5 January 2007
India Strategy
2006 has been the fifth
consecutive year of
positive returns
The fundamental factors
underpinning India's
growth story are intact
We expect Sensex EPS
to grow 16% to Rs810
in FY08...
… but further upgrades
are likely, as we
move forward
Sensex valuations are
in line with
historical averages
Expect focus to be on
earnings growth
R
ESULTS
P
REVIEW
Quarter ended December 2006
In Bloom
Research Team (Rajat@MotilalOswal.com)
Prices as of Friday, 29 December 2006

Contents
India Strategy
1. Automobiles
Ashok Leyland
Bajaj Auto
Bharat Forge
Eicher Motors
Hero Honda
Mahindra & Mahindra
Maruti Udyog
Punjab Tractors
Swaraj Mazda
Tata Motors
TVS Motor
2. Banking
Andhra Bank
Bank of Baroda
Bank of India
Canara Bank
Corporation Bank
HDFC
HDFC Bank
ICICI Bank
Indian Overseas Bank
J&K Bank
Karnataka Bank
Oriental Bank
Punjab National Bank
State Bank
Syndicate Bank
Union Bank
UTI Bank
Vijaya Bank
3. Cement
ACC
Birla Corporation
Grasim Industries
Gujarat Ambuja
Shree Cement
UltraTech Cement
4. Engineering
ABB
Alstom Projects
Bharat Electronics
BHEL
Crompton Greaves
Cummins India
Larsen & Toubro
Siemens
Thermax
29 December 2006
3-42
43-63
53
54
55
56
57
58
59
60
61
62
63
64-90
73
74
75
76
77
78
79
80
81
82
83
84
85
86
87
88
89
90
91-101
96
97
98
99
100
101
102-115
107
108
109
110
111
112
113
114
115
5. FMCG
116-133
Asian Paints
123
Britannia Industries
124
Colgate Palmolive
125
Dabur India
126
GSK Consumer
127
Godrej Consumer Products
128
Hindustan Lever
129
ITC
130
Marico
131
Nestle India
132
Tata Tea
133
6. Information Technology134-153
Geometric Software
140
HCL Technologies
141
Hexaware Technologies
142
i-flex solutions
143
Infosys
144
Infotech Enterprises
145
KPIT Cummins
146
MphasiS
147
Patni Computer
148
Sasken Communication
149
Satyam Computer
150
TCS
151
Tech Mahindra
152
Wipro
153
7. Infrastructure
Gammon India
Hindustan Construction
IVRCL
Jaiprakash Associates
Nagarjuna Construction
Patel Engineering
8. Media
Zee Telefilms
9. Metals
Hindalco
Jindal Steel
JSW Steel
Nalco
SAIL
Tata Steel
10. Oil & Gas
BPCL
Chennai Petroleum
GAIL
HPCL
IOC
154-164
159
160
161
162
163
164
165-166
166
167-176
171
172
173
174
175
176
177-192
184
185
186
187
188
Indraprastha Gas
IPCL
ONGC
Reliance
189
190
191
192
11. Pharmaceuticals
Aurobindo Pharma
Aventis Pharma
Biocon
Cadila Healthcare
Cipla
Divi’ Laboratories
s
Dr Reddy’ Labs.
s
GSK Pharma
Jubilant Organosys
Lupin
Matrix Laboratories
Nicholas Piramal
Pfizer
Ranbaxy Labs.
Shasun Chemicals
Sun Pharmaceuticals
Wockhardt
12. Retailing
Pantaloon Retail
Shopper's Stop
Titan Industries
193-217
201
202
203
204
205
206
207
208
209
210
211
212
213
214
215
216
217
218-224
222
223
224
13. Telecom
225-232
Bharti Airtel
230
Reliance Communication
231
VSNL
232
14. Textiles
Alok Industries
Arvind Mills
Gokaldas Exports
Himatsingka Seide
Raymond
Vardhman Textiles
Welspun India
15. Utilities
CESC
NTPC
Neyveli Lignite
PTC India
Reliance Energy
Tata Power
16. Others
Concor
United Phosphorus
233-246
240
241
242
243
244
245
246
247-256
251
252
253
254
255
256
257-258
257
258
2

Results Preview
QUARTER ENDED DECEMBER 2006
India Strategy
BSE Sensex: 13,787
S&P CNX: 3,966
29 December 2006
2006 has been the fifth
consecutive year of
positive returns
2006 has been the fifth consecutive year of positive returns for the Indian capital markets.
While the Sensex moved in a wide range of 8,900-14,000, it rose 47% during the year to
close at 13,787. From the lows of 8,930 in June 2006, the Sensex has returned 56% by
the year-end. FIIs continued to be net buyers of Indian equities for the 8th year in a row,
while the magnitude of net buying by domestic mutual funds too has increased to US$3.4b
from US$3b last year.
The fundamental factors underpinning India’ growth story remain intact: (1) continued
s
strong growth and positive surprises in corporate earnings; (2) multiple growth engines
of consumption, investment and outsourcing driving consistent surprises in economic
growth; and (3) falling macro risks such as possible rise in oil prices and interest rates.
As market valuations are around historical averages, stock returns will track earnings
growth. Hence, we expect earnings growth to be the area of focus in 2007.
We expect Sensex EPS to grow 33% to Rs695 in FY07 and 16% to Rs810 in FY08. We
continue to base our Sensex target on our FY08 earnings estimates, although we have
raised our target multiples. Our 12-month Sensex target range is now based on 15-18x
FY08E earnings (in December 2007, these multiples will be tracking just one quarter
forward earnings). Adding the embedded value of businesses of the Sensex companies
that are non-earnings contributors, we arrive at a target Sensex range of 13,000-15,500.
The key risk to this target is any disappointment in earnings growth and inflation concerns.
FY07 – another year of significant earnings upgrades
Motilal Oswal’ Universe of 129 stocks is now expected to report profit growth of 28%
s
in FY07, against the growth expectation of 18% at the same time last year. We reiterate
that strong corporate performance will continue to be the bedrock of the ongoing bull
market. For the quarter ended December 2007 (3QFY07), our universe is likely to report
profit growth of 46% against 20% in 1QFY07 and 45% in 2QFY07. Earnings growth
has accelerated over the last couple of quarters, in turn driving significant upgrades
across a number of sectors. We believe that Indian markets entering 2007 with a quarter
of very strong earnings growth is a positive sign. We are also impressed with the fact
that the strong earnings growth in FY07 is primarily being driven by strong topline growth.
Forecasting 16% earnings growth in FY08; upgrades likely
We estimate 15% earnings growth for our Universe for FY08. For the Sensex, we
estimate 16% growth in EPS to Rs810. Over the last four quarters, there have been
significant upgrades in our forward earnings estimates. A year ago, our Sensex EPS
The fundamental factors
underpinning India’ growth
s
story remain intact
We expect Sensex EPS to
grow 33% to Rs695 in
FY07 and by 16% to
Rs810 in FY08
Our EPS estimates for FY07
and FY08 have seen
consistent upward revisions
in the last 12 months…
Navin Agarwal (Navin@MotilalOswal.com)/Rajat Rajgarhia (Rajat@MotilalOswal.com)
29 December 2006
3

India Strategy
… and further upgrades are
likely in our FY08 EPS
estimate, as we move forward
estimate for FY08 was Rs709; this has been upgraded by 14% in the last 12 months.
Given the momentum of the economy and corporate performance, we believe that there is
a strong possibility of earnings upgrades as we move forward. We have factored flat
growth in FY08 profits for global commodities, which constitute almost 1/3rd of the earnings
of our Universe. As we gain greater visibility of the various commodity cycles during the
year, we would revise our estimates.
Consumerism, Infrastructure – the two driving themes for 2007
FY07 will be the fourth consecutive year of ~8% GDP growth. The Indian consumers'
confidence is on an accent. Per capita GDP has increased from ~US$450 in FY01 to
~US$790 in FY07; purchasing power has increased even faster. With the benefits of
economic reforms only now trickling down to rural India, we expect India’ rural economy
s
to also join the consumption boom hereon. We believe that the Indian economy is at the
cusp of a major consumption boom.
Infrastructure spending has witnessed sharp acceleration, with most of the segments in
the economy constrained in terms of capacity availability. Riding on the back of the fourth
consecutive year of 8%+ GDP growth, we believe that the next three years would be
eventful. The Government is pushing through investments in infrastructure (ports, roads,
airports, electricity, etc.), which is the biggest bottleneck in the sustainability of growth.
Beginning 2007 with lower macro risks...but increased risk of fresh issuance
The first six months of 2006 were marked by two key risks to equities – rising interest
rates and rising oil prices. These two risks played a major role in the market correction in
May 2006. Since then, both these risks have abated. While oil prices have remained stable
at ~US$60/barrel (after declining from highs of ~US$78/barrel), 10-year bond yields in
India have remained in a range of 7.4-7.6% (after declining from highs of 8.4%). With no
signs of concerns on these two macro variables, focus of investors will largely remain on
earnings growth.
The price to book multiple of Sensex has shot up from 1.5x in 2001 to 4x now. This
expansion in valuation multiple is now driving several listed as well as unlisted entities to
raise capital from the markets. This process has been aided by the introduction of several
new avenues of capital raising like the QIP (Qualified Institutional Placement), AIM listings
and a significant expansion in private equity market. This, we believe, could lead to a
deluge of paper from both listed and unlisted companies in 2007. While this could lead to
an expansion in the number and type of investors for Indian equities, these primary issuances
will have to be well spread out to avoid any overhang on the secondary markets.
Growing investable universe likely to keep inflows strong
In 2006, net FII investment in Indian equities was US$7.9b as against US$10.8b in 2005
and US$8.5b in 2004. Domestic mutual funds have invested US$3.4b in 2006 against
US$3b in 2005. Indian capital markets have been attracting strong inflows from both
foreign and local investors (collective investment of US$33.4b by FIIs and domestic mutual
4
We believe that consumerism
and infrastructure would be
the driving themes for 2007
While risks relating to rise in
interest rates and oil prices
have abated…
… there is increased risk of
fresh equity issuance
We expect strong inflows
into India’ equity markets
s
to continue…
29 December 2006

India Strategy
funds in the last 3 years). Several new classes of investors have entered (India-dedicated
funds raised in Japan, Asian countries and the Continent; AIM listings of Indian REITs;
large sponsored ADS of Indian equities to targeted investors). Market capitalization has
increased to US$812b from US$549b in 2005 and US$281b in 2003. The number of >US$1b
market cap companies have increased from 53 in 2003 to 93 in 2005 to 127 in 2006.
Several emerging sectors such as wireless, media, real estate, and infrastructure have
provided significant investment opportunities. Going forward, we expect such investment
opportunities to expand, which will drive newer investors into India.
Reforms, Budget could be key catalysts in 2007
There is also a possibility of the government pressing the accelerator on reforms, with just
2 years of the current 5-year term remaining. As the UP state elections get over in February,
the government will have a time period of 9 months before next major state election. Also,
strong tax collections has helped the government finances considerably. This could
encourage tax cuts, which can further fuel consumption boom and corporate profits. Among
the key areas of pending reforms are Infrastructure, which requires huge funding, FDI
limits, which are likely to be raised in Insurance, Telecom, financial sector reforms, etc.
Valuations at historical averages; focus will remain on growth
While valuations at 17x FY08E EPS for Sensex are in line with historical averages, we
reiterate that surprises in earnings growth will be a key driver to market returns in 2007,
notwithstanding the interim volatility. We believe that a stock-specific approach could
generate strong returns even if the markets were to consolidate in the near term. We also
see huge appetite for new discoveries, new catalysts in stocks; early investing in such
plays is advisable. Our investment strategy for 2007 revolves around the following key
themes:
?
Strong growth visibility beyond 2008:
Stocks in this category will trade at the
highest multiples. As investors turn wary of markets at higher levels, stocks that offer
strong visibility of earnings growth will be favored. Our top picks here are
Maruti,
ICICI Bank, Bharti Airtel, M&M, Gujarat Ambuja, Wipro, PNB
and
L&T.
?
Underperformers of 2006, catalyst in 2007 could revive performance:
We believe
that some of the stocks that have underperformed in 2006 are now quite attractive.
The risk-return equation is a lot more favorable for investing in these stocks. Moreover,
specific catalysts could result in strong positive returns in these stocks. Our top picks
here are
ONGC, Ranbaxy, IDFC, Bank of Baroda, ITC,
and
Hindalco.
?
Quality mid-caps to generate strong returns:
In 2006, almost all the mid-cap
indices underperformed the large-cap indices. With earnings momentum fairly strong
and mid-caps being beneficiaries of soft commodity prices and interest rates, we believe
that quality mid-caps could generate strong returns in 2007. Our top mid-cap bets are
Patel Engineering, Sintex, Nicholas, Amtek Auto, HCC, Shree Cement,
Kesoram, JSW Steel, IOB,
and
Sasken.
… and increased thrust on
reforms, positive budget
announcements could be the
catalysts in 2007
Sensex valuations are in line
with historical averages;
expect focus to be on
earnings growth
29 December 2006
5

India Strategy
Earnings surprises continue; remain bedrock of bull market
2006 has been the fifth
consecutive year of
positive returns
2006 has been the fifth consecutive year of positive returns for the Indian capital markets.
While the Sensex moved in a wide range of 8,900-14,000, it rose 47% during the year to
close at 13,787. From the lows of 8,930 in June 2006, the Sensex has returned 56% by the
year-end. FIIs continued to be net buyers of Indian equities for the 8th year in a row, while
the magnitude of net buying by domestic mutual funds too has increased to US$3.4b from
US$3b last year.
YEARLY RETURNS ON BSE SENSEX
Annual Sensex Return (%) - LHS
105
CAGR of 19.3%
70
35
0
-35
Trend in Sensex - RHS
5th consecutive year
of positive return
14000
10500
7000
3500
0
QUATERLY RETURNS ON BSE SENSEX (%)
40
20
0
-20
-40
Source: Company/Motilal Oswal Securities
The fundamental factors
underpinning India’ growth
s
story remain intact
The fundamental factors underpinning India’ growth story remain intact: (1) continued
s
strong growth and positive surprises in corporate earnings; (2) multiple growth engines of
consumption, investment and outsourcing driving consistent surprises in economic growth;
and (3) falling macro risks such as possible rise in oil prices and interest rates. As market
valuations are around historical averages, stock returns will track earnings growth. Hence,
we expect earnings growth to be the area of focus in 2007.
6
29 December 2006

India Strategy
We expect Sensex EPS to
grow 33% to Rs695 in
FY07 and by 16% to
Rs810 in FY08
We expect Sensex EPS to grow 33% to Rs695 in FY07 and 16% to Rs810 in FY08. We
continue to base our Sensex target on our FY08 earnings estimates, although we have
raised our target multiples. Our 12-month Sensex target PE range is now based on 15-18x
FY08E earnings (in December 2007, these multiples will be tracking just one quarter
forward earnings). Adding to this the embedded value of businesses of the Sensex companies
that are non-earnings contributors, we arrive at a target Sensex range of 13,000-15,500.
The key risk to this target is any disappointment in earnings growth and inflation concerns.
SENSEX EPS (RS)
950
810
750
550
348
350
201
150
FY 02
FY 03
FY 04
FY 05
FY 06
FY 07E
FY 08E
272
523
450
695
891
FY 09E
SENSEX EPS GROWTH (%)
40
36
33
28
29
30
20
17
16
16
10
10
0
FY 02
FY 03
FY 04
FY 05
FY 06
FY 07E
FY 08E
FY 09E
Source: Company/Motilal Oswal Securities
Top performers / underperformers of 2006
In the table, we have illustrated the relative performance of the Nifty constituents v/s the
Nifty Index. 13 of the 50 Nifty stocks have outperformed the benchmark in each of the
last 3 years. Incidentally, 6 of our top 8 bets feature in this list. A common feature of most
of these 13 stocks is very strong earnings growth for the last 3 years. Most of these
companies have consistently witnessed upgrades (we expect possibility of this continuing
for these companies even going forward). Stocks that have underperformed in each of
last 3 years are mainly commodity stocks or the ones that have been adversely impacted
by government policies.
29 December 2006
7

India Strategy
RELATIVE PERFORMANCE OF NIFTY STOCKS
COMPANY
NAME
2006
RELATIVE PERFORMANCE (%)
2005
2004
ACC
Grasim Inds.
ABB
Zee Telefilms
Reliance Inds.
Bharti Airtel
Guj. Ambuja Cem
M&M
Dr Reddy’ Labs.
s
BHEL
SAIL
Siemens
Larsen & Toubro
ICICI Bank
HDFC Bank
Infosys Tech.
Suzlon Energy
Maruti Udyog
Sun Pharma.
TCS
Cipla
Dabur India
Tata Motors
St Bk of India
HDFC
Satyam Computer
Bajaj Auto
Wipro
Tata Power Co.
Tata Steel
ITC
IPCL
Hindalco Inds.
HCL Technologies
ONGC
VSNL
Hind. Lever
Pun. Natl. Bank
Ranbaxy Labs.
GSK Pharma
MTNL
GAIL (India)
Natl. Aluminium
Hero Honda Motor
Reliance Energy
HPCL
Oriental Bank
BPCL
Jet Airways
Outperformers in each of 3 years
Underperformers in each of 3 years
63
61
53
47
46
42
38
37
26
26
25
17
17
12
11
10
6
6
4
3
2
0
-2
-3
-5
-9
-9
-9
-11
-13
-16
-17
-18
-20
-29
-29
-30
-31
-32
-36
-41
-41
-42
-51
-54
-55
-56
-62
-86
21
-31
63
-45
30
24
12
52
-23
44
-50
137
51
21
0
7
-
2
-13
-9
3
90
-7
3
21
44
40
-12
-25
-38
26
-7
-13
21
7
29
1
-21
-78
9
-43
-21
-27
14
-21
-54
-55
-42
-
27
21
33
3
-18
94
21
29
-50
41
12
12
76
15
31
40
-
12
76
-
10
-5
1
10
8
1
-11
18
14
20
22
-30
-9
1
-8
46
-41
57
3
23
2
-22
-8
17
-8
-19
20
-9
-
Source: Motilal Oswal Securities
29 December 2006
8

India Strategy
CHANGE IN RECO AND INITIATED COVERAGE DURING THE QUARTER ENDED DECEMBER 2006
COMPANY
CURR RECO
PREVIOUS RECO
Bajaj Auto
Britannia
Divis Labs
Godrej Consumer
i-flex solutions
IPCL
MphasiS
Reliance
Reliance Comm
Siemens
Syndicate Bank
Tech Mahindra
Titan Industries
Wockhardt
Initiated coverage during the quarter
Sasken Communication
Patel Engineering
Cadila Healthcare
Sintex
Neutral
Buy
Neutral
Neutral
Neutral
Sell
Neutral
Neutral
Buy
Neutral
Neutral
Buy
Neutral
Under Review
Buy
Buy
Buy
Buy
Buy
Under Review
Buy
Buy
Buy
Buy
Buy
Buy
Not Rated
Buy
Buy
Not Rated
Buy
Buy
Source: Motilal Oswal Securities
29 December 2006
9

India Strategy
FY07 – another year of positive earnings surprise
Our EPS estimates for FY07
and FY08 have seen
consistent upward revisions
in the last 12 months…
Motilal Oswal’ Universe of 129 stocks is now expected to report profit growth of 28% in
s
FY07, against the growth expectation of 18% at the same time last year. We reiterate that
strong corporate performance will continue to be the bedrock of the ongoing bull market.
For the quarter ended December 2006 (3QFY07), our universe is likely to report profit
growth of 46% against 20% in 1QFY07 and 45% in 2QFY07. Earnings growth has
accelerated over the last couple of quarters, in turn driving significant upgrades across a
number of sectors. We are also impressed with the fact that the strong earnings growth in
FY07 is primarily being driven by strong topline growth (estimated at 29%).
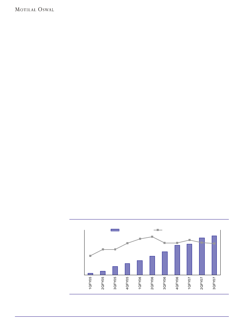
ANNUAL EARNINGS GROWTH OF MOSL UNIVERSE
32%
25%
18%
11%
4%
FY 05
FY 06
9.8%
24.3%
28.4%
15.2%
FY 07E
FY 08E
QUARTERLY EARNINGS GROWTH OF MOSL UNIVERSE
50%
40%
30%
21.0%
20%
10%
Mar-06
June-06
19.6%
45.2%
46.1%
Sep- 06
Dec-06
Source: Company/Motilal Oswal Securities
The Sensex earnings are estimated to grow at 33% in FY07 after a 27% CAGR during
FY02-06. We also estimate a 16% growth in Sensex EPS to Rs810 in FY08 and are now
introducing our FY09 Sensex EPS of Rs891 – a growth of 10%. Over the last 4 quarters,
we have witnessed a definite acceleration in earnings growth, which has resulted in
consistent upgrades. We believe that Indian markets entering 2007 with a quarter of very
strong earnings growth is a positive sign.
29 December 2006
10

India Strategy
Forecasting moderate growth in FY08 & FY09, upgrades likely
… and further upgrades are
likely in our FY08 EPS
estimate, as we move forward
We estimate 15% earnings growth for our Universe of 129 companies for FY08. For the
Sensex, we estimate 16% growth in EPS to Rs810. Over the last four quarters, there have
been significant upgrades in our forward earnings estimates. We had revised our Sensex
EPS estimate to Rs647 for FY07 and Rs732 for FY08 post 1QFY07 results. Post 2QFY07,
we had further upgraded our EPS estimates by 6% for FY07 and 7% for FY08. With
improving visibility on earnings, we have further revised our EPS estimates to Rs695 (up
by 2%) for FY07 and Rs810 (up 4%) for FY08. We are also introducing our FY09 Sensex
EPS estimate of Rs891.
TREND IN FY07 SENSEX EPS OVER LAST FEW QUARTERS (RS)
700
Upgrade of 11%
654
647
686
695
650
626
600
550
500
Dec-05
Mar-06
June-06
Sep- 06
Dec-06
TREND IN FY08 SENSEX EPS OVER LAST FEW QUARTERS (RS)
830
Upgrade of 14%
790
780
810
750
709
710
733
732
670
Dec-05
Mar-06
June-06
Sep- 06
Dec-06
Source: Company/Motilal Oswal Securities
We have factored flat growth in FY08 profits for global commodities, which constitute
almost 1/3rd of the earnings of our Universe. As we gain greater visibility of the various
commodity cycles during the year, we would revise our estimates. Even for other sectors,
given the momentum of the economy and corporate performances, we believe that there
is a possibility of earnings upgrades as we move forward. Softening of global commodity
29 December 2006
11

India Strategy
prices (to some extent factored in the earnings of commodity companies) could also aid
margin expansion, triggering further earnings growth.
Composition of earnings moving in favor of high growth sectors
The earnings contribution of high growth sectors such as IT, Telecom and Autos has
increased considerably over the last 6 years. These sectors command valuations better
than the markets, indicating that the Indian markets should trade above historical averages.
SECTOR-WISE CONTRIBUTION TO OVERALL SENSEX PROFIT (%)
SECTOR
FY02
FY08
Automobiles
Banking
Cement
Engineering
Global Cyclicals
IT
Others
Pharma
Telecom
Utilities
Total
4.1
17.9
3.6
4.2
32.9
8.3
16.2
5.2
6.3
1.4
100.0
6.7
13.1
5.2
4.7
32.1
14.5
4.9
2.0
9.6
7.3
100.0
Global Cyclicals comprises of ONGC, Reliance, Tata Steel and Hindalco.
29 December 2006
12

India Strategy
Consumerism, infrastructure the key themes to play
We believe that consumerism
and infrastructure would be
the driving themes for 2007
Theme 1: Growing consumerism
Indian economy is at the cusp of a big consumption boom
We believe that the Indian economy is at the cusp of a big consumption boom. We expect
discretionary income to more than double in the coming five years. Heightened competition
and globalized environment will increase consumer affordability significantly in the coming
years. The combination of rising incomes and competitive prices will result in demand
growing at a fast clip. We remain very positive on companies, which are likely to benefit
from this big consumption boom. Our top bets in this space are Maruti, Bharti Airtel, ICICI
Bank, ITC, and M&M.
FY07 will be the fourth consecutive year of ~8% GDP growth. The Indian consumers'
confidence is on an accent. Per capita GDP has increased from ~US$450 in FY01 to
~US$790 in FY07; purchasing power has increased even faster. With the benefits of
economic reforms only now trickling down to rural India, we expect India’ rural economy
s
to also join the consumption boom hereon. We believe that the Indian economy is at the
cusp of a major consumption boom.
RISING PER CAPITA INCOME (US$)
The Indian economy is at the
cusp of a big consumption
boom, in our opinion…
1,800
Per Capita GDP expected to grow to
US$1,500 in 2014 from US$790 in 2007
Acceleration in Per
Capita GDP from 2003
1,400
1,000
600
%
CAGR of 2.7
200
Source: Motilal Oswal Securities
While overall prosperity has increased considerably…
India’ per capita income has grown at a CAGR of 9.5% during the last six years, from
s
~US$450 in FY01 to ~US$790 in FY07. With ~8% GDP growth expected to sustain, we
believe that per capita GDP will continue to rise at ~10%.
As the discretionary incomes has been rising at an even faster pace, the Indian consumer
has upped its spending significantly over the last few years. The 3 segments which are
amongst the best evidence of this consumption boom are Wireless (falling tariffs of
29 December 2006
13

India Strategy
telecommunication services and lower handset prices), Autos (marginal increase in cost
of ownership of vehicles) and Mortgages. These services and products have become
more affordable.
EXPLOSIVE GROWTH IN WIRELESS SUBSCRIBER BASE
500
400
300
200
100
0
Wireless Subscriber Base - LHS
EffectiveTariff (Rs/Min) - RHS
5.0
4.0
3.0
2.0
1.0
0.0
Source: TRAI/Motilal Oswal Securities
PASSENGER VEHICLES HAVE BECOME MORE AFFORDABLE
TWO WHEELER
FY00
FY06
FY11E
FY00
PASSENGER CAR
FY06
FY11E
Average Cost of 2W
Finance (%)
Loan Amount
Interest Rate (%)
Duration (months)
Monthly EMI
Per Day Usage (km)
Fuel Efficiency (km/lt
Petrol Price (per lt)
Fuel Cost (per month)
Annual Maintainance Cost
Monthly Maintainance Cost
Ownership Cost (per mon)
Increase (%)
Per Capita Income
Increase (%)
36,000
70
25,200
24
36
989
30
45
30
600
3,600
300
1,889
19,569
32,000
70
22,400
16
36
788
30
50
49
886
6,000
500
2,173
15.1
31,901
63.0
35,000
70
24,500
16
36
861
30
45
49
984
8,400
700
2,545
17.1
51,377
61.1
272,333
85
231,483
18
60
5,878
30
12
30
2,250
9,600
800
8,928
19,569
272,333
85
231,483
11
60
5,033
30
12
49
3,690
12,000
1,000
9,723
8.9
31,901
63.0
290,000
85
246,500
11
60
5,360
30
12
49
3,690
14,400
1,200
10,250
14.8
51,377
61.1
Source: Motilal Oswal Securities
EVEN OWNING HOMES IS MORE AFFORDABLE NOW, DESPITE THE RUN-UP IN REAL ESTATE PRICES
Property Cost (Lac)
32
24
16
8
0
Annual Income (Rs)
Affordability
24
18
12
6
0
Source: HDFC Presentation/Motilal Oswal Securities
29 December 2006
14

India Strategy
The impact of growing prosperity is evident in the shift in consumption pattern. The share
of food and grocery has fallen from 50% in FY00 to 39% in FY06 while the share of
transport and communication has risen from 13% to 19% during the same period.
CONSUMER DISCRETIONARY SPENDING HAS INCREASED…
CONSUMER INCOME SPEND – FY00
CONSUMER INCOME SPEND – FY06
Transport
& Comm
1
3%
Medical
Care
7%
Entertain
ment &
Education
4%
Personal
Care &
Services
8%
Food
50%
Entertain
ment &
Education
4%
Personal
Care &
Services
1
2%
Food
39%
Transport
& Comm
1
9%
Clothing
5%
M edical
Care
Durables
6%
3%
Rent &
Fuel
1
2%
Clothing
5%
Durables
3%
Rent &
Fuel
1
0%
Source: Marketing White Book/Motilal Oswal Securities
… rural India is only beginning to catch up
Rural India is yet to participate as big beneficiaries of economic reforms so far. As can be
seen from the data on consumer product penetration presented below, there is still a
considerable urban-rural divide. With the benefits of economic reforms trickling down to
rural India, we expect them to also participate in the consumption boom.
… BUT THERE IS STILL A CONSIDERABLE URBAN-RURAL DIVIDE
FMCG PRODUCTS PENETRATION (%)
ALL INDIA
URBAN
RURAL
Deodorants
Instant Coffee
Skin Cream
Utensil Cleaner
Toothpastes
Shampoo
Washing Powder
Detergent Bar
Toilet Soap
2.1
6.6
22.0
28.0
48.6
38.0
86.1
88.6
91.5
5.5
15.5
31.5
59.9
74.9
52.1
90.7
91.4
97.4
0.6
2.8
17.8
14.6
37.6
31.9
84.1
87.4
88.9
Source: HLL Presentation/Motilal Oswal Securities
Recent policy changes in contract farming and APMC Act, and organized retail are all set
to transform the Indian agriculture scene in the coming few years.
?
The National Horticulture Mission targets doubling of production by 2011, to 350m
ton. We estimate that 10% improvement in productivity and realizations will boost the
farm incomes by Rs500b.
?
Entry of big corporates like ITC, Reliance, Bharti and AV Birla group in corporate
farming and organized retailing will open up a new vista for rural growth. Higher
productivity, assured offtake and better realizations will boost farm income.
29 December 2006
15

India Strategy
?
In addition, concepts like Choupal Sagar and Harayali Kissan Bazaars will expose the
rural masses to branded goods of genuine quality and reasonable prices thus boosting
demand for goods in rural India.
Expect rural India to join the consumption boom
We expect rural India to act as a demand growth catalyst in the economy. We believe that
the emerging demand scenario can be really interesting, as rural India has extremely low
penetration of consumer goods. Even within the rural areas, there is great disparity –
penetration levels in the poorer states like Rajasthan, UP, MP and Bihar are 1/2 to 1/3
rd
of
the rural penetration levels. We believe that consumer demand is at an inflexion point and
growth could surprise on the upside.
Theme 2: Infrastructure – visibility for multi-year growth
We believe that the Indian economy can add few percentage points of growth on the back
of strong investments in infrastructure. The corporate sector is also planning to make
significant investment to expand capcities. In the meanwhile, we expect number of industries
to benefit, as they will be the key executors of this capex. Companies involved in
infrastructure, construction, real estate development, cement, power sector, etc. will witness
strong visibility of business growth sustaining for the next few years. From the investors’
point of view, the build-up in order books of these companies and ability to extract better
margins will be the key catalyst for stock performances. Our preferred bets here are
L&T, Crompton Greaves, HCC, Patel Engineering, Gammon, Gujarat Ambuja,
Grasim, Reliance Energy,
and
Bharat Electronics.
Infrastructure spending has witnessed sharp acceleration, with most of the segments in
the economy constrained in terms of capacity availability. Riding on the back of the fourth
consecutive year of 8%+ GDP growth, we believe that the next three years would be
eventful. The Government is pushing through investments in infrastructure (ports, roads,
airports, electricity, etc.), which is the biggest bottleneck in the sustainability of growth.
Infrastructure spending gaining momentum
Despite the desperate need, India’ annual spending on infrastructure (excluding housing)
s
as a share of GDP in 2003 was just 3.5%, or US$22b. In comparison, the number for
China stands at US$150b (10.6% of GDP). We observe a pick-up in infrastructure spending
in the economy, driven by strong political will and ease of project financing. An urgency to
ensure commercial viability is now apparent across the board, and is being reflected across
sectors. For instance, SEB losses are reducing, bottomline of Indian Railways is improving
and income of port authorities is rising. The momentum of private sector participation is
also picking, with innovative financing concepts like ‘
Public Private Partnerships’ and
Viability Gap Funding’
.
… and infrastructure plays
offer visibility for
multi-year growth
29 December 2006
16

India Strategy
TREND IN INFRASTRUCTURE SPENDING (RS B)
IX PLAN
X PLAN
XI PLAN
Airports
Irrigation
Ports
Power
Railways
Roads
Telecom
Tourism
Urban Infrastructure
Total
66
574
50
866
464
546
801
6
586
3,959
99
972
47
1,452
694
1,329
579
25
991
6,188
350
1,258
329
3,870
840
1,500
870
29
1,250
10,296
Source: Planning Commission
Corporate capex at an inflexion point
Even for the capital goods sector, the outlook seems encouraging. Since January 2005,
there has been a sustained increase in actual and intended investments in the corporate
capex, fuelled by a buoyant growth in domestic and industrial demand. The 47
th
CMIE
capex survey indicated that 1,158 new projects were planned during the quarter ended
October 2006, involving an investment of Rs6,573b. Excluding the construction segment
(SEZ projects), the number stands at Rs4,486b, which compares with Rs2,128b during
quarter ended July 2006 and Rs1,238b during quarter ended April 2006. The growth is
being primarily driven by key sectors like hydrocarbons, where upstream and mid-stream
oil companies are making large investments. Further, in the commodities, chemicals, mining
and electricity segments, various companies have announced massive capex plans.
Aggregate outstanding investments as at end-Oct. 2006 stand at Rs37,605b, up 58% YoY.
CMIE CAPEX SURVEYS (RS B)
APR-04
JUN-04
OCT-04
JAN-05
APR-05
JUL-05
OCT-05
JAN-06
APR-06
JUL-06
OCT-06
Manufacturing
Construction / Real Estate
Crude Oil and Natural Gas
Electricity
Services
Others
Total
39.5
1.6
0.0
1.6
14.4
2.3
59.4
22.2
0.7
0.0
6.9
12.1
0.7
42.5
90.8
1.5
0.0
20.6
14.4
2.6
129.9
31.0
2.5
1.4
15.8
28.1
5.3
84.1
44.5
5.6
3.7
7.2
42.1
3.0
106.0
104.8
2.2
0.8
34.3
16.0
1.9
160.1
101.5
7.2
6.0
53.1
34.4
7.8
209.9
86.5
31.8
8.8
109.3
53.1
5.6
295.1
62.8
21.5
2.5
39.2
18.0
1.3
145.3
75.5
11.8
3.2
70.3
53.2
10.7
224.7
157.1
207.7
17.4
147.5
118.8
8.9
657.3
Source: CMIE
TREND IN QUARTERLY FRESH INVESTMENTS (RS B)
7,000
5,250
3,500
1,750
0
Source: CMIE
29 December 2006
17

India Strategy
CAPEX IN KEY INDUSTRIAL SEGMENTS (RS B)
FY02-FY06
FY07-FY11
% INCREASE
Oil and Gas
Automobiles
Textiles
Steel
Cement
Petrochem
Aluminium
Others
Total
1,203
274
253
148
84
42
21
84
2,111
2,364
417
904
2,016
348
209
556
139
6,953
96.5
52.0
256.8
1,264.5
311.7
394.1
2,535.0
64.7
229.4
Source: CRISIL
29 December 2006
18

India Strategy
Growing investable universe likely to keep inflows strong
We expect strong inflows
into India’ equity markets
s
to continue…
Indian capital markets have been attracting strong inflows from both foreign and local
investors (collective investment of US$33.4b by FIIs and domestic mutual funds in the last
3 years). Several new classes of investors have entered (India-dedicated funds raised in
Japan, Asian countries and the Continent; AIM listings of Indian REITs; large sponsored
ADS of Indian equities to targeted investors).
In 2006, net FII investment in Indian equities was US$7.9b as against US$10.8b in 2005
and US$8.5b in 2004. Domestic mutual funds have invested US$3.4b in 2006 against
US$3b in 2005. We expect continued strong inflows from global investors, driven by strong
economic and corporate profit growth while domestic mutual funds will continue to witness
inflows due to the significant under-investment in equities and falling yields on debt
instruments.
FII NET INVESTMENT (US$B)
2.2
1.1
0.0
-1.1
-2.2
MUTUAL FUND NET INVESTMENT (US$B)
2.0
1.0
0.0
-1.0
Source: SEBI/Motilal Oswal Securities
29 December 2006
19

India Strategy
Market capitalization has increased to US$812b from US$549b in 2005 and US$281b in
2003. The number of >US$1b market cap companies have increased from 53 in 2003 to
93 in 2005 to 127 in 2006. Several emerging sectors such as wireless, media, real estate,
and infrastructure have provided significant investment opportunities. Going forward, we
expect such investment opportunities to expand, which will drive newer investors into
India.
NUMBER OF COMPANIES WITH MARKET CAP OVER US$1B
135
127
105
93
68
53
75
45
27
15
2002
2003
2004
2005
2006
Source: Company/Motilal Oswal Securities
29 December 2006
20

India Strategy
Reforms, budget could be key catalysts in 2007
… and increased thrust on
reforms, positive budget
announcements could be the
catalysts in 2007
With the central elections just 2 years away, there is a high probability of the government
pushing forward for reforms. As the state election of UP gets over in February, the
government has a time period of 9 months before next big state election. We believe that
India’ growth story would hinge a lot on government initiatives to facilitate quicker starts
s
for infrastructure development projects. While we believe that the private sector is ready
to contribute its share, the government needs to create a sustainable environment for
growth. Increase in FDI in insurance, telecom, financial sector reforms, etc. could be on
the agenda. While coalition compulsions would still be a major roadblock, incrementally
news flows could be more positive.
The Union Budget in February 2007 will be an important event to watch for. Tax revenue
has been growing at ~20% CAGR for the last couple of years. In FY07 YTD, direct tax
collections have been strong at 43% YoY, with corporate tax collections higher by 52%.
The government has already collected almost 70% of its annual estimates v/s 58% in the
same period last year. We believe that total tax collections in FY07 would be significantly
higher than estimates. This will provide significant room for the government to manage its
finances well within the deficit targets that it has aimed for. Strong buoyancy in revenue
collections would also enable the government to reduce the tax rates in the economy. Any
reduction in tax rates for individuals and corporates will be viewed very positively by the
markets.
IMPRESSIVE TAX COLLECTIONS (RS B)
APRIL-DECEMBER
FY07
FY06
% CHG.
BUDGETED
FY07
ACHIEVED
(%)
BUDGETED
FY06
ACHIEVED
(%)
Direct Tax
Corporate Tax
Income Tax
1,464
938
487
1,026
618
386
42.7
51.6
26.2
2,104
1,330
774
69.6
70.5
62.9
1,768
1,106
662
58.0
55.9
58.2
Source: Company/Motilal Oswal Securities
29 December 2006
21

India Strategy
Beginning 2007 with lower macro risks...
While risks relating to rise in
interest rates and oil prices
have abated…
The first six months of 2006 were marked by two key risks to equities – rising interest
rates and rising oil prices. These two risks played a major role in the market correction in
May 2006. Since then, both these risks have abated. While oil prices have remained stable
at ~US$60/barrel (after declining from highs of ~US$78/barrel), 10-year bond yields in
India have remained in a range of 7.4-7.6% (after declining from highs of 8.4%). With no
signs of concerns on these two macro variables, focus of investors will largely remain on
earnings growth. Further, we believe that any decline in these two indicators could aid
higher earnings growth and better valuations for the Indian markets.
10-YEAR BOND YIELDS (%)
14.5
14
12.0
9.5
7.6
7.0
5.1
4.5
11.7
CRUDE PRICES
International Crude Oil Prices US$/BL (RHS)
8.5
7.5
6.5
5.5
4.5
10-Year G-Sec Yield (%) (LHS)
80
65
50
35
20
Source: Bloomberg/Motilal Oswal Securities
29 December 2006
22

India Strategy
...but increased risk of fresh issuance
… there is increased risk of
fresh equity issuance
The price to book multiple of Sensex has shot up from 1.5x in 2001 to 4x now. This
expansion in valuation multiple is now driving several listed as well as unlisted entities to
raise capital from the markets. This process has been aided by the introduction of several
new avenues of capital raising like the QIP (Qualified Institutional Placement), AIM listings
and a significant expansion in private equity market. This, we believe, could lead to a
deluge of paper from both listed and unlisted companies in 2007. While this could lead to
an expansion in the number and type of investors for Indian equities, these primary issuances
will have to be well spread out to avoid any overhang on the secondary markets.
Also, inflation, which is
running at about 5.5%,
could be a key worry factor
Inflation – a key worry
We believe that inflation, which is running at ~5.5% could be the key worry factor. Here
again, the inflation numbers are understated as oil/fuel prices are controlled. With controlling
inflation being one of the key objective for the government, we believe that there could
other temporary measures (CRR hike, rate hikes, control on commodity prices etc), which
might have negative impact on the Indian markets in the short-term.
INFLATION AND REAL INTEREST RATE
Inf lation (%)
12.0
8.0
4.0
0.0
-4.0
Real Interest Rate (%)
Source: Bloomberg/Motilal Oswal Securities
29 December 2006
23

India Strategy
Valuations are at historical averages
SENSEX V/S SENSEX PER (X)
Sensex (RHS)
78
60
42
24
6
15 Year Median is 15.9x
Sensex P/E (LHS)
13696
15000
11500
8000
4500
17.0
1000
SENSEX P/BV (X)
4.5
3.5
15 Year Average 2.1x
2.5
1.5
0.5
4.0
SENSEX ROE (%)
26
22
18
14
10
15 Year Average 17.3%
23.6
SENSEX EARNINGS YIELD TO BOND YIELD
2.0
1.5
1.8
1.37
1.0
0.5
0.0
15 Year Avg is 0.70x
0.74
0.14
Source: Company/Motilal Oswal Securities
29 December 2006
24

India Strategy
Focus will remain on growth
Sensex valuations are in line
with historical averages;
expect focus to be on
earnings growth
While valuations at 17x FY08E EPS for Sensex are in line with historical averages, we
reiterate that surprises in earnings growth will be a key driver to market returns in 2007,
notwithstanding the interim volatility. We believe that a stock-specific approach could
generate strong returns even if the markets were to consolidate in the near term. We also
see huge appetite for new discoveries, new catalysts in stocks; early investing in such
plays is advisable. Our investment strategy for 2007 revolves around the following key
themes:
?
Strong growth visibility beyond 2008:
Stocks in this category will trade at the
highest multiples. As investors turn wary of markets at higher levels, stocks that offer
strong visibility of earnings growth will be favored. Our top picks here are
Maruti,
ICICI Bank, Bharti Airtel, M&M, Gujarat Ambuja, Wipro, PNB
and
L&T.
Underperformers of 2006, catalyst in 2007 could revive performance:
We believe
that some of the stocks that have underperformed in 2006 are now quite attractive.
The risk-return equation is a lot more favorable for investing in these stocks. Moreover,
specific catalysts could result in strong positive returns in these stocks. Our top picks
here are
ONGC, Ranbaxy, IDFC, Bank of Baroda, ITC,
and
Hindalco.
Quality mid-caps to generate strong returns:
In 2006, almost all the mid-cap
indices underperformed the large-cap indices. With earnings momentum fairly strong
and mid-caps being beneficiaries of soft commodity prices and interest rates, we believe
that quality mid-caps could generate strong returns in 2007. Our top mid-cap bets are
Patel Engineering, Sintex, Nicholas, Amtek Auto, HCC, Shree Cement,
Kesoram, JSW Steel, IOB,
and
Sasken.
?
?
29 December 2006
25

Model Portfolio
MOST MODEL PORTFOLIO
SECTOR WEIGHT /
PORTFOLIO PICKS
BSE-100
MOST
WEIGHT
WEIGHT RELATIVE
TO BSE-100
EFFECTIVE SECTOR
STANCE
Banks
ICICI Bank
PNB
Bank of Baroda
IDFC
Federal Bank
Information Technology
Wipro
Infosys
TCS
Sasken
Auto
Maruti Udyog
Mahindra & Mahindra
Tata Motors
Telecom
Bharti Airtel
Reliance Comm
Engineering/Infrastrcuture
L&T
Patel Engineering
HCC
Oil & Gas
ONGC
HPCL
Cement
Gujarat Ambuja
Grasim Industries
Shree Cement
FMCG
ITC
Hindustan Lever
Pharmaceuticals
Ranbaxy Labs
Nicholas
Petrochemicals
Reliance Inds.
Metals
Hindalco
SAIL
Utilities
Reliance Energy
Others
Cash
Total
15.6
6.7
0.6
0.4
0.4
0.0
16.1
1.5
8.3
2.0
0.0
7.4
0.9
1.5
1.7
7.0
3.5
2.8
7.9
3.1
0.0
0.0
5.2
3.1
0.4
4.5
1.3
1.6
0.0
7.1
3.9
2.0
4.6
0.9
0.2
8.6
8.2
4.3
1.3
0.5
3.9
0.7
8.0
0.0
100.00
17.0
6.0
3.0
3.0
3.0
2.0
15.0
5.0
4.0
4.0
2.0
12.0
4.0
4.0
4.0
10.0
6.0
4.0
9.0
5.0
2.0
2.0
8.0
6.0
2.0
7.0
3.0
2.0
2.0
6.0
4.0
2.0
4.0
3.0
1.0
6.0
6.0
4.0
2.0
2.0
2.0
2.0
0.0
0.0
100.0
1.4
-0.7
2.4
2.6
2.6
2.0
-1.1
3.5
-4.3
2.0
2.0
4.6
3.1
2.5
2.3
3.0
2.5
1.2
1.1
1.9
2.0
2.0
2.8
2.9
1.6
2.5
1.7
0.4
2.0
-1.1
0.1
0.0
-0.6
2.1
0.8
-2.6
-2.2
-0.3
0.7
1.5
-1.9
1.3
-8.0
Overweight
Buy
Buy
Buy
Buy
Not Rated
Neutral
Buy
Buy
Buy
Buy
Overweight
Buy
Buy
Buy
Overweight
Buy
Buy
Overweight
Neutral
Buy
Buy
Overweight
Buy
Buy
Overweight
Buy
Buy
Buy
Neutral
Buy
Buy
Overweight
Buy
Buy
Neutral
Neutral
Neutral
Buy
Buy
Underweight
Buy
Underweight
#
#
# Refers to Sectors where the Analyst stance is different from the Effective Stance.
29 December 2006
26

MOSt Universe
ANNUAL PERFORMANCE - MOST UNIVERSE
SECTOR
Y/E MARCH
FY06
SALES
FY07E
FY08E CH. (%)*
FY06
EBITDA
FY07E
FY08E CH. (%)*
FY06
NET PROFIT
FY07E
(RS BILLION)
FY08E CH. (%)*
Auto (11)
706
872
997
23.6
94
114
134
21.8
61
77
Banks (18)
547
633
765
15.7
384
431
525
12.1
181
209
Cement (6)
182
267
307
46.6
38
85
108 126.0
21
55
Engineering (9)
480
617
776
28.5
63
88
112
38.1
45
63
FMCG (11)
363
427
487
17.7
74
86
102
16.3
53
62
IT (14)
501
713
948
42.1
130
179
234
38.4
102
147
Infrastructure (6)
106
148
206
39.5
14
21
30
56.0
7
12
Media (1)
14
17
22
22.7
3
3
5
22.4
2
3
Metals (6)
698
914
923
31.0
210
266
255
26.4
121
160
Oil Gas & Petchem (9)
5,183 6,727 5,357
29.8
632
740
757
17.1
342
386
Pharma (17)
270
345
403
27.8
44
67
83
54.5
34
45
Retail (3)
39
62
94
57.6
4
5
8
42.3
2
3
Telecom (3)
262
377
540
43.9
77
140
206
81.0
33
71
Textiles (7)
83
102
121
22.7
15
19
23
21.5
7
8
Utilities (6)
424
505
600
19.0
117
138
160
18.1
74
90
Others (2)
42
52
62
23.1
12
15
18
26.8
7
10
MOSt (129)
9,903 12,779 12,607
29.0 1,910 2,398 2,761
25.5 1,092 1,402
MOSt Excl. Banks (111)
9,356 12,147 11,842
29.8 1,526 1,967 2,236
28.9
911 1,192
MOSt Excl.Oil & Gas (120)
4,719 6,052 7,250
28.2 1,278 1,658 2,003
29.7
750 1,016
MOSt Excl. Banks & Oil (102)
4,173 5,419 6,485
29.9
894 1,227 1,478
37.3
570
807
NM - Not Meaningful; * Growth FY07 over FY06; For Banks : Sales = Net Interest Income, EBITDA = Operating Profits
89
253
68
81
76
189
17
4
152
397
59
4
106
10
98
12
1,615
1,362
1,218
966
24.7
15.9
162.5
40.8
18.1
44.7
66.5
30.9
31.9
13.0
33.5
32.4
117.4
11.2
22.0
34.2
28.4
30.9
35.4
41.6
VALUATIONS - MOST UNIVERSE
SECTOR
P/E
(X)
(NO. OF COMPANIES)
FY06
FY07E
FY08E
FY06
EV/EBITDA
(X)
FY07E
FY08E
P/BV
(X)
FY06
FY07E
FY06
ROE
(%)
FY07E
FY08E
DIV.
YLD (%)
EARN.
CAGR
FY06 (FY08-06)
Auto (11)
Banks (18)
Cement (6)
Engineering (9)
FMCG (11)
IT (14)
Infrastructure (6)
Media (1)
Metals (6)
Oil Gas & Petchem (9)
Pharma (17)
Retail (3)
Telecom (3)
Textiles (7)
Utilities (6)
Others (2)
MOSt (129)
MOSt Excl. Banks (111)
MOSt Excl.Oil & Gas (120)
MOSt Excl. Banks & Oil (102)
N.M. - Not Meaningful
24.0
17.5
41.9
36.5
30.4
42.9
51.8
58.8
9.4
13.7
34.7
58.5
69.5
13.5
19.9
27.1
22.7
23.7
26.8
29.7
19.3
15.1
16.0
25.9
25.8
29.6
31.1
44.9
7.1
12.2
26.0
44.2
32.0
12.2
16.3
20.2
17.7
18.1
19.8
21.0
16.6
12.5
12.9
20.2
21.3
23.0
22.0
30.5
7.5
11.8
19.8
28.2
21.5
9.5
15.1
16.7
15.4
15.9
16.5
17.5
14.4
N.M.
22.4
24.7
21.0
32.4
29.7
48.3
5.6
8.1
28.6
33.8
30.4
9.3
11.5
16.1
N.M.
14.2
N.M.
18.6
11.4
N.M.
10.1
17.6
17.8
23.3
18.8
39.7
4.1
6.8
18.0
24.3
17.1
8.5
9.8
12.1
N.M.
10.9
N.M.
13.4
9.4
N.M.
7.9
13.7
14.7
17.4
14.3
24.1
3.8
6.5
14.3
15.7
11.7
7.6
8.9
9.9
N.M.
9.5
N.M.
11.0
5.9
3.0
8.1
9.9
9.8
12.6
7.8
4.8
2.6
3.1
7.3
11.0
8.4
1.5
2.3
6.7
4.7
5.1
5.3
6.2
4.8
2.5
6.0
7.9
8.5
9.2
4.4
4.4
2.0
2.6
5.7
9.2
6.7
1.4
2.0
5.2
3.8
4.1
4.3
5.0
24.5
17.1
19.4
27.2
32.2
34.1
15.0
8.2
27.7
22.7
20.9
18.8
16.9
10.9
11.4
24.6
20.5
21.4
19.8
20.8
25.1
16.6
37.8
30.5
32.9
35.8
14.0
9.9
27.4
23.1
21.8
20.8
23.4
11.1
12.5
25.7
21.6
22.9
21.7
23.6
24.3
17.6
34.8
31.5
34.2
34.4
15.7
12.9
21.2
20.3
24.0
21.6
27.0
12.8
12.4
25.1
21.0
21.8
21.8
23.3
1.3
1.3
0.7
0.9
1.8
0.8
0.3
0.3
2.1
2.2
1.0
0.3
0.1
1.4
2.0
0.7
1.3
1.3
1.1
1.0
20.3
18.2
80.0
34.4
19.6
36.4
53.4
38.8
12.0
7.7
32.4
44.0
79.9
19.3
14.9
27.4
21.6
22.3
27.4
30.2
Source: Motilal Oswal Securities
29 December 2006
27

MOSt Universe
3QFY07: strong performance continues
We expect 3QFY07 to be yet another quarter of very strong corporate performance. We
forecast revenue growth at 20% YoY for our Universe of 129 companies. EBITDA would
grow at 36.7% YoY, resulting in a margin expansion of 230bp. Excluding Banks, EBITDA
growth would be 42% YoY, and margins would expand by 240bp. Net profit growth for
our Universe would be 46.1%, primarily driven by Oil marketing companies. Excluding
them, the profit growth would be 30%. The key sectors driving growth during the quarter
would be Telecom, Metals, IT and Cement.
QUARTER-WISE SALES GROWTH (YOY)
QUARTER-WISE NET PROFIT GROWTH (YOY)
40%
30.3%
30%
21.5%
20%
10%
0%
Mar-06
June-06
35.2%
50%
40%
20.1%
45.2%
46.1%
30%
21.0%
20%
10%
Sep- 06
Dec-06
19.6%
Mar-06
June-06
Sep- 06
Dec-06
Source: Motilal Oswal Securities
QUARTERLY PERFORMANCE - MOST UNIVERSE
SECTOR
(NO. OF COMPANIES)
DEC.05
SALES
DEC.06
CHG. (%)
DEC.05
EBITDA
DEC.06
CHG. (%)
DEC.05
NET PROFIT
DEC.06
(RS MILLION)
CHG. (%)
Auto (11)
Banks (18)
Cement (6)
Engineering (9)
FMCG (11)
IT (14)
Infrastructure (6)
Media (1)
Metals (6)
Oil Gas & Petchem (9)
Pharma (17)
Retail (3)
Telecom (3)
Textiles (7)
Utilities (6)
Others (2)
MOSt (129)
MOSt Excl. Banks (111)
MOSt Excl.Oil & Gas (120)
MOSt Excl. Banks & Oil (102)
MOSt Excl Metals & Oil (114)
179,709
137,594
47,024
112,031
95,937
130,905
26,381
3,777
162,781
70,318
10,310
69,941
20,292
112,912
10,205
221,399
150,933
70,198
144,248
114,133
185,454
35,460
4,355
211,038
90,640
14,850
99,235
23,200
132,304
12,456
23.2
9.7
49.3
28.8
19.0
41.7
34.4
15.3
29.6
13.8
28.9
44.0
41.9
14.3
17.2
22.1
20.1
20.7
26.9
29.1
26.4
25,071
92,089
8,710
14,584
20,516
35,186
3,804
365
45,968
102,323
10,948
874
21,730
4,029
25,645
2,698
414,539
322,450
312,216
220,127
266,248
29,110
108,549
22,734
18,772
24,002
47,080
5,244
987
69,826
148,337
17,079
1,145
36,945
4,459
29,116
3,302
566,687
458,138
418,351
309,801
348,525
16.1
17.9
161.0
28.7
17.0
33.8
37.9
170.1
51.9
45.0
56.0
31.0
70.0
10.7
13.5
22.4
36.7
42.1
34.0
40.7
30.9
15,785
46,817
4,254
9,987
14,358
26,784
1,745
317
24,131
44,776
8,666
431
10,054
1,654
17,163
1,600
228,523
181,706
183,747
136,930
159,615
19313
54556
13911
12928
17196
38662
2793
874
41732
75908
11791
584
18727
1741
21128
2010
333,855
279,299
257,946
203,391
216,215
22.4
16.5
227.0
29.5
19.8
44.3
60.0
175.3
72.9
69.5
36.1
35.6
86.3
5.3
23.1
25.6
46.1
53.7
40.4
48.5
35.5
1,282,884 1,459,550
2,473,001 2,969,454
2,335,406 2,818,521
1,190,117 1,509,904
1,052,523 1,358,971
1,027,335 1,298,866
Source: Motilal Oswal Securities
29 December 2006
28

MOSt Universe
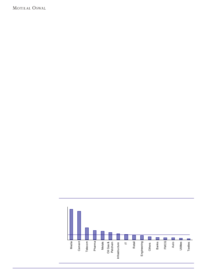
Cement would be the fastest
growing sector, followed by
Retail and Telecom
Sales to jump by 20% YoY
?
We expect our Universe of 129 companies to show revenue growth of 20% YoY in
3QFY07, which would be robust across sectors. The highlight of the quarter is strong
growth in Cement sector due to higher realizations and Telecom sector due to strong
subscriber additions.
?
Cement would be the fastest growing sector with a revenue growth of 49.3% YoY,
driven by a ~11% volume growth and ~45% growth in realizations. We expect revenue
growth of over 50% in all cement majors except Grasim Industries, which should
report 33.3% revenue growth due to lower growth in its other businesses. Shree Cement
is likely to report revenue growth of 141.2% due to very high volume growth.
?
Telecom sector is expected to witness revenue growth of 41.9% on the back of strong
addition to the wireless subscriber base. Revenue for the sector is likely to grow at
41.9% YoY, with Bharti leading the pack with a revenue growth of 66.1% YoY followed
by Reliance Communication at 30.1% YoY.
?
IT sector is expected to record revenue growth of 41.7% YoY driven by strong volume
growth. Tech Mahindra is likely to post a revenue growth of 131% YoY while the
large caps like Infosys, Wipro and TCS are expected to grow at a brisk pace in the
range of 40-45%.
?
We expect Infrastructure sector to witness revenue growth of 34.4% YoY, with all
companies under coverage reporting strong growth of 40% plus except for Jaiprakash
Associates (20% YoY) and Hindustan Construction (29.2% YoY). The strong revenue
growth would be on the back of robust order backlog and large number of projects
entering the execution phase. Patel Engineering will lead the pack with a revenue
growth of 50% YoY followed by IVRCL and Nagarjuna, with 45% YoY growth in
revenues. We expect Gammon India to report revenue growth of 40% YoY.
?
Metals sector is likely to report revenue growth of 29.6% YoY, on the back of strong
metal prices. Engineering sector is expected to report robust revenue growth of 28.8%
YoY due to strong order backlog and faster execution.
?
Oil & Gas would show revenue growth of 14% YoY, driven by strong revenue growth
of 46% YoY for Reliance Industries. IPCL, BPCL and Indraprastha Gas are expected
to grow at 15% plus while HPCL and IOC is likely to record a revenue growth of
~10%.
SECTORAL SALES GROWTH - QUARTER ENDED DECEMBER 2006 (%)
53
41
29
17
5
MOSt Universe Sales Growth = 20.1%
Source: Motilal Oswal Securities
29 December 2006
29

MOSt Universe
Media and Cement
would show the highest
EBITDA jump
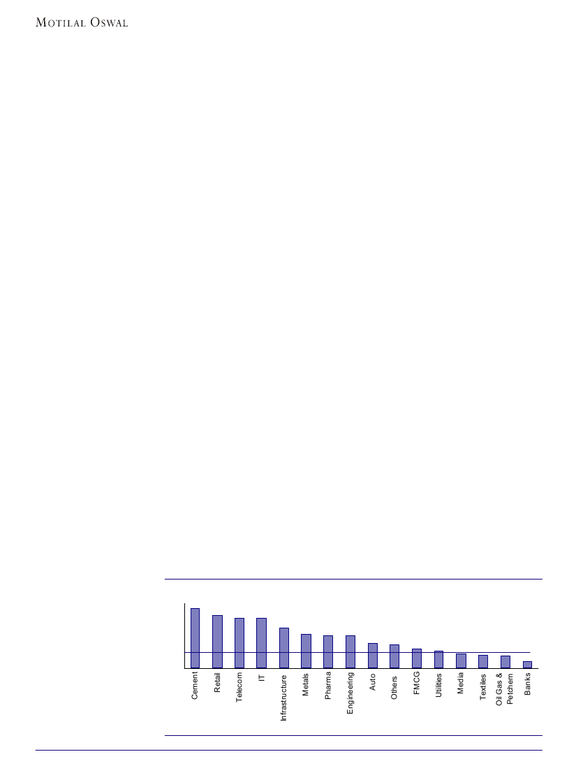
EBITDA margins to expand 230bp, largely driven by Cement
?
We expect overall EBITDA growth of 36.7%, driven largely by 161% growth in
Cement, 45% growth in Oil & Gas, 70% growth in Telecom, 56% growth in Pharma
and 52% growth in Metals. Overall EBITDA margins are expected to expand by
230bp, primarily due to margin expansion of 1,390bp for Cement to 32.4% in 3QFY07
and 620bp increase in Telecom to 37.2%. The margin expansion for Metals would be
480bp, followed by Pharma at 330bp and Oil & Gas at 220bp. Excluding Banks, EBITDA
would grow at 42% YoY, and margins would expand by 240bp. Sectors to witness
margin decline would be IT, Auto, Retail, Textiles and Utilities.
?
Cement sector will witness a strong jump in EBITDA due to significantly higher
realizations. We also expect cost pressures to stabilize in 3QFY07, providing further
impetus to margins.
?
Pharma sector is likely to record a strong EBITDA growth of 56% on the back of
operational leverage, acquisitions and low base effect. Metals sector is also likely to
report strong EBITDA growth of 51.9% driven by firm metals prices across the globe.
For Oil & Gas too, EBITDA growth would be strong at 45%YoY, largely a result of oil
marketing companies returning to profits from losses of last year.
?
Banks would report a growth of 17.9% at EBITDA level, driven by 500bp margin
expansion and strong credit offtake. PNB would lead the pack, with EBITDA growth
of 55.3% YoY while HDFC Bank and ICICI Bank would grow at 40% plus.
?
Infrastructure sector is expected to record EBITDA growth of 37.9% YoY, as most of
the projects would enter into the revenue recognition phase and margins thereon would
be recognized.
?
IT and Auto sector would witness margin decline of 150bp and 80bp, respectively. For
IT, the appreciating Rupee v/s Dollar is likely to impact EBITDA margin. In Auto, the
margin pressure for two-wheeler companies resulting from higher raw material cost
would result in lower EBITDA growth of 16.1% for the sector v/s revenue growth of
23.2% YoY. Bajaj Auto is likely to record EBITDA growth of 3% YoY while Hero
Honda is expected to record de-growth of 12.5% YoY. All the 4-wheelers companies
will record impressive growth.
SECTORAL EBITDA GROWTH - QUARTER ENDED DECEMBER 2006 (%)
185
140
95
50
5
MOSt Universe EBITDA Growth = 36.7%
Source: Motilal Oswal Securities
29 December 2006
30

MOSt Universe
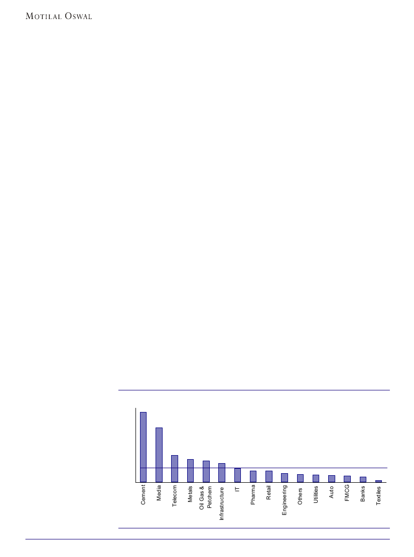
Net profit to grow by 46% YoY
?
We expect overall PAT to grow robustly at 46.1% YoY in 3QFY07, driven by 227%
growth in Cement, 86.3% in Telecom and aided by strong growth of 60% plus in
Metals, Oil & Gas and Infrastructure. Excluding Oil marketing companies, the PAT
growth in 3QFY07 will be 30%. For the Sensex companies, we expect profit growth
of 28%.
Cement and Media would
?
Cement would be the fastest growing sector, with PAT growth of 227% YoY followed
witness the fastest net profit
by Media at 175.3%. The growth in Cement sector would stem from strong prices.
growth in our universe
Both ACC and Gujarat Ambuja will report ~250% growth in profits. Media sector is
expected to register a positive PAT growth of 175.3% YoY, represented by Zee
Telefilms. This would be on the back of strong growth in content and improved pricing.
?
Other large contributors to PAT growth would be Telecom (86.3% YoY), Metals
(72.9% YoY), Oil & Gas (69.5% YoY) and Infrastructure (60% YoY). Reliance
Communication would lead the Telecom pack, with PAT growth of 121.7% followed
closely by Bharti with a PAT growth of 99.2%. In Metals, JSW Steel would lead the
pack with a PAT growth of 257.1% YoY followed by SAIL and Hindalco with 100%
plus PAT growth. Barring Refineries, which are expected to report profit (v/s loss in
3QFY06) during the quarter, the major contributory to the PAT growth would be
Chennai Petroleum, with PAT growth of 63.7% YoY. In Infrastructure, Jaiprakash
Associates would lead the pack, with a PAT growth of 106.1% YoY.
?
For IT, PAT would grow by 40% YoY, driven by strong volume growth. Pharma
sector is likely to record a PAT growth of 36.1% YoY, followed by Retail at 35.6%
YoY. Auto sector is expected to report a muted growth of 22.4% YoY primarily driven
by PAT de-growth in Eicher Motors (-41.7% YoY) and Hero Honda (-9.6% YoY).
Ashok Leyland is expected to lead the pack with a strong 70.9% YoY PAT growth.
No sector is expected to
?
No sector is expected to report a negative PAT growth. Engineering is likely to record
report a negative
PAT growth of 29.5% YoY while FMCG sector would report PAT growth of 19.8%
PAT growth
largely in line with the revenue growth. This would be driven by volume growth and
selective price increases.
SECTORAL NET PROFIT GROWTH - QUARTER ENDED DECEMBER 2006 (%)
240
180
120
60
0
MOSt Universe Net Profit Growth =46.1%
Source: Motilal Oswal Securities
29 December 2006
31

MOSt Universe
QUARTERLY PERFORMANCE - MOST UNIVERSE
SECTOR
(NO. OF COMPANIES)
DEC.05
EBITDA MARGIN (%)
DEC.06
CHG. (%)
DEC.05
NET PROFIT MARGIN (%)
DEC.06
CHG. (%)
Auto (11)
Banks (18)
Cement (6)
Engineering (9)
FMCG (11)
IT (14)
Infrastructure (6)
Media (1)
Metals (6)
Oil Gas & Petchem (9)
Pharma (17)
Retail (3)
Telecom (3)
Textiles (7)
Utilities (6)
Others (2)
MOSt (129)
MOSt Excl. Banks (111)
MOSt Excl.Oil & Gas (120)
MOSt Excl. Banks & Oil (102)
MOSt Excl Metals & Oil (114)
14.0
66.9
18.5
13.0
21.4
26.9
14.4
9.7
28.2
8.0
15.6
8.5
31.1
19.9
22.7
26.4
16.8
13.8
26.2
20.9
25.9
13.1
71.9
32.4
13.0
21.0
25.4
14.8
22.7
33.1
10.2
18.8
7.7
37.2
19.2
22.0
26.5
19.1
16.3
27.7
22.8
26.8
-0.8
5.0
13.9
0.0
-0.4
-1.5
0.4
13.0
4.8
2.2
3.3
-0.8
6.2
-0.6
-0.7
0.1
2.3
2.4
1.5
1.9
0.9
8.8
34.0
9.0
8.9
15.0
20.5
6.6
8.4
14.8
3.5
12.3
4.2
14.4
8.1
15.2
15.7
9.2
7.8
15.4
13.0
15.5
8.7
36.1
19.8
9.0
15.1
20.8
7.9
20.1
19.8
5.2
13.0
3.9
18.9
7.5
16.0
16.1
11.2
9.9
17.1
15.0
16.6
-0.1
2.1
10.8
0.0
0.1
0.4
1.3
11.7
5.0
1.7
0.7
-0.2
4.5
-0.6
0.8
0.5
2.0
2.1
1.6
2.0
1.1
Source: Motilal Oswal Securities
EBITDA MARGIN GROWTH - QUARTER ENDED DECEMBER 2006 (%)
NET PROFIT MARGIN GROWTH - QUARTER ENDED DECEMBER 2006 (%)
16
11
6
1
-4
MOSt Universe EBITDA Margin Growth = 230bp
13
9
5
1
-3
MOSt Universe Net Profit Margin Growth = 200bp
Source: Motilal Oswal Securities
SECTORAL CONTRIBUTION TO GROWTH IN SALES, EBITDA AND NET PROFIT (%)
SECTOR
CONTRIBUTION
TO SALES GR.
SECTOR
CONTRIBUTION
TO EBITDA GR.
SECTOR
CONTRIBUTION
TO NP GR.
Oil Gas & Petchem (9)
IT (14)
Metals (6)
Auto (11)
Engineering (9)
Telecom (3)
Cement (6)
Pharma (17)
Utilities (6)
FMCG (11)
Banks (18)
Infrastructure (6)
Retail (3)
Textiles (7)
Others (2)
Media (1)
35.6
11.0
9.7
8.4
6.5
5.9
4.7
4.1
3.9
3.7
2.7
1.8
0.9
0.6
0.5
0.1
Oil Gas & Petchem (9)
Metals (6)
Banks (18)
Telecom (3)
Cement (6)
IT (14)
Pharma (17)
Engineering (9)
Auto (11)
FMCG (11)
Utilities (6)
Infrastructure (6)
Media (1)
Others (2)
Textiles (7)
Retail (3)
30.2
15.7
10.8
10.0
9.2
7.8
4.0
2.8
2.7
2.3
2.3
0.9
0.4
0.4
0.3
0.2
Oil Gas & Petchem (9)
29.6
Metals (6)
16.7
IT (14)
11.3
Cement (6)
9.2
Telecom (3)
8.2
Banks (18)
7.3
Utilities (6)
3.8
Auto (11)
3.3
Pharma (17)
3.0
Engineering (9)
2.8
FMCG (11)
2.7
Infrastructure (6)
1.0
Media (1)
0.5
Others (2)
0.4
Retail (3)
0.1
Textiles (7)
0.1
Source: Motilal Oswal Securities
29 December 2006
32

MOSt Universe
Scoreboard (quarter ended December 2006)
TOP 10 BY SALES GROWTH (%)
WORST 10 BY SALES GROWTH (%)
160%
130%
100%
70%
40%
0%
-4%
-8%
-12%
-16%
TOP 10 BY EBITDA GROWTH (%)
WORST 10 BY EBITDA GROWTH (%)
930%
710%
490%
270%
50%
0%
-8%
-16%
-24%
-32%
TOP 10 BY NET PROFIT GROWTH (%)
WORST 10 BY NET PROFIT GROWTH (%)
800%
600%
400%
200%
0%
0%
-15%
-30%
-45%
-60%
Matrix: Excluding DocPharma
Source: Motilal Oswal Securities
29 December 2006
33

THIS SPACE IS INTENTIONALLY LEFT BLANK
Note:
In our quarterly performance tables, our four-quarter numbers may not always add up to the full-year numbers. This is because of
differences in classification of account heads in the company’ quarterly and annual results or because of differences in the way we
s
classify account heads as opposed to the company.
29 December 2006
34

MOSt Universe
Ready reckoner: valuations
CMP (RS)
29.12.06
RECO
FY06
EPS (RS)
FY07E
FY08E
FY06
P/E (X)
FY07E
FY08E
EV/EBITDA
FY06
FY07E
FY08E
FY06
ROE (%)
FY07E
FY08E
Automo biles
Ashok Leyland
Bajaj Auto
Bharat Forge
Eicher Motors
Hero Honda
Mahindra & Mahindra
Maruti Udyog
Punjab Tractors
Swaraj Mazda
Tata Motors
TVS Motor
Sector Aggregate
Cement
ACC
Birla Corporation
Grasim Industries
Gujarat Ambuja
Shree Cement
UltraTech Cement
Sector Aggregate
Engineering
ABB
Alstom Projects
Bharat Electronics
BHEL
Crompton Greaves
Cummins India
Larsen & Toubro
Siemens
Thermax
Sector Aggregate
FMCG
Asian Paints
Britannia
Colgate
Dabur
GSK Consumer
Godrej Consumer
HLL
ITC
Marico
Nestle
Tata Tea
Sector Aggregate
734
1,092
389
147
557
150
217
176
540
1,136
720
Buy
Buy
Neutral
Neutral
Buy
Neutral
Buy
Buy
Buy
Neutral
Neutral
23.1
61.3
11.4
4.0
25.5
5.3
6.0
6.1
18.0
34.1
53.2
27.9
46.2
14.3
5.0
30.0
6.3
7.1
7.3
23.0
35.7
58.3
33.6
61.6
16.3
6.4
35.7
8.7
8.7
8.8
29.0
44.0
64.4
31.8
17.8
34.1
37.1
21.9
28.4
36.4
29.0
30.0
33.3
13.5
30.4
26.3
23.6
27.2
29.5
18.6
23.7
30.6
24.0
23.5
31.9
12.3
25.8
21.8
17.7
23.9
23.1
15.6
17.2
24.8
20.1
18.6
25.8
11.2
21.3
19.3
11.2
23.7
29.0
12.7
24.3
31.4
18.5
22.9
20.7
9.1
21.0
15.8
14.1
20.7
23.2
10.7
18.8
26.0
15.7
14.2
19.5
8.2
17.8
13.0
10.1
17.5
18.6
8.9
14.0
20.9
13.0
11.5
16.5
7.5
14.7
35.0
25.8
57.1
45.6
22.6
151.6
56.8
25.2
39.9
58.6
17.0
32.2
35.5
19.1
63.7
46.7
22.7
129.6
57.9
26.4
42.0
54.0
16.4
32.9
34.9
21.2
63.3
46.3
23.2
129.1
61.9
27.3
39.3
58.4
15.9
34.2
3,712
462
1,343
2,298
209
278
1,443
1,134
387
Neutral
Neutral
Buy
Buy
Buy
Neutral
Neutral
Neutral
Buy
51.6
7.0
72.9
68.5
8.9
9.3
36.4
23.6
8.6
79.0
11.2
85.6
93.4
7.9
12.4
57.7
33.4
16.2
108.0
16.0
104.8
118.0
9.7
16.6
71.9
47.8
23.1
71.9
65.7
18.4
33.5
23.6
29.9
39.7
48.0
45.0
36.5
47.0
41.3
15.7
24.6
26.6
22.3
25.0
34.0
24.0
25.9
34.4
28.9
12.8
19.5
21.6
16.7
20.1
23.7
16.8
20.2
47.9
62.1
9.4
20.4
33.4
20.7
36.8
28.5
22.9
24.7
31.5
36.2
7.7
14.6
22.1
14.4
23.8
21.0
14.9
17.6
21.9
25.9
6.0
11.4
17.3
10.4
19.1
15.3
11.0
13.7
26.9
16.1
28.6
25.2
42.3
22.7
19.6
37.4
30.7
27.2
32.0
23.5
26.6
27.8
32.4
26.9
23.2
41.7
39.8
30.5
33.0
29.3
26.0
28.0
32.8
30.2
23.0
47.0
40.5
31.5
1,086
337
2,789
141
1,457
1,097
Neutral
Buy
Buy
Buy
Buy
Buy
22.6
16.3
113.2
4.1
8.7
18.1
59.8
40.4
209.3
9.5
100.5
65.2
79.3
48.8
230.9
12.3
145.7
79.7
48.1
20.6
24.6
34.3
167.6
60.7
41.9
18.1
8.3
13.3
14.8
14.5
16.8
16.0
13.7
6.9
12.1
11.4
10.0
13.8
12.9
38.5
14.7
16.8
20.0
24.9
26.2
22.4
12.7
4.7
9.8
10.4
8.8
9.7
10.1
8.9
3.5
8.8
7.5
5.8
8.1
7.9
19.8
32.7
21.4
27.0
10.3
22.3
19.4
35.7
48.1
29.3
52.6
79.5
57.4
37.8
34.6
38.9
25.0
50.7
63.9
44.4
34.8
45
2,619
363
364
762
906
927
250
328
900
87
Buy
Neutral
Buy
Neutral
Neutral
Buy
Buy
Neutral
Neutral
Buy
Neutral
2.5
108.9
9.9
18.0
48.6
37.8
41.9
11.9
15.9
42.9
4.5
3.0
127.9
14.5
23.4
48.1
53.8
54.3
14.9
14.1
57.2
4.8
3.6
155.2
17.7
27.8
55.9
65.1
63.0
16.7
18.2
66.0
6.0
18.4
24.1
36.7
20.2
15.7
24.0
22.1
21.0
20.6
21.0
19.3
24.0
14.9
20.5
25.0
15.6
15.8
16.8
17.1
16.7
23.2
15.7
18.1
19.3
12.7
16.9
20.5
13.1
13.6
13.9
14.7
14.9
18.0
13.6
14.6
16.6
10.7
16.2
22.3
11.7
9.7
24.4
12.9
11.9
12.7
13.9
10.2
14.4
8.2
14.2
15.9
6.6
10.2
16.3
10.0
10.2
13.0
9.8
9.5
11.4
6.5
11.1
12.3
4.7
8.3
14.1
8.1
8.9
11.5
8.6
8.1
9.4
21.4
23.6
17.6
11.3
48.3
22.3
22.2
12.7
25.2
25.8
14.0
24.5
24.7
23.0
19.6
13.1
38.6
25.2
22.9
14.4
20.5
28.7
13.5
25.1
25.7
23.4
20.3
13.9
37.4
23.8
21.5
14.6
23.2
26.4
14.9
24.3
PULL OUT
29 December 2006
35

MOSt Universe
Ready reckoner: valuations
CMP (RS)
29.12.06
RECO
FY06
EPS (RS)
FY07E
FY08E
FY06
P/E (X)
FY07E
FY08E
EV/EBITDA
FY06
FY07E
FY08E
FY06
ROE (%)
FY07E
FY08E
Information Technology
Geometric Software
120
Hexaware
200
HCL Technologies
649
i-flex solutions
1,948
Infosys
2,241
Infotech Enterpr
321
KPIT Cummins Inf
694
MphasiS
303
Patni Computer
418
Sasken Comm
536
Satyam Computer
484
TCS
1,219
Tech Mahindra
1,670
Wipro
605
Sector Aggregate
Infrastructure
Gammon India
IVRCL Infra.
420
385
Hindustan Construction 147
Jaiprakash Associates 726
Nagarjuna Construction 215
Patel Engg.
Sector Aggregate
Media
Zee Telefilms
Metals
Hindalco
JSW Steel
Nalco
SAIL
Tata Steel
Sector Aggregate
Oil & Gas
BPCL
Chennai Petroleum
GAIL
HPCL
IOC
IPCL
Indraprastha Gas
ONGC
Reliance
Sector Aggregate
337
216
262
278
450
288
116
870
1,270
174
387
214
89
482
293
450
Buy
Buy
Neutral
Neutral
Buy
Buy
Buy
Neutral
Neutral
Buy
Neutral
Buy
Buy
Buy
4.0
7.2
21.9
28.7
44.6
10.1
22.4
9.3
21.8
10.6
15.1
29.6
22.6
14.2
6.3
9.6
29.0
45.0
68.2
16.9
33.5
7.3
24.6
17.9
21.0
41.7
44.3
19.3
9.1
12.0
35.7
59.7
87.5
21.9
40.7
10.8
30.7
31.0
25.3
53.2
58.5
25.1
30.1
27.6
29.6
67.8
50.2
31.7
31.0
32.6
19.2
50.4
32.0
41.2
73.8
42.5
42.9
43.6
44.7
44.3
61.4
42.3
31.1
51.8
19.2
20.7
22.4
43.3
32.9
19.0
20.7
41.7
17.0
29.9
23.1
29.2
37.7
31.3
29.6
30.9
31.8
35.4
33.4
24.1
25.5
31.1
44.9
7.8
10.5
5.1
6.3
7.5
6.8
7.1
9.7
7.7
10.7
9.6
13.1
7.3
12.3
9.8
18.5
12.2
13.2
16.7
18.1
32.6
25.6
14.7
17.1
28.1
13.6
17.3
19.1
22.9
28.6
24.1
23.0
20.3
18.8
21.9
27.4
15.5
18.4
22.0
30.5
6.9
10.8
4.3
7.8
8.1
7.8
7.5
7.6
6.8
8.9
7.9
10.0
8.8
10.4
10.6
18.0
11.8
14.8
23.2
19.7
51.1
38.9
21.1
23.5
23.8
10.1
27.7
24.5
32.0
72.0
32.5
32.4
23.8
23.6
41.9
31.3
28.2
26.9
29.7
48.3
8.9
8.1
6.1
4.6
4.9
4.6
5.6
11.4
4.1
5.6
16.0
8.0
4.0
7.7
5.8
13.6
8.1
10.7
16.3
14.2
33.3
26.8
13.4
14.6
24.2
9.4
17.8
18.4
23.8
28.5
24.4
23.3
18.6
17.6
21.6
19.2
17.3
17.0
18.8
39.7
5.8
6.7
3.7
3.1
3.7
3.7
4.1
6.3
3.9
6.0
7.6
7.8
2.6
6.2
4.7
12.0
6.8
7.4
13.1
11.0
23.1
19.9
9.9
11.4
17.2
7.0
10.7
14.0
18.2
20.8
17.7
17.4
12.7
12.1
15.7
16.0
12.0
12.5
14.3
24.1
4.8
6.6
2.7
2.7
3.8
3.6
3.8
5.2
4.3
4.2
6.0
6.7
2.5
4.8
4.8
11.3
6.5
17.2
29.8
19.7
17.6
40.4
25.1
26.3
43.8
16.8
11.3
25.8
62.1
38.2
29.9
34.1
9.0
13.6
19.5
14.2
16.6
44.6
15.0
8.2
16.9
30.8
14.6
27.1
30.7
39.5
27.7
6.7
22.4
24.8
4.7
15.5
27.7
29.9
29.8
25.8
22.7
21.2
23.2
24.1
20.2
44.2
31.0
29.3
27.2
15.5
12.6
28.0
53.8
48.4
30.7
35.8
11.5
10.9
10.1
15.1
18.1
23.2
14.0
9.9
22.3
26.8
23.8
29.2
29.1
30.4
27.4
14.1
17.6
19.7
10.8
11.0
27.2
31.6
31.1
28.1
23.1
23.2
19.4
26.4
19.8
40.2
30.0
26.9
32.5
16.6
18.7
27.2
46.5
42.2
30.9
34.4
15.2
14.0
14.3
14.2
24.0
18.7
15.7
12.9
20.5
20.9
22.7
19.9
22.4
20.7
21.2
16.3
17.9
21.1
12.3
12.8
20.3
30.8
24.4
23.4
20.3
Buy
Buy
Buy
Buy
Buy
Buy
9.6
3.3
8.7
11.8
5.1
14.4
13.6
4.6
10.9
21.7
8.9
17.7
20.6
7.8
17.6
26.5
13.9
24.5
Neutral
Buy
Buy
Buy
Buy
Buy
Buy
5.0
13.6
186.0
37.6
24.3
9.8
61.7
6.5
22.4
216.9
76.2
34.2
11.8
70.9
9.6
25.3
210.2
90.3
27.3
11.0
62.1
58.8
12.8
12.2
10.3
8.8
9.1
7.8
9.4
Jindal Steel & Power 2,268
Buy
Neutral
Neutral
Buy
Buy
Sell
Not Rated
Buy
Neutral
14.9
32.3
27.3
12.0
42.2
30.5
7.4
72.0
65.1
34.6
28.2
24.5
28.9
34.4
39.7
9.5
88.8
68.6
44.4
31.7
29.5
35.1
44.9
32.7
11.2
82.1
70.7
22.7
6.7
9.6
23.3
10.7
9.5
15.8
12.1
19.5
13.7
PULL OUT
29 December 2006
36

