
5.2
16.7
73
34
252
101
151
45
30.0
106
106
25.4
7,070
4,979
9.1
4,670
309
6.2
17.2
73
31
351
103
248
74
30.0
173
173
22.2
8,160
5,736
16.2
5,351
384
6.7
17.7
52
32
403
107
296
89
30.0
207
207
16.6
9,937
6,788
9.7
6,286
503
7.4
31.0
65
41
526
125
401
124
30.8
277
277
32.9
28,072
19,525
18.7
18,369
1,156
5.9
78.4
267
138
1,285
405
880
267
30.3
613
613
21.8
30,800
21,566
10.5
20,157
1,409
6.5
21.8
262
138
1,532
436
1,096
332
30.3
764
764
24.6
Amit Kasat (AKasat@MotilalOswal.com);Tel:+91 22 3982 5411/ Rohan A Korde (RohanKorde@MotilalOswal.com); Tel: + 91 22 3982 5414
29 June 2007
54

Results Preview
SECTOR: AUTOMOBILES
Hero Honda
STOCK INFO.
BLOOMBERG
REUTERS CODE
BSE Sensex: 14,651 HH IN
S&P CNX: 4,318
HROH.BO
29 June 2007
Previous Recommendation: Neutral
Neutral
Rs689
P/E
(X)
P/BV
(X)
ROE
(%)
ROCE
(%)
EV/
EV/
SALES EBITDA
PAT
(RS M)
EPS
EPS
(RS) GROWTH (%)
Equity Shares (m)
52-Week Range
1,6,12 Rel. Perf. (%)
M.Cap. (Rs b)
M.Cap. (US$ b)
199.7
809/565
-3/-16/-51
137.6
3.4
YEAR
END
NET SALES
(RS M)
3/07A
3/08E
3/09E
99,000
106,991
118,762
8,659
9,417
10,647
43.4
47.2
53.3
-10.9
8.8
13.1
15.9
14.6
12.9
5.4
4.5
3.7
37.8
33.6
31.5
47.8
42.6
39.5
1.2
1.1
0.9
10.0
8.9
7.6
?
?
?
?
?
Hero Honda’ total volumes have decreased by 3.6% YoY in 1QFY08, but nevertheless it has outperformed the other
s
major two-wheeler players Bajaj Auto and TVS Motors, which have registered a +10% YoY decline in volumes. For
FY08, we expect the company to post total two-wheeler sales of 3.5m units (6.3% growth).
We expect net sales to decrease by 1.7% YoY to Rs23.3b, while operating margins for the quarter are expected to
decline by 150bp YoY to 11%, resulting in EBITDA of Rs2.5b. We estimate PAT at Rs2b, a 17.4% YoY decline. New
product launches involving higher advertising costs, aggressive promotional offers and discounts and higher channel
inventory will continue to squeeze margins.
Hero Honda has adopted an aggressive new model launch strategy; new launches in FY07 included CBZ X-treme,
new Karizma, Glamour variant with alloy wheels, CD Delux and CD Dawn with new engines, Glamour FI etc. Its
venture into scooters has scaled up rapidly, and scooter sales constituted 2.8% of Hero Honda’ two-wheeler sales
s
in FY07.
The new plant in Uttaranchal with a capacity of 0.5m units is expected to be completed by mid-FY08 but production
is likely to commence in the next fiscal. This will help Hero Honda avail tax benefits.
We expect volume growth of 6.3% in FY08 and 8.4% in FY09; volumes are expected to pick up in 2HFY08. The
stock trades at 14.6x FY08E EPS of Rs47.2 and 12.9x FY09E EPS of Rs53.3. We maintain
Neutral.
(RS MILLION)
FY07
1Q
2Q
3Q
4Q
1Q
2Q
FY08E
3Q
4Q
FY07
FY08E
QUARTERLY PERFORMANCE
Y/E MARCH
Total Volumes (nos)
Net Sales
Change (%)
Total Cost
EBITDA
As % of Sales
Change (%)
Other Income
Interest
Depreciation
Extraordinary Expense
PBT
Tax
Effective Tax Rate (%)
PAT
Adj. PAT
Change (%)
E: MOSt Estimates
832,692
23,644
19.6
20,454
3,190
13.5
9.1
523
-33
323
0
3,423
1,045
30.5
2,377
2,377
16.6
751,967
22,300
2.9
19,465
2,835
12.7
-15.0
595
-65
344
0
3,151
991
31.5
2,160
2,160
-9.2
896,113
26,661
15.2
23,641
3,019
11.3
-20.1
336
-55
376
0
3,034
943
31.1
2,092
2,092
-20.1
855,984
26,396
17.0
23,629
2,767
10.5
-23.3
445
-77
355
80
2,854
904
31.7
1,950
2,030
-24.2
802,853
23,252
-1.7
20,706
2,546
11.0
-20.2
575
-60
375
0
2,806
842
30.0
1,964
1,964
-17.4
865,000
26,165
17.3
23,103
3,061
11.7
8.0
654
-60
400
0
3,376
1,013
30.0
2,363
2,363
9.4
935,500
27,971
4.9
24,601
3,371
12.1
11.6
380
-60
440
0
3,371
1,011
30.0
2,359
2,359
12.8
941,976
29,602
12.1
25,741
3,861
13.0
39.6
484
-50
494
0
3,901
1,170
30.0
2,730
2,730
34.5
3,336,756 3,545,329
99,000
13.6
87,189
11,810
11.9
-13.4
1,899
-230
1,398
80
12,461
3,882
31.2
8,579
8,659
-10.9
106,991
8.1
94,152
12,839
12.0
8.7
2,093
-230
1,709
0
13,453
4,036
30.0
9,417
9,417
8.8
Amit Kasat (AKasat@MotilalOswal.com);Tel:+91 22 3982 5411/ Rohan A Korde (RohanKorde@MotilalOswal.com); Tel: + 91 22 3982 5414
29 June 2007
55

Results Preview
SECTOR: AUTOMOBILES
Mahindra & Mahindra
STOCK INFO.
BLOOMBERG
REUTERS CODE
BSE Sensex: 14,651 MM IN
S&P CNX: 4,318
MAHM.BO
29 June 2007
Previous Recommendation: Buy
YEAR
END
NET SALES
(RS M)
PAT
(RS M)
EPS
(RS)
CON.
EPS (RS)
P/E
(X)
CON.
P/E (X)
ROE
(%)
ROCE
(%)
EV/
Buy
Rs723
EV/
SALES EBITDA
Dil. Equity Shares (m)
52-Week Range
1,6,12 Rel. Perf. (%)
M.Cap. (Rs b)
M.Cap. (US$ b)
255.9
1,002/495
-5/-26/-22
185.0
4.5
3/07A
3/08E
3/09E
99,874
111,280
123,231
9,198
10,026
10,551
35.9
39.2
41.2
55.1
66.6
77.4
20.1
18.5
17.5
13.1
10.8
9.3
24.8
22.7
20.6
24.5
23.2
22.4
1.4
1.2
1.1
11.7
10.2
8.8
?
?
?
?
?
?
M&M has reported overall volume growth of 13.6% for 1QFY08 (excluding Logan), driven by strong growth in
LCVs (+38.9% YoY), UVs (+26.6% YoY) and three-wheelers (+11.5% YoY). Tractor sales were marginally negative
on account of the high base of the previous year.
Net sales for the quarter should grow by 14% YoY to Rs25.3b. We expect margins to improve by 10bp YoY and QoQ
to 11.4%, resulting in 14.7% growth in EBITDA to Rs2.9b, and an adjusted PAT of Rs2.2b, a growth of 20.3% YoY.
In FY08, we expect M&M to deliver 11.4% net sales growth to Rs111.3b with corresponding net profit growth of 9%
to Rs10b.
M&M’ new JV with Renault has launched the sedan ‘
s
Logan’ in selective cities, and has witnessed a favorable
response initially.
Acquisition of a majority stake in PTL has increased M&M’ tractor share by nearly 10% to ~40%, and offers a
s
long-term positive in terms of added capacity, diverse portfolio, popular brand and strong dealer network in the north.
M&M continues to enjoy market leadership in both utility vehicles and tractors, but trades at a discount to most peers
at 10.8x FY08E and 9.3x FY09E consolidated earnings of Rs66.6 and Rs77.4 respectively. We maintain
Buy.
(RS MILLION)
FY07
1Q
2Q
3Q
4Q
1Q
2Q
FY08E
3Q
4Q
FY07
FY08E
QUARTERLY PERFORMANCE
Y/E MARCH
Total Volumes (nos)
Total Income
Change (%)
Total Cost
EBITDA
As % of Sales
Change (%)
Non-Operating Income
Extraordinary Income
Extraordinary Expense
Interest
Gross Profit
Less: Depreciation
PBT
Tax
Effective Tax Rate (%)
PAT
Change (%)
Adj PAT
Change (%)
E: MOSt Estimates
62,417
22,172
22.4
19,660
2,512
11.3
30.2
454
190
15
-147
3,288
463
2,825
784
27.7
2,042
40.6
1,867
27.2
66,649
24,501
28.0
21,209
3,292
13.4
50.9
478
1,393
0
-155
5,318
501
4,817
952
19.8
3,865
145.9
2,472
55.8
73,971
25,761
17.8
22,664
3,096
12.0
17.5
412
0
6
-168
3,670
522
3,148
731
23.2
2,417
3.5
2,423
35.3
77,720
27,439
23.2
24,340
3,099
11.3
46.3
354
116
192
-205
3,582
609
2,973
613
20.6
2,360
-26.5
2,436
49.0
70,915
25,267
14.0
22,386
2,880
11.4
14.7
477
0
0
-140
3,498
580
2,918
671
23.0
2,247
10.0
2,247
20.3
74,100
27,513
12.3
24,156
3,357
12.2
2.0
521
0
0
-120
3,998
600
3,398
781
23.0
2,616
-32.3
2,616
5.8
82,275
28,853
12.0
25,376
3,477
12.1
12.3
433
0
0
-90
4,000
640
3,360
773
23.0
2,587
7.0
2,587
6.8
82,966
29,647
8.0
26,065
3,582
12.1
15.6
381
0
0
-55
4,019
672
3,346
770
23.0
2,577
9.2
2,577
5.8
280,766
99,874
22.7
87,874
12,000
12.0
35.4
1,698
1,699
213
-675
15,859
2,096
13,763
3,079
22.4
10,684
24.7
9,198
42.0
310,256
111,280
11.4
97,983
13,296
11.9
10.8
1,813
0
0
-405
15,514
2,492
13,021
2,995
23.0
10,026
-6.2
10,026
9.0
Amit Kasat (AKasat@MotilalOswal.com);Tel:+91 22 3982 5411/ Rohan A Korde (RohanKorde@MotilalOswal.com); Tel: + 91 22 3982 5414
29 June 2007
56

Results Preview
SECTOR: AUTOMOBILES
Maruti Udyog
STOCK INFO.
BLOOMBERG
REUTERS CODE
BSE Sensex: 14,651 MUL IN
S&P CNX: 4,318
MRTI.BO
29 June 2007
Previous Recommendation: Buy
Buy
Rs743
EPS
P/E
(X)
P/BV
(X)
ROE
(%)
ROCE
(%)
EV/
EV/
SALES EBITDA
PAT
(RS M)
EPS
(RS) GROWTH (%)
Equity Shares (m)
52-Week Range
1,6/12 Rel. Perf. (%)
M.Cap. (Rs b)
M.Cap. (US$ b)
289.0
991/691
-9/-26/45
214.8
5.3
YEAR
END
NET SALES
(RS M)
3/07A 149,664
3/08E
3/09E
178,214
211,827
15,575
17,781
21,686
53.9
61.5
75.0
28.5
14.2
22.0
13.8
12.1
9.9
3.1
2.5
2.1
22.7
20.9
20.7
32.8
30.5
30.5
1.2
0.9
0.7
7.5
6.2
4.6
?
?
?
?
?
?
Maruti’ volumes have increased by 17.1% in 1QFY08 with favorable performance in the A2 segment, and the
s
launch of the SX4 boosting A3 segment sales.
Sales for the quarter should grow by 18.8% to Rs37.1b. We expect a 140bp YoY decline in the EBITDA margin to
14.8% on account of consolidation of subsidiary performance with the parent company. Margins are expected to
remain in the same range for the next 2 years, until the new plant achieves optimal production levels.
As a result, we expect EBITDA of Rs5.6b (+8.2% YoY) and PAT of Rs4b (+7.4% YoY)
Maruti’ debut in the diesel car segment, launch of Zen Estilo and SX4 will help increase market share. We expect
s
volumes to grow by 16.9% in FY08 and 16% in FY09.
The company has an investment outlay of Rs90b for various projects spread over four years.
We remain extremely positive on Maruti’ growth prospects. We forecast strong volume growth over the next two
s
years and estimate EPS at Rs61.5 for FY08 and Rs75 for FY09. The stock trades at 12.1x FY08E and 9.9x FY09E
earnings. We maintain
Buy.
(RS MILLION)
FY07
1Q
2Q
3Q
4Q
1Q
2Q
FY08E
3Q
4Q
FY07
FY08E
QUARTERLY PERFORMANCE
Y/E MARCH
Total Volumes (nos)
Net Sales
Change (%)
Other Operating Income
Total Cost
EBITDA
As % of Sales
Change (%)
Non-Operating Income
Extraordinary Income
Extraordinary Expense
Interest
Gross Profit
Less: Depreciation
PBT
Tax
Effective Tax Rate (%)
PAT
Adjusted PAT
Change (%)
E: MOSt Estimates
144,948
31,255
19.0
602
26,689
5,168
16.2
42.0
831
0
0
33
5,967
641
5,326
1,630
30.6
3,696
3,696
63.2
157,683
34,192
12.5
612
29,376
5,428
15.6
37.5
605
0
60
31
5,942
596
5,346
1,672
31.3
3,674
3,713
49.7
172,181
36,795
18.2
783
31,723
5,855
15.6
15.1
372
129
0
157
6,199
759
5,440
1,676
30.8
3,764
3,680
8.6
200,112
44,298
34.0
1,127
38,787
6,638
14.6
20.6
922
0
0
156
7,404
718
6,686
2,201
32.9
4,486
4,486
12.6
169,669
37,134
18.8
662
32,202
5,594
14.8
8.2
956
0
0
140
6,410
740
5,670
1,701
30.0
3,969
3,969
7.4
190,200
42,068
23.0
673
36,373
6,368
14.9
17.3
696
0
0
120
6,944
780
6,164
1,880
30.5
4,284
4,284
15.4
207,000
45,209
22.9
862
39,252
6,818
14.8
16.5
427
0
0
90
7,156
820
6,336
2,027
32.0
4,308
4,308
17.1
222,006
50,366
13.7
1,240
43,948
7,659
14.8
15.4
1,057
0
0
62
8,653
865
7,789
2,568
33.0
5,220
5,220
16.4
674,924
146,539
21.2
3,125
126,575
23,089
15.4
27.0
2,730
129
60
376
25,512
2,714
22,798
7,179
31.5
15,620
15,575
31.4
788,875
174,776
19.3
3,437
151,775
26,439
14.8
14.5
3,136
0
0
412
29,163
3,205
25,958
8,177
31.5
17,781
17,781
14.2
Amit Kasat (AKasat@MotilalOswal.com);Tel:+91 22 3982 5411/ Rohan A Korde (RohanKorde@MotilalOswal.com); Tel: + 91 22 3982 5414
29 June 2007
57

Results Preview
SECTOR: AUTOMOBILES
Punjab Tractors
STOCK INFO.
BLOOMBERG
REUTERS CODE
BSE Sensex: 14,651 PJT IN
S&P CNX: 4,318
PTRA.BO
29 June 2007
Previous Recommendation: Neutral
Neutral
Rs273
P/E
(X)
P/BV
(X)
ROE
(%)
ROCE
(%)
EV/
EV/
SALES EBITDA
PAT
(RS M)
EPS
EPS
(RS) GROWTH (%)
Equity Shares (m)
52-Week Range
1,6,12 Rel. Perf. (%)
M.Cap. (Rs b)
M.Cap. (US$ b)
60.8
359/198
-15/3/-8
16.6
0.4
YEAR
END
NET SALES
(RS M)
3/07A
3/08E
3/09E
9,503
10,153
11,008
669
625
685
11.0
10.3
11.3
-7.5
-6.6
9.6
24.8
26.6
24.2
2.6
2.5
2.3
10.3
9.3
9.7
14.4
12.9
13.4
1.6
1.5
1.4
14.1
14.6
13.4
?
?
?
?
?
For 1QFY08, we expect Punjab Tractors to post a volume decline of 8.4%. The company has been lagging behind the
industry growth rate and has lost market share to its competitors due to its absence in the fast growing 41-50HP
segment.
We estimate sales for the quarter at Rs2.3b (-6.2% YoY) and operating margin at 9.5% (-290bp YoY), resulting in an
EBITDA of Rs217m (decline of 27.9% YoY). PAT is likely to decline 31.7% to Rs121m.
M&M has acquired 43.3% stake in PTL and has also made an open offer for an additional 20% stake. With the
company becoming part of the M&M group, its tractor business is expected to be consolidated with that of M&M
over time, and should result in long term positives of additional capacity, diverse portfolio, strong brand and strong
dealer network in the north to the acquirer.
We expect the company to report EPS of Rs10.3 for FY08 and Rs11.3 for FY09.
The stock is currently trading at 26.6x FY08E and 24.2x FY09E earnings. We maintain
Neutral.
(RS MILLION)
FY07
1Q
2Q
3Q
4Q
1Q
2Q
FY08E
3Q
4Q
FY07
FY08E
QUARTERLY PERFORMANCE
Y/E MARCH
Total Volumes (nos)
Net Sales
Change (%)
Total Cost
EBITDA
As a % of Sales
Change (%)
Non-operating Income
Extraordinary Income
Interest
Gross Profit
Less: Depreciation
PBT
Tax
Effective Tax Rate (%)
PAT
Adj PAT
Change (%)
E: MOSt Estimates
8,192
2,436
2.4
2,135
301
12.4
18.0
2
0
5
298
38
260
83
31.9
177
177
28.3
6,974
2,226
5.0
1,950
276
12.4
7.0
40
0
8
308
38
270
87
32.2
183
183
8.9
8,384
2,634
2.3
2,303
331
12.6
-9.3
0
56
2
385
40
345
99
28.7
246
190
-8.7
6,450
2,207
-12.2
2,010
198
9.0
-48.3
1
55
-6
259
39
220
46
21.0
174
119
-43.3
7,500
2,286
-6.2
2,069
217
9.5
-27.9
2
0
3
216
41
175
54
31.0
121
121
-31.7
7,500
2,406
8.1
2,165
241
10.0
-12.8
40
0
3
278
43
235
73
31.0
162
162
-11.5
9,000
2,861
8.6
2,547
315
11.0
-4.9
0
0
2
313
43
270
84
31.0
186
186
-2.0
7,800
2,600
17.8
2,325
275
10.6
39.0
1
0
1
275
44
231
74
32.2
156
156
31.1
30,000
9,503
-0.9
8,398
1,106
11.6
-12.3
43
111
9
1,250
155
1,095
315
28.8
780
669
-7.5
31,800
10,153
6.8
9,105
1,048
10.3
-5.3
43
0
9
1,081
171
910
285
31.3
625
625
-6.6
Amit Kasat (AKasat@MotilalOswal.com);Tel:+91 22 3982 5411/ Rohan A Korde (RohanKorde@MotilalOswal.com); Tel: + 91 22 3982 5414
29 June 2007
58

Results Preview
SECTOR: AUTOMOBILES
Swaraj Mazda
STOCK INFO.
BLOOMBERG
REUTERS CODE
BSE Sensex: 14,651 SM IN
S&P CNX: 4,318
SWRJ.BO
29 June 2007
Previous Recommendation: Neutral
Neutral
Rs315
P/E
(X)
P/BV
(X)
ROE
(%)
ROCE
(%)
EV/
EV/
SALES EBITDA
PAT
(RS M)
EPS
EPS
(RS) GROWTH (%)
Equity Shares (m)
52-Week Range
1,6,12 Rel. Perf. (%)
M.Cap. (Rs m)
M.Cap. (US$ m)
10.5
385/206
-9/-10/2
3,305.6
81.1
YEAR
END
NET SALES
(RS M)
3/07A
3/08E
3/09E
6,034
6,531
7,194
161
178
208
15.3
17.0
19.9
-3.5
10.8
16.9
20.5
18.5
15.9
4.4
3.8
3.3
21.2
20.6
21.1
17.2
18.0
19.0
0.7
0.6
0.6
11.5
10.6
9.4
?
We expect Swaraj Mazda to report volume growth of 10% for 1QFY08, mainly due to the low base of the previous
year, leading to net sales growth of 12.2% to Rs1.3b.
While EBITDA margins have been under pressure in FY07 due to poor operating performance, we expect 190bp
improvement in the EBITDA margin to 4.5%. We estimate PAT at Rs18m.
Swaraj is increasing its production capacity from 12,000 units a year to 36,000 units per year over the next 2-3 years.
We estimate EPS at Rs17 for FY08 and at Rs19.9 for FY09.
Currently its operating margins are facing a squeeze. It is also incurring huge capex over the next 2-3 years. We
expect margin and capex pressures to affect profitability. Our recommendation is
Neutral.
(RS MILLION)
FY07
1Q
2Q
3Q
4Q
1Q
2Q
FY08E
3Q
4Q
FY07
FY08E
?
?
?
?
QUARTERLY PERFORMANCE
Y/E MARCH
Total Volumes (nos)
Net Sales
Change (%)
Total Cost
EBITDA
As % of Sales
Change (%)
Interest
Gross Profit
Depreciation
PBT
Tax
Tax Rate (%)
PAT
Adj. PAT
Change (%)
E: MOSt Estimates
2,201
1,181
-20.0
1,150
31
2.6
-74.4
19
12
6
6
4
70.0
2
2
-97.3
3,101
1,710
15.2
1,612
98
5.7
-6.7
24
74
7
67
18
26.6
49
49
-10.5
2,730
1,492
-6.2
1,385
107
7.2
37.2
25
82
8
74
24
32.4
50
50
47.1
2,827
1,651
5.0
1,533
119
7.2
142.3
25
93
8
85
25
29.7
60
60
407.6
2,421
1,325
12.2
1,265
60
4.5
92.4
25
35
8
27
8
30.7
18
18
925.2
3,194
1,832
7.1
1,717
114
6.3
16.8
27
87
9
78
24
30.7
54
54
10.5
2,867
1,614
8.1
1,505
109
6.7
1.8
26
83
9
74
23
30.7
51
51
2.5
2,920
1,760
6.6
1,648
112
6.4
-5.5
25
87
9
78
24
30.7
54
54
-9.4
10,859
6,034
-1.4
5,680
355
5.9
2.7
93
261
29
232
71
30.7
161
161
-3.5
11,402
6,531
8.2
6,135
395
6.0
11.4
103
292
35
257
79
30.7
178
178
10.8
Amit Kasat (AKasat@MotilalOswal.com);Tel:+91 22 3982 5411/ Rohan A Korde (RohanKorde@MotilalOswal.com); Tel: + 91 22 3982 5414
29 June 2007
59

Results Preview
SECTOR: AUTOMOBILES
Tata Motors
STOCK INFO.
BLOOMBERG
REUTERS CODE
BSE Sensex: 14,651 TTMT IN
S&P CNX: 4,318
TAMO.BO
29 June 2007
Previous Recommendation: Buy
Buy
Rs670
CON.
EPS (RS)
P/E
(X)
CON.
P/E (X)
ROE
(%)
ROCE
(%)
EV/
EV/
SALES EBITDA
PAT
(RS M)
EPS
(RS)
Dil. Equity Shares (m)
52-Week Range
1,6,12 Rel. Perf. (%)
M.Cap. (Rs b)
M.Cap. (US$ b)
407.2
975/635
-11/-32/-54
272.7
6.7
YEAR
END
NET SALES
(RS M)
3/07A 274,048
3/08E
3/09E
298,287
333,989
19,816
20,282
22,391
48.7
49.8
55.0
55.0
60.4
67.3
13.8
13.4
12.2
12.2
11.1
10.0
28.8
24.8
23.2
27.1
25.9
25.2
1.0
0.9
0.8
8.1
7.3
6.6
?
?
?
?
?
Tata Motors has posted 1% volume growth in 1QFY08, with a 7.7% YoY decline in M&HCV sales and 2% decrease
in car sales. However, LCV sales (+10.3%) and UV sales (+20.6%) have remained strong.
Sales have been negatively impacted by the shortage of a critical component (automatic slack adjusters) for CVs,
higher interest rates affecting retail sales, as well as the occurrence of the
adhik mas,
an inauspicious period as per
Hindu culture for making capital purchases.
We estimate sales at Rs59.3b (up 2.5%) and EBITDA at Rs6.4b (decline of 14.7%), with EBITDA margin decline
of 220bp YoY and 30bp QoQ to 10.8%. This would result in PAT of Rs3.7b (-7%) for 1QFY08.
The company plans capex of Rs120b over the next four years. Around Rs75b will be derived from internal accruals
and the balance is expected to be raised in the international/domestic markets. The company has so far announced its
intention to raise US$450m, which will result in further equity dilution of 4.4%.
We estimate consolidated EPS at Rs60.4 for FY08, Rs67.3 for FY09. The stock trades at 11.1x FY08E and 10x
FY09E consolidated earnings. We maintain
Buy.
(RS MILLION)
FY07
1Q
2Q
3Q
4Q
1Q
2Q
FY08E
3Q
4Q
FY07
FY08E
QUARTERLY PERFORMANCE
Y/E MARCH
Total Volumes (nos)
Total Income
Change (%)
Total Cost
EBITDA
As % of Sales
Change (%)
Non-Operating Income
Extraordinary Expense
Interest
Gross Profit
Depreciation & Amort.
Product Dev. Expenses
PBT
Tax
Effective Tax Rate (%)
PAT
Change (%)
Adj PAT
Change (%)
E: MOSt Estimates
126,154
57,835
49.1
50,329
7,506
13.0
58.6
859
242
726
6,614
1,411
103
5,100
1,282
25.1
3,819
40.0
3,976
45.5
139,905
65,718
37.4
57,939
7,779
11.8
30.6
848
316
956
7,610
1,435
175
5,999
1,582
26.4
4,417
30.7
4,623
36.6
141,393
68,252
34.5
59,816
8,436
12.4
27.7
143
235
852
8,809
1,435
287
7,087
1,956
27.6
5,132
11.7
5,284
69.2
171,926
82,242
19.7
73,096
9,147
11.1
4.9
601
257
597
9,412
1,582
285
7,545
1,778
23.6
5,767
25.6
5,934
20.1
127,361
59,264
2.5
52,864
6,401
10.8
-14.7
875
0
650
6,626
1,580
115
4,931
1,233
25.0
3,698
-3.2
3,698
-7.0
153,750
73,666
12.1
65,378
8,287
11.3
6.5
875
0
800
8,362
1,600
200
6,562
1,641
25.0
4,922
11.4
4,922
6.5
161,900
79,871
17.0
70,326
9,545
12.0
13.1
210
0
1,000
8,755
1,625
250
6,880
1,720
25.0
5,160
0.5
5,160
-2.4
191,825
93,541
13.7
81,982
11,560
12.4
26.4
266
0
1,164
10,662
1,664
328
8,670
2,167
25.0
6,502
12.8
6,502
9.6
579,378 634,836
274,048 306,342
33.0
32,868
12.0
26.4
2,452
1,049
3,131
32,445
5,863
850
25,732
6,597
25.6
19,135
25.2
19,816
39.7
11.8
35,792
11.7
8.9
2,226
0
3,614
34,404
6,469
893
27,042
6,761
25.0
20,282
6.0
20,282
2.3
241,180 270,550
Amit Kasat (AKasat@MotilalOswal.com);Tel:+91 22 3982 5411/ Rohan A Korde (RohanKorde@MotilalOswal.com); Tel: + 91 22 3982 5414
29 June 2007
60

Results Preview
SECTOR: AUTOMOBILES
TVS Motor
STOCK INFO.
BLOOMBERG
REUTERS CODE
BSE Sensex: 14,651 TVSS IN
S&P CNX: 4,318
TVSS.BO
29 June 2007
Previous Recommendation: Neutral
Neutral
Rs61
P/E
(X)
P/BV
(X)
ROE
(%)
ROCE
(%)
EV/
EV/
SALES EBITDA
PAT
(RS M)
EPS
EPS
(RS) GROWTH (%)
Equity Shares (m)
52-Week Range
1,6,12 Rel. Perf. (%)
M.Cap. (Rs b)
M.Cap. (US$ b)
237.5
130/53
-10/-37/-76
14.5
0.4
YEAR
END
NET SALES
(RS M)
3/07A
3/08E
3/09E
38,550
38,926
41,938
666
673
733
2.8
2.8
3.1
-37.9
1.1
8.9
21.7
21.5
19.7
1.8
1.7
1.6
8.2
7.9
8.1
9.1
8.8
9.1
0.4
0.4
0.3
10.6
10.4
8.3
?
TVS Motors has registered volume decline of 14.7% in 1QFY08, with motorcycles – the key volume growth driver
in 1HFY07 – declining by 35.5% in 1Q. However, scooters and mopeds have put up a better performance, since
these are not dependent on financing like motorcycles.
We expect sales to decline 15.6% to Rs7.8b and EBITDA margin by 320bp, resulting in an EBITDA of Rs97m. Net
profit is expected to continue its declining trend to Rs57m (decline of 73.1% YoY). Management has guided for the
margins to remain under pressure in 1HFY08, due to high cost of raw materials and intense competitive activity.
In line with the industry trend, TVS is to launch new variants / models on a regular basis to maintain its market share.
Its latest offering is the Star Sport, a 100cc motorcycle with alloy wheels, targeting urban customers.
TVS Motors’ volumes have been negatively impacted by the aggressive strategies adopted by the top 2 two-wheeler
companies – Hero Honda and Bajaj Auto. Entry in the three-wheeler segment will help diversify revenues over a
period of time. However, we believe operating performance remains a concern.
We expect TVS Motors to report EPS of Rs2.8 in FY08 and Rs3.1 in FY09. The stock trades at 21.5x FY08E EPS
and 19.7x FY09E EPS. We maintain
Neutral.
(RS MILLION)
FY07
1Q
2Q
3Q
4Q
1Q
2Q
FY08E
3Q
4Q
FY07
FY08E
?
?
?
?
QUARTERLY PERFORMANCE
Y/E MARCH
Total Volumes (nos)
Net Sales
Change (%)
Total Cost
EBITDA
As % of Sales
Change (%)
Other Income
Interest
Depreciation
PBT
Tax
Effective Tax Rate (%)
PAT
Change (%)
Adj.PAT
Change (%)
E: MOSt Estimates
375,496
9,218
25.4
8,802
416
4.5
-16.3
178
60
233
301
89
29.5
213
-14.6
213
-14.6
419,195
10,779
36.6
10,219
560
5.2
21.9
109
62
244
363
114
31.5
248
-22.3
248
11.6
363,670
9,354
7.3
9,058
296
3.2
-51.2
176
86
245
141
27
18.8
115
-63.1
115
-63.1
369,853
9,199
9.6
9,098
101
1.1
-79.1
270
113
154
103
13
12.6
90
-68.9
90
-68.9
320,161
7,781
-15.6
7,684
97
1.3
-76.6
215
85
160
67
10
15.0
57
-73.1
57
-73.1
368,375
9,377
-13.0
9,143
234
2.5
-58.1
140
85
180
109
16
15.0
93
-62.6
93
-62.6
417,050
10,759
15.0
10,275
484
4.5
63.4
180
75
280
309
77
25.0
232
102.3
232
102.3
440,655
11,008
19.7
10,420
588
5.3
483.1
250
76
350
412
121
29.3
291
221.6
291
221.6
1,528,214 1,546,241
38,550
19.2
37,177
1,373
3.6
-32.9
732
321
876
909
243
26.7
666
-43.1
666
-37.9
38,926
1.0
37,522
1,404
3.6
2.2
785
321
970
898
224
25.0
673
1.1
673
1.1
Amit Kasat (AKasat@MotilalOswal.com);Tel:+91 22 3982 5411/ Rohan A Korde (RohanKorde@MotilalOswal.com); Tel: + 91 22 3982 5414
29 June 2007
61

Results Preview
QUARTER ENDED JUNE 2007
Banking
BSE Sensex: 14,651
COMPANY NAME
S&P CNX: 4,318
PG.
29 June 2007
Andhra Bank
Bank of Baroda
Bank of India
Canara Bank
Corporation Bank
HDFC
HDFC Bank
Federal Bank
ICICI Bank
Indian Overseas Bank
J&K Bank
Karnataka Bank
Oriental Bank
Punjab National Bank
State Bank
Syndicate Bank
Union Bank
UTI Bank
Vijaya Bank
69
70
71
72
73
74
75
76
77
78
79
80
81
82
83
84
85
86
87
Inflation dropped from its highs of 6.5%+ in March and April 2007 to less than 4.5% in
June 2007. This fall is in line with our expectations and is on account of higher base
effect of the inflation index in 1QFY07 and tougher monetary measures adopted by the
RBI in FY07.
Credit growth has reduced from a CAGR of 29% in FY04-FY07 to 25% in June 2007.
However RBI’ monetary tightening stance via successive CRR hikes during FY07 and
s
increases in deposit rates by all the banks to build up deposit bases to fund the runaway
credit growth have led to the increasing interest rate scenario.
Increasing interest rates on deposits have played their role in improving deposit mobilization
for the banks. The deposit growth improved from 16-17% in FY05, 18-20% in 1HFY07
to 23%+ in 1QFY08. We believe the current higher interest rates of 9.5%+ offered on
retail term deposits are commercially unviable on a long term basis for the banks. These
higher deposit rates would continue to maintain the pressure on cost of funds.
All banks increased their PLR by 125-200bp during January-April 2007. We expect the
full quarter impact of loan repricing to substantially improve yields on advances for all
the banks during 1QFY08. We expect banks to show QoQ improvement in the margins
during 1QFY08. While as business momentum picks up starting 2QFY08 and the effect
EXPECTED QUARTERLY PERFORMANCE SUMMARY
RECO
NET INTEREST INCOME
JUN.07
CHG. (%)
OPERATING PROFIT
JUN.07
CHG. (%)
(RS MILLION)
NET PROFIT
JUN.07
CHG. (%)
Banks
Andhra Bank
Bank of Baroda
Bank of India
Canara Bank
Corporation Bank
Federal Bank
HDFC
HDFC Bank
ICICI Bank
Indian Overseas Bank
J&K Bank
Karnataka Bank
Oriental Bank
Punjab National Bank
State Bank
Syndicate Bank
Union Bank
UTI Bank
Vijaya Bank
Sector Aggregate
Buy
Buy
Buy
Buy
Sell
Buy
Buy
Buy
Neutral
Buy
Buy
Buy
Neutral
Buy
Buy
Buy
Buy
Buy
Neutral
3,909
11,004
10,241
10,567
4,028
1,958
5,562
11,816
19,499
7,670
2,051
1,144
4,567
15,202
45,007
6,298
8,094
4,637
2,948
176,202
16.6
24.7
34.0
11.5
24.0
23.4
25.2
44.5
32.2
33.3
14.8
20.0
11.1
17.6
15.9
24.5
27.6
44.1
14.1
23.1
2,293
6,728
6,185
6,685
3,586
1,567
4,795
7,488
13,049
5,173
1,406
964
2,161
6,991
28,534
3,979
5,490
3,680
1,900
112,653
11.0
21.0
32.3
13.3
18.9
37.8
26.0
21.6
6.0
4.2
14.4
9.3
43.1
42.5
0.6
31.8
28.7
19.8
-2.6
14.0
1,355
2,875
2,949
2,501
1,806
606
3,648
3,188
7,239
2,789
718
417
1,575
3,666
10,747
2,379
2,315
1,680
840
53,293
16.4
76.0
41.3
31.0
25.2
50.8
22.9
33.2
16.8
25.6
14.8
13.5
1.4
-0.3
34.6
31.7
38.8
39.4
15.7
26.8
Manish Karwa (MKarwa@MotilalOswal.com) +91 22 39825409/ Ajinkya Dhavale (AjinkyaDhavale@MotilalOswal.com) +91 22 39825426
29 June 2007
62

Banking
of higher term deposit rates offered in 4QFY07 and 1QFY08 becomes more evident, we
expect margins to reduce for most banks from 1QFY08 levels.
FY08 would be a year of significant capital raising by the financial sector (US$10b),
driven by tougher regulatory requirements and significant loan growth ahead. We are
positive on banks that can raise capital at higher premium, where RoEs would bounce
back in a couple of years as they leverage the new capital. We like HDFC Bank, UTI
Bank and HDFC amongst private players.
Starting FY08, banks would have to comply with the revised AS-15 requirements. This
would dent profitability for most government banks. While bigger banks such as SBI and
BoB expect total shortfall of Rs45b and Rs11b respectively. OBC (no provision necessary),
Union Bank and BoI would be relatively better off with lower shortfalls.
The valuations at 0.8-1.5x FY09E BV for government banks, with RoEs in the range of
17-25%, are attractive. Private players continue to be a growth story. We like Union Bank
Indian Bank and IOB among mid-cap banks. Among private players, we like HDFC Bank,
UTI Bank and HDFC.
Inflation cools off to comfort zone, but 10-year G-sec yield rises
Inflation dropped from its highs of 6.5%+ in March and April 2007 to less than 4.5% in
June 2007. This fall is in line with our expectations and is on account of the higher base
effect of inflation index in 1QFY07 and tougher monetary measures adopted by RBI in
FY07. The RBI has a target to maintain inflation rate at close to 5% during FY08.
While inflation has come off from its highs, 10-year G-sec yield has moved up by about
18bp since March2007. The G-sec yields movement in shorter-end maturities of 1, 2 and
5 years has been in line with inflation fall. The 2-year G-sec yields have fallen by ~9bp
while 1-year G Sec yield has dropped by ~11bp since March 2007.
INFLATION V/S 10-YEAR AND 2 -YEAR G-SEC YIELDS
Inflation (%) - (LHS)
9.0
7.0
5.0
3.0
1.0
10 Yr G-Sec Yield - (RHS)
10.0
8.8
7.5
6.3
5.0
Source: Company/Motilal Oswal Securities
29 June 2007
63

Banking
The decrease in yields in shorter end securities would mean some release of MTM
provisions made by banks during 4QFY07. We expect PNB, OBC, Canara Bank to reverse
some of the provision for depreciation on their AFS investment book during 1QFY08.
Loan growth comes down from 29% to 25%
Credit growth has fallen from a CAGR of 29% in FY04-FY07 to 25% in June 2007. The
key drivers of the Indian credit growth story have been favorable macro environment with
strong GDP/industrial growth, de-leveraged corporate balance sheets at the time of capacity
expansions, under-leveraged consumers with rising disposable incomes, and lower interest
rates; the last factor — interest rate — has reversed during FY07. RBI’ monetary tightening
s
through successive CRR hikes during FY07 and increases in deposit rates by all the banks
to build up deposit base to fund the run-away credit growth have led to increasing interest
rate scenario.
CREDIT GROWTH
NFC (Rs t) LHS
20
17
14
11
8
Chg Y oY (%) RHS
37
33
29
25
21
Source: Company/Motilal Oswal Securities
In absolute amount the total outstanding credit for the industry has come down by 2% in
June 2007 from March 2007 levels. The slowdown in credit growth is partly attributable to
the seasonal characteristics of first quarter of the year and also to a slowdown being
experienced in retail credit –especially in mortgages due to increased interest rates. We
expect most banks to have their advances book close to March 2007 levels. Most bankers
expect their credit book to grow by ~25% in FY08, in line with RBI’ estimate for credit
s
growth.
Deposit growth picking up
Increasing interest rates on deposits has enabled banks to mobilize increased deposits.
Deposit growth improved from 16-17% in FY05, 18-20% in 1HFY07 to 23%+ in 1QFY08.
C-D ratio for the industry has come off from ~74% in March 2007 to 72% in June 2007,
as deposit growth has remained robust while credit growth has slowed down during
1QFY08. Nevertheless, the C-D ratio has increased by 200bp on a YoY basis. The SLR
29 June 2007
64

Banking
ratio reduced from 30-32% a year ago to ~28% in June 2007. Mobilizing deposits has been
a prime focus area during FY07 and this trend is expected to continue in FY08.
YOY DEPOSITS GROWTH
30
Deposits (Rs t) LHS
Chg Y oY (%) RHS
32
26
24
22
16
18
8
14
4QFY 05 1QFY 06 2QFY 06 3QFY 06 4QFY 06 1QFY 07 2QFY 07 3QFY 07 4QFY 07 1QFY 08
0
Source: Company/Motilal Oswal Securities
Most banks had launched limited period special deposit schemes offering interest rates of
9.5%+ for retail term deposits during 4QFY07 to meet the liquidity crunch. The success of
these schemes has improved the liquidity situation for banks and all banks have continued
these higher interest rate schemes even in 1QFY08. We believe 9.5%+ deposits would be
incrementally margin dilutive for the banks and thus are not commercially viable over the
long term. However, except PNB, no other bank has announced the withdrawal of these
schemes until now. We believe these schemes would be short lived and expect most
banks to withdraw them by 2QFY08.
As the differential between savings interest rate (3.5%) and term deposit rate has increased
from ~2% to ~5% currently, there has been transfer of funds from savings to term deposits.
Though growing current account and savings account (CASA) is a prime agenda for all
the banks, the widening interest rate differential would act as a major challenge. Incremental
CASA ratio has dropped to 30% in FY07 v/s 47% in FY08. The banks with a large branch
network and an efficient and cutting edge technology would benefit from raising core
deposits and thus contain the increase in cost of deposits. Also, the banks with higher
CASA ratio (like HDFC Bank, UTI Bank, SBI, PNB BoI, Union Bank) would be better
placed to bear the increasing cost of deposits.
PLR hikes to improve yields and sustain margins in 1QFY08
All banks increased their PLR by 125-200bp during January-April 2007. We expect the
full quarter impact of loan repricing to substantially improve yields on advances for all the
banks during 1QFY08. While upward pressure on cost of funds would continue on account
of higher deposit rates, we expect yields improvement to offset this rise. We expect the
banks to show a QoQ increase in the margins during 1QFY08. While as business momentum
picks up beginning 2QFY08 and the effect of higher term deposit rates offered in 4QFY07
and 1QFY08 becomes more evident, we expect margins to reduce for most banks.
29 June 2007
65

Banking
PLR HIKES BY VARIOUS BANKS
INCREASE IN PLR BP
4QFY07
1QFY08
RULING PLR (%)
SBI
Canara Bank
PNB
BoB
BoI
ICICI Bank
HDFC Bank
75
100
50
100
100
100
100
50
75
75
75
75
100
100
12.75
13.25
13.00
13.25
13.25
15.75
15.00
Source: Company/Motilal Oswal Securities
We expect banks with higher CASA ratio to sustain margins during FY08, while banks
with high reliance on bulk deposits would see margins under pressure. We like HDFC
Bank, UTI Bank amongst private players and SBI, BoI, PNB, Union Bank, Indian Bank
and IOB amongst government banks for their strong retail deposits franchise.
FY08 – year of capital raising
FY08 would be a year of significant capital raising by the financial sector (US$10b),
driven by tougher regulatory requirements and significant loan growth ahead. While private
players such as HDFC Bank and UTI Bank would be able to raise equity at substantial
premium to their book value, we believe that the urgent necessity of regulatory compliance
might prompt some state-owned banks to dilute equity at prices close to their book value.
Amongst state-owned banks, we expect State Bank of India, Bank of India and Syndicate
Bank to raise capital during FY08. We are positive on banks that can raise capital at
higher premium, where RoEs would bounce back in a couple of years as they leverage the
new capital.
During 1QFY08, ICICI Bank successfully completed its US$5b equity issue with an
overwhelming response. The issue was subscribed 21.6 times in the QIB segment -
demonstrating investor confidence in the growth of Indian financial services sector. We
believe the estimated insurance valuation of US$11b discovered for ICICI Prudential Life
would set a benchmark for valuing SBI Life, HDFC Standard Life going forward. This
higher valuation of life ventures can provide significant upside to valuations of SBI and
HDFC in future.
Our top picks are HDFC, HDFC Bank and UTI Bank among the private players, and
State Bank of India, Bank of India and Union Bank among government banks.
AS-15 provisions may dent profitability
Banks would have to comply with revised AS-15 beginning FY08. The government banks
have large unfunded liabilities, which needs to provided in the accounts. We understand,
the Institute of Chartered Accounts of India (ICAI) has suggested two alternative
29 June 2007
66

Banking
approaches for accounting the backlog of under provisioning. Banks can either take a full
hit on their opening net worth or they can amortize the funding gap over 5-years through
the profit and loss account. As reducing the net worth would deteriorate the book value
and capital adequacy ratio in one go and may also prompt obvious litigations over tax
deductibility of this expense, we believe most banks would amortize this shortfall over the
next five years through the P&L account.
Our interaction with various bankers has revealed the following amounts of accumulated
underprovisioning in accordance with revised AS-15:
BANK NAME
APPX. TOTAL IMPACT (RS B)
PER YEAR HIT TO P & L A/C (RS B)
State Bank of India
Punjab National Bank
Bank of Baroda
Bank of India
Oriental Bank of Commerce
Union Bank of India
42-45
6-7
11
6
Nil
3
8.4-9.0
1.2-1.4
2.3
1.2
Nil
0.6
Source: Company/Motilal Oswal Securities
Maintain positive bias
The Bankex has increased by 23% since March 2007. Still the valuations for state-owned
banks at 0.8-1.5x FY09E BV, with RoEs in the range of 17-25%, are attractive. The
recent CRR hike by 0.5% to 6.5% effective April 2007 and increased cost of deposits are
bound to put pressure on NIMs of banks, especially those with low CASA levels and those
banks that have aggressively raised bulk deposits in 4QFY07. While we believe that banks
would raise lending rates to maintain overall margins going forward, growth for the overall
sector could come off. Among state-owned banks, we like banks that are strong in liability
franchise and are growing at a steady pace. We like SBI and BoI among large cap banks
while we like Union Bank, Indian Bank and IOB among mid-cap banks. Among private
players, we like HDFC Bank, HDFC and UTI Bank - particularly considering their capital
raising plans during FY08.
29 June 2007
67

Banking
Stock performance and valuations
STOCK PERFORMANCE (%)
ABSOLUTE PERF
3M
1 YEAR
REL PERF TO SENSEX
3M
1 YEAR
REL PERF TO SECTOR
3M
1 YEAR
Banki ng
Andhra Bank
Bank of Baroda
Bank of India
Canara Bank
Corporation Bank
Federal Bank
HDFC
HDFC Bank
ICICI Bank
Indian Overseas Bank
J&K Bank
Karnataka Bank
Oriental Bank of Commerce
Punjab National Bank
State Bank
Syndicate Bank
Union Bank
UTI Bank
Vijaya Bank
RELATIVE PERFORMANCE - 3 MONTH (%)
13
25
39
38
12
40
34
21
12
14
5
2
20
14
54
20
27
23
17
38
36
128
34
47
82
80
45
96
40
78
91
32
66
110
53
46
127
26
1
13
27
26
0
28
21
8
0
2
-7
-10
8
2
42
8
15
11
5
-1
-2
90
-4
8
44
42
7
58
2
40
53
-6
28
72
15
8
89
-12
-14
-1
12
12
-14
13
7
-6
-15
-13
-22
-24
-6
-12
27
-7
1
-3
-10
-43
-44
48
-46
-34
2
0
-35
16
-40
-2
11
-48
-14
30
-27
-34
47
-54
RELATIVE PERFORMANCE - 1 YEAR (%)
Sensex
135
120
105
90
Mar-07
Apr-07
MOSt Banking Index
MOSt Banking Index
183
153
123
93
Sensex
May-07
Jun-07
Jun-06
Sep-06
Dec-06
Mar-07
Jun-07
CMP (RS)
29.6.07
RECO
FY07E
EPS (RS)
FY08E
FY09E
FY07E
P/E (X)
FY08E
FY09E
FY07E
P/BV (X)
FY08E
FY09E
FY07E
ROE (%)
FY08E
FY09E
Banks
Andhra Bank
86
Bank of Baroda
270
Bank of India
233
Canara Bank
270
Corporation Bank
324
Federal Bank
302
HDFC Bank
1,144
HDFC
2,030
ICICI Bank
955
Indian Overseas Bank 118
J&K Bank
674
Karnataka Bank
175
Oriental Bank
226
Punjab National Bank
540
State Bank
1,525
Syndicate Bank
77
Union Bank
132
UTI Bank
605
Vijaya Bank
50
Sector Aggregate
Buy
Buy
Buy
Buy
Sell
Buy
Buy
Buy
Neutral
Buy
Buy
Buy
Neutral
Buy
Buy
Buy
Buy
Buy
Neutral
11.1
28.1
23.0
34.7
37.4
34.1
35.8
62.1
34.6
18.5
56.6
14.6
33.0
48.8
86.3
13.7
16.7
23.4
7.6
12.7
33.9
27.5
39.3
44.2
42.9
43.8
72.5
38.5
22.5
66.9
17.0
36.2
59.8
98.6
15.5
21.1
25.1
8.9
15.0
41.1
33.5
45.5
52.6
52.9
60.1
86.7
51.5
26.1
82.7
19.6
41.3
72.9
117.2
17.7
25.9
34.4
10.2
7.7
9.6
10.1
7.8
8.7
8.9
32.0
32.7
27.6
6.4
11.9
12.0
6.8
11.1
17.7
5.6
7.9
25.9
6.5
16.7
6.8
8.0
8.5
6.9
7.3
7.0
26.1
28.0
24.8
5.2
10.1
10.3
6.2
9.0
15.5
4.9
6.3
24.1
5.6
13.6
5.7
6.6
7.0
5.9
6.2
5.7
19.1
23.4
18.5
4.5
8.2
8.9
5.5
7.4
13.0
4.3
5.1
17.6
4.9
11.0
1.3
1.2
2.0
1.4
1.2
1.7
5.7
9.3
3.5
1.7
1.6
1.7
1.1
1.7
2.6
1.2
1.4
5.0
1.1
2.8
1.2
1.1
1.7
1.2
1.1
1.4
3.4
5.6
2.2
1.3
1.5
1.5
1.0
1.5
2.3
1.0
1.2
2.5
1.0
2.2
1.0
0.9
1.4
1.0
1.0
1.2
3.0
4.3
2.0
1.1
1.3
1.3
0.8
1.3
2.0
0.9
1.0
2.3
0.9
1.8
17.8
12.4
20.7
16.3
15.0
21.3
19.5
31.3
13.4
28.1
14.4
15.1
15.4
15.5
15.4
21.9
17.3
21.0
18.6
16.8
18.4
13.6
20.9
14.7
15.8
22.2
17.1
25.5
11.9
27.3
15.2
15.7
15.5
16.9
15.5
20.2
19.0
15.0
19.0
16.1
19.3
14.8
21.5
15.2
16.7
22.5
16.8
21.2
11.5
25.5
16.6
15.9
16.1
18.0
16.3
19.7
20.2
13.6
19.3
16.1
29 June 2007
68

Results Preview
SECTOR: BANKING
Andhra Bank
STOCK INFO.
BLOOMBERG
REUTERS CODE
BSE Sensex: 14,651 ANDB IN
S&P CNX: 4,318
ADBK.BO
29 June 2007
Previous Recommendation: Buy
Buy
Rs86
EPS
P/E
(X)
P/BV
(X)
CAR
(%)
ROAE
(%)
ROAA
(%)
P/ABV
RATIO
PAT
(RS M)
EPS
(RS) GROWTH (%)
Equity Shares (m)
52-Week Range
1,6,12 Rel. Perf. (%)
M.Cap. (Rs b)
M.Cap. (US$ b)
485.0
99/57
-3/-7/-1
41.7
1.0
YEAR
END
NET INCOME
(RS M)
3/07A
3/08E
3/09E
18,644
21,061
24,107
5,379
6,160
7,257
11.1
12.7
15.0
10.6
14.5
17.8
7.7
6.8
5.7
1.3
1.2
1.0
11.3
10.9
11.0
17.8
18.4
19.3
1.2
1.2
1.2
1.3
1.2
1.1
?
We expect net interest income (NII) to grow 17% YoY to Rs3.9b on back of improved yield on advances and loan
book growth of 20-22%.
Margins may show only a marginal rise QoQ, as bank had resorted to bulk deposits during 4QFY07, which would
continue to put pressure on margins despite the expected improvement in yield on advances.
Reported other income will drop as the bank will route the amortization on HTM investments through other income
(~Rs200m). Excluding this, we would expect modest growth of 10% in other income.
With gross NPAs at just 1.4% and net NPAs at 0.4%, incremental provisioning for NPA is expected to be low.
The bank is a play on steady asset growth, clean books and reasonable RoE. At CMP, the stock is trading at 5.7x
FY09E EPS and 1x FY09E BV. We maintain
Buy.
?
?
?
?
QUARTERLY PERFORMANCE
Y/E MARCH
1Q
2Q
FY07*
3Q
4Q
1Q
2Q
FY08E*
3Q
4Q
FY07*
(RS MILLION)
FY08E*
Interest Income
Interest Expense
Net Interest Income
% Change (Y-o-Y)
Other Income
Net Income
% Change (Y-o-Y)
Operating Expenses
Operating Profit
Other Provisions
Profit before Tax
Tax Provisions
Net Profit
% Change (Y-o-Y)
Cost to Income Ratio (%)
Interest Exp./Interest Income (%)
Other Income/Net Income (%)
results
7,599
4,247
3,352
22.2
1,018
4,371
24.3
2,306
2,065
466
1,599
435
1,164
36.7
52.8
55.9
23.3
7,721
4,412
3,309
14.7
1,287
4,596
13.1
2,365
2,231
92
2,140
675
1,465
10.2
51.5
57.1
28.0
8,128
4,493
3,635
22.8
1,327
4,962
19.6
2,356
2,606
645
1,961
600
1,361
5.6
47.5
55.3
26.7
9,699
5,820
3,879
25.1
1,384
5,263
20.4
2,305
2,958
810
2,148
760
1,388
0.1
43.8
60.0
26.3
9,727
5,818
3,909
16.6
920
4,829
10.5
2,536
2,293
300
1,993
638
1,355
16.4
52.5
59.8
19.1
9,728
5,780
3,949
19.3
1,151
5,100
11.0
2,601
2,499
250
2,249
720
1,529
4.4
51.0
59.4
22.6
10,160
5,930
4,229
16.3
1,193
5,423
9.3
2,592
2,831
500
2,331
746
1,585
16.4
47.8
58.4
22.0
11,962
7,447
4,515
16.4
1,195
5,709
8.5
2,523
3,187
700
2,487
796
1,691
21.9
44.2
62.3
20.9
33,153
18,978
14,175
21.2
4,469
18,644
19.4
9,332
9,312
1,463
7,849
2,470
5,379
10.6
50.1
57.2
24.0
41,577
24,975
16,602
17.1
4,459
21,061
13.0
10,252
10,809
1,750
9,059
2,899
6,160
14.5
48.7
60.1
21.2
E: MOSt Estimates; * HTM amortization is included in the provisions in FY07 while in FY08 it is included in other Income for quarterly
Manish Karwa (MKarwa@MotilalOswal.com) +91 22 39825409/ Ajinkya Dhavale (AjinkyaDhavale@MotilalOswal.com) +91 22 39825426
29 June 2007
69

Results Preview
SECTOR: BANKING
Bank of Baroda
STOCK INFO.
BLOOMBERG
REUTERS CODE
BSE Sensex: 14,651 BOB IN
S&P CNX: 4,318
BOB.BO
29 June 2007
Previous Recommendation: Buy
Buy
Rs270
EPS
P/E
(X)
P/BV
(X)
CAR
(%)
ROAE
(%)
ROAA
(%)
P/ABV
RATIO
PAT
(RS M)
EPS
(RS) GROWTH (%)
Equity Shares (m)
52-Week Range
1,6,12 Rel. Perf. (%)
M.Cap. (Rs b)
M.Cap. (US$ b)
365.5
296/176
-2/6/-2
98.8
2.4
YEAR
END
NET INCOME
(RS M)
3/07A
3/08E
3/09E
49,593
56,890
65,426
10,265
12,395
15,014
28.1
33.9
41.1
24.1
20.8
21.1
9.6
8.0
6.6
1.2
1.1
0.9
11.8
11.0
11.0
12.4
13.6
14.8
0.8
0.8
0.8
1.2
1.1
1.0
?
?
?
?
?
?
?
We expect the loan book to decelerate QoQ while it may record growth of 30%+ YoY, as the bank has aggressively
built up its loan book during FY07.
Comfortable liquidity position along with its PLR hikes of 75bp in April 2007 should enable the bank to sustain margins
at 4QFY07 levels of 3.4%. We thus expect strong NII growth of 25% in 1Q.
We expect fee income growth to continue to remain strong and treasury profits to also increase on the lower base in
1QFY07. Thus other income excluding amortization on HTM investments of ~Rs500m would report strong 16%
growth.
The bank will likely provide for AS-15 compliance, which would impact profitability. We expect quarterly provision of
~Rs550m on this account.
BoB’ asset quality has improved significantly over the last one year with coverage ratio at 76% and net NPAs at
s
0.6%. Recoveries during the quarter are expected to be robust, which would further improve asset quality and
require lower NPA provisions during the quarter.
PAT growth is likely to be strong 76% YoY on the back of strong NII growth and lower overall provisions.
At 0.9x FY09E BV the valuations are attractive, we maintain
Buy.
(RS MILLION)
FY07
1Q
2Q
3Q
4Q
1Q
2Q
FY08E*
3Q
4Q
FY07
FY08E
QUARTERLY PERFORMANCE
Y/E MARCH
Interest Income
Interest Expense
Net Interest Income
% Change (YoY)
Other Income
Net Income
% Change (YoY)
Operating Expenses
Operating Profit
Provision & Contingencies
PBT
Tax Provisions
Net Profit
% Change (YoY)
Cost to Income Ratio (%)
Int Exp/ Int Earned (%)
Other Income / Net Income (%)
results
20,201
11,378
8,823
16.3
2,775
11,599
19.9
6,040
5,559
3,054
2,504
871
1,633
4.0
52.1
56.3
23.9
21,859
12,952
8,908
13.9
3,217
12,125
11.1
5,968
6,157
1,593
4,564
1,680
2,884
11.3
49.2
59.2
26.5
23,870
14,262
9,608
17.8
3,337
12,945
19.0
6,375
6,569
1,417
5,153
1,861
3,292
62.8
49.3
59.7
25.8
26,721
15,674
11,046
27.5
3,978
15,024
21.3
7,584
7,440
3,118
4,322
1,866
2,457
17.7
50.5
58.7
26.5
28,281
17,277
11,004
24.7
2,730
13,735
18.4
7,006
6,728
2,500
4,228
1,353
2,875
76.0
51.0
61.1
19.9
28,198
17,744
10,455
17.4
2,939
13,394
10.5
7,162
6,232
1,800
4,432
1,418
3,014
4.5
53.5
62.9
21.9
30,554
19,396
11,157
16.1
2,904
14,061
8.6
7,204
6,857
2,000
4,857
1,554
3,303
0.3
51.2
63.5
20.6
31,866
18,952
12,914
16.9
2,787
15,701
4.5
7,990
7,710
3,000
4,710
1,507
3,203
30.4
50.9
59.5
17.8
92,126
54,266
37,861
19.3
11,732
49,593
15.3
25,443
24,150
7,608
16,543
6,278
10,265
24.1
51.3
58.9
23.7
118,899
73,369
45,530
20.3
11,360
56,890
14.7
29,363
27,527
9,300
18,227
5,833
12,395
20.8
51.6
61.7
20.0
E: MOSt Estimates; * HTM amortization is included in the Provisions in FY07 while in FY08 it is included in Other Income for quarterly
Manish Karwa (MKarwa@MotilalOswal.com) +91 22 39825409/ Ajinkya Dhavale (AjinkyaDhavale@MotilalOswal.com) +91 22 39825426
29 June 2007
70

Results Preview
SECTOR: BANKING
Bank of India
STOCK INFO.
BLOOMBERG
REUTERS CODE
BSE Sensex: 14,651 BOI IN
S&P CNX: 4,318
BOI.BO
29 June 2007
Previous Recommendation: Buy
Buy
Rs233
EPS
P/E
(X)
P/BV
(X)
CAR
(%)
ROAE
(%)
ROAA
(%)
P/ABV
RATIO
PAT
(RS M)
EPS
(RS) GROWTH (%)
Equity Shares (m)
52-Week Range
1,6,12 Rel. Perf. (%)
M.Cap. (Rs b)
M.Cap. (US$ b)
488.1
235/80
10/6/90
113.6
2.8
YEAR
END
NET INCOME
(RS M)
3/07A
3/08E
3/09E
50,034
55,200
64,347
11,232
13,416
16,334
23.0
27.5
33.5
60.2
19.5
21.7
10.1
8.5
7.0
2.0
1.7
1.4
11.6
11.9
10.5
20.7
20.9
21.5
0.9
0.9
0.9
2.1
1.7
1.4
?
We expect NII to grow 34% YoY on a reported basis, as the bank used to charge amortization on HTM investments
as part of interest expense in FY07, which will now be classified under other income. After adjusting for this, we
expect NII to grow by 24% YoY
Loan growth is likely to be 28% YoY. Margins are likely to be stable QoQ.
Opex, may record slower growth of about 10% as the bank has aggressively expensed technology costs in FY07. We
expect FY08 opex to slow down.
NPA provisions will continue to remain high, as the bank has an objective to raise its coverage ratio to 75% from 70%
in FY07.
The bank continues to be the most consistent in term of its improvement in core performance. At CMP, the stock is
trading at 7x FY09E EPS and 1.4x FY09E BV. We maintain
Buy.
?
?
?
?
QUARTERLY PERFORMANCE
Y/E MARCH
1Q
2Q
FY07
3Q
4Q
1Q
2Q
FY08E
3Q
4Q
FY07*
(RS MILLION)
FY08E
Interest Income
Interest Expense
Net Interest Income
% Change (Y-o-Y)
NII Adjusted for Amortization
Other Income
Net Income
% Change (Y-o-Y)
Operating Expenses
Operating Profit
Other Provisions
Profit before Tax
Tax Provisions
Net Profit
% Change (Y-o-Y)
Cost to Income Ratio (%)
Interest Exp./Interest Income (%)
Other Income/Net Income (%)
20,211
12,566
7,644
36.8
8,234
3,107
10,751
26.0
6,075
4,676
1,685
2,991
904
2,087
21.5
56.5
62.2
28.9
22,582
14,088
8,494
46.8
9,104
3,533
12,026
36.4
7,236
4,791
1,587
3,204
1,083
2,121
60.5
60.2
62.4
29.4
23,187
14,599
8,588
30.8
9,198
3,223
11,811
28.5
6,279
5,532
2,286
3,246
697
2,549
78.1
53.2
63.0
27.3
26,154
16,474
9,680
15.5
10,310
5,767
15,447
32.9
6,495
8,952
3,064
5,888
1,414
4,474
75.9
42.0
63.0
37.3
27,284
17,043
10,241
34.0
10,241
2,929
13,170
22.5
6,986
6,185
2,089
4,096
1,147
2,949
41.3
53.0
62.5
22.2
29,130
18,751
10,380
22.2
10,380
3,018
13,397
11.4
7,380
6,017
1,904
4,113
1,152
2,962
39.6
55.1
64.4
22.5
29,911
19,355
10,556
22.9
10,556
3,045
13,601
15.2
6,600
7,001
2,743
4,258
1,192
3,066
20.3
48.5
64.7
22.4
32,358
21,301
11,057
14.2
11,057
3,973
15,030
-2.7
7,700
7,331
1,164
6,167
1,727
4,440
-0.8
51.2
65.8
26.4
91,803
57,399
34,405
30.7
36,845
15,630
50,034
31.1
26,084
23,950
8,621
15,329
4,097
11,232
60.1
52.1
62.5
31.2
118,684
76,450
42,234
22.8
28,611
12,966
55,200
10.3
28,666
26,534
7,900
18,634
5,218
13,416
19.5
51.9
64.4
23.5
E: MOSt Estimates; NII adjusted of one-off but not for amortization
Manish Karwa (MKarwa@MotilalOswal.com) +91 22 39825409/ Ajinkya Dhavale (AjinkyaDhavale@MotilalOswal.com) +91 22 39825426
29 June 2007
71

Results Preview
SECTOR: BANKING
Canara Bank
STOCK INFO.
BLOOMBERG
REUTERS CODE
BSE Sensex: 14,651 CBK IN
S&P CNX: 4,318
CNBK.BO
29 June 2007
Previous Recommendation: Buy
Buy
Rs270
EPS
P/E
(X)
P/BV
(X)
CAR
(%)
ROAE
(%)
ROAA
(%)
P/ABV
RATIO
PAT
(RS M)
EPS
(RS) GROWTH (%)
Equity Shares (m)
52-Week Range
1,6,12 Rel. Perf. (%)
M.Cap. (Rs b)
M.Cap. (US$ b)
410.0
320/165
3/-9/-4
110.6
2.7
YEAR
END
NET INCOME
(RS M)
3/07A
3/08E
3/09E
54,778
60,894
68,480
14,208
16,117
18,649
34.7
39.3
45.5
5.8
13.4
15.7
7.8
6.9
5.9
1.4
1.2
1.0
13.5
12.0
11.6
16.3
14.7
15.2
1.0
1.0
1.0
1.5
1.3
1.2
?
?
?
?
?
NII growth is likely to be 12%. We expect margins to be stable QoQ, on account of the 175bp PLR increase since
January 2007 as well as the comfortable liquidity position. We do not expect margin improvement, as the bank
aggressively sourced bulk deposits during FY07.
Fee income growth has been dismal so far (YoY growth of 10% in FY07). We do not expect any positive surprise on
this count. Treasury profits are expected to remain lower.
Operating expenses, ex-staff expenses, are likely to grow rapidly ahead, as the bank is rapidly ramping up technology
and is also on a brand positioning drive. While staff cost growth is expected to be moderate at ~6% YoY, the impact
of the revised AS-15 impact is yet unclear and could be negatively surprising.
Part reversal of depreciation on the AFS book can be expected, while the bank may take a hit on account of transfer
of securities from the AFS to the HTM category in the quarter. The balancing effect of the extent of reversal
(positive effect) and securities transfer loss (negative impact) could surprise earnings growth.
At CMP, the stock is trading at 5.9x FY09E EPS and 1x FY09E BV. We maintain
Buy.
(RS MILLION)
FY07
1Q
2Q
3Q
4Q
1Q
2Q
FY08E
3Q
4Q
FY07
FY08E
QUARTERLY PERFORMANCE
Y/E MARCH
Interest Earned
Interest Expended
Net Interest Income
% Change (YoY)
Non Interest Income
Net Income
Operating Expenses
Operating Profit
% Change (YoY)
Other Provisions & Contingencies
PBT
Provision for Taxes
Net Profit
% Change (YoY)
Cost / Income
Int Exp / Int Income
Other Income / Net Income
E: MOSt Estimates
25,128
15,649
9,478
13.8
2,582
12,060
6,158
5,902
5.3
3,743
2,159
250
1,909
2.2
51.1
62.3
21.4
26,800
16,988
9,811
21.6
3,133
12,944
6,792
6,152
5.9
1,534
4,618
1,000
3,618
18.0
52.5
63.4
24.2
29,614
19,220
10,394
8.5
2,993
13,387
6,369
7,018
0.4
2,630
4,388
750
3,638
2.1
47.6
64.9
22.4
32,105
21,512
10,593
7.7
6,262
16,855
6,334
10,521
39.8
4,970
5,551
500
5,051
2.3
37.6
67.0
37.2
32,163
21,596
10,567
11.5
2,892
13,459
6,774
6,685
13.3
3,400
3,285
784
2,501
31.0
50.3
67.1
21.5
33,231
21,575
11,656
18.8
3,289
14,946
7,335
7,610
23.7
2,000
5,610
1,339
4,271
18.1
49.1
64.9
22.0
36,721
24,602
12,119
16.6
3,292
15,412
7,006
8,406
19.8
3,000
5,406
1,290
4,116
13.1
45.5
67.0
21.4
37,533
24,714
12,819
21.0
3,608
16,427
7,309
9,119
-13.3
2,250
6,869
1,640
5,229
3.5
44.5
65.8
22.0
113,646
73,377
40,268
12.4
14,509
54,778
25,653
29,125
14.2
12,417
16,708
2,500
14,208
5.8
46.8
64.6
26.5
139,649
92,487
47,162
17.1
13,732
60,894
28,424
32,470
11.5
11,300
21,170
5,053
16,117
13.4
46.7
66.2
22.6
Manish Karwa (MKarwa@MotilalOswal.com) +91 22 39825409/ Ajinkya Dhavale (AjinkyaDhavale@MotilalOswal.com) +91 22 39825426
29 June 2007
72

Results Preview
SECTOR: BANKING
Corporation Bank
STOCK INFO.
BLOOMBERG
REUTERS CODE
BSE Sensex: 14,651 CRPBK IN
S&P CNX: 4,318
CRBK.BO
29 June 2007
Previous Recommendation: Sell
Sell
Rs324
EPS
P/E
(X)
P/BV
(X)
CAR
(%)
ROAE
(%)
ROAA
(%)
P/ABV
RATIO
PAT
(RS M)
EPS
(RS) GROWTH (%)
Equity Shares (m)
52-Week Range
1,6,12 Rel. Perf. (%)
M.Cap. (Rs b)
M.Cap. (US$ b)
143.4
445/205
-5/-13/8
46.5
1.1
YEAR
END
NET INCOME
(RS M)
3/07A
3/08E
3/09E
19,436
22,020
25,285
5,361
6,335
7,549
37.4
44.2
52.6
20.6
18.2
19.2
8.7
7.3
6.2
1.2
1.1
1.0
12.8
11.5
10.5
15.0
15.8
16.7
1.2
1.1
1.1
1.3
1.1
1.0
?
We expect the bank to show margin improvement in 1QFY07 QoQ, as yields on advances have improved to a level
more than required for offsetting the increased deposit costs. We expect NII to grow by 24% YoY.
Other income may decrease year-on-year on account of reduced treasury profits while fee income growth may
remain modest at ~15%.
Overall, we expect strong operating profit growth on the back of robust NII growth and operating leverage realization
The stock trades at 6.2x FY09E EPS and 1x FY09E BV. We maintain
Sell.
?
?
?
QUARTERLY PERFORMANCE
Y/E MARCH
1Q
2Q
FY07
3Q
4Q
1Q
2Q
FY08E
3Q
4Q
(RS MILLION)
FY07
FY08E
Interest Income
Interest Expense
Net Interest Income
% Change (Y-o-Y)
Other Income
Net Income
% Change (Y-o-Y)
Operating Expenses
Operating Profit
% Change (Y-o-Y)
Other Provisions
PBT
Tax Provisions
Net Profit
% Change (Y-o-Y)
Cost to Income Ratio (%)
Interest Exp./Interest Income (%)
Other Income/Net Income (%)
7,301
4,053
3,248
15.6
1,650
4,898
14.8
1,883
3,015
19.1
838
2,177
735
1,442
16.8
38.4
55.5
33.7
8,325
5,158
3,167
3.3
982
4,148
-1.2
1,941
2,208
-7.7
238
1,970
700
1,270
20.3
46.8
62.0
23.7
8,868
5,536
3,333
1.5
1,408
4,741
15.6
1,995
2,745
26.8
647
2,099
635
1,464
27.2
42.1
62.4
29.7
9,808
5,777
4,030
29.6
1,619
5,649
27.2
2,217
3,432
40.2
1,513
1,919
735
1,185
18.1
39.3
58.9
28.7
9,783
5,755
4,028
24.0
1,667
5,695
16.3
2,109
3,586
18.9
850
2,736
930
1,806
25.2
37.0
58.8
29.3
10,573
6,525
4,048
27.8
1,129
5,176
24.8
2,135
3,042
37.8
800
2,242
762
1,479
16.5
41.2
61.7
21.8
11,263
7,196
4,067
22.0
1,422
5,488
15.8
2,235
3,254
18.5
700
2,554
868
1,686
15.1
40.7
63.9
25.9
12,032
7,713
4,319
7.2
1,341
5,661
0.2
2,593
3,067
-10.6
1,000
2,067
703
1,365
15.2
45.8
64.1
23.7
34,302
20,524
13,778
12.3
5,658
19,436
14.3
8,036
11,400
19.5
3,235
8,166
2,804
5,361
20.6
41.3
59.8
29.1
43,651
27,189
16,462
19.5
5,559
22,020
13.3
9,071
12,949
13.6
3,350
9,599
3,264
6,335
18.2
41.2
62.3
25.2
E: MOSt Estimates; All quarters have been adjusted for reclassification of amortization on HTM as part of other income
Manish Karwa (MKarwa@MotilalOswal.com) +91 22 39825409/ Ajinkya Dhavale (AjinkyaDhavale@MotilalOswal.com) +91 22 39825426
29 June 2007
73

Results Preview
SECTOR: BANKING
Federal Bank
STOCK INFO.
BLOOMBERG
REUTERS CODE
BSE Sensex: 14,651 FB IN
S&P CNX: 4,318
FED.BO
29 June 2007
Previous Recommendation: Buy
Buy
Rs302
EPS
P/E
(X)
P/BV
(X)
CAR
(%)
ROAE
(%)
ROAA
(%)
P/ABV
RATIO
PAT
(RS M)
EPS
(RS) GROWTH (%)
Equity Shares (m)
52-Week Range
1,6,12 Rel. Perf. (%)
M.Cap. (Rs b)
M.Cap. (US$ b)
85.8
305/157
11/32/44
25.9
0.6
YEAR
END
NET INCOME
(RS M)
3/07A
3/08E
3/09E
10,191
11,628
13,792
2,927
3,681
4,540
34.1
42.9
52.9
29.6
25.8
23.3
8.9
7.0
5.7
1.7
1.4
1.2
13.4
12.9
12.4
21.3
22.2
22.5
1.3
1.3
1.4
1.8
1.4
1.2
?
?
?
We expect strong NII growth of 23% on the back of sustained margins and ~25% advances growth.
While treasury profits may remain subdued, the traction in fee income should continue help other income growth.
Asset quality has substantially improved with gross NPAs at 2.95% and net NPAs at 0.44% as of March 2007. We
hence expect NPA provisions to remain low.
Higher-than-required provisions for depreciation (Rs193m) were made on the bank’ investments in 4QFY07. We
s
could expect some reversals of provisions in 1QFY08, though we have not built this into our estimates.
Federal Bank is a play on improving asset quality, consolidation and attractive valuations. At CMP, the stock trades at
5.7x FY09E EPS and 1.2x FY09E BV. Maintain
Buy.
?
?
QUARTERLY PERFORMANCE
Y/E MARCH
1Q
2Q
FY07
3Q
4Q
1Q
2Q
FY08E
3Q
4Q
(RS MILLION)
FY07
FY08E
Interest Income
Interest Expense
Net Interest Income
% Change (Y-o-Y)
Other Income
Net Income
% Change (Y-o-Y)
Operating Expenses
Operating Profit
Prov for Tax
Provisions and Contingencies
Net Profit
% Change (Y-o-Y)
Cost to Income Ratio (%)
Interest Exp./Interest Income (%)
Other Income/Net Income (%)
E: MOSt Estimates
4,083
2,497
1,586
10.0
543
2,129
14.2
991
1,137
176
559
402
-17.5
46.6
61.2
25.5
4,337
2,662
1,675
25.0
726
2,401
26.0
1,011
1,390
170
526
695
28.2
42.1
61.4
30.2
4,441
2,676
1,766
18.1
545
2,310
16.8
973
1,337
196
321
820
14.5
42.1
60.2
23.6
5,313
3,033
2,280
32.4
1,054
3,333
37.8
1,086
2,247
388
867
993
95.6
32.6
57.1
31.6
5,103
3,146
1,958
23.4
650
2,608
22.5
1,041
1,567
311
650
606
50.8
39.9
61.6
24.9
5,421
3,408
2,014
20.2
600
2,614
8.9
1,021
1,593
316
450
827
19.0
39.1
62.9
23.0
5,551
3,425
2,127
20.5
700
2,827
22.4
1,070
1,756
349
450
958
16.7
37.9
61.7
24.8
6,596
3,864
2,731
19.8
849
3,580
7.4
1,283
2,297
456
550
1,291
30.1
35.8
58.6
23.7
18,174
10,850
7,324
22.1
2,867
10,191
24.8
4,061
6,130
1,055
2,148
2,927
30.0
39.8
59.7
28.1
22,672
13,843
8,829
20.6
2,799
11,628
14.1
4,415
7,213
1,432
2,100
3,681
25.8
38.0
61.1
24.1
Manish Karwa (MKarwa@MotilalOswal.com) +91 22 39825409/ Ajinkya Dhavale (AjinkyaDhavale@MotilalOswal.com) +91 22 39825426
29 June 2007
74

Results Preview
SECTOR: BANKING
HDFC
STOCK INFO.
BLOOMBERG
REUTERS CODE
BSE Sensex: 14,651 HDFC IN
S&P CNX: 4,318
HDFC.BO
29 June 2007
Previous Recommendation: Buy
Buy
Rs2,030
EPS
P/E
(X)
P/BV
(X)
CAR
(%)
ROAE
(%)
ROAA
(%)
P/ABV
RATIO
PAT
(RS M)
EPS
(RS) GROWTH (%)
Equity Shares (m)
52-Week Range
1,6,12 Rel. Perf. (%)
M.Cap. (Rs b)
M.Cap. (US$ b)
253.0
2,039/1,040
9/19/42
513.6
12.6
YEAR
END
NET INCOME
(RS M)
3/07A
3/08E
3/09E
22,294
28,707
36,409
15,704
19,656
24,889
62.1
72.5
86.7
23.2
16.9
19.5
32.7
28.0
23.4
9.3
5.6
4.3
13.0
13.0
13.0
31.3
25.5
21.2
2.8
2.7
2.7
9.4
5.6
4.3
?
?
?
?
?
Despite concerns relating to growth in mortgages, we expect HDFC to maintain its traditional growth of 26-27% in
disbursements and 25%+ in loans.
As ICICI Bank and other government banks slow down disbursements owing to margin concerns, we expect HDFC
to gain market share.
We expect 23% earnings growth in 1QFY08. HDFC continues to be one of the most consistent performers in the
sector and we expect sustained outperformance in future as well.
HDFC has announced preferential allotment of 18m shares (7.11% of HDFC’ paid up capital) to Carlyl Group
s
(15.3m shares) and Citigroup (2.7m shares) at a price of Rs1,730 per share. The aggregate amount to be raised by
HDFC through the proposed preferential issue would be Rs31b. This transaction would be significantly book accretive
for HDFC.
Adjusting for the value of its subsidiaries, HDFC is available at 17x FY09E EPS. With steady growth prospects, we
are optimistic over the future earnings growth of HDFC, maintain
Buy.
(RS MILLION)
FY07
1Q
2Q
3Q
4Q
1Q
2Q
FY08E
3Q
4Q
FY07
FY08E
QUARTERLY PERFORMANCE
Y/E MARCH
Income from Operations
Other Income
Total Income
YoY Change (%)
Interest and Other Charges
Other Expenses
Total Expenses
PBDT
YoY Change (%)
Depreciation
PBT
Provision for Tax
PAT
YoY Change (%)
E: MOSt Estimates
12,457
28
12,485
33.6
8,014
667
8,681
3,805
22.0
37
3,767
799
2,968
20.0
14,468
95
14,563
38.9
9,137
686
9,823
4,740
22.3
39
4,701
1,021
3,680
23.1
14,545
39
14,585
38.2
9,475
614
10,089
4,495
25.8
47
4,448
886
3,562
25.2
17,285
45
17,330
39.8
10,042
474
10,517
6,813
31.4
52
6,761
1,261
5,501
29.0
16,942
40
16,982
36.0
11,380
807
12,187
4,795
26.0
45
4,750
1,102
3,648
22.9
19,676
90
19,766
35.7
12,974
837
13,812
5,955
25.6
47
5,908
1,371
4,537
23.3
20,072
50
20,122
38.0
13,644
798
14,443
5,680
26.4
49
5,631
1,306
4,324
21.4
25,262
40
25,302
46.0
15,467
737
16,204
9,098
33.5
49
9,049
2,099
6,950
26.3
58,755
208
58,963
37.8
36,669
2,616
39,285
19,678
24.9
175
19,503
3,974
15,529
23.5
81,953
220
82,173
39.4
53,465
3,180
56,645
25,527
29.7
220
25,307
5,871
19,436
25.2
Manish Karwa (MKarwa@MotilalOswal.com) +91 22 39825409/ Ajinkya Dhavale (AjinkyaDhavale@MotilalOswal.com) +91 22 39825426
29 June 2007
75

Results Preview
SECTOR: BANKING
HDFC Bank
STOCK INFO.
BLOOMBERG
REUTERS CODE
BSE Sensex: 14,651 HDFCB IN
S&P CNX: 4,318
HDBK.BO
29 June 2007
Previous Recommendation: Buy
Buy
Rs1,144
EPS
P/E
(X)
P/BV
(X)
CAR
(%)
ROAE
(%)
ROAA
(%)
P/ABV
RATIO
PAT
(RS M)
EPS
(RS) GROWTH (%)
Equity Shares (m)
52-Week Range
1,6,12 Rel. Perf. (%)
M.Cap. (Rs b)
M.Cap. (US$ b)
319.4
1,274/693
2/1/7
365.4
9.0
YEAR
END
NET INCOME
(RS M)
3/07A
3/08E
3/09E
49,847
66,757
88,669
11,419
15,696
21,509
35.8
43.8
60.1
28.3
22.6
37.0
32.0
26.1
19.1
5.7
3.4
3.0
13.1
12.0
11.0
19.5
17.1
16.8
1.4
1.5
1.6
5.8
3.5
3.0
?
?
?
?
?
HDFC Bank is expected to maintain its trend of consistent PAT growth of ~31%. We expect margins to sustain at
4.5%, despite faster growth in 1QFY08, as cost of deposits will largely be contained.
HDFC Bank has added 149 branches in 2HFY07 and is expected to add a similar number of branches in FY08. This
branch expansion makes us comfortable about profitable and robust business growth, going forward.
Rapid expansion of branch network would continue to keep upward pressure on operating expenses while we expect
the overall cost-to-income ratio to be held firm at ~46% in 1QFY08 (excluding amortizations reclassification).
Reported other income may decline, as the bank would reclassify the amortization expense (~Rs800m) on HTM
investments as a part of other income, whereas in 1QFY07, it constituted a part of provisions.
We expect the equity raising of US$1b in FY08 to be significantly book accretive. While RoEs would come down on
account of this capital raising in near future, we expect returns to bounce back to 20%+ level over next 3-5 years. On
a post diluted basis, the current valuations at 19.7x FY09E EPS and 3x FY09E BV look attractive. We maintain
Buy.
(RS MILLION)
FY07
1Q
2Q
3Q
4Q
1Q
2Q
FY08E*
3Q
4Q
FY07
FY08E
QUARTERLY PERFORMANCE
Y/E MARCH
Interest Income
Interest Expense
Net Interest Income
Growth (%)
Other Income
Net Income
Growth (%)
Operating Expenses
Operating Profit
Provisions and Contingencies
Profit before Tax
Provision for Taxes
Net Profit
Growth (%)
Cost to Income Ratio (%)
Interest Exp./Interest Income (%)
Other Income/Total Income (%)
results
15,043
6,867
8,176
56.1
3,508
11,684
48.4
5,527
6,157
2,639
3,518
1,125
2,393
30.4
47.3
45.6
30.0
16,357
7,901
8,456
38.1
3,977
12,433
42.5
5,791
6,642
3,057
3,585
955
2,629
31.7
46.6
48.3
32.0
17,593
8,307
9,286
38.5
3,733
13,019
34.7
6,050
6,969
2,664
4,305
1,349
2,956
31.7
46.5
47.2
28.7
19,898
8,721
11,177
51.2
3,944
15,121
44.9
6,839
8,282
3,303
4,979
1,544
3,436
30.5
45.2
43.8
26.1
21,361
9,545
11,816
44.5
3,409
15,226
30.3
7,738
7,488
2,800
4,688
1,500
3,188
33.2
50.8
44.7
22.4
22,899
10,903
11,996
41.9
3,644
15,641
25.8
8,000
7,641
2,500
5,141
1,645
3,496
32.9
51.1
47.6
23.3
24,278
11,630
12,649
36.2
4,326
16,975
30.4
8,894
8,081
2,250
5,831
1,866
3,965
34.1
52.4
47.9
25.5
26,870
13,055
13,815
23.6
5,101
18,916
25.1
9,952
8,964
1,542
7,422
2,375
5,047
46.9
52.6
48.6
27.0
68,890
31,795
37,096
45.7
12,751
49,847
45.6
24,208
25,639
7,309
18,330
6,912
11,419
30.8
48.6
46.2
25.6
95,408
45,131
50,277
35.5
16,480
66,757
33.9
34,583
32,174
9,092
23,082
7,386
15,696
37.5
51.8
47.3
24.7
E: MOSt Estimates; * HTM amortization is included in the Provisions in FY07 while in FY08 it is included in Other Income for quarterly
Manish Karwa (MKarwa@MotilalOswal.com) +91 22 39825409/ Ajinkya Dhavale (AjinkyaDhavale@MotilalOswal.com) +91 22 39825426
29 June 2007
76

Results Preview
SECTOR: BANKING
ICICI Bank
STOCK INFO.
BLOOMBERG
REUTERS CODE
BSE Sensex: 14,651 ICICIBC IN
S&P CNX: 4,318
ICBK.BO
29 June 2007
Previous Recommendation: Neutral
Neutral
Rs955
P/E
(X)
P/BV
(X)
CAR
(%)
ROAE
(%)
ROAA
(%)
P/ABV
RATIO
PAT
(RS M)
EPS
EPS
(RS) GROWTH (%)
Equity Shares (m)
52-Week Range
1,6,12 Rel.Perf.(%)
M.Cap. (Rs b)
M.Cap. (US$ b)
889.8
1,007/465
2/1/57
846.2
20.7
YEAR
END
NET INCOME
(RS M)
3/07A 125,648
3/08E
3/09E
171,600
233,169
31,102
42,629
57,066
34.6
38.5
51.5
21.2
11.2
33.9
27.6
24.8
18.5
3.5
2.2
2.0
13.0
15.6
14.0
13.4
11.9
11.5
1.1
1.1
1.1
3.7
2.3
2.2
?
Margins are expected to decline due to aggressive bulk borrowing coupled with higher costs of deposits raised in
4QFY07. We expect margins to decline to 2.5% from 2.65% witnessed in 4QFY06.
The bank has raised lending rates and its retail lending rates are higher versus the market. This should result in loan
growth slowing down.
Fee income would continue to grow rapidly likely reporting ~45% growth YoY driven by robust performance in its
insurance, credit cards and international business. Treasury income could be lower in 1QFY08, owing to absence of
any big-ticket gains. With deteriorating asset quality, we expect NPA provisions to continue to remain high.
ICICI Bank has raised Rs200b during the quarter at an average of Rs960 per share. ICICI Bank has also amalgamated
Sangli Bank with itself during the quarter.
At CMP, excluding the subsidiaries, the stock trades at 11.7x FY09E EPS and 1.3x FY09E BV. We maintain
Neutral.
(RS MILLION)
FY07
1Q
2Q
3Q
4Q
1Q
2Q
FY08E*
3Q
4Q
FY07
FY08E
?
?
?
?
QUARTERLY PERFORMANCE
Y/E MARCH
Interest Income
Interest Expense
Net Interest Income
Growth (%)
Other Income
Net Income
Operating Expenses
Operating Profit
Growth (%)
Provisions and Contingencies
Profit before Tax
Provision for Taxes
Net Profit
Growth (%)
Interest Exp./Interest Income (%)
Other Income/Net Income (%)
Cost /Income (%)
50,386
35,634
14,753
52.2
12,776
27,528
15,215
12,314
26.8
4,828
7,486
1,286
6,200
17.0
70.7
46.4
55.3
54,694
38,924
15,770
46.9
15,701
31,471
15,352
16,119
54.4
7,093
9,025
1,475
7,550
30.2
71.2
49.9
48.8
58,247
41,159
17,088
32.1
19,806
36,894
17,133
19,761
65.4
8,910
10,852
1,751
9,101
42.2
70.7
53.7
46.4
66,616
47,869
18,747
36.5
18,339
37,087
19,206
17,881
20.7
8,763
9,117
868
8,249
4.4
71.9
49.5
51.8
76,941
57,442
19,499
32.2
14,050
33,549
20,500
13,049
6.0
4,000
9,049
1,810
7,239
16.8
74.7
41.9
61.1
84,635
62,038
22,598
43.3
17,000
39,598
21,250
18,348
13.8
6,500
11,848
2,488
9,360
24.0
73.3
42.9
53.7
90,560
66,380
24,180
41.5
21,000
45,180
23,500
21,680
9.7
7,500
14,180
2,978
11,202
23.1
73.3
46.5
52.0
103,764
74,539
29,225
55.9
24,049
53,274
23,693
29,581
65.4
10,004
19,577
4,748
14,829
79.8
71.8
45.1
44.5
229,943
163,585
66,358
40.9
59,290
125,648
66,906
58,742
50.1
22,260
36,482
5,380
31,102
22.4
71.1
47.2
53.2
355,900
260,399
95,501
43.9
76,099
171,600
88,943
82,657
40.7
28,004
54,653
12,024
42,629
37.1
73.2
44.3
51.8
E: MOSt Estimates; * Quarterly numbers adjusted for amortization in FY07
Manish Karwa (MKarwa@MotilalOswal.com) +91 22 39825409/ Ajinkya Dhavale (AjinkyaDhavale@MotilalOswal.com) +91 22 39825426
29 June 2007
77

Results Preview
SECTOR: BANKING
Indian Overseas Bank
STOCK INFO.
BLOOMBERG
REUTERS CODE
BSE Sensex: 14,651 IOB IN
S&P CNX: 4,318
IOBK.BO
29 June 2007
Previous Recommendation: Buy
Buy
Rs118
EPS
P/E
(X)
P/BV
(X)
CAR
(%)
ROAE
(%)
ROAA
(%)
P/ABV
RATIO
PAT
(RS M)
EPS
(RS) GROWTH (%)
Equity Shares (m)
52-Week Range
1,6, 12 Rel. Perf. (%)
M.Cap. (Rs b)
M.Cap. (US$ b)
544.8
129/74
2/0/2
64.1
1.6
YEAR
END
NET INCOME
(RS M)
3/07A
3/08E
3/09E
29,478
36,830
42,395
10,084
12,265
14,240
18.5
22.5
26.1
28.7
21.6
16.1
6.4
5.2
4.5
1.7
1.3
1.1
13.3
12.0
11.7
28.1
27.3
25.5
1.4
1.3
1.3
1.7
1.4
1.1
?
?
?
?
?
?
Loan book is expected to grow 27-28% YoY on account of the bank’ comfortable liquidity position (the bank
s
continues to hold excess SLR).
We expect margins to sustain at 4%, as the bank’ yields improve faster on the back of PLR hikes owing to the
s
shorter duration of the bank’ loan book. On the back of strong loan book growth and improvement in yields on
s
advances, we expect net interest income to record strong 33% growth in 1QFY07.
We expect reported other income to decline YoY despite fee income growth of ~20% YoY owing to reclassification
of amortization expenses.
The bank has transferred Rs20b of securities from AFS to HTM (would be classified in other income) in 1QFY08
taking a hit of Rs0.3b on its P&L. Likewise, in 1QFY07 the bank took a hit of Rs2.4b (reflected in provisions). Thus
provisions would be lower during the quarter.
Provisions are likely to decline YoY, as NPAs are comfortable. PAT growth is likely to be 26% YoY in 1Q, driven by
strong growth in NII and robust fee income and lower provisions.
At CMP, the stock is trading at 4.5x FY09E EPS and 1.1x FY09E BV. We maintain
Buy.
(RS MILLION)
FY07
1Q
2Q
3Q
4Q*
1Q
2Q
FY08E**
3Q
4Q
FY07**
FY08E**
QUARTERLY PERFORMANCE
Y/E MARCH
Interest Income
Interest Expense
Net Interest Income
% Change (Y-o-Y)
Other Income
Net Income
% Change (Y-o-Y)
Operating Expenses
Operating Profit
Other Provisions
Tax Provisions
Net Profit
% Change (Y-o-Y)
Cost to Income Ratio (%)
Interest Exp./Interest Income (%)
Other Income/Net Income (%)
income
12,409
6,654
5,755
19.1
2,511
8,266
24.4
3,302
4,965
2,299
445
2,220
21.2
39.9
53.6
30.4
13,721
7,602
6,119
18.3
1,520
7,639
10.4
3,491
4,148
541
1,108
2,499
25.9
45.7
55.4
19.9
14,737
8,686
6,051
15.1
1,980
8,031
17.1
3,116
4,916
1,251
1,197
2,468
25.1
38.8
58.9
24.7
17,454
9,771
7,682
42.0
1,905
9,587
27.3
3,970
5,618
1,820
900
2,898
41.7
41.4
56.0
19.9
18,117
10,447
7,670
33.3
1,300
8,970
8.5
3,797
5,173
1,300
1,085
2,789
25.6
42.3
57.7
14.5
18,606
10,917
7,690
25.7
1,200
8,890
16.4
3,746
5,143
700
1,100
3,343
33.8
42.1
58.7
13.5
19,350
11,572
7,779
28.5
1,400
9,179
14.3
3,895
5,284
950
1,214
3,121
26.5
42.4
59.8
15.3
20,256
12,124
8,132
5.9
1,659
9,791
2.1
4,458
5,333
950
1,227
3,156
8.9
45.5
59.9
16.9
58,321
32,713
25,608
23.9
3,870
29,478
5.5
13,878
15,600
1,866
3,650
10,084
28.7
47.1
56.1
13.1
76,330
45,059
31,271
22.1
5,559
36,830
24.9
15,895
20,934
3,900
4,770
12,265
21.6
43.2
59.0
15.1
E: MOSt Estimates; * Includes results of BhOB; **Amortization on HTM investments and tranfer losses on AFS to HTM included in Other
Manish Karwa (MKarwa@MotilalOswal.com) +91 22 39825409/ Ajinkya Dhavale (AjinkyaDhavale@MotilalOswal.com) +91 22 39825426
29 June 2007
78

Results Preview
SECTOR: BANKING
Jammu & Kashmir Bank
STOCK INFO.
BLOOMBERG
REUTERS CODE
BSE Sensex: 14,651 JKBK IN
S&P CNX: 4,318
JKBK.BO
29 June 2007
Previous Recommendation: Buy
Buy
Rs674
EPS
P/E
(X)
P/BV
(X)
CAR
(%)
ROAE
(%)
ROAA
(%)
P/ABV
RATIO
PAT
(RS M)
EPS
(RS) GROWTH (%)
Equity Shares (m)
52-Week Range
1,6,12 Rel. Perf. (%)
M.Cap. (Rs b)
M.Cap. (US$ b)
48.5
757/306
0/3/40
32.7
0.8
YEAR
END
NET INCOME
(RS M)
3/07A
3/08E
3/09E
9,281
10,537
12,362
2,745
3,245
4,009
56.6
66.9
82.7
55.2
18.2
23.6
11.9
10.1
8.2
1.6
1.5
1.3
13.2
12.1
11.6
14.4
15.2
16.6
1.0
1.0
1.0
1.7
1.5
1.4
?
NII is expected to grow 15% to Rs2.1b in 1QFY08 on the back of steady loan book growth and improved margins.
On a QoQ basis we expect flat NII.
Fee income growth aided by insurance distribution commission has been a key driver of earnings. We expect the
same trend to continue during 1QFY08.
Management has guided for higher-than-industry growth in advance during FY08. Management’ ability to source
s
core deposits to fund this growth without impacting margins would be key strategy to watch.
In 4QFY07, some legacy accounts were recognized as NPAs but the bank did not make higher provisions towards
this. Thus net NPAs increased to a level above 1%. We expect the bank to start making higher provisions for NPAs
in 1QFY08.
We expect PAT to grow 15% in 1QFY08 on the back of sustained margins and strong fee income growth.
The stock currently trades at 8.2x FY09E EPS and 1.3x FY09E BV. We maintain
Buy.
(RS MILLION)
FY07
1Q
2Q
3Q
4Q
1Q
2Q
FY08E
3Q
4Q
FY07
FY08E
?
?
?
?
?
QUARTERLY PERFORMANCE
Y/E MARCH
Interest Income
Interest Expenses
Net Interest Income
% Change (Y-o-Y)
Other Income
Net Income
Operating Expenses
Operating Profit
% Change (Y-o-Y)
Prov. & Contingencies
Profit before Tax
Provision for Taxes
Net Profit
% Change (Y-o-Y)
Cost to Income
Int.Expense/Int. Earned
Cost to Net Int.Income
4,547
2,760
1,786
18.7
219
2,005
829
1,176
29.6
291
886
260
626
29.2
41.3
60.7
46.4
4,621
2,688
1,933
18.2
354
2,287
908
1,378
36.1
194
1,185
340
845
53.7
39.7
58.2
47.0
4,631
2,680
1,951
21.2
329
2,279
888
1,392
38.4
298
1,094
250
844
66.6
39.0
57.9
45.5
5,210
3,187
2,024
7.3
701
2,725
1,094
1,631
19.2
621
1,010
557
453
98.6
40.1
61.2
54.0
5,501
3,451
2,051
14.8
350
2,401
995
1,406
19.5
350
1,056
338
718
14.8
41.4
62.7
48.5
5,730
3,575
2,155
11.5
395
2,550
1,017
1,532
11.2
250
1,282
410
872
3.2
39.9
62.4
47.2
5,696
3,538
2,158
10.6
450
2,608
1,012
1,596
14.7
300
1,296
415
881
4.4
38.8
62.1
46.9
6,547
4,216
2,331
15.2
647
2,978
1,191
1,787
9.6
650
1,137
364
773
70.8
40.0
64.4
51.1
18,993
11,315
7,678
15.7
1,602
9,281
3,724
5,556
29.4
1,404
4,152
1,407
2,745
55.2
40.1
59.6
48.5
23,474
14,780
8,694
13.2
1,842
10,537
4,215
6,322
13.8
1,550
4,772
1,527
3,245
18.2
40.0
63.0
48.5
E: MOSt Estimates; All quarters have been adjusted for reclassification of amortization on HTM
Manish Karwa (MKarwa@MotilalOswal.com) +91 22 39825409/ Ajinkya Dhavale (AjinkyaDhavale@MotilalOswal.com) +91 22 39825426
29 June 2007
79

Results Preview
SECTOR: BANKING
Karnataka Bank
STOCK INFO.
BLOOMBERG
REUTERS CODE
BSE Sensex: 14,651 KBL IN
S&P CNX: 4,318
KNBK.BO
29 June 2007
Previous Recommendation: Buy
Buy
Rs175
EPS
P/E
(X)
P/BV
(X)
CAR
(%)
ROAE
(%)
ROAA
(%)
P/ABV
RATIO
PAT
(RS M)
EPS
(RS) GROWTH (%)
Equity Shares (m)
52-Week Range
1,6,12 Rel. Perf. (%)
M.Cap. (Rs b)
M.Cap. (US$ b)
121.3
193/80
0/10/53
21.2
0.5
YEAR
END
NET INCOME
(RS M)
3/07A
3/08E
3/09E
5,941
6,584
7,493
1,770
2,064
2,373
14.6
17.0
19.6
0.5
16.6
14.9
12.0
10.3
8.9
1.7
1.5
1.3
11.5
10.0
10.0
15.1
15.7
15.9
1.1
1.2
1.1
1.8
1.6
1.4
?
Margin pressure would continue due to its relatively weaker liability side of the balance sheet. However management
continues to assert that it would not sacrifice the margins for balance sheet growth.
The bank has shown robust growth in traditional fee income of 35% during FY07. We expect the bank to continue to
maintain the momentum in fee income growth going forward on account of increased management thrust.
There have been some issues with asset quality over the last couple of quarters. We expect NPA provisions to remain
higher during 1QFY08. Asset quality is expected to improve QoQ as incremental slippages are likely to be low.
Karnataka Bank is a play on improving asset quality, consolidation and attractive valuations. At CMP, the stock trades
at 8.9x FY09E EPS and 1.3x FY09E BV. Maintain
Buy.
(RS MILLION)
FY07
1Q
2Q
3Q
4Q
1Q
2Q
FY08E
3Q
4Q
FY07
FY08E
?
?
?
QUARTERLY PERFORMANCE
Y/E MARCH
Interest Income
Interest Expense
Net Interest Income
% Change (Y-o-Y)
Other Income
Net Income
% Change (Y-o-Y)
Operating Expenses
Operating Profit
Other Provisions
Tax Provisions
Net Profit
% Change (Y-o-Y)
Cost to Income Ratio (%)
Interest Exp./Interest Income (%)
Other Income/Net Income (%)
E: MOSt Estimates
2,858
1,904
953
5.0
449
1,402
1.2
520
882
331
183
368
-11.8
37.1
66.6
32.0
2,953
2,047
906
18.8
487
1,393
14.7
653
741
-163
308
596
42.8
46.8
69.3
35.0
3,220
2,170
1,050
7.5
397
1,448
7.7
553
895
62
294
539
29.8
38.2
67.4
27.4
3,532
2,243
1,289
27.5
410
1,698
22.8
650
1,049
608
173
268
-47.5
38.3
63.5
24.1
3,486
2,342
1,144
20.0
440
1,584
13.0
620
964
350
196
417
13.5
39.1
67.2
27.8
3,485
2,456
1,029
13.5
550
1,579
13.3
600
979
150
265
563
-5.5
38.0
70.5
34.8
3,799
2,603
1,196
13.9
450
1,646
13.7
640
1,006
200
258
548
1.7
38.9
68.5
27.3
4,076
2,779
1,296
0.6
479
1,775
4.5
788
987
200
252
535
100.1
44.4
68.2
27.0
12,563
8,364
4,199
14.8
1,743
5,941
11.5
2,376
3,566
838
957
1,770
0.6
40.0
66.6
29.3
14,846
10,181
4,665
11.1
1,919
6,584
10.8
2,648
3,936
900
972
2,064
16.6
40.2
68.6
29.1
Manish Karwa (MKarwa@MotilalOswal.com) +91 22 39825409/ Ajinkya Dhavale (AjinkyaDhavale@MotilalOswal.com) +91 22 39825426
29 June 2007
80

Results Preview
SECTOR: BANKING
Oriental Bank of Commerce
STOCK INFO.
BLOOMBERG
REUTERS CODE
BSE Sensex: 14,651 OBC IN
S&P CNX: 4,318
ORBC.BO
29 June 2007
Previous Recommendation: Neutral
Neutral
Rs226
P/E
(X)
P/BV
(X)
CAR
(%)
ROAE
(%)
ROAA
(%)
P/ABV
RATIO
PAT
(RS M)
EPS
EPS
(RS) GROWTH (%)
Equity Shares (m)
52-Week Range
1,6,12 Rel. Perf. (%)
M.Cap. (Rs b)
M.Cap. (US$ b)
250.5
280/139
-3/-7/-6
56.6
1.4
YEAR
END
NET INCOME
(RS M)
3/07A
3/08E
3/09E
22,946
24,250
28,915
8,268
9,074
10,345
33.0
36.2
41.3
2.9
9.8
14.0
6.8
6.2
5.5
1.1
1.0
0.8
12.5
12.0
11.0
15.4
15.5
16.1
1.2
1.1
1.1
1.1
1.0
0.9
?
?
?
?
?
We expect strong NII growth of 11% to Rs4.6b in 1QFY08. The bank has consciously stayed away from aggressively
building bulk deposits and increased its PLR by 175bp since January 2007. We expect margins to improve in 1QFY08.
The bank has transferred securities worth Rs20b from AFS to HTM taking a hit of Rs2b in 1QFY08 on its P&L. We
believe this loss would be classified as a part of other income (shown as part of provisions until FY07), which would
decline on a YoY basis. Similarly the bank had taken a hit on profits in 1QFY07, but which was classified as a part of
provisions at the time. Overall we believe, YoY, profitability would not be affected on this count.
Some reversal of depreciation on investments due to softening of yields of shorter-end securities may however offset
this Rs2b transfer loss and thus help earnings growth.
OBC continues to enjoy robust asset quality with net NPAs at 0.5%. Moreover, the bank has a pool of Rs2b of
specific NPA provisions made in excess of the RBI requirement. It is likely that the bank will reverse these NPA
provisions and deliver strong earnings growth.
At CMP, the stock is trading at 5.5x FY09E EPS and 0.8x FY09E BV. We maintain
Neutral.
(RS MILLION)
FY07
1Q*
2Q
3Q
4Q
1Q
2Q
FY08E*
3Q
4Q
FY07
FY08E
QUARTERLY PERFORMANCE
Y/E MARCH
Interest Income
Interest Expense
Net Interest Income
% Change (YoY)
Other Income
Net Income
% Change (YoY)
Operating Expenses
Operating Profit
Provision & Contingencies
PBT
Tax Provisions
Net Profit
% Change (YoY)
Cost to Income Ratio (%)
Int Exp/ Int Earned (%)
Other Income / Net Income (%)
income
11,353
7,244
4,110
2.0
-313
3,797
-23.8
2,287
1,510
-524
2,033
481
1,553
48.2
60.2
63.8
-8.2
12,822
8,695
4,128
2.1
1,579
5,707
-1.0
2,566
3,141
-737
3,878
771
3,108
37.2
43.4
59.9
29.9
13,137
8,924
4,213
6.7
1,330
5,543
6.3
2,476
3,067
81
2,986
550
2,437
19.1
44.7
67.9
24.0
14,336
9,874
4,462
10.7
1,437
5,899
5.0
2,650
3,249
1,616
1,633
462
1,171
-56.2
44.9
68.9
24.4
14,419
9,851
4,567
11.1
109
4,676
23.2
2,515
2,161
50
2,111
536
1,575
1.4
53.8
68.3
2.3
16,413
11,564
4,849
17.5
1,500
6,349
11.3
2,822
3,527
100
3,427
870
2,557
-17.7
43.4
59.9
29.9
16,816
11,869
4,947
17.4
1,263
6,210
12.0
2,724
3,486
100
3,386
859
2,527
3.7
43.9
70.6
20.3
18,716
13,152
5,564
24.7
1,451
7,014
18.9
2,927
4,087
850
3,237
822
2,415
106.2
41.7
70.3
20.7
51,649
34,736
16,913
5.4
6,033
22,946
6.3
9,979
12,967
2,436
10,531
2,263
8,268
2.9
43.5
67.3
26.3
66,364
46,436
19,927
17.8
4,323
24,250
5.7
10,989
13,261
1,100
12,161
3,087
9,074
9.8
45.3
70.0
17.8
E: MOSt Estimates; * HTM Amortization and losses on account of transfer of securities from AFS to HTM conisdered as part of other
Manish Karwa (MKarwa@MotilalOswal.com) +91 22 39825409/ Ajinkya Dhavale (AjinkyaDhavale@MotilalOswal.com) +91 22 39825426
29 June 2007
81

Results Preview
SECTOR: BANKING
Punjab National Bank
STOCK INFO.
BLOOMBERG
REUTERS CODE
BSE Sensex: 14,651 PNB IN
S&P CNX: 4,318
PNB.BO
29 June 2007
Previous Recommendation: Buy
Buy
Rs540
EPS
P/E
(X)
P/BV
(X)
CAR
(%)
ROAE
(%)
ROAA
(%)
P/ABV
RATIO
PAT
(RS M)
EPS
(RS) GROWTH (%)
Equity Shares (m)
52-Week Range
1,6, 12 Rel. Perf. (%)
M.Cap. (Rs b)
M.Cap. (US$ b)
315.3
585/300
1/0/28
170.2
4.2
YEAR
END
NET INCOME
(RS M)
3/07A
3/08E
3/09E
65,569
76,216
88,852
15,401
18,853
22,996
48.8
59.8
72.9
7.0
22.4
22.0
11.1
9.0
7.4
1.7
1.5
1.3
12.3
11.4
11.0
15.5
16.9
18.0
1.0
1.1
1.1
1.8
1.6
1.4
?
We expect a marginal drag on margins as the bank has aggressively built up bulk deposits in 4QFY07, exerting
upward pressure on cost of funds. Higher yields on advances will enable the bank to partly counter the rising costs
Thrust on growing fee income, robust technological support and widespread customer franchise would enable PNB
to improve fee income by 20-25% in 1QFY08. The bank has transferred Rs50b of securities from its AFS book to
HTM taking a hit on profits of ~Rs2b. In 1QFY07 the bank had booked Rs4b of losses for similar reasons.
Sharp deterioration in asset quality was observed during 2HFY07 with sequential growth in absolute GNPA and
NNPA. We expect NPA provisions to be higher for PNB on account of its increased gross NPAs during FY07.
However some reversals of investment depreciation booked in 4QFY07 can restrict growth in overall provisions.
At CMP, the stock is trading at 7.4x FY09E EPS and 1.3x FY09E BV. We maintain
Buy.
?
?
?
QUARTERLY PERFORMANCE
Y/E MARCH
1Q
2Q
FY07
3Q
4Q
1Q
2Q
FY08E
3Q
4Q
FY07
(RS MILLION)
FY08E
Interest Income
Interest Expense
Net Interest Income
% Change (YoY)
Other Income
Net Income
% Change (YoY)
Operating Expenses
Operating Profit
Provision & Contingencies
PBT
Tax Provisions
Net Profit
% Change (YoY)
Cost to Income Ratio (%)
Int exp/ Int Earned (%)
Other Income / Net Income (%)
E: MOSt Estimates
26,405
13,476
12,929
18.8
-1,055
11,874
-11.5
6,969
4,906
-230
5,135
1,460
3,675
2.6
58.7
51.0
-8.9
27,643
14,015
13,628
14.4
2,840
16,468
9.6
7,580
8,888
1,018
7,870
2,820
5,050
19.7
46.0
50.7
17.2
29,483
15,024
14,459
19.7
3,231
17,689
21.8
8,123
9,567
3,577
5,990
1,691
4,299
16.0
45.9
51.0
18.3
31,944
17,714
14,230
20.6
5,184
19,414
21.2
10,591
8,824
6,127
2,697
320
2,377
-17.7
54.6
55.5
26.7
33,798
18,597
15,202
17.6
500
15,702
32.2
8,711
6,991
1,600
5,391
1,725
3,666
-0.3
55.5
55.0
3.2
34,812
19,155
15,658
14.9
2,840
18,498
12.3
8,972
9,525
2,800
6,725
1,883
4,842
-4.1
48.5
55.0
15.4
35,857
19,538
16,319
12.9
3,231
19,550
10.5
9,241
10,308
3,577
6,731
1,691
5,040
17.2
47.3
54.5
16.5
38,140
20,072
18,069
27.0
4,398
22,467
15.7
9,659
12,808
4,923
7,885
2,721
5,164
117.3
43.0
52.6
19.6
115,375
60,229
55,146
18.2
10,423
65,569
11.2
33,262
32,306
10,615
21,691
6,291
15,401
7.0
50.7
52.2
15.9
142,608
77,361
65,247
18.3
10,969
76,215
16.2
36,583
39,632
12,900
26,732
8,020
18,712
21.5
48.0
54.2
14.4
Manish Karwa (MKarwa@MotilalOswal.com) +91 22 39825409/ Ajinkya Dhavale (AjinkyaDhavale@MotilalOswal.com) +91 22 39825426
29 June 2007
82

Results Preview
SECTOR: BANKING
State Bank of India
STOCK INFO.
BLOOMBERG
REUTERS CODE
BSE Sensex: 14,651 SBIN IN
S&P CNX: 4,318
SBI.BO
29 June 2007
Previous Recommendation: Buy
Buy
Rs1,525
CON. EPS
(RS)
CON.
P/E (X)
P/BV
(X)
CON.
P/BV (X)
CAR
(%)
ROAE
(%)
ROAA
(%)
PAT
(RS B)
EPS
(RS)
Equity Shares (m)
52-Week Range
1,6,12 Rel. Perf. (%)
M.Cap. (Rs b)
M.Cap. (US$ b)
526.3
1,531/684
13/16/72
802.8
19.7
YEAR
END
NET INCOME
(RS B)
3/07A
3/08E
3/09E
218.2
250.6
292.3
45.4
51.9
61.7
86.3
98.6
117.2
120.9
140.5
168.5
12.6
10.9
9.0
2.6
2.3
2.0
1.9
1.6
1.4
12.3
11.0
10.2
15.4
15.5
16.3
0.9
0.8
0.8
Consolidated
?
We expect margins to improve in 1QFY08 on account of improvement in yield on advances due to successive PLR
hikes by the bank. Yields on investments however, may continue to be under pressure due to maturity of some high
coupon bonds.
We understand that SBI has transferred securities from AFS to HTM worth Rs100b-Rs110b, which would lead to a
transfer loss of Rs3b-Rs3.5b during 1QFY08. This loss would be classified under other income, which may dampen
operating profit growth.
NPA provisions would be higher as SBI’ net NPA ratio continues to be higher than industry at 1.6%. We expect the
s
bank to start providing for revised AS-15 at a run rate of Rs2.2b per quarter.
We expect a tax rate of 35% in 1QFY08 against 59% in 1QFY07, the lower tax provisions would result in strong
growth in PAT during 1QFY08.
At CMP, the stock is trading at 9x FY09E cons. EPS and 1.4x FY09E cons. BV. Maintain
Buy.
(RS MILLION)
FY07
1Q
2Q
3Q
4Q
1Q
2Q
FY08E
3Q
4Q
FY07
FY08E
?
?
?
?
QUARTERLY PERFORMANCE
Y/E MARCH
Interest Income
Interest Expenses
Net Interest Income
% Change (Y-o-Y)
Other Income
Net Income
Operating Expenses
Operating Profit
% Change (Y-o-Y)
Other Provisions
Provision for Taxes
Net Profit
% Change (Y-o-Y)
Cost to Income Ratio
Interest Exp / Interest Earned
Other Income / Net Income
E: MOSt Estimates
88,362
49,521
38,841
-8.7
17,626
56,467
28,101
28,366
-17.5
12,820
7,559
7,987
-34.7
49.8
56.0
31.2
93,775
54,788
38,987
8.1
14,338
53,324
28,599
24,726
24.7
6,813
6,067
11,845
-2.5
53.6
58.4
26.9
97,359
57,846
39,513
-6.4
18,110
57,623
29,074
28,549
9.8
11,662
6,237
10,650
-4.5
50.5
59.4
31.4
115,415
72,213
43,201
21.5
28,941
72,142
32,460
39,682
34.0
14,126
10,626
14,930
75.0
45.0
62.6
40.1
119,288
74,281
45,007
15.9
15,000
60,007
31,474
28,534
0.6
12,000
5,787
10,747
34.6
52.4
62.3
25.0
122,270
76,509
45,761
17.4
14,500
60,261
31,458
28,803
16.5
10,000
6,581
12,222
3.2
52.2
62.6
24.1
127,161
79,570
47,591
20.4
14,500
62,091
32,563
29,528
3.4
10,500
6,470
12,559
17.9
52.4
62.6
23.4
131,976
81,637
50,340
16.5
17,947
68,287
34,419
33,869
-14.7
10,800
6,716
16,353
9.5
50.4
61.9
26.3
394,910
234,368
160,542
3.0
57,692
218,235
118,235
100,000
21.2
24,096
30,490
45,413
3.1
54.2
59.3
26.4
500,696
311,996
188,699
17.5
61,947
250,647
129,914
120,733
20.7
43,300
25,553
51,880
14.2
51.8
62.3
24.7
Manish Karwa (MKarwa@MotilalOswal.com) +91 22 39825409/ Ajinkya Dhavale (AjinkyaDhavale@MotilalOswal.com) +91 22 39825426
29 June 2007
83

Results Preview
SECTOR: BANKING
Syndicate Bank
STOCK INFO.
BLOOMBERG
REUTERS CODE
BSE Sensex: 14,651 SNDB IN
S&P CNX: 4,318
SBNK.BO
29 June 2007
Previous Recommendation: Buy
Buy
Rs77
EPS
P/E
(X)
P/BV
(X)
CAR
(%)
ROAE
(%)
ROAA
(%)
P/ABV
RATIO
PAT
(RS M)
EPS
(RS) GROWTH (%)
Equity Shares (m)
52-Week Range
1,6,12 Rel. Perf. (%)
M.Cap. (Rs b)
M.Cap. (US$ b)
522.0
93/47
-3/-4/15
40.0
1.0
YEAR
END
NET INCOME
(RS M)
3/07A
3/08E
3/09E
27,685
31,829
36,548
7,161
8,111
9,246
13.7
15.5
17.7
33.5
13.3
14.0
5.6
4.9
4.3
1.2
1.0
0.9
11.7
11.3
10.8
21.9
20.2
19.7
1.0
0.8
0.8
1.3
1.1
0.9
?
We expect strong NII growth of 25% YoY as yields on advances have improved on account of PLR hikes in the past
six months.
QoQ, we expect margins to improve on the back of a slowdown in intake of bulk deposits, which were a drag on
margins. Subsequently, we believe that core earnings growth for the next couple of quarters will also remain strong.
Non-interest income is expected to remain flat due to lower trading gains in the current quarter and lower recoveries.
As over 80% of the investment book is in HTM, we expect marginal provisions on account of MTM losses. Nevertheless,
we are estimating higher provisions for NPAs and standard assets.
We believe the bank would come out of MAT during FY08 and thus tax provisions would tend to go up for the bank.
We have assumed a 20% tax rate for 1QFY08.
Stock is trading at 4.3x FY09E EPS and 0.9x FY09E BV. Maintain
Buy.
?
?
?
?
?
QUARTERLY PERFORMANCE
Y/E MARCH
1Q
2Q
FY07
3Q
4Q
1Q
2Q
FY08E
3Q
4Q
FY07
(RS MILLION)
FY08E
Interest Income
Interest Expense
Net Interest Income
% Change (Y-o-Y)
Other Income
Net Income
% Change (Y-o-Y)
Operating Expenses
Operating Profit
Other Provisions
Tax Provisions
Net Profit
% Change (Y-o-Y)
Cost to Income Ratio (%)
Interest Exp./Interest Income (%)
Other Income/Net Income (%)
E: MOSt Estimates
12,308
7,249
5,059
7.1
1,342
6,401
5.9
3,382
3,019
963
250
1,806
10.7
52.8
58.9
21.0
14,373
9,527
4,846
1.0
1,656
6,502
7.0
3,471
3,031
730
250
2,051
17.1
53.4
66.3
25.5
16,353
10,794
5,559
3.9
1,490
7,049
8.0
3,768
3,281
1,478
-458
2,261
20.4
53.5
66.0
21.1
17,366
11,330
6,037
53.3
1,938
7,974
35.3
3,239
4,736
3,617
76
1,043
911.5
40.6
65.2
24.3
17,970
11,672
6,298
24.5
1,400
7,698
20.3
3,720
3,979
1,000
600
2,379
31.7
48.3
65.0
18.2
19,404
13,052
6,351
31.1
1,500
7,851
20.7
3,818
4,033
1,000
667
2,366
15.4
48.6
67.3
19.1
20,932
14,571
6,360
14.4
1,600
7,960
12.9
4,070
3,890
1,200
592
2,099
-7.2
51.1
69.6
20.1
21,475
14,865
6,610
9.5
1,709
8,319
4.3
4,122
4,197
2,500
429
1,268
21.6
49.5
69.2
20.5
60,401
38,900
21,501
14.3
6,185
27,685
13.3
13,860
13,826
6,547
118
7,161
33.5
50.1
64.4
22.3
79,781
54,161
25,620
19.2
6,209
31,829
15.0
15,730
16,099
5,700
2,288
8,111
13.3
49.4
67.9
19.5
Manish Karwa (MKarwa@MotilalOswal.com) +91 22 39825409/ Ajinkya Dhavale (AjinkyaDhavale@MotilalOswal.com) +91 22 39825426
29 June 2007
84

Results Preview
SECTOR: BANKING
Union Bank of India
STOCK INFO.
BLOOMBERG
REUTERS CODE
BSE Sensex: 14,651 UNBK IN
S&P CNX: 4,318
UNBK.BO
29 June 2007
Previous Recommendation: Buy
Buy
Rs132
EPS
P/E
(X)
P/BV
(X)
CAR
(%)
ROAE
(%)
ROAA
(%)
P/ABV
RATIO
PAT
(RS M)
EPS
(RS) GROWTH (%)
Equity Shares (m)
52-Week Range
1,6,12 Rel. Perf. (%)
M.Cap. (Rs b)
M.Cap. (US$ b)
505.1
142/81
7/2/8
66.8
1.6
YEAR
END
NET INCOME
(RS M)
3/07A
3/08E
3/09E
34,768
40,142
47,593
8,454
10,634
13,065
16.7
21.1
25.9
25.3
25.8
22.9
7.9
6.3
5.1
1.4
1.2
1.0
12.8
11.3
10.5
17.3
19.0
20.2
0.9
0.9
1.0
1.5
1.3
1.1
?
We expect margins to remain stable at around 3-3.05% in 1QFY08 as increased yields on advances would offset the
rising cost of funds.
In line with the industry, business growth may remain subdued in 1QFY08 for the bank and liquidity situation would
thus improve.
Core fee income is likely to continue to grow strongly at 25%+ YoY in 1QFY08 on the back of bank’ increased thrust
s
on marketing third party products and scaling up traditional non-fund based revenue.
Net NPAs for the bank have reduced to below 1% in 4QFY07. Management has a target to reduce this ratio to about
0.5% by FY08. Strong operating profit growth would enable the bank to make higher provisions for NPAs and still
record strong earnings growth.
We expect earnings to grow by 38% YoY in 1QFY08 on the back of strongt NII growth of 28% coupled with robust
fee income growth.
At CMP, the stock is trading at 5.1x FY09E EPS and 1x FY09E BV. We maintain
Buy.
(RS MILLION)
FY07
1Q
2Q
3Q
4Q
1Q
2Q
FY08E*
3Q
4Q
FY07
FY08E
?
?
?
?
?
QUARTERLY PERFORMANCE
Y/E MARCH
Interest Income
Interest Expense
Net Interest Income
% Change (Y-o-Y)
Other Income
Net Income
% Change (Y-o-Y)
Operating Expenses
Operating Profit
Other Provisions
Tax Provisions
Net Profit
% Change (Y-o-Y)
Cost to Income Ratio (%)
Interest Exp./Interest Income (%)
Other Income/Net Income (%)
results
16,657
10,312
6,345
18.7
1,650
7,995
19.6
3,730
4,265
1,579
1,018
1,668
-30.6
46.7
61.9
20.6
17,724
11,449
6,276
4.2
1,918
8,193
10.3
3,910
4,283
1,220
1,122
1,942
217.8
47.7
64.6
23.4
18,492
11,633
6,859
7.3
2,052
8,911
14.5
3,860
5,051
1,426
1,067
2,558
11.7
43.3
62.9
23.0
20,949
12,526
8,423
40.9
2,418
10,841
40.6
3,259
7,582
3,153
2,144
2,285
58.0
30.1
59.8
22.3
21,654
13,560
8,094
27.6
1,500
9,594
20.0
4,103
5,490
2,000
1,175
2,315
38.8
42.8
62.6
15.6
22,953
14,849
8,105
29.1
1,800
9,905
20.9
4,223
5,682
1,500
1,408
2,774
42.9
42.6
64.7
18.2
23,871
15,739
8,132
18.6
2,000
10,132
13.7
4,246
5,886
1,800
1,375
2,710
6.0
41.9
65.9
19.7
24,105
15,796
8,309
-1.4
2,203
10,512
-3.0
4,341
6,171
1,900
1,438
2,834
24.0
41.3
65.5
21.0
73,822
45,920
27,902
17.5
6,865
34,768
21.2
14,759
20,008
6,204
5,350
8,454
25.3
42.5
62.2
19.7
92,583
59,944
32,639
17.0
7,503
40,142
15.5
16,913
23,229
7,200
5,395
10,634
25.8
42.1
64.7
18.7
E: MOSt Estimates; * HTM amortization is included in the Provisions in FY07 while in FY08 it is included in Other Income for quarterly
Manish Karwa (MKarwa@MotilalOswal.com) +91 22 39825409/ Ajinkya Dhavale (AjinkyaDhavale@MotilalOswal.com) +91 22 39825426
29 June 2007
85

Results Preview
SECTOR: BANKING
UTI Bank
STOCK INFO.
BLOOMBERG
REUTERS CODE
BSE Sensex: 14,651 UTIB IN
S&P CNX: 4,318
UTBK.BO
29 June 2007
Previous Recommendation: Buy
Buy
Rs605
EPS
P/E
(X)
P/BV
(X)
CAR
(%)
ROAE
(%)
ROAA
(%)
P/ABV
RATIO
PAT
(RS M)
EPS
(RS) GROWTH (%)
Equity Shares (m)
52-Week Range
1,6,12 Rel. Perf. (%)
M.Cap. (Rs b)
M.Cap. (US$ b)
278.7
629/249
6/23/89
168.6
4.1
YEAR
END
NET INCOME
(RS M)
3/07A
3/08E
3/09E
24,784
35,160
45,522
6,590
8,944
12,250
23.4
25.1
34.4
34.5
7.4
37.0
26.3
24.1
17.6
5.1
2.5
2.3
11.6
14.0
12.5
21.0
15.0
13.6
1.1
1.0
1.1
5.3
2.6
2.4
?
We expect strong NII growth of 44% to continue in 1QFY08 on the back of 50%+ loan growth, improved yield on
advances, and strong growth in CASA.
We expect NIMs to remain stable at a level of ~3% during 1QFY08.
The bank continues to be in a rapid branch expansion phase. Opex growth likely to remain ~45% YoY.
Another key driver has been sustained growth in its fee-based income. We expect core fee income to grow 30%+ in
1QFY08.
In 1QFY07, the bank had made exceptional investment related provision of Rs0.9b, causing a dent in profits.
Earnings are expected to increase by 39% YoY to Rs1.7b in 1QFY08 supported by robust growth in NII and fee
income.
The stock currently trades at 17.6x FY09E EPS and 2.3x FY08E BV. Maintain
Buy.
(RS MILLION)
FY07
1Q
2Q
3Q
4Q
1Q
2Q
FY08E*
3Q
4Q
FY07
FY08E
?
?
?
?
?
?
QUARTERLY PERFORMANCE
Y/E MARCH
Interest Income
Interest Expense
Net Interest Income
Y-o-Y Growth (%)
Other Income
Net Income
Operating Expenses
Operating Profit
Y-o-Y Growth (%)
Provision & Contingencies
Profit before Tax
Tax Provisions
Net Profit
Y-o-Y Growth (%)
Int Exp/ Int Earned (%)
Other Income / Net Income (%)
Cost to Income Ratio (%)
results
9,539
6,321
3,218
44.7
2,245
5,463
2,392
3,072
51.0
1,248
1,824
618
1,206
30.1
66.3
41.1
43.8
10,501
6,849
3,652
43.0
2,048
5,699
2,955
2,745
16.3
588
2,157
738
1,420
30.2
65.2
35.9
51.8
11,896
7,738
4,158
44.7
2,797
6,956
3,370
3,586
40.0
763
2,824
977
1,846
40.2
65.0
40.2
48.4
13,668
9,025
4,642
48.4
3,011
7,653
3,430
4,223
100.6
1,065
3,158
1,039
2,119
39.8
66.0
39.3
44.8
14,118
9,481
4,637
44.1
2,679
7,315
3,635
3,680
19.8
1,050
2,630
950
1,680
39.4
67.2
36.6
49.7
15,331
10,137
5,194
42.2
2,555
7,750
4,136
3,614
31.6
800
2,814
957
1,857
30.8
66.1
33.0
53.4
17,249
11,142
6,107
46.9
3,331
9,438
4,886
4,552
26.9
900
3,652
1,242
2,410
30.6
64.6
35.3
51.8
19,724
12,357
7,367
58.7
3,289
10,657
4,951
5,705
35.1
1,250
4,455
1,459
2,996
41.4
62.6
30.9
46.5
45,604
29,933
15,671
45.3
9,114
24,784
12,146
12,639
39.5
2,674
9,965
3,375
6,590
35.9
65.6
36.8
49.0
66,423
43,117
23,306
48.7
11,854
35,160
17,608
17,551
38.9
4,000
13,551
4,607
8,944
35.7
64.9
33.7
50.1
E: MOSt Estimates; * HTM amortization is included in the Provisions in FY07 while in FY08 it is included in Other Income for quarterly
Manish Karwa (MKarwa@MotilalOswal.com) +91 22 39825409/ Ajinkya Dhavale (AjinkyaDhavale@MotilalOswal.com) +91 22 39825426
29 June 2007
86

Results Preview
SECTOR: BANKING
Vijaya Bank
STOCK INFO.
BLOOMBERG
REUTERS CODE
BSE Sensex: 14,651 VJYBK IN
S&P CNX: 4,318
VJBK.BO
29 June 2007
Previous Recommendation: Neutral
Neutral
Rs50
P/E
(X)
P/BV
(X)
CAR
(%)
ROAE
(%)
ROAA
(%)
P/ABV
RATIO
PAT
(RS M)
EPS
EPS
(RS) GROWTH (%)
Equity Shares (m)
52-Week Range
1,6,12 Rel. Perf. (%)
M.Cap. (Rs b)
M.Cap. (US$ b)
433.5
59/33
6/-1/-12
21.6
0.5
YEAR
END
NET INCOME
(RS M)
3/07A
3/08E
3/09E
13,467
15,131
17,126
3,313
3,848
4,431
7.6
8.9
10.2
161.1
16.1
15.2
6.5
5.6
4.9
1.1
1.0
0.9
11.2
11.0
10.5
18.6
19.0
19.3
0.9
0.8
0.8
1.2
1.1
1.0
?
?
?
?
We expect the bank to post 14% YoY growth in NII to Rs2.9b.
1Q margins are likely to increase on account of the higher yields on advances.
Advances are expected to show 25% YoY growth while deposits are likely to post 20% growth YoY.
The bank has one of the best asset qualities in the industry with gross NPA ratio at 2.3%. Nevertheless gross as well
as net NPAs increased in absolute amount by~Rs0.4b during 4QFY07. We expect the bank to make higher provisions
during 1QFY08 to bring down the net NPAs from 0.6% in March 2007.
In 1QFY07 the bank had taken a hit of Rs830m on account of transfer of securities from AFS to HTM. We do not
expect any such exceptional during 1QFY08. Thus profits growth would be higher at 16% despite the bank making
higher provisions toward NPAs during the quarter.
At, CMP, the stock trades at 4.9x FY09E EPS and 0.9x FY09E BV. Maintain
Neutral.
(RS MILLION)
FY07
1Q
2Q
3Q
4Q
1Q
2Q
FY08E*
3Q
4Q
FY07
FY08E
?
?
QUARTERLY PERFORMANCE
Y/E MARCH
Interest Income
Interest Expense
Net Interest Income
% Change (Y-o-Y)
Other Income
Net Income
% Change (Y-o-Y)
Operating Expenses
Operating Profit
Other Provisions
Tax Provisions
Net Profit
% Change (Y-o-Y)
Cost to Income Ratio (%)
Interest Exp./Interest Income (%)
Other Income/Net Income (%)
results
6,134
3,551
2,583
8.9
866
3,450
1.5
1,498
1,951
1,105
120
726
163.7
43.4
57.9
25.1
6,742
4,144
2,598
11.6
718
3,316
1.4
1,550
1,766
475
268
1,023
36.3
46.7
61.5
21.7
7,319
4,669
2,650
2.3
730
3,379
1.7
1,657
1,722
535
260
927
57.7
49.0
63.8
21.6
8,036
5,148
2,888
18.6
846
3,734
15.9
1,802
1,933
1,779
-483
637
NA
48.2
64.1
22.6
8,097
5,149
2,948
14.1
600
3,548
2.9
1,648
1,900
850
210
840
15.7
46.5
63.6
16.9
8,630
5,553
3,077
18.4
600
3,677
10.9
1,705
1,972
700
254
1,017
-0.6
46.4
64.3
16.3
9,222
6,116
3,105
17.2
700
3,805
12.6
1,790
2,016
700
263
1,053
13.5
47.0
66.3
18.4
10,281
6,970
3,312
14.7
789
4,101
-14.0
1,979
2,122
950
234
938
47.3
48.3
67.8
19.2
28,231
17,512
10,719
10.2
2,748
13,467
7.2
6,507
6,960
3,483
164
3,313
161.1
48.3
62.0
20.4
36,230
23,788
12,442
16.1
2,689
15,131
12.4
7,122
8,010
3,200
962
3,848
16.1
47.1
65.7
17.8
E: MOSt Estimates; * HTM amortization is included in the Provisions in FY07 while in FY08 it is included in Other Income for quarterly
Manish Karwa (MKarwa@MotilalOswal.com) +91 22 39825409/ Ajinkya Dhavale (AjinkyaDhavale@MotilalOswal.com) +91 22 39825426
29 June 2007
87

Results Preview
QUARTER ENDED JUNE 2007
Cement
BSE Sensex: 14,651
S&P CNX: 4,318
29 June 2007
COMPANY NAME
PG.
ACC
95
Birla Corporation
96
1QFY08: Highlights
YoY Comparative (v/s 1QFY07)
?
Volumes expected to be higher by 8.5%
?
Prices expected to be higher by 7.2%
QoQ Comparative (v/s 4QFY07)
?
Volumes expected to be lower by 0.7%
?
Prices expected to be higher by 1.6%
CEMENT INDUSTRY DYNAMICS: DEMAND AND PRICE
Grasim Industries
97
Gujarat Ambuja
98
India Cements
99
National Despatches (LHS)
Shree Cement
100
Average Price (RHS)
225
200
175
150
125
16
14
UltraTech Cement
101
11
9
6
Source: CMA/MOSt
MOST CEMENT UNIVERSE: 1QFY08 PERFORMANCE AT A GLANCE
VOLUME (M TON)
1QFY08
1QFY07
GR. (%)
REALIZATION
YOY (%)
ACC
Ambuja Cement
Birla Corporation
Grasim Industries
India Cements
Shree Cement
UltraTech Cement
Industry Ave rage
5.3
4.5
1.3
3.9
2.3
1.4
4.6
41.9
4.6
3.8
1.3
3.5
1.9
1.1
4.5
38.6
13.4
18.0
3.1
10.0
24.2
20.2
2.2
8.5
Source: CMA/Motilal Oswal
10.5
9.1
18.2
9.6
10.3
9.8
11.1
7.2
Securities
EXPECTED QUARTERLY PERFORMANCE SUMMARY
RECO
SALES
JUN.07
CHG. (%)
JUN.07
EBITDA
CHG. (%)
(RS MILLION)
NET PROFIT
JUN.07
CHG. (%)
Cement
ACC
Ambuja Cement
Birla Corporation
Grasim Industries
India Cements
Shree Cement
UltraTech Cement
Sector Aggregate
Neutral
Buy
Buy
Buy
Buy
Buy
Buy
17,923
14,775
4,259
22,418
6,637
4,082
13,009
83,103
25.8
12.5
22.1
19.4
36.8
31.9
10.2
19.8
5,470
5,882
1,516
6,946
2,325
1,827
4,295
28,261
20.1
14.1
47.6
35.3
40.4
32.9
14.7
24.8
3,694
4,197
913
4,140
1,365
1,003
2,401
17,712
24.5
20.5
46.4
32.7
21.3
10.9
13.9
23.6
Jinesh K Gandhi (Jinesh@MotilalOswal.com); Tel +91 22 39825416
29 June 2007
88

Cement
Pricing: Cement prices booming
1QFY08 highlights
?
YoY Comparative:
higher by 7.2%
?
QoQ Comparative:
higher by 1.6%
1QFY08: SUMMARY PRICING TREND
PRICE CHANGE (%)
YOY
QOQ
PRICE TREND – NORTH (RS/BAG)
240
210
180
150
120
Jun-02
North
East
West
South
Central
National Average
5.7
9.3
8.0
6.4
6.9
7.2
-0.6
0.6
1.9
4.3
0.7
1.6
Source: Industry/MOSt
* adjusted for changes in prices for excise duty
Apr-03
Feb-04
Dec-04
Oct-05
Aug-06
Jun-07
PRICE TREND – EAST (RS/BAG)
PRICE TREND – WEST (RS/BAG)
240
210
180
150
120
Jun-02
250
215
180
145
110
Jun-02
Apr-03
Feb-04
Dec-04
Oct-05
Aug-06
Jun-07
Apr-03
Feb-04
Dec-04
Oct-05
Aug-06
Jun-07
PRICE TREND – SOUTH (RS/BAG)
PRICE TREND – CENTRAL (RS/BAG)
240
210
180
150
120
Jun-02
230
200
170
140
110
Jun-02
Apr-03
Feb-04
Dec-04
Oct-05
Aug-06
Jun-07
Apr-03
Feb-04
Dec-04
Oct-05 Aug-06
Jun-07
29 June 2007
89

Cement
Pricing flexibility to return earlier than expected …
In the wake of higher inflation, the government has been closely monitoring cement prices
and has taken several measures to control them. With inflation waning and the UP elections
over, we believe that the government would moderate its strict stance on the cement
industry. In May 2007 it replaced specific excise duty with ad-valorem duty, which in our
opinion, signals the end of state intervention.
INFLATION WANING DOWN (%)
7.0
6.0
5.0
4.0
3.0
Jun-05
Sep-05
Dec-05
Mar-06
Jun-06
Sep-06
Dec-06
Mar-07
Jun-07
Source: Bloomberg
THE GOVERNMENT HAS TAKEN SEVERAL INITIATIVES TO CONTROL CEMENT PRICES
GOVERNMENT INITIATIVE
WHEN
REASONING
IMPACT
REMARK
Shift to ad-valorem rate of
excise for cement priced at
an MRP of over Rs190/bag
May '07
Lower excise burden
if MRP is below
Rs250/bag, than the
specific rate of
Rs600/ton
Positive
?
Reduces excise duty burden for cement priced at
an MRP below Rs250/bag; however, MRP in
most markets is in the range of Rs230-260/bag
?
Favorable in times of declining cement prices, as
impact would be diluted by lower excise burden
Exempting imported cement
from CVD/SAD, if retail
selling price is below
Rs190/bag
Apr '07
Lowering cost of
imported cement
by abolishing
CVD (Rs408/ton)
and SAD (4%) for
imported cement
Neutral
?
Reduces price of bagged imported cement by
around Rs32/bag
?
Negligible import yet due to regulatory and
infrastructure constraints
?
Retail price of imported cement might exceed
Rs190/bag, thereby attracting CVD/SAD
Cap on cement prices for
1 year till February 2007
Mar '07
Restricts further
increase in
cement prices
Negative
?
No price hikes, even for cost inflation, but benefits
of any sop to be passed on
?
Resultant prices in-line with our price assumptions
?
Validity of this agreement under cloud after
exemption of CVD/SAD
Differential excise duty
structure on cement, with
excise of Rs600/ton for
cement priced at an MRP
of over Rs190/bag, else
Rs350/ton
Abolishment of 12.5%
import duty on cement
Feb '07
Encourage lower
prices by
offering
sops to lower
cement prices
Negative
?
Increases excise duty by Rs200/ton, which is
immediately passed on
?
Reduces scope for increase in cement prices, as it
narrows gap between domestic and imported cement
?
Price increase of Rs12/bag, to pass on higher excise,
doesn’ impact producer’ realizations
t
s
Jan '07
Lowering cost
of imported
cement by
Rs17-20/bag
Neutral
?
Negligible import yet due to regulatory and
infrastructure constraints
?
Retail price of imported cement might exceed
Rs190/bag, thereby attracting CVD/SAD
Source: Motilal Oswal Securities
29 June 2007
90

Cement
This coupled with favorable demand-supply scenario augurs well for pricing flexibility
with industry. We now expect cement prices to begin increasing, after remaining stable
during the monsoon season. However, our estimates factor in stable prices (at the levels
of March 2007) throughout FY08, translating into a Rs5/bag price hike over FY07.
… contrary to consensus, cement prices are gradually increasing
Cement prices in most of the markets remained stable during 1QFY08, except for pass
through of benefits of savings in excise on account of the shift towards ad-valorem rate.
However, cement prices in southern India have gradually improved, with price increases
of around Rs3-10/bag since March 2007 across all major southern markets, which have
resulted in aligning prices in southern India with other regions. Given the demand-excess
situation in all the regions, cement prices are expected to gradually inch up post-monsoon,
contrary to consensus view of stable prices.
TREND IN CEMENT PRICES (NATIONAL AVERAGE, RS/BAG)
240
210
180
150
120
Jun-02
Apr-03
Feb-04
Dec-04
Oct-05
Aug-06
Jun-07
CAPACITY UTILIZATION TO REMAIN HIGH
250
200
150
100
50
FY 02
Despatches
Excess Capacity
In w orst case scenario, w here all 75m ton of announced capacity
is operational w ithin 24 months of announcement
FY 03
FY 04
FY 05
FY 06
FY 07
FY 08E
FY 09E
Source: CMA/Motilal Oswal Securities
Import threat insignificant
We believe import of cement in India is not feasible, despite government abolishing all
import barriers. The biggest impediment to import of cement is Bureau of Industrial
Standards (BIS) approval and port infrastructure. Despite efforts to import cement from
Pakistan, there have been no initiatives made by Pakistan’ cement industry to secure BIS
s
approval, partly due to resistance for import of cement from Pakistan.
29 June 2007
91

Cement
Our interaction with Pakistan cement manufacturers suggests that they would be looking
at
f.o.b.
realizations of around US$65ton-US$70/ton for export to India, which is in line
with realizations which they enjoy on export to the Middle-East region. This would result
in land cost at Rs145/bag, cost of direct import by users at Rs179/bag (excl. import duty/
CVD/SAD) and cost for retail at Rs211/bag (excl import duty/CVD/SAD). However,
since CVD/SAD are applicable for imported cement sold above Rs190/bag, effective
cost of cement from Pakistan would be around Rs248/bag, which makes it unviable for
import.
SENSITIVITY ANALYSIS FOR IMPORTED CEMENT
IMPORTS VIABILITY - SCENARIO ANALYSIS
W/O CUSTOM DUTY
W/O CVD/SAD
USD/INR
FOB (US$/ton)
Freight (US$/ton)
Price CIF (US$/ton)
Import Duty @ 12.5%
CVD @ 12%
Sp Addn Duty @ 4% (Rs/ton)
Landed cost (Rs/ton)
Port & Handling charges (Rs/ton)
Packing charges
Octroi/Entry Tax @ 4% of Landed cost
Local Freight (Rs/ton)
Total Cost to importer/bulk user (Rs/bag)
Importer’ margin @ 2%
s
Trade’ margin
s
VAT @ 12.5%
Total retail price for imported cement (Rs/bag)
Current retail price (Rs/bag) - Chennai
Difference between imported & Chennai price (%)
41
65
5
70
0
480
134
3,484
350
0
139
250
211
4
5
28
248
225
10.2
41
65
5
70
0
0
0
2,870
350
0
115
250
179
4
5
23
211
225
-6.1
Source: Motilal Oswal Securities
Further, from its lows, cement prices in Pakistan have now started rising and are expected
to further improve going forward, driven by strong home market demand as well as in the
Middle East. This will, in turn, reduce the attractiveness for export to India.
As articulated by us earlier, despite withdrawal of import tariffs, there has been no major
import of cement pending BIS approval. As reported by the media, smaller consignments
(200-2,000 tons) of imported cement from Pakistan are awaiting BIS approval for a long
time now. Further, imported cement sold above Rs190/bag MRP would attract CVD /
SAD on such imports, reducing the attractiveness of imported cement. In addition, the
domestic port infrastructure is yet to be tested for handling large volumes.
Strong volume growth, higher prices to drive earnings
We expect MOST cement universe to report around 8.5% volume growth, driven primarily
by strong volume growth of 20% for Shree Cement, 24% for India Cement (due to Visaka
merger), 13% for ACC and 11% for Grasim. However, other cement companies under
29 June 2007
92

Cement
our coverage are expected to report muted volume growth, as they are operating at optimum
capacity. Higher volumes, coupled with improvement in realizations (~Rs300 YoY and
Rs39 QoQ) would drive improvement in EBITDA of Rs147/ton to Rs1,142/ton.
TREND IN KEY OPERATING PARAMETERS (APR-JUN QUARTER)
VOLUME (M TON)
JUN’
07
YOY
(%)
QOQ
(%)
REALIZATION (RS/TON)
JUN’
07
YOY
(RS/T)
QOQ
(RS/T)
EBITDA (RS/TON)
JUN’
07
YOY
QOQ
(RS/T) (RS/T)
ACC
Ambuja Cement
Birla Corp
Grasim
India Cement
Shree Cement
UltraTech
Sector Aggregate
5.3
4.5
1.3
3.9
2.3
1.4
4.4
22.9
13.4
3.1
3.1
11.1
24.2
20.2
-1.6
8.5
6.4
2.5
-6.0
-0.8
10.7
7.4
-13.1
-0.1
3,299
3,320
2,976
2,994
2,876
2,979
2,970
3,109
314
277
459
263
269
265
318
300
16
17
0
15
105
15
62
39
1,082
1,322
1,186
1,191
1,011
1,333
981
1,142
131
146
312
140
117
127
139
147
-11
24
-8
22
93
148
170
63
Source: Company/Motilal Oswal Securities
Overall, we expect our cement universe’ revenue to grow by 21% YoY, with EBITDA
s
margin expanding by 110bp to 35.6%, translating into 21% YoY increase in PAT.
TREND IN KEY FINANCIAL PARAMETERS (APR-JUN QUARTER)
NET SALES (RS M)
JUN’
07
YOY
(%)
QOQ
(%)
EBITDA MARGIN (%)
JUN’
07
YOY
(BP)
QOQ
(BP)
NET PROFIT (RS M)
JUN’
07
YOY
(%)
QOQ
(%)
ACC
Ambuja Cement
Birla Corp
Grasim
India Cement
Shree Cement
UltraTech
17,923
14,775
4,259
13,645
6,637
4,082
13,009
25.8
12.5
22.1
24.4
36.8
31.9
10.2
20.7
9.6
3.0
-4.1
-0.5
15.3
7.9
-11.2
1.8
32.8
39.8
35.6
34.7
35.0
44.8
33.0
35.6
93
57
617
39
91
32
128
107
-51
54
129
42
192
476
514
163
3,694
4,197
913
4,140
1,365
1,003
2,401
13,573
24.5
20.5
46.4
32.7
21.3
13.9
21.1
5.9
10.4
-9.8
-7.8
-2.3
3.7
12.6
10.92,389.4
Sector Aggregate* 74,329
*Sector PAT excl Grasim
Source: Company/Motilal Oswal Securities
Valuation and view
High volume growth and limited capacity addition has improved the supply-demand scenario
for industry significantly and as a result industry is going through a cyclical upturn, which
is likely to continue for a few more years. Our outlook for the sector remains positive on
the back of two fundamentals: (1) expectation of demand growth at 10% CAGR over
FY06-FY09E; and (2) firm cement prices. After shifting to levy of ad-valorem excise,
there have been minor price cuts of around Rs1-3/bag to pass on the benefits of lower
excise in few markets. However, realizations in all markets are stable and expected to
remain stable during the monsoons. As inflation numbers trend downward due to the base
effect and UP elections are now behind, industry would command better pricing flexibility
based on demand-supply equilibrium. In large cap stocks, Grasim and Ambuja Cement
remains our top picks, while we prefer Birla Corp and Kesoram among mid-caps.
29 June 2007
93

Cement
Stock performance and valuations
STOCK PERFORMANCE (%)
ABSOLUTE PERF
3M
1 YEAR
REL PERF TO SENSEX
3M
1 YEAR
REL PERF TO SECTOR
3M
1 YEAR
Cement
ACC
Ambuja Cement
Birla Corporation
Grasim Industries
India Cement
Shree Cement
UltraTech Cement
27
17
40
26
28
38
17
19
25
14
36
32
64
20
15
5
28
14
16
26
5
-19
-13
-24
-2
-6
26
-18
3
-7
16
2
4
14
-7
-13
-6
-17
5
1
32
-12
RELATIVE PERFORMANCE - 3 MONTH (%)
RELATIVE PERFORMANCE - 1 YEAR (%)
Sensex
125
MOSt Cement Index
155
MOSt Cement Index
Sensex
140
115
125
105
110
95
Mar-07
Apr-07
May-07
Jun-07
95
Jun-06
Sep-06
Dec-06
Mar-07
Jun-07
CMP (RS)
29.6.07
RECO
FY07E
EPS (RS)
FY08E
FY09E
FY07E
P/E (X)
FY08E
FY09E
FY07E
EV/EBITDA
FY08E
FY09E
FY07E
ROE (%)
FY08E
FY09E
Cement
ACC
Ambuja Cement
Birla Corporation
Grasim Industries
India Cements
Shree Cement
UltraTech Cement
Sector Aggregate
934
125
267
2,638
207
1,274
900
Neutral
Buy
Buy
Buy
Buy
Buy
Buy
58.7
8.8
42.4
214.7
18.6
99.1
62.8
75.0
10.7
49.6
248.3
19.7
135.3
79.0
70.0
10.0
48.1
232.5
19.2
151.6
82.3
15.9
14.1
6.3
12.3
11.2
12.9
14.3
14.2
12.5
11.7
5.4
10.6
10.5
9.4
11.4
11.7
13.3
12.4
5.5
11.3
10.8
8.4
10.9
12.2
10.7
9.9
3.7
9.4
9.1
8.2
8.8
9.2
8.1
7.7
2.6
8.0
7.3
5.6
6.8
7.2
8.5
7.5
2.2
7.9
6.8
4.4
6.2
6.9
35.1
47.3
48.1
29.6
45.2
92.6
55.7
37.5
33.6
37.6
38.1
26.5
31.9
70.4
44.2
33.0
25.6
26.6
28.2
20.5
23.7
46.5
32.5
24.9
29 June 2007
94

Results Preview
SECTOR: CEMENT
ACC
STOCK INFO.
BLOOMBERG
REUTERS CODE
BSE Sensex: 14,651 ACC IN
S&P CNX: 4,318
ACC.BO
29 June 2007
Previous Recommendation: Neutral
Neutral
Rs934
EPS
P/E
(X)
P/BV
(X)
ROE
(%)
ROCE
(%)
EV/
EV/
SALES EBITDA
PAT
(RS M)
EPS*
(RS) GROWTH (%)
Equity Shares (m)
52-Week Range
1,6,12 Rel. Perf. (%)
M.Cap. (Rs b)
M.Cap. (US$ b)
187.8
1,192/680
7/-20/-19
175.3
4.3
YEAR
END
NET SALES
(RS M)
12/06A 57,170
12/07E 70,145
12/08E 74,751
* Fully Diluted EPS
11,031
14,095
13,163
58.7
75.0
70.0
160.2
27.8
-6.6
15.9
12.5
13.3
5.6
4.2
3.4
35.1
33.6
25.6
31.3
36.2
28.3
3.0
2.4
2.2
10.7
8.1
8.5
?
?
?
?
?
Net sales are expected to grow by 26% YoY to Rs17.9b, driven by significant improvement in realizations of 10.5%
YoY (~0.5% QoQ) to Rs3,299/ton. Dispatches during 2QCY07 are expected to grow by 13.4% to 5.25m ton, on the
low base of last year, aided by commissioning of new capacity.
Cement business EBITDA margins are expected to improve 90bp to 32.8%. However, due to decline in RMC
business margins, overall EBITDA margins are likely to decline by 150bp to 30.5%. EBITDA is likely to move up
20% YoY to Rs5.5b, translating into PAT growth of 20.6% to Rs3.7b.
ACC has invested Rs160m to acquire 13% stake in Shiva Cement, Orissa-based mini cement plant. Also, ACC
would be subscribing to warrants, which would take ACC’ total stake in Shiva Cement to around 25% on conversion.
s
This investment further strengthens ACC’ presence in eastern India.
s
ACC has entered into an MoU with the Chhattisgarh government, for setting up a 4mt greenfield plant with an
investment of Rs14b, in addition augmenting current capacity in the state by 1.25mt.
The stock trades at 12.5x CY07E EPS and 8.1x CY07E EV/EBITDA. On stretched valuations, we reiterate
Neutral.
(RS MILLION)
CY06
1Q
2Q
3Q
4Q
1Q
2QE
CY07
3QE
4QE
CY06
CY07E
QUARTERLY PERFORMANCE (STANDALONE)
Y/E DECEMBER
Cement Sales (m ton)
YoY Change (%)
Cement Realization
YoY Change (%)
QoQ Change (%)
Net Sales
YoY Change (%)
EBITDA
Margins (%)
Depreciation
Interest
Other Income
PBT before EO Item
EO Income/(Expense)
PBT after EO Item
Tax
Rate (%)
Reported PAT
Adjusted PAT
YoY Change (%)
5.05
12.5
2,553
16.8
17.9
13,364
20.3
3,266
24.4
597
194
333
2,809
91
2,900
545
18.8
2,354
2,280
37.8
4.63
5.0
2,985
34.2
16.9
14,247
29.9
4,556
32.0
579
147
156
3,985
1,464
5,449
1,393
25.6
4,056
2,966
118.9
4.27
8.4
3,053
37.4
2.3
13,577
37.1
3,660
27.0
585
144
217
3,148
1
3,149
894
28.4
2,255
2,254
164.7
4.85
6.1
3,191
47.3
4.5
15,923
46.0
4,685
29.4
771
41
580
4,453
153
4,606
1,021
22.2
3,584
3,466
280.4
4.93
-2.4
3,283
28.6
2.9
16,348
22.3
5,071
31.0
621
40
284
4,694
200
4,894
1,256
25.7
3,638
3,489
53.0
5.25
13.4
3,299
10.5
0.5
17,923
25.8
5,470
30.5
675
70
200
4,925
0
4,925
1,231
25.0
3,694
3,694
24.5
4.95
15.9
3,299
8.1
0.0
16,921
24.6
4,739
28.0
735
70
200
4,134
0
4,134
1,033
25.0
3,100
3,100
37.6
5.55
14.5
3,299
3.4
0.0
18,953
19.0
5,787
30.5
792
68
366
5,294
0
5,294
1,483
28.0
3,811
3,811
10.0
18.9
9.1
2,914
32.8
57,170
34.9
16,232
28.4
2,543
520
1,329
14,498
1,711
16,209
3,877
23.9
12,332
11,031
162.2
20.7
9.7
3,295
13.1
70,145
22.7
21,068
30.0
2,823
248
1,050
19,047
200
19,247
5,004
26.0
14,243
14,095
27.8
E: MOSt Estimates; Note: The quarterly results are not strictly comparable due to amalgamation of Tarmac (I) Ltd.
Jinesh K Gandhi (Jinesh@MotilalOswal.com); Tel +91 22 39825416
29 June 2007
95

Results Preview
SECTOR: CEMENT
Ambuja Cement
STOCK INFO.
BLOOMBERG
REUTERS CODE
BSE Sensex: 14,651 GAMB IN
S&P CNX: 4,318
GACM.BO
29 June 2007
Previous Recommendation: Buy
YEAR
END
NET SALES
(RS M)
PAT
(RS M)
EPS
EPS
P/E
(X)
P/BV
(X)
ROE
(%)
ROCE
(%)
EV/
(RS) GROWTH (%)
Buy
Rs125
EV/
SALES EBITDA
Equity Shares (m)
52-Week Range
1,6,12 Rel. Perf. (%)
M.Cap. (Rs b)
M.Cap. (US$ b)
1,520.7
150/90
7/-18/-13
189.4
4.6
12/06A 48,479
12/07E 57,436
12/08E 61,107
13,401
16,237
15,233
8.8
10.7
10.0
114.7
20.9
-6.2
14.1
11.7
12.4
5.4
3.7
3.0
47.4
37.7
26.6
43.3
42.1
33.0
3.6
3.0
2.7
9.9
7.7
7.5
?
?
?
?
?
Ambuja Cement’ 2QCY07 results are not comparable with the previous year due to merger of Ambuja Cements
s
Eastern Ltd. All growth numbers are approximate.
Ambuja Cement’ 2QCY07 sales are expected to be at Rs14.8b (up ~12.5% YoY). Dispatches are expected to be
s
4.45m ton (growth of ~3.1% YoY), whereas average realizations are expected to be at Rs3,320/ton (up ~9% YoY
and 0.5% QoQ).
EBITDA margin to increase by 60bp YoY to 39.8%, driven by higher realizations, translating into EBITDA of Rs5.9b,
up 14%. Further, lower interest cost (down 75%), higher other income (v/s other expense in 2QCY07) and extra-
ordinary income of Rs5b boosted reported PAT to Rs8.6b, and recurring PAT to Rs4.2b (up 20%).
GACL sold 11% stake in ACIL (out of its 33% stake) to Holcim for Rs5.35b, gaining Rs2.49b. Also, it has sold its 2-
acre land in Mumbai to Orbit Corporation for Rs3.3b, resulting in estimated capital gain of Rs2.5b.
A pure play on cement, with ability to grow volumes faster and more efficiently, earnings are expected to grow 21%
in CY07. Considering its reasonable valuation of 11.7x CY07E EPS and 7.7x CY07E EV/EBITDA, maintain
Buy.
(RS MILLION)
CY06
1Q
2Q
3Q
4Q^
1Q
2QE
CY07
3QE
4QE
CY06
CY07E
QUARTERLY PERFORMANCE (STANDALONE)
Y/E DECEMBER
Sales Volume (m ton)
YoY Change (%)
Realization (Rs/ton)
YoY Change (%)
QoQ Change (%)
Net Sales
YoY Change (%)
EBITDA
Margins (%)
Depreciation
Interest
Other Income
PBT before EO Item
Extraordinary Inc/(Exp)
PBT after EO Exp/(Inc)
Tax
Rate (%)
Reported Profit
Adj PAT
YoY Change (%)
4.18
NA
2,569
NA
NA
10,740
NA
3,700
34.4
-566
-110
213
3,236
358
3,594
-534
-14.9
4,128
2,683
NA
4.32
NA
3,043
NA
18.4
13,137
NA
5,156
39.2
-564
-127
-68
4,396
0
4,396
913
20.8
3,484
3,484
NA
3.66
NA
3,089
NA
1.5
11,310
NA
3,962
35.0
-567
-96
294
3,593
0
3,593
812
22.6
2,781
2,781
NA
4.12
NA
3,226
NA
4.4
13,291
NA
4,791
36.0
-572
-45
403
4,576
0
4,576
1,199
26.2
3,378
3,378
NA
4.34
3.8
3,304
28.6
2.4
14,338
33.5
5,631
39.3
-598
-18
257
5,271
2,408
7,679
1,772
23.1
5,907
3,801
41.7
4.45
3.1
3,320
9.1
0.5
14,775
12.5
5,882
39.8
-620
-32
260
5,490
4,993
10,483
1,917
18.3
8,566
4,197
20.5
3.98
8.7
3,320
7.5
0.0
13,215
16.8
5,026
38.0
-700
-30
330
4,626
0
4,626
958
20.7
3,668
3,668
31.9
4.55
10.4
3,320
2.9
0.0
15,107
13.7
6,087
40.3
-754
-28
553
5,858
0
5,858
1,286
22.0
4,571
4,571
35.3
16.30
NA
2,974
NA
48,479
24.0
17,608
36.3
-2,269
-377
1,199
16,160
0
16,160
2,760
17.1
13,401
13,401
NA
17.32
141.1
3,316
71.9
62.1
57,436
314.9
22,625
39.4
-2,673
-108
1,400
21,245
7,401
28,646
5,933
20.7
22,713
16,237
690.1
E: MOSt Estimates; ^Proforma results
Jinesh K Gandhi (Jinesh@MotilalOswal.com); Tel +91 22 39825416
29 June 2007
96

Results Preview
SECTOR: CEMENT
Birla Corporation
STOCK INFO.
BLOOMBERG
REUTERS CODE
BSE Sensex: 14,651 BJUT IN
S&P CNX: 4,318
BRLC.BO
29 June 2007
Previous Recommendation: Buy
Buy
Rs267
EPS
P/E
(X)
P/BV
(X)
ROE
(%)
ROCE
(%)
EV/
EV/
SALES EBITDA
PAT
(RS M)
EPS
(RS) GROWTH (%)
Equity Shares (m)
52-Week Range
1,6,12 Rel. Perf. (%)
M.Cap. (Rs b)
M.Cap. (US$ b)
77.0
375/180
5/-27/-24
20.5
0.5
YEAR
END
NET SALES
(RS M)
3/07A
3/08E
3/09E
15,669
17,520
18,505
3,262
3,817
3,705
42.4
49.6
48.1
37.9
17.0
-2.9
6.3
5.4
5.5
3.0
2.1
1.6
48.1
38.1
28.2
48.5
37.5
30.1
1.2
0.9
0.7
3.7
2.6
2.2
?
During 1QFY08, Birla Corp.’ revenues are expected to grow by 22% to Rs4.3b. Revenue growth will be driven by
s
higher realizations in the cement division. Cement realizations are likely to be up by 18% YoY (flat QoQ) to Rs2,976
per ton, however sales volume will be muted at 1.31m ton, recording growth of 3.1%.
?
Higher realizations will result in EBITDA margin expansion by 620bp YoY to 35.6%, translating into EBITDA growth
of 48%. However, higher interest cost (up 64%) and higher depreciation (up 14%) restricted PAT growth to 46% to
Rs913m.
?
New grinding unit at Durgapur is yet to stabilize operations and operate at optimum level of production. Upon
stabilization in next few months, this plant would drive volume growth through higher throughput, the effect of which
would be felt only from 2HFY08.
?
At current prices, the stock is trading at 5.4x FY08E EPS and 2.6x FY08E EV/EBITDA. Its EV/ton (at 5.8m ton
capacity) works out to US$68/ton, which is at a discount to comparable peers. We believe the discount is not justified
and valuations, based on earnings as well as replacement cost, are compelling. Maintain
Buy.
QUARTERLY PERFORMANCE
Y/E MARCH
1Q
2Q
FY07
3Q
4Q
1Q
2Q
FY08E
3Q
4Q
FY07
(RS MILLION)
FY08E
Cement Sales (m ton)
YoY Change (%)
Cement Realization
YoY Change (%)
QoQ Change (%)
Net Sales
YoY Change (%)
Total Expenditure
EBITDA
Margins (%)
Depreciation
Interest
Other Income
Profit before Tax
Tax
Rate (%)
Adjusted PAT
Margins (%)
YoY Change (%)
E: MOSt Estimates
1.27
0.0
2,517
26.3
8.3
3,489
25.0
2,462
1,027
29.4
97
43
39
927
303
32.7
624
17.9
168.3
1.25
6.1
2,621
36.0
4.1
3,647
39.9
2,668
979
26.8
96
31
53
905
229
25.3
675
18.5
271.9
1.32
4.9
2,795
44.2
6.6
4,093
45.4
2,689
1,404
34.3
96
35
55
1,328
377
28.4
951
23.2
452.5
1.39
-7.1
2,976
28.0
6.5
4,441
12.7
2,917
1,524
34.3
108
76
119
1,458
446
30.6
1,012
22.8
50.7
1.31
3.1
2,976
18.2
0.0
4,259
22.1
2,742
1,516
35.6
110
70
45
1,381
469
33.9
913
21.4
46.4
1.28
2.4
2,976
13.5
0.0
4,169
14.3
2,752
1,417
34.0
112
68
60
1,297
440
33.9
857
20.5
26.9
1.37
3.9
2,976
6.5
0.0
4,437
8.4
2,870
1,567
35.3
115
67
75
1,460
495
33.9
965
21.7
1.4
1.44
3.3
2,976
0.0
0.0
4,655
4.8
2,939
1,717
36.9
121
66
110
1,639
556
33.9
1,083
23.3
7.0
5.23
0.5
2,734
32.7
15,669
28.9
10,735
4,934
31.5
397
185
265
4,617
1,355
29.3
3,262
20.8
37.9
5.40
3.2
2,976
8.8
17,520
11.8
11,303
6,217
35.5
458
271
290
5,778
1,961
33.9
3,817
21.8
17.0
Jinesh K Gandhi (Jinesh@MotilalOswal.com); Tel +91 22 39825416
29 June 2007
97

Results Preview
SECTOR: CEMENT
Grasim Industries
STOCK INFO.
BLOOMBERG
REUTERS CODE
BSE Sensex: 14,651 GRASIM IN
S&P CNX: 4,318
GRAS.BO
29 June 2007
Previous Recommendation: Buy
Buy
Rs2,638
EPS
P/E
(X)
P/BV
(X)
ROE
(%)
ROCE
(%)
EV/
EV/
SALES EBITDA
PAT
(RS M)
EPS
(RS) GROWTH (%)
Equity Shares (m)
52-Week Range
1,6,12 Rel. Perf. (%)
M.Cap. (Rs b)
M.Cap. (US$ b)
91.7
2,908/1,804
4/-12/-2
241.9
5.9
YEAR
END*
NET SALES
(RS M)
3/07A 140,952
3/08E
3/09E
149,610
161,935
19,683
22,763
21,313
214.7
248.3
232.5
89.7
15.6
-6.4
12.3
10.6
11.3
3.7
2.9
2.4
29.6
26.5
20.5
32.0
33.7
31.1
2.1
2.0
1.7
7.6
6.4
6.1
* Consolidated
?
?
?
?
?
Grasim (standalone) is expected to post sales growth of 19% YoY to Rs22.4b in 1QFY08. Strong performance of
cement and VSF division will drive Grasim’ overall operating performance and lead to margin expansion of 370bp to
s
31%, translating into PAT growth of 32.7% to Rs4.1b.
The cement volumes are expected to grow by 11% YoY to 3.9m ton, boosted by traded cement from UltraTech. With
realizations expected to improve by 9.6% YoY to Rs2,994/ton, the cement division’ operating margins are expected
s
to expand by 40bp YoY to 34.7%.
VSF volumes are likely to increase by 7.8% YoY and realizations are likely to move up by 13.3% YoY to Rs89,500/
ton, resulting in VSF operating margin improvement of 610bp YoY to 32%.
While the chemical business is expected to grow on the low base of last year which was impacted by breakdown of
captive power plant, sponge iron is expected to continue to benefit from higher scrap prices.
We have revised our FY08E EPS by 5.8% to Rs248.3 and FY09E EPS by 2.6% to Rs232.5, to factor in for 7% VSF
price increase and higher traded cement. With two core businesses (cement and VSF) in an upturn, valuations at
10.6x PER FY08E and 6.4x FY08E EV/EBITDA (consolidated) appear reasonable. Maintain
Buy
on the stock.
(RS MILLION)
FY07
1Q
2Q
3Q
4Q
1Q
2Q
FY08E
3Q
4Q
FY07
FY08E
QUARTERLY PERFORMANCE (STANDALONE)
Y/E MARCH
Net Sales
YoY Change (%)
EBITDA
Margins (%)
Depreciation
Interest
Other Income
PBT before EO Items
Extraordinary Inc/(Exp)
PBT after EO Items
Tax
Rate (%)
Reported PAT
Adj. PAT
YoY Change (%)
18,770
20.8
5,133
27.3
741
235
375
4,532
0
4,532
1,413
31.2
3,119
3,119
51.7
20,108
21.9
5,322
26.5
756
241
502
4,827
0
4,827
1,467
30.4
3,360
3,360
79.1
22,794
38.3
6,661
29.2
807
240
444
6,058
0
6,058
1,942
32.1
4,116
4,116
154.3
24,938
36.3
6,942
27.8
876
366
776
6,476
371
6,847
2,102
30.7
4,745
4,488
72.7
22,418
19.4
6,946
31.0
900
280
350
6,116
0
6,116
1,976
32.3
4,140
4,140
32.7
22,721
13.0
6,915
30.4
910
300
450
6,155
0
6,155
1,989
32.3
4,166
4,166
24.0
24,184
6.1
7,616
31.5
915
320
425
6,806
0
6,806
2,199
32.3
4,607
4,607
11.9
25,641
2.8
8,004
31.2
984
625
736
7,131
0
7,131
2,304
32.3
4,827
4,827
7.6
86,757
29.4
24,094
27.8
3,179
1,118
2,097
21,893
371
22,264
6,906
31.0
15,358
15,102
73.1
94,964
9.5
29,482
31.0
3,709
1,525
1,961
26,208
0
26,208
8,469
32.3
17,739
17,739
17.5
E: MOSt Estimates; Quarterly results do not add-up to full year results due to restatement
Jinesh K Gandhi (Jinesh@MotilalOswal.com); Tel +91 22 39825416
29 June 2007
98

Results Preview
SECTOR: CEMENT
India Cements
STOCK INFO.
BLOOMBERG
REUTERS CODE
BSE Sensex: 14,651 ICEM IN
S&P CNX: 4,318
ICMN.BO
29 June 2007
Previous Recommendation: Buy
Buy
Rs207
EPS
P/E
(X)
P/BV
(X)
ROE
(%)
ROCE
(%)
EV/
EV/
SALES EBITDA
PAT
(RS M)
EPS
(RS) GROWTH (%)
Equity Shares (m)
52-Week Range
1,6,12 Rel. Perf. (%)
M.Cap. (Rs b)
M.Cap. (US$ b)
260.4
255/144
12/-18/-6
54.0
1.3
YEAR
END
NET SALES
(RS M)
3/07A
3/08E
3/09E
23,310
26,624
29,303
5,050
5,339
5,225
18.6
19.7
19.2
951.0
5.7
-2.1
11.2
10.5
10.8
3.9
2.8
2.2
45.2
31.9
23.7
25.3
26.2
25.2
3.0
2.5
2.2
9.1
7.3
6.8
?
India Cement’ (ICL) 1QFY08 results are not on a like-to-like basis due to merger of Visaka. India Cement (incl.
s
Visaka). The company is expected to report 37% YoY sales growth to Rs6.6b, driven by 10% YoY (3.8% QoQ)
higher realizations to Rs2,876/ton and volume growth of 24% to 2.3m ton.
?
Higher realization would translate in EBITDA margin expansion of 90bp YoY to 35%, resulting in EBITDA being
higher by 40% YoY to Rs2.3b. However, higher tax provisioning (at 22.5% of PBT v/s no tax in 1QFY07) would
restrict PAT growth to 21% to Rs1.37b.
?
ICEM is increasing capacity by 3m ton in FY08 at capex of Rs3.8b-Rs4b (funded out of FCCB proceeds). While ICL
had earlier announced capacity addition of 2m ton, it is adding 1mt at Parli, Maharashtra. Also, modernization of
Sankaridurg plant (0.6MT) will be completed by September 2007 versus the earlier guidance of December 2007.
?
Given its high leverage and relatively low cost timely capacity additions, ICL would be one of the biggest beneficiaries
of any further price increase in southern India. At current valuations of 10.5x FY08E EPS and 7.3x FY08E EBITDA,
valuations appear attractive. Maintain
Buy.
QUARTERLY PERFORMANCE
Y/E MARCH
1Q
2Q
FY07 *
3Q
4Q
1Q
2Q
FY08E
3Q
4Q
FY07
(RS MILLION)
FY08E
Sales Dispatches (m ton)
YoY Change (%)
Realization (Rs/ton)
YoY Change (%)
QoQ Change (%)
Net Sales
YoY Change (%)
Total Expenditure
EBITDA
Margins (%)
Depreciation
Interest
Other Income
PBT
Tax
Deferred Tax
Rate (%)
Reported PAT
Adj PAT
YoY Change (%)
Margins (%)
1.85
-2.6
2,606
30.1
22.2
4,852
27.4
3,197
1,655
34.1
192
389
54
1,129
3
0
0.2
1,126
1,126
1,018.1
23.2
1.88
-1.6
2,733
33.2
4.9
5,164
31.9
3,438
1,726
33.4
193
364
83
1,252
4
0
0.3
1,248
1,248
2,033.2
24.2
1.74
3.2
2,716
31.9
-0.6
4,724
36.3
3,394
1,331
28.2
198
347
17
803
5
0
0.6
798
798
4,407.3
16.9
2.08
4.8
2,771
29.9
2.0
5,758
36.2
3,852
1,906
33.1
194
331
22
1,403
5
0
0.4
1,398
1,398
417.2
24.3
2.30
24.2
2,876
10.3
3.8
6,637
36.8
4,313
2,325
35.0
260
320
17
1,762
379
18
22.5
1,365
1,365
21.3
20.6
2.34
24.4
2,876
5.2
0.0
6,754
30.8
4,446
2,308
34.2
262
310
55
1,791
385
18
22.5
1,388
1,388
11.2
20.6
2.17
24.9
2,876
5.9
0.0
6,246
32.2
4,227
2,018
32.3
265
300
12
1,465
315
15
22.5
1,136
1,136
42.3
18.2
2.43
16.9
2,876
3.8
0.0
6,987
21.4
4,555
2,432
34.8
285
292
16
1,871
392
29
22.5
1,450
1,450
3.7
20.7
7.55
1.0
2,704
31.0
31.0
20,497
32.9
13,880
6,617
32.3
777
1,430
102
4,512
17
0
0.4
4,495
4,495
891.8
21.9
9.24
431.4
2,876
5.9
6.4
26,624
29.9
17,541
9,083
34.1
1,072
1,222
100
6,889
1,471
79
22.5
5,339
5,339
18.8
20.1
E: MOSt Estimates; *Excluding Visaka merger
Jinesh K Gandhi (Jinesh@MotilalOswal.com); Tel +91 22 39825416
29 June 2007
99

Results Preview
SECTOR: CEMENT
Shree Cement
STOCK INFO.
BLOOMBERG
REUTERS CODE
BSE Sensex: 14,651 SRCM IN
S&P CNX: 4,318
SHCM.BO
29 June 2007
Previous Recommendation: Buy
Buy
Rs1,274
EPS
P/E
(X)
P/BV
(X)
ROE
(%)
ROCE
(%)
EV/
EV/
SALES EBITDA
PAT
(RS M)
EPS
(RS) GROWTH (%)
Equity Shares (m)
52-Week Range
1,6,12 Rel. Perf. (%)
M.Cap. (Rs b)
M.Cap. (US$ b)
34.8
1,592/714
3/-19/26
44.4
1.1
YEAR
END
NET SALES
(RS M)
3/07A
3/08E
3/09E
13,680
20,259
24,474
3,451
4,712
5,283
99.1
135.3
151.6
1,775.2
36.5
12.1
12.9
9.4
8.4
9.9
5.0
3.2
92.6
70.4
46.5
39.6
44.4
38.1
3.6
2.4
1.8
8.2
5.6
4.4
?
Sales in 1QFY08 are expected to grow by 32% YoY to Rs4.1b, driven by volume growth of 20% YoY to 1.37m ton
(boosted by new capacity) and realization growth of 9.8% YoY (~0.5% QoQ) to Rs2,979/ton.
?
Higher realizations would translate to EBITDA margin expansion of 40bp YoY to 44.8%, resulting in EBITDA being
higher by 33% YoY to Rs1.83b. However, higher depreciation (by 83% due to new plant) and higher tax (at 25% of
PBT v/s 16.9% in 4QFY06) would restrict PAT growth to 11% to Rs1b.
?
Shree Cement’ new 1.5m ton capacity has commenced commercial production in 1QFY08. Also, management
s
expects Unit V (1.5mt) to commence operations by September 2007 (versus earlier guidance for December 2007).
?
We have revised upward our earnings estimate by 4.3% for FY08E and 4% for FY09E, to factor in for earlier-than-
expected commissioning of new capacities. The stock is quoting at very attractive valuations of 9.4x FY08E EPS and
5.6x FY08E EBITDA. Maintain
Buy.
QUARTERLY PERFORMANCE
Y/E MARCH
1Q
2Q
FY07
3Q
4Q
1Q
2Q
FY08E
3Q
4Q
FY07
(RS MILLION)
FY08E
Sales Dispatches (m ton)
YoY Change (%)
Realization (Rs/ton)
YoY Change (%)
QoQ Change (%)
Net Sales
YoY Change (%)
EBITDA
Margins (%)
Depreciation
Interest
Other Income
PBT before EO Exp
Extra-Ord Expense
PBT
Tax
Rate (%)
Reported PAT
Adj PAT
YoY Change (%)
Margins (%)
1.14
56.2
2,714
39.0
15.3
3,094
117.1
1,375
44.4
263
54
30
1,088
0
1,088
184
16.9
904
904
247.6
29.2
1.11
44.0
2,849
41.2
5.0
3,160
103.3
1,427
45.2
338
27
43
1,104
0
1,104
326
29.6
778
778
108.2
24.6
1.30
81.1
2,815
39.5
-1.2
3,645
152.7
1,601
43.9
263
7
47
1,379
0
1,379
338
24.5
1,041
1,041
162.5
28.6
1.28
32.5
2,964
26.0
5.3
3,783
66.9
1,513
40.0
1,547
16
91
41
-201
242
3
1.3
239
40
-93.0
1.1
1.37
20.2
2,979
9.8
0.5
4,082
31.9
1,827
44.8
480
65
55
1,337
0
1,337
334
25.0
1,003
1,003
10.9
24.6
1.55
39.8
2,979
4.6
0.0
4,618
46.2
1,967
42.6
480
62
60
1,485
0
1,485
371
25.0
1,114
1,114
43.1
24.1
1.75
35.1
2,979
5.8
0.0
5,214
43.0
2,310
44.3
480
59
65
1,836
0
1,836
459
25.0
1,377
1,377
32.2
26.4
2.13
66.9
2,979
0.5
0.0
6,346
67.8
2,693
42.4
1,083
54
70
1,625
0
1,625
406
25.0
1,219
1,219
2927.2
19.2
4.83
47.5
2,832
38.6
13,680
104.4
5,922
43.3
2,336
104
212
3,694
1,800
1,894
124
6.6
1,770
3,451
2070.4
25.2
6.80
40.8
2,979
5.2
-7.3
20,259
48.1
8,796
43.4
2,523
240
250
6,283
0
6,283
1,571
50.0
4,712
3,141
-9.0
15.5
E: MOSt Estimates; Quarterly results do not add up with full year results as it provides addl. depn. and deferred tax at the end of the year
Jinesh K Gandhi (Jinesh@MotilalOswal.com); Tel +91 22 39825416
29 June 2007
100

Results Preview
SECTOR: CEMENT
UltraTech Cement
STOCK INFO.
BLOOMBERG
REUTERS CODE
BSE Sensex: 14,651 UTCEM IN
S&P CNX: 4,318
ULTC.BO
29 June 2007
Previous Recommendation: Buy
Buy
Rs900
EPS
P/E
(X)
P/BV
(X)
ROE
(%)
ROCE
(%)
EV/
EV/
SALES EBITDA
PAT
(RS M)
EPS
(RS) GROWTH (%)
Equity Shares (m)
52-Week Range
1,6,12 Rel. Perf. (%)
M.Cap. (Rs b)
M.Cap. (US$ b)
124.4
1,205/599
10/-24/-18
112.0
2.7
YEAR
END
NET SALES
(RS M)
3/07A
3/08E
49,108
54,646
7,823
9,831
10,243
62.8
79.0
82.3
240.5
25.7
4.2
14.3
11.4
10.9
6.3
4.2
3.1
55.7
44.2
32.5
44.6
47.0
42.3
2.4
2.1
1.8
8.4
6.7
5.9
3/089E 59,060
?
?
?
?
?
Net sales is expected to grow by 10.2% YoY to Rs13b driven by 12% YoY (~2.1% QoQ) higher realizations.
However, volume growth is expected to decline by 1.6% to 4.38mt due to sale (traded) of cement through Grasim.
Exports (cement + clinker) are expected to decline by 12%, whereas domestic dispatches are expected to remain
flat. Also, cement exports has declined by 29%, suggesting a shift in favor of cement.
Higher realizations are expected to drive EBITDA margin expansion of 130bp YoY to 33% and 15% YoY higher
EBITDA at Rs4.43b, translating into 14% YoY growth in PAT to Rs2.4b.
UltraTech’ capex program is on track with: (1) capacity addition of 4MT in Andhra Pradesh; and (2) a 96MW
s
lignite-based captive power plant, both expected to be operational by 1QFY08.
We have revised our FY08E EPS downwards by 3% to Rs79, to factor in for higher sale of cement to Grasim. At
11.4x FY08E EPS and 6.5x FY08E EV/EBITDA, valuations do not fully reflect the improving operating performance
and organic growth visibility at the low cost of expansion. Maintain
Buy.
(RS MILLION)
FY07
1Q*
2Q*
3Q*
4Q
1Q
2Q
FY08E
3Q
4Q
FY07
FY08E
QUARTERLY PERFORMANCE (STANDALONE)
Y/E MARCH
Sales (m ton)
YoY Change (%)
Realization (Rs/ton)
YoY Change (%)
QoQ Change (%)
Net Sales
YoY Change (%)
Total Expenditure
EBITDA
Margins (%)
Depreciation
Interest
Other Income
PBT after EO Expense
Tax
Rate (%)
Reported PAT
Adj PAT
YoY Change (%)
4.45
11.5
2,652
33.4
15.8
11,803
48.8
8,057
3,746
31.7
544
226
134
3,110
1,002
32.2
2,108
2,108
251.3
3.61
22.4
2,783
28.3
4.9
10,045
57.0
7,501
2,545
25.3
547
237
119
1,879
605
32.2
1,274
1,274
-
4.49
14.0
2,807
40.3
0.9
12,605
59.8
8,802
3,802
30.2
571
202
167
3,196
1,072
33.5
2,125
2,125
790.8
5.04
8.9
2,908
27.0
3.6
14,655
38.2
10,570
4,085
27.9
601
203
195
3,476
1,161
33.4
2,315
2,315
75.3
4.38
-1.6
2,970
12.0
2.1
13,009
10.2
8,714
4,295
33.0
590
190
120
3,635
1,233
33.9
2,401
2,401
13.9
3.95
9.4
2,970
6.7
0.0
11,732
16.8
8,230
3,502
29.8
595
175
100
2,832
961
33.9
1,871
1,871
46.8
4.75
5.8
2,970
5.8
0.0
14,108
11.9
9,583
4,525
32.1
630
150
120
3,865
1,312
33.9
2,553
2,553
20.2
5.32
5.5
2,970
2.1
0.0
15,798
7.8
10,705
5,094
32.2
669
135
260
4,550
1,544
33.9
3,006
3,006
29.8
17.67
13.4
2,779
31.2
49,108
48.8
34,930
14,178
28.9
2,263
868
615
11,662
3,839
32.9
7,823
7,823
240.5
18.40
4.1
2,970
6.9
54,646
11.3
37,231
17,415
31.9
2,484
650
600
14,881
5,050
33.9
9,831
9,831
25.7
E: MOSt Estimates; Qly results do no add up to full year results due to recasting
Jinesh K Gandhi (Jinesh@MotilalOswal.com); Tel +91 22 39825416
29 June 2007
101

Results Preview
QUARTER ENDED JUNE 2007
Engineering
BSE Sensex: 14,651
S&P CNX: 4,318
29 June 2007
COMPANY NAME
PG.
ABB
107
Alstom Projects
108
Bharat Electronics
109
Strong order intake in 1QFY08; order book remains strong
The order book for most capital goods companies is showing impressive growth with
increasing investments in the manufacturing sector, thrust on accelerated infrastructure
development and continuation of power reforms. The order book for most of the companies
like Siemens, ABB, Thermax, BHEL and L&T witnessed robust YoY growth rate as of
March 2007.
During 1QFY08 too, the order intake continued to remain robust on account of significant
project awards from Railways, industries (primarily, oil & gas) and power sector.
ORDER BACKLOG (RSB AND % YOY)
MAR-06
MAR-07
% GR. YOY
DEC-05
DEC-06
% GR. YOY
BHEL
110
Crompton Greaves
111
Cummins India
112
Larsen & Toubro
113
Siemens
ABB
Thermax
L&T (E&C Div)
BHEL
76.2
26.7
22.1
238.6
376.0
108.6
42.6
36.7
353.3
550.0
42
59
66
48
46
70.6
21.0
15.1
229.2
338.0
110.4
33.7
19.8
341.4
467.0
56
60
31
49
38
Siemens
114
Suzlon Energy
115
Source: Motilal Oswal Securities
Thermax
116
We remain positive on the order-booking trend in FY08, which would translate into
robust topline growth. The following factors will drive demand growth in the sector:
?
Capacity expansions:
With growth in the economy, all industry players are operating
at close to or above optimum capacity utilization, thus requiring fresh investments.
?
Strong commodity prices:
Resultant increase in profitability and cash flows would
EXPECTED QUARTERLY PERFORMANCE SUMMARY
RECO
SALES
JUN.07
CHG. (%)
JUN.07
EBITDA
CHG. (%)
(RS MILLION)
NET PROFIT
JUN.07
CHG. (%)
Engineering
ABB
Alstom Projects
Bharat Electronics
BHEL
Crompton Greaves
Cummins India
Larsen & Toubro
Siemens
Suzlon Energy
Thermax
Sector Aggregate
Neutral
Neutral
Buy
Buy
Neutral
Neutral
Buy
Neutral
Neutral
Buy
13,396
2,684
5,073
34,532
9,224
4,697
44,294
17,107
15,499
3,791
150,298
37.5
20.0
5.0
30.0
24.5
20.0
27.7
63.5
45.0
17.5
32.1
1,574
144
730
4,317
913
763
4,507
1,258
2,790
485
17,481
54.3
59.7
1.2
35.7
26.5
23.3
67.0
58.8
50.1
26.9
44.6
1,060
130
618
3,017
493
593
2,497
889
1,205
320
10,824
47.4
12.3
2.6
27.5
35.7
16.8
58.9
57.3
26.5
16.2
34.6
Satyam Agarwal (Agarwals@MotilalOswal.com); Tel: +91 22 39825410/Nalin Bhatt (NalinBhatt@MotilalOswal.com); +91 22 39825429
29 June 2007
102

Engineering
?
?
?
?
lead to players going in for major capex programs.
Fast growing exports:
India’ cost efficiency and innovative skills are fuelling exports
s
to developed nations (often to global parent).
Infrastructure spending:
Government spending on infrastructure development is
having a multiplier effect on the economy and attracting public and private investments.
Investments in hydrocarbon sector:
Surge in investments in hydrocarbons has
emerged as a big demand generator for the capital goods sector.
Power sector reforms in place:
Government’ ambitious strategy to add generating
s
capacity and curtail transmission and distribution losses is another sizable demand
driver.
Expect EBITDA margin improvement in 1QFY08
The EBITDA margin for the companies in the capital goods sector has witnessed strong
improvement on back of favorable demand-supply scenario, long-term supply contracts
for raw materials, flexibly priced work contracts and implementation of cost-cutting
programs.
TREND IN EBITDA AND PAT MARGINS
Source: Motilal Oswal Securities
EBITDA Margin (LHS)
20
16
12
8
4
Net Prof it Margin (RHS)
16
12
8
4
0
With the demand picking up, most companies have been able to take some price hikes and
incorporate price escalation clauses into new contracts. Most companies have entered the
phase where they can cherry-pick customers and orders. Also, for most of the companies,
low margin projects picked up during FY04 and FY05 have been largely completed. Despite
the recent spurt in non-ferrous metal and steel prices, companies have reported an
improvement in margins in March 2007 quarter because of in-built price variation clauses
for most orders (especially from SEBs / utilities), operational efficiency, economies of
scale, better sourcing and enrichment in product mix. Overall, robust order book assures
strong revenue visibility over the next few quarters, and the improving margin trend would
enable companies to sustain their earnings growth.
29 June 2007
103