MOSt Universe
Ready reckoner: valuations
CMP (RS)
29.12.06
RECO
FY06
EPS (RS)
FY07E
FY08E
FY06
P/E (X)
FY07E
FY08E
EV/EBITDA
FY06
FY07E
FY08E
FY06
ROE (%)
FY07E
FY08E
Pharmaceuticals
Aurobindo Pharma
Aventis Pharma
Biocon
Cadila Health
Cipla
Divis Labs
Dr Reddy’ s Labs
GSK Pharma
Jubiliant Organosys
Lupin
Matrix
Nicholas Piramal
Pfizer
Ranbaxy Labs
Shasun Chemicals
Sun Pharma
Wockhardt
Sector Aggregate
Retailing
Pantaloon Retail
Shopper's Stop
Titan Industries
Sector Aggregate
Telecom
Bharti Airtel
Reliance Comm
VSNL
Sector Aggregate
Textiles
Alok Ind
Arvind Mills
Gokaldas Exports
Himatsingka Seide
Raymond
Vardhman Textiles
Welspun Ind
Sector Aggregate
Utilities
CESC
Neyveli Lignite Corp.
NTPC
PTC India
Reliance Energy
Tata Power
Sector Aggregate
705
1,352
372
351
251
3,056
811
1,164
241
612
209
265
763
392
110
979
350
Sell
Buy
Buy
Buy
Buy
Neutral
Buy
Buy
Buy
Buy
Neutral
Buy
Neutral
Buy
Buy
Buy
UR
11.9
69.6
17.4
13.0
8.1
54.6
8.9
36.2
8.6
21.4
8.9
6.1
27.7
5.8
7.6
27.7
17.7
31.8
76.3
17.2
18.4
9.3
87.3
25.0
42.3
11.6
25.9
6.7
10.1
38.1
9.5
-2.1
31.7
19.5
39.9
83.5
22.4
22.1
11.1
118.1
34.5
48.0
15.7
34.9
12.7
13.5
33.6
17.4
12.2
39.5
21.4
59.1
19.4
21.4
27.0
30.9
55.9
90.7
32.2
28.0
28.5
23.4
43.6
27.5
67.4
14.5
35.4
19.8
34.7
84.1
98.3
35.0
58.5
22.2
17.7
21.6
19.1
26.9
35.0
32.5
27.5
20.8
23.6
31.2
26.2
20.0
41.3
-53.0
30.9
17.9
26.0
47.2
60.9
36.4
44.2
29.8
35.9
32.9
32.0
8.8
20.0
14.3
20.8
12.9
9.7
11.0
12.2
12.5
9.2
17.8
20.5
14.5
20.0
16.3
17.7
16.2
16.6
15.9
22.7
25.9
23.5
24.3
15.3
17.6
16.4
19.7
22.7
22.5
9.1
24.8
16.4
19.8
28.2
54.0
23.9
28.2
20.3
22.3
30.8
21.5
6.6
13.2
11.4
13.4
10.7
8.4
8.4
9.5
11.1
9.1
16.5
13.6
12.8
17.3
15.1
27.8
12.4
16.3
16.1
29.8
34.8
94.0
20.8
18.5
24.0
32.1
29.1
15.6
52.6
8.7
37.0
14.2
28.6
42.1
49.2
22.6
33.8
28.4
40.0
13.6
30.4
10.0
7.4
11.3
15.6
11.4
7.1
11.6
9.3
7.0
7.3
12.0
17.6
9.0
15.4
11.5
13.5
11.1
14.3
11.8
20.3
22.4
19.5
18.5
11.0
17.0
23.7
16.8
12.4
19.9
8.6
28.7
11.0
18.0
24.2
33.9
20.7
24.3
17.1
17.8
13.3
17.1
7.9
8.5
9.1
17.4
8.1
7.5
9.5
8.5
7.5
3.7
10.9
21.5
6.9
11.8
9.8
11.2
9.1
11.2
9.8
16.6
17.4
16.9
15.6
8.1
13.4
16.0
13.3
13.5
13.9
6.1
21.8
8.8
14.3
14.5
24.9
14.5
15.7
11.5
12.2
10.9
11.7
6.7
8.2
7.6
9.4
6.6
7.9
8.4
7.6
7.3
4.1
9.7
13.2
4.9
10.7
8.9
8.6
31.6
19.6
25.4
30.8
22.4
6.2
32.3
19.6
31.0
17.1
17.4
22.0
8.9
23.0
42.1
29.5
20.9
12.2
8.6
45.7
18.8
29.5
8.2
9.1
16.9
9.9
9.5
23.5
11.2
8.3
22.4
9.2
10.9
5.8
9.9
12.3
17.5
10.7
9.2
11.4
21.3
28.2
16.9
28.8
21.7
29.1
15.3
26.8
21.9
32.2
10.0
21.0
26.0
14.3
19.3
38.0
26.0
21.8
17.5
12.6
37.2
20.8
35.7
20.9
6.2
23.4
12.6
3.6
19.2
9.9
9.1
17.5
10.0
11.1
6.0
12.4
13.5
16.0
10.7
9.3
12.5
21.3
25.6
18.8
27.3
21.4
30.9
18.2
25.6
23.0
33.6
16.9
25.1
20.8
23.2
23.7
37.1
23.9
24.0
19.3
12.8
32.6
21.6
36.4
26.0
6.1
27.0
14.9
5.4
20.2
14.3
9.5
17.6
12.0
12.8
6.0
11.6
13.5
21.2
10.6
11.9
12.4
401
682
859
Buy
Neutral
Neutral
4.8
6.9
24.5
8.5
11.2
23.6
14.2
12.6
35.9
629
471
424
Buy
Buy
Not Rated
12.0
2.2
16.8
21.1
13.1
12.9
31.0
21.2
13.8
52.5
217.1
25.2
69.5
68
52
609
123
400
275
85
Neutral
Neutral
Buy
Neutral
Buy
Buy
Neutral
5.5
6.1
35.4
5.0
22.2
30.7
5.4
7.8
2.6
42.7
5.9
31.0
28.3
7.8
10.3
3.9
53.4
9.2
37.3
32.9
10.1
12.3
8.5
17.2
24.7
18.1
9.0
15.7
13.5
318
56
136
57
520
560
Buy
Buy
Neutral
Buy
Buy
Buy
21.0
4.6
7.1
2.7
27.7
21.4
25.3
6.1
7.7
2.8
35.9
28.0
28.5
6.2
8.3
4.2
40.7
32.3
15.1
12.1
19.3
21.0
18.8
26.2
19.9
PULL OUT
29 December 2006
37

MOSt Universe
Ready reckoner: valuations
CMP (RS)
29.12.06
RECO
FY06
EPS (RS)
FY07E
FY08E
FY06
P/E (X)
FY07E
FY08E
EV/EBITDA
FY06
FY07E
FY08E
FY06
ROE (%)
FY07E
FY08E
Others
Concor
United Phosphorous
Sector Aggregate
Shasun: Excluding recent acquisition in Europe
2,132
300
Buy
Buy
77.3
10.7
102.4
14.8
118.9
19.5
27.6
28.0
27.1
20.8
20.2
20.2
17.9
15.4
16.7
18.4
12.8
16.1
13.8
9.5
12.1
11.5
7.5
9.9
26.6
21.0
24.6
28.4
21.2
25.7
26.4
22.8
25.1
CMP (RS)
29.12.06
RECO
FY06
EPS (RS)
FY07E
FY08E
FY06
P/E (X)
FY07E
FY08E
FY06
P/BV (X)
FY07E
FY08E
FY06
ROE (%)
FY07E
FY08E
Banks
Andhra Bank
Bank of Baroda
Bank of India
Canara Bank
Corporation Bank
HDFC Bank
HDFC
ICICI Bank
Indian Overseas Bank
J&K Bank
Karnataka Bank
Oriental Bank
Punjab National Bank
State Bank
Syndicate Bank
Union Bank
UTI Bank
Vijaya Bank
Sector Aggregate
87
240
208
276
346
1,070
1,625
890
111
620
151
227
507
1,246
75
123
469
47
Buy
Buy
Buy
Buy
Sell
Neutral
Neutral
Buy
Buy
Buy
Buy
Neutral
Buy
Buy
Neutral
Buy
Buy
Neutral
10.0
22.6
14.4
32.8
31.0
27.8
50.4
28.5
14.4
36.5
14.5
32.1
45.6
83.7
10.3
13.4
17.4
2.9
11.6
27.0
18.1
35.1
36.2
36.4
60.5
35.4
17.6
55.7
16.6
33.6
54.3
83.0
13.0
15.2
22.6
7.4
13.4
32.1
22.3
41.0
41.8
47.5
72.8
44.5
20.5
69.1
19.1
37.1
68.2
96.9
14.9
18.8
29.6
9.2
8.7
10.6
14.5
8.4
11.2
38.5
32.2
31.2
7.7
17.0
10.4
7.1
11.1
14.9
7.3
9.2
26.9
16.1
17.5
7.4
8.9
11.5
7.9
9.6
29.4
26.8
25.2
6.3
11.1
9.1
6.7
9.3
15.0
5.8
8.1
20.8
6.4
15.1
6.4
7.5
9.3
6.7
8.3
22.5
22.3
20.0
5.4
9.0
7.9
6.1
7.4
12.9
5.0
6.5
15.9
5.1
12.5
1.5
1.2
2.1
1.6
1.5
6.3
9.1
3.6
2.0
1.7
1.6
1.3
1.8
2.4
1.5
1.5
4.6
1.2
3.0
1.3
1.0
1.9
1.4
1.3
5.4
7.5
3.2
1.6
1.5
1.4
1.1
1.5
2.1
1.2
1.3
3.9
1.1
2.5
1.1
0.9
1.6
1.2
1.2
4.5
6.1
2.9
1.3
1.3
1.3
1.0
1.3
1.9
1.0
1.2
3.2
0.9
2.2
20.5
12.3
14.9
20.3
13.8
17.7
30.1
14.6
27.2
10.2
16.9
18.9
16.4
17.0
21.3
16.5
18.4
7.8
17.1
18.3
12.0
16.8
18.7
14.5
19.8
30.6
13.5
26.8
14.2
16.9
15.6
17.0
14.9
21.9
15.9
20.1
17.9
16.6
18.7
12.9
18.0
18.8
14.8
21.7
30.2
15.3
25.2
15.6
17.0
15.8
18.4
15.4
21.1
17.5
22.0
19.5
17.6
PULL OUT
29 December 2006
38

MOSt Universe
Ready reckoner: quarterly performance
CMP (RS)
29.12.06
RECO
DEC.05
SALES
DEC.06
CHG. (%)
DEC.05
EBITDA
DEC.06
CHG. (%)
DEC.05
NET PROFIT
DEC.06
CHG. (%)
Automobiles
Ashok Leyland
Bajaj Auto
Bharat Forge
Eicher Motors
Hero Honda
Mahindra & Mahindra
Maruti Udyog
Punjab Tractors
Swaraj Mazda
Tata Motors
TVS Motor
Sector Aggregate
Cement
ACC
Birla Corporation
Grasim Industries
Gujarat Ambuja
Shree Cement
UltraTech Cement
Sector Aggregate
Engineering
ABB
Alstom Projects
Bharat Electronics
BHEL
Crompton Greaves
Cummins India
Larsen & Toubro
Siemens
Thermax
Sector Aggregate
FMCG
Asian Paints
Britannia
Colgate
Dabur
GSK Consumer
Godrej Consumer
HLL
ITC
Marico
Nestle
Tata Tea
Sector Aggregate
734
1,092
389
147
557
150
217
176
540
1,136
720
Buy
Buy
Neutral
Neutral
Buy
Neutral
Buy
Buy
Buy
Neutral
Neutral
6,406
4,498
2,857
5,374
2,424
1,691
29,743
25,560
3,038
6,228
8,117
7,400
5,350
3,390
6,450
2,791
2,650
34,008
31,695
3,650
6,849
9,900
15.5
18.9
18.7
20.0
15.1
56.7
14.3
24.0
20.2
10.0
22.0
19.0
973
542
714
827
383
404
4,818
8,783
474
1,181
1,416
20,516
1,150
450
740
1,000
421
575
5,797
10,095
600
1,425
1,750
24,002
18.2
-17.0
3.7
20.9
9.9
42.3
20.3
14.9
26.5
20.7
23.6
17.0
606
390
583
661
214
361
4,312
5,368
359
780
723
14,358
706
333
553
812
244
460
4,950
7,039
385
972
742
17,196
16.4
-14.6
-5.1
22.8
13.9
27.4
14.8
31.1
7.2
24.7
2.6
19.8
3,712
462
1,343
2,298
209
278
1,443
1,134
387
Neutral
Neutral
Buy
Buy
Buy
Neutral
Neutral
Neutral
Buy
9,857
2,900
6,772
33,267
6,479
3,898
36,664
8,601
3,594
14,828
3,770
7,788
44,406
8,617
4,950
42,396
12,463
5,031
50.4
30.0
15.0
33.5
33.0
27.0
15.6
44.9
40.0
28.8
1,392
101
1,447
6,029
590
587
3,182
791
466
14,584
1,918
119
1,674
7,771
899
728
3,839
1,104
719
18,772
37.8
18.0
15.8
28.9
52.3
23.9
20.7
39.6
54.4
28.7
946
75
970
4,232
548
485
1,878
551
302
9,987
1,294
98
1,108
5,597
502
580
2,527
734
486
12,928
36.7
31.3
14.3
32.3
-8.2
19.7
34.6
33.2
60.9
29.5
1,086
337
2,789
141
1,457
1,097
Neutral
Buy
Buy
Buy
Buy
Buy
10,721
2,818
16,482
7,732
1,443
7,829
47,024
16,709
4,107
21,969
11,910
3,480
12,023
70,198
55.9
45.8
33.3
54.0
141.2
53.6
49.3
1,574
273
3,191
2,021
549
1,104
8,710
4,931
1,263
6,491
4,694
1,634
3,722
22,734
213.3
363.4
103.4
132.3
197.8
237.2
161.0
949
172
1,619
879
397
239
4,254
3,118
764
3,990
3,223
831
1,985
13,911
228.5
344.0
146.5
266.8
109.5
732.1
227.0
45
2,619
363
364
762
906
927
250
328
900
87
Buy
Neutral
Buy
Neutral
Neutral
Buy
Buy
Neutral
Neutral
Buy
Neutral
12,024
20,009
3,994
3,900
23,148
21,867
31,142
2,575
1,591
50,746
8,714
17,022
25,446
4,904
4,706
26,244
26,188
37,345
2,864
1,545
66,120
9,015
41.6
27.2
22.8
20.7
13.4
19.8
19.9
11.2
-2.9
30.3
3.5
23.2
1,161
3,581
986
174
3,781
2,636
5,085
365
78
6,617
607
25,071
1,668
3,690
1,285
259
3,307
3,457
5,863
412
93
8,463
613
29,110
43.7
3.0
30.2
48.5
-12.5
31.2
15.3
13.0
18.9
27.9
1.0
16.1
566
2,908
533
295
2,618
1,790
3,390
208
34
3,133
311
15,785
967
3107
711
172
2367
2572
3978
262
41
4818
318
19,313
70.9
6.8
33.5
-41.7
-9.6
43.6
17.3
26.2
19.8
53.8
2.4
22.4
179,709 221,399
112,031 144,248
95,937 114,133
PULL OUT
29 December 2006
39

MOSt Universe
Ready reckoner: quarterly performance
CMP (RS)
29.12.06
RECO
DEC.05
SALES
DEC.06
CHG. (%)
DEC.05
EBITDA
DEC.06
CHG. (%)
DEC.05
NET PROFIT
DEC.06
CHG. (%)
Infrastructure
Gammon India
Hindustan Construction
IVRCL Infra.
Jaiprakash Associates
Nagarjuna Construction
Patel Engg.
Sector Aggregate
Media
Zee Telefilms
Metals
Hindalco
Jindal Steel & Power
JSW Steel
Nalco
SAIL
Tata Steel
Sector Aggregate
Oil & Gas
BPCL
Chennai Petroleum
GAIL
HPCL
IOC
IPCL
Indraprastha Gas
ONGC
Reliance
Sector Aggregate
Pharmaceuticals
Aurobindo Pharma
Aventis Pharma
Biocon
Cadila Health
Cipla
Divis Labs
Dr Reddy’ s Labs
GSK Pharma
Jubiliant Organosys
Lupin
Matrix
Nicholas Piramal
Pfizer
Ranbaxy Labs
Shasun Chemicals
Sun Pharma
Wockhardt
Sector Aggregate
PULL OUT
705
1,352
372
351
251
3,056
811
1,164
241
612
209
265
763
392
110
979
350
Sell
Buy
Buy
Buy
Buy
Neutral
Buy
Buy
Buy
Buy
Neutral
Buy
Neutral
Buy
Buy
Buy
UR
4,090
1,929
1,993
3,696
7,806
1,080
5,898
3,177
4,234
4,269
3,406
4,026
1,535
14,291
993
4,236
3,659
70,318
4,855
2,346
2,378
4,428
9,319
1,495
14,013
3,298
5,246
5,065
3,945
5,987
1,362
16,029
1,123
5,131
4,618
90,640
18.7
21.6
19.4
19.8
19.4
38.5
137.6
3.8
23.9
18.6
15.8
48.7
-11.3
12.2
13.1
21.1
26.2
28.9
582
503
589
651
1,589
311
445
663
646
576
332
446
431
654
203
1,476
851
10,948
801
616
636
859
2,105
407
2,021
746
984
842
444
913
362
2,623
193
1,597
931
17,079
37.7
22.4
8.0
31.9
32.4
30.7
354.2
12.5
52.3
46.3
33.7
104.7
-16.0
301.1
-5.0
8.2
9.4
56.0
262
376
439
412
1,753
189
370
512
366
442
387
241
294
299
129
1,464
730
8,666
499
411
403
474
1,720
257
1,021
645
618
623
246
564
244
1,572
92
1,721
682
11,791
90.4
9.4
-8.2
15.0
-1.9
35.8
175.7
26.0
68.9
40.9
-36.6
134.1
-17.2
426.3
-28.8
17.5
-6.5
36.1
337
216
262
278
450
288
116
870
1,270
Buy
Neutral
Neutral
Buy
Buy
Sell
Not Rated
Buy
Neutral
201,569
65,377
44,455
199,306
442,936
21,430
1,370
124,761
181,680
233,524
69,725
41,879
217,391
485,816
24,920
1,581
119,294
265,420
15.9
6.7
-5.8
9.1
9.7
16.3
15.4
-4.4
46.1
-9,105
1,313
9,111
-8,796
1,608
4,240
582
73,611
29,760
1,946
1,500
7,500
3,141
15,816
5,880
660
71,244
40,650
-
14.3
-17.7
-
883.4
38.7
13.5
-3.2
36.6
45.0
-10,243
213
6,432
-10,778
-58
2,280
293
38,878
17,760
44,776
319
348
4,427
1,710
7,659
3,116
347
35,424
22,558
75,908
-
63.7
-31.2
-
-
36.7
18.3
-8.9
27.0
69.5
174
2,268
387
214
89
482
Buy
Buy
Buy
Buy
Buy
Buy
28,737
6,252
14,390
13,249
63,345
36,808
162,781
36,642
7,831
25,566
13,958
85,236
41,805
211,038
27.5
25.3
77.7
5.4
34.6
13.6
29.6
5,830
2,294
3,564
6,645
13,726
13,909
45,968
10,464
3,211
7,552
8,375
23,168
17,056
69,826
79.5
40.0
111.9
26.0
68.8
22.6
51.9
2,976
1,265
1,045
3,930
6,847
8,068
24,131
6,187
1,658
3,732
5,559
14,337
10,259
41,732
107.9
31.0
257.1
41.4
109.4
27.2
72.9
293
Neutral
3,777
4,355
15.3
365
987
170.1
317
874
175.3
420
147
385
726
215
450
Buy
Buy
Buy
Buy
Buy
Buy
3,350
4,557
4,083
7,970
4,724
1,697
26,381
4,690
5,889
5,920
9,564
6,850
2,547
35,460
40.0
29.2
45.0
20.0
45.0
50.1
34.4
486
486
344
1,670
457
361
3,804
506
598
533
2,520
667
420
5,244
4.2
23.0
55.0
50.9
46.0
16.3
37.9
209
226
222
570
268
251
1,745
288
297
336
1,175
400
298
2,793
37.4
31.2
51.6
106.1
49.3
19.1
60.0
1,282,884 1,459,550
13.8 102,323 148,337
29 December 2006
40

MOSt Universe
Ready reckoner: quarterly performance
CMP (RS)
29.12.06
RECO
DEC.05
SALES
DEC.06
CHG. (%)
DEC.05
EBITDA
DEC.06
CHG. (%)
DEC.05
NET PROFIT
DEC.06
CHG. (%)
Retailing
Pantaloon Retail
Shopper's Stop
Titan Industries
Sector Aggregate
Telecom
Bharti Airtel
Reliance Comm
VSNL
Sector Aggregate
Textiles
Alok Ind
Arvind Mills
Gokaldas Exports
Himatsingka Seide
Raymond
Vardhman Textiles
Welspun Ind
Sector Aggregate
Utilities
CESC
Neyveli Lignite Corp.
NTPC
PTC India
Reliance Energy
Tata Power
Sector Aggregate
Others
Concor
United Phosphorous
Sector Aggregate
2,132
300
Buy
Buy
6,358
3,847
10,205
7,629
4,827
12,456
20.0
25.5
22.1
1,765
933
2,698
2,155
1,146
3,302
22.1
22.9
22.4
1,369
231
1,600
1,559
450
2,010
13.9
94.7
25.6
318
56
136
57
520
560
Buy
Buy
Neutral
Buy
Buy
Buy
5,780
5,700
68,689
10,546
9,884
12,314
5,725
6,228
77,843
16,883
12,142
13,483
-0.9
9.3
13.3
60.1
22.8
9.5
17.2
1,330
2,170
18,199
184
1,793
1,968
25,645
1,145
3,363
19,850
132
2,064
2,562
29,116
-13.9
55.0
9.1
-28.4
15.1
30.2
13.5
370
1,390
12,672
128
1,646
957
17,163
396
2,111
15,216
130
2,189
1,086
21,128
7.0
51.9
20.1
1.9
32.9
13.5
23.1
68
52
609
123
400
275
85
Neutral
Neutral
Buy
Neutral
Buy
Buy
Neutral
3,664
3,902
2,193
408
3,453
5,127
1,544
20,292
4,750
4,035
2,582
481
2,952
5,650
2,750
23,200
29.6
3.4
17.8
17.9
-14.5
10.2
78.1
14.3
810
918
240
132
589
958
380
4,029
1,050
893
293
169
563
989
503
4,459
29.6
-2.7
21.8
28.4
-4.5
3.2
32.3
10.7
295
234
157
119
261
513
74
1,654
379
125
175
147
323
451
140
1,741
28.6
-46.6
11.0
23.3
23.9
-12.0
90.1
5.3
629
471
424
Buy
Buy
Not Rated
30,256
29,910
9,775
69,941
50,266
38,922
10,046
99,235
66.1
30.1
2.8
41.9
11,199
8,480
2,051
21,730
19,758
15,034
2,152
36,945
76.4
77.3
4.9
70.0
5,453
3,100
1,501
10,054
10,863
6,872
991
18,727
99.2
121.7
-34.0
86.3
401
682
859
Buy
Neutral
Neutral
4,720
1,941
3,649
10,310
7,600
2,500
4,750
14,850
61.0
28.8
30.2
44.0
379
197
299
874
580
255
310
1,145
53.1
29.7
3.8
31.0
186
112
133
431
264
163
157
584
42.2
45.4
18.1
35.6
112,912 132,304
PULL OUT
29 December 2006
41

MOSt Universe
Ready reckoner: quarterly performance
CMP (RS)
29.12.06
RECO
SEP.06
SALES
DEC.06
CHG. (%)
SEP.06
EBITDA
DEC.06
CHG. (%)
SEP.06
NET PROFIT
DEC.06
CHG. (%)
Information Technology
Geometric Software
Hexaware
HCL Technologies
i-flex solutions
Infosys
Infotech Enterpr
KPIT Cummins Inf
MphasiS
Patni Computer
Sasken Comm
Satyam Computer
TCS
Tech Mahindra
Wipro
Sector Aggregate
120
200
649
1,948
2,241
321
694
303
418
536
484
1,219
1,670
605
Buy
Buy
Neutral
Neutral
Buy
Buy
Buy
Neutral
Neutral
Buy
Neutral
Buy
Buy
Buy
800
2,250
13,794
5,009
34,510
1,313
1,140
2,919
6,971
1,175
16,019
44,822
6,977
35,138
853
2,366
14,707
5,870
36,916
1,383
1,223
3,089
6,926
1,389
17,089
47,725
7,690
38,228
6.7
5.2
6.6
17.2
7.0
5.3
7.2
5.8
-0.6
18.2
6.7
6.5
10.2
8.8
7.3
151
361
2,987
970
11,090
284
179
485
1,422
214
3,625
12,294
1,644
8,242
43,946
164
383
3,212
1,311
11,906
272
197
551
1,349
233
3,858
13,153
1,824
8,668
47,080
8.8
6.2
7.5
35.1
7.4
-4.1
9.9
13.5
-5.1
9.1
6.4
7.0
10.9
5.2
7.1
101
347
2,501
804
9,290
203
123
234
1,024
119
3,198
9,915
1,431
6,963
36,253
106
367
2,543
1,104
9,936
191
132
364
953
133
3,395
10,654
1,576
7,208
38,662
5.1
5.9
1.7
37.3
7.0
-5.7
7.1
55.5
-6.9
11.7
6.1
7.5
10.1
3.5
6.6
172,837 185,454
CMP (RS)
29.12.06
RECO
DEC.05
NET INT INCOME
DEC.06
CHG. (%)
OPERATING PROFIT
DEC.05
DEC.06
CHG. (%)
DEC.05
NET PROFIT
DEC.06
CHG. (%)
Banks
Andhra Bank
Bank of Baroda
Bank of India
Canara Bank
Corporation Bank
HDFC
HDFC Bank
ICICI Bank
Indian Overseas Bank
J&K Bank
Karnataka Bank
Oriental Bank of Commerce
Punjab National Bank
State Bank
Syndicate Bank
Union Bank
UTI Bank
Vijaya Bank
Sector Aggregate
87
240
208
276
346
1,625
1,070
890
111
620
151
227
507
1,246
75
123
469
47
Buy
Buy
Buy
Buy
Sell
Neutral
Neutral
Buy
Buy
Buy
Buy
Neutral
Buy
Buy
Neutral
Buy
Buy
Neutral
2,959
8,155
6,566
9,582
3,285
4,122
6,706
12,938
5,256
1,610
978
3,950
12,074
42,199
5,349
6,394
2,874
2,598
3,467
9,169
8,555
10,281
3,375
5,038
8,858
16,929
6,218
2,022
965
4,283
14,006
39,555
5,085
6,553
3,852
2,721
17.2
12.4
30.3
7.3
2.7
22.2
32.1
30.8
18.3
25.6
-1.3
8.4
16.0
-6.3
-4.9
2.5
34.0
4.7
9.7
2,030
4,775
3,747
6,992
2,415
3,574
5,176
11,946
3,663
1,061
782
2,988
5,484
25,996
2,908
4,283
2,562
1,710
2,341
5,861
4,977
7,133
2,555
4,393
7,260
17,192
4,337
1,441
860
3,072
8,516
26,502
3,011
4,265
3,142
1,691
15.3
22.7
32.8
2.0
5.8
22.9
40.3
43.9
18.4
35.9
10.0
2.8
55.3
1.9
3.5
-0.4
22.6
-1.1
17.9
1,289
2,022
1,431
3,563
1,151
2,845
2,244
6,402
1,972
507
415
2,047
3,704
11,151
1,879
2,291
1,317
588
46,817
1,491
2,780
2,084
4,112
1,312
3,418
2,935
8,044
2,393
702
502
2,003
4,547
11,774
1,785
2,140
1,712
820
54,556
15.7
37.5
45.6
15.4
14.0
20.1
30.8
25.7
21.3
38.6
21.0
-2.1
22.8
5.6
-5.0
-6.6
30.0
39.5
16.5
137,594 150,933
92,089 108,549
PULL OUT
29 December 2006
42

Results Preview
QUARTER ENDED DECEMBER 2006
Automobiles
BSE Sensex: 13,787
S&P CNX: 3,966
29 December 2006
COMPANY NAME
PG.
Ashok Leyland
Bajaj Auto
Bharat Forge
Eicher Motors
Hero Honda
Mahindra & Mahindra
Maruti Udyog
Punjab Tractors
Swaraj Mazda
Tata Motors
TVS Motor
53
54
55
56
57
58
59
60
61
62
63
Volume growth in the auto sector has been robust in passenger cars, CVs, motorcycles,
tractors, and three-wheelers. While this may result in a high base effect for FY08, we
expect four wheelers, CVs and two wheelers to maintain their strong growth rates.
Conversion to CNG will help drive three-wheeler growth, and if the monsoons prove to
be adequate in the next fiscal as well, tractor sales should also be robust. Strong volume
growth will drive earnings, despite margin pressure in the first two segments, while two-
wheelers will be adversely affected.
On a YTD basis, all the segments in the sector posted double digit volume growth. The
growth in economy/industry, policy focus on infrastructure and the development of India
as a small car manufacturing hub, along with easy and wider vehicle financing will help
expansion in sector volumes. We maintain our positive view on the sector as the structural
and fundamental factors driving growth are intact. Also, our positive view is influenced
by events like ban on overloading (for CVs), aggressive capex plans of most passenger
car manufacturers, excise duty reduction in small and compact cars and aggressive
targets set in the Draft Automotive Mission Plan 2006-2016.
On the strong volume growth expected in the quarter, we expect sector revenues to
grow at 21.8% and 3.6% YoY and QoQ. However, margin pressure, particularly for
two-wheeler companies will cause YoY sector EBITDA margin to decline 80bp but
improve by 60bp QoQ.
EXPECTED QUARTERLY PERFORMANCE SUMMARY
RECO
SALES
DEC-06
CHG. (%)
DEC-06
EBITDA
CHG. (%)
(RS MILLION)
NET PROFIT
DEC-06
CHG. (%)
Automobiles
Ashok Leyland
Bajaj Auto
Bharat Forge
Eicher Motors
Hero Honda
Mahindra & Mahindra
Maruti Udyog
Punjab Tractors
Swaraj Mazda
Tata Motors
TVS Motor
Sector Aggregate
Buy
Neutral
Buy
Neutral
Neutral
Buy
Buy
Neutral
Neutral
Buy
Neutral
17,022
25,446
4,904
4,706
26,244
26,188
37,345
2,864
1,545
66,120
9,015
221,399
41.6
27.2
22.8
20.7
13.4
19.8
19.9
11.2
-2.9
30.3
3.5
23.2
1,668
3,690
1,285
259
3,307
3,457
5,863
412
93
8,463
613
29,110
43.7
3.0
30.2
48.5
-12.5
31.2
15.3
13.0
18.9
27.9
1.0
16.1
967
3,107
711
172
2,367
2,572
3,978
262
41
4,818
318
19,313
70.9
6.8
33.5
-41.7
-9.6
43.6
17.3
26.2
19.8
53.8
2.4
22.4
Amit Kasast (Akasat@MotilalOswal.com);Tel:+91 22 39825411; Rohan A Korde (RohanKorde@MotilalOswal.com); Tel: + 91 22 3982 5414
29 December 2006
43

Automobiles
AUTO VOLUMES SNAPSHOT FOR FY07 YTD (APRIL TO NOVEMBER 2006)
FY07
FY06
% GR.
Domestic Sales
Motorcycles
Two wheelers
Three wheelers
Passenger cars
UVs
M&HCV
LCV
Total
Export Sales
Motorcycles
Two wheelers
Three wheelers
Passenger cars
UVs
M&HCV
LCV
Total
Total Sales
Motorcycles
Two wheelers
Three wheelers
Passenger cars
UVs
M&HCV
LCV
Total
4,843,626
5,739,130
356,859
863,857
138,612
178,642
137,758
7,414,858
4,064,380
4,982,483
276,523
715,787
123,488
129,491
106,112
6,333,884
19.2
15.2
29.1
20.7
12.2
38.0
29.8
17.1
376,050
430,412
89,038
127,517
3,200
11,151
20,129
681,447
252,593
343,446
50,805
114,007
2,882
8,175
16,247
535,562
48.9
25.3
75.3
11.9
11.0
36.4
23.9
27.2
4,467,576
5,308,718
267,821
736,340
135,412
167,491
117,629
6,733,411
3,811,787
4,639,037
225,718
601,780
120,606
121,316
89,865
5,798,322
17.2
14.4
18.7
22.4
12.3
38.1
30.9
16.1
Source: Company/Motilal Oswal Securities
Risks to sector growth have not completely eased
We believe that risk to sector growth, which has been increasing over the past few months
with rising input costs (impacting operating performance); interest rates/fuel prices
(dampening factors for volume growth), has somewhat eased 2QFY07 onward. Moreover,
indications are that these risks to growth have been factored in, and barring any sharp
increases, are unlikely to impact the ongoing growth trends.
PRICES OF KEY INPUTS HAVE STABILIZED AT HIGHER LEVELS…
205
Aluminium Index
170
135
100
65
Rubber Index
Steel Index
Source: LME/Bloomberg/Rubber Board of India/Motilal Oswal Securities
29 December 2006
44

Automobiles
… JUST AS INTEREST RATES HAVE …
% Chg in Y ield QoQ - LHS
7.5
4.0
0.5
-3.0
6.6
-6.5
6.9
7.1
4.9
2.1
3.1
3.1
0.0
10 Yr G-Sec Yield (%) - RHS
7.4
6.1
8.1
7.6
7.5
7.6
8.5
8.0
7.5
-0.3
7.0
6.7
7.1
-6.0
6.5
… WHILE CRUDE PRICES HAVE DECLINED
77
69
61
2.7/2.3
-2/-1
3.2/1.4
4/2
53
45
Note: Figures below the circles indicate the absolute increase in petrol/diesel prices
Source: Bloomberg/Motilal Oswal Securities
BUT FREIGHT RATES HAVE ALSO REMAINED FIRM
200
175
150
125
100
Source: TCIL/Motilal Oswal Securities
As a result, sector margins are expected to decline 80bp YoY, but increase 60bp on a QoQ
basis. The biggest negative impact on margins for the sector will be from the two-wheeler
sector, whose margins are expected to decline 270bp on a YoY basis.
29 December 2006
45

Automobiles
SECTOR EBITDA MARGIN
JUNE-05 SEP- 05
DEC-05 MAR-06
JUN-06
SEP-06
DEC-06
Sector EBITDA Margin
Two-wheeler Companies EBITDA Margin
CV Companies EBITDA Margin
Passenger Vehicle Companies EBITDA Margin
Tractor Companies EBITDA Margin
Component Companies EBITDA Margin
12.4
13.8
10.6
13.9
10.7
23.9
12.8
14.4
11.1
13.0
11.5
25.8
14.0
15.4
11.8
16.3
12.3
24.7
13.8
15.8
12.2
16.6
10.1
24.0
13.1
13.1
11.6
16.5
11.4
25.5
12.6
12.3
10.7
16.0
13.4
26.1
13.1
12.5
11.7
15.7
13.3
26.2
Source: Company/Motilal Oswal Securities
Key developments in the sector
Joint ventures
?
Tata Motor and Fiat have announced a 50:50 JV at Fiat’ Ranjangaon plant to
s
manufacture passenger vehicles, engines and transmission systems for domestic and
overseas markets at an investment of Rs40b. Over the next 3 years, Tata Motor will
invest Rs10b in this JV. The JV will give Tata Motor access to one of the best engine
families (Fiat 1.3/1.5 liter and 1.2 liter gasoline engines), and diesel engines which are
Euro IV / Euro V compatible, as well as Fiat’ transmission system.
s
?
Tata Motor has also announced a JV with Thailand-based Thonburi Automotive
Assembly Plant Co. to manufacture, assemble and market pick-up trucks there. This
JV will provide Tata Motor with a base in Thailand, which is the world’ second
s
largest market for pick-ups, with a volume of 0.4m units in 2005. Further, Tata Motor
will also be able to capitalize on Thonburi’ local market knowledge, its distribution
s
network and get easier access to other ASEAN markets.
?
M&M is to set up a new 50:50 greenfield facility with Renault to manufacture passenger
cars at a total cost of approximately US$1b. The plant will have an initial capacity of
0.3m cars by mid-2009, to be scaled up to 0.5m units by 2012.
?
Nissan called off talks with Maruti to set up a plant in India to manufacture 0.2m units
annually. Instead, it is expected to join the M&M-Renault alliance (Renault SA, owns
44% of Nissan’ equity). However, Nissan’ deal with Maruti, under which the latter
s
s
will make 50,000 cars for Nissan for exports is intact.
?
Force Motors is to transfer its HCV division to subsidiary, Man Force Trucks and will
also invest Rs1b equity capital in the subsidiary.
Capacity expansion / acquisitions
?
M&M has aggressively pursued the inorganic growth path for its auto components
division Mahindra Systech, which has targeted US$1b in revenues by 2010. During
the quarter, M&M acquired DGP Hinoday (engaged in casting and ferrites business)
and Germany-based forging companies — Jeco group and Schoeneweiss & Co. These
acquisitions have speeded up Mahindra Systech’ objective to become a local
s
component manufacturing giant. Funds raised previously and ample liquid investments
have ensured adequate availability of funds to finance these acquisitions.
?
M&M will also invest Rs15b to set up its third manufacturing facility at Uttaranchal.
Further, M&M is to invest Rs4b in its tractor business over the 2-3 years to set up a
new greenfield plant, expand capacity and develop new products.
29 December 2006
46

Automobiles
?
Ashok Leyland plans to invest Rs52.5b to enhance production capacity by 0.14m units
over the next 4-5 years; it is to invest Rs12.5b at Uttaranchal for a 40,000-unit capacity
and is scouting for a second location for the remaining capacity.
?
Hero Honda along with its ancillary companies will invest Rs19b in the next 3-4 years
to set up a manufacturing facility in Uttaranchal. In the first phase, the company will
invest Rs4b to make its 0.5m capacity motorcycle unit operational starting June 2007.
?
Total investment plans announced by various carmakers add up to nearly US$3b capex
by 2010.
Others
?
Tata Motors launched a 1.2 liter engine option Indica V2 Xeta. Due to its lower engine
capacity, this model now qualifies for 16% excise duty, compared with 24% excise
duty on the previous Indica V2 Xeta. Demand for this new model is strong, resulting in
longer delivery period.
?
Maruti launched the new Zen Estilo, replacing the Zen, whose production was halted
in March 2006. The new Zen is based on Wagon R’ engine platform with higher
s
engine capacity and different looks compared to the earlier version. Initial response
has been extremely good, although there is a concern that it could cannibalize Wagon-
R’ market to an extent.
s
?
Maruti has plans to launch its cars in South Africa next year and re-enter the European
market in 2008-2009.
?
M&M is to launch its SUVs and pick-ups, including its flagship vehicle, the Scorpio in
North America and the US, and has signed a distribution agreement with Global Vehicles
of the US for distribution of M&M vehicles and accessories there. The date of launch
is expected to be announced in April 2007.
?
M&M is also considering starting assembly operations for its tractors in Iran, through
the third party assembly route. It has already entered Iran (fourth largest market in the
world for tractors after India, the US and China), with its farm equipment products
through a supply agreement with the government-owned Iran Tractor Manufacturing
Company. The latter commands an 80% share in the local market and is in talks with
M&M to begin assembly operations in Iran.
?
Hero Honda is likely to enter the 4-wheeler segment; it is scouting for a partner for
this venture.
Passenger vehicles: Expect double digit volume growth
The demand for passenger cars in India is likely to grow at a CAGR of 13.9% over FY06-
FY10 driven by changing lifestyles, rapid growth in high income households, a vibrant
service sector and rapid improvement in road network. Our positive view is also influenced
by a reduction in excise duty on small cars from 24% to 16% in the recent Union Budget.
We remain extremely positive on Maruti’ growth prospects. We expect its volume to
s
grow at 14.1% CAGR over FY06-FY08; aggressive model launches could result in positive
surprises both in the domestic and export markets. Launch of the diesel-powered Swift
29 December 2006
47

Automobiles
will herald the much awaited entry into the diesel segment for Maruti in the next quarter.
Maruti is expected to maintain its dominance in the small cars segment and outpace industry
growth, whilst new launches by other auto companies in a booming economy and
upgradation cycle will see the overall passenger vehicle industry maintaining a double-digit
volume growth rate.
Two-wheelers: Margins under pressure
The motorcycle segment has maintained its growth momentum. YTD the industry has
grown at 19.2%. Growth has mainly been led by Bajaj Auto and TVS Motors. Availability
of finance, improved road infrastructure, replacement demand, attractive promotional offers,
continued novelty factor due to continuous launch of new models/variants, rising incomes
and favorable demographics will drive the higher motorcycle penetration.
However, while volume growth is expected to be robust at 15-17% CAGR in motorcycles
over FY06-FY10, EBITDA margins of the two-wheeler players have come under pressure.
Margin pressure has come to the fore on account of aggressive pricing of entry-level
bikes like Platina, promotional offers and subvention for 0% financing, new launches resulting
in higher development costs and increased adspend and higher raw material prices. These
factors have affected all the three two-wheeler majors negatively, as a result, we have a
Neutral view on the two-wheeler segment.
CVs: Demand strong, ongoing infrastructure development to maintain growth
The Supreme Court order banning overloading of vehicles in November 2005 proved to be
the trigger for a revival in the CV segment, and growth has continued unabated since. This
ruling on the back of strong economic growth, higher freight rates, and government focus
on highway development has sustained demand.
Though budgetary allocation has increased by only Rs6b (up 6%) for FY07, the government
is changing the nature of road development. By restructuring the NHAI and focusing on
greater public-private partnership, the onus of maintaining the roads and expressways will
shift to the private sector. This will lead to faster and more efficient implementation of
projects. The increasing network and improving quality of roads will in turn benefit CV
players.
Strong economic outlook, renewed infrastructure impetus and continued industrial capex
along with significant improvement in road infrastructure are multiple structural factors
that will drive a continued expansion in CV volumes. We expect domestic M&HCV and
LCV volumes to rise strongly at CAGR of 24.3% and 17.7% respectively over FY06-
FY08. Our assumptions are based on rapidly changing dynamics of the Indian freight
industry due to development of highway infrastructure projects, drop in replacement demand,
higher vehicle prices, slower freight rate growth and continued pressure on fuel price
increase. Given the structural growth drivers, we are positive on Tata Motor.
29 December 2006
48

Automobiles
Tractors: Government’ thrust on rural segment is a growth driver
s
The tractor industry registered 18.4% growth in FY06, while it has registered 28.5%
growth in April-October 2006. Increased farm credit offtake, focus on agri-driven growth
and normal monsoons have been the demand drivers for tractors. M&M’ performance
s
has been in line with that of the tractor industry during this period, registering 26.9%
growth.
M&M also has a sizeable presence in the US (with sales of 10,000 units in FY06) and is
gaining a foothold in China via Jiangling Tractor. It has also set up distribution in Australia.
M&M now has a presence in the largest tractor markets in the world. Currently, M&M’
s
exports are at 7.5% of sales and we expect this to improve to 15% over the next 3-4
years.
AUTO COMPANIES OVERALL VOLUME GROWTH RATE ASSUMPTIONS (%)
COMPANY
FY07E GROWTH RATE
YTD GROWTH RATE
(APRIL-DECEMBER 2006)
RESIDUAL GROWTH RATE
Bajaj Auto
Hero Honda
TVS Motors
Maruti Udyog
Mahindra & Mahindra
Tata Motors
Ashok Leyland*
*YTD from April-November 2006
28.3
15.3
16.6
15.0
16.9
25.5
27.5
26.0
11.3
16.9
16.5
20.1
32.9
39.2
31.9
26.6
15.9
11.0
13.5
10.1
10.2
Source: Company/Motilal Oswal Securities
Valuation and view: Volume growth to drive earnings
Volume growth has been robust in most segments – passenger cars, CVs, motorcycles,
tractors, and three-wheelers. Segments such as scooters and UVs have underperformed
the auto sector in YTD FY07, but the latter continues to hold good growth potential going
forward. While Bajaj Auto’ re-entry into the scooters market will see competition intensify
s
versus Hero Honda, Honda Motorcycles and TVS Motors in this segment, we believe the
potential market size is limited.
The high base created in FY07 may slow down growth rates in the auto sector across
select segments in FY08. But structural demand drivers should drive growth in four
wheelers, CVs and two wheelers. Strong volume growth will drive earnings, despite margin
pressure in the first two segments, while two-wheelers will be adversely affected.
Valuations continue to be comfortable for the sector. We reiterate our Overweight stance
on the sector. Our top picks, Maruti Udyog, Tata Motors, and M&M are dominant players
in highly consolidated segments, where the top two players command more than 50%
share.
29 December 2006
49

Automobiles
PERFORMANCE OF MAJOR PLAYERS IN THE INDUSTRY
HERO HONDA: MONTHLY MARKET SHARE MOVEMENT (MOTORCYCLES)
375,000
300,000
225,000
150,000
75,000
0
49
49
46
Units (Nos) - LHS
Market Share (%) - RHS
58
51
47
48
46
44
47
45
40
41
47
45
44
37
30
BAJAJ AUTO: MONTHLY MARKET SHARE MOVEMENT
(MOTORCYCLES)
305,000
260,000
215,000
170,000
125,000
80,000
30.5
29.6
32.8
Units (Nos) - LHS
34.2
32.1
32.0
Market Share (%) - RHS
37.6
34.9
33.6
31.8
33.4 35.7
40
36
32
28
24
32.9
TVS MOTORS: MONTHLY MARKET SHARE MOVEMENT
(MOTORCYCLES)
120,000
90,000
13.2 13.7
Motorcycles (Nos) - LHS
Market Share (%) - RHS
16.0
23
15
12.3 11.5
8
0
13.1 12.5
14.6 14.7
12.8 12.9
13.4
14.8
60,000
30,000
TATA MOTORS: MONTHLY MARKET SHARE MOVEMENT (PASSENGER CARS)
TTMT Sales (Unit Nos) -LHS
20,000
17,500
15,000
12,500
10,000
14
14
19
19
16 14
16
18
Market Share (%) -RHS
17
16
14
13
20
16
17
14
11
8
Source: SIAM/Motilal Oswal Securities
29 December 2006
50

Automobiles
TATA MOTORS: MONTHLY MARKET SHARE MOVEMENT (M&HCV)
20,000
15,000
10,000
5,000
0
Tamo M&HCV Sales
67
64
63
64
61
67
65
Market Share (%) - RHS
64
63
60
61
60
70
63 65
60
55
50
ASHOK LEYLAND: MONTHLY MARKET SHARE MOVEMENT (M&HCV)
9,600
7,700
26
5,800
23
3,900
2,000
24
26
ALL (Nos) - LHS
30
26
27
% Market Share - RHS
30
25
28
31
31
28
32
29
26
23
20
MARUTI UDYOG: MONTHLY MARKET SHARE MOVEMENT (PASSENGER CARS)
MUL Sales (Unit Nos) -LHS
54,000
48,000
51
42,000
36,000
30,000
46
46
43
42
46
52
Market Share (%) -RHS
60
55
49
47
42
41
44
50
47
45
40
MAHINDRA & MAHINDRA: MONTHLY MARKET SHARE MOVEMENT (TRACTORS)
14,000
11,500
9,000
6,500
4,000
34
29
Mahindra Tractor Sales -LHS
34
29
24
26
24
29
Market Share(%) - RHS
40
35 36
32
30
28
27
32
28
24
20
Source: SIAM/Motilal Oswal Securities
29 December 2006
51

Automobiles
Stock performance and valuations
STOCK PERFORMANCE (%)
ABSOLUTE PERF
3M
1 YEAR
REL PERF TO SENSEX
3M
1 YEAR
REL PERF TO SECTOR
3M
1 YEAR
Automobiles
Ashok Leyland
Bajaj Auto
Bharat Forge
Eicher Motors
Hero Honda
Mahindra & Mahindra
Maruti Udyog
Punjab Tractors
Swaraj Mazda
Tata Motors
TVS Motor
1
-13
1
23
-2
33
-5
5
45
4
-30
43
31
-8
58
-11
77
46
16
-13
38
-13
-10
-23
-10
13
-12
22
-16
-6
34
-6
-41
-4
-16
-54
12
-58
30
-1
-31
-59
-9
-59
0
-13
0
23
-2
32
-6
4
44
4
-31
11
-1
-40
27
-43
45
14
-16
-45
6
-45
RELATIVE PERFORMANCE - 3 MONTH (%)
RELATIVE PERFORMANCE - 1 YEAR (%)
Sensex
111
107
103
99
95
Sep-06
MOSt Automobiles Index
MOSt Automobiles Index
150
135
120
105
90
Sensex
Oct-06
Nov-06
Dec-06
Dec-05
Mar-06
Jun-06
Sep-06
Dec-06
CMP (RS)
29.12.06
RECO
FY06
EPS (RS)
FY07E
FY08E
FY06
P/E (X)
FY07E
FY08E
EV/EBITDA
FY06
FY07E
FY08E
FY06
ROE (%)
FY07E
FY08E
Automo biles
Ashok Leyland
Bajaj Auto
Bharat Forge
Eicher Motors
Hero Honda
Mahindra & Mahindra
Maruti Udyog
Punjab Tractors
Swaraj Mazda
Tata Motors
TVS Motor
Sector Aggregate
45
2,619
363
364
762
906
927
250
328
900
87
Buy
Neutral
Buy
Neutral
Neutral
Buy
Buy
Neutral
Neutral
Buy
Neutral
2.5
108.9
9.9
18.0
48.6
37.8
41.9
11.9
15.9
42.9
4.5
3.0
127.9
14.5
23.4
48.1
53.8
54.3
14.9
14.1
57.2
4.8
3.6
155.2
17.7
27.8
55.9
65.1
63.0
16.7
18.2
66.0
6.0
18.4
24.1
36.7
20.2
15.7
24.0
22.1
21.0
20.6
21.0
19.3
24.0
14.9
20.5
25.0
15.6
15.8
16.8
17.1
16.7
23.2
15.7
18.1
19.3
12.7
16.9
20.5
13.1
13.6
13.9
14.7
14.9
18.0
13.6
14.6
16.6
10.7
16.2
22.3
11.7
9.7
24.4
12.9
11.9
12.7
13.9
10.2
14.4
8.2
14.2
15.9
6.6
10.2
16.3
10.0
10.2
13.0
9.8
9.5
11.4
6.5
11.1
12.3
4.7
8.3
14.1
8.1
8.9
11.5
8.6
8.1
9.4
21.4
23.6
17.6
11.3
48.3
22.3
22.2
12.7
25.2
25.8
14.0
24.5
24.7
23.0
19.6
13.1
38.6
25.2
22.9
14.4
20.5
28.7
13.5
25.1
25.7
23.4
20.3
13.9
37.4
23.8
21.5
14.6
23.2
26.4
14.9
24.3
29 December 2006
52

Results Preview
SECTOR: AUTOMOBILES
Ashok Leyland
STOCK INFO.
BLOOMBERG
BSE Sensex: 13,787 AL IN
REUTERS CODE
29 December 2006
Previous Recommendation: Buy
YEAR
END
NET SALES
(RS M)
PAT
(RS M)
ADJ.EPS
EPS
P/E
(X)
P/BV
(X)
ROE
(%)
ROCE
(%)
EV/
Buy
Rs45
EV/
SALES EBITDA
(RS) GROWTH (%)
S&P CNX: 3,966
ASOK.BO
Equity Shares (m)
52-Week Range
1,6,12 Rel. Perf. (%)
M.Cap. (Rs b)
M.Cap. (US$ b)
1,323.7
54/29
6/-8/-4
60.2
1.4
3/06A
3/07E
3/08E
52,477
66,961
75,415
3,024
4,037
4,749
2.5
3.0
3.6
29.7
23.2
17.6
18.4
14.9
12.7
3.9
3.7
3.3
23.2
25.8
25.7
20.4
23.2
27.7
1.0
0.8
0.7
9.8
8.2
6.5
?
?
?
?
?
Ashok Leyland is likely to report 49% growth in vehicle volumes in 3QFY07, resulting in sales growth of 41.6% to
Rs17b. For FY07, we expect Ashok Leyland to register volume growth of 27.5% to 78,573 units.
Volume growth continues to remain strong on account of imposition of the ban on overloading imposed by the
Supreme Court in November 2005. In its wake, M&HCV sales growth has been extremely strong; with Ashok
Leyland capitalizing on this situation.
In 3QFY07, we expect EBITDA margin to remain flat YoY at 9.8%, but improve by 170bp QoQ, resulting in
EBITDA of Rs1.7b (growth of 43.7% YoY). Improvement in the product mix towards higher tonnage vehicles,
higher defence sales in 2HFY07 and cost cutting initiatives such as e-sourcing of materials will help margin expansion.
We expect Ashok Leyland’ volumes to grow at 19.8% CAGR over FY06-FY08. Its focus on non-cyclical businesses
s
such as vehicle and aggregate exports would cushion domestic business cyclicality in the long term. The quality of
earnings and earnings momentum should improve hereon, aided by capacity addition and margin improvement.
The stock is trading at 14.9x FY07E EPS of Rs3 and 12.7x FY08E EPS of Rs3.6. We maintain
Buy.
(RS MILLION)
FY06
1Q
2Q
3Q
4Q
1Q
2Q
FY07
3QE
4QE
FY06
FY07E
QUARTERLY PERFORMANCE
Y/E MARCH
Total Volumes (nos)
Net Sales
Change (%)
Total Cost
EBITDA
As a % of Sales
Change (%)
Non-operating Income
Interest
Gross Profit
Less: Depreciation
PBT
Tax
Effective Tax Rate (%)
Adj. PAT (before EO)
Change (%)
Extraordinary Income
Extraordinary Loss
Rep. PAT
Change (%)
E: MOSt Estimates
13,320
10,632
29.5
9,774
858
8.1
14.4
34
-12
903
297
606
271
44.8
334
-2.4
334
25
644
101.5
14,895
12,501
36.7
11,304
1,197
9.6
60.0
170
7
1,359
342
1,017
215
21.2
802
76.7
0
52
750
74.4
13,038
12,024
21.8
10,863
1,161
9.7
13.9
16
71
1,106
290
816
250
30.7
566
0.9
0
21
545
1.5
20,373
17,319
18.7
15,166
2,153
12.4
25.9
110
98
2,165
330
1,835
513
28.0
1,322
10.8
0
21
1,335
-6.5
17,067
14,239
33.9
13,026
1,213
8.5
41.4
139
5
1,346
328
1,019
262
25.7
756
1.3
0
65
692
7.5
19,869
16,757
34.0
15,437
1,320
7.9
10.3
99
4
1,415
365
1,050
334
31.8
716
-0.1
268
31
954
27.1
19,428
17,022
41.6
15,353
1,668
9.8
43.7
55
60
1,663
370
1,293
326
25.2
967
70.9
0
0
967
77.4
22,209
18,943
9.4
16,582
2,361
12.5
97.3
207
62
2,506
374
2,133
535
25.1
1,597
20.8
0
0
1,597
19.7
61,626
52,477
25.5
47,108
5,369
10.2
27.0
549
384
5,534
1,260
4,274
1,250
29.2
3,024
18.6
334
85
3,273
20.6
78,573
66,961
27.6
60,399
6,562
9.8
22.2
499
131
6,931
1,436
5,495
1,458
26.5
4,037
33.5
268
95
4,210
28.6
Amit Kasast (AKasat@MotilalOswal.com);Tel:+91 22 3982 5411/ Rohan A Korde (RohanKorde@MotilalOswal.com); Tel: + 91 22 3982 5414
29 December 2006
53

Results Preview
SECTOR: AUTOMOBILES
Bajaj Auto
STOCK INFO.
BLOOMBERG
REUTERS CODE
BSE Sensex: 13,787 BJA IN
S&P CNX: 3,966
BJAT.BO
29 December 2006
Previous Recommendation: Neutral
Neutral
Rs2,619
P/E
(X)
P/BV
(X)
ROE
(%)
ROCE
(%)
EV/
EV/
SALES EBITDA
EPS
EPS
(RS) GROWTH (%)
Equity Shares (m)
52-Week Range
1,6,12 Rel. Perf. (%)
M.Cap. (Rs b)
M.Cap. (US$ b)
101.2
3,325/1,974
-2/-34/-16
265.0
6.0
YEAR
END
NET SALES ADJ. PAT
(RS M)
(RS M)
3/06A
3/07E
3/08E
76,679
101,287
123,018
11,243
12,939
15,702
108.9
127.9
155.2
40.8
17.4
21.4
24.1
20.5
16.9
5.6
4.7
4.0
23.6
23.0
23.4
25.4
25.7
27.0
2.9
2.2
1.7
16.2
14.2
11.1
?
We expect total volumes to increase by 22.9% in 3QFY07, with three-wheelers (+48.8% YoY) being the major
growth drivers. Motorcycles are expected to register 27.6% YoY growth in volumes during 3Q.
We expect sales to increase by 27.2% to Rs25.4b in 3QFY07. Despite strong three-wheeler growth, we expect the
EBITDA margin to dip by 340bp YoY and 50bp QoQ due to promotional offers, new launches and subvention (at 0%
financing). As a result, we expect EBITDA of Rs3.7b (+3% YoY) and adj. PAT at Rs3.1b (+6.8% YoY).
Bajaj Auto is a strong player in the upper-end bike segment, with 21% share in the executive segment and 58.4%
share in the premium segment as of October 2006.
Bajaj is one of the best plays on consumerism and improvement in rural demand. However, we maintain our
Neutral
rating as we expect renewed competitive pressures to impact margins further triggering the possibility of further
downgrades in earnings estimates as well as valuations. The stock is trading at valuations of 20.5x FY07E and 16.9x
FY08E EPS of Rs127.9 and Rs155.2 respectively.
(RS MILLION)
FY06
1Q
2Q
3Q
4Q
1Q
2Q
FY07
3QE
4QE
FY06
FY07E
?
?
?
QUARTERLY PERFORMANCE
Y/E MARCH
Total Volumes (nos)
Change (%)
Net Sales
Change (%)
Total Cost
EBITDA
As % of Sales
Change (%)
Other Income
Interest
Depreciation
PBT
Tax
Effective Tax Rate (%)
Adj. PAT
Change (%)
Extraordinary Expenses
PAT
Change (%)
E: MOSt Estimates
505,524
35.6
16,342
33.3
13,766
2,575
15.8
39.6
928
1
462
3,040
950
31.3
2,090
28.2
0
2,090
27.0
555,552
24.8
18,670
28.9
15,513
3,156
16.9
31.8
1,362
1
490
4,028
1,120
27.8
2,908
62.0
0
2,908
61.5
600,824
14.0
20,009
24.6
16,428
3,581
17.9
48.5
1,064
1
491
4,153
1,245
30.0
2,908
59.8
108
2,800
53.3
619,196
29.1
21,659
32.5
17,409
4,250
19.6
71.2
1,031
1
468
4,813
1,476
30.7
3,337
30.3
119
3,218
34.2
647,086
28.0
22,027
34.8
18,420
3,607
16.4
40.1
946
7
481
4,064
1,300
32.0
2,764
32.2
104
2,660
27.3
708,125
27.5
24,360
30.5
20,708
3,652
15.0
15.7
1,424
20
492
4,564
1,250
27.4
3,314
14.0
139
3,176
9.2
738,219
22.9
25,446
27.2
21,756
3,690
14.5
3.0
1,300
8
500
4,482
1,375
30.7
3,107
6.8
0
3,107
11.0
832,606
34.5
29,455
36.0
25,035
4,419
15.0
4.0
1,426
9
507
5,329
1,576
29.6
3,754
12.5
0
3,754
16.6
2,281,096 2,926,036
25.0
76,679
29.6
63,116
13,563
17.7
48.5
4,385
3
1,910
16,034
4,791
29.9
11,243
40.8
226
11,017
43.7
28.3
101,287
32.1
85,919
15,368
15.2
13.3
5,096
44
1,980
18,439
5,501
29.8
12,939
15.1
243
12,696
15.2
Amit Kasast (AKasat@MotilalOswal.com);Tel:+91 22 3982 5411/ Rohan A Korde (RohanKorde@MotilalOswal.com); Tel: + 91 22 3982 5414
29 December 2006
54

Results Preview
SECTOR: AUTOMOBILES
Bharat Forge
STOCK INFO.
BLOOMBERG
REUTERS CODE
BSE Sensex: 13,787 BHFC IN
S&P CNX: 3,966
BFRG.BO
29 December 2006
Previous Recommendation: Buy
Buy
Rs363
CON.
EPS (RS)
P/E
(X)
CON.
P/E (X)
ROE
(%)
ROCE
(%)
EV/
EV/
SALES EBITDA
EPS
(RS)
Equity Shares (m)
52-Week Range
1,6,12 Rel. Perf. (%)
M.Cap. (Rs b)
M.Cap. (US$ b)
237.3
485/221
-1/-14/-54
86.0
1.9
YEAR
END
NET SALES
(RS M)
PAT
(RS M)
3/06A
3/07E
3/08E
15,779
19,617
24,526
2,070
2,738
3,418
8.1
10.8
13.5
9.9
14.5
17.7
44.7
33.6
26.9
36.7
25.0
20.5
17.8
18.9
20.3
16.3
16.5
18.6
5.1
3.8
3.0
20.9
14.8
11.4
?
?
?
?
?
?
We expect Bharat Forge to post sales growth of 22.8% in 3QFY07 to Rs4.9b, driven by higher exports due to
completion in ramp-up of capacities and strong domestic sales growth in line with the ongoing automotive boom.
We expect the company to report 30.2% growth in EBITDA to Rs1.5b, with EBITDA margins expanding by 150bp
YoY, but flat QoQ to 26.2%. We estimate PAT at Rs711m (up 33.5%) for 3QFY07.
The company plans capex of Rs3.5b for its non-automotive business ventures in energy, aerospace and hydrocarbons.
BFL is in the process of finalizing four long-term contracts aggregating US$200m+ per year and expects to sign these
contracts by end-FY07, which will help sustain exports growth.
BFL’ global subsidiaries operate at a blended margin of close to 10%. The company plans to enhance margins by
s
achieving higher capacity utilization and introducing value-added products. Consolidated total income increased by
48.5% YoY in 1HFY07 while consolidated PAT increased by 22.5% YoY.
We remain positive on Bharat Forge’ ‘
s dual shore’model and management’ global vision. We believe the company’
s
s
annual revenues would cross US$1b by FY08. We estimate consolidated EPS at Rs14.5 for FY07 and Rs17.7 for
FY08. The stock trades at 25x FY07E and 20.5x FY08E consolidated EPS. We maintain
Buy.
(RS MILLION)
FY06
1Q
2Q
3Q
4Q
1Q
2Q
FY07
3QE
4QE
FY06
FY07E
QUARTERLY PERFORMANCE (STANDALONE)
Y/E MARCH
Net Sales
Change (%)
Total Expenses
EBITDA
As % of Sales
Change (%)
Other Income
Interest
Depreciation
Extraordinary Expenses
PBT
Tax
Effective Tax Rate (%)
PAT
Adj. PAT
Change (%)
3,635
41.6
2,765
870
23.9
26.0
112
112
149
-15
736
247
33.5
489
474
39.4
3,766
29.8
2,795
971
25.8
19.9
115
128
175
0
783
265
33.8
518
518
36.8
3,994
28.5
3,008
986
24.7
12.7
161
153
191
0
802
270
33.6
533
533
28.6
4,384
21.4
3,331
1,053
24.0
18.1
144
155
214
0
828
298
36.0
530
530
9.6
4,206
15.7
3,132
1,073
25.5
23.3
233
176
229
101
800
285
35.6
515
616
29.9
4,507
19.7
3,330
1,177
26.1
21.1
192
197
250
0
922
301
32.6
622
622
20.1
4,904
22.8
3,619
1,285
26.2
30.2
165
153
250
0
1,046
335
32.0
711
711
33.5
6,001
36.9
4,455
1,546
25.8
46.8
104
187
277
0
1,186
397
33.5
789
789
48.8
15,779
29.4
11,898
3,881
24.6
18.5
531
548
730
-15
3,149
1,079
34.3
2,070
2,055
27.1
19,617
24.3
14,536
5,081
25.9
30.9
694
713
1,005
101
3,956
1,318
33.3
2,637
2,738
33.3
E: MOSt Estimates; quarter numbers are for standalone company.
Amit Kasast (AKasat@MotilalOswal.com);Tel:+91 22 3982 5411/ Rohan A Korde (RohanKorde@MotilalOswal.com); Tel: + 91 22 3982 5414
29 December 2006
55

Results Preview
SECTOR: AUTOMOBILES
Eicher Motors
STOCK INFO.
BLOOMBERG
REUTERS CODE
BSE Sensex: 13,787 EIM IN
S&P CNX: 3,966
EICH.BO
29 December 2006
Previous Recommendation: Neutral
Neutral
Rs364
P/E
(X)
P/BV
(X)
ROE
(%)
ROCE
(%)
EV/
EV/
SALES EBITDA
EPS
EPS
(RS) GROWTH (%)
Equity Shares (m)
52-Week Range
1,6,12 Rel. Perf. (%)
M.Cap. (Rs b)
M.Cap. (US$ b)
28.0
416/203
-5/23/12
10.2
0.2
YEAR
END
NET SALES
(RS M)
PAT
(RS M)
3/06A
3/07E
3/08E
16,449
18,647
20,594
504
654
779
18.0
23.4
27.8
-23.1
29.8
19.1
20.2
15.6
13.1
2.3
2.0
1.8
11.3
13.1
13.9
7.7
12.6
14.2
0.5
0.4
0.3
11.7
6.6
4.7
?
We expect Eicher Motors’CV volumes to grow 20% in 3QFY07 and 15.4% in FY07, led by the passenger and LCV
goods segments.
Eicher should report sales of Rs4.7b for the quarter, resulting in an EBITDA of Rs259m and PAT of Rs172m. For
FY07, we expect sales of Rs18.6b and adjusted PAT of Rs654m (29.9% growth).
The company witnessed a sharp drop in profitability in 1HFY06, as CV manufacturers had to resort to heavy
discounts in the scenario of slow industry growth. Eicher reported losses at the pre-tax level for 2QFY06 and
3QFY06.
Eicher remains a small player in the CV industry, with severe pressure on its margins. We maintain our
Neutral
recommendation.
(RS MILLION)
FY06
1Q
2Q
3Q
4Q
1Q
2Q
FY07
3QE
4QE
FY06
FY07E
?
?
?
QUARTERLY PERFORMANCE
Y/E MARCH
Net Sales
Change (%)
Total Expenses
EBITDA
As a % of Sales
Non-Operating Income
Extraordinary Income
Extraordinary Expense
Interest
Gross Profit
Less: Depreciation
PBT
Tax
Effective Tax Rate (%)
PAT
Adjusted PAT
Change (%)
E: MOSt Estimates
3,877
12.0
3,778
99
2.6
68
1,821
0
41
1,948
116
1,832
7
0.4
1,825
4
-93.6
3,530
-20.9
3,511
19
0.5
61
0
0
37
43
95
-52
24
-45.8
-76
-76
-148.6
3,900
-26.9
3,725
174
4.5
81
0
151
42
61
95
-34
-178
522.1
144
295
44.8
5,144
-21.7
4,787
358
7.0
104
0
4
45
412
162
250
-26
-10.5
277
280
5.0
3,831
-1.2
3,649
183
4.8
73
0
0
34
221
98
123
39
31.7
84
84
2,238.9
4,565
29.3
4,301
263
5.8
73
0
0
31
305
99
206
65
31.3
142
142
N.A.
4,706
20.7
4,447
259
5.5
60
0
0
32
287
105
182
10
5.5
172
172
-41.7
5,544
7.8
5,225
319
5.8
50
0
0
48
321
106
215
-41
-19.1
256
256
-8.5
16,449
-17.0
15,801
648
3.9
314
1,821
155
165
2,464
468
1,996
-200
-8.7
2,196
504
-23.1
18,647
13.4
17,622
1,024
5.5
255
0
0
145
1,134
407
727
73
10.0
654
654
29.9
Amit Kasast (AKasat@MotilalOswal.com);Tel:+91 22 3982 5411/ Rohan A Korde (RohanKorde@MotilalOswal.com); Tel: + 91 22 3982 5414
29 December 2006
56

Results Preview
SECTOR: AUTOMOBILES
Hero Honda
STOCK INFO.
BLOOMBERG
REUTERS CODE
BSE Sensex: 13,787 HH IN
S&P CNX: 3,966
HROH.BO
29 December 2006
Previous Recommendation: Neutral
Neutral
Rs762
P/E
(X)
P/BV
(X)
ROE
(%)
ROCE
(%)
EV/
EV/
SALES EBITDA
EPS
EPS
(RS) GROWTH (%)
Equity Shares (m)
52-Week Range
1,6,12 Rel. Perf. (%)
M.Cap. (Rs b)
M.Cap. (US$ b)
199.7
950/637
2/-34/-58
152.2
3.4
YEAR
END
NET SALES
(RS M)
PAT
(RS M)
3/06A
3/07E
3/08E
87,140
101,143
116,872
9,713
9,613
11,171
48.6
48.1
55.9
20.8
-1.0
16.2
15.7
15.8
13.6
7.6
6.1
5.1
48.3
38.6
37.4
60.7
49.1
48.4
1.5
1.3
1.1
9.7
10.2
8.3
?
?
?
?
?
?
?
We expect total volumes to increase by 12.3% YoY in 3QFY07, leading to sales growth of 13.4% to Rs26.2b. For
FY07, we expect total two-wheeler sales of 3.5m units (15.3% growth).
We expect operating margins for the quarter to decline by 370bp YoY to 12.6%, resulting in EBITDA of Rs3.3b. We
estimate PAT at Rs2.4b, a -ve 9.6% YoY decline.
New launches resulting in higher advertising costs, aggressive promotional offers and subvention at 0% interest will
continue to squeeze margins.
Hero Honda has launched a new CD Deluxe, which will be in direct competition with Bajaj Auto’ Platina. Prior to
s
this, it has launched CBZ-Xtreme and Glamour FI.
Hero Honda’ new plant in Haridwar with an initial capacity of 0.5m units is expected to be completed by mid-2007.
s
We expect Hero Honda to report volume growth of 15.1% CAGR over FY06-FY08. It remains the market leader,
although Bajaj Auto has been registering a faster rate of growth. Hero Honda’ share among the top three players
s
has slid 400bp YoY to 49.1% for April-November 2006.
The stock is currently trading at 15.8x FY07E EPS of Rs48.1 and 13.6x FY08E EPS of Rs55.9. We maintain
Neutral.
(RS MILLION)
FY06
1Q
2Q
3Q
4Q
1Q
2Q
FY07
3QE
4QE
FY06
FY07E
QUARTERLY PERFORMANCE
Y/E MARCH
Total Volumes (nos)
Change (%)
Net Sales
Change (%)
Total Cost
EBITDA
As % of Sales
Change (%)
Other Income
Interest
Depreciation
PBT
Tax
Effective Tax Rate (%)
PAT
Adj. PAT
Change (%)
E: MOSt Estimates
687,567
12.9
19,771
14.8
16,848
2,923
14.8
2.4
306
3
250
2,975
937
31.5
2,039
2,039
7.2
742,425
20.8
21,663
23.3
18,327
3,336
15.4
21.3
431
-8
267
3,508
1,129
32.2
2,379
2,379
22.4
798,301
12.1
23,148
15.6
19,367
3,781
16.3
21.6
360
-11
324
3,827
1,209
31.6
2,618
2,618
19.6
772,457
12.7
22,559
16.3
18,953
3,606
16.0
23.0
466
-45
305
3,812
1,134
29.8
2,678
2,678
29.4
832,692
21.1
23,644
19.6
20,454
3,190
13.5
9.1
523
-33
323
3,423
1,045
30.5
2,377
2,377
16.6
751,967
1.3
22,300
2.9
19,465
2,835
12.7
-15.0
595
-65
344
3,151
991
31.5
2,160
2,160
-9.2
896,113
12.3
26,244
13.4
22,937
3,307
12.6
-12.5
450
-40
355
3,442
1,075
31.2
2,367
2,367
-9.6
977,920
26.6
28,956
28.4
25,290
3,666
12.7
1.7
566
-56
372
3,916
1,208
30.8
2,709
2,709
1.2
3,000,750 3,458,692
14.5
87,140
17.4
73,495
13,645
15.7
17.2
1,563
-61
1,146
14,122
4,409
31.2
9,713
9,713
20.8
15.3
101,143
16.1
88,146
12,997
12.9
-4.7
2,134
-194
1,394
13,931
4,319
31.0
9,613
9,613
-1.0
Amit Kasast (AKasat@MotilalOswal.com);Tel:+91 22 3982 5411/ Rohan A Korde (RohanKorde@MotilalOswal.com); Tel: + 91 22 3982 5414
29 December 2006
57

Results Preview
SECTOR: AUTOMOBILES
Mahindra & Mahindra
STOCK INFO.
BLOOMBERG
REUTERS CODE
BSE Sensex: 13,787 MM IN
S&P CNX: 3,966
MAHM.BO
29 December 2006
Previous Recommendation: Buy
YEAR
END
NET SALES
(RS M)
PAT
(RS M)
EPS
(RS)
CON.
EPS (RS)
P/E
(X)
CON.
P/E (X)
ROE
(%)
ROCE
(%)
EV/
Buy
Rs906
EV/
SALES EBITDA
Equity Shares (m)
52-Week Range
1,6,12 Rel. Perf. (%)
M.Cap. (Rs b)
M.Cap. (US$ b)
255.9
910/488
10/16/30
231.8
5.2
3/06A
3/07E
3/08E
81,412
97,488
105,665
6,479
9,171
10,255
25.3
35.8
40.1
37.8
53.8
65.1
35.8
25.3
22.6
24.0
16.8
13.9
22.3
25.2
23.8
22.1
26.3
25.5
2.5
1.9
1.7
22.1
14.7
12.7
?
?
?
?
?
?
We expect M&M to report overall volume growth of 17.7% for 3QFY07, driven by strong growth in tractors
(+17.1% YoY), LCVs (+40.6% YoY) and three-wheelers (+33.4% YoY). However, Scorpio and UV sales (ex-
Scorpio) are expected to be moderate, with lower growth rates of 9.4% and 15.1% respectively in 3Q.
Net sales for the quarter should grow by 19.8% YoY to Rs26.2b. We expect margins to improve by 110bp YoY at
13.2%, resulting in a 31.2% growth in EBITDA at Rs3.5b, and adjusted PAT of Rs2.6b — a growth of 43.6% YoY.
In FY07, we expect M&M to deliver 19.7% net sales growth at Rs97.5b with corresponding net profit growth of
41.5% at Rs9.2b.
M&M’ new JV with Renault to manufacture 0.5m cars in India by 2012 will establish its presence in the fast-
s
growing passenger car segment.
M&M enjoys market leadership in both utility vehicles and tractors. Given the rural bias for its product mix, we
expect the company to benefit significantly from the government’ thrust on development of the rural economy. We
s
expect 13.4% CAGR over FY06-FY08 in its overall vehicle volumes.
M&M trades at a discount to most peers. The stock is trading at 16.8x FY07E and 13.9x FY08E consolidated
earnings of Rs53.8 and Rs65.1 respectively. We maintain
Buy.
(RS MILLION)
FY06
1Q
2Q
3Q
4Q
1Q
2Q
FY07
3QE
4QE
FY06
FY07E
QUARTERLY PERFORMANCE
Y/E MARCH
Total Volumes (nos)
Change (%)
Total Income
Change (%)
Total Cost
EBITDA
As % of Sales
Change (%)
Non-Operating Income
Extraordinary Income
Extraordinary Expense
Interest
Gross Profit
Less: Depreciation
PBT
Tax
Effective Tax Rate (%)
PAT
Change (%)
Adj PAT
Change (%)
52,421
13.3
18,119
27.3
16,190
1,929
10.6
19.9
204
0
15
-54
2,171
466
1,705
253
14.8
1,453
39.8
1,468
61.5
53,746
10.7
19,148
23.2
16,966
2,182
11.4
16.4
294
0
15
-48
2,509
466
2,043
472
23.1
1,572
27.8
1,587
27.9
62,845
12.7
21,867
23.4
19,231
2,636
12.1
24.5
403
689
15
-21
3,734
558
3,175
841
26.5
2,334
75.3
1,790
33.0
65,587
9.6
22,278
16.6
20,159
2,119
9.5
0.5
953
1,411
-37
-61
4,581
509
4,071
859
21.1
3,212
110.7
1,634
4.6
62,426
19.1
22,172
22.4
19,660
2,512
11.3
30.2
454
190
15
-147
3,288
463
2,825
784
27.7
2,042
40.6
1,867
27.2
66,708
24.1
24,501
28.0
21,209
3,292
13.4
50.9
478
1,393
0
-155
5,318
501
4,817
952
19.8
3,865
145.9
2,472
55.8
73,971
17.7
26,188
19.8
22,731
3,457
13.2
31.2
400
0
0
-40
3,897
575
3,322
750
22.6
2,572
10.2
2,572
43.6
71,076
8.4
24,626
10.5
21,404
3,223
13.1
52.1
563
0
0
-58
3,844
591
3,253
993
30.5
2,260
-29.6
2,260
38.3
234,599
26.0
81,412
22.2
72,546
8,865
10.9
15.0
1,854
2,100
8
-184
12,995
2,000
10,995
2,424
22.0
8,570
47.1
6,479
28.6
274,181
16.9
97,488
19.7
85,004
12,484
12.8
40.8
1,895
1,583
15
-400
16,347
2,130
14,217
3,478
24.5
10,739
25.3
9,171
41.5
E: MOSt Estimates
Amit Kasast (AKasat@MotilalOswal.com);Tel:+91 22 3982 5411/ Rohan A Korde (RohanKorde@MotilalOswal.com); Tel: + 91 22 3982 5414
29 December 2006
58