Engineering
Exports, M&A in focus
Indian engineering companies are on a globalization spree with an increasing focus on
exports and a series of international acquisitions and tie-ups. On the one hand, engineering
companies like Suzlon and Crompton Greaves have made significant inroads into the global
market through a series of acquisitions, and, on the other, many companies with proven
capabilities and low cost advantages are looking to tap the vast opportunity in export
markets.
Suzlon acquired Hansen of Belgium, the world’ second largest player in wind mill gearboxes,
s
and REpower, a leading WTG player in European markets. The acquisition of REpower
has given Suzlon access to offshore technology and a large European market. Crompton
too has enhanced its product portfolio with the acquisition of Pauwels (up to 550kva from
400 kva earlier) and gained access to the US and European markets through acquisition of
Ganz. It has also announced the acquisition of Microsol Holdings, which will enable it to
transform from a product-based company to a total solutions provider. Such acquisitions
not only help in bridging the competency gap for the Indian companies but also give them
direct entry into the global market.
Even public sector engineering companies are keen on global tie-ups and acquisitions.
BEL has signed several MoUs with global defense majors like Boeing, Lockheed Martin,
Elbit Systems Electro Optics ELOP Ltd, Israel, Northrop Grumman Corporation to cash in
on the significant opportunity arising from the offset clause. BHEL is also vying for an
overseas acquisition to fill its competency gap in the high pressure feed in pump for the
super critical technology.
Exports currently account for less than 10% of revenues for all the engineering companies.
However, going forward, greater integration with overseas companies through acquisitions
or tie-ups would increase the export revenues significantly.
EXPORT AS A % TO REVENUE
14%
13.3%
12%
12.0%
9.9%
10%
9.6%
8%
FY 04
FY 05
FY 06
FY 07
Note: Includes ABB, BHEL, Crompton Greaves, Suzlon, Siemens.
Source: Motilal Oswal Securities
29 June 2007
104

Engineering
The export markets have also started opening up with large emerging opportunities in
Middle East and Africa for home grown players (viz. BHEL, L&T and Thermax), and
with some MNCs (viz. ABB, Cummins, Siemens) being developed as exclusive sourcing
bases for their parents’global / regional requirements. Most of the MNC companies have
already set up R&D centers in India, and hence the outsourcing opportunity seems to be
a sustainable trend.
We remain positive on the sector
We remain positive on the capital goods sector. Earnings visibility is high for most of these
companies, based on the current order-book-to-bill-ratio. The companies will now have to
focus on efficient execution and timely delivery.
29 June 2007
105

Engineering
Stock performance and valuations
STOCK PERFORMANCE (%)
ABSOLUTE PERF
3M
1 YEAR
REL PERF TO SENSEX
3M
1 YEAR
REL PERF TO SECTOR
3M
1 YEAR
Engineering
ABB
Alstom Projects
Bharat Electron
BHEL
Crompton Greaves
Cummins India
Larsen & Toubro
Siemens
Suzlon Energy
Thermax
54
104
22
36
27
28
36
28
49
32
119
245
71
58
102
79
96
58
43
93
42
92
10
24
15
16
24
16
37
20
81
207
33
20
64
41
58
20
4
55
16
66
-16
-2
-11
-10
-2
-10
11
-6
47
173
-2
-15
30
6
23
-15
-30
20
RELATIVE PERFORMANCE - 3 MONTH (%)
RELATIVE PERFORMANCE - 1 YEAR (%)
Sensex
144
MOSt Engineering Index
180
MOSt Engineering Index
Sensex
132
150
120
120
108
96
Mar-07
Apr-07
May-07
Jun-07
90
Jun-06
Sep-06
Dec-06
Mar-07
Jun-07
COMPARATIVE VALUATION
CMP (RS)
29.6.07
RECO
FY07E
EPS (RS)
FY08E
FY09E
FY07E
P/E (X)
FY08E
FY09E
FY07E
EV/EBITDA
FY08E
FY09E
FY07E
ROE (%)
FY08E
FY09E
Engineering
ABB **
Alstom Projects
Bharat Electronics
BHEL
Crompton Greaves
Cummins India
Larsen & Toubro
Siemens *
Suzlon Energy
Thermax
Sector Aggregate
** Year end December, * Year end September
1,095
806
1,830
1,538
253
340
2,196
1,396
1,494
505
Neutral
Neutral
Buy
Buy
Neutral
Neutral
Buy
Neutral
Neutral
Buy
80.3
16.6
89.2
48.8
6.9
10.6
63.9
31.9
30.0
16.1
119.2
23.5
102.3
63.2
9.2
13.2
81.0
45.3
43.0
22.8
30.8
28.8
120.1
79.0
12.0
15.7
103.5
58.0
64.8
30.2
13.6
48.5
20.5
31.5
36.6
32.2
34.4
43.8
49.7
31.3
36.2
9.2
34.3
17.9
24.3
27.6
25.8
27.1
30.8
34.7
22.1
27.5
35.6
27.9
15.2
19.5
21.2
21.7
21.2
24.1
23.0
16.7
21.4
47.0
41.7
11.3
19.0
27.2
18.6
34.0
27.0
36.7
19.6
25.6
29.8
28.9
9.8
14.4
20.4
14.8
24.5
20.2
23.0
14.6
18.9
22.7
23.0
8.0
11.4
16.8
12.0
19.1
17.0
16.1
10.6
14.8
36.7
33.3
27.5
28.8
33.8
26.0
25.7
43.3
29.0
39.7
31.1
49.5
37.5
25.3
29.6
33.6
27.5
27.0
48.0
29.4
40.1
31.5
53.0
35.7
24.0
29.3
32.3
27.7
28.5
47.0
31.6
41.9
32.6
29 June 2007
106

Results Preview
SECTOR: ENGINEERING
ABB
STOCK INFO.
BLOOMBERG
REUTERS CODE
BSE Sensex: 14,651 ABB IN
S&P CNX: 4,318
ABB.BO
29 June 2007
Previous Recommendation: Neutral
Neutral
Rs1,095
P/E
(X)
P/BV
(X)
ROE
(%)
ROCE
(%)
EV/
EV/
SALES EBITDA
PAT
(RS M)
EPS
(RS)
EPS GR.
(%)
Equity Shares (m)
52-Week Range
1,6,12 Rel. Perf. (%)
M.Cap. (Rs b)
M.Cap. (US$ b)
211.9
1,099/449
20/41/81
232.1
5.7
YEAR
END
NET SALES
(RS M)
12/06A 42,740
12/07E 60,897
12/08E 78,649
Pre-exceptionals
3,403
5,052
6,523
16.1
23.8
30.8
55.6
48.5
29.1
68.2
45.9
35.6
24.4
21.3
16.9
36.7
49.5
53.0
55.9
77.2
82.6
5.2
3.7
2.8
47.0
29.8
22.7
?
?
?
?
?
?
For 2QCY07, we expect revenue to grow 37.5% YoY to Rs13.4b, EBITDA by 54.3% YoY to Rs1.6b and net profit
by 47.4% YoY to Rs1.1b. ABB reported strong CY06 performance: revenue grew 44.2% to Rs42.7b, EBITDA
grew 50% to Rs4.8b and net profit was up 55.6% to Rs3.4b.
During 2QCY07, the company announced an order intake of Rs2.4b from the Delhi Metro Rail Corporation for the
phase II. The scope of the order includes supply of the turnkey electrification package for Metro line spanning 10
corridors across parts of New Delhi and surrounding areas of Gurgaon and Noida.
We expect trend in order intake to be buoyant during CY07 with significant orders from power utilities (for rural
electrification and substation projects and for distribution products and solutions), industrial customers (turnkey orders
for automation solutions) and for standard products.
EBITDA margin for the company improved 42bp YoY during CY06. We believe the sustained momentum in order
intake, rapid conversion of the existing strong order backlog and increased share of high margin standard products
and services should lead to further margin expansion for the company.
ABB India has announced capacity and range expansion program, wherein it will establish a new low voltage
distribution electrical unit in Haridwar and a vacuum interrupter plant in Nashik.
We believe ABB’ rich valuations already discount its buoyant growth prospects. It trades at 45.9x CY07E and 35.6x
s
CY08E earnings. We remain
Neutral
on the stock.
(RS MILLION)
CY06
1Q
2Q
3Q
4Q
1Q
2QE
CY07
3QE
4QE
CY06
CY07E
QUARTERLY PERFORMANCE
Y/E DECEMBER
Sales
Change (%)
EBITDA
Change (%)
As % of Sales
Depreciation
Interest
Other Income
PBT
Tax
Effective Tax Rate (%)
Repoted PAT
Adj. PAT
Change (%)
E: MOSt Estimates
8,029
32.1
695
87.1
8.7
62
2
180
810
297
36.7
513
513
86.5
9,742
47.9
1,020
68.8
10.5
65
2
153
1,106
387
35.0
719
719
64.9
10,706
50.6
1,106
35.7
10.3
66
2
230
1,267
446
35.2
821
821
55.1
14,263
44.7
1,947
39.9
13.6
71
1
174
2,049
699
34.1
1,350
1,350
42.6
13,124
63.5
1,282
84.6
9.8
86
10
152
1,337
471
35.2
866
866
68.9
13,396
37.5
1,574
54.3
11.8
89
9
180
1,656
596
36.0
1,060
1,060
47.4
14,667
37.0
1,650
49.2
11.3
91
12
220
1,767
610
34.5
1,157
1,157
40.9
19,710
38.2
2,982
53.2
15.1
98
9
258
3,134
1,165
37.2
1,969
1,969
45.9
42,740
44.2
4,767
49.8
11.2
265
7
737
5,232
1,829
35.0
3,403
3,403
55.6
60,897
42.5
7,488
57.1
12.3
364
40
810
7,894
2,842
36.0
5,052
5,052
48.5
Satyam Agarwal (Agarwals@MotilalOswal.com); Tel: +91 22 39825410/Nalin Bhatt (NalinBhatt@MotilalOswal.com); +91 22 39825429
29 June 2007
107

Results Preview
SECTOR: ENGINEERING
Alstom Projects
STOCK INFO.
BLOOMBERG
REUTERS CODE
BSE Sensex: 14,651 ABBAP IN
S&P CNX: 4,318
ABBP.BO
29 June 2007
Previous Recommendation: Neutral
Neutral
Rs806
P/E
(X)
P/BV
(X)
ROE
(%)
ROCE
(%)
EV/
EV/
SALES EBITDA
PAT*
(RS M)
EPS*
EPS
(RS) GROWTH (%)
Equity Shares (m)
52-Week Range
1,6,12 Rel. Perf. (%)
M.Cap. (Rs b)
M.Cap. (US$ b)
67.0
836/197
41/68/207
54.0
1.3
YEAR
END
NET SALES
(RS M)
3/07A
3/08E
3/09E
12,215
15,992
20,114
1,113
1,566
1,925
16.6
23.4
28.7
136.4
40.8
22.9
48.5
34.5
28.1
14.7
11.5
8.9
33.3
37.4
35.7
43.0
46.7
44.6
4.1
3.2
2.6
41.7
28.9
23.0
* Pre-exceptionals; Consolidated Numbers
?
?
?
?
?
For 1QFY08, we expect revenue to grow 20% YoY to Rs2.7b, EBITDA to grow 59.7% YoY to Rs144m and the net
profit to grow 12.3% YoY to Rs130m. The growth in net profit is slower on account higher tax provision at 20% in
1QFY08 vs 6.5% in 1QFY07.
During 1QFY08, the company announced a single order of Rs10b (370MW) from the Gujarat State Electricity
Corporation for the construction of the first gas-based combined cycle power plant in India. Also, a consortium
comprising Alstom Projects, Alstom Transport S.A. (ATSA) and Sumitomo Corporation bagged an order of Rs2.8b
for train control and signaling Delhi Metro Rail Corporation (DMRC)’ line 1 and 2 extensions. The share of Alstom
s
in the project is Rs770m while Alstom S.A. would execute order worth Rs1.8b.
The current order backlog of the company stands at Rs30b+. During 4QFY07, the company received orders worth
Rs7.5b for URI Stage-II, Chamera Stage-III and Chuzachen. The orders for URI Stage-II (4 x 60MW) and Chamera
(3 x 77MW) was awarded by NHPC while order for Chuzachen (2 x 55MW) was awarded by Gati Infrastructure.
The hydro power segment contributes Rs10b to its current order book.
The transport division is also poised for buoyant order intake with the Railways increasing focus on safety measures
and also due to plans by various states to set up metros in cities.
At CMP of Rs806, the stock trades at a P/E of 34.5x FY08E and 28.1x FY09E. We maintain
Neutral.
(RS MILLION)
FY07
1Q
2Q
3Q
4Q
1Q
2Q
FY08E
3Q
4Q
FY07*
FY08E*
QUARTERLY PERFORMANCE
Y/E MARCH
Sales
Change (%)
EBITDA
Change (%)
As of % Sales
Depreciation
Interest
Other Income
PBT
Tax
Effective Tax Rate (%)
Reported PAT
Adj PAT
Change (%)
2,237
24.6
90
119.5
4.0
34
0
68
124
8
6.5
116
116
73.1
2,677
18.3
322
177.6
12.0
36
1
102
387
74
19.1
313
313
172.2
2,977
2.7
242
139.6
8.1
40
1
169
370
67
18.1
303
303
304.0
4,306
72.3
534
198.3
12.4
54
0
9
489
127
26.0
362
362
74.9
2,684
20.0
144
59.7
5.4
50
1
70
163
33
20.0
130
130
12.3
3,346
25.0
439
36.4
13.1
52
1
85
471
94
20.0
377
377
20.5
3,870
30.0
446
84.4
11.5
53
0
100
493
99
20.0
395
395
30.2
6,091
41.5
741
38.8
12.2
56
0
145
830
166
20.0
664
664
83.5
12,215
29.2
1,209
167.3
9.9
164
2
350
1,393
279
20.0
1,114
1,114
136.1
15,992
30.9
1,771
46.4
11.1
211
2
400
1,958
392
20.0
1,566
1,566
40.6
E: MOSt Estimates; * Full year nos are consolidated
Satyam Agarwal (Agarwals@MotilalOswal.com); Tel: +91 22 39825410/Nalin Bhatt (NalinBhatt@MotilalOswal.com); +91 22 39825429
29 June 2007
108

Results Preview
SECTOR: ENGINEERING
Bharat Electronics
STOCK INFO.
BLOOMBERG
REUTERS CODE
BSE Sensex: 14,651 BHE IN
S&P CNX: 4,318
BAJE.BO
29 June 2007
Previous Recommendation: Buy
Buy
Rs1,830
EPS
P/E
(X)
P/BV
(X)
ROE
(%)
ROCE
(%)
EV/
EV/
SALES EBITDA
PAT
(RS M)
EPS
(RS) GROWTH (%)
Equity Shares (m)
52-Week Range
1,6,12 Rel. Perf. (%)
M.Cap. (Rs b)
M.Cap. (US$ b)
80.0
1,939/967
-1/30/33
146.4
3.6
YEAR
END
NET SALES
(RS M)
3/07A
3/08E
3/09E
38,943
43,110
50,438
7,139
8,187
9,609
89.2
102.3
120.1
22.4
14.7
17.4
20.5
17.9
15.2
5.6
4.5
3.7
32.5
29.4
27.5
32.4
29.3
27.5
3.1
2.7
2.2
11.3
9.8
8.0
?
?
?
?
?
?
?
?
For 1QFY08, we expect Bharat Electronics to report revenue of Rs5.1b, up 5% YoY, EBITDA of Rs730m, up 1.2%
YoY, and net profit of Rs632m, up 4.8% YoY.
Order backlog as of March 2007 stood at Rs90b (up 36% YoY). The book to bill ratio has increased to 2.3x during
FY07 from 2x during FY06. Order intake during FY07 increased to Rs63b (up 64% YoY).
BEL has now guided for revenues of US$1b in FY08 and US$2b by FY12. The earlier revenue guidance was Rs50b
in FY08 and Rs100m by FY12.
BEL and Lockheed Martin signed an MoU to explore business opportunities for co-production of domestic aerospace
and defense electronics needs. This would also cover Lockheed Martin’ export needs.
s
The company signed another MoU with Elbit Systems Electro Optics ELOP Ltd, Israel, for setting up a JV for
development, production and marketing of Thermal Imaging Cameras and Forward Looking Infra Red (FLIRs) for
the Indian and global markets.
It also signed an MoU with Northrop Grumman Corp to explore business opportunities for co-production in current
and future aerospace and defense needs of India and international markets of Northrop Grummans.
Though these are currently enabling MoUs, we believe the company would be able to leverage its competitive
positioning with the JV partners over a longer period due to the offset clause.
We expect the company to post earnings CAGR of 16% from FY07-09E. At CMP of Rs1,830, the stock quotes at a
P/E of 17.9x FY08E and 15.2x FY09E. We recommend
Buy.
(RS MILLION)
FY07
1Q
2Q
3Q
4Q
1Q
2Q
FY08E
3Q
4Q
FY07
FY08E
QUARTERLY PERFORMANCE
Y/E MARCH
Sales
Change (%)
EBITDA
Change (%)
As of % Sales
Depreciation
Interest
Other Income
PBT
Tax
Effective Tax Rate (%)
Reported PAT
Change (%)
Adj PAT
E: MOSt Estimates
4,831
0.8
721
-4.0
14.9
208
3
384
894
291
32.6
603
6.5
603
8,343
0.7
1,865
-9.1
22.4
198
1
508
2,175
692
31.8
1,483
1.1
1,483
8,638
27.5
1,976
36.6
22.9
205
2
407
2,177
696
31.9
1,482
52.7
1,482
17,342
10.1
4,849
16.2
28.0
252
0
574
5,171
1,599
30.9
3,572
27.2
3,572
5,073
5.0
730
1.2
14.4
220
1
400
909
291
32.0
618
2.6
618
8,969
7.5
2,057
10.3
22.9
225
3
525
2,354
753
32.0
1,601
7.9
1,601
9,502
10.0
2,338
18.3
24.6
240
5
550
2,643
846
32.0
1,798
21.3
1,798
19,425
12.0
5,687
17.3
29.3
254
6
707
6,133
1,963
32.0
4,171
16.8
4,171
38,943
9.4
9,411
11.7
24.2
863
5
1,874
10,416
3,278
31.5
7,139
22.8
7,139
43,110
10.7
10,813
14.9
25.2
939
15
2,182
12,040
3,853
32.0
8,187
14.7
8,187
Satyam Agarwal (Agarwals@MotilalOswal.com); Tel: +91 22 39825410/Nalin Bhatt (NalinBhatt@MotilalOswal.com); +91 22 39825429
29 June 2007
109

Results Preview
SECTOR: ENGINEERING
BHEL
STOCK INFO.
BLOOMBERG
REUTERS CODE
BSE Sensex: 14,651 BHEL IN
S&P CNX: 4,318
BHEL.BO
29 June 2007
Previous Recommendation: Buy
Buy
Rs1,538
EPS
P/E
(X)
P/BV
(X)
ROE
(%)
ROCE
(%)
EV/
EV/
SALES EBITDA
PAT
(RS M)
EPS
(RS) GROWTH (%)
Equity Shares (m)
52-Week Range
1,6,12 Rel. Perf. (%)
M.Cap. (Rs b)
M.Cap. (US$ b)
489.5
1,544/865
9/28/20
753.0
18.5
YEAR
END
NET SALES
(RS M)
03/07A 187,827
03/08E 243,026
03/09E 289,231
23,876
30,959
38,650
48.8
63.2
79.0
42.4
29.7
24.8
31.5
24.3
19.5
8.1
6.5
5.1
28.8
29.6
29.3
44.3
44.3
44.2
3.8
2.9
2.4
19.0
14.4
11.4
?
For 1QFY08, we expect revenue to grow 30% YoY to Rs34.5b, EBITDA to grow 35.7% YoY to Rs4.3b and net
profit to grow by 27.5% YoY to Rs3b.
The order book for the company stood at Rs550b as of March 2007, up 46% YoY while the order intake for FY07
was Rs356.3b. The power division contributed around 75% to the order intake at Rs277.2b. The current order
backlog represents a book-to-bill ratio of ~3x on its FY07E revenue.
The company has guided for a revenue of US$10b by FY12 both through organic or inorganic route, a revenue
CAGR of 19%.
The recent orders received by BHEL are (1) Rs1.1b from Rashtriya Ispat Nigam in consortium with MAN turbo, (2)
Rs1.4b order from NTPC for supply and commissioning of transformers.
BHEL is also seeking opportunities in nuclear energy production and is in talks with global nuclear players like
Alstom, GE Energy, and Siemens for possible tie-ups. The tie up is intended for 700MW and 1,000MW technology.
At the CMP of Rs1,538, the stock trades at a P/E of 24.3x FY08E and 19.5x FY09E. Maintain
Buy.
(RS MILLION)
FY07
1Q
2Q
3Q
4Q
1Q
2Q
FY08E
3Q
4Q
FY07
FY08E
?
?
?
?
?
QUARTERLY PERFORMANCE
Y/E MARCH
Sales
Change (%)
EBITDA
Change (%)
As a % Sales
Depreciation
Interest
Other Income
PBT
Tax
Effective Tax Rate (%)
Reported PAT
Change (%)
Adj. PAT
Change (%)
26,564
37.2
3,182
85.5
12.0
639
131
1,201
3,613
1,246
34.5
2,367
85.1
2,367
85.1
33,412
33.1
4,563
23.7
13.7
667
136
1,699
5,460
1,860
34.1
3,600
38.4
3,600
38.4
43,397
30.5
9,292
54.1
21.4
662
120
1,855
10,365
3,688
35.6
6,677
57.8
6,677
57.8
69,197
25.5
15,872
32.8
22.9
762
47
2,860
17,923
6,419
35.8
11,504
32.5
11,504
32.5
34,532
30.0
4,317
35.7
12.5
775
150
1,250
4,642
1,625
35.0
3,017
27.5
3,017
27.5
45,524
36.3
5,918
29.7
13.0
800
175
1,750
6,693
2,343
35.0
4,351
20.8
4,351
20.8
60,664
39.8
11,374
22.4
18.8
825
200
1,900
12,249
4,287
35.0
7,962
19.2
7,962
19.2
98,380
42.2
22,048
38.9
22.4
800
200
2,997
24,045
8,416
35.0
15,629
35.9
15,629
35.9
172,375
29.7
32,909
40.7
19.1
2,730
433
7,615
37,361
13,214
35.4
24,147
43.8
24,147
43.8
239,100
38.7
43,657
32.7
18.3
3,200
725
7,897
47,629
16,670
35.0
30,959
28.2
30,959
28.2
E: MOSt Estimates; Other Income includes Operational Other Income
Satyam Agarwal (Agarwals@MotilalOswal.com); Tel: +91 22 39825410/Nalin Bhatt (NalinBhatt@MotilalOswal.com); +91 22 39825429
29 June 2007
110

Results Preview
SECTOR: ENGINEERING
Crompton Greaves
STOCK INFO.
BLOOMBERG
REUTERS CODE
BSE Sensex: 14,651 CRG IN
S&P CNX: 4,318
CROM.BO
29 June 2007
Previous Recommendation: Neutral
Neutral
Rs253
P/E
(X)
P/BV
(X)
ROE
(%)
ROCE
(%)
EV/
EV/
SALES EBITDA
PAT*
(RS M)
EPS*
(RS)
EPS GR.
(%)
Equity Shares (m)
52-Week Range
1,6,12 Rel. Perf. (%)
M.Cap. (Rs b)
M.Cap. (US$ b)
366.6
264/119
6/15/64
92.8
2.3
YEAR
END
NET SALES
(RS M)
3/07A
3/08E
3/09E
34,229
44,289
54,891
2,536
3,367
4,388
6.9
9.2
12.0
0.6
32.8
30.3
36.6
27.6
21.2
14.1
10.9
8.4
33.8
33.6
32.3
39.4
41.9
42.5
2.8
2.1
1.7
27.2
20.4
16.8
* Consolidated; pre-exceptionals
?
?
?
?
?
For 1QFY08, we expect Crompton to report standalone revenue of Rs9.2b, up 24.5% YoY, EBITDA of Rs913m, up
26.5% YoY, and net profit of Rs493m, up 35.7% YoY. As of March 2007, order book of Crompton (standalone) stood
at Rs23b, up 58% YoY, and the consolidated order book stood at Rs25b.
The management has guided for a revenue growth of 40% in power division, 20-25% in Industrial division and 15%
in consumer division for FY08 on a standalone basis. The company has guided for a sustained EBIDTA margin for
the power and industrial division while the consumer products division may face margin pressure. The total capex for
the standalone entity is expected to be Rs1.3b in FY08.
The revenue for Pauwels is expected to grow at 15-18% while margin would be in the range of 7.0-7.5% and tax
rates at 32.7%. For Ganz, the management expects a revenue growth of 20%, breakeven at the PBT level in FY08.
However, the company is hopeful of attaining EBIDTA margin of 10% in FY09 for Ganz. On a consolidated basis,
the management has guided for capex of Rs2b during FY08 and FY09.
The company has announced the acquisition of Microsol Holdings based in Ireland at an EV of 10.5m euros (Rs567m)
with operations in UK, USA and Ireland. The company is engaged in the business of providing sub-station automation
for MV and HV sub-stations for new installation and retrofit, the only competency gap in Crompton Greaves. This
acquisition makes it an end-to-end solution company from a product-based company.
We expect Crompton to report a consolidated net profit of Rs3.4b in FY08 (up 32.8%) and Rs4.4b in FY09 (up
30.3%). At CMP of Rs253, the stock trades at a P/E of 27.6x FY08E and 21.2x FY09E. Maintain
Neutral.
(RS MILLION)
FY07
1Q
2Q
3Q
4Q
1Q
2Q
FY08E
3Q
4Q
FY07
FY08E
QUARTERLY PERFORMANCE (STANDALONE)
Y/E MARCH
Sales
Change (%)
EBITDA
Change (%)
As of % Sales (Adj)
Depreciation
Interest
Other Income
PBT
Tax
Effective Tax Rate (%)
Reported PAT
Adj PAT
Change (%)
E: MOSt Estimates
7,406
42.5
722
58.7
9.7
100
53
49
618
254
41.1
364
364
16.4
8,240
48.6
736
39.1
8.9
81
72
94
677
270
39.9
407
387
18.9
8,130
25.5
818
38.5
10.1
100
78
72
713
258
36.3
454
454
-17.0
9,900
24.0
1,143
52.0
11.5
113
101
133
1,063
363
34.2
699
749
0.1
9,224
24.5
913
26.5
9.9
115
65
50
783
290
37.0
493
493
35.7
10,331
25.4
956
29.9
9.3
130
75
65
816
302
37.0
514
514
32.9
10,974
35.0
1,097
34.2
10.0
145
100
85
937
347
37.0
591
591
30.0
13,759
39.0
1,655
44.8
12.0
162
149
134
1,478
547
37.0
931
981
31.0
33,676
33.6
3,418
46.9
10.2
394
304
349
3,070
1,146
37.3
1,924
1,954
1.0
44,289
31.5
4,621
35.2
10.4
552
389
334
4,014
1,485
37.0
2,529
2,559
31.0
Satyam Agarwal (Agarwals@MotilalOswal.com); Tel: +91 22 39825410/Nalin Bhatt (NalinBhatt@MotilalOswal.com); +91 22 39825429
29 June 2007
111

Results Preview
SECTOR: ENGINEERING
Cummins India
STOCK INFO.
BLOOMBERG
REUTERS CODE
BSE Sensex: 14,651 KKC IN
S&P CNX: 4,318
CUMM.BO
29 June 2007
Previous Recommendation: Neutral
YEAR
END
NET SALES*
(RS M)
PAT *
(RS M)
EPS*
(RS)
EPS GR.*
(%)
P/E*
(X)
P/BV
(X)
ROE
(%)
ROCE
(%)
Neutral
Rs340
EV/
EV/
SALES EBITDA
Equity Shares (m)
52-Week Range
1,6,12 Rel. Perf. (%)
M.Cap. (Rs b)
M.Cap. (US$ b)
198.0
349/153
11/16/41
67.3
1.7
3/07A
3/08E
3/09E
21,962
26,461
31,503
2,090
2,605
3,100
10.6
13.2
15.7
13.8
24.6
19.0
32.2
25.8
21.7
7.1
6.2
5.3
23.3
25.8
26.5
34.3
38.4
39.6
2.9
2.4
2.0
21.4
16.7
13.6
* Consolidated
?
For 1QFY08, we expect revenue growth of 20% YoY to Rs4.7b, EBITDA growth of 23.3% YoY to Rs763m and net
profit growth of 16.8% YoY to Rs593m.
Domestic sales are expected to grow ~13-15% on back of a strong demand for stand-by gensets from the services
sector. Exports are expected to grow ~20%. The progress on new product launches is as per schedule.
The EBITDA margin for the company is expected to improve from 16% in FY07 to 16.6% in FY08 because of better
working capital management, improvement in supply-chain management, ERP upgradation, higher level of indigenization
in certain categories of products and better product mix.
The Rs150m facility being set up near Pune to assemble HP engines and generator sets will be fully operational by
September-October 2007. The other capex plans of the company amount to Rs200-250m for FY08.
The board has approved the acquisition of High Pressure Common Rail Technology from Cummins Inc, USA for a
consideration of US$3.6m. This technology will make the company’ K-38 and K-50 models of engines emission
s
compliant for the export market post 2007.
At the CMP of Rs340, the stock trades at 25.8x FY08E and 21.7x FY09E consolidated earnings. We remain
Neutral
on the stock.
(RS MILLION)
FY07
1Q
2Q
3Q
4Q
1Q
2Q
FY08E
3Q
4Q
FY07
FY08E
?
?
?
?
?
QUARTERLY PERFORMANCE (STANDALONE)
Y/E MARCH
Sales
Change (%)
EBITDA
Change (%)
As of % Sales
Interest
Depreciation
Other Income
PBT
Tax
Effective Tax Rate (%)
Reported PAT
Adj PAT
Change (%)
E: MOSt Estimates
3,914
19.3
619
41.0
15.8
0
81
163
700
192
27.4
508
508
43.6
4,674
30.8
786
86.2
16.8
0
94
195
886
259
29.2
627
627
48.8
4,770
22.4
719
22.3
15.1
2
77
260
899
270
30.1
629
629
29.7
5,049
30.2
823
41.2
16.3
11
74
236
975
318
32.6
657
657
21.4
4,697
20.0
763
23.3
16.3
1
85
170
847
254
30.0
593
593
16.8
5,703
22.0
969
23.4
17.0
3
90
200
1,076
323
30.0
754
754
20.2
5,915
24.0
1,005
39.9
17.0
5
110
225
1,115
335
30.0
781
781
24.2
6,196
22.7
989
20.1
16.0
3
118
305
1,172
352
30.0
821
821
24.9
18,408
25.8
2,947
45.0
16.0
14
326
853
3,460
1,040
30.0
2,421
2,421
34.4
22,511
22.3
3,727
26.5
16.6
12
403
900
4,212
1,263
30.0
2,948
2,948
21.8
Satyam Agarwal (Agarwals@MotilalOswal.com); Tel: +91 22 39825410/Nalin Bhatt (NalinBhatt@MotilalOswal.com); +91 22 39825429
29 June 2007
112

SECTOR: ENGINEERING
Larsen & Toubro
STOCK INFO.
BLOOMBERG
REUTERS CODE
BSE Sensex: 14,651 LT IN
S&P CNX: 4,318
LART.BO
29 June 2007
Previous Recommendation: Buy
Buy
Rs2,196
EPS GR.
(%)
P/E*
(X)
P/BV
(X)
ROE
(%)
ROCE
(%)
EV/
EV/
SALES EBITDA
PAT *
(RS M)
EPS*
(RS)
Equity Shares (m)
52-Week Range
1,6,12 Rel. Perf. (%)
M.Cap. (Rs b)
M.Cap. (US$ b)
286.8
2,210/979
8/46/58
629.7
15.5
YEAR
END
NET SALES
(RS M)
3/07A 176,933
3/08E
3/09E
221,114
279,135
18,310
23,214
29,680
63.9
81.0
103.5
75.5
26.8
27.9
34.4
27.1
21.2
10.4
8.7
7.2
25.7
27.0
28.5
28.7
30.1
30.6
3.5
2.8
2.2
31.0
22.3
17.4
* Consolidated; EPS is fully diluted
?
For 1QFY08, we expect revenue of Rs44.3b, up 27.7% YoY, EBITDA of Rs4.5b, up 67% YoY, and net profit of
Rs2.5b, up 58.9% YoY.
L&T received big ticket size orders in the recent past which include: 1) US$95m (Rs4.3b) contract for construction
of two ships from BigLift Shipping of Netherlands, 2) Rs6.1b contract from Victory Heights Golf Residential and
Development to build a residential property in Dubai Sports City, 3) Rs1.1b order from SAIL for turnkey construction
of a gas-insulated substation and transmission network for its Bhilai steel plant, 4) Rs8.8b order from ONGC for
reconstruction and revamp of offshore facilities at ONGC’ complex in Mumbai High.
s
L&T’ order backlog as at end of March 2007 stood at Rs369b, up 49.5% YoY. The order book-to-bill ratio for the
s
company has improved from 1.5x as of March 2006 to around 2x as of March 2007 (FY07 revenue).
L&T has entered into a JV with Mitsubishi Heavy Industries to manufacture super-critical boilers in India with an
estimated investment of Rs3b. The facility will cater to plant capacities ranging between 500MW to 1,000MW and is
expected to get commissioned by end FY09.
At CMP of Rs2,196, the stock trades at a P/E of 27.1x FY08E and 21.2x FY09E. We maintain
Buy.
(RS MILLION)
FY07
1Q
2Q
3Q
4Q
1Q
2Q
FY08E
3Q
4Q
FY07
FY08E
?
?
?
?
QUARTERLY PERFORMANCE (STANDALONE)
Y/E MARCH
Net Sales
Change (%)
EBITDA
Change (%)
As of % Sales
Depreciation
Interest
Other Income
Reported PBT
Tax
Effective Tax Rate (%)
Reported Profit
Adjusted PAT
Change (%)
E: MOSt Estimates
34,689
11.5
2,698
53.5
9.2
309
158
216
2,448
877
35.8
1,571
1,571
61.9
37,361
11.7
3,062
117.6
8.9
336
106
437
3,057
1,046
34.2
2,011
1,831
53.0
41,184
12.3
5,185
63.0
11.8
357
12
350
5,166
1,727
33.4
3,440
3,440
83.1
62,482
36.0
9,718
54.2
14.9
698
63
420
9,377
2,371
25.3
7,006
7,006
52.8
44,294
27.7
4,507
67.0
10.0
710
180
225
3,842
1,345
35.0
2,497
2,497
58.9
46,699
25.0
4,036
31.8
8.4
725
225
365
3,451
1,122
32.5
2,329
2,329
27.2
51,550
25.2
6,765
30.5
12.8
740
315
570
6,280
2,010
32.0
4,270
4,270
24.1
77,165
23.5
10,588
9.0
13.4
740
210
2,483
12,121
3,232
26.7
8,889
8,889
26.9
175,788
20.0
20,665
82.4
11.3
1,700
339
1,420
20,046
6,019
30.0
14,027
13,845
59.1
219,708
25.0
25,896
40.2
11.5
2,915
930
3,643
25,695
7,708
30.0
17,986
17,986
29.9
Satyam Agarwal (Agarwals@MotilalOswal.com); Tel: +91 22 39825410/Nalin Bhatt (NalinBhatt@MotilalOswal.com); +91 22 39825429
29 June 2007
113

Results Preview
SECTOR: ENGINEERING
Siemens
STOCK INFO.
BLOOMBERG
REUTERS CODE
BSE Sensex: 14,651 SIEM IN
S&P CNX: 4,318
SIEM.BO
29 June 2007
Previous Recommendation: Neutral
Neutral
Rs1,396
P/E
(X)
P/BV
(X)
ROE
(%)
ROCE
(%)
EV/
EV/
(%)
SALES EBITDA
PAT
(RS M)
EPS
(RS)
EPS GR.
Equity Shares (m)
52-Week Range
1,6,12 Rel. Perf. (%)
M.Cap. (Rs b)
M.Cap. (US$ b)
165.7
1,421/800
7/17/20
231.4
5.7
YEAR
END
NET SALES
(RS M)
9/06A
9/07E
9/08E
60,586
89,309
124,910
3,974
5,372
7,634
23.6
31.9
45.3
29.7
35.2
42.1
59.2
43.8
30.8
21.7
16.9
13.2
42.6
43.3
48.0
62.8
65.4
72.3
3.7
2.7
2.0
35.2
27.5
20.5
Consolidated
?
?
?
?
?
?
For 3QFY07, we expect Siemens to report revenue of Rs17.1b, up 63.5% YoY, EBIDTA of Rs1.3b (up 58.8% YoY),
and net profit of Rs889m, up 57.3% YoY.
We expect EBIDTA margin of 7.4% in 3QFY07 (vs 7.6% in 3QFY06). The margin had declined by 290bp in
2QFY07 (v/s 10.7% in 2QFY06).
Other income, which is primarily dividend income from Siemens Information Services (SISL) – a 100% subsidiary of
Siemens, declined to Rs57m during 2QFY07 (from Rs419m during 2QFY06). Historical trends indicate that the
profits of SISL are distributed as dividends during 2Q and 4Q. We estimate Siemens to book other income of Rs987m
in 4QFY07. We have not estimated any dividend income in 3QFY07.
Siemens has decided to divest its 100% stake in Siemens Public Communication Networks (SPCNL) to its JV
partner Nokia Siemens Networks India. The decision is on back of Siemens AG’ plans to merge Nokia and Siemens’
s
network and carrier operations for fixed and mobile networks worldwide.
Siemens and BHEL have signed an MOU for the supply and installation of steam turbines for 800MW power
projects in India, involving supercritical steam conditions.
Given its diversified exposure to the Indian manufacturing industry, power, transport, healthcare, communication and
IT segments, we believe Siemens will report steady growth in the coming years. We maintain
Neutral.
QUARTERLY PERFORMANCE (STANDALONE)
Y/E SEPTEMBER
1Q
2Q
FY06
3Q
4Q
1Q
2Q
FY07
3QE
4QE
FY06
(RS MILLION)
FY07E
Total Revenues
Change (%)
EBITDA
Change (%)
As % of Revenues
Depreciation
Interest Income
Other Income
PBT
Tax
Effective Tax Rate (%)
Reported PAT
Adjusted PAT
Change (%)
E: MOSt Estimates
8,601
62.1
791
76.1
9.2
150
54
9
705
215
30.5
490
551
75.7
11,334
57.6
1,214
34.8
10.7
81
79
419
1,630
452
27.7
1,178
1,178
48.4
10,465
70.8
792
44.1
7.6
90
117
24
844
279
33.1
565
565
42.9
14,997
59.2
1,244
34.3
8.3
122
116
637
1,875
508
27.1
1,367
1,367
30.9
16,331
89.9
1,234
56.1
7.6
103
126
152
1,409
426
30.2
984
984
78.4
21,352
88.4
1,677
38.2
7.9
109
105
57
1,730
650
37.5
1,081
1,081
-8.3
17,107
63.5
1,258
58.8
7.4
129
108
80
1,317
428
32.5
889
889
57.3
22,981
53.2
1,924
54.6
8.4
197
111
987
2,825
966
34.2
1,860
1,860
36.0
45,397
61.9
4,041
43.0
8.9
442
367
1,089
5,055
1,454
28.8
3,601
3,662
43.8
77,770
71.3
6,094
52.2
7.8
537
450
1,276
7,283
2,469
33.9
4,814
4,814
31.5
Satyam Agarwal (Agarwals@MotilalOswal.com); Tel: +91 22 39825410/Nalin Bhatt (NalinBhatt@MotilalOswal.com); +91 22 39825429
29 June 2007
114

Results Preview
SECTOR: ENGINEERING
Suzlon Energy
STOCK INFO.
BLOOMBERG
REUTERS CODE
BSE Sensex: 14,651 SUEL IN
S&P CNX: 4,318
SUZL.BO
29 June 2007
Previous Recommendation: Neutral
Neutral
Rs1,494
P/E*
(X)
P/BV
(X)
ROE
(%)
ROCE
(%)
EV/
EV/
SALES EBITDA
PAT*
(RS M)
EPS*
(RS)
EPS GR.*
(%)
Equity Shares (m)
52-Week Range
1,6,12 Rel. Perf. (%)
M.Cap. (Rs b)
M.Cap. (US$ b)
294.4
1,555/885
15/8/4
439.7
10.8
YEAR
END
NET SALES
(RS M)
3/07A
3/08E
3/09E
79,858
143,038
201,799
8,655
12,676
19,095
30.0
43.0
64.8
13.9
43.1
50.7
49.7
34.7
23.0
13.2
8.2
6.5
29.0
29.4
31.6
21.0
18.5
20.6
5.8
3.4
2.5
35.9
23.0
16.1
* Consolidated
?
For 1QFY08, we expect revenue of Rs15.5b, up 45% YoY, EBITDA of Rs2.8b, up 50.1% YoY, and net profit of
Rs1.2m, up 25.5% YoY.
The order backlog of the company stood at 1,958MW as of March 2007. During 1QFY08, the company has already
announced order intake of 1,330MW - 700MW from PPM Energy, USA and 630MW from Edisson energy, USA.
Suzlon has acquired 81.7% stake in REpower by reaching a co-operation agreement with the Areva for the control
of REpower. The company expects to get a strong footing in the European wind market, largest in terms of absolute
installation per annum and access to offshore technology through the acquisition (5MW turbine erected, 6MW under
development).
We expect Suzlon to report a net profit CAGR of 49% over FY07-09E. The EPS for the company is estimated at
Rs43/sh for FY08E and Rs64/sh for FY09E.
At the CMP of Rs1,494, the stock trades at a P/E of 34.7x FY08E and 23x FY09E consolidated earnings. We
maintain
Neutral.
(RS MILLION)
FY07
1Q
2Q
3Q
4Q
1Q
2Q
FY08E
3Q
4Q
FY07
FY08E
?
?
?
?
QUARTERLY PERFORMANCE (CONSOLIDATED)
Y/E MARCH
Sales
Change (%)
EBITDA
Change (%)
As of % Sales
Depreciation
Interest
Other Income
PBT
Tax
Effective Tax Rate (%)
Reported PAT
Change (%)
PAT (post Minority Interest)
E: MOSt Estimates
10,689
243.6
1,858
181.0
17.4
347
366
161
1,306
346
26.5
960
115.2
953
20,870
85.8
3,600
42.6
17.3
428
547
87
2,711
340
12.5
2,371
14.7
2,354
19,139
117.3
2,546
69.8
13.3
343
638
254
1,820
93
5.1
1,727
28.9
1,744
29,159
91.0
4,954
24.9
17.0
600
972
463
3,846
256
6.6
3,590
-4.3
3,590
15,499
45.0
2,790
50.1
18.0
650
950
120
1,310
105
8.0
1,205
25.5
1,205
32,348
55.0
4,933
37.0
15.3
675
1,015
150
3,393
271
8.0
3,122
31.7
3,122
32,536
70.0
4,718
85.3
14.5
800
1,250
180
2,848
228
8.0
2,620
51.7
2,620
62,654
114.9
8,992
81.5
14.4
843
1,631
198
6,716
986
14.7
5,730
59.6
5,730
79,857
107.9
12,958
44.3
16.2
1,718
2,523
965
9,683
1,035
10.7
8,648
13.7
8,640
143,038
79.1
21,433
65.4
15.0
2,968
4,846
648
14,267
1,590
11.1
12,676
46.6
12,676
Satyam Agarwal (Agarwals@MotilalOswal.com); Tel: +91 22 39825410/Nalin Bhatt (NalinBhatt@MotilalOswal.com); +91 22 39825429
29 June 2007
115

Results Preview
SECTOR: ENGINEERING
Thermax
STOCK INFO.
BLOOMBERG
REUTERS CODE
BSE Sensex: 14,651 TMX IN
S&P CNX: 4,318
THMX.BO
29 June 2007
Previous Recommendation: Buy
Buy
Rs505
EPS GR.*
(%)
P/E*
(X)
P/BV
(X)
ROE
(%)
ROCE
(%)
EV/
EV/
SALES EBITDA
PAT*
(RS M)
EPS*
(RS)
Equity Shares (m)
52-Week Range
1,6,12 Rel. Perf. (%)
M.Cap. (Rs b)
M.Cap. (US$ b)
119.2
519/232
2/24/55
60.1
1.5
YEAR
END
NET SALES
(RS M)
3/07A
3/08E
3/09E
19,945
26,073
34,188
1,919
2,715
3,597
16.1
22.8
30.2
87.2
41.4
32.5
31.3
22.1
16.7
10.3
8.1
6.1
39.7
40.1
41.0
57.0
59.9
61.4
2.9
2.2
1.6
19.6
14.6
10.6
* Consolidated
?
For 1QFY08, we expect revenue of Rs3.8b, up 17.5% YoY, EBITDA of Rs485m and net profit of Rs320m, a jump
of 16.2% YoY. The management has guided for revenue growth of 40% YoY during FY08 and stable EBIDTA
margin.
The order backlog for the company stood at Rs27.7b as of March 2007 on a standalone basis and Rs31b on a
consolidated basis.
Thermax has planned an investment of Rs800m for FY08 for capacity expansion of the captive power segment,
entry into higher range boilers and heat recovery systems and new range of absorption chillers. The first phase of
expansion at Vadodara unit would commence production in 2Q and the capacity would be ramped up in 3Q and 4Q.
The unit for absorption chillers at China is likely to be operational in 4QFY08.
We expect Thermax to report a net profit CAGR of 37% over FY07-09E. The EPS for the company is estimated at
Rs22.8 for FY08E and Rs30.2 for FY09E.
At the CMP of Rs505, the stock trades at a P/E of 22.1x FY08E and 16.7x FY09E consolidated earnings. We
maintain
Buy.
(RS MILLION)
FY07
1Q
2Q
3Q
4Q
1Q
2Q
FY08E
3Q
4Q
FY07*
FY08E*
?
?
?
?
QUARTERLY PERFORMANCE
Y/E MARCH
Sales
Change (%)
EBITDA
Change (%)
As of % Sales
Depreciation
Interest
Other Income
Extra-ordinary Items
PBT
Tax
Effective Tax Rate (%)
Reported PAT
Adj PAT
Change (%)
3,226
383
11.9
38
0
65
0
410
135
32.8
275
275
4,823
758
15.7
50
2
88
-231
562
211
37.6
351
582
5,499
53.0
760
63.2
13.8
47
5
83
0
790
236
29.8
555
555
83.5
8,044
68.9
887
25.1
11.0
53
5
272
41
1,143
446
39.0
697
656
53.6
3,791
17.5
485
26.9
12.8
45
1
45
0
484
164
33.9
320
320
16.2
5,787
20.0
983
29.7
17.0
48
2
65
0
998
338
33.9
660
660
13.4
6,709
22.0
1,090
43.4
16.2
50
3
90
0
1,127
382
33.9
745
745
34.4
9,786
21.7
1,324
49.2
13.5
49
4
128
0
1,398
474
33.9
924
924
40.9
21,368
44.0
2,429
21.5
11.4
188
13
732
-55
2,905
1,027
35.4
1,878
1,933
49.7
26,073
22.0
3,883
59.9
14.9
192
10
328
0
4,008
1,359
33.9
2,649
2,649
37.1
E: MOSt Estimates; *Nos include results of Thermax Babcock and Wilcox Ltd and Thermax Capital Ltd.and hence not comparable yoy
Satyam Agarwal (Agarwals@MotilalOswal.com); Tel: +91 22 39825410/Nalin Bhatt (NalinBhatt@MotilalOswal.com); +91 22 39825429
29 June 2007
116

Results Preview
QUARTER ENDED JUNE 2007
FMCG
BSE Sensex: 14,651
S&P CNX: 4,318
29 June 2007
COMPANY NAME
PG.
Asian Paints
Britannia Industries
Colgate Palmolive
Dabur India
GSK Consumer
Godrej Consumer Products
Hindustan Unilever
ITC
Marico
Nestle India
Tata Tea
United Spirits
124
125
126
127
128
129
130
131
132
133
134
135
The FMCG sector reported double-digit volume growth in the March quarter. Companies
like Britannia, Nestle, Dabur, Asian Paints and Marico reported good volume growth in
spite of price increases on their product portfolio. FMCG major, HLL continued to lag
behind due to low growth in the Personal Care segment. Firm trend in input prices of
palm oil, milk and wheat impacted margins of most of the companies. We expect double-
digit volume growth to continue but gross margins are likely to remain under pressure for
companies like HLL, GSK Consumer and Asian Paints – as the price increases are not
adequate to cover the entire inflationary impact in commodity prices.
Long term potential appears favorable due to low penetration and rising per capita incomes
but short term pressures are likely to sustain. Valuations appear stretched for a large
majority of companies. We prefer stocks with high growth visibility and potential for
sustained growth above mid-teens. We rate
United Spirits
as our preferred bet among
large caps.
Asian Paints, Nestle
and
Britannia
are our top picks in mid caps. We also
rate
Tata Tea
as a contrarian long term pick despite our Neutral rating on the stock.
EXPECTED QUARTERLY PERFORMANCE SUMMARY
RECO
SALES
JUN.07
CHG. (%)
JUN.07
EBITDA
CHG. (%)
(RS MILLION)
NET PROFIT
JUN.07
CHG. (%)
FMCG
Asian Paints
Britannia
Colgate
Dabur
GSK Consumer
Godrej Consumer
Hind. Unilever
ITC
Marico
Nestle
Tata Tea
United Spirits
Sector Aggregate
Buy
Buy
Neutral
Neutral
Buy
Neutral
Neutral
Buy
Buy
Buy
Neutral
Buy
6,900
6,400
3,550
5,575
3,040
2,850
34,800
33,000
4,800
8,134
10,200
6,350
125,599
14.4
32.6
14.7
17.2
13.1
19.9
12.9
15.8
28.8
19.4
27.7
19.0
17.4
1,100
525
490
790
540
500
4,500
10,400
685
1,634
2,050
1,000
24,214
17.1
61.0
22.3
23.6
1.6
18.8
8.5
7.2
21.8
18.1
30.0
33.0
13.2
692
432
436
610
346
400
4,300
7,095
403
1,073
660
485
16,932
19.4
32.5
20.9
28.8
11.9
21.9
13.4
8.8
33.1
27.1
-19.4
39.9
12.8
Amnish Aggarwal (AmnishAggarwal@MotilalOswal.com)Tel:+9122 39825404/Rajee Patwa (RajeePatwa@MotilalOswal.com)Tel:+9122 39825417
29 June 2007
117

FMCG
Pick up in monsoons, organized retail positive for consumer demand
Monsoons activity has considerably picked up in the past two weeks. As per the data
released by the Indian Meteorological department, the monsoons have been normal in 31
out of 36 subdivisions in comparison to only 17 subdivisions last year. This augurs well for
agricultural production and farm incomes in the forthcoming season. Pick-up in agri
production and farm income can have a multiplier effect in the economy. Increase in farm
production will improve availability and bring down inflation in commodity prices. Higher
production and improved realizations in organized retail will start reflecting on rising farm
incomes. We believe that rural India presents huge untapped demand potential for most of
the FMCG products. Double impact of rising employment and farm incomes will provide
the much needed flip to demand growth.
Category specific growth amidst broad acceleration, pricing power
improving
FMCG sector continues to have staggered growth. We observe that categories like soaps,
detergents, and oral care are witnessing single-digit volume growth. Skin Care, Household
products, food products and Alcoholic beverages continue to maintain high double-digit
growth. Although the sector has seen acceleration in growth rates in the past one year,
products with higher innovation and low product penetration have been the winners.
Distribution gains for categories like Personal Care, Food Products and Alcoholic Beverages
have been a major contributor to demand acceleration. We expect high double-digit volume
growth for categories such as Personal care, Household Products, Biscuits, Beer, packed
juices, Noodles, Packed Water and Wines. Decorative Paints and Spirits are likely to grow
in mid-teens while Soaps and Detergents are likely to grow in mid-to-high single-digit
levels. Pricing power is improving across segments, although companies appear to be
playing the volumes game to derive growth. Pricing wars don’ seem likely as of now, but
t
the leading players are acting cautiously in effecting price increases in select categories
like Detergents, Soaps and Food Products.
FMCG companies exploring opportunities in new segments
With increasing competition in the traditional FMCG categories, FMCG companies are
looking at new product segments, both organically and by acquisitions. This is being done
to accelerate growth in existing lines and enter potential growth segments. United Spirits
has acquired Whyte & Mackay to enter the global scotch market. Dabur plans to go the
retail way and plans to set up stores which would house its own products as well as
imported products. Most of these initiatives are in the high-growth high-margin nascent
product categories. We expect most of these initiatives to start contributing only after 2-3
years, except Whyte & Mackay, which is estimated to be EPS accretive for United Spirits
from FY08 itself.
29 June 2007
118

FMCG
DETAILS OF ACQUISITIONS
COMPANY
NAME
ACQUISITION/
LAUNCH
PRODUCT
SEGMENT SIZE
(DOMESTIC)
GROWTH
RATE (%)
BRAND
United Spirits
Tata Tea
Whyte & Mackay
Mount
Everest
Mineral water
Scotch
Mineral Water
2.4m cases
15b
30-40
15-20
W&M, Isle of Jura
Himalaya
Dabur
GCPL
Marico
ITC
Health & beauty retail
JV with SCA
Kaya Health
Bingo
Stores
Feminine Hygiene
Fitness Clinic
Snacks
20b
10b
20-25
20
NA
Kaya
25
Bingo
Source: Motilal Oswal Securities
Companies are getting aggressive in launching newer variants
Rising disposable income in the hands of the urban Indian and evolving modern retail
structure is increasing demand for processed and ready-to-eat-foods, although the base is
small. In order to capitalize on the growing demand, FMCG companies are getting
aggressive in their new launches in the food segment.
DETAILS OF NEW VARIANTS
COMPANY
CATEGORY
BRAND
VARIANT
Nestle
Culinary
Chocolate
Dairy
Maggi
Kit Kat
Nestle
Bingo
Treat, Nutri Choice, 50:50
Maggi Rice Mania in three flavors
KIT KAT Lite
Slim Dahi, Raita, Slim Milk, Everyday
Slim Dairy Whitener
Bingo range on snacks
Chutkule, Treat Fruit Rolls, Treat
Masti Magic Offer, Nutri Choice
Sugar out, Nutri Choice Digestive
ITC
Britannia
New FMCG
Biscuits
HLL
Foods
Knorr
Chinese Ready to Cook foods
Source: Motilal Oswal Securities
Input prices continue to move northward
While prices of certain inputs like LAB, sugar have been softening, commodities like milk,
wheat, vegetable oil continue to be on an uptrend. Prices of palm oil have shot up to as
high as 2,600 ringits per ton from 1,900 ringits per ton in the last quarter. Milk prices are
also likely to remain firm in the coming quarters. Prices of coffee are likely to move up
further due to production shortfall in Brazil. However we expect higher volume growth
and price increases taken by most of the FMCG companies to partly offset the inflationary
trend in input prices.
29 June 2007
119

FMCG
TREND IN MILK PRICES
CY 04
120
110
100
90
88
80
1Q
2Q
100
95
116
103
94
97
CY 05
CY 06
CY 07
109
97
95
91
3Q
4Q
97
106
Period
TREND IN WHEAT FLOUR PRICES
CY 04
160
140
120
100
80
1Q
2Q
139
115
99
100
116
CY 05
CY 06
CY 07
135
118
96
95
97
96
3Q
104
104
4Q
Source: Nestle - Company Presentation
TREND IN PALM OIL PRICES IN RINGITS PER TON
3,000
2,500
2,000
1,500
1,000
Dec-03
Oct-04
Aug-05
Jun-06
Apr-07
Source: Bloomberg
PRICES OF LAB (RS/TON)
1,600
1,400
1,200
1,000
800
cif Mumbai
Source: Cris Infac/ Motilal Oswal Securities
29 June 2007
120

FMCG
Strong demographics, low product penetration indicate long term potential
Consumer demand is expected to remain strong due to growth in both farm incomes and
job opportunities. Employment generation and salary levels have been rising due to strong
economic growth with manpower shortages in Retail, IT/ITES, and construction sectors.
Rising employment opportunities will likely result in a strong surge in consumer demand as
50% of the population currently is below the median age of 24 years?
The product penetration in most of the FMCG categories is very low. Some of the large
categories such as Detergents, Washing Powder and Toilet Soaps have high penetration
by Indian standards. But even in these categories, per capita spend is significantly lower
than most countries in Asia and South East Asia.
FMCG PRODUCTS PENETRATION (%)
ALL INDIA
URBAN
RURAL
Deodorants
Instant Coffee
Skin Cream
Utensil Cleaner
Toothpastes
Shampoo
Washing Powder
Detergent Bar
Toilet Soap
2.1
6.6
22.0
28.0
48.6
38.0
86.1
88.6
91.5
5.5
15.5
31.5
59.9
74.9
52.1
90.7
91.4
97.4
0.6
2.8
17.8
14.6
37.6
31.9
84.1
87.4
88.9
Source: HLL Presentation/Motilal Oswal Securities
This indicates substantial long term growth potential in the FMCG sector. Categories which
have penetration of less than 25% are expected to grow volumes by more than 15-20%
per annum over the coming 8-10 years.
PER CAPITAL CONSUMPTION (US$)
India
8
China
Indonesia
Thailand
Malasiya
6
4
2
0
Laundry
Shampoo
Skin Care
Deodrants
Source: HLL Presentation/Motilal Oswal Securities
29 June 2007
121

FMCG
Valuation and top picks
The FMCG sector continued to move steadily although the impact of steadily growing per
capita income and rising consumer confidence is not visible on demand growth to the
expected extent. FMCG companies have been mostly range-bound in the recent past.
Margin expansion has been lower-than-expectation mainly due to sharp increase in
commodity-based raw materials. Long term potential appears favorable due to low
penetration and rising per capita incomes but short term pressures are likely to sustain.
Valuations seem stretched for a large majority of companies. We prefer stocks with high
growth visibility and potential for sustained growth above mid teens. We rate
United
Spirits
as our preferred bet among large caps.
Asian Paints, Nestle
and
Britannia
are
our top picks in the mid caps. We also rate
Tata Tea
as a contrarian long term pick at
despite our neutral rating on the stock.
29 June 2007
122

FMCG
Stock performance and valuations
STOCK PERFORMANCE (%)
ABSOLUTE PERF
3M
1 YEAR
REL PERF TO SENSEX
3M
1 YEAR
REL PERF TO SECTOR
3M
1 YEAR
FMCG
Asian Paints
Britannia
Colgate
Dabur
Godrej Consumer
GSK
Hind. Unilever
ITC
Marico Industries
Nestle
Tata Tea
United Spirits
RELATIVE PERFORMANCE - 3 MONTH (%)
6
26
11
8
-4
9
-8
3
-10
24
40
56
36
30
-5
8
-12
13
-18
-15
24
16
11
202
-6
14
-1
-4
-16
-3
-20
-9
-22
12
28
44
-2
-8
-43
-30
-50
-25
-56
-53
-14
-22
-27
164
0
20
6
3
-10
4
-14
-3
-15
19
35
50
37
32
-3
10
-10
15
-16
-13
25
18
13
204
RELATIVE PERFORMANCE - 1 YEAR (%)
Sensex
115
111
107
103
99
Mar-07
Apr-07
MOSt FMCG Index
MOSt FMCG Index
150
135
120
105
90
Sensex
May-07
Jun-07
Jun-06
Sep-06
Dec-06
Mar-07
Jun-07
COMPARATIVE VALUATION
CMP (RS)
29.6.07
RECO
FY07E
EPS (RS)
FY08E
FY09E
FY07E
P/E (X)
FY08E
FY09E
FY07E
EV/EBITDA
FY08E
FY09E
FY07E
ROE (%)
FY08E
FY09E
FMCG
Asian Paints
Britannia
Colgate
Dabur
GSK Consumer
Godrej Consumer
Hind. Unilever
ITC
Marico
Nestle
Tata Tea
United Spirits
Sector Aggregate
811
1,575
370
103
573
141
189
155
55
1,160
853
1,291
Buy
Buy
Neutral
Neutral
Buy
Neutral
Neutral
Buy
Buy
Buy
Neutral
Buy
28.1
47.3
14.2
3.3
30.2
5.9
7.0
7.2
1.9
33.9
50.6
25.4
33.7
77.9
16.4
4.0
34.5
7.1
7.7
7.5
2.6
42.1
48.5
36.7
41.3
90.4
18.5
4.9
39.1
8.3
8.7
9.0
3.2
49.3
79.9
58.8
28.8
33.3
26.0
31.4
19.0
23.7
27.1
21.6
29.4
34.2
16.9
50.9
25.7
24.0
20.2
22.5
25.4
16.6
19.9
24.6
20.7
21.2
27.6
17.6
35.2
23.0
19.6
17.4
20.0
20.9
14.7
16.9
21.7
17.2
17.1
23.6
10.7
21.9
18.9
17.9
26.0
22.9
25.4
12.7
18.1
23.6
13.5
17.4
20.5
8.2
28.7
17.3
14.5
12.1
19.5
20.1
10.5
15.7
21.8
13.0
13.4
16.9
5.5
22.3
15.3
11.8
10.1
17.2
17.0
9.0
13.5
18.7
10.4
11.0
14.4
4.4
17.1
12.6
35.7
17.9
68.9
58.8
22.9
123.8
56.5
26.1
69.0
53.8
14.0
17.2
31.4
35.1
25.3
75.6
54.1
22.7
145.8
60.6
24.0
66.5
59.7
7.3
20.6
29.2
34.4
23.6
80.8
50.2
22.2
167.0
65.9
25.5
58.0
63.1
11.0
22.2
30.7
29 June 2007
123

Results Preview
SECTOR: FMCG-PAINTS
Asian Paints
STOCK INFO.
BLOOMBERG
REUTERS CODE
BSE Sensex: 14,651 APNT IN
S&P CNX: 4,318
ASPN.BO
29 June 2007
Previous Recommendation: Buy
Buy
Rs811
EPS
P/E
(X)
P/BV
(X)
ROE
(%)
ROCE
(%)
EV/
EV/
SALES EBITDA
PAT*
(RS M)
EPS*
(RS) GROWTH (%)
Equity Shares (m)
52-Week Range
1,6,12 Rel. Perf. (%)
M.Cap. (Rs b)
M.Cap. (US$ b)
95.9
900/530
-4/4/-2
77.8
1.9
YEAR
END
NET SALES
(RS M)
3/07A
3/08E
3/09E
28,213
32,727
37,636
2,699
3,237
3,960
28.1
33.7
41.3
21.9
19.9
22.3
28.8
24.0
19.6
10.3
8.4
6.8
35.7
35.1
34.4
51.4
50.9
49.1
2.7
2.2
1.9
17.9
14.5
11.8
* Pre-exceptionals
?
We expect Asian Paints to register 14.4% growth in revenues to Rs6.9b in 1QFY08. Volume growth is expected to
remain in mid-teens in decorative paints and above teens in industrial paints. Powder coatings, road marking paints
and surface coatings are expected to be key growth drivers.
EBITDA margins are expected to expand by 38bp to 15.9% in 1QFY08. Price increases of around 4.25% were
taken last year beginning mid-June 2006. Prices of key raw materials however remained stable during the quarter.
PAT at Rs692m would grow by 19.4%. The stock is currently trading 24x FY08E earnings and 19.6x FY09E earnings.
We expect valuation premium to sustain due to steady growth and good track record of investor friendly policies. We
recommend
Buy.
?
?
QUARTERLY PERFORMANCE
Y/E MARCH
1Q
2Q
FY07
3Q
4Q
1Q
2Q
FY08E
3Q
4Q
FY07
(RS MILLION)
FY08E
Net Sales
Change (%)
Total Expenditure
EBITDA
Margin (%)
Change (%)
Interest
Depreciation
Other Income
Operational PBT
Non Recurring Items
PBT
Tax
Deferred Tax
Effective Tax Rate (%)
PAT
Adjusted PAT
Change (%)
E: MOSt Estimates
6,034
18.2
5,095
939
15.6
29.0
13
110
64
880
0.4
881
299
1
34.0
580
580
31
7,849
26.8
6,646
1,203
15.3
19.6
18
115
101
1,171
-2
1,170
401
-7
33.7
776
777
23.6
7,060
12.9
6,049
1,010
14.3
3.8
23
112
108
983
2
985
331
0
33.7
653
651
7.4
7,270
28.8
6,205
1,065
14.6
31.1
15
118
132
1,065
21
1,086
374
0
34.5
711
691
28.6
6,900
14.4
5,800
1,100
15.9
17.1
16
125
78
1,037
0
1,037
340
5
33.3
692
692
19.4
9,100
15.9
7,650
1,450
15.9
20.5
20
135
120
1,415
0
1,415
488
7
35.0
920
920
18.4
8,450
19.7
7,150
1,300
15.4
28.7
23
142
125
1,260
0
1,260
440
6
35.4
814
814
25.0
8,277
13.8
7,054
1,223
14.8
14.9
16
148
143
1,203
0
1,203
451
37.5
751
751
8.8
28,213
21.7
23,995
4,218
14.9
43.6
69
454
405
4,099
21
4,120
1,424
-24
34.0
2,720
2,699
52
32,727
16
27,654
5,073
15.5
20
75
550
466
4,915
0
4,915
1,737
-60.0
34
3,237
3,237
19.9
Amnish Aggarwal (AmnishAggarwal@MotilalOswal.com)Tel:+9122 39825404/Rajee Patwa (RajeePatwa@MotilalOswal.com)Tel:+9122 39825417
29 June 2007
124

Results Preview
SECTOR: FMCG
Britannia Industries
STOCK INFO.
BLOOMBERG
REUTERS CODE
BSE Sensex: 14,651 BRIT IN
S&P CNX: 4,318
BRIT.BO
29 June 2007
Previous Recommendation: Buy
Buy
Rs1,575
EPS
P/E
(X)
P/BV
(X)
ROE
(%)
ROCE
(%)
EV/
EV/
SALES EBITDA
PAT*
(RS M)
EPS*
(RS) GROWTH (%)
Equity Shares (m)
52-Week Range
1,6,12 Rel. Perf. (%)
M.Cap. (Rs b)
M.Cap. (US$ b)
23.9
1,645/1,025
-1/38/-8
37.6
0.9
YEAR
END
NET SALES
(RS M)
3/07A
3/08E
3/09E
21,993
28,873
34,012
1,076
1,861
2,160
47.3
77.9
90.4
-22.8
64.7
16.0
33.3
20.2
17.4
5.9
4.9
4.1
17.9
25.3
23.6
18.5
32.9
31.1
1.5
1.1
0.9
26.0
12.1
10.1
* Pre-exceptionals
?
We expect Britannia to report revenues of Rs6.4b in 1QFY08, a growth of 32.6% YoY. Higher topline would be
driven by price increases taken by way of reduction in pack sizes and extension of excise exemption to biscuits with
MRP below Rs100/ kg from Rs50.
The company is getting aggressive in terms of new variants. Newly launched variants include Treat Magic Masti
Offer, Nutri Choice Sugarout, Nutri Choice Digestive Biscuit and Treat Fruit Rolls.
EBITDA margins are expected to increase by 145bp YoY to 8.2% in 1QFY08 as input pressures would be offset by
higher topline growth, reduction in pack size and lower excise duty incidence, despite rising cost of milk and wheat
flour.
Adjusted PAT for 1QFY08 would grow by 32.5% to Rs432m.
The stock is currently trading at 20.2x FY08E earnings, 17.4x FY09E earnings. We recommend
Buy.
(RS MILLION)
FY07
1Q
2Q
3Q
4Q
1Q
2Q
FY08E
3Q
4Q
FY07
FY08E
?
?
?
?
QUARTERLY PERFORMANCE
Y/E MARCH
Net Sales
YoY Change (%)
Total Exp
EBITDA
Margins (%)
Depreciation
Interest
Other Income
PBT
Tax
Rate (%)
PAT
YoY Change (%)
Extraordinary Expenses
Reported PAT
E: MOSt Estimates
4,828
25.2
4,502
326
6.8
57
7
119
381
55
14.4
326
-8.7
-23
303
5,497
23.8
5,209
288
5.2
64
16
27
235
-3
-1.3
238
-45.8
-26
212
5,673
26.1
5,412
261
4.6
65
23
50
223
22
9.9
201
-48.5
-37
164
5,992
32.0
5,605
387
6.5
66
8
87
400
34
8.5
366
59.8
32
398
6,400
32.6
5,875
525
8.2
60
5
122
582
150
25.8
432
32.5
-18
414
7,100
29.2
6,475
625
8.8
70
12
32
575
150
26.1
425
78.6
-20
405
7,450
31.3
6,800
650
8.7
75
9
60
626
165
26.4
461
129.4
-22
439
7,923
32.2
7,143
781
9.9
77
4
91
792
179
22.6
613
67.5
-10
603
21,993
28.4
20,741
1,252
5.7
253
54
293
1,238
108
8.7
1,130
-33.8
-54
1,076
28,873
31.3
26,293
2,581
8.9
282
30
305
2,575
644
25.0
1,931
70.9
-70
1,861
Amnish Aggarwal (AmnishAggarwal@MotilalOswal.com)Tel:+9122 39825404/Rajee Patwa (RajeePatwa@MotilalOswal.com)Tel:+9122 39825417
29 June 2007
125

Results Preview
SECTOR: FMCG
Colgate Palmolive
STOCK INFO.
BLOOMBERG
REUTERS CODE
BSE Sensex: 14,651 CLGT IN
S&P CNX: 4,318
COLG.BO
29 June 2007
Previous Recommendation: Neutral
Neutral
Rs370
P/E
(X)
P/BV
(X)
ROE
(%)
ROCE
(%)
EV/
EV/
SALES EBITDA
PAT*
(RS M)
EPS*
EPS
(RS) GROWTH (%)
Equity Shares (m)
52-Week Range
1,6,12 Rel. Perf. (%)
M.Cap. (Rs b)
M.Cap. (US$ b)
136.0
430/291
2/-11/-43
50.3
1.2
YEAR
END
NET SALES
(RS M)
3/07A
3/08E
3/09E
12,951
14,763
16,789
1,933
2,229
2,511
14.2
16.4
18.5
47.9
15.4
12.6
26.0
22.5
20.0
179.2
170.5
161.7
70.1
77.5
82.9
69.3
76.6
81.9
3.7
3.2
2.8
22.9
19.5
17.2
* Pre-exceptionals
?
We expect Colgate to report 14.7% YoY growth in sales in 1QFY08 to Rs3.55b, driven by higher volumes. New
variants like the Citrus blast evoked good response due to high advertising support and premium positioning. We
expect Cibaca volumes to gain due to higher growth in the economy segment of the toothpaste market.
We expect EBITDA margins to expand by 86bp to 13.8% in 1QFY08, aided by lower advertising expenses. PAT is
expected to increase by 20.9% to Rs436m in 1QFY08.
Colgate had closed down the Sewri facility; which will reduce the cost of production and boost the profitability of the
company in the long term. We have not factored in cost reductions from the closure of the facility in a high-cost
location.
The stock is currently trading at 22.5x FY08E earnings, 20x FY09E earnings. We maintain
Neutral.
(RS MILLION)
FY07
1Q
2Q
3Q
4Q
1Q
2Q
FY08E
3Q
4Q
FY07
FY08E
?
?
?
QUARTERLY PERFORMANCE
Y/E MARCH
Net Sales
YoY Change (%)
Total Exp
EBITDA
Margins (%)
Depreciation
Interest
Other Income
PBT
Tax
Rate (%)
Adjusted PAT
YoY Change (%)
Extraordinary Expenses
Reported PAT
YoY Change (%)
E: MOSt Estimates
3,096
19.9
2,695
401
12.9
37
2
148
509
149
29.2
361
1.6
0
361
28.9
3,200
15.1
2,642
558
17.4
36
2
122
643
137
21.4
505
63.7
-274
232
-24.9
3,223
12.8
2,679
544
16.9
44
3
166
664
161
24.2
503
-13.6
0
503
20.6
3,433
13.6
2,897
536
15.6
37
3
174
670
172
25.6
498
34.6
8
506
36.7
3,550
14.7
3,060
490
13.8
30
2
160
618
182
29.4
436
20.9
0
436
20.9
3,625
13.3
2,975
650
17.9
25
2
135
758
175
23.1
583
15.4
0
583
151.5
3,700
14.8
3,050
650
17.6
28
1
185
806
205
25.4
601
19.4
0
601
19.4
3,888
13.3
3,243
645
16.6
24
1
211
831
221
26.6
609
22.3
0
609
20.4
12,951
15.2
10,863
2,089
16.1
153
10
585
2,512
579
23.0
1,933
47.9
-331
1,602
16.4
14,763
14.0
12,328
2,435
16.5
107
6
691
3,013
783
26.0
2,229
15.4
2,229
39.2
Amnish Aggarwal (AmnishAggarwal@MotilalOswal.com)Tel:+9122 39825404/Rajee Patwa (RajeePatwa@MotilalOswal.com)Tel:+9122 39825417
29 June 2007
126

Results Preview
SECTOR: FMCG
Dabur India
STOCK INFO.
BLOOMBERG
REUTERS CODE
BSE Sensex: 14,651 DABUR IN
S&P CNX: 4,318
DABU.BO
29 June 2007
Previous Recommendation: Neutral
Neutral
Rs103
P/E
(X)
P/BV
(X)
ROE
(%)
ROCE
(%)
EV/
EV/
SALES EBITDA
PAT
(RS M)
EPS
EPS
(RS) GROWTH (%)
Equity Shares (m)
52-Week Range
1,6,12 Rel. Perf. (%)
M.Cap. (Rs b)
M.Cap. (US$ b)
862.9
118/83
3/-1/-30
88.7
2.2
YEAR
END
NET SALES
(RS M)
3/07A
3/08E
3/09E
22,337
25,958
29,575
2,822
3,488
4,241
3.3
4.0
4.9
24.5
23.2
21.6
31.4
23.4
19.2
18.5
12.6
9.6
58.8
54.1
50.2
52.0
58.6
54.2
4.0
3.0
2.6
25.4
18.4
15.5
?
Dabur is expected to report sales of Rs5.6b in 1QFY08, a growth of 17.2% YoY driven by higher volume growth
across segments like health supplements, hair oils and oral care.
EBITDA margins are expected to increase by 73bp to 14.2% YoY in 1QFY08 with the full impact of price increases
coming in. The company had taken an average price hike of around 4% on its portfolio last year.
Adjusted PAT before minority interest is expected to be Rs610m, a 29% growth YoY in 1QFY08.
The company has announced its foray into retail segments with specialty beauty and health stores. Dabur expects to
commission its first store in the current year while breakeven is expected in the fourth year. We expect the venture
to accelerate topline growth ahead. Our estimates do not factor in the impact of retail operations.
The stock is currently trading at 23.4x FY08E earnings, 19.2x FY09E earnings. We maintain
Neutral.
(RS MILLION)
FY07
1Q
2Q
3Q
4Q
1Q
2Q
FY08E
3Q
4Q
FY07
FY08E
?
?
?
?
QUARTERLY PERFORMANCE
Y/E MARCH
Gross Sales
YoY Change (%)
Total Exp
EBITDA
Margins (%)
Depreciation
Interest
Other Income
PBT
Tax
Rate (%)
PAT
YoY Change (%)
Minority Interest
Extraordinary Inc/(Exp)
Reported PAT
E: MOSt Estimates
4,755
14.7
4,116
639
13.4
-97
-41
53
554
-80
14.5
474
37
9
0
482
5,641
20.7
4,668
973
17.3
-106
-55
38
851
-123
14.5
727
16
-6
65
787
6,176
14.9
5,172
1,004
16.3
-115
-31
33
891
-115
12.9
776
17
17
0
793
5,765
20.1
4,884
881
15.3
-90
-28
71
834
-54
6.5
780
23
-11
0
769
5,575
17.2
4,785
790
14.2
-105
-35
65
715
-105
14.7
610
29
0
0
610
6,525
15.7
5,350
1,175
18.0
-111
-45
45
1,064
-158
14.8
906
25
0
0
906
7,100
15.0
5,885
1,215
17.1
-110
-36
44
1,113
-145
13.0
968
25
0
0
968
6,758
17.2
5,664
1,093
16.2
-95
-21
99
1,076
-72
6.7
1,004
29
0
0
1,004
22,337
17.6
-18,840
3,497
15.7
-408
-154
259
3,195
-373
11.7
2,822
24.5
8.7
0
2,830
25,958
16.2
21,684
4,273
16.5
-421
-137
253
3,968
-480
12.1
3,488
24
0
0
3,488
Amnish Aggarwal (AmnishAggarwal@MotilalOswal.com)Tel:+9122 39825404/Rajee Patwa (RajeePatwa@MotilalOswal.com)Tel:+9122 39825417
29 June 2007
127

Results Preview
SECTOR: FMCG
GlaxoSmithKline Consumer
STOCK INFO.
BLOOMBERG
REUTERS CODE
BSE Sensex: 14,651 SKB IN
S&P CNX: 4,318
GLSM.BO
29 June 2007
Previous Recommendation: Buy
Buy
Rs573
EPS
P/E
(X)
P/BV
(X)
ROE
(%)
ROCE
(%)
EV/
EV/
SALES EBITDA
PAT
(RS M)
EPS
(RS) GROWTH (%)
Equity Shares (m)
52-Week Range
1,6,12 Rel. Perf. (%)
M.Cap. (Rs b)
M.Cap. (US$ b)
45.4
670/470
2/-4/-25
26.0
0.6
YEAR
END
NET SALES
(RS M)
12/06A 11,119
12/07E 12,628
12/08E 13,916
1,268
1,451
1,642
30.2
34.5
39.1
18.4
14.4
13.2
19.0
16.6
14.7
4.4
3.8
3.3
22.9
22.7
22.2
35.1
35.9
35.1
1.9
1.6
1.4
11.6
9.6
8.2
?
We expect GSK Consumer to register sales of Rs30.4b in 2QCY07 against Rs2.68b in 2QCY06, a growth of 13.1%
YoY. 3.5% price increase in Horlicks will be the key growth driver.
EBITDA margins are expected to decline by 201bp to 17.8% in 2QCY07 primarily due to higher prices of milk and
wheat. We expect milk prices to remain firm for another couple of quarters.
GSK is expected to report PAT of Rs346m in 2QCY07 against Rs309m in 2QCY06, a growth of 11.9% YoY.
The stock is currently trading at 16.6x CY07E earnings and 14.7x CY08E earnings. We maintain our
Buy
rating on
the stock.
?
?
?
QUARTERLY PERFORMANCE
Y/E DECEMBER
1Q
2Q
CY06
3Q
4Q
1Q
2QE
CY07
3QE
4QE
CY06
(RS MILLION)
CY07E
Net Sales
YoY Change (%)
Total Exp
EBITDA
Margins (%)
Depreciation
Interest
Other Income
PBT
Tax
Rate (%)
PAT
YoY Change (%)
E: MOSt Estimates
2,769
24.2
2,189
580
20.9
104
8
72
540
196
36.2
345
67.9
2,688
10.7
2,157
531
19.8
105
9
72
490
181
37
309
6.3
3,015
16.5
2,486
528
19.5
109
10
139
548
185
33.8
362
19.7
2,647
9.2
2,372
275
10.4
108
8
169
328
76
23.2
252
17.9
3,265
17.9
2,641
624
19.1
108
11
139
644
221
34.3
423
22.8
3,040
13.1
2,500
540
17.8
104
10
125
551
205
37.2
346
11.9
3,400
12.8
2,790
610
17.9
107
9
162
656
250
38.1
406
12.1
2,923
10.4
2,575
348
11.9
112
5
182
413
137
33.1
276
9.5
11,119
29.0
9,274
1,845
16.6
427
35
522
1,904
637
33.5
1,267
75.2
12,628
13.6
10,506
2,122
16.8
431
35
608
2,264
813
35.9
1,451
14.5
Amnish Aggarwal (AmnishAggarwal@MotilalOswal.com)Tel:+9122 39825404/Rajee Patwa (RajeePatwa@MotilalOswal.com)Tel:+9122 39825417
29 June 2007
128

Results Preview
SECTOR: FMCG
Godrej Consumer Products
STOCK INFO.
BLOOMBERG
REUTERS CODE
BSE Sensex: 14,651 GCPL IN
S&P CNX: 4,318
GOCP.BO
29 June 2007
Previous Recommendation: Neutral
Neutral
Rs141
P/E
(X)
P/BV
(X)
ROE
(%)
ROCE
(%)
EV/
EV/
SALES EBITDA
PAT
(RS M)
EPS
EPS
(RS) GROWTH (%)
Equity Shares (m)
52-Week Range
1,6,12 Rel. Perf. (%)
M.Cap. (Rs b)
M.Cap. (US$ b)
226.4
194/129
-4/-12/-50
31.9
0.8
YEAR
END
NET SALES
(RS M)
3/07A
3/08E
3/09E
9,574
11,564
13,017
1,342
1,597
1,880
5.9
7.1
8.3
12.5
19.0
17.8
23.7
19.8
16.8
29.4
28.9
28.1
123.8
145.8
167.0
77.6
99.0
106.9
3.4
2.8
2.4
18.0
15.6
13.3
?
?
GCPL is expected to report revenue growth of 19.9% YoY to Rs2.85b in 1QFY08.
We expect soaps to grow in high double digits led by a 5-6% price increase taken in the last quarter, while growth in
hair color would be subdued in spite of the 12.5% price increase taken in powdered hair dye in December 2006.
EBITDA margins are expected to be 17.5% against 17.7% in 1QFY08, on account of higher input prices. Palm oil
prices have risen by almost 30% since the last price increase adopted by the company in the last quarter.
We expect the company to report PAT of Rs400m, a growth of 21.9% YoY in 1QFY08 on account of decline in
effective tax rate.
The stock is currently trading at 19.8x FY08E consolidated earnings and 16.8x FY09E consolidated earnings. We
maintain a
Neutral.
?
?
?
QUARTERLY PERFORMANCE (STANDALONE)
Y/E MARCH
1Q
2Q
FY07
3Q
4Q
1Q
2Q
FY08E
3Q
4Q
FY07
(RS MILLION)
FY08E
Net Sales
YoY Change (%)
Total Exp
EBITDA
Margins (%)
Depreciation
Interest
Other Income
PBT
Tax
Rate (%)
PAT
YoY Change (%)
Extraordinary Expenses
Reported PAT
E: MOSt Estimates
2,376
41.7
1,955
421
17.7
31
18
8
381
53
13.9
328
21.0
13
341
2,318
47.6
1,922
397
17.1
31
26
28
369
59
15.9
310
11.5
0
310
2,380
29.3
1,865
516
21.7
36
33
17
464
68
14.6
396
10.5
0
396
2,424
26.6
1,993
431
17.8
45
20
6
372
64
17.3
308
2.3
86
394
2,850
19.9
2,350
500
17.5
35
15
10
460
60
13.0
400
21.9
0
400
2,800
20.8
2,325
475
17.0
40
19
20
436
60
13.8
376
21.3
0
376
2,950
23.9
2,350
600
20.3
42
20
12
550
75
13.6
475
20.0
0
475
2,964
22.3
2,488
476
16.1
71
16
5
394
48
12.2
346
12.3
-19
327
9,532
36.2
7,735
1,798
18.9
142
96
27
1,586
243
15.3
1,343
12.5
99
1,441
11,564
21.3
9,513
2,051
17.7
188
70
47
1,840
243
13.2
1,597
18.9
0
1,597
Amnish Aggarwal (AmnishAggarwal@MotilalOswal.com)Tel:+9122 39825404/Rajee Patwa (RajeePatwa@MotilalOswal.com)Tel:+9122 39825417
29 June 2007
129

Results Preview
SECTOR: FMCG
Hindustan Unilever
STOCK INFO.
BLOOMBERG
REUTERS CODE
BSE Sensex: 14,651 HUVR IN
S&P CNX: 4,318
HLL.BO
29 June 2007
Previous Recommendation: Neutral
Neutral
Rs189
P/E
(X)
P/BV
(X)
ROE
(%)
ROCE
(%)
EV/
EV/
SALES EBITDA
PAT*
(RS M)
EPS*
EPS
(RS) GROWTH (%)
Equity Shares (m)
52-Week Range
1,6,12 Rel. Perf. (%)
M.Cap. (Rs b)
M.Cap. (US$ b)
2,206.8
263/166
-7/-19/-56
416.7
10.2
YEAR
END
NET SALES
(RS M)
12/06A 121,034
12/07E 136,539
12/08E 149,183
* Pre-exceptionals
15,397
17,540
19,187
7.0
7.7
8.7
17.5
10.1
13.2
27.1
25.0
22.1
15.3
15.1
14.6
56.5
60.6
65.9
67.0
72.7
80.0
3.2
2.9
2.6
23.6
22.2
19.1
?
We expect HLL to report 12.9% YoY increase in sales for 2QCY07 to Rs34.8b. We expect detergents to maintain
double-digit growth, while growth of Personal Care could be muted.
EBITDA margins are expected to decline by 52bp to 12.9% in 2QCY07 on account of higher growth in low-margin
businesses.
Margins in soaps and detergents could decline on account on a sharp increase in palm oil prices in the last three
months. The company had reduced the grammage of Lifebuoy from 100gm to 90gm only towards the fag end of the
quarter.
Adjusted PAT at Rs4.3b is expected to grow 13.4% YoY, led by higher other income.
The stock is currently trading 25x CY06E earnings and 22.1x CY07E earnings. We maintain
Neutral.
(RS MILLION)
CY06
1Q
2Q
3Q
4Q
1Q
2QE
CY07
3QE
4QE
CY06
CY07E
?
?
?
?
QUARTERLY PERFORMANCE
Y/E DECEMBER
Net Sales (incl service inc)
YoY Change (%)
Total Expenditure
EBITDA
YoY Change (%)
Margins (%)
Depreciation
Interest
Other Income
PBT
Tax
Rate (%)
Adjusted PAT
YoY Change (%)
Extraordinary Inc/(Exp)
Reported Profit
YoY Change (%)
E: MOSt Estimates
27,981
11.6
24,675
3,306
35.8
11.8
339
21
694
3,640
700
19.2
2,940
32.4
1,489
4,429
77.0
30,832
8.7
26,686
4,146
19.9
13.4
301
34
814
4,625
833
18.0
3,793
26.2
13
3,806
35.1
30,660
12.2
26,631
4,029
17.0
13.1
320
34
968
4,643
812
17.5
3,830
17.7
1,377
5,208
59.8
31,561
6.1
26,561
5,000
3.8
15.8
342
18
1,070
5,709
875
15.3
4,834
10.2
278
5,112
-1.9
31,843
13.8
28,224
3,620
9.5
11.4
329
51
908
4,147
809
19.5
3,339
13.6
590
3,929
-11.3
34,800
12.9
30,300
4,500
8.5
12.9
335
20
1,150
5,295
995
18.5
4,300
13.4
0
4,300
13.0
34,350
12.0
30,150
4,200
4.2
12.2
335
15
1,200
5,050
925
18.3
4,125
7.7
0
4,125
-20.8
35,546
12.6
30,218
5,328
6.6
15.0
353
-6
1,317
6,298
1,111
17.6
5,187
7.3
0
5,187
1.5
121,034
9.4
104,553
16,481
14.2
13.6
1,302
107
3,545
18,617
3,220
17.3
15,397
17.5
3,157
18,554
31.8
136,539
12.8
118,892
17,648
7.1
12.9
1,352
80
4,575
20,791
3,840
18.5
16,950
10.1
590
17,540
-5.5
Amnish Aggarwal (AmnishAggarwal@MotilalOswal.com)Tel:+9122 39825404/Rajee Patwa (RajeePatwa@MotilalOswal.com)Tel:+9122 39825417
29 June 2007
130

Results Preview
SECTOR: FMCG
ITC
STOCK INFO.
BLOOMBERG
REUTERS CODE
BSE Sensex: 14,651 ITC IN
S&P CNX: 4,318
ITC.BO
29 June 2007
Previous Recommendation: Buy
Buy
Rs155
EPS
P/E
(X)
P/BV
(X)
ROE
(%)
ROCE
(%)
EV/
EV/
SALES EBITDA
PAT*
(RS M)
EPS*
(RS) GROWTH (%)
Equity Shares (m)
52-Week Range
1,6,12 Rel. Perf. (%)
M.Cap. (Rs b)
M.Cap. (US$ b)
3,755.2
196/140
-6/-18/-53
580.9
14.3
YEAR
END
NET SALES
(RS M)
3/07A 123,693
3/08E
3/09E
139,164
170,720
27,000
28,083
33,846
7.2
7.5
9.0
18.4
4.0
20.5
21.2
19.8
16.4
5.6
4.8
4.2
26.1
24.0
25.5
36.7
34.0
36.1
4.3
3.7
2.9
13.5
12.4
9.9
* Pre-exceptionals
?
?
We expect ITC to post 15.8% YoY growth in revenues in 1QFY08 to Rs33b.
ITC has taken a 20% price increase on its cigarettes portfolio to neutralize the impact of 12.5% VAT, excise and
cess. We have factored in 6.4% volume decline in FY08 based on past correlation in cigarette prices and volumes.
Growth in paper and paperboard division is likely to remain subdued since new capacity will be commissioned only in
2HFY08. We expect the high growth momentum in new FMCG to sustain due to high growth in existing brands and
successful launch of Bingo in the snacks segment.
Agri products and rural retail are likely to remain in investment mode, with high double-digit sales growth but depressed
margins.
EBITDA margins are expected to decline by 252bp YoY to 31.5% in 1QFY08, mainly due to rising sales proportion
of lower margin businesses, slack growth in cigarettes. PAT is expected to increase by 8.8% to Rs7,095m.
The stock is currently trading at 19.8x FY08E earnings and 16.4x FY09E earnings. Although the stock might
underperform in the immediate term, long term outlook appears encouraging. We maintain
Buy.
(RS MILLION)
FY07
1Q
2Q
3Q
4Q
1Q
2Q
FY08E
3Q
4Q
FY07
FY08E
?
?
?
?
QUARTERLY PERFORMANCE
Y/E MARCH
Net Sales
YoY Change (%)
Total Exp
EBITDA
Margins (%)
Depreciation
Interest
Other Income
PBT
Tax
Rate (%)
Reported PAT
YoY Change (%)
Adjusted PAT
YoY Change (%)
E: MOSt Estimates
28,498
25.7
18,792
9,706
34.1
876
7
849
9,672
3,149
32.6
6,523
16.8
6,523
21.1
28,876
32.3
19,149
9,727
33.7
910
35
795
9,578
2,782
29.0
6,796
18.7
6,796
18.7
31,656
23.8
20,828
10,828
34.2
921
-9
698
10,614
3,440
32.4
7,174
23.2
7,174
33.6
34,663
24.5
25,360
9,303
26.8
922
1
1,023
9,404
2,897
30.8
6,507
14.7
6,507
14.7
33,000
15.8
22,600
10,400
31.5
975
5
975
10,395
3,300
31.7
7,095
8.8
7,095
8.8
32,250
11.7
22,200
10,050
31.2
985
15
900
9,950
3,020
30.4
6,930
2.0
6,930
2.0
35,100
10.9
23,800
11,300
32.2
999
3
765
11,063
3,450
31.2
7,613
6.1
7,613
6.1
38,814
12.0
29,335
9,479
24.4
1,163
2
1,156
9,469
2,779
29.4
6,690
2.8
6,690
2.8
123,693
26.3
84,129
39,564
32.0
3,629
33
3,365
39,267
12,267
31.2
27,000
20.8
27,000
18.4
139,164
12.5
97,935
41,229
29.6
4,122
25
3,796
40,877
12,549
30.7
28,328
4.9
28,328
4.9
Amnish Aggarwal (AmnishAggarwal@MotilalOswal.com)Tel:+9122 39825404/Rajee Patwa (RajeePatwa@MotilalOswal.com)Tel:+9122 39825417
29 June 2007
131