Results Preview
SECTOR: AUTOMOBILES
Maruti Udyog
STOCK INFO.
BLOOMBERG
REUTERS CODE
BSE Sensex: 13,787 MUL IN
S&P CNX: 3,966
MRTI.BO
29 December 2006
Previous Recommendation: Buy
Buy
Rs927
EPS
P/E
(X)
P/BV
(X)
ROE
(%)
ROCE
(%)
EV/
EV/
SALES EBITDA
EPS
(RS) GROWTH (%)
Equity Shares (m)
52-Week Range
1,6/12 Rel. Perf. (%)
M.Cap. (Rs b)
M.Cap. (US$ b)
289.0
991/571
0/-14/-1
268.0
6.1
YEAR
END
NET SALES
(RS M)
PAT
(RS M)
3/06A 122,500
3/07E
3/08E
143,446
166,006
12,118
15,694
18,219
41.9
54.3
63.0
42.0
29.5
16.1
22.1
17.1
14.7
4.9
3.9
3.2
21.8
22.8
21.5
32.2
32.9
31.2
1.9
1.6
1.3
12.9
10.0
8.1
?
?
?
?
?
?
?
Maruti’ volumes are expected to increase by 18.7% in 3QFY07; the A2 segment (Alto, Swift etc.) being the best
s
performer yet again.
Sales for the quarter should grow by 19.9% to Rs37.3b. We expect a 60bp YoY and 30bp QoQ decline in the
EBITDA margins to 15.7% on account of 1.5% increase on commodity contracts in 2Q.
As a result, we expect an EBITDA to be Rs5.9b (+15.7% YoY) and PAT of Rs4b (+17.3% YoY)
Maruti’ dominance in the small and compact car segment would help it to outpace industry growth in these segments
s
in FY07. Besides, its debut in the diesel car segment and launch of the new Zen Estilo would help increase share. We
expect volumes to grow at 14.1% CAGR over FY06-FY08.
Even though negotiations with Nissan are broken, Maruti’ own export plans remain on track — a car targeted at the
s
European market in FY09; and entry into the South African market in FY08.
The company has an investment outlay of Rs90b for various projects spread over four years.
We remain positive on Maruti’ growth prospects and forecast stable margins over next two years. We estimate EPS
s
at Rs54.3 for FY07 and Rs63 for FY08. The stock is trading at 17.1x FY07E and 14.7x FY08E earnings.
Buy.
(RS MILLION)
FY06
1Q
2Q
3Q
4Q
1Q
2Q
FY07
3QE
4QE
FY06
FY07E
QUARTERLY PERFORMANCE
Y/E MARCH
Total Volumes (nos)
Change (%)
Total Income
Change (%)
Other Operating Income
Total Cost
EBITDA
As % of Sales
Change (%)
Non-Operating Income
Extraordinary Expense
Interest
Gross Profit
Less: Depreciation
PBT
Tax
Effective Tax Rate (%)
PAT
Adjusted PAT
Change (%)
121,863
-1.4
26,271
6.0
393
23,024
3,641
13.9
11.6
589
0
91
4,139
783
3,356
1,091
32.5
2,265
2,265
32.5
140,540
8.2
30,399
15.7
450
26,901
3,948
13.0
11.0
495
0
61
4,382
665
3,717
1,236
33.3
2,481
2,481
35.1
145,016
6.6
31,142
10.8
426
26,483
5,085
16.3
26.6
640
0
17
5,708
681
5,027
1,637
32.6
3,390
3,390
41.4
154,400
5.2
33,059
8.6
360
27,915
5,503
16.6
20.7
1,006
349
34
6,126
725
5,400
1,645
30.5
3,755
3,982
53.5
144,948
18.9
31,255
19.0
602
26,689
5,168
16.5
42.0
831
0
33
5,967
641
5,326
1,630
30.6
3,696
3,696
63.2
157,683
12.2
34,006
11.9
798
29,376
5,428
16.0
37.5
605
60
31
5,942
596
5,346
1,672
31.3
3,674
3,713
49.7
172,181
18.7
37,345
19.9
650
31,482
5,863
15.7
15.3
675
0
35
6,503
635
5,868
1,890
32.2
3,978
3,978
17.3
171,333
11.0
38,071
15.2
719
33,235
6,205
16.3
12.8
782
0
31
6,956
643
6,313
2,007
31.8
4,306
4,306
8.1
561,819
4.8
120,871
10.5
1,629
104,323
18,177
15.0
18.6
2,730
349
204
20,354
2,854
17,500
5,609
32.1
11,891
12,118
36.5
646,145
15.0
140,677
17.1
2,769
120,781
22,665
16.1
24.7
2,893
60
129
25,368
2,515
22,854
7,199
31.5
15,655
15,694
31.7
E: MOSt Estimates
Amit Kasast (AKasat@MotilalOswal.com);Tel:+91 22 3982 5411/ Rohan A Korde (RohanKorde@MotilalOswal.com); Tel: + 91 22 3982 5414
29 December 2006
59

Results Preview
SECTOR: AUTOMOBILES
Punjab Tractors
STOCK INFO.
BLOOMBERG
REUTERS CODE
BSE Sensex: 13,787 PJT IN
S&P CNX: 3,966
PTRA.BO
29 December 2006
Previous Recommendation: Neutral
Neutral
Rs250
P/E
(X)
P/BV
(X)
ROE
(%)
ROCE
(%)
EV/
EV/
SALES EBITDA
EPS
EPS
(RS) GROWTH (%)
Equity Shares (m)
52-Week Range
1,6,12 Rel. Perf. (%)
M.Cap. (Rs b)
M.Cap. (US$ b)
60.8
293/191
4/-11/-31
15.2
0.3
YEAR
END
NET SALES
(RS M)
PAT
(RS M)
3/06A
3/07E
3/08E
9,585
10,408
11,490
724
906
1,016
11.9
14.9
16.7
15.1
25.2
12.1
21.0
16.7
14.9
2.7
2.4
2.2
12.7
14.4
14.6
18.9
19.7
20.5
1.6
1.4
1.2
11.9
10.2
8.9
?
For 3QFY07, we expect Punjab Tractors to post volume growth of 8%. The company has been lagging industry
growth rate. It has lost market share to competitors owing to its absence in the fast growing 41HP-50HP segment.
We estimate sales for the quarter at Rs2.9b (up 11.2%) and operating margin at 14.4% (20bp expansion), resulting in
EBITDA of Rs412m (up 13%). PAT is likely to grow 26.2% to Rs262m.
We expect the company to report EPS of Rs14.9 for FY07 and Rs16.7 for FY08.
The stock is trading at 16.7x FY07E and 14.9x FY08E earnings. We maintain
Neutral.
?
?
?
QUARTERLY PERFORMANCE
Y/E MARCH
1Q
2Q
FY06
3Q
4Q
1Q
2Q
FY07
3QE
4QE
(RS MILLION)
FY06
FY07E
Total Volumes (nos)
Net Sales
Change (%)
Total Cost
EBITDA
As a % of Sales
Change (%)
Non-operating Income
Extraordinary Income
Interest
Gross Profit
Less: Depreciation
PBT
Tax
Effective Tax Rate (%)
PAT
Adj PAT
Change (%)
E: MOSt Estimates
7,820
2,380
19.0
2,125
255
10.7
20.3
0
613
15
853
40
813
106
13.0
707
138
38.0
6,847
2,121
11.8
1,863
258
12.2
43.3
44
0
18
284
38
246
78
31.7
168
168
55.6
8,600
2,575
2.6
2,210
365
14.2
-3.2
0
0
18
347
38
309
101
32.7
208
208
-1.0
8,129
2,514
6.8
2,131
383
15.2
3.6
3
0
13
373
36
337
126
37.5
210
210
-0.2
8,192
2,436
2.4
2,135
301
12.4
18.0
2
0
5
298
38
260
83
31.9
177
177
28.3
6,974
2,226
5.0
1,950
276
12.4
7.0
40
0
8
308
38
270
87
32.2
183
183
8.9
9,288
2,864
11.2
2,452
412
14.4
13.0
3
0
10
405
41
364
102
28.0
262
262
26.2
9,140
2,881
14.6
2,450
432
15.0
12.7
14
0
12
434
43
391
107
27.4
284
284
35.0
31,847
9,585
11.7
8,325
1,261
13.2
10.7
46
613
64
1,856
152
1,704
411
24.1
1,293
724
15.1
33,594
10,408
8.6
8,986
1,421
13.7
12.7
59
0
35
1,445
160
1,286
379
29.5
906
906
25.2
Amit Kasast (AKasat@MotilalOswal.com);Tel:+91 22 3982 5411/ Rohan A Korde (RohanKorde@MotilalOswal.com); Tel: + 91 22 3982 5414
29 December 2006
60

Results Preview
SECTOR: AUTOMOBILES
Swaraj Mazda
STOCK INFO.
BLOOMBERG
REUTERS CODE
BSE Sensex: 13,787 SM IN
S&P CNX: 3,966
SWRJ.BO
29 December 2006
Previous Recommendation: Neutral
Neutral
Rs328
P/E
(X)
P/BV
(X)
ROE
(%)
ROCE
(%)
EV/
EV/
SALES EBITDA
EPS
EPS
(RS) GROWTH (%)
Equity Shares (m)
52-Week Range
1,6,12 Rel. Perf. (%)
M.Cap. (Rs m)
M.Cap. (US$ m)
10.5
435/206
-11/16/-59
3,442.0
77.7
YEAR
END
NET SALES
(RS M)
PAT
(RS M)
3/06A
3/07E
3/08E
6,125
6,421
7,071
167
148
191
15.9
14.1
18.2
-31.2
-11.2
29.1
20.6
23.2
18.0
5.2
4.8
4.2
25.2
20.5
23.2
17.7
15.9
17.6
0.7
0.7
0.6
12.7
13.0
11.5
?
We expect Swaraj Mazda to report volume decline of 7.5% for 3QFY07 due to drop in sales of light commercial
goods vehicles. Net sales should decline by 2.9% to Rs1.5b.
While EBITDA margins have been under pressure in FY07, due to poor operating performance in 3QFY06, we
expect 110bp improvement in the EBITDA margins to 6%. We estimate PAT at Rs41m (up 19.8%).
Swaraj is increasing its production capacity from 12,000 units a year to 36,000 units per year over the next 2-3 years.
We estimate EPS at Rs14.1 for FY07 and at Rs18.2 for FY08.
Currently, Swaraj is facing pressure on its operating margins. It is also incurring huge capex over the next 2-3 years.
We expect margin and capex pressures to affect profitability. Our recommendation is
Neutral.
(RS MILLION)
FY06
1Q
2Q
3Q
4Q
1Q
2Q
FY07
3QE
4QE
FY06
FY07E
?
?
?
?
QUARTERLY PERFORMANCE
Y/E MARCH
Net Sales
Change (%)
Total Cost
EBITDA
As % of Sales
Change (%)
Interest
Gross Profit
Depreciation
PBT
Tax
Tax Rate (%)
PAT
Adj. PAT
Change (%)
E: MOSt Estimates
1,477
10.0
1,356
121
8.2
20.6
13
108
7
101
34
33.7
67
67
16.9
1,485
6.7
1,380
105
7.1
-8.7
13
92
7
85
30
33.5
55
55
-15.4
1,591
15.0
1,513
78
4.9
-28.4
20
58
7
51
17
33.1
34
34
-41.4
1,573
-11.7
1,524
49
3.1
-58.9
27
22
6
16
4
25.3
12
12
-81.1
1,181
-20.0
1,150
31
5.5
-74.4
19
12
6
6
4
70.0
2
2
-97.3
1,710
15.2
1,612
98
5.7
-6.7
24
74
7
67
18
26.6
49
49
-10.5
1,545
-2.9
1,453
93
6.0
18.9
15
78
8
70
29
33.1
41
41
19.8
1,985
34.4
1,881
104
5.3
113.5
17
87
9
78
22
28.0
56
56
378.1
6,118
23.3
5,773
345
5.6
-21.5
73
272
27
252
85
35.8
167
167
-31.2
6,421
5.0
6,095
326
5.1
-5.6
75
251
30
221
73
33.0
148
148
-11.2
Amit Kasast (AKasat@MotilalOswal.com);Tel:+91 22 3982 5411/ Rohan A Korde (RohanKorde@MotilalOswal.com); Tel: + 91 22 3982 5414
29 December 2006
61

Results Preview
SECTOR: AUTOMOBILES
Tata Motors
STOCK INFO.
BLOOMBERG
REUTERS CODE
BSE Sensex: 13,787 TTMT IN
S&P CNX: 3,966
TAMO.BO
29 December 2006
Previous Recommendation: Buy
Buy
Rs900
CON.
EPS (RS)
P/E
(X)
CON.
P/E (X)
ROE
(%)
ROCE
(%)
EV/
EV/
SALES EBITDA
EPS
(RS)
Equity Shares (m)
52-Week Range
1,6,12 Rel. Perf. (%)
M.Cap. (Rs b)
M.Cap. (US$ b)
402.8
997/610
11/-17/-9
362.6
8.2
YEAR
END
NET SALES
(RS M)
PAT
(RS M)
3/06A 206,022
3/07E
3/08E
268,696
302,522
14,278
19,499
21,960
37.0
49.7
54.5
42.9
57.2
66.0
21.0
18.1
16.5
21.0
15.7
13.6
25.8
28.7
26.4
26.0
31.2
29.2
1.7
1.2
1.1
13.2
9.8
8.6
?
?
?
?
?
We expect Tata Motor to post 27.1% volume growth in 3QFY07, led by 33.7% growth in M&HCVs and 40.1%
growth in LCV sales.
We estimate sales at Rs66.1b (up 30.3%) and EBITDA at Rs8.5b (up 27.9%), with EBITDA margins improving
100bp QoQ to 12.8%, but marginally declining 20bp YoY. This would result in PAT of Rs4.8b (up 53.8%) for 3QFY07.
We expect Tata Motor’ CV portfolio to post 23% CAGR over FY06-FY08, driven by growth of 26.2% in LCVs and
s
20.5% in M&HCVs. We expect its passenger vehicle portfolio to post 13.5% CAGR in volumes over FY06-FY08.
However, we expect EBITDA margin to remain flattish over the same period.
Tata Motor would be a key beneficiary of the positive outlook for the CV industry. While the pick-up in CV volumes
is evident, operating leverage and cost saving initiatives will help margin expansion. We estimate consolidated EPS at
Rs57.2 for FY07 and Rs66 for FY08.
The stock is trading at 15.7x FY07E and 13.6x FY08E consolidated earnings. We maintain
Buy.
(RS MILLION)
FY06
1Q
2Q
3Q
4Q
1Q
2Q
FY07
3QE
4QE
FY06
FY07E
QUARTERLY PERFORMANCE
Y/E MARCH
Total Volumes (nos)
Change (%)
Total Income
Change (%)
Total Cost
EBITDA
As % of Sales
Change (%)
Non-Operating Income
Forex Gain / (Loss)
Extraordinary Income
Extraordinary Expense
Interest
Gross Profit
Depreciation & Amort.
Product Dev. Expenses
PBT
Tax
Effective Tax Rate (%)
PAT
Change (%)
Adj PAT
Change (%)
E: MOSt Estimates
87,492
3.0
38,781
8.5
34,048
4,733
12.2
-8.0
583
145
0
10
510
4,940
1,267
74
3,600
873
24.3
2,727
22.1
2,737
22.1
107,061
12.0
47,813
15.3
41,857
5,956
12.5
14.0
580
-196
0
10
461
5,870
1,272
58
4,540
1,161
25.6
3,379
9.3
3,389
16.3
111,228
12.7
50,746
16.3
44,129
6,617
13.0
27.5
41
-386
1,643
10
601
7,303
1,308
77
5,918
1,315
22.2
4,602
45.6
3,133
-1.2
148,564
23.4
68,683
28.6
59,975
8,708
12.7
35.2
44
366
97
155
692
8,368
1,363
529
6,476
1,895
29.3
4,581
18.0
5,020
25.8
126,154
44.2
57,835
49.1
50,329
7,506
13.0
58.6
859
-783
0
242
726
6,614
1,411
103
5,100
1,282
25.1
3,819
40.0
3,976
45.3
140,124
30.9
65,718
37.4
57,939
7,779
11.8
30.6
848
254
0
316
956
7,610
1,435
175
5,999
1,582
26.4
4,417
30.7
4,623
36.4
141,393
27.1
66,120
30.3
57,657
8,463
12.8
27.9
150
0
0
0
550
8,063
1,480
90
6,493
1,675
25.8
4,818
4.7
4,818
53.8
164,347
10.6
79,022
15.1
68,657
10,365
13.1
19.0
233
0
0
0
558
10,040
1,516
432
8,093
2,011
24.9
6,081
32.8
6,081
21.1
454,345 565,626
13.7
31.7
26,014
12.6
18.2
1,248
-72
1,740
185
2,264
26,481
5,209
738
20,534
5,245
25.5
15,289
23.6
14,278
14.6
24.5
30.4
34,114
12.7
31.1
2,091
-529
0
558
2,790
32,327
5,842
800
25,686
6,550
25.5
19,136
25.2
19,499
36.6
206,022 268,696
180,009 234,582
Amit Kasast (AKasat@MotilalOswal.com);Tel:+91 22 3982 5411/ Rohan A Korde (RohanKorde@MotilalOswal.com); Tel: + 91 22 3982 5414
29 December 2006
62

Results Preview
SECTOR: AUTOMOBILES
TVS Motor
STOCK INFO.
BLOOMBERG
REUTERS CODE
BSE Sensex: 13,787 TVSS IN
S&P CNX: 3,966
TVSS.BO
29 December 2006
Previous Recommendation: Neutral
Neutral
Rs87
P/E
(X)
P/BV
(X)
ROE
(%)
ROCE
(%)
EV/
EV/
SALES EBITDA
EPS
EPS
(RS) GROWTH (%)
Equity Shares (m)
52-Week Range
1,6,12 Rel. Perf. (%)
M.Cap. (Rs b)
M.Cap. (US$ b)
237.5
187/78
-11/-41/-59
20.7
0.5
YEAR
END
NET SALES
(RS M)
PAT
(RS M)
3/06A
3/07E
3/08E
32,350
38,692
44,364
1,073
1,148
1,420
4.5
4.8
6.0
-22.0
7.0
23.8
19.3
18.1
14.6
2.7
2.4
2.2
14.0
13.5
14.9
13.2
13.4
14.6
0.6
0.5
0.5
10.2
9.5
8.1
?
We expect TVS Motor to post muted volume growth of 1.4% in 3QFY07; motorcycles – key volume growth driver
in 1HFY07 - degrew by 1.1%.
We expect sales growth of 3.4% to Rs9b and EBITDA margin of 6.8%, resulting in EBITDA of Rs613m. Net profit
should register 2.4% growth to Rs318m.
Apart from the newly launched models: Scooty, Teenz and Star Eelctric Start, TVS is to launch an Apache variant.
The company plans to launch new variants/models on a regular basis.
TVS Motor’ sales lagged the last two years’performance due to subdued performance in motorcycles. The company
s
is now consolidating its position across the motorcycle segment and is putting in place a strong product portfolio,
which is likely to drive growth going forward. However, we believe operating performance remains a concern.
We expect TVS Motor to report EPS of Rs4.8 for FY07 and Rs6 for FY08. The stock is trading at 18.1x FY07E EPS
and 14.6x FY08E EPS. We maintain
Neutral.
(RS MILLION)
FY06
1Q
2Q
3Q
4Q
1Q
2Q
FY07
3QE
4QE
FY06
FY07E
?
?
?
?
QUARTERLY PERFORMANCE
Y/E MARCH
Total Volumes (nos)
Net Sales
Change (%)
Total Cost
EBITDA
As % of Sales
Change (%)
Other Income
Interest
Depreciation
Extraordinary Gain / (Expense)
PBT
Tax
Effective Tax Rate (%)
PAT
Change (%)
Adj.PAT
Change (%)
E: MOSt Estimates
307,425
7,351
20.3
6,854
497
6.8
-11.7
115
24
227
0
361
112
31.0
249
-8.4
249
-8.4
325,530
7,892
6.2
7,433
459
5.8
-31.9
164
27
231
97
463
144
31.0
320
-6.7
223
-35.0
358,559
8,714
8.4
8,107
607
7.0
14.7
120
35
242
0
450
140
31.0
311
10.1
311
10.1
350,689
8,393
16.8
7,911
482
5.7
37.8
214
46
240
0
410
120
29.1
291
-39.3
291
164.5
376,331
9,218
25.4
8,802
416
4.5
-16.3
178
60
233
0
301
89
29.5
213
-14.6
213
-14.6
419,195
10,779
36.6
10,219
560
5.2
21.9
109
62
244
0
363
114
31.5
248
-22.3
248
11.6
363,670
9,015
3.5
8,402
613
6.8
1.0
160
40
265
0
468
150
32.1
318
2.4
318
2.4
406,398
9,680
15.3
9,042
638
6.6
32.4
221
50
289
0
519
151
29.0
369
26.7
369
26.7
1,342,203 1,565,594
32,350
12.5
30,305
2,045
6.3
-3.4
613
131
939
97
1,684
515
30.5
1,170
-15.0
1,073
-22.0
38,692
19.6
36,465
2,227
5.8
8.9
668
212
1,032
0
1,651
504
30.5
1,148
-1.9
1,148
7.0
Amit Kasast (AKasat@MotilalOswal.com);Tel:+91 22 3982 5411/ Rohan A Korde (RohanKorde@MotilalOswal.com); Tel: + 91 22 3982 5414
29 December 2006
63

Results Preview
QUARTER ENDED DECEMBER 2006
Banking
BSE Sensex: 13,787
COMPANY NAME
S&P CNX: 3,966
PG.
29 December 2006
Andhra Bank
Bank of Baroda
Bank of India
Canara Bank
Corporation Bank
HDFC
HDFC Bank
ICICI Bank
Indian Overseas Bank
J&K Bank
Karnataka Bank
Oriental Bank
Punjab National Bank
State Bank
Syndicate Bank
Union Bank
UTI Bank
Vijaya Bank
73
74
75
76
77
78
79
80
81
82
83
84
85
86
87
88
89
90
Credit growth continues to remain strong despite RBI having adopted a slew of measures
to curb liquidity: (1) hike in reverse repo to curb excess liquidity; (2) hike in the repo rate
to make borrowings expensive; and (3) increase in CRR to shrink liquidity in the system.
However, these measures have failed to make any significant difference to the sector
loan growth yet, still running strong at 28% YoY.
The key challenge before banks is to mobilize deposits at an equally strong and sustainable
pace so as to continue funding the strong credit growth. Deposit costs have increased,
as both retail deposits rate coupled with bulk borrowings rates have been on an increasing
trend. While margins are expected to remain stable as banks have raised their PLR
(lending rates) in line with the rise in deposit costs.
With fee income growth expected to remain strong, lower opex growth and lower
provisioning could result in a strong profitability growth for few state owned banks. We
like banks which are strong in liability franchise, growing at a steady pace, and hence
likely to protect margins.
Amongst state-owned banks, we prefer
PNB
and
BoI
(the only large cap with FII limit
still open) among large cap banks, while we like
IOB
and
Andhra Bank
amongst mid-
cap state-owned banks. Amongst private banks, we maintain
Buy
on
ICICI,
despite the
run-up, as valuations offer further room to improve. For 3QFY07 we expect our universe
of stocks to report average growth of 10% in net interest income (NII) and 17% growth
in net profit.
(RS MILLION)
NET INTEREST INCOME
DEC.06
CHG. (%)
OPERATING PROFIT
DEC.06
CHG. (%)
NET PROFIT
DEC.06
CHG. (%)
EXPECTED QUARTERLY PERFORMANCE SUMMARY
RECO
Banks
Andhra Bank
Bank of Baroda
Bank of India
Canara Bank
Corporation Bank
HDFC
HDFC Bank
ICICI Bank
Indian Overseas Bank
J&K Bank
Karnataka Bank
Oriental Bank
Punjab National Bank
State Bank
Syndicate Bank
Union Bank
UTI Bank
Vijaya Bank
Sector Aggregate
Buy
Buy
Buy
Buy
Sell
Neutral
Neutral
Buy
Buy
Buy
Buy
Neutral
Buy
Buy
Neutral
Buy
Buy
Neutral
3,467
9,169
8,555
10,281
3,375
5,038
8,858
16,929
6,218
2,022
965
4,283
14,006
39,555
5,085
6,553
3,852
2,721
150,933
17.2
12.4
30.3
7.3
2.7
22.2
32.1
30.8
18.3
25.6
-1.3
8.4
16.0
-6.3
-4.9
2.5
34.0
4.7
9.7
2,341
5,861
4,977
7,133
2,555
4,393
7,260
17,192
4,337
1,441
860
3,072
8,516
26,502
3,011
4,265
3,142
1,691
108,549
15.3
22.7
32.8
2.0
5.8
22.9
40.3
43.9
18.4
35.9
10.0
2.8
55.3
1.9
3.5
-0.4
22.6
-1.1
17.9
1,491
2,780
2,084
4,112
1,312
3,418
2,935
8,044
2,393
702
502
2,003
4,547
11,774
1,785
2,140
1,712
820
54,556
15.7
37.5
45.6
15.4
14.0
20.1
30.8
25.7
21.3
38.6
21.0
-2.1
22.8
5.6
-5.0
-6.6
30.0
39.5
16.5
Manish Karwa (Mkarwa@MotilalOswal.com);Tel:+91 22 3982 5409/Rajat Rajgarhia (Rajat@MotilalOswal.com);Tel:+91 22 3982 5441
29 December 2006
64

Banking
Higher deposit rates improve deposit accretion in FY07 over FY06 …
Nearly all domestic banks have raised deposit rates by ~75bp-200bp since 4QFY06 resulting
in the rates being now comparable with the small savings rate. Consequently, the YoY
growth in deposit rate has picked up from 16%-17% in FY06 to 20%-21% in FY07.
… nonetheless deposit raising remains a key challenge
Banks are competing with higher-return and more tax-efficient options such as mutual
funds and insurance plans. This is reflected in the sharp rise in demand for corporate
certificates of deposits. Thus, banks in the race for size will have to fund credit growth
with term/bulk deposits, thereby exposing them to lower NIMs.
Banks that are able to improve CASA deposits will be better placed to expand their NIMs
as they can reduce their reliance on bulk deposits. Currently, bulk deposits (6m-12m) cost
9.0%-9.5%, as opposed to the blended cost of about 2%-2.5% for CASA and 7%-8% for
retail term deposits. In our view, banks that grow their credit portfolio at ~22%-24%
should not face hurdles whilst mobilizing a prudent mix of deposits at a marginally higher
cost compared with the existing cost structure. However, banks that grow at a rate higher
than the industry average or have a low proportion of low-cost deposits will face a squeeze
on their net interest margins (NIM).
The multiple alternate options available to consumers is limiting spread of their resources,
hence we believe deposit raising is likely to be the key challenge for Indian banks. We
believe banks with a higher number of branches are likely to be key beneficiaries in terms
of raising core deposits in the next few quarters.
DEPOSITS GROWTH STEADY AT ~21% YOY IN 3QFY07
24,000
21,750
19,500
17,250
15,000
Deposits (Rs b) - LHS
Chg Y oY (%) - RHS
24
21
18
15
12
Source: RBI/Motilal Oswal Securities
29 December 2006
65

Banking
With incremental credit / deposit ratio still running at 92% YoY and 77% YTD, the overall
credit / deposit ratio has increased to 72%. This clearly indicates that the banking sector
can actually grow its loan book at >28% with 18%-20% deposit growth only for FY07.
We believe that post FY07, loan growth will probably mirror deposit growth. This itself
shall moderate loan growth FY08 onward.
System loan growth remains strong at 28%+ YoY; RBI concerned ...
The Indian banking system is witnessing robust credit growth over the last 24 months.
Until now, loan growth, has been sustained at 28%-30% YoY. Non-food credit, which is
~97% of the total credit, has been growing faster. This has led the RBI to intervene at
regular intervals by hiking repo and reverse repo rates, CRR balances etc.
… expect moderation, on back of higher interest rates and tightening
liquidity; but structural story sound
The key drivers of the Indian credit growth story have been: favorable macro environment
with strong GDP/industrial growth, de-leveraged corporate balance sheets at the time of
capacity expansions, under-leveraged consumers with rising disposable income and the
relatively lower interest rates.
The only change has been a rise in interest rates, with the structural story still sound.
Indian interest rates have increased by >300bp from the lows and this rise has not had any
impact on credit growth so far. While we believe that rising interest rates could moderate
the current credit growth of 30%+, it is unlikely for the growth to come off sharply.
On the contrary, we believe that concerns on asset quality will tend to reduce and funding
profile for banks will improve if loan growth moderates to 24%-25%.
NON-FOOD LOAN GROWTH SCALING DOWNWARDS
18,000
15,500
13,000
10,500
8,000
NFC (Rs b) - LHS
Chg Y oY (%) - RHS
40
32
24
16
8
Source: RBI/Motilal Oswal Securities
29 December 2006
66

Banking
Margins - better liability management and strong franchise to aid margins
Average yield on loans for 2QFY07 was 50bp-75bp higher versus a year ago. It also has
risen in comparison with 1QFY07. Yield expansion is the result of increases in lending
rates effected through a combination of increases in the benchmark PLR and shrinking
discounted rates on loans priced below PLR. Rates on home loans and other retail loans
have risen by 1%-2% over the past six months.
Banks that went overboard to raise term/bulk deposits in 4Q & 1Q were impacted on the
margin front, nonetheless, most have reported expansion in NIMs in 2QFY07. This is
partly the result of bonds raised in the form of subordinate debt, at a cost exceeding that of
deposits to shore up capital adequacy. It also indicates an increase in the cost of deposits.
Going forward, we believe the return of pricing power to banks augurs well for stable-to-
improving NIMs, which should be the key determinant of earnings growth. Given the
strong demand for loans, we believe banks need to recognize that lending growth will not
be difficult, but maintaining NIMs will be, given the intensifying competition for deposits.
In addition, for the first time in the last six years, low-cost demand deposits were higher
than investments in government securities (GSecs). The average cost of CASA balances
is 2.5%-3% v/s around 7.5%-8% yield on G-Secs. This will aid net interest margin expansion.
However, recent CRR hike by 50bp would cause Rs135b to shrink from the system and
could result in margins being impacted as deposit costs will now rise faster. However, with
banks (both private and PSU) have raised their lending rates to offset the higher deposit
costs — this move shall help banks protect their margins to the extent of losses arising
from the CRR hike.
Overall, banks that are growing at a steady pace should be able to maintain/improve
margins. A growing share of low-cost deposits, in our view, is by far the best weapon to
counter the competition in lending rates. However, banks in the race for size/market share
will have to fund asset growth with term and/or bulk deposits, which may expose them to
lower operating RoEs.
Interest rates spurt on back of unexpected 50bp CRR hike
Owing to the recent liquidity crunch in the system due to CRR hike and advance tax
payments, interest rates at the shorter end has risen sharply with call rates moving up to
12%-18% (from 6-7.5% earlier). Increase in CRR by 50bp to 5.5% is to be effected in 2
tranches of 25bp each (effective December 23 and January 7) and will suck out Rs135b
of liquidity from the system. Further, robust advance tax collections (third instalment for
FY07 was due to December 15) have only aggravated the liquidity squeeze in the system.
While CRR hike was sudden and not anticipated by the bankers, even advance tax outflow
have been higher than estimates. Even rates at the longer end have increased post the
CRR hike.
29 December 2006
67

Banking
SUDDEN SPURT IN YIELDS DUE TO CRR HIKE; OVERALL YIELDS MODERATE FROM 2Q
7.8
Result of 50bp CRR hike
7.7
7.6
7.5
7.4
7.3
Source: Bloomberg/Motilal Oswal Securities
CALL MONEY RATES
21
17
13
9
5
Source: RBI/Motilal Oswal Securities
Sensitivity to bond yields have reduced; however stock movement still
tracks bond yields
In the last couple of years, Indian banking stocks have shown a high correlation to bond
yields. We believe this high correlation is about to decline, as the proportion of bonds in the
overall asset portfolio has reduced. Furthermore, around 60%-65% of the bonds are now
in the HTM category, where the premium is amortized over the life of the bond and the
portfolio is not marked to market.
29 December 2006
68

Banking
YIELDS AND BANKEX
147
129
111
93
75
Bankex Index - (LHS)
10 Year G-Sec Yield (%) - (RHS)
8.6
8.2
7.8
7.4
7.0
Source: RBI/Motilal Oswal Securities
Concerns
Near-term impact on cost of deposits will continue to be visible
As short-term interest rates have risen faster than long-term rates - banks are offering
~8.25%+ on maturities below one-year, we believe that in the near term we could see cost
rising much faster for few large banks. However, these banks have raised lending rates to
counter the effect of rising deposit costs.
CRR up by 50bp: to impact banks’ NIIs
RBI has raised CRR by 50bp to 5.5% to be effected in 2 tranches of 25bp each. An
increase of 50bp will result in an additional Rs135b of money to be parked with the RBI by
banks. Banks earn zero rate of interest on their CRR balances. Assuming an average
yield of 8% on assets, banks would lose Rs11b annually. Post tax, the impact would be
Rs8-8.5b. This will impact banks’net interest margins by 4-6bp and their profits will reduce
by 2%-5%.
Repo rate up 25bp in mid-term review of annual policy
RBI raised repo rate (rate at which it lends money to banks) by 25bp to 7.25%, while
reverse repo rates have been kept unchanged at 6%, effectively widening the gap between
repo and reverse repo rates to 125bp. We believe that a hike in repo rate is a subtle signal
to bankers to manage their lending growth rates (currently at 30%) and also to make RBI
borrowings more expensive.
Interest rate risks moderate … . valuations still provide comfort
With interest rates having reversed the uptrend, we do not foresee any substantial spike in
interest rates from here on. We expect the credit growth to remain strong going forward,
although likely to moderate from levels witnessed in the last two years, backed by the
strong demand for credit from both the corporate and the retail sector. With stable liquidity
in the economy and term deposit rates becoming lucrative versus returns on comparable
29 December 2006
69

Banking
products, we expect banking sector deposits to grow by a healthy 18%-20% and this
should be sufficient to support strong credit growth.
Despite the sharp run-up over the last couple of months, valuations at 1-1.5xFY07 BV,
with RoEs in the range of 17%-25%, are comforting. In the current scenario, we recommend
selective buying of banking stocks. Amongst state-owned banks, we like banks which are
strong in the liability franchise, growing at a steady pace and, hence, likely to protect their
margins. We like
PNB
and
BoI
(the only large cap with FII limit still open) among large
cap banks while we prefer
IOB
and
Andhra Bank
among mid-cap state-owned banks.
Among private banks, we maintain
Buy
on
ICICI Bank,
despite the run-up, as valuations
offer further room to improve.
BANKEX 12-MONTH PERFORMANCE RELATIVE TO SENSEX
155
Bankex Index
135
115
Senex Index
95
75
BANKEX 6-MONTH PERFORMANCE RELATIVE TO SENSEX
170
Bankex Index
150
130
110
90
Senex Index
Source: Company/Motilal Oswal Securities
29 December 2006
70

Banking
Key trends
CHANGE IN NON-FOOD CREDIT QOQ
1,800
NFC-Chg. QoQ (Rs b) LHS
Chg Y oY (%) - RHS
38
1,350
31
900
24
450
17
0
10
CHANGE IN DEPOSITS QOQ
1,800
Deposits- Chg. QoQ (Rs b) - LHS
Chg Y oY (%) - RHS
24
1,400
21
1,000
18
600
15
200
12
10-YEAR G-SEC YIELD CURVE (%)
9.5
9.1
8.3
7.9
7.0
7.4
7.4
7.2
6.2
5.8
6.1
5.7
4.5
5.2
5.1
5.2
5.8
6.2
6.6
6.7
6.9
7.1
7.1
7.5
8.1
7.6 7.6
Source: Motilal Oswal Securities
29 December 2006
71

Banking
Stock performance and valuations
STOCK PERFORMANCE (%)
ABSOLUTE PERF
3M
1 YEAR
REL PERF TO SENSEX
3M
1 YEAR
REL PERF TO SECTOR
3M
1 YEAR
Banki ng
Andhra Bank
Bank of Baroda
Bank of India
Canara Bank
Corporation Bank
HDFC
HDFC Bank
ICICI Bank
Indian Overseas Bank
J&K Bank
Karnataka Bank
Oriental Bank of Commerce
Punjab National Bank
State Bank
Syndicate Bank
Union Bank
UTI Bank
Vijaya Bank
RELATIVE PERFORMANCE - 3 MONTH (%)
-9
-17
28
-3
-16
6
16
27
1
38
24
-17
-4
21
-17
-10
24
-17
-6
0
63
15
-4
35
51
52
19
28
40
-16
9
37
-10
0
64
-23
-20
-27
18
-13
-27
-5
5
17
-10
28
13
-27
-14
10
-27
-21
13
-28
-53
-47
16
-32
-51
-12
5
6
-27
-19
-7
-63
-38
-9
-57
-46
17
-69
-21
-29
16
-15
-29
-6
3
15
-11
26
12
-29
-16
9
-29
-22
11
-29
-42
-36
28
-21
-40
-1
16
17
-16
-8
4
-52
-27
2
-46
-35
28
-58
RELATIVE PERFORMANCE - 1 YEAR (%)
Sensex
118
113
108
103
98
Sep-06
Oct-06
MOSt Banking Index
160
140
120
100
80
Dec-05
MOSt Banking Index
Sensex
Nov-06
Dec-06
Mar-06
Jun-06
Sep-06
Dec-06
CMP (RS)
29.12.06
RECO
FY06
EPS (RS)
FY07E
FY08E
FY06
P/E (X)
FY07E
FY08E
FY06
P/BV (X)
FY07E
FY08E
FY06
ROE (%)
FY07E
FY08E
Banks
Andhra Bank
87
Bank of Baroda
240
Bank of India
208
Canara Bank
276
Corporation Bank
346
HDFC Bank
1,070
HDFC
1,625
ICICI Bank
890
Indian Overseas Bank 111
J&K Bank
620
Karnataka Bank
151
Oriental Bank
227
Punjab National Bank
507
State Bank
1,246
Syndicate Bank
75
Union Bank
123
UTI Bank
469
Vijaya Bank
47
Sector Aggregate
Buy
Buy
Buy
Buy
Sell
Neutral
Neutral
Buy
Buy
Buy
Buy
Neutral
Buy
Buy
Neutral
Buy
Buy
Neutral
10.0
22.6
14.4
32.8
31.0
27.8
50.4
28.5
14.4
36.5
14.5
32.1
45.6
83.7
10.3
13.4
17.4
2.9
11.6
27.0
18.1
35.1
36.2
36.4
60.5
35.4
17.6
55.7
16.6
33.6
54.3
83.0
13.0
15.2
22.6
7.4
13.4
32.1
22.3
41.0
41.8
47.5
72.8
44.5
20.5
69.1
19.1
37.1
68.2
96.9
14.9
18.8
29.6
9.2
8.7
10.6
14.5
8.4
11.2
38.5
32.2
31.2
7.7
17.0
10.4
7.1
11.1
14.9
7.3
9.2
26.9
16.1
17.5
7.4
8.9
11.5
7.9
9.6
29.4
26.8
25.2
6.3
11.1
9.1
6.7
9.3
15.0
5.8
8.1
20.8
6.4
15.1
6.4
7.5
9.3
6.7
8.3
22.5
22.3
20.0
5.4
9.0
7.9
6.1
7.4
12.9
5.0
6.5
15.9
5.1
12.5
1.5
1.2
2.1
1.6
1.5
6.3
9.1
3.6
2.0
1.7
1.6
1.3
1.8
2.4
1.5
1.5
4.6
1.2
3.0
1.3
1.0
1.9
1.4
1.3
5.4
7.5
3.2
1.6
1.5
1.4
1.1
1.5
2.1
1.2
1.3
3.9
1.1
2.5
1.1
0.9
1.6
1.2
1.2
4.5
6.1
2.9
1.3
1.3
1.3
1.0
1.3
1.9
1.0
1.2
3.2
0.9
2.2
20.5
12.3
14.9
20.3
13.8
17.7
30.1
14.6
27.2
10.2
16.9
18.9
16.4
17.0
21.3
16.5
18.4
7.8
17.1
18.3
12.0
16.8
18.7
14.5
19.8
30.6
13.5
26.8
14.2
16.9
15.6
17.0
14.9
21.9
15.9
20.1
17.9
16.6
18.7
12.9
18.0
18.8
14.8
21.7
30.2
15.3
25.2
15.6
17.0
15.8
18.4
15.4
21.1
17.5
22.0
19.5
17.6
29 December 2006
72

Results Preview
SECTOR: BANKING
Andhra Bank
STOCK INFO.
BLOOMBERG
REUTERS CODE
BSE Sensex: 13,787 ANDB IN
S&P CNX: 3,966
ADBK.BO
29 December 2006
Previous Recommendation: Buy
Buy
Rs87
EPS
P/E
(X)
P/BV
(X)
CAR
(%)
ROAE
(%)
ROAA
(%)
P/ABV
RATIO
EPS
(RS) GROWTH (%)
Equity Shares (m)
52-Week Range
1,6,12 Rel. Perf. (%)
M.Cap. (Rs b)
M.Cap. (US$ b)
485.0
109/57
-4/9/-53
42.0
0.9
YEAR
END
NET INCOME
(RS M)
PAT
(RS M)
3/06A
3/07E
3/08E
16,271
18,539
21,342
4,855
5,642
6,518
10.0
11.6
13.4
-23.0
16.2
15.5
8.7
7.4
6.4
1.5
1.3
1.1
14.0
11.9
11.7
20.5
18.3
18.7
1.3
1.3
1.3
1.5
1.3
1.2
?
We expect NII to grow 17% YoY to Rs3.5b. Andhra Bank is selectively growing its loan book at 22-23%, which shall
result in margins remaining stable for next few quarters.
Margins are likely to stabilize at 2Q levels. CASA deposit growth is likely to be around 22% YoY, while term deposit
growth could witness lower growth at 8-10% levels.
We expect non-interest income to increase by 15% YoY, while treasury gains are likely to be at Rs150m versus
Rs207m.
With net NPAs at 0.1%, incremental NPA provisioning will continue to remain low for Andhra Bank.
The bank is a play on healthy growth, clean books and reasonable RoE. At CMP, the stock is trading at 6.4x FY08E
EPS and 1.1x FY08E BV. We maintain
Buy.
(RS MILLION)
FY06
1Q
2Q
3Q
4Q
1Q
2Q
FY07
3QE
4QE
FY06
FY07E
?
?
?
?
QUARTERLY PERFORMANCE
Y/E MARCH
Interest Income
Interest Expense
Net Interest Income
% Change (Y-o-Y)
Other Income
Net Income
% Change (Y-o-Y)
Operating Expenses
Operating Profit
Other Provisions
Profit before Tax
Tax Provisions
Net Profit
% Change (Y-o-Y)
Cost to Income Ratio (%)
Interest Exp./Interest Income (%)
Other Income/Net Income (%)
E: MOSt Estimates
6,172
3,429
2,743
2.4
772
3,515
-13.9
1,914
1,601
449
1,152
300
852
-43.3
54.5
55.6
22.0
6,353
3,468
2,886
5.6
1,179
4,065
-24.0
2,060
2,005
146
1,859
530
1,329
21.5
50.7
54.6
29.0
6,986
4,028
2,959
13.0
1,189
4,148
1.6
2,118
2,030
296
1,734
445
1,289
5.8
51.1
57.6
28.7
7,232
4,130
3,102
16.6
1,441
4,543
8.9
2,488
2,055
1,225
830
-556
1,386
-0.1
57.1
31.7
31.7
7,599
4,247
3,352
22.2
1,018
4,371
24.3
2,306
2,065
466
1,599
435
1,164
36.7
52.8
55.9
23.3
7,721
4,412
3,309
14.7
1,287
4,596
13.1
2,365
2,231
92
2,140
675
1,465
10.2
51.5
57.1
28.0
8,139
4,672
3,467
17.2
1,279
4,746
14.4
2,405
2,341
450
1,891
400
1,491
15.7
50.7
57.4
26.9
8,532
4,991
3,542
14.2
1,285
4,826
6.2
2,440
2,386
593
1,793
272
1,522
9.8
58.5
26.6
26.6
26,744
15,054
11,690
9.3
4,581
16,270
-10.7
8,580
7,691
2,117
5,574
719
4,855
-6.7
52.7
56.3
28.2
31,992
18,322
13,670
16.9
4,869
18,539
13.9
9,515
9,023
1,600
7,423
1,782
5,642
16.2
51.3
57.3
26.3
Manish Karwa (Mkarwa@MotilalOswal.com)/Rajat Rajgarhia (Rajat@MotilalOswal.com)/Veekesh Gandhi (VeekeshGandhi@MotilalOswal.com)
29 December 2006
73

Results Preview
SECTOR: BANKING
Bank of Baroda
STOCK INFO.
BLOOMBERG
REUTERS CODE
BSE Sensex: 13,787 BOB IN
S&P CNX: 3,966
BOB.BO
29 December 2006
Previous Recommendation: Buy
Buy
Rs240
EPS
P/E
(X)
P/BV
(X)
CAR
(%)
ROAE
(%)
ROAA
(%)
P/ABV
RATIO
EPS
(RS) GROWTH (%)
Equity Shares (m)
52-Week Range
1,6,12 Rel. Perf. (%)
M.Cap. (Rs b)
M.Cap. (US$ b)
365.5
296/176
-9/-9/-47
87.7
2.0
YEAR
END
NET INCOME
(RS M)
PAT
(RS M)
3/06A
3/07E
3/08E
44,165
48,497
54,658
8,269
9,885
11,729
22.6
27.0
32.1
-1.6
19.6
18.7
10.6
8.9
7.5
1.2
1.0
0.9
13.3
12.3
11.7
12.3
12.0
12.9
0.8
0.8
0.9
1.2
1.1
1.0
?
?
NII is expected to grow by 12% YoY in 3QFY07, on the back of growing loan book (likely to grow at >35% YoY)
NIMs are expected to improve QoQ as the bank is likely to have minimal redemption losses from investments, which
had pulled down its margins in 2QFY07.
While wage cost growth is likely to be limited, we expect non-wage costs to grow fast due to aggressive implementation
of the CBS network.
BoB's asset quality has improved significantly over the last one year with coverage ratio at 78% and net NPAs at
0.8%, we expect lower provisions in the coming few quarters due to improved asset quality and lower investment
book fears.
PAT growth YoY is likely to be 38% on the back of better other income growth in 3QFY07.
At 0.9x FY08E BV, valuations are attractive for the bank. We maintain
Buy.
(RS MILLION)
FY06
1Q
2Q
3Q
4Q
1Q
2Q
FY07
3QE
4QE
FY06
FY07E
?
?
?
?
QUARTERLY PERFORMANCE
Y/E MARCH
Interest Income
Interest Expense
Net Interest Income
% Change (YoY)
Other Income
Net Income
% Change (YoY)
Operating Expenses
Operating Profit
Provision & Contingencies
PBT
Tax Provisions
Net Profit
% Change (YoY)
Cost to Income Ratio (%)
Int Exp/ Int Earned (%)
Other Income / Net Income (%)
E: MOSt Estimates
16,732
9,145
7,587
11.1
2,087
9,674
-10.2
5,118
4,556
2,571
1,985
415
1,570
-46.4
52.9
54.7
21.6
16,940
9,123
7,818
13.6
3,096
10,913
4.2
5,960
4,953
1,257
3,696
1,106
2,591
21.5
54.6
53.9
28.4
17,754
9,599
8,155
12.0
2,723
10,877
7.4
6,102
4,775
1,933
2,842
820
2,022
190.7
56.1
54.1
25.0
19,573
10,883
8,690
-1.2
4,011
12,701
10.8
6,667
6,035
3,411
2,624
536
2,088
106.7
52.5
55.6
31.6
20,201
11,378
8,823
16.3
2,775
11,599
19.9
6,040
5,559
3,054
2,504
871
1,633
4.0
52.1
56.3
23.9
21,859
12,952
8,908
13.9
3,217
12,125
11.1
5,968
6,157
1,593
4,564
1,680
2,884
11.3
49.2
59.2
26.5
22,992
13,823
9,169
12.4
3,100
12,269
12.8
6,408
5,861
2,000
3,861
1,081
2,780
37.5
52.2
60.1
25.3
23,511
13,922
9,589
10.3
2,915
12,504
-1.5
7,244
5,261
1,653
3,608
1,020
2,589
24.0
57.9
59.2
23.3
71,000
38,751
32,249
8.2
11,917
44,166
3.1
23,847
20,319
9,173
11,146
2,876
8,270
22.2
54.0
54.6
27.0
88,563
52,074
36,489
13.1
12,008
48,497
9.8
25,659
22,837
8,300
14,537
4,652
9,885
19.5
52.9
58.8
24.8
Manish Karwa (Mkarwa@MotilalOswal.com)/Rajat Rajgarhia (Rajat@MotilalOswal.com)/Veekesh Gandhi (VeekeshGandhi@MotilalOswal.com)
29 December 2006
74

Results Preview
SECTOR: BANKING
Bank of India
STOCK INFO.
BLOOMBERG
REUTERS CODE
BSE Sensex: 13,787 BOI IN
S&P CNX: 3,966
BOI.BO
29 December 2006
Previous Recommendation: Buy
Buy
Rs208
EPS
P/E
(X)
P/BV
(X)
CAR
(%)
ROAE
(%)
ROAA
(%)
P/ABV
RATIO
EPS
(RS) GROWTH (%)
Equity Shares (m)
52-Week Range
1,6,12 Rel. Perf. (%)
M.Cap. (Rs b)
M.Cap. (US$ b)
488.1
212/80
3/74/16
101.5
2.3
YEAR
END
NET INCOME
(RS M)
PAT
(RS M)
3/06A
3/07E
3/08E
38,164
47,008
52,419
7,012
8,852
10,909
14.4
18.1
22.3
106.0
26.3
23.2
14.5
11.5
9.3
2.1
1.9
1.6
10.8
10.2
10.2
14.9
16.8
18.0
0.7
0.7
0.8
2.4
2.0
1.7
?
?
?
?
?
?
?
We expect NII to grow by 30% YoY on a reported basis. This strong growth is on account of improving domestic and
international margins, coupled with steady growth in loans.
Loan growth is likely to be at 25%, while margins are likely to be stable QoQ, even as, YoY, margins are expected to
expand 70bp.
Fee income to grow by 15% YoY on the back of increased thrust on third party distribution. Treasury gains are likely
to be around Rs200m.
Operating expenses are expected to decline 9% QoQ, as in 2Q the bank had aggressively provided for pensions, as
well as incurred one-time expenses on account of platinum jubilee celebrations. Nonetheless, opex, ex-wage costs
will continue to be higher on account of aggressive CBS implementation.
NPA provisions will continue to remain high, as the bank intends to bring up its coverage ratio to 75% from the current
64% level.
Overall, we expect PAT to grow by 60% YoY in 3QFY07 due to low base of 3QFY06 arising out of increased
provisions.
At CMP, the stock is trading at 9.3x FY08E EPS and 1.6x FY08E BV. We maintain
Buy.
(RS MILLION)
FY06
1Q
2Q
3Q
4Q
1Q
2Q
FY07
3QE
4QE
FY06
FY07E
QUARTERLY PERFORMANCE
Y/E MARCH
Interest Income
Interest Expense
Net Interest Income
% Change (Y-o-Y)
Other Income
Net Income
% Change (Y-o-Y)
Operating Expenses
Operating Profit
Other Provisions
Profit before tax
Tax Provisions
Net Profit
% Change (Y-o-Y)
Cost to Income Ratio (%)
Interest Exp./Interest Income (%)
Other Income/Net Income (%)
E: MOSt Estimates
15,645
10,056
5,590
3.8
2,944
8,533
4.9
4,867
3,666
1,392
2,275
557
1,717
5.6
57.0
64.3
34.5
16,614
10,828
5,786
-2.9
3,031
8,818
3.1
5,517
3,301
1,521
1,780
459
1,322
166.8
62.6
65.2
34.4
18,006
11,440
6,566
6.1
2,625
9,191
7.8
5,444
3,747
1,804
1,943
512
1,431
90.7
59.2
63.5
28.6
20,022
11,644
8,378
73.2
3,244
11,622
33.4
5,324
6,298
3,140
3,159
614
2,544
381.9
45.8
58.2
27.9
20,211
12,566
7,644
36.8
3,107
10,751
26.0
6,075
4,676
1,685
2,991
904
2,087
21.5
56.5
62.2
28.9
22,582
14,088
8,494
46.8
3,533
12,026
36.4
7,236
4,791
1,587
3,204
1,083
2,121
60.5
60.2
62.4
29.4
23,084
14,529
8,555
30.3
2,955
11,510
25.2
6,533
4,977
2,000
2,977
893
2,084
45.6
56.8
62.9
25.7
23,930
15,143
8,787
4.9
3,935
12,722
9.5
6,571
6,151
3,029
3,122
563
2,560
0.6
51.7
63.3
30.9
70,287
43,967
26,320
17.7
11,844
38,164
12.5
21,151
17,012
7,856
9,157
2,142
7,014
106.1
55.4
62.6
31.0
89,806
56,327
33,479
27.2
13,529
47,008
23.2
26,414
20,595
8,300
12,295
3,442
8,852
26.2
56.2
62.7
28.8
Manish Karwa (Mkarwa@MotilalOswal.com)/Rajat Rajgarhia (Rajat@MotilalOswal.com)/Veekesh Gandhi (VeekeshGandhi@MotilalOswal.com)
29 December 2006
75

Results Preview
SECTOR: BANKING
Canara Bank
STOCK INFO.
BLOOMBERG
REUTERS CODE
BSE Sensex: 13,787 CBK IN
S&P CNX: 3,966
CNBK.BO
29 December 2006
Previous Recommendation: Buy
Buy
Rs276
EPS
P/E
(X)
P/BV
(X)
CAR
(%)
ROAE
(%)
ROAA
(%)
P/ABV
RATIO
EPS
(RS) GROWTH (%)
Equity Shares (m)
52-Week Range
1,6,12 Rel. Perf. (%)
M.Cap. (Rs b)
M.Cap. (US$ b)
410.0
320/165
-8/8/-32
113.2
2.6
YEAR
END
NET INCOME
(RS M)
PAT
(RS M)
3/06A
3/07E
3/08E
49,590
53,090
59,826
13,432
14,398
16,818
32.8
35.1
41.0
21.1
7.2
16.8
8.4
7.9
6.7
1.6
1.4
1.2
11.2
10.7
10.3
20.3
18.7
18.8
1.1
1.0
1.1
1.8
1.5
1.2
?
NII growth is likely to be 7%, as we expect some margin pressure owing to higher deposit costs. Canara Bank had
not raised its PLR in August, unlike other state-owned banks.
Other income is expected to be lower on the back of negligible bond gains, nonetheless, we expect 20% growth in
core fee income.
Operating expenses, ex-staff expenses for Canara Bank are likely to grow aggressively going forward due to the
bank's plans to roll out 1,000 branches under CBS in the next one year. We expect 20% YoY growth in opex, ex-staff
in 3QFY07.
NPA provisions are likely to be Rs800m, as the bank continues to clean up its book and bring down its NPAs to 0.5%
by FY07.
At CMP, the stock is trading at 6.7x FY08E EPS and 1.2x FY08 BV. We maintain
Buy.
(RS MILLION)
FY06
1Q
2Q
3Q
4Q
1Q
2Q
FY07
3QE
4QE
FY06
FY07E
?
?
?
?
QUARTERLY PERFORMANCE
Y/E MARCH
Interest Earned
Interest Expended
Net Interest Income
% Change (YoY)
Non Interest Income
Net Income
Operating Expenses
Operating Profit
% Change (YoY)
Other Provisions & Contingencies
PBT
Provision for Taxes
Net Profit
% Change (YoY)
Cost / Income
Int Exp / Int Income
Other Income / Net Income
E: MOSt Estimates
19,795
11,467
8,328
11.6
2,591
10,919
5,316
5,603
-13.1
3,034
2,569
700
1,869
-44.4
48.7
57.9
23.7
21,013
12,946
8,067
10.6
3,928
11,995
6,184
5,811
1.1
2,026
3,785
720
3,065
-22.8
51.6
61.6
32.8
22,401
12,818
9,582
26.7
3,112
12,694
5,702
6,992
14.6
2,449
4,543
980
3,563
30.0
44.9
57.2
24.5
23,906
14,069
9,838
7.1
4,145
13,982
6,269
7,713
2.0
3,178
4,535
-400
4,935
382.6
44.8
58.8
29.6
25,128
15,649
9,478
13.8
2,582
12,060
6,158
5,902
5.3
3,743
2,159
250
1,909
2.2
51.1
62.3
21.4
26,800
16,988
9,811
21.6
3,133
12,944
6,792
6,152
5.9
1,534
4,618
1,000
3,618
18.0
52.5
63.4
24.2
27,329
17,048
10,281
7.3
3,410
13,691
6,557
7,133
2.0
1,650
5,483
1,371
4,112
15.4
47.9
62.4
24.9
28,081
17,225
10,856
10.3
3,540
14,396
6,624
7,772
0.8
1,573
6,199
1,440
4,758
-3.6
46.0
61.3
24.6
87,115
51,300
35,815
13.7
13,775
49,590
23,471
26,119
1.0
10,687
15,432
2,000
13,432
21.1
47.3
58.9
27.8
107,337
66,911
40,426
12.9
12,665
53,090
26,132
26,959
3.2
8,500
18,459
4,061
14,398
7.2
49.2
62.3
23.9
Manish Karwa (Mkarwa@MotilalOswal.com)/Rajat Rajgarhia (Rajat@MotilalOswal.com)/Veekesh Gandhi (VeekeshGandhi@MotilalOswal.com)
29 December 2006
76

Results Preview
SECTOR: BANKING
Corporation Bank
STOCK INFO.
BLOOMBERG
REUTERS CODE
BSE Sensex: 13,787 CRPBK IN
S&P CNX: 3,966
CRBK.BO
29 December 2006
Previous Recommendation: Sell
Sell
Rs346
EPS
P/E
(X)
P/BV
(X)
CAR
(%)
ROAE
(%)
ROAA
(%)
P/ABV
RATIO
EPS
(RS) GROWTH (%)
Equity Shares (m)
52-Week Range
1,6,12 Rel. Perf. (%)
M.Cap. (Rs b)
M.Cap. (US$ b)
143.4
445/205
-13/26/-51
49.7
1.1
YEAR
END
NET INCOME
(RS M)
PAT
(RS M)
3/06A
3/07E
3/08E
17,983
19,169
21,636
4,445
5,196
5,995
31.0
36.2
41.8
10.5
16.9
15.4
11.2
9.6
8.3
1.5
1.3
1.2
13.9
12.0
10.8
13.8
14.5
14.8
1.2
1.1
1.1
1.5
1.3
1.2
?
Corporation Bank had taken a large corporate deposit during the last week of September, which has now gone out of
their balance sheet. Thus we expect CASA ratio to improve and consequently, we could see some improvement in
margins QoQ in 3QFY07. Nonetheless, NII growth is likely to grow marginally at 3% YoY.
We expect the bank to report a 25% YoY growth in business.
Non-fund based income is likely to increase by 15% in 3QFY07. Treasury income is expected to be lower.
Relative to its RoE, we believe current valuations are expensive. The stock trades at 8.3x FY08E EPS and 1.2x
FY08E BV. We maintain
Sell.
(RS MILLION)
FY06
1Q
2Q
3Q
4Q
1Q
2Q
FY07
3QE
4QE
FY06
FY07E
?
?
?
QUARTERLY PERFORMANCE
Y/E MARCH
Interest Income
Interest Expense
Net Interest Income
% Change (Y-o-Y)
Other Income
Net Income
% Change (Y-o-Y)
Operating Expenses
Operating Profit
% Change (Y-o-Y)
Other Provisions
PBT
Tax Provisions
Net Profit
% Change (Y-o-Y)
Cost to Income Ratio (%)
Interest Exp./Interest Income (%)
Other Income/Net Income (%)
E: MOSt Estimates
5,968
3,159
2,809
0.7
1,696
4,505
18.8
1,735
2,770
21.6
813
1,957
722
1,235
17.1
38.5
52.9
37.6
6,473
3,407
3,065
6.5
1,380
4,445
8.6
1,806
2,639
9.6
960
1,679
623
1,056
285.5
40.6
52.6
31.0
6,770
3,485
3,285
19.1
1,065
4,349
-11.6
1,935
2,415
-26.5
908
1,507
356
1,151
-28.8
44.5
51.5
24.5
7,054
3,945
3,109
8.5
1,574
4,683
13.3
1,992
2,692
24.9
1,089
1,602
600
1,003
-6.8
42.5
55.9
33.6
7,301
4,053
3,248
15.6
1,875
5,123
13.7
1,883
3,240
17.0
1,063
2,177
735
1,442
16.8
36.8
55.5
36.6
8,325
5,158
3,167
3.3
1,131
4,297
-3.3
1,941
2,357
-10.7
387
1,970
700
1,270
20.3
45.2
62.0
26.3
8,429
5,054
3,375
2.7
1,250
4,625
6.3
2,070
2,555
5.8
625
1,930
618
1,312
14.0
44.8
60.0
27.0
8,675
5,071
3,604
15.9
1,520
5,124
9.4
2,212
2,912
8.2
1,176
1,737
556
1,181
17.8
43.2
58.5
29.7
26,265
13,997
12,268
8.6
5,715
17,983
6.2
7,468
10,515
3.8
3,770
6,745
2,300
4,445
10.5
41.5
53.3
31.8
32,730
19,336
13,394
9.2
5,775
19,169
6.6
8,105
11,064
5.2
3,250
7,814
2,618
5,196
16.9
42.3
59.1
30.1
Manish Karwa (Mkarwa@MotilalOswal.com)/Rajat Rajgarhia (Rajat@MotilalOswal.com)/Veekesh Gandhi (VeekeshGandhi@MotilalOswal.com)
29 December 2006
77

Results Preview
SECTOR: BANKING
HDFC
STOCK INFO.
BLOOMBERG
REUTERS CODE
BSE Sensex: 13,787 HDFC IN
S&P CNX: 3,966
HDFC.BO
29 December 2006
Previous Recommendation: Buy
Neutral
Rs1,625
EPS
P/E
(X)
P/BV
(X)
CAR
(%)
ROAE
(%)
ROAA
(%)
P/ABV
RATIO
EPS
(RS) GROWTH (%)
Equity Shares (m)
52-Week Range
1,6,12 Rel. Perf. (%)
M.Cap. (Rs b)
M.Cap. (US$ b)
249.6
1,701/962
-2/14/-12
405.4
9.2
YEAR
END
NET INCOME
(RS M)
PAT
(RS M)
3/06A
3/07E
3/08E
17,873
21,577
26,182
12,573
15,109
18,171
50.4
60.5
72.8
21.1
20.2
20.3
32.2
26.8
22.3
9.1
7.5
6.1
15.0
13.0
13.0
30.1
30.6
30.2
2.7
2.6
2.5
9.2
7.6
6.2
?
Despite concerns on growth in mortgages, we expect HDFC to maintain its traditional growth rate of 26%-27% in
disbursements and over 25% in loans.
HDFC has always focused on maintaining margins and has been raising rates in line with its cost of deposits. While
near term margins at 2.1% appear to be sustainable, higher deposit costs are likely to exert pressure on margins over
the medium term.
We expect HDFC to post 20% earnings growth in 3QFY07. HDFC continues to be one of the most consistent
performers in the sector and we expect sustained outperformance in future as well.
Adjusting for the value of its subsidiaries, HDFC is available at 11x FY08E EPS. With steady growth prospects, we
are extremely optimistic over the future earnings growth prospects of HDFC, nonetheless, valuations remain stretched.
We maintain
Neutral.
(RS MILLION)
FY06
1Q
2Q
3Q
4Q
1Q
2Q
FY07
3QE
4QE
FY06
FY07E
?
?
?
QUARTERLY PERFORMANCE
Y/E MARCH
Income from Operations
Other Income
Total Income
YoY Change (%)
Interest and Other Charges
Other Expenses
Total Expenses
PBDT
YoY Change (%)
Depreciation
PBT
Provision for Tax
PAT
YoY Change (%)
E: MOSt Estimates
9,326
22
9,348
22.5
5,669
561
6,229
3,118
23.5
42
3,076
604
2,473
20.8
10,452
33
10,485
24.3
6,072
537
6,608
3,876
23.0
48
3,828
839
2,990
20.5
10,520
33
10,553
24.4
6,398
582
6,979
3,574
23.4
51
3,523
678
2,845
20.5
12,358
41
12,399
29.7
6,773
440
7,213
5,186
24.0
47
5,140
874
4,265
22.6
12,457
28
12,485
33.6
8,014
667
8,681
3,805
22.0
37
3,767
799
2,968
20.0
14,468
95
14,563
38.9
9,137
686
9,823
4,740
22.3
39
4,701
1,021
3,680
23.1
14,475
40
14,515
37.5
9,437
685
10,122
4,393
22.9
50
4,343
925
3,418
20.1
15,363
27
15,389
24.1
8,788
472
9,260
6,129
18.2
54
6,075
1,032
5,043
18.2
42,655
129
42,784
25.4
24,911
2,118
27,030
15,754
23.5
187
15,567
2,994
12,573
21.3
56,763
190
56,953
33.1
35,376
2,510
37,886
19,067
21.0
180
18,887
3,777
15,109
20.2
Manish Karwa (Mkarwa@MotilalOswal.com)/Rajat Rajgarhia (Rajat@MotilalOswal.com)/Veekesh Gandhi (VeekeshGandhi@MotilalOswal.com)
29 December 2006
78

Results Preview
SECTOR: BANKING
HDFC Bank
STOCK INFO.
BLOOMBERG
REUTERS CODE
BSE Sensex: 13,787 HDFCB IN
S&P CNX: 3,966
HDBK.BO
29 December 2006
Previous Recommendation: Buy
Neutral
Rs1,070
EPS
P/E
(X)
P/BV
(X)
CAR
(%)
ROAE
(%)
ROAA
(%)
P/ABV
RATIO
EPS
(RS) GROWTH (%)
Equity Shares (m)
52-Week Range
1,6,12 Rel. Perf. (%)
M.Cap. (Rs b)
M.Cap. (US$ b)
313.1
1,150/620
-5/5/5
335.0
7.6
YEAR
END
NET INCOME
(RS M)
PAT
(RS M)
3/06A
3/07E
3/08E
36,698
51,181
66,751
8,708
11,397
14,888
27.8
36.4
47.5
29.5
30.9
30.6
38.5
29.4
22.5
6.3
5.4
4.5
11.4
11.0
10.5
17.7
19.8
21.7
1.4
1.3
1.4
6.4
5.5
4.5
?
HDFC Bank is expected to maintain its trend of consistent PAT growth of ~30%. CASA proportion is likely to be
stable QoQ. The bank is likely to maintain its margins of 4% due to relatively higher CASA.
HDFC Bank has received new branch licenses in 3QFY07 after almost a year, these licenses are mostly for under
banked areas. With these new licences, concerns on CASA deposit growth and margins should ease.
HDFC Bank has also raised its PLR by 150bp in December 2006. We expect an immediate impact of 50-100bp on
15-20% of its loans. Further, incremental retail lending would get expensive and expect margins to be maintained at
4% over a medium term.
We expect NII to increase by a robust 32% to Rs8.9b on the back of strong growth in the higher yielding retail assets.
Loan book growth is expected to remain buoyant.
While we expect the bank to maintain strong growth going forward, the current valuations at 22.5x FY08E EPS and
4.5x FY08 BV already capture this growth. We maintain
Neutral.
(RS MILLION)
FY06
1Q
2Q
3Q
4Q
1Q
2Q
FY07
3QE
4QE
FY06
FY07E
?
?
?
?
QUARTERLY PERFORMANCE
Y/E MARCH
Interest Income
Interest Expense
Net Interest Income
Growth (%)
Other Income
Net Income
Growth (%)
Operating Expenses
Operating Profit
Provisions and Contingencies
Profit before Tax
Provision for Taxes
Net Profit
Growth (%)
Cost to Income Ratio (%)
Interest Exp./Interest Income (%)
Other Income/Total Income (%)
E: MOSt Estimates
8,941
3,704
5,237
31.3
2,636
7,872
55.3
3,580
4,292
1,659
2,634
799
1,835
31.1
45.5
41.4
33.5
10,229
4,108
6,121
43.8
2,602
8,723
59.1
4,016
4,706
1,806
2,900
904
1,996
31.1
46.0
40.2
29.8
11,798
5,092
6,706
52.4
2,961
9,667
50.9
4,491
5,176
1,972
3,205
961
2,244
31.3
46.5
43.2
30.6
13,785
6,391
7,394
44.0
3,042
10,436
42.2
4,823
5,612
1,816
3,796
1,164
2,632
30.1
46.2
46.4
29.1
15,043
6,867
8,176
56.1
3,508
11,684
48.4
5,527
6,157
2,639
3,518
1,125
2,393
30.4
47.3
45.6
30.0
16,357
7,901
8,456
38.1
3,977
12,433
42.5
5,791
6,642
3,057
3,585
955
2,629
31.7
46.6
48.3
32.0
17,107
8,249
8,858
32.1
4,375
13,233
36.9
5,973
7,260
3,075
4,185
1,250
2,935
30.8
45.1
48.2
33.1
18,134
8,794
9,340
26.3
4,490
13,830
32.5
6,337
7,494
2,729
4,764
1,325
3,440
30.7
45.8
48.5
32.5
44,753
19,295
25,458
43.2
11,240
36,698
51.1
16,911
19,787
7,252
12,535
3,827
8,708
30.8
46.1
43.1
30.6
66,641
31,810
34,830
36.8
16,350
51,181
39.5
23,628
27,552
11,500
16,052
4,655
11,397
30.9
46.2
47.7
31.9
Manish Karwa (Mkarwa@MotilalOswal.com)/Rajat Rajgarhia (Rajat@MotilalOswal.com)/Veekesh Gandhi (VeekeshGandhi@MotilalOswal.com)
29 December 2006
79

Results Preview
SECTOR: BANKING
ICICI Bank
STOCK INFO.
BLOOMBERG
REUTERS CODE
BSE Sensex: 13,787 ICICIBC IN
S&P CNX: 3,966
ICBK.BO
29 December 2006
Previous Recommendation: Buy
Buy
Rs890
EPS
P/E
(X)
P/BV
(X)
CAR
(%)
ROAE
(%)
ROAA
(%)
P/ABV
RATIO
EPS
(RS) GROWTH (%)
Equity Shares (m)
52-Week Range
1,6,12 Rel. Perf. (%)
M.Cap. (Rs b)
M.Cap. (US$ b)
889.8
925/440
2/53/6
792.3
17.9
YEAR
END
NET INCOME
(RS M)
PAT
(RS M)
3/06A
3/07E
3/08E
96,932
129,238
166,379
25,401
31,491
39,620
28.5
35.4
44.5
4.9
24.0
25.8
31.2
25.2
20.0
3.6
3.2
2.9
13.4
12.5
10.5
14.6
13.5
15.3
1.3
1.1
1.0
3.7
3.3
3.0
?
?
?
?
?
?
We expect NII growth of 31% in 3QFY07 on the back of continued strong loans. Margins are likely to remain stable
at 2.5%.
Demand for corporate (large & SME) loans, auto loans and personal loans would enable the bank to post 35%+
growth in overall loan book.
ICICI Bank has recently hiked its lending rates by 50bp and deposit rates by 25bp-75bp. We expect some improvement
in margins 4QFY07 onward.
Fee income is likely to grow at 50% YoY on the back of increasing fees in retail and international operations. We
expect treasury gains of Rs2b during the quarter for ICICI Bank.
ICICI Bank has recently received approvals from the RBI to open new branches. These new approvals are mostly
for underbanked and rural and semi-urban areas. We believe that this augurs well for the bank given its rural strategy
focus. This will allow the bank to improve its CASA ratio and protect its margins.
At CMP, excluding the subsidiaries (valued at Rs158 per share), the stock trades at 16x FY08E EPS and 2.3x FY08
BV. We maintain
Buy.
(RS MILLION)
FY06
1Q
2Q
3Q
4Q
1Q
2Q
FY07
3QE
4QE
FY06*
FY07E
QUARTERLY PERFORMANCE
Y/E MARCH
Interest Income
Interest Expense
Net Interest Income
Growth (%)
Other Income
Net Income
Operating Expenses
Operating Profit
Growth (%)
Provisions and Contingencies
Profit before Tax
Provision for Taxes
Net Profit
Growth (%)
Interest Exp./Interest Income (%)
Other Income/Net Income (%)
Cost /Income (%)
31,160
21,465
9,695
53.7
10,905
20,600
10,892
9,708
74.7
2,979
6,729
1,429
5,300
23.0
68.9
52.9
52.9
33,333
22,598
10,735
56.7
11,115
21,850
11,410
10,440
38.9
3,038
7,402
1,602
5,800
31.2
67.8
50.9
52.2
37,106
24,168
12,938
76.5
11,792
24,730
12,784
11,946
54.9
3,951
7,995
1,593
6,402
23.7
65.1
47.7
51.7
41,478
27,742
13,736
73.8
16,019
29,755
14,942
14,813
68.9
5,973
8,840
941
7,899
28.5
66.9
53.8
50.2
50,386
35,634
14,753
52.2
12,776
27,528
15,215
12,314
26.8
4,828
7,486
1,286
6,200
17.0
70.7
46.4
55.3
54,694
38,924
15,770
46.9
15,701
31,471
15,352
16,119
54.4
7,093
9,025
1,475
7,550
30.2
71.2
49.9
48.8
58,257
41,327
16,929
30.8
16,626
33,555
16,364
17,192
43.9
6,321
10,871
2,826
8,044
25.7
70.9
49.5
48.8
62,082
44,237
17,845
29.9
18,839
36,683
17,129
19,554
32.0
6,562
12,992
3,295
9,697
22.8
71.3
51.4
46.7
143,075
95,974
47,100
46.5
49,831
96,932
50,025
46,907
58.7
15,941
30,966
5,565
25,401
26.7
67.1
51.4
51.6
225,419
160,122
65,297
38.6
63,942
129,238
64,060
65,178
39.0
24,805
40,374
8,882
31,491
24.0
71.0
49.5
49.6
E: MOSt Estimates; * Quarterly numbers adjusted for Auto DMA charges for FY06
Manish Karwa (Mkarwa@MotilalOswal.com)/Rajat Rajgarhia (Rajat@MotilalOswal.com)/Veekesh Gandhi (VeekeshGandhi@MotilalOswal.com)
29 December 2006
80

Results Preview
SECTOR: BANKING
Indian Overseas Bank
STOCK INFO.
BLOOMBERG
REUTERS CODE
BSE Sensex: 13,787 IOB IN
S&P CNX: 3,966
IOBK.BO
29 December 2006
Previous Recommendation: Buy
Buy
Rs111
EPS
P/E
(X)
P/BV
(X)
CAR
(%)
ROAE
(%)
ROAA
(%)
P/ABV
RATIO
EPS
(RS) GROWTH (%)
Equity Shares (m)
52-Week Range
1,6, 12 Rel. Perf. (%)
M.Cap. (Rs b)
M.Cap. (US$ b)
544.8
133/66
-7/2/-27
60.3
1.4
YEAR
END
NET INCOME
(RS M)
PAT
(RS M)
3/06A
3/07E
3/08E
27,954
32,112
35,544
7,833
9,586
11,187
14.4
17.6
20.5
20.3
22.4
16.7
7.7
6.3
5.4
2.0
1.6
1.3
13.0
13.5
12.0
27.2
26.8
25.2
1.4
1.5
1.5
2.1
1.6
1.3
?
IOB is likely to report steady core earnings growth in 3QFY07. We expect NII growth of 18% in 3QFY07 on the
back of growing loan book and steady margins.
We expect non-interest income to remain flat YoY on the back of lower treasury gains. Fee income growth is likely
to be in the range of 15%-17% YoY.
Provisions are also likely to be flat YoY as NPAs are comfortable.
PAT growth YoY is likely to be 21%, driven by steady NII growth.
At CMP, the stock is trading at 5.4x FY08E EPS and 1.3x FY08 BV. We maintain
Buy.
?
?
?
?
QUARTERLY PERFORMANCE
Y/E MARCH
1Q
2Q
FY06
3Q
4Q
1Q
2Q
FY07
3QE
4QE
FY06
(RS MILLION)
FY07E
Interest Income
Interest Expense
Net Interest Income
% Change (Y-o-Y)
Other Income
Net Income
% Change (Y-o-Y)
Operating Expenses
Operating Profit
Other Provisions
Tax Provisions
Net Profit
% Change (Y-o-Y)
Cost to Income Ratio (%)
Interest Exp./Interest Income (%)
Other Income/Net Income (%)
10,254
5,423
4,831
10.5
1,814
6,646
-0.8
2,913
3,732
1,415
485
1,832
4.9
43.8
52.9
27.3
10,758
5,585
5,173
11.2
1,746
6,919
3.8
3,085
3,834
912
937
1,985
25.4
44.6
51.9
25.2
11,433
6,177
5,256
10.7
1,600
6,856
7.0
3,194
3,663
869
821
1,972
22.3
46.6
54.0
23.3
11,618
6,207
5,411
13.1
2,122
7,533
38.5
3,424
4,110
2,285
-220
2,044
30.0
45.4
53.4
28.2
12,409
6,654
5,755
19.1
2,511
8,266
24.4
3,302
4,965
2,299
445
2,220
21.2
39.9
53.6
30.4
13,721
7,602
6,119
18.3
1,520
7,639
10.4
3,491
4,148
541
1,108
2,499
25.9
45.7
55.4
19.9
14,063
7,845
6,218
18.3
1,632
7,850
14.5
3,513
4,337
860
1,084
2,393
21.3
44.7
55.8
20.8
14,452
8,050
6,402
18.3
1,954
8,356
10.9
3,749
4,607
974
1,158
2,475
21.1
44.9
55.7
23.4
44,063
23,391
20,672
11.4
7,282
27,954
12.0
12,616
15,338
5,482
2,023
7,834
20.3
45.1
53.1
26.1
54,646
30,151
24,494
18.5
7,617
32,112
14.9
14,055
18,057
4,675
3,795
9,586
22.4
43.8
55.2
23.7
E: MOSt Estimates; * Quarterly nos might not tally with full years nos, as the bank has restated earlier nos.
Manish Karwa (Mkarwa@MotilalOswal.com)/Rajat Rajgarhia (Rajat@MotilalOswal.com)/Veekesh Gandhi (VeekeshGandhi@MotilalOswal.com)
29 December 2006
81