Results Preview
SECTOR: FMCG
Marico
STOCK INFO.
BLOOMBERG
REUTERS CODE
BSE Sensex: 14,651 MRCO IN
S&P CNX: 4,318
MRCO.BO
29 June 2007
Previous Recommendation: Buy
Buy
Rs55
EPS
P/E
(X)
P/BV
(X)
ROE
(%)
ROCE
(%)
EV/
EV/
SALES EBITDA
PAT
(RS M)
EPS
(RS) GROWTH (%)
Equity Shares (m)
52-Week Range
1,6,12 Rel. Perf. (%)
M.Cap. (Rs b)
M.Cap. (US$ b)
609.0
68/43
-6/-4/-14
33.6
0.8
YEAR
END
NET SALES
(RS M)
3/07A
3/08E
3/09E
15,569
19,017
21,824
1,104
1,604
1,989
1.9
2.6
3.2
4.5
38.4
24.0
29.4
21.2
17.1
21.0
13.9
9.8
69.0
66.5
58.0
39.4
51.8
59.9
2.3
1.8
1.6
17.4
13.4
11.0
?
?
We expect Marico to report sales of Rs4.8b in 1QFY08 against Rs3.7b in 1QFY07, a growth of 28.8% YoY.
EBITDA margins are expected to be 14.3% for 1QFY08 against 15.1% in 1QFY07. Copra prices are on a rise.
Management expects copra prices to be 8% higher this year.
PAT is expected to be Rs403m in 1QFY08 against Rs303m in 1QFY06, a growth of 33.1% YoY.
Contribution from new acquisitions in Egypt and rising sales growth momentum in Kaya Skin Care are likely to be
growth drivers. Marico plans to set up 15-20 new Kaya stores this year. It also plans to launch new kind of health
care centre called Kaya Life.
The stock is currently trading at 21.2x FY08E earnings and 17.1x FY09E earnings. We maintain a
Buy.
?
?
?
QUARTERLY PERFORMANCE
Y/E MARCH
1Q
2Q
FY07
3Q
4Q
1Q
2Q
FY08E
3Q
4Q
FY07
(RS MILLION)
FY08E
Net Sales
YoY Change (%)
Total Exp
EBITDA
Margins (%)
Depreciation
Interest
Other Income
PBT
Tax
Rate (%)
Adjusted PAT
YoY Change (%)
Minority Interest
Exceptional Items
Reported PAT
E: MOSt Estimates
3,728
37.7
3,165
563
15.1
112
48
11
414
111
26.8
303
30.6
0
0
303
3,780
37.5
3,174
605
16.0
127
57
1
422
116
27.5
306
50.7
0
-45
261
4,092
36.2
3,541
551
13.5
168
54
3
332
55
16.6
277
-22.8
0
7
284
3,970
33.4
3,558
412
10.4
115
47
87
337
28
8.3
309
23.0
-28
0
309
4,800
28.8
4,115
685
14.3
95
65
18
543
140
25.8
403
33.1
0
0
403
4,650
23.0
3,950
700
15.1
85
55
16
576
145
25.2
431
40.8
0
431
4,900
19.7
4,250
650
13.3
75
65
17
527
130
24.7
397
43.3
0
397
4,667
17.6
4,075
592
12.7
88
59
20
466
93
19.9
373
20.6
0
0
373
15,569
36.6
13,529
2,040
13.1
522
206
102
1,414
310
21.9
1,104
52.4
25
1,129
19,017
22.1
16,390
2,627
13.8
343
244
71
2,112
508
24.1
1,604
45.3
0
1,604
Amnish Aggarwal (AmnishAggarwal@MotilalOswal.com)Tel:+9122 39825404/Rajee Patwa (RajeePatwa@MotilalOswal.com)Tel:+9122 39825417
29 June 2007
132

Results Preview
SECTOR: FMCG
Nestle India
STOCK INFO.
BLOOMBERG
REUTERS CODE
BSE Sensex: 14,651 NEST IN
S&P CNX: 4,318
NEST.BO
29 June 2007
Previous Recommendation: Buy
Buy
Rs1,160
EPS
P/E
(X)
P/BV
(X)
ROE
(%)
ROCE
(%)
EV/
EV/
SALES EBITDA
PAT*
(RS M)
EPS
(RS) GROWTH (%)
Equity Shares (m)
52-Week Range
1,6,12 Rel. Perf. (%)
M.Cap. (Rs b)
M.Cap. (US$ b)
96.4
1,387/876
1/-4/-22
111.8
2.7
YEAR
END
NET SALES
(RS M)
12/06A 28,161
12/07E 33,905
12/08E 38,580
3,269
4,058
4,749
33.9
42.1
49.3
-0.6
24.1
17.0
34.2
27.6
23.6
18.4
16.5
14.9
53.8
59.7
63.1
79.0
87.1
92.3
3.9
3.3
2.8
20.5
16.9
14.4
* excluding extraordinary items and provisions
?
Nestle is expected to report net sales growth of 19% YoY in 2QCY07. Domestic revenues are expected to grow by
21.7% YoY while export revenue growth has been assumed at 7%. Culinary products and chocolates are expected
to be significant growth drivers.
EBITDA margins at 20.1% are expected to dip by 20bp YoY following inflationary trend in the key raw materials
such as milk and wheat flour, despite rising sales contribution from higher-margin value-added products.
Adjusted PAT is expected to increase 27.1% YoY to Rs1,073m in 2QCY07.
We expect steady growth in the domestic business on the back of successful launch of new variants such as Maggi
Rice Mania, Slim Dahi, Kit Kat Lite etc. The stock is currently trading 27.6x CY07E earnings and 23.6x CY08E
earnings. We maintain
Buy.
?
?
?
QUARTERLY PERFORMANCE
Y/E DECEMBER
1Q
2Q
CY06
3Q
4Q
1Q
2QE
CY07
3QE
4QE
CY06
(RS MILLION)
CY07E
Net Sales
YoY Change (%)
Total Exp
EBITDA
Margins (%)
Depreciation
Interest
Other Income
PBT
Tax
Rate (%)
Adjusted PAT
YoY Change (%)
Extraordinary Inc/(Exp)
Reported PAT
YoY Change (%)
E: MOSt Estimates
6,759
10.2
5,421
1,338
19.8
157
-
50
1,231
499
40.5
732
-14.2
154
886
13.5
6,812
10.6
5,428
1,384
20.3
161
2
44
1,265
421
33
844
-4.4
-34
810
-2.1
7,227
15.7
5,802
1,425
19.7
168
-
47
1,303
431
33
872
9.9
-42
830
11.3
7,362
18.2
6,160
1,202
16.3
177
1
73
1,096
303
28
793
1.7
-169
624
-15.9
8,631
27.7
6,843
1,788
20.7
179
2
70
1,677
563
34
1,114
52.1
-30
1,085
22.4
8,134
19.4
6,500
1,634
20.1
162
4
130
1,598
525
33
1,073
27.1
-30
1,043
28.7
8,471
17.2
6,800
1,671
19.7
-170
4
45
1,542
505
33
1,037
18.9
-40
997
20.1
8,670
17.8
7,214
1,455
16.8
-223
5
3
1,241
406
33
834
5.2
-172
663
6.2
28,161
13.7
22,776
5,385
19.1
-663
4
206
4,924
1,654
33.6
3,270
-0.7
-119
3,151
1.8
33,905
20.4
27,357
6,549
19.3
-734
5
247
6,057
1,999
33.0
4,058
24.1
-271
3,787
20.2
Amnish Aggarwal (AmnishAggarwal@MotilalOswal.com)Tel:+9122 39825404/Rajee Patwa (RajeePatwa@MotilalOswal.com)Tel:+9122 39825417
29 June 2007
133

Results Preview
SECTOR: FMCG
Tata Tea
STOCK INFO.
BLOOMBERG
REUTERS CODE
BSE Sensex: 14,651 TT IN
S&P CNX: 4,318
TTTE.BO
29 June 2007
Previous Recommendation: Neutral
Neutral
Rs853
P/E
(X)
P/BV
(X)
ROE
(%)
ROCE
(%)
EV/
EV/
SALES EBITDA
PAT*
(RS M)
EPS*
EPS
(RS) GROWTH (%)
Equity Shares (m)
52-Week Range
1,6,12 Rel. Perf. (%)
M.Cap. (Rs b)
M.Cap. (US$ b)
59.0
990/558
-4/12/-27
50.3
1.2
YEAR
END
NET SALES
(RS M)
3/07A
3/08E
3/09E
40,446
40,415
43,235
2,985
2,865
4,718
50.6
48.5
79.9
2.3
-4.0
64.7
16.9
17.6
10.7
2.4
1.4
1.2
14.0
7.3
11.0
9.9
11.5
14.6
1.5
1.1
0.9
8.2
5.8
4.7
* Pre-exceptionals
?
?
?
?
?
We expect Tata Tea to report sales of Rs10.2b in 1QFY08, a growth of 27.7% YoY. We have taken into account sale
of north India plantations.
EBITDA margins are expected to increase by 36bp to 20.1% in 1QFY08 due to higher contribution from Eight
O’
Clock Coffee, which has higher margins.
However growth adjusted PAT will be lower on account of higher interest costs on funds borrowed for Glaceau
acquisition. We expect adjusted PAT at Rs660m, a drop of 19.4% in 1QFY08.
We expect Glaceau stake sale to get completed by November 2007. We expect the company to repay 50% of the
debt, while the remainder is likely to be retained for acquisitions. We expect the company to undertake acquisitions in
Tea, coffee and water verticals.
The stock is currently trading at 17.6x FY08E earnings and 10.7x FY09E earnings. The stock seems to be a good
contrarian buy from long term horizon despite
Neutral
rating on the stock.
(RS MILLION)
FY07
1Q
2Q
3Q
4Q
1Q
2Q
FY08E
3Q
4Q
FY07
FY08E
QUARTERLY PERFORMANCE
Y/E MARCH
Net Sales
YoY Change (%)
Total Exp
EBITDA
Margins (%)
Depreciation
Interest
Other Income
PBT
Tax
Rate (%)
PAT
YoY Change (%)
Adjusted PAT
YoY Change (%)
Extraordinary Gains
Reported PAT
YoY Change (%)
E: MOSt Estimates
7,989
11.5
6,412
1,577
19.7
202
274
75
1,175
322
27.4
853
32.3
819
31.0
-18
801
-7.3
9,740
25.1
7,938
1,801
18.5
258
472
210
1,282
268
20.9
1,014
2.0
57
1,071
3.8
870
1,941
91.8
11,126
37.1
9,120
2,005
18.0
262
909
68
901
393
43.6
508
-36.1
-91
418
-49.8
754
1,172
44.2
11,591
41.9
9,658
1,933
16.7
245
1,074
-296
319
93
29.2
226
-60.2
-79
146
-72.8
374
520
1.0
10,200
27.7
8,150
2,050
20.1
210
850
80
1,070
320
29.9
750
-12.0
-90
660
-19.4
0
660
-17.6
9,900
1.6
8,050
1,850
18.7
255
750
205
1,050
320
30.5
730
-28.0
-90
640
-40.3
0
640
-67
10,200
-8.3
8,335
1,865
18.3
230
550
105
1,190
345
29.0
845
66.2
-100
745
78.4
13,325
14,070
1,101
10,115
-12.7
8,446
1,669
16.5
225
255
118
1,306
400
30.6
906
301.5
-86
820
460.3
0
820
58
40,446
30.2
33,129
7,317
18.1
967
2,729
587
4,207
1,076
25.6
3,131
19.2
-147
2,985
2.3
1,449
4,434
48.2
40,415
-0.1
32,981
7,434
18.4
920
2,405
508
4,616
1,385
30.0
3,231
3.2
-366
2,865
-4.0
13,325
16,190
265.2
Minority Interest/ Share of Associate -34
Amnish Aggarwal (AmnishAggarwal@MotilalOswal.com)Tel:+9122 39825404/Rajee Patwa (RajeePatwa@MotilalOswal.com)Tel:+9122 39825417
29 June 2007
134

Results Preview
SECTOR: FMCG
United Spirits
STOCK INFO.
BLOOMBERG
REUTERS CODE
BSE Sensex: 14,651 UNSP IN
S&P CNX: 4,318
UNSP.BO
29 June 2007
Previous Recommendation: Buy
Buy
Rs1,291
EPS
P/E
(X)
P/BV
(X)
ROE
(%)
ROCE
(%)
EV/
EV/
SALES EBITDA
PAT*
(RS M)
EPS
(RS) GROWTH (%)
Equity Shares (m)
52-Week Range
1,6,12 Rel. Perf. (%)
M.Cap. (Rs b)
M.Cap. (US$ b)
94.5
1,300/400
6/43/164
121.9
3.0
YEAR
END
NET SALES
(RS M)
3/07A
3/08E
3/09E
27,119
48,418
58,899
2,318
3,304
5,295
25.4
36.7
58.8
517.0
44.7
60.3
50.9
35.2
21.9
9.8
7.6
5.4
17.2
20.3
17.9
15.8
21.0
24.7
4.2
3.1
2.7
25.7
18.2
14.8
* excluding extraordinary items and provisions
?
We expect Untied Spirits to register 15.4% growth in topline to Rs9b in 1QFY08. These numbers exclude the White
& Mackay acquisition.
EBIDTA margins are likely to improve by 166bp to 15.7% in 1QFY08 due to low prices of molasses and ENA (extra
neutral alcohol) as also continuous improvement in sales mix in favor of premium whisky and vodka.
We expect adjusted PAT to be at Rs485m in 1QFY08, a growth of 40%.
We estimate that Whyte and Mackay will contribute GBP8.1m and GBP20m to the consolidated profits after interest
payments but before exceptional one-time costs of GBP7m-10m in FY08. We expect United Spirits to pay back debt
taken in SPV to the tune of GBP200m from the sale of treasury stock after the merger of Shaw Wallace.
Even without considering the merger of Shaw Wallace and reduction of debt we arrive at consolidated EPS of
Rs36.7 and Rs58.8 for FY08E and FY09E. The stock is trading at 35.2x FY08 and 21.9x FY09. We rate the stock as
our
top pick
in consumer space.
(RS MILLION)
FY07
1Q
2Q
3Q
4Q
1Q
2Q
FY08E
3Q
4Q
FY07
FY08E
?
?
?
?
QUARTERLY PERFORMANCE
Y/E MARCH
Net Sales
Total Exp
EBITDA
Margins (%)
Depreciation
Interest
PBT From Operations
YoY Change (%)
Other Income
PBT
Tax
Rate (%)
PAT
YoY Change (%)
Extraordinary Inc/(Exp)
Reported PAT
E: MOSt Estimates
5,335
4,584
752
14.1
40
199
512
250
23
535
188
35.2
347
234
0
347
7,535
5,921
1,614
21.4
123
325
1,166
1,262
5
1,171
504
43.0
668
1,086
0
668
7,734
6,460
1,274
16.5
34
289
951
308
143
1,094
325
29.7
769
350
2,657
3,425
6,515
5,771
744
11.4
114
217
412
339
360
772
236
30.6
535
202
0
535
6,350
5,350
1,000
15.7
50
225
725
42
35
760
275
36.2
485
40
485
9,100
7,080
2,020
22.2
143
200
1,677
44
15
1,692
710
42.0
982
47
0
982
9,100
7,550
1,550
17.0
40
170
1,340
41
165
1,505
490
32.6
1,015
32
0
1,015
8,132
7,085
1,046
12.9
128
150
769
87
379
1,148
377
32.8
771
44
0
771
27,119
22,736
4,384
16.2
311
1,031
3,042
295
530
3,572
1,254
35.1
2,318
201
2,657
4,975
32,682
27,065
5,616
17.2
361
745
4,511
48
594
5,105
1,852
36.3
3,253
40
0
3,253
Amnish Aggarwal (AmnishAggarwal@MotilalOswal.com)Tel:+9122 39825404/Rajee Patwa (RajeePatwa@MotilalOswal.com)Tel:+9122 39825417
29 June 2007
135

Results Preview
QUARTER ENDED JUNE 2007
Information Technology
BSE Sensex: 14,651
S&P CNX: 4,318
29 June 2007
COMPANY NAME
PG.
Geometric Software
HCL Technologies
Hexaware Technologies
i-flex solutions
Infosys
Infotech Enterprises
KPIT Cummins
MphasiS
Patni Computer
Sasken Communication
Satyam Computer
TCS
Tech Mahindra
Wipro
142
143
144
145
146
147
148
149
150
151
152
153
154
155
While most top IT vendors continue to be confident about the robust business outlook,
the primary concern continues to be the sharp appreciation of the rupee against major
currencies. The impact of the sharp appreciation of the rupee would be the key factor to
watch out for in 1QFY08 results. Revision of Infosys guidance for FY08 (based on
lower INR-US$ rate) would also be keenly observed as this would set the trend for the
rest of industry.
Rupee to upset 1Q results, critical to FY08 outlook
The rupee has appreciated by nearly 7% (average over last quarter, 5.6% QTD) against
the US$ over April-January 2007, the sharpest over the last several quarters. We expect
considerable impact of this on operating margins for the quarter.
RUPEE VS USD
44.0
43.0
42.0
41.0
40.0
Source: OANDA
EXPECTED QUARTERLY PERFORMANCE SUMMARY (YOY)
RECO
JUN.07
SALES
CHG. (%)
JUN.07
EBITDA
CHG. (%)
(RS MILLION)
NET PROFIT
JUN.07
CHG. (%)
Information Technology
Geometric Software
Hexaware
HCL Technologies
i-flex solutions
Infosys
Infotech Enterpr
KPIT Cummins Inf
MphasiS
Patni Computer
Sasken Comm
Satyam Computer
TCS
Tech Mahindra
Wipro
Sector Aggregate
Buy
Buy
Buy
Neutral
Buy
Buy
Buy
Buy
Neutral
Buy
Buy
Buy
Buy
Buy
1,287
2,678
16,112
6,126
38,377
1,573
1,326
3,466
6,746
1,381
18,089
51,936
8,816
40,351
198,265
3.6
1.3
2.2
5.7
1.7
4.0
1.8
2.8
0.3
2.0
1.7
0.9
0.8
-6.9
-0.3
139
313
3,555
1,082
10,868
268
181
532
1,103
157
3,994
12,989
1,994
8,453
45,628
-16.6
-20.9
-3.1
-1.0
-9.2
-13.0
-11.7
-17.7
-22.7
-11.7
-2.6
-10.8
-10.1
-10.5
-9.5
80
304
3,365
860
9,782
172
118
348
1,054
100
3,967
10,511
1,687
7,444
39,792
-20.3
-13.6
1.4
10.7
-14.5
-31.0
-15.7
-23.6
-12.2
-14.8
0.8
-10.4
-13.9
-5.9
-8.9
Diviya Nagarajan
(Dnagarajan@MotilalOswal.com);
Tel: +91 22 3982 5428
29 June 2007
136

Information Technology
In addition to sharp appreciation against the US$, the rupee has appreciated strongly
against the GBP and Euro as well (by 5.8% and 4.5% average over 4QFY07 respectively).
Over the past few quarters, lower appreciation/depreciation in GBP and Euro helped
reduce the impact of appreciation against the USD. With the rupee appreciating strongly
against the GBP and Euro, the impact on realized rates and margins is expected to be
more severe in 1QFY08.
GBP VS EURO
GBP (£) - LHS
86.0
84.5
83.0
81.5
80.0
EURO (€) - RHS
58.0
57.0
56.0
55.0
54.0
Source: OANDA
We expect an average impact of 300-350bp on operating margins due to rupee appreciation
during the quarter. Most players have significantly increased their hedging positions post
4QFY07 in order to protect against rupee appreciation. We expect significant forex gains
during the quarter, which would help lower the decline in profitability for most players in
1QFY08.
We have assumed average realized Rs/$ rate for 1QFY08 to be Rs41 and believe that this
rate for 1QFY08 will not be materially different than our estimate. We believe that impact
on margins through rupee dollar will not be materially different than estimates for 1QFY08.
However we have assumed average realized Rs/$ rate of around Rs42 for FY08 versus
the current rate of around Rs40.6. Therefore, we believe that there could be downside
risk to our estimates for FY08E and FY09E due to rupee appreciation. If we assume an
average realized Rs/$ rate of Rs41 and Rs40 for FY08 and FY09 respectively, then there
would be downgrade in FY08E and FY09E EPS estimates by 2.5%-4% for Infosys, TCS,
Wipro and Satyam.
Infosys’FY08 rupee guidance could be revised to reflect rupee appreciation
The rupee has appreciated to Rs40.6, up 6.7% over last quarter’ closing rate of Rs43.5.
s
This is a 6.2% appreciation over the underlying rate of Rs43.1 in Infosys’FY08 guidance.
While we expect Infosys to revise its dollar guidance upward, we do not rule out the
possibility of downgrade in rupee guidance to factor the higher-than-expected rupee
appreciation. Satyam is also expected to up its dollar guidance following strong volume
29 June 2007
137

Information Technology
performance in 1QFY08. The potential downgrade in Satyam’ rupee guidance is likely to
s
be lower, since the underlying rupee assumption is at Rs42.3 (4.2% appreciation over
Satyam’ guidance). However, we expect significant forex gains to mute the impact on
s
EPS in FY08.
Annual wage hikes and visa costs to ravage margins further
1Q is the quarter for annual salary hikes for most players (Wipro, Satyam being notable
exceptions), which would also impact operating margins during the quarter. Visa costs are
also expected to add to margin woes in 1QFY08. We expect the average salary hikes to
remain in the range of 3-6% onsite and 13-15% offshore, which could impact margins by
an average of 160- 190bp for Tier I players (except Satyam and Wipro, which do not
report salary hikes in 1Q). This is expected to be higher (~300-400bp) for mid-tier players
such as Infotech Enterprises and Hexaware, which are likely to offer higher salary hikes.
Underlying demand trend continues to be robust
Indian IT vendors continue to be confident of sustained demand growth with anticipation
of greater offshore demand due to widening of service portfolio by industry players.
Increased adoption of the best-of-breed, multi-vendor approach would ensure the presence
of offshore players in almost all large deals. Our interaction with industry indicates that the
spending momentum in FY08 is likely to be sustained; client and project offtake should
continue to be healthy.
We expect volume growth to remain strong for Infosys, TCS and Wipro and estimate
dollar revenue growth of 34-37% in FY08E. Due to the rupee appreciation during the
year, we expect rupee revenue growth to be significantly lower at 28-30%. (Our estimates
are at an underlying rupee dollar rate of Rs42).
Pricing, utilization rates likely significant levers v/s margin pressure in FY08
Pricing, in out opinion, continues to the strongest lever to combat margin erosion in FY08.
Infosys’guidance factors in a 2% increase in pricing, while other players are also likely to
witness improved realizations during the year. New clients are coming at higher billing
rates, with some companies like TCS reporting as much as 5-10% higher rates in new
contracts. Like we had noted in our 4QFY07 preview, most companies have seen rate
hikes in existing clients in 2HFY07 (notably TCS, which has had most of its hikes with
existing clients post October 2006), which is likely to show up more significantly in the
FY08 financials.
We believe that pricing would be a key factor that would help industry players combat
margin pressure in FY08. Utilization rates, which most players hope to improve by 2-3pp,
improved subsidiary profitability, and lower SG&A expenses are also expected to help
reduce the impact on margins in FY08.
29 June 2007
138

Information Technology
Valuation and view
Stock prices have corrected sharply and the sector has underperformed the Sensex over
the quarter. Infosys remains our top pick in the sector given strong underlying volume
growth backed by long-term initiatives to combat supply-side concerns. The stock has
underperformed the sector by 20% over the last three months. We expect seasonal strong
performance in 2Q/3Q and strong performance in 2HFY08, and believe that the recent
underperformance offers a good opportunity to enter into the stock. We prefer Satyam to
Wipro given the higher expected dollar revenue growth along with easing of supply pressures
over FY07.
29 June 2007
139

Information Technology
KEY INDUSTRY METRICS
FY07
1Q
2Q
3Q
4Q
1Q
FY08E
2Q
3Q
4Q
Services Revenue (INR m)
TCS (Consolidated)
Wipro (Global IT Business)
Infosys (Consolidated)
Satyam (Consolidated)
HCL Tech. (Consolidated)*
Net Profit (INR m)
TCS (Consolidated)
Wipro (Consolidated)
Infosys (Consolidated)
Satyam (Consolidated)
HCL Tech. (Consolidated)
EBITDA Margin (%)
TCS (Consolidated)
Wipro (Global IT Business)
Infosys (Consolidated)
Satyam (Consolidated)
HCL Tech. (Consolidated)
Volumes Growth (%)
Wipro (Global IT Services only)
Infosys (Consolidated)
Satyam (Unconsolidated)
Recruitment
Wipro (Global IT Services only) 2,841
Infosys (Consolidated)
Satyam (Unconsolidated)
Utilization Rates (%)
Wipro (Global IT Services only)
Infosys (Consolidated)
71.8
71.1
68.9
67.5
71.1
66.5
67.5
68.5
68.2
67.9
71.3
69.0
70.3
72.5
68.0
71
70.5
70.0
72.1
72.5
72.0
73.3
72.5
5,694
1,123
5,328
7,741
4,025
3,489
3,282
2,746
1,041
2,809
1,265
1,863
5,481
1,835
5,366
6,441
3,809
3,186
4,601
1,576
2,862
3,748
3,190
5.5
7.5
7.0
7.9
11.0
10.7
9.3
9.7
8.1
5.4
3.8
9.0
5.2
7.5
6.0
9.5
9.3
8.0
9.0
8.5
7.0
8.0
6.5
5.2
24.4
27.6
29.5
24.6
22.5
27.4
26.8
32.1
22.6
21.7
28.3
27.4
32.7
24.7
22.1
28.3
26.9
31.7
23.1
23.3
25.0
25.0
28.3
22.1
22.1
26.2
26.1
30.4
20.4
22.0
27.0
26.4
31.2
22.9
21.5
27.2
27.2
32.0
23.7
22.1
41,443
24,513
30,150
14,429
12,538
8,626
6,120
8,000
3,541
2,331
44,822
27,179
34,510
16,019
13,794
9,915
6,963
9,290
3,198
2,501
48,605
28,873
36,550
16,611
14,651
11,047
7,450
9,830
3,372
2,863
51,954
30,357
37,720
17,792
15,771
11,198
7,914
10,190
3,936
3,318
51,936
29,508
38,377
18,089
16,112
10,511
7,444
9,782
3,967
3,365
56,906
33,139
42,578
20,104
17,856
11,825
8,535
11,255
3,902
3,155
62,503
36,615
46,860
21,870
19,197
13,491
9,431
12,612
4,637
3,286
66,373
39,945
49,906
23,319
20,622
14,405
10,414
13,682
5,094
3,619
Satyam (Uncon-offsh - trainees) 71.2
Wipro - Global IT Ser Only
Infosys - Consolidated
Satyam - Unconsolidated
Wipro - Global IT Ser Only
Infosys - Consolidated
Satyam - Unconsolidated
Wipro - Global IT Ser Only
Infosys - Consolidated
Satyam - Unconsolidated
Wipro - Global IT Ser Only
Infosys - Consolidated
Satyam - Unconsolidated
Billing Rates (US$/employee p.a) Onsite
131,748 132,696 132,144 135,048
133,157 134,968 137,063 140,395
112,952 113,460 113,868 114,574
51,012
49,172
46,472
0.8
1.2
0.3
0.5
2.8
0.2
50,472
50,249
46,569
0.7
1.4
0.4
-1.1
2.2
0.2
50,268
50,896
46,625
-0.4
1.6
0.4
-0.4
1.3
0.1
50,568
50,942
46,961
2.2
2.4
0.6
0.6
0.1
0.7
133,860 134,529 135,202 135,202
139,306 139,306 139,306 139,306
115,237 116,390 117,554 118,729
51,198
51,156
47,423
-0.9
-0.8
0.6
1.2
0.4
1.0
51,454
51,156
47,897
0.5
0.0
1.0
0.5
0.0
1.0
51,712
51,156
48,256
0.5
0.0
1.0
0.5
0.0
0.8
51,841
51,156
48,618
0.0
0.0
1.0
0.2
0.0
0.8
Billing Rates (US$/employee p.a) Offshore
Billing Rates Onsite Change (%)
Billing Rate (Offshore) Change (%)
Note: *HCL Tech’ year end is June; # Offshore with trainees
s
29 June 2007
140

Information Technology
Stock performance and valuations
STOCK PERFORMANCE (%)
ABSOLUTE PERF
3M
1 YEAR
REL PERF TO SENSEX
3M
1 YEAR
REL PERF TO SECTOR
3M
1 YEAR
Information Technology
Geometric Software
HCL Technologies
Hexaware
i-flex solutions
Infosys
Infotech Enterpr
KPIT Cummins Inf
MphasiS
Patni Computer
Sasken Comm.Tech
Satyam Computer
TCS
Tech Mahindra
Wipro
RELATIVE PERFORMANCE - 3 MONTH (%)
24
18
-4
24
-4
10
5
16
34
1
-1
-7
-2
-7
41
37
20
130
25
147
71
117
54
69
31
32
-
1
12
6
-16
12
-16
-2
-7
4
22
-11
-13
-19
-14
-19
3
-1
-18
92
-13
109
33
79
16
31
-7
-6
-
-37
25
19
-2
26
-3
11
7
17
35
2
0
-6
-1
-6
12
7
-10
101
-4
117
41
87
24
39
2
3
-
-29
RELATIVE PERFORMANCE - 1 YEAR (%)
Sensex
116
111
106
101
96
Mar-07
Apr-07
MOSt IT Index
MOSt IT Index
150
135
120
105
90
Sensex
May-07
Jun-07
Jun-06
Sep-06
Dec-06
Mar-07
Jun-07
COMPARATIVE VALUATION
CMP (RS)
29.6.07
RECO
FY07E
EPS (RS)
FY08E
FY09E
FY07E
P/E (X)
FY08E
FY09E
FY07E
EV/EBITDA
FY08E
FY09E
FY07E
ROE (%)
FY08E
FY09E
Information Technology
Geometric Software
Hexaware
HCL Technologies
i-flex solutions
Infosys
Infotech Enterpr
KPIT Cummins Inf
MphasiS
Patni Computer
Sasken Comm
Satyam Computer
TCS
Tech Mahindra
Wipro
Sector Aggregate
124
162
344
2,592
1,929
397
139
328
518
490
467
1,149
1,396
519
Buy
Buy
Buy
Neutral
Buy
Buy
Buy
Buy
Neutral
Buy
Buy
Buy
Buy
Buy
6.1
9.4
16.6
33.2
65.2
17.7
6.8
7.3
25.8
15.5
21.5
41.7
46.4
19.7
8.6
11.8
18.8
51.7
82.7
21.9
8.7
11.1
31.8
29.1
26.3
51.3
59.4
24.4
12.9
14.7
22.8
66.2
99.2
28.1
11.6
12.9
37.8
37.4
31.3
62.9
81.6
28.7
20.3
17.3
20.7
78.0
29.6
22.4
20.5
44.9
20.0
31.5
21.8
27.6
30.1
26.3
27.5
14.4
13.7
18.3
50.1
23.3
18.1
16.0
29.7
16.3
16.9
17.8
22.4
23.5
21.3
22.0
9.6
11.0
15.1
39.1
19.4
14.1
12.0
25.4
13.7
13.1
15.0
18.3
17.1
18.1
18.0
12.9
13.9
15.1
58.2
23.8
15.5
15.5
25.9
12.0
20.5
17.8
22.0
22.8
20.6
21.7
8.6
10.7
11.3
36.8
18.8
11.4
11.1
18.8
10.4
11.2
13.9
17.5
17.3
16.6
17.0
5.8
7.8
9.0
28.4
14.5
8.5
8.1
15.1
8.1
8.3
10.8
14.1
12.0
13.0
13.3
20.9
22.7
27.0
15.3
40.9
31.5
29.7
27.4
16.8
11.0
27.9
54.5
66.2
31.6
35.7
22.7
19.4
26.4
17.6
35.8
28.6
27.3
33.0
18.1
18.2
27.1
45.7
47.7
31.0
33.3
28.3
20.5
28.5
19.2
32.6
28.2
27.3
30.4
18.4
20.2
25.9
41.0
38.1
29.0
31.6
29 June 2007
141

Results Preview
SECTOR: INFORMATION TECHNOLOGY
Geometric Software
STOCK INFO.
BLOOMBERG
REUTERS CODE
BSE Sensex: 14,651 GMSS IN
S&P CNX: 4,318
GEOM.BO
29 June 2007
Previous Recommendation: Buy
Buy
Rs124
EPS
P/E
(X)
P/BV
(X)
ROE
(%)
ROCE
(%)
EV/
EV/
SALES EBITDA
PAT
(RS M)
EPS
(RS) GROWTH (%)
Equity Shares (m)
52-Week Range
1,6,12 Rel. Perf. (%)
M.Cap. (Rs b)
M.Cap. (US$ b)
61.3
145/77
3/-3/-3
7.6
0.2
YEAR
END *
NET SALES
(RS M)
3/07A
3/08E
3/09E
3,831
6,036
8,172
374
529
792
6.1
8.6
12.9
53.4
41.4
49.7
20.3
14.4
9.6
3.5
2.9
2.4
20.9
22.3
27.3
16.2
16.2
21.5
2.2
1.4
1.0
13.0
8.8
6.0
* Including Modern Engineering
?
We expect Geometric to report consolidated revenue growth (including Modern Engineering) of 3.6% QoQ. We
expect revenue from Modern Engineering to also post stronger sequential growth following a weak 2HFY07.
We expect Geometric to post standalone services revenue growth of 3.9% QoQ in 4QFY07 and product revenue
decline of 5% QoQ. We expect standalone service volume growth of 5% QoQ.
Consolidated EBIDTA margins are expected to decline by 260bp due to rupee appreciation, salary hikes (3-5% onsite
and 13-15% offshore), and visa costs. Modern Engineering, which posted a loss of US$0.1m in 4QFY07, is expected
to turn positive during the quarter.
Consolidated net profit, which declined by 4.3% QoQ in 4QFY07, is expected to decline by 20.3% in 1QFY08 due
to margin pressures during the quarter.
The stock is currently trading at 14.4x FY08E and 9.6x FY09E earnings estimates (including Modern Engineering
and likely dilution). We remain positive on the improved revenue and earnings visibility for Geometric due to change
in business strategy and expected benefits of Modern’ integration in the second half of FY08. Maintain
Buy.
s
Key issues:
Margins, modern integration
(RS MILLION)
FY07
1Q
2Q
3Q*
4Q*
1Q
2Q
FY08E*
3Q
4Q
FY07*
FY08E*
?
?
?
?
?
QUARTERLY PERFORMANCE
Y/E MARCH
Revenues
Q-o-Q Change (%)
Total Operating Exps
Operating Profit
Margins (%)
Other Income
Interest
Depreciation
PBT bef. Extra-ordinary
Provision for Tax
Rate (%)
Minority Interest
Net Income bef. EO
Q-o-Q Change (%)
721
12.8
558
163
22.6
-29
0
49
85
10
11.8
11
63
-40.6
800
10.9
649
151
18.8
29
0
50
130
14
10.6
15
101
59.0
1,067
33.5
897
170
15.9
49
16
57
146
22
15.0
19
105
4.5
1,243
16.4
1,077
166
13.4
43
15
47
146
26
17.9
19
101
-4.3
1,287
3.6
1,148
139
10.8
41
14
51
115
21
18.3
13
80
-20.3
1,405
9.2
1,228
177
12.6
21
14
55
129
24
18.4
18
87
8.5
1,613
14.8
1,318
294
18.3
13
13
62
232
41
17.7
22
169
93.6
1,732
23.3
1,403
329
19.0
13
12
68
262
46
17.6
23
193
121.2
3,831
71.4
3,181
650
17.0
92
31
203
507
68
13.5
64
374
66.5
6,036
57.6
5,097
939
15.6
88
53
236
738
132
17.8
77
529
41.4
E: MOSt Estimates; * Including Modern Engg.
Diviya Nagarajan
(Dnagarajan@MotilalOswal.com);
Tel: +91 22 3982 5428
29 June 2007
142

Results Preview
SECTOR: INFORMATION TECHNOLOGY
HCL Technologies
STOCK INFO.
BLOOMBERG
REUTERS CODE
BSE Sensex: 14,651 HCLT IN
S&P CNX: 4,318
HCLT.BO
29 June 2007
Previous Recommendation: Buy
Buy
Rs344
EPS
P/E
(X)
P/BV
(X)
ROE
(%)
ROCE
(%)
EV/
EV/
SALES EBITDA
PAT*
(RS M)
EPS*
(RS) GROWTH (%)
Equity Shares (m)
52-Week Range
1,6,12 Rel. Perf. (%)
M.Cap. (Rs b)
M.Cap. (US$ b)
663.7
366/239
-1/0/-1
228.3
5.6
YEAR
END
NET SALES
(RS M)
6/07E
6/08E
6/09E
60,328
79,593
102,441
11,013
12,779
15,829
16.6
18.8
22.8
51.7
13.3
21.4
20.7
18.3
15.1
4.7
4.2
3.9
27.0
26.4
28.5
28.8
28.8
31.5
3.4
2.5
1.9
15.1
11.3
9.0
* After ESOP charges
?
?
?
?
?
?
?
We expect HCL Technologies to post 8% QoQ growth in consolidated dollar revenue; rupee revenue is estimated to
grow 2.2% QoQ.
Software services are expected to grow at 7.8% QoQ in dollar terms, backed by 7% volume growth QoQ. Infrastructure
services and BPO are expected to grow 8.2% and 9.5% QoQ in dollar terms respectively.
We expect consolidated EBITDA margins to decrease by 120bp primarily due to rupee appreciation in the quarter.
Visa costs are also expected to add to margin pressure.
We expect forex gains to be high during the quarter, since the company has a significant portion of its outstanding
hedge at a rate of Rs44.5-Rs45 (taken prior to December 2006). Hence we expect high other income of Rs825m.
Net profit is expected to grow 1.2% QoQ (after ESOP charges) in rupee terms despite lower rupee revenue growth
and margin decline due to high other income.
The stock trades at 18.3x FY08E and 15.1x FY09E earnings estimates (after ESOP charges). We remain convinced
of HCL Tech’ ability to outperform in the large deal space, along with greater client mining and new deal wins. We
s
reiterate
Buy.
Key issues:
Margins, BPO growth, attrition rates.
(RS MILLION)
FY06
1Q
2Q
3Q
4Q
1Q
2Q
FY07
3Q
4QE
FY06
FY07E
QUARTERLY PERFORMANCE
Y/E JUNE
Revenues
Q-o-Q Change (%)
Direct Expenses
Sales, General & Admin. Exp.
Operating Profit
Margins (%)
Other Income
Depreciation
PBT bef. Extra-ordinary
Provision for Tax
Rate (%)
Share of Income from Eq. Investees
Minority Interest
PAT bef. EO & ESOP Charges
Q-o-Q Change (%)
E: MOSt Estimates
9,709
4.7
6,093
1,458
2,158
22.2
124
447
1,835
169
9.2
0
-9
1,675
3.4
10,542
8.6
6,564
1,601
2,377
22.5
143
493
2,027
203
10.0
-7
6
1,811
8.1
11,220
6.4
6,979
1,743
2,498
22.3
255
530
2,223
277
12.5
-6
11
1,929
6.5
12,538
11.7
7,946
1,777
2,815
22.5
56
562
2,309
-23
-1.0
7
8
2,331
20.8
13,794
10.0
8,709
2,098
2,987
21.7
290
556
2,721
219
8.0
4
5
2,501
7.3
14,651
6.2
9,107
2,303
3,241
22.1
481
623
3,099
206
6.6
-7
23
2,863
14.5
15,771
7.6
9,737
2,366
3,668
23.3
615
659
3,624
283
7.8
-3
20
3,318
15.9
16,112
2.2
10,033
2,524
3,555
22.1
825
696
3,685
295
8.0
-3
21
3,365
1.4
43,882
30.5
27,571
6,582
9,729
22.2
573
1,916
8,386
632
7.5
-6
16
7,732
27.0
60,328
37.5
37,586
9,291
13,451
22.3
2,211
2,534
13,129
1,003
7.6
-9
69
12,047
55.8
Diviya Nagarajan
(Dnagarajan@MotilalOswal.com);
Tel: +91 22 3982 5428
29 June 2007
143

Results Preview
SECTOR: INFORMATION TECHNOLOGY
Hexaware Technologies
STOCK INFO.
BLOOMBERG
REUTERS CODE
BSE Sensex: 14,651 HEXW IN
S&P CNX: 4,318
HEXT.BO
29 June 2007
Previous Recommendation: Buy
Buy
Rs162
EPS
P/E
(X)
P/BV
(X)
ROE
(%)
ROCE
(%)
EV/
EV/
SALES EBITDA
PAT
(RS M)
EPS
(RS) GROWTH (%)
Equity Shares (m)
52-Week Range
1,6,12 Rel. Perf. (%)
M.Cap. (Rs b)
M.Cap. (US$ b)
133.2
205/126
2/-25/-18
21.6
0.5
YEAR
END
NET SALES
(RS M)
12/06A
12/07E
8,482
11,507
1,242
1,575
1,956
9.4
11.8
14.7
29.8
25.9
24.2
17.3
13.7
11.0
2.9
2.4
2.1
22.7
19.4
20.5
24.8
22.3
23.4
2.1
1.6
1.2
13.8
10.6
7.7
12/08E 14,589
*Including Focus Frame
?
We expect Hexaware to post dollar growth of 7.9% QoQ (guided growth of 6.5-8.1%) in revenue backed by strong
order pipeline from existing clients as well as ramp-ups in new deals.
Margins, are expected to decline by 330bp due to rupee appreciation, salary hikes (US$3.5m impact due to 4-5%
onsite, 14-15% offshore) and visa costs in the quarter.
Net profit is expected to decline 8% QoQ to US$7.4m (versus guided PAT of US$7m-US$7.2m) due to decline in
margins during the quarter. In rupee terms, we expect 13.6% QoQ decline in net profit.
Outstanding order book increased to US$260m with US$61m new business won during 1QCY06. We expect volume
growth to be strong, boosted by ERP and Testing services.
The stock is currently trading at 15x CY07E and 12.1x CY08E (fully diluted) earnings estimates. Maintain
Buy.
Key issues:
Margins, organic growth, attrition rates.
?
?
?
?
?
QUARTERLY PERFORMANCE
Y/E DECEMBER
1Q
2Q
CY06
3Q
4Q*
1Q
2QE
CY07*
3QE
4QE
CY06*
(RS MILLION)
CY07E*
Revenues
Q-o-Q Change (%)
Direct Expenses
Sales, General & Admin. Exp.
Operating Profit
Margins (%)
Other Income
Depreciation
PBT bef. Extra-ordinary
Provision for Tax
Rate (%)
Net Income
Q-o-Q Change (%)
1,762
1.2
1,080
388
294
16.7
35
46
282
22
7.8
260
5.1
2,069
17.4
1,324
434
311
15.0
46
46
311
13
4.3
298
14.4
2,250
8.7
1,412
477
361
16.0
80
55
385
39
10.0
347
16.5
2,402
6.8
1,501
544
357
14.9
79
53
384
46
12.0
338
-2.7
2,644
10.1
1,603
645
395
15.0
68
56
407
55
13.5
352
4.3
2,678
1.3
1,744
621
313
11.7
95
56
351
47
13.5
304
-13.6
2,989
11.6
1,890
631
469
15.7
85
63
491
63
12.8
429
40.9
3,196
6.9
2,014
636
545
17.1
85
67
563
72
12.8
492
14.7
8,482
25.0
5,318
1,842
1,322
15.6
241
200
1,363
120
8.8
1,242
35.8
11,507
35.7
7,251
2,533
1,722
15.0
333
243
1,813
237
13.1
1,576
26.9
E: MOSt Estimates, * Including Focus Frame for 1 month
Diviya Nagarajan
(Dnagarajan@MotilalOswal.com);
Tel: +91 22 3982 5428
29 June 2007
144

Results Preview
SECTOR: INFORMATION TECHNOLOGY
i-flex solutions
STOCK INFO.
BLOOMBERG
REUTERS CODE
BSE Sensex: 14,651 IFLEX IN
S&P CNX: 4,318
IFLX.BO
29 June 2007
Previous Recommendation: Buy
Neutral
Rs2,592
EPS
P/E
(X)
P/BV
(X)
ROE
(%)
ROCE
(%)
EV/
EV/
SALES EBITDA
PAT
(RS M)
EPS
(RS) GROWTH (%)
Equity Shares (m)
52-Week Range
1,6,12 Rel. Perf. (%)
M.Cap. (Rs b)
M.Cap. (US$ b)
83.3
2,630/1,040
17/27/92
215.9
5.3
YEAR
END
NET SALES
(RS M)
3/07A
3/08E
3/09E
20,381
27,134
33,656
2,768
4,306
5,518
33.2
51.7
66.2
15.6
55.6
28.2
78.0
50.1
39.1
9.6
8.2
6.9
15.3
17.6
19.2
17.2
20.8
22.9
10.2
7.7
6.2
58.2
37.4
29.2
?
We expect i-flex solutions to report revenue growth of 5.7% QoQ in rupee terms despite sharp rupee appreciation on
the back of continued growth in product revenue during the quarter.
We expect the products to grow 10.3% QoQ boosted by 28% growth in license revenues. Services are expected to
stay flat in rupee terms, while KPO is expected to grow at 7.5% QoQ.
EBITDA margins are expected to decline by 120bp despite strong license fee growth due to rupee appreciation as
well as salary hikes and visa costs during the quarter.
Net profit is expected to increase 10.7% QoQ to Rs860m during the quarter.
The stock currently trades at 50.1x FY08E and 39.1x FY09E earnings estimates, which does not offer any significant
room for upside. A possible buyback of the remaining stake by Oracle remains the primary trigger to upside in the
stock. Maintain
Neutral.
Key issues:
License revenue growth, growth in tank, service revenue.
(RS MILLION)
FY07
1Q
2Q
3Q
4Q
1Q
2Q
FY08E
3Q
4Q
FY07
FY08E
?
?
?
?
?
QUARTERLY PERFORMANCE
Y/E MARCH
Revenues
Q-o-Q Change (%)
Direct Expenses
Operating Profit
Margins (%)
Other Income
Depreciation
Share of Associate Company Loss
PBT
Provision for Tax
Rate (%)
PAT
Q-o-Q Change (%)
E: MOSt Estimates
4,075
-11.0
2,605
458
11.2
200
160
-2
500
85
17.1
415
-64.5
5,009
22.9
2,735
1,304
970
19.4
124
166
-2
931
127
13.6
804
93.9
5,502
9.8
3,092
1,346
1,064
19.3
-2
260
-3
806
33
4.1
773
-3.8
5,794
5.3
3,208
1,494
1,093
18.9
26
247
-2
874
97
11.1
777
0.5
6,126
5.7
3,540
1,504
1,082
17.7
215
280
-1
1,018
158
15.5
860
10.7
6,595
7.7
3,691
1,567
1,338
20.3
160
296
-1
1,203
186
15.5
1,016
18.2
7,025
6.5
3,838
1,654
1,534
21.8
168
309
-1
1,394
216
15.5
1,178
15.9
7,387
5.1
4,028
1,731
1,628
22.0
176
325
-1
1,481
230
15.5
1,251
6.2
20,381
37.4
11,640
5,156
3,586
17.6
349
833
-9
3,111
342
11.0
2,768
26.4
27,134
33.1
15,097
6,455
5,582
20.6
719
1,210
-4
5,096
790
15.5
4,306
55.6
Sales, General & Admin. Expenses 1,012
Diviya Nagarajan
(Dnagarajan@MotilalOswal.com);
Tel: +91 22 3982 5428
29 June 2007
145

Results Preview
SECTOR: INFORMATION TECHNOLOGY
Infosys
STOCK INFO.
BLOOMBERG
REUTERS CODE
BSE Sensex: 14,651 INFO IN
S&P CNX: 4,318
INFY.BO
29 June 2007
Previous Recommendation: Buy
Buy
Rs1,929
EPS
P/E
(X)
P/BV
(X)
ROE
(%)
ROCE
(%)
EV/
EV/
SALES EBITDA
PAT*
(RS M)
EPS
(RS) GROWTH (%)
Equity Shares (m)
52-Week Range
1,6,12 Rel. Perf. (%)
M.Cap. (Rs b)
M.Cap. (US$ b)
571.2
2,439/1,493
0/-20/-13
1,102.0
27.0
YEAR
END
NET SALES
(RS M)
3/07A* 138,930
3/08E
3/09E
177,722
224,980
37,250
47,329
56,970
65.2
82.7
99.2
46.1
26.8
20.0
29.6
23.3
19.4
9.8
7.3
5.6
42.3
35.8
32.6
46.4
40.8
37.5
7.4
5.6
4.2
23.3
18.4
14.2
* 1:1 bonus in FY07, accordingly ratios are adjusted, PAT figures are adjusted PAT
?
?
?
?
?
?
We expect Infosys to report dollar revenue growth of 8% QoQ (v/s guided growth of 4.7-5.2%) supported by 7.5%
growth in consolidated volumes during the quarter. Rupee revenue is expected at 1.7% QoQ.
We expect EBITDA margins to decline by 340bp to 28.3% during 1QFY08. Salary hikes and visa costs (~250-300bp
impact) would add to margin erosion on account of rupee appreciation.
Net profit is expected to decline 14.5% QoQ (4% QoQ decline excluding writeback of Rs1.25b in 4QFY07).
Infosys’guidance revision for FY08 would be a key factor in the results, since it would set the tone for expectations
in terms of growth and margin impact in FY08. We believe that the dollar guidance is likely to be revised upward.
However, with the rupee at Rs40.6 at the end of the quarter, we do not rule out a possible downgrade in rupee
guidance for the year.
The stock currently trades at 23.3x FY08E and 19.4x FY09E earnings estimates. The stock has underperformed the
Sensex by 20% over the last three months. We expect seasonal strong performance in 2Q/3Q and strong performance
in 2HFY07, and believe that the recent underperformance offers a good opportunity to enter into the stock. Maintain
Buy.
Key issues:
Margins, other income, FY08 guidance.
(RS MILLION)
FY07
1Q
2Q
3Q
4Q
1Q
2Q
FY08E
3Q
4Q
FY07
FY08E
QUARTERLY PERFORMANCE
Y/E MARCH
Revenues
Q-o-Q Change (%)
Direct Expenses
Sales, General & Admin. Exp.
Operating Profit
Margins (%)
Other Income
Depreciation
PBT bef. Extra-ordinary
Provision for Tax
Rate (%)
PAT bef. Minority Interest
Minority Interest
PAT before EO
Extra-ordinary items
PAT aft. Minority and EO
Q-o-Q Change (%)
E: MOSt Estimates
30,150
14.9
16,660
4,600
8,890
29.5
1,250
1,060
9,080
1,060
11.7
8,020
-80
7,940
60
8,000
18.9
34,510
14.5
18,330
5,090
11,090
32.1
660
1,220
10,530
1,230
11.7
9,300
-10
9,290
0
9,290
16.1
36,550
5.9
19,380
5,210
11,960
32.7
590
1,410
11,140
1,300
11.7
9,840
-10
9,830
0
9,830
5.8
37,720
3.2
20,210
5,540
11,970
31.7
1,200
1,450
11,720
1,520
13.0
10,200
-10
10,190
1,250
11,440
16.4
38,377
1.7
21,714
5,795
10,868
28.3
1,751
1,535
11,085
1,302
11.8
9,782
0
9,782
0
9,782
-14.5
42,578
10.9
23,692
5,961
12,925
30.4
1,482
1,618
12,790
1,535
12.0
11,255
0
11,255
0
11,255
15.1
46,860
10.1
25,751
6,467
14,643
31.2
1,511
1,781
14,373
1,761
12.3
12,612
-1
12,612
0
12,612
12.1
49,906
6.5
27,170
6,762
15,974
32.0
1,515
1,896
15,592
1,910
12.3
13,682
-1
13,682
0
13,682
8.5
138,930
45.9
74,580
20,440
43,910
31.6
3,700
5,140
42,470
5,110
12.0
37,360
-110
37,250
1,310
38,560
56.9
177,722
27.9
98,326
24,985
54,411
30.6
6,259
6,830
53,839
6,508
12.1
47,331
-2
47,329
0
47,329
22.7
Diviya Nagarajan
(Dnagarajan@MotilalOswal.com);
Tel: +91 22 3982 5428
29 June 2007
146

Results Preview
SECTOR: INFORMATION TECHNOLOGY
Infotech Enterprises
STOCK INFO.
BLOOMBERG
REUTERS CODE
BSE Sensex: 14,651 INFTC IN
S&P CNX: 4,318
INFE.BO
29 June 2007
Previous Recommendation: Buy
Buy
Rs397
EPS
P/E
(X)
P/BV
(X)
ROE
(%)
ROCE
(%)
EV/
EV/
SALES EBITDA
PAT
(RS M)
EPS
(RS) GROWTH (%)
Equity Shares (m)
52-Week Range
1,6,12 Rel. Perf. (%)
M.Cap. (Rs b)
M.Cap. (US$ b)
46.2
447/147
7/17/109
18.3
0.4
YEAR
END *
NET SALES
(RS M)
3/07A
3/08E
3/09E
5,425
7,458
10,155
817
1,011
1,295
17.7
21.9
28.1
74.5
23.8
28.1
22.4
18.1
14.1
6.0
4.6
3.5
31.5
28.6
28.2
29.9
26.7
26.4
2.8
2.0
1.4
13.6
10.0
7.4
* 1:2 bonus and split of Rs10 share into 2 shares of Rs5 each in FY07, ratios accordingly adjusted
?
?
?
?
?
?
?
We expect Infotech Enterprises to report revenue growth of 4% QoQ. We expect dollar revenue growth of 10.3%
QoQ driven by 13.9% growth in engineering services (ES) driven by strong growth from top clients.
We expect Geospatial Services (GS) to grow slower at 4.9% QoQ in dollar terms, driven by ramp ups in Europe.
EBITDA margins, are expected to decline by 335bp due to impact of salary hikes and visa costs and rupee appreciation
during the quarter.
IASI, the 49% subsidiary in Puerto Rico reported a high profit share of Rs41.4m in 4QFY07 due to a one-time grant
received from the government of Puerto Rico. In 1QFY08, we expect profit share from IASI to return to normal and
expected IASI to add Rs18m to profits.
Due to the lower rupee revenue realization, margin erosion and lower IASI profits, we expect PAT to decline 31%
QoQ to Rs172m. We have not factored in any significant forex gains due to the low outstanding forex cover (US$15m).
The stock currently trades at 18.1x FY08E and 14.1x FY09E earnings estimates. Maintain
Buy.
Key issues:
Margins, IASI profits.
(RS MILLION)
FY07
1Q
2Q
3Q
4Q
1Q
2Q
FY08E
3Q
4Q
FY07
FY08E
QUARTERLY PERFORMANCE
Y/E MARCH
Revenues
Q-o-Q Change (%)
Direct Expenses
Sales, General & Admin. Exp.
Operating Profit
Margins (%)
Other Income
Depreciation
Interest
PBT bef. Extra-ordinary
Provision for Tax
Rate (%)
PAT bef. JV P/L
Q-o-Q Change (%)
Share of Profit from JV (IASI)
PAT bef. Extra-ordinary
Q-o-Q Change (%)
E: MOSt Estimates
1,170
8.6
569
382
219
18.7
43
54
3
206
42
20.3
164
34.0
14
178
7.1
1,313
12.2
621
409
284
21.6
5
63
4
222
49
22.1
173
5.2
30
203
14.1
1,430
9.0
656
452
323
22.6
0
66
5
252
52
20.7
200
15.8
-12
188
-7.4
1,512
5.7
744
460
308
20.4
19
74
2
251
44
17.3
207
3.7
41
249
32.6
1,573
4.0
844
461
268
17.1
5
76
4
193
39
20.0
154
-25.7
18
172
-31.0
1,773
12.7
931
498
343
19.4
13
84
4
268
54
20.0
214
39.0
19
233
35.9
1,956
10.4
1,004
538
414
21.2
16
93
4
332
66
20.0
266
24.1
21
287
23.0
2,156
10.2
1,104
593
460
21.3
17
105
4
368
74
20.0
294
10.8
25
319
11.4
5,425
49.7
2,589
1,702
1,134
20.9
67
256
14
931
187
20.0
744
84.0
73
817
76.4
7,458
37.5
3,883
2,090
1,485
19.9
51
358
18
1,161
232
20.0
928
24.8
83
1,011
23.8
Diviya Nagarajan
(Dnagarajan@MotilalOswal.com);
Tel: +91 22 3982 5428
29 June 2007
147

Results Preview
SECTOR: INFORMATION TECHNOLOGY
KPIT Cummins Infosystems
STOCK INFO.
BLOOMBERG
REUTERS CODE
BSE Sensex: 14,651 NKIPT IN
S&P CNX: 4,318
KPIT.BO
29 June 2007
Previous Recommendation: Buy
Buy
Rs139
EPS
P/E
(X)
P/BV
(X)
ROE
(%)
ROCE
(%)
EV/
EV/
SALES EBITDA
PAT
(RS M)
EPS
(RS) GROWTH (%)
Equity Shares (m)
52-Week Range
1,6,12 Rel. Perf. (%)
M.Cap. (Rs b)
M.Cap. (US$ b)
74.8
181/69
-2/-6/33
10.4
0.3
YEAR
END
NET SALES
(RS M)
3/07A
3/08E
3/09E
4,637
6,031
7,790
505
649
865
6.8
8.7
11.6
50.9
28.6
33.2
20.6
16.0
12.0
5.2
3.8
2.9
29.7
27.3
27.3
21.8
22.0
24.0
2.4
1.7
1.3
15.5
11.1
8.1
?
We expect KPIT Cummins to report strong dollar revenue growth of 10.8% QoQ driven by pick-up in volume
growth. We expect the growth momentum to be driven by KPIT’ better positioning the manufacturing segment
s
along with synergies resulting from integration of Pivolis, SolvCentral.com and CG Smith.
We anticipate 210bp decline in EBITDA margins during the quarter due to rupee appreciation and salary hikes
(average of 16%) during the quarter.
Net profit growth is expected to decline by 15.7% QoQ to Rs118m during the quarter.
With the anticipated pick up in revenue from both Manufacturing (led by ATS and BI) and BFSI, we continue to
remain positive about the growth prospects of KPIT Cummins.
The stock currently trades at 16x FY08E and 12x FY09E earnings estimates. We maintain
Buy.
Key issues:
Cummins contract renegotiation, growth in non-star customers’ margins.
,
(RS MILLION)
FY07
1Q
2Q
3Q
4Q
1Q
2Q
FY08E
3Q
4Q
FY07
FY08E
?
?
?
?
?
QUARTERLY PERFORMANCE
Y/E MARCH
Revenues
Q-o-Q Change (%)
Direct Expenses
Sales, General & Admin. Exp.
Operating Profit
Margins (%)
Other Income
Depreciation
Interest
PBT bef. Extra-ordinary
Provision for Tax
Rate (%)
PAT bef. MI and EO
Minority Interest (MI)
PAT aft. MI and before EO
Q-o-Q Change (%)
E: MOSt Estimates
1,023
13.4
530
340
152
14.9
1
25
11
117
13
11.3
104
0
103
0.7
1,140
11.5
577
384
179
15.7
0
30
7
141
18
12.5
124
0
123
19.3
1,171
2.7
570
423
178
15.2
1
30
9
140
4
3.2
135
-2
137
11.1
1,303
11.3
610
488
206
15.8
4
35
17
157
17
10.5
141
0
141
2.4
1,326
1.8
681
464
181
13.7
5
37
17
132
14
10.5
118
0
118
-15.7
1,471
10.9
742
508
221
15.0
3
43
14
167
18
10.5
150
0
149
26.2
1,552
5.5
788
509
255
16.4
2
48
12
197
21
10.5
176
1
176
17.7
1,681
8.3
832
556
293
17.4
2
54
11
231
24
10.5
206
1
207
17.9
4,637
45.7
2,287
1,635
715
15.4
6
121
45
555
52
9.3
503
-2
505
55.0
6,031
30.1
3,042
2,038
951
15.8
12
182
54
727
76
10.5
651
2
649
28.6
Diviya Nagarajan
(Dnagarajan@MotilalOswal.com);
Tel: +91 22 3982 5428
29 June 2007
148

Results Preview
SECTOR: INFORMATION TECHNOLOGY
MphasiS
STOCK INFO.
BLOOMBERG
REUTERS CODE
BSE Sensex: 14,651 MPHL IN
S&P CNX: 4,318
MBFL.BO
29 June 2007
Previous Recommendation: Buy
Buy
Rs328
EPS
P/E
(X)
P/BV
(X)
ROE
(%)
ROCE
(%)
EV/
EV/
SALES EBITDA
PAT
(RS M)
EPS
(RS) GROWTH (%)
Equity Shares (m)
52-Week Range
1,6,12 Rel. Perf. (%)
M.Cap. (Rs b)
M.Cap. (US$ b)
164.1
340/121
6/2/79
53.9
1.3
YEAR
END
NET SALES
(RS M)
3/07A
3/08E
3/09E
11,958
15,471
19,253
1,199
1,817
2,118
7.3
11.1
12.9
-21.5
51.5
16.5
44.9
29.7
25.4
11.0
8.6
6.9
27.4
33.0
30.4
30.3
38.0
35.2
4.4
3.4
2.6
25.9
18.8
15.1
Does not include EDS India financials
?
?
?
?
?
?
?
?
We expect Mphasis to report revenue dollar growth of 9.6% in 1QFY08 (without including EDS India) with 11.2%
growth in IT services. BPO is expected to grow slower at 6.2% in dollar terms due to ramp downs in certain top
clients. We expect EDS driven revenue to contribute significantly during the quarter.
Rupee revenue growth is expected to be muted at 2.8% QoQ (v/s dollar growth of 9.6% QoQ).
EBITDA margins are expected to decline by 380bp due to impact of rupee appreciation and salary hikes in the
quarter.
Other income in 4QFY07 was negative Rs6m. In 1QFY08, we expect other income to turn positive at Rs51m due to
forex gains during the quarter.
Tax rate was low at 4.6% in 3QFY07 due to deferred tax credits in 4QFY07. In 1QFY08, we expect tax rate to
increase to 13% levels.
Due to lower margins and higher tax rates, net profit is expected to decline at 23.6% QoQ to Rs348m.
The stock is currently trading at 22.8x FY08E and 18.5x FY09E earnings estimates (on a diluted basis including EDS
(I) and full upside through EDS Global). Maintain
Buy.
Key issues:
Revenue growth through EDS, BPO revenue, margins.
QUARTERLY PERFORMANCE (STANDALONE)
Y/E MARCH
1Q
2Q
FY07
3Q
4Q
1Q
2Q
FY08E
3Q
4Q
FY07
(RS MILLION)
FY08E
Revenues
Q-o-Q Change (%)
Direct Expenses
Sales, General & Admin. Exp.
Operating Profit
Margins (%)
Other Income
Depreciation
PBT bef. Extra-ordinary
Provision for Tax
Rate (%)
PAT bef. Extra-ordinary
Q-o-Q Change (%)
2,607
4.1
1,858
434
315
12.1
42
150
207
55
26.7
152
-56.8
2,919
12.0
1,935
499
485
16.6
-56
157
273
39
14.2
234
54.0
3,060
4.8
1,982
489
588
19.2
-50
161
378
20
5.3
358
52.9
3,373
10.2
2,179
547
647
19.2
-6
163
478
22
4.6
456
27.4
3,466
2.8
2,381
553
532
15.4
51
180
402
54
13.5
348
-23.6
3,759
8.4
2,552
560
646
17.2
23
195
473
64
13.5
409
17.5
4,003
6.5
2,683
572
748
18.7
25
208
565
76
13.5
488
19.4
4,243
6.0
2,793
594
856
20.2
25
221
660
89
13.5
571
16.9
11,958
27.2
7,954
1,969
2,035
17.0
-69
631
1,335
136
10.2
1,199
-20.0
15,471
29.4
10,410
2,279
2,782
18.0
123
804
2,099
284
13.5
1,816
51.4
E: MOSt Estimates; Does not include EDS India financials, and upside through EDS Global
Diviya Nagarajan
(Dnagarajan@MotilalOswal.com);
Tel: +91 22 3982 5428
29 June 2007
149

Results Preview
SECTOR: INFORMATION TECHNOLOGY
Patni Computer Systems
STOCK INFO.
BLOOMBERG
REUTERS CODE
BSE Sensex: 14,651 PATNI IN
S&P CNX: 4,318
PTNI.BO
29 June 2007
Previous Recommendation: Neutral
Neutral
Rs518
P/E
(X)
P/BV
(X)
ROE
(%)
ROCE
(%)
EV/
EV/
SALES EBITDA
PAT*
(RS M)
EPS
EPS
(RS) GROWTH (%)
Equity Shares (m)
52-Week Range
1,6,12 Rel. Perf. (%)
M.Cap. (Rs b)
M.Cap. (US$ b)
138.3
573/251
-2/18/16
71.7
1.8
YEAR
END
NET SALES
(RS M)
12/06A 26,112
12/07E 28,848
12/08E 36,057
3,572
4,391
5,219
25.8
31.8
37.8
18.8
22.9
18.9
20.0
16.3
13.7
3.2
2.7
2.3
16.8
18.1
18.4
21.2
22.1
22.4
2.2
2.0
1.5
11.9
10.3
8.1
* reflects adjusted PAT
?
We expect revenue to increase 5.5% QoQ in dollar terms, translating into marginal growth of 0.3% QoQ in rupee
terms in 2QCY07.
Margins (EBIT) are expected to decline by 500bp in 2QCY07 due to wage hikes (4-4.5% onsite and 18-20%
offshore, an impact of 300-320bp on margins) and continuing rupee appreciation.
Other income is expected to be high at Rs424m due to forex gains during the quarter.
We expect decline of 12.2% in net profit (in rupee terms) for the quarter. Net income (excl. forex gain/loss) is
expected to decline 16% QoQ in dollar terms.
The stock trades at 16.3x CY07E and 13.7x CY08E earnings estimates. We maintain
Neutral
as we remain
unconvinced about Patni’ organic growth prospects over the near term.
s
Key issues:
Ramp-ups in top clients, margins, attrition rates.
(RS MILLION)
CY06
1Q
2Q
3Q
4Q
1Q
2QE
CY07
3QE
4QE
CY06
CY07E
?
?
?
?
?
QUARTERLY PERFORMANCE
Y/E DECEMBER
Revenues
Q-o-Q Change (%)
Direct Expenses
Sales, General & Admin. Exp.
Operating Profit
Margins (%)
Other Income
Depreciation
PBT bef. Extra-ordinary
Provision for Tax
Rate (%)
Net Income bef. EO
Q-o-Q Change (%)
Extra-ordinary items
Net Income after EO
Q-o-Q Change (%)
E: MOSt Estimates
5,776
3.7
3,593
1,160
1,022
17.7
11
193
840
197
23.5
642
-2.8
0
642
-2.8
6,561
13.6
4,273
1,298
990
15.1
187
205
972
201
20.7
770
19.9
917
-147
-122.9
6,971
6.3
4,344
1,215
1,413
20.3
77
202
1,288
264
20.5
1,024
32.9
0
1,024
-796.6
6,805
-2.4
4,215
1,123
1,467
21.6
172
239
1,400
265
18.9
1,135
10.9
0
1,135
10.9
6,724
-1.2
4,152
1,146
1,427
21.2
268
234
1,460
260
17.8
1,200
5.8
0
1,200
5.8
6,746
0.3
4,490
1,153
1,103
16.4
424
250
1,278
224
17.5
1,054
-12.2
0
1,054
-12.2
7,415
9.9
4,785
1,225
1,406
19.0
133
282
1,257
239
19.0
1,018
-3.4
0
1,018
-3.4
7,962
7.4
5,109
1,314
1,539
19.3
143
303
1,380
262
19.0
1,118
9.8
0
1,118
9.8
26,112
29.0
16,424
4,796
4,893
18.7
446
839
4,500
928
20.6
3,572
30.6
917
2,654
-3.0
28,848
10.5
18,535
4,838
5,475
19.0
968
1,068
5,376
985
18.3
4,391
22.9
0
4,391
65.4
Diviya Nagarajan
(Dnagarajan@MotilalOswal.com);
Tel: +91 22 3982 5428
29 June 2007
150

Results Preview
SECTOR: INFORMATION TECHNOLOGY
Sasken Communication Technologies
STOCK INFO.
BLOOMBERG
REUTERS CODE
BSE Sensex: 14,651 SACT IN
S&P CNX: 4,318
SKCT.BO
29 June 2007
Previous Recommendation: Buy
Buy
Rs490
EPS
P/E
(X)
P/BV
(X)
ROE
(%)
ROCE
(%)
EV/
EV/
SALES EBITDA
PAT*
(RS M)
EPS
(RS) GROWTH (%)
Equity Shares (m)
52-Week Range
1,6,12 Rel. Perf. (%)
M.Cap. (Rs b)
M.Cap. (US$ b)
28.5
624/251
-4/-15/31
14.0
0.3
YEAR
END
NET SALES
(RS M)
3/07A
3/08E
3/09E
4,772
6,666
8,458
443
830
1,075
15.5
29.1
37.4
46.3
87.0
28.8
31.5
16.9
13.1
3.3
2.9
2.5
11.0
18.2
20.2
10.7
16.1
18.5
3.0
2.1
1.6
20.5
11.3
8.3
?
We expect Sasken to report revenue growth of 2% QoQ in 1QFY08. We expect product revenues to grow 14.6%,
driven by growth in royalty income. Services revenue is expected to grow 1.1% QoQ in rupee terms with underlying
dollar growth of 7.2% QoQ.
EBITDA margin erosion due to salary hikes and rupee appreciation are expected to be lower at 180bp due to
expected robust growth in products, better margins in Botnia and SG&A leverage.
Net profit is expected to decline by 14.8% QoQ to Rs100m due to lower rupee revenue and margin erosion during the
quarter.
The stock is currently trading at 16.9x FY08E and 13.1x FY09E earnings estimates. We continue to remain positive
on both the products and services business and anticipate strong ramp-up in 2HFY08. Maintain
Buy.
Key issues:
Product royalty, revenue growth from Network OEMs, margins, attrition rates.
(RS MILLION)
FY07
1Q
2Q
3Q
4Q
1Q
2Q
FY08E
3Q
4Q
FY07
FY08E
?
?
?
?
QUARTERLY PERFORMANCE
Y/E MARCH
Revenues
Q-o-Q Change (%)
Direct Expenses
Sales, General & Admin. Exp.
Operating Profit
Margins (%)
Other Income
Depreciation & Amortization
Interest
PBT bef. Extra-ordinary
Provision for Tax
Rate (%)
PAT bef. Extra-ordinary
Q-o-Q Change (%)
Net Profit after EO
Q-o-Q Change (%)
E: MOSt Estimates
932
19.4
641
162
128
13.8
7
43
0
93
5
5.4
88
39.6
88
39.6
1,176
26.2
751
211
214
18.2
12
49
24
153
33
21.8
119
36.0
119
36.0
1,310
11.4
877
245
189
14.4
31
55
10
154
35
22.8
119
-0.5
119
-0.5
1,354
3.3
902
274
177
13.1
47
70
11
144
27
18.8
117
-1.4
117
-1.4
1,381
2.0
953
271
157
11.3
50
72
11
123
23
19.0
100
-14.8
100
-14.8
1,566
13.4
1,024
282
260
16.6
27
74
13
200
38
19.0
162
62.6
162
62.6
1,780
13.7
1,096
310
374
21.0
30
80
14
310
57
18.5
252
55.7
252
55.7
1,940
9.0
1,154
326
461
23.7
30
87
16
388
72
18.5
316
25.2
316
25.2
4,772
54.9
3,171
892
708
14.8
97
218
45
544
101
18.5
443
49.3
443
93.3
6,666
39.7
4,227
1,188
1,251
18.8
137
314
53
1,021
190
18.7
830
87.5
830
87.5
Diviya Nagarajan
(Dnagarajan@MotilalOswal.com);
Tel: +91 22 3982 5428
29 June 2007
151

Results Preview
SECTOR: INFORMATION TECHNOLOGY
Satyam Computer
STOCK INFO.
BLOOMBERG
REUTERS CODE
BSE Sensex: 14,651 SCS IN
S&P CNX: 4,318
SATY.BO
29 June 2007
Previous Recommendation: Buy
Buy
Rs467
EPS
P/E
(X)
P/BV
(X)
ROE
(%)
ROCE
(%)
EV/
EV/
SALES EBITDA
PAT*
(RS M)
EPS
(RS) GROWTH (%)
Equity Shares (m)
52-Week Range
1,6,12 Rel. Perf. (%)
M.Cap. (Rs b)
M.Cap. (US$ b)
667.2
525/326
-1/-10/-7
311.8
7.7
YEAR
END
NET SALES
(RS M)
3/07A
3/08E
3/09E
64,851
83,383
106,282
14,047
17,601
21,108
21.5
26.3
31.3
41.7
22.5
19.0
21.7
17.7
14.9
5.3
4.3
3.5
27.9
27.1
25.9
30.3
30.7
30.4
4.2
3.1
2.3
17.7
13.8
10.7
* PAT figures reflects adjusted PAT; FY06 figures adjusted to reflect 1:1 bonus
?
?
?
?
?
?
We expect Satyam to report consolidated dollar revenue growth of 7.4% QoQ in 4QFY07 (guided growth 5-5.5%).
Standalone service revenue is expected to grow 6.8% QoQ in dollar terms, backed by 6% volume growth. In rupee
terms, we expect consolidated revenue growth of 1.7% QoQ.
Decline in EBITDA margins is expected to be lower versus players such as Infosys and TCS due to absence of
salary hikes in the quarter. We expect rupee appreciation to cause 100bp margin erosion in the quarter (guidance was
at Rs42.3).
Other income is expected to be higher at Rs912m due to forex gains during the quarter. Net profit is expected to
remain flat during the quarter due to lower revenue realizations and the resultant dip in margins.
Satyam’ guidance for FY08 would be a key factor in the results; we believe that the dollar guidance could be revised
s
upward. However, we do not rule out a possible downgrade in rupee guidance for the year.
The stock is currently trading at 17.8x FY08E and 15x FY09E earnings estimates. Valuations remain attractive. We
maintain
Buy.
Key issues:
Guidance, margins.
QUARTERLY PERFORMANCE
Y/E MARCH
1Q
2Q
FY07
3Q
4Q
1Q
2Q
FY08E
3Q
4Q
FY07
(RS MILLION)
FY08E
Revenues
Q-o-Q Change (%)
Direct Expenses
Sales, General & Admin. Exp.
Operating Profit
Margins (%)
Other Income
Depreciation
Interest
PBT bef. Extra-ordinary
Provision for Tax
Rate (%)
Minority Interest
PAT bef. Extra-ordinary
Q-o-Q Change (%)
E: MOSt Estimates
14,429
9.8
8,316
2,563
3,550
24.6
745
362
26
3,908
368
9.4
-1
3,541
24.4
16,019
11.0
9,827
2,567
3,625
22.6
282
375
27
3,505
307
8.8
0
3,198
-9.7
16,611
3.7
9,674
2,838
4,100
24.7
102
394
32
3,776
403
10.7
0
3,372
5.4
17,792
7.1
10,763
2,927
4,102
23.1
704
354
74
4,378
442
10.1
0
3,936
16.7
18,089
1.7
11,142
2,953
3,994
22.1
912
362
36
4,508
541
12.0
0
3,967
0.8
20,104
11.1
12,889
3,121
4,094
20.4
772
392
40
4,434
532
12.0
0
3,902
-1.6
21,870
8.8
13,594
3,264
5,012
22.9
717
416
44
5,269
632
12.0
0
4,637
18.8
23,319
6.6
14,315
3,480
5,524
23.7
732
420
47
5,789
695
12.0
0
5,094
9.9
64,851
35.3
38,579
10,894
15,377
23.7
1,833
1,484
159
15,566
1,520
9.8
-1
14,047
43.0
83,383
28.6
51,940
12,819
18,624
22.3
3,133
1,589
167
20,001
2,400
12.0
0
17,601
25.3
Diviya Nagarajan
(Dnagarajan@MotilalOswal.com);
Tel: +91 22 3982 5428
29 June 2007
152

Results Preview
SECTOR: INFORMATION TECHNOLOGY
Tata Consultancy Services
STOCK INFO.
BLOOMBERG
REUTERS CODE
BSE Sensex: 14,651 TCS IN
S&P CNX: 4,318
TCS.BO
29 June 2007
Previous Recommendation: Buy
Buy
Rs1,149
EPS
P/E
(X)
P/BV
(X)
ROE
(%)
ROCE
(%)
EV/
EV/
SALES EBITDA
PAT
(RS M)
EPS
(RS) GROWTH (%)
Equity Shares (m)
28-Week Range
1,6,12 Rel. Perf. (%)
M.Cap. (Rs b)
M.Cap. (US$ b)
978.6
1,399/835
-7/-12/-6
1,124.7
27.6
YEAR
END
NET SALES
(RS M)
3/07A* 186,334
3/08E
3/09E
237,718
297,493
41,316
50,231
61,577
41.7
51.3
62.9
39.6
23.2
22.6
27.6
22.4
18.3
12.5
9.0
6.7
54.5
45.7
41.0
59.0
50.6
46.5
5.9
4.5
3.5
21.8
17.0
13.5
* 1:1 bonus in FY07, accordingly ratios are adjusted
?
?
We expect TCS to report 6.8 % QoQ growth in dollar terms, with rupee revenue growth of 0.9% QoQ.
Margins are expected to decline by 330bp QoQ to 25% due to rupee impact, salary hikes (3-5% onsite and 12-15%
offshore) and visa costs.
TCS has close to US$1.3b in forex cover (of which US$1b is at Rs43.5-Rs44.0), which is expected to result in high
forex gains during the quarter. We expect high other income at Rs899m during the quarter.
We expect net profit to decline 10.4% QoQ to Rs10.5b in 1QFY08 due to flat revenue and sharp fall in margins.
The stock trades at 22.4x FY08E and 18.2x FY09E earnings estimates. We expect TCS to report strong volume
growth in FY08, driven by sustained demand across multiple business lines. We maintain
Buy.
Key issues:
Volume growth, margins.
(RS MILLION)
FY07*
1Q
2Q
3Q
4Q
1Q
2Q
FY08E*
3Q
4Q
FY07*
FY08E*
?
?
?
?
QUARTERLY PERFORMANCE (CONSOLIDATED)
Y/E MARCH
Revenues
Q-o-Q Change (%)
Direct Expenses
Sales, General & Admin. Exp.
Operating Profit
Margins (%)
Other Income
Interest
Depreciation
PBT bef. Extra-ordinary
Provision for Tax
Rate (%)
Minority Interest
Net Income bef. EO
Q-o-Q Change (%)
PAT aft Extra-ordinary
41,443
11.3
22,989
8,327
10,128
24.4
668
0
863
9,932
1,238
12.5
69
8,626
8.5
8,626
44,822
8.2
23,880
8,648
12,294
27.4
77
0
958
11,414
1,447
12.7
52
9,915
14.9
9,915
48,605
8.4
26,294
8,559
13,753
28.3
300
0
1,080
12,973
1,828
14.1
98
11,047
11.4
11,047
51,464
5.9
27,177
9,720
14,568
28.3
235
0
1,395
13,408
2,056
15.3
155
11,198
1.4
11,728
51,936
0.9
28,781
10,166
12,989
25.0
899
66
1,428
12,393
1,723
13.9
160
10,511
-6.1
10,511
56,906
9.6
31,212
10,770
14,924
26.2
550
66
1,480
13,928
1,936
13.9
168
11,825
12.5
11,825
62,503
9.8
34,175
11,391
16,938
27.1
600
66
1,547
15,924
2,229
14.0
176
13,518
14.3
13,518
66,373
6.2
36,184
12,096
18,092
27.3
600
66
1,626
17,000
2,380
14.0
186
14,433
6.8
14,433
186,334
40.6
100,339
35,253
50,742
27.2
1,280
0
4,296
47,726
6,568
13.8
373
40,786
39.6
41,316
237,718
27.6
130,352
44,424
62,943
26.5
2,649
266
6,081
59,245
8,268
14.0
690
50,287
23.3
50,287
E: MOSt Estimates; * Consolidated numbers that include Tata Infotech
Diviya Nagarajan
(Dnagarajan@MotilalOswal.com);
Tel: +91 22 3982 5428
29 June 2007
153

Results Preview
SECTOR: INFORMATION TECHNOLOGY
Tech Mahindra
STOCK INFO.
BLOOMBERG
BSE Sensex: 14,651
S&P CNX: 4,318
TECHM IN
REUTERS CODE
29 June 2007
Buy
Rs1,396
PAT
(RS M)
EPS
EPS
P/E
(X)
P/BV
(X)
ROE
(%)
ROCE
(%)
EV/
EV/
(RS) GROWTH (%)
SALES EBITDA
TEML.BO
Equity Shares (m)
28-Week Range
1,6,12 Rel. Perf. (%)
M.Cap. (Rs b)
M.Cap. (US$ b)
121.2
2,050/521
-8/-23/-
169.2
4.2
YEAR
END
NET SALES
(RS M)
3/07A
3/08E
3/09E
29,290
44,127
57,693
6,124
7,834
10,765
46.4
59.4
81.6
105.2
27.9
37.4
30.1
23.5
17.1
18.3
10.1
6.3
66.2
47.7
38.1
65.2
47.8
38.1
5.7
3.7
2.8
22.8
17.3
12.0
EPS is diluted, includes BT deal
?
We expect Tech Mahindra to report 7.3% QoQ dollar revenue growth (excluding BT), with corresponding rupee
growth of 0.8% QoQ.
We expect EBITDA margins (excluding BT deal) to decline by 275bp during the quarter due to sharp appreciation of
the rupee against the GBP in addition to the US dollar, and impact of salary hikes during the quarter.
Net profit is expected to decline by 13.9% QoQ due to rupee impact and the resultant margin erosion during the
quarter.
The stock trades at 23.5x FY08E and 17.1x FY09E consolidated (diluted) earnings estimates. We remain positive on
the long-term prospects of the company, given its leadership position in a high growth domain. We maintain
Buy.
Key issues:
BT deal ramp up, margins
?
?
?
?
QUARTERLY PERFORMANCE
Y/E MARCH
1Q
2Q
FY07
3Q
4Q
1Q
2Q
FY08E
3Q
4Q
FY07
(RS MILLION)
FY08E
Revenues
Q-o-Q Change (%)
Direct cost
Other Operating Exps
Operating Profit
Margins (%)
Other Income
Interest
Depreciation
PBT bef. Extra-ordinary
Provision for Tax
Rate (%)
Net Income bef. EO
Q-o-Q Change (%)
5,871
39.4
3,724
840
1,307
22.3
11
0
108
1,210
144
11.9
1,066
19.7
6,976
18.8
4,149
1,058
1,769
25.4
-57
0
113
1,599
169
10.6
1,430
34.2
7,698
10.3
4,527
1,098
2,073
26.9
-32
12
137
1,892
224
11.8
1,668
16.6
8,745
13.6
5,135
1,392
2,218
25.4
154
49
158
2,165
204
9.4
1,960
17.5
8,816
0.8
5,631
1,190
1,994
22.6
120
3
194
1,917
230
12.0
1,687
-13.9
9,511
7.9
5,977
1,251
2,284
24.0
75
3
209
2,146
258
12.0
1,889
12.0
10,163
6.8
6,224
1,321
2,618
25.8
61
3
224
2,452
294
12.0
2,157
14.2
10,883
7.1
6,642
1,415
2,826
26.0
65
3
239
2,649
318
12.0
2,331
8.0
29,290
135.7
17,535
4,388
7,367
25.2
76
61
516
6,866
741
10.8
6,125
160.2
39,372
34.4
24,474
5,177
9,722
24.7
321
14
866
9,163
1,100
12.0
8,064
31.7
E: MOSt Estimates; does not include BT deal
Diviya Nagarajan
(Dnagarajan@MotilalOswal.com);
Tel: +91 22 3982 5428
29 June 2007
154

Results Preview
SECTOR: INFORMATION TECHNOLOGY
Wipro
STOCK INFO.
BLOOMBERG
REUTERS CODE
BSE Sensex: 14,651 WPRO IN
S&P CNX: 4,318
WIPR.BO
29 June 2007
Previous Recommendation: Buy
YEAR
END
NET SALES
(RS M)
PAT*
(RS M)
EPS
EPS
P/E
(X)
P/BV
(X)
ROE
(%)
ROCE
(%)
EV/
(RS) GROWTH (%)
Buy
Rs519
EV/
SALES EBITDA
Equity Shares (m)
52-Week Range
1,6,12 Rel. Perf. (%)
M.Cap. (Rs b)
M.Cap. (US$ b)
1,459.0
690/441
-5/-20/-37
756.5
18.6
3/07A 149,431
3/08E
3/09E
194,768
246,001
28,447
35,824
42,703
19.7
24.4
28.7
38.8
23.5
17.8
26.3
21.3
18.1
7.5
5.8
4.6
32.4
31.0
29.0
35.9
35.5
33.6
4.7
3.6
2.7
20.7
16.6
13.0
* reflects adjusted PAT
?
We expect Wipro to post a decline of 6.9% QoQ in consolidated revenues. Global IT business is expected to register
4.1% dollar growth (v/s guidance of 3% growth). In rupee terms, we expect global IT business to decline 2.8% QoQ.
Consolidated EBITDA margins are expected to decline by 90bp. Global IT margins are expected to decline 190bp
(no salary hikes in 1Q) due to rupee impact.
We expect consolidated net profit to decline by 5.9% QoQ due to impact of lower revenue growth and margin decline
during the quarter.
At CMP stock is trading at 21.3xFY08E and 18.1xFY09E, which appears attractive. Overall demand remains strong
for Wipro and we expect the TEM segment to pick up in 2HFY08. We maintain
Buy.
Key issues:
Technology services revenue, margins
(RS MILLION)
FY07
1Q
2Q
3Q
4Q
1Q
2Q
FY08E
3Q
4Q
FY07
FY08E
?
?
?
?
QUARTERLY PERFORMANCE
Y/E MARCH
Global IT Services incl Spectramind 24,513
Other Businesses
Revenues
Q-o-Q Change (%) - Global IT
Total Expenses
EBITDA
Margins (%)
Depreciation
EBIT
Margins (%)
Other Income
PBT
Provision for Tax
Rate (%)
Net Income before EO*
Q-o-Q Change (%)
6,800
31,312
7.1
23,849
7,463
23.8
941
6,522
20.8
512
7,033
979
13.9
6,120
2.4
27,179
7,959
35,138
10.9
26,896
8,242
23.5
1,058
7,184
20.4
756
7,939
1,068
13.5
6,963
13.8
28,873
10,763
39,636
6.2
30,691
8,945
22.6
1,096
7,849
19.8
559
8,408
1,080
12.8
7,450
7.0
30,357
12,988
43,345
5.1
33,896
9,449
21.8
1,105
8,344
19.2
827
9,170
1,296
14.1
7,914
6.2
29,508
10,844
40,351
-2.8
31,898
8,453
20.9
1,153
7,300
18.1
1,269
8,569
1,200
14.0
7,444
-5.9
33,139
12,404
45,543
12.3
35,575
9,968
21.9
1,240
8,728
19.2
1,073
9,801
1,372
14.0
8,535
14.6
36,615
15,002
51,617
10.5
40,579
11,038
21.4
1,328
9,710
18.8
1,094
10,804
1,513
14.0
9,431
10.5
39,945
17,311
57,257
9.1
44,855
12,402
21.7
1,459
10,943
19.1
1,114
12,057
1,688
14.0
10,414
10.4
110,922
38,510
149,431
37.4
115,333
34,098
22.8
4,199
29,899
20.0
2,653
32,551
4,423
13.6
28,447
40.3
139,207
55,561
194,768
25.5
152,908
41,860
21.5
5,179
36,681
18.8
4,550
41,231
5,772
14.0
35,824
25.9
E: MOSt Estimates; * after minority interest and share in earnings from affiliates
Diviya Nagarajan
(Dnagarajan@MotilalOswal.com);
Tel: +91 22 3982 5428
29 June 2007
155

Results Preview
QUARTER ENDED JUNE 2007
Infrastructure
BSE Sensex: 14,651
S&P CNX: 4,318
29 June 2007
COMPANY NAME
PG.
BL Kashyap
161
Gammon India
162
GMR Infrastructure
163
Hindustan Construction
164
Slowdown in order intake in FY07; expect strong momentum in 1HFY08
The order book for the construction companies as of March 2007 was up just 15% YoY
as against 142% increase during FY05 and 69% increase during FY06. Growth during
FY05 and FY06 was driven by increased spending by NHAI and Andhra Pradesh
government on irrigation projects. The slowdown in order intake during FY07 was largely
due to restructuring of NHAI as envisaged in Budget 2006, which intended to transform
NHAI into a multi-disciplinary body with capacity to handle large number of public
private partnership (PPP) projects.
Also, formation of PPP Advisory Committee (PPP AC) and the new Model Concession
Agreement (MCA), which had certain contentious issues, led to delays in award of
contracts. In irrigation, several projects were delayed due to environment issues and
paucity of funds.
However, the project award seems to be gaining traction once again. NHAI will award
about 6,270 km of road projects on BOT basis in FY08. Pre-qualifications havebeen
invited for a significant part of it. This, we believe, would significantly increase the order
intake for the construction companies in 1HFY08. The total order comprises 2,995 km
of six laning of the Golden Quadrilateral and the balance will be four laning.
Besides this, there would be significant project awards from sectors like urban
infrastructure, hydro power, railways, nuclear power, irrigation, etc, which would further
drive the order intake for the construction companies during FY08.
IVRCL
165
Jaiprakash Associates
166
Nagarjuna Construction
167
Patel Engineering
168
EXPECTED QUARTERLY PERFORMANCE SUMMARY
RECO
JUN.07
SALES
CHG. (%)
JUN.07
EBITDA
CHG. (%)
(RS MILLION)
NET PROFIT
JUN.07
CHG. (%)
Infrastructure
B.L.Kashyap
GMR Infrastructure
Gammon India
Hindustan Construction
IVRCL Infra.
Jaiprakash Associates
Nagarjuna Construction
Patel Engineering
Sector Aggregate
Neutral
Buy
Buy
Buy
Buy
Buy
Buy
Buy
2,425
-
7,478
7,548
5,546
9,174
8,799
3,712
44,681
48.0
-
35.0
30.0
30.0
2.5
35.0
28.0
25.4
254
-
436
607
513
2,359
777
408
5,355
43.4
-
37.7
31.7
26.0
10.8
41.3
28.3
22.8
148
-
171
124
280
985
347
220
2,275
42.3
-
7.1
-38.2
7.1
7.1
6.3
10.4
4.8
Satyam Agarwal (Agarwals@MotilalOswal.com); Tel: +91 22 39825410/Nalin Bhatt (NalinBhatt@MotilalOswal.com); +91 22 39825429
29 June 2007
156

Infrastructure
TREND IN ORDER BOOK (RS B)
360
Surge in order books during
FY 05 and FY 06 w as driven by
increased spending on roads
and irrigation
Up 142%
90
48
59
68
Up 15%
281
Up 69%
166
322
270
180
0
Mar-02
Mar-03
Mar-04
Mar-05
Mar-06
Mar-07
*Note: Including Gammon, HCC, IVRCL and NCC
Source: Motilal Oswal Securities
Order book-to-bill ratio continues to be healthy
The order intake for most of the construction companies during FY07 has been very low.
The order book for four large construction companies grew 15% from March 2006. Despite
the slower order intake, the infrastructure companies still have strong revenue visibility
given the high book-to-bill ratio. The order book-to-bill ratio for most of the companies is
robust, which provides strong revenue visibility. The order book-to-bill ratio for the
companies based on FY07 revenue: Patel Engineering 4.5x, Gammon at 3.5x, Hindustan
Construction at 3.9x, IVRCL 3.5x and Nagarjuna at 2.5x. The large order wins for Larsen
& Toubro has helped its order book-to-bill ratio to move up from 1.5x in March 2006 to
around 2x as of March 2007, indicating strong capex in hydrocarbon segment.
STRONG ORDER BOOK-TO-BILL RATIO
ORDER BOOK
MAR-07
REVENUES
FY07
ORDER BOOK /
REVENUES (X)
Gammon
Hindustan Construction
IVRCL
Jaiprakash Associates*
Larsen and Toubro*
Nagarjuna Construction
Patel Engineering
B L Kashyap
75,000
93,120
81,000
75,000
353,330
73,020
50,000
16,000
21,437
23,945
23,059
34,420
175,788
28,711
11,024
7,650
3.5
3.9
3.5
2.2
2.0
2.5
4.5
2.1
Source: Company
* Engineering and Construction Business
Value unlocking possibilities going forward
During 1HFY08, we expect several companies like HCC, IVRCL and Jaiprakash to unlock
significant value from the real estate and BOT SPVs created by them. FY07 has been the
year of transition for most of the construction companies as they diversified from being
pure construction contractors to developers. The companies have taken up large BOT
projects other than roads sector and also ventured into real estate development, etc. The
29 June 2007
157

Infrastructure
companies have either monetized a part of their holding in these SPVs or have plans to do
so in future. We believe that there could be sizable value unlocking for some companies in
FY08.
IVRCL Infrastructure is likely to benefit from the value unlocking through IVR Prime
Urban Developers Ltd (IVR PUDL), its 80% subsidiary. IVR PUDL has already filed
draft Red herring prospectus with SEBI and has received observation card. The company
has a land bank of 2,299 acres (development area of 56.63m sq ft) in Hyderabad, Chennai,
Bangalore, Pune and Noida. The management is hopeful of completing the IPO in next
three to four months. Similarly, Gammon Infrastructure Projects Ltd (a 82.5% subsidiary
of Gammon India) has also filed for draft red herring prospectus and has got in principal
approval from SEBI for its IPO. GIPL currently has a portfolio of 11 development projects
and has submitted financial bids for another four projects totalling Rs13.5b, and is pre-
qualified for submitting financial bids for 11 projects totalling Rs138b. Hindustan Construction
too is planning to launch Phase I of its Lavasa project by October 2007 (2,000 acres of the
total 12,500 acres) and is developing a total 129m sq ft (its share).
Besides this, companies like Jaiprakash Associates, Nagarjuna Construction and Patel
Engineering have established sizable real estate portfolio which could provide a value
unlocking opportunity in future. As part of Taj Expressway project, Jaiprakash Associates
has 600 acres of land at Noida (current value Rs18-30b) and is eligible for additional 5,650
acres on the Expressway. Merger with Jaypee Greens has provided the company access
to an additional 452 acres (development area 9m sq ft) at Noida. Patel Engineering has a
land bank of ~500 acres spread across Hyderabad, Mumbai, Bangalore and Maharashtra
(Karjat, Panvel, etc). It has transferred property developments rights for its entire land
bank (FSI of 60m sq ft) to Patel Realty India (PRIL), a100% subsidiary. Nagarjuna
Construction has consolidated its real estate initiatives under NCC Urban Infrastructure
(a 80% subsidiary). It has a land bank of 530 acres, of which development plan has been
finalized for 267 acres, entailing development area of 13.4m sq ft to be developed over a
period of three to four years.
Accounting policies impact FY07 EBIDTA margin; expect expansion ahead
The constraint in terms of revenue recognition dampened the EBIDTA margins of various
players in FY07. The construction companies witnessed a 43% YoY increase in revenues
during FY07 as against 142% YoY increase in order book during FY05 and 69% YoY
increase during FY06. This is because there is a time lag of 12-18 months for the increased
order book to translate into higher revenues. As several projects have not crossed the
margin recognition threshold, companies could not account for profits on a part of the
incremental revenues, which impacted profitability.
29 June 2007
158

Infrastructure
EBIDTA MARGINS TREND
10.4
10.1
10.0
9.9
9.6
9.3
9.2
.
9.4
8.8
FY 04
FY 05
FY 06
FY 07
Source: Motilal Oswal Securities
Note: Includes HCC, Gammon, Nagarjuna Constuctions and IVRCL.
Gammon and Hindustan Construction were particularly impacted by their accounting policies
as they could not account margin on 15-20% of the revenues. We expect the companies to
report improved EBIDTA margins from FY08 as significant part of the projects cross the
margin recognition threshold.
Robust FY08 guidance
The construction companies have guided for a revenue growth of 25-30% with either
stagnant or slight improvement in the EBIDTA margin. The outlook on the order intake
also remains strong with the pick up in the project award for the roads, water supply and
irrigation, power, etc.
Larsen & Toubro:
order intake growth of 30%, revenue growth of 25-30% and
stable EBIDTA margin.
?
IVRCL Infrastructure:
Revenue Rs33-35b, up 43-52%, EBIDTA margin improvement
by 25-50bp, order backlog Rs80b as of March 2007.
?
Nagarjuna Construction:
Revenue Rs40b, up 40% and order backlog of Rs91b in
March 2007, up 25%.
?
Patel Engineering:
Revenue growth of 25% on consolidated basis and EBIDTA
margin improvement of 25-50bp.
We remain positive on the sector
We remain positive on the construction sector, given the strong revenue visibility, significant
growth opportunity in the target markets and value unlocking opportunity in future.
?
29 June 2007
159

Infrastructure
Stock performance and valuations
STOCK PERFORMANCE (%)
ABSOLUTE PERF
3M
1 YEAR
REL PERF TO SENSEX
3M
1 YEAR
REL PERF TO SECTOR
3M
1 YEAR
Infrastructure
B.L.Kashyap
Gammon India
GMR Infrastructure
Hindustan Construction
IVRCL
Jaiprakash Associates
Nagarjuna Construction
Patel Engineering
49
36
108
38
23
38
11
20
81
17
-
5
58
88
39
41
37
24
96
26
11
25
-1
8
-34
20
50
1
3
43
-21
17
5
76
6
-9
6
-20
-11
-61
-8
22
-27
-25
16
-48
RELATIVE PERFORMANCE - 3 MONTH (%)
RELATIVE PERFORMANCE - 1 YEAR (%)
Sensex
160
MOSt Infrastructure Index
MOSt Infrastructure Index
305
Sensex
144
245
128
185
112
125
96
Mar-07
Apr-07
May-07
Jun-07
65
Jun-06
Sep-06
Dec-06
Mar-07
Jun-07
COMPARATIVE VALUATION
CMP (RS) RECO
29.6.07
FY07E
EPS (RS)
FY08E
FY09E
FY07E
P/E (X)
FY08E
FY09E
FY07E
EV/EBITDA
FY08E
FY09E
FY07E
ROE (%)
FY08E
FY09E
Infrastructure
B.L.Kashyap
GMR Infrastructure
Gammon India
Hindustan Construction
IVRCL Infra.
Jaiprakash Associates
Nagarjuna Construction
Patel Engineering
Sector Aggregate
1,689
748
411
123
359
741
178
406
Neutral
Buy
Buy
Buy
Buy
Buy
Buy
Buy
46.4
5.3
10.5
2.1
10.5
17.6
6.6
18.8
70.0
4.8
15.2
3.8
12.8
19.4
9.1
19.0
101.5
5.9
21.0
6.6
18.5
25.7
12.5
25.7
36.4
142.0
39.0
57.8
34.2
42.1
27.1
21.6
52.5
24.1
155.7
27.1
32.6
28.1
38.2
19.5
21.4
44.2
16.6
127.2
19.6
18.7
19.3
28.8
14.2
15.8
32.0
25.2
50.7
18.5
21.9
20.4
22.2
16.9
16.2
26.9
16.6
44.2
13.2
12.9
15.4
20.1
12.8
12.7
21.9
11.8
28.3
9.7
9.7
11.1
15.3
10.1
10.1
16.1
16.7
10.1
9.4
6.6
10.1
12.4
13.8
24.1
11.7
20.6
8.5
12.3
8.9
11.1
11.0
17.1
14.5
11.6
23.5
9.6
15.0
12.1
14.2
13.3
20.2
17.0
14.2
29 June 2007
160

Results Preview
SECTOR: INFRASTRUCTURE
BL Kashyap
STOCK INFO.
BLOOMBERG
REUTERS CODE
BSE Sensex: 14,651 KASH IN
S&P CNX: 4,318
BLKS.BO
29 June 2007
Previous Recommendation: Neutral
Neutral
Rs1,689
P/E
(X)
P/BV
(X)
ROE
(%)
ROCE
(%)
EV/
EV/
SALES EBITDA
PAT
(RS M)
EPS
(RS)
EPS GR.
(%)
Equity Shares (m)
52-Week Range
1,6,12 Rel. Perf. (%)
M.Cap. (Rs b)
M.Cap. (US$ b)
10.3
1,715/850
7/11/43
17.3
0.4
YEAR
END
NET SALES
(RS M)
3/07A
3/08E
3/09E
8,080
12,150
17,618
556
719
1,043
46.4
70.0
101.5
73.7
50.8
45.0
36.4
24.1
16.6
6.1
5.0
3.9
18.2
22.6
26.3
26.7
33.1
38.3
2.1
1.3
0.9
20.0
12.7
8.7
?
For 1QFY08, we expect BL Kashyap to report revenue of Rs2.4b, up 48% YoY, EBIDTA of Rs254m, up 43.4% YoY,
and a net profit of Rs148m, up 42.3% YoY.
The company announced an order intake of Rs10b during 1QFY08. The order book for the company now stands at
Rs16b, 2x its FY07 revenue of Rs8.1b.
The order book for the company is to be executed over a period of 12-15 months ensuring strong near term growth.
For FY07, the company reported revenues of Rs8.1b (up 64.3% YoY) and net profit of Rs556m (up 73.7% YoY).
The company has taken several initiatives to further leverage its execution skills including formation of a wholly-
owned subsidiary - Soulspace Projects - for undertaking joint or co-development of real estate projects. It is currently
executing three projects, of which two are in Pune and one is in Bikaner.
We expect BL Kashyap to report a net profit CAGR of 48% over FY07-09. At the CMP of Rs1,689, the stock trades
at a P/E of 24.1x FY08E and 16.6x FY09E.
We maintain
Neutral.
(RS MILLION)
FY07
1Q
2Q
3Q
4Q
1Q
2Q
FY08E
3Q
4Q
FY07
FY08E
?
?
?
?
?
?
QUARTERLY PERFORMANCE
Y/E MARCH
Sales
Change (%)
EBITDA
Change (%)
As of % Sales
Depreciation
Interest
Other Income
PBT
Tax
Effective Tax Rate (%)
Reported PAT
Adj PAT
Change (%)
E: MOSt Estimates
1,639
-
177
0.0
10.8
23
7
9
156
52
33.4
104
104
-
1,707
-
182
0.0
10.7
24
12
16
162
56
34.3
106
106
-
2,362
119.3
250
156.2
10.6
26
12
23
234
80
34.3
154
154
185.5
1,942
28.7
200
27.4
10.3
27
11
9
171
58
33.9
113
113
21.1
2,425
48.0
254
43.4
10.5
30
10
9
223
76
33.9
148
148
42.3
2,646
55.0
272
49.7
10.3
40
12
13
233
79
33.9
154
154
45.1
3,779
60.0
399
59.8
10.6
50
15
14
348
118
33.9
230
230
49.5
3,300
69.9
348
73.9
10.5
53
16
6
285
98
34.3
187
187
65.8
8,080
64.3
924
70.1
11.4
99
50
80
854
298
34.9
556
556
73.7
12,150
58.8
1,274
57.4
10.5
173
53
42
1,090
370
34.0
719
719
50.8
Satyam Agarwal (Agarwals@MotilalOswal.com); Tel: +91 22 39825410/Nalin Bhatt (NalinBhatt@MotilalOswal.com); +91 22 39825429
29 June 2007
161

Results Preview
SECTOR: INFRASTRUCTURE
Gammon India
STOCK INFO.
BLOOMBERG
REUTERS CODE
BSE Sensex: 14,651 GMON IN
S&P CNX: 4,318
GAMM.BO
29 June 2007
Previous Recommendation: Buy
Buy
Rs411
EPS GR.
(%)
P/E
(X)
P/BV
(X)
ROE
(%)
ROCE
(%)
EV/
EV/
SALES EBITDA
PAT
(RS M)
EPS
(RS)
Equity Shares (m)
52-Week Range
1,6,12 Rel. Perf. (%)
M.Cap. (Rs b)
M.Cap. (US$ b)
86.7
487/258
5/-8/-21
35.6
0.9
YEAR
END
NET SALES
(RS M)
3/07A
3/08E
3/09E
20,912
30,665
45,665
946
1,315
1,821
10.9
15.2
21.0
13.4
43.9
38.5
39.0
27.1
19.6
3.7
3.3
2.9
9.4
12.3
15.0
13.3
18.0
23.1
1.7
1.2
0.9
18.5
13.2
9.7
?
?
?
?
?
?
?
For 1QFY08, we expect Gammon to report revenue of Rs7.5b, up 35% YoY, EBIDTA of Rs436m, up 37.7% YoY,
and net profit of Rs171m, up 40% YoY.
Gammon India has signed an agreement with Macquarie through Gammon Infrastructure Projects Ltd (GIPL) to bid
for Chennai airport maintenance project. The terms of the agreement envisages that Macquarie and Gammon will
hold equal stakes in the project.
The SAT in its order dated March 23, 2007 had directed SEBI to expedite the process of clearing the draft red herring
prospectus of Gammon Infrastructure Projects Ltd. As SEBI did not exercise its right to appeal against the SAT
order within 60 days from the SAT order, Gammon India has received an in-principle nod from SEBI for the IPO of
GIPL.
The company has tied up with Siemens Transportation for design, commissioning and operation of airport-city rail link
for a 30-year period in an expression of interest invited by Delhi Metro Rail Corporation.
Gammon India-led consortium has received the letter of intent for Rs12b offshore container terminal at Mumbai Port
Trust with a revenue sharing ratio of 35.1%. Gammon Infra will have 50% stake in the project and Dragados SPL of
Spain will hold the balance.
The order backlog for the company as of March 2007 stood at Rs80b, representing 3.8x FY07 revenue.
At the CMP of Rs411, the stock trades at reported P/E of 27.1x FY08E and 19.6x FY09E. We recommend
Buy.
(RS MILLION)
FY07
1Q
2Q
3Q
4Q
1Q
2Q
FY08E
3Q
4Q
FY07
FY08E
QUARTERLY PERFORMANCE
Y/E MARCH
Sales
Change (%)
EBITDA
Change (%)
As of % Sales
Depreciation
Interest
Other Income
Extra-ordinary income
PBT
Tax
Effective Tax Rate (%)
Reported PAT
Adj PAT
Change (%)
E: MOSt Estimates
5,539
93.5
317
-6.9
5.7
83
52
3
27
211
25
11.9
186
159
-20.8
4,830
67.1
418
-6.6
8.6
103
18
1
0
297
36
12.0
262
262
-20.6
4,607
37.5
515
6.0
11.2
102
53
7
0
366
50
13.7
316
316
15.5
6,518
36.7
710
101.0
10.9
100
64
3
0
549
372
67.7
177
363
32.3
7,478
35.0
436
37.7
5.8
100
80
2
0
258
88
33.9
171
171
40.0
6,761
40.0
614
46.9
9.1
110
90
3
0
417
141
33.9
275
275
40.2
6,680
45.0
744
44.5
11.1
120
100
5
0
529
179
33.9
350
350
44.6
9,746
49.5
960
77.5
9.9
121
119
4
0
724
245
33.9
478
478
30.2
20,912
25.4
1,722
-10.9
9.3
352
136
197
27
1,458
1,030
70.7
426
946
-8.1
30,665
42.7
2,816
43.7
9.2
451
389
14
0
1,989
674
33.9
1,315
1,315
43.9
Satyam Agarwal (Agarwals@MotilalOswal.com); Tel: +91 22 39825410/Nalin Bhatt (NalinBhatt@MotilalOswal.com); +91 22 39825429
29 June 2007
162

Results Preview
SECTOR: INFRASTRUCTURE
GMR Infrastructure
STOCK INFO.
BLOOMBERG
REUTERS CODE
BSE Sensex: 14,651 GMRI IN
S&P CNX: 4,318
GMRI.BO
29 June 2007
Previous Recommendation: Buy
Buy
Rs748
EPS GR.
(%)
P/E
(X)
P/BV
(X)
ROE
(%)
ROCE
(%)
EV/
EV/
SALES EBITDA
PAT*
(RS M)
EPS
(RS)
Equity Shares (m)
52-Week Range
1,6,12 Rel. Perf. (%)
M.Cap. (Rs b)
M.Cap. (US$ b)
331.1
754/205
49/104/-
247.6
6.1
YEAR
END
NET SALES*
(RS M)
3/07A
3/08E
3/09E
16,967
18,335
24,607
1,744
1,590
1,947
5.3
4.8
5.9
-8.5
-8.8
22.4
142.0
155.7
127.2
14.3
13.3
12.2
10.1
8.5
9.6
5.7
5.5
6.8
16.2
17.0
14.2
50.7
44.2
28.3
* Consolidated
?
During FY07, GMR Infrastructure reported consolidated net revenues of Rs17b (up 60% YoY), EBIDTA Rs5.4b (up
20% YoY) and net profit of Rs1.5b (up 3% YoY). Reported numbers were in line with our estimates: revenue
Rs15.1b, EBIDTA Rs5.8b and net profit Rs1.7b.
The company has achieved significant progress in award of various concession contracts: 1) Floating an EoI for
development of real estate on 45 acres of land at Delhi airport, 2) award of maintenance of lounges at Hyderabad
airport to Plaza Premium Lounge of Hong Kong, valid for seven years, 3) Car parking at Hyderabad airport to
Tenaga group of Malaysia for a period of three years, 4) Seven-year ground handling contract for third party airlines
to two consortiums – 1) Menzies and Bobba, and 2) SATS, Indian Airlines, and Air India.
GMR Energy (a 100% subsidiary) has signed a Memorandum of Understanding (MoU) with the Chhattisgarh
government for implementation, operation and maintenance of 1,000MW coal-based power project.
We expect GMR to report a net profit CAGR of 38% over FY07-10 on a consolidated basis. We expect its net profit
after minority interest to grow from Rs1.7b in FY07 to Rs4.6b in FY10.
We maintain
Buy.
?
?
?
?
Satyam Agarwal (Agarwals@MotilalOswal.com); Tel: +91 22 39825410/Nalin Bhatt (NalinBhatt@MotilalOswal.com); +91 22 39825429
29 June 2007
163

Results Preview
SECTOR: INFRASTRUCTURE
Hindustan Construction
STOCK INFO.
BLOOMBERG
REUTERS CODE
BSE Sensex: 14,651 HCC IN
S&P CNX: 4,318
HCNS.BO
29 June 2007
Previous Recommendation: Buy
Buy
Rs123
EPS GR.
(%)
P/E
(X)
P/BV
(X)
ROE
(%)
ROCE
(%)
EV/
EV/
SALES EBITDA
PAT
(RS M)
EPS
(RS)
Equity Shares (m)
52-Week Range
1,6,12 Rel. Perf. (%)
M.Cap. (Rs b)
M.Cap. (US$ b)
274.3
172/83
24/-22/-34
33.8
0.8
YEAR
END
NET SALES
(RS M)
3/07A
3/08E
3/09E
23,576
34,504
46,300
595
1,036
1,811
2.1
3.8
6.6
-35.3
77.3
74.8
57.8
32.6
18.7
3.5
2.4
2.2
6.1
8.9
12.1
6.6
9.4
13.3
1.9
1.3
1.1
20.9
12.9
9.7
?
?
?
?
?
?
For 1QFY08, we expect HCC to report revenue of Rs7.6b, up 30% YoY, and net profit of Rs124m, down 38.2% YoY.
The drop in net profit is mainly due to higher tax provision at 33.9% in 1QFY08 vs 12.6% in 1QFY07.
HCC’ order backlog at the end of June 2007 is Rs97.2b (equivalent to 4x FY07 revenue) and is L1 in projects worth
s
Rs25b (HCC’ share Rs19.3b). Hydro projects accounted for 71% of the order intake during FY07. As of March
s
2007, share of power sector in order backlog increased to 48% (vs 38% as of March 2006 and 14% as of March
2005).
The company has achieved significant progress on the real estate front: 1) commenced construction for IT park (2m
sq ft), 2) Phase I of Lavasa launch likely by October 2007 (2,000 acres) and 3) 1,500 acres of land tied up (100 acre
acquired) for developing integrated townships in Thane, Pune and Nashik.
The company plans to complete the Bandra-Worli sealink project by end of FY08. Till date, the company has achieved
~60% physical progress on the project. The expected loss during FY08 from the project is ~Rs1b (vs Rs710m during
FY07) while the cumulative arbitration claims are worth Rs3.5-4b.
During FY07-09E, we expect HCC to report a revenue CAGR of 40% and a net profit CAGR of 74%. At CMP of
Rs123, HCC trades at a P/E of 32.6x FY08E and 18.7x FY09E.
We recommend
Buy.
(RS MILLION)
FY07
1Q
2Q
3Q
4Q
1Q
2Q
FY08E
3Q
4Q
FY07
FY08E
QUARTERLY PERFORMANCE
Y/E MARCH
Gross Sales
Change (%)
EBITDA
Change (%)
As of % Sales (Adj)
Depreciation
Interest
Other Income
PBT
Tax
Effective Tax Rate (%)
Reported PAT
Adj PAT
Change (%)
E: MOSt Estimates
5,806
25.9
461
12.8
7.9
161
74
62
288
36
12.6
251
201
-11.2
4,257
40.9
395
53.3
9.3
186
158
10
61
19
31.5
42
42
45.3
5,407
18.6
664
36.6
11.1
206
175
2
284
65
22.8
220
144
-36.5
8,476
10.3
877
29.9
9.1
244
212
125
546
266
48.7
280
160
-62.4
7,548
30.0
607
31.7
8.0
240
180
1
188
64
33.9
124
124
-38.2
5,661
33.0
544
37.6
9.6
250
210
1
85
29
33.9
56
56
34.3
8,110
50.0
915
37.9
10.4
260
220
1
436
148
33.9
288
288
100.7
13,185
55.6
1,391
58.7
9.6
256
298
1
838
270
32.2
568
568
255.0
23,945
20.5
2,396
31.0
9.3
797
620
199
1,179
386
32.8
793
547
-33.1
34,504
44.1
3,457
44.3
9.5
1,006
908
4
1,547
511
33.0
1,037
1,037
89.6
Satyam Agarwal (Agarwals@MotilalOswal.com); Tel: +91 22 39825410/Nalin Bhatt (NalinBhatt@MotilalOswal.com); +91 22 39825429
29 June 2007
164

Results Preview
SECTOR: INFRASTRUCTURE
IVRCL Infrastructure
STOCK INFO.
BLOOMBERG
REUTERS CODE
BSE Sensex: 14,651 IVRC IN
S&P CNX: 4,318
IVRC.BO
29 June 2007
Previous Recommendation: Buy
Buy
Rs359
EPS GR.
(%)
P/E
(X)
P/BV
(X)
ROE
(%)
ROCE
(%)
EV/
EV/
SALES EBITDA
PAT
(RS M)
EPS
(RS)
Equity Shares (m)
52-Week Range
1,6,12 Rel. Perf. (%)
M.Cap. (Rs b)
M.Cap. (US$ b)
134.7
460/164
1/-13/20
48.3
1.2
YEAR
END
NET SALES
(RS M)
3/07A
3/08E
3/09E
23,059
31,915
46,915
1,415
1,718
2,498
10.5
12.8
18.5
20.8
21.5
45.4
34.2
28.1
19.3
3.5
3.1
2.7
15.1
11.7
15.1
13.8
14.5
19.1
2.0
1.6
1.2
20.4
15.4
11.1
?
?
?
?
?
?
?
For 1QFY08, we expect IVRCL to report revenue of Rs5.5b, up 30% YoY, and net profit of Rs280m, up 7.1% YoY.
IVR Prime Urban Developers (a 80% subsidiary) has received observation card from SEBI for its proposed IPO,
which is a positive. The management is hopeful of completing the IPO over the next three to four months. The
company has a land bank of 2,299 acres (developable area of 56.6m sq ft) in Hyderabad, Chennai, Bangalore, Pune
and Noida to be developed over the next five years.
The order backlog for the company stood at Rs80b as at end of March 2007, up from Rs57.7b in end of March 2006,
representing a book-to-bill ratio of 3.5x its FY07 revenue of Rs23.1b. Further, IVRCL has emerged as the lowest
cost bidder in projects worth Rs17b, of which orders worth Rs14b are from water segment.
The company achieved financial closure for the Chennai desalination project. The project involves setting up of a
desalination plant for drinking water supply at a cost of Rs4.9b. The construction work on all its three road BOT
projects have also started and company has achieved a physical progress of 20% on these projects.
The management has guided for revenue of Rs33-35b in FY08 (up 43-52% YoY) and EBIDTA margin improvement
of 25-50bp. The company has also guided a 50% revenue growth in FY08 for subsidiary Hindustan Dorr-Oliver.
For FY07-FY09, we expect IVRCL to report CAGR of 42.6% in revenue and 32.9% in net profit. The lower growth
in net profit is largely due to the full tax provisioning in FY08 and FY09.
At the CMP of Rs359, the stock trades at a P/E of 28.1x FY08E and 19.3x FY09E. We recommend
Buy.
(RS MILLION)
FY07
1Q
2Q
3Q
4Q
1Q
2Q
FY08E
3Q
4Q
FY07
FY08E
QUARTERLY PERFORMANCE
Y/E MARCH
Sales
Change (%)
EBITDA
Change (%)
As of % Sales
Depreciation
Interest
Other Income
PBT
Tax
Effective Tax Rate (%)
Reported PAT
Adj PAT
Change (%)
E: MOSt Estimates
4,266
41.9
407
73.3
9.5
38
133
17
253
42
16.6
211
261
53.0
3,644
42.0
308
46.5
8.5
49
103
55
211
56
26.5
155
155
38.7
5,223
27.9
556
61.8
10.7
60
98
18
416
94
22.7
321
271
22.4
9,923
68.0
1,073
92.3
10.8
69
25
2
981
249
25.4
732
732
67.1
5,546
30.0
513
26.0
9.3
70
30
10
423
143
33.9
280
280
7.1
4,920
35.0
443
43.6
9.0
73
110
15
275
93
33.9
182
182
17.0
7,156
37.0
716
28.6
10.0
75
130
22
533
181
33.9
352
352
29.8
14,294
44.1
1,599
49.0
11.2
78
181
30
1,369
464
33.9
905
905
23.6
23,059
54.2
2,301
71.4
10.0
216
308
74
1,851
436
23.6
1,415
1,415
52.2
31,915
38.4
3,270
42.1
10.2
296
451
77
2,599
881
33.9
1,718
1,718
21.5
Satyam Agarwal (Agarwals@MotilalOswal.com); Tel: +91 22 39825410/Nalin Bhatt (NalinBhatt@MotilalOswal.com); +91 22 39825429
29 June 2007
165

Results Preview
SECTOR: INFRASTRUCTURE
Jaiprakash Associates
STOCK INFO.
BLOOMBERG
REUTERS CODE
BSE Sensex: 14,651 JPA IN
S&P CNX: 4,318
JAIA.BO
29 June 2007
Previous Recommendation: Buy
Buy
Rs741
EPS GR.*
(%)
P/E*
(X)
P/BV
(X)
ROE
(%)
ROCE
(%)
EV/
EV/
SALES EBITDA
PAT
(RS M)
EPS*
(RS)
Equity Shares (m)
52-Week Range
1,6,12 Rel. Perf. (%)
M.Cap. (Rs b)
M.Cap. (US$ b)
235.7
753/317
7/-4/50
174.6
4.3
YEAR
END
NET SALES
(RS M)
3/07A
3/08E
3/09E
34,420
37,110
50,946
4,150
4,576
6,068
17.6
19.4
25.7
48.9
10.3
32.6
42.1
38.2
28.8
4.4
4.0
3.7
12.4
11.0
13.3
11.5
12.3
14.1
5.8
5.6
4.0
22.2
20.1
15.3
* Fully diluted
?
?
?
?
?
?
For 1QFY08, we expect Jaiprakash to report revenue of Rs9.2b, up 2.5% YoY, net profit of Rs985m, up 7.1% YoY.
The company emerged as a successful bidder for setting up a 2m ton plant at Bokaro in JV with SAIL using ~1m ton
slag produced by the Bokaro Steel Plant. Jaiprakash will have 51% stake in the JV. The plant is likely to be set up at
a cost of Rs6b and would be commissioned by end of FY11.
The company will have an installed capacity of 24mtpa by FY11 (its proportionate share) - 6.5m ton in FY08, 2.7m
ton in FY09, 4.9m ton in FY10 and 2.8m ton in FY11. The company also plans to bid for the Rourkela steel plant of
SAIL, bids for which are likely to be invited soon.
Construction on Taj Expressway began in May 2007 and levelisation has been done on 2.5km of road length (total
length of 166km) till now. The company has got the land for construction of 5.3km of road while land for another 25-
30km of road construction would be allotted by mid-August 2007. It has been allotted 18 acres of land of the
additional 600 acres is due for allotment by July-Sep 2007. It has got approval for the development of the first 600
acres of land from the local authorities and designs and plan for the project is expected to get ready by July 2007. The
company expects to launch the project by October 2007.
The company has sold 1.7m sq ft till June 2007 (vs 1.5m sq ft in March 2007) and the average realization is in the
range of Rs7,400-7,500/sq ft (vs Rs6,500/sq ft in March 2007). It has repaid all its debt through customer advances.
The company’ engineering and construction order book as at the end of March 2007 stood at ~Rs73b, ensuring
s
revenue visibility till FY09. At the CMP of Rs741, Jaiprakash trades at a P/E of 42.1x FY07, 38.2x FY08E and 28.8x
FY09E. Maintain
Buy.
(RS MILLION)
FY07
1Q
2Q
3Q
4Q
1Q
2Q
FY08E
3Q
4Q
FY07
FY08E
QUARTERLY PERFORMANCE
Y/E MARCH
Sales
Change (%)
EBITDA
Change (%)
As of % Sales
Depreciation
Interest
Other Income
PBT
Tax
Effective Tax Rate (%)
Reported PAT
Adj PAT
Change (%)
E: MOSt Estimates
8,950
9.5
2,130
37.4
23.8
380
590
250
1,410
490
34.8
920
920
70.4
7,700
14.6
1,980
42.4
25.7
390
620
380
1,350
450
33.3
900
900
4.7
8,910
11.8
2,310
38.3
25.9
430
700
400
1,580
560
35.4
1,020
1,020
78.9
8,860
3.6
2,630
70.8
29.7
420
650
300
1,860
550
29.6
1,310
1,310
87.1
9,174
2.5
2,359
10.8
25.7
440
679
275
1,516
531
35.0
985
985
7.1
8,239
7.0
2,209
11.5
26.8
450
713
430
1,476
516
35.0
959
959
6.6
9,712
9.0
2,595
12.3
26.7
475
805
450
1,765
618
35.0
1,147
1,147
12.5
9,985
12.7
3,149
19.7
31.5
492
863
589
2,383
899
37.7
1,484
1,484
13.3
34,420
9.6
9,040
46.3
26.3
1,630
2,570
1,360
6,200
2,050
33.1
4,150
4,150
55.4
37,110
7.8
10,312
14.1
27.8
1,857
3,060
1,744
7,140
2,564
35.9
4,576
4,576
10.3
Satyam Agarwal (Agarwals@MotilalOswal.com); Tel: +91 22 39825410/Nalin Bhatt (NalinBhatt@MotilalOswal.com); +91 22 39825429
29 June 2007
166

Results Preview
SECTOR: INFRASTRUCTURE
Nagarjuna Construction
STOCK INFO.
BLOOMBERG
REUTERS CODE
BSE Sensex: 14,651 NJCC IN
S&P CNX: 4,318
NGCN.BO
29 June 2007
Previous Recommendation: Buy
Buy
Rs178
EPS
P/E
(X)
P/BV
(X)
ROE
(%)
ROCE
(%)
EV/
EV/
SALES EBITDA
PAT
(RS M)
EPS
(RS) GROWTH (%)
Equity Shares (m)
52-Week Range
1,6,12 Rel. Perf. (%)
M.Cap. (Rs b)
M.Cap. (US$ b)
206.6
236/98
10/-23/1
36.8
0.9
YEAR
END
NET SALES
(RS M)
3/07A
3/08E
3/09E
28,711
40,717
56,420
1,358
1,885
2,589
6.6
9.1
12.5
29.5
38.8
37.3
27.1
19.5
14.2
1.8
1.6
1.3
13.8
17.1
20.2
15.7
15.3
16.7
1.6
1.2
1.0
16.9
12.8
10.1
?
?
?
?
?
?
?
For 1QFY08, we expect NCC to report revenue of Rs8.8b, up 35%YoY, and net profit of Rs347m, up 6.3% YoY.
As of end-March 2007, NCC’ order book stood at Rs73b, which includes Rs6.5b from own road BOT projects and
s
Rs2.3b from NCC Urban Infra (real estate subsidiary). Order book composition: roads 24%, buildings 21.8%, water
22.5%, irrigation/HEP 8.2%, electricals 6.4%, oil/gas 4.8%, international 10.1%.
A consortium comprising NCC (25% stake) Maytas (26%), SREI Finance (38%), and a port operator company
(11%) has received the Letter of Intent (LOI) from the Government of Andhra Pradesh for the Machilipatnam port
project. The project also entails 8,000 acres of land to the consortium on 99-year lease for development of SEZ.
NCC Urban Infrastructure (80% subsidiary) has land bank of 530 acres (127 acres contributed by NCC and 140
acres from Ranchi and Vizag project). In Phase 1, the company has plans to develop 267 acres (development area
of 13.4m sq ft) to be developed over a four year period. On the remaining 263 acres, the company plans to start
development over the next 12 months.
NCC Urban Infra has also received LOI from Hyderabad Urban Development Authority (NCC Urban Infra 26%,
Dishman 37% and ICICI Ventures 37%) for development of an integrated township over 400 acres of land. Nagarjuna
has first right of refusal for the construction contract.
For FY08, the management has guided for revenue of Rs40b, up 40% YoY, and net profit margin of 5.5%-5.75% as
against 5.3% during FY07. For NCC Urban Infrastructure, the management has guided revenue of Rs3b (development
of 1.2m sq ft), FY09 Rs8b (2.5m sq ft) and FY10 Rs10b (4.0m sq ft).
At the CMP of Rs178, the stock trades at a P/E of 27.1x FY07, 19.5x FY08E and 14.2x FY09E. Maintain
Buy.
(RS MILLION)
FY07
1Q
2Q
3Q
4Q
1Q
2Q
FY08E
3Q
4Q
FY07
FY08E
QUARTERLY PERFORMANCE
Y/E MARCH
Sales
Change (%)
EBITDA
Change (%)
As of % Sales
Depreciation
Interest
Other Income
PBT
Tax
Effective Tax Rate (%)
Reported PAT
Adj PAT
Change (%)
E: MOSt Estimates
6,517
81.4
550
97.8
8.4
58
57
8
443
59
13.3
384
326
70.3
6,517
77.0
618
63.0
9.5
69
96
10
462
69
14.9
393
334
59.9
6,998
48.1
802
75.5
11.5
76
185
5
546
97
17.8
449
359
33.9
8,679
35.5
727
36.9
8.4
96
166
270
735
443
60.2
293
339
-3.1
8,799
35.0
777
41.3
8.8
101
190
10
496
149
30.0
347
347
6.3
8,797
35.0
861
39.3
9.8
103
210
15
563
169
30.0
394
394
17.8
10,147
45.0
1,100
37.1
10.8
105
240
15
770
231
30.0
539
539
50.2
12,974
49.5
1,227
68.7
9.5
103
281
22
865
260
30.0
606
606
78.9
28,711
56.0
2,697
64.4
9.4
299
504
292
2,186
667
30.5
1,519
1,358
30.7
40,717
41.8
3,964
47.0
9.7
412
921
62
2,693
808
30.0
1,885
1,885
38.8
Satyam Agarwal (Agarwals@MotilalOswal.com); Tel: +91 22 39825410/Nalin Bhatt (NalinBhatt@MotilalOswal.com); +91 22 39825429
29 June 2007
167

Results Preview
SECTOR: INFRASTRUCTURE
Patel Engineering
STOCK INFO.
BLOOMBERG
REUTERS CODE
BSE Sensex: 14,651 PEC IN
S&P CNX: 4,318
PENG.BO
29 June 2007
Previous Recommendation: Buy
Buy
Rs406
EPS
P/E
(X)
P/BV
(X)
ROE
(%)
ROCE
(%)
EV/
EV/
SALES EBITDA
PAT*
(RS M)
EPS
(RS) GROWTH (%)
Equity Shares (m)
52-Week Range
1,6,12 Rel. Perf. (%)
M.Cap. (Rs b)
M.Cap. (US$ b)
59.7
489/222
-2/-16/3
24.2
0.6
YEAR
END
NET SALES*
(RS M)
3/07A
3/08E
3/09E
11,024
14,302
18,751
1,120
1,134
1,531
18.8
19.0
25.7
28.1
1.2
35.1
21.6
21.4
15.8
3.4
3.2
2.8
24.1
14.5
17.0
14.8
14.9
15.9
2.2
1.8
1.4
16.2
12.7
10.1
* Consolidated
?
?
?
?
?
?
For 1QFY08, we expect Patel to report revenue of Rs3.7b, up 28% YoY, and net profit of Rs220m, up 10.4% YoY.
Patel Engineering has transferred development rights for its existing land bank of 500 acres (60m sq ft) to Patel
Realty India (PRIL) - a 100% subsidiary. The entire land bank is in the physical possession of the company, and is
unencumbered with proper title deeds registered. In Phase 1, the company is commencing construction of 0.75m sq
ft commercial space in Jogeshwari (construction to start from October 07) and 3-5m sq ft of commercial and
residential development at Bangalore (construction to start from end FY08). In Phase 2, the company would take up
development of another 5m sq ft at Bangalore and Chennai. Phase 3 will cover Hyderabad.
Order book as of end-March 2007 stood at Rs50b (vs Rs39.4b as of end-March 2006) and Rs48b as of December
2006. Order book composition: Hydro 55%, irrigation 25%, and transportation and others 20%. This compares with
(FY06 composition): Hydro 40%, irrigation 38%, and transportation and others 22%. Thus there is a change in order
book composition towards hydro power projects, which entails comparatively better margins (at 17-22%) vs irrigation
(10-15%) and transportation (5-8%).
The management has indicated that the existing order book can drive a 25% revenue CAGR over the next 2.5 years.
Further, the company expects order intake of Rs20b+ during FY08, which can further add to the expected growth.
Patel Engg is pre-qualified to bid for projects worth Rs60b in hydro space and Rs40b in irrigation and transportation.
At the CMP of Rs406, the stock trades at a reported P/E of 21.6x FY07, 21.4x FY08E and 15.8x FY09E.
We recommend
Buy.
(RS MILLION)
FY07
1Q
2Q
3Q
4Q
1Q
2Q
FY08E
3Q
4Q
FY07
FY08E
QUARTERLY PERFORMANCE (STANDALONE)
Y/E MARCH
Sales
Change (%)
EBITDA
Change (%)
As of % Sales
Depreciation
Interest
Other Income
PBT
Tax
Effective Tax Rate (%)
Reported PAT
Adj PAT
Change (%)
E: MOSt Estimates
2,900
52.8
318
54.2
11.0
65
46
26
233
33
14.2
200
200
76.9
1,979
40.6
307
38.7
15.5
66
-13
20
274
24
8.7
250
250
98.2
2,184
28.7
419
15.9
19.2
70
24
11
335
44
13.0
292
292
16.4
3,962
31.5
456
69.2
11.5
72
52
35
368
28
7.7
340
340
59.9
3,712
28.0
408
28.3
11.0
70
30
25
333
113
33.9
220
220
10.4
2,523
27.5
404
31.4
16.0
85
35
30
314
106
33.9
207
207
-17.2
2,839
30.0
554
32.1
19.5
95
40
45
464
157
33.9
306
306
5.1
5,229
32.0
618
35.6
11.8
119
30
45
515
175
33.9
340
340
0.2
11,024
37.5
1,500
41.7
13.6
273
109
91
1,210
129
10.6
1,081
1,081
54.0
14,302
29.7
1,984
32.2
13.9
369
135
145
1,625
551
33.9
1,074
1,074
-0.6
Satyam Agarwal (Agarwals@MotilalOswal.com); Tel: +91 22 39825410/Nalin Bhatt (NalinBhatt@MotilalOswal.com); +91 22 39825429
29 June 2007
168

Results Preview
QUARTER ENDED JUNE 2007
Media
BSE Sensex: 14,651
S&P CNX: 4,318
29 June 2007
Stock performance and valuations
STOCK PERFORMANCE (%)
ABSOLUTE PERF
3M
1 YEAR
REL PERF TO SENSEX
3M
1 YEAR
REL PERF TO SECTOR
3M
1 YEAR
Media
Zee Entertainmen
19
23
7
-15
0
-6
RELATIVE PERFORMANCE - 3 MONTH (%)
RELATIVE PERFORMANCE - 1 YEAR (%)
Sensex
135
MOSt Media Index
185
MOSt Media Index
Sensex
125
160
115
135
105
110
95
Mar-07
Apr-07
May-07
Jun-07
85
Jun-06
Sep-06
Dec-06
Mar-07
Jun-07
COMPARATIVE VALUATION
CMP (RS)
29.6.07
RECO
FY07E
EPS (RS)
FY08E
FY09E
FY07E
P/E (X)
FY08E
FY09E
FY07E
EV/EBITDA
FY08E
FY09E
FY07E
ROE (%)
FY08E
FY09E
Media
Zee Entertainment
297
Neutral
5.0
7.9
11.5
59.0
37.6
25.9
42.9
25.0
17.1
13.6
17.7
18.6
EXPECTED QUARTERLY PERFORMANCE SUMMARY
RECO
SALES
JUN.07
CHG. (%)
JUN.07
EBITDA
CHG. (%)
(RS MILLION)
NET PROFIT
JUN.07
CHG. (%)
Media
Zee Entertainment
Neutral
4,030
3.8
1,180
62.7
744
35.6
Amnish Aggarwal (AmnishAggarwal@MotilalOswal.com) Tel: +91 22 39825404/Amit Purohit (AmitPurohit@MotilalOswal.com); Tel: 39825418
29 June 2007
169

Results Preview
SECTOR: MEDIA
Zee Telefilms
STOCK INFO.
BLOOMBERG
REUTERS CODE
BSE Sensex: 14,651 Z IN
S&P CNX: 4,318
ZEE.BO
29 June 2007
Previous Recommendation: Neutral
Neutral
Rs297
P/E
(X)
P/BV
(X)
ROE
(%)
ROCE
(%)
EV/
EV/
SALES EBITDA
PAT
(RS M)
EPS
EPS
(RS) GROWTH (%)
Equity Shares (m)
52-Week Range
1,6,12 Rel. Perf. (%)
M.Cap. (Rs b)
M.Cap. (US$ b)
433.5
381/210
-2/-5/-15
128.9
3.2
YEAR
END
NET SALES
(RS M)
3/07A
3/08E
3/09E
14,412
18,031
21,248
2,193
3,439
4,987
5.0
7.9
11.5
8.3
56.8
45.0
59.0
37.6
25.9
5.4
4.8
4.1
13.6
17.7
18.6
12.4
18.6
24.9
9.5
7.5
6.2
42.9
25.0
17.1
?
?
?
?
?
?
?
We expect Zee Entertainment Enterprise (ZEEL) to report 4.8% QoQ growth in revenue on the back of higher
advertising and subscription income.
We believe ZEEL’ advertising income would grow due to better inventory utilization, as India could not qualify for
s
the second round of the Cricket World Cup series. We expect 3.5% QoQ growth in the advertising income.
In 4QFY07, the company had witnessed a sequential decline in subscription revenue due to slow rollout of CAS and
delay in collection of money. We expect ZEEL’ subscription revenue to post a 5% sequential growth to Rs1.9b.
s
ZEEL has pulled out from the 5-year contract with BCCI to telecast matches involving India at neutral international
venues. We believe this would marginally improve earnings.
PAT is expected to grow by 23% QoQ to Rs744m on higher advertising and subscription revenue.
We revise our EPS estimates to factor in the savings arising from abandonment of cricket contract. We have raised
our EPS estimates for FY08 and FY09 to Rs7.9 and Rs11.5, respectively.
The stock is trading at 37.6x FY08E and 25.9x FY09E earnings. We maintain
Neutral.
(RS MILLION)
FY07
1Q*
2Q*
3Q
4Q
1Q
2Q
FY08E
3Q
4Q
FY07
4QE
FY08E
QUARTERLY PERFORMANCE
Y/E MARCH
Advertsing Revenue
Subscription Revenue
Other Sales and Services
Net Sales
Change (%)
Prog, Transmission & Direct Exp
Staff Cost
Selling and other exp
EBITDA
Change (%)
As of % Sales
Depreciation
Interest
Other Income
PBT
Tax
Effective Tax Rate (%)
Reported PAT
Minority Interest
Adj PAT
Change (%)
E: MOSt Estimates; * Consolidated
1,728
1,797
357
3,882
2,204
334
619
726
-27.3
18.7
92
125
162
671
109
16.3
562
13
549
2,107
1,930
601
4,638
3,041
328
931
338
-42.2
7.3
102
30
203
409
76
18.6
333
12
321
2,105
1,956
116
4,177
53.0
1,721
232
867
1,357
186.3
32.5
69
68
155
1,375
417
30.3
958
83
875
166.9
1,849
1,849
146
3,844
10.6
1,632
292
969
951
111.9
24.8
56
8
177
1,064
365
34.3
699
95
604
12.8
1,914
1,941
175
4,030
1,900
300
650
1,180
29.3
53
49
150
1,228
405
33.0
823
79
744
2,105
2,038
218
4,361
2,125
300
650
1,287
29.5
54
48
140
1,325
437
33.0
888
79
809
2,358
2,191
220
4,769
14.2
2,340
300
730
1,399
3.1
29.3
54
47
150
1,448
478
33.0
970
79
891
1.8
2,311
2,340
220
4,871
26.7
2,200
310
817
1,544
62.3
31.7
54
48
160
1,602
529
33.0
1,073
79
994
64.7
7,064
6,606
742
14,412
30.5
7,353
1,008
2,864
3,187
28.8
22.1
228
220
630
3,369
964
28.6
2,405
212
2,193
8.3
8,689
8,510
832
18,031
25.1
8,565
1,210
2,847
5,410
69.7
30.0
215
191
600
5,603
1,849
33.0
3,754
315
3,439
56.8
Amnish Aggarwal (AmnishAggarwal@MotilalOswal.com) Tel: +91 22 39825404/Amit Purohit (AmitPurohit@MotilalOswal.com); Tel: 39825418
29 June 2007
170

Results Preview
QUARTER ENDED JUNE 2007
Metals
BSE Sensex: 14,651
S&P CNX: 4,318
29 June 2007
COMPANY NAME
PG.
Hindalco
177
Jindal Steel
178
JSW Steel
179
Steel
Global steel prices saw a good run from January 2007 and peaked in the month of May
2007. Though the spot market has weakened thereafter, the quarterly prices of global
producers are gradually moving up. CIS region export prices on fob basis of HRC touched
a high of US$600 per ton in May and have trended lower to around $540-550 per ton
towards the end of June 2007.
PRICE MOVEMENTS IN CIS REGION INDICATE MODERATION
Nalco
180
SAIL
181
Rebar
660
HRC
Tata Steel
182
545
430
315
200
Source: Metal Bulletin
Indian steel producers raised prices by ~Rs500-1,000 per ton in the month of April 2007.
Though the government wanted to prevent a price hike in May 2007, the prices were
allowed to move up by Rs500-1,000 per ton in line with market forces after discussion
with the industry. Global weakening of spot prices coupled with appreciation of Indian
rupee forced steel producers to offer discounts to select customers of Rs700-800 per ton
EXPECTED QUARTERLY PERFORMANCE SUMMARY
RECO
SALES
JUN.07
CHG. (%)
JUN.07
EBITDA
CHG. (%)
(RS MILLION)
NET PROFIT
JUN.07
CHG. (%)
Metals
Hindalco *
JSW Steel
Nalco
SAIL
Tata Steel *
Sector Aggregate
* Standalone
Sanjay Jain (SanjayJain@MotilalOswal.com); Tel: +91 22 39825412
UR
Buy
Neutral
Buy
Buy
50,921
11,695
24,735
13,445
73,590
45,736
220,121
19.1
75.5
57.6
-9.5
7.3
16.8
17.3
10,474
4,319
8,530
7,761
20,324
18,774
70,181
12.2
32.9
87.1
-16.9
14.2
18.7
16.8
6,559
2,138
3,963
5,269
13,183
10,459
41,572
9.0
39.6
132.7
-15.3
29.5
8.3
17.7
Jindal Steel & Power * Buy
29 June 2007
171

Metals
on flat products in the month of June 2007. However, state-owned SAIL left prices of
HRC unchanged. As global spot prices of HRC have corrected by about US$50-60 per
ton in last 40-50 days, Indian producers are cutting prices by Rs800 per ton on HRC w.e.f.
1 July 2007.
The availability of HRC in India is low and inventories among the producers are little
under normal while demand remains robust. Steel traders are of the view that the global
spot market of HRC has perhaps touched bottom and downside from current level is
limited. European producer Salzgitter has raised prices of HRC by 10-20 euros per ton
beginning July 2007. However, Arcelor-Mittal has left prices unchanged for deliveries
starting July 2007. We believe the number of steps taken by Chinese government to curb
exports and strong demand in the CIS region will play out favorably on steel prices, when
buying of steel by major buyers in Europe, US, Middle East countries starts after summer
holidays.
High growth in crude steel production continues:
Global crude steel output increased
10.3% to 540m tons during Jan-May 2007, driven by growth of 20.9% in China, 9.2% in
India and 4.8% in rest of the world. China continues to maintain growth momentum in
crude steel production of more than 20% for the sixth year in a row. The absolute volumes
of crude steel production have increased by 50.4m tons during the same period and China
continues to take the lion’ share of this growth (67%).
s
GLOBAL MONTHLY CRUDE STEEL PRODUCTION (M TON)
2007
120
2004
2005
2006
105
90
75
60
Source: IISI
1QCY07 strong growth of crude steel production in CIS region has moderated:
Crude steel production in CIS (Commonwealth of Independent States) region, which had
posted strong growth of 11.6% YoY during Jan-Mar 2007, has moderated to 8.5% during
Jan-May 07 due to capacity bottlenecks.
29 June 2007
172

Metals
CRUDE STEEL MONTHLY PRODUCTION IN CIS REGION (M TON)
2007
11
2004
2005
2006
10
9
8
Source: IISI
Double digit consumption growth in China continues:
The consumption of finished
steel in China continues to post double digit growth driven by continued momentum in
fixed asset formation, industrial production and infrastructure construction.
FINISHED STEEL CONSUMPTION IN CHINA
MONTH
PRODUCTION
(M TONS)
IMPORT
(M TONS)
(M TONS)
EXPORTS
MOM (%)
YOY (%)
APP.
CONS.
YTD.
(%)
Jan-07
Feb-07
Mar-07
Apr-07
May-07
40.4
38.6
47.0
46.3
47.5
1.5
1.2
1.6
1.6
1.4
4.4
4.4
5.4
7.2
6.2
-21.4
0.0
22.7
33.3
-13.9
144
132
93
167
77
37.5
35.4
43.2
40.7
42.7
15.0
15.6
13.9
13.4
Source: Industry
We believe that integrated players like SAIL, Tata Steel and Jindal Steel & Power would
continue to post YoY growth in 1QFY08 earnings. JSW steel will not be able to post QoQ
volume growth due to shut down of its Corex furnaces. We expect average realization to
be higher by 2-4% sequentially for all producers, due to improvement in general steel
pricing scenario.
We maintain our positive view on integrated players:
We believe that companies like
SAIL, JSW Steel and Jindal Steel & Power will continue to show strong operating
performance on account of their captive raw material and high volume growth. Tata Steel
too is expected to post growth in EBITDA of Indian operations. We maintain our positive
view on Tata Steel, SAIL, and JSW Steel.
Non-ferrous metals
During 1QFY08, aluminium prices remained stable and averaged US$2,804 per ton.
However, copper prices recovered 27% QoQ on resumption of buying by China. Strong
demand for non-ferrous metal and low inventory levels indicate that prices of non-ferrous
metals will remain strong in the near term. However, copper is expected to remain volatile.
29 June 2007
173

Metals
QUATERLY AVERAGE OF METAL PRICES (US$/TON)
QUARTER
AVERAGE
ALUMINIUN
QOQ (%) YOY (%) AVERAGE
COPPER
QOQ (%) YOY (%)
ALUMINA SPOT PRICES
AVERAGE
QOQ (%) YOY (%)
1QFY08
4QFY07
3QFY07
2QFY07
1QFY07
4QFY06
3QFY06
2QFY06
1QFY06
2,804
2,748
2,726
2,531
2,684
2,447
2,071
1,849
1,795
2
1
8
-6
10
18
12
3
-5
4
12
32
37
50
29
14
8
6
7,579
5,975
7,096
7,628
7,158
4,862
4,130
3,544
3,213
27
-16
-7
7
47
18
17
10
3
6
23
72
115
123
55
39
27
19
360
322
240
340
583
607
530
432
434
12
34
-29
-42
-4
15
23
0
5
-38
-47
-55
-21
34
46
32
29
-5
Source: LME and Metal Bulletin
Aluminium prices remained firm and grew 12% YoY:
Aluminium prices at LME
continued to rule firm and average prices were higher by 2% QoQ and 4% YoY during
1QFY08 on account of continued strong demand and falling inventories.
GLOBAL INVENTORIES AND PRICES OF ALUMINIUM
12.0
10.0
8.0
6.0
4.0
Global Inventories
Price
3,100
2,575
2,050
1,525
1,000
Source: IAI and LME
Average spot prices of alumina remained firm during the quarter and increased by 12%
QoQ in 1QFY08. Indian alumina producers tend to gain from firm spot prices. However,
the gains for NALCO got negated as long term contracts in 2007 were negotiated at
lower prices.
ALUMINA SPOT PRICES (US$/TON)
700
550
400
250
100
Source: Metal Bulletin
29 June 2007
174

Metals
Spot TCRCs weakened further:
Since the start of the year, spot copper TCRCs have
fallen further. Mid-year contracts are being negotiated below US$50/5USc without price
participation, lower than earlier contracts of US$60/6USc. Hindustan Copper is reported
to have accepted TC/RC around US$36/3.6USc while Sterlite and Hindalco have taken
stand not to agree below US$40/4USc. However, their pricing power is limited in global
copper TCRCs market. Since most of the smelters in India would have exhausted Brick
contracts of 2006 which had the element of price participation, we expect the earnings of
smelters to decline further in coming quarters. This will affect Sterlite and Hindalco
adversely.
We remain Neutral on Nalco:
The fundamentals remain robust for aluminum, driven by
strong global demand. Though the spot prices of alumina have recovered substantially,
Nalco’ average realization on alumina will remain under pressure due to obligation of long
s
term contracts at lower LME-linked prices. The financial performance will continue to
trend lower in the coming quarters. We maintain Neutral on Nalco. We are still waiting for
more clarity on Novelis from Hindalco and would be reviewing our rating thereafter.
29 June 2007
175

Metals
Stock performance and valuations
STOCK PERFORMANCE (%)
ABSOLUTE PERF
3M
1 YEAR
REL PERF TO SENSEX
3M
1 YEAR
REL PERF TO SECTOR
3M
1 YEAR
Metals
Hindalco
Jindal Steel & Power
JSW Steel
Nalco
SAIL
Tata Steel
23
45
24
11
15
33
-8
145
122
14
61
12
11
33
12
-1
3
21
-47
107
84
-24
23
-26
-1
21
0
-13
-9
9
-47
107
84
-24
23
-26
RELATIVE PERFORMANCE - 3 MONTH (%)
RELATIVE PERFORMANCE - 1 YEAR (%)
Sensex
130
MOSt Metals Index
MOSt Metals Index
145
130
Sensex
120
110
115
100
85
Mar-07
Apr-07
May-07
Jun-07
100
90
Jun-06
Sep-06
Dec-06
Mar-07
Jun-07
COMPARATIVE VALUATION
CMP (RS)
29.6.07
RECO
FY07E
EPS (RS)
FY08E
FY09E
FY07E
P/E (X)
FY08E
FY09E
FY07E
EV/EBITDA
FY08E
FY09E
FY07E
ROE (%)
FY08E
FY09E
Metals
Hindalco
JSW Steel
Nalco
SAIL
Tata Steel
Sector Aggregate
160
611
259
131
597
UR
Buy
Buy
Neutral
Buy
Buy
24.2
228.3
71.7
37.0
14.6
70.2
22.8
306.8
99.3
30.6
18.9
91.9
25.3
342.6
106.1
31.8
21.3
110.9
6.6
15.1
8.5
7.0
9.0
8.5
9.3
7.0
11.3
6.2
8.5
7.0
6.5
7.1
6.3
10.1
5.8
8.2
6.2
5.4
6.2
4.9
10.2
5.2
3.8
4.7
6.8
5.5
4.7
7.4
3.9
4.8
3.5
5.3
4.7
4.3
5.7
4.1
4.4
3.1
4.4
4.0
22.8
28.3
24.7
30.8
34.8
29.0
29.3
16.8
28.1
25.8
21.6
32.8
23.6
24.9
16.0
26.5
22.7
19.2
28.7
23.0
23.2
Jindal Steel & Power 3,452
29 June 2007
176

Results Preview
SECTOR: METALS
Hindalco
STOCK INFO.
BLOOMBERG
REUTERS CODE
BSE Sensex: 14,651 HNDL IN
S&P CNX: 4,318
HALC.BO
29 June 2007
Previous Recommendation: Buy
YEAR
END
NET SALES
(RS M)
PAT
(RS M)
EPS
EPS
P/E
(X)
P/BV
(X)
ROE
(%)
Under Review
Rs160
ROCE
(%)
EV/
EV/
SALES EBITDA
(RS) GROWTH (%)
Equity Shares (m)
52-Week Range
1,6,12 Rel. Perf. (%)
M.Cap. (Rs b)
M.Cap. (US$ b)
1,159.3
193/125
12/-14/-47
185.7
4.6
3/07A 199,548
3/08E
3/09E
222,727
261,596
28,006
26,399
29,274
24.2
22.8
25.3
77.5
-5.7
10.9
6.6
7.0
6.3
1.5
1.2
1.0
22.8
16.8
16.0
18.8
15.5
15.6
1.1
1.0
0.8
4.9
4.7
4.3
Novelis not included
?
For 1QFY08, we expect Hindalco to report a net profit of Rs6.6b, 9% higher YoY, driven by improvement in aluminium
prices and volume growth of 20% in aluminium and 30% in copper. However, the falling spot TCRCs would drag the
earnings.
The company has been continuously working on increasing the capacity utilization and minimizing the operational
disruption. Copper smelter Cu-2 remained shut due to falling weak spot TCRCs. Mitsubishi copper smelter Cu-3 is
expected to ramp up to full capacity in FY08.
Hindalco has aggressive plans to increase the capacity of primary aluminium from 0.5mtpa to 1.5mtpa in the next five
years and has recently acquired Novelis, the largest producer of rolled products.
We are still waiting for more clarity on the strategy of turning around the performance of Novelis and would be
reviewing the rating thereafter.
(RS MILLION)
FY07
1Q
2Q
3Q
4Q
1Q
2Q
FY08E
3Q
4Q
FY07
FY08E
?
?
?
QUARTERLY PERFORMANCE (STANDALONE)
Y/E MARCH
Net Sales
Change (YoY %)
Total Expenditure
EBITDA
Change (YoY %)
As % of Net Sales
Interest
Depreciation
Other Income
PBT (before EO Item)
Extra-ordinary Income
PBT (after EO Item)
Total Tax
% Tax
Reported PAT
Adjusted PAT
Change (YoY %)
E: MOSt Estimates
42,737
93.6
33,403
9,334
54.4
21.8
634
1,341
776
8,135
0
8,135
2,120
26.1
6,015
6,015
61.1
46,342
74.2
36,478
9,864
102.2
21.3
515
1,353
1,108
9,104
-727
8,377
2,401
28.7
5,976
6,495
107.4
46,562
62.0
36,109
10,453
79.3
22.4
698
1,384
584
8,955
0
8,955
2,516
28.1
6,439
6,439
89.5
47,489
29.8
36,340
11,149
19.9
23.5
577
1,576
1,233
10,229
-650
9,579
2,366
24.7
7,213
7,702
22.9
50,921
19.1
40,447
10,474
12.2
20.6
577
1,475
700
9,122
0
9,122
2,563
28.1
6,559
6,559
9.0
49,393
6.6
40,228
9,165
-7.1
18.6
577
1,475
1,200
8,313
0
8,313
2,336
28.1
5,977
5,977
-8.0
51,820
11.3
41,951
9,869
-5.6
19.0
602
1,475
700
8,492
0
8,492
2,386
28.1
6,106
6,106
-5.2
51,820
9.1
41,952
9,868
-11.5
19.0
627
1,475
700
8,466
0
8,466
2,379
28.1
6,087
6,087
-21.0
183,130
60.7
142,330
40,800
56.6
22.3
2,424
5,654
3,701
36,423
-1,377
35,046
9,403
26.8
25,643
26,651
61.2
203,955
11.4
164,578
39,377
-3.5
19.3
2,383
5,900
3,300
34,394
0
34,394
9,665
28.1
24,729
24,729
-7.2
Sanjay Jain (SanjayJain@MotilalOswal.com); Tel: +91 22 39825412
29 June 2007
177

Results Preview
SECTOR: METALS
Jindal Steel & Power
STOCK INFO.
BLOOMBERG
REUTERS CODE
BSE Sensex: 14,651 JSP IN
S&P CNX: 4,318
JNSP.BO
29 June 2007
Previous Recommendation: Buy
Buy
Rs3,452
EPS
P/E
(X)
P/BV
(X)
ROE
(%)
ROCE
(%)
EV/
EV/
SALES EBITDA
PAT
(RS M)
EPS
(RS) GROWTH (%)
Equity Shares (m)
52-Week Range
1,6,12 Rel. Perf. (%)
M.Cap. (Rs b)
M.Cap. (US$ b)
30.8
3,750/1,270
7/46/107
106.3
2.6
YEAR
END
NET SALES
(RS M)
3/07A
3/08E
3/09E
35,198
50,193
55,133
7,030
9,447
11,918
228.3
306.8
342.6
22.7
34.4
11.7
15.1
11.3
10.1
4.3
3.2
2.7
28.4
28.1
26.6
15.6
20.6
25.6
4.1
2.7
2.5
10.2
7.4
6.3
?
For 1QFY08, we expect net sales to grow 75.5%YoY to Rs11.7b, driven by volume growth in steel business. Ramp
up of recently commissioned 1.25mtpa blast furnace would drive the crude steel production. The improved capacity
utilization of RUBM due to stabilization of mill and commissioning of plate mill will increase the share of rolled
products.
EBITDA is likely to move up 33% YoY to Rs4.3b. EBITDA margin is likely to decline to 36.9% due to change in
product mix (iron ore, sponge iron, steel, power) in favor of steel products.
Depreciation and interest expenses are likely to move up due to full impact of capex. Post-tax adjusted profit is likely
to move up 40% to Rs2.1b.
The first phase of 250MW of 1,000MW power is delayed and is now expected by September 2007.
We expect Jindal Steel & Power’ stand-alone business to post EPS of Rs343 in FY09, factoring in the flat realization
s
and strong volume growth at a CAGR of 72% to 2mtpa by FY09E. We expect JPL to contribute Rs127 to the EPS
of company in FY09. The stock is trading at a P/E of 7.4x consolidated EPS of Rs470 for FY09E. Maintain
Buy.
(RS MILLION)
FY07
1Q
2Q
3Q
4Q
1Q
2Q
FY08E
3Q
4Q
FY07
FY08E
?
?
?
?
QUARTERLY PERFORMANCE (STANDALONE)
Y/E MARCH
Net Sales
Change (YoY %)
Total Expenditure
EBITDA
Change (YoY %)
As % of Net Sales
Interest
Depreciation
Other Income
PBT
Total Tax
% Tax
Reported PAT
Adjusted PAT
Change (YoY %)
E: MOSt Estimates
6,662
5.8
3,413
3,249
21.7
48.8
558
621
32
2,103
572
27.2
1,531
1,531
1.9
7,896
27.1
4,812
3,085
18.5
39.1
330
642
33
2,145
573
26.7
1,572
1,572
8.0
10,101
61.6
6,327
3,773
64.5
37.4
363
919
24
2,516
617
24.5
1,899
1,899
50.1
10,539
56.5
6,622
3,917
45.8
37.2
250
1,183
201
2,685
657
24.5
2,028
2,028
34.6
11,695
75.5
7,376
4,319
32.9
36.9
456
934
64
2,994
856
28.6
2,138
2,138
39.6
11,896
50.6
7,503
4,393
42.4
36.9
463
934
65
3,061
871
28.4
2,190
2,190
39.3
12,548
24.2
7,914
4,634
22.8
36.9
489
934
69
3,280
918
28.0
2,362
2,362
24.4
14,054
33.3
8,864
5,190
32.5
36.9
548
934
77
3,786
1,029
27.2
2,757
2,757
36.0
35,198
35.9
21,174
14,024
39.3
39.8
1,501
3,365
290
9,448
2,419
25.6
7,030
7,030
22.7
50,193
42.6
31,657
18,535
32.2
36.9
1,956
3,734
275
13,121
3,674
28.0
9,447
9,447
34.4
Sanjay Jain (SanjayJain@MotilalOswal.com); Tel: +91 22 39825412
29 June 2007
178

Results Preview
SECTOR: METALS
JSW Steel
STOCK INFO.
BLOOMBERG
REUTERS CODE
BSE Sensex: 14,651 JSTL IN
S&P CNX: 4,318
JSTL.BO
29 June 2007
Previous Recommendation: Buy
Buy
Rs611
EPS
P/E
(X)
P/BV
(X)
ROE
(%)
ROCE
(%)
EV/
EV/
SALES EBITDA
PAT
(RS M)
EPS
(RS) GROWTH (%)
Equity Shares (m)
52-Week Range
1,6,12 Rel. Perf. (%)
M.Cap. (Rs b)
M.Cap. (US$ b)
172.0
645/224
-2/52/84
105.2
2.6
YEAR
END
NET SALES
(RS M)
3/07A
3/08E
3/09E
85,944
104,290
112,445
12,339
17,075
18,242
71.7
99.3
106.1
90.5
38.4
6.8
8.5
6.2
5.8
2.0
1.6
1.3
23.6
25.8
22.7
22.0
25.7
21.0
1.6
1.3
1.4
5.0
3.9
4.1
?
For 1QFY08, we expect net sales to increase 58% YoY to Rs24.7b, driven by 40% higher volumes and 12.6% higher
realization. QoQ growth in volume is muted due to shut down of Corex 2 in April and preventive maintenance of
Corex 1 in the month of June.
?
EBITDA is expected to grow 87% YoY and margins to improve 550bp to 34.5% due to cost savings and better
realization. Profit after tax is likely to increase 133% YoY to Rs4b.
?
JSW Steel raised $325m through FCCB. The issue is being priced at Rs953.4 (premium of 50% over closing price of
Rs635.6 on May 29, 2007). The FCCB will bear Zero Coupon and has a maturity of five years and one day at YTM
(yield to maturity) of 7.25%. The issue will dilute equity of Rs1.72b by 8.1% on conversion.
?
We are estimating EPS of Rs99.3 and Rs106.1 for FY08 and FY09 respectively. We will be factoring in dilution on
account of this FCCB only later in FY10 onwards on visibility of conversion. The stock is trading at a P/E of 6.2x
FY08 and 5.8x FY09. Maintain
Buy.
QUARTERLY PERFORMANCE (STANDALONE)
Y/E MARCH
1Q
2Q
FY07
3Q
4Q
1Q
2Q
FY08E
3Q
4Q
FY07
(RS MILLION)
FY08E
Sales ('000 tons)
Change (YoY %)
Realization (Rs per ton)
Change (YoY %)
Net Sales
Change (YoY %)
Total Expenditure
EBITDA
Change (YoY %)
As % of Net Sales
EBITDA (Rs per ton)
Interest
Depreciation
Other Income
PBT (before EO Item)
EO Items
PBT (after EO Item)
Total Tax
% Tax
Reported PAT
Preference Dividend
Adjusted PAT
Change (YoY %)
E: MOSt Estimates
543
21.5
28,902
-16.1
15,694
2.0
11,136
4,558
-6.9
29.0
8,394
887
1,025
16
2,662
0
2,662
959
36.0
1,703
1,703
-15.0
656
15.7
33,454
23.1
21,946
42.5
14,983
6,963
86.2
31.7
10,614
967
1,164
84
4,915
0
4,915
1,452
29.5
3,463
3,463
225.8
688
33.1
33,452
13.9
23,015
51.6
15,318
7,697
83.4
33.4
11,188
1,107
1,295
64
5,360
0
5,360
1,738
32.4
3,622
3,622
151.4
784
33.0
31,869
18.6
24,985
57.8
16,954
8,032
100.2
32.1
10,245
1,016
1,498
245
5,762
447
6,209
2,077
33.4
4,133
3,835
148.0
760
40.0
32,546
12.6
24,735
57.6
16,205
8,530
87.1
34.5
11,224
1,100
1,500
75
6,005
0
6,005
2,042
34.0
3,963
3,963
132.7
820
25.0
31,299
-6.4
25,665
16.9
16,838
8,827
26.8
34.4
10,765
1,100
1,500
75
6,302
0
6,302
2,143
34.0
4,159
4,159
20.1
850
23.5
30,935
-7.5
26,295
14.3
17,159
9,136
18.7
34.7
10,749
1,100
1,500
75
6,611
0
6,611
2,248
34.0
4,363
4,363
20.5
900
14.8
30,661
-3.8
27,595
10.4
17,694
9,901
23.3
35.9
11,002
1,100
1,500
75
7,376
0
7,376
2,508
34.0
4,868
4,868
26.9
2,671
26.1
32,063
9.9
85,640
38.6
58,390
27,250
59.4
31.8
10,202
3,978
4,982
409
18,699
447
19,146
6,226
32.5
12,920
279
12,339
108.7
3,330
24.7
31,318
-2.3
104,290
21.8
67,895
36,395
33.6
34.9
10,929
4,401
6,000
300
26,294
0
26,294
8,940
34.0
17,354
279
17,075
38.4
Sanjay Jain (SanjayJain@MotilalOswal.com); Tel: +91 22 39825412
29 June 2007
179

Results Preview
SECTOR: METALS
Nalco
STOCK INFO.
BLOOMBERG
REUTERS CODE
BSE Sensex: 14,651 NACL IN
S&P CNX: 4,318
NALU.BO
29 June 2007
Previous Recommendation: Neutral
Neutral
Rs259
P/E
(X)
P/BV
(X)
ROE
(%)
ROCE
(%)
EV/
EV/
SALES EBITDA
PAT
(RS M)
EPS
EPS
(RS) GROWTH (%)
Equity Shares (m)
52-Week Range
1,6,12 Rel. Perf. (%)
M.Cap. (Rs b)
M.Cap. (US$ b)
644.3
266/185
2/15/-24
166.9
4.1
YEAR
END
NET SALES
(RS M)
3/07A
3/08E
3/09E
59,425
51,696
53,605
23,807
19,705
20,461
37.0
30.6
31.8
54.3
-17.2
3.8
7.0
8.5
8.2
2.2
1.8
1.6
30.8
21.6
19.2
38.5
26.0
23.3
2.2
2.7
2.4
3.8
4.8
4.4
?
For 1QFY08, we expect net sales to decline to Rs13.5b, down 9.5% YoY. The revenue of aluminium segment is
expected to grow on account of 7% YoY higher metal prices at LME though the volumes would remain flat at 90,000
tons. The revenue from sale of alumina would decline 44%YoY due to substantial fall in alumina prices.
EBITDA is expected to decline 17%YoY to Rs7.7b primarily on account of weak alumina prices despite stronger
aluminium prices.
Profit after tax is expected to decline 16.3% YoY to Rs5.3b on account of higher other income and lower tax rate.
The stock is trading at P/E of 8.5x FY08E. The 33% capacity expansion a capex of Rs41b is expected to be
completed by end of 2008 and benefits will accrue in FY10. We are
Neutral
on the stock due to absence of volume
growth till FY09 and weak earnings from the alumina segment.
?
?
?
QUARTERLY PERFORMANCE
Y/E MARCH
1Q
2Q
FY07
3Q
4Q
1Q
2Q
FY08E
3Q
4Q
FY07
(RS MILLION)
FY08E
Net Sales
Change (YoY %)
Total Expenditure
EBITDA
As % of Net Sales
Depreciation
Other Income
PBT (before EO Item)
Total Tax
% Tax
Reported PAT
Change (YoY %)
E: MOSt Estimates
14,855
51.8
5,512
9,344
62.9
787
834
9,391
3,168
33.7
6,223
121.8
14,416
37.7
5,665
8,751
60.7
771
1,014
8,994
3,044
33.8
5,950
110.2
14,486
9.3
6,037
8,449
58.3
744
978
8,684
2,958
34.1
5,726
45.7
15,668
1.9
6,870
8,798
56.2
819
1,199
9,178
3,270
35.6
5,908
-2.8
13,445
-9.5
5,684
7,761
57.7
787
1,000
7,974
2,704
33.9
5,269
-15.3
12,987
-9.9
5,831
7,155
55.1
771
1,100
7,484
2,538
33.9
4,946
-16.9
12,751
-12.0
5,833
6,917
54.2
744
1,125
7,298
2,475
33.9
4,823
-15.8
12,514
-20.1
5,829
6,685
53.4
798
1,175
7,062
2,395
33.9
4,667
-21.0
59,425
21.6
24,083
35,341
59.5
3,121
4,025
36,246
12,440
34.3
23,807
51.1
51,696
-13.0
23,178
28,518
55.2
3,100
4,400
29,818
10,113
33.9
19,705
-17.2
Sanjay Jain (SanjayJain@MotilalOswal.com); Tel: +91 22 39825412
29 June 2007
180

Results Preview
SECTOR: METALS
Steel Authority of India
STOCK INFO.
BLOOMBERG
REUTERS CODE
BSE Sensex: 14,651 SAIL IN
S&P CNX: 4,318
SAIL.BO
29 June 2007
Previous Recommendation: Buy
Buy
Rs131
EPS
P/E
(X)
P/BV
(X)
ROE
(%)
ROCE
(%)
EV/
EV/
SALES EBITDA
PAT
(RS M)
EPS
(RS) GROWTH (%)
Equity Shares (m)
52-Week Range
1,6,12 Rel. Perf. (%)
M.Cap. (Rs b)
M.Cap. (US$ b)
4,130.4
150/64
-10/47/26
545.2
13.4
YEAR
END
NET SALES
(RS M)
3/07A 342,025
3/08E
3/09E
385,895
391,218
60,481
77,904
85,156
14.6
18.9
20.6
50.4
28.8
9.3
9.0
7.0
6.4
3.2
2.3
1.8
35.2
33.1
28.3
43.7
44.2
38.7
1.4
1.1
1.0
4.7
3.5
3.2
?
For 1QFY08, we expect net sales to grow 7.3% YoY to Rs73.6b. Revenue growth would be driven by 10% YoY
increase in realization despite a 2.8% decline in sales volume. Production is expected to remain in line around 3m
tons.
?
EBITDA margin for the quarter is likely to expand 160bp YoY to 27.6%, largely driven by higher realizations and
lower coking coal costs.
?
Post-tax adjusted profit is likely to increase 30% YoY to Rs13.2b.
?
FY08 earnings of SAIL will be driven by 12% YoY volume growth, leveraging fixed costs, and lower coking coal
prices (from US$112 in FY07 to US$98 per ton in FY08). We expect EPS to increase 29% YoY to Rs18.9 in FY08E.
The stock trades at EV/EBITDA of 3.5x FY08E and 3.2x FY09E – a substantial discount to Tata Steel 4.9x FY08E.
Maintain
Buy.
QUARTERLY PERFORMANCE
Y/E MARCH
1Q
2Q
FY07
3Q
4Q
1Q
2Q
FY08E
3Q
4Q
FY07
(RS MILLION)
FY08E
Sales ('000 tons)
Change (YoY %)
Realization (Rs per Ton)
Change (YoY %)
Net Sales
Change (%)
EBITDA
Change (YoY %)
As % of Net Sales
EBITDA per ton
Interest
Depreciation
Other Income
PBT (after EO Inc.)
Total Tax
% Tax
Reported PAT
Adjusted PAT
Change (YoY %)
2,470
31.0
27,766
-7.2
68,583
21.6
17,803
-10.8
26.0
7,208
937
2,959
1,513
21,002
7,138
34.0
13,864
10,179
-9.6
2,947
5.1
28,976
12.5
85,391
18.3
23,333
18.9
27.3
7,918
924
3,035
2,261
21,635
7,207
33.3
14,428
14,428
28.0
3,014
8.6
28,325
24.1
85,371
34.8
26,226
91.1
30.7
8,701
906
3,299
2,231
22,342
7,630
34.2
14,712
15,969
133.3
3,450
-10.3
29,763
24.2
102,681
11.4
31,566
108.2
30.7
9,149
555
2,822
2,388
29,247
10,228
35.0
19,019
19,884
80.2
2,400
-2.8
30,663
10.4
73,590
7.3
20,324
14.2
27.6
8,468
500
2,893
2,746
19,677
6,493
33.0
13,183
13,183
29.5
3,200
8.6
29,682
2.4
94,984
11.2
31,666
35.7
33.3
9,896
550
3,156
2,995
30,955
10,215
33.0
20,740
20,740
43.7
3,750
24.4
28,702
1.3
107,633
26.1
34,806
32.7
32.3
9,282
650
3,419
3,245
33,982
11,214
33.0
22,768
22,768
42.6
3,957
14.7
27,722
-6.9
109,688
6.8
32,648
3.4
29.8
8,251
800
3,682
3,494
31,661
10,448
33.0
21,213
21,213
6.7
11,881
5.1
28,788
13.0
342,025
18.8
98,928
44.5
28.9
8,327
3,321
12,115
8,392
94,226
32,203
34.2
62,023
60,481
50.7
13,307
12.0
29,000
0.7
385,895
12.8
119,444
20.7
31.0
8,976
2,500
13,150
12,480
116,274
38,371
33.0
77,904
77,904
28.8
E: MOSt Estimates; Quarterly results don’ add up with full year results due to restating of past quarter results.
t
Sanjay Jain (SanjayJain@MotilalOswal.com); Tel: +91 22 39825412
29 June 2007
181

Results Preview
SECTOR: METALS
Tata Steel
STOCK INFO.
BLOOMBERG
REUTERS CODE
BSE Sensex: 14,651 TATA IN
S&P CNX: 4,318
TISC.BO
29 June 2007
Previous Recommendation: Buy
Buy
Rs597
EPS
P/E
(X)
P/BV
(X)
ROE
(%)
ROCE
(%)
EV/
EV/
SALES EBITDA
PAT
(RS M)
EPS
(RS) GROWTH (%)
Equity Shares (m)
52-Week Range
1,6,12 Rel. Perf. (%)
M.Cap. (Rs b)
M.Cap. (US$ b)
852.2
662/399
-7/18/-26
466.7
11.5
YEAR
END
NET SALES
(RS M)
3/07A
252,133
42,786
78,289
94,505
70.2
91.9
110.9
3.1
30.8
20.7
7.8
6.0
4.9
2.2
1.4
1.1
27.6
23.6
23.0
31.6
15.6
16.3
1.3
0.7
0.6
4.2
5.0
4.1
3/08E 1,206,123
3/09E 1,263,837
PAT and EPS numbers are consolidated
Standalone – Indian operations
?
For 1QFY08, we expect net sales to increase 8.6% YoY to Rs45.7b, driven by 8.6% YoY higher realization and 9.4%
higher volumes due to ramp-up of 5mtpa expansion. EBITDA margin is expected to improve by 60bp only due to
price hikes getting partially offset by overall cost escalations. Higher interest and lower other income due to liquidation
of investments for funding Corus acquisition and capex would result in PAT increasing only 8.3% YoY to Rs10.5b.
Consolidated results
?
Consolidated earnings of Tata Steel would significantly increase 92.4% YoY to Rs19.4b due to consolidation of
results of Corus in 1QFY08 for the first time. The EBITDA of Corus would increase to £281m i.e. a margin of 9.7%.
?
We expect consolidated earnings per share to grow at a CAGR of 26% during FY07-09, driven by overall volume
growth and margin expansion in Corus. Adjusting for the forthcoming 1:5 rights issue at Rs300/share, the effective
cost of stock ownership works out to Rs547/share. Thus, the stock trades at 4.9x FY09E EPS and at 1.1x FY09E BV
(RoE of 23%). We reiterate
Buy.
QUARTERLY PERFORMANCE (STANDALONE)
Y/E MARCH
1Q
2Q
FY07
3Q
4Q
1Q
2Q
FY08E
3Q
4Q
FY07
(RS MILLION)
FY08E
Sales ('000 tons)
Change (YoY %)
Realization (Rs per ton)
Change (YoY %)
Net Sales
Change YoY (%)
EBITDA
As % of Net Sales
EBITDA(Rs/tss)
Interest
Depreciation
Other Income
PBT (before EO Inc.)
EO Income(exp)
PBT (after EO Inc.)
Total Tax
% Tax
Reported PAT
Adjusted PAT
Change (YoY %)
E: MOSt Estimates;
1,115
27.4
31,133
-10.1
39,159
13.0
15,813
40.4
12,871
293
1,951
779
14,348
-184
14,164
4,630
32.7
9,534
9,658
2.3
1,184
0.4
31,656
6.0
41,858
8.3
17,048
40.7
13,236
478
1,957
1,772
16,386
-443
15,943
4,928
30.9
11,015
11,321
6.3
1,234
11.5
32,236
8.5
44,700
21.4
17,836
39.9
13,398
520
1,991
987
16,313
-493
15,820
5,183
32.8
10,638
10,969
41.9
1,261
0.4
35,135
21.8
49,804
20.6
19,035
38.2
13,977
448
2,294
798
17,091
-401
16,690
5,655
33.9
11,035
11,300
48.6
1,220
9.4
33,800
8.6
45,736
16.8
18,774
41.0
14,469
1,260
2,250
250
15,514
-405
15,109
4,923
32.6
10,186
10,459
8.3
1,265
6.9
32,000
1.1
44,993
7.5
17,027
37.8
12,570
1,260
2,250
250
13,767
-405
13,362
4,358
32.6
9,004
9,277
-18.1
1,272
3.0
32,500
0.8
45,831
2.5
17,726
38.7
13,058
1,260
2,250
250
14,466
-405
14,061
4,584
32.6
9,477
9,750
-11.1
1,297
2.9
32,155
-8.5
46,218
-7.2
17,545
38.0
12,660
1,260
2,250
250
14,285
-405
13,880
4,526
32.6
9,355
9,628
-14.8
4,794
8.5
32,599
6.9
175,520
15.9
69,733
39.7
13,387
1,739
8,193
4,337
64,138
-1,521
62,617
20,395
32.6
42,222
43,247
22.1
5,055
5.4
32,600
0.0
182,778
4.1
71,073
38.9
12,968
5,040
9,000
1,000
58,033
-1,620
56,413
18,390
32.6
38,022
39,114
-9.6
tss=ton of steel sales; Exchange rate assumed GBP=1.98 USD, USD=41.0 INR
Sanjay Jain (SanjayJain@MotilalOswal.com); Tel: +91 22 39825412
29 June 2007
182

Results Preview
QUARTER ENDED JUNE 2007
Oil & Gas
BSE Sensex: 14,651
S&P CNX: 4,318
29 June 2007
COMPANY NAME
PG.
BPCL
192
Chennai Petroleum
193
GAIL
194
HPCL
195
IOC
196
High oil prices, strong refining margins, but mixed petchem margins
YoY comparative (v/s 1QFY07)
?
Benchmark Singapore refining complex margins up 7% at US$9.5/bbl (v/s US$8.9/bbl
in 1QFY07)
?
Brent average marginally down by 1.6% at US$68.7/bbl v/s US$69.8/bbl; Dubai crude
flat at US$64.7/bbl
?
Mixed petrochemical margins (spread over naphtha)
?
Polymer margins have moved up – PE up 11.4%; PP up 13.4 %
?
Marginal decline in intermediates – PTA down 1.5%; MEG down 0.2%
?
Mixed integrated polyester margins – POY down 9%, PSF up 2%
QoQ comparative (v/s 4QFY07)
?
Benchmark Singapore refining margins up 39% from US$6.8/bbl
?
Brent average up 18% from US$58.1/bbl; Dubai average up 16.4% from US$55.6/bbl
?
Petrochemical margins (spread over naphtha) largely down
?
PE down 8.8%; PP down 8.3%, PTA down 10.5%; MEG down 10.1%
?
POY down 6.8%; PSF down 5.7%
Factors to watch for
?
Fuel under-recovery sharing mechanism:
Quantum of oil bonds and timing, clarity
on sharing of under-recoveries by upstream players and balance net under-recoveries
would be key numbers that could significantly change the bottomlines of state-owned
oil companies. We have assumed oil bonds issue of Rs53b in 1QFY08 to OMCs.
However, if no oil bonds are announced for 1QFY08, the OMCs could report losses in
1QFY08. We have not assumed any price increases for FY08.
?
Retail fuel price hike:
Media reports indicate that the government is considering a
price hike. Significant hikes could reduce under-recoveries going forward.
We have not factored in any sale of current oil bond holdings. Any sale at a discount would
impact profits of oil-marketing companies.
(RS MILLION)
SALES
JUN.07
CHG. (%)
JUN.07
EBITDA
CHG. (%)
NET PROFIT
JUN.07
CHG. (%)
Indraprastha Gas
197
IPCL
198
ONGC
199
Reliance
200
EXPECTED QUARTERLY PERFORMANCE SUMMARY
RECO
Oil & Gas
BPCL
Chennai Petroleum
GAIL
HPCL
IOC
IPCL
Indraprastha Gas
ONGC
Reliance Inds.
Sector Aggregate
Buy
Neutral
Neutral
Buy
Buy
Neutral
Not Rated
Buy
Neutral
255,198
77,123
39,632
234,371
604,811
31,748
1,686
145,204
292,312
1,682,085
0.3
1.0
-2.8
3.3
24.2
5.2
24.2
-0.6
19.2
11.5
10,494
4,727
7,706
6,599
30,114
5,619
731
76,806
50,356
193,152
-
-1.3
-18.2
-
-
0.5
35.1
-5.3
18.8
51.4
5,629
2,544
4,911
3,489
16,688
2,863
404
39,083
31,135
106,746
-
-0.1
-17.0
-
-
11.0
46.2
-5.1
22.2
100.7
Anil Sharma (AnilSharma@MotilalOswal.com);Tel: +91 22 39825413/Harshad Borawake (HarshadBorawake@motilaloswal.com) Tel: 39825432
29 June 2007
183

Oil & Gas
Oil prices: continue to remain high
1QFY08 highlights
?
Brent down 1.6% YoY at US$68.7/bbl (v/s US$69.8/bbl in 1QFY07)
?
Brent up 18% QoQ (v/s US$58.1/bbl in 4QFY07)
Oil prices continue to be high, at levels similar to the highs seen in 1QFY07. Prices have
continuously been rising since recent lows in January 2007, driven by resilient product
demand, limited oil spare capacity and continued tightness downstream. Prices continue to
have some fear premium due to geo-political issues in Iran, Nigeria, Lebanon, etc. Natural
factors like Cyclone Gonu in the Middle East have also contributed to price rises.
Despite high prices, global oil demand remains robust. IEA has revised its demand estimates
for 2007 upwards by 420kb/d to 86.1mmb/d and now estimates that demand would grow
by 1.7mmb/d in 2007. Similarly in its latest forecast, EIA expects global demand to increase
by 1.4mmb/d in 2007 and 1.6mmb/d in 2008.
As per EIA’ short-term outlook, rising oil demand is likely to outpace growth in non-
s
OPEC supply, in the coming months. To maintain normal inventory levels, EIA assumes
that OPEC 11 would increase production by over 1mmb/d. If OPEC production does not
increase and inventory levels decline, upward price pressures could result.
With OPEC not committing to any production increases, continued geo-political uncertainties,
limited oil spare capacity, and threat of another active hurricane season in the US make oil
markets highly vulnerable. We do not see a significant drop in prices or reduction in volatility
in the coming few months.
HIGH & RISING OIL PRICES (US$/BBL)
80
WTI
70
60
50
Prices have been on a
Brent
Dubai Crude
40
30
rise since February 2007
Source: Bloomberg/Motilal Oswal Securities
29 June 2007
184

Oil & Gas
ARAB LIGHT – HEAVY DIFFERENTIALS CONTINUE TO REMAIN HIGH
Diff. (LHS, $/bbl)
8
Arab Light (RHS, $/bbl)
Arab Heavy (RHS, $/bbl)
80
70
6
60
50
4
40
2
30
20
0
Jan-01
10
Jan-02
Jan-03
Jan-04
Jan-05
Jan-06
Jan-07
Source: Bloomberg/Motilal Oswal Securities
Refining margins: significantly firmed up
1QFY08 highlights
?
Singapore refining complex margins up 7% at US$9.5/bbl (v/s US$8.9/bbl in 1QFY07)
?
Up 39% QoQ (v/s US$6.8/bbl in 4QFY07)
Refining margins continue to remain high in US and Europe due to strong product demand,
tight gasoline inventory position, and several planned and unplanned refinery shutdowns.
Asian cracking margins also further firmed up in 1QFY08, as the Asian refinery maintenance
season coincided with tight product markets. Tightness in gasoline markets meant that
gasoline price rise was much steeper than oil price rise.
EIA projects that motor gasoline inventories would continue to be tight during the current
summer season. These inventories, which normally increase in April, declined as a result
of refinery maintenance problems and low imports. Tight inventory situation is likely to
keep gasoline prices high, resulting in higher refinery profit margins than last summer.
FIRMED UP SINGAPORE CRACK MARGINS (US$/BBL)
16
Monthly
12
8
4
0
Quarterly
Highest quarterly
average in recent years
Source: Industry/Motilal Oswal Securities
29 June 2007
185

Oil & Gas
Fuel under-recoveries: continue to be high
High fuel marketing under-recoveries and its sharing mechanism remains a key concern
for all state-owned oil companies. We estimate total under-recoveries post budgetary
subsidy by GoI at Rs117b for 1QFY08, which implies that oil-marketing companies have
under-recoveries of nearly Rs1.3b per day.
There have been no price increases in retail fuels for more than a year despite continued
high crude oil prices. Recent media reports indicate that the government is seriously
considering price hikes for retail products. Significant price increase, especially for kerosene
and LPG, could bring down the level of under-recoveries. However, we have not factored
in any price increase in our FY08 estimates.
Crude and product prices continue to remain high globally, and we see no signs of significant
price reversals. However, PSU OMCs do not have the liberty to pass on the prices to
consumers. There is still no clarity on subsidy sharing mechanism for FY08, the timing and
quantum of oil bonds, and of fuel price hikes if any. Thus, more than the core business
fundamentals, reported earnings of most PSU oil companies will depend more on the
Govt’ policies, timing and quantum of discount reimbursement in our view.
s
We assume that for 1QFY08, the sharing of upstream burden would happen in the following
manner: 40% by upstream companies (41.5% last year), 45% through oil bonds, and the
rest 15% by state-owned oil-marketing companies (8% last year). Delayed announcement
of oil bonds (for 1QFY07, oil bonds were announced only in 2QFY07) could result in all
the state-owned oil-marketing companies reporting losses.
Petrochemical margins: coming off the peak
The decline in key petrochemical product spreads, which started in 3QFY07, continued in
1QFY08. In the recent months, higher naphtha prices have resulted in cost pressure, but
petrochemical prices have risen only marginally, resulting in steep declines in margins.
RELATIVE PRICES - NAPHTHA VS POLYMERS
RELATIVE PERFORMANCE - NAPHTHA VS POLYESTER CHAIN
PE
180
160
140
PP
Naphtha
180
155
130
POY
PSF
PTA
MEG
Naphtha
120
100
80
105
80
Source: Industry/ Motilal Oswal Securities
29 June 2007
186

Oil & Gas
The domestic spread of all key products declined significantly as shown in the table below.
The largest YoY decline has been in polyester intermediates.
KEY PRODUCT SPREADS (RS/KG)
1QFY08
1QFY07
QOQ CH (%)
4QFY07
YOY CH (%)
PE
PP
PTA
MEG
POY integrated
PSF integrated
consumption norms
37.73
38.26
24.10
24.42
44.33
44.52
33.87
33.74
24.46
24.46
48.70
43.69
11.4
13.4
-1.5
-0.2
-9.0
1.9
41.37
41.74
26.94
27.15
47.56
47.22
-8.8
-8.3
-10.5
-10.1
-6.8
-5.7
* PE,PP,PTA and MEG spreads over naptha, POY & PSF spreads over PTA-MEG adjusted for
Source: Company/Motilal Oswal Securities
Polymer spreads continue to remain high and over historical averages as shown below.
However, we believe that a downturn in the polymer chain is inevitable, in view of excess
capacities coming online in Middle East and China. However, as most capacity additions
have now been delayed to 2009, from the earlier expectation of 2008, we believe that the
downturn would now begin in mid-2008.
PE SPREAD OVER NAPHTHA (RS/KG)
PP SPREAD OVER NAPHTHA (RS/KG)
2002-05
FY 07
50
43
36
29
22
Avg 2002-05
FY 08
FY 06
2002-05
FY 07
56
48
40
32
24
Avg 2002-05
FY 08
FY 06
Apr May Jun July Aug Sept Oct Nov Dec Jan Feb Mar
Apr May Jun July Aug Sept Oct Nov Dec Jan Feb Mar
Source: Industry/ Motilal Oswal Securities
The polyester chains are already witnessing a downturn. Spreads for all key products
remain below historical averages as shown below. We do not expect any significant recovery
in polyester chain margins. Though feedstock costs have increased, cotton prices, which
provide the ceiling, have not moved up in tandem. Adding to the pressure is large polyester
overcapacity in China, which continues to add over 2m tonne of polyester capacity every
year. This is over and above the 5-6m tonne of global overcapacity.
29 June 2007
187

POY SPREAD OVER NAPHTHA (RS/KG)
PSF SPREAD OVER NAPHTHA (RS/KG)
2002-05
FY 07
65
Avg 2002-05
FY 08
FY 06
60
2002-05
FY 07
Avg 2002-05
FY 08
FY 06
55
50
45
40
35
Apr May Jun July Aug Sept Oct Nov Dec Jan Feb Mar
PTA SPREAD OVER NAPHTHA (RS/KG)
30
Apr May Jun July Aug Sept Oct Nov Dec Jan Feb Mar
MEG SPREAD OVER NAPHTHA (RS/KG)
2002-05
FY 07
40
Avg 2002-05
FY 08
FY 06
40
2002-05
FY 07
Avg 2002-05
FY 08
FY 06
30
30
20
20
10
Apr May Jun July Aug Sept Oct Nov Dec Jan Feb Mar
10
Apr May Jun July Aug Sept Oct Nov Dec Jan Feb Mar
Source: Industry/ Motilal Oswal Securities
Valuation and view
ONGC is our top pick in the sector
Continued high oil price environment, increased production from ONGC as well as OVL,
and recent exploration success leading to reserves accretion, give upside to ONGC’
s
stock price.
The Tariff Commission has recently revised producer price of ONGC from Rs3,200/
mscm to Rs3,600/mscm. Adjusted for WPI increase, the current producer price works out
to Rs3,710/mscm, a rise of 16%. Implementation of new price from 2QFY07 would provide
earnings upside for the gas business.
The key concern remains high upstream discounts and lack of clarity on subsidy sharing
mechanism, going forward. To make subsidy sharing transparent and equitable, ONGC
has been proposing the following:
?
Linking its subsidy payout to oil price in Rupee terms and not in Dollars per barrel.
Though oil prices have increased in recent months, ONGC’ Rupee realizations have
s
not increased due to currency appreciation.
29 June 2007
188