Results Preview
SECTOR: BANKING
Jammu & Kashmir Bank
STOCK INFO.
BLOOMBERG
REUTERS CODE
BSE Sensex: 13,787 JKBK IN
S&P CNX: 3,966
JKBK.BO
29 December 2006
Previous Recommendation: Buy
Buy
Rs620
EPS
P/E
(X)
P/BV
(X)
CAR
(%)
ROAE
(%)
ROAA
(%)
P/ABV
RATIO
EPS
(RS) GROWTH (%)
Equity Shares (m)
52-Week Range
1,6,12 Rel. Perf. (%)
M.Cap. (Rs b)
M.Cap. (US$ b)
48.5
695/306
15/33/-19
30.0
0.7
YEAR
END
NET INCOME
(RS M)
PAT
(RS M)
3/06A
3/07E
3/08E
7,969
9,590
11,703
1,769
2,702
3,352
36.5
55.7
69.1
53.7
52.8
24.1
17.0
11.1
9.0
1.7
1.5
1.3
12.1
12.8
10.6
10.3
14.2
15.6
0.7
1.0
1.1
1.8
1.5
1.3
?
NII is expected to grow by 26% to Rs2b in 3QFY07 on the back of steady loan book growth and improving margins
on a YoY basis.
We expect the bank to sustain its substantially improved 2Q margins on the back of changing mix of high-yielding
loans towards J&K state and near stable cost of deposits QoQ, as the bank continues to focus on low cost deposit
mobilization from within the state.
While the prospect for the J&K state has been improving, we expect steady growth in the loan book at 20% YoY in
3QFY07 for J&K Bank.
The stock currently trades at 9x FY08E EPS and 1.3x FY08E BV. The stock has been the best performing stock
during the last quarter (up by 44.5%). Maintain
Buy.
(RS MILLION)
FY06
1Q
2Q
3Q
4Q
1Q
2Q
FY07
3QE
4QE
FY06
FY07E
?
?
?
QUARTERLY PERFORMANCE
Y/E MARCH
Interest Income
Interest Expenses
Net Interest Income
% Change (Y-o-Y)
Other Income
Net Income
Operating Expenses
Operating Profit
% Change (Y-o-Y)
Prov. & Contingencies
Profit before Tax
Provision for Taxes
Net Profit
% Change (Y-o-Y)
Cost to Income
Int.Expense/Int. Earned
Cost to Net Int.Income
E: MOSt Estimates
4,278
2,773
1,505
5.8
225
1,730
767
962
-16.5
311
651
167
484
2.6
44.4
64.8
51.0
4,168
2,532
1,636
5.9
267
1,903
835
1,068
37.8
298
770
220
550
n.a.
43.9
60.8
51.0
4,148
2,538
1,610
0.7
319
1,929
868
1,061
8.3
274
787
280
507
-29.6
45.0
61.2
53.9
4,468
2,582
1,887
35.1
522
2,408
982
1,426
95.2
1,015
411
183
228
-50.3
40.8
57.8
52.1
4,547
2,760
1,786
18.7
272
2,058
829
1,229
27.7
346
884
260
624
28.8
40.3
60.7
46.4
4,621
2,688
1,933
18.2
404
2,337
908
1,428
33.8
249
1,180
340
840
52.8
38.9
58.2
47.0
5,144
3,122
2,022
25.6
418
2,440
999
1,441
35.9
438
1,003
301
702
38.6
40.9
60.7
49.4
5,749
3,635
2,114
12.1
642
2,756
1,195
1,561
9.5
768
793
257
536
135.3
43.3
63.2
56.5
17,063
10,425
6,637
11.3
1,332
7,970
3,453
4,517
22.2
1,899
2,619
850
1,769
53.7
43.3
61.1
52.0
20,060
12,205
7,855
18.3
1,735
9,590
3,930
5,660
25.3
1,800
3,860
1,158
2,702
52.8
41.0
60.8
50.0
Manish Karwa (Mkarwa@MotilalOswal.com)/Rajat Rajgarhia (Rajat@MotilalOswal.com)/Veekesh Gandhi (VeekeshGandhi@MotilalOswal.com)
29 December 2006
82

Results Preview
SECTOR: BANKING
Karnataka Bank
STOCK INFO.
BLOOMBERG
REUTERS CODE
BSE Sensex: 13,787 KBL IN
S&P CNX: 3,966
KNBK.BO
29 December 2006
Previous Recommendation: Buy
Buy
Rs151
EPS
P/E
(X)
P/BV
(X)
CAR
(%)
ROAE
(%)
ROAA
(%)
P/ABV
RATIO
EPS
(RS) GROWTH (%)
Equity Shares (m)
52-Week Range
1,6,12 Rel. Perf. (%)
M.Cap. (Rs b)
M.Cap. (US$ b)
121.3
162/74
16/35/-7
18.3
0.4
YEAR
END
NET INCOME
(RS M)
PAT
(RS M)
3/06A
3/07E
3/08E
5,328
5,737
6,652
1,760
2,010
2,320
14.5
16.6
19.1
19.6
14.2
15.4
10.4
9.1
7.9
1.6
1.4
1.3
11.8
11.5
10.0
16.9
16.9
17.0
1.3
1.2
1.3
1.7
1.5
1.3
?
We expect NII to decline by 1% YoY (QoQ improvement of 6%) to Rs965m on the back of margin pressure. NIMs
are likely to be at 2Q levels, as costs remain high due to low CASA levels
Non-interest income is expected to increase YoY to Rs480m on the back of higher recoveries. Core fee income
growth YoY is likely to be around 15%.
Asset quality is expected to improve QoQ, as incremental slippages are likely to be low
Karnataka Bank is a play on improving asset quality, consolidation and attractive valuations. At, CMP, the stock
trades at 7.9x FY08E EPS and 1.3x FY08E BV. Maintain
Buy.
?
?
?
QUARTERLY PERFORMANCE
Y/E MARCH
1Q
2Q
FY06
3Q
4Q
1Q*
2Q
FY07
3QE
4QE
FY06
(RS MILLION)
FY07E
Interest Income
Interest Expense
Net Interest Income
% Change (Y-o-Y)
Other Income
Net Income
% Change (Y-o-Y)
Operating Expenses
Operating Profit
Other Provisions
Tax Provisions
Net Profit
% Change (Y-o-Y)
Cost to Income Ratio (%)
Interest Exp./Interest Income (%)
Other Income/Net Income (%)
E: MOSt Estimates; * Restated
2,406
1,499
908
67.9
477
1,385
-12.8
506
879
230
233
417
7.6
36.5
62.3
34.5
2,400
1,637
763
-19.4
452
1,215
-3.4
562
652
32
203
417
33.4
46.3
68.2
37.2
2,664
1,687
978
15.6
367
1,345
2.5
562
782
128
240
415
12.6
41.8
63.3
27.3
2,709
1,698
1,011
20.9
372
1,383
13.2
415
968
202
256
510
26.7
30.0
62.7
26.9
2,858
1,904
953
5.0
449
1,402
1.2
520
882
331
183
368
-11.8
37.1
66.6
32.0
2,953
2,047
906
18.8
487
1,393
14.7
653
741
-163
308
596
42.8
46.8
69.3
35.0
3,091
2,125
965
-1.3
480
1,445
7.5
585
860
130
228
502
21.0
40.5
68.8
33.2
3,541
2,504
1,037
2.6
459
1,496
8.2
523
973
202
227
544
6.6
34.9
70.7
30.7
10,180
6,521
3,659
15.5
1,668
5,327
-1.0
2,045
3,282
592
931
1,760
19.6
38.4
64.1
31.3
12,442
8,580
3,862
5.5
1,875
5,737
7.7
2,281
3,456
500
946
2,010
14.2
39.8
69.0
32.7
Manish Karwa (Mkarwa@MotilalOswal.com)/Rajat Rajgarhia (Rajat@MotilalOswal.com)/Veekesh Gandhi (VeekeshGandhi@MotilalOswal.com)
29 December 2006
83

Results Preview
SECTOR: BANKING
Oriental Bank of Commerce
STOCK INFO.
BLOOMBERG
REUTERS CODE
BSE Sensex: 13,787 OBC IN
S&P CNX: 3,966
ORBC.BO
29 December 2006
Previous Recommendation: Neutral
Neutral
Rs227
P/E
(X)
P/BV
(X)
CAR
(%)
ROAE
(%)
ROAA
(%)
P/ABV
RATIO
EPS
EPS
(RS) GROWTH (%)
Equity Shares (m)
52-Week Range
1,6,12 Rel. Perf. (%)
M.Cap. (Rs b)
M.Cap. (US$ b)
250.5
281/139
-8/3/-63
56.7
1.3
YEAR
END
NET INCOME
(RS M)
PAT
(RS M)
3/06A
3/07E
3/08E
21,578
23,164
26,508
8,031
8,431
9,285
32.1
33.6
37.1
-18.9
5.0
10.1
7.1
6.7
6.1
1.3
1.1
1.0
12.5
12.0
11.3
18.9
15.6
15.8
1.4
1.3
1.3
1.3
1.1
1.0
?
We expect NII growth of 8% to Rs4.3b in 3QFY07. Redemption of high yielding securities coupled with higher
deposit cost will continue to exert pressure on margins. However, we believe that margins at 2.5% have bottomed
and we are likely to witness better margins over the next few quarters
Fee income is likely to witness 25% growth YoY. Treasury income is likely to be ~Rs350m lower than the reported
Rs500m in 3QFY06.
Operating expenses, excluding staff expenses are likely to grow by 15% YoY on the back of increased thrust on CBS
implementation.
Recoveries would continue to be robust and could provide upside to our earnings estimates.
At CMP, the stock is trading at 6.1x FY08E EPS and 1x FY08E BV. We maintain
Neutral.
(RS MILLION)
FY06
1Q
2Q
3Q
4Q
1Q
2Q
FY07
3QE
4QE
FY06
FY07E
?
?
?
?
QUARTERLY PERFORMANCE
Y/E MARCH
Interest Income
Interest Expense
Net Interest Income
% Change (YoY)
Other Income
Net Income
% Change (YoY)
Operating Expenses
Operating Profit
Provision & Contingencies
PBT
Tax Provisions
Net Profit
% Change (YoY)
Cost to Income Ratio (%)
Int Exp/ Int Earned (%)
Other Income / Net Income (%)
E: MOSt Estimates
9,876
5,846
4,030
6.8
955
4,986
4.5
2,136
2,850
1,028
1,822
775
1,048
-42.0
42.8
59.2
19.2
10,069
6,027
4,042
4.7
1,720
5,762
27.4
2,503
3,259
324
2,935
670
2,265
5.4
43.4
59.9
29.9
10,499
6,549
3,950
5.4
1,263
5,213
-1.1
2,225
2,988
309
2,679
633
2,047
59.7
42.7
62.4
24.2
10,747
6,717
4,030
3.9
1,590
5,619
-0.1
2,795
2,824
610
2,214
-460
2,673
12.5
49.7
62.5
28.3
11,353
7,244
4,110
2.0
1,687
5,797
16.3
2,287
3,510
1,477
2,033
481
1,553
48.2
39.4
63.8
29.1
12,822
8,695
4,128
2.1
1,579
5,707
-1.0
2,566
3,141
-737
3,878
771
3,108
37.2
43.4
59.9
29.9
13,123
8,841
4,283
8.4
1,326
5,609
7.6
2,536
3,072
402
2,671
668
2,003
-2.1
45.2
67.4
23.6
13,447
8,917
4,530
12.4
1,521
6,052
7.7
2,634
3,417
759
2,658
891
1,767
-33.9
43.5
66.3
25.1
41,189
25,139
16,051
5.3
5,528
21,578
6.4
9,659
11,919
2,271
9,649
1,617
8,031
5.6
44.8
61.0
25.6
50,746
33,696
17,051
6.2
6,113
23,164
7.3
10,023
13,141
1,900
11,241
2,810
8,431
5.0
43.3
66.4
26.4
Manish Karwa (Mkarwa@MotilalOswal.com)/Rajat Rajgarhia (Rajat@MotilalOswal.com)/Veekesh Gandhi (VeekeshGandhi@MotilalOswal.com)
29 December 2006
84

Results Preview
SECTOR: BANKING
Punjab National Bank
STOCK INFO.
BLOOMBERG
REUTERS CODE
BSE Sensex: 13,787 PNB IN
S&P CNX: 3,966
PNB.BO
29 December 2006
Previous Recommendation: Buy
Buy
Rs507
EPS
P/E
(X)
P/BV
(X)
CAR
(%)
ROAE
(%)
ROAA
(%)
P/ABV
RATIO
EPS
(RS) GROWTH (%)
Equity Shares (m)
52-Week Range
1,6, 12 Rel. Perf. (%)
M.Cap. (Rs b)
M.Cap. (US$ b)
315.3
585/300
-8/26/-38
159.8
3.6
YEAR
END
NET INCOME
(RS M)
PAT
(RS M)
3/06A
3/07E
3/08E
58,979
61,883
74,227
14,393
17,136
21,512
45.6
54.3
68.2
2.1
19.1
25.5
11.1
9.3
7.4
1.8
1.5
1.3
12.0
10.4
10.3
16.4
17.0
18.4
1.1
1.1
1.2
1.8
1.6
1.3
?
We expect sustained margins of >4% for PNB, due to its high proportion of CASA deposits at 49%. NII is expected
to increase to increase by 16% YoY to Rs14b.
Core fee income is expected to improve by 20% in 3Q. PNB is likely to post net treasury gains of Rs550m in 3QFY07
3QFY06 had higher wage expenses due to the impact of wage settlement, pension provisions of Rs1b as well as
increased other expenses due to aggressive CBS implementation and higher deposit insurance premium. 3QFY07 is
likely to witness YoY decline in opex by 10% due to the absence of one off wage arrears and pension expenses.
Contrary to our expectations, we could expect PNB's NPA provisions to decline substantially given that the bank has
a coverage ratio of 95% and net NPAs of 0.2%, with adequate floating provisions. This could result in an earnings
surprise for PNB.
At CMP, the stock is trading at 7.4x FY08E EPS and 1.3x FY08 BV. Maintain
Buy.
?
?
?
?
QUARTERLY PERFORMANCE
Y/E MARCH
1Q
2Q
FY06
3Q
4Q
1Q
2Q
FY07
3QE
4QE
FY06
(RS MILLION)
FY07E
Interest Income
Interest Expense
Net Interest Income
% Change (YoY)
Other Income
Net Income
% Change (YoY)
Operating Expenses
Operating Profit
Provision & Contingencies
PBT
Tax Provisions
Net Profit
% Change (YoY)
Cost to Income Ratio (%)
Int Exp/ Int Earned (%)
Other Income / Net Income (%)
E: MOSt Estimates
22,899
12,016
10,883
16.3
2,528
13,411
-3.2
6,966
6,445
1,162
5,283
1,701
3,582
11.0
51.9
52.5
18.9
23,705
11,797
11,908
22.8
3,123
15,031
-4.3
8,195
6,836
94
6,742
2,522
4,220
2.3
54.5
49.8
20.8
24,548
12,474
12,074
17.3
2,445
14,519
13.7
9,036
5,484
1,032
4,451
747
3,704
17.9
62.2
50.8
16.8
24,689
12,887
11,802
10.1
4,215
16,017
10.5
6,034
9,983
6,111
3,871
985
2,887
-19.9
37.7
52.2
26.3
26,405
13,476
12,929
18.8
-1,055
11,874
-11.5
6,969
4,906
-230
5,135
1,460
3,675
2.6
58.7
51.0
-8.9
27,643
14,015
13,628
14.4
2,840
16,468
9.6
7,580
8,888
1,018
7,870
2,820
5,050
19.7
46.0
50.7
17.2
28,475
14,469
14,006
16.0
2,610
16,616
14.4
8,100
8,516
2,200
6,316
1,768
4,547
22.8
48.7
50.8
15.7
29,335
15,607
13,727
16.3
3,198
16,925
5.7
8,854
8,070
2,911
5,159
1,296
3,863
33.8
52.3
53.2
18.9
95,841
49,174
46,667
16.5
12,312
58,978
3.8
30,231
28,748
8,399
20,348
5,955
14,394
2.1
51.3
51.3
20.9
111,858
57,568
54,290
16.3
7,593
61,883
4.9
31,503
30,380
5,900
24,480
7,344
17,136
19.1
50.9
51.5
12.3
Manish Karwa (Mkarwa@MotilalOswal.com)/Rajat Rajgarhia (Rajat@MotilalOswal.com)/Veekesh Gandhi (VeekeshGandhi@MotilalOswal.com)
29 December 2006
85

Results Preview
SECTOR: BANKING
State Bank of India
STOCK INFO.
BLOOMBERG
REUTERS CODE
BSE Sensex: 13,787 SBIN IN
S&P CNX: 3,966
SBI.BO
29 December 2006
Previous Recommendation: Buy
Buy
Rs1,246
CON.
EPS(RS)
P/E
(X)
P/BV
(X)
CON.
P/BV (X)
CAR
(%)
ROAE
(%)
ROAA
(%)
EPS
(RS)
Equity Shares (m)
52-Week Range
1,6,12 Rel. Perf. (%)
M.Cap. (Rs b)
M.Cap. (US$ b)
526.3
1,379/684
-6/41/-9
655.7
14.8
YEAR
END
NET INCOME
(RS B)
PAT
(RS B)
3/06A
3/07E
3/08E
230.2
232.1
270.8
44.1
43.7
51.0
83.7
83.0
96.9
107.6
110.2
126.8
14.9
15.0
12.9
2.4
2.1
1.9
1.8
1.6
1.4
11.9
10.5
10.3
17.0
14.9
15.4
0.9
0.8
0.9
?
?
?
?
?
?
While reported NII is expected to decline by 5% YoY, adjusting for one-off gains in 3QFY06, adjusted NII growth is
likely to be 35% YoY. This adjusted 35% NII growth is one-time due to the low 3QFY06 base.
Loan growth, likely to be driven by growth in SME and retail, is likely to be 25%. On a YTD basis, large corporate
loan growth is likely to be nominal.
Margins are likely to decline QoQ on the back of rising costs arising from the rate hike effected earlier this year. The
bank has raised its deposit rates (50-75bps) as well as its PLR by 50bp.
While non-interest income is expected to decline by 3% YoY due to one-off gain in 3QFY06, excluding this we
expect non-interest income to grow by 36% YoY. Treasury income is likely to be Rs2.2b, while core other income is
likely to grow by 29%, excluding the one-off exchange gains in 3QFY06.
Operating expenses growth is likely to be down by 8% YoY. In 3QFY06, SBI had wage settlement expenses, higher
pension provisions, expenses as well as charged-off entire expenses related to employee exit scheme.
At CMP, the stock is trading at 12.9x FY08E cons. EPS and 1.4x FY08 cons. BV. Maintain
Buy.
(RS MILLION)
FY06
1Q
2Q
3Q
4Q
1Q
2Q
FY07
3QE
4QE
FY06
FY07E
QUARTERLY PERFORMANCE
Y/E MARCH
Interest Income
Interest Expenses
Net Interest Income
% Change (Y-o-Y)
NII, Adjusted for One-off Items
Other Income
Net Income
% Change (Y-o-Y)
Operating Expenses
Operating Profit
% Change (Y-o-Y)
Other Provisions
Provision for Taxes
Net Profit
% Change (Y-o-Y)
Cost to Income Ratio
Interest Exp / Interest Earned
Other Income / Net Income
E: MOSt Estimates
91,663
49,131
42,532
44.0
35,412
15,766
58,298
29.8
23,903
34,395
66.0
17,666
4,501
12,228
15.5
41.0
53.6
27.0
85,614
49,535
36,079
6.8
36,079
12,946
49,026
-2.6
29,197
19,829
-23.9
8,175
-500
12,154
12.3
59.6
57.9
26.4
95,582
53,383
42,199
15.3
29,669
18,404
60,603
2.8
34,607
25,996
-23.3
4,698
10,147
11,151
1.4
57.1
55.9
30.4
85,091
49,545
35,546
-10.0
35,546
26,770
62,316
10.5
29,544
32,772
12.1
13,391
10,847
8,533
-19.9
47.4
58.2
43.0
88,362
49,521
38,841
-8.7
38,841
17,626
56,467
-3.1
28,101
28,366
-17.5
12,820
7,559
7,987
-34.7
49.8
56.0
31.2
93,775
54,788
38,987
8.1
38,987
14,338
53,324
8.8
28,599
24,726
24.7
6,813
6,067
11,845
-2.5
53.6
58.4
26.9
101,530
61,974
39,555
-6.3
39,555
17,794
57,350
-5.4
30,847
26,502
1.9
8,500
6,228
11,774
5.6
53.8
61.0
31.0
111,679
70,077
41,601
17.0
41,601
23,331
64,932
4.2
35,754
29,178
-11.0
12,404
4,710
12,064
41.4
55.1
62.7
35.9
357,949
201,593
156,356
12.1
136,706
73,886
230,242
9.3
117,251
112,992
2.8
43,930
24,995
44,066
2.4
50.9
56.3
32.1
395,345
236,360
158,984
1.7
158,984
73,089
232,073
0.8
123,301
108,772
-3.7
40,537
24,564
43,670
-0.9
53.1
59.8
31.5
Manish Karwa (Mkarwa@MotilalOswal.com)/Rajat Rajgarhia (Rajat@MotilalOswal.com)/Veekesh Gandhi (VeekeshGandhi@MotilalOswal.com)
29 December 2006
86

Results Preview
SECTOR: BANKING
Syndicate Bank
STOCK INFO.
BLOOMBERG
REUTERS CODE
BSE Sensex: 13,787 SNDB IN
S&P CNX: 3,966
SBNK.BO
29 December 2006
Previous Recommendation: Neutral
Neutral
Rs75
P/E
(X)
P/BV
(X)
CAR
(%)
ROAE
(%)
ROAA
(%)
P/ABV
RATIO
EPS
EPS
(RS) GROWTH (%)
Equity Shares (m)
52-Week Range
1,6,12 Rel. Perf. (%)
M.Cap. (Rs b)
M.Cap. (US$ b)
522.0
104/47
-8/20/-57
39.1
0.9
YEAR
END
NET INCOME
(RS M)
PAT
(RS M)
3/06A
3/07E
3/08E
24,725
26,126
30,494
5,365
6,777
7,752
10.3
13.0
14.9
20.4
26.3
14.4
7.3
5.8
5.0
1.5
1.2
1.0
11.7
10.4
10.0
21.3
21.9
21.1
0.9
0.9
0.9
1.6
1.3
1.1
?
?
?
?
?
?
We expect NII to decline by 7% YoY in 3QFY07 to Rs5b. While loan growth is likely to be around 40% YoY, margin
pressure stemming from raising term/bulk deposits in the last few quarters would continue to drag margins for the
bank. We expect margins to be stable QoQ at 2.6%
Core non-interest income to grow by 15% YoY. We expect treasury profits of Rs250m in 3QFY07.
In 3QFY06, an additional one-time VRS expense resulted in higher opex. While this expense is likely to be absent in
3QFY07, we expect YoY staff expenses to decline by 15%, although, excluding staff expenses, opex would continue
to be higher YoY due to aggressive CBS implementation.
As the bank is having carry forward losses to the extent of Rs6b-Rs7b due to which the bank would continue to pay
taxes at MAT levels. Management stated that this benefit would continue to run through FY07. However, we are
factoring in a higher tax rate in FY07.
Net profit is expected to decline YoY to Rs1.5b in 3QFY07 on the back of NII decline.
The stock is trading at 5x FY08E EPS and 1x FY08E BV. Maintain
Neutral.
QUARTERLY PERFORMANCE
Y/E MARCH
1Q
2Q
FY06
3Q
4Q
1Q
2Q
FY07
3QE
4QE
FY06
(RS MILLION)
FY07E
Interest Income
Interest Expense
Net Interest Income
% Change (Y-o-Y)
Other Income
Net Income
% Change (Y-o-Y)
Operating Expenses
Operating Profit
Other Provisions
Tax Provisions
Net Profit
% Change (Y-o-Y)
Cost to Income Ratio (%)
Interest Exp./Interest Income (%)
Other Income/Net Income (%)
E: MOSt Estimates
9,534
4,810
4,724
37.8
1,322
6,046
12.4
3,242
2,803
729
444
1,631
30.2
53.6
50.5
21.9
9,903
5,103
4,799
13.9
1,276
6,076
13.2
3,911
2,165
243
170
1,752
131.8
64.4
51.5
21.0
10,475
5,127
5,349
35.6
1,177
6,526
27.6
3,618
2,908
879
150
1,879
n.a.
55.4
48.9
18.0
10,592
6,655
3,937
-26.4
2,035
5,972
-11.2
3,577
2,395
2,905
-613
103
-96.3
59.9
62.8
34.1
12,308
7,249
5,059
7.1
1,342
6,401
5.9
3,382
3,019
963
250
1,806
10.7
52.8
58.9
21.0
14,373
9,527
4,846
1.0
1,656
6,502
7.0
3,471
3,031
730
250
2,051
17.1
53.4
66.3
25.5
14,979
9,894
5,085
-4.9
1,471
6,556
0.5
3,546
3,011
925
301
1,785
-5.0
54.1
66.1
22.4
15,356
10,074
5,282
34.2
1,385
6,667
11.6
3,827
2,840
1,310
395
1,135
1,001.4
57.4
65.6
20.8
40,504
21,696
18,809
11.0
5,916
24,725
9.5
14,348
10,376
4,861
150
5,365
33.2
58.0
53.6
23.9
57,017
36,745
20,271
7.8
5,854
26,126
5.7
14,225
11,901
3,928
1,196
6,777
26.3
54.4
64.4
22.4
Manish Karwa (Mkarwa@MotilalOswal.com)/Rajat Rajgarhia (Rajat@MotilalOswal.com)/Veekesh Gandhi (VeekeshGandhi@MotilalOswal.com)
29 December 2006
87

Results Preview
SECTOR: BANKING
Union Bank of India
STOCK INFO.
BLOOMBERG
REUTERS CODE
BSE Sensex: 13,787 UNBK IN
S&P CNX: 3,966
UNBK.BO
29 December 2006
Previous Recommendation: Buy
Buy
Rs123
EPS
P/E
(X)
P/BV
(X)
CAR
(%)
ROAE
(%)
ROAA
(%)
P/ABV
RATIO
EPS
(RS) GROWTH (%)
Equity Shares (m)
52-Week Range
1,6,12 Rel. Perf. (%)
M.Cap. (Rs b)
M.Cap. (US$ b)
505.1
142/81
-5/6/-46
62.0
1.4
YEAR
END
NET INCOME
(RS M)
PAT
(RS M)
3/06A
3/07E
3/08E
29,994
32,879
38,199
6,752
7,688
9,515
13.4
15.2
18.8
-14.5
13.9
23.8
9.2
8.1
6.5
1.5
1.3
1.2
11.4
9.2
9.1
16.5
15.9
17.5
0.8
0.8
0.8
1.7
1.5
1.2
?
We expect margins to remain stable QoQ at 2.8% (YoY decline of 40bp in 2Q). While volume growth would continue
to remain strong with loan growth of 25%+, NII growth is likely to be at 2.5% on account of margin pressure.
Despite high deposit accumulation (retail term deposits), we expect stable margins QoQ on the back of rate hike in
August and shedding of Rs30-Rs40b (bulk deposits) of high cost deposits during 3Q. The proportion of CASA is likely
to be maintained at its 2Q levels of 34%.
Core fee income is likely to continue to grow by 20%-25% YoY in 3QFY07. Treasury gains are likely to be Rs300m,
a YoY growth of 25%.
Provisions are expected to remain high in 3QFY07, as we expect the bank to continue to make higher NPA provisions.
At CMP, the stock is trading at 6.5x FY08E EPS and 1.2x FY08E BV. We maintain
Buy.
(RS MILLION)
FY06
1Q
2Q
3Q
4Q
1Q
2Q
FY07
3QE
4QE
FY06
FY07E
?
?
?
?
QUARTERLY PERFORMANCE
Y/E MARCH
Interest Income
Interest Expense
Net Interest Income
% Change (Y-o-Y)
Other Income
Net Income
% Change (Y-o-Y)
Operating Expenses
Operating Profit
Other Provisions
Tax Provisions
Net Profit
% Change (Y-o-Y)
Cost to Income Ratio (%)
Interest Exp./Interest Income (%)
Other Income/Net Income (%)
E: MOSt Estimates
13,578
8,230
5,347
14.6
1,337
6,684
-4.7
3,153
3,531
647
480
2,404
14.3
47.2
60.6
20.0
14,202
8,179
6,023
31.9
1,403
7,426
20.2
3,855
3,571
2,690
270
611
-71.0
51.9
57.6
18.9
15,135
8,741
6,394
10.3
1,390
7,784
1.0
3,501
4,283
1,302
690
2,291
287.8
45.0
57.8
17.9
15,723
9,744
5,979
6.5
2,122
8,100
9.4
3,515
4,585
2,384
755
1,446
-39.5
43.4
62.0
26.2
16,657
10,312
6,345
18.7
1,650
7,995
19.6
3,730
4,265
1,579
1,018
1,668
-30.6
46.7
61.9
20.6
17,724
11,449
6,276
4.2
1,918
8,193
10.3
3,910
4,283
1,220
1,122
1,942
217.8
47.7
64.6
23.4
18,616
12,063
6,553
2.5
1,738
8,291
6.5
4,026
4,265
1,400
725
2,140
-6.6
48.6
64.8
21.0
20,044
13,182
6,862
14.8
1,538
8,400
3.7
4,230
4,169
1,802
430
1,938
34.0
50.4
65.8
18.3
58,638
34,894
23,743
15.0
6,251
29,994
6.0
14,024
15,970
7,024
2,195
6,752
-6.1
46.8
59.5
20.8
73,041
47,006
26,035
9.7
6,843
32,879
9.6
15,896
16,982
6,000
3,295
7,688
13.9
48.3
64.4
20.8
Manish Karwa (Mkarwa@MotilalOswal.com)/Rajat Rajgarhia (Rajat@MotilalOswal.com)/Veekesh Gandhi (VeekeshGandhi@MotilalOswal.com)
29 December 2006
88

Results Preview
SECTOR: BANKING
UTI Bank
STOCK INFO.
BLOOMBERG
REUTERS CODE
BSE Sensex: 13,787 UTIB IN
S&P CNX: 3,966
UTBK.BO
29 December 2006
Previous Recommendation: Buy
Buy
Rs469
EPS
P/E
(X)
P/BV
(X)
CAR
(%)
ROAE
(%)
ROAA
(%)
P/ABV
RATIO
EPS
(RS) GROWTH (%)
Equity Shares (m)
52-Week Range
1,6,12 Rel. Perf. (%)
M.Cap. (Rs b)
M.Cap. (US$ b)
278.7
513/222
-2/46/17
130.7
3.0
YEAR
END
NET INCOME
(RS M)
PAT
(RS M)
3/06A
3/07E
3/08E
18,079
24,290
31,744
4,851
6,289
8,237
17.4
22.6
29.6
42.4
29.6
31.0
26.9
20.8
15.9
4.6
3.9
3.2
11.1
11.0
10.5
18.4
20.1
22.0
1.1
1.1
1.1
4.8
4.0
3.3
?
?
?
?
?
We expect strong NII growth of 34% to continue in 3QFY07, on back of 50%+ loan growth in 3QFY07 and improved
margins QoQ
UTI Bank has been making huge investments in new branches and recruiting new employees. It was the only new
private sector bank to have fresh approvals for almost the last one year. We believe this strategy has started to pay
off and is likely to continue its higher CASA deposit growth for the bank. Nonetheless, we expect its opex costs to
remain high at 50% YoY in 3Q as well.
Another key driver for UTI Bank has been its sustained growth in its fee-based income. We expect the core fee
income to increase by over 50%+ in 3QFY07.
Earnings are expected to increase by 30% YoY to Rs1.7b in 3QFY07 supported by robust growth in NII and other
income.
The stock currently trades at 15.9x FY08E EPS and 3.2x FY08E BV. Maintain
Buy.
(RS MILLION)
FY06
1Q
2Q
3Q
4Q
1Q
2Q
FY07
3QE
4QE
FY06
FY07E
QUARTERLY PERFORMANCE
Y/E MARCH
Interest Income
Interest Expense
Net Interest Income
Y-o-Y Growth (%)
Other Income
Net Income
Operating Expenses
Operating Profit
Y-o-Y Growth (%)
Provision & Contingencies
Profit before Tax
Tax Provisions
Net Profit
Y-o-Y Growth (%)
Int Exp/ Int Earned (%)
Other Income / Net Income (%)
Cost to Income Ratio (%)
E: MOSt Estimates
6,218
3,994
2,225
34.8
1,500
3,725
1,690
2,035
39.6
635
1,399
473
926
31.0
64.2
40.3
45.4
6,876
4,322
2,555
41.4
1,781
4,336
1,975
2,361
515.0
716
1,645
555
1,090
135.9
62.8
41.1
45.6
7,467
4,593
2,874
53.7
1,734
4,609
2,047
2,562
42.8
592
1,970
653
1,317
30.2
61.5
37.6
44.4
8,327
5,198
3,129
59.4
2,281
5,409
2,429
2,981
49.1
682
2,299
782
1,517
30.2
62.4
42.2
44.9
9,539
6,321
3,218
44.7
2,245
5,463
2,392
3,072
51.0
1,248
1,824
618
1,206
30.1
66.3
41.1
43.8
10,501
6,849
3,652
43.0
2,048
5,699
2,955
2,745
16.3
588
2,157
738
1,420
30.2
65.2
35.9
51.8
11,201
7,348
3,852
34.0
2,400
6,252
3,111
3,142
22.6
730
2,412
699
1,712
30.0
65.6
38.4
49.8
11,556
7,594
3,962
26.6
2,913
6,875
2,968
3,906
31.1
1,184
2,722
770
1,952
28.6
65.7
42.4
43.2
28,888
18,106
10,782
47.5
7,296
18,079
8,141
9,938
75.7
2,625
7,313
2,462
4,851
45.0
62.7
40.4
45.0
42,797
28,112
14,684
36.2
9,606
24,290
11,425
12,865
29.4
3,750
9,115
2,826
6,289
29.6
65.7
39.5
47.0
Manish Karwa (Mkarwa@MotilalOswal.com)/Rajat Rajgarhia (Rajat@MotilalOswal.com)/Veekesh Gandhi (VeekeshGandhi@MotilalOswal.com)
29 December 2006
89

Results Preview
SECTOR: BANKING
Vijaya Bank
STOCK INFO.
BLOOMBERG
REUTERS CODE
BSE Sensex: 13,787 VJYBK IN
S&P CNX: 3,966
VJBK.BO
29 December 2006
Previous Recommendation: Neutral
Neutral
Rs47
P/E
(X)
P/BV
(X)
CAR
(%)
ROAE
(%)
ROAA
(%)
P/ABV
RATIO
EPS
EPS
(RS) GROWTH (%)
Equity Shares (m)
52-Week Range
1,6,12 Rel. Perf. (%)
M.Cap. (Rs b)
M.Cap. (US$ b)
433.5
72/33
-9/-11/-69
20.4
0.5
YEAR
END
NET INCOME
(RS M)
PAT
(RS M)
3/06A
3/07E
3/08E
13,418
13,805
15,780
1,269
3,203
3,992
2.9
7.4
9.2
-66.6
152.4
24.6
16.1
6.4
5.1
1.2
1.1
0.9
11.9
11.1
10.3
7.8
17.9
19.5
0.4
0.9
1.0
1.3
1.1
1.0
?
We expect the bank to post 5% YoY growth in NII to Rs2.7b. 3QFY07 margins are likely to be stable QoQ, as higher
asset yields are likely to be offset by higher deposit costs.
Business growth is likely to remain strong with total business of over Rs530b in 3QFY07, a growth of ~23% YoY.
On back of lower bond gains of ~Rs100m and 10%15% growth in fee income, we expect non-interest income to
decline in 3QFY07.
With a goal to achieve near zero NPAs by FY07, we expect the bank to report provisions for NPAs of Rs200m in 3Q.
Overall, provisions are likely to be around Rs600m, including amortization provisions of Rs250m-300m.
Earnings are expected to grow by 40% YoY in 3QFY07 on the back of the low 3QFY06 NII base.
At, CMP, the stock trades at 5.1x FY08E EPS and 0.9x FY08E BV. Maintain
Neutral.
?
?
?
?
?
QUARTERLY PERFORMANCE
Y/E MARCH
1Q
2Q
FY06
3Q
4Q
1Q
2Q
FY07
3QE
4QE
FY06
(RS MILLION)
FY07E
Interest Income
Interest Expense
Net Interest Income
% Change (Y-o-Y)
Other Income
Net Income
% Change (Y-o-Y)
Operating Expenses
Operating Profit
Other Provisions
Tax Provisions
Net Profit
% Change (Y-o-Y)
Cost to Income Ratio (%)
Interest Exp./Interest Income (%)
Other Income/Net Income (%)
E: MOSt Estimates
5,550
3,178
2,372
1.5
1,027
3,399
-2.3
1,376
2,023
1,944
-196
275
-71.8
40.5
57.3
30.2
5,715
3,386
2,329
-4.5
941
3,269
-0.1
1,634
1,635
536
348
751
5.2
50.0
59.3
28.8
5,953
3,362
2,591
3.4
731
3,322
4.0
1,612
1,710
731
390
588
5.7
48.5
56.5
22.0
5,900
3,464
2,436
-5.0
992
3,428
-0.2
1,613
1,815
2,177
-17
-345
-122.1
47.1
58.7
28.9
6,134
3,551
2,583
8.9
866
3,450
1.5
1,498
1,951
1,105
120
726
163.7
43.4
57.9
25.1
6,742
4,144
2,598
11.6
718
3,316
1.4
1,550
1,766
475
268
1,023
36.3
46.7
61.5
21.7
6,965
4,244
2,721
5.0
695
3,416
2.8
1,725
1,691
600
270
820
39.5
50.5
60.9
20.3
7,127
4,300
2,828
16.1
796
3,624
5.7
1,733
1,890
670
587
633
NA
47.8
60.3
22.0
23,118
13,390
9,728
-1.2
3,690
13,418
0.4
6,235
7,182
5,388
526
1,269
-66.6
46.5
57.9
27.5
26,968
16,239
10,730
10.3
3,075
13,805
2.9
6,507
7,298
2,850
1,245
3,203
152.4
47.1
60.2
22.3
Manish Karwa (Mkarwa@MotilalOswal.com)/Rajat Rajgarhia (Rajat@MotilalOswal.com)/Veekesh Gandhi (VeekeshGandhi@MotilalOswal.com)
29 December 2006
90

Results Preview
QUARTER ENDED DECEMBER 2006
Cement
BSE Sensex: 13,787
S&P CNX: 3,966
29 December 2006
COMPANY NAME
PG.
ACC
96
Birla Corporation
97
3QFY07: Key highlights
YoY Comparative (v/s 3QFY06)
?
Volumes expected to be higher by 9.7%
?
Prices expected to be higher by 31.8%
QoQ Comparative (v/s 2QFY07)
?
Volumes higher by 10.7%
?
Prices expected to be higher by 3%
CEMENT INDUSTRY DYNAMICS: DEMAND AND PRICE
Grasim Industries
98
Gujarat Ambuja
99
Shree Cement
100
National Despatches (LHS)
UltraTech Cement
101
Average Price (RHS)
225
200
175
150
125
15,000
13,000
11,000
9,000
7,000
Source: CMA/MOSt
MOST CEMENT UNIVERSE: 3QFY07 PERFORMANCE AT A GLANCE
VOLUME (M TON)
3QFY07
3QFY06
GR. (%)
REALIZATION
YOY (%)
ACC*
Birla Corp.
Grasim
Guj Ambuja*
Shree Cement
UltraTech Cement
Industry
5.0
1.4
3.7
3.8
1.2
4.3
38.7
4.6
1.3
3.5
3.4
0.7
3.9
8.9
11.1
4.8
10.0
64.3
8.4
46.3
40.4
53.1
40.0
46.7
41.6
35.3
9.7
31.8
Source: CMA, MOSt * December year-end
(RS MILLION)
EXPECTED QUARTERLY PERFORMANCE SUMMARY
RECO
SALES
DEC.06
CHG. (%)
DEC.06
EBITDA
CHG. (%)
NET PROFIT
DEC.06
CHG. (%)
Cement
ACC
Birla Corporation
Grasim Industries
Gujarat Ambuja
Shree Cement
UltraTech Cement
Sector Aggregate
Neutral
Buy
Buy
Buy
Buy
Buy
16,709
4,107
21,969
11,910
3,480
12,023
70,198
55.9
45.8
33.3
54.0
141.2
53.6
49.3
4,931
1,263
6,491
4,694
1,634
3,722
22,734
213.3
363.4
103.4
132.3
197.8
237.2
161.0
3,118
764
3,990
3,223
831
1,985
13,911
228.5
344.0
146.5
266.8
109.5
732.1
227.0
Jinesh K Gandhi (Jinesh@MotilalOswal.com); Tel +91 22 39825416
29 December 2006
91

Cement
Pricing: Cement prices booming
3QFY07 highlights
?
YoY Comparative:
higher by 31.8%
?
QoQ Comparative:
higher by 3%
3QFY07: SUMMARY PRICING TREND (%)
YOY
QOQ
PRICE TREND – NORTH (RS/BAG)
North
East
West
South
Central
National Average
27.4
26.8
33.4
29.6
44.6
31.8
3.4
6.4
2.7
-1.3
6.6
3.0
Source: Industry/MOSt
220
195
170
145
120
PRICE TREND – EAST (RS/BAG)
PRICE TREND – WEST (RS/BAG)
220
195
170
145
120
240
205
170
135
100
PRICE TREND – SOUTH (RS/BAG)
PRICE TREND – CENTRAL (RS/BAG)
220
195
170
145
120
210
185
160
135
110
29 December 2006
92

Cement
Cement prices firm up further post monsoons
Higher volume growth (~10% YoY in 3QFY06) and limited capacity addition has improved
the supply-demand scenario significantly, which is reflected in the price hike of Rs4/bag
QoQ in 2QFY07 (despite monsoon quarter) and another Rs6/bag price hike in October-
November 2006. For 3QFY06, cement prices are expected to be higher by Rs6/bag (~3%
QoQ and 31% YoY).
TREND IN CEMENT PRICES (NATIONAL AVERAGE, RS/BAG)
220
195
170
145
120
Source: CMA/Motilal Oswal Securities
Strong demand, limited supply growth will keep cement prices firm
As construction activity gathers full momentum, high capacity utilization and strong demand
growth could lead to some short-term deficit for cement during January-June 2007. This
could result in higher-than-expected price hikes during this period. Our estimates factor in
a price increase of Rs5/bag QoQ in 3QFY07 and Rs7.5/bag QoQ in 4QFY07. Also, our
FY08E estimates assume a price that is Rs5/bag higher in FY08E compared with FY07E
average prices, and Rs5/bag decline in FY09E over FY08E average prices.
High capacity utilization, despite capacity additions
Although around 75m ton of capacity addition has already been announced, meaningful
capacity addition would be operational only by end-FY08 and in FY09 (assuming no delays).
However, adjusting for non-operative capacity (~5.5m ton) and timing of capacity additions
after taking into account likely delay, effective capacity utilization for FY07E, FY08E and
FY09E would be 99%, 100% and 93% respectively. Even if we do not factor in any delay,
capacity utilization for FY08E and FY09E would be around 99% and 92% respectively.
Also, we note, the new capacities would take around 3-6 months to stabilize operations,
which would further push back impact of these new capacities, in the process, prolonging
the current upturn in the cement cycle. The ongoing upturn in the cement cycle is expected
to be sustained at least for a further 18 months (to 2QFY09), translating into a strong
pricing environment in the interim.
29 December 2006
93

Cement
CAPACITY UTILIZATION TO REMAIN HIGH (M TON)
250
Despatches
Excess Capacity
200
150
100
50
FY 02
FY 03
FY 04
FY 05E
FY 06E
FY 07E
FY 08E
FY 09E
Source: CMA/ Motilal Oswal Securities
Valuation and view
High volume growth and limited capacity addition has improved the supply-demand scenario
for industry significantly, and as a result, industry is passing through a cyclical upturn,
which is likely to continue for a few more years. Our outlook for the sector remains
positive on the strength of two fundamentals: (1) expectation of demand growth at 10%
CAGR over FY06-FY09E; and (2) firm cement prices.
We have estimated an increase in cement prices by Rs5/bag QoQ in 3QFY07 and Rs7.5/
bag in 4QFY07 QoQ. We expect a price hike of Rs5/bag in FY08 over FY07 and a
decline of Rs5/bag in FY09. Amongst the large caps, we prefer
Gujarat Ambuja
and
Grasim.
The valuation gap between large-cap and mid-cap cement companies has been
widening in a scenario wherein mid-caps are expected to record superior volume growth
in a favorable pricing environment, along with improving financials. Within mid-caps, we
like
Kesoram, Birla Corporation
and
Shree Cements.
29 December 2006
94

Cement
Stock performance and valuations
STOCK PERFORMANCE (%)
ABSOLUTE PERF
3M
1 YEAR
REL PERF TO SENSEX
3M
1 YEAR
REL PERF TO SECTOR
3M
1 YEAR
Cement
ACC
Birla Corporation
Grasim Industries
Gujarat Ambuja
Shree Cement
UltraTech Cement
9
-1
11
21
46
23
103
31
100
78
198
157
-1
-11
0
10
35
12
57
-15
54
31
151
110
-9
-19
-8
2
27
5
-6
-78
-8
-31
89
48
RELATIVE PERFORMANCE - 3 MONTH (%)
RELATIVE PERFORMANCE - 1 YEAR (%)
Sensex
118
MOSt Cement Index
210
MOSt Cement Index
Sensex
113
180
108
150
103
120
98
Sep-06
Oct-06
Nov-06
Dec-06
90
Dec-05
Mar-06
Jun-06
Sep-06
Dec-06
CMP (RS)
29.12.06
RECO
FY06
EPS (RS)
FY07E
FY08E
FY06
P/E (X)
FY07E
FY08E
EV/EBITDA
FY06
FY07E
FY08E
FY06
ROE (%)
FY07E
FY08E
Cement
ACC
Birla Corporation
Grasim Industries
Gujarat Ambuja
Shree Cement
UltraTech Cement
Sector Aggregate
1,086
337
2,789
141
1,457
1,097
Neutral
Buy
Buy
Buy
Buy
Buy
22.6
16.3
113.2
4.1
8.7
18.1
59.8
40.4
209.3
9.5
100.5
65.2
79.3
48.8
230.9
12.3
145.7
79.7
48.1
20.6
24.6
34.3
167.6
60.7
41.9
18.1
8.3
13.3
14.8
14.5
16.8
16.0
13.7
6.9
12.1
11.4
10.0
13.8
12.9
38.5
14.7
16.8
20.0
24.9
26.2
22.4
12.7
4.7
9.8
10.4
8.8
9.7
10.1
8.9
3.5
8.8
7.5
5.8
8.1
7.9
19.8
32.7
21.4
27.0
10.3
22.3
19.4
35.7
48.1
29.3
52.6
79.5
57.4
37.8
34.6
38.9
25.0
50.7
63.9
44.4
34.8
29 December 2006
95

Results Preview
SECTOR: CEMENT
ACC
STOCK INFO.
BLOOMBERG
REUTERS CODE
BSE Sensex: 13,787 ACC IN
S&P CNX: 3,966
ACC.BO
29 December 2006
Previous Recommendation: Neutral
Neutral
Rs1,086
EPS
P/E
(X)
P/BV
(X)
ROE
(%)
ROCE
(%)
EV/
EV/
SALES EBITDA
PAT
EPS*
(RS) GROWTH (%)
Equity Shares (m)
52-Week Range
1,6,12 Rel. Perf. (%)
M.Cap. (Rs b)
M.Cap. (US$ b)
185.5
1,192/501
-5/9/57
201.4
4.5
YEAR
END
NET SALES
(RS M)
(RS M)
12/05A# 31,777
12/06E 59,165
12/07E 68,833
3,156
11,226
14,890
22.6
59.8
79.3
11.1
165.2
32.6
48.1
18.1
13.7
9.5
6.5
4.7
19.8
35.7
34.6
17.0
34.7
37.6
6.6
3.5
2.8
38.5
12.7
8.9
* Fully Diluted EPS; #CY05 EPS is annualised
?
Dispatches during 4QCY06 are expected to grow by 8.9% to 5m ton. Average realizations are expected to be higher
by 46% YoY (~3.3% QoQ) to Rs3,153/ton.
?
Net sales are expected to grow by 56% YoY to Rs16.7b, driven by significant improvement in realizations. On
account of significant increase in realization EBITDA margins are likely to double to 29.5%. EBITDA is likely to
move up 213% YoY to Rs4.9b, translating into PAT growth of 228% to Rs3.1b.
?
The company has announced capex of Rs14.8b to set up a 3m ton plant at its existing Wadi (Karnataka) unit, which
is expected to operational by end of FY09. This would take ACC’ total capacity to 24.8m ton.
s
?
We have revised our estimates downward marginally for CY06 by 2.3% to Rs59.8/share, to factor in the lower-than-
expected dispatches in November 2006. The stock currently trades at 13.7x CY07E EPS and 8.9x CY07E EV/
EBITDA. Considering the stretched valuations, we reiterate
Neutral.
QUARTERLY PERFORMANCE (STANDALONE)
Y/E DECEMBER
FY05
4Q
1Q
CY05
2Q
3Q
1Q
2Q
CY06
3Q
4QE
CY05
(9M)
(RS MILLION)
CY06E
Cement Sales (m ton)
YoY Change (%)
Cement Realization
YoY Change (%)
QoQ Change (%)
Net Sales
YoY Change (%)
EBITDA
Margins (%)
Depreciation
Interest
Other Income
PBT before EO Item
EO Income/(Expense)
PBT after EO Item
Tax
Rate (%)
Reported PAT
Adjusted PAT
Margins (%)
YoY Change (%)
E: MOSt Estimates
4.49
11.2
2,186
2.6
10.1
11,106
15.5
1,651
14.9
473
204
417
1,391
0
1,391
-264
-19.0
1,655
1,655
14.9
58.6
4.41
13.5
2,225
2.4
1.8
10,971
16.6
2,234
20.4
521
222
343
1,834
88
1,922
497
25.9
1,424
1,355
12.3
66.8
3.94
5.6
2,223
7.5
-0.1
9,902
12.3
1,523
15.4
529
202
254
1,045
1,803
2,848
565
19.8
2,283
851
8.6
8.4
4.59
9.7
2,155
8.6
-3.0
10,721
12.5
1,574
14.7
607
213
276
1,030
1,053
2,083
163
7.8
1,920
949
8.9
77.5
5.06
12.7
2,470
13.0
14.6
13,218
19.0
3,151
23.8
594
194
537
2,900
0
2,900
348
12.0
2,552
2,552
19.3
54.2
4.63
5.0
2,985
34.2
20.8
14,247
29.9
4,556
32.0
579
147
156
3,985
1,464
5,449
1,393
25.6
4,056
2,966
20.8
118.9
4.27
8.4
3,053
37.4
2.3
13,577
37.1
3,660
27.0
585
144
217
3,148
1
3,149
894
28.4
2,255
2,254
16.6
164.7
5.00
8.9
3,153
46.3
3.3
16,709
55.9
4,931
29.5
619
157
291
4,445
0
4,445
1,328
29.9
3,118
3,118
18.7
228.5
12.97
6.2
2,195
4.3
31,777
9.0
5,430
17.1
1,644
638
818
3,967
2,874
6,841
1,399
20.5
5,442
3,156
9.9
11.1
19.05
10.2
2,894
31.9
59,165
39.6
16,305
27.6
2,377
642
1,200
14,485
1,465
15,950
3,589
22.5
12,362
11,226
19.0
166.8
Jinesh K Gandhi (Jinesh@MotilalOswal.com); Tel +91 22 39825416
29 December 2006
96

Results Preview
SECTOR: CEMENT
Birla Corporation
STOCK INFO.
BLOOMBERG
REUTERS CODE
BSE Sensex: 13,787 BJUT IN
S&P CNX: 3,966
BRLC.BO
29 December 2006
Previous Recommendation: Buy
Buy
Rs337
EPS
P/E
(X)
P/BV
(X)
ROE
(%)
ROCE
(%)
EV/
EV/
SALES EBITDA
PAT
EPS
(RS) GROWTH (%)
Equity Shares (m)
52-Week Range
1,6,12 Rel. Perf. (%)
M.Cap. (Rs b)
M.Cap. (US$ b)
77.0
413/164
-9/14/-15
25.9
0.6
YEAR
END
NET SALES
(RS M)
(RS M)
3/06A
3/07E
3/08E
12,155
15,948
17,632
1,258
3,115
3,755
16.3
40.4
48.8
44.8
147.7
20.6
20.6
8.3
6.9
6.8
4.0
2.7
32.7
48.1
38.9
22.0
50.0
36.7
2.2
1.5
1.2
14.7
4.7
3.5
?
During 3QFY07, Birla Corp’ revenues are expected to grow by 46% to Rs4.1b. Revenues growth will be driven by
s
value and volume growth in cement division. Cement realizations are likely to be up by 40% YoY (~3.8% QoQ) to
Rs2,721 per ton while sales volume will be up by 11% to 1.39m ton.
?
Rising cement prices, savings on account of captive power plant and higher volumes due to increase in capacity will
result in EBITDA margins expanding by 21.1pp YoY to 30.8%. EBITDA is likely to grow by 263% to Rs1.3b,
translating into PAT growth of 344% to Rs764m.
?
New grinding unit at Durgapur is expected to stabilize operations and operate at an optimum level from December
2006, thereby driving volume growth from 4QFY07 onward.
?
With presence in the structurally sound markets of the north and central regions, timely capacity expansion and
expected savings in power cost due to its captive power plant, it is one of the best plays to ride the demand excess
scenario in cement. The stock is trading at 6.9x FY08E earnings and at EV/ton of US$85/ton of expanded capacity.
We reiterate
Buy.
QUARTERLY PERFORMANCE
Y/E MARCH
1Q
2Q
FY06
3Q
4Q
1Q
2Q
FY07
3QE
4QE
FY06
(RS MILLION)
FY07E
Cement Sales (m ton)
YoY Change (%)
Cement Realization
YoY Change (%)
QoQ Change (%)
Net Sales
YoY Change (%)
Total Expenditure
EBITDA
Margins (%)
Depreciation
Interest
Other Income
Profit before Tax
Tax
Rate (%)
Adjusted PAT
Margins (%)
YoY Change (%)
E: MOSt Estimates
1.27
-4.5
1,993
5.1
-4.2
2,791
0.4
2,358
433
15.5
73
30
35
366
133
36.4
232
8.3
-21.2
1.18
-2.0
1,928
1.2
-3.3
2,606
-1.0
2,340
266
10.2
76
27
50
212
31
14.5
182
7.0
35.7
1.25
2.7
1,938
-2.4
0.5
2,818
3.5
2,545
273
9.7
89
37
19
165
-7
-4.1
172
6.1
189.4
1.50
18.7
2,325
11.8
20.0
3,941
14.5
3,125
815
20.7
104
43
29
698
26
3.8
671
17.0
76.0
1.27
0.0
2,517
26.3
8.3
3,489
25.0
2,462
1,027
29.4
97
43
39
927
303
32.7
624
17.9
168.3
1.25
6.1
2,621
36.0
4.1
3,647
39.9
2,668
979
26.8
96
31
53
905
229
25.3
675
18.5
271.9
1.39
11.1
2,721
40.4
3.8
4,107
45.8
2,844
1,263
30.8
98
49
35
1,151
387
33.6
764
18.6
344.0
1.53
2.0
2,871
23.5
5.5
4,705
19.4
2,883
1,823
38.7
103
47
36
1,708
657
38.5
1,051
22.3
56.6
5.21
3.8
2,058
4.6
12,155
6.7
10,367
1,787
14.7
342
136
131
1,441
183
12.7
1,258
10.3
44.8
5.44
4.5
2,693
30.9
15,948
31.2
10,856
5,092
31.9
394
170
162
4,691
1,576
33.6
3,115
19.5
147.7
Jinesh K Gandhi (Jinesh@MotilalOswal.com); Tel +91 22 39825416
29 December 2006
97

Results Preview
SECTOR: CEMENT
Grasim Industries
STOCK INFO.
BLOOMBERG
REUTERS CODE
BSE Sensex: 13,787 GRASIM IN
S&P CNX: 3,966
GRAS.BO
29 December 2006
Previous Recommendation: Buy
Buy
Rs2,789
EPS
P/E
(X)
P/BV
(X)
ROE
(%)
ROCE
(%)
EV/
EV/
SALES EBITDA
EPS
(RS) GROWTH (%)
Equity Shares (m)
52-Week Range
1,6,12 Rel. Perf. (%)
M.Cap. (Rs b)
M.Cap. (US$ b)
91.7
2,825/1,325
0/14/54
255.7
5.8
YEAR
END*
NET SALES
(RS M)
PAT
(RS M)
3/06A 101,919
3/07E
3/08E
129,538
143,827
10,376
19,186
21,171
113.2
209.3
230.9
7.5
84.9
10.3
24.6
13.3
12.1
5.3
3.9
3.0
21.4
29.3
25.0
20.7
37.0
33.0
3.6
3.0
2.8
16.8
9.8
8.8
* Consolidated
?
?
?
?
?
Grasim (standalone) is expected to post sales growth of 33% YoY to Rs22b in 3QFY07. Strong performance of
cement and the VSF division will drive Grasim’ overall operating performance and lead to margin expansion of
s
10.2pp to 29.5%, translating into PAT growth of 146.5% to Rs4b.
Cement volumes are expected to grow by a mere 4.8% YoY to 3.7m ton and realizations are expected to improve by
53% YoY to Rs2,922/ton. Higher realizations will result in the cement division’ operating margin expanding by 11.4pp
s
YoY to 33%.
VSF volumes are likely to increase by 1.5% YoY and realizations, by 22.6% to Rs89,000/ton, resulting in VSF
operating margins improving 10.7pp YoY to 34.8%.
Grasim has entered into an MoU with the Orissa government for setting up a 3.5m ton cement plant including a
50MW captive thermal power plant, with total investment of Rs12b.
With two core businesses (cement and VSF) set for an upturn, Grasim is likely to post impressive growth in earnings
in FY07. Earnings quality is also likely to improve (higher profits from the cement division), which will result in
expanding the PE. The stock is trading at 12.1x PER FY08E and 8.8x EV/EBITDA. We maintain
Buy
on the stock.
(RS MILLION)
FY06
1Q
2Q
3Q
4Q
1Q
2Q
FY07
3QE
4QE
FY06
FY07E
QUARTERLY PERFORMANCE (STANDALONE)
Y/E MARCH
Net Sales
YoY Change (%)
EBITDA
Margins (%)
Depreciation
Interest
Other Income
PBT before EO Items
Extraordinary Inc/(Exp)
PBT after EO Items
Tax
Rate (%)
Reported PAT
Adj. PAT
YoY Change (%)
E: MOSt Estimates
15,533
2.4
3,744
24.1
705
265
201
2,975
454
3,429
919
26.8
2,510
2,056
-6.2
16,492
7.5
3,218
19.5
720
237
308
2,570
0
2,570
693
27.0
1,877
1,877
-14.7
16,482
5.7
3,191
19.4
733
235
152
2,376
0
2,376
757
31.9
1,619
1,619
-21.5
18,151
10.5
4,065
22.4
759
236
575
3,645
0
3,645
1,019
28.0
2,627
2,627
-3.3
18,770
20.8
5,133
27.3
741
235
375
4,532
0
4,532
1,413
31.2
3,119
3,119
51.7
20,108
21.9
5,322
26.5
756
241
502
4,827
0
4,827
1,467
30.4
3,360
3,360
79.1
21,969
33.3
6,491
29.5
766
244
323
5,804
0
5,804
1,814
31.3
3,990
3,990
146.5
20,423
12.5
7,561
37.0
775
218
226
6,793
0
6,793
2,207
32.5
4,586
4,586
74.6
66,557
6.4
14,218
21.4
2,916
973
1,691
12,019
41
12,060
3,428
28.4
8,632
8,591
-8.7
81,271
22.1
24,506
30.2
3,038
938
1,426
21,956
0
21,956
6,916
31.5
15,040
15,040
75.1
Jinesh K Gandhi (Jinesh@MotilalOswal.com); Tel +91 22 39825416
29 December 2006
98

Results Preview
SECTOR: CEMENT
Gujarat Ambuja
STOCK INFO.
BLOOMBERG
REUTERS CODE
BSE Sensex: 13,787 GAMB IN
S&P CNX: 3,966
GACM.BO
29 December 2006
Previous Recommendation: Buy
YEAR
END
NET SALES
(RS M)
PAT
(RS M)
EPS
EPS
P/E
(X)
P/BV
(X)
ROE
(%)
ROCE
(%)
EV/
(RS) GROWTH (%)
Buy
Rs141
EV/
SALES EBITDA
Equity Shares (m)
52-Week Range
1,6,12 Rel. Perf. (%)
M.Cap. (Rs b)
M.Cap. (US$ b)
1,509.1
148/75
-3/12/31
213.2
4.8
12/05A 31,056
12/06E 48,703
12/07E 57,871
5,563
14,478
18,716
4.1
9.5
12.3
69.7
132.1
29.3
34.3
14.8
11.4
8.0
6.9
5.0
27.0
52.7
50.7
22.4
47.4
55.5
5.4
3.9
3.2
20.0
10.4
7.5
?
?
?
?
?
Gujarat Ambuja’ 6QCY06 sales are expected to grow by 54% YoY to Rs11.9b. Dispatches are expected to grow by
s
10% YoY to 3.76m ton, whereas average realizations would be higher by 40% YoY (~3.3% QoQ) to Rs3,166/ton.
EBITDA margin to increase by 13.3pp YoY to 39.4%, driven by higher realizations. EBITDA is likely to move up by
132% YoY to Rs4.7b. This coupled with lower interest cost (down by 52%) and higher other income (at Rs200m
v/s loss of Rs76m), would drive PAT growth of 267% to Rs3.2b.
On consolidated basis (consolidating for merger of ACEL), the company is expected to report sales of Rs13.5b and
PAT of Rs4b.
The company is setting up a 3m ton greenfield cement capacity at Himachal Pradesh along with two split grinding
stations, at a cost of Rs15.2b and the capacity is expected to be operational by March 2009.
Considering its reasonable valuation of 11.4x CY07E earnings and 7.5x CY07E EV/EBITDA, we maintain
Buy.
(RS MILLION)
FY05
3Q
4Q
1Q
2Q
CY06
3Q
4Q
5Q
6QE
FY05
CY06E
QUARTERLY PERFORMANCE (STANDALONE)
Y/E DECEMBER
Sales Volume (m ton)
YoY Change (%)
Realization (Rs/ton)
YoY Change (%)
Net Sales
YoY Change (%)
EBITDA
Margins (%)
Depreciation
Interest
Other Income
PBT before EO Item
Extraordinary Inc/(Exp)
PBT after EO Exp/(Inc)
Tax
Rate (%)
Adj PAT
YoY Change (%)
Consolidate PAT
3.18
14.8
2,099
3.9
6,674
19.3
1,991
29.8
-492
-208
85
1,376
0
1,376
-56
-4.0
1,431
-12.5
1,556
3.28
13.5
2,197
6.7
7,205
21.1
2,219
30.8
-466
-226
131
1,657
0
1,657
206
12.4
1,452
22.4
1,712
2.94
0.2
2,198
7.9
6,473
8.1
1,703
26.3
-490
-216
13
1,010
0
1,010
258
25.5
753
-16.3
1,081
3.42
2.4
2,261
21.8
7,732
24.7
2,021
26.1
-502
-197
-76
1,246
0
1,246
367
29.5
879
-1.9
1,215
3.65
14.8
2,532
20.7
9,243
38.5
3,213
34.8
-509
-105
180
2,779
358
3,137
152
4.8
2,645
84.8
3,157
3.77
14.9
3,009
37.0
11,342
57.4
4,433
39.1
-497
-123
-100
3,714
0
3,714
675
18.2
3,039
109.3
3,601
3.21
9.0
3,066
39.5
9,841
52.0
3,556
36.1
-500
-85
258
3,230
0
3,230
783
24.2
2,447
225.0
2,800
3.76
10.0
3,166
40.0
11,910
54.0
4,694
39.4
-502
-95
200
4,297
0
4,297
1,074
25.0
3,223
266.8
4,012
12.74
22.0
2,046
8.3
26,066
32.4
7,236
27.8
-1,954
-848
746
5,181
0
5,181
503
9.7
4,678
61.2
20.76
8.6
2,724
NA
56,541
44.6
19,620
34.7
-2,999
-822
476
16,275
-358
16,633
3,308
19.9
13,038
85.8
E: MOSt Estimates; Consolidation for Dec’ is on line-by-line basis, as against equity method for past
06
Jinesh K Gandhi (Jinesh@MotilalOswal.com); Tel +91 22 39825416
29 December 2006
99

Results Preview
SECTOR: CEMENT
Shree Cements
STOCK INFO.
BLOOMBERG
REUTERS CODE
BSE Sensex: 13,787 SRCM IN
S&P CNX: 3,966
SHCM.BO
29 December 2006
Previous Recommendation: Buy
Buy
Rs1,457
EPS
P/E
(X)
P/BV
(X)
ROE
(%)
ROCE
(%)
EV/
EV/
SALES EBITDA
EPS
(RS) GROWTH (%)
Equity Shares (m)
52-Week Range
1,6,12 Rel. Perf. (%)
M.Cap. (Rs b)
M.Cap. (US$ b)
34.8
1,592/477
6/58/151
50.8
1.1
YEAR
END
NET SALES
(RS M)
PAT
(RS M)
3/06A
3/07E
3/08E
6,677
13,518
18,795
303
3,502
5,074
8.7
100.5
145.7
5.9
1,055.8
44.9
167.6
14.5
10.0
14.5
8.7
5.1
10.3
79.5
63.9
9.2
59.9
58.3
8.1
4.1
2.7
24.9
8.8
5.8
?
Sales in 3QFY07 are expected to grow by 141% YoY to Rs3.5b driven by volume growth of 64% YoY to 1.18m ton
and realizations growth of 47% YoY (~3.5% QoQ) to Rs2,949/ton.
?
Higher realization would translate to EBITDA margin expansion of 890bp YoY to 46.9%, resulting in EBITDA being
higher by 198% YoY to Rs1.6b. However, higher depreciation (by 177% due to new plant) and higher tax (at 35.5%
of PBT v/s zero tax in 3QFY06) would restrict PAT growth at 110% to Rs831m.
?
We are revising our estimates upward for FY07E, FY08E and FY09E by 5.4%, 6.9% and 9% respectively, to reflect
the higher-than-expected volume growth.
?
Given its favorable location (northern region) and potential volume growth supported by its new greenfield plant, the
stock is trading at very attractive valuations of 10x FY08E EPS and 5.8x FY08E EBITDA. We maintain
Buy.
QUARTERLY PERFORMANCE
Y/E MARCH
1Q
2Q
FY06
3Q
4Q
1Q
2Q
FY07
3QE
4QE
FY06
(RS MILLION)
FY07E
Sales Dispatches (m ton)
YoY Change (%)
Realization (Rs/ton)
YoY Change (%)
QoQ Change (%)
Net Sales
YoY Change (%)
EBITDA
Margins (%)
Depreciation
Interest
Other Income
PBT
Tax
Deferred Tax
Rate (%)
Reported PAT
Adj PAT
YoY Change (%)
Margins (%)
0.73
1.0
1,952
-1.1
3.9
1,425
-0.1
443
31.1
123
39
3
284
24
0
8.4
260
260
0.3
18.2
0.77
2.1
2,018
8.3
3.4
1,554
10.6
522
33.6
123
33
8
374
0
0
0.0
374
374
119.8
24.0
0.72
-0.9
2,010
8.4
-0.4
1,443
7.4
549
38.0
123
33
7
400
3
0
0.8
397
397
140.6
27.5
0.93
6.9
2,427
29.1
20.8
2,255
38.0
836
37.1
207
23
17
624
-3
0
-0.5
628
607
112.4
26.9
1.14
56.2
2,714
39.0
11.8
3,094
117.1
1,375
44.4
263
54
30
1,088
184
0
16.9
904
904
247.6
29.2
1.11
44.0
2,849
41.2
5.0
3,160
103.3
1,427
45.2
338
27
43
1,104
326
0
29.6
778
778
108.2
24.6
1.18
64.3
2,949
46.7
3.5
3,480
141.2
1,634
46.9
340
40
35
1,289
457
0
35.5
831
831
109.5
23.9
1.22
31.4
3,100
27.7
5.1
3,785
67.9
1,888
49.9
346
54
34
1,522
283
250
35.0
989
989
63.0
26.1
3.28
6.6
2,039
7.6
0.6
6,677
14.7
2,217
0.3
1,852
128
35
271
29
59
32.2
184
184
-48.0
2.8
4.65
42.0
2,907
42.6
-12.1
13,518
102.5
6,323
0.5
1,288
175
143
5,003
1,251
250
30.0
3,502
3,502
1,803.0
25.9
E: MOSt Estimates; Quarterly results do not add up with full year results as it provides addl. depreciation and deferred tax at the end of the
year
Jinesh K Gandhi (Jinesh@MotilalOswal.com); Tel +91 22 39825416
29 December 2006
100

Results Preview
SECTOR: CEMENT
UltraTech Cement
STOCK INFO.
BLOOMBERG
REUTERS CODE
BSE Sensex: 13,787 UTCEM IN
S&P CNX: 3,966
ULTC.BO
29 December 2006
Previous Recommendation: Buy
Buy
Rs1,097
EPS
P/E
(X)
P/BV
(X)
ROE
(%)
ROCE
(%)
EV/
EV/
SALES EBITDA
EPS
(RS) GROWTH (%)
Equity Shares (m)
52-Week Range
1,6,12 Rel. Perf. (%)
M.Cap. (Rs b)
M.Cap. (US$ b)
124.4
1,155/415
21/16/110
136.5
3.1
YEAR
END *
NET SALES
(RS M)
PAT
(RS M)
3/06A
3/07E
3/08E
33,839
48,268
54,801
2,250
8,114
9,925
18.1
65.2
79.7
1,136.1
260.6
22.3
60.7
16.8
13.8
13.1
7.6
5.1
22.3
57.4
44.4
15.0
49.9
49.7
4.4
3.0
2.6
26.2
9.7
8.1
* Consolidated results; pre-exceptiionals
?
Volume growth is expected to be 8.4% YoY to 4.25m ton (incl. clinker exports), driven primarily by around 50%
growth in clinker exports. Realizations are expected to be higher by 41.6% YoY (~3.7% QoQ) to Rs2,829/ton.
Net sales are expected to grow by 54% YoY to Rs12b driven by 42% YoY (~3.7% QoQ) higher realizations.
Higher realizations would drive EBITDA margin expansion of 16.9pp YoY to 31% and 237% YoY higher EBITDA at
Rs3.7b. Also, lower tax (at 33.6% of PBT v/s 44.6% in 3QFY06) would boost PAT growth to 732% YoY to Rs2b.
At 13.8x FY08E earnings and 8.1x FY08E EBITDA, the stock looks fairly priced. We maintain
Buy.
?
?
?
QUARTERLY PERFORMANCE (STANDALONE)
Y/E MARCH
1Q
2Q
FY06
3Q
4Q
1Q
2Q
FY07
3QE
4QE
FY06
(RS MILLION)
FY07E
Sales (m ton)
YoY Change (%)
Realization (Rs/ton)
YoY Change (%)
QoQ Change (%)
Net Sales
YoY Change (%)
Total Expenditure
EBITDA
Margins (%)
Depreciation
Interest
Other Income
PBT after EO Expense
Tax
Rate (%)
Reported PAT
Adj PAT
YoY Change (%)
E: MOSt Estimates
3.99
8.3
1,989
7.8
10.0
7,934
16.7
6,442
1,492
18.8
509
221
111
874
273
31.3
600
600
434.5
3.15
-5.8
2,035
19.0
2.3
6,400
12.1
5,749
650
10.2
521
224
80
-14
-15
106.9
1
1
-99.4
3.92
-3.9
1,997
23.6
-1.8
7,829
18.6
6,726
1,104
14.1
515
228
70
431
192
44.6
239
239
-627.4
4.55
17.9
2,247
24.2
12.5
10,224
46.5
8,305
1,918
18.8
550
222
69
1,216
401
33.0
815
815
188.0
4.45
11.5
2,652
33.4
18.0
11,803
48.8
8,057
3,746
31.7
544
226
134
3,110
1,002
32.2
2,108
2,108
251.3
3.68
17.0
2,729
34.1
2.9
10,045
57.0
7,501
2,545
25.3
547
237
119
1,879
605
32.2
1,274
1,274
-
4.25
8.4
2,829
41.6
3.7
12,023
53.6
8,301
3,722
31.0
560
242
70
2,990
1,005
33.6
1,985
1,985
732.1
4.83
6.2
2,979
32.6
5.3
14,396
40.8
9,409
4,987
34.6
578
245
77
4,241
1,495
35.2
2,746
2,746
237.0
15.62
3.0
2,067
21.2
32,277
24.8
27,117
5,160
16.0
2,095
894
330
2,501
851
34.0
1,650
1,650
193.2
17.21
10.2
2,804
35.7
48,268
49.5
33,268
15,000
31.1
2,229
950
400
12,220
4,106
33.6
8,114
8,114
391.7
Jinesh K Gandhi (Jinesh@MotilalOswal.com); Tel +91 22 39825416
29 December 2006
101

Results Preview
QUARTER ENDED DECEMBER 2006
Engineering
BSE Sensex: 13,787
S&P CNX: 3,966
29 December 2006
COMPANY NAME
PG.
ABB
107
Alstom Projects
108
Bharat Electronics
109
BHEL
110
Crompton Greaves
111
Cummins India
112
IIP plunges, higher base effect led to slowdown in Capital Goods index
The IIP index for the month of October 2006 grew by 6.2%, the lowest since January
2006. The slower growth rate was due to a slower growth in consumer and consumer
durables and de-growth in manufacturing sector specifically food products (-9.7%) and
leather products (-8.3%). However, the growth in the capital goods index continued its
traction and witnessed an increase of 8.2% YoY for the October 2006, recovering from
a low of 6% for September 2006 (lowest since January 2006). It is also noticeable that
the growth in October 2006 was muted mainly due to the higher base effect (growth in
October 2005 was second highest since April 2004). This trend of buoyant growth on a
higher base is due to continued thrust on investments in the industrial and infrastructure
sectors. The IIP growth for the month of April-October 2006 stood at 10.3% while it
was 15% for the capital goods sector.
CAPITAL GOODS – SUSTAINING MOMENTUM (% CHANGE)
Y/E MARCH
1995
1996
1997
1998
1999
2000
2001
2002
2003
2004
2005
2006 YTD*
Larsen & Toubro
113
Siemens
114
IIP
Cap Goods Index
9.1 13.1
9.2
6.1
6.6
4.1
6.6
7.0
5.1
1.7
2.6
5.8
7.0
8.4
8.2 10.3
5.4 11.4
5.8 12.6
-3.4 10.5 13.6 13.9 15.8 15.0
Thermax
115
* from April to October 2006
% CHANGE IN CAPITAL GOODS INDEX
30
24
18
12
6
0
Apr'2005
Jul'2005
Oct'2005
Jan'2006
Apr'2006
July'2006
Oct'2006
Source: CMIE
EXPECTED QUARTERLY PERFORMANCE SUMMARY
RECO
SALES
DEC.06
CHG. (%)
DEC.06
EBITDA
CHG. (%)
(RS MILLION)
NET PROFIT
DEC.06
CHG. (%)
Engineering
ABB
Alstom Projects
Bharat Electronics
BHEL
Crompton Greaves
Cummins India
Larsen & Toubro
Siemens
Thermax
Sector Aggregate
Neutral
Neutral
Buy
Buy
Buy
Neutral
Neutral
Neutral
Buy
14,828
3,770
7,788
44,406
8,617
4,950
42,396
12,463
5,031
144,248
50.4
30.0
15.0
33.5
33.0
27.0
15.6
44.9
40.0
28.8
1,918
119
1,674
7,771
899
728
3,839
1,104
719
18,772
37.8
18.0
15.8
28.9
52.3
23.9
20.7
39.6
54.4
28.7
1,294
98
1,108
5,597
502
580
2,527
734
486
12,928
36.7
31.3
14.3
32.3
-8.2
19.7
34.6
33.2
60.9
29.5
Satyam Agarwal (Agarwals@MotilalOswal.com); Tel: +91 22 39825410/Nalin Bhatt (NalinBhatt@MotilalOswal.com); +91 22 39825429
29 December 2006
102

Engineering
Strong order book position
Increasing investments in the manufacturing sector, thrust on accelerated infrastructure
development and continuation of power reforms continue to be the key domestic demand
drivers. This transforms into a buoyant trend in order booking for engineering companies,
which improves revenue visibility and thereby future growth.
Backed by the splurge in investment in the infrastructure and industrial sectors, the order
intake in FY06 continued to be strong leading to strong order backlogs of most of the
companies in the capital goods segment, despite trimming execution cycles. Companies
like Siemens, ABB, Thermax, BHEL and L&T witnessed robust YoY growth rates in
order backlog during 2QFY07.
ORDER BACKLOG (RS B) AND % YOY
JUNE-05
JUNE-06
% GR. Y0Y
SEP-05
SEP-06
% GR. Y0Y
Siemens
ABB
Thermax
L&T (E&C Div)
BHEL
34.5
18.6
10.6
175.0
306
77.2
31.4
24.5
274.6
393
124
69
131
57
28
38.1
20.8
12.3
193
322
75.3
35.6
25
292.7
457
98
72
103
52
42
Source: Company/Motilal Oswal Securities
The export market has also started opening up with huge emerging opportunities in the
Middle East and Africa for homegrown players (viz. BHEL, L&T and Thermax), and
with some MNCs (viz. ABB, Cummins, Siemens) being developed as exclusive sourcing
bases for their parents’ global/regional requirements. Most of the MNC companies have
already set up R&D centers in India, and hence the outsourcing opportunity seems to be
a sustainable trend. At the same time, the capital goods manufacturers themselves have
firmed up robust capex plans to expand capacities and meet the growing demand.
Capacity expansion plans to meet increasing demand
BHEL has announced plans to increase capacity from 6,000MW to 10,000MW by FY07
at a capex of Rs10b. ABB announced the establishment of a new Low Voltage Distribution
Electricals Unit in Haridwar and a Vacuum Interrupter plant in Nashik. Cummin’ Rs150m
s
facility being set up near Pune, to assemble low HP engines and generator sets will be
fully operational by September-October 2007. L&T has also indicated capex spending of
Rs8-Rs9b per annum over FY07-FY08 to set up manufacturing facilities and Thermax
plans to spend Rs1b to add capacities. Siemens has announced an investment plan of
Rs300m for a greenfield industrial steam turbine factory at Vadodara, Gujarat. The project
is scheduled to come on stream by December 2006.
We remain positive on the order booking trend in FY07, which would translate into robust
topline growth. The following factors will drive demand growth in the sector:
?
Capacity expansions:
With growth in the economy, all industry players are operating
at close to or above optimum capacity utilization, thus requiring fresh investments.
29 December 2006
103

Engineering
?
?
?
?
?
Strong commodity prices:
Resultant increase in profitability and cash flows would
lead to players opting for major capex programs.
Fast growing exports:
India’ cost efficiency and innovative skills is fuelling exports
s
to the developed nations (often to the global parent).
Infrastructure spending:
Government spending on infrastructure development is
having a multiplier effect on the economy and attracting public and private investments.
Investments in hydrocarbon sector:
Surge in investments in hydrocarbons has
emerged as big demand generator for the capital goods sector.
Power sector reforms in place:
Government’ ambitious strategy to add generating
s
capacity and curtail transmission and distribution losses is another sizeable demand
driver.
EBITDA margins show an increasing trend
The capital goods companies witnessed severe pressure on margins in FY03-FY04, due
to spiraling raw material prices, fixed price long-term agreements, strong competitive
pressures and low-margin export orders. However, favorable demand-supply scenario,
long-term supply contracts for raw materials, flexible priced work contracts and
implementation of cost-cutting programs like Six Sigma, Turbokeizen etc. enabling effective
material handling, rationalization of processes etc. have enabled these companies to expand
margins on a YoY basis in FY05 and FY06.
MOVEMENT OF MARGINS (%)
20
EBITDA Margin (LHS)
16
12
11.5
8
6.4
4
9.9
8.1
Net Profit Margin (RHS)
16
12
8
4
0
The above chart depicts the movement of the EBITDA margins and the Net Profit margins for the
engineering companies under our coverage.
Source: Motilal Oswal Securities
With demand picking up, most companies have been able to take some price hikes and
incorporate price escalation clauses into new contracts. The improving financial health of
customers in most sectors also makes it easier to take price hikes. Most companies have
entered the phase where they can cherry-pick customers and orders. Also, for most of the
companies, low margin projects picked up during FY04 and FY05 have largely been
completed. 2QFY07 performance has been disappointing for the engineering sector, with
29 December 2006
104

Engineering
several companies witnessing margin pressure. As a sizeable part of orders in power
transmission, distribution and industrial segments are on fixed prices, sharp increases in
commodity prices have impacted margins.
Revenue growth has been robust during the quarter and most engineering companies also
reported impressive increase in order booking. During 2QFY07, BHEL reported impressive
order intake of Rs98b (up 123% YoY), resulting in order backlog of Rs457b (up 42%
YoY). For ABB, order backlog as at September 2006 stands at Rs36b (up 72% YoY),
L&T at Rs307b (up 54% YoY) and Crompton Greaves at Rs18b (up 20% YoY).
We remain positive on the sector
We remain positive on the Capital Goods sector. Earnings visibility is high for most of
these companies, based on the current order book-to-bill ratio. The companies will now
have to focus on efficient execution and timely delivery.
29 December 2006
105