?
Making cess advalorem, so that government sharing is higher when oil prices are
higher.
Acceptance of any of these suggestions could lead to lower subsidy burden than our
estimates and would provide upsides.
Buy oil-marketing companies – BPCL, HPCL and IOC
Sustained high refining margins, increased throughput and capacity utilization would mean
that most players would show strong refining performance. These players are implementing
several upgradation projects for their capacities, which would enable them to: (1) produce
higher share of middle distillates, (2) produce Euro III/IV compliant fuels, and (3) process
larger share of sour/heavy crudes. Completion of these projects in time and within schedules
would be margin accretive in our view.
The big concern for oil-marketing companies remains huge under-recoveries on fuel
marketing. In our estimates, the three oil-marketing companies are incurring losses to the
tune of Rs1.3b per day. We do not expect any significant increase in retail fuel prices,
especially of kerosene and LPG. With oil prices remaining high, the focus will remain on
how the government plans to reimburse the state-owned oil-marketing companies for their
losses.
We continue to maintain that markets are already factoring the concerns related to subsidy
issues, and oil-marketing stocks remain inexpensive from a long-term investment
perspective. We have
Buy
recommendations on all the three state-owned oil-marketing
companies and BPCL is our preferred bet due to lower valuation multiples.
We remain Neutral on Reliance Industries (RIL)
The continued high refining margin environment will drive RIL’ near-term earnings. The
s
new EOU status to its refinery enables RIL to export most of its products to higher netback
markets. This could result in even higher premium over the already high premiums over
Singapore benchmarks. Recent media reports indicate that RPL’ refinery could be
s
commissioned much before its scheduled start in December 2008. An earlier start would
enable RPL to cash in on the current high margin era.
Petrochemical margin downtrend continues, and margins have declined sharply in recent
months due to sharply increased naphtha prices.
The progress on E&P development appears to be on schedule as per recent updates by
Niko. The markets are anticipating a larger reserve size and better production rates than
what has already been announced. However, Niko’ recent annual report for fiscal 2007
s
did not give any significantly changed numbers than what has already been disclosed.
29 June 2007
189

The key near-term triggers would mostly come from the E&P business. These include:
?
High court decision on gas volumes for RNRL and NTPC
?
Approval of gas-pricing formula
?
Resolving of ‘
cash or kind’issue on government’ share of profit gas, which has again
s
re-emerged in the recent weeks
?
Marketing tie-ups with potential gas buyers, and
?
Updates on actual progress on KG-D6 field development and pipeline
While retail store rollout appears to be gaining momentum, it is yet to reach critical volumes
to contribute significantly to RIL’ valuations. However, if the indicated E&P upsides
s
come through, we would look to review our recommendation.
GAIL’ profitability has eroded
s
In FY07, GAIL’ transmission tariffs were significantly reduced for both its HBJ and
s
regional networks. However, transmission volumes, which have remained flat, would
increase post the recent commissioning of its pipelines connecting Dahej to Dhabol.
GAIL’ cost of gas for its internal consumption has increased significantly over the last
s
two years. GAIL was earlier paying APM prices of around US$2/mmbtu; this was increased
to Regassified-LNG prices in FY06, and further hiked to PMT pricing of US$4.75/mmbtu
in FY07. Increased gas costs have put pressure on all key businesses of gas transmission,
petrochemicals and LPG. Increased subsidy burden for kerosene and LPG under-recoveries
add further pressure to earnings.
While any decline in subsidy sharing could be incrementally positive, we believe risk-
reward remains unfavorable. We maintain
Neutral.
IPCL to trade in tandem with RIL
Post the recent announcement of merger of IPCL with RIL, we expect that IPCL would
now broadly trade at 1:5 ratio of RIL’ stock price.
s
We maintain our Neutral rating on Chennai Petro
While GRMs have remained at higher levels, we expect net profit to be impacted by
higher Rupee appreciation. We see flat growth YoY and maintain our
Neutral
rating.
We also present estimates of Indraprastha Gas
(IGL) in this preview compendium.
We currently do not have a rating on the stock.
29 June 2007
190

Oil & Gas
Stock performance and valuations
STOCK PERFORMANCE (%)
ABSOLUTE PERF
3M
1 YEAR
REL PERF TO SENSEX
3M
1 YEAR
REL PERF TO SECTOR
3M
1 YEAR
Oil & Gas
BPCL
Chennai Petroleum
GAIL
HPCL
Indraprastha Gas
IOC
IPCL
ONGC
Reliance
13
43
17
9
21
11
27
3
24
2
51
21
14
10
11
30
22
61
0
31
5
-4
9
-1
14
-9
12
-36
12
-17
-24
-28
-27
-8
-16
23
-1
29
3
-5
7
-3
13
-11
10
-34
15
-15
-22
-25
-25
-6
-14
25
RELATIVE PERFORMACE - 3 MONTHS (%)
RELATIVE PERFORMANCE - 1 YEAR (%)
Sensex
118
MOSt Oil & Gas Index
MOSt Oil & Gas Index
150
Sensex
113
135
108
120
103
105
98
Mar-07
Apr-07
May-07
Jun-07
90
Jun-06
Sep-06
Dec-06
Mar-07
Jun-07
COMPARATIVE VALUATION
CMP (RS)
29.6.07
RECO
FY07E
EPS (RS)
FY08E
FY09E
FY07E
P/E (X)
FY08E
FY09E
FY07E
EV/EBITDA
FY08E
FY09E
FY07E
ROE (%)
FY08E
FY09E
Oil & Gas
BPCL
Chennai Petroleum
GAIL
HPCL
IOC
IPCL
Indraprastha Gas
ONGC
Reliance Inds.
Sector Aggregate
340
268
308
268
443
343
121
902
1,700
Buy
Neutral
Neutral
Buy
Buy
Neutral
Not Rated
Buy
Neutral
59.2
37.9
24.2
37.4
52.4
49.8
9.9
83.1
84.8
54.7
42.3
23.5
27.2
50.7
44.6
11.7
98.4
90.1
54.3
42.8
24.5
27.1
51.5
38.4
12.7
87.1
98.7
5.7
7.1
12.7
7.2
8.5
6.9
12.3
10.9
20.0
12.7
6.2
6.3
13.2
9.8
8.7
7.7
10.3
9.2
18.9
11.8
6.3
6.3
12.6
9.9
8.6
8.9
9.5
10.4
17.2
11.8
5.4
5.8
8.3
6.3
6.8
4.7
6.4
5.3
12.9
7.6
4.4
5.6
7.9
7.6
5.9
4.6
5.0
4.5
12.0
7.1
6.5
5.7
7.6
7.5
6.8
5.2
5.0
4.7
11.1
7.0
21.7
22.9
19.5
14.1
17.5
30.1
32.6
29.5
22.7
24.4
16.6
23.8
17.1
9.8
15.6
19.6
31.1
29.4
19.0
22.1
15.0
24.1
16.4
9.5
14.0
14.7
27.4
22.5
17.6
18.9
29 June 2007
191

Results Preview
SECTOR: OIL & GAS
BPCL
STOCK INFO.
BLOOMBERG
REUTERS CODE
BSE Sensex: 14,651 BPCL IN
S&P CNX: 4,318
BPCL.BO
29 June 2007
Previous Recommendation: Buy
Buy
Rs340
EPS
P/E
(X)
P/BV
(X)
ROE
(%)
ROCE
(%)
EV/
EV/
SALES EBITDA
PAT
(RS M)
EPS
(RS) GROWTH (%)
Equity Shares (m)
52-Week Range
1,6,12 Rel. Perf. (%)
M.Cap. (Rs b)
M.Cap. (US$ b)
361.5
448/287
-5/-5/-36
122.9
3.0
YEAR
END *
NET SALES
(RS M)
3/07A 982,049
3/08E
3/09E
923,982
900,123
21,395
19,760
19,630
59.18
54.66
54.30
633.7
-7.6
-0.7
5.7
6.2
6.3
1.2
1.1
0.9
19.0
15.9
14.4
14.9
10.5
10.5
0.2
0.2
0.3
5.3
6.8
6.5
* Consolidated
?
?
?
?
?
?
We forecast net profit of Rs5.6b in 1QFY08. BPCL had reported a loss of Rs4.3b in 1QFY07, as the announcement
of oil bonds was delayed to 2QFY07. Our estimates for 1QFY08 assume oil bond issue of Rs12.7b to BPCL. Any
delay in oil bonds announcement, like last year, could result in losses similar to 1QFY07.
On the refining side, we expect BPCL to report good numbers fuelled by higher refining margins as well as increased
refining throughput. We estimate GRM at US$6.5/bbl for 1QFY08 v/s US$3.56/bbl for FY07, and expect refining
throughput to increase by 7% to 5.2mmt.
However, rather than business fundamentals, the key data to watch for are the extent of upstream discounts and oil
bonds from GoI. There is no clarity on the subsidy sharing mechanism, the timing and quantum of oil bond issue, and
the price hike of fuels, if any.
BPCL’ gross under-recovery after budgetary subsidy was Rs107b. However, its net under-recovery post oil bonds
s
and upstream sharing was Rs10.4b – about 10% of gross under-recoveries.
For 1QFY08, we estimate BPCL’ gross under-recoveries post budgetary support on SKO/LPG at Rs28b, and
s
assume BPCL will share a higher net burden of 15%, resulting in net under-recoveries at Rs4.3b.
We continue to believe that the negatives relating to subsidy issues are already in the price and the stock is inexpensive,
given its long-term potential. The stock trades at 6.2x FY08E EPS. We maintain
Buy.
(RS MILLION)
FY07
1Q
2Q
3Q
4Q
1Q
2Q
FY08E
3Q
4Q
FY07
FY08E
QUARTERLY PERFORMANCE (MERGED)
Y/E MARCH
Gross Sales
Change (%)
Raw Material Consumed
Staff Cost
Fininshed Goods Purchase
Other Exp (incl Stock Adj)
EBITDA
Change (%)
% of Sales
Depreciation
Interest
Other Income
PBT
Tax
Rate (%)
PAT
Change (%)
E: MOSt Estimates
254,338
36.3
105,979
2,414
105,801
42,753
-2,609
nm
-1.0
1,814
908
1,091
-4,240
25
-0.6
-4,265
nm
288,323
52.1
120,207
2,087
118,179
30,712
17,138
1,302.5
5.9
1,964
920
2,207
16,461
3,876
23.5
12,585
6,594.1
265,535
18.3
98,250
2,651
126,491
31,251
6,892
nm
2.6
2,484
1,298
1,487
4,597
1,562
34.0
3,035
nm
266,327
6.1
97,597
2,885
113,433
39,674
12,738
-33.5
4.8
2,778
1,648
2,547
10,859
4,159
38.3
6,700
-60.2
255,198
0.3
107,625
2,776
98,425
35,878
10,494
nm
4.1
2,468
1,365
1,855
8,515
2,887
33.9
5,629
nm
236,157
-18.1
106,070
2,400
87,845
34,131
5,710
-66.7
2.4
2,278
1,260
2,024
4,196
1,422
33.9
2,773
-78.0
239,311
-9.9
104,506
2,916
91,507
34,421
5,962
-13.5
2.5
2,420
1,365
2,192
4,368
1,481
33.9
2,888
-4.9
243,782 1,074,523
-8.5
103,758
2,948
95,377
34,831
6,867
-46.1
2.8
2,326
1,260
2,361
5,642
1,913
33.9
3,730
-44.3
26.2
422,033
10,037
463,904
144,390
34,159
256.8
3.2
9,040
4,774
7,332
27,677
9,622
34.8
18,055
519.2
974,449
-9.3
421,959
11,041
373,154
139,261
29,033
-15.0
3.0
9,492
5,251
8,432
22,722
7,703
33.9
15,019
-16.8
Anil Sharma (AnilSharma@MotilalOswal.com);Tel: +91 22 39825413/Harshad Borawake (HarshadBorawake@motilaloswal.com) Tel: 39825432
29 June 2007
192

Results Preview
SECTOR: OIL & GAS
Chennai Petroleum Corporation
STOCK INFO.
BLOOMBERG
REUTERS CODE
BSE Sensex: 14,651 MRL IN
S&P CNX: 4,318
CHPC.BO
29 June 2007
Previous Recommendation: Neutral
Neutral
Rs268
P/E
(X)
P/BV
(X)
ROE
(%)
ROCE
(%)
EV/
EV/
SALES EBITDA
PAT
(RS M)
EPS
EPS
(RS) GROWTH (%)
Equity Shares (m)
52-Week Range
1,6,12 Rel. Perf. (%)
M.Cap. (Rs b)
M.Cap. (US$ b)
149.0
337/160
4/18/12
40.0
1.0
YEAR
END
NET SALES
(RS M)
3/07A 293,495
3/08E
3/09E
282,900
263,749
5,653
6,302
6,377
37.9
42.3
42.8
17.5
11.5
1.2
7.1
6.3
6.3
1.5
1.3
1.1
21.4
20.6
18.2
17.3
17.2
15.7
0.2
0.3
0.3
5.8
5.6
5.7
?
?
?
We expect CPCL to record a flat net profit of Rs2.5b in 1QFY08.
We expect reported GRM to improve marginally YoY; the increase would be compensated by Rupee appreciation.
We do not factor in any discounts on products towards under recoveries on fuel sales to OMCs. The earlier scheme
of sharing of subsidy burden by independent refiners was discontinued last year. CPCL was refunded Rs1.19b for
LPG/Kerosene discounts it offered to Oil marketing companies during FY07.
Crude throughput is likely to be largely flat YoY at 2.6mmt.
The stock is trading at 6.3x FY08E earnings. We maintain
Neutral.
(RS MILLION)
FY07
1Q
2Q
3Q
4Q
1Q
2Q
FY08E
3Q
4Q
FY07
FY08E
?
?
QUARTERLY PERFORMANCE
Y/E MARCH
Gross Sales
Change (%)
Raw Materials Cons
Employee Costs
Other Exp (incl Stock Adj)
EBITDA
% of Sales
Change (%)
Depreciation
Interest
Other Income
PBT
Tax
Rate (%)
PAT
Change (%)
E: MOSt Estimates
76,367
34.6
58,804
245
12,531
4,789
6.3
10.8
586
426
69
3,845
1,300
33.8
2,546
8.8
77,956
17.8
63,338
353
11,884
2,381
3.1
-39.1
586
468
146
1,473
500
34.0
973
-50.5
69,862
6.9
55,551
302
12,790
1,218
1.7
-7.2
586
412
152
373
129
34.6
243
14.4
69,310
5.3
53,791
607
10,893
4,019
5.8
194.3
662
577
338
3,118
1,227
39.4
1,891
434.3
77,123
1.0
57,712
390
14,294
4,727
6.1
-1.3
599
460
182
3,849
1,305
33.9
2,544
-0.1
69,953
-10.3
54,603
407
12,107
2,836
4.1
19.1
576
443
175
1,992
675
33.9
1,317
35.4
67,862
-2.9
53,343
414
11,593
2,512
3.7
106.2
553
425
168
1,702
577
33.9
1,125
361.9
67,962
-1.9
52,923
416
11,787
2,836
4.2
-29.4
576
443
175
1,992
675
33.9
1,317
-30.4
293,495
15.5
231,484
1,506
48,098
12,407
4.2
13.7
2,419
1,883
705
8,809
3,156
35.8
5,653
16.1
282,900
-3.6
218,581
1,627
49,780
12,911
4.6
4.1
2,306
1,771
700
9,535
3,232
33.9
6,302
11.5
Anil Sharma (AnilSharma@MotilalOswal.com);Tel: +91 22 39825413/Harshad Borawake (HarshadBorawake@motilaloswal.com) Tel: 39825432
29 June 2007
193

Results Preview
SECTOR: OIL & GAS
GAIL (India)
STOCK INFO.
BLOOMBERG
REUTERS CODE
BSE Sensex: 14,651 GAIL IN
S&P CNX: 4,318
GAIL.BO
29 June 2007
Previous Recommendation: Neutral
Neutral
Rs308
P/E
(X)
P/BV
(X)
ROE
(%)
ROCE
(%)
EV/
EV/
SALES EBITDA
PAT
(RS M)
EPS
EPS
(RS) GROWTH (%)
Equity Shares (m)
52-Week Range
1,6,12 Rel. Perf. (%)
M.Cap. (Rs b)
M.Cap. (US$ b)
845.7
320/227
2/12/-17
260.8
6.4
YEAR
END
NET SALES
(RS M)
3/07A 160,472
3/08E
3/09E
165,974
182,571
20,468
19,834
20,725
24.2
23.5
24.5
-11.4
-3.1
4.5
12.7
13.2
12.6
2.4
2.2
2.0
17.9
16.4
15.7
20.1
17.2
16.9
1.5
1.5
1.4
8.3
7.9
7.6
?
?
?
?
?
We expect GAIL to report a net profit of Rs4.9b, down 17% from Rs5.9b in 1QFY07. We expect a decline in profit
mainly due to (1) Reduced HBJ transmission tariff by 16.5% from July 2006, (2) Reduced transmission tariffs of KG
basin networks from November 2006 and (3) Higher upstream subsidy burden
We expect flat gas transmission volume for 1QFY08. Towards the end of June 2007, GAIL has commissioned its
Dahej-Uran and Dhabol-Panvel pipelines. We expect transmission volumes to increase from 2QFY08.
GAIL’ cost of gas for its internal gas consumption has significantly increased over the past two years. First, gas
s
price was increased from APM pricing to R-LNG pricing from June 2005. From April 2006, the price was further
hiked to PMT price of US$4.75/mmbtu. Higher feedstock cost has put pressure on margins in these businesses.
Subsidy share for LPG/Kerosene remains an overhang. GAIL’ subsidy burden was Rs2.5b in 1QFY07 and Rs14.9b
s
in FY07. We estimate GAIL’ subsidy share for 1QFY08 at Rs2.8b, of the total upstream subsidy sharing of Rs47.1b.
s
The stock is trading at 13.2x FY08E earnings. We maintain
Neutral.
(RS MILLION)
FY07
1Q
2Q
3Q
4Q
1Q
2Q
FY08E
3Q
4Q
FY07
FY08E
QUARTERLY PERFORMANCE
Y/E MARCH
Net Sales
Change (%)
Finished Gds Purchase
Raw Materials Cons
Employee Costs
Less: Internal Consumption*
Other Exp (incl Stock Adj)
EBITDA
% of Net Sales
Change (%)
Depreciation
Interest
Other Income
PBT
Tax
Rate (%)
PAT
Change (%)
EO: Tax Provision Written Back
Reported PAT
40,784
24.1
30,552
5,069
551
-6,519
1,715
9,416
23.1
-0.7
1,408
288
801
8,521
2,600
30.5
5,921
22.5
5,921
37,070
2.9
28,088
4,845
905
-6,513
3,854
5,891
15.9
-37.0
1,436
291
1,674
5,838
1,354
23.2
4,484
-42.1
4,484
43,784
12.0
30,568
5,559
651
-7,279
5,643
8,641
19.7
-5.2
1,439
271
1,846
8,778
2,124
24.2
6,655
3.5
6,655
38,834
6.1
23,368
4,527
816
4,099
6,024
15.5
-14.5
1,471
221
1,129
5,461
2,053
37.6
3,408
-16.7
3,399
6,807
39,632
-2.8
22,590
4,637
807
3,892
7,706
19.4
-15.8
1,455
251
1,430
7,430
2,519
33.9
4,911
-17.0
0
4,911
41,814
12.8
23,834
4,892
840
4,408
7,840
18.7
18.0
1,483
262
1,430
7,525
2,551
33.9
4,974
10.9
0
4,974
42,705
-2.5
24,342
4,996
847
4,512
8,007
18.8
-5.0
1,486
284
1,430
7,668
2,599
33.9
5,068
-23.8
0
5,068
41,824
7.7
23,840
4,893
867
4,456
7,767
18.6
19.7
1,520
295
1,430
7,383
2,503
33.9
4,880
43.2
0
4,880
160,472
11.0
94,290
17,851
2,923
15,435
29,973
18.7
-14.3
5,754
1,071
5,450
28,598
8,130
28.4
20,468
-11.4
3,399
23,867
165,974
3.4
94,605
19,419
3,362
0
17,268
31,320
18.9
4.5
5,944
1,092
5,722
30,006
10,172
33.9
19,834
-3.1
19,834
E: MOSt Estimates; Till Last Quarter GAIL was giving Internal Consumption for gas consumed in under Income Head.; From 4Q it has
discontinued this in line with AS 9 guidelines of ICAI. It has recast the previous period figures.
Anil Sharma (AnilSharma@MotilalOswal.com);Tel: +91 22 39825413/Harshad Borawake (HarshadBorawake@motilaloswal.com) Tel: 39825432
29 June 2007
194

Results Preview
SECTOR: OIL & GAS
HPCL
STOCK INFO.
BLOOMBERG
REUTERS CODE
BSE Sensex: 14,651 HPCL IN
S&P CNX: 4,318
HPCL.BO
29 June 2007
Previous Recommendation: Buy
Buy
Rs268
EPS
P/E
(X)
P/BV
(X)
ROE
(%)
ROCE
(%)
EV/
EV/
SALES EBITDA
PAT
(RS M)
EPS
(RS) GROWTH (%)
Equity Shares (m)
52-Week Range
1,6,12 Rel. Perf. (%)
M.Cap. (Rs b)
M.Cap. (US$ b)
338.8
337/206
-6/-10/-24
90.7
2.2
YEAR
END
NET SALES
(RS M)
3/07A 969,182
3/08E
3/09E
900,926
885,273
12,682
9,221
10,974
37.4
27.2
32.4
117.7
-27.3
19.0
7.2
9.8
8.3
1.0
1.0
0.9
13.6
9.7
11.0
11.4
6.8
8.2
0.2
0.2
0.2
6.3
7.6
6.6
?
?
?
?
?
?
We forecast net profit of Rs3.5b in 1QFY08 v/s loss of Rs6b in 1QFY07. HPCL had reported a loss in 1QFY07 as
the announcement of oil bonds was delayed to 2QFY07.
Our estimates for 1QFY08 assume oil bond issue of Rs11.4b and upstream discount of Rs10.1b. Delay in oil bonds
amount and/or lower recovery from upstream and oil bonds could lead to lower reported profits.
We anticipate lower reported GRM of US$7/bbl v/s US$7.57 in 1QFY07, and 6% decline in throughput at 3.9mmt.
News reports have indicated that HPCL has reduced its refining throughput, as it is upgrading some of its units to
produce Euro-III fuels.
However, like other state-owned oil-marketing companies, the key data to watch for are the extent of upstream
discounts and oil bonds from GoI. In FY07, HPCL’ gross under-recovery after budgetary subsidy was Rs100b.
s
However, its net under-recovery post oil bonds and upstream sharing was Rs9.7b, about 9% of gross under-recoveries.
For 1QFY08, we estimate HPCL’ gross under-recoveries post-budgetary support on SKO/LPG at Rs21.5b, and
s
assume that HPCL will share a higher net burden of 15%, resulting in net under-recoveries at Rs3.7b.
We believe that these negatives are already factored in the stock price. The stock is trading at 9.8x FY08E EPS. We
maintain
Buy.
(RS MILLION)
FY07
1Q
2Q
3Q
4Q
1Q
2Q
FY08E
3Q*
4Q
FY07
FY08E
QUARTERLY PERFORMANCE
Y/E MARCH
Sales
Change (%)
Raw Material Consumed
Staff Cost
Fininshed Goods Purchase
Other Exp, levies and stock adj
EBITDA
% of Net Sales
Change (%)
Depreciation
Interest
Other Income
PBT
Tax
Rate (%)
PAT
Change (%)
EO - Tax Prov Write back
Reported PAT
E: MOSt Estimates
226,795
39
90,409
1,657
114,243
25,652
-5,166
-2.3
nm
1,701
596
1,021
-6,442
-366
6
-6,077
nm
0
-6,077
262,351
47
100,016
2,202
121,223
22,447
16,462
6.3
1,964
1,742
983
1,925
15,663
3,443
22
12,220
nm
0
12,220
242,494
22
86,610
1,930
118,300
33,714
1,940
0.8
nm
1,733
1,046
2,466
1,627
584
36
1,044
nm
3,030
4,073
237,542
4.5
81,133
1,619
114,736
29,804
10,251
4.3
-47.8
1,864
1,527
1,964.4
8,824
3,329
37.7
5,495
-72.7
0
5,495.4
234,371
3
79,158
1,806
118,654
28,154
6,599
2.8
nm
1,845
1,323
1,848
5,278
1,789
34
3,489
nm
0
3,489.0
220,491
-16.0
73,424
2,092
114,239
26,550
4,187
1.9
-75
1,883
1,350
1,885
2,839
962
34
1,877
-84.6
0
1,877
222,392
-8.3
70,043
2,104
119,894
26,481
3,869
1.7
99
1,842
1,320
1,844
2,551
865
34
1,686
61.6
0
1,686
223,672
-5.8
67,031
2,147
123,502
26,361
4,632
2.1
-55
1,886
1,352
1,889
3,282
1,112
34
2,169
60.5
0
2,169
969,182
26.0
358,168
7,407
468,502
111,617
23,487
2.4
191.1
7,040
4,152
7,377
19,672
6,990
35.5
12,682
212.7
3,030
15,711.7
900,926
-7.0
289,655
8,148
476,290
107,546
19,287
2.1
-17.9
7,456
5,345
7,465
13,950
4,729
34
9,221
-27.3
0
9,221.3
Anil Sharma (AnilSharma@MotilalOswal.com);Tel: +91 22 39825413/Harshad Borawake (HarshadBorawake@motilaloswal.com) Tel: 39825432
29 June 2007
195

Results Preview
SECTOR: OIL & GAS
Indian Oil Corporation
STOCK INFO.
BLOOMBERG
REUTERS CODE
BSE Sensex: 14,651 IOC IN
S&P CNX: 4,318
IOC.BO
29 June 2007
Previous Recommendation: Buy
Buy
Rs443
EPS
P/E
(X)
P/BV
(X)
ROE
(%)
ROCE
(%)
EV/
EV/
SALES EBITDA
PAT
(RS M)
EPS
(RS) GROWTH (%)
Equity Shares (m)
52-Week Range
1,6,12 Rel. Perf. (%)
M.Cap. (Rs b)
M.Cap. (US$ b)
1,168.0
585/352
-7/-8/-27
517.7
8.5
YEAR
END
NET SALES
(RS M)
3/07A 2,329,888
3/08E 2,027,940
3/09E 2,118,023
*
Consolidated
61,227
59,272
60,200
52.4
50.7
51.5
24.1
-3.2
1.6
8.5
8.7
8.6
1.5
1.3
1.1
17.2
14.7
13.3
12.6
11.0
11.2
0.3
0.4
0.4
6.8
7.2
6.8
?
?
?
?
?
?
We forecast net profit of Rs16.7b for 1QFY08 v/s loss of Rs14.4b in 1QFY07, adjusting for sale of ONGC shares.
Our estimates for 1QFY08 assume oil bond issue of Rs29b and upstream discount of Rs25.7b. Delay in oil bonds
amount and/or lower recovery from upstream and oil bonds could lead to lower reported profits.
We anticipate strong refining performance due to higher margins and throughput. We expect reported GRM of
US$8.3/bbl v/s US$6.7/bbl in 1QFY07 and 20% higher throughput at 12mmt.
However, like other state-owned oil-marketing companies, the key data to watch remains the extent of upstream
discounts and oil bonds from GoI. In FY07, IOC’ gross under-recovery after budgetary subsidy was Rs286b.
s
However, its net under-recovery post oil bonds and upstream sharing was Rs21.9b – below 8% of gross under-
recoveries.
For 1QFY08, we estimate IOC’ gross under-recoveries post budgetary support on SKO/LPG at Rs64.3b, and
s
assume that IOC will share a higher net burden of 15%, resulting in net under-recoveries at Rs9.7b.
We believe that these negatives are already factored in, and the stock is inexpensive, given its long-term growth
potential. The stock is trading at 8.7x FY08E earnings. We maintain
Buy.
(RS MILLION)
FY07
1Q
2Q
3Q
4Q
1Q
2Q
FY08E
3Q
4Q
FY07**
FY08E**
QUARTERLY PERFORMANCE (STANDALONE)
Y/E MARCH
Net Sales
Change (%)
Raw Material Consumed
Staff Cost
Fininshed Goods Purchase
Other Exp (incl Stock Adj)
EBITDA
% of Net Sales
Change (%)
Depreciation
Interest
Other Income
PBT
Tax
Rate (%)
PAT
Change (%)
Extraordinary Items
PAT incl EO
486,884
26.0
200,298
4,893
262,155
27,983
-8,445
-1.7
-277.2
5,750
3,344
3,153
-14,387
56
-0.4
-14,443
nm
32,248
17,805
577,665
44.1
249,671
6,188
271,402
10,045
40,359
7.0
166.5
6,650
3,619
6,176
36,267
5,765
15.9
30,503
221.4
0
30,503
544,378
22.9
233,701
5,051
260,067
27,647
17,912
3.3
901.3
6,770
3,831
7,807
15,117
4,527
29.9
10,590
nm
0
10,590
544,609
7.5
201,929
10,077
246,665
35,497
50,442
9.3
-3.3
7,169
4,261
9,512
48,525
19,508
40.2
29,017
-18.8
-12,920
16,097
604,811
24.2
238,021
6,919
302,694
27,062
30,114
5.0
nm
7,456
3,988
6,575
25,246
8,558
33.9
16,688
nm
0.0
16,688
543,492
-5.9
216,461
7,234
272,658
25,313
21,826
4.0
-45.9
7,312
3,911
6,855
17,457
5,918
33.9
11,539
-62.2
0.0
11,539
565,463
3.9
212,576
7,548
299,910
25,245
20,184
3.6
12.7
7,025
3,758
7,135
16,536
5,606
33.9
10,930
3.2
0.0
10,930
580,820 2,153,536 2,294,585
6.6
209,736
8,806
25,245
21,019
3.6
-58.3
6,882
3,681
7,415
17,870
6,058
33.9
11,812
-59.3
0.0
11,812
24.0
885,598
26,209
101,172
100,269
4.7
35.7
26,339
15,055
26,647
85,522
29,855
34.9
55,667
24.9
19,328
74,995
6.5
876,794
30,507
102,864
93,144
4.1
-7.1
28,675
15,338
27,979
77,110
26,140
33.9
50,970
-8.4
0
50,970
316,014 1,040,288 1,191,276
E: MOSt Estimates; ** 4Q and FY07 numbers includes IBP’ numbers for 4th quarter; FY08 includes IBP numbers
s
Anil Sharma (AnilSharma@MotilalOswal.com);Tel: +91 22 39825413/Harshad Borawake (HarshadBorawake@motilaloswal.com) Tel: 39825432
29 June 2007
196

Results Preview
SECTOR: OIL & GAS
Indraprastha Gas
STOCK INFO.
BLOOMBERG
REUTERS CODE
BSE Sensex: 14,651 IGL IN
S&P CNX: 4,318
IGAS.BO
29 June 2007
Not Rated
Rs121
PAT
(RS M)
EPS
EPS
P/E
(X)
P/BV
(X)
ROE
(%)
ROCE
(%)
EV/
EV/
(RS) GROWTH (%)
SALES EBITDA
Equity Shares (m)
52-Week Range
1,6,12 Rel. Perf. (%)
M.Cap. (Rs b)
M.Cap. (US$ b)
140.0
130/89
2/-2/-28
17.0
0.4
YEAR
END
NET SALES
(RS M)
3/07A
3/08E
3/09E
6,141
6,958
7,594
1,380
1,640
1,780
9.9
11.7
12.7
29.7
18.9
8.6
12.3
10.3
9.5
3.6
2.9
2.4
32.6
31.1
27.4
43.2
43.2
38.0
2.5
2.0
1.8
6.1
4.5
4.1
?
We expect IGL to report PAT of Rs404m in 1QFY08, up 46.2% YoY primarily due to volume growth at its current
network.
We expect EBITDA margins to sustain in 1QFY08, as IGL currently faces no competition in its operating area.
IGL added 8 stations in FY07 to increase its network to 153 CNG stations. We expect these stations to maintain
volume growth rate, as more vehicle conversions take place.
Though the volumes from buses have peaked out; conversion of passenger vehicles and taxis led by regulatory norms
will be the key growth driver for CNG.
PNG business in 1QFY08 is expected to grow at a higher rate due to its smaller base. However, long-term growth
will depend on the availability of the gas supplies.
The company is currently implementing a Rs1.7b expansion program for its fuel stations as well as PNG network,
which would contribute to revenues in 2HFY08.
IGL is trading at 10.3x FY08E EPS. We do not have a rating on the stock.
(RS MILLION)
FY07
1Q
2Q
3Q
4Q
1Q
2Q
FY08E
3Q
4Q
FY07
FY08E
?
?
?
?
?
?
QUARTERLY PERFORMANCE
Y/E MARCH
Net Sales
Change (%)
Raw Material Consumed
Staff Cost
Other Exp (incl Stock Adj)
EBITDA
% of Net Sales
Change (%)
Depreciation
Other Income
PBT
Tax
Rate (%)
PAT
Change (%)
E: MOSt Estimates
1,358
19.1
586
31
199
541
39.9
23.8
150
22
413
137
33.1
276
36.5
1,542
15.0
675
36
186
645
41.9
20.1
150
23
518
170
32.9
348
28.7
1,599
16.7
721
36
188
654
40.9
12.4
150
24
528
173
32.8
355
21.0
1,643
21.1
696
38
198
711
43.3
22.5
149
34
596
196
32.8
401
34.6
1,686
24.2
713
37
204
731
43.4
35.1
150
30
611
207
33.9
404
46.2
1,732
12.3
733
38
208
753
43.5
16.6
164
28
617
209
33.9
408
17.2
1,771
10.8
749
40
212
770
43.5
17.8
165
20
625
212
33.9
413
16.4
1,769
7.7
748
40
211
770
43.5
8.3
174
32
628
213
33.9
415
3.6
6,141
17.9
2,677
141
771
2,552
41.6
19.4
598
102
2,056
676
32.9
1,380
29.7
6,958
13.3
2,944
155
835
3,024
43.5
18.5
653
110
2,481
841
33.0
1,640
18.9
Anil Sharma (AnilSharma@MotilalOswal.com);Tel: +91 22 39825413/Harshad Borawake (HarshadBorawake@motilaloswal.com) Tel: 39825432
29 June 2007
197

Results Preview
SECTOR: OIL & GAS
IPCL
STOCK INFO.
BLOOMBERG
REUTERS CODE
BSE Sensex: 14,651 IPCL IN
S&P CNX: 4,318
IPCL.BO
29 June 2007
Previous Recommendation: Sell
Neutral
Rs343
EPS
P/E
(X)
P/BV
(X)
ROE
(%)
ROCE
(%)
EV/
EV/
SALES EBITDA
PAT
(RS M)
EPS
(RS) GROWTH (%)
Equity Shares (m)
52-Week Range
1,6,12 Rel. Perf. (%)
M.Cap. (Rs b)
M.Cap. (US$ b)
301.5
359/227
-5/13/-8
103.4
2.5
YEAR
END
NET SALES
(RS M)
3/07A
3/08E
3/09E
121,290
127,500
122,400
15,020
13,448
11,583
49.8
44.6
38.4
43.9
-10.5
-13.9
6.9
7.7
8.9
1.6
1.3
1.2
23.2
17.2
12.9
23.8
20.8
15.7
1.0
0.9
0.2
4.7
4.6
5.2
?
We expect net profit of Rs2.8b v/s Rs2.6b in 1QFY07. We expect PBT to be flat. The lower PAT in 1QFY07 was
due to large tax provisions in 1QFY07.
On 10 March 2007, the Boards of both RIL and IPCL have approved the merger of IPCL with RIL, with the
appointed date of merger as 1 April 2006. The merger ratio is 1 share of RIL for every 5 shares of IPCL.
Shareholders and creditors have approved IPCL’ amalgamation scheme with RIL. The Mumbai High Court also
s
sanctioned the scheme on 12 June 2007. Sanction is now pending from Gujarat High Court.
We believe that the stock would continue to move broadly in 1:5 ratio of RIL, till the merger process is consummated.
IPCL is trading at 7.7x FY08E EPS. Our current rating on IPCL is
Neutral.
(RS MILLION)
FY07
1Q
2Q
3Q
4Q
1Q
2Q
FY08E
3Q
4Q
FY07
FY08E
?
?
?
?
QUARTERLY PERFORMANCE (MERGED)
Y/E MARCH
Net Sales
Change (%)
Change in Stocks
Raw Material Consumed
Staff Cost
Other Expenses
EBITDA
% of Net Sales
Change (%)
Depreciation
Interest
Other Income
PBT
Tax
Rate (%)
Adjusted PAT
Change (%)
Extra-ordinary Items
Reported PAT
E: MOSt Estimates
30,180
15.1
1,750
14,960
1,390
6,490
5,590
18.5
19.7
1,320
510
620
4,380
1,800
41.1
2,580
10.7
0
2,580
30,480
17.8
-1,360
17,290
1,210
6,970
6,370
20.9
38.2
1,350
370
1,180
5,830
2,320
39.8
3,510
74.6
0
3,510
30,560
9.1
-90
15,920
1,260
6,660
6,810
22.3
28.0
1,440
320
740
5,790
1,740
30.1
4,050
40.1
0
4,050
30,070
3.2
1,600
15,340
1,340
5,890
5,900
19.6
4.6
1,480
300
500
4,620
-260
-5.6
4,880
52.0
-4,700
180
31,748
5.2
17,144
1,460
6,800
5,619
17.7
0.5
1,458
320
490
4,331
1,468
33.9
2,863
11.0
0
2,863
32,130
5.4
17,350
1,271
6,394
6,362
19.8
-0.1
1,444
310
480
5,088
1,725
33.9
3,363
-4.2
0
3,363
32,194
5.3
17,385
1,323
6,407
6,761
21.0
-0.7
1,415
290
470
5,525
1,873
33.9
3,652
-9.8
0
3,652
31,429
4.5
16,972
1,407
6,254
6,631
21.1
12.4
1,410
280
460
5,401
1,831
33.9
3,570
-26.8
0
3,570
121,290
11.1
1,900
63,510
5,200
26,010
24,670
20.3
21.9
5,590
1,500
3,040
20,620
5,600
27.2
15,020
43.9
-4,700
10,320
127,500
4.0
0
68,850
5,460
26,775
25,373
19.9
2.8
5,727
1,200
1,900
20,345
6,897
33.9
13,448
-10.5
0
13,448
Anil Sharma (AnilSharma@MotilalOswal.com);Tel: +91 22 39825413/Harshad Borawake (HarshadBorawake@motilaloswal.com) Tel: 39825432
29 June 2007
198

Results Preview
SECTOR: OIL & GAS
ONGC
STOCK INFO.
BLOOMBERG
REUTERS CODE
BSE Sensex: 14,651 ONGC IN
S&P CNX: 4,318
ONGC.BO
29 June 2007
Previous Recommendation: Buy
YEAR
END
NET SALES
(RS B)
PAT
(RS B)
EPS
EPS
P/E
(X)
P/BV
(X)
ROE
(%)
ROCE
(%)
EV/
(RS) GROWTH (%)
Buy
Rs902
EV/
SALES EBITDA
Equity Shares (m)
52-Week Range
1,6,12 Rel. Perf. (%)
M.Cap. (Rs b)
M.Cap. (US$ b)
2,138.9
989/672
-3/-3/-16
1,929.6
47.4
3/07A
3/08E
3/09E
822.5
897.7
905.4
177.7
189.9
188.0
83.1
88.8
87.9
15.4
6.8
6.8
10.8
10.1
10.2
2.9
2.5
2.3
29.5
26.9
23.3
34.4
30.4
25.4
2.0
2.0
2.0
5.3
4.8
4.8
Consolidated
?
?
?
?
?
?
We estimate ONGC’ net profit for 1QFY08 at Rs39.5b v/s Rs41.2b for 1QFY07. The decline would be primarily
s
due to Rupee appreciation compensated by lower under-recovery YoY and higher oil price realization.
Bonnylight prices remained flat YoY. The average price for 1QFY08 was US$71.10/bbl v/s US$71.37/bbl in 1QFY07.
High subsidy sharing burden and uncertainties regarding its quantum and timing remain the major concerns. In FY07,
the upstream sector was asked to give discounts of Rs205b – 41.5% of the total under-recovery of Rs493.8 for oil-
marketing companies. ONGC’ burden of Rs170b was nearly 83% of the total burden shared by upstream companies.
s
For 1QFY08, we assume upstream sharing burden at 40%, and estimate ONGC’ burden at Rs40.6b.
s
To make subsidy sharing transparent and equitable, ONGC is understood to make representation to government.
Acceptance of ONGC suggestions may lead to lower subsidy burden than our estimates and will provide upsides.
The Tariff Commission has recently revised producer price of ONGC from Rs3,200/mscm to Rs3,600/mscm. Adjusted
for WPI increase, current producer price works out to Rs3,710/mscm, a rise of 16%. Implementation of the new
price from 2QFY07 would provide earnings upside for the gas business.
We remain positive on the stock in view of oil prices remaining high, improved gas pricing and also significant growth
pipeline from ONGC as well as OVL. Concern remains on lack of transparency, high quantum and timing of subsidy
sharing. The stock is trading at 9.1x FY08E earnings. We maintain
Buy.
(RS BILLION)
FY07
1Q
2Q
3Q
4Q
1Q
2Q
FY08E
3Q
4Q
FY07
FY08E
QUARTERLY PERFORMANCE (STANDALONE)
Y/E MARCH
Net Sales
Change (%)
Raw Material and Purchases
Statutory Levies
Employee Costs
Other Exp (incl Stock Adj)
EBITDA
% of Net Sales
Change (%)
Depreciation
Interest
Other Income
PBT
Tax
Rate (%)
PAT
Change (%)
Reported PAT
E: MOSt Estimates
146.0
34.3
17.5
31.1
3.0
13.3
81.1
55.5
32.8
22.3
0.0
4.2
63.0
21.8
34.6
41.2
24.1
41.2
140.7
11.0
17.0
29.8
3.2
17.2
73.4
52.2
2.6
18.5
0.0
9.4
64.3
19.5
30.4
44.8
8.2
41.7
155.6
24.8
15.4
30.6
5.0
15.5
89.1
57.2
21.0
25.6
0.1
7.0
70.5
23.8
33.8
46.7
20.0
46.7
124.0
4.2
13.4
28.4
6.0
22.4
53.7
43.3
-20.1
28.6
0.1
16.0
41.0
15.2
37.0
25.8
5.7
26.8
146.5
0.3
20.3
31.6
4.0
13.0
77.5
52.9
-4.8
24.1
0.0
6.6
59.9
20.4
34.0
39.5
-4.1
39.5
146.9
4.4
19.8
31.7
4.1
13.0
78.2
53.2
1.9
24.1
0.1
6.6
60.6
20.6
34.0
40.0
-10.7
40.0
145.3
-6.7
19.5
31.3
4.2
13.0
77.2
53.2
-7.1
24.1
0.1
6.6
59.6
20.3
34.0
39.4
-15.6
39.4
149.9
20.9
20.6
32.5
4.5
13.0
79.1
52.8
21.9
24.1
0.0
6.6
61.5
20.9
34.0
40.6
57.2
40.6
566.3
18.2
63.3
119.9
17.2
68.5
297.3
52.5
8.7
95.0
0.2
36.6
238.8
80.3
33.6
158.5
14.9
156.4
588.5
3.9
80.2
127.2
16.8
52.2
312.0
53.0
4.9
96.5
0.2
26.3
241.6
82.2
34.0
159.5
0.6
159.5
Anil Sharma (AnilSharma@MotilalOswal.com);Tel: +91 22 39825413/Harshad Borawake (HarshadBorawake@motilaloswal.com) Tel: 39825432
29 June 2007
199

Results Preview
SECTOR: OIL & GAS
Reliance Industries
STOCK INFO.
BLOOMBERG
REUTERS CODE
BSE Sensex: 14,651 RIL IN
S&P CNX: 4,318
RELI.BO
29 June 2007
Previous Recommendation: Neutral
YEAR
END
NET SALES
(RS B)
PAT
(RS B)
EPS
EPS
P/E
(X)
P/BV
(X)
ROE
(%)
ROCE
(%)
Neutral
Rs1,700
EV/
EV/
SALES EBITDA
(RS) GROWTH (%)
Equity Shares (m)
52-Week Range
1,6,12 Rel. Perf. (%)
M.Cap. (Rs b)
M.Cap. (US$ b)
1,393.5
1,785/940
-5/28/23
2,369.4
58.1
3/07A
3/08E
3/09E
1,161.8
1,164.7
1,141.3
123.3
130.9
155.3
84.8
90.1
98.7
30.3
6.2
9.6
20.0
18.9
17.2
3.6
3.1
2.5
22.7
19.0
17.6
20.0
17.0
15.3
2.3
2.3
2.4
12.9
12.0
12.0
Includes IPCL from FY07E
?
?
?
?
?
?
We expect net profit of Rs31.1b, up 22% YoY largely on account of buoyant refining margins. On trailing quarter
basis, we expect profits to increase by 9%.
Global refining margins remained very high in 1QFY08. Singapore crack margins increased from US$8.9/bbl to
US$9.5/bbl. The increase was even higher in case of crack margins in Europe and North America.
From 1QFY08, RIL’ refinery has got EOU status. We believe it is now exporting a larger share of its products to
s
higher netback markets. This should result in even higher premiums over Singapore benchmark. These premiums
were US$3.5/bbl in 1QFY07, US$6.2/bbl in 4QFY07 and US$5.6/bbl for FY07.
For 1QFY08, we assume RIL’ premium over Singapore to be US$5/bbl, translating to our expected GRM of
s
US$14.5/bbl.
Petrochemical margin downtrend continues, and there has been a sharp decline in recent months due to sharp
increase in naphtha prices. We do not expect any significant recovery in polyester chain margins. Though feedstock
costs have increased, cotton prices, which provide a ceiling, have not moved up in tandem. On the polymer side,
though prices remain high, we believe the downturn is inevitable in view of very large capacity coming up in the
Middle East and China in 2009.
The stock is trading at 18.9x FY08E EPS and an EV of 12x FY08E EBITDA. We maintain
Neutral.
(RS MILLION)
FY07
1Q
2Q
3Q
4Q
1Q
2Q
FY08E
3Q
4Q
FY07
FY08E
QUARTERLY PERFORMANCE
Y/E MARCH
Net Sales
Change (%)
RM (Incl. Inc/Dec in Stock)
Staff Cost
Other Expenditure
EBITDA
% of Net Sales
Change (%)
Depreciation
Interest
Other Income
PBT
Tax
Rate (%)
PAT
Change (%)
E: MOSt Estimates
245,220
37.9
175,250
3,180
24,420
42,370
17.3
18.8
9,070
2,660
440
31,080
5,610
18.1
25,470
10.3
284,740
37.4
215,120
2,840
21,130
45,650
16.0
23.0
10,180
2,780
220
32,910
5,820
17.7
27,090
9.2
264,720
45.7
194,290
2,860
20,480
47,090
17.8
58.2
10,620
2,930
420
33,960
5,970
17.6
27,990
57.6
258,950
5.5
184,530
3,090
24,340
46,990
18.1
16.1
10,220
2,770
850
34,850
6,320
18.1
28,530
14.0
292,312
19.2
211,131
3,625
27,200
50,356
17.2
18.8
10,109
3,220
852
37,879
6,744
17.8
31,135
22.2
259,989
-8.7
188,541
3,238
19,520
48,691
18.7
6.7
11,346
2,981
969
35,332
6,290
17.8
29,042
7.2
246,568
-6.9
177,182
3,260
18,151
47,975
19.5
1.9
11,837
2,624
1,162
34,678
6,174
17.8
28,504
1.8
244,179
-5.7
173,248
3,573
18,850
48,508
19.9
3.2
11,391
3,101
891
34,908
6,215
17.8
28,693
0.6
1,053,630 1,043,049
29.7
769,190
11,970
90,370
182,100
17.3
27.3
40,090
11,140
1,930
132,800
23,720
17.9
109,080
20.3
-1.0
750,101
13,696
83,720
195,530
18.7
7.4
44,682
11,925
3,874
142,797
25,423
17.8
117,374
7.6
Anil Sharma (AnilSharma@MotilalOswal.com);Tel: +91 22 39825413/Harshad Borawake (HarshadBorawake@motilaloswal.com) Tel: 39825432
29 June 2007
200

Results Preview
QUARTER ENDED JUNE 2007
Pharmaceuticals
BSE Sensex: 14,651
S&P CNX: 4,318
29 June 2007
COMPANY NAME
PG.
Aurobindo Pharma
Aventis Pharma
Biocon
Cadila Healthcare
Cipla
Dishman Pharma
Divi’ Laboratories
s
Dr Reddy’ Labs.
s
GSK Pharma
Jubilant Organosys
Lupin
Nicholas Piramal
Pfizer
Ranbaxy Labs.
Shasun Chemicals
Sun Pharmaceuticals
Wockhardt
210
211
212
213
214
215
216
217
218
219
220
221
222
223
224
225
226
MNCs and top three generic companies’performance likely to be muted
MOSt Pharma universe sales growth for 1QFY08E is likely to be tempered to 15%
YoY, mainly due to higher base effect resulting from one-time opportunities last year
and currency appreciation. The big-3 generic companies (by sales) are likely to report
flat topline growth mainly due to 19% sales decline for Dr. Reddy’ Labs. Other Indian
s
companies are expected to record 32% topline growth, led mainly by commercialization
of their product pipeline and consolidation of acquired companies.
We expect MNC Pharma to report topline growth of only 4.3% (mainly due to the
proposed divestment of consumer healthcare business for Pfizer and animal healthcare
business for GSK Pharma). Overall EBITDA margins for MOSt Pharma universe are
expected to decline by 100bp YoY, as the Big 3 generic companies report 420bp margin
decline on the high base of last year. EBITDA margins for other Indian companies
would witness margin expansion of 105bp. EBITDA margins for the MNC players are
expected to improve by 29bp to 29.2% led mainly by a 293bp expansion for GSK Pharma
(due to divestment of animal healthcare business and increasing contribution from new
launches). Overall, we expect MOSt Pharma universe’ PAT to grow by 24.2% YoY,
s
with MNC Pharma reporting growth of only 7.6% YoY and other Indian Pharma group’
s
PAT growing by 45.5%. The Big-3 generic companies are expected to record just 2%
PAT growth mainly due to a 31% decline in PAT for Cipla. PAT for Ranbaxy and Sun
(RS MILLION)
SALES
JUN.07
CHG. (%)
JUN.07
EBITDA
CHG. (%)
NET PROFIT
JUN.07
CHG. (%)
EXPECTED QUARTERLY PERFORMANCE SUMMARY
RECO
Pharmaceuticals
Aurobindo Pharma
Aventis Pharma
Biocon
Cadila Health
Cipla
Dishman Pharma
Divis Labs
Dr Reddy’ s Labs
GSK Pharma
Jubiliant Organosys
Lupin
Nicholas Piramal
Pfizer
Ranbaxy Labs
Shasun Chemicals
Sun Pharma
Wockhardt
Sell
Buy
Buy
Buy
Buy
Buy
Neutral
Buy
Buy
Buy
Neutral
Buy
Neutral
Buy
Buy
Buy
Neutral
5,513
2,476
2,654
5,224
9,840
2,100
2,323
11,323
4,232
5,091
6,807
6,887
1,771
16,149
1,001
5,931
6,434
95,755
25.7
11.1
25.2
17.2
13.9
155.4
44.4
-19.4
4.7
23.4
35.0
31.8
-4.6
10.9
4.9
18.9
55.9
15.1
896
661
742
1,061
1,468
415
1,036
1,868
1,435
877
1,250
1,022
380
2,261
156
2,011
1,409
18,948
36.0
6.7
36.5
18.1
-35.9
105.3
124.8
-15.7
14.6
25.5
92.8
16.5
-20.6
-14.6
7.0
11.0
57.1
9.2
729
483
480
670
1,177
319
844
1,260
1,037
635
977
575
280
1,915
70
2,418
706
14,577
101.2
10.0
21.9
14.8
-30.9
72.8
215.4
-7.1
13.9
37.8
82.4
6.8
-13.4
58.2
13.6
36.8
11.4
24.2
Sector Aggregate
Shasun: Excluding acquisition of Rhodia
Nimish Desai (Nimishdesai@MotilalOswal.com); Tel: +91 22 39825406/Jinesh K Gandhi (Jinesh@MotilalOswal.com); Tel +91 22 39825416
29 June 2007
201

Pharmaceuticals
Pharma will be boosted due to the translation gains on FCCB loans arising from currency
appreciation. Top-line performance of MNCs is likely to be impacted by company-specific
factors –divestment of animal healthcare business for GSK and divestment of consumer
healthcare business for Pfizer.
Pressure on global healthcare budgets and ageing population will ensure
buoyant demand for generics
Globally, governments are under constant pressure to lower healthcare costs and to increase
access to medicines. This is likely to result in more favorable legislation for generics
globally, although it may result in lower generic prices in some markets. Generics will
continue to see robust demand across markets, led by macroeconomic factors such as
ageing population, pressure on global healthcare budgets, increasing penetration of generic
drugs (particularly in some EU and semi-regulated markets) and patent expiries.
Patent expiries to drive generics growth in regulated markets
We expect US$45b-US$50b worth of products to go off-patent in the US alone by 2009.
At an average of 97% price discount, this is likely to result in a potential market worth
US$1.5b for generics players over the next three years. Western Europe will witness
patent expiries worth about US$6b in the same period. Many countries (for e.g. Japan)
are likely to encourage generics to reduce their healthcare costs. All this will ensure that
generic volumes continue to expand further.
US generic prices already at 97-99% discount, further declines insignificant
Prices for patent-expired products in the US are already at 97-99% discount to the
innovator’ price. While we do not expect any significant improvement in the competitive
s
landscape in the short-to-medium term, we believe that further price declines may not be
very significant. Price deflation commenced in CY04 and we are already into the fourth
year of successive price decline.
Low penetration to drive double-digit growth in many European markets
We believe that the generic penetration in several European markets is extremely low.
Barring Germany and the UK, generic penetration in most of the regulated markets in
Europe (France, Spain, Italy, Belgium) is in single digits. Japan, the second largest
pharmaceutical market, also has a generic penetration of merely 5%. This implies that as
more drugs go off-patent in these markets and as respective governments enact favorable
legislation, generic penetration in these markets is likely to improve significantly. The larger
Indian generic players have already entered these markets (either via the inorganic route
or via partnerships), which should augur well for these companies in the long term.
29 June 2007
202

Pharmaceuticals
RoW markets offer an attractive opportunity with higher margins
The size of the semi-regulated markets is expected to increase from US$40b in 2005 to
US$50b-US$60b by 2009. The opportunity spans more than 150 markets through Latin
America, Asia, Eastern Europe and Australia. The current market share of Indian companies
is merely about 6%, implying that there is substantial room for growth. Secondly, most of
these markets are branded generic markets, thus, resulting in better margins compared
with the US generic market (GPM of about 60-70% compared with about 40-50% for the
US). Indian generic companies have already established a reasonable presence in some
of these markets (like Russia, Latam) while they are in the process of strengthening their
presence in some of the other markets (like China, Australia, New Zealand).
Anti-AIDS also presents a large volume opportunity with stable margins
Unlike popular belief, we believe that that the anti-AIDS market offers a reasonable
upside to Indian companies like Ranbaxy and Cipla. Besides Indian companies, no other
generic player is active in this market as it was assumed that the supplies would entail
significantly lower margins. Contrary to this belief, the anti-AIDS opportunity offers large
volumes with reasonable margins (EBITDA margins of 15-20%) for the Indian players.
Consolidation to gain further steam ahead, risks of extended payback remain
Intense price competition in the traditional generic market of the US and UK has forced
most generic players to expand geographically and also focus on backward integration.
This has led to a big consolidation wave in the global generic industry with large players
such as Teva and Sandoz successfully polarizing the market in their favor (via big-ticket
acquisitions). While acquisitions are imperative to gain scale, we believe that current
valuations for generic assets are extremely demanding implying that inorganic growth for
Indian players is likely to arise at the cost of extended paybacks of about 8-10 years.
Cost structures are being re-aligned/de-risked
To counter the pricing pressure in regulated markets, Indian generic companies have
embarked on a cost control cum de-risking drive. Costs are being reduced by focusing on
conducting in-house bioequivalence studies, controlling SG&A costs and adopting a
pragmatic approach towards patent challenges (leading to out-of-court settlements thus
capping litigation costs). Ranbaxy is a typical example of this approach. Dr. Reddy’ Labs
s
has de-risked its R&D and fixed costs by resorting to external funding and partnering with
private equity investors. Sun Pharma is in the process of de-risking its NCE/NDDS research
by demerging this unit into a separate company with the potential of attracting partners at
a future date.
29 June 2007
203

Pharmaceuticals
Which generic models will succeed?
In our opinion, the winning business model will include a combination of:
1. Vertical integration
2. Low cost of manufacture
3. Geographically diversified presence
4. Wide product basket
5. Strong balance sheet
The table below indicates the status of Indian players vis-à-vis each of the above parameters:
PARAMETER
PRE-REQUISITE
STATUS OF INDIAN PLAYERS
Vertical Integration
Complete integration from
manufacturing of inter-
mediates to formulations
Most Indian players are vertically
integrated
Most Indian players have a strong
manufacturing base in India
Ranbaxy & Cipla have a fairly
diversified geographical portfolio
The top four generic Indian players
have large product baskets. Other
Indian companies in the process of
widening their portfolios
Amongst the leading players only Sun
Pharma has the balance sheet strength
to fund large acquisitions without
significantly diluting equity capital
Source: Motilal Oswal Securities
Manufacturing locations
Geographical Diversification
Product Basket
Access to low-cost
manufacturing base like India
Right mix of regulated and
semi-regulated markets
Wide product basket
including various dosage
forms with some niche
products & FTFs
Financial Health
Strong balance sheet to
manage litigation risks,
acquisitions etc.
US pricing pressure, costly acquisitions – already discounted in current
valuations
While valuations for Ranbaxy and Dr Reddy’ reflect extreme pessimism led by intense
s
generics, pricing pressure and expensive acquisitions made by these companies, that for
Sun Pharma reflect the consistency of performance over the past seven years and their
conservative management style.
Sensitivity to US revenues likely to reduce in future for Ranbaxy and DRL
We believe that markets are currently discounting the 97-99% price erosion in the US
generic markets despite the fact that the sensitivity to US generic revenues is likely to
decline (particularly for Ranbaxy and DRL) in the coming years as initiatives in other
markets (which enjoy better margins) start contributing to revenues and profits.
Outsourcing opportunity gaining traction
More MNCs are visiting India for CRAMS tie-ups. We believe that India offers a unique
combination of skilled labor (at low costs), international regulatory compliance, IPR
protection, presence across CRAMS value chain and good quality. Most of the CRAMS
players are expecting a ramp-up in their contract manufacturing revenues.
29 June 2007
204

Pharmaceuticals
Large pharmaceutical companies like Pfizer, Merck (USA) etc., have undertaken a
restructuring of their manufacturing operations and are likely to focus on outsourcing to
reduce costs. We believe that India could be significant beneficiary of the increased
outsourcing.
Indian CRAMS players are also looking at acquisitions
Most of the Indian CRAMS players are looking at acquisitions to acquire more customer
relationships and contracts as well as get access to critical technologies. Nicholas Piramal
has already announced two acquisitions (Avecia and Pfizer’ UK unit at Morpeth) while
s
Shasun has acquired Rhodia’ custom manufacturing unit in UK. Dishman Pharma has
s
acquired Carbogen-AMCIS in Switzerland while Jubilant Organosys has recently acquired
Hollister in the US.
Most of the acquired companies were divested by their existing owners (mostly large
pharmaceutical/chemicals companies) as a part of their strategy of divesting non-core
assets. It is pertinent to note that most of these companies had invested significant resources
some years back to establish their presence in the CRAMS space. Failure/withdrawal of
some large molecules, intense generic competition and low R&D productivity (at the
customer’ end) has adversely impacted most of the CRAMS players in Europe and USA
s
over the past 3 years. This coupled with high fixed costs forced the owners to divest these
assets, which have been purchased by Indian CRAMS players at very reasonable valuations
(0.5-1x sales).
Top-line growth is imperative for turnaround of acquired CRAMS companies
Although, Indian CRAMS players have acquired these assets at very reasonable valuations
(0.5-1x sales), high fixed costs mandate that a turnaround is not feasible without topline
growth. It is also important to note that most of these CRAMS assets were divested post
restructuring (by their existing owners) implying that; there may not be any significant
room to cut costs further.
Turnaround may be achieved faster than anticipated
We are positively surprised by the increased business traction in the acquired CRAMS
companies. Increased order-flow coupled with a positive outsourcing stance (by the
innovator pharmaceutical companies) is helping CRAMS players to gain increased traction
in the custom manufacturing business. Carbogen-AMCIS, Avecia and Shasun’ UK units
s
are all witnessing better top-line growth. We believe that this is likely to shorten the turnaround
time for these companies (mainly for Avecia and Shasun)
29 June 2007
205

Pharmaceuticals
New Pharma Policy: Uncertainty continues
The outlook on the New Pharmaceutical Policy continues to be uncertain as the government
is yet to announce the final policy. We believe that there are still differences between the
government and the pharmaceutical industry which need to be ironed out. Major differences
concern the span and extent of price control on pharmaceutical products. Media reports
suggest that the government is not fully satisfied with the price cuts implemented by the
pharmaceutical industry in the generic-generics segment.
The new policy proposes to significantly increase the span of control by bringing in additional
354 drugs under price control. This could severely impact the profitability of the domestic
formulations business. Industry has taken strong objection to the proposed policy and we
believe that the policy is unlikely to be implemented in the current form. Given the strong
opposition from industry, the government has formed a Group of Ministers (GoM), which
would give final recommendations to the government regarding the new pharmaceutical
policy. However, the uncertainty related to this will remain until the government finally
notifies the new pharmaceutical policy.
It is important to note that these are only recommendations, pending announcement
of the final new drug policy. These recommendations may or may not undergo a
change in the final policy when the proposed policy is tabled in the cabinet for
approval.
Domestic market – showing double digit growth
The domestic formulation industry, has maintained its double-digit growth trajectory at
14.1% (on MAT basis) for Apr-2007. However, for the January-April 2007 period growth
has slowed down to 10.5%. While the growth has been primarily driven by higher volumes,
we also note that the industry is witnessing a positive price contribution (about 1-2%).
TREND IN DOMESTIC MARKET GROWTH
25.0
18.0
11.0
4.0
-3.0
Strong grow th of 24.7% on low base
w hich w as impacted due to VAT
VAT impact
Source: CRISINFAC/ORG IMS
29 June 2007
206

Pharmaceuticals
Outlook
Generics
We believe that the worst is over for Indian generic companies and expect gradual
improvement in their performance over the next two years. CY05-CY06 were the worst
years for generics mainly due to:
?
Increased competition due to aggressive filings from Indian companies and entry of
new players
?
Innovators have adopted an aggressive stance including price cuts (on branded
products), introduction of authorized generics, patent de-listing, and defending IPRs
vigorously.
?
Twin impact of intense competition and very few new launches due to lesser number
of patent expiries.
?
What has changed over CY05-CY06?
?
CY07-CY08 to witness patent expiry worth over US$30b leading to more new
launches – takes care of one of key impediments for generics
?
Pricing to remain intensely competitive due to entry of more players and government
pressures – however, significant price deterioration unlikely as generic prices are
already at 1-3% of innovator price
?
Expect more consolidation as generics gain scale and expand geographical reach
?
Indian generic companies have initiated cost-cutting measures (including R&D
hive-off)
?
Generics and innovators adopting a more pragmatic stance on patent litigations
leading to settlements.
?
Governments worldwide trying to reduce healthcare costs – expect regulation to
remain favorable
Our top picks in the generic space are
Ranbaxy
and
Sun Pharma.
MNC Pharma
We remain favorably inclined towards MNC Pharma stocks in the long term. In our view,
the current risk-reward equation is stacked in favor of MNC stocks. Leading Pharma
MNCs are geared to gain from the opportunities arising in the stronger patent regime post
2005. We remain bullish on the long-term prospects of these companies. The potential
upside from product patents would create ‘
option value’ in these stocks over the longer
term. It should be noted that some of the patented products may be launched by the parent
through the 100% subsidiary route. However, we believe that most of the mass-market
products (which need a large field force for promotion) are likely to be launched through
the listed entities. Our top picks among MNCs are
Aventis
and
GSK Pharma.
29 June 2007
207

Pharmaceuticals
CRAMS
We also believe that the Indian contract-manufacturing segment will see secular growth
(given India’ advantages) with the financial impact visible from FY08/09 onwards. We
s
remain favorably inclined towards CRAMS players like
Nicholas Piramal
and
Shasun
Chemicals.
TREND IN GROWTH / PROFITABILITY OF DIFFERENT SEGMENTS OF THE INDUSTRY (APRIL-JANUARY QUARTER)
INQUIRE PHARMA UNIVERSE
AGGREGATES
SALES
YOY GROWTH (%)
EBITDA
ADJ PAT
EBITDA MARGIN (%)
JUN’
07
JUN’
06
CHG (BP)
NET PROFIT MARGIN (%)
JUN’
07
JUN’
06
CHG (BP)
MNC Pharma (Aventis, GSK Pharma, Pfizer)
Indian Big-3 (Cipla, DRL, Ranbaxy) *
Other Indian Pharma
Sector Aggregate
* ranked according to revenues
4.3
0.2
32.0
15.1
5.4
-21.8
38.7
9.2
7.6
1.9
45.5
24.2
29.2
15.0
21.8
19.8
28.9
19.2
20.7
20.8
29
-420
105
-105
21.2
11.7
16.9
15.2
20.6
11.5
15.3
14.1
64
20
157
112
Source: Motilal Oswal Securities
29 June 2007
208

Pharmaceuticals
Stock performance and valuations
STOCK PERFORMANCE (%)
ABSOLUTE PERF
3M
1 YEAR
REL PERF TO SENSEX
3M
1 YEAR
REL PERF TO SECTOR
3M
1 YEAR
Pharmaceuticals
Aurobindo Pharma
Aventis Pharma
Biocon
Cadila Health
Cipla
Dishman Pharma
Divis Labs
Dr Reddy’ s Labs
GSK Pharma
Jubiliant Organosys
Lupin
Nicholas Piramal
Pfizer
Ranbaxy Labs
Shasun Chemicals
Sun Pharma
Wockhardt
RELATIVE PERFORMACE - 3 MONTHS (%)
19
17
-9
12
-12
44
89
-10
14
18
21
22
1
1
44
-3
-3
39
-1
24
32
-3
82
347
3
22
36
64
57
4
0
89
29
1
7
5
-21
0
-24
32
77
-22
1
6
9
10
-11
-11
32
-15
-16
1
-39
-14
-6
-41
44
309
-35
-16
-2
26
19
-34
-38
51
-9
-37
14
12
-15
7
-17
39
84
-15
8
13
16
17
-5
-5
38
-8
-9
14
-26
-1
7
-28
57
322
-22
-3
11
39
32
-21
-25
64
4
-24
RELATIVE PERFORMANCE - 1 YEAR (%)
Sensex
115
110
105
100
95
Mar-07
COMPARATIVE VALUATION
CMP (RS)
29.6.07
MOSt Pharmaceuticals Index
MOSt Pharmaceuticals Index
143
131
119
107
95
Jun-06
Sep-06
Dec-06
Sensex
Apr-07
May-07
Jun-07
Mar-07
Jun-07
RECO
FY07E
EPS (RS)
FY08E
FY09E
FY07E
P/E (X)
FY08E
FY09E
FY07E
EV/EBITDA
FY08E
FY09E
FY07E
ROE (%)
FY08E
FY09E
Pharmaceuticals
Aurobindo Pharma
Aventis Pharma
Biocon
Cadila Health
Cipla
Dishman Pharma
Divis Labs
Dr Reddy’ s Labs
GSK Pharma
Jubiliant Organosys
Lupin
Nicholas Piramal
Pfizer
Ranbaxy Labs
Shasun Chemicals
Sun Pharma
Wockhardt
Sector Aggregate
809
1,443
441
376
208
306
5,831
656
1,268
308
733
300
804
355
143
1,022
384
Sell
Buy
Buy
Buy
Buy
Buy
Neutral
Buy
Buy
Buy
Neutral
Buy
Neutral
Buy
Buy
Buy
Neutral
29.4
73.5
20.1
18.6
8.5
11.2
149.6
55.6
42.7
11.5
26.4
11.0
40.5
13.4
-0.6
37.4
22.3
45.6
81.0
23.0
22.0
9.7
15.4
206.9
35.5
48.1
17.0
36.6
14.5
38.2
16.5
11.5
41.8
25.3
62.9
27.6
91.2
19.6
27.2
22.0
25.8
20.2
11.8
24.5
18.5
27.2
255.2
39.0
41.8
11.8
56.2
29.7
19.7
26.8
39.2
27.8
17.9
27.3
38.2
19.8
20.5
26.4
14.1 -225.1
52.0
27.3
30.2
17.2
22.4
17.7
17.8
19.2
17.1
21.5
19.9
28.2
18.5
26.3
18.1
20.0
20.6
21.0
21.5
12.4
24.5
15.2
20.0
12.9
15.8
16.2
14.6
17.7
16.6
22.8
15.7
22.6
15.6
18.7
16.8
21.0
17.3
10.1
19.7
12.7
16.6
19.5
13.3
15.9
14.0
19.2
25.0
30.8
8.0
20.1
14.9
21.3
20.7
12.7
17.9
11.7
28.1
13.0
17.0
11.5
11.4
13.2
10.8
16.7
16.1
22.5
13.2
17.4
10.7
14.9
14.5
11.8
14.8
8.4
22.4
9.8
14.8
8.7
9.7
10.9
9.3
13.9
13.2
18.2
11.5
14.5
8.5
14.3
11.9
11.8
11.5
6.8
17.7
8.1
12.2
20.1
28.6
18.8
29.0
20.2
35.8
46.1
23.6
30.3
21.7
30.9
23.1
27.5
20.9
19.8
40.6
28.3
25.3
24.0
26.2
18.5
27.1
19.4
32.9
44.4
13.5
28.2
24.7
31.8
25.4
15.8
22.7
21.0
35.5
25.3
23.4
25.1
24.7
18.7
25.7
19.8
30.0
39.2
14.3
27.1
23.3
27.0
25.4
14.5
24.7
21.9
34.6
24.4
23.4
29 June 2007
209

Results Preview
SECTOR: PHARMACEUTICALS
Aurobindo Pharma
STOCK INFO.
BLOOMBERG
REUTERS CODE
BSE Sensex: 14,651 ARBP IN
S&P CNX: 4,318
ARBN.BO
29 June 2007
Previous Recommendation: Sell
Sell
Rs809
EPS
P/E
(X)
P/BV
(X)
ROE
(%)
ROCE
(%)
EV/
EV/
SALES EBITDA
PAT
(RS M)
EPS
(RS) GROWTH (%)
Equity Shares (m)
52-Week Range
1,6,12 Rel. Perf. (%)
M.Cap. (Rs b)
M.Cap. (US$ b)
53.3
819/536
16/8/1
43.1
1.1
YEAR
END *
NET SALES
(RS M)
3/07E
3/08E
3/09E
22,502
26,833
32,516
2,010
3,125
4,301
29.4
45.6
62.8
145.9
55.5
37.6
27.6
17.7
12.9
4.3
3.3
2.5
20.1
24.0
25.1
7.4
13.4
15.3
2.4
2.0
1.6
18.2
11.1
8.5
* Consolidated results
?
?
?
?
?
Aurobindo does not declare consolidated quarterly results. Our quarterly estimates are standalone, while annual
estimates are on a consolidated basis.
Sales are expected to be at Rs5.5b, growth of 25.7% YoY on account of improved traction in Pen-G based business
and incremental contribution from USA as well as higher ARV sales. EBITDA Margins are expected to improve by
130bp to 16.3% due to improvement in market and product mix.
Also, higher other income at Rs400m (up 134% YoY due to translation gains on FCCBs) and lower tax provisioning
(at 20% of PBT v/s 28.5% in 1QFY07) would boost PAT growth to 101% at Rs729m.
We have upgraded our earnings estimate for FY08E by 8.6% and for FY09E by 17%, to factor in the increased
traction in US business and a favorable Pen-G cycle.
While the company has aggressively ramped up its filings in the regulated markets, we believe that being a late
entrant, it will have to play the price game to gain market share. We believe that it is currently in an investment mode
as far as some of the European markets are concerned. Recovery in the Pen-G cycle should benefit the company’
s
legacy business in the short-term. Given its high leverage and modest return ratios, we believe valuations at 17.7x
FY08E and 12.9x FY09E earnings are expensive. We maintain
Sell.
(RS MILLION)
FY07
1Q
2Q
3Q
4Q
1Q
2Q
FY08E
3Q
4Q
FY07
FY08E
QUARTERLY PERFORMANCE (STANDALONE)
Y/E MARCH
Net Sales
YoY Change (%)
Total Expenditure
EBITDA
Margins (%)
Depreciation
Interest
Other Income
PBT
Tax
Deferred Tax
Rate (%)
PAT
Adjusted PAT
YoY Change (%)
Margins (%)
E: MOSt Estimates
4,386
56.3
3,727
659
15.0
143
181
171
506
7
137
28.5
362
362
1,701.5
8.3
4,800
50.2
4,109
691
14.4
150
202
267
606
48
12
9.8
546
546
1,401.1
11.4
5,284
29.2
4,499
785
14.9
163
197
263
688
52
44
14.0
601
592
126.0
11.2
5,233
13.0
4,412
821
15.7
167
205
259
708
143
0
20.1
565
565
50.7
10.8
5,513
25.7
4,617
896
16.3
170
215
400
911
182
0
20.0
729
729
101.2
13.2
5,876
22.4
4,877
999
17.0
175
225
230
829
166
0
20.0
663
663
21.4
11.3
6,300
19.2
5,198
1,103
17.5
185
245
290
963
193
0
20.0
770
770
30.1
12.2
6,543
25.0
5,420
1,122
17.2
188
247
142
829
166
0
20.0
664
664
17.4
10.1
19,703
33.8
16,747
2,955
15.0
623
785
960
2,508
259
193
18.0
2,066
2,057
196.5
10.4
24,232
23.0
20,112
4,119
17.0
718
932
1,062
3,532
706
0
20.0
2,825
2,825
37.4
11.7
Nimish Desai (Nimishdesai@MotilalOswal.com); Tel: +91 22 39825406/Jinesh K Gandhi (Jinesh@MotilalOswal.com); Tel +91 22 39825416
29 June 2007
210

Results Preview
SECTOR: PHARMACEUTICALS
Aventis Pharma
STOCK INFO.
BLOOMBERG
REUTERS CODE
BSE Sensex: 14,651 HOEC IN
S&P CNX: 4,318
HOEC.BO
29 June 2007
Previous Recommendation: Buy
Buy
Rs1,443
EPS
P/E
(X)
P/BV
(X)
ROE
(%)
ROCE
(%)
EV/
EV/
SALES EBITDA
PAT
(RS M)
EPS
(RS) GROWTH (%)
Equity Shares (m)
52-Week Range
1,6,12 Rel. Perf. (%)
M.Cap. (Rs b)
M.Cap. (US$ b)
23.0
1,886/1,160
8/1/-39
33.2
0.8
YEAR
END*
NET SALES
(RS M)
12/06A
12/07E
8,821
9,661
1,693
1,867
2,101
73.5
81.0
91.2
3.2
10.2
12.6
19.6
17.8
15.8
5.6
4.7
3.9
28.6
26.2
24.7
42.0
39.6
37.4
3.3
2.9
2.5
13.3
11.4
9.7
12/08E 10,750
* Standalone results
?
Sales are expected to grow by 11.1% YoY to Rs2.47b aided by higher growth in exports (on low base of 2QCY06)
and stable growth in the domestic portfolio. The parent has commenced sourcing more products from APL and has
identified it as a global sourcing base for some of its patent-expired products like Paracetamol.
?
EBITDA margins are likely to decline by 110bp to 26.7% due to higher contribution from mature brands like Combiflam
and higher expenses related to increasing penetration in non-urban areas.
?
Rabipur update
- Rabipur (anti-rabies vaccine) is currently manufactured through a JV between APL and Chiron
(now Novartis) and marketed by APL. The JV agreement has expired recently and it was generally expected that
Rabipur will revert to Chiron. Management has indicated that it is currently negotiating with Novartis to renew the
agreement for future. Rabipur recorded sales of Rs780m on annualized basis.
?
We believe that APL will be one of the key beneficiaries of the patent regime in the long term. The parent has a
strong R&D pipeline with a total of 125 products under development, of which 25 are in Phase-III. It plans to file 40
NDAs by CY10E. We continue to remain positive on APL’ long-term prospects. We believe that at 15.8x CY08E
s
earnings, valuations are undemanding. We maintain
Buy.
QUARTERLY PERFORMANCE (STANDALONE)
Y/E DECEMBER
1Q
2Q
CY06
3Q
4Q
1Q
2QE
CY07
3QE
4QE
CY06
(RS MILLION)
CY07E
Net Sales
YoY Change (%)
Total Expenditure
EBITDA
Margins (%)
Depreciation
Interest
Other Income
PBT
Tax
Effective Tax Rate (%)
Reported PAT
Adj PAT
YoY Change (%)
Margins (%)
E: MOSt Estimates
2,005
16.2
1,513
492
24.5
43
0
96
545
176
32.3
369
369
56.4
18.4
2,228
4.4
1,609
619
27.8
42
1
90
666
227
34.1
439
439
28.4
19.7
2,431
8.8
1,744
687
28.3
43
0
156
800
262
32.8
538
538
8.2
22.1
2,176
11.2
1,749
427
19.6
51
1
111
486
139
28.6
347
347
-7.7
15.9
2,129
6.2
1,635
494
23.2
45
0
200
649
216
33.3
433
433
17.3
20.3
2,476
11.1
1,815
661
26.7
46
0
118
733
250
34.1
483
483
10.0
19.5
2,681
10.3
1,956
724
27.0
47
0
146
824
281
34.1
543
543
0.9
20.2
2,375
9.2
1,789
586
24.7
57
0
98
627
219
35.0
408
408
17.5
17.2
8,840
9.4
6,633
2,207
25.0
179
2
471
2,497
804
32.2
1,693
1,693
16.7
19.2
9,661
9.3
7,196
2,465
25.5
195
0
563
2,833
966
34.1
1,867
1,867
10.2
19.3
Nimish Desai (Nimishdesai@MotilalOswal.com); Tel: +91 22 39825406/Jinesh K Gandhi (Jinesh@MotilalOswal.com); Tel +91 22 39825416
29 June 2007
211

Results Preview
SECTOR: PHARMACEUTICALS
Biocon
STOCK INFO.
BLOOMBERG
REUTERS CODE
BSE Sensex: 14,651 BIOS IN
S&P CNX: 4,318
BION.BO
29 June 2007
Previous Recommendation: Buy
Buy
Rs441
EPS
P/E
(X)
P/BV
(X)
ROE
(%)
ROCE
(%)
EV/
EV/
SALES EBITDA
PAT
(RS M)
EPS
(RS) GROWTH (%)
Equity Shares (m)
52-Week Range
1,6,12 Rel. Perf. (%)
M.Cap. (Rs b)
M.Cap. (US$ b)
100.0
532/324
-10/12/-14
44.1
1.1
YEAR
END
NET SALES
(RS M)
3/07A
3/08E
3/09E
9,862
12,136
14,139
2,008
2,300
2,725
20.1
23.0
27.2
15.4
14.5
18.5
22.0
19.2
16.2
4.1
3.5
3.0
18.8
18.5
18.7
17.0
16.3
17.4
4.6
3.7
3.2
15.9
13.2
10.9
?
Biocon’ 1QFY08 sales are expected to grow by 25% YoY to Rs2.6b led by statins supplies to the US, traction in
s
enzymes business which faced capacity constraints last year and continued momentum in contract research services.
EBITDA margins are likely to expand by 240bp (to 28%) due to contribution from statins sales for US markets and
continuing traction in contract research services.
However, higher depreciation (up by 87% YoY) and higher interest cost (up by 80%) on account of commencement
of new facility, is likely to restrict PAT growth to 22% at Rs480m.
Syngene has recently entered into a pact with Bristol-Myers Squibb, for conducting discovery and early drug
development for the latter, through a dedicated research facility. This facility is likely to generate revenues from
FY09 onwards.
While some of Biocon’ initiatives appear promising, as of now, their visibility is poor. Biocon is currently valued at
s
19.2x FY08E and 16.2x FY09E earnings. Launch of bio-generics in regulated markets remains the key long-term
trigger, however, clarity on the regulatory pathway is still awaited from the US FDA. In the interim, Biocon’ initiatives
s
in the Insulin space are likely to be key growth drivers. Maintain
Buy.
(RS MILLION)
FY07
1Q
2Q
3Q
4Q
1Q
2Q
FY08E
3Q
4Q
FY07
FY08E
?
?
?
?
QUARTERLY PERFORMANCE (CONSOLIDATED)
Y/E MARCH
Net Sales
YoY Change (%)
Total Expenditure
EBITDA
Margins (%)
Depreciation
Interest
Other Income
PBT
Tax
Rate (%)
Minority Interest
PAT
YoY Change (%)
Margins (%)
E: MOSt Estimates
2,120
21.9
1,577
544
25.6
109.7
16.7
13.6
431
42
9.8
-5
394
1.8
18.6
2,490
24.2
1,831
659
26.5
177.5
21.6
8.6
469
22
4.8
-7
453
4.1
18.2
2,470
24.0
1,693
777
31.5
182.8
21.6
2.8
576
36
6.2
-20
560
27.7
22.7
2,782
29.8
1,925
857
30.8
195.3
34.5
11.9
639
65
10.2
-33
607
26.9
21.8
2,654
25.2
1,912
742
28.0
205.0
30.0
15.0
522
42
8.0
0
480
21.9
18.1
3,076
23.5
2,223
854
27.7
225.0
35.0
10.0
604
48
8.0
0
555
22.5
18.1
3,057
23.8
2,183
875
28.6
230.0
40.0
12.0
617
49
8.0
0
567
1.3
18.6
3,348
20.3
2,387
961
28.7
256.4
41.1
18.0
681
54
8.0
0
627
3.2
18.7
9,862
25.1
7,025
2,838
28.8
665.3
94.5
31.9
2,110
165
7.8
-63
2,008
15.4
20.4
12,136
23.0
8,705
3,431
28.3
916.4
146.1
55.0
2,423
194
8.0
0
2,230
11.1
18.4
Nimish Desai (Nimishdesai@MotilalOswal.com); Tel: +91 22 39825406/Jinesh K Gandhi (Jinesh@MotilalOswal.com); Tel +91 22 39825416
29 June 2007
212

Results Preview
SECTOR: PHARMACEUTICALS
Cadila Healthcare
STOCK INFO.
BLOOMBERG
REUTERS CODE
BSE Sensex: 14,651 CDH IN
S&P CNX: 4,318
CADI.BO
29 June 2007
Previous Recommendation: Buy
Buy
Rs376
EPS
P/E
(X)
P/BV
(X)
ROE
(%)
ROCE
(%)
EV/
EV/
SALES EBITDA
PAT
(RS M)
EPS
(RS) GROWTH (%)
Equity Shares (m)
52-Week Range
1,6,12 Rel. Perf. (%)
M.Cap. (Rs b)
M.Cap. (US$ b)
125.6
412/256
13/1/-6
47.3
1.2
YEAR
END
NET SALES
(RS M)
3/07A
3/08E
3/09E
18,288
21,220
24,816
2,338
2,768
3,235
18.6
22.0
25.8
43.2
18.4
16.8
20.2
17.1
14.6
5.2
4.2
3.4
29.0
27.1
25.7
23.6
24.1
23.5
2.8
2.3
1.9
14.4
11.2
9.6
?
Cadila’ 1QFY08 revenue is expected to grow by 17% to Rs5.2b, driven by 26% growth in exports and 14% growth
s
in domestic business. Growth in the domestic formulations business is likely to recover to double-digits post the
restructuring undertaken in FY07.
EBITDA margins are expected to be flat at 20.3% despite 17% topline growth, mainly due to currency appreciation.
However, higher interest cost (up by 30%) and lower other income (down 49%) coupled with higher tax rate at
14.7% compared to 11.2% for 1QFY07 would restrict PAT growth to 14.8% to Rs670m.
Cadila recently acquired Nikkho in Brazil for US$26m (~1x sales and 8-9x EBITDA) giving it access to the branded
generic market in Brazil. Nikkho currently has a portfolio of about 22 products across 13 brands and has a strong
pipeline of products pending launch.
Cadila is currently valued at 17.1x FY08E and 14.6x FY09E consolidated earnings. Higher growth in the international
business, turnaround in French operations, steady supplies to Altana coupled with a de-risked business model should
augur well for the company. Maintain
Buy.
(RS MILLION)
FY07
1Q
2Q
3Q
4Q
1Q
2Q
FY08E
3Q
4Q
FY07
FY08E
?
?
?
QUARTERLY PERFORMANCE (CONSOLIDATED)
Y/E MARCH
Net Revenues
YoY Change (%)
Total Expenditure
EBITDA
Margins (%)
Depreciation
Interest
Other Income
PBT before EO Income
EO Exp/(Inc)
PBT after EO Income
Tax
Rate (%)
Minority Int/Adj on Consol
Reported PAT
Adj PAT
YoY Change (%)
Margins (%)
4,458
19.5
3,560
898
20.1
197
69
49
681
0
681
76
11.2
21
584
584
47.2
13.1
4,748
27.3
3,658
1,090
23.0
213
54
3
826
0
826
100
12.1
21
705
705
38.8
14.8
4,724
27.8
3,901
823
17.4
212
49
0
562
-196
758
98
12.9
1
659
488
18.4
10.3
4,357
25.9
3,646
711
16.3
200
52
15
474
0
474
50
10.5
35
389
389
13.0
8.9
5,224
17.2
4,163
1,061
20.3
210
90
25
786
0
786
116
14.7
0
670
670
14.8
12.8
5,529
16.5
4,194
1,335
24.1
220
95
35
1,055
0
1,055
155
14.7
0
900
900
27.6
16.3
5,400
14.3
4,364
1,036
19.2
225
95
30
746
0
746
110
14.7
0
636
636
30.3
11.8
5,067
16.3
4,116
951
18.8
228
96
31
658
0
658
97
14.7
0
562
562
44.4
11.1
18,288
23.2
14,767
3,521
19.3
823
223
264
2,739
0
2,739
324
11.8
77
2,338
2,338
40.7
12.8
21,220
16.0
16,837
4,383
20.7
883
376
121
3,245
0
3,245
477
14.7
0
2,768
2,768
18.4
13.0
E: MOSt Estimates; Quarterly numbers don’ add up to full year numbers due to restatement
t
Nimish Desai (Nimishdesai@MotilalOswal.com); Tel: +91 22 39825406/Jinesh K Gandhi (Jinesh@MotilalOswal.com); Tel +91 22 39825416
29 June 2007
213

Results Preview
SECTOR: PHARMACEUTICALS
Cipla
STOCK INFO.
BLOOMBERG
REUTERS CODE
BSE Sensex: 14,651 CIPLA IN
S&P CNX: 4,318
CIPL.BO
29 June 2007
Previous Recommendation: Buy
Buy
Rs208
EPS
P/E
(X)
P/BV
(X)
ROE
(%)
ROCE
(%)
EV/
EV/
SALES EBITDA
PAT
(RS M)
EPS
(RS) GROWTH (%)
Equity Shares (m)
52-Week Range
1,6,12 Rel. Perf. (%)
M.Cap. (Rs b)
M.Cap. (US$ b)
777.3
275/203
-5/-23/-41
162.0
4.0
YEAR
END
NET SALES
(RS M)
03/07A 35,721
03/08E 41,041
03/09E 49,001
6,608
7,534
9,160
8.5
9.7
11.8
4.8
13.9
21.4
24.5
21.5
17.7
4.9
4.2
3.5
20.2
19.4
19.9
23.1
21.5
22.2
4.4
3.8
3.1
19.2
16.7
13.9
?
Cipla’ 1QFY08 revenues are expected to grow by 14% YoY to Rs9.8b, led by 16% growth in domestic business and
s
60% growth in API exports. The company had booked Sertraline sales in the US in 1QFY07 leading to a higher base.
EBITDA margin is expected to decline by 1158bp to 14.9% mainly due to lower sales to regulated markets and
currency appreciation.
PAT is expected to decline by 31% to Rs1.1b due to significant margin erosion.
Cipla has one of the strongest generic pipelines with tie-ups for 160 products, of which 136 are for the US (across 9
partners). The company is spending a significant amount (about Rs13b) to expand manufacturing facilities in the
FY05-FY09 period. While near-term earnings visibility has been impacted due to the muted guidance, we believe that
it does not change the structural positives for Cipla. At 21.5x FY08E and 17.7x FY09E EPS, we maintain our long-
term
Buy
on the stock.
?
?
?
QUARTERLY PERFORMANCE
Y/E MARCH
1Q
2Q
FY07
3Q
4Q
1Q
2Q
FY08E
3Q
4Q
FY07
(RS MILLION)
FY08E
Net Sales
YoY Change (%)
Total Expenditure
EBITDA
Margins (%)
Depreciation
Interest
Other Income
Profit before Tax
Tax
Rate (%)
Reported PAT
YoY Change (%)
Margins (%)
E: MOSt Estimates
8,636
30.3
6,347
2,289
26.5
260
28
220
2,220
516
23.2
1,704
53.0
19.7
8,961
33.4
6,685
2,276
25.4
245
16
190
2,205
403
18.3
1,803
47.0
20.1
8,805
12.8
6,613
2,193
24.9
275
13
261
2,166
322
14.9
1,844
5.2
20.9
9,319
7.0
7,849
1,470
15.8
261
13
221
1,417
160
11.3
1,257
-34.1
13.5
9,840
13.9
8,372
1,468
14.9
290
24
215
1,369
192
14.0
1,177
-30.9
12.0
10,208
13.9
8,482
1,726
16.9
310
22
200
1,594
223
14.0
1,371
-24.0
13.4
10,618
20.6
7,856
2,762
26.0
320
20
250
2,672
374
14.0
2,298
24.6
21.6
10,374
11.3
7,119
3,256
31.4
326
18
213
3,125
437
14.0
2,687
113.7
25.9
35,721
19.4
27,494
8,227
23.0
1,041
70
891
8,008
1,400
17.5
6,608
8.8
18.5
41,041
14.9
31,829
9,212
22.4
1,246
84
878
8,760
1,226
14.0
7,534
14.0
18.4
Nimish Desai (Nimishdesai@MotilalOswal.com); Tel: +91 22 39825406/Jinesh K Gandhi (Jinesh@MotilalOswal.com); Tel +91 22 39825416
29 June 2007
214

Results Preview
SECTOR: PHARMACEUTICALS
Dishman Pharma
STOCK INFO.
BLOOMBERG
REUTERS CODE
BSE Sensex: 14,651 DISH IN
S&P CNX: 4,318
DISH.BO
29 June 2007
Previous Recommendation: Buy
Buy
Rs306
EPS
P/E
(X)
P/BV
(X)
ROE
(%)
ROCE
(%)
EV/
EV/
SALES EBITDA
PAT
(RS M)
EPS
(RS) GROWTH (%)
Equity Shares (m)
52-Week Range
1,6,12 Rel. Perf. (%)
M.Cap. (Rs b)
M.Cap. (US$ b)
81.6
338/148
17/17/44
25.0
0.6
YEAR
END
NET SALES
(RS M)
03/07A
03/08E
5,779
9,028
921
1,260
1,513
11.2
15.4
18.5
93.3
36.8
20.0
27.2
19.9
16.6
6.8
5.0
3.9
35.8
32.9
30.0
16.3
16.8
17.0
4.9
3.3
2.8
25.0
16.1
13.2
03/09E 10,527
?
Dishman’ 1QFY08 revenues are expected to grow by 155% YoY to Rs2.1b, led by continued momentum in CRAMS
s
business and consolidation of Carbogen-AMCIS acquisition.
EBITDA margins are expected to decline by 480bp to 19.8% due to currency appreciation and consolidation of
Carbogen-AMCIS acquisition.
Interest cost is expected to be significantly higher (Rs55m compared to Rs9m for 1QFY07) due to increased borrowings
to part-fund the Carbogen-AMCIS acquisition and capacity expansion. PAT is expected to grow by 73% to Rs319m
led by increased CRAMS revenues and consolidation of Carbogen-AMCIS acquisition.
We believe that Dishman will be one of the key beneficiaries of the increased pharmaceutical outsourcing from India.
Expansion of customer base (to reduce dependence on Solvay) and ability to offer the complete range of services
across the CRAMS value chain should benefit the company in the long-term. The stock is currently valued at 19.9x
FY08E and 16.6x FY09E earnings.
?
?
?
QUARTERLY PERFORMANCE (CONSOLIDATED)
Y/E MARCH
1Q
2Q
FY07
3Q
4Q
1Q
2Q
FY08E
3Q
4Q
FY07
(RS MILLION)
FY08E
Net Sales
YoY Change (%)
Total Expenditure
EBITDA
Margins (%)
Depreciation
Interest
Other Income
PBT after EO Income
Tax
Deferred Tax
Rate (%)
Reported PAT
YoY Change (%)
Margins (%)
E: MOSt Estimates
822
34.7
620
202
24.6
34
9
34
193
8
0
4.3
185
96.4
22.5
1,170
71.0
924
246
21.0
41
38
42
209
39
2
19.6
168
23.4
14.3
1,736
180.3
1,248
488
28.1
156
72
34
294
43
7
17.1
244
25.8
14.1
2,057
139.1
1,842
215
10.5
31
44
123
264
-77
9
-25.5
331
630.8
16.1
2,100
155.4
1,685
415
19.8
95
55
75
340
17
3
6.0
319
72.8
15.2
2,330
99.2
1,823
507
21.8
100
60
30
377
19
4
6.0
355
111.4
15.2
2,205
27.0
1,761
444
20.1
105
65
30
304
15
3
6.0
286
17.2
13.0
2,393
16.3
1,888
504
21.1
105
65
-15
320
16
3
6.0
300
-9.2
12.6
5,786
108.5
4,634
1,151
19.9
263
162
233
960
13
19
3.3
928
97.6
16.0
9,028
56.0
7,157
1,871
20.7
405
245
120
1,341
67
13
6.0
1,260
35.9
14.0
Nimish Desai (Nimishdesai@MotilalOswal.com); Tel: +91 22 39825406/Jinesh K Gandhi (Jinesh@MotilalOswal.com); Tel +91 22 39825416
29 June 2007
215