Engineering
Stock performance and valuations
STOCK PERFORMANCE (%)
ABSOLUTE PERF
3M
1 YEAR
REL PERF TO SENSEX
3M
1 YEAR
REL PERF TO SECTOR
3M
1 YEAR
Engineering
ABB
Alstom Projects
Bharat Electron
BHEL
Crompton Greaves
Cummins India
Larsen & Toubro
Siemens
Thermax
27
32
16
-4
19
21
13
6
24
92
113
35
66
90
75
56
57
106
16
21
6
-15
8
10
3
-5
13
46
66
-12
19
43
28
10
10
59
19
23
8
-12
11
13
5
-2
16
25
46
-32
-1
23
8
-10
-10
39
RELATIVE PERFORMANCE - 3 MONTH (%)
RELATIVE PERFORMANCE - 1 YEAR (%)
Sensex
111
MOSt Engineering Index
MOSt Engineering Index
170
Sensex
108
150
105
130
110
102
99
Sep-06
Oct-06
Nov-06
Dec-06
90
Dec-05
Mar-06
Jun-06
Sep-06
Dec-06
COMPARATIVE VALUATION
CMP (RS)
29.12.06
RECO
FY06
EPS (RS)
FY07E
FY08E
FY06
P/E (X)
FY07E
FY08E
EV/EBITDA
FY06
FY07E
FY08E
FY06
ROE (%)
FY07E
FY08E
Engineering
ABB **
Alstom Projects
Bharat Electronics
BHEL
Crompton Greaves
Cummins India
Larsen & Toubro
Siemens *
Thermax
Sector Aggregate
** Year end December, * Year end September
3,712
462
1,343
2,298
209
278
1,443
1,134
387
Neutral
Neutral
Buy
Buy
Buy
Neutral
Neutral
Neutral
Buy
51.6
7.0
72.9
68.5
8.9
9.3
36.4
23.6
8.6
79.0
11.2
85.6
93.4
7.9
12.4
57.7
33.4
16.2
108.0
16.0
104.8
118.0
9.7
16.6
71.9
47.8
23.1
71.9
65.7
18.4
33.5
23.6
29.9
39.7
48.0
45.0
36.5
47.0
41.3
15.7
24.6
26.6
22.3
25.0
34.0
24.0
25.9
34.4
28.9
12.8
19.5
21.6
16.7
20.1
23.7
16.8
20.2
47.9
62.1
9.4
20.4
33.4
20.7
36.8
28.5
22.9
24.7
31.5
36.2
7.7
14.6
22.1
14.4
23.8
21.0
14.9
17.6
21.9
25.9
6.0
11.4
17.3
10.4
19.1
15.3
11.0
13.7
26.9
16.1
28.6
25.2
42.3
22.7
19.6
37.4
30.7
27.2
32.0
23.5
26.6
27.8
32.4
26.9
23.2
41.7
39.8
30.5
33.0
29.3
26.0
28.0
32.8
30.2
23.0
47.0
40.5
31.5
29 December 2006
106

Results Preview
SECTOR: ENGINEERING
ABB
STOCK INFO.
BLOOMBERG
REUTERS CODE
BSE Sensex: 13,787 ABB IN
S&P CNX: 3,966
ABB.BO
29 December 2006
Previous Recommendation: Neutral
Neutral
Rs3,712
P/E
(X)
P/BV
(X)
ROE
(%)
ROCE
(%)
EV/
EV/
SALES EBITDA
EPS
(RS)
EPS GR.
(%)
Equity Shares (m)
52-Week Range
1,6,12 Rel. Perf. (%)
M.Cap. (Rs b)
M.Cap. (US$ b)
42.4
3,945/1,910
5/19/46
157.3
3.6
YEAR
END
NET SALES
(RS M)
PAT
(RS M)
12/05A 29,631
12/06E 43,305
12/07E 58,541
Pre-exceptionals
2,187
3,347
4,577
51.6
79.0
108.0
44.0
53.1
36.7
71.9
47.0
34.4
17.4
13.2
9.9
26.9
32.0
33.0
41.8
49.6
51.4
5.1
3.4
2.5
47.9
31.5
21.9
?
?
?
?
?
?
QUARTERLY PERFORMANCE
Y/E DECEMBER
For 4QCY06, we expect revenues to grow 50% YoY to Rs14.8b, EBITDA by 37.8% YoY to Rs1.9b and net profits
by 36.7% YoY to Rs1.3b. For CY06E, we expect revenue of Rs43.3b (up 46.1% YoY), EBITDA of Rs4.74b (up
49% YoY) and net profit of Rs3.35b (up 53% YoY). For 9MCY06, revenue grew by 44% YoY to Rs28.5b, EBITDA
grew by 58% YoY to Rs2.82b and net profit was up by 66% YoY to Rs2.1b.
The order backlog as of September 2006 stood at Rs35.6b, higher by 72% YoY and order booking of Rs13.6b in the
quarter. The order intake for the company for the first nine months increased by 53% YoY to Rs42.1b (v/s Rs27.5b
in 9MCY05).
The trend in order intake has continued to be buoyant in CY06 too with significant orders being received from power
utilities (for rural electrification and substation projects and for distribution products and solutions), industrial customers
(turnkey orders for automation solutions) and for standard products.
EBITDA margins for the company during the 9MCY06 improved 80bp over the same period in previous year. We
believe that the sustained order intake momentum, rapid conversion of the existing strong order backlog and increased
share of high margin standard products and services will lead to further margin expansion for the company.
ABB India is focused on its Indian operations and has announced capacity and range expansion programs, wherein
it will establish a new Low Voltage Distribution Electricals Unit in Haridwar and a Vacuum Interrupter plant in
Nashik.
We believe ABB’ rich valuations already discount its buoyant growth prospects. The stock trades at 47x CY06E
s
earnings and 34.4x CY07E earnings. We remain
Neutral
on the stock.
(RS MILLION)
CY06E
CY05
1Q
2Q
3Q
4Q
1Q
2Q
CY06
3Q
4QE
CY05
Sales
Change (%)
EBITDA
Change (%)
As % of Sales
Depreciation
Interest
Other Income
PBT
Tax
Effective Tax Rate (%)
Repoted PAT
Adj. PAT
Change (%)
E: MOSt Estimates
6,077
37.7
371
57.2
6.1
55
3
119
433
158
36.5
275
275
62.7
6,589
27.3
604
37.3
9.2
56
17
141
672
236
35.1
436
436
42.4
7,107
27.0
815
103.4
11.5
59
20
92
827
298
36.0
529
529
58.3
9,857
32.2
1,392
38.3
14.1
62
26
159
1,462
516
35.3
946
946
33.6
8,029
32.1
695
87.1
8.7
62
2
180
810
297
36.7
513
513
86.5
9,742
47.9
1,020
68.8
10.5
65
2
153
1,106
387
35.0
719
719
64.9
10,706
50.6
1,106
35.7
10.3
66
2
230
1,267
446
35.2
821
821
55.1
14,828
50.4
1,918
37.8
12.9
75
4
207
2,047
753
36.8
1,294
1,294
36.7
29,631
31.1
3,182
49.5
10.7
231
66
511
3,395
1,208
35.6
2,187
2,187
44.0
43,305
46.1
4,738
48.9
10.9
268
10
770
5,230
1,883
36.0
3,347
3,347
53.1
Satyam Agarwal (Agarwals@MotilalOswal.com); Tel: +91 22 39825410/Nalin Bhatt (NalinBhatt@MotilalOswal.com); +91 22 39825429
29 December 2006
107

Results Preview
SECTOR: ENGINEERING
Alstom Projects
STOCK INFO.
BLOOMBERG
REUTERS CODE
BSE Sensex: 13,787 ABBAP IN
S&P CNX: 3,966
ABBP.BO
29 December 2006
Previous Recommendation: Neutral
Neutral
Rs462
P/E
(X)
P/BV
(X)
ROE
(%)
ROCE
(%)
EV/
EV/
SALES EBITDA
EPS*
EPS
(RS) GROWTH (%)
Equity Shares (m)
52-Week Range
1,6,12 Rel. Perf. (%)
M.Cap. (Rs b)
M.Cap. (US$ b)
67.0
484/180
7/68/66
30.9
0.7
YEAR
END
NET SALES
(RS M)
PAT*
(RS M)
3/06A
3/07E
3/08E
9,456
12,663
17,298
471
749
1,069
7.0
11.2
16.0
33.1
59.1
42.9
65.7
41.3
28.9
10.3
9.2
7.8
16.1
23.5
29.3
20.0
28.0
33.7
3.0
2.2
1.7
62.1
36.2
25.9
* Pre-exceptionals; Consolidated Numbers
?
?
?
?
?
?
During 3QFY07, we expect revenue to grow by 30% YoY to Rs3.8b, EBITDA by 18% YoY to Rs119m and net profit
by 31.3% YoY to Rs98m.
APIL has launched a global engineering centre in Kolkata to support Alstom’ global environment control systems
s
business, which specializes in air quality control systems for power generation and the industrial process market. The
unit will primarily cater to the company’ international projects in the US and Europe and will derive 70% of its total
s
work from this source.
The company also inaugurated the Electrical Shop division at its Vadodara-based hydro equipment manufacturing
facility, which will further strengthen its hydro equipment manufacturing capability in India. The unit is one of the
three largest hydro equipment manufacturing facilities in the world with the other two in Brazil and China. The annual
manufacturing capacity of the unit is 1,500MW.
The current order backlog of the company stands at ~Rs15b. Recently, it received orders up to Rs3.3b (its share at
Rs2.7b) from NTPC, Nalco, Tata Power and GEA Energy Systems for equipment supplies, in consortium with
NASL and Rs440m for supply and erection of hydro-mechanical equipment for Nam Ngum 2 hydro power project in
South East Asia.
APIL’ transport division is also poised for buoyant order intake in future with increasing focus of the Railways on
s
safety measures and plans envisaged by various states to set up metros in cities.
At the CMP of Rs462, the stock trades at a P/E of 41.3x FY07E and 28.9x FY08E. We maintain
Neutral.
(RS MILLION)
FY06
1Q
2Q
3Q
4Q
1Q
2Q
FY07
3QE
4QE
FY06*
FY07E*
QUARTERLY PERFORMANCE
Y/E MARCH
Sales
Change (%)
EBITDA
Change (%)
As of % Sales
Depreciation
Interest
Other Income
Extra-ordinary income
PBT
Tax
Effective Tax Rate (%)
Reported PAT
Adj PAT
Change (%)
1,795
41.4
41
-35.9
2.3
33
0
67
0
75
8
10.7
67
67
19.3
2,262
19.1
116
118.9
5.1
35
1
51
0
131
16
12.2
115
115
82.5
2,900
53.4
101
13.5
3.5
36
0
30
0
95
20
21.1
75
75
10.3
2,499
-22.6
179
19.3
7.2
37
1
92
9
242
27
11.2
215
207
18.3
2,237
24.6
90
119.5
4.0
34
0
68
0
124
8
6.5
116
116
73.1
2,677
18.3
322
177.6
12.0
36
1
102
0
387
74
19.1
313
313
172.2
3,770
30.0
119
18.0
3.2
45
1
40
0
113
15
13.0
98
98
31.3
3,979
59.2
240
33.8
6.0
63
0
60
0
236
15
6.4
221
221
6.8
9,456
14.1
452
26.7
4.8
154
2
247
9
553
73
13.3
479
472
34.6
12,663
33.9
771
70.4
6.1
178
2
270
0
860
112
13.0
749
749
58.7
E: MOSt Estimates; * Full year nos are consolidated
Satyam Agarwal (Agarwals@MotilalOswal.com); Tel: +91 22 39825410/Nalin Bhatt (NalinBhatt@MotilalOswal.com); +91 22 39825429
29 December 2006
108

Results Preview
SECTOR: ENGINEERING
Bharat Electronics
STOCK INFO.
BLOOMBERG
REUTERS CODE
BSE Sensex: 13,787 BHE IN
S&P CNX: 3,966
BAJE.BO
29 December 2006
Previous Recommendation: Buy
Buy
Rs1,343
EPS
P/E
(X)
P/BV
(X)
ROE
(%)
ROCE
(%)
EV/
EV/
SALES EBITDA
EPS
(RS) GROWTH (%)
Equity Shares (m)
52-Week Range
1,6,12 Rel. Perf. (%)
M.Cap. (Rs b)
M.Cap. (US$ b)
80.0
1,472/815
17/-5/-12
107.4
2.4
YEAR
END
NET SALES
(RS M)
PAT
(RS M)
3/06A
3/07E
3/08E
35,138
41,623
49,551
5,830
6,847
8,382
72.9
85.6
104.8
30.6
17.4
22.4
18.4
15.7
12.8
5.3
4.2
3.3
22.0
20.1
19.4
35.3
31.8
30.5
2.5
2.0
1.6
9.4
7.7
6.0
?
?
?
?
?
During 3QFY07, we expect Bharat Electronics to report revenues of Rs7.8b, up 15% YoY, EBITDA of Rs1.7b, up
16% YoY and net profit of Rs1.1b, up 14.3% YoY.
BEL has a history of reporting volatile quarterly earnings due to the nature of defense orders and thus the performance
of BEL cannot be judged on a quarterly basis. Since FY99, the company has delivered 17% revenue CAGR and 40%
earnings CAGR. The management has recently guided for 19% revenue CAGR to Rs100b by FY12.
The company recently bagged an order for delivering 200,000 set-top boxes to the Zee group, which indicates its
focus on diversifying the revenue stream and leveraging its strengths.
BEL has announced its intention to ramp up capacity and focus on the outsourcing opportunity arising from the offset
clause. It has also launched several new products and has diversified into several other areas such as telecommunication,
IT, civil aviation etc. so as to balance its portfolio and lower its excessive dependence on the defense sector. It is also
targeting the large civilian defense market to leverage its skills and expertise. We believe that these initiatives would
thrust BEL into a new growth trajectory.
We expect the company to post earnings CAGR of 19% over the period from FY06-FY09E. At the CMP of
Rs1,343/sh, the stock quotes at a PER of 15.7x FY07E and 12.8x FY08E. We recommend
Buy.
(RS MILLION)
FY06
1Q
2Q
3Q
4Q
1Q
2Q
FY07
3QE
4QE
FY06
FY07E
QUARTERLY PERFORMANCE
Y/E MARCH
Sales
Change (%)
EBITDA
Change (%)
As of % Sales
Depreciation
Interest
Other Income
PBT
Tax
Effective Tax Rate (%)
Reported PAT
Change (%)
Adj PAT
E: MOSt Estimates
4,791
-22.4
751
-4.5
15.7
193
4
298
852
286
33.6
566
-2.6
566
8,288
2.2
2,053
9.2
24.8
176
6
240
2,111
644
30.5
1,467
32.7
1,467
6,772
2.3
1,447
15.9
21.4
181
13
217
1,470
499
34.0
970
17.9
970
15,757
39.0
4,174
53.7
26.5
228
250
353
4,049
1,239
30.6
2,809
57.0
2,809
4,831
0.8
721
-4.0
14.9
208
3
384
894
291
32.6
603
6.5
603
8,343
0.7
1,865
-9.1
22.4
198
1
508
2,175
692
31.8
1,483
1.1
1,483
7,788
15.0
1,674
15.8
21.5
214
6
200
1,654
546
33.0
1,108
14.3
1,108
20,661
31.1
5,563
33.3
26.9
226
158
309
5,488
1,836
33.4
3,653
30.0
3,653
35,608
11.4
8,424
21.1
23.7
778
273
1,108
8,481
2,669
31.5
5,812
30.2
5,812
41,623
16.9
9,824
16.6
23.6
846
167
1,402
10,212
3,365
33.0
6,847
17.8
6,847
Satyam Agarwal (Agarwals@MotilalOswal.com); Tel: +91 22 39825410/Nalin Bhatt (NalinBhatt@MotilalOswal.com); +91 22 39825429
29 December 2006
109

Results Preview
SECTOR: ENGINEERING
BHEL
STOCK INFO.
BLOOMBERG
REUTERS CODE
BSE Sensex: 13,787 BHEL IN
S&P CNX: 3,966
BHEL.BO
29 December 2006
Previous Recommendation: Buy
Buy
Rs2,298
EPS
P/E
(X)
P/BV
(X)
ROE
(%)
ROCE
(%)
EV/
EV/
SALES EBITDA
EPS
(RS) GROWTH (%)
Equity Shares (m)
52-Week Range
1,6,12 Rel. Perf. (%)
M.Cap. (Rs b)
M.Cap. (US$ b)
244.8
2,668/1,350
-9/-12/19
562.5
12.7
YEAR
END
NET SALES
(RS M)
PAT
(RS M)
3/06A 136,873
3/07E
3/08E
177,217
212,028
16,769
22,872
28,880
68.5
93.4
118.0
73.7
36.4
26.3
33.5
24.6
19.5
7.7
6.1
4.9
25.2
27.8
28.0
39.6
42.8
41.9
3.9
2.9
2.4
20.4
14.6
11.4
?
?
?
?
?
?
During 3QFY07, we expect revenues to grow by 33.5% YoY to Rs44.4b, EBITDA to grow by 28.9% YoY to Rs7.8b
and net profit at Rs5.6b, up 32.3% YoY.
BHEL’ order backlog as at end-September 2006 was Rs457b, up 42% YoY with order intake at Rs98b. The order
s
backlog from the industrial division stands at Rs77b while the export order book as of September 2006 stands at
Rs34b. Based on press releases, the company has already received orders worth Rs24b to date.
The recent orders for BHEL are: (a) Rs13b, Parli and Paras Extension projects; (b) Rs9.5b, 99MW from Bharat
Oman refinery; and (c) 77MW project from Hindustan Zinc worth Rs1.3b.
BHEL is also seeking opportunities in nuclear energy production, and is in talks with global nuclear players, including
Alstom, GE Energy and Siemens, for possible tie-ups. The company already has the capability to manufacture
equipment up to 500MW and the tie up is intended for 700MW and 1,000MW technology.
BHEL-NTPC JV was unsuccessful in the bid for Sasan project quoting 76% higher tariff than the L1 bidder. A
sizeable part of which could be attributed to higher fixed costs suggesting significant ramp up on the part of BHEL for
super critical projects.
At the CMP of Rs2,298, the stock trades at a P/E of 24.6x FY08E and 19.5x FY09E. We maintain
Buy.
QUARTERLY PERFORMANCE
Y/E MARCH
1Q
2Q
FY06
3Q
4Q
1Q
2Q
FY07
3QE
4QE
FY06
(RS MILLION)
FY07E
Sales
Change (%)
EBITDA
Change (%)
As a % Sales
Depreciation
Interest
Other Income
PBT
Tax
Effective Tax Rate (%)
Reported PAT
Change (%)
Adj. PAT
Change (%)
19,365
65.4
1,715
332.0
8.9
576
123
931
1,947
668
34.3
1,279
444.3
1,279
266.8
25,103
45.2
3,689
66.0
14.7
624
133
1,057
3,989
1,388
34.8
2,602
64.4
2,602
64.4
33,267
45.5
6,029
70.8
18.1
620
136
1,187
6,460
2,229
34.5
4,232
78.3
4,232
78.3
55,157
23.5
11,949
37.0
21.7
640
195
2,133
13,247
4,567
34.5
8,680
48.5
8,680
48.5
26,564
37.2
3,182
85.5
12.0
639
131
1,201
3,613
1,246
34.5
2,367
85.1
2,367
85.1
33,412
33.1
4,563
23.7
13.7
667
136
1,699
5,460
1,860
34.1
3,600
38.4
3,600
38.4
44,406
33.5
7,771
28.9
17.5
670
190
1,700
8,611
3,014
35.0
5,597
32.3
5,597
32.3
69,319
25.7
16,129
35.0
23.3
749
301
2,423
17,503
6,196
35.4
11,307
30.3
11,307
30.3
132,892
40.0
23,382
65.4
17.6
2,459
587
5,308
25,644
8,852
34.5
16,792
76.1
16,792
74.1
173,701
30.7
31,645
35.3
18.2
2,724
757
7,023
35,187
12,316
35.0
22,872
36.2
22,872
36.2
E: MOSt Estimates; Other Income includes Operational Other Income
Satyam Agarwal (Agarwals@MotilalOswal.com); Tel: +91 22 39825410/Nalin Bhatt (NalinBhatt@MotilalOswal.com); +91 22 39825429
29 December 2006
110

Results Preview
SECTOR: ENGINEERING
Crompton Greaves
STOCK INFO.
BLOOMBERG
REUTERS CODE
BSE Sensex: 13,787 CRG IN
S&P CNX: 3,966
CROM.BO
29 December 2006
Previous Recommendation: Buy
Buy
Rs209
EPS GR.
(%)
P/E
(X)
P/BV
(X)
ROE
(%)
ROCE
(%)
EV/
EV/
SALES EBITDA
EPS*
(RS)
Equity Shares (m)
52-Week Range
1,6,12 Rel. Perf. (%)
M.Cap. (Rs b)
M.Cap. (US$ b)
366.6
224/101
10/37/43
76.5
1.7
YEAR
END
NET SALES
(RS M)
PAT*
(RS M)
3/06A
3/07E
3/08E
25,206
34,263
43,131
2,320
2,883
3,548
8.9
7.9
9.7
60.3
-11.3
23.1
23.6
26.6
21.6
10.5
11.7
9.2
42.3
32.4
32.8
29.7
39.3
41.5
2.2
2.3
1.8
24.0
22.1
17.3
* Consolidated; pre-exceptionals
?
?
?
?
?
?
During 3QFY07, we expect Crompton to report standalone revenues of Rs8.6b, up 33% YoY, EBITDA of Rs899m,
up 52% YoY and net profit of Rs502m.
As at September 2006, unexecuted order book of Crompton (standalone) stood at Rs18b, up 20% YoY and the order
book for Pauwels stood at Euro332m. During 2QFY07, Pauwels reported revenues of Euro101m and PBT of Euro4m
The company recommended a bonus in the ratio of 2:5, post which the equity capital will stand at Rs733m.
Management has indicated capex of Rs1.7b in FY07 on a consolidated basis. A significant part of this capex is
intended for the 765KV transformer factory at Manideep, to be commissioned by FY07 (Rs1b). The capacity in
power transmission is being expanded to 25,000MVA from the current 19,000MVA and in power distribution to
3,000MVA from 2,000MVA. Pauwels would incur capex of Rs700m.
It acquired the transformer, gas insulated switchgear, rotating machine and contracting businesses of Ganz Transelektro
Villamossagi Zrt and the design, erection and commissioning unit of Transverticum Kft, both based in Hungary at an
EV of Euro35m. Management has given guidance for revenue of Euro70m for CY07 (revenues of Euro35m during
CY05) and at 100% capacity utilization, revenues would reach Euro100m.
We reiterate
Buy.
QUARTERLY PERFORMANCE (STANDALONE)
Y/E MARCH
1Q
2Q
FY06
3Q
4Q
1Q
2Q
FY07
3QE
4QE
FY06
(RS MILLION)
FY07E
Sales
Change (%)
EBITDA
Change (%)
As of % Sales
Depreciation
Interest
Other Income
PBT
Tax
Effective Tax Rate (%)
Reported PAT
Adj PAT
Change (%)
E: MOSt Estimates
5,198
22.8
455
61.1
8.7
105
75
77
352
39
11.1
313
313
78.3
5,546
22.4
529
34.0
9.5
104
59
65
431
106
24.6
325
325
30.4
6,479
37.3
590
25.0
10.9
104
66
66
487
55
11.2
432
548
73.3
7,983
27.8
752
54.8
11.8
129
64
119
679
118
17.3
561
748
82.0
7,406
42.5
722
58.7
9.7
100
53
49
618
254
41.1
364
364
16.4
8,240
48.6
736
39.1
8.9
81
72
94
677
270
39.9
407
387
18.9
8,617
33.0
899
52.3
10.4
115
64
90
810
308
38.0
502
502
-8.2
10,001
25.3
1,176
56.4
11.8
152
66
77
1,035
408
39.4
627
627
-16.2
25,206
27.8
2,326
42.3
10.4
442
264
327
1,948
318
16.3
1,631
1,934
38.1
34,263
35.9
3,533
51.9
10.3
448
255
311
3,141
1,241
39.5
1,900
1,900
-1.7
Satyam Agarwal (Agarwals@MotilalOswal.com); Tel: +91 22 39825410/Nalin Bhatt (NalinBhatt@MotilalOswal.com); +91 22 39825429
29 December 2006
111

Results Preview
SECTOR: ENGINEERING
Cummins India
STOCK INFO.
BLOOMBERG
REUTERS CODE
BSE Sensex: 13,787 KKC IN
S&P CNX: 3,966
CUMM.BO
29 December 2006
Previous Recommendation: Neutral
YEAR
END
NET SALES*
(RS M)
PAT *
(RS M)
EPS*
(RS)
EPS GR.*
(%)
P/E*
(X)
P/BV
(X)
ROE
(%)
ROCE
(%)
Neutral
Rs278
EV/
EV/
SALES EBITDA
Equity Shares (m)
52-Week Range
1,6,12 Rel. Perf. (%)
M.Cap. (Rs b)
M.Cap. (US$ b)
198.0
294/143
0/16/28
55.0
1.2
3/06A
3/07E
3/08E
17,751
22,330
27,972
1,837
2,465
3,283
9.3
12.4
16.6
37.7
34.2
33.2
29.9
22.3
16.7
6.4
5.6
4.6
22.7
26.9
30.2
30.4
39.0
44.4
3.0
2.2
1.8
20.7
14.4
10.4
* Consolidated
?
?
?
?
?
?
?
During 3QFY07, we expect revenue growth of 27% YoY to Rs5b, EBITDA growth of 24% YoY to Rs728m and net
profit growth of 19.7% YoY to Rs580m.
While domestic sales are expected to grow 13-15% on the back of strong demand for standby gensets from the
services sector, exports are expected to grow by ~20%. The progress on new product launches is according to
schedule and these products are expected to contribute 15-20% to FY07 revenues.
EBITDA margins are expected to improve to 13.3% in 2QFY07 from 11.8% in 2QFY06, because of better working
capital management, improvement in supply-chain management, ERP upgradation, higher level of indigenization in
certain categories of products and better product mix.
Cummins Diesel Sales and Services (FY06 revenues Rs4.6b), 100% subsidiary of Cummins India is expected to
continue growing at 10-11% p.a.
The Rs150m facility being set up near Pune to assemble low HP engines and generator sets will be fully operational
by September-October 2007. The other capex plans of the company amount to Rs200-Rs250m.
The board has approved acquisition of High Pressure Common Rail Technology from Cummins Inc., USA for a
consideration of US$3.6m. This technology will make the company’ K-38 and K-50 models of engines emission
s
compliant for the export market post 2007.
The stock currently trades at 22.3x FY07E and 16.7x FY08E consolidated earnings. We maintain
Neutral.
(RS MILLION)
FY06
1Q
2Q
3Q
4Q
1Q
2Q
FY07
3QE
4QE
FY06
FY07E
QUARTERLY PERFORMANCE (STANDALONE)
Y/E MARCH
Sales
Change (%)
EBITDA
Change (%)
As of % Sales
Depreciation
Interest
Other Income
PBT
Tax
Effective Tax Rate (%)
Reported PAT
Adj PAT
Change (%)
E: MOSt Estimates
3,280
16.5
439
15.3
13.4
83
2
161
516
162
31.4
354
354
18.2
3,573
20.4
422
24.3
11.8
83
2
216
553
175
31.7
378
421
42.6
3,898
31.3
587
123.1
15.1
88
1
198
696
212
30.4
485
485
47.5
3,877
22.4
583
25.7
15.0
82
5
197
694
153
22.0
541
541
16.6
3,914
19.3
619
41.0
15.8
81
0
163
700
192
27.4
508
508
43.6
4,674
30.8
786
86.2
16.8
94
0
195
886
259
29.2
627
627
48.8
4,950
27.0
728
23.9
14.7
98
4
215
841
261
31.0
580
580
19.7
5,236
35.1
746
27.9
14.3
109
7
328
958
304
31.7
654
654
21.0
14,628
22.7
2,032
40.4
13.9
336
9
772
2,459
702
28.5
1,757
1,801
29.7
18,775
28.4
2,879
41.7
15.3
382
12
900
3,385
1,015
30.0
2,369
2,369
31.6
Satyam Agarwal (Agarwals@MotilalOswal.com); Tel: +91 22 39825410/Nalin Bhatt (NalinBhatt@MotilalOswal.com); +91 22 39825429
29 December 2006
112

Results Preview
SECTOR: ENGINEERING
Larsen & Toubro
STOCK INFO.
BLOOMBERG
REUTERS CODE
BSE Sensex: 13,787 LT IN
S&P CNX: 3,966
LART.BO
29 December 2006
Previous Recommendation: Neutral
Neutral
Rs1,443
P/E*
(X)
P/BV
(X)
ROE
(%)
ROCE
(%)
EV/
EV/
(%)
SALES EBITDA
EPS*
(RS)
EPS GR.
Equity Shares (m)
52-Week Range
1,6,12 Rel. Perf. (%)
M.Cap. (Rs b)
M.Cap. (US$ b)
286.8
1,490/886
5/-1/10
413.8
9.3
YEAR
END
NET SALES
(RS M)
PAT *
(RS M)
3/06A 148,239
3/07E
3/08E
178,884
220,166
10,302
16,559
20,617
36.4
57.7
71.9
47.5
58.7
24.5
39.7
25.0
20.1
4.3
7.1
6.2
19.6
23.2
23.0
21.2
27.0
28.0
2.8
2.3
1.9
36.8
23.8
19.1
* Consolidated; EPS is fully diluted
?
?
?
?
?
?
?
During 3QFY07, we expect revenues of Rs42.4b, up 16% YoY and net profit of Rs2.5b, up 34.6% YoY.
L&T received big ticket size orders in the recent past which include: (1) Rs54b order from the consortium led by
GMR group for modernization of Delhi International airport. It involves design and construction of a passenger
terminal, runway, cargo terminal, aircraft maintenance facility etc., (2) Rs3.8b order from Chinese Petrochemical
company, Sinopec for design, manufacture and supply of three ethylene oxide reactors.
L&T’ order backlog at end-September 2006 stood at Rs306.7b, 54% higher YoY. However, with the recent wins,
s
order backlog stands at ~Rs360b, 2x its FY07E revenue of Rs179b. For FY07, management has guided for 30% YoY
increase in order intake, 25% YoY growth in revenues and improvement in EBITDA margins.
L&T Infotech too has been on a growth trajectory. The subsidiary has signed a definitive agreement to acquire GDA
Technologies and all of its design centers in the US and India.
Recently, L&T acquired 61% in International Seaport Dredging. L&T formed a JV with SapuraCrest Petroleum
Berhad to build, own and operate a derrick cum pipe laying barge valued at US$100m. L&T also signed a JV with
Kuwait-based Bader Al Mulla group.
During FY06-FY08, we expect L&T to incur capex of Rs7.5b per annum, mainly for adding manufacturing capacities
given current utilization rates of ~90-92%. It is also planning to invest Rs10b to set up a shipbuilding facility in India.
While L&T continues to witness positive newsflow on business momentum, we believe that current valuations factor
in most of the impending growth. We maintain
Neutral.
(RS MILLION)
FY06
1Q
2Q
3Q
4Q
1Q
2Q
FY07
3QE
4QE
FY06
FY07E
QUARTERLY PERFORMANCE (STANDALONE)
Y/E MARCH
Net Sales
Change (%)
EBITDA
Change (%)
As of % Sales
Depreciation
Interest
Other Income
Extraordinary Income
Reported PBT
Tax
Effective Tax Rate (%)
Reported Profit
Adjusted PAT
Change (%)
E: MOSt Estimates
31,111
15.9
1,758
38.9
5.5
294
98
227
382
1,975
545
27.6
1,430
971
21.1
33,457
12.0
1,407
15.5
7.9
260
147
1,309
0
2,308
878
38.0
1,431
1,197
58.0
36,664
12.2
3,182
81.4
8.3
266
225
206
235
3,131
557
17.8
2,593
1,878
41.9
45,943
7.1
6,304
45.5
13.2
324
281
638
81
6,418
1,752
27.3
4,666
4,585
37.4
34,689
11.5
2,698
53.5
9.2
309
158
216
0
2,448
877
35.8
1,571
1,571
61.9
37,361
11.7
3,062
117.6
8.9
336
106
437
0
3,057
1,046
34.2
2,011
1,831
53.0
42,396
15.6
3,839
20.7
8.8
340
170
500
0
3,829
1,302
34.0
2,527
2,527
34.6
62,533
36.1
7,704
22.2
12.1
381
313
945
0
7,954
1,959
24.6
5,996
5,996
30.8
146,529
12.5
12,653
46.4
8.3
1,145
751
2,379
698
13,834
3,713
26.8
10,121
8,702
39.9
176,979
20.8
17,304
60.8
9.5
1,367
747
2,098
0
17,289
5,191
30.0
12,098
12,098
39.0
Satyam Agarwal (Agarwals@MotilalOswal.com); Tel: +91 22 39825410/Nalin Bhatt (NalinBhatt@MotilalOswal.com); +91 22 39825429
29 December 2006
113

Results Preview
SECTOR: ENGINEERING
Siemens
STOCK INFO.
BLOOMBERG
REUTERS CODE
BSE Sensex: 13,787 SIEM IN
S&P CNX: 3,966
SIEM.BO
29 December 2006
Previous Recommendation: Neutral
Neutral
Rs1,134
P/E
(X)
P/BV
(X)
ROE
(%)
ROCE
(%)
EV/
EV/
(%)
SALES EBITDA
EPS
(RS)
EPS GR.
Equity Shares (m)
52-Week Range
1,6,12 Rel. Perf. (%)
M.Cap. (Rs b)
M.Cap. (US$ b)
165.7
1,408/700
0/-2/10
188.0
4.2
YEAR
END
NET SALES
(RS M)
PAT
(RS M)
9/06E
9/07E
9/08E
60,586
83,658
118,278
3,917
5,534
7,915
23.6
33.4
47.8
30.0
41.3
43.0
48.0
34.0
23.7
16.0
12.7
9.9
37.4
41.7
47.0
54.1
62.5
70.7
3.0
2.2
1.6
28.5
21.0
15.3
Consolidated
?
Siemens reported disappointing performance for the year ended September 2006 on account of margin pressure in
power business, disappointing performance by Siemens Information Systems (SISL) and disposal of Siemens Public
Communications (SPCNL). Revenue for the company grew 62% YoY while net profit was up by 44% YoY to
Rs3.7b. Unexecuted order book stood at Rs75.3b.
During 1QFY07, we expect the company to report revenue of Rs12.5b, up 45% YoY, EBITDA of Rs1.1b and net
profit of Rs734m, a growth of 33.2% YoY.
Siemens Ltd and Siemens AG (in consortium) have been awarded a contract upto Rs40b by Qatar General Electricity
and Water Corp for development of Phase VII of Electrical Grid in Qatar. The contract value for Siemens India is
Rs36b. This is the biggest order for Siemens Power Turbine Division worldwide, as well as for Siemens in India.
Siemens has decided to divest its 100% stake in Siemens Public Communication Networks (SPCNL) to its JV
partner, Nokia Siemens Networks, India. The decision is on the back of Siemens AG’ plans to merge Nokia and
s
Siemens’ network and carrier operations for fixed and mobile networks worldwide.
Given its diversified exposure to the Indian manufacturing industry, power, transport, healthcare, communication and
IT segments; we believe Siemens will report steady growth ahead. We maintain
Neutral.
(RS MILLION)
FY06
1Q
2Q
3Q
4Q
1Q
2Q
FY07E
3Q
4Q
FY06
FY07E
?
?
?
?
QUARTERLY PERFORMANCE (STANDALONE)
Y/E SEPTEMBER
Total Revenues
Change (%)
EBITDA
Change (%)
As % of Revenues
Depreciation
Interest Income
Other Income
PBT
Tax
Effective Tax Rate (%)
Reported PAT
Adjusted PAT
Change (%)
E: MOSt Estimates
8,601
62.1
791
76.1
9.2
150
54
9
705
215
30.5
490
551
75.7
11,334
57.6
1,214
34.8
10.7
81
79
419
1,630
452
27.7
1,178
1,178
48.4
10,465
70.8
792
44.1
7.6
90
117
24
844
279
33.1
565
565
42.9
14,997
59.2
1,244
34.3
8.3
122
116
637
1,875
508
27.1
1,367
1,367
30.9
12,463
44.9
1,104
39.6
8.9
150
45
50
1,049
315
30.0
734
734
33.2
17,296
52.6
1,971
62.4
11.4
160
65
530
2,406
794
33.0
1,612
1,612
36.8
15,947
52.4
1,256
58.5
7.9
170
95
150
1,331
439
33.0
892
892
57.8
23,498
56.7
1,817
46.0
7.7
183
60
1,281
2,975
701
23.6
2,274
2,274
66.3
45,397
61.9
4,041
43.0
8.9
442
367
1,089
5,055
1,454
28.8
3,601
3,662
43.8
69,203
52.4
6,148
52.0
8.9
663
0
2,011
7,496
2,249
30.0
5,247
5,247
43.3
Satyam Agarwal (Agarwals@MotilalOswal.com); Tel: +91 22 39825410/Nalin Bhatt (NalinBhatt@MotilalOswal.com); +91 22 39825429
29 December 2006
114

Results Preview
SECTOR: ENGINEERING
Thermax
STOCK INFO.
BLOOMBERG
REUTERS CODE
BSE Sensex: 13,787 TMX IN
S&P CNX: 3,966
THMX.BO
29 December 2006
Previous Recommendation: Buy
Buy
Rs387
EPS GR.*
(%)
P/E*
(X)
P/BV
(X)
ROE
(%)
ROCE
(%)
EV/
EV/
SALES EBITDA
EPS*
(RS)
Equity Shares (m)
52-Week Range
1,6,12 Rel. Perf. (%)
M.Cap. (Rs b)
M.Cap. (US$ b)
119.2
417/183
1/18/59
46.1
1.0
YEAR
END
NET SALES
(RS M)
PAT*
(RS M)
3/06A
3/07E
3/08E
14,834
19,945
26,073
1,025
1,924
2,747
8.6
16.2
23.1
50.2
87.7
42.8
45.0
24.0
16.8
9.6
7.9
6.2
30.7
39.8
40.5
44.0
57.0
60.3
3.1
2.2
1.6
22.9
14.9
11.0
* Consolidated
?
?
?
?
?
During 3QFY07, we expect revenues of Rs5b, up 40% YoY, EBITDA of Rs719m and net profit of Rs486m, a jump
of 61% YoY. Management has given guidance for revenue growth of 30% YoY during FY07.
EBITDA margins are expected to be higher YoY backed by buoyant demand, successful implementation of cost-
cutting initiatives, gains from the transformation process, improvement of asset productivity, inclusion of price escalation
clauses and cost savings due to integration with Thermax Babcox. Thermax would also benefit from the increased
sourcing of materials from China (15-20% in FY07), which would save costs up to 10% and add 1.5-2% to operating
margins.
The order backlog for the company stood at ~Rs25. The company has indicated commissioning of ~150MW by end-
FY07. Recently, it bagged two orders valued at Rs3.83b from cement companies for setting up 75MW captive power
plants. With the stated orders, order intake exceeds 250MW of captive power plants valued at about Rs10b.
Thermax has planned capex of Rs1b for capacity expansion of the captive power segment, entry into higher range
boilers and heat recovery systems and new range of absorption chillers. The company would also invest Rs1.8b in
de-bottlenecking. Recently, the company also announced its plans to invest Rs1.75b at Salvi in Gujarat to increase its
manufacturing capacity.
At the CMP of Rs371. the stock is trading at a P/E of 24x FY07E and 16.8x FY08E and 12.6x FY09E consolidated
earnings. We maintain
Buy.
(RS MILLION)
FY06
1Q
2Q
3Q*
4Q*
1Q
2Q
FY07*
3QE
4QE
FY06*
FY07E*
QUARTERLY PERFORMANCE (STANDALONE)
Y/E MARCH
Sales
Change (%)
EBITDA
Change (%)
As of % Sales
Depreciation
Interest
Other Income
Extra-ordinary Items
PBT
Tax
Effective Tax Rate (%)
Reported PAT
Adj PAT
Change (%)
2,265
79.7
225
225.1
9.9
25
1
30
-26
203
70
34.4
133
159
183.7
3,078
40.1
395
101.7
12.8
27
1
36
-18
384
131
34.1
253
271
93.4
3,594
466
13.0
34
3
30
-8
451
157
34.7
295
302
4,762
709
14.9
52
4
39
-7
685
265
38.7
420
427
3,226
383
11.9
38
0
65
0
410
135
32.8
275
275
4,823
758
15.7
50
2
88
-231
562
211
37.6
351
582
5,031
40.0
719
37.9
14.3
35
3
45
0
726
240
33.0
486
486
60.9
6,865
44.2
1,126
41.6
16.4
27
5
46
0
1,140
371
32.5
769
769
80.0
14,834
2,000
13.5
152
9
146
-59
1,925
693
36.0
1,233
1,291
19,945
34.5
2,985
49.3
15.0
150
10
244
-231
2,838
956
33.7
1,881
2,113
63.6
E: MOSt Estimates; *Nos include results of Thermax Babcock and Wilcox Ltd and Thermax Capital Ltd.and hence not comparable yoy
Satyam Agarwal (Agarwals@MotilalOswal.com); Tel: +91 22 39825410/Nalin Bhatt (NalinBhatt@MotilalOswal.com); +91 22 39825429
29 December 2006
115

Results Preview
QUARTER ENDED DECEMBER 2006
FMCG
BSE Sensex: 13,787
S&P CNX: 3,966
29 December 2006
COMPANY NAME
PG.
Asian Paints
123
Britannia Industries
124
Colgate Palmolive
125
Dabur India
126
GSK Consumer
127
Steady double digit growth continued for the sector during the quarter, clearly reflecting
the impact of steadily growing per capita income and rising consumer confidence.
Commodity prices continued to maintain high levels with palm oil, LAB and media costs
reflecting an uptrend. Pricing power has shown considerable improvement with 3-5%
price increase in most of the product categories. Our interaction with the companies also
indicates consumer uptrading in select skin care and food products. All the FMCG majors
appear confident of buoyant demand in the forthcoming quarters. We expect strong
growth momentum to continue but margins will likely be under pressure, as the companies
have not passed on the entire inflationary impact to the consumer.
FMCG – moving toward inflexion point
We expect the strong growth in consumer demand to continue due to sustained growth
in both farm incomes and job opportunities. Favorable monsoons, higher production of
cash crops like Cotton, Sugarcane and Rice and higher prices of key agri commodities
are expected to boost farm incomes. Employment generation and salary levels are rising
due to strong economic growth with manpower shortages in Retail, IT, Construction and
Power sectors. Rising employment opportunities will result in a strong surge in consumer
demand as 50% of the population currently is below 25 years of age. In addition,
infrastructure development is creating employment for the population at the bottom end
of the pyramid, which could act as a big growth catalyst in the coming years.
Godrej Consumer Products
128
Hindustan Lever
129
ITC
130
Marico
131
Nestle India
132
Tata Tea
133
EXPECTED QUARTERLY PERFORMANCE SUMMARY
RECO
SALES
DEC.06
CHG. (%)
DEC.06
EBITDA
CHG. (%)
(RS MILLION)
NET PROFIT
DEC.06
CHG. (%)
FMCG
Asian Paints
Britannia
Colgate
Dabur
GSK Consumer
Godrej Consumer
HLL
ITC
Marico
Nestle
Tata Tea
Sector Aggregate
Buy
Buy
Neutral
Neutral
Buy
Neutral
Buy
Buy
Buy
Neutral
Neutral
7,400
5,350
3,390
6,450
2,791
2,650
34,008
31,695
3,650
6,849
9,900
114,133
15.5
18.9
18.7
20.0
15.1
56.7
14.3
24.0
20.2
10.0
22.0
19.0
1,150
450
740
1,000
421
575
5,797
10,095
600
1,425
1,750
24,002
18.2
-17.0
3.7
20.9
9.9
42.3
20.3
14.9
26.5
20.7
23.6
17.0
706
333
553
812
244
460
4,950
7,039
385
972
742
17,196
16.4
-14.6
-5.1
22.8
13.9
27.4
14.8
31.1
7.2
24.7
2.6
19.8
Amnish Aggarwal (AmnishAggarwal@MotilalOswal.com)Tel:+91 22 3982 5404
29 December 2006
116

FMCG
Low product penetration indicates long term potential
The product penetration in most of the FMCG categories is very low. Some of the large
categories such as Detergents, Washing Powder and Toilet Soaps have high penetration
by Indian standards. But even in these categories, per capita spend is significantly lower
versus most countries in Asia and South East Asia.
FMCG PRODUCTS PENETRATION (%)
ALL INDIA
URBAN
RURAL
Deodorants
Instant Coffee
Skin Cream
Utensil Cleaner
Toothpastes
Shampoo
Washing Powder
Detergent Bar
Toilet Soap
2.1
6.6
22.0
28.0
48.6
38.0
86.1
88.6
91.5
5.5
15.5
31.5
59.9
74.9
52.1
90.7
91.4
97.4
0.6
2.8
17.8
14.6
37.6
31.9
84.1
87.4
88.9
Source: HLL Presentation/Motilal Oswal Securities
This indicates substantial long term potential in the FMCG sector. Categories which have
penetration of less than 25% are expected to grow volumes by more than 20% per annum
over the coming 8-10 years.
PER CAPITAL CONSUMPTION (US$)
8
India
China
Indonesia
Thailand
Malasiya
6
4
2
0
Laundry
Shampoo
Skin Care
Deodrants
Source: HLL Presentation/Motilal Oswal Securities
Cost pressures continue unabated
The FMCG sector continues to witness cost pressures in a number of key inputs. The
prices of critical inputs like LAB, Palm Oil, Milk and Wheat have been on an uptrend.
Although crude prices have declined by 20% from their peak levels, LAB prices have
strengthened by 3-4% during the same period. Prices of Palm Oil have been on an uptrend
over the past few months. Prices have jumped by 15-17% in the past couple of months to
current levels of 1,850-1,900 ringgits per ton. Media advertising costs have increased by
10-15% in recent months. Industry is also experiencing the full impact of freight overloading
29 December 2006
117

FMCG
conditions imposed by the government. The only respite has been the 15% decline in
sugar prices from their peak levels.
PRICES OF LAB (RS/TON)
1,600
cif Mumbai
1,400
1,200
1,000
800
PRICES OF SODA ASH (RS/TON)
10,000
9,500
9,000
8,500
8,000
Ex-factory
PRICES OF SUGAR (RS/QUINTAL)
2,000
1,875
1,750
1,625
1,500
Source: Cris Infac
29 December 2006
118

FMCG
Price increases not sufficient; margin pressure to sustain
The industry has undertaken price increases from 3-8% in the past two months to ward
off the inflationary impact. Toilet Soap prices have gone up by 5-8% while Detergent
prices have been increased by 3-5%. Dabur has increased prices by 2-3% in a majority of
the product categories. While increase in product prices at regular intervals indicates
much improvement in pricing power, recent price increases have been insufficient to counter
the entire cost increase. Moreover, some of the raw material segments like Palm Oil and
Milk are unlikely to show any decline in prices in the medium term. We expect strong
material costs, media inflation and rising focus on brand building to impact EBITDA margin
expansion, despite strong volume growth.
Consumers upgrading – rush to launch new variants
Factors such as rising growth rates for the sector as well as consumers upgrading to
select product categories have enthused industry majors to come forth with an increasing
number of new products and variants, which are being launched from time to time. HLL
and Dabur have taken the lead to launch new products and variants. HLL has unveiled a
new premium range in the Lakme, Sunsilk and Ponds brands whilst Dabur has focused
more on the Home Care segment. We expect product launches to gain further momentum
ahead as the companies try to address new segments in anticipation of new consumer
trends ahead.
BRAND
COMPANY NAME
CATEGORY
BRAND NAME
VARIANT
HLL
Detergents
Beverages
Personal Care
Wheel
Taj Mahal Connoisseurs
Ponds
Lakme
Active
Single Estate, Smoked Wood
Face wash and Skin Creams at
Top end
Happy Hour Collection,
Fundamentals Range
Toilet Cleaner
Slim Milk
Lite
Sanifresh Thick
Aerosols
Lotion, Gels and Coil
Sandal variant
Root Strengthening Shampoo
Strawberry, Chocalates, Dates
Family Packs on entire range
Source: Motilal Oswal Securities
Home Care
Ice Creams
Nestle India
Dabur
Milk Products
Chocolates
Home Care
Comfort Fabric Conditioner
Kwality Walls
Everyday
KitKat
Sanifresh
Odonil
Odomos
Vatika
Babool
Britannia
ITC
Biscuits
Biscuits
Soap
Shampoo
Toothpowder
Treat
Sunfeast
Modern trade likely to transform sector dynamics
Modern trade is quickly gaining market share in the sale of FMCG products. It accounts
for 10% of sales in the metros, 20% in southern India and 4% for the entire FMCG sector.
29 December 2006
119

FMCG
Our interaction with leading FMCG and retail companies indicates that the share of modern
trade is likely to significantly increase in the coming years. Both retailers and FMCG
companies seem willing to realize the importance of working together in the long term due
to following benefits:
?
Market share and sales mix of leading FMCG companies is higher in organised retail
than the traditional distribution system.
?
Modern trade does not have low-priced sachets and there is a tilt towards premium
products, which improves the margin profile of companies
?
FMCG companies are showing willingness to share the savings in logistics and
distribution costs with the retailers. FMCG companies appear confident that the unfolding
of modern trade would not affect their profit margins.
?
Growth of a vibrant processed food sector has been languishing due to poor
infrastructure and absence of the cold (refrigerated) chain. With these issues likely to
be addressed now, we expect processed food companies to grow much faster, albeit
with a time lag. Nestle, ITC and HLL are tipped to be the biggest beneficiaries of this
move.
We believe that fears of a significant squeeze in profit margins of FMCG companies are
unfounded, as global majors have been able to expand their profit margins in the past 15-
20 years while modern trade has thrived in those economies.
MODERN TRADE STORES (‘
000)
3.0
Modern Trade Stores ('000) - LHS
% of FMCG Sales - RHS
5
4
3
2.3
1.5
2
0.8
1
0
1997
1998
1999
2000
2001
2002
2003
2004
2005
2006
0.0
Source: HLL Presentation/Motilal Oswal Securities
Global ambitions – advantage domestic companies
FMCG companies are on a prowl. Domestic companies are looking at businesses mostly
in the Middle East, Africa and Asian regions. Marico has taken over Fiancée and Haircode
brands, which has given the company market share of more than 50% in the Hair Care
market in Egypt. Britannia has taken over a majority stake in two companies in the Middle
East. While all major companies have been scouting for acquisitions, the attempt has
mostly been to cater to demand from persons of Indian origin. We believe that acquisitions
29 December 2006
120

FMCG
aimed at entering smaller countries would not make sense in the long term, given the huge
potential in the Indian economy. But the acquisitions that provide Indian companies with
new product knowledge and technology and brands will likely be a good stepping stone in
the direction of making Indian companies true multinationals.
Valuation and top picks
FMCG companies have been mostly range-bound in the recent past. Although growth
rates have been accelerating from the past one year, margin expansion has been lower
than expectations mainly due to sharp increase in commodity-based raw materials. Long
term potential appears favorable due to low penetration and rising per capita incomes. We
maintain a positive view on the sector, despite stretched valuations and short-term cost
pressures. We rate
ITC
and
HLL
as our top picks among the large caps and
Asian
Paints
and
Marico
among mid caps.
29 December 2006
121

FMCG
Stock performance and valuations
STOCK PERFORMANCE (%)
ABSOLUTE PERF
3M
1 YEAR
REL PERF TO SENSEX
3M
1 YEAR
REL PERF TO SECTOR
3M
1 YEAR
FMCG
Asian Paints
Britannia
Colgate
Dabur
Godrej Consumer
GSK
HLL
ITC
Marico
Nestle
Tata Tea
9
-3
6
7
-17
3
-15
-6
4
7
-4
27
-19
44
40
14
0
10
24
47
21
-24
-2
-13
-5
-3
-28
-7
-26
-17
-7
-4
-15
-20
-66
-2
-7
-33
-47
-37
-23
0
-25
-71
15
4
12
14
-10
10
-9
0
10
13
3
9
-37
26
22
-4
-18
-8
6
29
4
-42
RELATIVE PERFORMANCE - 3 MONTH (%)
RELATIVE PERFORMANCE - 1 YEAR (%)
Sensex
114
MOSt FMCG Index
155
MOSt FMCG Index
Sensex
108
140
102
125
96
110
90
Sep-06
Oct-06
Nov-06
Dec-06
95
Dec-05
Mar-06
Jun-06
Sep-06
Dec-06
COMPARATIVE VALUATION
CMP (RS)
29.12.06
RECO
FY06
EPS (RS)
FY07E
FY08E
FY06
P/E (X)
FY07E
FY08E
EV/EBITDA
FY06
FY07E
FY08E
FY06
ROE (%)
FY07E
FY08E
FMCG
Asian Paints
Britannia
Colgate
Dabur
GSK Consumer
Godrej Consumer
HLL
ITC
Marico
Nestle
Tata Tea
Sector Aggregate
734
1,092
389
147
557
150
217
176
540
1,136
720
Buy
Buy
Neutral
Neutral
Buy
Neutral
Buy
Buy
Buy
Neutral
Neutral
23.1
61.3
11.4
4.0
25.5
5.3
6.0
6.1
18.0
34.1
53.2
27.9
46.2
14.3
5.0
30.0
6.3
7.1
7.3
23.0
35.7
58.3
33.6
61.6
16.3
6.4
35.7
8.7
8.7
8.8
29.0
44.0
64.4
31.8
17.8
34.1
37.1
21.9
28.4
36.4
29.0
30.0
33.3
13.5
30.4
26.3
23.6
27.2
29.5
18.6
23.7
30.6
24.0
23.5
31.9
12.3
25.8
21.8
17.7
23.9
23.1
15.6
17.2
24.8
20.1
18.6
25.8
11.2
21.3
19.3
11.2
23.7
29.0
12.7
24.3
31.4
18.5
22.9
20.7
9.1
21.0
15.8
14.1
20.7
23.2
10.7
18.8
26.0
15.7
14.2
19.5
8.2
17.8
13.0
10.1
17.5
18.6
8.9
14.0
20.9
13.0
11.5
16.5
7.5
14.7
35.0
25.8
57.1
45.6
22.6
151.6
56.8
25.2
39.9
58.6
17.0
32.2
35.5
19.1
63.7
46.7
22.7
129.6
57.9
26.4
42.0
54.0
16.4
32.9
34.9
21.2
63.3
46.3
23.2
129.1
61.9
27.3
39.3
58.4
15.9
34.2
29 December 2006
122

Results Preview
SECTOR: FMCG-PAINTS
Asian Paints
STOCK INFO.
BLOOMBERG
REUTERS CODE
BSE Sensex: 13,787 APNT IN
S&P CNX: 3,966
ASPN.BO
29 December 2006
Previous Recommendation: Buy
Buy
Rs734
EPS
P/E
(X)
P/BV
(X)
ROE
(%)
ROCE
(%)
EV/
EV/
SALES EBITDA
EPS*
(RS) GROWTH (%)
Equity Shares (m)
52-Week Range
1,6,12 Rel. Perf. (%)
M.Cap. (Rs b)
M.Cap. (US$ b)
95.9
790/501
2/-7/-20
70.4
1.6
YEAR
END
NET SALES
(RS M)
PAT*
(RS M)
3/06A
3/07E
3/08E
23,192
27,830
32,283
2,214
2,674
3,221
23.1
27.9
33.6
25.6
20.8
20.5
31.8
26.3
21.8
11.1
9.3
7.6
35.0
35.5
34.9
44.5
50.6
50.4
2.9
2.4
2.0
19.3
15.8
13.0
* Pre-exceptionals
?
We expect Asian Paints to register 15.5% YoY growth in revenues to Rs7.4b driven by strong volume growth and
buoyancy in consumer demand due to rising incomes and construction activity.
EBITDA margins are expected to expand 30bp to 15.5% in 3QFY07 due to full impact of 3% price increase from 1
September and stable chemical input prices.
PAT at Rs706m would grow by 16% YoY due to flat interest burden despite 20% increase in depreciation expense
and 50bp increase in tax rate.
The stock is currently trading 26.3x FY07E earnings and 21.8x FY08E earnings. Medium term outlook looks bright
due to strong growth in construction activity. We recommend
Buy.
(RS MILLION)
FY06
1Q
2Q
3Q
4Q
1Q
2Q
FY07
3QE
4QE
FY06
FY07E
?
?
?
QUARTERLY PERFORMANCE
Y/E MARCH
Net Sales
Change (%)
Total Expenditure
EBITDA
Margin (%)
Change (%)
Interest
Depreciation
Other Income
Operational PBT
Non Recurring Items
PBT
Tax
Deferred Tax
Effective Tax Rate (%)
PAT
Adjusted PAT
Change (%)
E: MOSt Estimates
5,106
27.1
4,378
728
14.3
18.1
5
111
60
672
0
672
229
1
34.3
442
442
32.1
6,192
19.6
5,186
1,006
16.2
24.2
9
113
71
956
-17
938
326
0
34.8
612
629
27.9
6,406
10.5
5,433
973
15.2
7.8
17
112
83
927
3
930
327
-6
34.4
610
606
11.4
5,645
27.7
4,832
812
14.4
33.4
7
120
145
830
-334
496
310
-16
59.1
203
537
31.3
6,034
18.2
5,095
939
15.6
29.0
13
110
64
880
0
881
299
1
34.1
580
580
31.2
7,849
26.8
6,646
1,203
15.3
19.6
18
115
101
1,171
-2
1,170
401
-7
33.7
776
777
23.6
7,400
15.5
6,250
1,150
15.5
18.2
16
135
85
1,084
0
1,084
390
-12
34.9
706
706
16.4
6,547
16.0
4,832
932
14.2
14.7
18
156
151
909
0
909
324
-27
32.7
612
612
13.9
23,192
19.5
19,672
3,519
15.2
19.8
38
455
359
3,385
-346
3,039
1,192
-21
38.5
1,868
2,214
24.5
27,830
20.0
23,606
4,224
15.2
20.0
65
515
401
4,045
1
4,046
1,415
-45
33.9
2,676
2,675
20.8
Amnish Aggarwal (AmnishAggarwal@MotilalOswal.com) Tel: +91 22 39825404
29 December 2006
123

Results Preview
SECTOR: FMCG
Britannia Industries
STOCK INFO.
BLOOMBERG
REUTERS CODE
BSE Sensex: 13,787 BRIT IN
S&P CNX: 3,966
BRIT.BO
29 December 2006
Previous Recommendation: Buy
Buy
Rs1,092
EPS
P/E
(X)
P/BV
(X)
ROE
(%)
ROCE
(%)
EV/
EV/
SALES EBITDA
EPS*
(RS) GROWTH (%)
Equity Shares (m)
52-Week Range
1,6,12 Rel. Perf. (%)
M.Cap. (Rs b)
M.Cap. (US$ b)
23.9
1,955/1,025
-3/-39/-66
26.1
0.6
YEAR
END
NET SALES
(RS M)
PAT*
(RS M)
3/06A
3/07E
3/08E
17,133
21,047
24,943
1,464
1,103
1,472
61.3
46.2
61.6
-1.1
-24.6
33.4
17.8
23.6
17.7
4.8
4.2
3.6
25.8
19.1
21.2
34.6
22.5
26.7
1.3
1.0
0.8
11.2
14.1
10.1
* Pre-exceptionals
?
?
?
?
?
We expect Britannia to report revenues of Rs5.3b in 3QFY07, a growth of 18.9% YoY. Strong consumer demand and
focus on innovation will continue to drive topline growth, even in the wake of rising competition.
EBITDA margins are expected to decline by 360bp YoY to 8.4% in 3QFY07, due to sharp increase in the prices of
Wheat and Milk, as competition makes it difficult to pass on the price increase, particularly in the Glucose biscuit
segment.
Sharp jump in other income and decline in tax rate are expected to limit PAT decline at 14.6% YoY, decline in tax rate
will be partly aided by higher production at its Baddi tax-free facility.
Britannia is looking to launch value-added premium products to improve sagging profit margins. We expect the
operating environment to remain competitive due to cost pressures and stiff competition, which will alter the long
term margin profile.
We are reducing our FY07 and FY08 EPS estimates to Rs46.2 and Rs61.6. The stock is currently trading at 23.6x
FY07E earnings and 17.7xFY08E earnings. We believe that despite strong competition, high volume growth and
leverage will enable the company to expand margins in FY08. We believe that all the negatives are priced in the stock
and there is likely little downside risk at the current EV/Sales of 0.8xFY08. We maintain
Buy.
(RS MILLION)
FY06
1Q
2Q
3Q
4Q
1Q
2Q
FY07
3QE
4QE
FY06
FY07E
QUARTERLY PERFORMANCE
Y/E MARCH
Net Sales
YoY Change (%)
Total Exp
EBITDA
Margins (%)
Depreciation
Interest
Other Income
PBT
Tax
Rate (%)
PAT
YoY Change (%)
Extraordinary Expenses
Reported PAT
E: MOSt Estimates
3,856
3,284
572
14.8
-53
-8
32
543
-186
34.3
357
34
391
4,441
9.5
3,809
632
14.2
-50
-4
62
640
-201
31.4
439
-15.4
-1
438
4,498
17.5
3,956
542
12.0
-57
-11
17
491
-101
20.6
390
18.5
-33
357
4,540
24.6
4,315
225
5.0
-57
-6
122
284
-55
19.4
229
3.2
49
278
4,828
25.2
4,502
326
6.8
-57
-7
119
381
-55
14.4
326
-8.7
-23
303
5,497
23.8
5,209
288
5.2
-64
-16
27
235
3
-1.3
238
-45.8
-26
212
5,350
18.9
4,900
450
8.4
-65
-12
50
423
-90
21.3
333
-14.6
0
333
5,372
18.3
3,284
443
8.2
-73
-1
51
420
-121
28.7
300
30.9
0
300
17,133
13.5
15,154
1,979
11.6
-217
-21
217
1,958
-543
27.7
1,415
-17.1
49
1,464
21,047
0.2
19,540
1,507
7.2
-259
-36
247
1,459
-263
18.0
1,197
-15.4
0
1,197
Amnish Aggarwal (AmnishAggarwal@MotilalOswal.com) Tel: +91 22 39825404
29 December 2006
124

Results Preview
SECTOR: FMCG
Colgate Palmolive
STOCK INFO.
BLOOMBERG
REUTERS CODE
BSE Sensex: 13,787 CLGT IN
S&P CNX: 3,966
COLG.BO
29 December 2006
Previous Recommendation: Neutral
Neutral
Rs389
P/E
(X)
P/BV
(X)
ROE
(%)
ROCE
(%)
EV/
EV/
SALES EBITDA
EPS*
EPS
(RS) GROWTH (%)
Equity Shares (m)
52-Week Range
1,6,12 Rel. Perf. (%)
M.Cap. (Rs b)
M.Cap. (US$ b)
136.0
464/262
1/-30/-2
52.8
1.2
YEAR
END
NET SALES
(RS M)
PAT*
(RS M)
3/06A
3/07E
3/08E
11,242
13,281
15,287
1,548
1,941
2,211
11.4
14.3
16.3
37.7
25.4
13.9
34.1
27.2
23.9
19.5
17.3
15.1
48.6
54.8
53.2
58.6
66.6
66.9
4.5
3.8
3.2
23.7
20.7
17.5
* Pre-exceptionals
?
We expect Colgate to report 18.9% YoY growth in sales in 3QFY07 on the back of strong volume growth and
success of new launches.
We expect EBITDA to expand by 3.4% as EBITDA margins decline by 320bp in 3QFY07 on YoY basis, due to high
base of 25% EBITDA margin in 3QFY06.
Adjusted PAT is expected to decline by 2.5% to Rs568m as tax rate increases from 18.5% to 23%. Our estimates do
not factor in expected cost reduction from closure of the company’ Sewri unit.
s
Demand scenario looks encouraging in the medium term and Colgate is expected to benefit from rising demand for
oral care products in rural areas due to rising awareness and purchasing power.
The stock is currently trading at 34.1x FY06E earnings, 27.2x FY07E earnings and 23.9x FY08E earnings, which
leaves little scope of P/E re-rating from current levels. We maintain
Neutral.
?
?
?
?
QUARTERLY PERFORMANCE
Y/E MARCH
1Q
2Q
FY06
3Q
4Q
1Q
2Q
FY07
3QE
4QE
FY06
(RS MILLION)
FY07E
Net Sales
YoY Change (%)
Total Exp
EBITDA
Margins (%)
Depreciation
Interest
Other Income
PBT
Tax
Rate (%)
Adjusted PAT
YoY Change (%)
Extraordinary Expenses
Reported PAT
YoY Change (%)
E: MOSt Estimates
2,583
6.4
-2,201
382
14.8
-26
-2
140
494
-140
28.2
355
39.2
-75
280
9.8
2,781
13.2
-2,396
385
13.9
-39
-1
98
443
-134
30.2
309
14.5
0
309
14.5
2,857
21.2
-2,143
714
25.0
-47
-1
49
715
-132
18.5
583
68.7
-165
417
46.2
3,021
25.8
-2,564
457
15.1
-37
-2
50
467
-97
20.8
370
10.6
0
370
14.4
3,096
19.9
-2,695
401
12.9
-37
-2
148
509
-149
29.2
361
1.6
0
361
28.9
3,200
15.1
-2,642
558
17.4
-36
-2
122
643
-137
21.4
505
63.7
-274
232
-24.9
3,390
18.7
-2,650
740
21.8
-50
-2
55
743
-190
25.6
553
-5.1
0
553
32.5
3,595
19.0
-2,867
727
20.2
-51
1
50
728
-204
28.0
524
41.5
0
524
41.5
11,242
16.6
-9,113
2,128
18.9
-260
-6
187
2,050
-503
24.5
1,548
28.5
-172
1,376
148.8
13,281
18.1
-10,854
2,426
18.3
-173
-6
376
2,623
-680
25.9
1,943
25.5
-274
1,669
21.3
Amnish Aggarwal (AmnishAggarwal@MotilalOswal.com) Tel: +91 22 39825404
29 December 2006
125

Results Preview
SECTOR: FMCG
Dabur India
STOCK INFO.
BLOOMBERG
REUTERS CODE
BSE Sensex: 13,787 DABUR IN
S&P CNX: 3,966
DABU.BO
29 December 2006
Previous Recommendation: Neutral
Neutral
Rs147
P/E
(X)
P/BV
(X)
ROE
(%)
ROCE
(%)
EV/
EV/
SALES EBITDA
EPS
EPS
(RS) GROWTH (%)
Equity Shares (m)
52-Week Range
1,6,12 Rel. Perf. (%)
M.Cap. (Rs b)
M.Cap. (US$ b)
573.3
174/98
-1/-27/-7
84.2
1.9
YEAR
END
NET SALES
(RS M)
PAT
(RS M)
3/06A
3/07E
3/08E
18,658
22,264
25,403
2,266
2,856
3,649
4.0
5.0
6.4
44.3
26.0
27.8
37.1
29.5
23.1
16.9
13.8
10.7
45.6
46.7
46.3
45.0
50.2
50.6
4.5
3.7
3.2
29.0
23.2
18.6
?
Dabur is expected to report sales of Rs6.4b in 3QFY07, a growth of 20% YoY. EBITDA margins are expected to
expand 10bp YoY in 3QFY07, despite 2-3% price increase, as cost pressures continue to neutralise scale benefits.
Sharp decline in interest burden is expected to result in 23% increase in PAT to 797m.
We expect Chwayanprash, Babool, Real and the Consumer Health Division to be major growth drivers in 3QFY07.
Dabur has launched a slew of products and variants in the Home Products category, which should boost Balsara
numbers during the quarter.
The stock is currently trading at 37.1x FY06E earnings, 29.5x FY07E earnings and 23.1x FY08E earnings even as
our estimates are 5% and 7% ahead of the consensus. We maintain
Neutral.
?
?
?
QUARTERLY PERFORMANCE
Y/E MARCH
1Q
2Q
FY06
3Q
4Q
1Q
2Q
FY07
3QE
4QE
FY06
(RS MILLION)
FY07E
Net Sales
YoY Change (%)
Total Exp
EBITDA
Margins (%)
Depreciation
Interest
Other Income
PBT
Tax
Rate (%)
PAT
YoY Change (%)
Minority Interest
Extraordinary Inc/(Exp)
Reported PAT
E: MOSt Estimates
4,147
20.4
3,655
492
11.9
-76
-40
18
394
-50
12.6
345
55.6
4
0
349
4,675
26.0
3,870
805
17.2
-84
-47
38
713
-85
12.0
627
41.3
17
0
644
5,374
26.0
4,547
827
15.4
-83
-53
56
747
-86
11.5
661
40.0
-12
0
649
4,462
13.0
3,679
784
17.6
-69
-24
22
713
-80
11.2
633
46.4
-6
-127
500
4,755
14.7
4,116
639
13.4
-97
-41
53
554
-80
14.5
474
37.5
9
0
482
5,641
20.7
4,668
973
17.3
-106
-55
38
851
-123
14.5
727
15.9
-6
65
787
6,450
20.0
5,450
1,000
15.5
-98
-30
65
937
-125
13.3
812
22.8
-15
0
797
5,418
21.4
4,442
976
18.0
-74
18
49
970
-126
13.0
843
33.2
12
0
855
18,658
21.4
15,750
2,908
15.6
-312
-164
134
2,566
-300
11.7
2,266
44.3
3.2
0
2,269
22,264
19.3
18,676
3,588
16.1
-374
-107
205
3,311
-455
13.8
2,856
26.0
0.0
65
2,921
Amnish Aggarwal (AmnishAggarwal@MotilalOswal.com) Tel: +91 22 39825404
29 December 2006
126

Results Preview
SECTOR: FMCG
GlaxoSmithKline Consumer
STOCK INFO.
BLOOMBERG
REUTERS CODE
BSE Sensex: 13,787 SKB IN
S&P CNX: 3,966
GLSM.BO
29 December 2006
Previous Recommendation: Buy
Buy
Rs557
EPS
P/E
(X)
P/BV
(X)
ROE
(%)
ROCE
(%)
EV/
EV/
SALES EBITDA
EPS
(RS) GROWTH (%)
Equity Shares (m)
52-Week Range
1,6,12 Rel. Perf. (%)
M.Cap. (Rs b)
M.Cap. (US$ b)
45.4
728/403
0/-20/-47
25.3
0.6
YEAR
END
NET SALES
(RS M)
PAT
(RS M)
12/06E
11,263
1,260
1,503
1,729
30.0
35.7
41.1
17.6
19.2
15.1
18.6
15.6
13.6
4.2
3.6
3.1
22.7
23.2
22.9
35.0
35.7
35.4
1.8
1.5
1.3
9.8
8.1
6.7
12/07E 12,375
12/08E 13,578
?
We expect GSK Consumer to register sales of Rs2.8b in 4QCY06 against 2.4b in 4QCY05, a growth of 15% YoY.
Strong volume growth, prices increase by 2% in 4Q will be the growth drivers.
EBITDA margins are expected to decline by 70bp in 4QCY06 primarily due to higher prices of milk and sugar,
despite improvement in pricing power.
GSK is expected to report PAT of Rs244m in 4QCY06 against Rs214m in 4QCY05, a growth of 13.9% YoY, driven
by strong volume growth and decline in tax rates.
The stock is currently trading at 18.6x CY06E earnings and 15.6x CY07E earnings. We maintain
Buy.
?
?
?
QUARTERLY PERFORMANCE
Y/E DECEMBER
1Q
2Q
CY05
3Q
4Q
1Q
2Q
CY06
3Q
4QE
CY05
(RS MILLION)
CY06E
Net Sales
YoY Change (%)
Total Exp
EBITDA
Margins (%)
Depreciation
Interest
Other Income
PBT
Tax
Rate (%)
PAT
YoY Change (%)
E: MOSt Estimates
2,230
6.2
1,801
429
19.2
-103
-10
60
376
-112
29.8
264
41.0
2,428
15.5
1,936
492
20.3
-101
-11
60
441
-149
33.9
291
56.4
2,587
10.1
2,049
538
20.8
-108
-12
47
465
-162
35.0
302
34.2
2,424
14.7
2,041
383
15.8
-107
80
-13
343
-129
37.5
214
71.8
2,769
24.2
2,189
580
20.9
-104
-8
72
540
-196
36.2
345
30.7
2,688
10.7
2,157
531
19.8
-105
-9
72
490
-181
37
309
6.1
3,015
16.5
2,486
528
19.5
-109
-10
139
548
-185
33.8
362
19.9
2,791
15.1
2,370
421
15.1
-105
-8
22
329
-85
25.8
244
13.9
9,668
12.1
7,827
1,842
19.1
-419
47
154
1,624
-553
34.0
1,072
48.2
11,263
16.5
9,202
2,060
18.3
-423
-35
304
1,906
-646
33.9
1,260
17.6
Amnish Aggarwal (AmnishAggarwal@MotilalOswal.com) Tel: +91 22 39825404
29 December 2006
127

Results Preview
SECTOR: FMCG
Godrej Consumer Products
STOCK INFO.
BLOOMBERG
REUTERS CODE
BSE Sensex: 13,787 GCPL IN
S&P CNX: 3,966
GOCP.BO
29 December 2006
Previous Recommendation: Neutral
Neutral
Rs150
P/E
(X)
P/BV
(X)
ROE
(%)
ROCE
(%)
EV/
EV/
SALES EBITDA
EPS
EPS
(RS) GROWTH (%)
Equity Shares (m)
52-Week Range
1,6,12 Rel. Perf. (%)
M.Cap. (Rs b)
M.Cap. (US$ b)
226.4
200/122
-5/-36/-33
34.0
0.8
YEAR
END
NET SALES
(RS M)
PAT
(RS M)
3/06A
3/07E
3/08E
6,997
9,366
10,947
1,193
1,428
1,965
5.3
6.3
8.7
44.3
19.7
37.5
28.4
23.7
17.2
43.1
30.8
22.3
151.6
129.6
129.1
89.3
88.1
100.2
4.9
3.6
3.0
24.3
18.7
14.0
?
GCPL is expected to report growth of 56.7% YoY in 3QFY07 driven by strong growth in Toiletries and Soaps and
benefits of Rapidol and Keyline acquisitions.
EBITDA margins are expected to decline by 220bp due to lower margins in the acquired businesses of Keyline and
Rapidol. We expect soap margins to reflect sequential improvement due to 6-8% price increase affected from
1 November 2006.
We expect Toiletries business to report yet another quarter of high double digit growth due to volume growth in
Cinthol Talc, Snuggy and Deluxe shaving cream in the VFM segment.
We expect the company to report PAT of Rs.460m, a growth of 27.4% YoY despite 770bp increase in tax rate to
16.2%.
The stock is currently trading at 28.4x FY06E consolidated earnings; 23.7x FY07E consolidated earnings and 17.2x
FY08E consolidated earnings. We maintain
Neutral.
(RS MILLION)
FY06
1Q
2Q
3Q
4Q
1Q
2Q
FY07
3QE
4QE
FY06
FY07E
?
?
?
?
QUARTERLY PERFORMANCE (STANDALONE)
Y/E MARCH
Net Sales
YoY Change (%)
Total Exp
EBITDA
Margins (%)
Depreciation
Interest
Other Income
PBT
Tax
Rate (%)
PAT
YoY Change (%)
Extraordinary Expenses
Reported PAT
E: MOSt Estimates
1,677
22.8
1,346
331
19.7
-27
-9
3
298
-27
9.0
271
56.6
0
271
1,571
17.1
1,300
271
17.2
-27
-9
60
295
-17
8.0
278
59.6
0
278
1,691
10.2
1,287
404
23.9
-27
-11
29
395
-34
8.5
361
38.8
0
361
1,641
18.5
1,285
356
21.7
-26
-12
7
325
-28
8.7
297
17.3
5
302
2,376
41.7
1,955
421
17.7
-31
-18
8
381
-53
13.9
328
21.0
13
341
2,318
47.6
1,922
397
17.1
-31
-26
28
369
-59
15.9
310
11.5
0
310
2,650
56.7
2,075
575
21.7
-35
-9
18
549
-89
16.2
460
27.4
0
460
2,021
23.2
1,636
386
19.1
-42
-17
10
337
6
-1.6
342
15.3
0
342
6,997
24.4
5,585
1,412
20.2
-115
-69
77
1,306
-113
8.6
1,193
43.9
20
1,213
9,366
33.9
7,588
1,778
19.0
-138
-69
53
1,623
-195
12.0
1,428
19.7
0
1,428
Amnish Aggarwal (AmnishAggarwal@MotilalOswal.com) Tel: +91 22 39825404
29 December 2006
128

Results Preview
SECTOR: FMCG
Hindustan Lever
STOCK INFO.
BLOOMBERG
REUTERS CODE
BSE Sensex: 13,787 HLVR IN
S&P CNX: 3,966
HLL.BO
29 December 2006
Previous Recommendation: Buy
Buy
Rs217
EPS
P/E
(X)
P/BV
(X)
ROE
(%)
ROCE
(%)
EV/
EV/
SALES EBITDA
EPS*
(RS) GROWTH (%)
Equity Shares (m)
52-Week Range
1,6,12 Rel. Perf. (%)
M.Cap. (Rs b)
M.Cap. (US$ b)
2,201.2
296/180
-9/-35/-37
476.7
10.8
YEAR
END
NET SALES
(RS M)
PAT*
(RS M)
12/06E 123,481
12/07E 137,390
12/08E 152,055
* Pre-exceptionals
15,558
19,207
23,384
7.1
8.7
10.6
18.7
23.5
14.0
31.1
25.2
20.4
18.0
15.6
12.5
57.9
61.9
61.4
71.2
75.9
75.0
3.7
3.3
2.8
26.5
21.2
17.0
?
?
?
?
?
We expect HLL to report 14.3% YoY increase in sales for 4QCY06 to Rs34b. Home and Personal Care will be the
main growth drivers for the company with Detergents and Personal Care leading the growth momentum.
EBITDA margins are expected to increase by 80bp, on the back of 120bp increase in margins during 9mCY06. The
margin expansion factors in 5-8% increase in Toilet Soap prices and 3-5% Detergent price increase from 1 November
2006, partly neutralizing the impact of rise in prices of LAB, Palm Oil and media cost inflation.
Adjusted PAT at Rs4.95b is expected to grow 14.8% YoY. For CY06, sales and PAT are expected to show an
increase of 11.6% and 18.7% on the back of 100bp margin expansion.
HLL has emerged stronger in the recent past and it appears that management confidence is on a high from the rising
number of product and brand launches in each quarter. Management expects the company to benefit immensely from
the rising influence of modern trade, the benefits of which would start accruing to the company after 1-2 years.
HLL has been one of the biggest underperformers due to lower-than-expected increase in EBITDA margin expansion
and rich valuations. We believe that current valuations factor in all the negatives and hence downside from current
levels will likely be limited. The stock is currently trading at 31.1x CY06E earnings and 25.2x CY07E earnings. We
maintain
Buy.
(RS MILLION)
CY05
1Q
2Q
3Q
4Q
1Q
2Q
CY06
3Q
4QE
CY05
CY06E
QUARTERLY PERFORMANCE
Y/E DECEMBER
Net Sales (incl service inc)
YoY Change (%)
Total Expenditure
EBITDA
YoY Change (%)
Margins (%)
Depreciation
Interest
Other Income
PBT
Tax
Rate (%)
Adjusted PAT
YoY Change (%)
Extraordinary Inc/(Exp)
Reported Profit
YoY Change (%)
E: MOSt Estimates
25,064
6.5
22,629
2,435
-32.4
9.7
-310
-46
746
2,826
-606
21.4
2,220
-22.7
283
2,503
-17.4
28,363
10.3
24,906
3,457
8.4
12.2
-318
-56
794
3,877
-872
22.5
3,005
17.2
-188
2,817
15.2
27,315
13.8
23,872
3,444
1.7
12.6
-325
-48
849
3,920
-666
17.0
3,254
15.2
6
3,260
0.5
29,743
14.4
24,925
4,818
14.7
16.2
-316
-36
642
5,108
-796
15.6
4,312
20.3
897
5,209
56.1
27,981
11.6
24,675
3,306
35.8
11.8
-339
-21
694
3,640
-655
18.0
2,985
34.5
1,444
4,429
77.0
30,832
8.7
26,686
4,146
19.9
13.4
-301
-34
814
4,625
-833
18.5
3,793
26.2
13
3,806
35.1
30,660
12.2
26,631
4,029
17.0
13.1
-320
-34
968
4,643
-812
17.5
3,830
17.7
1,377
5,208
59.8
34,008
14.3
28,211
5,797
20.3
17.0
-360
-31
694
6,099
-1,150
18.8
4,950
14.8
-775
4,175
-19.8
110,605
11.4
96,172
14,433
0.4
13.0
-1,245
-192
3,048
16,045
-2,940
18.3
13,105
10.6
976
14,081
17.6
123,481
11.6
106,204
17,277
19.7
14.0
-1,320
-120
3,170
19,007
-3,450
18.1
15,558
18.7
2,060
17,618
25.1
Amnish Aggarwal (AmnishAggarwal@MotilalOswal.com) Tel: +91 22 39825404
29 December 2006
129

Results Preview
SECTOR: FMCG
ITC
STOCK INFO.
BLOOMBERG
REUTERS CODE
BSE Sensex: 13,787 ITC IN
S&P CNX: 3,966
ITC.BO
29 December 2006
Previous Recommendation: Buy
Buy
Rs176
EPS
P/E
(X)
P/BV
(X)
ROE
(%)
ROCE
(%)
EV/
EV/
SALES EBITDA
EPS*
(RS) GROWTH (%)
Equity Shares (m)
52-Week Range
1,6,12 Rel. Perf. (%)
M.Cap. (Rs b)
M.Cap. (US$ b)
3,755.2
213/138
-5/-33/-23
660.7
14.9
YEAR
END
NET SALES
(RS M)
PAT*
(RS M)
3/06A
3/07E
3/08E
97,905
122,081
145,191
22,803
27,535
32,939
6.1
7.3
8.8
24.1
20.8
19.6
29.0
24.0
20.1
7.3
6.3
5.5
25.2
26.4
27.3
34.6
36.6
38.0
6.3
5.0
4.2
18.5
15.7
13.0
* Pre-exceptionals
?
We expect ITC to deliver 24% YoY growth in revenues in 3QFY07 driven by strong growth momentum in all its
businesses.
EBITDA margins are expected to decline by 250bp YoY to 31.9% in 3QFY07 mainly due to rising sales proportion of
lower-margin and loss-making businesses.
We expect Cigarette business to maintain growth momentum during the current quarter with double digit sales
growth. Hotels are expected to post 25% topline growth with 500bp margin expansion.
New FMCG businesses are likely to report 65% topline growth with 20% increase in losses. Paper business is
expected to report 200bp margin expansion due to benefits from captive power and rising sales proportion of higher
value added items in total sales volume.
Reported PAT is expected to increase by 20.8% on YoY basis to Rs6,915m.
The stock is currently trading at 24x FY07E earnings and 20.1x FY08E earnings. We recommend
Buy.
Imposition of
more than 4% VAT on cigarettes is the key risk to our recommendation.
(RS MILLION)
FY06
1Q
2Q
3Q
4Q
1Q
2Q
FY07
3QE
4QE
FY06
FY07E
?
?
?
?
?
QUARTERLY PERFORMANCE
Y/E MARCH
Net Sales
YoY Change (%)
Total Exp
EBITDA
Margins (%)
Depreciation
Interest
Other Income
PBT
Tax
Rate (%)
Reported PAT
YoY Change (%)
Extraordinary Inc/(Exp)
Adjusted PAT
YoY Change (%)
E: MOSt Estimates
22,669
24.7
14,401
8,268
36.5
-801
-11
845
8,301
-2,718
32.7
5,583
20.1
0
5,583
20.1
21,832
22.2
13,633
8,198
37.6
-830
3
781
8,152
-2,429
29.8
5,723
17.3
0
5,723
17.3
25,560
37.5
16,777
8,783
34.4
-831
-15
489
8,426
-2,603
30.9
5,823
24.8
454
5,368
15.0
27,845
27.9
19,768
8,077
29.0
-862
-188
785
7,811
-2,138
27.4
5,674
35.9
-4
5,678
-26.4
28,498
25.7
18,792
9,706
34.1
-876
-7
849
9,672
-3,149
32.6
6,523
16.8
0
6,523
16.8
28,876
32.3
19,149
9,727
33.7
-910
-35
795
9,578
-2,782
29.0
6,796
18.7
0
6,796
18.7
31,695
24.0
21,600
10,095
31.9
-900
-6
900
10,089
-3,050
30.2
7,039
23.0
0
7,039
31.1
33,012
18.6
23,301
9,712
29.4
-916
23
1,179
9,998
-2,820
28.2
7,177
23.3
0
7,177
33.7
97,905
28.2
64,579
33,326
34.0
-3,323
-211
2,899
32,691
-9,888
30.2
22,803
24.1
450
22,353
2.0
122,081
24.7
82,841
39,240
32.1
-3,602
-25
3,723
39,336
-11,801
30.0
27,535
20.8
0
27,535
23.2
Amnish Aggarwal (AmnishAggarwal@MotilalOswal.com) Tel: +91 22 39825404
29 December 2006
130

Results Preview
SECTOR: FMCG
Marico
STOCK INFO.
BLOOMBERG
REUTERS CODE
BSE Sensex: 13,787 MRCO IN
S&P CNX: 3,966
MRCO.BO
29 December 2006
Previous Recommendation: Buy
Buy
Rs540
EPS
P/E
(X)
P/BV
(X)
ROE
(%)
ROCE
(%)
EV/
EV/
SALES EBITDA
EPS
(RS) GROWTH (%)
Equity Shares (m)
52-Week Range
1,6,12 Rel. Perf. (%)
M.Cap. (Rs b)
M.Cap. (US$ b)
58.0
586/330
-2/-9/0
31.3
0.7
YEAR
END
NET SALES
(RS M)
PAT
(RS M)
3/06A
3/07E
3/08E
11,439
14,657
17,022
1,044
1,331
1,684
18.0
23.0
29.0
48.7
27.6
26.5
30.0
23.5
18.6
12.0
9.9
7.3
39.9
42.0
39.3
20.8
37.5
44.0
2.9
2.2
1.9
22.9
14.2
11.5
?
?
We expect Marico to report sales of Rs.3.65b in 3QFY07 against Rs3.03b in 3QFY06, a growth of 20% YoY.
Contribution from Nihar acquisition, rising sales growth momentum in Kaya Skin care and growth momentum in
Parachute and Saffola are likely to be key drivers.
EBITDA margins are expected to be 16.4% for 3QFY07 against 15.6% in 3QFY06. This margin expansion will be
sharply lower than earlier quarters as the anniversary impact of lower copra prices ends.
PAT is expected to be Rs.385m in 3QFY07 against Rs.359m in 3QFY06, a growth of 7.2% YoY, as higher interest,
amortization and tax rate drag profit growth.
Marico recently completed Rs1.5b QIP at a price of Rs522. The company plans to finance the Fiancée acquisition
and write off intangibles from this amount. Fiancée acquisition is EPS accretive, as the company has 20% PAT
margin.
The stock is currently trading at 30x FY06E earnings, 23.5x FY07E earnings and 18.6x FY08E earnings. We maintain
Buy.
(RS MILLION)
FY06
1Q
2Q
3Q
4Q
1Q
2Q
FY07
3QE
4QE
FY06
FY07E
?
?
?
?
QUARTERLY PERFORMANCE
Y/E MARCH
Net Sales
YoY Change (%)
Total Exp
EBITDA
Margins (%)
Depreciation
Interest
Other Income
PBT
Tax
Rate (%)
Adjusted PAT
YoY Change (%)
Exceptional Items
Reported PAT
E: MOSt Estimates
2,708
11.0
2,412
296
10.9
-65
-8
18
241
-33
13.7
208
27.4
-24
184
2,750
7.6
2,448
302
11.0
-77
-6
8
227
-24
10.6
203
30.1
0
203
3,038
17.0
2,563
474
15.6
-71
-13
8
398
-39
9.8
359
98.7
-140
219
2,977
18.9
2,613
364
12.2
-84
-23
2
258
-7
2.7
251
50.2
-12
240
3,728
37.7
3,165
563
15.1
-112
-48
11
414
-111
26.8
303
45.7
0
303
3,780
37.5
3,174
605
16.0
-127
-57
1
422
-116
27.5
306
50.7
-45
261
3,650
20.2
3,050
600
16.4
-100
-50
25
475
-90
18.9
385
7.2
0
385
3,499
17.6
2,957
543
15.5
-89
-51
21
424
-87
20.4
338
34.3
0
338
11,439
13.6
9,997
1,443
12.6
-307
-64
49
1,121
-77
6.9
1,044
51.4
-174
870
14,657
28.1
12,346
2,311
15.8
-427
-206
57
1,735
-403
23.3
1,331
27.5
0
1,331
Amnish Aggarwal (AmnishAggarwal@MotilalOswal.com) Tel: +91 22 39825404
29 December 2006
131

Results Preview
SECTOR: FMCG
Nestle India
STOCK INFO.
BLOOMBERG
REUTERS CODE
BSE Sensex: 13,787 NEST IN
S&P CNX: 3,966
NEST.BO
29 December 2006
Previous Recommendation: Neutral
Neutral
Rs1,136
P/E
(X)
P/BV
(X)
ROE
(%)
ROCE
(%)
EV/
EV/
SALES EBITDA
EPS
EPS
(RS) GROWTH (%)
Equity Shares (m)
52-Week Range
1,6,12 Rel. Perf. (%)
M.Cap. (Rs b)
M.Cap. (US$ b)
96.4
1,348/800
3/-16/-25
109.6
2.5
YEAR
END
NET SALES
(RS M)
PAT
(RS M)
12/06E 27,648
12/07E 30,745
12/08E 34,420
3,438
4,244
5,123
35.7
44.0
53.1
4.5
23.5
20.7
27.1
22.0
23.0
25.4
21.6
14.1
54.0
58.4
61.5
79.8
82.1
86.6
3.6
3.2
3.3
16.5
13.7
14.6
* excluding extraordinary items and provisions
?
Nestle is expected to report net sales growth of 10% YoY in 4QCY06. Domestic revenues will be the major growth
driver during the quarter.
EBITDA margins at 20% are expected to increase by 100bp YoY. Higher coffee, sugar, wheat and milk prices are
expected to be a major drag on the company’ operating margins, as the company had passed on entire excise benefit
s
to the consumer.
PAT is expected to increase 24.7% YoY to Rs972m, despite 90bp higher tax rate, due to the low base effect, as
4QCY05 had shown 14% decline in adjusted PAT.
Sales and PAT for CY06 is expected to show 11.6% and 4.5% increase to Rs27.6b and Rs3.4b respectively.
We expect forthcoming quarters to remain challenging for the company due to strong raw material prices although
reported profits and margins will start improving due to low base effect from 4QCY06. The stock is currently trading
27.1x CY06E earnings and 22x CY07E earnings. We maintain
Neutral.
(RS MILLION)
CY05
1Q
2Q
3Q
4Q
1Q
2Q
CY06
3Q
4QE
CY05
CY06E
?
?
?
?
QUARTERLY PERFORMANCE
Y/E DECEMBER
Net Sales
Total Exp
EBITDA
Margins (%)
Depreciation
Interest
Other Income
PBT
Tax
Rate (%)
Adjusted PAT
YoY Change (%)
Extraordinary Inc/(Exp)
Reported PAT
YoY Change (%)
E: MOSt Estimates
6,135
-4,748
1,387
22.6
-126
-1
69
1,329
-476
35.8
853
9.7
-73
781
21.2
6,158
-4,778
1,380
22.4
-149
0
80
1,311
-428
32.6
883
80.8
-55
828
52.7
6,248
-4,970
1,278
20.5
-156
0
57
1,179
-386
32.7
793
23.3
-47
746
8.4
6,228
-5,047
1,181
19.0
-154
0
58
1,085
-305
28.1
780
-14.0
-38
742
-3.0
6,759
-5,394
1,365
20.2
-157
0
50
1,258
-499
39.6
760
-11.0
127
886
13.5
6,812
-5,530
1,282
18.8
-161
-2
146
1,265
-421
33.3
844
-4.4
-34
810
-2.1
7,227
-5,802
1,425
19.7
-168
0
47
1,303
-431
33.1
872
9.9
-42
830
11.3
6,849
-5,424
1,425
20.0
-145
0
80
1,360
-388
28.5
972
24.7
-272
700
-5.6
24,769
-19,549
5,220
19.7
-568
-2
237
4,887
-1,595
32.6
3,293
17.2
-197
3,096
22.9
27,647
-22,150
5,497
19.0
-630
-14
323
5,176
-1,739
33.6
3,436
4.4
-221
3,215
3.9
Amnish Aggarwal (AmnishAggarwal@MotilalOswal.com) Tel: +91 22 39825404
29 December 2006
132

Results Preview
SECTOR: FMCG
Tata Tea
STOCK INFO.
BLOOMBERG
REUTERS CODE
BSE Sensex: 13,787 TT IN
S&P CNX: 3,966
TTTE.BO
29 December 2006
Previous Recommendation: Neutral
Neutral
Rs720
P/E
(X)
P/BV
(X)
ROE
(%)
ROCE
(%)
EV/
EV/
SALES EBITDA
EPS*
EPS
(RS) GROWTH (%)
Equity Shares (m)
52-Week Range
1,6,12 Rel. Perf. (%)
M.Cap. (Rs b)
M.Cap. (US$ b)
56.0
1,047/560
-1/-36/-71
40.3
0.9
YEAR
END
NET SALES
(RS M)
PAT*
(RS M)
3/06A
3/07E
3/08E
31,239
34,217
35,636
2,919
3,268
3,606
51.9
58.3
64.4
13.8
9.6
10.3
13.5
12.3
11.2
2.3
2.0
1.8
17.0
16.4
15.9
16.1
16.9
17.4
1.6
1.4
1.2
8.6
7.8
7.0
* Pre-exceptionals
?
Tata Tea is expected to report sales of Rs.9.9b in 3QFY07, a growth of 22% YoY with domestic markets and Eight
O’ Clock adding to the growth numbers.
EBITDA margins are expected to increase by 30bp to 17.7% in 3QFY07 as Eight O’ Clock coffee has higher
margins than the earlier operations of Tata Tea.
We expect adjusted PAT to increase by 2.6% to Rs742m in 3QFY07 against Rs727m in 3QFY06.
The numbers do not include the full impact of Glaceau and Eight O’ Clock acquisition on the interest burden and
consolidation.
The stock is currently trading at 13.5x FY06E earnings, 12.3x FY07E earnings and 11.2x FY08E earnings. We
believe that the uncertainty of Glaceau numbers is the key to stock performance in the medium term. We maintain
Neutral.
(RS MILLION)
FY06
1Q
2Q
3Q
4Q
1Q
2Q
FY07
3QE
4QE
FY06
FY07E
?
?
?
?
QUARTERLY PERFORMANCE
Y/E MARCH
Net Sales
YoY Change (%)
Total Exp
EBITDA
Margins (%)
Depreciation
Interest
Other Income
PBT
Tax
Rate (%)
PAT
YoY Change (%)
Adjusted PAT
YoY Change (%)
Extraordinary Gains
Reported PAT
YoY Change (%)
E: MOSt Estimates
7,167
1.5
5,785
1,382
19.3
-178
-260
26
970
-326
33.6
645
15.8
625
14.6
239
864
57.3
7,788
3.0
6,173
1,616
20.7
-184
-244
190
1,379
-384
27.9
995
35.5
37
1,032
35.5
-20
1,012
32.9
8,117
0.7
6,701
1,416
17.4
-187
-283
3
950
-223
23.5
727
-10.2
-3
723
-2.2
-123
601
-27.1
8,167
3.2
6,956
1,211
14.8
-210
-237
50
814
-246
30.2
568
7.7
-3
565
9.1
0
565
2,710
7,989
11.5
6,412
1,577
19.7
-202
-274
75
1,175
-322
27.4
853
32.3
-34
819
31.0
-18
801
-7.3
9,740
25.1
7,938
1,801
18.5
-258
-472
210
1,282
-268
20.9
1,014
2.0
57
1,071
3.8
870
1,941
91.8
9,900
22.0
8,150
1,750
17.7
-260
-520
15
985
-240
24.4
745
2.5
-3
742
2.6
0
742
23.5
6,588
-19.3
6,956
821
12.5
-60
494
-24
1,232
-525
42.6
707
24.4
-70
636
12.6
0
636
12.6
31,239
2.1
25,615
5,625
18.0
-758
-1,024
269
4,111
-1,179
28.7
2,933
11.6
-14
2,919
13.8
73
2,992
38.8
34,217
9.5
28,268
5,949
17.4
-780
-771
276
4,673
-1,355
29.0
3,318
13.1
-50
3,268
12.0
0
3,268
9.2
Minority Interest/ Share of Associate -20
Amnish Aggarwal (AmnishAggarwal@MotilalOswal.com) Tel: +91 22 39825404
29 December 2006
133

Results Preview
QUARTER ENDED DECEMBER 2006
Information Technology
BSE Sensex: 13,787
S&P CNX: 3,966
29 December 2006
COMPANY NAME
PG.
Geometric Software
HCL Technologies
Hexaware Technologies
i-flex solutions
Infosys
Infotech Enterprises
KPIT Cummins
MphasiS
Patni Computer
Sasken Communication
Satyam Computer
TCS
Tech Mahindra
Wipro
140
141
142
143
144
Robust recruitment numbers indicate strong volume growth
We expect strong volume growth numbers in 3QFY07, despite the third quarter having
lesser working days due to the holiday season in the US and Europe. Recruitment figures
in 1HFY07 also indicate strong volume growth in 2HFY07; the first half of FY07 saw
robust employee addition across the sector, with the top 4 players alone adding a net of
38,300 employees.
EMPLOYEES
145
9,000
146
147
148
Wipro
Inf osys
Satyam
TCS
7,741
6,838
6,750
5,694
4,710
5,328
4,025
4,500
149
150
151
2,841
2,250
1,123
0
152
153
* For Wipro, it includes only Global IT services, for Satyam it reflects unconsolidated numbers
Source: Company/Motilal Oswal Securities
1Q
2Q
EXPECTED QUARTERLY PERFORMANCE SUMMARY (YOY)
RECO
DEC.06
SALES
CHG. (%)
DEC.06
EBITDA
CHG. (%)
(RS MILLION)
NET PROFIT
DEC.06
CHG. (%)
Information Technology
Geometric Software
Hexaware
HCL Technologies
i-flex solutions
Infosys
Infotech Enterpr
KPIT Cummins Inf
MphasiS
Patni Computer
Sasken Comm
Satyam Computer
TCS
Tech Mahindra
Wipro
Sector Aggregate
Buy
Buy
Neutral
Neutral
Buy
Buy
Buy
Neutral
Neutral
Buy
Neutral
Buy
Buy
Buy
853
2,366
14,707
5,870
36,916
1,383
1,223
3,089
6,926
1,389
17,089
47,725
7,690
38,228
185,454
6.7
5.2
6.6
17.2
7.0
5.3
7.2
5.8
-0.6
18.2
6.7
6.5
10.2
8.8
7.3
164
383
3,212
1,311
11,906
272
197
551
1,349
233
3,858
13,153
1,824
8,668
47,080
8.8
6.2
7.5
35.1
7.4
-4.1
9.9
13.5
-5.1
9.1
6.4
7.0
10.9
5.2
7.1
106
367
2,543
1,104
9,936
191
132
364
953
133
3,395
10,654
1,576
7,208
38,662
5.1
5.9
1.7
37.3
7.0
-5.7
7.1
55.5
-6.9
11.7
6.1
7.5
10.1
3.5
6.6
Sandeep R Shah (srshah@MotilalOswal.com); Tel: +91 22 3982 5405 / Diviya Nagarajan
(Dnagarajan@MotilalOswal.com);
Tel: +91 22 3982 5428
29 December 2006
134

Information Technology
Some of the smaller players in our coverage universe are likely to face some setbacks in
organic volume growth due to lesser working days, budgeting exercise of clients and high
client concentration.
Sharp rupee appreciation could put estimates at risk
The rupee has appreciated sharply during the quarter, rising to Rs44.7 against the dollar
(18 December 2006) from Rs45.8 at the end of 2QFY07, an appreciation of 2.4%.
CURRENCY MOVEMENT: RUPEE VS US$
47
Rupee Vs. USD
46
45
44
43
Source: OANDA
The revised guidance by Infosys assumes a rupee dollar rate of Rs45.6 for the full year
FY07, which implies average rupee-dollar rate of around Rs45.2 in 2HFY07. With the
rupee already at Rs44.7 (average of Rs45.03 till 18 December 2006), any further significant
rupee appreciation below Rs44.5 could impact our estimates adversely. We believe that
industry leaders will build concerns over further rupee appreciation into their guidance in
the form of revised rupee dollar rate for FY07.
No immediate concerns over US slowdown, clarity to emerge in Jan-Feb
Our interaction with industry suggests that there are no immediate concerns over a possible
slowdown in the US economy. Industry players are currently not expecting any cut in IT
spending by clients in the US and are optimistic about greater outsourcing from these
clients as a result of proactive solicitation of business in the new service lines. The recent
US$1b deal awarded by BT Group to Tech Mahindra is an encouraging sign for the Indian
IT services sector, which could now see more such deals in the future. However, industry
leaders are more wary of the weak US economic growth numbers. While there are no
signs of slowdown in IT spending in the US at present, the extent of slowdown going
forward will determine billing rate changes and the pace of project ramp-ups. Despite
likely slowdown, players are confident of sector growth at 25%-30% even on a higher
base. We believe that finalization of the budgets in January-February 2007 will indicate
the trend in IT spending in the forthcoming year.
29 December 2006
135

Information Technology
No clear pricing seen – short-term gains likely fallout of better service mix
We believe most of the price hikes achieved by Indian IT vendors are a result of improvement
in the service mix. While Satyam, TCS and Wipro are witnessing 3-5% hikes in price
renegotiation with many existing clients, Infosys is witnessing billing rate increase of just
1-2% in a small portion of the existing business renegotiation. Industry leader Infosys
believes that the near-term billing rate increase will only result from a change in services
mix and like-to-like billing rate increase should still not be viewed as a trend. We believe
that any significant concerns of a slowdown in the US economy could result into pricing
discount going forward.
Players with greater exposure to Euro and GBP tend to gain this quarter
While the rupee has appreciated by 2.4% against the dollar (until 18 December 2006), it
has depreciated by 1.9% and 1% (to 18 December 2006) against the GBP and the Euro
respectively. The quarter average depreciation for the GBP and Euro until date stands at
1.2% and 2% respectively compared with 2.8% appreciation against the dollar over the
same period.
CURRENCY MOVEMENT: RUPEE VS EURO & POUND
92
GBP (£) - LHS
89
86
83
80
EURO (€) - RHS
62
59
56
53
50
Source: OANDA
Players with greater exposure to the Euro and GBP (Tech Mahindra, Infotech Enterprises)
therefore, would be impacted to a lesser extent by rupee appreciation.
Utilization rates, high growth in Europe, subsidiary performance are likely
margin positives
While appreciation of the rupee against major currencies would drag margins down during
the quarter, we expect the impact to be cushioned by the presence of margin levers such
as utilization rates, greater growth in higher margin business from Europe and improvement
in subsidiary profitability. Utilization rates are likely to improve in the second half of the
year as freshers complete their training and become billable. Fresher addition is lower in
the second half, which would also push up utilization levels across the sector.
29 December 2006
136

Information Technology
UTILIZATION LEVEL
85
Infosys
80
TCS
Wipro
Satyam
75
70
65
Jun-05
Sep-05
Dec-05
Mar-06
Jun-06
Sep-06
Source: Company/Motilal Oswal Securities
In addition to utilization rates, faster growth in business from Europe (a phenomenon
witnessed over the past few quarters), where the margins are higher is also likely to offset
margin fall due to appreciation in the rupee. For players such as Infosys and Satyam, we
expect that improvement in profitability of subsidiaries would also contribute to arresting
the fall in margins. Players such as Infosys and TCS, which completed salary hikes in
1QFY07, are likely to show small increases in margins due to the above reasons despite
sharp appreciation in the rupee. However companies like Wipro and Satyam that will offer
salary hikes/witness RSU charges in 3QFY07 will witness higher margin pressure.
Valuation and view
Due to the recent ADS issue and the resultant inclusion of Infosys in the NASDAQ 100
index, the stock has run up considerably over the past quarter. The stock is currently
trading at 25.6x FY08E which may not offer any significant upside in the near term.
However, we continue to remain positive over long term growth considering better earnings
visibility. Wipro and TCS, at current valuations (24.1x and 22.9x FY08E respectively), still
offer room for upside in the near term. We are positive on
Wipro
and
TCS
also considering
their diversified service portfolio, high margin levers and resulting higher earnings visibility.
Amongst the mid caps, we prefer
Sasken
and
Subex
as product plays, while we prefer
Infotech Enterprises
and
Geometric
in the services space.
29 December 2006
137

Information Technology
KEY INDUSTRY METRICS
FY06
1Q
2Q
3Q
4Q
1Q
FY07
2Q
3QE
4QE
Services Revenue (INR m)
TCS (Consolidated)
Wipro (Global IT Business)
Infosys (Consolidated)
Satyam (Consolidated)
HCL Tech. (Consolidated)*
Net Profit (INR m)
TCS (Consolidated)
Wipro (Consolidated)
Infosys (Consolidated)
Satyam (Consolidated)
HCL Tech. (Consolidated)
EBITDA Margin (%)
TCS (Consolidated)
Wipro (Global IT Business)
Infosys (Consolidated)
Satyam (Consolidated)
HCL Tech. (Consolidated)
Volumes Growth (%)
Wipro (Global IT Services only)
Infosys (Consolidated)
Satyam (Unconsolidated)
Recruitment
Wipro (Global IT Services only) 2,097
Infosys (Consolidated)
Satyam (Unconsolidated)
Utilization Rates (%)
Wipro (Global IT Services only)
Infosys (Consolidated)
Satyam (Unconsolidated)#
Wipro (Global IT Serv. only)
Infosys - Consolidated
Satyam (Unconsolidated)
Wipro (Global IT Ser Only)
Infosys - Consolidated
Satyam (Unconsolidated)
Wipro (Global IT Serv. only)
Infosys (Consolidated)
Satyam (Unconsolidated)
Wipro (Global IT Serv. only)
Infosys (Consolidated)
Satyam (Unconsolidated)
72.3
74.1
74.2
70.3
72.9
74.7
67.6
70.0
74.3
69.9
69.7
72.2
71.8
71.1
71.2
68.9
67.5
71.1
69.5
69.0
73.0
70.5
69.5
73.5
3,056
1,341
4,575
6,390
1,977
3,770
3,226
950
1,029
3,293
3,079
2,841
5,694
1,123
5,328
7,741
4,025
3,534
5,838
1,627
2,393
3,967
2,156
6.1
5.4
9.5
11.0
10.4
8.0
12.7
7.9
6.4
7.4
6.6
6.1
5.5
7.5
7.0
7.9
11.0
10.7
9.0
10.0
9.0
7.0
8.0
7.0
29.4
31.6
32.0
22.7
22.8
28.8
27.3
32.0
23.9
22.2
28.3
28.9
34.0
24.9
22.5
26.4
27.1
31.7
25.5
22.3
24.4
27.6
29.5
24.6
22.5
27.4
26.8
32.1
22.6
21.7
27.6
26.1
32.3
22.6
21.8
28.6
26.1
33.1
22.7
22.2
6,187
4,267
5,330
1,902
1,620
6,731
4,704
6,060
2,373
1,675
7,511
5,323
6,490
2,697
1,811
7,725
5,976
6,730
2,847
1,929
8,626
6,120
8,000
3,541
2,331
9,915
6,963
9,290
3,198
2,501
10,654
7,208
9,936
3,395
2,543
11,580
7,486
10,733
3,591
2,617
27,094
17,430
20,716
10,587
9,276
29,513
18,876
22,940
11,550
9,709
34,527
21,528
25,320
12,653
10,542
37,234
22,892
26,240
13,136
11,220
41,443
24,513
30,150
14,429
12,538
44,822
27,179
34,510
16,019
13,794
47,725
28,907
36,916
17,089
14,707
49,944
30,502
39,296
17,996
15,482
Billing Rates (US$/employee p.a) Onsite
132,684 131,676 126,924 130,728
129,326 130,627 130,853 131,548
112,347 112,493 112,533 112,614
51,780
50,200
46,227
1.4
-1.7
0.1
2.2
-0.4
0.6
50,676
49,267
46,308
-0.8
1.0
0.1
-2.1
-1.9
0.2
50,640
48,655
46,328
-3.6
0.2
-
-0.1
-1.2
0.0
50,748
47,854
46,388
3.0
0.5
0.1
0.2
-1.6
0.1
131,748 132,696 132,696 132,696
133,157 134,968 134,968 134,968
112,952 113,460 113,460 113,460
51,012
49,172
46,472
0.8
1.2
0.3
0.5
2.8
0.2
50,472
50,249
46,569
0.7
1.4
0.4
-1.1
2.2
0.2
50,472
50,249
46,569
-
-
-
-
-
-
50,724
50,249
46,569
-
-
-
0.5
-
-
Billing Rates (US$/employee p.a) Offshore
Billing Rates Onsite Change (%)
Billing Rate (Offshore) Change (%)
Note: *HCL Tech’ year end is June; #
Offshore with trainees
s
29 December 2006
138

Information Technology
Stock performance and valuations
STOCK PERFORMANCE (%)
ABSOLUTE PERF
3M
1 YEAR
REL PERF TO SENSEX
3M
1 YEAR
REL PERF TO SECTOR
3M
1 YEAR
Information Technology
Geometric Software
HCL Technologies
Hexaware
i-flex solutions
Infosys
Infotech Enterpr
KPIT Cummins
MphasiS
Patni Computer
Sasken Comm.Tech
Satyam Computer
TCS
Tech Mahindra
Wipro
RELATIVE PERFORMANCE - 3 MONTH (%)
10
18
23
36
21
53
65
64
8
36
18
19
170
15
8
20
52
81
50
82
85
103
-16
43
31
43
-
30
0
7
13
25
11
42
55
53
-2
26
8
9
160
4
-39
-26
6
35
3
35
38
57
-62
-4
-16
-4
-
-16
-10
-2
3
15
1
32
45
43
-12
16
-2
-1
150
-5
-35
-22
10
39
7
39
42
61
-58
0
-11
1
-
-12
RELATIVE PERFORMANCE - 1 YEAR (%)
Sensex
123
116
109
102
95
Sep-06
Oct-06
MOSt IT Index
MOSt IT Index
150
135
120
105
90
Sensex
Nov-06
Dec-06
Dec-05
Mar-06
Jun-06
Sep-06
Dec-06
COMPARATIVE VALUATION
CMP (RS)
29.12.06
RECO
FY06
EPS (RS)
FY07E
FY08E
FY06
P/E (X)
FY07E
FY08E
EV/EBITDA
FY06
FY07E
FY08E
FY06
ROE (%)
FY07E
FY08E
Information Technology
Geometric Software
Hexaware
HCL Technologies
i-flex solutions
Infosys
Infotech Enterpr
KPIT Cummins Inf
MphasiS
Patni Computer
Sasken Comm
Satyam Computer
TCS
Tech Mahindra
Wipro
Sector Aggregate
120
200
649
1,948
2,241
321
694
303
418
536
484
1,219
1,670
605
Buy
Buy
Neutral
Neutral
Buy
Buy
Buy
Neutral
Neutral
Buy
Neutral
Buy
Buy
Buy
4.0
7.2
21.9
28.7
44.6
10.1
22.4
9.3
21.8
10.6
15.1
29.6
22.6
14.2
6.3
9.6
29.0
45.0
68.2
16.9
33.5
7.3
24.6
17.9
21.0
41.7
44.3
19.3
9.1
12.0
35.7
59.7
87.5
21.9
40.7
10.8
30.7
31.0
25.3
53.2
58.5
25.1
30.1
27.6
29.6
67.8
50.2
31.7
31.0
32.6
19.2
50.4
32.0
41.2
73.8
42.5
42.9
19.2
20.7
22.4
43.3
32.9
19.0
20.7
41.7
17.0
29.9
23.1
29.2
37.7
31.3
29.6
13.2
16.7
18.1
32.6
25.6
14.7
17.1
28.1
13.6
17.3
19.1
22.9
28.6
24.1
23.0
14.8
23.2
19.7
51.1
38.9
21.1
23.5
23.8
10.1
27.7
24.5
32.0
72.0
32.5
32.4
10.7
16.3
14.2
33.3
26.8
13.4
14.6
24.2
9.4
17.8
18.4
23.8
28.5
24.4
23.3
7.4
13.1
11.0
23.1
19.9
9.9
11.4
17.2
7.0
10.7
14.0
18.2
20.8
17.7
17.4
17.2
29.8
19.7
17.6
40.4
25.1
26.3
43.8
16.8
11.3
25.8
62.1
38.2
29.9
34.1
21.2
23.2
24.1
20.2
44.2
31.0
29.3
27.2
15.5
12.6
28.0
53.8
48.4
30.7
35.8
23.2
19.4
26.4
19.8
40.2
30.0
26.9
32.5
16.6
18.7
27.2
46.5
42.2
30.9
34.4
29 December 2006
139

Results Preview
SECTOR: INFORMATION TECHNOLOGY
Geometric Software
STOCK INFO.
BLOOMBERG
REUTERS CODE
BSE Sensex: 13,787 GMSS IN
S&P CNX: 3,966
GEOM.BO
29 December 2006
Previous Recommendation: Buy
Buy
Rs120
EPS
P/E
(X)
P/BV
(X)
ROE
(%)
ROCE
(%)
EV/
EV/
SALES EBITDA
EPS
(RS) GROWTH (%)
Equity Shares (m)
52-Week Range
1,6,12 Rel. Perf. (%)
M.Cap. (Rs b)
M.Cap. (US$ b)
61.0
135/73
4/6/-39
7.3
0.2
YEAR
END
NET SALES
(RS M)
PAT
(RS M)
3/06A
3/07E
3/08E
2,234
3,278
4,591
226
381
554
4.0
6.3
9.1
-18.9
57.0
45.4
30.1
19.2
13.2
4.8
3.4
2.8
17.2
21.2
23.2
16.4
20.4
22.3
3.0
2.2
1.6
13.7
10.7
7.4
* Excludes Modern Engineering
?
?
?
?
?
?
?
?
Our quarterly estimates do not take into account Modern Engineering. We have considered the interest cost on debt
taken for acquisition of Modern Engineering, although this will not affect our full year consolidated estimates.
We expect Geometric to post services volume growth of 7.5% QoQ in 3QFY07 and product revenue growth of 25%
QoQ.
With strong rupee appreciation and likely decline in utilisation rates due to expected employee ramp-up, margin
upsides will be limited during 3QFY07 despite a seasonally better quarter for products. We expect EBITDA margins
to improve by 40bp to 19.2% in 3QFY07.
Following the sharp appreciation of the rupee against the dollar during the quarter, we expect other income to
increase to Rs37.5m due to higher forex gain.
Net profit, which increased QoQ by 59% in 2QFY07, is expected to increase by 5.1% in 3QFY07 due to margin
pressure on account of rupee appreciation.
With Modern Engineering, we expect Geometric to register sales of Rs1,133m and PAT of Rs114m during 3QFY07
The stock is currently trading at 15.8xFY07E and 11.3x FY08E earnings estimates (including Modern Engineering
and likely dilution). Maintain
Buy.
Key issues:
Margins, attrition rates.
(RS MILLION)
FY06
1Q
2Q
3Q
4Q
1Q
2Q
FY07
3QE
4QE
FY06
FY07E
QUARTERLY PERFORMANCE
Y/E MARCH
Revenues
Q-o-Q Change (%)
Direct Expenses
Sales, General & Admin. Expenses
Operating Profit
Margins (%)
Other Income
Interest
Depreciation
PBT bef. Extra-ordinary
Provision for Tax
Rate (%)
Minority Interest
Net Income bef. Extra-ordinary
Q-o-Q Change (%)
486
-2.6
298
105
83
17.2
31
0
37
78
14
17.4
19
45
-45.1
510
5.0
299
114
98
19.1
-2
0
41
55
8
14.3
13
34
-24.5
599
17.4
314
134
151
25.2
-40
0
46
65
12
19.1
13
39
16.0
639
6.7
340
138
162
25.3
39
0
49
152
27
17.9
18
107
172.2
721
12.8
408
150
163
22.6
-29
0
49
85
10
11.8
11
63
-40.6
800
10.9
463
186
151
18.8
29
0
50
130
14
10.6
15
101
59.0
853
6.7
489
201
164
19.2
38
8
50
143
18
12.4
20
106
5.1
904
5.9
507
203
194
21.5
20
8
52
155
19
12.4
25
111
4.7
2,234
32.9
1,251
490
494
22.1
28
0
172
350
61
17.5
64
225
-18.2
3,278
46.7
1,866
740
672
20.5
57
16
201
512
61
11.9
70
381
69.6
E: MOSt Estimates; Financial estimates are without acquisition (Modern Engg).
Sandeep R Shah (srshah@MotilalOswal.com); Tel: +91 22 3982 5405 / Diviya Nagarajan
(Dnagarajan@MotilalOswal.com);
Tel: +91 22 3982 5428
29 December 2006
140

Results Preview
SECTOR: INFORMATION TECHNOLOGY
HCL Technologies
STOCK INFO.
BLOOMBERG
REUTERS CODE
BSE Sensex: 13,787 HCLT IN
S&P CNX: 3,966
HCLT.BO
29 December 2006
Previous Recommendation: Neutral
Neutral
Rs649
P/E
(X)
P/BV
(X)
ROE
(%)
ROCE
(%)
EV/
EV/
SALES EBITDA
EPS*
EPS
(RS) GROWTH (%)
Equity Shares (m)
52-Week Range
1,6,12 Rel. Perf. (%)
M.Cap. (Rs b)
M.Cap. (US$ b)
323.9
707/362
2/-1/-26
210.0
4.6
YEAR
END
NET SALES
(RS M)
PAT*
(RS M)
6/06A
6/07E
6/08E
43,882
60,263
78,669
7,732
10,335
12,640
23.9
31.3
37.5
24.2
33.7
22.3
27.1
19.4
16.2
5.2
4.4
4.1
19.7
24.1
26.4
21.0
26.7
29.9
4.4
2.9
2.2
19.7
13.2
10.1
* Before extraordinary and ESOP charges
?
We expect HCL Technologies to post 6.6% QoQ growth in consolidated revenue with BPO lagging both infrastructure
services and software services.
We expect traction in the IT and Infrastructure services to continue, however the restructuring in BPO is likely to
keep the BPO growth muted. We expect Software services to register QoQ growth of 7% with Infrastructure
services to register 7.5% growth; however BPO is expected to register only 3.5% growth.
We expect increase in EBITDA margins to be muted at 10bp due to strong rupee appreciation, lower margins in large
deals and salary hike for senior management.
We expected higher tax rate and depreciation going forward, which is likely to impact PAT growth over the next few
quarters. Net profit is expected to grow slower at 1.7%QoQ due to the above reasons.
The stock is trading at 19.4x FY07E and 16.2x FY08E earnings estimates. Maintain
Neutral.
Key issues:
Margins.
(RS MILLION)
FY06
1Q
2Q
3Q
4Q
1Q
2QE
FY07
3QE
4QE
FY06
FY07E
?
?
?
?
?
QUARTERLY PERFORMANCE
Y/E JUNE
Revenues
Q-o-Q Change (%)
Direct Expenses
Operating Profit
Margins (%)
Other Income
Depreciation
PBT bef. Extra-ordinary
Provision for Tax
Rate (%)
Share of Income from Eq. Investees
Minority Interest
PAT bef. EP & ESOP Charges
Q-o-Q Change (%)
E: MOSt Estimates
9,709
4.7
6,093
2,158
22.2
124
447
1,835
169
9.2
0
-9
1,675
3.4
10,542
8.6
6,564
1,601
2,377
22.5
143
493
2,027
203
10.0
-7
6
1,811
8.1
11,220
6.4
6,979
1,743
2,498
22.3
255
530
2,223
277
12.5
-6
11
1,929
6.5
12,538
11.7
7,946
1,777
2,815
22.5
56
562
2,309
-23
-1.0
7
8
2,331
20.8
13,794
10.0
8,709
2,098
2,987
21.7
290
556
2,721
219
8.0
4
5
2,501
7.3
14,707
6.6
9,272
2,223
3,212
21.8
210
626
2,795
252
9.0
5
6
2,543
1.7
15,482
5.3
9,715
2,331
3,436
22.2
175
653
2,957
340
11.5
5
6
2,617
2.9
16,280
5.2
10,310
2,428
3,543
21.8
175
687
3,031
356
11.8
6
7
2,675
2.2
43,882
30.5
27,571
6,582
9,729
22.2
573
1,916
8,386
632
7.5
-6
16
7,732
27.0
60,263
37.3
38,006
9,079
13,177
21.9
850
2,522
11,505
1,167
10.1
20
23
10,335
33.7
Sales, General & Admin. Expenses 1,458
Sandeep R Shah (srshah@MotilalOswal.com); Tel: +91 22 3982 5405 / Diviya Nagarajan
(Dnagarajan@MotilalOswal.com);
Tel: +91 22 3982 5428
29 December 2006
141

Results Preview
SECTOR: INFORMATION TECHNOLOGY
Hexaware Technologies
STOCK INFO.
BLOOMBERG
REUTERS CODE
BSE Sensex: 13,787 HEXW IN
S&P CNX: 3,966
HEXT.BO
29 December 2006
Previous Recommendation: Buy
Buy
Rs200
EPS
P/E
(X)
P/BV
(X)
ROE
(%)
ROCE
(%)
EV/
EV/
SALES EBITDA
EPS
(RS) GROWTH (%)
Equity Shares (m)
52-Week Range
1,6,12 Rel. Perf. (%)
M.Cap. (Rs b)
M.Cap. (US$ b)
132.1
205/110
10/18/6
26.4
0.6
YEAR
END
NET SALES
(RS M)
PAT
(RS M)
12/06E
12/07E
12/08E
8,446
11,112
14,211
1,272
1,581
1,898
9.6
12.0
14.4
33.0
24.5
20.1
20.7
16.7
13.9
3.5
3.0
2.6
23.2
19.4
20.0
25.1
21.7
22.2
2.6
2.0
1.5
16.3
13.1
10.5
*Excludes Focus Frame
?
We expect Hexaware to post growth of 5.2% (guided growth of 5%) in revenue backed by continued traction in its
PeopleSoft business. We also expect greater traction in HR IT services based on Oracle and SAP.
Margins, which improved by 100bp in 3QCY06, are expected to inch up by only 20bp due to sharp appreciation in the
rupee. However, better offshore mix and improvement in utilization rates, as the freshers added in 3QCY06 would
become billable in 4QCY06, are likely to ease margin pressure.
Net profit is expected to grow faster at 5.9%QoQ due to improvement in margins during the quarter.
The company recently acquired Focus Frame; a US-based testing consulting firm in an all-cash deal valued at
US$34m. Focus Frame would be integrated with Hexaware effective 1QCY07.
The stock is currently trading at 16.5x CY07E and 13.1x CY08E earnings estimates (including Focus Frame).
Maintain
Buy.
Key issues:
Margins, attrition rates.
(RS MILLION)
CY05
1Q
2Q
3Q
4Q
1Q
2Q
CY06
3Q
4QE
CY05
CY06E
?
?
?
?
?
QUARTERLY PERFORMANCE
Y/E DECEMBER
Revenues
Q-o-Q Change (%)
Direct Expenses
Sales, General & Admin. Expenses
Operating Profit
Margins (%)
Other Income
Depreciation
PBT bef. Extra-ordinary
Provision for Tax
Rate (%)
PAT bef. Extra-ordinary
Net Income
Q-o-Q Change (%)
1,641
4.5
1,002
361
278
16.9
27
54
251
19
7.5
232
232
8.3
1,650
0.6
1,032
371
248
15.0
18
53
213
18
8.6
195
195
-16.3
1,756
6.4
1,083
374
298
17.0
27
57
269
28
10.4
241
241
23.7
1,740
-0.9
1,056
421
263
15.1
74
57
280
32
11.5
248
248
2.9
1,762
1.2
1,080
388
294
16.7
35
46
282
22
7.8
260
260
5.1
2,069
17.4
1,324
434
311
15.0
46
46
311
13
4.3
298
298
14.4
2,250
8.7
1,412
477
361
16.0
80
55
385
39
10.0
347
347
16.5
2,366
5.2
1,481
502
383
16.2
84
59
408
41
10.0
367
367
5.9
6,787
24.3
4,173
1,526
1,087
16.0
146
221
1,012
97
9.6
915
915
43.6
8,446
24.4
5,298
1,800
1,348
16.0
246
207
1,387
115
8.3
1,272
1,272
39.0
E: MOSt Estimates, excludes Focus Frame
Diviya Nagarajan
(Dnagarajan@MotilalOswal.com);
Tel: +91 22 3982 5428/Sandeep R Shah (srshah@MotilalOswal.com); Tel: +91 22 3982 5405
29 December 2006
142

Results Preview
SECTOR: INFORMATION TECHNOLOGY
i-flex solutions
STOCK INFO.
BLOOMBERG
REUTERS CODE
BSE Sensex: 13,787 IFLEX IN
S&P CNX: 3,966
IFLX.BO
29 December 2006
Previous Recommendation: Buy
Neutral
Rs1,948
EPS
P/E
(X)
P/BV
(X)
ROE
(%)
ROCE
(%)
EV/
EV/
SALES EBITDA
EPS
(RS) GROWTH (%)
Equity Shares (m)
52-Week Range
1,6,12 Rel. Perf. (%)
M.Cap. (Rs b)
M.Cap. (US$ b)
81.0
2,069/840
21/43/35
157.7
3.6
YEAR
END
NET SALES
(RS M)
PAT
(RS M)
3/06A
3/07E
3/08E
14,835
21,519
29,272
2,190
3,642
4,835
28.7
45.0
59.7
5.9
56.4
32.8
67.8
43.3
32.6
10.9
7.0
6.2
17.6
20.2
19.8
21.8
23.6
24.0
10.2
6.7
4.9
51.1
33.3
23.5
?
We expect i-flex solutions to report revenue growth of 17.2%QoQ on the back of strong growth in product revenue
and integration of Mantas. Mantas is expected to be integrated w.e.f. 3QFY07, which would add to revenue in the
products business. Given annualized revenue of US$35m from Mantas, we expect addition of close to US$15m in
revenue in FY07 through Mantas.
We expect the products and services to grow 28.1% and 5.1% QoQ respectively, while KPO is expected to grow
15% QoQ. Within products, we expect higher growth in license fees during 3QFY07
EBITDA margins are expected to improve by 290bp to 22.3% due to greater product contribution as well as higher
growth in license fees during the quarter. SG&A expenses, which were up 120bp in 2QFY07, is likely to come off due
to expectation of stronger license revenue growth in 2HFY07.
Net profit is expected to increase 37.3%QoQ to Rs1.1b due to improvement in margins during the quarter.
The stock is currently trading at 32.6x FY08E and 26.0xFY09E earnings estimates. We have recommended to tender
shares in open offer price at Rs2,100. At CMP, we believe that further upside is limited and downgrade our
recommendation to
Neutral
from
Buy.
Key issues:
License revenue growth, growth in tank, Mantas integration, margins.
(RS MILLION)
FY06
1Q
2Q
3Q
4Q
1Q
2Q
FY07
3QE
4QE
FY06
FY07E*
?
?
?
?
?
QUARTERLY PERFORMANCE
Y/E MARCH
Revenues
Q-o-Q Change (%)
Direct Expenses
Sales, General & Admin. Expenses
Operating Profit
Margins (%)
Other Income
Depreciation
Share of Associate Company Loss
PBT
Provision for Tax
Rate (%)
PAT
Q-o-Q Change (%)
2,701
-22.5
1,743
822
135
5.0
70
113
3
90
31
34.5
59
-92.8
3,593
33.1
2,074
968
551
15.3
115
113
-2
555
151
27.2
404
589.0
3,965
10.3
2,051
963
950
24.0
-12
127
-3
814
255
31.4
559
38.3
4,577
15.4
2,279
985
1,313
28.7
105
152
-1
1,267
98
7.8
1,169
109.3
4,075
-11.0
2,605
1,012
458
11.2
200
160
-2
500
85
17.1
415
-64.5
5,009
22.9
2,735
1,304
970
19.4
124
166
-2
931
127
13.6
804
93.9
5,870
17.2
3,115
1,445
1,311
22.3
150
180
-2
1,283
180
14.0
1,104
37.3
6,564
11.8
3,318
1,635
1,610
24.5
140
198
-1
1,553
233
15.0
1,320
19.6
14,835
30.1
8,148
3,738
2,950
19.9
277
505
-3
2,726
535
19.6
2,190
7.8
21,519
45.1
11,773
5,396
4,350
20.2
615
704
-6
4,267
625
14.6
3,642
66.3
E: MOSt Estimates; include Mantas
Diviya Nagarajan
(Dnagarajan@MotilalOswal.com);
Tel: +91 22 3982 5428/Sandeep R Shah (srshah@MotilalOswal.com); Tel: +91 22 3982 5405
29 December 2006
143

Results Preview
SECTOR: INFORMATION TECHNOLOGY
Infosys
STOCK INFO.
BLOOMBERG
REUTERS CODE
BSE Sensex: 13,787 INFO IN
S&P CNX: 3,966
INFY.BO
29 December 2006
Previous Recommendation: Buy
Buy
Rs2,241
EPS
P/E
(X)
P/BV
(X)
ROE
(%)
ROCE
(%)
EV/
EV/
SALES EBITDA
EPS
(RS) GROWTH (%)
Equity Shares (m)
52-Week Range
1,6,12 Rel. Perf. (%)
M.Cap. (Rs b)
M.Cap. (US$ b)
555.8
2,401/1,225
2/16/3
1,245.2
28.1
YEAR
END
NET SALES
(RS M)
PAT
(RS M)
3/06A* 95,216
3/07E
3/08E
140,871
187,489
24,601
37,900
48,619
44.6
68.2
87.5
29.4
52.8
28.3
50.2
32.9
25.6
17.7
12.2
8.9
40.3
44.3
40.2
45.2
50.0
45.8
12.6
8.6
6.3
38.8
26.8
19.9
* 1:1 bonus in FY07, accordingly ratios are adjusted, PAT figures are adjusted PAT
?
?
?
?
?
?
We expect Infosys to report revenue growth of 7% QoQ (against guided growth of 4.4-5%) backed by 10% growth
in consolidated volumes during the quarter.
Strong rupee appreciation during the quarter is likely to keep the EBITDA margin upside limited despite expected
improvement in utilisation rates and subsidiary profitability (particularly in Infosys Consulting and Progeon). We
expect margins to improve by 20bp to 32.3% during 3QFY07.
We expect other income to be higher at Rs912m due to rupee appreciation and resulting gain in foreign exchange
hedging. Therefore, we expect PAT to grow 7% QoQ (guided growth 0.7%) in 3QFY07.
Infosys’ comment on pricing will be a key factor in results as unlike other vendors, Infosys is just witnessing 1-2%
price uptick with a small portion of its existing clients. According to Infosys, price uptick in the near term, will be
driven by change in the services mix only and like-to-like billing rate increase should not be viewed as a trend as of
now.
The stock currently trades at 25.6x FY08E and 21.6xFY09E earnings estimates, which looks attractive on FY09
basis considering improved earnings visibility due to expected improvement in subsidiary profitability. Maintain
Buy.
Key issues:
Margins, other income.
(RS MILLION)
FY06
1Q
2Q
3Q
4Q
1Q
2Q
FY07
3QE
4QE
FY06
FY07E
QUARTERLY PERFORMANCE
Y/E MARCH
Revenues
Q-o-Q Change (%)
Direct Expenses
Operating Profit
Margins (%)
Other Income
Depreciation
PBT bef. Extra-ordinary
Provision for Tax
Rate (%)
PAT bef. Minority
Minority Interest
Extra-ordinary Items
PAT aft. Minority and ext-ord
Q-o-Q Change (%)
E: MOSt Estimates
20,716
4.2
11,044
6,638
32.0
286
801
6,123
802
13.1
5,331
-2
0
5,330
3.8
22,940
10.7
12,120
3,480
7,340
32.0
440
960
6,820
690
10.1
6,130
-60
-10
6,060
13.7
25,320
10.4
13,270
3,440
8,610
34.0
-50
1,170
7,390
830
11.2
6,560
-70
0
6,490
7.1
26,240
3.6
14,220
3,690
8,330
31.7
720
1,440
7,610
810
10.6
6,800
-70
0
6,730
3.7
30,150
14.9
16,660
4,600
8,890
29.5
1,250
1,060
9,080
1,060
11.7
8,020
-80
60
8,000
18.9
34,510
14.5
18,330
5,090
11,090
32.1
660
1,220
10,530
1,230
11.7
9,300
-10
0
9,290
16.1
36,916
7.0
19,657
5,353
11,906
32.3
912
1,550
11,267
1,318
11.7
9,949
-13
9,936
7.0
39,296
6.4
20,943
5,344
13,008
33.1
834
1,670
12,172
1,424
11.7
10,748
-14
10,733
8.0
95,216
33.5
50,654
13,643
30,918
32.5
1,396
4,371
27,943
3,132
11.2
24,811
-210
-18
24,583
33.1
140,871
47.9
75,590
20,387
44,894
31.9
3,656
5,501
43,049
5,032
11.7
38,017
-117
60
37,960
54.4
Sales, General & Admin. Expenses 3,033
Sandeep R Shah (srshah@MotilalOswal.com); Tel: +91 22 3982 5405 / Diviya Nagarajan
(Dnagarajan@MotilalOswal.com);
Tel: +91 22 3982 5428
29 December 2006
144

Results Preview
SECTOR: INFORMATION TECHNOLOGY
Infotech Enterprises
STOCK INFO.
BLOOMBERG
REUTERS CODE
BSE Sensex: 13,787 INFTC IN
S&P CNX: 3,966
INFE.BO
29 December 2006
Previous Recommendation: Buy
Buy
Rs321
EPS
P/E
(X)
P/BV
(X)
ROE
(%)
ROCE
(%)
EV/
EV/
SALES EBITDA
EPS
(RS) GROWTH (%)
Equity Shares (m)
52-Week Range
1,6,12 Rel. Perf. (%)
M.Cap. (Rs b)
M.Cap. (US$ b)
45.8
345/127
-1/70/35
14.7
0.3
YEAR
END *
NET SALES
(RS M)
PAT
(RS M)
3/06A
3/07E
3/08E
3,625
5,335
7,145
463
775
1,001
10.1
16.9
21.9
63.7
66.9
29.3
31.7
19.0
14.7
6.9
5.1
3.9
25.1
31.0
30.0
24.2
28.5
27.1
3.9
2.7
1.9
21.1
13.4
9.9
* 1:2 bonus and split of Rs10 share into 2 shares of Rs5 each in FY07, ratios accordingly adjusted
?
?
?
?
?
?
We expect Infotech Enterprises to report revenue growth of 5.3% QoQ driven by 8.7% growth in engineering
services (ES) due to anticipated ramp-ups in top clients. We expect Geospatial Services (GS) to report flat revenue
growth in Indian rupees due to muted volume growth as the company is currently restructuring this business.
EBITDA margins rose sharply in 2QFY07 on account of better utilization of resources and decrease in purchases
cost (for photogrammetry services in GS) to 11.2%. We expect margins to decline by 190bp in 3QFY07, as we
expect utilization rates to come off their current highs with greater fresher addition in the coming quarters. Rupee
appreciation would also impact margins during the quarter.
Share of profit from IASI, the 49% subsidiary in Puerto Rico, was high at Rs30m in 2QFY07 due to faster growth
from defence-related contracts. Pratt & Whitney recently announced that it would be adding 100 employees in this
subsidiary, which would result in high profit share from IASI to be maintained in the forthcoming quarters.
Following margin erosion and lower other income, we expect PAT to decline 5.7% QoQ to Rs191m in 2QFY07.
The stock is currently trading at 14.7x FY08E and 11.8x FY09E earnings estimates. Strong traction in the engineering
services, offset agreements with Pratt &Whitney are also likely to add further visibility in revenues from Engineering
services. We maintain
Buy.
Key issues:
GS revenue, margins, utilization rates.
(RS MILLION)
FY06
1Q
2Q
3Q
4Q
1Q
2Q
FY07
3QE
4QE
FY06
FY07E
QUARTERLY PERFORMANCE
Y/E MARCH
Revenues
Q-o-Q Change (%)
Direct Expenses
Sales, General & Admin. Expenses
Operating Profit
Margins (%)
Other Income
Depreciation
Interest
PBT bef. Extra-ordinary
Provision for Tax
Rate (%)
PAT bef. Extra-ordinary
Q-o-Q Change (%)
Share of Profit from JV (IASI)
Net Profit before Non Recur.
Q-o-Q Change (%)
E: MOSt Estimates
782
20.0
365
281
136
17.4
-12
45
2
78
11
14.2
67
-12.4
30
97
9.0
824
5.3
394
269
160
19.5
7
44
1
122
25
20.8
97
44.5
12
109
12.0
941
14.2
443
320
178
18.9
12
49
2
139
21
15.1
118
22.3
15
133
22.2
1,078
14.6
495
385
199
18.4
14
48
6
158
36
22.6
123
3.6
43
166
24.6
1,170
8.6
569
382
219
18.7
43
54
3
206
42
20.3
164
34.0
14
178
7.1
1,313
12.2
621
409
284
21.6
5
63
4
222
49
22.1
173
5.2
30
203
14.1
1,383
5.3
662
449
272
19.7
2
66
4
204
44
21.4
160
-7.2
31
191
-5.7
1,469
6.2
707
472
290
19.8
5
71
6
219
47
21.5
172
7.3
32
204
6.9
3,625
41.0
1,696
1,256
673
18.6
21
186
11
498
93
18.8
404
62.2
59
463
69.1
5,335
47.2
2,558
1,711
1,065
20.0
55
254
16
851
182
21.3
669
65.5
107
776
67.5
Diviya Nagarajan
(Dnagarajan@MotilalOswal.com);
Tel: +91 22 3982 5428/Sandeep R Shah (srshah@MotilalOswal.com); Tel: +91 22 3982 5405
29 December 2006
145

Results Preview
SECTOR: INFORMATION TECHNOLOGY
KPIT Cummins Infosystems
STOCK INFO.
BLOOMBERG
REUTERS CODE
BSE Sensex: 13,787 NKIPT IN
S&P CNX: 3,966
KPIT.BO
29 December 2006
Previous Recommendation: Buy
Buy
Rs694
EPS
P/E
(X)
P/BV
(X)
ROE
(%)
ROCE
(%)
EV/
EV/
SALES EBITDA
EPS
(RS) GROWTH (%)
Equity Shares (m)
52-Week Range
1,6,12 Rel. Perf. (%)
M.Cap. (Rs b)
M.Cap. (US$ b)
14.9
699/312
15/41/38
10.3
0.2
YEAR
END
NET SALES
(RS M)
PAT
(RS M)
3/06A
3/07E
3/08E
3,182
4,682
6,131
326
498
605
22.4
33.5
40.7
12.2
49.6
21.6
31.0
20.7
17.1
7.1
5.2
4.1
26.2
29.3
26.9
20.3
22.5
21.8
3.4
2.3
1.7
23.5
14.6
11.4
?
?
?
?
?
?
We expect KPIT Cummins to report revenue growth of 7.2% QoQ driven by higher volume growth. We expect
Advance Technology Services and BPO to continue to register robust growth. We also believe that non-Cummins
star customers will continue to register good growth on the back of ramp-up from existing and recently added clients.
We expect offshore revenue contribution to continue to improve on the back of strong growth expected in the BPO
and Advance Technology segments. Consistent growth in volumes is also likely to result in G&A cost leverage.
Therefore despite strong rupee appreciation, we expect EBITDA margins to increase by 40bp during 3QFY07.
We expect depreciation charge to increase due to Phase II of the Hinjawadi facility becoming operational during
3QFY07. We expect KPIT to register 7.1% QoQ PAT growth to Rs132m during 3QFY07.
KPIT Cummins has now set a mission to achieve 35-37% CAGR in revenues and 49-53% CAGR in PAT over
FY07E-FY10E to register revenues of US$250m and PAT of US$40m by FY2010 (indicating PAT margin of 16%
from current margin of 10.8%), indicating strong management confidence and visibility beyond FY07.
The stock currently trades at 17.1x FY08E and 14.2x FY09E earnings estimates. We maintain
Buy.
Key issues:
Growth in non-Cummins star customers.
(RS MILLION)
FY06
1Q
2Q
3Q
4Q
1Q
2Q
FY07
3QE
4QE
FY06
FY07E
QUARTERLY PERFORMANCE
Y/E MARCH
Revenues
Q-o-Q Change (%)
Direct Expenses
Sales, General & Admin. Expenses
Operating Profit
Margins (%)
Other Income
Depreciation
Interest
PBT bef. Extra-ordinary
Provision for Tax
Rate (%)
PAT bef. MI and EO
Minority Interest (MI)
PAT aft. MI and before EO
Q-o-Q Change (%)
PAT aft. Extra ordinary
Q-o-Q Change (%)
E: MOSt Estimates
700
4.0
236
377
87
12.5
4
17
5
69
5
6.7
64
64
-14.9
64
-18.3
777
11.0
371
300
106
13.6
0
20
3
83
7
7.9
76
76
19.2
76
19.2
804
3.5
402
286
116
14.5
0
22
5
89
6
6.8
83
83
8.6
83
8.6
902
12.1
426
325
150
16.7
0
23
9
119
16
13.3
103
103
24.2
103
24.2
1,023
13.4
530
340
152
14.9
1
25
11
117
13
11.3
104
0
103
0.7
103
0.7
1,140
11.5
577
384
179
15.7
0
30
7
141
18
12.5
124
0
123
19.3
123
19.3
1,223
7.2
635
392
197
16.1
1
37
10
150
17
11.5
133
1
132
7.1
132
7.1
1,297
6.0
677
408
211
16.3
0
43
12
157
17
11.0
139
1
138
4.7
138
4.7
3,182
26.0
1,435
1,288
459
14.4
4
82
23
359
33
9.2
326
0
326
16.0
326
14.7
4,682
47.1
2,419
1,524
739
15.8
2
135
40
565
65
11.6
500
2
498
52.8
498
52.8
Sandeep R Shah (srshah@MotilalOswal.com); Tel: +91 22 3982 5405 / Diviya Nagarajan
(Dnagarajan@MotilalOswal.com);
Tel: +91 22 3982 5428
29 December 2006
146

Results Preview
SECTOR: INFORMATION TECHNOLOGY
MphasiS
STOCK INFO.
BLOOMBERG
REUTERS CODE
BSE Sensex: 13,787 BFL IN
S&P CNX: 3,966
MBFL.BO
29 December 2006
Previous Recommendation: Neutral
Neutral
Rs303
P/E
(X)
P/BV
(X)
ROE
(%)
ROCE
(%)
EV/
EV/
SALES EBITDA
EPS
EPS
(RS) GROWTH (%)
Equity Shares (m)
52-Week Range
1,6,12 Rel. Perf. (%)
M.Cap. (Rs b)
M.Cap. (US$ b)
162.0
305/121
15/70/57
49.2
1.1
YEAR
END
NET SALES
(RS M)
PAT
(RS M)
3/06A
3/07E
3/08E
9,401
11,887
14,928
1,499
1,179
1,750
9.3
7.3
10.8
13.5
-21.8
48.5
32.6
41.7
28.1
12.2
10.2
8.1
43.8
27.2
32.5
45.0
32.0
37.5
5.1
4.0
3.1
24.2
24.2
17.2
Does not include EDS India financials, to be consolidated from 3QFY07
?
We expect Mphasis to report revenue growth of 5.8% in 3QFY07 with 5.6% growth in IT services and 6.3% in BPO
services. Volume growth in IT services is expected to be 7.8% QoQ.
EBITDA margins expanded by 455bp to 16.6% in 2QFY07, driven by higher utilization rates and breakeven in India
operations of the BPO business. In 3QFY07, we expect a further increase of 120bp due to continued volume growth,
improvement in utilization rates and profitability of Indian BPO centres.
Other income in 2QFY07 was lower than expected at negative Rs56m due to higher forex losses. In 3QFY07, we
expect other income to turn positive at Rs38m due to expected forex hedging gain resulting from rupee appreciation
during 3QFY07.
Tax rate at 14.2% in 2QFY07 is expected to be maintained at current levels due to improving profitability of BPO.
Due to the recovery in margins and higher other income, net profit is expected to grow at 55.5% QoQ to Rs364m.
The stock is currently trading at 41.7x FY07E and 28.1x FY08E earnings estimates. Our numbers do not factor in
consolidation with EDS India. Maintain
Neutral
considering the stock’ expensive valuation.
s
Key issues:
Revenue growth, margins, revenue through EDS.
(RS MILLION)
FY06
1Q
2Q
3Q
4Q
1Q
2Q
FY07
3QE
4QE
FY06
FY07E
?
?
?
?
?
?
QUARTERLY PERFORMANCE (STANDALONE)
Y/E MARCH
Revenues
Q-o-Q Change (%)
Direct Expenses
Sales, General & Admin. Expenses
Operating Profit
Margins (%)
Other Income
Depreciation
PBT bef. Extra-ordinary
Provision for Tax
Rate (%)
PAT bef. Extra-ordinary
Q-o-Q Change (%)
2,197
7.1
1,468
338
391
17.8
58
118
332
-5
-1.6
337
9.2
2,274
3.5
1,439
340
495
21.8
30
123
402
1
0.3
401
19.1
2,425
6.6
1,529
333
562
23.2
-16
139
408
-1
-0.2
408
1.8
2,505
3.3
1,620
372
513
20.5
22
140
394
43
10.8
352
-13.9
2,607
4.1
1,858
434
315
12.1
42
150
207
55
26.7
152
-56.8
2,919
12.0
1,935
499
485
16.6
-56
157
273
39
14.2
234
54.0
3,089
5.8
2,037
501
551
17.8
38
165
423
59
14.0
364
55.5
3,272
5.9
2,129
507
636
19.4
38
173
500
70
14.0
430
18.1
9,401
22.8
6,043
1,378
1,981
21.1
94
518
1,557
58
3.7
1,499
20.4
11,887
26.4
7,960
1,941
1,986
16.7
62
645
1,402
223
15.9
1,179
-21.3
E: MOSt Estimates; Does not include EDS India financials, to be consolidated from 3QFY07
Sandeep R Shah (srshah@MotilalOswal.com); Tel: +91 22 3982 5405 / Diviya Nagarajan
(Dnagarajan@MotilalOswal.com);
Tel: +91 22 3982 5428
29 December 2006
147

Results Preview
SECTOR: INFORMATION TECHNOLOGY
Patni Computer Systems
STOCK INFO.
BLOOMBERG
REUTERS CODE
BSE Sensex: 13,787 PATNI IN
S&P CNX: 3,966
PTNI.BO
29 December 2006
Previous Recommendation: Neutral
Neutral
Rs418
P/E
(X)
P/BV
(X)
ROE
(%)
ROCE
(%)
EV/
EV/
SALES EBITDA
EPS
EPS
(RS) GROWTH (%)
Equity Shares (m)
52-Week Range
1,6,12 Rel. Perf. (%)
M.Cap. (Rs b)
M.Cap. (US$ b)
137.9
508/251
3/-6/-62
57.6
1.3
YEAR
END
NET SALES
(RS M)
PAT*
(RS M)
12/05A 20,242
12/06E 26,233
12/07E 32,686
2,736
3,389
4,233
21.8
24.6
30.7
5.8
12.9
24.9
19.2
17.0
13.6
2.6
2.4
2.1
16.8
15.5
16.6
20.6
19.7
20.8
2.0
1.7
1.3
10.1
9.4
7.0
* reflects adjusted PAT
?
We expect revenue to decline marginally by 0.6% (guided for flat revenue) in 4QCY06, as certain clients are
deferring discretionary spend until their budgets are finalized (one top BFSI client has cut discretionary spend for
4QCY06). Besides this, higher-than-expected rupee appreciation is also likely to impact revenue realizations.
In 3QCY06, operating efficiencies and lower costs led to 530bp improvement in operating margins. In 4QCY06, we
expect margins to decline by 90bp due to rupee appreciation and lower volume growth.
Net profit (before extraordinary items) is expected to decline by 6.9% QoQ due to slower revenue growth and the
decline in margins.
The stock is trading at 17x CY06E and 13.6x CY07E earnings estimates. We maintain
Neutral
despite the attractive
valuation, as visibility of long term organic growth is still not high versus peers. We believe that near term trigger
could be inorganic opportunities which management is considering.
Key issues:
Ramp-ups in top clients, margins, attrition rates, employee addition.
(RS MILLION)
CY05
1Q
2Q
3Q
4Q
1Q
2Q
CY06
3Q
4QE
CY05
CY06E
?
?
?
?
QUARTERLY PERFORMANCE
Y/E DECEMBER
Revenues
Q-o-Q Change (%)
Direct Expenses
Sales, General & Admin. Expenses
Operating Profit
Margins (%)
Other Income
Depreciation
PBT bef. Extra-ordinary
Provision for Tax
Rate (%)
Net Income bef. Extra-ordinary
Q-o-Q Change (%)
Extra-ordinary Items
Net Income aft. Extra-ordinary
Q-o-Q Change (%)
E: MOSt Estimates
4,337
8.1
2,516
846
976
22.5
40
145
872
189
21.7
682
-5.8
0
682
-5.3
4,730
9.1
3,007
908
816
17.2
68
160
723
102
14.1
621
-9.0
0
621
-9.0
5,197
9.9
3,285
977
935
18.0
92
176
851
138
16.2
714
15.0
0
714
15.0
5,569
7.2
3,441
1,023
1,106
19.9
-78
189
840
179
21.3
661
-7.4
0
661
-7.4
5,776
3.7
3,593
1,160
1,022
17.7
11
193
840
197
23.5
642
-2.8
0
642
-2.8
6,561
13.6
4,273
1,298
990
15.1
187
205
972
201
20.7
770
19.9
917
-147
-122.9
6,971
6.3
4,344
1,206
1,422
20.4
77
211
1,288
264
20.5
1,024
32.9
0
1,024
596.6
6,926
-0.6
4,390
1,187
1,349
19.5
85
235
1,198
246
20.5
953
-6.9
0
953
-6.9
20,242
38.9
12,499
3,818
3,925
19.4
115
684
3,356
620
18.5
2,736
4.7
0
2,736
4.6
26,233
29.6
16,599
4,851
4,783
18.2
360
845
4,299
909
21.1
3,390
23.9
917
2,473
-9.6
Sandeep R Shah (srshah@MotilalOswal.com); Tel: +91 22 3982 5405 / Diviya Nagarajan
(Dnagarajan@MotilalOswal.com);
Tel: +91 22 3982 5428
29 December 2006
148

Results Preview
SECTOR: INFORMATION TECHNOLOGY
Sasken Communication Technologies
STOCK INFO.
BLOOMBERG
REUTERS CODE
BSE Sensex: 13,787 SACT IN
S&P CNX: 3,966
SKCT.BO
29 December 2006
Previous Recommendation: Buy
Buy
Rs536
EPS
P/E
(X)
P/BV
(X)
ROE
(%)
ROCE
(%)
EV/
EV/
SALES EBITDA
EPS
(RS) GROWTH (%)
Equity Shares (m)
52-Week Range
1,6,12 Rel. Perf. (%)
M.Cap. (Rs b)
M.Cap. (US$ b)
28.1
557/240
11/55/-4
15.0
0.3
YEAR
END
NET SALES
(RS M)
PAT*
(RS M)
3/06A
3/07E
3/08E
3,081
5,015
7,036
229
514
879
10.6
17.9
31.0
-21.4
68.9
72.7
50.4
29.9
17.3
3.9
3.5
3.0
11.3
12.6
18.7
11.3
12.4
16.6
4.8
3.2
2.2
27.5
18.2
10.8
?
We expect Sasken to report revenue growth of 18.2% QoQ in 3QFY07 growth on the strength of 19.4% growth in
the services business due to the full quarter integration of Botnia Hi-tech. We expect product revenues to grow from
4QFY07 considering growth in royalty income from any higher shipments.
EBITDA margins are expected to decline by 140bp during the quarter due to rupee appreciation, continued investment
in sales and marketing expenses.
Tax rate is expected to go up to 25% during the quarter from 21.9% in 1QFY07 due to the integration of Botnia Hi-
tech for the full quarter.
Net profit is expected to grow slower at 11.7% QoQ to Rs133m due to expected dip in margins and higher tax rates.
The stock is currently trading at 29.9x FY07E and 17.3x FY08E earnings estimates. We maintain
Buy.
Key issues:
Margins, attrition rates.
(RS MILLION)
FY06
1Q
2Q
3Q
4Q
1Q
2Q
FY07
3QE
4QE
FY06
FY07E
?
?
?
?
?
QUARTERLY PERFORMANCE
Y/E MARCH
Revenues
Q-o-Q Change (%)
Direct Expenses
Sales, General & Admin. Expenses
Operating Profit
Margins (%)
Other Income
Depreciation & Amortization
Interest
PBT bef. Extra-ordinary
Provision for Tax
Rate (%)
PAT bef. Extra-ordinary
Q-o-Q Change (%)
Extra-ordinary
Net profit after Extra-ordinary
Q-o-Q Change (%)
E: MOSt Estimates
677
-9.1
466
134
77
11.4
20
35
0
61
14
22.3
48
-56.4
0
48
-56.4
864
27.5
569
161
134
15.5
20
3
0
150
34
22.4
117
144.6
0
117
144.6
759
-12.1
524
159
77
10.1
7
3
0
80
11
13.2
69
-40.5
68
2
-98.4
781
2.8
536
139
105
13.5
17
48
0
73
11
14.5
63
-9.5
0
63
3,318.7
911
16.7
628
157
126
13.9
8
43
0
91
5
5.4
86
37.6
0
86
37.6
1,175
29.0
751
211
214
18.2
12
49
24
152
33
21.9
119
37.5
0
119
37.5
1,389
18.2
906
250
233
16.8
29
61
24
177
44
25.0
133
11.7
0
133
11.7
1,539
10.8
968
269
302
19.6
18
62
24
234
59
25.0
176
32.4
0
176
32.4
3,081
27.4
2,095
594
393
12.7
64
90
1
365
69
18.8
297
30.3
68
229
0.6
5,015
62.8
3,252
887
876
17.5
66
215
72
655
141
21.5
514
73.2
0
514
124.3
Diviya Nagarajan
(Dnagarajan@MotilalOswal.com);
Tel: +91 22 3982 5428/Sandeep R Shah (srshah@MotilalOswal.com); Tel: +91 22 3982 5405
29 December 2006
149

Results Preview
SECTOR: INFORMATION TECHNOLOGY
Satyam Computer
STOCK INFO.
BLOOMBERG
REUTERS CODE
BSE Sensex: 13,787 SCS IN
S&P CNX: 3,966
SATY.BO
29 December 2006
Previous Recommendation: Neutral
Neutral
Rs484
P/E
(X)
P/BV
(X)
ROE
(%)
ROCE
(%)
EV/
EV/
SALES EBITDA
EPS
EPS
(RS) GROWTH (%)
Equity Shares (m)
52-Week Range
1,6,12 Rel. Perf. (%)
M.Cap. (Rs b)
M.Cap. (US$ b)
653.5
498/271
5/6/-16
316.3
7.1
YEAR
END
NET SALES
(RS M)
PAT*
(RS M)
3/06A
3/07E
3/08E
47,926
65,533
87,317
9,820
13,725
16,755
15.1
21.0
25.3
35.9
38.5
20.8
32.0
23.1
19.1
7.3
5.8
4.7
25.8
28.0
27.2
29.5
30.6
30.3
6.0
4.2
3.1
24.5
18.4
14.0
* PAT figures reflects adjusted PAT; FY06 figures adjusted to reflect 1:1 bonus
?
We expect Satyam to report revenue growth of 6.7% QoQ in 3QFY07 growth (guided growth 4-4.5%) on the
strength of 9% volume growth (unconsolidated) during 3QFY07.
Strong rupee appreciation and introduction of RSU plan with effect from October 2006 in a bid to reduce attrition, are
likely to impact margins adversely in 3QFY07. However expected improvement in utilization rates and improving
profitability of subsidiaries are likely to ease the pressure on margins. We expect margins to remain flat during
3QFY07 at 22.6% against management expectation of improvement in margin in 3QFY07.
Tax rate is expected to go up to 10% during the quarter from 8.8% in 2QFY07 due to absence of deferred tax asset
provisions in 2QFY07. Other income during the quarter is expected to be higher at Rs387m due to expected forex
hedging gain resulting from rupee appreciation.
Net profit is expected to grow by 6.1% QoQ during 3QFY07 (guided growth 4-4.5%).
The stock is currently trading at 23.1x FY07E and 19.1xFY08E earnings estimates. We maintain
Neutral.
Key issues:
Margins, attrition rates.
(RS MILLION)
FY06
1Q
2Q
3Q
4Q
1Q
2Q
FY07
3QE
4QE
FY06
FY07E
?
?
?
?
?
QUARTERLY PERFORMANCE
Y/E MARCH
Revenues
Q-o-Q Change (%)
Direct Expenses
Operating Profit
Margins (%)
Other Income
Depreciation
Interest
PBT bef. Extra-ordinary
Provision for Tax
Rate (%)
Share of (P)/L in Associate Cos.
Minority Interest
PAT bef. Extra-ordinary
Q-o-Q Change (%)
E: MOSt Estimates
10,587
9.0
6,391
2,407
22.7
234
313
5
2,323
392
16.9
29
0
1,902
-7.7
11,550
9.1
6,779
2,007
2,764
23.9
316
347
8
2,725
333
12.2
19
0
2,373
24.7
12,653
9.6
7,374
2,133
3,146
24.9
330
341
27
3,108
386
12.4
24
0
2,697
13.7
13,136
3.8
7,500
2,291
3,345
25.5
289
372
17
3,246
397
12.2
2
0
2,847
5.5
14,429
9.8
8,316
2,563
3,550
24.6
745
362
26
3,908
368
9.4
0
-1
3,541
24.4
16,019
11.0
9,827
2,567
3,625
22.6
282
375
27
3,505
307
8.8
0
0
3,198
-9.7
17,089
6.7
10,532
2,700
3,858
22.6
387
427
34
3,783
378
10.0
0
10
3,395
6.1
17,996
5.3
11,019
2,888
4,089
22.7
453
450
36
4,056
446
11.0
0
19
3,591
5.8
47,926
36.1
28,044
8,220
11,662
24.3
1,168
1,373
55
11,402
1,508
13.2
73
0
9,820
38.0
65,533
36.7
39,694
10,718
15,121
23.1
1,867
1,614
123
15,252
1,499
9.8
0
28
13,725
39.8
Sales, General & Admin. Expenses 1,789
Sandeep R Shah (srshah@MotilalOswal.com); Tel: +91 22 3982 5405 / Diviya Nagarajan
(Dnagarajan@MotilalOswal.com);
Tel: +91 22 3982 5428
29 December 2006
150