Results Preview
SECTOR: PHARMACEUTICALS
Divi's Laboratories
STOCK INFO.
BLOOMBERG
REUTERS CODE
BSE Sensex: 14,651 DIVI IN
S&P CNX: 4,318
DIVI.BO
29 June 2007
Previous Recommendation: Neutral
Neutral
Rs5,831
P/E
(X)
P/BV
(X)
ROE
(%)
ROCE
(%)
EV/
EV/
SALES EBITDA
PAT
(RS M)
EPS
EPS
(RS) GROWTH (%)
Equity Shares (m)
52-Week Range
1,6,12 Rel. Perf. (%)
M.Cap. (Rs b)
M.Cap. (US$ b)
12.8
6,508/1,245
17/85/309
74.7
1.8
YEAR
END
NET SALES
(RS M)
03/07E
03/08E
7,244
8,934
1,917
2,653
3,271
149.6
206.9
255.2
173.8
38.3
23.3
39.0
28.2
22.8
15.2
10.6
7.7
46.1
44.4
39.2
41.9
42.2
39.1
10.5
8.4
7.0
30.8
22.5
18.2
03/09E 10,610
?
Divi’ 1QFY08 revenues are expected to grow by 44% YoY to Rs2.3b, led by continued momentum in both the
s
generics and custom chemical synthesis (CCS) business.
EBITDA margins are expected to improve marginally by 1,590bp to 44.6% led mainly by higher CCS revenues.
Commissioning of new SEZ facilities will lead to higher depreciation (up 100%) and interest costs (up 104%).
However, lower tax provisioning (at 12% of PBT v/s 39.4% in 1QFY07) due to higher contribution from the new
SEZ is likely to temper the adverse impact, resulting in PAT growth of 215% to Rs844m.
We believe that Divi’ will be one of the key beneficiaries of the increased pharmaceutical outsourcing from India.
s
Established relationships with the top 20 innovator pharmaceutical companies should help the company in procuring
more outsourcing business as well as in spreading the business risk across customers. We believe that low cost of
operations is a significant driver for Divi’ profitability. The stock is currently valued at 28.2x FY08E and 22.8x
s
FY09E earnings.
?
?
?
QUARTERLY PERFORMANCE
Y/E MARCH
1Q
2Q
FY07
3Q
4Q
1Q
2Q
FY08E
3Q
4Q
FY07
(RS MILLION)
FY08E
Net Op Revenue
YoY Change (%)
Total Expenditure
EBITDA
Margins (%)
Depreciation
Interest
Other Income
PBT
Tax
Deferred Tax
Rate (%)
Adj PAT
YoY Change (%)
Margins (%)
E: MOSt Estimates
1,608
148.8
1,148
461
28.6
43
21
44
441
167
6
39.4
267
109.6
16.6
1,614
98.3
1,179
435
26.9
42
6
34
421
114
-6
25.7
313
96.2
19.4
1,496
38.6
1,071
425
28.4
59
38
25
353
-1
27
7.3
327
73.2
21.9
2,526
98.7
1,387
1,139
45.1
80
41
34
1,052
56
-14
4.0
1,010
341.1
40.0
2,323
44.4
1,287
1,036
44.6
85
42
50
959
115
0
12.0
844
215.4
36.3
2,100
30.1
1,327
772
36.8
87
43
40
682
82
0
12.0
600
91.9
28.6
2,144
43.3
1,356
788
36.7
90
42
45
701
84
0
12.0
617
88.5
28.8
2,368
-6.3
1,609
759
32.0
97
40
51
673
81
0
12.0
592
-41.4
25.0
7,244
90.1
4,784
2,460
34.0
223
106
136
2,267
336
14
15.4
1,917
172.1
26.5
8,934
23.3
5,580
3,355
37.5
359
167
186
3,014
362
0
12.0
2,653
38.3
29.7
Nimish Desai (Nimishdesai@MotilalOswal.com); Tel: +91 22 39825406/Jinesh K Gandhi (Jinesh@MotilalOswal.com); Tel +91 22 39825416
29 June 2007
216

Results Preview
SECTOR: PHARMACEUTICALS
Dr Reddy's Laboratories
STOCK INFO.
BLOOMBERG
REUTERS CODE
BSE Sensex: 14,651 DR IN
S&P CNX: 4,318
REDY.BO
29 June 2007
Previous Recommendation: Buy
Buy
Rs656
EPS
P/E
(X)
P/BV
(X)
ROE
(%)
ROCE
(%)
EV/
EV/
SALES EBITDA
PAT
(RS M)
EPS
(RS) GROWTH (%)
Equity Shares (m)
52-Week Range
1,6,12 Rel. Perf. (%)
M.Cap. (Rs b)
M.Cap. (US$ b)
167.7
840/599
-1/-25/-35
110.0
2.7
YEAR
END
NET SALES
(RS M)
03/07A 65,095
03/08E* 49,829
03/09E* 56,447
9,323
5,948
7,016
55.6
35.5
41.8
521.9
-36.2
18.0
11.8
18.5
15.7
2.8
2.5
2.2
23.6
13.5
14.3
14.9
10.0
10.9
1.8
2.3
2.0
8.0
13.2
11.5
*Excludes one-time upsides from authorized generics and FTF opportunities
?
Dr Reddy’ 1QFY08 sales (excl Zofran) are expected to decline by 19.4% YoY to Rs11.3b, mainly due to absence of
s
authorized generic revenues (which contributed Rs3.3b to 1QFY07 sales). Excluding this one-time impact, revenues
are expected to record only 6% growth, mainly due to a 25% YoY decline in Betaphram sales in Germany. Zofran —
a 180 exclusivity opportunity — is likely to contribute around Rs120m-Rs200m to DRL’ sales for the quarter.
s
Overall gross margins (excl. Zofran) are expected to improve by 670bp (to 50%) due to lower base of 1QFY07
(resulting from the authorized generic sales). Also, EBITDA margins are likely to improve by 70bp to 16.5%.
Lower other expenditure (down 46%) is likely to temper the impact of loss of authorized generic sales resulting in
PAT de-growth (excl. Zofran) of 7% to Rs1.2b.
DRL is currently valued at 18.5x FY08E and 15.7x FY09E consolidated earnings. We believe that while current
valuations reflect the intense pricing pressure in regulated generic markets (including Germany), they are not discounting
the improvement in DRRD’ core business and the growth traction in semi-regulated markets (which enjoy better
s
margins compared with the US generic markets). We reiterate
Buy.
(RS MILLION)
FY07#
1Q
2Q
3Q
4Q
1Q
2Q
FY08E
3Q
4Q
FY07
FY08E
?
?
?
GLOBAL QUARTERLY PERFORMANCE (US GAAP)
Y/E MARCH
Gross Sales
YoY Change (%)
EBITDA
Margins (%)
Depreciation & Amortization
Other Income
Profit before Tax
Tax
Rate (%)
Reported PAT
Minority Interest
EO (Exp)/Inc
Adjusted PAT
YoY Change (%)
Margins (%)
14,049
151.3
2,217
15.8
388
-223
1,606
208
13.0
1,398
0
42
1,356
255.0
9.7
20,039
247.1
4,220
21.1
402
-287
3,531
737
20.9
2,794
-4
0
2,798
215.4
14.0
15,434
161.7
2,464
16.0
330
-281
1,853
-27
-1.5
1,880
0
0
1,880
407.6
12.2
15,573
124.7
5,470
35.1
2,221
264
3,513
260
7.4
3,253
-1
0
3,254
-
20.9
11,323
-19.4
1,868
16.5
300
-120
1,448
188
13.0
1,260
0
0
1,260
-7.1
11.1
12,838
-35.9
2,247
17.5
330
-133
1,783
232
13.0
1,551
0
0
1,551
-44.6
12.1
12,864
-16.7
2,251
17.5
350
-139
1,762
229
13.0
1,533
0
0
1,533
-18.4
11.9
12,804
-17.8
2,354
18.4
370
-141
1,842
240
13.0
1,603
0
0
1,603
-50.7
12.5
65,095
168.2
14,361
22.1
3,341
-520
10,500
1,177
11.2
9,323
-4
42
9,285
576.6
14.3
49,829
-23.5
8,720
17.5
1,350
-534
6,836
889
13.0
5,948
0
0
5,948
-35.9
11.9
E: MOSt Estimates; # includes one-time upsides
Nimish Desai (Nimishdesai@MotilalOswal.com); Tel: +91 22 39825406/Jinesh K Gandhi (Jinesh@MotilalOswal.com); Tel +91 22 39825416
29 June 2007
217

Results Preview
SECTOR: PHARMACEUTICALS
GlaxoSmithKline Pharmaceuticals
STOCK INFO.
BLOOMBERG
REUTERS CODE
BSE Sensex: 14,651 GLXO IN
S&P CNX: 4,318
GLAX.BO
29 June 2007
Previous Recommendation: Buy
Buy
Rs1,268
EPS
P/E
(X)
P/BV
(X)
ROE
(%)
ROCE
(%)
EV/
EV/
SALES EBITDA
PAT
(RS M)
EPS
(RS) GROWTH (%)
Equity Shares (m)
52-Week Range
1,6,12 Rel. Perf. (%)
M.Cap. (Rs b)
M.Cap. (US$ b)
84.7
1,340/965
-1/3/-16
107.4
2.6
YEAR
END
NET SALES
(RS M)
12/06A 15,384
12/07E 16,927
12/08E 19,577
3,617
4,078
4,757
42.7
48.1
56.2
18.1
12.7
16.7
29.7
26.3
22.6
9.0
7.4
6.1
30.3
28.2
27.1
46.4
43.3
41.6
6.2
5.6
4.7
20.1
17.4
14.5
?
GSK Pharma’ 2QCY07 net sales are expected to grow by only 4.7% to Rs4.2b, due to the divestment of animal
s
healthcare business in July 2006.
However, EBITDA margins are expected to improve by 300bp YoY to 33.9% due to the animal healthcare divestment
(which enjoyed relatively lower margins) and minor benefits from currency appreciation. PAT is expected to record
14% growth to Rs1b.
GSK is focused on strengthening its presence in lifestyle disease segment of CVS, CNS, diabetes etc., by in-licensing
products and evaluating brand acquisitions in the domestic market.
GSK Pharma is one of the best plays on the IPR regime. Our estimates for CY07E take into account the additional
marketing and promotional expenditure linked to launch of patented products in CY08E and divestment of animal
healthcare division. Valuations at 26.3x CY07E and 22.6x CY08E earnings do not fully reflect the strong parentage,
cash-rich operations and the ‘
option value’created from product patent regime in the long term. Maintain
Buy.
?
?
?
QUARTERLY PERFORMANCE
Y/E DECEMBER
1Q
2Q
CY06
3Q
4Q
1Q
2QE
CY07
3QE
4QE
CY06
(RS MILLION)
CY07E
Net Sales
YoY Change (%)
Total Expenditure
EBITDA
Margins (%)
Depreciation
Other Income
PBT before EO Expense
Tax
Deferred Tax
Rate (%)
Adjusted PAT
YoY Change (%)
Margins (%)
Extra-Ord Expense
Reported PAT
E: MOSt Estimates
4,254
54.0
2,843
1,411
33.2
38
222
1,596
567
-6
35.2
1,034
88.9
24.3
22
1,012
4,041
-13.1
2,789
1,252
31.0
39
183
1,396
475
10
34.8
911
-13.6
22.5
0
911
3,970
-3.9
2,688
1,283
32.3
41
254
1,496
499
6
33.8
991
4.4
25.0
-1,864
2,854
3,119
-1.8
2,305
814
26.1
41
299
1,072
348
43
36.4
682
33.0
21.9
4
678
4,203
-1.2
2,753
1,450
34.5
37
272
1,686
563
10
34.0
1,113
7.6
26.5
0
1,113
4,232
4.7
2,797
1,435
33.9
42
206
1,595
558
0
35.0
1,037
13.9
24.5
0
1,037
4,740
19.4
3,134
1,606
33.9
45
247
1,807
633
0
35.0
1,175
18.6
24.8
0
1,175
3,753
20.3
2,813
939
25.0
48
304
1,185
422
0
35.6
763
12.0
20.3
0
763
15,384
4.6
10,617
4,767
31.0
159
965
5,560
1,889
53
34.9
3,617
18.1
23.5
-1,838
5,455
16,927
10.0
11,496
5,431
32.1
171
1,029
6,274
2,186
10
35.0
4,078
12.7
24.1
0
4,078
Nimish Desai (Nimishdesai@MotilalOswal.com); Tel: +91 22 39825406/Jinesh K Gandhi (Jinesh@MotilalOswal.com); Tel +91 22 39825416
29 June 2007
218

Results Preview
SECTOR: PHARMACEUTICALS
Jubilant Organosys
STOCK INFO.
BLOOMBERG
REUTERS CODE
BSE Sensex: 14,651 JOL IN
S&P CNX: 4,318
JUBO.BO
29 June 2007
Previous Recommendation: Buy
Buy
Rs308
EPS
P/E
(X)
P/BV
(X)
ROE
(%)
ROCE
(%)
EV/
EV/
SALES EBITDA
PAT
(RS M)
EPS
(RS) GROWTH (%)
Equity Shares (m)
52-Week Range
1,6,12 Rel. Perf. (%)
M.Cap. (Rs b)
M.Cap. (US$ b)
142.3
332/195
11/22/-2
43.8
1.1
YEAR
END
NET SALES
(RS M)
03/07A 18,097
03/08E 23,040
03/09E 27,072
2,131
3,153
3,656
11.5
17.0
19.7
33.8
47.9
15.9
26.8
18.1
15.6
3.8
3.1
2.5
21.7
24.7
23.3
11.1
10.4
11.1
2.6
2.1
1.7
14.9
10.7
8.5
?
Jubilant’ 1QFY08 sales are expected to grow by 23.4% to Rs5.1b, driven by robust growth in CRAMS business
s
resulting in Pharma & Life Sciences business growing by 36% to Rs2.8b. EBITDA margins are expected to improve
by 30bp to 17.2%, reflecting improving business mix in favor of Pharma & Life Science business (at 55% of sales v/
s 50% in 1QFY07) as well as the favorable impact of lower Molasses prices.
?
Also, higher other income (up by 122%) due to interest income on unutilized FCCB proceeds and forex gains, would
boost PAT by 38% to Rs635m.
?
Our estimates do not include the contribution from the recent acquisition of Hollister-Stier Labs which will be contributing
to Jubilant’ consolidated numbers w.e.f. 1 June 2007. Our preliminary estimates indicate that this acquisition is likely
s
to add about Rs2.5b in sales and Rs320m in PAT (incremental EPS of Rs1.7/share) to Jubilant’ FY08E numbers.
s
?
Margins are expected to stabilize and improve gradually over FY08, with the growing share of Pharma & Life
Sciences business and easing raw material prices. This, along with healthy growth in revenues, would lead to a 31%
CAGR in fully diluted earnings over FY07-09E. Valuations of 18.1x FY08E and 15.6x FY09E earnings do not reflect
the higher growth potential and upsides from potential acquisitions. We maintain
Buy.
QUARTERLY PERFORMANCE
Y/E MARCH
1Q
2Q
FY07
3Q
4Q
1Q
2Q
FY08E
3Q
4Q
FY07
(RS MILLION)
FY08E
Net Sales
YoY Change (%)
Total Expenditure
EBITDA
Margins (%)
Depreciation
Interest
Other Income
PBT after EO Expense
Tax
Rate (%)
PAT
Minority Interest
Adjusted PAT
YoY Change (%)
Margins (%)
E: MOSt Estimates
4,124
26.2
3,425
699
16.9
146
55
90
588
139
23.6
449
-12
461
116.4
11.2
4,659
40.5
3,858
801
17.2
153
37
145
756
215
28.4
541
-3
544
118.5
11.7
4,693
10.8
3,795
898
19.1
158
49
168
859
236
27.5
623
-14
637
74.0
13.6
4,633
9.6
3,836
797
17.2
166
54
173
750
122
16.3
628
-10
638
32.4
13.8
5,091
23.4
4,214
877
17.2
175
80
200
822
181
22.0
641
6
635
37.8
12.5
5,619
20.6
4,543
1,076
19.1
190
90
170
966
213
22.0
754
7
747
37.2
13.3
6,242
33.0
4,892
1,350
21.6
200
110
200
1,240
273
22.0
967
8
960
50.7
15.4
6,088
31.4
4,882
1,206
19.8
216
124
170
1,036
228
22.0
808
-3
811
27.2
13.3
18,097
20.7
14,902
3,195
17.7
623
195
576
2,953
712
24.1
2,241
-39
2,280
75.8
12.6
23,040
27.3
18,531
4,509
19.6
781
404
740
4,064
610
22.0
3,170
17
3,153
38.3
13.7
Nimish Desai (Nimishdesai@MotilalOswal.com); Tel: +91 22 39825406/Jinesh K Gandhi (Jinesh@MotilalOswal.com); Tel +91 22 39825416
29 June 2007
219

Results Preview
SECTOR: PHARMACEUTICALS
Lupin
STOCK INFO.
BLOOMBERG
REUTERS CODE
BSE Sensex: 14,651 LPC IN
S&P CNX: 4,318
LUPN.BO
29 June 2007
Previous Recommendation: Neutral
Neutral
Rs733
P/E
(X)
P/BV
(X)
ROE
(%)
ROCE
(%)
EV/
EV/
SALES EBITDA
PAT
(RS M)
EPS
EPS
(RS) GROWTH (%)
Equity Shares (m)
52-Week Range
1,6,12 Rel. Perf. (%)
M.Cap. (Rs b)
M.Cap. (US$ b)
80.3
755/406
2/13/26
58.8
1.4
YEAR
END*
NET SALES
(RS M)
03/07A 20,137
03/08E 25,939
03/09E 28,467
* Consolidated
2,327
3,231
3,460
26.4
36.6
39.2
23.0
38.9
7.1
27.8
20.0
18.7
6.7
5.1
4.2
30.9
31.8
27.0
20.1
23.4
21.2
3.1
2.5
2.2
21.3
14.9
14.3
?
?
Lupin’ quarterly results are standalone, while annual numbers are consolidated.
s
Lupin’ 1QFY08 revenue is expected to grow by 35% YoY to Rs6.8b, driven by continued momentum in domestic
s
formulations business, as well as formulation exports (both regulated and unregulated markets). Our estimates include
US$10m upside from supply of Cefdinir in the US market – a product currently experiencing low generic competition.
EBITDA margins are expected to improve by 550bp YoY to 18.4% due to higher margin sales of Cefdinir and better
product and market mix, resulting in PAT growth of 82% to Rs977m. It should be noted that Cefdinir is a short-term
opportunity and competition is likely to intensify in the coming quarters.
We expect 19% sales and 22% EPS CAGR in the FY07-FY09 period. While we continue to remain positive about
Lupin’ growth prospects (particularly in regulated markets), we believe that current valuations at 20x FY08E and
s
18.7x FY09E earnings are a fair reflection of the expected traction. We maintain
Neutral
rating.
(RS MILLION)
FY07
1Q
2Q
3Q
4Q
1Q
2Q
FY08E
3Q
4Q
FY07
FY08E
?
?
QUARTERLY PERFORMANCE (CONSOLIDATED)
Y/E MARCH
Net Sales
YoY Change (%)
Total Expenditure
EBITDA
Margins (%)
Depreciation
Interest
Other Income
PBT
Tax
Rate (%)
Reported PAT
Extra-Ordinary Exp/(Inc)
Minority Interest
Recurring PAT
YoY Change (%)
Margins (%)
E: MOSt Estimates
5,044
-
4,395
649
12.9
107
92
217
667
131
19.6
536
0
1
536
-
10.6
4,886
-
4,123
763
15.6
112
93
171
728
210
28.8
518
0
0
518
-
10.6
5,054
-
4,154
901
17.8
121
89
99
789
169
21.4
620
0
0
620
-
12.3
5,318
-
4,542
776
14.6
126
98
1,338
1,890
479
25.3
1,411
-759
0
652
-
12.3
6,807
35.0
5,557
1,250
18.4
130
109
210
1,221
244
20.0
977
0
0
977
82.4
14.4
6,534
33.7
5,455
1,079
16.5
135
106
170
1,008
202
20.0
806
0
0
806
55.5
12.3
6,515
28.9
5,425
1,090
16.7
140
103
120
967
193
20.0
773
0
0
773
24.7
11.9
6,084
14.4
5,230
854
14.0
145
101
235
843
169
20.0
675
0
0
675
3.4
11.1
20,137
18.8
17,215
2,922
14.5
466
372
1,991
4,075
988
24.3
3,086
-759
1
2,327
34.5
11.6
25,939
28.8
21,666
4,273
16.5
550
419
735
4,039
808
20.0
3,231
0
0
3,231
38.9
12.5
Nimish Desai (Nimishdesai@MotilalOswal.com); Tel: +91 22 39825406/Jinesh K Gandhi (Jinesh@MotilalOswal.com); Tel +91 22 39825416
29 June 2007
220

Results Preview
SECTOR: PHARMACEUTICALS
Nicholas Piramal
STOCK INFO.
BLOOMBERG
REUTERS CODE
BSE Sensex: 14,651 NP IN
S&P CNX: 4,318
NICH.BO
29 June 2007
Previous Recommendation: Buy
Buy
Rs300
EPS
P/E
(X)
P/BV
(X)
ROE
(%)
ROCE
(%)
EV/
EV/
SALES EBITDA
PAT
(RS M)
EPS
(RS) GROWTH (%)
Equity Shares (m)
52-Week Range
1,6,12 Rel. Perf. (%)
M.Cap. (Rs b)
M.Cap. (US$ b)
209.0
314/182
16/7/19
62.6
1.5
YEAR
END
NET SALES
(RS M)
03/07A 24,202
03/08E 29,076
03/09E 32,270
2,319
3,037
3,731
11.0
14.5
17.9
85.4
32.4
22.9
27.3
20.6
16.8
6.0
4.7
3.9
23.1
25.4
25.4
19.8
20.9
22.3
2.8
2.3
2.1
20.7
14.5
11.9
?
NPIL is expected to report revenue growth of 31.8% to Rs6.8b in 1QFY08, driven by continued momentum in
CRAMS business and consolidation of Pfizer’ Morpeth facility (acquired in June 2006).
s
EBITDA margins are expected to decline by 200bp YoY to 14.8% due to Codeine short supply (important input for
Phensedyl), higher costs at Morpeth and currency appreciation.
Higher interest cost (up by 108%), and higher tax provisioning (at 15% of PBT v/s 10.7% in 1QFY07) will impact
bottomline growth. We expect NPIL to record a 6.8% YoY growth in adjusted PAT to Rs575m.
Increasing visibility in CRAMS (with peak revenue potential of US$170m-US$200m expected by FY09), turnaround
at Avecia and higher growth in the domestic portfolio, would act as catalysts for the stock. Valuations at 20.6x FY08E
and 16.8x FY09E do not fully reflect the increasing momentum in CRAMS business. Maintain
Buy.
?
?
?
QUARTERLY PERFORMANCE
Y/E MARCH
1Q
2Q
FY07
3Q
4Q
1Q
2Q
FY08E
3Q
4Q
FY07
(RS MILLION)
FY08E
Net Sales
YoY Change (%)
Total Expenditure
EBITDA
Margins (%)
Depreciation
Interest
Other Income
PBT before EO Expense
Extra-Ord Expense
PBT after EO Expense
Tax
Deferred Tax
Rate (%)
PAT
Less: Minority Interest
Reported PAT
Adj PAT
YoY Change (%)
5,226
31.2
4,348
877
16.8
228
46
0
604
0
604
13
51
10.7
539
1
539
539
11.9
6,547
79.3
5,409
1,139
17.4
244
76
2
820
-76
896
172
9
20.2
715
0
715
655
22.8
6,495
61.3
5,525
971
14.9
222
88
2
663
-2
665
59
51
16.5
556
0
556
554
129.9
6,452
52.9
5,603
849
13.2
158
96
0
595
12
583
-2
36
5.8
550
0
550
560
281.8
6,887
31.8
5,865
1,022
14.8
250
95
0
677
0
677
52
50
15.0
575
0
575
575
6.8
7,645
16.8
6,290
1,355
17.7
270
97
0
988
0
988
76
73
15.0
839
0
839
839
28.2
7,591
16.9
6,375
1,216
16.0
285
95
103
939
0
939
72
69
15.0
799
0
799
799
44.2
6,954
7.8
5,847
1,107
15.9
309
95
266
969
0
969
74
71
15.0
824
0
824
824
47.0
24,719
55.0
20,885
3,835
15.5
818
305
4
2,715
43
2,672
231
158
14.6
2,283
1
2,283
2,319
82.8
29,076
17.6
24,377
4,700
16.2
1,114
382
369
3,573
0
3,573
273
263
15.0
3,037
0
3,037
3,037
30.9
E: MOSt Estimates; Quarterly numbers don’ add up to full year numbers due to restatement
t
Nimish Desai (Nimishdesai@MotilalOswal.com); Tel: +91 22 39825406/Jinesh K Gandhi (Jinesh@MotilalOswal.com); Tel +91 22 39825416
29 June 2007
221

Results Preview
SECTOR: PHARMACEUTICALS
Pfizer
STOCK INFO.
BLOOMBERG
REUTERS CODE
BSE Sensex: 14,651 PFIZ IN
S&P CNX: 4,318
PFIZ.BO
29 June 2007
Previous Recommendation: Neutral
Neutral
Rs804
P/E
(X)
P/BV
(X)
ROE
(%)
ROCE
(%)
EV/
EV/
SALES EBITDA
PAT
(RS M)
EPS
EPS
(RS) GROWTH (%)
Equity Shares (m)
52-Week Range
1,6,12 Rel. Perf. (%)
M.Cap. (Rs b)
M.Cap. (US$ b)
29.8
965/666
-7/-1/-34
24.0
0.6
YEAR
END
NET SALES
(RS M)
11/06A
11/07E
11/08E
6,859
6,757
6,333
1,210
1,140
1,140
40.5
38.2
38.2
46.3
-5.7
0.0
19.8
21.0
21.0
5.6
3.4
3.1
27.5
15.8
14.5
43.6
24.4
22.2
3.1
2.8
2.8
13.0
12.1
12.1
?
Pfizer’ revenues for 3QFY07E (year-end November 2007) are expected to decline by 4.6% to Rs1.77b, due to
s
sales decline in the consumer healthcare business, Codeine short-supply for Corex (a key product accounting for
almost 20% of revenues) and sale and discontinuation of certain products like Protinex, Abdec and Pyridium.
?
EBITDA margins are likely to decline by 430bp to 21.4% due to Codeine short-supply and increase in cost of
imported Chinese inputs. PAT is also expected to decline by 13.4% to Rs280m for the quarter.
?
Pfizer (USA) has decided to divest its consumer healthcare business to Johnson & Johnson, which will result in
divestment of its domestic consumer healthcare business in favor of Johnson & Johnson. We estimate divestment to
result in loss of sales at Rs1b and reduction in PAT by Rs200m (EPS of Rs6-7/share) on annualized basis. The
management is yet to take a decision on the mode of this divestment in India.
?
Valuations of 21x FY07E and 21x FY08E (after adjusting for a divestment of the Consumer Healthcare division in
FY08E) adequately reflect Pfizer’ business fundamentals. However, we note that that the company will have cash
s
of about Rs6.2b on its books (including the proceeds from the recently divested Chandigarh facility) and may receive
an additional Rs2b from divestment of the consumer healthcare business. Maintain
Neutral.
QUARTERLY PERFORMANCE (INCLUDING PHARMACIA)
Y/E NOVEMBER
1Q
2Q
FY06
3Q
4QE
1Q
2Q
FY07
3QE
4QE
FY06
(RS MILLION)
FY07E
Net Revenues
YoY Change (%)
Total Expenditure
EBITDA
Margins (%)
Depreciation
Interest
Other Income
PBT before EO Items
EO Expense/(Income)
PBT after EO Items
Tax
Rate (%)
Reported PAT
YoY Change (%)
PAT adj. for Excep Items
YoY Change (%)
Margins (%)
1,535
11.0
1,104
431
28.1
31
0
45
445
58
387
139
35.9
248
84.0
290
71.4
18.9
1,729
21.7
1,302
426
24.7
32
0
51
445
-60
505
146
28.9
359
132.0
291
52.5
16.8
1,856
9.5
1,378
478
25.7
37
0
54
496
58
437
157
35.8
281
28.6
323
26.9
17.4
1,765
0.7
1,447
317
18.0
31
1
64
350
58
292
121
41.6
170
-2.0
228
16.3
12.9
1,603
4.4
1,176
427
26.6
27
0
67
467
26
441
158
35.9
283
14.1
305
5.2
19.0
1,703
-1.5
1,295
408
24.0
30
0
118
496
-2,711
3,207
629
19.6
2,578
618.2
324
11.6
19.1
1,771
-4.6
1,391
380
21.4
31
0
80
428
33
395
137
34.6
258
-7.9
280
-13.4
15.8
1,681
-4.7
1,358
323
19.2
37
0
66
352
48
304
47
38.5
187
10.1
230
0.9
13.7
6,859
9.7
5,206
1,652
24.1
131
1
333
1,854
234
1,620
563
34.7
1,057
55.2
1,210
46.3
17.6
6,757
-1.5
5,220
1,537
22.8
125
0
331
1,744
-2,604
4,347
971
24.0
3,306
212.7
1,140
-5.7
16.9
E: MOSt Estimates; FY08 estimates adjusted for consumer healthcare divestment. Historic numbers include consumer healthcare
Nimish Desai (Nimishdesai@MotilalOswal.com); Tel: +91 22 39825406/Jinesh K Gandhi (Jinesh@MotilalOswal.com); Tel +91 22 39825416
29 June 2007
222

Results Preview
SECTOR: PHARMACEUTICALS
Ranbaxy Laboratories
STOCK INFO.
BLOOMBERG
REUTERS CODE
BSE Sensex: 14,651 RBXY IN
S&P CNX: 4,318
RANB.BO
29 June 2007
Previous Recommendation: Buy
Buy
Rs355
EPS
GROWTH (%)
P/E
(X)
P/BV
(X)
ROE
(%)
ROCE
(%)
EV/
EV/
SALES EBITDA
PAT
(RS M)
EPS
(RS)
Equity Shares (m)
52-Week Range
1,6,12 Rel. Perf. (%)
M.Cap. (Rs b)
M.Cap. (US$ b)
372.7
445/306
-11/-16/-38
132.3
3.2
YEAR
END*
NET SALES
(RS M)
12/06A 61,337
12/07E* 67,976
12/08E* 83,886
5,374
6,607
8,205
13.4
16.5
20.5
148.3
22.9
24.2
26.4
21.5
17.3
5.1
4.5
4.0
20.9
22.7
24.7
11.8
12.6
15.8
2.8
2.4
2.0
17.9
14.8
11.5
* Excludes upsides from FTF products
?
Ranbaxy is expected to report 11% YoY growth in revenues to Rs16.1b in 2QCY07, driven primarily by higher
growth in semi-regulated markets and consolidation of Terapia’ acquisition. However, US generic business continues
s
to be competitive, with flat growth despite the launch of Pravastatin 80mg under 180-day exclusivity. We believe that
currency appreciation is likely to impact topline growth (in US$ terms, we expect 24% topline growth).
?
EBITDA margins are expected to decline by 420bp to 14% due to currency appreciation and one-time impact of the
high-margin Simvastatin 80mg sales under exclusivity in 2QCY06.
?
Impact of higher depreciation (up 25%) and higher interest cost (up 20.5%) is likely to be compensated by translation
forex gains on FCCBs due to currency appreciation, resulting in PAT growth of 58% to Rs1.9b for the quarter.
?
We believe that the worst is over for Ranbaxy and expect gradual improvement in performance beginning CY07E led
by patent expiries and full benefits of acquisitions. We believe that Ranbaxy’ current stock price is not factoring in
s
the potential leverage arising out of a strong product pipeline (with 88 ANDAs pending approval including about 20
FTFs) and benefits from a potential de-merger of NCE/NDDS research (incremental EPS of Rs2). Ranbaxy is
currently valued at 21.5x CY07E and 17.3x CY08E consolidated earnings (excl upsides from patent challenges).
Maintain
Buy.
QUARTERLY PERFORMANCE
Y/E DECEMBER
1Q
2Q
CY06#
3Q
4Q
1Q
2QE
CY07
3QE
4QE
CY06#
(RS MILLION)
CY07E
Net Income
YoY Change (%)
EBITDA
Margins (%)
Depreciation
Interest
Other Income
PBT before EO Expense
Extra-Ord Expense
PBT after EO Expense
Tax
Rate (%)
Reported PAT
Minority Interest
Adj PAT after Minority Int.
YoY Change (%)
Margins (%)
12,922
9.2
1,423
11.0
427
257
114
853
0
853
135
15.8
718
4
714
0.8
5.5
14,562
6.9
2,648
18.2
457
277
-355
1,559
0
1,559
336
21.6
1,223
12
1,211
19.5
8.3
16,087
18.4
2,697
16.8
496
299
106
2,008
226
1,782
378
21.2
1,404
11
1,571
753.8
9.8
17,769
24.3
2,665
15.0
531
247
484
2,371
0
2,371
512
21.6
1,859
26
1,833
513.7
10.3
15,821
22.4
1,908
12.1
557
313
604
1,642
0
1,642
355
21.6
1,287
11
1,276
78.7
8.1
16,149
10.9
2,261
14.0
571
334
1,052
2,408
0
2,408
482
20.0
1,926
11
1,915
58.2
11.9
17,940
11.5
3,409
19.0
619
334
-73
2,383
0
2,383
381
16.0
2,001
10
1,991
26.8
11.1
18,066
1.7
3,328
18.4
633
355
-464
1,877
0
1,877
444
23.7
1,433
8
1,425
-22.3
7.9
61,349
15.5
8,740
14.2
1,843
1,036
649
6,510
0
6,510
1,357
20.8
5,153
50
5,103
135.8
8.3
67,976
10.8
10,906
16.0
2,379
1,336
1,118
8,309
0
8,309
1,662
20.0
6,647
40
6,607
29.5
9.7
E: MOSt Estimates; # includes upsides from FTF products. Quarterly figures do not add up to annual numbers due to impact of forex gains
Nimish Desai (Nimishdesai@MotilalOswal.com); Tel: +91 22 39825406/Jinesh K Gandhi (Jinesh@MotilalOswal.com); Tel +91 22 39825416
29 June 2007
223

Results Preview
SECTOR: PHARMACEUTICALS
Shasun Chemicals
STOCK INFO.
BLOOMBERG
REUTERS CODE
BSE Sensex: 14,651 SSCD IN
S&P CNX: 4,318
SHAS.BO
29 June 2007
Previous Recommendation: Buy
Buy
Rs143
EPS
P/E
(X)
P/BV
(X)
ROE
(%)
ROCE
(%)
EV/
EV/
SALES EBITDA
PAT
(RS M)
EPS*
(RS) GROWTH (%)
Equity Shares (m)
52-Week Range
1,6,12 Rel. Perf. (%)
M.Cap. (Rs b)
M.Cap. (US$ b)
48.1
157/66
46/23/51
6.9
0.2
YEAR
END*
NET SALES*
(RS M)
03/07A
03/08E
7,722
9,002
-30
553
676
-0.6
11.5
14.1
N.A.
N.A.
22.3
-
12.4
10.1
3.3
2.9
2.4
19.8
21.0
21.9
15.3
17.9
19.2
1.9
1.6
1.4
11.7
8.4
6.8
03/09E 10,214
* Consolidated
?
Shasun (stand-alone) is expected to report 5% YoY growth in revenues to Rs1b in 1QFY08, despite strong growth in
CRAMS and steady performance in older products. We believe that currency appreciation is likely to impact topline
growth for the company. Our quarterly estimates do not include financials of Rhodia’ custom manufacturing business,
s
which Shasun acquired in January 2006. This business is likely to record 90% growth in revenues to Rs1b (albeit on
a low base) for the quarter led by increased order flow from some customers.
?
EBITDA margins are expected to be flat at 15.6% due to higher material and other expenditure and currency
appreciation. Also, higher tax provisioning (at 17.5% of PBT v/s 13.2% in 1QFY07) would result in a 13.6% growth
in PAT to Rs70m. We expect Rhodia operations to record Rs31m losses for the quarter.
?
We believe that the Rhodia acquisition would aid transformation of Shasun’ operations in favor of CRAMS business.
s
This, along with commercialization of the company’ generic pipeline would result in gradual improvement in EBITDA
s
margins in medium term. We expect Rhodia operations to record an operational turn-around in FY08E led by increased
order flow from customers and commercialization of one of the Phase-III products. At 12.4x FY08E and 10.1x
FY09E consolidated EPS, we believe valuations are reasonable. Maintain
Buy.
QUARTERLY PERFORMANCE (STANDALONE)
Y/E MARCH
1Q
2Q
FY07
3Q
4Q
1Q
2Q
FY08E
3Q
4Q
FY07
(RS MILLION)
FY08E
Net Sales
YoY Change (%)
Total Expenditure
EBITDA
Margins (%)
Depreciation
Interest
Other Income
PBT
Tax
Deferred Tax
Rate (%)
PAT
YoY Change (%)
Margins (%)
E: MOSt Estimates
955
27.3
809
146
15.3
67
11
3
71
15
-6
13.2
62
44.8
6.5
1,030
22.0
864
166
16.1
66
15
5
89
14
-3
13.1
78
25.5
7.5
982
-1.1
805
176
18.0
67
16
12
105
1
3
4.0
100
-22.2
10.2
1,081
9.0
902
179
16.5
51
12
29
145
-9
4
-3.2
150
13.7
13.8
1,001
4.9
845
156
15.6
60
15
4
85
15
0
17.5
70
13.6
7.0
1,243
20.7
1,007
236
19.0
75
19
4
146
26
0
17.5
120
54.8
9.7
1,267
29.1
1,000
267
21.1
79
24
3
167
29
0
17.5
138
37.6
10.9
1,363
26.1
1,080
283
20.7
94
26
5
168
-7
37
17.5
138
-7.5
10.2
4,047
13.1
3,380
667
16.5
251
54
42
404
22
-2
5.1
383
4.9
9.5
4,874
20.4
3,932
942
19.3
308
84
15
566
62
37
17.5
467
21.9
9.6
Nimish Desai (Nimishdesai@MotilalOswal.com); Tel: +91 22 39825406/Jinesh K Gandhi (Jinesh@MotilalOswal.com); Tel +91 22 39825416
29 June 2007
224

Results Preview
SECTOR: PHARMACEUTICALS
Sun Pharmaceuticals Industries
STOCK INFO.
BLOOMBERG
REUTERS CODE
BSE Sensex: 14,651 SUNP IN
S&P CNX: 4,318
SUN.BO
29 June 2007
Previous Recommendation: Buy
Buy
Rs1,022
EPS
P/E
(X)
P/BV
(X)
ROE
(%)
ROCE
(%)
EV/
EV/
SALES EBITDA
PAT
(RS M)
EPS
(RS) GROWTH (%)
Equity Shares (m)
52-Week Range
1,6,12 Rel. Perf. (%)
M.Cap. (Rs b)
M.Cap. (US$ b)
193.4
1,196/705
-10/-2/-9
197.7
4.9
YEAR
END
NET SALES
(RS M)
03/07A 20,792
03/08E 24,724
03/09E 29,995
7,741
8,656
10,764
37.4
41.8
52.0
35.0
11.8
24.4
27.3
24.5
19.7
8.9
7.4
5.6
40.6
35.5
34.6
22.6
23.5
24.8
9.2
7.6
6.0
28.1
22.4
17.7
?
?
?
?
?
Sun’ 1QFY08 revenues are expected to grow by 19% YoY to Rs5.9b, driven by 27.6% YoY growth in international
s
sales and 13% growth in domestic sales.
EBITDA margins are expected to decline by 240bp to 33.9%, on high base of last year and due to currency appreciation.
However, higher other income (up 185% due to translation forex gains on FCCBs), is likely to boost PAT by 36.8%
to Rs2.4b.
The de-merged R&D entity of SPIL, SPARC is currently working on 4 NCE and 12 NDDS products, with earliest
launch expected in 2009 for one of the NDDS products. Our preliminary valuations at 7x cash and 10x annual
expenses imply that SPARC’ NCE & NDDS pipeline will be valued at about US$225m-US$315m (Rs50-65/share).
s
Our estimates do not include upsides from any potential out-licensing agreement.
Sun Pharma has indicated plans to raise upto Rs35b for which it will be taking shareholder approval shortly. The
funds could be raised through any of the financial instruments like GDRs, FCCB, Bonds, Debentures, etc. We are
awaiting further details on this from the company.
SPIL’ ability to sustain high growth rates at superior margins even on a high base is a clear positive. With the
s
domestic business progressing well and increasing traction on the US front (both in Caraco and from India), the
possibility of a rapid scale-up over the next couple of years is high. While valuations at 24.5x FY08E and 19.7x
FY09E EPS (excl. Taro acquisition) appear rich, they do not fully factor in the ramp-up in US and expected value
unlocking by leveraging acquired companies (Taro, Able Labs & Valeant). Maintain
Buy.
(RS MILLION)
FY07
1Q
2Q
3Q
4Q
1Q
2Q
FY08E
3Q
4Q
FY07
FY08E
QUARTERLY PERFORMANCE (CONSOLIDATED)
Y/E MARCH
Net Revenues
YoY Change (%)
EBITDA
Margins (%)
Depreciation
Net Other Income
PBT
Tax
Rate (%)
Profit after Tax
Share of Minority Partner
Adj Net Profit
YoY Change (%)
Margins (%)
4,987
31.8
1,811
36.3
202
274
1,883
2
0.1
1,882
115
1,767
29.9
35.4
5,229
27.2
1,708
32.7
204
402
1,906
-22
-1.1
1,928
64
1,864
26.1
35.6
5,263
24.2
1,733
32.9
212
636
2,157
-29
-1.3
2,186
198
1,989
35.8
37.8
5,313
33.5
1,545
29.1
201
942
2,286
-18
-0.8
2,304
183
2,121
48.4
39.9
5,931
18.9
2,011
33.9
230
782
2,563
-26
-1.0
2,588
170
2,418
36.8
40.8
6,185
18.3
2,196
35.5
235
466
2,427
-24
-1.0
2,451
180
2,271
21.8
36.7
6,258
18.9
2,212
35.3
244
466
2,433
-24
-1.0
2,458
185
2,273
14.3
36.3
6,351
19.5
1,954
30.8
249
699
2,404
-19
-0.8
2,422
179
2,243
5.8
35.3
20,792
30.4
6,798
32.7
818
2,253
8,233
-67
-0.8
8,300
559
7,741
35.0
37.2
24,724
18.9
8,373
33.9
958
1,863
9,278
-93
-1.0
9,371
714
8,656
11.8
35.0
E: MOSt Estimates; Quaterly results have been recasted and hence do not tally with full year results
Nimish Desai (Nimishdesai@MotilalOswal.com); Tel: +91 22 39825406/Jinesh K Gandhi (Jinesh@MotilalOswal.com); Tel +91 22 39825416
29 June 2007
225

Results Preview
SECTOR: PHARMACEUTICALS
Wockhardt
STOCK INFO.
BLOOMBERG
REUTERS CODE
BSE Sensex: 14,651 WOCK IN
S&P CNX: 4,318
WCKH.BO
29 June 2007
Previous Recommendation: Neutral
Neutral
Rs384
P/E*
(X)
P/BV
(X)
ROE
(%)
ROCE
(%)
EV/
EV/
SALES EBITDA
PAT
(RS M)
EPS*
(RS)
EPS
GROWTH (%)
Equity Shares (m)
52-Week Range
1,6,12 Rel. Perf. (%)
M.Cap. (Rs b)
M.Cap. (US$ b)
109.4
450/324
-10/3/-37
42.0
1.0
YEAR
END
NET SALES
(RS M)
12/06A 17,290
12/07E 27,373
12/08E 33,822
* Fully diluted EPS
2,665
3,020
3,604
22.3
25.3
30.2
3.7
13.3
19.3
17.2
15.2
12.7
3.9
3.2
2.6
28.3
25.3
24.4
15.0
16.3
17.3
3.0
2.2
1.7
13.0
9.8
8.1
?
Wockhardt’ 2QCY07 revenues are expected to grow by 56% YoY to Rs6.4b, driven by higher growth in both
s
domestic and US business (albeit on a low base), and consolidation of Pinewood, Dumex and Negma acquisitions.
Growth in domestic business is likely to be higher due to increased traction in existing business as well as consolidation
of acquired brands (Farex and Protinex).
?
EBITDA margins are expected to likely to be flat at 21.9%, due to higher RM and staff costs as well as due to the
impact of currency appreciation. While the company has commenced capitalizing part of its R&D expenses beginning
3QCY06, we continue to expense R&D costs fully. Higher depreciation (linked to commissioning of new biotech
facilities) and higher interest costs (linked to acquisition of Pinewood) will restrict adjusted PAT growth to 11.4% YoY
at Rs706m.
?
We believe that Wockhardt still has to display the ability to fully leverage its assets (particularly the biotech facilities)
and scale up substantially in regulated markets, for a further re-rating in its valuation multiples. Wockhardt is valued
at 15.2x CY07E and 12.7x CY08E fully diluted earnings, which we believe is a fair reflection of the gradual progress,
which the company is making in its key markets. Maintain
Neutral.
QUARTERLY PERFORMANCE (CONSOLIDATED )
Y/E DECEMBER
1Q
2Q
CY06
3Q
4Q
1Q
2QE
CY07
3QE
4QE
CY06
(RS MILLION)
CY07E
Gross Sales
YoY Change (%)
Total Expenditure
EBITDA
Margins (%)
Depreciation
Interest
Other Income
PBT before EO Items
EO Income
PBT after EO Items
Tax
Rate (%)
Reported PAT
R&D Capitalized
Adjusted PAT
YoY Change (%)
Margins (%)
3,515
13.5
2,826
689
19.6
137
-77
33
662
-604
58
95
163.8
-37
0
543
30.2
-1.1
4,127
9.5
3,230
897
21.7
140
-6
18
781
0
781
147
18.8
634
0
634
-18.3
15.4
4,377
21.8
3,406
971
22.2
141
-5
61
896
0
896
156
17.4
740
170
636
-2.4
16.9
5,265
43.9
4,043
1,222
23.2
212
115
78
973
0
973
101
10.4
872
164
771
5.7
16.6
5,228
48.7
4,069
1,159
22.2
181
129
22
871
0
871
208
23.9
663
114
593
9.3
12.7
6,434
55.9
5,025
1,409
21.9
200
170
18
1,057
0
1,057
259
24.5
798
150
706
11.4
12.4
7,693
75.8
6,015
1,678
21.8
240
225
50
1,263
0
1,263
341
27.0
922
150
830
30.6
12.0
8,018
52.3
6,218
1,800
22.5
257
220
63
1,386
0
1,386
382
27.6
1,004
186
889
15.3
12.5
17,291
22.4
13,288
4,003
23.2
621
26
190
3,546
-604
2,942
529
18.0
2,413
570
2,558
-0.5
14.0
27,373
58.3
21,326
6,047
22.1
878
744
153
4,579
0
4,579
1,190
26.0
3,388
600
3,020
18.0
12.4
E: MOSt Estimates; Quarterly numbers don’ add up to annual numbers due to re-classification
t
Nimish Desai (Nimishdesai@MotilalOswal.com); Tel: +91 22 39825406/Jinesh K Gandhi (Jinesh@MotilalOswal.com); Tel +91 22 39825416
29 June 2007
226

Results Preview
QUARTER ENDED JUNE 2007
Retailing
BSE Sensex: 14,651
S&P CNX: 4,318
29 June 2007
COMPANY NAME
PG.
Pantaloon Retail
232
Shopper’ Stop
s
233
Titan Industries
234
Retail companies continued to march ahead in announcing new formats and stores.
Retail space addition continued to lag the estimates while companies continued to witness
good consumer response to the new stores launched. Conversion rates appear to be
strong and rising for segments such as fresh food and neighborhood stores. Organized
retail has emerged as a significant launch pad for the consumer and luxury companies to
launch their products in India. The food and groceries segment hogged the limelight with
retailers planning a big entry into this segment.
We remain positive on long-term prospects of the sector. The companies which have
established their formats and are strengthening their backend will emerge as winners,
although short-term margin pressure cannot be ruled out. The concerns in this retail
segment are: (1) rising manpower costs; (2) timely execution of malls; (3) political
interference; and (4) efficient supply chain management. We maintain a positive view
on the sector with
Pantaloon Retail
as our top pick.
Interesting times ahead for Indian retail
According to Technopak, size of Indian retail sector currently is US$300b, and estimated
to increase to US$427b by 2010 and to US$637b by 2015. The retail spend is expected
to increase at a rate of 13% CAGR in forthcoming years, which augurs well for the
retail sector. The growth potential in the Indian retail sector is attracting several players.
Apart from a number of Indian players, global giants such as Walmart, Tesco, Carrefour
are awaiting a relaxation in FDI norms to enter this arena. Although FDI in single brand
stores has been allowed, we do not see a significant shift in FDI policy in the near term.
This should provide a huge window of opportunity for domestic retailers to increase
presence and attain critical mass. We expect the top 6 retailers to have more than 90m
sq. ft. in retail space by 2011.
RETAIL SPACE BY 2011 (IM SQ FT)
Reliance
Pantaloon
Spencer’
s
Raheja
Birla Retail
Bharti
40
30
8
5
4
4
Source: India Retail Report 2007
EXPECTED QUARTERLY PERFORMANCE SUMMARY
RECO
SALES
JUN.07
CHG. (%)
JUN.07
EBITDA
CHG. (%)
(RS MILLION)
NET PROFIT
JUN.07
CHG. (%)
Retailing
Pantaloon Retail
Shopper's Stop
Titan Industries
Sector Aggregate
Buy
Neutral
Neutral
10,798
2,500
6,100
19,398
87.7
45.4
38.3
63.3
755
160
200
1,115
102.4
33.9
21.1
69.5
250
60
91
401
58.0
11.2
30.7
42.3
Amnish Aggarwal (AmnishAggarwal@MotilalOswal.com)Tel:+9122 39825404/Rajee Patwa (RajeePatwa@MotilalOswal.com)Tel:+9122 39825417
29 June 2007
227

Retailing
Although the retail pie appears large enough for several players, the cost efficiency measures
adopted by players such as Reliance, Pantaloon and Subiksha are likely to intensify
competition. We believe that players with economies of scale, efficient supply chain and
logistics will emerge as winners.
Food and grocery segment to see plenty of action
As per F&R Research the share of food and grocery in total household spend is 63%.
Although expenditure growth on food and grocery is merely 2.2%, this segment will continue
to command a big slice of the retail pie as its share in total retail sales is expected to
decline to 53% by 2015 (Technopak). The grocery segment is witnessing plenty of action
with players such as ITC, Bharti, Pantaloon, RPG group, Subiksha, Heritage Foods, and
Vishal Retail unveiling their big plans for the food and grocery segment. The initiatives
include setting up of cold chains, contract farming, logistics and direct sourcing. In addition
to the large format food stores, the concept of ‘
neighborhood’and ‘
convenience’stores is
fast catching up with Indian retailers. We expect these companies to set up at least 10,000
convenience stores in the coming years, in addition to hypermarkets. Consequently share
of organized retail in total food and grocery sales is expected to increase significantly.
Although we expect broad-based growth of organized retail across categories and segments,
the contribution of food and grocery will likely rise sharply and will be instrumental in
increasing the organized retail share in the total retail sales to 8% by FY2010.
MODERN RETAIL PIE
Books & Music
3%
Catering Services
7%
Food & Groceries
11%
Furniture &
Furnishings
7%
Mobile
accessories
3%
Entertainment
3%
Clothing
40%
Jew ellery
3%
Consumer
Durables
9%
Health & Beauty
1%
Footw ear
10%
Watches
3%
Source: India Retail Report 2007
Challenges/concerns in retail
Timing and execution, a serious challenge:
Timing and execution presents one of the
biggest challenges in the retail sector. Timing issues arise due to timely availability of real
estate from the developers and completing the retro-fits. Mall space in India has increased
29 June 2007
228

Retailing
from 2m sq. ft. in 2002 to 52m sq. ft. in 2006 and is expected to increase to over 100m sq.
ft. by 2009 and further double in another two years. For most of developers, real estate
development has been lagging by 6-12 months. This raises the risk of timeliness for retailers,
as it takes them another 4-6 months to start the store after getting possession from the
developer. For e.g., Shopper’ Stop has not added a single mall since 2HFY07 while Titan
s
has added only 20 company operated stores versus the earlier guidance of 57 Titan stores
in FY07.
Political will:
Since organized retail would directly clash with the interests of the small
kirana
shops, vendors and traders, it is likely to see protests from political parties and
trade unions. The Left has been against the big retail giants coming to India. Some pressure
from the Left for change in policies could pose a threat to the emerging retail story in
India. Media reports suggest that Reliance might be scaling down its opening of Reliance
fresh outlets. GoI is also looking at limiting the opening of large outlets within city limits.
Lack of quality manpower:
Quality human resource to suit retail organizations is key
issue as companies are facing higher attrition rates at the shop floor and senior management
levels. Salaries at higher levels are rapidly increasing. We estimate the increase in manpower
costs at more than 25%. While companies like Shopper’ Stop have been able to neutralize
s
the impact of wage increases by strong same sales growth, Pantaloon Retail has started
feeling the impact of wage rises due to delay in completion of properties and faster
recruitment of people in keeping with the companies’ aggressive store opening plans.
Rising lease rentals:
Lease rentals have been on a rise for some time, and with additional
service tax been imposed on lease rents, we expect lease rentals to move up further.
Earnings of key retailing companies like Pantaloon and Shopper’ Stop would take a hit by
s
9-11% in FY08 and FY09 if the companies absorb the entire service tax impact.
Increasing importance of strong supply chain management
In the wake of rising competition, it is becoming difficult for players to increase end prices.
In such a scenario, the player who is able to integrate backwards and squeeze higher
margins will be the winner given the wafer thin margins in the food and grocery business.
Multi-level supply chain leads to higher wastage and increased costs and commissions.
Also, the movement of goods across different states and regions, sometimes arising out of
differential taxes, leads to high wastage due to inadequate transportation and cold storage
facilities. Crisil research estimates that the final retail price paid by the consumer is 2.6
times the price paid to the farmer. Thus, an efficient supply chain and logistics planner
gains further importance. Reliance, through Reliance Logistics and Pantaloon, through
Future Logistics plan to expand their distribution network through rail, road cold chains
and warehouses in order to cut costs and enhance efficiencies. The Bharti-Walmart joint
venture is already on the look out for land to set up warehouses.
29 June 2007
229

Retailing
Specialty retail to witness greater action
Specialty retail segment is expected to witness a high level of activity. This segment is
expected to benefit from FDI in single brand retail outlets. A number of MNCs are planning
to open their single brand outlets, which include categories such as luxury goods, garments,
personal accessories, watches etc. In addition some specialty segments like garments and
jewelry are witnessing rising interest from domestic jewelry majors that wish to expand
retail operations. Rajesh Exports and Gitanjali Gems are contenders to increase retail
presence. Titan Industries has started Eye+ prescription eyewear stores to cater to rising
demand from the fashion and prescription eyewear products. We expect a number of
global brands to set up their own stores in the coming 1-2 years, which will intensify
competition in certain segments of specialty retail.
Valuation and view
While we have good visibility for existing retailers on the sales front, the same is perhaps
not true for the profit margins, particularly in the Hypermart and grocery store formats.
We expect specialty stores to flourish due to committed customers and strong brand recall.
We believe that the competitive landscape will undergo a big change due to entry of
players such as Reliance, Bharti and the A.V. Birla group. We expect industry focus to
shift to cost efficiencies and better consumer value.
Despite expected increase in competition we believe that companies that have a strong
head start will continue to thrive ahead. Historical facts with regard to evolution of retail
stocks in developed countries reveal that the sector enjoys premium valuations in its
development stage — a situation that is prevails currently in India. We maintain a positive
view on the sector with
Pantaloon Retail
our top pick.
29 June 2007
230

Retailing
Stock performance and valuations
STOCK PERFORMANCE (%)
ABSOLUTE PERF
3M
1 YEAR
REL PERF TO SENSEX
3M
1 YEAR
REL PERF TO SECTOR
3M
1 YEAR
Retailing
Pantaloon Retail
Shopper's Stop
Titan Industries
25
-8
59
84
13
125
13
-20
47
46
-25
87
-5
-38
29
-2
-73
39
RELATIVE PERFORMANCE - 3 MONTH (%)
RELATIVE PERFORMANCE - 1 YEAR (%)
Sensex
132
123
114
105
96
Mar-07
Apr-07
MOSt Retail Index
195
MOSt Retail Index
Sensex
165
135
105
75
May-07
Jun-07
Jun-06
Sep-06
Dec-06
Mar-07
Jun-07
COMPARATIVE VALUATION
CMP (RS)
29.6.07
RECO
FY07E
EPS (RS)
FY08E
FY09E
FY07E
P/E (X)
FY08E
FY09E
FY07E
EV/EBITDA
FY08E
FY09E
FY07E
ROE (%)
FY08E
FY09E
Retailing
Pantaloon Retail
Shopper's Stop
Titan Industries
Sector Aggregate
495
568
1,339
Buy
Neutral
Neutral
6.5
9.8
26.6
9.0
12.0
33.8
13.9
16.7
46.9
76.7
57.7
50.3
59.8
54.8
47.5
39.6
44.9
35.6
34.1
28.5
31.0
32.6
28.9
28.5
30.5
22.0
21.2
22.8
22.2
16.1
15.6
17.5
16.4
13.7
11.7
40.0
19.6
13.6
13.2
30.3
18.2
17.6
16.7
31.4
21.7
29 June 2007
231

Results Preview
SECTOR: RETAILING
Pantaloon Retail
STOCK INFO.
BLOOMBERG
REUTERS CODE
BSE Sensex: 14,651 PF IN
S&P CNX: 4,318
PART.BO
29 June 2007
Previous Recommendation: Buy
Buy
Rs495
EPS
P/E
(X)
P/BV
(X)
ROE
(%)
ROCE
(%)
EV/
EV/
SALES EBITDA
PAT
(RS M)
EPS
(RS) GROWTH (%)
Equity Shares (m)
52-Week Range
1,6,12 Rel. Perf. (%)
M.Cap. (Rs b)
M.Cap. (US$ b)
134.4
527/216
12/17/46
66.6
1.6
YEAR
END*
NET SALES
(RS M)
06/07E 32,969
06/08E 55,889
06/09E 86,065
868
1,283
1,968
6.5
9.0
13.9
35.2
40.0
53.9
76.7
54.8
35.6
8.4
6.0
5.0
13.7
13.6
17.6
11.8
12.69
13.9
2.2
1.2
0.8
26.0
17.7
13.1
* Diluted equity after rights issue
?
Pantaloon’ revenues are expected to grow 87.7% YoY in 4QFY07 with value retailing driving growth during the
s
quarter.
EBITDA margins are expected to increase by 50bp to 7% YoY, PAT is expected at Rs250m, a growth of 58% YoY
buoyed by strong growth in revenues.
Pantaloon is expected to witness acceleration in stores opening by end-July 2007. The company is expected to open
12 Big Bazaars, 16 Food Bazaars, 10 E-Zones, 5 Furniture Bazaars, and 6 Collection 1 stores.
Pantaloon continues to explore new initiatives to capture more and more share of the consumers’wallet. The company
launched DREAMLINE brand to cater to the huge potential in the home category for the masses. The company has
acquired the rights of the India-South Africa series to be played in Ireland. The series will be called
The Future Cup.
The stock is currently trading at 54.8x FY08E EPS and 35.6x FY09E EPS. We maintain
Buy.
?
?
?
?
QUARTERLY PERFORMANCE
Y/E JUNE
1Q
2Q
FY06
3Q
4Q
1Q
2Q
FY07
3Q
4QE
FY06
(RS MILLION)
FY07E
Net Sales
YoY Change (%)
Total Exp
EBITDA
Margins (%)
Depreciation
Interest
Other Income
PBT
Tax
Rate (%)
Adjusted PAT
YoY Change (%)
Exceptional Income
Repoorted PAT
E: MOSt Estimates
3,648
81.4
3,368
280
7.7
38
57
7
192
57
29.7
135
95.0
0
135
4,720
81.4
4,341
379
8.0
46
79
4
258
72
28.0
186
83.0
0
186
4,554
98.0
4,169
385
8.5
59
101
5
230
68
27.0
162
52.0
0
162
5,752
65.6
5,379
373
6.5
66
98
30
239
80
33.6
158
43.5
0
158
6,034
65.4
5,618
415
6.9
67
125
17
241
79
32.7
162
19.6
224
386
7,527
59.5
6,957
570
7.6
82
207
5
286
94
33.0
191
3.1
249
440
8,610
89.1
8,008
603
7.0
93
229
9
290
103
35.5
187
15.3
0
187
10,798
87.7
10,044
755
7.0
154
233
18
386
136
35.1
250
58.0
12
262
18,678
77.4
17,257
1,420
7.6
208
335
42
919
277
30.2
642
65.4
0
642
32,969
76.5
30,626
2,343
7.1
397
793
50
1,203
411
34.2
791
23.3
284
1,075
Amnish Aggarwal (AmnishAggarwal@MotilalOswal.com)Tel:+9122 39825404/Rajee Patwa (RajeePatwa@MotilalOswal.com)Tel:+9122 39825417
29 June 2007
232

Results Preview
SECTOR: RETAILING
Shopper's Stop
STOCK INFO.
BLOOMBERG
REUTERS CODE
BSE Sensex: 14,651 SHOP IN
S&P CNX: 4,318
SHOP.BO
29 June 2007
Previous Recommendation: Neutral
Neutral
Rs568
P/E
(X)
P/BV
(X)
ROE
(%)
ROCE
(%)
EV/
EV/
SALES EBITDA
PAT
(RS M)
EPS
EPS
(RS) GROWTH (%)
Equity Shares (m)
52-Week Range
1,6,12 Rel. Perf. (%)
M.Cap. (Rs b)
M.Cap. (US$ b)
34.8
777/433
-8/-23/-25
19.8
0.5
YEAR
END
NET SALES
(RS M)
03/07A
8,280
343
416
580
9.8
12.0
16.7
39.8
21.4
39.3
57.7
47.5
34.1
6.7
6.3
5.7
11.7
13.2
16.7
14.6
16.9
19.0
2.4
1.6
1.2
28.7
20.9
15.5
03/08E 12,319
03/09E 17,010
?
Shopper’ Stop is expected to report revenues of Rs2.5b in 1QFY08, an increase of 45.4%, driven by strong same
s
store sales growth in existing stores.
EBITDA margins are expected at 6.4% for 1QFY08, a decline of 50bp due to increase in staff costs and overheads
as the company is expected to open six Shopper’ Stop stores during the current year.
s
Adjusted PAT at Rs60m is expected to increase by 11.2% during 1QFY08 on a YoY basis.
The stock is currently trading at 47.5x FY08E EPS and 34.1x FY09E EPS. We maintain
Neutral.
?
?
?
QUARTERLY PERFORMANCE
Y/E MARCH
1Q
2Q
FY07
3Q
4Q
1Q
2Q
FY08E
3Q
4Q
FY07
(RS MILLION)
FY08E
Net Sales
YoY Change (%)
Total Exp
EBITDA
Margins (%)
Depreciation
Interest
Other Income
PBT
Tax
Rate (%)
PAT
YoY Change (%)
Minority Interest Exceptionals
Reported PAT
E: MOSt Estimates
1,720
35.0
1,600
119
6.9
41
9
25
95
41
43.0
54
95.8
0
54
2,013
32.9
1,852
162
8.0
55
11
31
126
46
36.4
80
148.0
0
80
2,398
24.6
2,150
248
10.3
43
11
37
231
90
38.8
142
21.0
0
142
2,149
31.5
1,997
152
7.1
50
4
11
117
49
42.4
67
9.7
-101
-34
2,500
45.4
2,340
160
6.4
65
15
18
98
38
38.8
60
11.2
0
60
3,000
49.0
2,775
225
7.5
75
20
15
145
52
35.9
93
16.0
0
93
3,600
50.1
3,250
350
9.7
80
18
10
262
90
34.4
172
21.5
0
172
3,219
49.8
2,984
235
7.3
85
18
13
146
54
37.2
91
35.9
0
91
8,280
30.5
7,599
681
8.2
189
41
36
569
226
39.7
343
44.0
-101
242
12,319
48.8
11,349
970
7.9
305
71
56
651
234
36.0
416
21.4
0
416
Amnish Aggarwal (AmnishAggarwal@MotilalOswal.com)Tel:+9122 39825404/Rajee Patwa (RajeePatwa@MotilalOswal.com)Tel:+9122 39825417
29 June 2007
233

Results Preview
SECTOR: RETAILING
Titan Industries
STOCK INFO.
BLOOMBERG
REUTERS CODE
BSE Sensex: 14,651 TTAN IN
S&P CNX: 4,318
TITN.BO
29 June 2007
Previous Recommendation: Neutral
Neutral
Rs1,339
P/E
(X)
P/BV
(X)
ROE
(%)
ROCE
(%)
EV/
EV/
SALES EBITDA
PAT
(RS M)
EPS
EPS
(RS) GROWTH (%)
Equity Shares (m)
52-Week Range
1,6,12 Rel. Perf. (%)
M.Cap. (Rs b)
M.Cap. (US$ b)
42.3
1,365/537
22/50/87
56.6
1.4
YEAR
END
NET SALES
(RS M)
03/07A 20,902
03/08E 29,173
03/09E 36,920
1,181
1,501
2,082
26.6
33.8
46.9
8.6
27.0
38.8
50.3
29.4
21.2
24.3
19.2
8.5
40.0
30.3
31.4
29.5
30.9
37.4
2.8
1.5
1.1
28.5
17.0
12.9
?
?
?
?
?
We expect Titan to register 38.3% growth in revenues to Rs6.1b in 1QFY08. Jewelry and precision components are
expected to be leading growth drivers.
EBITDA margins are likely to dip by 40bp to 3.3% in 1QFY08 due to rising store operating expenses and overheads
for the new
Titan
and
Gold Plus
stores as also the rising proportion of lower margin jewelry business in the total
sales mix.
The company plans to open 50 of the targeted 86 The World of Titan and Fastrack stores by Diwali this year. The
company has plans to launch 20
Gold Plus
stores. Titan Eye+, prescription and fashion eyewear store format was
launched during the quarter. The company is likely to undertake expansion of the stores after stabilizing pilot stores
for 8-9 months.
We expect adjusted PAT to grow by 30.7% to Rs91m on account of higher depreciation and taxes.
The stock is currently trading at 29.4x FY08E and 21.2x FY09E. We believe that the current stock price factors in
the expected growth potential. Despite robust business model and strong visibility of earnings, we maintain
Neutral
rating due to high valuations.
QUARTERLY PERFORMANCE
Y/E MARCH
1Q
2Q
FY07
3Q
4Q
1Q
2Q
FY08E
3Q
4Q
FY07
(RS MILLION)
FY08E
Net Sales
YoY Change (%)
Total Exp
EBITDA
Margins (%)
Depreciation
Interest
Other Income
PBT
Tax
Rate (%)
PAT
YoY Change (%)
Extraordinary Items
Reported PAT
E: MOSt Estimates
4,410
54.1
4,245
165
3.7
49
49
14
81
12
14.4
70
-7.4
-29
41
5,235
47.9
4,690
546
10.4
66
43
5
442
100
22.6
342
-7.1
-21
322
5,291
42.9
4,711
581
11.0
70
47
9
473
177
37.4
296
122.9
-21
275
5,966
41.0
5,273
693
11.6
72
66
4
560
85
15.1
475
13.5
-172
303
6,100
38.3
5,900
200
3.3
70
35
18
113
22
19.5
91
30.7
-25
66
7,300
39.4
6,600
700
9.6
75
40
8
593
160
27.0
433
26.5
-25
408
7,500
41.7
6,725
775
10.3
75
35
12
677
255
37.7
422
42.6
-20
402
8,273
38.7
7,465
808
9.8
94
23
10
701
147
20.9
555
16.7
-21
534
20,902
45.1
18,950
1,952
9.3
256
204
64
1,557
375
24.1
1,181
11.1
-240
941
29,173
39.6
26,690
2,483
8.5
314
133
48
2,084
584
28.0
1,501
27.0
-91
1,410
Amnish Aggarwal (AmnishAggarwal@MotilalOswal.com)Tel:+9122 39825404/Rajee Patwa (RajeePatwa@MotilalOswal.com)Tel:+9122 39825417
29 June 2007
234

Results Preview
QUARTER ENDED JUNE 2007
Telecom
BSE Sensex: 14,651
S&P CNX: 4,318
29 June 2007
COMPANY NAME
PG.
Bharti Airtel
239
Reliance Communication
240
The wireless industry continued its momentum of strong subscriber additions. We expect
the industry to add 19m subscribers in the quarter ended June 2007 compared with
14.9m subscribers added in the quarter ended March 2007. Subscriber additions continue
to be driven by the A and B circles.
STRONG MARKET SHARE (%)
DEC-06
JAN-07
FEB-07
MAR-07
APR-07
MAY-07
VSNL
241
Market Share
Metros
A-Circle
B-Circle
C-Circle
Incremental Market Share
Metros
A-Circle
B-Circle
C-Circle
14.0
32.4
41.6
11.9
12.7
37.0
39.0
11.3
15.5
28.7
41.1
14.6
-14.8
45.2
52.5
17.1
8.1
40.0
37.2
14.7
13.6
34.0
39.5
12.8
20.5
35.8
34.8
8.9
20.2
35.9
35.0
9.0
20.0
35.6
35.2
9.2
19.5
35.8
35.4
9.3
19.1
35.9
35.5
9.5
18.9
35.8
35.6
9.6
Source: Company/Motilal Oswal Securities
MOM NET ADDITIONS
7.5
6.0
4.5
3.0
1.5
Source: Company/Motilal Oswal Securities
EXPECTED QUARTERLY PERFORMANCE SUMMARY
RECO
SALES
JUN.07
CHG. (%)
JUN.07
EBITDA
CHG. (%)
(RS MILLION)
NET PROFIT
JUN.07
CHG. (%)
Telecom
Bharti Airtel
Reliance Comm
VSNL
Sector Aggregate
Buy
Buy
Neutral
59,926
43,255
11,005
114,186
55.4
33.1
19.1
42.2
24,779
17,971
2,477
45,227
65.0
49.0
16.3
54.8
15,024
11,064
1,247
27,335
98.9
115.8
41.7
101.6
Niren Parekh
(NirenParekh@MotilalOswal.com);
Tel: +91 22 3982 5423
29 June 2007
235

Telecom
Subscriber verification woes over
Net subscriber addition in March was substantially lower at 3.2m versus an average of
5.6m subscribers for the preceding 12 months. Reliance deactivated ~5m subscribers
from its total subscriber base, which resulted in this one-off blip in subscriber additions for
the month of March 2007, while state owned BSNL added ~2m subscribers in line with its
earlier trend of allotting subscriptions towards the end of the financial year. We are positively
surprised by pace of additions of Hutch, for the month of April and May, which surpassed
BSNL to become the second largest GSM player in the country in the month of May 2007.
We expect industry to add 6.85m subscriber for June, driven primarily by success of the
various schemes (Reliance-777, Lifetime prepaid-495) launched by all the leading operators
across the country.
Entry level handsets break the Rs1,000 barrier
In a landmark development for the Indian telecom industry, Reliance Communication became
the first operator to break the Rs1,000 price point for handsets. Sourced from the Chinese
manufacturer ZTE, the Classic range of handsets were launched at Rs777 for the
monochrome model and color handsets at Rs1,234. Reliance Communications sold more
than 1.5m Classic handsets in May itself. Hutch has also selectively rolled out bundled
handset schemes around Rs1,200 in a few circles. The lower cost of ownership is likely to
be a significant booster to ring in new subscribers especially from the lower income groups
as well as rural areas. We view this as a positive for the industry as a whole given the low
penetration in India compared with Asian peers.
Lifetime Prepaid relaunched at Rs495
Bharti set yet another first in industry by introducing the lifetime prepaid at a lower price
point of Rs495 (Rs999 earlier) with the tariff structure same as the earlier life-time scheme
(local Rs1.99 and STD Rs2.74). The new subscriptions would also be allowed to recharge
under the Happy recharge scheme (which has full talk time). The scheme comes with a
clause of a minimum usage of Rs200 every six months. While the previous lifetime scheme
had a roaring success with a large subscriber addition within the first few months, we
expect the reduced Lifetime vouchers to further fuel subscriber additions and widen the
overall penetration targeting the bottom end of the customer pyramid.
Long distance tariffs become more attractive
Reliance Communications slashed roaming tariffs on selective schemes (One India scheme)
for prepaid and postpaid subscriptions starting 23 May 2007. The timing of move came as
a surprise since the government was mulling over a cut in roaming tariffs and was likely to
issue directives to that effect in June 2007. While BSNL and MTNL also followed suit and
reduced roaming tariffs, all other large GSM operators have kept the tariffs largely
unchanged. Our interaction with industry sources indicates that the roaming tariff cuts
from GSM players will happen with a lag, only after a definitive stance taken by the
236
29 June 2007

Telecom
government on this issue. While timing of the roaming cuts is still uncertain, we believe the
trend of reduction in roaming revenues is likely to continue. Our discussions with the
industry indicate the elasticity of traffic to compensate for the decline in roaming tariffs
over a period of 1-2 quarters.
RCOM and Bharti have both announced a reduction in ISD rates for calls to US & Canada.
These cards are around Rs2,000 range and are valid for a period of 180 days. We believe
revenues from calling cards for RCOM to be higher than Bharti. While we expect robust
growth in outbound traffic for the ILD segment, we maintain that tariffs would be under
pressure.
Valuation and view
Momentum in subscriber additions continues to be strong, driven by falling handset costs,
attractive tariffs offered by different service providers and deeper penetration. Though
subscriber additions have been strong during the quarter, the focus is likely to be on ARPU,
as the full impact of cuts in roaming revenues (effective February 2007) will be quantified
in the current quarter.
Considering expected strong growth momentum in the wireless subscribers base over
FY08E-FY10E, we continue to remain positive on Bharti and Reliance Communications.
29 June 2007
237

Telecom
Stock performance and valuations
STOCK PERFORMANCE (%)
ABSOLUTE PERF
3M
1 YEAR
REL PERF TO SENSEX
3M
1 YEAR
REL PERF TO SECTOR
3M
1 YEAR
Telecom
Bharti Airtel
Reliance Communication
VSNL
10
23
17
126
108
17
-3
11
5
88
70
-21
-5
8
2
-22
-40
-131
RELATIVE PERFORMANCE - 3 MONTH (%)
RELATIVE PERFORMANCE - 1 YEAR (%)
Sensex
117
MOSt Telecom Index
260
MOSt Telecom Index
Sensex
112
215
170
107
102
125
80
97
Mar-07
Apr-07
May-07
Jun-07
Jun-06
Sep-06
Dec-06
Mar-07
Jun-07
COMPARATIVE VALUATION
CMP (RS)
29.6.07
RECO
FY07E
EPS (RS)
FY08E
FY09E
FY07E
P/E (X)
FY08E
FY09E
FY07E
EV/EBITDA
FY08E
FY09E
FY07E
ROE (%)
FY08E
FY09E
Telecommunication
Bharti Airtel
Reliance Comm.
VSNL
Sector Aggregate
836
517
468
Buy
Buy
Neutral
22.5
15.6
17.6
33.7
22.8
16.4
41.8
28.2
15.9
37.2
33.1
26.7
35.1
24.8
22.7
28.5
24.1
20.0
18.4
29.5
19.6
21.9
18.8
13.6
20.1
14.4
12.3
11.7
13.4
10.8
9.5
10.0
10.2
37.4
19.7
7.9
23.5
38.1
20.5
7.1
25.0
33.2
20.6
6.6
24.1
29 June 2007
238

Results Preview
SECTOR: TELECOM
Bharti Airtel
STOCK INFO.
BLOOMBERG
REUTERS CODE
BSE Sensex: 14,651 BHARTI IN
S&P CNX: 4,318
BRTI.BO
29 June 2007
Previous Recommendation: Buy
YEAR
END
NET SALES
(RS M)
PAT
(RS M)
EPS
EPS
P/E
(X)
P/BV
(X)
ROE
(%)
ROCE
(%)
EV/
(RS) GROWTH (%)
Buy
Rs836
EV/
SALES EBITDA
Equity Shares (m)
52-Week Range
1,6,12 Rel. Perf. (%)
M.Cap. (Rs b)
M.Cap. (US$ b)
1,896.0
899/346
-1/27/88
1,585.0
38.9
3/07E
3/08E
3/09E
185,199
271,894
347,964
42,571
63,865
79,278
22.5
33.7
41.8
88.5
50.0
24.1
37.2
24.8
20.0
11.7
7.9
5.7
37.4
38.1
33.2
29.0
33.0
32.9
8.8
6.1
4.6
22.0
14.4
10.8
?
?
?
We expect overall revenues of Bharti Airtel to grow 11% QoQ, driven by growth in mobility revenues.
Overall EBITDA margins are expected to decline marginally by 20bp at 41.35%.
EBITDA margins for the mobile telephony business are expected to decrease 10bp QoQ, reflecting the full impact of
roaming tariff cuts. While, we expect demand elasticity to compensate for the reduction in roaming rate over 3-6
months, short-term margins could be marginally impacted.
We expect 170bp margin decline in long distance business due to pressure on net retentions. Enterprise business
margins are also likely to decline by 500bp at 45% owing to intense competition.
Net profit for the company is expected to grow at 11% sequentially. We expect forex gains (QoQ) on loan restatement
on the back of 6.7% rupee appreciation in 1QFY08.
The stock is currently trading 24.8x FY08E and 20x FY09E earnings respectively. We expect Bharti to consolidate its
leadership in the mobility markets, while continuing to invest aggressively. We maintain
Buy.
(RS MILLION)
FY07
1Q
2Q
3Q
4Q
1Q
2Q
FY08E
3Q
4Q
FY07
FY08E
?
?
?
QUARTERLY PERFORMANCE (CONSOLIDATED)
Y/E MARCH
Gross Revenue
YoY Growth (%)
QoQ Growth (%)
Access & Interconnect Charges
Net Revenue
Total Operating Expenses
EBITDA
Margin (%)
Net Finance Costs
Cash Profit from Operations
Depreciation & Amortization
Profit before Tax
Income Tax Expense / (Income)
Profit/(Loss) to Min. Shareholders
Net Profit / (Loss)
QoQ Growth (%)
Margin (%)
38,564
53.2
13.0
6,612
31,952
16,930
15,022
39.0
1,691
13,331
4,972
8,600
952
96
7,552
10.7
19.6
43,572
60.8
13.0
7,190
36,382
19,357
17,025
39.1
587
16,438
5,926
10,782
1,378
66
9,338
23.7
21.4
49,130
62.4
12.8
8,242
40,888
20,834
20,054
40.8
-1,317
21,371
7,072
14,410
2,139
121
12,150
30.1
24.7
53,933
58.1
9.8
9,335
44,598
22,190
22,408
41.5
477
21,931
7,239
15,068
1,353
184
13,531
11.4
25.1
59,926
55.4
11.1
10,187
49,739
24,959
24,779
41.4
-450
25,229
7,750
17,679
2,475
180
15,024
11.0
25.1
65,230
49.7
8.9
10,437
54,793
27,495
27,299
41.9
1,000
26,299
8,500
17,999
2,610
180
15,209
1.2
23.3
70,895
44.3
8.7
10,989
59,907
29,918
29,989
42.3
1,100
28,889
9,500
19,589
2,840
180
16,568
8.9
23.4
75,842
40.6
7.0
10,531
65,312
33,009
32,303
42.6
1,801
30,502
10,430
20,272
3,028
182
17,062
3.0
22.5
185,199
58.8
31,379
153,820
79,311
74,509
40.2
1,438
73,071
25,209
48,860
5,822
467
42,571
88.5
23.0
271,894
46.8
42,144
229,750
115,380
114,371
42.1
3,451
110,920
36,180
75,540
10,953
722
63,865
50.0
23.5
E: MOSt Estimates; Financials as per US GAAP
Niren Parekh
(NirenParekh@MotilalOswal.com);
Tel: +91 22 3982 5423
29 June 2007
239

Results Preview
SECTOR: TELECOM
Reliance Communication
STOCK INFO.
BLOOMBERG
REUTERS CODE
BSE Sensex: 14,651 RCOM IN
S&P CNX: 4,318
RLCM.BO
29 June 2007
Previous Recommendation: Buy
YEAR
END
NET SALES
(RS M)
PAT
(RS M)
EPS
EPS
P/E
(X)
P/BV
(X)
ROE
(%)
ROCE
(%)
EV/
(RS) GROWTH (%)
Buy
Rs517
EV/
SALES EBITDA
Equity Shares (m)
52-Week Range
1,6,12 Rel. Perf. (%)
M.Cap. (Rs b)
M.Cap. (US$ b)
2,044.6
535/218
1/3/70
1,057.2
25.9
3/07A 144,682
3/08E
3/09E
203,219
252,660
31,637
46,589
57,562
15.6
22.8
28.2
563.6
45.9
23.6
33.1
22.7
18.4
5.2
4.2
3.4
19.7
20.5
20.6
11.4
13.5
16.0
7.3
5.1
4.0
18.6
12.3
9.5
?
We expect overall revenues of RCOM to grow 9.9% QoQ, driven by growth in mobility and broadband revenues. We
expect RCOM to add 4.1m subscribers in 1QFY08.
Overall EBITDA margins are expected to remain flat at 41.5%.
ARPU for RCOM is likely to fall by 3%; EBITDA margins for wireless business are expected to decline by 10bp
QoQ.
We expect stable margins in long distance business despite pressure on retention as a proportion of data revenues are
expected to increase. We expect broadband business margins to stabilize at around 45%.
Net profit is expected to grow at 8% sequentially.
The stock is currently trading at 22.7x FY08E and 18.4x FY09E earnings respectively. We Recommend
Buy.
(RS MILLION)
FY07
1Q
2Q
3Q
4Q
1Q
2Q
FY08E
3Q
4Q
FY07
FY08E
?
?
?
?
?
QUARTERLY PERFORMANCE (CONSOLIDATED)
Y/E MARCH
Gross Revenue
YoY Growth (%)
QoQ Growth (%)
Total Operating Expenses
EBITDA
Margin (%)
Net Finance Costs
Cash Profit from Operations
Depreciation & Amortization
Profit before Tax
Income Tax Expense / (Income)
Net Profit / (Loss)
QoQ Growth (%)
Margin (%)
32,501
42.4
9.4
20,439
12,062
37.1
999
11,063
5,514
5,549
272
5,127
27.3
15.8
35,260
39.8
8.5
21,734
13,525
38.4
56
13,469
6,237
7,233
59
7,023
37.0
19.9
37,553
25.6
6.5
22,281
15,271
40.7
-657
15,928
6,524
9,404
130
9,244
31.6
24.6
39,369
32.5
4.8
23,018
16,352
41.5
-391
16,743
6,378
10,365
149
10,243
10.8
26.0
43,255
33.1
9.9
25,285
17,971
41.5
-350
18,321
6,856
11,465
401
11,064
8.0
25.6
47,779
35.5
10.5
27,807
19,972
41.8
500
19,472
7,679
11,793
472
11,322
2.3
23.7
52,612
40.1
10.1
30,555
22,057
41.9
500
21,557
8,830
12,727
1,044
11,683
3.2
22.2
59,573
51.3
13.2
34,496
25,077
42.1
307
24,770
10,389
14,381
1,861
12,520
7.2
21.0
144,682
34.4
87,472
57,210
39.5
7
57,203
24,653
32,550
611
31,637
612.7
21.9
203,219
40.5
118,142
85,077
41.9
957
84,120
33,754
50,366
3,777
46,589
47.3
22.9
E: MOSt Estimates; Financials as per US GAAP
Niren Parekh
(NirenParekh@MotilalOswal.com);
Tel: +91 22 3982 5423
29 June 2007
240

Results Preview
SECTOR: TELECOM
VSNL
STOCK INFO.
BLOOMBERG
REUTERS CODE
BSE Sensex: 14,651 VSNL IN
S&P CNX: 4,318
VSNL.BO
29 June 2007
Previous Recommendation: Neutral
Neutral
Rs468
P/E
(X)
P/BV
(X)
ROE
(%)
ROCE
(%)
EV/
EV/
SALES EBITDA
PAT
(RS M)
EPS
EPS
(RS) GROWTH (%)
Equity Shares (m)
52-Week Range
1,6,12 Rel. Perf. (%)
M.Cap. (Rs b)
M.Cap. (US$ b)
285.0
515/338
3/4/-21
133.5
3.3
YEAR
END
NET SALES
(RS M)
3/07A
3/08E
3/09E
40,418
45,113
49,262
4,634
4,683
4,528
17.6
16.4
15.9
4.3
-6.4
-3.3
26.7
28.5
29.5
2.1
2.0
1.9
7.4
7.1
6.6
11.5
10.4
9.9
3.1
2.8
2.5
13.6
11.7
10.0
?
?
We estimate VSNL’ standalone revenues to grow 19.1% YoY and 1.5 % sequentially driven largely by data business.
s
EBITDA margins are likely to expand by 40bp to 22.5% in 1QFY08 versus 22.1% in the last quarter due to expected
increased contribution from the data business.
We expect employee costs to decline sequentially, with most one-time settlements already charged in the previous
quarter. We expect continued cost savings on other expenses, which were high last year due to acquisition-related
expense.
Due to continued maintenance capex, depreciation is expected to go up sequentially by 5%.
Net profit is expected to decline by 12.8% on a QoQ basis due to higher other income and lower depreciation in
4QFY07. The stock is currently trading at 28.5x FY08E and 29.5x FY09E earnings respectively. Maintain
Neutral.
?
?
?
QUARTERLY PERFORMANCE (STANDALONE)
Y/E MARCH
1Q
2Q
FY07
3Q
4Q
1Q
2Q
FY08E
3Q
4Q
FY07
(RS MILLION)
FY08E
Gross Revenue
YoY Growth (%)
QoQ Growth (%)
Total Operating Expenses
EBITDA
QoQ Growth (%)
Margin (%)
Net Finance Costs
Cash Profit from Operations
Non-Operating Income
Depreciation & Amortization
Profit before Tax
Income Tax Expense / (Income)
Net Profit / (Loss)
QoQ Growth (%)
Adjusted PAT
QoQ Growth (%)
E: MOSt Estimates
9,240
1.0
-3.7
7,110
2,130
-8.5
23.1
10
2,120
270
1,050
1,340
430
910
880
-21.1
9,660
3.9
4.5
7,683
1,977
-92.3
20.5
10
1,967
390
900
1,457
530
927
1,067
0.2
10,660
9.1
9.9
8,120
2,540
4.6
23.83
20
2,520
490
920
2,090
710
1,380
1,420
0.3
10,842
13.0
1.7
8,444
2,399
-5.6
22.12
16
2,383
864
1,048
2,082
770
1,313
1,430
0.0
11,005
19.1
1.5
8,528
2,477
3.3
22.51
-15
2,492
335
1,100
1,727
450
1,277
1,247
-12.8
11,225
16.2
2.0
8,613
2,612
5.4
23.3
-15
2,627
335
1,200
1,762
550
1,212
1,352
0.1
11,337
6.4
1.0
8,656
2,681
2.6
23.65
-15
2,696
335
1,250
1,781
650
1,131
1,171
-0.1
11,546
6.5
1.8
8,576
2,969
10.8
25.72
-15
2,984
345
1,490
1,723
656
1,066
1,183
0.0
40,418
6.9
31,112
9,306
23.0
-25
8,990
2,027
3,913
7,126
2,441
4,686
5,005
45,113
11.6
34,374
10,739
23.80
-60
10,799
1,350
5,040
6,989
2,306
4,683
4,683
Niren Parekh
(NirenParekh@MotilalOswal.com);
Tel: +91 22 3982 5423
29 June 2007
241

Results Preview
QUARTER ENDED JUNE 2007
Textiles
BSE Sensex: 14,651
S&P CNX: 4,318
29 June 2007
COMPANY NAME
PG.
Alok Industries
248
Arvind Mills
249
Gokaldas Exports
250
Himatsingka Seide
251
Rupee appreciation – a severe blow for industry
1QFY08 results of most textiles companies would reflect the negative impact of close to
9% appreciation of the rupee versus the US$. While companies such as Welspun, Alok
and Gokaldas, whose exports constitute a large portion of their turnover, would face the
maximum impact, other companies would also bear the brunt of the appreciating rupee.
We believe EBITDA margins for all companies would be negatively impacted during
1QFY08 as a result of the sharp appreciation in the rupee against the US$.
Competitiveness of Indian players to be impacted
The growth in Indian textile exports, post quota abolishment has been lagging the growth
witnessed by other neighboring countries such as Pakistan, Bangladesh, Sri Lanka etc.
We believe that competitiveness of the Indian textile industry will likely be substantially
impacted further owing to the sharp rupee appreciation.
Trade shift to developing countries slower than anticipated
World textile trade was expected to shift from the artificially protected developed countries
to the low-cost developing countries in the post quota era. Though the initial trade data in
the post-quota period confirms the above prognosis, the pace of trade shift has been
substantially slower than anticipated. Key factors responsible for the slower-than-
anticipated impact resulting from quota abolishment are: (1) tariff differentials; (2)
preferential agreements; (3) re-imposition of quotas on China by the US and EU and (4)
transition time required by large buyers. Going forward, though tariff differentials and
preferential agreements may continue to be a deterrent to growth, we expect trade
shifts to accelerate as a result of aggressive outsourcing ramp-up by global retailers
from key sourcing countries such as India.
Raymond
252
Vardhman Textiles
253
Welspun India
254
EXPECTED QUARTERLY PERFORMANCE SUMMARY
RECO
SALES
JUN.07
CHG. (%)
JUN.07
EBITDA
CHG. (%)
(RS MILLION)
NET PROFIT
JUN.07
CHG. (%)
Textiles
Alok Ind
Arvind Mills
Gokaldas Exports
Himatsingka Seide
Raymond
Vardhman Textiles
Welspun Ind
Sector Aggregate
Neutral
Neutral
Buy
Neutral
Neutral
Buy
Neutral
5,393
5,302
2,393
530
5,136
5,465
2,661
26,878
50.7
49.5
8.0
40.3
83.0
14.9
33.8
39.5
1,181
700
207
144
709
825
381
4,146
46.5
-5.9
-8.0
14.1
211.2
-1.3
-7.9
22.8
344
56
90
107
76
245
81
999
27.9
-16.5
-33.3
-26.0
-41.6
-34.6
-51.3
-22.4
Siddharth Bothra (Sbothra@MotilalOswal.com); Tel: +91 22 39825407
29 June 2007
242

Textiles
Removal of trade restrictions on China poses additional threat
Removal of the restrictions on Chinese textile exports by the EU and US, CY07 and
CY08 onward, is likely to pose increased threat to the Indian textile industry going forward.
We expect pressure on Indian textile exports to increase substantially from CY07 itself,
due to the higher quota availability for China from both the EU and USA. Further, with the
complete removal of textile export restrictions on China by the EU and US post CY08,
pricing pressure too is likely to increase for India.
RESTRICTION ON CHINA BY EU-25: GROWTH RATES IN KEY CATEGORIES (%)
CY05
CY06
CY07
Jersey and Pullovers
Men’ and Boy’ Bottomwear
s
s
Women and Girl’ Shirt/Blouses
s
T-Shirts and Vests
Women’ and Girl’ Dresses
s
s
8
8
8
10
10
10
10
10
10
10
10
10
10
10
10
Source: Industry/CRISIL Research
RESTRICTION ON CHINA BY USA: GROWTH RATES IN KEY CATEGORIES (%)
2006
2007
2008
Growth Rate Cap
Men’ and Boys’Cotton Knit Shirts
Men’and Boys’MMF Knit Shirts
Women’and Girls’Cotton Knit Shirts/Blouses
Women’and Girls’MMF Knit Shirts/Blouses
Men’ and Boys’ Cotton Woven Shirts
s
Men’ and Boys’MMF Woven Shirts
s
Men’ and Boys’ Cotton Bottom-wear
s
Women’ and Girls’ Cotton Bottom-wear
s
Cotton Bras
MMF Bras
Cotton Underwear
MMF Underwear
Sweaters
10
10
10
10
10
10
10
10
10
10
10
10
10
12.5
12.5
12.5
12.5
12.5
12.5
12.5
12.5
12.5
12.5
12.5
12.5
12.5
15
15
15
15
15
15
15
15
15
15
15
15
15
Source: Industry/CRISIL Research
However, in spite of increased competition from China, we expect Indian textile exports to
continue to do well in select high-value-added cotton-based categories, where it already
enjoys a leadership position in the US and EU.
INDIA’ MARKET SHARE IN US FOR KEY CATEGORIES
S
APPAREL CATEGORY
MARKET SHARE (%)
Women’
s/Girls’ Cotton Woven Shirts/Blouses
Cotton Skirts
Cotton Dresses
Men’
s/Boys’ Cotton Shirts, Woven
Women’
s/Girls’ Woven MMF Shirts/Blouses
MMF Skirts
MMF Dresses
27.8
21.9
15.0
11.3
10.2
10
7.1
Source: OTEXA/CRISIL Research
29 June 2007
243

Textiles
INDIA’ MARKET SHARE IN EU MARKET FOR KEY CATEGORIES
S
APPAREL CATEGORY
MARKET SHARE (%)
Women’
s/Girls’ Woven Dresses
Women’
s/Girls’ Woven Blouses/Shirts
Women’
s/Girls’ Knitted Dresses
Woven Skirts
Women’
s/Girls’ Knitted Blouses/Shirts
16.2
15.9
15.1
13.9
9.9
Source: Eurostat, CRISIL Research
Domestic RMG market to emerge as a big opportunity
CRISIL estimates overall readymade garment (RMG) market size to grow at a CAGR of
14.4%, over FY06-FY11 to US$50.4b from around US$25.8b in FY06. CRISIL estimates
the domestic RMG market to grow at a CAGR of 12.6% to US$32b by FY11 from around
US$17.7b in FY06. This growth will primarily be led by increasing income levels and a
shift in consumption pattern from tailored to readymade garments. We believe with the
consolidation of retail industry in India, the domestic RMG market would present a big
opportunity for the Indian garment manufacturers.
RMG MARKET: AN OUTLOOK (RS B)
2,400
1,800
1,200
Domestic Sales
Exports
Total CAGR 14.4%
814
356
600
785
0
FY 06
FY 11
Source: CRISIL
OVERVIEW OF INDIAN RMG MARKET (FY06)
1420
Indian Readymade Garment Industry
(Rs1,141b)
Domestic
Rs785b
Exports
(Rs356b)
Men’
s
Rs325b
(42%)
Women’
s
Rs270b
(34%)
Kids
Rs190b
(24%)
USA
Rs139b
(39%)
EU
Rs179b
(50%)
Others
Rs38b
(11%)
Source: CRISIL
29 June 2007
244

Textiles
TUF sanctions witnesses a sharp jump
Sanctions under the Textile Upgradation Scheme (TUF) witnessed an unprecedented
increase over the last few years, owing to large capex initiatives by a majority of the
textile players. Total sanctions under the TUF scheme stood at around Rs584b between
FY02-FY07. Sanctions under this scheme increased by almost 2x in FY07 to Rs300b
compared with Rs150b in FY06. Availability of easy and cheap finance has enabled the
Indian textile industry to modernize and create a credible scale for itself. As a result, a
majority of the Indian textile industry players today have access to the latest technology
and machinery and can offer critical scale to global buyers.
INVESTMENTS SANCTIONED UNDER TUF (RS B)
360
Project cost sanctioned under TUFS
300
270
180
74
13
0
2002
2003
2004
2005
14
33
150
90
2006
2007E
Source: Company/ Motilal Oswal Securities
TUF scheme extended by 5 years
A prominent measure relating to the textile industry in the Union Budget 2007-2008 was
extension of the Textile Upgradation Fund (TUF) scheme to the Eleventh Five Year Plan.
Though extension of the TUF scheme by five years is a long term positive for textiles, in
the medium-to-short term, it is likely to compound the prevailing problem of overcapacity
due to the continued availability of subsidized funds. Further, attractiveness of the TUF
scheme has also reduced considerably for large organized players, due to the increased
interest rate scenario. Earlier, the effective interest cost for textile companies after TUF
subsidy was 3%-4%, going forward it would increase to 7%-8% due to the prevailing high
interest rates.
29 June 2007
245

Textiles
Valuations
We believe the textile industry is today on a much stronger footing than previously. Most
of the companies have expanded and modernized their capacities to reach critical size.
Consequently, due to their modern plans and global capacities, they have also managed to
attract large international institutional buyers with whom they now have established strategic
relationships. This has allowed them to move their business models from being a transitional-
based model to one that is based on strategic vendor-based relationships. At the same
time, their financials are extremely healthy, as they have resorted to substantial withdrawals
from the subsidized TUF scheme. Further, there is no immediate concern of large dilutions,
as most companies have already completed a substantial portion of their capex plans.
We continue to maintain our
Neutral
rating on Arvind, Alok, Welspun, Raymond and
Himatsingka Seide. We remain bullish on Vardhman Textiles and Gokaldas and rate them
as our top picks in the textile industry.
29 June 2007
246

Textiles
Stock performance and valuations
STOCK PERFORMANCE (%)
ABSOLUTE PERF
3M
1 YEAR
REL PERF TO SENSEX
3M
1 YEAR
REL PERF TO SECTOR
3M
1 YEAR
Textiles
Alok Ind
Arvind Mills
Gokaldas Exports
Himatsingka Seide
Raymond
Vardhman Textiles
Welspun Ind
1
1
5
-3
-10
-19
-9
2
-24
-20
24
-23
-47
-17
-11
-11
-7
-15
-22
-31
-21
-36
-62
-58
-14
-61
-85
-55
7
7
11
3
-4
-13
-3
22
-4
-1
44
-3
-27
3
RELATIVE PERFORMANCE - 3 MONTH (%)
RELATIVE PERFORMANCE - 1 YEAR (%)
Sensex
115
MOSt Textiles Index
145
MOSt Textiles Index
Sensex
110
125
105
105
100
85
95
Mar-07
Apr-07
May-07
Jun-07
65
Jun-06
Sep-06
Dec-06
Mar-07
Jun-07
COMPARATIVE VALUATION
CMP (RS)
29.6.07
RECO
FY07E
EPS (RS)
FY08E
FY09E
FY07E
P/E (X)
FY08E
FY09E
FY07E
EV/EBITDA
FY08E
FY09E
FY07E
ROE (%)
FY08E
FY09E
Textiles
Alok Ind
Arvind Mills
Gokaldas Exports
Himatsingka Seide
Raymond
Vardhman Textiles
Welspun Ind
Sector Aggregate
58
44
242
116
308
168
65
Neutral
Neutral
Buy
Neutral
Neutral
Buy
Neutral
8.3
0.8
20.4
5.6
15.5
26.8
6.8
9.2
1.6
21.7
6.2
26.5
22.3
7.2
10.3
4.0
25.6
11.4
37.3
28.0
12.8
6.9
52.3
11.8
20.6
19.9
6.3
9.6
12.4
6.3
28.3
11.1
18.6
11.6
7.5
9.0
10.5
5.6
11.0
9.5
10.1
8.3
6.0
5.1
7.5
10.8
9.0
8.7
21.7
8.6
7.3
10.7
9.5
9.4
9.0
8.2
12.4
5.6
8.7
8.6
8.5
9.1
7.5
7.0
7.4
4.1
7.2
6.5
7.1
16.5
1.1
18.9
9.3
10.5
16.6
8.8
8.9
13.2
2.0
17.3
9.8
11.0
12.2
8.7
9.4
13.2
5.0
17.6
16.4
14.0
13.7
14.2
11.9
29 June 2007
247

Results Preview
SECTOR: TEXTILES
Alok Industries
STOCK INFO.
BLOOMBERG
REUTERS CODE
BSE Sensex: 14,651 ALOK IN
S&P CNX: 4,318
ALOK.BO
29 June 2007
Previous Recommendation: Neutral
Neutral
Rs58
P/E
(X)
P/BV
(X)
ROE
(%)
ROCE
(%)
EV/
EV/
SALES EBITDA
PAT
(RS M)
EPS*
EPS
(RS) GROWTH (%)
Equity Shares (m)
52-Week Range
1,6,12 Rel. Perf. (%)
M.Cap. (Rs b)
M.Cap. (US$ b)
199.1
78/50
-5/-22/-36
11.8
0.3
YEAR
END
NET SALES
(RS M)
3/07A
3/08E
3/09E
18,290
23,447
27,334
1,419
1,828
2,049
8.3
9.2
10.3
32.7
28.8
12.1
7.1
6.5
5.8
1.0
0.9
0.8
16.5
13.2
13.2
6.5
7.3
7.1
1.9
1.8
1.8
8.5
7.9
7.8
*Fully Diluted EPS
?
For 1QFY08, we expect Alok to post revenue of Rs5.4b, up 50% YoY, helped by higher capacities across all textile
segments.
EBITDA margin is likely to decline 63bp YoY to 21.9% as a result of sharp appreciation of Re vs US$.
PAT is likely to increase 27.9% YoY to Rs344m.
Alok is planning to expand in the retail segment and has an aggressive plan to open close to 150 retail stores by FY08.
Alok is also planning a textile SEZ at Vapi, for which it has already managed to acquire the land.
We estimate Alok’ total debt in FY08 to be around Rs40b, implying a debt/equity ratio of 2.3x, which we believe is
s
a high risk in the current rising interest scenario.
Alok trades at a P/E of 6.5x FY08E EPS and 5.8x FY09E EPS. We maintain
Neutral.
?
?
?
?
?
?
QUARTERLY PERFORMANCE
Y/E MARCH
1Q
2Q
FY07
3Q
4Q
1Q
2Q
FY08E
3Q
4Q
FY07
(RS MILLION)
FY08E
Sales
Change (%)
Total Expenditure
EBITDA
Change (%)
As % of Sales
Depreciation
Interest
Other Income
Non Recurring Expense
PBT
Tax
Effective Tax Rate (%)
Reported PAT
Change (%)
Adj. PAT
Change (%)
E: MOSt Estimates
3,579
19.6
2,772
806
37.1
22.5
246
170
-4
0
386
117
28.2
269
31.0
269
31.0
4,172
20.8
3,204
968
36.7
23.2
280
213
-16
0
459
132
28.9
326
28.1
326
28.1
4,799
31.0
3,726
1,073
32.5
22.4
325
242
32
0
539
168
31.2
371
25.7
371
25.7
5,741
40.8
4,420
1,321
50.8
23.0
354
269
19
334
1,051
265
25.2
787
139.4
452
30.4
5,393
50.7
4,212
1,181
46.5
21.9
372
290
32
0
551
206
33.9
344
27.9
344
27.9
5,744
37.7
4,412
1,333
37.7
23.2
372
316
36
0
680
231
33.9
450
37.9
450
37.9
5,862
22.1
4,467
1,395
30.0
23.8
388
329
38
0
716
243
33.9
473
27.6
473
27.6
6,448
12.3
4,875
1,573
19.1
24.4
419
382
45
0
818
258
31.5
560
-28.8
560
23.8
18,290
28.9
14,123
4,168
40.7
22.8
1,205
893
32
334
2,435
682
28.0
1,753
61.8
1,419
30.9
23,447
28.2
17,964
5,483
31.5
23.4
1,551
1,318
151
0
2,765
937
33.9
1,828
4.3
1,828
28.8
Siddharth Bothra (Sbothra@MotilalOswal.com); Tel: +91 22 39825407
29 June 2007
248

Results Preview
SECTOR: TEXTILES
Arvind Mills
STOCK INFO.
BLOOMBERG
REUTERS CODE
BSE Sensex: 14,651 ARVND IN
S&P CNX: 4,318
ARMI.BO
29 June 2007
Previous Recommendation: Neutral
Neutral
Rs44
P/E
(X)
P/BV
(X)
ROE
(%)
ROCE
(%)
EV/
EV/
SALES EBITDA
PAT
(RS M)
EPS
EPS
(RS) GROWTH (%)
Equity Shares (m)
52-Week Range
1,6,12 Rel. Perf. (%)
M.Cap. (Rs b)
M.Cap. (US$ b)
209.4
74/42
-2/-21/-62
9.2
0.2
YEAR
END
NET SALES
(RS M)
3/07A
3/08E
3/09E
18,449
22,092
25,166
176
325
836
0.8
1.6
4.0
-6.0
84.9
157.1
52.6
28.5
11.1
0.6
0.6
0.5
1.1
2.0
5.0
8.2
5.5
7.0
1.5
1.2
1.1
9.0
9.1
7.6
?
For 1QFY08, we expect Arvind to record revenue growth of 43.3% YoY to Rs5.1b, primarily driven by higher
garment sales.
EBITDA margin is likely to decline by 777bp YoY to 13.2% vs 21% in 1QFY07.
During 1QFY08, the denim scenario improved in the international markets, however, the domestic market continues
to be plagued by a huge overcapacity situation. We do not expect domestic demand-supply equilibrium in the denim
sector to emerge in the near-to-medium term. Hence we expect pressure on denim margins.
The company is currently working on restructuring plans, which could include relocating a part of its commodity
grade denim capacity to countries such as Bangladesh and Egypt.
Arvind plans to aggressively expand its garment manufacturing capacity from 13m pieces pa in FY07 to around
42.2m pieces pa by FY09 to de-risk itself from denim. The stock is trading at 28.5x FY08E and 11.1x FY09E
earnings. We maintain
Neutral.
?
?
?
?
QUARTERLY PERFORMANCE
Y/E MARCH
1Q
2Q
FY07
3Q
4Q
1Q
2Q
FY08E
3Q
4Q
FY07
(RS MILLION)
FY08E
Sales
Change (%)
Total Expenditure
EBITDA
Change (%)
As % of Sales
Depreciation
Interest
Other Income
Non Recurring Expense
PBT
Tax
Effective Tax Rate (%)
Reported PAT
Adj. PAT
Change (%)
E: MOSt Estimates
3,546
-15.7
2,802
744
-35.3
21.0
372
348
48
70
3
4.6
67
67
-85.1
3,932
-8.1
3,074
859
-19.1
21.8
383
378
6
-46
58
2
3.8
55
101
-72.8
4,479
14.8
3,769
710
-22.7
15.8
347
399
27
1,068
1,058
10
1.0
1,048
-20
-108.5
4,831
35.0
4,159
672
-22.1
13.9
302
407
81
15
58
4
7.2
54
39
-81.6
5,081
43.3
4,410
671
-9.8
13.2
311
374
44
0
30
1
5.0
28
28
-57.9
5,346
36.0
4,619
727
-15.3
13.6
324
389
42
0
56
3
5.0
53
53
-47.7
5,523
23.3
4,766
757
6.6
13.7
324
405
44
0
72
5
7.0
67
67
-436.1
6,142
27.1
5,269
873
29.8
14.2
337
389
46
0
192
16
8.2
177
177
346.9
18,449
15.6
13,804
3,051
-23.6
16.5
1,434
1,579
163
1,020
1,220
24
2.0
1,196
176
-86.2
22,092
19.7
3,028
-0.8
13.7
1,295
1,558
175
0
350
24
7.0
325
325
84.9
Siddharth Bothra (Sbothra@MotilalOswal.com); Tel: +91 22 39825407
29 June 2007
249

Results Preview
SECTOR: TEXTILES
Gokaldas Exports
STOCK INFO.
BLOOMBERG
REUTERS CODE
BSE Sensex: 14,651 GOKL IN
S&P CNX: 4,318
GOKL.BO
29 June 2007
Previous Recommendation: Buy
Buy
Rs242
EPS
P/E
(X)
P/BV
(X)
ROE
(%)
ROCE
(%)
EV/
EV/
SALES EBITDA
PAT
(RS M)
EPS
(RS) GROWTH (%)
Equity Shares (m)
52-Week Range
1,6,12 Rel. Perf. (%)
M.Cap. (Rs b)
M.Cap. (US$ b)
34.4
359/186
11/-27/-58
8.3
0.2
YEAR
END
NET SALES
(RS M)
3/07A
3/08E
3/09E
10,344
11,963
13,674
703
747
880
17.7
21.7
25.6
15.6
6.2
17.8
11.8
11.1
9.5
2.1
1.8
1.5
18.9
17.3
17.6
15.7
14.5
15.1
1.0
0.9
0.8
8.7
8.2
7.0
?
We expect revenue to increase by 8% in 1QFY08 to Rs2.4b, primarily aided by increase in volumes. Revenue growth
would have been higher but for the sharp rupee appreciation by 9-10%. Almost 94% of Gokaldas revenue are derived
from exports.
We expect EBITDA margin to decline 151bp YoY to 8.7% as a result of the sharp rupee appreciation against the US
dollar.
We expect PAT to decline 33% YoY to Rs90m vs Rs135m in 1QFY07.
Gokaldas plans to set up two more factories in an SEZ in Chennai, which the promoters are developing. The company
stands to gain substantial tax benefits from its investment in SEZs.
We expect the company to register revenue CAGR of 15% and profit CAGR of 12% over FY07-FY09. The stock
is trading at 11.1x FY08E and 9.5x FY09E earnings. We reiterate
Buy.
(RS MILLION)
FY07
1Q
2Q
3Q
4Q
1Q
2Q
FY08E
3Q
4Q
FY07
FY08E
?
?
?
?
QUARTERLY PERFORMANCE
Y/E MARCH
Sales
Change (%)
Total Expenditure
EBITDA
Change (%)
As % of Sales
Depreciation
Interest
Other Income
PBT
Tax
Effective Tax Rate (%)
Repoted PAT
Change (%)
E: MOSt Estimates
2,216
23.8
1,991
225
26
10.2
52
46
22
150
14
9.7
135
16.3
2,810
13.7
2,494
316
19
11.2
60
54
16
218
10
4.4
208
12.4
2,553
16.4
2,263
290
21
11.4
68
55
12
179
1
10.2
178
13.4
2,766
15.7
2,398
367
33
13.3
70
65
1
234
52
22.4
181
20.6
2,393
8.0
2,186
207
-8
8.7
72
57
20
98
8
8.0
90
-33.3
3,110
10.7
2,803
308
-3
9.9
76
62
23
192
17
9.0
175
-16.0
3,051
19.5
2,691
360
24
11.8
76
62
24
246
22
9.0
224
25.4
3,410
23.3
2,981
429
17
12.6
81
78
23
294
36
12.3
258
42.1
10,344
17.0
9,146
1,198
25
11.6
250
220
51
780
77
9.9
703
15.4
11,963
15.7
10,659
1,304
8.8
10.9
306
259
90
830
83
10.0
747
6.2
Siddharth Bothra (Sbothra@MotilalOswal.com); Tel: +91 22 39825407
29 June 2007
250

Results Preview
SECTOR: TEXTILES
Himatsingka Seide
STOCK INFO.
BLOOMBERG
REUTERS CODE
BSE Sensex: 14,651 HSS IN
S&P CNX: 4,318
HMSD.BO
29 June 2007
Previous Recommendation: Neutral
Neutral
Rs116
P/E
(X)
P/BV
(X)
ROE
(%)
ROCE
(%)
EV/
EV/
SALES EBITDA
PAT
(RS M)
EPS *
EPS
(RS) GROWTH (%)
Equity Shares (m)
52-Week Range
1,6,12 Rel. Perf. (%)
M.Cap. (Rs b)
M.Cap. (US$ b)
97.4
150/86
4/-12/-14
11.3
0.3
YEAR
END
NET SALES
(RS M)
3/07A
3/08E
3/09E
1,742
3,626
6,355
546
606
1,109
5.6
6.2
11.38
12.3
11.0
82.9
20.5
18.5
10.1
1.8
1.8
1.6
9.3
9.8
16.4
7.4
9.1
15.5
6.0
3.0
1.8
21.6
12.4
7.3
* Consolidated
?
For 1QFY08, We expect Himatsingka to report revenue growth of 40% YoY to Rs530m on the back of higher
contribution from yarn and better utilization rates.
We expect EBITDA margin to drop 620bp YoY to 27.1% on the back of lower margins in the bed linen business.
PAT is likely to drop 26% YoY to Rs107m.
Its foray into the bed linen segment is progressing as planned, with the 20m plant having commenced production in
February 2007. The plant is located at the Hassan special economic zone (SEZ), Karnataka. The bed linen plant can
post revenue to the tune of Rs4b once it is fully operational.
We expect the company to post EPS of Rs6.2 for FY08 and Rs11.4 for FY09. The stock is trading at a P/E of 18.5x
FY08E and 10.1x FY09E earnings. Maintain
Neutral.
?
?
?
?
QUARTERLY PERFORMANCE (STANDALONE)
Y/E MARCH
1Q
2Q
FY07
3Q
4Q
1Q
2Q
FY08E
3Q
4Q
FY07
(RS MILLION)
FY08E
Sales
Change (%)
Total Expenditure
EBITDA
Change (%)
As % of Sales
Depreciation
Interest
Other Income
PBT
Tax
Effective Tax Rate (%)
Reported PAT
Adj. PAT
Change (%)
378
10.5
252
126
-4.9
33.3
35
1
62
151
7.0
4.6
144
144
27.8
470
23.5
311
159
7.8
33.8
37
1
69
190
27.0
14.2
163
163
22.7
463
13.5
321
142
7.4
30.6
37
2
68
171
20.8
12.2
150
150
25.5
432
14.0
374
58
-45.3
13.4
31
1
71
98
8.5
8.7
89
89
-24.8
530
40.3
386
144
14.1
27.1
55
7
39
120
13.2
11.0
107
107
-26.0
728
55.0
536
192
20.9
26.4
61
14
42
159
17.8
11.2
141
141
-13.3
828
78.9
615
212
49.9
25.7
73
15
44
168
19.3
11.5
148
148
-1.1
1,225
183.7
919
306
428.2
25.0
116
23
51
217
25.6
11.8
191
191
115.0
1,427
-5.5
963
464
-10.4
32.5
140
4
271
589
63.3
10.7
526
526
8.9
3,311
132.1
2,457
854
84.2
25.8
306
60
175
663
76.5
11.5
586
586
11.5
E: MOSt Estimates; Quarterly numbers are standalone, while annual numbers include its retail subsidiary.
Siddharth Bothra (Sbothra@MotilalOswal.com); Tel: +91 22 39825407
29 June 2007
251

Results Preview
SECTOR: TEXTILES
Raymond
STOCK INFO.
BLOOMBERG
REUTERS CODE
BSE Sensex: 14,651 RW IN
S&P CNX: 4,318
RYMD.BO
29 June 2007
Previous Recommendation: Neutral
Neutral
Rs308
P/E
(X)
P/BV
(X)
ROE
(%)
ROCE
(%)
EV/
EV/
SALES EBITDA
PAT*
(RS M)
EPS
EPS
(RS) GROWTH (%)
Equity Shares (m)
52-Week Range
1,6,12 Rel. Perf. (%)
M.Cap. (Rs b)
M.Cap. (US$ b)
61.4
479/301
-7/-29/-61
18.9
0.5
YEAR
END
NET SALES
(RS M)
3/07A
3/08E
3/09E
20,407
23,975
27,251
949
1,624
2,290
15.5
26.5
37.3
-27.4
71.2
41.0
21.2
12.4
8.8
1.5
1.3
1.2
10.5
11.0
14.0
8.4
11.5
14.5
1.2
1.0
0.8
9.9
6.4
4.8
* Consolidated
?
?
?
?
?
?
?
From 1QFY08 onwards, Raymond will be declaring consolidated results, which are not comparable to the standalone
quarterly of the previous quarters.
We expect Raymond to report consolidated revenue of Rs5.1b in 1QY08 compared to standalone revenue of Rs2.8b
in 1QFY07.
EBITDA for 1QFY08 is likely to be around Rs693m vs Rs228m in 1QFY07.
During 1QFY08, the company doubled its worsted fabric capacity at its Vapi plant to 6m meters.
Raymond’ denim JV is facing cost pressures at its international plants in the US and Romania and is operating at low
s
utilization rates of 70-75%.
The company expects to aggressively roll out 40-50 flagship stores in FY08. However, we feel these stores are
unlikely to breakeven before three to four years due to high rentals. Management has given guidance for its branded
apparel business to register growth rates of 20%-25% CAGR over the next two three years.
The stock is trading at 12.4x FY08E and 8.8x FY09E earnings. It has an EV/EBITDA of 6.4x FY08E and 4.8x
FY09E. We maintain
Neutral.
(RS MILLION)
FY07
1Q
2Q
3Q
4Q
1Q
2Q
FY08E
3Q
4Q
FY07*
FY08E*
QUARTERLY PERFORMANCE
Y/E MARCH
Sales
Change (%)
Total Expenditure
EBITDA
Change (%)
As % of Sales
Depreciation
Interest
Other Income
Extra-ordinary Income
PBT
Tax
Effective Tax Rate (%)
Reported PAT
Adj. PAT
Change (%)
2,806
14.3
2,578
228
-28.4
8.1
187
44
179
-14
162
46
24.0
116
130
-30.8
3,586
2.6
2,945
641
16.4
17.9
146
93
160
859
1,421
6
0.5
1,415
556
66.4
2,973
-13.9
2,483
489
-17.0
16.5
134
72
268
43
552
165
29.9
387
344
31.6
3,477
-9.5
3,040
437
-17.7
12.6
165
78
94
-29
259
153
58.9
107
136
-61.0
5,136
83.0
4,442
693
204
13.5
309
139
90
0
335
101
30.2
234
234
79.9
5,625
56.8
4,787
838
30.7
14.9
323
139
90
0
467
131
28.0
336
336
-39.6
6,114
105.7
2,483
960
96.1
15.7
336
145
118
0
597
170
28.5
427
427
24.3
7,581
118.0
3,040
1,246
184.9
16.4
377
156
131
0
844
249
29.5
595
595
338.1
20,675
56.1
18,202
2,473
24
12.0
1,257
502
780
451
1,945
370
19.0
1,575
1,124
2.1
24,455
18.3
20,717
3,738
51
15.3
1,345
579
430
0
2,244
651
29.0
1,593
1,593
41.8
E: MOSt Estimates; * Standalone numbers
Siddharth Bothra (Sbothra@MotilalOswal.com); Tel: +91 22 39825407
29 June 2007
252

Results Preview
SECTOR: TEXTILES
Vardhman Textiles
STOCK INFO.
BLOOMBERG
REUTERS CODE
BSE Sensex: 14,651 VTEX IN
S&P CNX: 4,318
MHSP.BO
29 June 2007
Previous Recommendation: Buy
Buy
Rs168
EPS
P/E
(X)
P/BV
(X)
ROE
(%)
ROCE
(%)
EV/
EV/
SALES EBITDA
PAT
(RS M)
EPS
(RS) GROWTH (%)
Equity Shares (m)
52-Week Range
1,6,12 Rel. Perf. (%)
M.Cap. (Rs b)
M.Cap. (US$ b)
64.1
345/160
-18/-45/-85
12.2
0.3
YEAR
END
NET SALES
(RS M)
3/07A
3/08E
3/09E
20,876
23,759
29,817
1,717
1,429
1,792
26.8
22.3
28.0
-12.5
-16.8
25.4
7.1
8.5
6.8
1.1
1.0
0.9
16.6
12.2
13.7
9.3
7.8
8.0
1.3
1.6
1.4
7.7
9.1
7.5
Vardhman Textiles has issued a bonus of 1:2
?
For 1QFY08, Vardhman is likely to report revenue growth of 14.9% to around Rs5.5b. We expect EBITDA margin
to decline 247bp to 15.1% vs 17.6% in 1QFY07, as a result of lower margins in the fabric and steel businesses.
PAT is likely to register 34.6% YoY decline to Rs245m vs Rs375m in 1QFY07.
We expect Vardhman’ EBITDA margin to be negatively impacted due to lower yarn margins. During 1QFY08, yarn
s
margins were negatively impacted due to increase in cotton prices and decline in yarn prices.
The company is currently implementing an ambitious Rs16b capex plan, which would double its fabric capacity and
increase spinning capacity by nearly 50%.
We expect Vardhman Textiles’ sales and earnings to witness CAGR of 20% and 2% respectively over FY07-
FY09E.
The stock is trading at 8.5x FY08E and 6.8x FY09E earnings. We maintain
Buy.
(RS MILLION)
FY07
1Q
2Q
3Q
4Q
1Q
2Q
FY08E
3Q
4Q
FY07
FY08E
?
?
?
?
?
QUARTERLY PERFORMANCE
Y/E MARCH
Sales
Change (%)
Total Expenditure
EBITDA
Change (%)
As % of Sales
Depreciation
Interest
Other Income
Extra-ordinary Income
PBT
Tax
Effective Tax Rate (%)
Reported PAT
Adj. PAT
Change (%)
4,755
12.7
133
836
6.8
17.6
286
110
62
0
501
126
25.2
375
375
29.4
5,283
15.0
4,366
917
7.5
17.4
301
99
37
35
590
132
22.4
458
423
5.9
5,438
6.1
4,470
968
1.0
17.8
290
87
77
0
668
152
22.8
516
516
0.5
5,400
9.1
4,632
768
-8.2
14.2
317
81
129
1
500
131
26.2
369
369
-24.9
5,465
14.9
4,640
825
-1.3
15.1
343
227
66
0
321
76
23.7
245
245
-34.6
5,702
7.9
4,699
1,004
9.4
17.6
374
237
72
0
465
117
25.1
348
348
-17.7
6,177
13.6
5,035
1,143
18.0
18.5
413
247
75
0
558
146
26.2
412
412
-20.2
6,415
18.8
5,209
1,206
57.1
18.8
429
277
87
0
587
163
27.7
425
425
15.1
20,876
10.5
17,388
3,488
1.7
16.7
1,194
377
340
35
2,292
541
23.6
1,752
1,717
1.4
23,759
13.8
19,582
4,177
19.7
17.6
1,559
988
300
0
1,931
502
26.0
1,429
1,429
-16.8
E: MOSt Estimates; * Standalone numbers not merged
Siddharth Bothra (Sbothra@MotilalOswal.com); Tel: +91 22 39825407
29 June 2007
253

Results Preview
SECTOR: TEXTILES
Welspun India
STOCK INFO.
BLOOMBERG
REUTERS CODE
BSE Sensex: 14,651 WLSP IN
S&P CNX: 4,318
WLSP.BO
29 June 2007
Previous Recommendation: Neutral
Neutral
Rs65
P/E
(X)
P/BV
(X)
ROE
(%)
ROCE
(%)
EV/
EV/
SALES EBITDA
PAT
(RS M)
EPS
EPS
(RS) GROWTH (%)
Equity Shares (m)
52-Week Range
1,6,12 Rel. Perf. (%)
M.Cap. (Rs b)
M.Cap. (US$ b)
76.8
105/52
-10/-30/-55
5.0
0.1
YEAR
END
NET SALES
(RS M)
3/07A
3/08E
3/09E
9,736
11,569
13,191
519
551
982
6.8
7.2
12.8
24.8
6.0
78.1
12.4
11.7
6.6
1.1
1.0
0.9
8.8
8.7
14.2
5.4
6.3
8.5
1.9
1.6
1.5
11.6
9.3
7.0
?
For 1QFY08, we expect Welspun to post revenue growth of 33.8% YoY to Rs2.6b buoyed by increase in bed-linen
sales.
EBITDA margin is likely to decline 646bp YoY to 14.3%, as a result of improved margins in the bed-linen segment.
PAT is likely to drop by 505 YoY to Rs81m in 1QFY08.
During the quarter, utilization rates for the bed linen plant improved to around 70%.
Going forward, margins in the bed-linen are likely to improve on the back of increased capacity utilization rates.
We expect Welspun’ revenues and earnings to witness 16% and 37% CAGR (FY07-FY09) respectively. Welspun
s
is trading at a P/E of 11.7x FY08E and 6.6x FY09E earnings. We are
Neutral
on the stock.
?
?
?
?
?
QUARTERLY PERFORMANCE
Y/E MARCH
1Q
2Q
FY07
3Q
4Q
1Q
2Q
FY08E
3Q
4Q
FY07
(RS MILLION)
FY08E
Sales
Change (%)
Total Expenditure
EBITDA
Change (%)
As % of Sales
Depreciation
Interest
Other Income
Extra-ordinary Income
PBT
Tax
Effective Tax Rate (%)
Repoted PAT
Adj. PAT
Change (%)
E: MOSt Estimates
1,989
38.1
1,576
413
31.5
20.8
144
112
52
-90
119
43
36.2
76
166
53.7
2,764
78.7
2,342
423
32.2
15.3
157
122
40
88
272
89
32.6
183
95
-24.6
2,554
65.4
2,110
444
16.7
17.4
166
129
75
0
224
65
28.8
159
159
115.4
2,485
21.1
2,133
352
11.9
14.2
183
123
165
0
210
107
51.0
103
103
-3.8
2,661
33.8
2,280
381
-7.9
14.3
187
105
33
122
41
33.9
81
81
-51.3
2,892
4.6
2,386
506
19.7
17.5
187
120
35
234
79
33.9
155
155
62.2
2,892
13.2
2,366
526
18.6
18.2
195
125
36
243
82
33.6
161
161
1.2
3,124
25.7
2,541
583
65.8
18.7
244
150
41
230
78
33.9
152
152
47.6
9,736
47.9
8,213
1,523
14.6
15.6
651
478
429
-2
823
304
36.9
519
521
25.4
11,569
18.8
9,573
1,996
31.1
17.3
812
500
145
831
279
33.6
551
551
5.8
Siddharth Bothra (Sbothra@MotilalOswal.com); Tel: +91 22 39825407
29 June 2007
254

Results Preview
QUARTER ENDED JUNE 2007
Utilities
BSE Sensex: 14,651
S&P CNX: 4,318
29 June 2007
COMPANY NAME
PG.
CESC
261
NTPC
262
Neyveli Lignite
263
PTC India
264
Reliance Energy
265
Tata Power
266
Tenth Plan capacity addition at 48% of targeted levels
The Tenth Five Year Plan witnessed a plethora of reforms including introduction of
Electricity Act, 2003, unbundling of SEBs and increased scope for private sector players.
Despite these reforms, the capacity addition in the Tenth Plan stood at 18,925MW as
against the capacity addition target of 39,259MW, an achievement of 48%. The capacity
addition has been slower during the Tenth Plan mainly due to the delay in the award of
the projects leading to bunching up of capacity addition towards the end of the plan
period. Capacity addition in the eighth, ninth and tenth five-year plan has been declining
post an achievement of 96% of the target capacity addition in the Seventh plan. This
calls for an accelerated capacity addition in the Eleventh Plan to cater to the buoyant
economic growth.
CAPACITY ADDITION DURING TENTH PLAN (MW)
SECTOR
TARGET
ACTUAL
Hydro
Thermal
Nuclear
Total
24,182
13,727
1,350
39,259
10,505
7,340
1,080
18,925
Source: CEA
… Eleventh Plan project award seems to be on track
The Eleventh Plan envisages a capacity addition of 78,577MW as against the Tenth plan
target of 39,529MW (achievement of 18,925MW). Of the total capacity addition planned,
48,315MW is already under construction while projects of 250MW (220MW Nuclear
and 30MW Thermal power project) has been achieved. For projects of 30,012MW (as
of April 2007), Letter of Award (LOA) is yet to be issued.
EXPECTED QUARTERLY PERFORMANCE SUMMARY
RECO
SALES
JUN.07
CHG. (%)
JUN.07
EBITDA
CHG. (%)
(RS MILLION)
NET PROFIT
JUN.07
CHG. (%)
Utilities
CESC
Neyveli Lignite Corp.
NTPC
PTC India
Reliance Energy
Tata Power
Sector Aggregate
Buy
Buy
Neutral
Buy
Buy
Buy
6,909
7,037
80,496
12,758
13,628
14,534
135,361
2.5
10.0
12.5
22.4
18.0
5.6
12.4
1,361
3,730
23,653
110
1,908
2,616
33,378
0.1
20.9
18.5
25.0
43.0
1.4
17.5
648
2,077
17,385
135
1,866
1,156
23,267
17.8
-7.2
13.5
12.6
12.0
2.3
10.7
Satyam Agarwal (Agarwals@MotilalOswal.com); Tel: +91 22 39825410/Nalin Bhatt (NalinBhatt@MotilalOswal.com); +91 22 39825429
29 June 2007
255

Utilities
ELEVENTH PLAN PROJECTS TO BE AWARDED (AS OF APRIL 2007)
Total Projects for 11th plan
Less: Achieved in the 11th plan
Projects under Construction (Thermal)
Projects under Construction (Nuclear)
Projects under Construction (Hydro)
Balance projects pending award
Thermal
Hydro
78,577
250
33,004
3,380
11,931
30,012
25,390
4,622
Source: Motilal Oswal Securities
Of the 30,012 MW to be ordered in the 11th plan, the thermal power projects constitutes
25,390 MW, representing 85% of the incremental orders. We believe that given the
experience during the Tenth plan, efforts are being made to order the balance capacity
over the next 18 months.
TREND IN CAPACITY ADDITIONS IN THE FIVE YEAR PLANS (MW)
Target
92,000
69,000
46,000
23,000
0
Actual
78,577
Under Construction
as of April 2007
48,315
Source: MoP, CEA
UMPPs: delayed but on track
The ultra mega power project has kick started with the award of the Sasan and Mundra
power projects to Lanco Infratech and Tata Power respectively. Mundra power project
has achieved significant progress with tie-up for coal (50% of the requirement) and award
of the EPC contract to Doosan for the boiler package. The Sasan UMPP has been mired
in controversy over the change in ownership of Globeleq (SPV) and also the pre-qualification
of the SPV. The Krishnapatnam ultra mega power project award has been delayed due to
land acquisition and other administrative issues. However, the bid for the project is expected
to be invited by August 2007.
The overall progress on the ultra mega power project has been satisfactory though the
award of the projects has been a bit delayed. The government is working on six more ultra
mega power projects.
29 June 2007
256

Utilities
Hydro power is the key focus area
The reasons behind the low hydro power capacity addition in India are lack of central
policy dealing with the issues of rehabilitation, increasing power sector participation etc.
However, the focus on hydro power has increased substantially from Tenth five year plan,
as it is important to balance the thermal to hydro mix in the overall generation capacity of
the country. The Government of India has set a target capacity addition of 20,000MW of
hydro power in the Eleventh Plan as against capacity addition of 18,534MW during FY74–
02 and 8,762MW during Tenth Plan (FY03- FY07). Further, Ministry of Power has set a
target of capacity addition of 50,000MW during the Twelfth Plan (FY13-17).
TREND IN HYDRO POWER CONSTRUCTION (MW, FIVE YEAR PERIOD ENDING)
Tw elfth Plan Target
56,000
50,000
42,000
Eleventh Plan Target
26,325
Tenth Plan
28,000
14,000
1,057
0
1974
1979
1985
1990
1997
2002
3,812
2,873
3,828
2,427
4,538
8,762
2007
2012
2017
Source: Company
New hydro power policy in the making
A cabinet note outlining the new hydro power policy is expected soon, which apart from
addressing the controversial rehabilitation issues would also outline policy measures to
rope in more private sector investments in the sector. Besides this, several states in the
northern region have taken proactive steps in harnessing the hydro power potential. In
January 2007, the Himachal Pradesh government announced a new hydro power policy,
which states that the state will reserve the right to subscribe to up to 49% equity stake in
projects of more than 100MW. It also suggests that 1.5% of total project cost would be
earmarked for local area development and that 70% employment opportunities would be
given to the local population, clearing the way for public/private sector.
29 June 2007
257

Utilities
HYDRO POWER POTENTIAL: PRELIMINARY FEASIBILITY REPORT
STATES
CAPACITY (MW)
Arunachal Pradesh
Uttaranchal
Himachal Pradesh
Jammu & Kashmir
Mizoram
Maharashtra
Sikkim
Meghalaya
Orissa
Nagaland
Karnataka
Andhra Pradesh
Chhattisgarh
Manipur
Kerala
Madhya Pradesh
Total
27,293
5,282
3,328
2,675
1,500
411
1,469
931
1,189
330
1,900
81
848
362
126
205
47,930
Source: CEA, As on 31.08.2006
Nuclear power project delayed
The Indo-US nuclear deal seems to be delayed with several issues yet to be sorted.
Despite the sanction of the bill in the joint session of US parliament, there has been little
progress.
The Department of Atomic energy (DAE) has, however, initiated the steps to enhance the
nuclear power capacity addition in India irrespective of the deal. DAE has been working
on the feasibility report to install 6,800MW of nuclear power projects in Indian at an
investment of Rs340b. The sites cleared by the government are: Kudankulam in Tamil
Nadu, Kakrapar in Gujarat, Rawatbhata in Rajasthan and Jaitapur in Maharashtra. We
expect the contract award over the next 18-24 months.
The public sector undertakings are showing their keen interest to participate in the
development of nuclear power plant and NTPC board has recently approved a proposal to
enable the company enter the nuclear power generation business. The company envisages
generating 2,000MW from nuclear power by the end of 2017. The overall target for India
is to reach 20,000MW by 2020 from the current capacity of less than 3,000MW.
29 June 2007
258

Utilities
TARGETED NUCLEAR POWER CAPACITY IN INDIA
22,000
17,000
12,000
7,000
2,000
Source: Department of Automic Energy
Valuation and view
For 1QFY08, we expect utilities to report a steady performance in terms of revenues and
profitability. The slower pace of reforms, under achievement of the target capacity addition
and attracting private sector investments in generation and privatization of distribution
represent key challenges for the Indian power sector. However, the reforms are on track,
albeit at a slower rate, which is reflected in UMPP projects, various initiatives by the
government in the recent budget to ensure the fuel linkages, etc. we remain positive on the
sector given strong growth opportunity for the incumbents.
29 June 2007
259

Utilities
Stock performance and valuations
STOCK PERFORMANCE (%)
ABSOLUTE PERF
3M
1 YEAR
REL PERF TO SENSEX
3M
1 YEAR
REL PERF TO SECTOR
3M
1 YEAR
Utilities
CESC
Neyveli Lignite Corporation
NTPC
PTC India
Reliance Energy
Tata Power
-1
23
2
7
24
32
48
-2
37
28
35
40
-13
10
-10
-5
12
20
10
-40
-1
-10
-3
2
-8
16
-5
1
18
25
13
-37
2
-7
0
5
RELATIVE PERFORMANCE - 3 MONTH (%)
RELATIVE PERFORMANCE - 1 YEAR (%)
Sensex
117
MOSt Utilities Index
152
MOSt Utilities Index
Sensex
112
137
107
122
102
107
97
Mar-07
Apr-07
May-07
Jun-07
92
Jun-06
Sep-06
Dec-06
Mar-07
Jun-07
COMPARATIVE VALUATION
CMP (RS)
29.6.07
RECO
FY07E
EPS (RS)
FY08E
FY09E
FY07E
P/E (X)
FY08E
FY09E
FY07E
EV/EBITDA
FY08E
FY09E
FY07E
ROE (%)
FY08E
FY09E
Utilities
CESC
Neyveli Lignite Corp.
NTPC
PTC India
Reliance Energy
Tata Power
Sector Aggregate
373
62
152
64
614
671
Buy
Buy
Neutral
Buy
Buy
Buy
28.5
4.3
8.0
2.6
34.1
29.2
29.4
4.1
9.1
3.4
38.0
31.7
31.3
4.3
9.7
4.4
39.3
32.3
13.1
14.5
19.1
25.1
18.0
22.9
18.8
12.7
14.9
16.7
19.0
16.2
21.2
16.8
11.9
14.5
15.7
14.6
15.6
20.8
15.9
10.9
6.7
12.1
26.8
49.4
14.1
13.2
10.3
6.4
10.2
18.2
22.0
13.0
10.9
10.1
7.4
10.3
14.9
21.2
12.4
10.9
12.6
8.8
14.0
14.8
10.2
9.4
12.6
11.6
8.2
14.7
17.5
10.8
8.6
12.9
11.1
8.1
14.3
20.1
10.8
8.5
12.5
29 June 2007
260

Results Preview
SECTOR: UTILITIES
CESC
STOCK INFO.
BLOOMBERG
REUTERS CODE
BSE Sensex: 14,651 CESC IN
S&P CNX: 4,318
CESC.BO
29 June 2007
Previous Recommendation: Buy
Under Review
Rs373
EPS*
P/E*
(X)
P/BV
(X)
ROE
(%)
ROCE
(%)
EV/
EV/
SALES EBITDA
PAT
(RS M)
EPS*
(RS) GROWTH (%)
Equity Shares (m)
52-Week Range
1,6,12 Rel. Perf. (%)
M.Cap. (Rs b)
M.Cap. (US$ b)
115.3
410/239
2/11/10
43.0
1.1
YEAR
END
NET SALES
(RS M)
3/07A
3/08E
3/09E
24,890
25,946
27,280
2,400
2,557
2,676
20.8
22.2
23.2
-3.5
6.6
4.6
17.9
16.8
16.1
1.7
1.5
1.4
12.6
12.0
11.3
11.0
10.8
10.9
2.3
2.2
2.2
10.9
10.3
10.1
* Excl impact of Budge Budge plant capital account adjustment; fully diluted; Excluding Spencer
?
?
?
?
?
For 1QFY08, we expect CESC to post revenue of Rs6.9b and net profit of Rs648m, up 17.8% YoY.
CESC has approved the merger of RPG group’ retail arm, Spencer, with itself effective from April 1, 2007 for a
s
consideration of one fully paid-up equity share of CESC for every 1.98 fully paid-up equity share of the merging
company. Spencer operates under four retail formats: Spencers, Music World, Books and Beyond and RPG Cellucom
with 264 retail outlets, and retail area of 0.7m sq ft. During FY07, the company reported revenue of Rs5.4b and net
loss of Rs450m.
CESC has formed a wholly-owned subsidiary CESC Properties and terminated the joint development agreement
with Godrej group for developing retail mall project (0.4m sq ft) in Kolkata to be executed by CESC on its own.
Construction is expected to commence from October 07 and the company expects to complete the project by March
2009. The company has also discontinued operations at its Mulajore plant (43 acres) and plans to develop an IT park,
residential complex and allied zone. The development plan is expected to be completed by end July 2007.
CESC is expanding capacity at Budge Budge by 250MW, targeted to be completed by end-FY09. It has announced
setting up of pit head-based power plants: Jharkhand (2,000MW), Orissa (2,000MW) and Haldia (1,000MW) through
the SPV route, and is also a bidder for the ultra mega power projects. On the distribution front, the company has
indicated its interest in participating in the SEB privatization process.
We expect CESC to report a net profit of Rs2.6m in FY08 (up 6.6% YoY) and Rs2.7b in FY09 (up 4.6% YoY),
excluding Spencer. At the CMP of Rs373, the stock is traded at a P/E of 17.9x FY07, 16.8x FY08E and 16.1x
FY09E. Recommendation is ‘
Under Review’
as we await further details on Spencer.
(RS MILLION)
FY07
1Q
2Q
3Q
4Q
1Q
2Q
FY08E
3Q
4Q
FY07
FY08E
QUARTERLY PERFORMANCE
Y/E MARCH
Sales
Change (%)
EBITDA
Change (%)
As of % Sales
Depreciation
Interest
Other Income
PBT
Tax
Effective Tax Rate (%)
Reported PAT
Adjusted PAT
Change (%)
6,740
0.0
1,360
-9.9
20.2
410
540
210
620
70
11.3
550
550
34.1
6,750
0.4
1,400
-9.1
20.7
410
420
220
790
100
12.7
690
690
21.1
5,930
2.6
1,250
-6.0
21.1
410
370
220
690
80
11.6
610
610
64.9
5,470
-6.3
1,170
-18.8
21.4
410
360
290
690
80
11.6
610
610
38.6
6,909
2.5
1,361
0.1
19.7
430
370
175
736
88
12.0
648
648
17.8
6,953
3.0
1,442
3.0
20.7
450
385
200
807
97
12.0
710
710
3.0
6,227
5.0
1,344
7.6
21.6
480
375
225
714
86
12.0
629
629
3.1
5,858
7.1
1,274
8.9
21.7
474
406
254
648
78
12.0
570
570
-6.5
24,890
-0.8
5,180
-11.0
20.8
1,640
1,690
940
2,790
390
14.0
2,400
2,400
34.1
25,946
4.2
5,422
4.7
20.9
1,834
1,536
854
2,906
349
12.0
2,557
2,557
6.6
E: MOSt Estimates; Note: Excluding Spencer
Satyam Agarwal (Agarwals@MotilalOswal.com); Tel: +91 22 39825410/Nalin Bhatt (NalinBhatt@MotilalOswal.com); +91 22 39825429
29 June 2007
261

Results Preview
SECTOR: UTILITIES
National Thermal Power Corporation
STOCK INFO.
BLOOMBERG
REUTERS CODE
BSE Sensex: 14,651 NTPC IN
S&P CNX: 4,318
NTPC.BO
29 June 2007
Previous Recommendation: Neutral
YEAR
END*
NET SALES
(RS M)
PAT*
(RS M)
EPS*
EPS
P/E
(X)
P/BV
(X)
ROE
(%)
ROCE
(%)
Neutral
Rs152
EV/
EV/
SALES EBITDA
(RS) GROWTH (%)
Equity Shares (m)
52-Week Range
1,6,12 Rel. Perf. (%)
M.Cap. (Rs b)
M.Cap. (US$ b)
8,245.5
167/105
-7/5/-1
1,256.2
30.8
3/07A 326,317
3/08E
3/09E
349,983
393,669
65,681
75,330
79,886
8.0
9.1
9.7
23.6
15.4
6.0
19.1
16.7
15.7
2.6
2.3
2.2
13.9
14.7
14.3
17.6
17.8
18.2
4.1
3.6
0.3
12.1
10.2
10.2
* Pre-exceptional earnings
?
?
?
?
?
?
We expect NTPC to report revenue of Rs80.5b (up 12.5% YoY) and net profit of Rs17.4b (up 13.5% YoY) in
1QFY08.
During FY07, NTPC commissioned 3,155MW of power capacity (as against targeted capacity addition of 3,710
MW). Total capacity addition during the Tenth plan stood at 7,155 MW. The company plans to add 21,941MW during
the Eleventh plan and capacity under construction stands at 10,860MW.
During 1QFY08, the company has commissioned the 500MW unit of Sipat Super Thermal Power Project and 500MW
of Kahalgaon Thermal power project. The installed capacity for the company as of June 2007 stands at 28,404MW.
The management has indicated that expected capacity addition during FY08 is 2,500MW (Kahalgaon 1,000 MW,
Sipat 1,000 MW and Bhillai JV 500 MW) and 2,580MW (Sipat 1,320 MW, Barh 660 MW and Koldam hydro power
600 MW) during FY09.
NTPC has acquired a 44.6% stake in Transformers and Electricals Kerala Ltd (TELK), a Government of Kerala
company engaged in the business of manufacture, marketing and servicing of power transformers, current voltage
transformers, circuit breakers, isolated phase bus ducts, shunt reactors etc.
The board of NTPC has also approved its foray into nuclear power generation. The company envisages establishing
a capacity of around 2,000MW by FY17.
We expect NTPC to report net profit of Rs75.3b in FY08 (up 15.4% YoY) and Rs79.9b in FY09 (up 6% YoY). At the
CMP of Rs152, NTPC quotes at a P/E of 19.1x FY07, 16.7x FY08E and 15.7x FY09E Maintain
Neutral
(RS MILLION)
FY07
1Q
2Q
3Q
4Q
1Q
2Q
FY08E
3Q
4Q
FY07
FY08E
QUARTERLY PERFORMANCE
Y/E MARCH
Sales
Change (%)
EBITDA
Change (%)
As of % Sales
Depreciation
Interest
Other Income
PBT
Tax
Effective Tax Rate (%)
Reported PAT
Adj. PAT (Pre Exceptional)
Change (%)
E: MOSt Estimates
71,536
18.1
19,960
29.4
27.9
4,755
5,238
6,369
16,336
808
4.9
15,528
15,318
25.4
68,138
15.0
18,408
41.9
27.0
4,780
4,630
6,505
15,503
764
4.9
14,739
14,410
24.8
81,468
18.6
22,595
24.2
27.7
5,138
2,807
7,752
22,402
1,369
6.1
21,033
17,415
37.4
88,603
21.5
23,397
33.1
26.4
6,081
5,919
6,864
18,261
914
5.0
17,347
18,539
18.4
80,496
12.5
23,653
18.5
29.4
6,182
5,762
6,687
18,397
1,012
5.5
17,385
17,385
13.5
75,246
10.4
21,721
18.0
28.9
6,214
5,556
7,156
17,107
1,026
6.0
16,081
16,081
11.6
90,996
11.7
26,323
16.5
28.9
7,193
4,912
7,946
22,164
1,441
6.5
20,723
20,723
19.0
103,245
16.5
33,312
42.4
32.3
9,466
7,300
6,449
22,995
1,853
8.1
21,142
21,142
14.0
326,317
24.8
100,932
57.3
30.9
20,754
18,594
27,490
89,074
20,427
22.9
68,647
65,681
23.6
349,983
13.0
105,009
4.0
30.0
29,055
23,530
28,238
80,662
5,332
6.6
75,330
75,330
14.7
Satyam Agarwal (Agarwals@MotilalOswal.com); Tel: +91 22 39825410/Nalin Bhatt (NalinBhatt@MotilalOswal.com); +91 22 39825429
29 June 2007
262

Results Preview
SECTOR: UTILITIES
Neyveli Lignite Corporation
STOCK INFO.
BLOOMBERG
REUTERS CODE
BSE Sensex: 14,651 NLC IN
S&P CNX: 4,318
NELG.BO
29 June 2007
Previous Recommendation: Buy
YEAR
END *
NET SALES
(RS M)
PAT*
(RS M)
EPS
EPS
P/E
(X)
P/BV
(X)
ROE
(%)
ROCE
(%)
EV/
Buy
Rs62
EV/
SALES EBITDA
(RS) GROWTH (%)
Equity Shares (m)
52-Week Range
1,6,12 Rel. Perf. (%)
M.Cap. (Rs b)
M.Cap. (US$ b)
1,677.7
72/49
-6/3/-40
103.6
2.4
3/07A
3/08E
3/09E
24,425
24,583
26,020
7,168
6,948
7,144
4.3
4.1
4.3
-8.0
-3.1
2.8
14.5
14.9
14.5
1.2
1.2
1.2
8.8
8.2
8.1
10.1
9.2
8.4
2.9
3.2
3.6
6.9
6.7
7.3
* Pre-exceptional earnings
?
?
?
?
?
For 1QFY08, we expect Neyveli Lignite to report net profit of Rs2.1b, down 7.2% YoY.
As per the revised lignite transfer policy, Neyveli Lignite has been impacted up to Rs1.3b pa (the company made
provision of Rs6.36b in FY06 for a five year span). The company has also changed the depreciation policy from the
rates prescribed in the Companies Act (5.28% Straight Line Method) to Electricity Act, 2003 (3.60% SLM), which
has resulted in a lower depreciation (by Rs560m) for FY07.
The company has struck a joint venture (JV) with Northern Coalfields (NCL), a subsidiary of Coal India, to set up a
1,000MW plant in MP near Sasan. Neyveli will have 70% stake in the project while the balance will be held by NCL.
Neyveli Lignite picked up a 15% stake in a joint venture with Mahanadi Coalfields Ltd. (MCL 70%) and Hindalco
Industries (15%) for coal mining in Orissa, which will provide fuel linkage to its proposed 2,000MW thermal power
project in Orissa. It has also entered into a JV with the Gujarat state government for an integrated power plant of
1,000MW with a lignite mine of 8m tons pa in the first phase, which will be enhanced to 1,500MW and 12m ton pa in
the second phase. NLC would have a minimum stake of 74% (89% on higher side) in the JV.
The government has sanctioned Neyveli Mine II expansion of 4.5m ton pa and Barsingsar Lignite Mine, Rajasthan
of 2.1m ton pa. Post this, the company’ lignite mining capacity will increase from 24m ton to 30.6m ton and power
s
generation capacity from 2,490MW to 3,240MW by FY10. It has significant cash and cash equivalents up to Rs58b
as of March 2007, which will facilitate scalability. We maintain
Buy.
(RS MILLION)
FY07
1Q
2Q
3Q
4Q
1Q
2Q
FY08E
3Q
4Q
FY07
FY08E
QUARTERLY PERFORMANCE
Y/E MARCH
Sales
Change (%)
EBITDA
Change (%)
As of % Sales
Depreciation
Interest
Other Income
PBT
Tax
Effective Tax Rate (%)
Reported PAT
Adj. PAT (Pre Exceptionals)
Change (%)
E: MOSt Estimates
6,397
-24.4
3,085
-38.3
48.2
1,070
134
1,213
3,095
856
27.7
2,238
2,238
-24.9
6,079
-15.4
2,143
-36.2
35.3
1,064
121
1,260
2,218
580
26.1
1,639
1,639
-26.5
5,102
-10.5
1,894
-12.7
37.1
1,045
120
1,326
2,055
529
25.7
1,527
1,527
9.8
3,502
-4.7
511
292.7
14.6
1,295
58
2,172
1,330
1,114
83.8
215
3,562
199.5
7,037
10.0
3,730
20.9
53.0
1,230
150
750
3,099
1,023
33.0
2,077
2,077
-7.2
6,809
12.0
2,928
36.6
43.0
1,223
170
900
2,434
803
33.0
1,631
1,631
-0.5
5,868
15.0
2,758
45.6
47.0
1,201
180
1,150
2,527
834
33.0
1,693
1,693
10.9
4,870
39.0
2,300
350.1
47.2
1,245
236
1,562
2,380
833
35.0
1,548
1,548
-56.5
24,425
11.1
10,129
32.6
41.5
4,250
556
4,989
10,313
3,145
30.5
7,168
7,168
-8.0
24,583
0.6
11,715
15.7
47.7
4,900
736
4,362
10,441
3,492
33.5
6,948
6,948
-3.1
Satyam Agarwal (Agarwals@MotilalOswal.com); Tel: +91 22 39825410/Nalin Bhatt (NalinBhatt@MotilalOswal.com); +91 22 39825429
29 June 2007
263

Results Preview
SECTOR: UTILITIES
PTC India
STOCK INFO.
BLOOMBERG
REUTERS CODE
BSE Sensex: 14,651 PWTC IN
S&P CNX: 4,318
PTCI.BO
29 June 2007
Previous Recommendation: Buy
Buy
Rs64
EPS
P/E
(X)
P/BV
(X)
ROE
(%)
ROCE
(%)
EV/
EV/
SALES EBITDA
PAT*
(RS M)
EPS*
(RS) GROWTH (%)
Equity Shares (m)
52-Week Range
1,6,12 Rel. Perf. (%)
M.Cap. (Rs b)
M.Cap. (US$ b)
150.0
71/46
-3/6/-10
9.6
0.2
YEAR
END
NET SALES
(RS M)
3/07A
3/08E
3/09E
34,804
56,130
73,286
322
431
546
2.3
2.9
3.6
-13.4
22.6
26.6
27.3
22.3
17.6
3.6
3.2
2.9
13.7
15.2
17.3
17.7
19.7
22.8
0.3
0.2
0.1
28.1
19.0
13.9
* Pre-exceptional
?
?
?
?
?
For 1QFY08, we expect PTC to report revenue of Rs12.8b, up 22.4% YoY and net profit of Rs135m, up 12.6% YoY,
mainly driven by higher other income. However, EBITDA for the quarter is likely to remain flat at Rs110m, largely on
account of lower trading margins at Rs0.04/unit, post the CERC directive in January 2006.
PTC India has entered into an MoU with the India Infrastructure Finance Co Ltd (IIFC) to facilitate, encourage and
promote the development and construction of power projects, including thermal, hydro and other sources. IIFC will
undertake the due diligence process and appraisal for financing of power projects where PTC has signed Power
Purchase Agreement (PPA) with project developer(s). The MoU is valid for a period of five years.
As of March 2007, the company has signed power purchase agreements (PPA) for 6,676MW and MoUs for 16,703MW
of power capacity on a long term basis. PTC has also entered into back-to-back power sale agreement for 5,352MW.
PTC is witnessing a substantial change in its business model – short term trading, which currently accounts for 80%
of the traded volumes, will decline to 35% in FY08. PTC has decided to set up a SPV to subscribe to the equity
capital of electricity generation projects. It intends to take 10-11% stakes in power projects for 100% assured off
take.
PTC’ FY07 traded volumes of 9.6BUs is expected to increase to 15.4BUs by FY08. This would be driven by the
s
commissioning of the Tala project in Bhutan (1,020MW) and part of the greenfield projects where PTC has signed
long-term PPAs. We recommend
Buy.
(RS MILLION)
FY07
1Q
2Q
3Q
4Q
1Q
2Q
FY08E
3Q
4Q
FY07
FY08E
QUARTERLY PERFORMANCE
Y/E MARCH
Power Traded (MUs)
Sales
Change (%)
EBITDA
Change (%)
As of % Sales
Depreciation
Interest
Other Income
Extraordinary Income/(Expense)
PBT
Tax
Effective Tax Rate (%)
Reported PAT
Adjusted PAT
Change (%)
E: MOSt Estimates
2,625
10,421
138.3
88
8.0
1.3
8
3
79
-1
155
35
22.3
120
120
6.3
3,268
13,147
52.5
95
-32.7
0.7
8
7
39
0
119
32
27.1
86
86
-11.2
2,211
8,074
-23.4
82
-55.3
1.0
8
7
44
0
111
25
22.2
86
86
-32.7
1,445
6,025
-20.2
53
-42.6
0.9
9
2
32
0
73
15
20.5
58
58
-16.5
3,544
12,758
22.4
110
25.0
0.9
7
5
90
0
188
53
28.0
135
135
12.6
5,065
18,235
38.7
127
32.6
0.7
9
8
40
0
150
42
28.0
108
108
24.6
3,869
13,929
72.5
120
45.9
0.9
11
9
45
0
145
41
28.0
104
104
21.2
2,929
11,208
86.0
119
125.7
1.1
13
10
21
0
117
33
28.0
84
84
44.2
9,549
37,667
21.2
318
-36.3
0.8
33
20
193
0
459
106
23.2
352
352
-13.7
15,407
56,130
49.0
475
49.4
0.8
40
32
196
0
599
168
28.0
431
431
22.5
Satyam Agarwal (Agarwals@MotilalOswal.com); Tel: +91 22 39825410/Nalin Bhatt (NalinBhatt@MotilalOswal.com); +91 22 39825429
29 June 2007
264

Results Preview
SECTOR: UTILITIES
Reliance Energy
STOCK INFO.
BLOOMBERG
REUTERS CODE
BSE Sensex: 14,651 RELE IN
S&P CNX: 4,318
RLEN.BO
29 June 2007
Previous Recommendation: Buy
Buy
Rs614
EPS
P/E*
(X)
P/BV
(X)
ROE
(%)
ROCE
(%)
EV/
EV/
SALES EBITDA
PAT
(RS M)
EPS*
(RS) GROWTH (%)
Equity Shares (m)
52-Week Range
1,6,12 Rel. Perf. (%)
M.Cap. (Rs b)
M.Cap. (US$ b)
228.6
617/407
13/12/-3
140.4
3.4
YEAR
END
NET SALES
(RS M)
3/07A
3/08E
3/09E
56,930
67,924
71,154
8,015
8,913
9,234
34.1
38.0
39.3
23.2
11.2
3.6
18.0
16.2
15.6
1.6
1.5
1.4
10.2
10.8
10.8
8.7
10.2
10.2
1.6
1.1
1.0
18.5
7.2
6.3
* Consolidated , pre-exceptionals, fully diluted
?
?
?
?
?
?
For 1QFY08, we expect Reliance Energy to report a revenue of Rs13.6b, up 18% YoY, and a net profit of Rs1.9b, up
5.7%YoY.
Reliance Energy is currently working on generation projects of 14,960MW, which are in various stages of development.
During FY08, 2,100MW of power projects being implemented by Reliance Energy Generation (50% stake by Reliance
Energy) will achieve financial closure and enter the construction phase. These include: 600MW of Rosa Power
Project (Phase I), 1200 MW Coastal Maharashtra Project (Phase I) and 300MW Captive Power project in Nagpur.
The order backlog for the EPC division stood at Rs55b as of March 2007, up from Rs33.6b as of March 2006. The
company has also submitted bids for the 1) 1,200MW Malwa project on EPC basis (Rs40b), 2) T&D projects of
Rs7b (erection of five 400/220kV substation, transmission line work from PGCIL), 3) rural electrification projects
Rs10b. During FY07, the EPC division reported revenue of Rs21b and EBIDTA of Rs1.3b.
In power, the company won its single largest EPC bid from Haryana Power Generation Corporation to set up a
1,200MW coal-based power project on a turnkey basis for Rs37.6b, scheduled for completion in 35-38 months.
During FY07, Reliance Energy was successful in bagging three more road projects from NHAI (total length of
304kms). With this addition, the total length of road projects with the company as developer now stands at 401kms,
which is the largest in India for NHAI projects.
We believe the stock is largely a play on the future growth opportunities rather than on existing assured return
businesses. We maintain
Buy.
(RS MILLION)
FY07
1Q
2Q
3Q
4Q
1Q
2Q
FY08E
3Q
4Q
FY07
FY08E
QUARTERLY PERFORMANCE
Y/E MARCH
Sales
Change (%)
EBITDA
Change (%)
As of % Sales
Depreciation
Interest
Other Income
PBT
Tax (incl contingencies)
Effective Tax Rate (%)
Reported PAT
PAT (Pre Exceptionals)
Change (%)
11,549
21.6
1,334
-17.4
11.6
619
459
1,711
1,967
201
10.2
1,766
1,666
12.7
14,076
35.0
1,775
-12.8
12.6
635
671
1,761
2,230
366
16.4
1,864
1,864
16.8
15,337
55.2
827
-53.9
5.4
612
551
2,867
2,531
522
20.6
2,009
2,009
22.0
16,143
55.5
598
-68.5
3.7
535
823
2,754
1,994
-380
-19.1
2,374
1,848
40.1
13,628
18.0
1,908
43.0
14.0
590
616
1,574
2,276
410
18.0
1,866
1,866
5.7
16,610
18.0
2,741
54.4
16.5
630
755
1,620
2,976
655
22.0
2,321
2,321
24.5
18,404
20.0
2,485
200.4
13.5
704
620
2,150
3,311
728
22.0
2,583
2,583
28.6
19,282
19.4
3,532
490.4
18.3
861
615
2,001
4,057
1,035
25.5
3,022
2,143
27.3
56,930
41.6
4,804
-34.5
8.4
2,401
2,503
8,823
8,724
709
8.1
8,015
7,388
23.2
67,924
19.3
10,665
122.0
15.7
2,785
2,606
7,346
12,620
2,828
22.4
9,792
8,913
22.2
E: MOSt Estimates; Quarterly numbers are on standalone basis
Satyam Agarwal (Agarwals@MotilalOswal.com); Tel: +91 22 39825410/Nalin Bhatt (NalinBhatt@MotilalOswal.com); +91 22 39825429
29 June 2007
265

Results Preview
SECTOR: UTILITIES
Tata Power
STOCK INFO.
BLOOMBERG
REUTERS CODE
BSE Sensex: 14,651 TPWR IN
S&P CNX: 4,318
TTPW.BO
29 June 2007
Previous Recommendation: Buy
Buy
Rs671
EPS
P/E*
(X)
P/BV
(X)
ROE
(%)
ROCE
(%)
EV/
EV/
SALES EBITDA
PAT*
(RS M)
EPS*
(RS) GROWTH (%)
Equity Shares (m)
52-Week Range
1,6,12 Rel. Perf. (%)
M.Cap. (Rs b)
M.Cap. (US$ b)
197.9
687/444
12/4/2
132.8
3.3
YEAR
END
NET SALES
(RS M)
3/07A
3/08E
3/09E
51,095
53,085
56,053
6,215
6,735
6,872
29.2
31.7
32.3
36.6
8.4
2.0
22.9
21.2
20.8
2.2
2.1
2.0
9.4
8.6
8.5
8.2
7.9
8.2
3.0
2.9
2.8
15.7
13.7
13.0
* Consolidated , pre-exceptionals, fully diluted
?
?
?
?
?
For 1QFY08, Tata Power is expected to report net profit of Rs1.2b, up 2.3% YoY.
Tata Power announced completion of acquisition of 30% stake in PT Kaltim Prima Coal and PT Arutmin Indonesia
and other companies owned by PT Bumi Resources Tbk. The acquisition was funded through a bridge loan of
US$950m with tenure of one year. The company has earlier signed an off take agreement with Bumi resources for
purchase of 10.1m tons of coal per annum.
It has awarded the boiler EPC contract to Doosan Heavy Industries, which represents 45% of the total project cost.
It is in the process of identifying a partner for turbines currently. The company quoted a tariff of Rs2.22/unit for
Mundra UMPP.
Besides this, the company has outlined extensive expansion plans which include: 1) Maithon power project (1,000MW,
74% stake): 50% of the land acquisition has been completed and coal linkages are in place; EPC contract award
likely by end FY08 2) Coastal Maharashtra (2,400MW): Plans to invite the EPC bids by September 2007; land
acquisition completed 3) Trombay unit 8 (250MW): Scheduled completion by September 2008, 4) Jojbera Expansion
(120MW): Scheduled commissioning by September 2008, 5) Haldia unit (120MW): Scheduled commissioning by
March 2008, 6) Wind power: 50MW commissioned during March 2007; balance 50MW by September 2007, 7)
100MW Diesel gensets: scheduled commissioning September 2008.
At the CMP of Rs671, the stock trades at a P/E of 21.2x FY08E and 20.8x FY09E. We recommend
Buy.
(RS MILLION)
FY07
1Q
2Q
3Q
4Q
1Q
2Q
FY08E
3Q
4Q
FY07
FY08E
QUARTERLY PERFORMANCE
Y/E MARCH
Total Operating Income
Change (%)
EBITDA
Change (%)
As of % Sales
Depreciation
Interest
Other Income
PBT
Tax
Effective Tax Rate (%)
Reported PAT
Adjusted PAT
Change (%)
13,766
25.3
2,581
7.1
18.7
760
524
410
1,706
488
28.6
1,218
1,130
3.1
12,008
13.1
2,495
3.8
20.8
731
388
783
2,160
137
6.3
2,023
1,682
33.8
12,005
-2.5
2,108
7.1
17.6
735
510
460
1,322
-1,477
-111.7
2,799
1,205
26.0
9,474
-19.1
51
-96.8
0.5
693
473
1,787
672
-255
-38.0
927
2,906
176.3
14,534
5.6
2,616
1.4
18.0
897
275
150
1,594
438
27.5
1,156
1,156
2.3
13,529
12.7
3,247
30.1
24.0
950
300
450
2,447
538
22.0
1,908
1,908
13.5
13,886
15.7
2,881
36.7
20.8
1,029
325
700
2,228
557
25.0
1,671
1,671
38.6
11,136
17.5
2,263
4,382.1
20.3
1,160
407
539
1,236
343
27.7
893
893
-69.3
47,153
3.3
7,234
-13.4
15.3
2,919
1,895
3,440
5,860
-1,108
-18.9
6,968
7,041
61.5
53,085
12.6
11,008
52.2
20.7
4,036
1,307
1,839
7,505
1,876
25.0
5,628
5,628
-20.1
E: MOSt Estimates; Quarterly numbers are on standalone basis
Satyam Agarwal (Agarwals@MotilalOswal.com); Tel: +91 22 39825410/Nalin Bhatt (NalinBhatt@MotilalOswal.com); +91 22 39825429
29 June 2007
266

Results Preview
SECTOR: MINING AND MINERALS
Ashapura Minechem
STOCK INFO.
BLOOMBERG
REUTERS CODE
BSE Sensex: 14,651 ASMN IN
S&P CNX: 4,318
ASHM.BO
29 June 2007
Previous Recommendation: Buy
Buy
Rs371
EPS
P/E
(X)
P/BV
(X)
ROE
(%)
ROCE
(%)
EV/
EV/
SALES EBITDA
PAT
(RS M)
EPS
(RS) GROWTH (%)
Equity Shares (m)
52-Week Range
1,6,12 Rel. Perf. (%)
M.Cap. (Rs b)
M.Cap. (US$ b)
39.2
403/175
30/58/57
14.5
0.4
YEAR
END
NET SALES
(RS M)
3/07E
3/08E
3/09E
12,724
17,713
20,921
1,302
2,650
3,511
33.2
67.7
89.6
36.8
103.6
32.5
11.2
5.5
4.1
3.6
2.3
1.5
47.3
50.5
43.8
45.2
47.6
36.7
1.1
1.0
0.9
7.2
4.5
4.0
?
We expect Ashapura’ 1QFY08 performance to reflect high volume growth in bauxite – an estimated 1.6m tonnes
s
against 0.8m tonnes in 1QFY07. Although 1QFY08 topline is expected to be flat due to lower alumina trading,
EBITDA and PAT growth should be strong.
In June 2007, Ashapura received approval from Kandla Special Economic Zone to set up two 100% EOUs for
processed bauxite. We expect these units to be commissioned in 2HFY08, leading to significant tax savings.
The company’ new projects – kaolin in Kerala, barites in Nigeria and mineral processing unit in Antwerp – are on
s
schedule to be commissioned in FY08.
The stock trades at 5.5x FY08E and 4.1x FY09E earnings. We maintain
Buy.
(RS MILLION)
FY07
1Q
2Q
3Q
4Q
1Q
2Q
FY08E
3Q
4Q
FY07
FY08E
?
?
?
QUARTERLY PERFORMANCE (CONSOLIDATED)
Y/E MARCH
Net Income
Change (%)
Total Expenses
EBITDA
Change (%)
EBITDA Margin (%)
Depreciation
Interest
Other Income
Extraordinary Inc/ (Exp)
PBT
Tax
Tax/PBT
Prior Period Items
Share from Associate
Minority Interest
Consolidated PAT
Adjusted PAT
Change (%)
PAT Margin (%)
4,614
89.0
4,123
491
97.7
10.6
16
31
2
0
446
98
22.0
0
0
0
348
348
108.8
7.5
2,510
37.3
2,186
324
17.8
12.9
17
22
5
0
290
75
26.0
0
0
0
214
214
19.5
8.5
2,157
20.9
1,621
537
44.1
24.9
17
31
15
0
503
168
33.5
0
0
0
334
334
46.2
15.5
3,444
38.3
2,791
653
84.8
18.9
23
31
25
0
623
207
33.2
-7
-3
0
406
406
87.6
11.8
4,393
-4.8
3,478
916
86.5
20.8
25
44
2
0
848
250
29.5
0
0
0
598
598
71.9
13.6
3,565
42.0
2,796
769
137.7
21.6
30
36
5
0
708
209
29.5
0
0
0
499
499
133.1
14.0
4,640
115.1
3,630
1,010
88.2
21.8
35
46
12
0
941
235
24.9
0
0
0
706
706
111.2
15.2
5,114
48.5
4,000
1,115
70.8
21.8
46
51
17
0
1,034
187
18.1
0
0
-1
847
847
108.7
16.6
12,724
48.9
10,721
2,004
60.5
15.7
73
115
46
0
1,862
549
29.5
-7
-3
-1
1,302
1,302
66.2
10.2
17,713
39.2
13,904
3,810
90.1
21.5
136
177
35
0
3,532
880
24.9
0
0
-1
2,650
2,650
103.6
15.0
E: MOSt Estimates; Quarterly numbers are on standalone basis
Shrinath Mithanthaya (ShrinathM@MotilalOswal.com); Tel: +91 22 3982 5421
29 June 2007
267

Results Preview
SECTOR: AIR-CONDITIONERS
Blue Star
STOCK INFO.
BLOOMBERG
REUTERS CODE
BSE Sensex: 14,651 BLSTR IN
S&P CNX: 4,318
BLUS.BO
29 June 2007
Previous Recommendation: Buy
Buy
Rs234
EPS
P/E
(X)
P/BV
(X)
ROE
(%)
ROCE
(%)
EV/
EV/
SALES EBITDA
PAT
(RS M)
EPS
(RS) GROWTH (%)
Equity Shares (m)
52-Week Range
1,6,12 Rel. Perf. (%)
M.Cap. (Rs b)
M.Cap. (US$ b)
89.9
250/116
1/20/50
21.0
0.5
YEAR
END
NET SALES
(RS M)
3/07E
3/08E
3/09E
16,013
20,817
27,062
712
954
1,302
7.9
10.6
14.5
45.6
34.0
36.5
29.6
22.1
16.2
9.9
7.8
6.1
36.9
39.6
42.4
36.1
39.5
44.8
1.4
1.1
0.8
18.7
13.8
9.9
?
Blue Star is a market leader in central air-conditioning, and an excellent play on the four mega-trends of IT/ITeS,
retail & entertainment, SEZs and cold chain. We expect Blue Star to sustain topline growth of 30% and EPS CAGR
of 35% through FY09.
During 1QFY08, there were several macro positives for Blue Star – successful IPOs by DLF and Vishal Retail, and
approval of SEZs to be set up by DLF, HCL Technologies, Infosys and both Reliance groups. All these names are
national clients for Blue Star i.e. clients who are likely to give a large share of their central AC business to Blue Star.
Blue Star started 1QFY08 with an unexecuted order book of Rs7.5b, up 34% YoY. Accordingly, we expect the
company to report at least 30% YoY growth in revenue to Rs4b. With some operating and financial leverage, we
expect PAT growth to be slightly higher at 35% YoY to Rs99m.
The stock trades at 22.1x FY08E and 16.2x FY09E earnings. We maintain
Buy
with a target price of Rs290 (20x
FY09E), 24% upside from current levels.
(RS MILLION)
FY07
1Q
2Q
3Q
4Q
1Q
2Q
FY08E
3Q
4Q
FY07
FY08E
?
?
?
QUARTERLY PERFORMANCE
Y/E MARCH
Operating Income
Change (%)
Total Expenses
EBITDA
Change (%)
EBITDA Margin (%)
Depreciation
Interest
Other Income
PBT
Tax
Tax/PBT (%)
Reported PAT
Adjusted PAT
Change (%)
PAT Margin (%)
E: MOSt Estimates
3,123
35.8
2,965
158
36.1
5.1
43
20
5
100
27
23.7
73
73
44.6
2.3
3,759
33.0
3,431
328
67.5
8.7
46
24
8
266
82
30.9
184
184
58.8
4.9
3,701
40.4
3,463
238
52.2
6.4
58
22
4
163
48
29.2
115
115
66.4
3.1
5,429
36.4
4,985
445
11.7
8.2
62
30
44
397
57
14.4
340
340
34.0
6.3
4,060
30.0
3,847
213
34.3
5.2
60
24
5
133
35
26.0
99
99
35.1
2.4
4,887
30.0
4,427
460
40.1
9.4
62
34
8
372
97
26.0
275
275
49.5
5.6
4,812
30.0
4,484
327
37.6
6.8
65
31
4
235
61
26.0
174
174
51.4
3.6
7,058
30.0
6,443
615
38.3
8.7
70
45
49
549
143
26.0
406
406
19.5
5.8
16,013
36.3
14,844
1,169
34.9
7.3
209
96
61
926
214
23.1
712
712
45.6
4.4
20,817
30.0
19,202
1,615
38.1
7.8
257
134
65
1,289
335
26.0
954
954
34.0
4.6
Shrinath Mithanthaya (ShrinathM@MotilalOswal.com); Tel: +91 22 3982 5421
29 June 2007
268

Results Preview
SECTOR: TRANSPORT
Container Corporation of India
STOCK INFO.
BLOOMBERG
REUTERS CODE
BSE Sensex: 14,651 CCRI IN
S&P CNX: 4,318
CCRI.BO
29 June 2007
Previous Recommendation: Buy
Buy
Rs2,342
EPS
P/E
(X)
P/BV
(X)
ROE
(%)
ROCE
(%)
EV/
EV/
SALES EBITDA
PAT
(RS M)
EPS
(RS) GROWTH (%)
Equity Shares (m)
52-Week Range
1,6,12 Rel. Perf. (%)
M.Cap. (Rs b)
M.Cap. (US$ b)
65.0
2,444/1,300
4/4/25
152.2
3.7
YEAR
END
NET SALES
(RS M)
3/07A
3/08E
3/09E
30,562
38,176
46,442
6,652
8,139
9,784
102.4
125.2
150.5
32.3
22.3
20.2
22.9
18.7
15.6
5.8
4.6
3.7
28.4
27.6
26.5
36.6
36.1
34.8
4.6
3.5
2.7
15.3
12.1
9.7
?
During 1QFY08, we expect revenue to grow 22% YoY to Rs8.8b, EBITDA to grow 24% YoY to Rs2.7b and net
profit to grow 17.5% YoY to Rs2b.
Gateway Distriparks has entered into a JV with Concor through its subsidiary, Gateway Rail Freight (GRFPL) to
undertake rail movement of containers from its ICD at Gurgaon. Concor is also in talks with the government of
Himachal Pradesh for establishing a depot at Baddi.
Concor has signed an MoU with the Transport Corporation of India Limited (TCIL) to provide door-to-door logistics
and warehousing services for all categories of customers. Synergies would flow, as TCIL is currently the largest road
network operator in India.
In the last quarter, it entered into a joint working agreement with Secunderabad-based logistics major Seaways group
to provide end-to-end logistics for exports from Punjab region to Chittagong, Bangladesh.
We maintain
Buy.
(RS MILLION)
FY07
1Q
2Q
3Q
4Q
1Q
2Q
FY08E
3Q
4Q
FY07
FY08E
?
?
?
?
QUARTERLY PERFORMANCE
Y/E MARCH
Sales
Change (%)
EBITDA
Change (%)
OPM (%)
Depreciation
Interest
Other Income
Extra-ordinary Items
PBT
Tax
Effective Tax Rate (%)
Reported PAT
Change (%)
Adjusted PAT
Change (%)
E: MOSt Estimates
7,213
33.9
2,160
39.1
30.0
223
0
163
-
2,100
437
20.8
1,663
54.8
1,663
54.8
7,693
31.3
2,522
44.0
32.8
232
0
169
-
2,458
563
22.9
1,895
55.2
1,895
55.2
7,472
17.5
2,224
26.0
29.8
242
0
205
1
2,187
530
24.2
1,657
21.1
1,657
21.1
8,081
18.7
2,202
12.0
27.3
223
0
148
1
2,128
434
20.4
1,692
24.3
1,693
24.3
8,800
22.0
2,680
24.0
30.5
250
0
175
-
2,605
651
25.0
1,954
17.5
1,954
17.5
9,617
25.0
3,105
23.1
32.3
270
0
200
-
3,035
774
25.5
2,261
19.3
2,261
19.3
9,489
27.0
2,654
19.3
28.0
300
0
250
-
2,604
664
25.5
1,940
17.1
1,940
17.1
10,270
27.1
2,661
20.8
25.9
332
2
324
-
2,652
667
25.2
1,984
17.3
1,984
17.2
30,460
24.8
9,109
29.5
29.9
919
0
684
-
8,874
1,965
22.1
6,909
37.5
6,909
37.4
38,176
25.3
11,100
21.9
29.1
1,152
2
949
-
10,896
2,757
25.3
8,139
17.8
8,139
17.8
Satyam Agarwal (Agarwals@MotilalOswal.com); Tel: +91 22 39825410/Anjali Shah Vora (Anjali@MotilalOswal.com);+91 22 39825415
29 June 2007
269

Results Preview
SECTOR: OIL DRILLING & ALLIED SERVICES
Great Offshore
STOCK INFO.
BLOOMBERG
REUTERS CODE
BSE Sensex: 14,651 GOFF IN
S&P CNX: 4,318
GOFS.BO
29 June 2007
Previous Recommendation: Buy
Buy
Rs834
EPS
P/E
(X)
P/BV
(X)
ROE
(%)
ROCE
(%)
EV/
EV/
SALES EBITDA
PAT
(RS M)
EPS
(RS) GROWTH (%)
Equity Shares (m)
52-Week Range
1,6,12 Rel. Perf. (%)
M.Cap. (Rs b)
M.Cap. (US$ b)
38.1
905/502
7/3/-
31.8
0.8
YEAR
END
NET SALES
(RS M)
3/07E
3/08E
3/09E
5,822
7,275
8,543
1,452
2,384
3,369
38.1
62.5
88.4
49.6
64.2
41.3
21.9
13.3
9.4
5.1
4.0
3.0
23.5
29.9
31.9
14.1
16.7
17.8
6.6
5.5
4.6
14.7
10.7
8.1
?
Great Offshore has a strong fleet of 26 OSVs, 2 drill rigs and 1 construction barge. We expect the company to be a
beneficiary of the current investment boom in oil and gas exploration, both global and in India.
We expect 1HFY08 to be muted for Great Offshore as its drill barge,
Badrinath,
has been dry-docked. This has a
double impact – topline impact due to loss of charter revenue plus bottomline impact due to drydocking charges,
estimated at US$8m spread over 1Q and 2Q.
However, we expect this to be more than offset in 2HFY08 when
Badrinath
gets re-deployed at a revised rate of
US$80,500 per day, more than twice its pre-drydock rate of US$36,000 per day.
The stock trades at 13.3x FY08E and 9.4x FY09E earnings. We maintain
Buy
with a DCF-based target price of
Rs978.
?
?
?
QUARTERLY PERFORMANCE
Y/E MARCH
1Q
2Q
FY07 *
3Q
4Q
1Q
2Q
FY08E #
3Q
4Q
FY07
(RS MILLION)
FY08E
Operating Income
Change (%)
Total Expenses
EBITDA
Change (%)
EBITDA Margin (%)
Depreciation
Interest
Other Income
PBT
Tax
Tax/PBT (%)
Reported PAT
Adjusted PAT
Change (%)
PAT Margin (%)
1,122
N.A.
543
579
N.A.
51.6
137
58
36
421
70
16.6
351
351
N.A.
31.3
1,271
N.A.
646
624
N.A.
49.1
147
73
9
414
26
6.3
388
388
N.A.
30.5
1,483
N.A.
761
722
N.A.
48.7
193
95
6
439
64
14.5
375
375
N.A.
25.3
1,493
N.A.
812
681
N.A.
45.6
220
133
27
354
54
15.4
299
299
N.A.
20.0
1,412
N.A.
767
645
N.A.
45.7
184
132
23
351
21
6.0
330
330
N.A.
23.4
1,759
N.A.
1,002
756
N.A.
43.0
184
132
23
462
28
6.0
435
435
N.A.
24.7
2,052
N.A.
880
1,172
N.A.
57.1
184
132
23
878
70
8.0
808
808
N.A.
39.4
2,052
N.A.
875
1,177
N.A.
57.4
184
132
23
883
72
8.1
811
811
N.A.
39.5
5,822
49.9
3,194
2,628
62.5
45.1
709
361
79
1,638
186
11.3
1,452
1,452
49.6
24.9
7,275
25.0
3,524
3,751
42.7
51.6
738
529
91
2,575
191
7.4
2,384
2,384
32.8
32.8
E: MOSt Estimates; * Standalone; # Consolidated
Shrinath Mithanthaya (ShrinathM@MotilalOswal.com); Tel: +91 22 3982 5421
29 June 2007
270

Results Preview
SECTOR: AGROCHEMICALS
United Phosphorus
STOCK INFO.
BLOOMBERG
REUTERS CODE
BSE Sensex: 14,651 UNTP IN
S&P CNX: 4,318
UNPO.BO
29 June 2007
Previous Recommendation: Buy
YEAR
END
NET SALES
(RS M)
PAT
(RS M)
EPS
EPS
P/E
(X)
P/BV
(X)
ROE
(%)
ROCE
(%)
EV/
(RS) GROWTH (%)
Buy
Rs311
EV/
SALES EBITDA
Equity Shares (m)
52-Week Range
1,6,12 Rel. Perf. (%)
M.Cap. (Rs b)
M.Cap. (US$ b)
187.2
352/204
7/-3/-7
58.2
1.4
3/07A
3/08E
3/09E
24,709
36,494
41,340
2,884
3,772
5,403
14.3
18.7
26.8
33.4
30.8
43.2
21.8
16.7
11.6
3.8
3.3
2.6
20.5
23.0
27.0
14.0
16.5
20.8
2.7
1.8
1.5
11.3
8.7
6.5
Excluding Advanta & Cerexagri
?
United Phosphorus (UPL) is expected to report 76.9% YoY growth in consolidated revenues to Rs8.5b, driven
primarily by consolidation of Cerexagri and five product acquisitions since August 2006, although numbers may not be
strictly comparable.
?
EBITDA margins are likely to decline by 630bp to 19%, translating into EBITDA growth of 33% to Rs1.6b. Decline
in EBITDA margin is primarily on account of Cerexagri consolidation, which would have EBITDA margin of 8-9%.
However, higher depreciation (up by 20%) and higher interest cost (up 80%), would restrict recurring PAT growth at
24.5% to Rs673m.
?
UPL acquired two products –
Super Tin
(fungicide) and
Vendex
(miticide) from DuPont for an undisclosed sum.
These two products would have sales of US$8-10m and enjoy superior margins. This acquisition further strengthens
UPL’ fungicide portfolio, which got a major boost due to Cerexagri acquisition. Our estimates do not factor in this
s
acquisition.
?
Current valuations at 16.7x FY07E and 14.9x FY08E earnings (based on our proforma consolidated EPS – fully
diluted, incl. Advanta and Cerexagri acquisition) do not fully reflect strong business fundamentals and any upsides
from potential acquisitions. We maintain
Buy.
QUARTERLY PERFORMANCE (CONSOLIDATED)
Y/E MARCH
1Q
2Q
FY07
3Q
4Q
1Q
2Q
FY08E
3Q
4Q
FY07
(RS MILLION)
FY08E
Gross Revenues
YoY Change (%)
Total Expenditure
EBITDA
Margins (%)
Depreciation
Interest
PBT before EO Expense
Extra-Ord Expense
PBT after EO Expense
Tax
Deferred Tax
Rate (%)
Reported PAT
Income from Associate Co
Adjusted PAT
YoY Change (%)
Margins (%)
E: MOSt Estimates
4,804
17.9
3,589
1,215
25.3
360
241
614
0
614
22
51
12.0
541
0
541
40.8
11.3
5,169
18.0
3,824
1,345
26.0
370
219
755
0
755
4
94
13.1
656
0
656
39.1
12.7
4,840
25.8
3,671
1,169
24.1
409
183
577
0
577
47
174
38.2
357
0
357
54.2
7.4
9,897
73.1
7,743
2,154
21.8
517
403
1,234
76
1,158
79
52
11.4
1,026
242
1,335
20.2
13.5
8,498
76.9
6,884
1,615
19.0
430
435
750
110
640
77
0
12.0
563
0
673
24.5
7.9
8,147
57.6
6,232
1,914
23.5
440
430
1,044
165
879
114
0
13.0
765
0
930
41.8
11.4
7,480
54.6
5,834
1,646
22.0
445
430
771
220
551
209
0
38.0
341
0
561
57.3
7.5
12,369
25.0
9,841
2,527
20.4
468
427
1,633
804
829
334
0
40.3
495
310
1,608
20.4
13.0
24,709
37.1
18,827
5,883
23.8
1,656
1,046
3,181
76
3,105
153
372
16.9
2,580
242
2,885
32.4
11.7
36,494
47.7
28,792
7,702
21.1
1,783
1,722
4,197
1,299
2,899
546
189
25.3
2,164
310
3,772
30.8
10.3
Nimish Desai (Nimishdesai@MotilalOswal.com); Tel: +91 22 39825406/Jinesh K Gandhi (Jinesh@MotilalOswal.com); Tel +91 22 39825416
29 June 2007
271

N O T E S
29 June 2007
272

N O T E S
29 June 2007
273

N O T E S
29 June 2007
274

N O T E S
29 June 2007
275

Results Preview
For more copies or other information, contact
Institutional:
Navin Agarwal.
Retail:
Manish Shah
Phone: (91-22) 39825500 Fax: (91-22) 22885038. E-mail: inquire@motilaloswal.com
Motilal Oswal Securities Ltd, 3rd Floor, Hoechst House, Nariman Point, Mumbai 400 021
This report is for the personal information of the authorized recipient and does not construe to be any investment, legal or taxation advice to you. Motilal Oswal
Securities Limited
(hereinafter
referred as MOSt)
is not soliciting any action based upon it. This report is not for public distribution and has been furnished to you solely
for your information and should not be reproduced or redistributed to any other person in any form.
The report is based upon information that we consider reliable, but we do not represent that it is accurate or complete, and it should not be relied upon such. MOSt or
any of its affiliates or employees shall not be in any way responsible for any loss or damage that may arise to any person from any inadvertent error in the information
contained in this report. MOSt or any of its affiliates or employees do not provide, at any time, any express or implied warranty of any kind, regarding any matter
pertaining to this report, including without limitation the implied warranties of merchantability, fitness for a particular purpose, and non-infringement. The recipients of
this report should rely on their own investigations.
MOSt and/or its affiliates and/or employees may have interests/ positions, financial or otherwise in the securities mentioned in this report. To enhance transparency,
MOSt has incorporated a Disclosure of Interest Statement in this document. This should, however, not be treated as endorsement of the views expressed in the report.
Disclosure of Interest Statement
The MOSt group and its Directors own shares in the following companies covered in this report: Aventis Pharma, Bharat Electronics, Bharti Airtel, Birla Corporation,
GMR Infrastructure, GSK Pharma, Hero Honda, Indian Overseas Bank, IOC, Pfizer, Siemens, State Bank of India, Tata Motors, Tata Steel.
MOSt has broking relationships with a few of the companies covered in this report.
MOSt is engaged in providing investment-banking services in the following companies covered in this report: Aurobindo Pharma, Dishman Pharma, Great Offshore,
Pfizer, Shasun Chemicals and Wockhardt
This information is subject to change without any prior notice. MOSt reserves the right to make modifications and alternations to this statement as may be required
from time to time. Nevertheless, MOSt is committed to providing independent and transparent recommendations to its clients, and would be happy to provide
information in response to specific client queries.
29 June 2007
276