Results Preview
SECTOR: INFORMATION TECHNOLOGY
Tata Consultancy Services
STOCK INFO.
BLOOMBERG
REUTERS CODE
BSE Sensex: 13,787 TCS IN
S&P CNX: 3,966
TCS.BO
29 December 2006
Previous Recommendation: Buy
Buy
Rs1,219
EPS
P/E
(X)
P/BV
(X)
ROE
(%)
ROCE
(%)
EV/
EV/
SALES EBITDA
EPS
(RS) GROWTH (%)
Equity Shares (m)
28-Week Range
1,6,12 Rel. Perf. (%)
M.Cap. (Rs b)
M.Cap. (US$ b)
978.6
1,225/728
2/10/-4
1,192.5
26.9
YEAR
END
NET SALES
(RS M)
PAT
(RS M)
3/06A* 132,550
3/07E* 183,934
3/08E
239,674
28,968
40,775
52,088
29.6
41.7
53.2
20.2
40.8
27.7
41.2
29.2
22.9
20.4
13.3
9.2
62.1
53.8
46.5
69.9
60.0
53.2
8.9
6.4
4.7
32.0
23.5
17.7
* 1:1 bonus in FY07, accordingly ratios are adjusted
?
?
?
?
?
?
We expect TCS to report 6.5% QoQ growth in 3QFY07, driven by high volume growth. Ramp-ups in large deals is
also expected to add to revenue growth. TKS Teksoft is also likely to be consolidated for part of the 3QFY07
(registered revenues of around US$57m and PAT of around US$8m during CY05)
Despite TCS’expectation of strong margin upside in 2HFY07, we expect margins in 3QFY07 to improve by merely
20bp QoQ. Rupee appreciation and absence of reversal of employee PF expenses (impacted margins positively by
100bp in 2QFY07) is likely to keep the margin upside limited over reported margins in 2QFY07. On the margin
positives, we expect improvement in offshore revenue contribution and utilization rates.
We believe that management’ guidance of keeping FY07 margins flat over FY06 margins of 27.9% is optimistic. We
s
expect FY07 operating margins at 27.1%, lower than FY06 margins by 80bp.
We expect net profit to grow 7.5% QoQ to Rs10.65b in 3QFY07 aided by strong volume growth and higher other
income.
The stock is trading at 22.9x FY08E and 18.9x FY09E earnings estimates. We maintain
Buy.
Key issues:
Offshore revenue contribution, margins.
QUARTERLY PERFORMANCE
Y/E MARCH
1Q
2Q
FY06
3Q*
4Q*
1Q
2Q
FY07*
3QE
4QE
FY06*
(RS MILLION)
FY07E*
Revenues
Q-o-Q Change (%)
Direct Expenses
Operating Profit
Margins (%)
Other Income
Depreciation
PBT bef. Extra-ordinary
Provision for Tax
Rate (%)
Minority Interest
Q-o-Q Change (%)
PAT aft Extra-ordinary
27,094
4.8
13,621
7,958
29.4
98
540
7,517
1,247
16.6
83
9.0
6,187
29,513
8.9
15,428
5,573
8,513
28.8
170
592
8,091
1,317
16.3
43
6,731
8.8
6,731
34,527
17.0
18,064
6,696
9,767
28.3
-154
738
8,875
1,319
14.9
45
7,511
11.6
7,511
37,234
7.8
19,897
7,507
9,830
26.4
-40
865
8,919
898
10.1
70
7,951
5.9
7,725
41,443
11.3
22,989
8,327
10,128
24.4
668
863
9,932
1,238
12.5
69
8,626
8.5
8,626
44,822
8.2
23,880
8,648
12,294
27.4
77
958
11,414
1,447
12.7
52
9,915
14.9
9,915
47,725
6.5
25,337
9,235
13,153
27.6
200
1,002
12,351
1,636
13.3
60
10,654
7.5
10,654
49,944
4.7
26,188
9,489
14,267
28.6
300
1,099
13,469
1,818
13.5
70
11,580
8.7
11,580
132,550
36.3
69,746
25,797
37,008
27.9
257
2,806
34,459
4,984
14.5
280
29,211
29.6
28,968
183,934
38.8
98,393
35,699
49,842
27.1
1,245
3,922
47,165
6,139
13.0
251
40,775
39.6
40,775
Sales, General & Admin. Expenses 5,515
Net Income bef. Extra-ordinary 6,187
E: MOSt Estimates; * Consolidated numbers that include Tata Infotech
Sandeep R Shah (srshah@MotilalOswal.com); Tel: +91 22 3982 5405 / Diviya Nagarajan
(Dnagarajan@MotilalOswal.com);
Tel: +91 22 3982 5428
29 December 2006
151

Results Preview
SECTOR: INFORMATION TECHNOLOGY
Tech Mahindra
STOCK INFO.
BLOOMBERG
BSE Sensex: 13,787
S&P CNX: 3,966
TECHM IN
REUTERS CODE
29 December 2006
Buy
Rs1,670
EPS
EPS
P/E
(X)
P/BV
(X)
ROE
(%)
ROCE
(%)
EV/
EV/
(RS) GROWTH (%)
SALES EBITDA
TEML.BO
Equity Shares (m)
28-Week Range
1,6,12 Rel. Perf. (%)
M.Cap. (Rs b)
M.Cap. (US$ b)
115.9
1,744/521
48/-/-
193.5
4.4
YEAR
END
NET SALES
(RS M)
PAT
(RS M)
3/06A
3/07E
3/08E
12,427
28,872
44,352
2,354
5,842
7,709
22.6
44.3
58.5
124.9
95.7
32.0
73.8
37.7
28.6
28.2
16.0
10.6
38.2
48.4
42.2
38.2
48.4
41.7
13.9
6.7
4.3
64.6
28.5
20.8
EPS for FY07E and FY08E are diluted
?
We expect Tech Mahindra to report 10.2% QoQ revenue growth during 3QFY07, driven by growth in top clients. We
do not expect that the rupee appreciation versus the US dollar during 3QFY07 will have an adverse impact on Tech
Mahindra, as significant share of its revenues is in pounds.
We expect British Telecom to continue to report strong growth on the back of the recent US$1b deal with BT Group
post FY07. We expect AT&T to continue to report strong growth, while Alcatel is expected to pick up post FY07
(the Lucent-Alcatel merger having been completed recently).
We expect EBITDA margins to increase by 10bp during the quarter due to lower exposure to the USD. We expect
PAT to grow 10.1% to Rs1.6b during the quarter.
The stock is trading at 28.6x FY08E and 20.8x FY09E earnings estimates. Given the high visibility due to the recent
deal of US$1b from BT, we have revised our estimates for FY08E and FY09E to Rs58.5 and Rs80.3 respectively.
We recommend
Buy
with a target price of Rs1,800.
Key issues:
Attrition
(RS MILLION)
FY06
1Q
2Q
3Q
4Q
1Q
2Q
FY07
3QE
4QE
FY06
FY07E
?
?
?
?
QUARTERLY PERFORMANCE
Y/E MARCH
Revenues
Q-o-Q Change (%)
Direct cost
Other Operating Exps
Operating Profit
Margins (%)
Other Income
Depreciation
PBT bef. Extra-ordinary
Provision for Tax
Rate (%)
Net Income bef. Extra-ordinary
Q-o-Q Change (%)
E: MOSt Estimates
2,419
2.1
1,494
502
423
17.5
36
91
368
30
8.2
338
-4.0
2,469
2.1
1,606
448
415
16.8
108
93
430
55
12.8
375
10.9
3,326
34.7
1,919
547
860
25.9
70
103
827
76
9.2
751
100.3
4,212
26.6
2,377
855
980
23.3
127
111
996
106
10.6
890
18.5
5,871
39.4
3,724
870
1,278
21.8
41
108
1,210
144
11.9
1,066
19.7
6,977
18.8
4,149
1,184
1,644
23.6
69
113
1,600
169
10.6
1,431
34.3
7,690
10.2
4,597
1,269
1,824
23.7
62
125
1,761
185
10.5
1,576
10.1
8,335
8.4
4,931
1,375
2,028
24.3
83
135
1,976
208
10.5
1,769
12.2
12,427
31.4
7,396
2,352
2,679
21.6
340
397
2,621
268
10.2
2,354
130.1
28,872
132.3
17,401
4,697
6,774
23.5
254
481
6,548
706
10.8
5,842
148.2
Diviya Nagarajan
(Dnagarajan@MotilalOswal.com);
Tel: +91 22 3982 5428/Sandeep R Shah (srshah@MotilalOswal.com); Tel: +91 22 3982 5405
29 December 2006
152

Results Preview
SECTOR: INFORMATION TECHNOLOGY
Wipro
STOCK INFO.
BLOOMBERG
REUTERS CODE
BSE Sensex: 13,787 WPRO IN
S&P CNX: 3,966
WIPR.BO
29 December 2006
Previous Recommendation: Buy
YEAR
END
NET SALES
(RS M)
PAT*
(RS M)
EPS
EPS
P/E
(X)
P/BV
(X)
ROE
(%)
ROCE
(%)
EV/
(RS) GROWTH (%)
Buy
Rs605
EV/
SALES EBITDA
Equity Shares (m)
52-Week Range
1,6,12 Rel. Perf. (%)
M.Cap. (Rs b)
M.Cap. (US$ b)
1,434.6
614/383
0/-12/-16
867.3
19.6
3/06A 106,108
3/07E
3/08E
146,707
197,578
20,269
27,777
36,597
14.2
19.3
25.1
25.8
35.9
29.7
42.5
31.3
24.1
11.0
8.5
6.4
29.9
30.7
30.9
34.0
35.1
35.7
7.8
5.6
4.1
32.6
24.5
17.8
* reflects adjusted PAT
?
?
?
?
?
?
We expect Wipro to report 8.8% QoQ growth in consolidated revenues during 3QFY07. Global IT business is
expected to register 6.4% growth backed by 6.2% growth in IT services and 8.3% growth in BPO. Other business
(other than Global IT) are also likely to witness 17% growth QoQ due to consolidation of Hydro Auto and 3D
Network despite being a seasonally muted quarter.
Consolidated EBITDA margins are expected to decline by 80bp due to the full quarter impact of offshore salary hikes
given in the month of September for two-thirds of the employee base and for the rest, w.e.f. October 2006. Besides
this we expect rupee appreciation is also likely to put pressure on margins. We expect higher utilisation rates and
improving subsidiary performance to act as margin positives.
We expect Wipro BPO to continue to register strong operational performance due to significant restructuring in terms
of service offerings, client ramp up and billing rate upticks.
Considering management’ increased visibility in terms of ramp-up in Technology and BPO businesses, which will
s
also result in higher profitability, we have upgraded our FY08E EPS estimate to Rs25.1 from our earlier estimate of
Rs24.5.
At CMP the stock is trading at 24.1xFY08E and 20.3xFY09E, which appears attractive due to higher earnings
visibility. We reiterate
Buy.
Key issues:
Margins, attrition.
(RS MILLION)
FY06
1Q
2Q
3Q
4Q
1Q
2Q
FY07
3QE
4QE
FY06
FY07E
QUARTERLY PERFORMANCE
Y/E MARCH
Global IT Services incl Spectramind 17,430
Other Businesses
Revenues
Q-o-Q Change (%) - Global IT
Total Expenses
EBITDA
Margins (%)
Depreciation
EBIT
Margins (%)
Other Income
PBT
Provision for Tax
Rate (%)
Net Income before EO *
Q-o-Q Change (%)
5,435
22,865
5.8
17,414
5,451
23.8
738
4,714
20.6
84
4,798
586
12.2
4,267
-4.6
18,876
6,090
24,966
8.3
19,146
5,819
23.3
770
5,049
20.2
349
5,398
791
14.7
4,704
10.3
21,528
6,206
27,734
14.0
20,712
7,022
25.3
777
6,245
22.5
-40
6,205
990
16.0
5,323
13.2
22,892
7,651
30,543
6.3
23,435
7,108
23.3
926
6,205
20.3
614
6,819
898
13.2
5,976
12.3
24,513
6,800
31,312
7.1
23,849
7,463
23.8
941
6,522
20.8
512
7,033
979
13.9
6,120
2.4
27,179
7,959
35,138
10.9
26,896
8,242
23.5
1,058
7,184
20.4
756
7,939
1,068
13.5
6,963
13.8
28,907
9,321
38,228
6.4
29,559
8,668
22.7
1,130
7,538
19.7
676
8,214
1,109
13.5
7,208
3.5
30,502
11,528
42,029
5.5
32,842
9,188
21.9
1,200
7,988
19.0
646
8,634
1,209
14.0
7,486
3.8
80,726
25,382
106,108
33.0
80,706
25,401
23.9
3,211
22,190
20.9
1,007
23,197
3,265
14.1
20,269
28.0
111,100
35,607
146,707
37.6
113,147
33,561
22.9
4,329
29,232
19.9
2,589
31,821
4,365
13.7
27,777
37.0
E: MOSt Estimates; * after minority interest and share in earnings from affiliates
Sandeep R Shah (srshah@MotilalOswal.com); Tel: +91 22 3982 5405 / Diviya Nagarajan
(Dnagarajan@MotilalOswal.com);
Tel: +91 22 3982 5428
29 December 2006
153

Results Preview
QUARTER ENDED DECEMBER 2006
Infrastructure
BSE Sensex: 13,787
S&P CNX: 3,966
29 December 2006
COMPANY NAME
PG.
Gammon India
159
Hindustan Construction
160
IVRCL
161
Jaiprakash Associates
162
Nagarjuna Construction
163
Patel Engineering
164
Significant delays in NHAI’ contract award; project award to gain
s
momentum in 4QFY07
During FY07 YTD, there have been significant delays in terms of project awards by
National Highways Authority of India (NHAI). This has primarily been due to restructuring
of NHAI and introduction of the new Model Concession Agreement, which is still under
finalization.
?
Budget 2006 stated that NHAI will be restructured into a multi-disciplinary body
with capacity to handle a large number of public private partnership projects (PPP).
As part of the restructuring, all projects are now to be cleared by a new cell, the
PPP Advisory Committee, which resulted in some delays pertaining to award of
contracts.
?
Further, introduction of the new Model Concession Agreement (MCA) for toll-based
road projects has led to delays as the MCA has not yet been formulated. It also
contains several contentious provisions such as revenue share, six-laning, sharing
the traffic risks and also the upsides etc. However, the views of various industry
associations have been received, and we believe the MCA can be formulated in
next 3-6 months.
?
The new MCA states that 80% of the land must be acquired prior to award of the
contract. The current arrangement is that the entire process from project tender to
award of contract takes 3-6 months and post the project award, companies enjoy a
window of six months for financial closure. Thus, NHAI concurrently uses this
period of 9-12 months to acquire a substantial portion of the land. Implementation of
the new guidelines will again lead to project delays.
?
Further, PPP Advisory Committee has sought that projects where tenders had been
issued and bids invited (but pending award) should also be routed through them,
which again has led to delays.
EXPECTED QUARTERLY PERFORMANCE SUMMARY
RECO
DEC.06
SALES
CHG. (%)
DEC.06
EBITDA
CHG. (%)
(RS MILLION)
NET PROFIT
DEC.06
CHG. (%)
Infrastructure
Gammon India
Hindustan Construction
IVRCL Infra.
Jaiprakash Associates
Nagarjuna Construction
Patel Engg.
Sector Aggregate
Buy
Buy
Buy
Buy
Buy
Buy
4,690
5,889
5,920
9,564
6,850
2,547
35,460
40.0
29.2
45.0
20.0
45.0
50.1
34.4
506
598
533
2,520
667
420
5,244
4.2
23.0
55.0
50.9
46.0
16.3
37.9
288
297
336
1,175
400
298
2,793
37.4
31.2
51.6
106.1
49.3
19.1
60.0
Satyam Agarwal (Agarwals@MotilalOswal.com); Tel: +91 22 39825410/Nalin Bhatt (NalinBhatt@MotilalOswal.com); +91 22 39825429
29 December 2006
154

Infrastructure
Based on our interaction with various industry players, we gather that the current deadlock
has been addressed to a large extent given that (a) Toll Policy has been approved (b)
Contentious issue of 80% land acquisition has been reduced to 50% in MCA and (c)
PPPAC has approved nine project for award in December 2006. During 4QFY07, they
expect project approvals to gather momentum. Further, the new MCA is applicable to just
toll-based projects and not for annuity projects, and thus the industry expects annuity
projects to come up for bidding in the interim.
Companies announce increased focus on real estate activities
Most of the construction companies such as IVRCL, HCC, Patel Engineering, Nagarjuna
Construction, and Gammon have formulated plans to emerge as sizable players in real
estate development. The inherent value of the entire real estate projects for many companies
could be significant going forward.
Hindustan Construction, through Lavasa Corporation (60.5% stake) is developing 10,000-
acre hill station cum township near Pune. HCC has also transferred development rights
for eleven acres of land at Vikhroli, Mumbai to its 100% owned realty subsidiary, Hincon
Realty, and is also exploring plans to develop real estate in Mumbai, Thane, Nashik, etc
including slum rehabilitation projects. IVRCL’ board has approved fund raising of Rs5b
s
plus for its 80% subsidiary, IVR prime urban development, with land bank of around 1,655
acre valued at Rs39-43b (Cushman & Wakefield).
As part of Taj expressway project, Jaiprakash Associates has 600 acres of land at Noida
(current value at Rs24b+) and is eligible for additional 5,650 acres on the Expressway.
Merger with Jaypee Greens has provided the company access to 452 acres (development
area 86 acres - 9m sq ft) at Noida. Patel Engineering has a land bank of ~400 acres
spread across Hyderabad, Mumbai, Bangalore and Maharashtra (Karjat, Panvel etc).
Whilst not much detail relating to acreage and location are available, management has
stated that development plans should be finalized by end-FY07. Based on the valuation
exercise undertaken ~4-5 years ago, value of the land bank stood at ~Rs2b-2.5b.
Nagarjuna Construction has also consolidated the real estate activities through NCC Urban
Infrastructure (80% subsidiary). Gammon is also believed to have acquired sizable land
banks over the past few months.
BOT ventures could unlock sizeable value too
Several projects in roads, ports, airports, hydro power etc. are being allotted on a BOT
basis. Apart from orders for the construction division, these projects also provide scope
for shareholder wealth creation through attractive return on equity. Most of the construction
companies have built up sizeable BOT portfolios, with early movers like Jaiprakash
Associates, L&T and Gammon already having projects where cash flows have started.
Jaiprakash Associates has successfully unlocked value by divesting 36.67% in Jaiprakash
29 December 2006
155

Infrastructure
Hydro at Rs32/sh, while Gammon has privately placed 12.5% of its subsidiary Gammon
Infrastructure, for Rs1.2b and is further contemplating to raise Rs2.5b in order to increase
exposure to BOT projects. L&T has also offloaded 21.6% stake in L&T Infrastructure
Development Projects to private equity investors for Rs5.5b.
Order book-to-bill ratio continues to be healthy
The order intake for most of the construction companies during 1HFY07 has been very
slow with either flat or lower order intake as that of 1HFY06. However, with the expectation
of finalization of new Model concession agreement by the end of 3QFY07, the order
intake is likely to be robust in 4QFY07. Despite the slower order intake, the infrastructure
companies still have strong revenue visibility given the high book to bill ratio. The order
book to bill ratio for most of the companies have improved: Gammon and Hindustan
Construction at ~5x, Jaiprakash and IVRCL ~4x and Nagarjuna 3.7x, Patel Engineering
6.2x. Also, in the case of L&T, the order book-to-bill ratio has improved to 2x v/s 1.4x in
FY05.
HEALTHY ORDER BOOK TO BILL RATIO (RS M)
ORDER
BOOK
(MAR 06)
ORDER
INTAKE
1HFY05
ORDER
INTAKE
1HFY06
ORDER
BOOK
(SEPT 06)
REVENUES
(FY06)
BOOK TO
BILL
RATIO (X)
Gammon
Hindustan Construction
IVRCL
Jaiprakash Associates*
Nagarjuna Construction
Larsen and Toubro*
Patel Engineering
68,000
96,720
62,000
82,000
54,278
241,690
39,381
12,669
32,790
18,487
-
22,568
88,120
-
13,185
10,865
8,478
-
25,477
134,470
-
80,000
98,170
70,150
78,000
66,917
306,720
50,000
13,871
19,372
15,526
19,309
17,960
146,529
8,016
5.8
5.1
4.5
4.0
3.7
2.1
6.2
* Engineering and Construction Business
Source: Company/Motilal Oswal Securities
Disparity in accounting norms for project revenue
The construction companies follow the percentage completion method for accounting of
the revenue and profitability thereon. However, the threshold adopted for recognizing the
revenue by different companies is different creating a hindrance in the relative comparison
of growth. The divergent performance trend has largely been a result of the difference in
accounting policies adopted by various companies:
?
Mismatch in accounting for revenues and margins:
Companies have different
profit recognition thresholds, resulting in a mismatch in terms of accounting for revenues
and margins
Projects with execution more than 30 months - 25%; others - 50%
Projects more than Rs2.5b – 15%; others - 25%
10%
Proportionate
Proportionate
Proportionate
Source: Company/Motilal Oswal Securities
MARGIN RECOGNITION THRESHOLD
Larsen and Toubro
Gammon
Hindustan Construction
Jaiprakash
Nagarjuna Construction
IVRCL
29 December 2006
156

Infrastructure
?
Mismatch in accounting for revenue booking and costs:
Most of the projects
have cost escalation clauses, where a significant part of the input cost pressures are a
pass through. Thus, while the cost incurred is being charged to the profit and loss
account, most companies account for reimbursement (as revenues) at the time of
raising the invoice on the customers. However, Gammon’ management has stated
s
that they account for the same (revenues) only when invoice has been certified by the
customers, which happens with a time gap of ~15 days-2 months, thus impacting near
term margins.
Robust management guidance (for FY07)
Managements of most of the infrastructure companies have set robust growth guidance
for FY07:
?
L&T:
order intake growth of 30% YoY, revenue growth of 25% YoY and stable
EBITDA margins
?
IVRCL:
Revenues of Rs25b (up 67% YoY), net profit of Rs1.5b (up 61% YoY) and
order backlog of Rs85b in March 2007 (up 37% YoY)
?
Nagarjuna Construction:
Revenues of Rs30b (up 63% YoY) and order backlog of
Rs68b-Rs70b in March 2007 (up 28% YoY)
?
Gammon:
Revenues of Rs21b-Rs25b (up 30-50% YoY), EBITDA margins of 9-9.5%
Investment risks
There are inherent risks associated with the construction business, as liabilities associated
with delays and failures on any single project can be huge. Also, the contingent liabilities
on projects can be substantial. The ability to extract cash flows is not given, and can
impact the ability of the company to bag further projects. Infrastructure spending, to a
large extent depends on the priorities of the government. In the past, a change in the
Central government had resulted in slowdown in infrastructure spending, as the new
government took 6-12 months to carry out a comprehensive review of existing projects.
Another key risk for earnings is the current tax exemption on construction profits, resulting
in tax rates of 10-15% for most of the companies.
29 December 2006
157

Infrastructure
Stock performance and valuations
STOCK PERFORMANCE (%)
ABSOLUTE PERF
3M
1 YEAR
REL PERF TO SENSEX
3M
1 YEAR
REL PERF TO SECTOR
3M
1 YEAR
Infrastructure
Gammon India
Hindustan Construction
IVRCL
Jaiprakash Associates
Nagarjuna Construction
Patel Engg.
15
38
52
53
35
39
1
19
162
87
67
29
4
28
41
42
25
28
-45
-28
116
40
20
-17
-29
-5
8
9
-8
-5
-82
-65
79
4
-16
-54
RELATIVE PERFORMANCE - 3 MONTH (%)
RELATIVE PERFORMANCE - 1 YEAR (%)
Sensex
145
MOSt Infrastructure Index
190
MOSt Infrastructure Index
Sensex
133
165
121
140
109
115
97
Sep-06
Oct-06
Nov-06
Dec-06
90
Dec-05
Mar-06
Jun-06
Sep-06
Dec-06
COMPARATIVE VALUATION
CMP (RS) RECO
29.12.06
FY06
EPS (RS)
FY07E
FY08E
FY06
P/E (X)
FY07E
FY08E
EV/EBITDA
FY06
FY07E
FY08E
FY06
ROE (%)
FY07E
FY08E
Infrastructure
Gammon India
Hindustan Construction
IVRCL Infra.
Jaiprakash Associates
Nagarjuna Construction
Patel Engg.
Sector Aggregate
420
147
385
726
215
450
Buy
Buy
Buy
Buy
Buy
Buy
9.6
3.3
8.7
11.8
5.1
14.4
13.6
4.6
10.9
21.7
8.9
17.7
20.6
7.8
17.6
26.5
13.9
24.5
43.6
44.7
44.3
61.4
42.3
31.1
51.8
30.9
31.8
35.4
33.4
24.1
25.5
31.1
20.3
18.8
21.9
27.4
15.5
18.4
22.0
23.8
23.6
41.9
31.3
28.2
26.9
29.7
18.6
17.6
21.6
19.2
17.3
17.0
18.8
12.7
12.1
15.7
16.0
12.0
12.5
14.3
9.0
13.6
19.5
14.2
16.6
44.6
15.0
11.5
10.9
10.1
15.1
18.1
23.2
14.0
15.2
14.0
14.3
14.2
24.0
18.7
15.7
29 December 2006
158

Results Preview
SECTOR: INFRASTRUCTURE
Gammon India
STOCK INFO.
BLOOMBERG
REUTERS CODE
BSE Sensex: 13,787 GMON IN
S&P CNX: 3,966
GAMM.BO
29 December 2006
Previous Recommendation: Buy
Buy
Rs420
EPS GR.
(%)
P/E
(X)
P/BV
(X)
ROE
(%)
ROCE
(%)
EV/
EV/
SALES EBITDA
EPS
(RS)
Equity Shares (m)
52-Week Range
1,6,12 Rel. Perf. (%)
M.Cap. (Rs b)
M.Cap. (US$ b)
86.7
589/276
-10/-10/-45
36.4
0.8
YEAR
END
NET SALES
(RS M)
PAT
(RS M)
3/06A* 14,851
3/07E
3/08E
21,493
30,665
1,043
1,179
1,788
9.6
13.6
20.6
44.1
41.4
51.7
43.6
30.9
20.3
3.9
3.5
3.1
9.0
11.5
15.2
13.6
13.6
19.0
3.1
1.7
1.2
23.8
18.6
12.7
* 15 month period January-March 2006
?
?
?
?
?
?
?
?
During 3QFY07, we expect Gammon to report revenues of Rs4.7b (up 40% YoY) and net profit of Rs288m (up
37.4%YoY).
Gammon India led consortium has emerged as L1 bidder for Rs12b offshore container terminal at Mumbai Port Trust
with a revenue sharing ratio of 35.1%. Gammon Infra will have 50% stake in the project, with Dragados SPL, Spain
holding the balance.
Gammon accounts for the revenue and recognizes the margin post 15% completion for projects of Rs2.5b plus and at
25% plus levels otherwise. During 1HFY07, the company did not recognize margins on revenue of Rs1.5-Rs1.6b.
Order intake during the 1HFY07 stood at Rs13.2b, received in 1QFY07. The order backlog for the company as of
September 2006 stood at Rs80b representing 5.8x FY06 revenue.
During FY07, we expect Gammon to report robust revenues of Rs21.4b, up 81% YoY, as several large projects
forming a substantial part of order book have crossed gestation period and are in the execution phase.
GIPL, 82.5% subsidiary of Gammon India has 11 BOT projects currently, with four projects under operations. It has
also attained financial closure of the Mumbai-Nasik Expressway. The company is also working on fund raising
options including an IPO.
Gammon India is barred from accessing capital market for a period of one year and selling or divesting its stake in the
GIPL for a period of three years post its IPO by SEBI. GIPL however can access the capital market through an IPO.
We recommend
Buy.
(RS MILLION)
JANUARY '05 - MARCH '06
1Q
2Q
3Q
4Q
5Q
1Q
2Q
FY07
3QE
4QE
JAN.05-
MAR.06
FY07E
QUARTERLY PERFORMANCE
Y/E MARCH
Sales
Change (%)
EBITDA
Change (%)
As of % Sales
Depreciation
Interest
Other Income
Extra-ordinary income
PBT
Tax
Effective Tax Rate (%)
Reported PAT
Adj PAT
Change (%)
2,806
306
10.9
61
98
0
0
147
4
2.5
143
143
2,862
-0.9
340
7.6
11.9
66
102
0
0
173
19
10.8
154
154
41.7
2,891
10.1
447
24.9
15.5
63
102
1
0
283
36
12.5
248
248
234.9
3,350
2.7
486
70.5
14.5
84
114
1
0
290
80
27.7
209
209
5.3
4,767
69.9
353
15.5
7.4
97
55
18
0
219
-69
-31.5
288
288
101.3
5,539
93.5
317
-6.9
5.7
83
52
3
27
211
25
11.9
186
159
3.5
4,830
67.1
418
-6.6
8.6
103
18
1
0
297
36
12.0
262
262
5.7
4,690
40.0
506
4.2
10.8
102
50
1
0
355
67
19.0
288
288
37.4
6,435
35.0
727
106.1
11.3
101
55
9
0
581
101
17.4
479
479
75.0
16,677
1,932
11.6
371
471
22
0
1,112
69
6.2
1,043
1,029
21,493
28.9
1,959
1.4
9.1
389
174
13
27
1,436
230
16.0
1,206
1,179
14.6
E: MOSt Estimates; * FY06 = 15 months from Jan 2005 - Dec 2004
Satyam Agarwal (Agarwals@MotilalOswal.com); Tel: +91 22 39825410/Nalin Bhatt (NalinBhatt@MotilalOswal.com); +91 22 39825429
29 December 2006
159

Results Preview
SECTOR: INFRASTRUCTURE
Hindustan Construction
STOCK INFO.
BLOOMBERG
REUTERS CODE
BSE Sensex: 13,787 HCC IN
S&P CNX: 3,966
HCNS.BO
29 December 2006
Previous Recommendation: Buy
Buy
Rs147
EPS GR.
(%)
P/E
(X)
P/BV
(X)
ROE
(%)
ROCE
(%)
EV/
EV/
SALES EBITDA
EPS
(RS)
Equity Shares (m)
52-Week Range
1,6,12 Rel. Perf. (%)
M.Cap. (Rs b)
M.Cap. (US$ b)
274.3
196/83
-5/-5/-28
40.3
0.9
YEAR
END
NET SALES
(RS M)
PAT
(RS M)
3/06A
3/07E
3/08E
19,870
25,227
36,100
844
1,267
2,140
3.3
4.6
7.8
14.7
40.4
68.8
44.7
31.8
18.8
4.2
2.8
2.5
13.6
10.9
14.0
11.4
7.8
12.2
2.2
1.7
1.2
23.6
17.6
12.1
?
?
?
?
?
During 3QFY07, we expect HCC to report revenue of Rs5.9b (up 29.2%YoY) and net profit of Rs297m (up 31.2%YoY).
HCC’ order backlog at the end of September 2006 is Rs98.2b (equivalent to 4.9x FY06 revenues). During 2QFY07,
s
the company bagged the following orders: Loharinag Pala Hydro Power (Rs2.5b), NHAI Road Project in Assam
(Rs3.2b), Chutak Hydro Power, Jammu & Kashmir (Rs4.1b) and Nimoo-Bazgo Hydro Power, Jammu & Kashmir
(Rs3.8b).
J&K State Govt approved the cabinet sub-committee report, which suggested that Sawlakote project be re-awarded
on of global tendering basis, vs the negotiated award route adopted earlier to HCC, SPAS (Norway) and Ozaltin
(Turkey) consortium (Rs43b). HCC’ share of construction contract was Rs19.3b. However, this is unlikely to
s
impact financials for FY07 and FY08, given that the project was expected to achieve financial closure by mid FY08,
and execution was spread over 7.5 years.
Interest cost during 2QFY07stood at Rs158m v/s Rs74m in 1QFY07, due to lower surplus funds as cash on book has
declined to Rs3.5b as at September 2006 v/s Rs10b as at March 2006. The key fund utilizations have been: Equipment
Rs2b, Working Capital Rs2b, New Projects (towards mobilization) Rs2b and Real Estate Rs500m. Management
expects cash flows to improve during 2HFY07 as a majority of the projects under the mobilization stage would enter
the construction phase, resulting in receipts from customers against invoice raised.
During FY06-08E, we expect HCC to report revenue CAGR of 35% and net profit CAGR of 59%.
Buy.
(RS MILLION)
FY06
1Q
2Q
3Q
4Q
1Q
2Q
FY07
3QE
4QE
FY06
FY07E
QUARTERLY PERFORMANCE
Y/E MARCH
Sales
Change (%)
EBITDA
Change (%)
As of % Sales
Depreciation
Interest
Other Income
Extra-ordinary income
PBT
Tax
Effective Tax Rate (%)
Reported PAT
Adj PAT
Change (%)
E: MOSt Estimates
4,610
30.9
409
-4.2
8.9
118
83
35
0
243
16
6.7
227
227
71.5
3,022
12.8
258
10.7
8.5
129
120
29
400
437
81
18.5
357
29
131.3
4,557
28.4
486
20.5
10.7
130
126
9
1
239
12
5.2
227
226
106.3
7,681
50.4
675
40.9
8.8
147
85
8
12
463
25
5.4
438
426
5.9
5,743
24.6
461
12.8
8.0
161
74
62
0
288
36
12.6
251
251
10.9
4,203
39.1
395
53.3
9.4
186
158
10
0
61
19
31.5
42
42
45.3
5,889
29.2
598
23.0
10.1
188
90
10
0
330
33
10.0
297
297
31.2
9,401
22.4
973
44.1
10.3
189
75
52
0
761
75
9.8
686
686
61.0
19,870
34.0
1,829
17.3
9.2
524
414
61
431
1,383
135
9.7
1,248
817
21.4
25,227
27.0
2,418
32.2
9.1
725
397
134
0
1,431
163
11.4
1,267
1,267
55.1
Satyam Agarwal (Agarwals@MotilalOswal.com); Tel: +91 22 39825410/Nalin Bhatt (NalinBhatt@MotilalOswal.com); +91 22 39825429
29 December 2006
160

Results Preview
SECTOR: INFRASTRUCTURE
IVRCL Infrastructure
STOCK INFO.
BLOOMBERG
REUTERS CODE
BSE Sensex: 13,787 IVRCL IN
S&P CNX: 3,966
IVRCL.BO
29 December 2006
Previous Recommendation: Buy
Buy
Rs385
EPS GR.
(%)
P/E
(X)
P/BV
(X)
ROE
(%)
ROCE
(%)
EV/
EV/
SALES EBITDA
EPS
(RS)
Equity Shares (m)
52-Week Range
1,6,12 Rel. Perf. (%)
M.Cap. (Rs b)
M.Cap. (US$ b)
134.7
460/139
-13/39/116
51.9
1.2
YEAR
END
NET SALES
(RS M)
PAT
(RS M)
3/06A
3/07E
3/08E
15,214
23,821
35,133
930
1,465
2,367
8.7
10.9
17.6
30.1
25.1
61.6
44.3
35.4
21.9
8.6
3.6
3.1
21.1
15.2
15.2
14.2
13.7
14.9
3.7
2.1
1.5
41.9
21.6
15.7
?
During 3QFY07, we expect IVRCL to report revenues of Rs5.9b (up 45% YoY) and net profit of Rs336m (up 51.6%
YoY).
IVRCL has recently completed fund raising of US$125m to boost the current net worth to enable it to bid for the big
ticket project. Also, the company has approved fund raising of Rs5b plus for its 80% subsidiary, IVR Prime Urban.
The land bank of 1,655 acres of the subsidiary has been valued at Rs38-Rs43b by Cushman & Wakefield.
IVRCL’ order backlog as at end-September 2006 stood at Rs70.2b (equivalent to 4.7x FY06 revenues). The order
s
intake during the September to December is close to Rs16.6b.
EBITDA margins are expected to increase on the back of operating leverage, change in revenue composition and the
fact that IVRCL accounts for margins on projects on a proportionate basis, without any threshold limit for project
completion.
During FY06-FY08, we expect IVRCL to report CAGR of 52% in revenues and 53.5% in net profit.
We recommend
Buy.
(RS MILLION)
FY06
1Q
2Q
3Q
4Q
1Q
2Q
FY07
3QE
4QE
FY06
FY07E
?
?
?
?
?
QUARTERLY PERFORMANCE
Y/E MARCH
Sales
Change (%)
EBITDA
Change (%)
As of % Sales
Depreciation
Interest
Other Income
PBT
Tax
Effective Tax Rate (%)
Reported PAT
Adj PAT
Change (%)
E: MOSt Estimates
3,007
28.3
235
33.3
7.8
22
40
10
183
12
6.6
171
171
59.2
2,567
36.6
210
26.0
8.2
24
72
3
118
6
5.0
112
112
37.7
4,083
44.1
344
57.8
8.4
27
85
4
235
13
5.6
222
222
54.9
5,906
69.2
558
64.9
9.4
36
49
43
516
78
15.1
438
438
74.1
4,266
41.9
407
73.3
9.5
38
133
17
253
42
16.6
211
261
53.0
3,644
42.0
308
46.5
8.5
49
103
55
211
56
26.5
155
155
38.7
5,920
45.0
533
55.0
9.0
53
75
5
410
74
18.0
336
336
51.6
9,991
69.2
1,024
83.6
10.3
55
90
5
885
118
13.4
766
766
74.9
14,957
41.8
1,343
55.3
9.0
110
253
57
1,037
108
10.4
930
930
63.8
23,821
56.6
2,272
69.2
9.5
195
401
82
1,759
290
16.5
1,468
1,468
58.0
Satyam Agarwal (Agarwals@MotilalOswal.com); Tel: +91 22 39825410/Nalin Bhatt (NalinBhatt@MotilalOswal.com); +91 22 39825429
29 December 2006
161

Results Preview
SECTOR: INFRASTRUCTURE
Jaiprakash Associates
STOCK INFO.
BLOOMBERG
REUTERS CODE
BSE Sensex: 13,787 JPA IN
S&P CNX: 3,966
JAIA.BO
29 December 2006
Previous Recommendation: Buy
Buy
Rs726
EPS GR.*
(%)
P/E*
(X)
P/BV
(X)
ROE
(%)
ROCE
(%)
EV/
EV/
SALES EBITDA
EPS*
(RS)
Equity Shares (m)
52-Week Range
1,6,12 Rel. Perf. (%)
M.Cap. (Rs b)
M.Cap. (US$ b)
235.7
740/280
9/54/40
171.2
3.9
YEAR
END
NET SALES
(RS M)
PAT
(RS M)
3/06A
3/07E
3/08E
31,595
36,899
40,451
2,786
5,123
6,248
11.8
21.7
26.5
-1.2
83.9
22.0
61.4
33.4
27.4
5.8
4.2
3.7
14.2
15.1
14.2
10.5
13.4
14.3
6.2
5.4
5.0
31.3
19.2
16.0
* Fully diluted
?
?
?
?
?
?
During 3QFY07, we expect Jaiprakash Associates to report revenues of Rs9.6b (up 20% YoY) and net profit of
Rs1.2b (up 106% YoY).
The company’ Engineering and Construction order book at end-September 2006 stood at ~Rs75b, ensuring revenue
s
visibility to FY09. During FY07, we expect hydro-power projects worth Rs35-Rs45b to be awarded, of which
Jaiprakash is expected to bag orders worth Rs10-Rs12b.
The company has signed a memorandum of association (MoA) for 1,600MW Lower Siang Hydro Power Project and
500MW Hirong Hydro Power project in Arunachal Pradesh on BOOT basis. This would increase the company’
s
hydropower BOOT portfolio to 3,800MW from the current 1,700MW. Jaiprakash Associates is also setting up a
500MW coal-based thermal power project in Madhya Pradesh.
The company has also announced plans to increase cement capacity to 20m ton by end-FY09 from the current 7m
ton. This will be driven by the Himachal Pradesh greenfield unit (4m ton, December 2007), UP cement acquisition
(2.5m ton, March 2008), JV with SAIL (2m ton, March 2008), Gujarat Angan Cement (1.2m ton, September 2008),
possible acquisition in Madhya Pradesh (1m ton), JV in Bhutan, etc.
As part of Taj expressway project, Jaiprakash Associates has acquired 600 acres of land at Noida (current value at
Rs24b) and is eligible for additional 5,650 acres on the expressway. Merger with Jaypee Greens has provided the
company access to 452 acres (development area 86 acres - 9m sq ft) at Noida.
We recommend
Buy.
(RS MILLION)
FY06
1Q
2Q
3Q
4Q
1Q
2Q
FY07
3QE
4QE
FY06*
FY07E
QUARTERLY PERFORMANCE
Y/E MARCH
Sales
Change (%)
EBITDA
Change (%)
As of % Sales
Depreciation
Interest
Other Income
Extra-ordinary income
PBT
Tax
Effective Tax Rate (%)
Reported PAT
Adj PAT
Change (%)
8,170
11.6
1,550
17.4
19.0
370
650
430
3,600
4,560
420
9.2
4,140
540
3.8
6,720
9.1
1,390
2.7
20.7
370
610
660
0
1,070
210
19.6
860
860
163.4
7,970
20.4
1,670
42.7
21.0
380
670
280
0
900
330
36.7
570
570
26.7
8,550
18.8
1,540
-9.3
18.0
380
580
540
0
1,120
420
37.5
700
700
21.3
8,950
9.5
2,130
37.4
23.8
380
590
250
0
1,410
490
34.8
920
920
70.4
7,700
14.6
1,980
42.4
25.7
390
620
380
0
1,350
450
33.3
900
900
4.7
9,564
20.0
2,520
50.9
26.4
410
730
360
0
1,740
566
32.5
1,175
1,175
106.1
10,685
25.0
3,694
139.8
34.6
420
870
593
0
2,997
869
29.0
2,128
2,128
204.1
31,410
12.1
6,180
18.4
19.7
1,500
2,370
1,730
3,600
7,640
1,370
17.9
6,270
2,670
26.6
36,899
17.5
10,324
67.1
28.0
1,600
2,810
1,583
0
7,498
2,375
31.7
5,123
5,123
91.9
E: MOSt Estimates; * Represents audited numbers
Satyam Agarwal (Agarwals@MotilalOswal.com); Tel: +91 22 39825410/Nalin Bhatt (NalinBhatt@MotilalOswal.com); +91 22 39825429
29 December 2006
162

Results Preview
SECTOR: INFRASTRUCTURE
Nagarjuna Construction
STOCK INFO.
BLOOMBERG
REUTERS CODE
BSE Sensex: 13,787 NJCC IN
S&P CNX: 3,966
NGCN.BO
29 December 2006
Previous Recommendation: Buy
Buy
Rs215
EPS
P/E
(X)
P/BV
(X)
ROE
(%)
ROCE
(%)
EV/
EV/
SALES EBITDA
EPS
(RS) GROWTH (%)
Equity Shares (m)
52-Week Range
1,6,12 Rel. Perf. (%)
M.Cap. (Rs b)
M.Cap. (US$ b)
206.6
226/98
-1/38/20
44.4
1.0
YEAR
END
NET SALES
(RS M)
PAT
(RS M)
3/06A
3/07E
3/08E
18,404
29,498
47,000
1,049
1,840
2,864
5.1
8.9
13.9
35.7
75.4
55.7
42.3
24.1
15.5
2.4
2.0
1.7
16.6
18.1
24.0
14.7
17.1
20.4
2.5
1.7
1.2
28.2
17.3
12.0
?
?
?
?
?
?
?
During 3QFY07, we expect NCC to report revenue of Rs6.9b (up 45%YoY) and net profit of Rs400m (up 49.3%
YoY).
As at September 2006, NCC’ order backlog stood at Rs67b (equivalent to 3.6xFY06 revenues), up 30% YoY. The
s
order book composition stands as: Roads Rs30b, Water and Irrigation projects Rs16.2b, Buildings Rs17b, Electricals
Rs3.7b.
NCC has announced (to the stock exchange) order intake of Rs10.6b in 2QFY07. Some of the key orders received
by the company include: SRBC main canal under turnkey basis, in JV with Maytas (Rs2.6b), and Construction of
Jawahar Lal Bhavan in Delhi (Rs980m).
Management has guided for a 63% YoY growth in revenues to Rs30b in FY07 and order book as at March 2007 at
Rs70b.
Real estate has now become a distinct business activity for the company. It has consolidated its Real estate activities
through NCC Urban Infrastructure (80% subsidiary).
The company is focusing on new verticals such as gas pipelines, real estate development and international operations.
The company has drawn up sizeable plans in the real estate sector.
We recommend
Buy.
(RS MILLION)
FY06
1Q
2Q
3Q
4Q
1Q
2Q
FY07
3QE
4QE
FY06
FY07E
QUARTERLY PERFORMANCE
Y/E MARCH
Sales
Change (%)
EBITDA
Change (%)
As of % Sales
Depreciation
Interest
Other Income
PBT
Tax
Effective Tax Rate (%)
Reported PAT
Adj PAT
Change (%)
E: MOSt Estimates
3,594
54.6
278
61.3
7.7
34
43
13
214
22
10.4
192
192
88.9
3,682
52.3
379
95.3
10.3
41
89
15
264
55
20.9
209
209
83.3
4,724
78.8
457
108.9
9.7
53
97
17
324
56
17.3
268
268
121.6
6,404
42.3
531
65.2
8.3
54
44
5
439
90
20.5
349
349
47.9
6,517
81.4
550
97.8
8.4
58
57
8
443
59
13.3
384
384
100.3
6,517
77.0
618
63.0
9.5
69
96
10
462
69
14.9
393
393
88.1
6,850
45.0
667
46.0
9.7
65
95
12
519
119
23.0
400
400
49.3
9,614
50.1
1,022
92.4
10.6
62
97
12
875
213
24.3
662
662
89.6
18,404
54.9
1,640
80.8
8.9
182
217
20
1,262
223
17.7
1,039
1,039
74.6
29,498
60.3
2,857
74.2
9.7
255
345
41
2,299
460
20.0
1,840
1,840
77.1
Satyam Agarwal (Agarwals@MotilalOswal.com); Tel: +91 22 39825410/Nalin Bhatt (NalinBhatt@MotilalOswal.com); +91 22 39825429
29 December 2006
163

Results Preview
SECTOR: INFRASTRUCTURE
Patel Engineering
STOCK INFO.
BLOOMBERG
REUTERS CODE
BSE Sensex: 13,787 PEC IN
S&P CNX: 3,966
PENG.BO
29 December 2006
Previous Recommendation: Buy
Buy
Rs450
EPS
P/E
(X)
P/BV
(X)
ROE
(%)
ROCE
(%)
EV/
EV/
SALES EBITDA
EPS
(RS) GROWTH (%)
Equity Shares (m)
52-Week Range
1,6,12 Rel. Perf. (%)
M.Cap. (Rs b)
M.Cap. (US$ b)
59.7
635/222
4/26/-17
26.9
0.6
YEAR
END
NET SALES*
(RS M)
PAT*
(RS M)
3/06A
3/07E
3/08E
8,029
11,577
16,810
733
1,075
1,492
14.4
17.7
24.5
78.1
22.4
38.4
31.1
25.5
18.4
11.6
3.8
3.2
44.6
23.2
18.7
15.9
14.2
14.4
3.1
2.3
1.7
22.8
17.0
12.5
* Consolidated
?
?
?
?
?
?
During 3QFY07, we expect the company to report revenue of Rs2.5b (up 50.1% YoY) and net profit of Rs298m (up
19.1% YoY).
As at September 2006, its order backlog stood at Rs50b (equivalent to 6.2xFY06 revenues). The order book composition
stands as: Hydropower, 50%; Roads and Transport, 15% and Irrigation and Water Supply, 35%. The company is also
in the L1 category in projects worth Rs7b.
Some of the key orders received by the company during 3QFY07 include: Loharinagpala HEP (600MW) project,
Rs3.6b and Railway projects, Rs1.8b.
Management has guided for revenue growth of at least 25% for next three years on a consolidated basis, stable
EBITDA margins and improvement of 25bp-50bp YoY in FY07 on a consolidated basis
Patel Engineering has a land bank of ~400 acres spread across Hyderabad, Mumbai, Bangalore and Maharashtra
(Karjat, Panvel etc). Whilst not much detail relating to acreage and location are available, management has stated
that development plans should be finalized by end-FY07. Based on the valuation exercise undertaken ~4-5 years ago,
value of the land bank stood at ~Rs2b-2.5b.
At the CMP of Rs450, the stock trades at a P/E of 25.5x FY07E, 18.4x FY08E and 14.8x FY09E earnings. We
recommend
Buy.
(RS MILLION)
FY06
1Q
2Q
3Q
4Q
1Q
2Q
FY07
3QE
4QE
FY06
FY07E
QUARTERLY PERFORMANCE
Y/E MARCH
Sales
Change (%)
EBITDA
Change (%)
As of % Sales
Depreciation
Interest
Other Income
Extra-ordinary income
PBT
Tax
Effective Tax Rate (%)
Reported PAT
Adj PAT
Change (%)
E: MOSt Estimates
1,898
77.3
206
59.8
10.9
60
51
37
0
133
20
15.4
113
113
93.6
1,408
15.8
221
28.2
15.7
71
23
15
0
142
16
11.4
126
126
66.3
1,697
22.1
361
77.1
21.3
72
60
46
0
276
25
9.1
251
251
110.0
3,014
32.0
269
59.7
8.9
63
72
101
2
237
23
9.8
214
212
103.1
2,900
52.8
318
54.2
11.0
65
46
26
0
233
33
14.2
200
200
76.9
1,979
40.6
307
38.7
15.5
66
-13
20
0
274
24
8.7
250
250
98.2
2,547
50.1
420
16.3
16.5
80
55
50
0
335
37
11.0
298
298
19.1
4,151
37.7
512
90.1
12.3
114
123
88
0
363
57
15.7
307
307
44.4
8,016
49.2
1,059
67.2
13.2
266
206
200
2
789
85
10.8
704
702
97.3
11,577
44.4
1,558
47.2
13.5
325
211
184
0
1,206
151
12.5
1,055
1,055
50.2
Satyam Agarwal (Agarwals@MotilalOswal.com); Tel: +91 22 39825410/Nalin Bhatt (NalinBhatt@MotilalOswal.com); +91 22 39825429
29 December 2006
164

Results Preview
QUARTER ENDED DECEMBER 2006
Media
BSE Sensex: 13,787
S&P CNX: 3,966
29 December 2006
Stock performance and valuations
STOCK PERFORMANCE (%)
ABSOLUTE PERF
3M
1 YEAR
REL PERF TO SENSEX
3M
1 YEAR
REL PERF TO SECTOR
3M
1 YEAR
Media
Zee Telefilms
-4
87
-15
40
-11
-27
RELATIVE PERFORMANCE - 3 MONTH (%)
RELATIVE PERFORMANCE - 1 YEAR (%)
Sensex
135
MOSt Media Index
290
MOSt Media Index
Sensex
126
240
117
190
108
140
99
Sep-06
Oct-06
Nov-06
Dec-06
90
Dec-05
Mar-06
Jun-06
Sep-06
Dec-06
COMPARATIVE VALUATION
CMP (RS)
29.12.06
RECO
FY06
EPS (RS)
FY07E
FY08E
FY06
P/E (X)
FY07E
FY08E
EV/EBITDA
FY06
FY07E
FY08E
FY06
ROE (%)
FY07E
FY08E
Media
Zee Telefilms
293
Neutral
5.0
6.5
9.6
58.8
44.9
30.5
48.3
39.7
24.1
8.2
9.9
12.9
EXPECTED QUARTERLY PERFORMANCE SUMMARY
RECO
SALES
DEC.06
CHG. (%)
DEC.06
EBITDA
CHG. (%)
(RS MILLION)
NET PROFIT
DEC.06
CHG. (%)
Media
Zee Telefilms
Neutral
4,355
15.3
987
170.1
874
175.3
Vaibhav Doshi (vaibhavdoshi@motilaloswal.com); Tel: +91 22 3982 5427
29 December 2006
165

Results Preview
SECTOR: MEDIA
Zee Telefilms
STOCK INFO.
BLOOMBERG
REUTERS CODE
BSE Sensex: 13,787 Z IN
S&P CNX: 3,966
ZEE.BO
29 December 2006
Previous Recommendation: Neutral
Neutral
Rs293
P/E
(X)
P/BV
(X)
ROE
(%)
ROCE
(%)
EV/
EV/
SALES EBITDA
EPS
EPS
(RS) GROWTH (%)
Equity Shares (m)
52-Week Range
1,6,12 Rel. Perf. (%)
M.Cap. (Rs b)
M.Cap. (US$ b)
435.8
381/150
-22/8/40
127.8
2.9
YEAR
END
NET SALES
(RS M)
PAT
(RS M)
3/06A
3/07E
3/08E
14,233
17,463
21,957
2,173
2,846
4,072
5.0
6.5
9.6
-30.4
30.9
47.1
58.8
44.9
30.5
4.8
4.4
3.9
8.5
10.3
13.7
9.3
10.5
15.1
9.2
7.5
5.9
48.3
39.7
24.1
?
?
?
?
?
?
?
We expect Zee Telefilms to report 15.3 % YoY revenue growth led by advertising income.
Zee now has 11-12 programs consistently in the Top 50 GEC list and 25-30 programs in the Top 100 list. Zee’
s
content strategy has been focused – aiming to achieve the highest ‘
yield’ bands, the result of which will be reflected
in YoY advertising revenue growth of 20%.
Zee’ subscription revenue which was flat last year is expected to grow 3% QoQ due to better declarations and
s
momentum in DTH business.
EBITDA margins are expected to be at 22.7 % compared with 9.7% in 3QFY06, owing to higher revenues without
a significant increase in costs.
PAT at Rs874m is expected to increase by 175% YoY, impacted by the lower base of last year and consolidation of
Ten Sports.
We expect the de-merged entity to report revenues of Rs3.4b and EBITDA of Rs1.1b with net profit of Rs699m
The stock is trading at 30.5x FY08 and 23.6x FY09 earnings. Considering the uncertainty on CAS implementation we
maintain
Neutral.
(RS MILLION)
FY06
1Q
2Q
3Q
4Q
1Q
2Q
FY07
3QE
4QE
FY06
FY07E
QUARTERLY PERFORMANCE
Y/E MARCH
Advertising Revenue
Subscription Revenue
Other Sales and Services
Net Sales
YoY Change (%)
Staff Cost
Administrative & Other Cost
Total Expenses
EBITDA
Margin (%)
YoY Change (%)
Other Income
Net Interest
Depreciation
Tax
PAT
Adjusted PAT
YoY Change (%)
E: MOSt Estimates
1,315
1,734
422
3,471
24.5
265
504
2,473
998
28.7
1.8
113
25
97
210
779
760
13.2
1,477
1,745
137
3,359
8.6
1,659
261
853
2,774
585
17.4
-43.1
143
76
89
138
425
412
-39.0
1,698
1,751
328
3,777
17.1
2,225
272
914
3,412
365
9.7
-66.5
254
120
104
103
291
317
-64.1
1,956
1,757
253
3,966
10.2
2,099
259
848
3,206
761
19.2
-37.9
125
21
102
89
676
684
-27.5
1,728
1,797
357
3,882
11.8
2,204
334
619
3,157
726
18.7
-27.3
162
125
92
109
562
549
-27.8
2,107
1,930
601
4,638
38.1
3,041
328
931
4,300
338
7.3
-42.2
203
30
102
76
333
321
-22.1
2,025
1,990
340
4,355
15.3
2,107
347
914
3,368
987
22.7
170.1
200
32
107
188
860
874
175.3
2,149
2,095
343
4,587
15.7
2,044
364
924
3,332
1,255
27.4
65.0
200
31
109
226
1,089
1,104
61.4
6,445
6,987
1,141
14,573
4.4
7,688
1,057
3,120
11,865
2,708
18.6
-37.9
635
32
391
540
2,170
2,087
-31.2
8,009
7,812
1,642
17,463
19.8
9,395
1,373
3,389
14,156
3,306
18.9
22.1
765
218
410
599
2,844
2,846
36.3
Prog,Transm.,Education,Direct Exp. 1,705
Vaibhav Doshi (vaibhavdoshi@motilaloswal.com); Tel: +91 22 3982 5427
29 December 2006
166

Results Preview
QUARTER ENDED DECEMBER 2006
Metals
BSE Sensex: 13,787
S&P CNX: 3,966
29 December 2006
COMPANY NAME
PG.
Hindalco
171
Domestic steel prices remained firm in the first two months of the third quarter. However
December witnessed some correction.
International scenario
Steel production growth continues but overall growth rate slows:
On account of
strong consumption growth as well as rising steel prices, crude steel production moved
up by 9.8% YTD (January-November 2006) to 1,101m ton. China continues to drive
production and consumption growth with crude steel production growing to 38m ton in
November compared with about 30m ton in January 2006. Although consumption growth
has been fairly strong during these months, strong growth in supply may disturb the tight
supply-demand equation the industry has been witnessing.
CHINA DRIVES GLOBAL CRUDE STEEL PRODUCTION (M TON)
Jindal Steel
172
JSW Steel
173
Nalco
174
SAIL
175
Tata Steel
176
2001
110
100
90
80
70
60
2002
2003
2004
2005
2006
Source: IISI
EXPECTED QUARTERLY PERFORMANCE SUMMARY
RECO
SALES
DEC.06
CHG. (%)
DEC.06
EBITDA
CHG. (%)
(RS MILLION)
NET PROFIT
DEC.06
CHG. (%)
Metals
Hindalco
Jindal Steel & Power
JSW Steel
Nalco
SAIL
Tata Steel
Sector Aggregate
Buy
Buy
Buy
Buy
Buy
Buy
36,642
7,831
25,566
13,958
85,236
41,805
211,038
27.5
25.3
77.7
5.4
34.6
13.6
29.6
10,464
3,211
7,552
8,375
23,168
17,056
69,826
79.5
40.0
111.9
26.0
68.8
22.6
51.9
6,187
1,658
3,732
5,559
14,337
10,259
41,732
107.9
31.0
257.1
41.4
109.4
27.2
72.9
Sanjay Jain (SanjayJain@MotilalOswal.com); Tel: +91 22 39825412
29 December 2006
167

Metals
Steel prices remained relatively weak QoQ:
Steel prices weakened marginally across
the regions. HRC prices in the US have corrected by over US$40/ton over the last two
months. However correction in China appears to be much lower.
While the domestic market remained stable in the first two months of the quarter, players
announced price cuts in December.
We maintain our positive view on integrated players:
We believe that companies
such as
Tata Steel, SAIL, JSW Steel
and
JSPL
will continue to record strong operating
performance on account of their high volume growth and controlled cost structure.
Considering the high volume growth, strong operating cash flow generation and attractive
valuations, we maintain our positive view on integrated steel producers.
Non-ferrous metals
Aluminium and copper prices moved in opposite directions in 3QFY07. While aluminium
strengthened, copper was weak.
Aluminium prices on the rise, up 30.8% YoY and 9.3% QoQ:
Average aluminium
spot prices on the LME were up 30.8% YoY and 9.3% QoQ at US$2,717 per ton in
3QFY07. However, alumina prices fell sharply to US$205 per ton. While alumina is expected
to improve from current levels, the timing is uncertain.
TREND IN ALUMINIUM PRICES (US$/TON)
3,300
2,850
2,400
1,950
1,500
Source: Company/Motilal Oswal Securities
Copper prices weaker, while spot TCRCs stabilize at lower levels:
Average copper
prices were up 66.1% YoY, but down 7% QoQ at US$7137 per ton. However, the TCRC
concentrate market remains tight and TCRCs are down to 10cents per pound and price
participation on long term contract has been done away with in 2007. Higher smelting
capacity and tight supply of concentrate TCRC, is set to keep TCRCs down in the near
future, though some capacity shutdowns could provide some relief. We believe continued
29 December 2006
168

Metals
weakness in TCRC margins will have a negative impact on the margins of Hindalco and
Sterlite Industries.
TREND IN COPPER PRICES (US$/TON)
9,000
7,500
6,000
4,500
3,000
Source: Company/Motilal Oswal Securities
We maintain our positive view on Hindalco:
Given the continued strength in aluminium
price and volume growth, we maintain our positive view on
Hindalco.
Aluminium
fundamentals remain robust and we believe, strong aluminium prices would more than
offset the negative impact of weaker TCRCs.
29 December 2006
169

Metals
Stock performance and valuations
STOCK PERFORMANCE (%)
ABSOLUTE PERF
3M
1 YEAR
REL PERF TO SENSEX
3M
1 YEAR
REL PERF TO SECTOR
3M
1 YEAR
Metals
Hindalco
Jindal Steel & Power
JSW Steel
Nalco
SAIL
Tata Steel
2
32
36
1
14
-10
21
44
69
-3
65
27
-9
22
25
-10
4
-21
-25
-3
22
-49
18
-20
-5
26
29
-5
8
-16
-14
8
33
-38
29
-9
RELATIVE PERFORMANCE - 3 MONTH (%)
RELATIVE PERFORMANCE - 1 YEAR (%)
Sensex
111
MOSt Metals Index
MOSt Metals Index
170
150
Sensex
108
105
130
110
90
Sep-06
Oct-06
Nov-06
Dec-06
102
99
Dec-05
Mar-06
Jun-06
Sep-06
Dec-06
COMPARATIVE VALUATION
CMP (RS)
29.12.06
RECO
FY06
EPS (RS)
FY07E
FY08E
FY06
P/E (X)
FY07E
FY08E
EV/EBITDA
FY06
FY07E
FY08E
FY06
ROE (%)
FY07E
FY08E
Metals
Hindalco
JSW Steel
Nalco
SAIL
Tata Steel
Sector Aggregate
174
387
214
89
482
Buy
Buy
Buy
Buy
Buy
Buy
13.6
186.0
37.6
24.3
9.8
61.7
22.4
216.9
76.2
34.2
11.8
70.9
25.3
210.2
90.3
27.3
11.0
62.1
12.8
12.2
10.3
8.8
9.1
7.8
9.4
7.8
10.5
5.1
6.3
7.5
6.8
7.1
6.9
10.8
4.3
7.8
8.1
7.8
7.5
8.9
8.1
6.1
4.6
4.9
4.6
5.6
5.8
6.7
3.7
3.1
3.7
3.7
4.1
4.8
6.6
2.7
2.7
3.8
3.6
3.8
16.9
30.8
14.6
27.1
30.7
39.5
27.7
22.3
26.8
23.8
29.2
29.1
30.4
27.4
20.5
20.9
22.7
19.9
22.4
20.7
21.2
Jindal Steel & Power 2,268
29 December 2006
170

Results Preview
SECTOR: METALS
Hindalco
STOCK INFO.
BLOOMBERG
REUTERS CODE
BSE Sensex: 13,787 HNDL IN
S&P CNX: 3,966
HALC.BO
29 December 2006
Previous Recommendation: Buy
YEAR
END
NET SALES
(RS M)
PAT
(RS M)
EPS
EPS
P/E
(X)
P/BV
(X)
ROE
(%)
ROCE
(%)
EV/
(RS) GROWTH (%)
Buy
Rs174
EV/
SALES EBITDA
Equity Shares (m)
52-Week Range
1,6,12 Rel. Perf. (%)
M.Cap. (Rs b)
M.Cap. (US$ b)
1,159.6
251/135
0/-30/-25
201.9
4.6
3/06A 120,362
3/07E
3/08E
248,467
256,210
15,902
26,073
29,458
13.6
22.4
25.3
-1.6
64.6
13.0
12.8
7.8
6.9
2.2
1.7
1.4
16.8
21.9
20.5
22.1
29.8
19.7
2.1
1.1
0.9
8.9
5.8
4.8
* Consolidated Numbers, incl Indal and Copper Mining Operations
?
We expect Hindalco to report net profit of Rs6.2b, up 108% YoY, driven primarily by YoY improvement in aluminium
prices.
LME aluminium prices were up 30.5% YoY at US$2,712/ton.
Shutdown of 60ktpa of copper smelting capacity would impact sales. However, we do not expect significant impact
on profitability.
The stock is trading at 6.9x PER and 4.8x EV/EBITDA FY08E. We maintain
Buy.
?
?
?
QUARTERLY PERFORMANCE
Y/E MARCH
1Q
2Q
FY06*
3Q
4Q
1Q
2Q
FY07*
3QE
4QE
FY06*
(RS MILLION)
FY07E*
Net Sales
YoY Change (%)
Total Expenditure
EBITDA
Margins (%)
Depreciation
Interest
Other Income
PBT before EO Expense
Extra-Ord Expense
PBT after EO Expense
Tax
Deferred Tax
Rate (%)
Reported PAT
Adjusted PAT
YoY Change (%)
Margins (%)
22,071
31.9
16,026
6,045
27.4
1,169
461
335
4,750
0
4,750
746
212
20.2
3,792
3,792
94.2
17.2
26,593
8.3
21,715
4,878
18.3
1,285
539
927
3,981
0
3,981
844
21.2
3,137
3,137
5.3
11.8
28,737
40.5
22,907
5,830
20.3
1,314
628
433
4,321
0
4,321
1,054
291
31.1
2,976
2,976
12.3
10.4
35,536
41.3
27,276
8,260
23.2
1,443
624
743
6,936
-1,038
7,974
1,254
457
21.5
6,263
5,592
52.7
15.7
43,257
96.0
33,403
9,854
22.8
1,341
634
776
8,655
520
8,135
1,945
175
26.1
6,015
6,399
68.8
14.8
46,342
74.3
36,478
9,864
21.3
2,080
515
1,108
8,377
0
8,377
2,557
-156
28.7
5,976
5,976
90.5
12.9
36,642
27.5
26,178
10,464
24.0
1,450
650
350
8,714
0
8,714
1,743
784
29.0
6,187
6,187
107.9
16.9
37,525
30.6
27,500
10,025
26.7
2,050
688
824
8,112
0
8,112
1,622
730
29.0
5,759
5,759
3.0
15.3
112,927
18.6
87,914
25,013
22.1
5,211
2,252
2,439
19,989
-1,068
21,057
3,342
1,160
21.4
16,555
16,555
30.7
14.7
163,766
45.0
123,559
40,207
24.6
6,921
2,487
3,058
33,858
520
33,338
7,867
1,533
29.0
23,937
24,322
46.9
14.9
E: MOSt Estimates; *numbers are consolidated with Indal
Sanjay Jain (SanjayJain@MotilalOswal.com); Tel: +91 22 39825412
29 December 2006
171

Results Preview
SECTOR: METALS
Jindal Steel & Power
STOCK INFO.
BLOOMBERG
REUTERS CODE
BSE Sensex: 13,787 JSP IN
S&P CNX: 3,966
JNSP.BO
29 December 2006
Previous Recommendation: Buy
Buy
Rs2,268
EPS
P/E
(X)
P/BV
(X)
ROE
(%)
ROCE
(%)
EV/
EV/
SALES EBITDA
EPS
(RS) GROWTH (%)
Equity Shares (m)
52-Week Range
1,6,12 Rel. Perf. (%)
M.Cap. (Rs b)
M.Cap. (US$ b)
30.8
2,278/1,151
5/31/-3
69.9
1.6
YEAR
END
NET SALES
(RS M)
PAT
(RS M)
3/06A
3/07E
3/08E
25,903
30,120
37,878
5,729
6,682
6,475
186
217
210
11.1
16.6
-3.1
12.2
10.5
10.8
3.8
2.8
2.3
30.8
26.8
20.9
20.2
19.5
15.8
3.2
2.9
2.5
8.1
6.7
6.6
* Adjusted for reduction of face value from Rs 10 to Rs 5
?
We expect net profit growth of 31% YoY at Rs1.7b in 3QFY07, driven largely by volume growth. Sponge iron
realizations are down marginally.
The company has added a blast furnace with 1.25m ton capacity by September 2006. Jindal has also made significant
progress with its 1,000MW power plant and is likely to complete it by mid-FY08.
We expect JSPL to essentially benefit from volume growth. The higher sponge iron capacity along with expansion
plans for a power plant will result in higher earnings. We expect profits to grow by 16.6% in FY07 to Rs6.7b.
Valuations are attractive at a P/E of 10.8x and EV/EBITDA of 6.6x FY08E. Considering the re-rating potential of
company, driven by higher revenues and profit from the power segment, we maintain
Buy
on the stock.
?
?
?
QUARTERLY PERFORMANCE
Y/E MARCH
1Q
2Q
FY06
3Q
4Q
1Q
2Q
FY07
3QE
4QE
FY06
(RS MILLION)
FY07E
Net Sales
YoY Change (%)
Total Expenditure
EBITDA
As % of Net Sales
Interest
Depreciation
Other Income
PBT
Tax
Effective Tax Rate (%)
Recurring PAT
YoY Change (%)
Reported PAT
YoY Change (%)
E: MOSt Estimates
6,296
13.6
3,627
2,669
42.4
241
439
27
2,017
515
25.5
1,502
23.6
1,502
23.6
6,213
23.8
3,609
2,604
41.9
254
453
69
1,965
510
25.9
1,455
17.9
1,455
17.9
6,252
9.9
3,958
2,294
36.7
304
477
110
1,623
358
22.0
1,265
2.0
1,265
2.0
6,735
7.1
4,048
2,687
39.9
260
823
70
1,673
167
10.0
1,507
2.7
1,507
2.7
6,662
5.8
3,413
3,249
48.8
558
621
32
2,103
572
27.2
1,531
1.9
1,531
1.9
7,896
27.1
4,812
3,085
39.1
330
642
33
2,145
573
26.7
1,572
8.0
1,572
8.0
7,831
25.3
4,620
3,211
41.0
500
620
180
2,271
613
27.0
1,658
31.0
1,658
31.0
7,731
14.8
4,022
3,708
48.0
612
667
205
2,634
714
27.1
1,921
27.5
1,921
27.5
25,903
14.9
15,626
10,276
39.7
1,081
2,192
275
7,279
1,549
21.3
5,729
11.1
5,729
11.1
30,120
16.3
16,867
13,253
44.0
2,000
2,550
450
9,153
2,471
27.0
6,682
16.6
6,682
16.6
Sanjay Jain (SanjayJain@MotilalOswal.com); Tel: +91 22 39825412
29 December 2006
172

Results Preview
SECTOR: METALS
JSW Steel
STOCK INFO.
BLOOMBERG
REUTERS CODE
BSE Sensex: 13,787 JSTL IN
S&P CNX: 3,966
JSTL.BO
29 December 2006
Previous Recommendation: Buy
YEAR
END
NET SALES
(RS M)
PAT
(RS M)
EPS
EPS
P/E
(X)
P/BV
(X)
ROE
(%)
ROCE
(%)
EV/
(RS) GROWTH (%)
Buy
Rs387
EV/
SALES EBITDA
Equity Shares (m)
52-Week Range
1,6,12 Rel. Perf. (%)
M.Cap. (Rs b)
M.Cap. (US$ b)
1,730.0
395/184
17/11/22
66.9
1.5
3/06A
3/07E
3/08E
61,011
86,190
103,892
5,961
13,230
15,678
37.6
76.2
90.3
-46.1
121.9
18.5
10.3
5.1
4.3
1.5
1.2
1.0
14.6
23.8
22.7
13.4
13.4
21.0
1.6
1.2
0.9
6.1
3.7
2.7
?
?
We expect net profit of Rs3.7b, up 257% YoY on the back of better realizations / margins and volume growth.
We expect sales volume of 0.75m ton versus 0.52m ton last year. The volume growth is driven by the 1.3m ton
expansion of its blast furnace and sinter plant.
Realization too is up sharply YoY, though a change in product mix with a higher proportion of slabs would have pulled
down realizations sequentially.
The stock is trading at 4.3x FY08E EPS and an EV of 2.7x FY08E EBITDA. We reiterate
Buy.
?
?
QUARTERLY PERFORMANCE
Y/E MARCH
1Q
2Q
FY06
3Q
4Q
1Q
2Q
FY07
3QE
4QE
FY06
(RS MILLION)
FY07E
Net Sales
EBITDA
As % of Net Sales
Interest
Depreciation
Other Income
Extra-Ordinary Expenses
PBT
Tax
Effective Tax Rate (%)
PAT
YoY Change (%)
Adjusted PAT
YoY Change (%)
15,728
5,236
33.3
904
919
25
0
3,438
1,094
31.8
2,344
2,344
-27.1
15,060
3,553
23.6
989
1,104
38
154
1,344
615
45.8
729
813
-65.3
14,390
3,564
24.8
895
1,021
27
-556
2,231
839
37.6
1,392
-38.2
1,045
28.6
15,832
4,168
26.3
816
1,015
49
-3,534
5,919
1,815
30.7
4,105
1.6
1,507
44.2
15,694
4,709
30.0
887
1,025
16
151
2,662
959
36.0
1,703
-27.3
1,800
-23.2
21,946
7,362
33.5
967
1,164
84
399
4,916
1,452
29.5
3,463
374.9
3,744
360.7
25,566
7,552
29.5
1,038
1,250
68
240
5,092
1,528
30.0
3,564
156.1
3,732
257.1
22,984
8,266
36.0
1,258
1,460
102
240
5,410
1,623
30.0
3,787
-7.7
3,955
162.4
61,011
16,520
27.1
3,603
4,058
138
-3,936
12,932
4,362
33.7
8,569
5,709
-30.5
86,190
27,889
32.4
4,150
4,900
270
1,030
18,079
5,562
30.8
12,517
13,230
131.8
E: MOSt Estimates; FY06 results include merger of three associate companies so YoY results are not comparable.
Sanjay Jain (SanjayJain@MotilalOswal.com); Tel: +91 22 39825412
29 December 2006
173

Results Preview
SECTOR: METALS
Nalco
STOCK INFO.
BLOOMBERG
REUTERS CODE
BSE Sensex: 13,787 NTAC IN
S&P CNX: 3,966
NALU.BO
29 December 2006
Previous Recommendation: Buy
Buy
Rs214
EPS
P/E
(X)
P/BV
(X)
ROE
(%)
ROCE
(%)
EV/
EV/
SALES EBITDA
EPS
(RS) GROWTH (%)
Equity Shares (m)
52-Week Range
1,6,12 Rel. Perf. (%)
M.Cap. (Rs b)
M.Cap. (US$ b)
644.3
335/185
-2/-36/-49
137.9
3.1
YEAR
END
NET SALES
(RS M)
PAT
(RS M)
3/06A
3/07E
3/08E
48,887
58,158
52,680
15,647
22,060
17,568
24.3
34.2
27.3
28.0
41.0
-20.4
8.8
6.3
7.8
2.4
1.8
1.6
29.0
33.4
19.9
39.0
47.2
25.1
2.4
1.8
1.5
4.6
3.1
2.7
* Consolidated
?
We expect Nalco to report net profit of Rs5.b, up 41.4% YoY. This is being driven by higher volumes as well as higher
aluminium prices.
A sharp correction in alumina prices in the spot market (from US$600 per ton to US$280 per ton) is expected to
squeeze Nalco’ near term profit.
s
During FY07, we expect Nalco to report net profit of Rs22.1b (YoY growth 41%). Nalco’ volume growth is limited
s
until the next phase of expansion is completed. Thus, we believe in the medium term, earnings of the company will
purely depend on aluminium and alumina prices.
The stock is trading at 7.8x PER and 2.7x EV/EBITDA FY08E earnings. We maintain
Buy.
?
?
?
QUARTERLY PERFORMANCE
Y/E MARCH
1Q
2Q
FY06
3Q
4Q
1Q
2Q
FY07
3QE
4QE
FY06
(RS MILLION)
FY07E
Net Sales
YoY Change (%)
Total Expenditure
EBITDA
Margins (%)
Depreciation
Other Income
PBT
Tax
Deferred Tax
Rate (%)
Reported PAT
Adjusted PAT
YoY Change (%)
10,717
30.3
5,672
5,045
47.1
983
406
4,469
1,514
150
37.2
2,805
2,805
28.1
10,470
7.2
5,881
4,589
43.8
992
474
4,070
1,267
-27
30.5
2,830
2,830
2.7
13,249
21.5
6,604
6,645
50.2
919
545
6,271
2,330
11
30.0
3,930
3,930
28.4
15,380
24.7
5,675
9,705
63.1
894
851
9,662
-10
3,582
37.0
6,090
6,090
44.4
14,855
38.6
5,512
9,344
62.9
787
834
9,391
3,271
-103
33.7
6,223
6,223
121.8
14,416
37.7
5,665
8,751
60.7
771
1,014
8,994
3,173
-129
33.8
5,950
5,950
110.2
13,958
5.4
5,583
8,375
60.0
790
800
8,385
2,826
33.7
5,559
5,559
41.4
14,929
-2.9
7,872
7,057
47.3
769
166
6,453
2,126
32.9
4,328
4,328
-28.9
48,887
18.6
23,053
25,834
52.8
3,787
2,276
24,323
8,781
-105
35.7
15,647
15,647
28.0
58,158
19.0
24,632
33,526
57.6
3,117
2,814
33,223
11,163
0
33.6
22,060
22,060
41.0
E: MOSt Estimates; Quarterly numbers are on standalone basis
Sanjay Jain (SanjayJain@MotilalOswal.com); Tel: +91 22 39825412
29 December 2006
174

Results Preview
SECTOR: METALS
Steel Authority of India
STOCK INFO.
BLOOMBERG
REUTERS CODE
BSE Sensex: 13,787 SAIL IN
S&P CNX: 3,966
SAIL.BO
29 December 2006
Previous Recommendation: Buy
Buy
Rs89
EPS
P/E
(X)
P/BV
(X)
ROE
(%)
ROCE
(%)
EV/
EV/
SALES EBITDA
EPS
(RS) GROWTH (%)
Equity Shares (m)
52-Week Range
1,6,12 Rel. Perf. (%)
M.Cap. (Rs b)
M.Cap. (US$ b)
4,130.4
96/50
1/-20/18
368.4
8.3
YEAR
END
NET SALES
(RS M)
PAT
(RS M)
3/06A 290,586
3/07E
3/08E
323,638
311,732
40,612
52,596
45,318
9.8
11.8
11.0
0.0
20.4
-7.3
9.1
7.5
8.1
2.7
2.2
1.8
30.0
28.6
22.1
32.2
35.0
28.3
1.2
0.9
0.9
4.9
3.7
3.8
?
We expect net sales to move up by 34.6% YoY to Rs85.2b in 3QFY07. Revenue growth will be driven by volume
growth of 12% to 3.05m ton and realization growth of 20%. Sequentially however, realizations are largely flat.
EBITDA margins at 27.2% would be up 550bp YoY driven primarily by higher realizations, though flat sequentially.
Post-tax adjusted profit is likely to increase by 111.7% to Rs14.4b.
For FY07, we expect post-tax profit of Rs52.6b (YoY growth of 20.4%). We are estimating an EPS of Rs11.8.
The stock is trading at 8.1x FY08E EPS and 3.8x FY08E EV/EBITDA. We maintain
Buy.
?
?
?
?
QUARTERLY PERFORMANCE
Y/E MARCH
1Q
2Q
FY06
3Q
4Q
1Q
2Q
FY07
3QE
4QE
FY06
(RS MILLION)
FY07E
Sales ('000 ton)
Change (YoY %)
Realization (Rs Per Ton)
Change (YoY %)
Net Sales
Change (%)
EBITDA
EBITDA per ton
Change (YoY %)
As % of Net Sales
Interest
Depreciation
Other Income
PBT
Extra Ordinary Item
PBT after EO Item
Total Tax
% Tax
Adjusted PAT
Reported PAT
1,870
-4.1
30,164
11.6
56,407
7.0
19,965
10,677
23.6
35.4
1,320
2,923
1,320
17,042
0
17,042
5,777
33.9
11,265
11,265
2,740
7.0
25,612
0.0
70,178
4.7
19,627
7,163
-6.6
28.0
1,145
2,802
1,385
17,066
0
17,066
5,798
34.0
11,268
11,268
2,720
-5.6
23,289
-11.1
63,345
-18.5
13,726
5,046
-55.8
21.7
1,056
3,112
1,089
10,647
0
10,647
3,800
35.7
6,847
6,847
3,850
15.6
23,945
-14.9
92,190
-1.6
16,959
4,405
-57.5
18.4
1,139
3,041
1,600
14,378
1,800
12,578
1,546
12.3
12,611
11,032
2,450
31.0
27,993
-7.2
68,583
21.6
17,804
7,267
-10.8
26.0
937
2,959
1,513
15,421
-5,581
21,002
7,138
34.0
10,181
13,864
2,950
7.7
28,946
13.0
85,391
21.7
23,333
7,910
18.9
27.3
924
3,035
2,261
21,635
0
21,635
7,207
34.0
14,428
14,428
3,050
12.1
27,946
20.0
85,236
34.6
23,168
7,596
68.8
27.2
700
3,250
2,500
21,718
0
21,718
7,381
34.0
14,337
14,337
3,289
-14.6
26,446
10.4
86,981
-5.6
21,201
6,446
25.0
24.4
631
3,150
3,250
20,670
0
20,670
7,025
34.0
13,645
13,645
11,300
5.0
25,468
-6.4
287,786
0.0
68,474
6,060
-36.7
23.8
4,678
12,073
5,334
57,058
0
57,058
19,397
32.2
40,114
40,114
11,739
22,660
326,191
15.9%
85,506
41.1
26.2
3,192
12,393
9,523
79,445
85,026
28,752
33.8
52,590
56,274
E: MOSt Estimates; Quarterly results don’ add up with full year results due to restating of past quarter results.
t
Sanjay Jain (SanjayJain@MotilalOswal.com); Tel: +91 22 39825412
29 December 2006
175

Results Preview
SECTOR: METALS
Tata Steel
STOCK INFO.
BLOOMBERG
REUTERS CODE
BSE Sensex: 13,787 TATA IN
S&P CNX: 3,966
TISC.BO
29 December 2006
Previous Recommendation: Buy
Buy
Rs482
EPS
P/E
(X)
P/BV
(X)
ROE
(%)
ROCE
(%)
EV/
EV/
SALES EBITDA
EPS*
(RS) GROWTH (%)
Equity Shares (m)
52-Week Range
1,6,12 Rel. Perf. (%)
M.Cap. (Rs b)
M.Cap. (US$ b)
609.2
679/341
2/-40/-20
293.8
6.6
YEAR
END
NET SALES
(RS M)
PAT*
(RS M)
3/06A 151,394
3/07E
3/08E
167,753
160,250
37,557
43,168
37,842
61.7
70.9
62.1
0.2
14.8
-13.1
7.8
6.8
7.8
3.1
2.1
1.6
37.3
28.6
19.3
37.7
33.6
24.7
1.8
1.3
1.3
4.6
3.4
3.4
PAT and EPS numbers are consolidated;
* adjusted for 1:2 bonus shares issue
?
We expect net sales to move up by 13.6% to Rs41.8b in 3QFY07. Revenue growth will be driven by some increase
in volumes (up about 7% YoY) and higher realization (up about 6.5% YoY).
EBITDA margins for the quarter at 40.8% would be up 300bp YoY. However, sequentially margins are likely to
remain flat. With fall in coke prices, cost push is likely to stop, though continuation of strong realization is under threat
in the near term.
We expect net profit at Rs10.3b, up 27.2%. For the full year, FY07, we expect consolidated profit of Rs43.2b, which
translates to an EPS of Rs70.9/share.
The stock is trading at 6.8x FY07E EPS and an EV of 3.4x FY07E EBITDA. We reiterate
Buy.
?
?
?
QUARTERLY PERFORMANCE (STANDALONE)
Y/E MARCH
1Q
2Q
FY06
3Q
4Q
1Q
2Q
FY07
3QE
4QE
FY06
(RS MILLION)
FY07E
Sales ('000 ton)
Change (%)
Net Sales
Change (%)
EBITDA
As % of Net Sales
Interest
Depreciation
Other Income
Extra-ordinary Exp.
PBT
Tax
Effective Tax Rate (%)
Reported PAT
Change (%)
Adjusted PAT
Change (%)
E: MOSt Estimates
854
-3.2
34,645
9.5
15,882
45.8
342
1,706
303
296
13,842
4,601
33.2
9,241
24.0
9,439
24.1
1,180
15.3
38,651
3.4
16,516
42.7
307
1,755
1,188
290
15,352
4,898
31.9
10,454
12.5
10,652
12.6
1,107
11.0
36,808
-1.4
13,909
37.8
364
1,846
413
801
11,311
3,777
33.4
7,534
-15.4
8,068
-9.6
1,256
24.3
41,290
6.8
13,008
31.5
172
1,933
644
-344
11,891
4,060
34.1
7,831
-13.8
7,605
-18.7
1,115
30.5
39,159
13.0
15,812
40.4
293
1,951
779
184
14,163
4,630
32.7
9,533
3.2
9,657
2.3
1,184
0.4
41,858
8.3
17,048
40.7
478
1,957
1,772
443
15,943
4,928
30.9
11,015
5.4
11,321
6.3
1,193
7.7
41,805
13.6
17,056
40.8
275
2,000
350
185
14,946
4,813
32.2
10,134
34.5
10,259
27.2
1,278
1.8
44,932
8.8
15,764
35.1
54
2,091
298
-62
13,978
4,501
32.2
9,477
21.0
9,435
24.1
4,418
12.9
151,394
4.4
59,315
39.2
1,184
7,751
2,548
528
52,399
17,336
33.1
35,064
0.9
35,417
0.2
4,770
8.0
167,753
10.8
65,680
39.2
1,100
8,000
3,200
750
59,030
18,872
32.0
40,158
14.5
40,668
14.8
Sanjay Jain (SanjayJain@MotilalOswal.com); Tel: +91 22 39825412
29 December 2006
176

Results Preview
QUARTER ENDED DECEMBER 2006
Oil & Gas
BSE Sensex: 13,787
S&P CNX: 3,966
29 December 2006
COMPANY NAME
PG.
BPCL
184
Chennai Petroleum
185
GAIL
186
Struggle for refining, marketing limping back, but petchem booms
YoY comparative (v/s 3QFY06)
?
Benchmark Singapore refining complex margins down by 40% at US$3.8/bbl
?
Brent average up marginally by 4.5% at US$59.5/bbl v/s US$56.9/bbl
?
Fuel underrecoveries down sharply at Rs79.3b
?
Sharp increase in petrochemical margins (spread over naphtha); PE - up 30.8%; PP -
up 16.8%; PTA - up 13.7%; but MEG - down 2%.
QoQ comparative (v/s 2QFY07)
?
Benchmark refining margins down 20.8% from US$4.8/bbl
?
Brent average off its quarterly peak of US$70.2/bbl, down 15.3%
?
Fuel underrecoveries down sharply at Rs79.3b, lowest in the recent past
?
Petrochemical margins (spread over naphtha) largely down; PE – up 3.8%; PP – flat;
PTA – down 6.8% and MEG – down 10.2%.
Factors to watch for
?
We have assumed payment of Rs33.9b of Oil Bonds in 3QFY07. If the Oil Bonds do
not come through, marketing companies would report losses
?
We have not factored in any sale of current Oil Bond holding. Any sale at a discount
would impact profits of marketing companies
HPCL
187
IOC
188
Indraprastha Gas
189
IPCL
190
ONGC
191
Reliance
192
EXPECTED QUARTERLY PERFORMANCE SUMMARY
RECO
SALES
DEC.06
CHG. (%)
DEC.06
EBITDA
CHG. (%)
(RS MILLION)
NET PROFIT
DEC.06
CHG. (%)
Oil & Gas
BPCL
Chennai Petroleum
GAIL
HPCL
IOC
IPCL
Indraprastha Gas
ONGC
Reliance
Sector Aggregate
Buy
Neutral
Neutral
Buy
Buy
Sell
Not Rated
Buy
Neutral
233,524
69,725
41,879
217,391
485,816
24,920
1,581
119,294
265,420
1,459,550
15.9
6.7
-5.8
9.1
9.7
16.3
15.4
-4.4
46.1
13.8
1,946
1,500
7,500
3,141
15,816
5,880
660
71,244
40,650
148,337
-
14.3
-17.7
-
883.4
38.7
13.5
-3.2
36.6
45.0
319
348
4,427
1,710
7,659
3,116
347
35,424
22,558
75,908
-
63.7
-31.2
-
-
36.7
18.3
-8.9
27.0
69.5
29 December 2006
177

Oil & Gas
Refining margins: seasonal factors playing out
3QFY07 highlights
?
Down 40% YoY at US$3.8/bbl (v/s US$6.3/bbl in 3QFY06)
?
Down 20.8% QoQ (v/s US$4.8/bbl in 2QFY07)
Refining margins are down, continuing the downtrend that set in in 2QFY07, on account of
seasonal factors. Notable is the absence of hurricane-led disruption, which was the key
driver of strong refining margins last year during this season. Asia continues to remain
significantly lower than the US and Europe, with US margins being supported by refinery
shutdowns. Large exporters to the US and Europe could stand to benefit from this disparity.
While we expect some recovery in 4QFY07, we believe a repeat of the strong performance
of last two years is unlikely. We downgraded our refining margin forecast a few weeks
ago, on account of large capacity additions globally along with significant upgrades in
cracking capacity. We expect about 750,000 bpd of cracking capacity addition globally in
2007, along with some refining capacity additions. We would like to reiterate that gasoline
was the key driver of refining margins during the last two seasons. The higher cracking
capacity is likely to keep gasoline cracks and hence refining margins down. Refining
capacity additions in the subsequent years range between 1.8-4.0 mbpd, requiring demand
growth well in excess of 2% p.a., a tall task going by past trend as well as not-so-buoyant
global economic growth expectations.
SINGAPORE REFINING MARGIN: SEASONAL WEAKNESS (US$/BBL)
US$/bbl
16
12
8
4
0
Singapore GRM
Monthly
Quarter average
Source: Industry/Motilal Oswal Securities
Crude prices: down, but not out
3QFY07 highlights
?
Up 4.5% YoY at US$59.5/bbl (v/s US$56.9/bbl in 3QFY06)
?
Up 1% QoQ (v/s US$70.2/bbl in 2QFY07)
29 December 2006
178

Oil & Gas
The sharp decline in crude prices late in 2QFY07 is holding up. Receding supply concerns,
improved inventories and seasonal demand weakness are the drivers. This probably (and
finally) reflects the actual demand-supply situation that we have been highlighting in the
past few quarterly previews.
However, downside is being supported by the OPEC cut in production. Depending on late
winter demand and the level of production cut observed by OPEC, a spike in prices in
4QFY07 cannot be ruled out. However, we believe, prices are likely to remain relatively
weak. We had downgraded 2HFY07 crude price estimate to US$60/bbl from US$70/bbl,
which is largely holding up. Possible downgrades in 2007 and/or 2008 global demand
estimates could further contribute towards easing of crude prices, probably testing OPEC’
s
production cut discipline for the first time over the last 6-8 quarters. Non-OPEC supply in
2007 is expected to increase by 1.7 mbpd (versus 2007 global demand growth estimate of
1.4 mbpd – source: IEA), while OPEC’ capacity itself is set to rise, which means a call
s
on OPEC is likely to fall sharply, even if we were to budget for slippage in bringing new
fields to production (and assuming demand estimate would not be downgraded).
BRENT CRUDE PRICE: LATE, BUT SHARP CORRECTION (US$/BBL)
85
75
65
55
45
Source: Bloomberg/Motilal Oswal Securities
Fuel underrecoveries: Lowest in recent times
Fuel marketing underrecoveries more than halved QoQ, driven by lower crude prices. We
estimate underrecoveries for the quarter at Rs79.3b as against Rs180b last quarter. Though
underrecoveries are down, we believe, the sharing formula is unlikely to change in 2HFY07,
with the government bringing forth oil bonds of about Rs33.9b and upstream players bearing
Rs28.8b, for the quarter. However, fresh Parliament approval would be required for payment
of this and the next tranches of oil bonds, which could delay payment.
Inventory gains/(losses): Lower crude drives losses
The shift in inventory valuation policy from FIFO to weighted average has led to significant
moderation of inventory changes.
29 December 2006
179

Oil & Gas
Petrochemical margins: coming off the peak
Key petrochemical product spreads corrected from the 2QFY07 high that was triggered
by the scheduled capacity shutdown in Asia, followed by Europe. With the return of capacity
and the seasonally weak demand season, margins have corrected, especially in the polyester
chain. Plastic margins remain strong. However, YoY comparison across products remains
largely favorable.
Polyester intermediates are the biggest losers, as prices across the polyester chain corrected
sharply. As a result, integrated polyester margins were down further from the already low
levels witnessed last quarter. Global capacity additions, especially PTA and polyester
continue unabated, keeping operating rates low. PX was the key driver of chain margins
last quarter, which is down at about US$1,000/ton levels, post its peak of US$1600/ton
levels. Aromatics and butadiene too were down from the dizzying levels of the previous
quarter.
KEY PRODUCT SPREADS (RS/KG)
3QFY07
2QFY07
QOQ CH (%)
3QFY06
YOY CH (%)
PE
PP
PTA
MEG
POY (Standalone)
PSF (Standalone)
POY (Integrated)
PSF (Integrated)
consumption norms
43.9
42.9
32.4
27.9
13.7
14.1
52.0
52.4
42.2
42.6
34.8
31.1
16.1
12.9
57.6
54.4
3.8
0.6
-6.8
-10.2
-15.1
9.2
-9.7
-3.7
33.5
36.7
28.5
30.1
13.9
12.3
49.5
47.9
30.8
16.8
13.7
-7.3
-2.0
14.2
5.0
9.3
* PE,PP,PTA and MEG spreads over naptha, POY & PSF spreads over PTA-MEG adjusted for
Company/Motilal Oswal Securities
Outlook for the petrochemical cycle remains positive, though current product spreads may
not sustain. Operating rates are expected to remain strong over the next 18-24 months.
With the next tranche of large capacity addition expected only in CY09, product spreads
are likely to remain strong in the ethylene and propylene chains.
However, polyester margin cycle outlook is not so encouraging. Polyester standalone
margins continue to remain weak, barring some correction from lows. We do not expect
significant improvement over the next 2-3-years. Large polyester overcapacity in China
(China continues to add over 2m tpa of polyester capacity every year, over and above the
5-6m tons of global overcapacity, while demand growth is just over 1m tons every year) is
set to keep standalone polyester margins bottled up.
Factors to watch for
?
We have assumed payment of Rs33.9b of Oil Bonds in 3QFY07. If the Oil Bonds do
not come through, oil marketing companies could report losses.
?
We have not factored in any sale of current oil Bond holding. Any sale at a discount
would impact profits of oil marketing companies.
29 December 2006
180

Oil & Gas
Valuation and view
ONGC is our top pick in the sector.
The recent exploration success could add reserves
in excess of the existing gas reserves, providing large stock price upside. This also removes
a key concern of lack of exploration success, which was affecting stock performance.
While incremental decline in crude price hurts ONGC’ earnings, below US$52-53/bbl
s
levels, there is step reduction in loss sharing as underrecoveries on diesel turn zero. Also,
if crude were to fall below US$45/bbl, underrecoveries on LPG and kerosene would be
small enough to allow dismantling of loss sharing, leading to a re-rating of ONGC. OVL
has emerged as a key growth driver for ONGC. We believe significant reserve accretions
are likely, given the appraisal process which is in progress on the five discovered fields
spread across the globe. Current stock valuations are discounting highly pessimistic
expectations like indefinite continuation of subsidy sharing and APM pricing of gas, with
zero exploration success.
Oil marketing companies – BPCL, HPCL and IOC
– are key beneficiaries of the
recent crude price decline. As per the latest international prices, gasoline marketing margins
would be about Rs1.3/liter, while diesel margin would be negative Rs0.4/liter. If current
prices continue, the fall in underrecoveries in 2HFY07 would be well over our current
assumption of Rs125b. However, risks exist:
1. Possible reversal of crude price trend
2. Further cut in auto fuel retail prices
3. Change in proportion of loss sharing, particularly by the government
4. Faster ramp-up of market share by private players. Reliance had acquired a market
share in excess of 14% when underrecoveries were manageable. If diesel margins
turn positive, Reliance, Essar and Shell could significantly ramp-up their volumes, taking
away market share. If margins were to improve beyond Rs1.2/liter level, we do not
rule out a price war to capture market share, which caps margin upside for oil PSUs.
Having said that, as of now risk-reward remains favorable. We maintain our
Buy
recommendation on oil marketing companies, with BPCL as our preferred stock due to its
high gearing to marketing margins.
We remain Neutral on Reliance.
We believe the stock has run up ahead of time and
newsflow on E & P announcements. While, there could be further gas reserve upsides,
we prefer to wait for a formal announcement, rather than build potential upsides into the
stock price at this juncture. The stock price already discounts all the announced reserves
as well as part of the potential upsides indicated by Reliance in the revised KG-D6
development plan.
Also, risk to core business earnings has increased, given the large refining capacity additions
expected globally starting CY08. Large upgradation of refining capacity (about 750kbpd)
could keep refining margins low from CY07 itself.
29 December 2006
181

Oil & Gas
While, retail store rollout appears to be gaining momentum, it is yet to reach critical volumes
to contribute significantly to the valuation of RIL. Potential stiff competition from Walmart-
Mittal JV has the potential to limit upside.
SEZ business too appears to have run into a policy tangle, which we believe could delay
the announced projects.
However, if the indicated E & P upsides come through, we would look to review our
recommendation.
GAIL’ long-term growth prospects remain bright.
However, near-term growth is
s
limited. Implementation of Dahej-Uran and a couple of regional pipelines account for the
near-term earnings growth. Possible fall in PE and LPG prices, possible upward revision
of domestic gas prices, marketing margin cut on LNG and transmission tariff cut on KG
basin pipeline would hurt earnings. While decline in subsidy sharing could be incrementally
positive, we believe risk-reward remains unfavorable. We maintain
Neutral.
We remain negative on IPCL.
We remain negative on IPCL, though the stock is down
by more than 10% since our downgrade. Possible higher gas price for FY08 and lower
product prices driven by lower crude prices are key risks. However, additional domestic
gas supply from PMT (Panna Mukta Tapti) to replace expensive propane could provide
significant feedstock savings. We would look to review our earnings and recommendation
if domestic gas supply were to be secured.
We maintain our Neutral rating on Chennai Petro.
While GRMs are expected to
bounce back from the current low levels, we believe the tock already builds in a recovery
and we do not see any re-rating trigger in the near term.
We also present estimates of Indraprastha Gas
(IGL) in this preview compendium.
We currently do not have a rating on the stock.
29 December 2006
182

Oil & Gas
Stock performance and valuations
STOCK PERFORMANCE (%)
ABSOLUTE PERF
3M
1 YEAR
REL PERF TO SENSEX
3M
1 YEAR
REL PERF TO SECTOR
3M
1 YEAR
Oil & Gas
BPCL
Chennai Petroleum
GAIL
HPCL
Indraprastha Gas
IOC
IPCL
ONGC
Reliance
-8
4
-1
0
-2
-14
-6
12
8
-22
-6
-2
-15
-14
-19
22
11
86
-19
-6
-11
-11
-13
-25
-17
1
-2
-69
-53
-48
-62
-61
-66
-24
-36
39
-14
-2
-7
-6
-8
-20
-12
6
3
-45
-29
-24
-38
-37
-42
0
-12
63
RELATIVE PERFORMACE - 3 MONTHS (%)
RELATIVE PERFORMANCE - 1 YEAR (%)
Sensex
113
MOSt Oil & Gas Index
150
MOSt Oil & Gas Index
Sensex
109
105
135
120
101
97
Sep-06
Oct-06
Nov-06
Dec-06
105
90
Dec-05
Mar-06
Jun-06
Sep-06
Dec-06
COMPARATIVE VALUATION
CMP (RS)
29.12.06
RECO
FY06
EPS (RS)
FY07E
FY08E
FY06
P/E (X)
FY07E
FY08E
EV/EBITDA
FY06
FY07E
FY08E
FY06
ROE (%)
FY07E
FY08E
Oil & Gas
BPCL
Chennai Petroleum
GAIL
HPCL
IOC
IPCL
Indraprastha Gas
ONGC
Reliance
Sector Aggregate
337
216
262
278
450
288
116
870
1,270
Buy
Neutral
Neutral
Buy
Buy
Sell
Not Rated
Buy
Neutral
14.9
32.3
27.3
12.0
42.2
30.5
7.4
72.0
65.1
34.6
28.2
24.5
28.9
34.4
39.7
9.5
88.8
68.6
44.4
31.7
29.5
35.1
44.9
32.7
11.2
82.1
70.7
22.7
6.7
9.6
23.3
10.7
9.5
15.8
12.1
19.5
13.7
9.7
7.7
10.7
9.6
13.1
7.3
12.3
9.8
18.5
12.2
7.6
6.8
8.9
7.9
10.0
8.8
10.4
10.6
18.0
11.8
11.4
4.1
5.6
16.0
8.0
4.0
7.7
5.8
13.6
8.1
6.3
3.9
6.0
7.6
7.8
2.6
6.2
4.7
12.0
6.8
5.2
4.3
4.2
6.0
6.7
2.5
4.8
4.8
11.3
6.5
6.7
22.4
24.8
4.7
15.5
27.7
29.9
29.8
25.8
22.7
14.1
17.6
19.7
10.8
11.0
27.2
31.6
31.1
28.1
23.1
16.3
17.9
21.1
12.3
12.8
20.3
30.8
24.4
23.4
20.3
29 December 2006
183

Results Preview
SECTOR: OIL & GAS
BPCL
STOCK INFO.
BLOOMBERG
REUTERS CODE
BSE Sensex: 13,787 BPCL IN
S&P CNX: 3,966
BPCL.BO
29 December 2006
Previous Recommendation: Buy
Buy
Rs337
EPS
P/E
(X)
P/BV
(X)
ROE
(%)
ROCE
(%)
EV/
EV/
SALES EBITDA
EPS
(RS) GROWTH (%)
Equity Shares (m)
52-Week Range
1,6,12 Rel. Perf. (%)
M.Cap. (Rs b)
M.Cap. (US$ b)
361.5
503/291
-3/-29/-69
121.8
2.7
YEAR
END *
NET SALES
(RS M)
PAT
(RS M)
3/06A 775,161
3/07E
3/08E
903,542
811,070
5,373
12,502
16,042
14.9
34.6
44.4
-71.0
132.7
28.3
22.7
9.7
7.6
1.4
1.3
1.2
6.7
14.1
16.3
9.2
17.7
21.5
0.3
0.2
0.2
9.9
5.4
4.4
* Consolidated
?
We forecast net profit of Rs1.1b in 3QFY07, the corresponding numbers for the previous year are not available
owing to the Kochi refinery merger. Lower underrecoveries along with Oil Bonds are expected to be the key drivers
of profit.
We estimate refining margin for the quarter at US$2.3/bbl compared with US$0.7/bbl in 3QFY06, which was net of
discounts.
We estimate fuel marketing underrecoveries at Rs18b, with the share of upstream at Rs6.5b. Oil Bonds valued at
Rs7b would contribute to performance.
On a consolidated basis, the stock is trading at 7.6x FY08E earnings and 1.2x FY08E book value. We maintain
Buy.
?
?
?
QUARTERLY PERFORMANCE (MERGED)
Y/E MARCH
1Q
FY06
2Q
2HE
1Q
2Q
FY07
3QE
4QE
FY06
(RS MILLION)
FY07E
Gross Sales
Change (%)
Raw Material Consumed
Staff Cost
Fininshed Goods Purchase
Other Exp (incl Stock Adj)
EBITDA
Change (%)
% of Net Sales
Depreciation
Interest
Other Income
PBT
Tax
Rate (%)
PAT
Change (%)
E: MOSt Estimates
186,543
28.1
54,638
2,078
98,807
26,141
-1,126
-129.3
-0.6
1,829
470
890
-2,535
258
-10.2
-2,793
-250.3
189,565
28.3
76,843
1,864
98,057
31,979
1,222
-74.0
0.6
1,798
461
1,503
466
278
59.7
188
-94.2
475,388
173.5
192,179
4,874
192,980
69,027
9,477
186.8
2.0
4,053
1,543
2,260
6,141
620
10.1
5,521
278.9
254,338
36.3
105,979
2,414
105,801
42,753
-2,609
nm
-1.0
1,814
908
1,091
-4,240
25
-0.6
-4,265
nm
288,323
52.1
120,207
2,087
118,179
30,712
17,138
1,302.5
5.9
1,964
920
2,207
16,461
3,876
23.5
12,585
6,594.1
236,939
110,000
1,900
105,000
16,447
3,592
1.5
2,050
800
700
1,442
349
24.2
1,093
227,216
101,703
1,987
103,515
16,012
4,000
1.8
2,152
835
533
1,545
348
22.5
1,198
851,496
21.1
323,660
8,816
389,844
127,147
9,573
-64.9
0.7
7,680
2,474
4,653
4,072
1,156
14.0
1,297
-86.6
1,006,816
18.2
437,889
8,388
432,495
105,924
22,121
131.1
2.2
7,980
3,463
4,531
15,208
4,598
30.2
10,611
718.4
29 December 2006
184

Results Preview
SECTOR: OIL & GAS
Chennai Petroleum Corporation
STOCK INFO.
BLOOMBERG
REUTERS CODE
BSE Sensex: 13,787 MRL IN
S&P CNX: 3,966
CHPC.BO
29 December 2006
Previous Recommendation: Neutral
Neutral
Rs216
P/E
(X)
P/BV
(X)
ROE
(%)
ROCE
(%)
EV/
EV/
SALES EBITDA
EPS
EPS
(RS) GROWTH (%)
Equity Shares (m)
52-Week Range
1,6,12 Rel. Perf. (%)
M.Cap. (Rs b)
M.Cap. (US$ b)
149.0
274/143
-3/-9/-53
32.2
0.7
YEAR
END
NET SALES
(RS M)
PAT
(RS M)
3/06A 254,092
3/07E
3/08E
294,987
158,365
4,810
4,207
4,725
32.3
28.2
31.7
-19.4
-12.5
12.3
6.7
7.7
6.8
1.4
1.3
1.2
22.4
17.6
17.9
20.5
18.6
14.7
0.2
0.1
0.3
4.1
3.9
4.3
?
We expect net profit of Rs348m, up 63.7% YoY, due to higher refining margins. However, we have not considered
the possible accounting of reimbursement of 1HFY07 product price discounts.
Gross refining margins are estimated at US$3/bbl (no discounts) compared with US$2.7/bbl (net of discounts) in
3QFY06.
Crude throughput is likely to be largely flat YoY at 2.6m. We have not considered the possible accounting of likely
refund of 1HFY07 product price discounts of over Rs1b.
The stock is trading at 6.8x FY08E earnings. We maintain
Neutral.
(RS MILLION)
FY06
1Q
2Q
3Q
4Q
1Q
2Q
FY07
3QE
4QE
FY06
FY07E
?
?
?
QUARTERLY PERFORMANCE
Y/E MARCH
Gross Sales
Change (%)
Raw Materials Cons
Employee Costs
Other Exp (incl Stock Adj)
EBITDA
% of Sales
Change (%)
Depreciation
Interest
Other Income
PBT
Tax
Rate (%)
PAT
Change (%)
E: MOSt Estimates
56,749
87.7
42,832
221
9,372
4,323
7.6
32.4
586
371
171
3,538
1,198
33.9
2,340
43.3
66,151
103.0
50,226
219
11,797
3,908
5.9
35.7
589
425
66
2,960
996
33.6
1,964
53.7
65,377
38.0
51,835
213
12,017
1,313
2.0
-41.9
592
465
66
322
109
33.9
213
-75.9
65,815
24.7
52,887
316
11,247
1,366
2.1
(64.4)
591
480
180
475
121
25.5
354
-83.7
76,367
34.6
58,804
245
12,531
4,789
6.3
10.8
586
426
69
3,845
1,300
33.8
2,546
8.8
77,956
17.8
63,338
353
11,884
2,381
3.1
(39.1)
586
468
146
1,473
500
34.0
973
-50.5
69,725
6.7
53,000
200
15,025
1,500
2.2
14.3
605
450
60
505
157
31.0
348
63.7
70,939
7.8
54,195
195
15,017
1,532
2.2
12.2
625
455
60
512
172
33.6
340
-3.9
254,092
258.2
197,780
968
44,434
10,910
4.3
612.1
2,358
1,740
484
7,295
2,424
33.2
4,871
1,332.8
294,987
16.1
229,337
992
54,457
10,201
3.5
-6.5
2,402
1,799
335
6,335
2,129
33.6
4,207
-13.6
29 December 2006
185

Results Preview
SECTOR: OIL & GAS
GAIL (India)
STOCK INFO.
BLOOMBERG
REUTERS CODE
BSE Sensex: 13,787 GAIL IN
S&P CNX: 3,966
GAIL.BO
29 December 2006
Previous Recommendation: Neutral
Neutral
Rs262
P/E
(X)
P/BV
(X)
ROE
(%)
ROCE
(%)
EV/
EV/
SALES EBITDA
EPS
EPS
(RS) GROWTH (%)
Equity Shares (m)
52-Week Range
1,6,12 Rel. Perf. (%)
M.Cap. (Rs b)
M.Cap. (US$ b)
845.7
325/210
-3/-27/-48
221.2
5.0
YEAR
END
NET SALES
(RS M)
PAT
(RS M)
3/06A 163,513
3/07E
3/08E
177,786
161,513
23,101
20,727
24,976
27.3
24.5
29.5
18.5
-10.3
20.5
9.6
10.7
8.9
2.2
2.0
1.8
24.8
19.7
21.1
40.2
36.0
44.7
1.2
1.1
1.1
5.6
6.0
4.2
?
We expect GAIL to report net profit of Rs4.4b, down 31.2% YoY, due to lower transmission volumes and lower LPG
realization, although higher petrochemical prices and lower subsidy share cushioned the fall.
LPG prices were down 8.6% YoY, while slow ramp-up of gas processing volumes at Hazira, post the flood related
shutdown, would impact transmission volumes through the HBJ system.
Petrochemical prices were up 30.8% YoY, while loss sharing of Rs1.5b was down YoY. However, we have not built
in any impact of lower gas supply on production of PE and/or LPG.
The stock is trading at 8.7x FY08E earnings. We maintain
Neutral.
(RS MILLION)
FY06
1Q
2Q
3Q
4Q
1Q
2Q
FY07
3QE
4QE
FY06
FY07E
?
?
?
QUARTERLY PERFORMANCE
Y/E MARCH
Net Sales
Change (%)
Finished Gds Purchase
Raw Materials Cons
Employee Costs
Other Exp (incl Stock Adj)
EBITDA
% of Net Sales
Change (%)
Depreciation
Interest
Other Income
PBT
Tax
Rate (%)
PAT
Change (%)
E: MOSt Estimates
36,242
11.8
21,439
2,485
534
2,304
9,480
26.2
24.1
2,391
297
499
7,292
2,457
33.7
4,835
42.6
40,738
15.6
24,473
3,698
539
2,684
9,344
22.9
6.4
399
178
1,693
10,461
2,719
26.0
7,742
69.7
44,455
27.9
27,787
4,149
612
2,796
9,111
20.5
-11.1
1,414
406
1,519
8,809
2,377
27.0
6,432
1.2
42,078
27.2
25,396
4,427
528
4,683
7,044
16.7
-3.8
1,391
292
844
6,205
2,112
34.0
4,093
-20.8
47,303
30.5
30,552
5,069
551
1,715
9,416
19.9
-0.7
1,408
288
801
8,521
2,600
30.5
5,921
22.5
43,583
7.0
28,088
4,845
905
3,854
5,891
13.5
-37.0
1,436
291
1,674
5,838
1,354
23.2
4,484
-42.1
41,879
-5.8
26,800
4,300
550
2,729
7,500
17.9
-17.7
1,434
310
926
6,682
2,255
33.7
4,427
-31.2
45,021
7.0
26,750
4,467
598
3,210
9,996
22.2
41.9
1,472
323
582
8,784
2,887
32.9
5,896
44.1
163,513
11.6
99,096
14,758
2,213
12,467
34,979
26.7
-5.5
5,595
1,173
4,555
32,766
9,665
29.5
23,101
3.6
177,786
8.7
112,190
18,681
2,604
11,508
32,803
-81.5
-6.2
5,750
1,212
3,982
29,824
9,096
30.5
20,728
-10.3
29 December 2006
186

Results Preview
SECTOR: OIL & GAS
HPCL
STOCK INFO.
BLOOMBERG
REUTERS CODE
BSE Sensex: 13,787 HPCL IN
S&P CNX: 3,966
HPCL.BO
29 December 2006
Previous Recommendation: Buy
Buy
Rs278
EPS
P/E
(X)
P/BV
(X)
ROE
(%)
ROCE
(%)
EV/
EV/
SALES EBITDA
EPS
(RS) GROWTH (%)
Equity Shares (m)
52-Week Range
1,6,12 Rel. Perf. (%)
M.Cap. (Rs b)
M.Cap. (US$ b)
338.8
361/206
-2/-12/-62
94.3
2.1
YEAR
END
NET SALES
(RS M)
PAT
(RS M)
3/06A 769,203
3/07E
3/08E
927,663
825,987
4,056
9,787
11,898
12.0
28.9
35.1
-68.2
141.3
21.6
23.3
9.6
7.9
1.1
1.0
0.9
4.7
10.8
12.3
2.4
11.6
15.4
0.2
0.2
0.2
16.0
7.6
6.0
?
We forecast net profit of Rs1.7b, against losses of Rs10.8b in 3QFY06. Lower underrecoveries along with Oil Bonds
are expected to be the key drivers of profit. However, relatively weak refining margins would pull down profits.
We estimate refining margin for the quarter at US$2/bbl versus US$0.2/bbl in 3QFY06. Refinery throughput is
expected to be over 8.7% at 4m ton.
We estimate fuel marketing under recoveries at Rs15.8b, with share of upstream and Oil Bonds bridging part of the
gap, with a contributions of Rs4.7b and Rs5.3b respectively.
The stock is trading at 7.9x FY08E earnings and 0.9x FY08E book value. We maintain
Buy.
?
?
?
QUARTERLY PERFORMANCE
Y/E MARCH
1Q
2Q
FY06
3Q
4Q
1Q
2Q
FY07
3QE
4QE
FY06
(RS MILLION)
FY07E
Sales
Change (%)
Raw Material Consumed
Staff Cost
Fininshed Goods Purchase
EBITDA
% of Net Sales
Change (%)
Depreciation
Interest
Other Income
PBT
Tax
Rate (%)
PAT
Change (%)
E: MOSt Estimates
163,621
8.9
48,826
1,590
100,141
-3,934
-2.4
-175.9
1,663
142
682
-5,056
23
-0.4
-5,079
-305.4
178,886
18.5
56,016
1,478
116,105
4,529
758
0.4
-87.6
1,744
309
789
-505
-284
56.2
-221
-107.5
199,306
13.4
72,229
1,711
97,982
36,180
-8,796
-4.4
-289.3
1,751
559
504
-10,602
176
-1.7
-10,778
-556.8
227,390
29.8
78,751
2,116
100,102
26,894
19,528
8.6
327.8
1,745
578
1,810
19,014
-1,120
-5.9
20,134
302.8
226,795
38.6
90,409
1,657
114,243
25,652
-5,166
-2.3
nm
1,701
596
1,021
-6,442
-366
5.7
-6,077
nm
262,351
46.7
100,016
2,202
121,223
22,447
16,462
6.3
2,070.4
1,742
983
1,925
15,663
3,443
22.0
12,220
nm
217,391
9.1
85,000
2,000
98,000
29,250
3,141
1.4
nm
1,745
775
1,800
2,421
711
29.4
1,710
nm
221,127
-2.8
86,091
2,298
101,154
27,769
3,815
1.7
-80.5
1,742
775
1,800
3,098
1,164
37.6
1,934
-90.4
769,203
17.9
255,822
6,895
414,330
84,600
7,556
1.0
-63.2
6,902
1,587
3,785
2,851
-1,205
-42.3
4,056
-68.2
927,663
20.6
361,516
8,157
434,620
105,118
18,252
2.0
141.6
6,930
3,129
6,546
14,739
4,952
33.6
9,787
141.3
Other Exp, Levies and Stock Adj. 16,997
29 December 2006
187

Results Preview
SECTOR: OIL & GAS
Indian Oil Corporation
STOCK INFO.
BLOOMBERG
REUTERS CODE
BSE Sensex: 13,787 IOC IN
S&P CNX: 3,966
IOC.BO
29 December 2006
Previous Recommendation: Buy
Buy
Rs450
EPS
P/E
(X)
P/BV
(X)
ROE
(%)
ROCE
(%)
EV/
EV/
SALES EBITDA
EPS
(RS) GROWTH (%)
Equity Shares (m)
52-Week Range
1,6,12 Rel. Perf. (%)
M.Cap. (Rs b)
M.Cap. (US$ b)
1,168.0
622/310
1/-17/-66
525.7
7.9
YEAR
END
NET SALES
(RS M)
PAT
(RS M)
3/06A 1,613,166
3/07E 2,392,322
3/08E 1,601,431
*
Consolidated
49,324
40,173
52,450
42.2
34.4
44.9
-9.8
-18.6
30.6
10.7
13.1
10.0
1.5
1.4
1.2
15.5
11.0
12.8
17.5
14.7
15.3
0.4
0.2
0.4
7.1
6.8
5.9
?
We expect IOC to record net profit of Rs7.7b, on the back of relatively low fuel marketing underrecoveries, despite
weaker refining margins. New PX/PTA plant would have been a key contributor, given the strong PX prices and
margins.
Refining margin is likely to be US$3/bbl compared with US$3.4/bbl in 3QFY06.
Crude throughput at 11.1m tons would be up 5.7% YoY.
The stock is trading at 10x FY08E earnings and 1.2x FY08E book value. We maintain
Buy.
?
?
?
QUARTERLY PERFORMANCE (STANDALONE)
Y/E MARCH
1Q
2Q
FY06
3Q
4Q
1Q
2Q
FY07
3QE
4QE
FY06
(RS MILLION)
FY07E
Net Sales
Change (%)
Raw Material Consumed
Staff Cost
Fininshed Goods Purchase
Other Exp (incl Stock Adj)
EBITDA
% of Net Sales
Change (%)
Depreciation
Interest
Other Income
PBT
Tax
Rate (%)
PAT
Change (%)
PAT incl Extra-ordinaries
386,235
7.3
138,141
4,355
221,652
17,427
4,661
1.2
-82.5
5,439
1,684
2,115
-347
196
-56.5
-542
-103.7
400,452
12.9
159,771
4,335
222,421
-919
14,844
3.7
-20.3
5,215
2,497
6,021
13,153
3,657
27.8
9,496
-23.4
442,936
11.1
182,479
4,368
219,312
35,169
1,608
0.4
-86.6
5,549
3,225
5,796
-1,369
-1,310
95.7
-58
-100.5
507,844
24.1
198,831
5,380
237,558
13,770
52,305
10.3
257.9
5,802
2,817
11,986
55,672
15,367
27.6
40,306
351.4
486,884
26.1
200,298
4,893
262,155
27,983
-8,445
-1.7
-281.2
5,750
3,344
3,153
-14,387
56
-0.4
-14,443
nm
17,805
577,665
44.3
249,671
6,188
271,402
10,045
40,359
7.0
171.9
6,650
3,619
6,176
36,267
5,765
15.9
30,503
221.2
485,816
9.7
210,000
4,500
225,000
30,500
15,816
3.3
883.4
6,500
3,200
3,350
9,466
1,807
19.1
7,659
nm
454,458 1,737,467 2,004,823
-10.5
207,508
3,531
202,419
19,310
21,690
4.8
-58.5
6,210
3,266
1,738
13,952
3,058
21.9
10,894
-73.0
14.1
679,221
18,438
900,943
65,448
73,418
4.2
2.1
22,005
10,222
25,918
67,109
17,909
26.7
49,201
0.6
15.4
867,477
19,112
960,976
87,839
69,420
3.5
-5.4
25,110
13,429
14,417
45,299
10,686
23.6
34,613
-29.7
66,861
E: MOSt Estimates; While the numbers above are consolidated; the numbers in the table are standalone
29 December 2006
188

Results Preview
SECTOR: OIL & GAS
Indraprastha Gas
STOCK INFO.
BLOOMBERG
REUTERS CODE
BSE Sensex: 13,787 IGL IN
S&P CNX: 3,966
IGAS.BO
29 December 2006
Not Rated
Rs116
EPS
EPS
P/E
(X)
P/BV
(X)
ROE
(%)
ROCE
(%)
EV/
EV/
(RS) GROWTH (%)
SALES EBITDA
Equity Shares (m)
52-Week Range
1,6,12 Rel. Perf. (%)
M.Cap. (Rs b)
M.Cap. (US$ b)
140.0
154/86
-4/-24/-61
16.2
0.4
YEAR
END
NET SALES
(RS M)
PAT
(RS M)
3/06A
3/07E
3/08E
5,176
6,098
6,816
1,030
1,324
1,566
7.4
9.5
11.2
11.1
28.5
18.3
15.8
12.3
10.4
4.3
3.5
2.9
29.9
31.6
30.8
36.9
37.4
33.3
3.1
2.6
2.1
7.7
6.2
4.8
?
?
We expect IGL to report PAT of Rs347m in 3QFY07, up 18.3% YoY.
While CNG and PNG volumes are expected to grow CNG growth would be lower than the trend owing to the base
effect as well as maturing penetration.
Conversion of passenger vehicles remains the key growth driver in the case of CNG, even as volumes from buses
peak out.
IGL is trading at 10.4x FY08E EPS. The stock is
Not Rated.
?
?
QUARTERLY PERFORMANCE
Y/E MARCH
1Q
2Q
FY06
3Q
4Q
1Q
2Q
FY07
3QE
4QE
FY06
(RS MILLION)
FY07E
Net Sales
Change (%)
Raw Material Consumed
Staff Cost
Other Exp (incl Stock Adj)
EBITDA
% of Net Sales
Change (%)
Depreciation
Interest
Other Income
PBT
Tax
Rate (%)
PAT
Change (%)
E: MOSt Estimates
1,140
7.2
521
21
161
437
38.3
1.6
134
7
8
305
103
33.7
202
2.3
1,341
17.1
599
26
179
538
40.1
14.9
138
6
10
404
133
33.1
270
28.7
1,370
16.1
579
29
181
582
42.4
27.4
143
6
7
440
147
33.4
293
32.5
1,357
16.3
556
39
181
581
42.8
18.6
151
3
27
454
157
34.5
298
0.2
1,358
19.1
586
31
199
541
39.9
3.9
150
0
22
413
137
33.1
276
36.5
1,542
15.0
675
36
186
645
41.9
4.4
150
0
23
518
170
32.9
348
28.7
1,581
15.4
685
36
200
660
41.7
-1.7
160
0
28
528
181
34.3
347
18.3
1,617
19.2
698
36
210
674
41.6
-2.7
161
0
20
533
181
34.0
352
18.1
5,209
14.3
2,255
115
702
2,137
41.0
15.6
565
22
53
1,603
540
33.7
1,064
14.8
6,098
17.1
2,644
139
795
2,520
41.3
17.9
621
0
93
1,992
669
33.6
1,323
24.4
29 December 2006
189

Results Preview
SECTOR: OIL & GAS
IPCL
STOCK INFO.
BLOOMBERG
REUTERS CODE
BSE Sensex: 13,787 IPCL IN
S&P CNX: 3,966
IPCL.BO
29 December 2006
Previous Recommendation: Sell
Sell
Rs288
EPS
P/E
(X)
P/BV
(X)
ROE
(%)
ROCE
(%)
EV/
EV/
SALES EBITDA
EPS
(RS) GROWTH (%)
Equity Shares (m)
52-Week Range
1,6,12 Rel. Perf. (%)
M.Cap. (Rs b)
M.Cap. (US$ b)
301.5
325/185
4/-21/-24
86.9
2.0
YEAR
END
NET SALES
(RS M)
PAT
(RS M)
3/06A
3/07E
3/08E
84,690
112,959
100,966
9,195
11,973
9,858
30.5
39.7
32.7
-3.4
30.2
-17.7
9.5
7.3
8.8
1.9
1.5
1.3
27.7
27.2
20.3
33.3
38.5
28.6
0.8
0.6
0.5
4.0
2.6
2.5
?
?
We expect net profit of Rs3b, driven by higher petrochemical prices and margins.
PE and PP spread over imported propane were up 6% and down 3.6% YoY, while the spread over gas was up 14.3%
and 5.3% YoY. Spreads over naphtha too were up 30.8% and 16.8% YoY respectively.
MEG spreads over propane and gas were down 31.5% and 14% YoY, respectively. PVC prices were flat, while
LAB prices were 11.5% YoY.
Gas processing ramp-up by ONGC at Hazira, could have impacted supply to IPCL, which could not be verified. If
impacted, margins would be lower than forecast as gas shortfall would be supplemented by high cost propane.
The stock is trading at 8.8x FY08E earnings. We maintain
Sell.
?
?
?
QUARTERLY PERFORMANCE (MERGED)
Y/E MARCH
1Q
2Q
FY06
2HE
1Q
2Q
FY07
3QE
4QE
FY06
(RS MILLION)
FY07E
Net Sales
Change (%)
Change in Stocks
Raw Material Consumed
Staff Cost
Other Expenses
EBITDA
% of Net Sales
Depreciation
Interest
Other Income
PBT
Tax
Rate (%)
Adjusted PAT
Change (%)
Reported PAT
E: MOSt Estimates
26,210
-210
13,580
1,120
7,050
4,670
17.8
1,430
370
400
3,270
940
28.7
2,330
2,330
25,880
-1,200
14,320
1,140
7,010
4,610
17.8
1,400
390
340
3,160
806
25.5
2,354
3,210
57,130
196.5
-920
30,190
2,290
14,610
10,960
19.2
2,780
590
730
8,320
2,220
26.7
6,100
6,100
30,180
15.1
1,750
14,960
1,390
6,490
5,590
18.5
1,320
510
620
4,380
1,800
41.1
2,580
10.7
2,580
30,480
17.8
-1,360
17,290
1,210
6,970
6,370
20.9
1,350
370
1,180
5,830
2,320
39.8
3,510
49.1
3,510
30,920
0
16,750
1,250
7,000
5,920
19.1
1,350
375
750
4,945
1,929
39.0
3,016
3,016
21,379
109,220
-2,330
58,090
4,550
112,959
3.4
16,779
4,600
1,679
420
1,250
3,752
885
23.6
2,867
2,867
28,670
20,240
5,610
1,350
1,470
14,750
3,966
10,784
11,640
90,479
22,480
19.9
5,699
1,675
3,800
18,907
6,934
36.7
11,973
11.0
11,973
29 December 2006
190

Results Preview
SECTOR: OIL & GAS
ONGC
STOCK INFO.
BLOOMBERG
REUTERS CODE
BSE Sensex: 13,787 ONGC IN
S&P CNX: 3,966
ONGC.BO
29 December 2006
Previous Recommendation: Buy
YEAR
END
NET SALES
(RS B)
PAT
(RS B)
EPS
EPS
P/E
(X)
P/BV
(X)
ROE
(%)
ROCE
(%)
EV/
(RS) GROWTH (%)
Buy
Rs870
EV/
SALES EBITDA
Equity Shares (m)
52-Week Range
1,6,12 Rel. Perf. (%)
M.Cap. (Rs b)
M.Cap. (US$ b)
2,138.9
1,009/620
0/-12/-36
1,860.9
42.0
3/06A
3/07E
3/08E
706.4
875.6
805.0
154.0
190.0
175.7
72.0
88.8
82.1
7.4
23.4
-7.5
12.1
9.8
10.6
3.4
2.8
2.4
29.8
31.1
24.4
34.3
36.3
29.2
2.6
2.0
2.2
5.9
4.8
4.8
* Consolidated
?
We estimate ONGC’ net profit at Rs35.4b, down 8.9% YoY, despite higher crude prices, on account of lower gas
s
production.
Bonnylight prices for the quarter were up 5% YoY at US$61.6/bbl.
ONGC is likely to bear Rs25.9b as part of loss sharing.
Oil and gas throughput losses on account of continuing ramp-up of the flood affected processing facility at Hazira,
would impact earnings during the quarter.
The stock is trading at 10.6x FY08E earnings. We reiterate
Buy.
(RS BILLION)
FY06
1Q
2Q
3Q
4Q
1Q
2Q
FY07
3QE
4QE
FY06
FY07E
?
?
?
?
QUARTERLY PERFORMANCE (STANDALONE)
Y/E MARCH
Net Sales
Change (%)
Raw Material and Purchases
Statutory Levies
Employee Costs
Other Exp (incl Stock Adj)
EBITDA
% of Net Sales
Change (%)
Depreciation
Interest
Other Income
PBT
Tax
Rate (%)
PAT
Change (%)
E: MOSt Estimates
108.7
5.6
9.7
25.0
2.8
10.2
61.1
56.2
18.5
13.5
0.0
3.0
50.5
17.3
34.3
33.2
43.8
126.8
7.3
12.7
26.6
2.4
13.6
71.6
56.4
12.5
19.4
0.1
8.6
60.8
19.4
31.9
41.4
22.3
124.8
3.1
5.8
27.1
2.5
15.8
73.6
59.0
17.1
20.1
0.1
5.6
59.0
20.2
34.2
38.9
11.3
119.0
-2.1
9.9
18.3
5.0
18.5
67.3
56.5
5.5
31.6
0.3
6.3
41.7
17.2
41.3
24.5
-35.6
146.0
34.3
17.5
31.1
3.0
13.3
81.1
55.5
32.8
22.3
0.0
4.2
63.0
21.8
34.6
41.2
24.1
140.7
11.0
17.0
29.8
6.3
17.2
70.4
50.0
-1.6
18.5
0.0
9.4
61.3
19.5
31.9
41.7
0.9
119.3
-4.4
0.7
29.3
2.5
15.7
71.2
59.7
-3.2
22.0
0.0
4.5
53.7
18.3
34.1
35.4
-8.9
125.9
5.8
0.7
31.7
3.6
15.7
74.2
58.9
10.3
22.8
0.0
4.9
56.3
19.3
34.3
37.0
51.1
479.2
3.4
38.1
97.0
12.7
58.0
273.5
57.1
13.1
84.6
0.5
23.5
212.0
74.1
34.9
137.9
6.2
531.9
11.0
35.8
121.9
15.4
61.9
296.9
55.8
8.6
85.6
0.1
23.0
234.2
78.9
33.7
155.3
12.6
29 December 2006
191

Results Preview
SECTOR: OIL & GAS
Reliance Industries
STOCK INFO.
BLOOMBERG
REUTERS CODE
BSE Sensex: 13,787 RIL IN
S&P CNX: 3,966
RELI.BO
29 December 2006
Previous Recommendation: Neutral
YEAR
END
NET SALES
(RS M)
PAT
(RS M)
EPS
EPS
P/E
(X)
P/BV
(X)
ROE
(%)
ROCE
(%)
Neutral
Rs1,270
EV/
EV/
SALES EBITDA
(RS) GROWTH (%)
Equity Shares (m)
52-Week Range
1,6,12 Rel. Perf. (%)
M.Cap. (Rs b)
M.Cap. (US$ b)
1,393.5
1,350/665
1/-10/39
1,770.2
40.0
3/06A
3/07E
3/08E
812,113
1,057,012
906,118
90,693
95,660
98,561
65.1
68.6
70.7
19.8
5.5
3.0
19.5
18.5
18.0
5.9
4.7
3.8
25.8
28.1
23.4
23.8
23.4
21.4
2.4
1.9
2.2
13.6
12.0
11.3
?
We expect net profit of Rs22.6b, up 27% YoY, despite relatively weak refining margins, on higher petrochemical
margins and higher crude throughput.
We expect refining margin of US$8.5/bbl versus US$9.1/bbl in 3QFY06. We expect crude throughput of 8.1m ton, up
from 6.7m ton in 3QFY07, which was down sharply on account of refinery shutdown.
Across-the-board improvement in petrochemical margins would be the key driver of earnings in 3QFY07. Polymer
spreads were up 17-30% YoY, while integrated polyester margins were up 5-14%. Aromatics and butadiene too were
strong YoY. Petrochemical volumes too would be up YoY on account of new PP, PX / PTA and polyester plants.
The stock is trading at a P/E of 18x FY08E and EV/EBITDA of 11.3x FY08E. We maintain
Neutral.
(RS BILLION)
FY06
1Q
2Q
3Q
4Q
1Q
2Q
FY07
3QE
4QE
FY06
FY07E
?
?
?
QUARTERLY PERFORMANCE
Y/E MARCH
Net Sales
Change (%)
Inc/Dec in Stock
RM - External Purchases
Staff Cost
Other Expenditure
EBITDA
% of Net Sales
Change (%)
Depreciation
Interest
Other Income
PBT
Tax
Rate (%)
PAT
Change (%)
E: MOSt Estimates
177,840
24.5
-14,900
135,400
2,530
19,150
35,660
20.1
27.1
7,910
2,370
1,940
27,320
4,220
15.4
23,100
60.8
207,170
28.2
-7,990
152,280
2,590
23,170
37,120
17.9
17.1
8,040
2,220
2,220
29,080
4,270
14.7
24,810
41.6
181,680
2.3
-8,050
133,580
2,510
23,880
29,760
16.4
-9.5
8,240
1,940
1,800
21,380
3,620
16.9
17,760
-15.1
245,420
37.6
9,630
162,160
2,150
31,020
40,460
16.5
14.1
9,820
2,250
870
29,260
4,240
14.5
25,020
9.2
245,220
37.9
-6,270
181,520
3,180
24,420
42,370
17.3
18.8
9,070
2,660
440
31,080
5,610
18.1
25,470
10.3
284,740
37.4
-8,730
223,850
2,840
21,130
45,650
16.0
23.0
10,180
2,780
220
32,910
5,820
17.7
27,090
9.2
265,420
46.1
10,000
184,000
2,600
28,170
40,650
15.3
36.6
10,218
2,961
160
27,631
5,072
18.4
22,558
27.0
261,633
6.6
5,000
185,625
2,548
30,247
38,213
14.6
-5.6
10,218
3,100
143
25,038
4,496
18.0
20,542
-17.9
812,110 1,057,013
23.0
-21,310
583,420
9,780
97,220
143,000
17.6
11.6
34,010
8,780
6,830
107,040
16,350
15.3
90,690
19.8
30.2
0
774,995
11,168
103,967
166,883
15.8
16.7
39,687
11,501
963
116,658
20,998
18.0
95,660
5.5
29 December 2006
192

Results Preview
QUARTER ENDED DECEMBER 2006
Pharmaceuticals
BSE Sensex: 13,787
S&P CNX: 3,966
29 December 2006
COMPANY NAME
PG.
Aurobindo Pharma
Aventis Pharma
Biocon
Cadila Healthcare
Cipla
Divi’ Laboratories
s
Dr Reddy’ Labs.
s
GSK Pharma
Jubilant Organosys
Lupin
Matrix Laboratories
Nicholas Piramal
Pfizer
Ranbaxy Labs.
Shasun Chemicals
Sun Pharmaceuticals
Wockhardt
201
202
203
204
205
206
207
208
209
210
211
212
213
214
215
216
217
MNC performance likely to disappoint
MOSt Pharma universe is expected to report 3QFY07E sales growth of 29% YoY,
driven by 40% YoY sales growth for the Big-3 generic companies. We expect MNC
Pharma to report top-line growth of only 5.5% compared with the 25% growth expected
from the other Indian pharmaceutical companies (excl. Big-3 generics). The Big-3 generic
companies’ growth will be primarily driven by sales of Simvastatin under 180-days
exclusivity (Ranbaxy for 80mg and Dr. Reddy’ being authorized generic). Consolidation
s
of acquired companies – Terapia for Ranbaxy and Betapharm for Dr. Reddy’ – is also
s
likely to contribute to top-line growth. Improvement in the base business would also
contribute to growth for Dr. Reddy’
s.
Other Indian companies are expected to report good top-line growth as their initiatives
in regulated markets start contributing to revenues. Overall EBITDA margins for MOSt
Pharma universe are expected to improve by 336bp YoY, as the Big-3 report strong
margin expansion on the low base of last year. EBITDA margins for the Big-3 generic
companies are likely to improve by 754bp while that for the MNC players and other
Indian companies are expected to remain stable.
Overall, we expect MOSt Pharma universe’ PAT to grow by 36% YoY, with MNC
s
Pharma reporting growth of only 10% YoY and other Indian Pharma group’ PAT growing
s
by 22%. The Big-3 generic companies are expected to record 78% PAT growth due to
(RS MILLION)
SALES
DEC.06
CHG. (%)
DEC.06
EBITDA
CHG. (%)
NET PROFIT
DEC.06
CHG. (%)
EXPECTED QUARTERLY PERFORMANCE SUMMARY
RECO
Pharmaceuticals
Aurobindo Pharma
Aventis Pharma
Biocon
Cadila Health
Cipla
Divis Labs
Dr Reddy’ s Labs
GSK Pharma
Jubiliant Organosys
Lupin
Matrix
Nicholas Piramal
Pfizer
Ranbaxy Labs
Shasun Chemicals
Sun Pharma
Wockhardt
Sell
Buy
Buy
Buy
Buy
Neutral
Buy
Buy
Buy
Buy
Neutral
Buy
Neutral
Buy
Buy
Buy
UR
4,855
2,346
2,378
4,428
9,319
1,495
14,013
3,298
5,246
5,065
3,945
5,987
1,362
16,029
1,123
5,131
4,618
18.7
21.6
19.4
19.8
19.4
38.5
137.6
3.8
23.9
18.6
15.8
48.7
-11.3
12.2
13.1
21.1
26.2
28.9
801
616
636
859
2,105
407
2,021
746
984
842
444
913
362
2,623
193
1,597
931
17,079
37.7
22.4
8.0
31.9
32.4
30.7
354.2
12.5
52.3
46.3
33.7
104.7
-16.0
301.1
-5.0
8.2
9.4
56.0
499
411
403
474
1,720
257
1,021
645
618
623
246
564
244
1,572
92
1,721
682
11,791
90.4
9.4
-8.2
15.0
-1.9
35.8
175.7
26.0
68.9
40.9
-36.6
134.1
-17.2
426.3
-28.8
17.5
-6.5
36.1
Sector Aggregate
90,640
Shasun: Excluding recent acquisition of Rhodia
Nimish Desai (Nimishdesai@MotilalOswal.com); Tel: +91 22 39825406/Jinesh K Gandhi (Jinesh@MotilalOswal.com); Tel +91 22 39825416
29 December 2006
193

Pharmaceuticals
significant contribution from one-time opportunities. Performance of MNCs is likely to be
impacted by company-specific factors – supply issues for GSK, divestment of consumer
healthcare business for Pfizer and export sales decline for Aventis.
Intensifying generic competition …
Competition in generic markets is likely to remain intense due to entry of new players
leading to significant price erosions. We do not expect any improvement in the competitive
scenario in the near future, as new players entering the market are bound to play the price
game, resulting in a continuous pressure on prices. However, as prices for off-patent
drugs quote at about 5% of innovator’ price (post patent expiry), we do not expect a
s
further deterioration in the pricing environment.
… and major patent challenge losses…
We believe that the low-hanging fruits have been plucked, i.e., the easier patent challenges
are already through. Hence, going forward, generic companies need to confront the
innovators very carefully. The innovators, themselves, have turned very aggressive in the
last 1-2 years and have employed various means (such as authorized generics, patent de-
listings etc.) to make patent challenges unattractive for generic companies.
… leading to pragmatic settlements by generic players …
Intensified generic competition coupled with major patent challenge losses has resulted in
generic companies resorting to patent settlements with the innovators for certain products.
The point in case includes settlement for Provigil (Cephalon-Teva and Ranbaxy), Lexapro
(Forest-AlphaPharma), Effexor XR (Wyeth-Teva) and Lamictal (GSK-Teva). Key point
to note is that the world’ largest generic company (Teva) is also resorting to patent
s
settlements despite its strong balance sheet and huge size.
… and forcing companies to consolidate
It is pertinent to note that many generic players (including most of the Indian companies)
are looking at acquisitions to boost their generic businesses and scale of operations. The
need to resort to inorganic growth has been accentuated by the recent consolidation in the
global generics space with Teva and Sandoz announcing significantly large acquisitions in
2005. This implies that, in their quest for inorganic growth, generic players may end up
acquiring expensive assets (resulting in extended paybacks). The acquisitions made by
both Teva and Sandoz have valued the acquired company at about 3-4x sales.
Global Generics on an acquisition spree; what to expect in 2007
The global generics business is witnessing increased competition leading to a consolidation
wave. We believe that the consolidation efforts will further intensify and are likely to result
in significant changes in the global landscape for the generic players. Barring the top two
players (i.e. Teva and Sandoz), the global rankings for most of the other generic players
are likely to undergo a major change over the next two years.
29 December 2006
194

Pharmaceuticals
The global generics industry has witnessed a spate of high-value acquisitions in the past
one year. Key factors which triggered these acquisitions were:
?
Acquire scale in the global generic industry and expand product offerings - primarily
driven by increased competition in the generics business
?
Exploit backward integration synergies in manufacturing
?
Prevent competitors from entering/strengthening presence in key markets (mainly
USA & Europe).
KEY ACQUISITIONS — SOME DETAILS
ACQUIRER
ACQUIRED
COMPANY
COUNTRY
ACQUISITION
DATE
COST OF
EV/
EV/
ACQUISITION (US$M)
SALES (X) EBITDA (X)
Sandoz
Matrix Labs
Teva
Actavis
Dr. Reddy’ Labs
s
Watson
Ranbaxy
Barr Labs (proposed)
Mylan Labs
Hospira
Hexal &
Eon
DocPharma
Ivax
Alpharma
Betapharm
Andrx
Terapia
Pliva
Matrix Labs
Mayne Pharma
Hexal - Germany,
Eon - USA
Belgium
USA
USA
Germany
USA
Romania
Croatia
India
Australia
Feb-05
Jun-05
Jul-05
Oct-05
Feb-06
Mar-06
Mar-06
Jun-06
Aug-06
Sep-06
7,769
238
7,400
810
576
1,900
324
2,578
736
2,000
3.7
2.0
3.3
1.0
2.9
1.8
4.1
2.1
3.1
2.9
11.9
17.4
24.6
10.4
11.7
52.8
11.6
18.3
22.5
17.9
Source: Company/Motilal Oswal Securities
Western players gaining access to India advantage
In recognition of the high quality skill base available in India, and flexibility to shift parts of
large projects across continents as also reduce costs substantially, a large number of
European and US companies set up R&D centers in India. This move, with the other
emergent trend of buying existing API units or setting up greenfield API units in India and
collaborating with Indian players, will offer companies from the regulated markets an
opportunity to compete on the same cost base and access the same expertise. This would
enable western players to sustain over the entire life cycle of generic products. This also
implies that the competition for talent is increasing as also the pressure on resources
required for staying world class. Recent example of this trend includes Mylan's acquisition
of 71% stake in Matrix Labs.
Outsourcing opportunity gaining traction
More MNCs are visiting India for CRAMS tie-ups. We believe that India offers a unique
combination of skilled labor (at low costs), international regulatory compliance, IPR
protection, presence across CRAMS value chain and good quality. Most of the CRAMS
players are expecting a ramp-up in their contract manufacturing revenues.
Merck (USA) has recently announced that it expects to save about 30% of its manufacturing
costs by outsourcing from India and China. We believe that India could be a significant
beneficiary of the increased outsourcing.
29 December 2006
195

Pharmaceuticals
Indian CRAMS players are also looking at acquisitions
Most of the Indian CRAMS players are looking at acquisitions to acquire more customer
relationships and contracts as well as to get access to critical technologies. Nicholas Piramal
has already announced two acquisitions (Avecia and Pfizer’ UK unit at Morpeth) while
s
Shasun has acquired Rhodia’ custom manufacturing unit in UK. Dishman Pharma has
s
acquired Carbogen-AMCIS in Switzerland.
Most of the acquired companies were divested by their existing owners (mostly large
pharmaceutical/chemicals companies) as a part of their strategy of divesting non-core
assets. It is pertinent to note that most of these companies had invested significant resources
some years ago to establish their presence in the CRAMS space. Failure/withdrawal of
some large molecules, intense generic competition and low R&D productivity (at the
customer’ end) has adversely impacted most of the CRAMS players in Europe and USA
s
over the past three years. This coupled with high fixed costs forced the owners to divest
these assets, which have been purchased by Indian CRAMS players at very reasonable
valuations (0.5-1x sales).
Top-line growth is imperative for turnaround of acquired CRAMS companies
Although, Indian CRAMS players have acquired these assets at very reasonable valuations
(0.5-1x sales), high fixed costs mandate that a turnaround is not feasible without top-line
growth. It is also important to note that most of these CRAMS assets were divested post
restructuring (by their existing owners) implying that; there may not be any significant
room to cut costs further.
Turnaround may be achieved faster than anticipated
We are positively surprised by the increased business traction in the acquired CRAMS
companies. Increased order-flow coupled with a positive outsourcing stance (by the
innovator pharmaceutical companies) is helping CRAMS players to gain increased traction
in the custom manufacturing business. Carbogen-AMCIS, Avecia and Shasun’ UK units
s
are all witnessing better top-line growth. We believe that this is likely to shorten the turnaround
time for these companies (mainly for Avecia and Shasun).
New Pharma Policy: Uncertainty continues
The outlook on the New Pharmaceutical Policy continues to be uncertain as the government
is yet to announce the final policy. We believe that there are still differences between the
government and the pharmaceutical industry which need to be ironed out. Major differences
concern the span and extent of price control on pharmaceutical products. Media reports
suggest that the government is not fully satisfied with the price cuts implemented by the
pharmaceutical industry in the generic-generics segment.
The pharmaceutical industry wants only 62 drugs of the 354 drugs (663 formulations) in
the National List of Essential Medicine (NLEM), to come under price monitoring
mechanism. The drugs, which the industry did not want to be subjected to price control
29 December 2006
196

Pharmaceuticals
includes anti-cancer and anti-retroviral, formulations under the public health program, hospital
supply products, and formulations having MRP below Rs3 per unit.
On the 62 drugs which will be subjected to price monitoring, the industry has offered to roll
back prices by six months from the date of the new DPCO order. It has also offered an
additional 5% reduction on the prices. However, the Chemicals Ministry has recommended
that the total number of drugs under price control should be 354 (i.e. all the drugs that are
part of the NLEM).
It is important to note that these are only recommendations, pending the announcement of
the final new drug policy. These recommendations may or may not undergo a change in
the final policy when the proposed policy is tabled in the Union Cabinet for approval.
Domestic market – showing double digit growth
The domestic formulation industry, after almost 4-5 years of single-digit growth, has shown
signs of improvement with the industry recording 18.5% growth (YTD-September 2006).
While the strong growth has primarily been driven by higher volumes, we also note that for
the first time in last 5 years, industry is witnessing positive price contribution (about 2-3%).
DOMESTIC MARKET CONTINUES TO GROW AT DOUBLE DIGITS
25
18
11
4
-3
Strong grow th of 24.7% on low base w hich
w as impacted due to VAT
VAT impact
Source: CrisInfac/Industry
We attribute the higher growth in the domestic market to the following factors:
?
Higher volumes and increased penetration.
?
Positive price contribution.
?
One-time impact of higher sales of anti-infectives and pain killers due to the sudden
emergence of certain infectious diseases over the past few months.
?
Contribution from new launches in the form of combination products.
29 December 2006
197

Pharmaceuticals
Outlook
Generics
We believe that the worst is over for Indian generic companies and expect a gradual
improvement in their performance over the next two years. CY05 and CY06 were the
worst years for generics mainly due to:
?
Increased competition due to aggressive filings from Indian companies and entry of
new players
?
Innovators have adopted an aggressive stance including price cuts (on branded
products), introduction of authorized generics, patent de-listing, and defending IPRs
vigorously.
?
Twin impact of intense competition and very few new launches due to lower number
of patent expiries.
?
What has changed over 2005-2006?
?
CY07-CY08 to witness patent expiry worth over US$30b leading to more new
launches – takes care of one of key impediments for generics.
?
Pricing to remain intensely competitive due to entry of more players and
government pressure – however, further price deterioration is unlikely, as generic
prices are already at 5% on the innovator price
?
Expect more consolidation as generics gain scale and expand geographical reach
?
Indian generic companies have initiated cost-cutting measures (including R&D
hive off)
?
Generics and innovators adopting a more pragmatic stance on patent litigations
leading to settlements. This may result in lower litigation costs for generics.
?
Governments worldwide are trying to reduce healthcare costs – expect regulations
to remain favorable.
Besides the gradual improvement in business, the recent acquisitions announced by generic
companies are likely to have a positive impact on the operations. One-time product specific
opportunities (like generic Allegra, Zocor and Proscar for DRL, Zocor for Ranbaxy) are
likely to generate reasonable cash-flows for these companies. It should be noted that our
estimates do not include the upsides from these one-time opportunities. Our top picks in
the generic space are
Ranbaxy
and
Cipla.
MNC Pharma
We remain favorably inclined towards MNC Pharma stocks from a long-term perspective.
In our view, the current risk-reward equation is stacked in favor of MNC stocks. Leading
Pharma MNCs are geared to gain from the opportunities arising in the stronger patent
regime post 2005. We remain bullish on the long-term prospects of these companies. The
potential upside from product patents would create ‘
option value’in these stocks over the
longer term.
29 December 2006
198

It should be noted that some of the patented products may be launched by the parent
through the 100% subsidiary route. However, we believe that most of the mass-market
products (which need a large field force for promotion) are likely to be launched through
the listed entities. Our top picks among MNCs are
GSK Pharma
and
Aventis.
CRAMS
We also believe that the Indian contract-manufacturing segment will see secular growth
(given India’ advantages) with the financial impact visible from FY08/09 onwards. We
s
remain favorably inclined towards CRAMS players like
Nicholas Piramal
and
Shasun.
TREND IN GROWTH / PROFITABILITY OF DIFFERENT SEGMENTS OF THE INDUSTRY (OCTOBER-DECEMBER QUARTER)
INQUIRE PHARMA UNIVERSE
AGGREGATES
SALES
YOY GROWTH (%)
EBITDA
ADJ PAT
EBITDA MARGIN (%)
DEC’
06
DEC’
05
CHG (BP)
NET PROFIT MARGIN (%)
DEC’
06
DEC’
05
CHG (BP)
MNC Pharma (Aventis, GSK Pharma, Pfizer)
Indian Big-3 (Cipla, DRL, Ranbaxy) *
Other Indian Pharma
Sector Aggregate
* ranked according to revenues
5.5
40.6
24.1
28.9
8.0
151.1
29.2
56.0
9.9
78.1
22.0
36.1
24.6
17.1
19.4
18.8
24.0
9.6
18.7
15.6
56
754
77
327
18.6
11.0
14.0
13.0
17.8
8.7
14.2
12.3
75
231
-23
68
Source: Motilal Oswal Securities
29 December 2006
199

Pharmaceuticals
Stock performance and valuations
STOCK PERFORMANCE (%)
ABSOLUTE PERF
3M
1 YEAR
REL PERF TO SENSEX
3M
1 YEAR
REL PERF TO SECTOR
3M
1 YEAR
Pharmaceuticals
Aurobindo Pharma
Aventis Pharma
Biocon
Cadila Health
Cipla
Divis Labs
Dr Reddy’ s Labs
GSK Pharma
Jubiliant Organosys
Lupin
Matrix
Nicholas Piramal
Pfizer
Ranbaxy Labs
Shasun Chemicals
Sun Pharma
Wockhardt
RELATIVE PERFORMACE - 3 MONTHS (%)
12
-16
-1
9
-4
39
11
-6
15
33
-21
12
-18
-11
31
5
-13
72
-18
-25
43
41
100
66
4
12
60
-14
-3
-25
8
31
44
-21
2
-27
-12
-2
-15
28
0
-16
4
22
-32
1
-28
-22
20
-5
-23
25
-65
-71
-4
-5
54
19
-43
-35
13
-61
-50
-71
-39
-16
-3
-68
10
-18
-3
7
-6
37
9
-7
13
31
-23
10
-19
-13
29
3
-15
48
-42
-48
19
18
77
42
-20
-12
36
-38
-27
-48
-15
7
20
-45
RELATIVE PERFORMANCE - 1 YEAR (%)
Sensex
113
109
105
101
97
Sep-06
COMPARATIVE VALUATION
CMP (RS)
29.12.06
MOSt Pharmaceuticals Index
MOSt Pharmaceuticals Index
155
140
125
110
95
Sensex
Oct-06
Nov-06
Dec-06
Dec-05
Mar-06
Jun-06
Sep-06
Dec-06
RECO
FY06
EPS (RS)
FY07E
FY08E
FY06
P/E (X)
FY07E
FY08E
EV/EBITDA
FY06
FY07E
FY08E
FY06
ROE (%)
FY07E
FY08E
Pharmaceuticals
Aurobindo Pharma
Aventis Pharma
Biocon
Cadila Health
Cipla
Divis Labs
Dr Reddy’ s Labs
GSK Pharma
Jubiliant Organosys
Lupin
Matrix
Nicholas Piramal
Pfizer
Ranbaxy Labs
Shasun Chemicals
Sun Pharma
Wockhardt
Sector Aggregate
705
1,352
372
351
251
3,056
811
1,164
241
612
209
265
763
392
110
979
350
Sell
Buy
Buy
Buy
Buy
Neutral
Buy
Buy
Buy
Buy
Neutral
Buy
Neutral
Buy
Buy
Buy
UR
11.9
69.6
17.4
13.0
8.1
54.6
8.9
36.2
8.6
21.4
8.9
6.1
27.7
5.8
7.6
27.7
17.7
31.8
76.3
17.2
18.4
9.3
87.3
25.0
42.3
11.6
25.9
6.7
10.1
38.1
9.5
-2.1
31.7
19.5
39.9
83.5
22.4
22.1
11.1
118.1
34.5
48.0
15.7
34.9
12.7
13.5
33.6
17.4
12.2
39.5
21.4
59.1
19.4
21.4
27.0
30.9
55.9
90.7
32.2
28.0
28.5
23.4
43.6
27.5
67.4
14.5
35.4
19.8
34.7
22.2
17.7
21.6
19.1
26.9
35.0
32.5
27.5
20.8
23.6
31.2
26.2
20.0
41.3
-53.0
30.9
17.9
26.0
17.7
16.2
16.6
15.9
22.7
25.9
23.5
24.3
15.3
17.6
16.4
19.7
22.7
22.5
9.1
24.8
16.4
19.8
27.8
12.4
16.3
16.1
29.8
34.8
94.0
20.8
18.5
24.0
32.1
29.1
15.6
52.6
8.7
37.0
14.2
28.6
13.5
11.1
14.3
11.8
20.3
22.4
19.5
18.5
11.0
17.0
23.7
16.8
12.4
19.9
8.6
28.7
11.0
18.0
11.2
9.1
11.2
9.8
16.6
17.4
16.9
15.6
8.1
13.4
16.0
13.3
13.5
13.9
6.1
21.8
8.8
14.3
8.6
31.6
19.6
25.4
30.8
22.4
6.2
32.3
19.6
31.0
17.1
17.4
22.0
8.9
23.0
42.1
29.5
20.9
21.3
28.2
16.9
28.8
21.7
29.1
15.3
26.8
21.9
32.2
10.0
21.0
26.0
14.3
19.3
38.0
26.0
21.8
21.3
25.6
18.8
27.3
21.4
30.9
18.2
25.6
23.0
33.6
16.9
25.1
20.8
23.2
23.7
37.1
23.9
24.0
29 December 2006
200

Results Preview
SECTOR: PHARMACEUTICALS
Aurobindo Pharma
STOCK INFO.
BLOOMBERG
REUTERS CODE
BSE Sensex: 13,787 ARBP IN
S&P CNX: 3,966
ARBN.BO
29 December 2006
Previous Recommendation: Sell
Sell
Rs705
EPS
P/E
(X)
P/BV
(X)
ROE
(%)
ROCE
(%)
EV/
EV/
SALES EBITDA
EPS
(RS) GROWTH (%)
Equity Shares (m)
52-Week Range
1,6,12 Rel. Perf. (%)
M.Cap. (Rs b)
M.Cap. (US$ b)
53.3
740/399
13/-9/25
37.6
0.8
YEAR
END *
NET SALES
(RS M)
PAT
(RS M)
3/06A
3/07E
3/08E
16,955
21,784
25,171
697
2,174
2,729
11.9
31.8
39.9
1,765.2
166.1
25.5
59.1
22.2
17.7
4.6
3.7
2.9
8.6
21.3
21.3
7.4
10.6
12.5
2.9
2.2
1.9
27.8
13.5
11.2
* Consolidated results
?
Aurobindo does not declare consolidated quarterly results. Our quarterly estimates are standalone, while annual
estimates are on a consolidated basis.
Sales are expected to be at Rs4.8b, a growth of 19% YoY on account of improved traction in Pen-G based business
and incremental contribution from USA as well as higher ARV sales. Higher base effect is likely to result in sequential
decline in sales growth as compared to 1HFY07.
Margins are expected to improve by 227bp YoY to 16.5% on account of improvement in market and product mix, as
well as some improvement in prices of Pen-G based products.
However, increased interest outgo and lower other income (compared with 2QFY07) are likely to result in a sequential
decline in PAT at Rs499m.
Aurobindo has recently proposed the divestment of Aurobindo Datong – its loss-making Chinese subsidiary. This is
likely to positively impact the consolidated performance in the coming years.
Despite the progress on regulated market initiatives and slight recovery of Pen G prices, earnings visibility is poor.
Given its high leverage and modest return ratios, we believe valuations at 22.2x and 17.7x FY07E and FY08E
earnings are expensive. We maintain
Sell.
(RS MILLION)
FY06
1Q
2Q
3Q
4Q
1Q
2Q
FY07
3QE
4QE
FY06
FY07E
?
?
?
?
?
QUARTERLY PERFORMANCE (STANDALONE)
Y/E MARCH
Net Sales
YoY Change (%)
Total Expenditure
EBITDA
Margins (%)
Depreciation
Interest
Other Income
PBT
Tax
Deferred Tax
Rate (%)
PAT
Adjusted PAT
YoY Change (%)
Margins (%)
E: MOSt Estimates
2,807
-1.5
2,576
231
8.2
119
134
36
13
2
-9
-52.3
20
20
-88.8
0.7
3,195
18.6
2,980
215
6.7
125
141
76
25
4
-15
-44.4
36
36
5.5
1.1
4,090
28.1
3,508
582
14.2
135
163
80
364
32
70
28.0
262
262
165.9
6.4
4,630
62.1
3,915
716
15.5
133
168
112
527
55
113
31.9
375
375
922.6
8.1
4,386
56.3
3,727
659
15.0
143
181
171
506
7
137
28.5
362
362
1,701.5
8.3
4,800
50.2
4,109
691
14.4
150
202
267
606
48
12
9.8
546
546
1,401.1
11.4
4,855
18.7
4,054
801
16.5
155
240
200
606
108
0
17.8
499
499
90.4
10.3
5,381
16.2
4,385
995
18.5
164
234
136
733
130
0
17.8
603
603
60.7
11.2
14,722
27.0
12,979
1,743
11.8
511
606
304
929
93
159
27.1
694
694
98.1
4.7
19,422
31.9
16,275
3,146
16.2
612
857
774
2,451
292
149
18.0
2,010
2,010
189.8
10.3
Nimish Desai (Nimishdesai@MotilalOswal.com); Tel: +91 22 39825406/Jinesh K Gandhi (Jinesh@MotilalOswal.com); Tel +91 22 39825416
29 December 2006
201

Results Preview
SECTOR: PHARMACEUTICALS
Aventis Pharma
STOCK INFO.
BLOOMBERG
REUTERS CODE
BSE Sensex: 13,787 HOEC IN
S&P CNX: 3,966
HOEC.BO
29 December 2006
Previous Recommendation: Buy
Buy
Rs1,352
EPS
P/E
(X)
P/BV
(X)
ROE
(%)
ROCE
(%)
EV/
EV/
SALES EBITDA
EPS
(RS) GROWTH (%)
Equity Shares (m)
52-Week Range
1,6,12 Rel. Perf. (%)
M.Cap. (Rs b)
M.Cap. (US$ b)
23.0
2,140/1,241
-9/-37/-65
31.1
0.7
YEAR
END*
NET SALES
(RS M)
PAT
(RS M)
12/06E
12/07E
12/08E
9,010
9,975
11,120
1,758
1,924
2,179
76.3
83.5
94.6
9.8
9.4
13.3
17.7
16.2
14.3
5.0
4.1
3.5
28.2
25.6
24.3
42.1
38.4
36.6
3.0
2.6
2.2
11.1
9.1
7.7
* Standalone results
?
During 4QCY06, sales are expected to grow at 21.6% YoY to Rs2.3b aided by higher growth in the domestic
portfolio as well as the low-base effect of 4QCY05.
?
EBITDA margins are likely to be flat at about 26% for the quarter, as we believe that mature brands like Combiflam
would have contributed significantly to domestic revenues due to the prevalence of certain infectious diseases (like
chickengunya and dengue).
Export performance will continue to be adversely impacted due to re-registration requirements for the Russian
market.
Aventis is one of the best prepared pharmaceutical MNCs to leverage the opportunities arising from introduction
of product patents, given its excellent brand equity, strong parental support and focus on power brands.
Valuations at 16.2x and 14.3x CY07E and CY08E are at a discount to peers and attractive. We maintain
Buy
(RS MILLION)
CY05
1Q
2Q
3Q
4Q
1Q
2Q
CY06
3Q
4QE
CY05
CY06E
?
?
?
QUARTERLY PERFORMANCE (STANDALONE)
Y/E DECEMBER
Net Sales
YoY Change (%)
Total Expenditure
EBITDA
Margins (%)
Depreciation
Interest
Other Income
PBT
Tax
Effective Tax Rate (%)
Reported PAT
Adj PAT
YoY Change (%)
Margins (%)
E: MOSt Estimates
1,725
5.4
1,330
395
22.9
44
0
74
425
189
44.5
236
236
-13.5
13.7
2,134
17.1
1,510
624
29.2
43
0
61
642
300
46.7
342
342
2.4
16.0
2,234
19.1
1,515
719
32.2
43
0
78
754
257
34.1
497
497
16.9
22.2
1,929
-2.2
1,426
503
26.1
42
0
82
543
167
30.8
376
376
-7.4
19.5
2,005
16.2
1,503
502
25.0
43
0
86
545
176
32.3
369
369
56.4
18.4
2,228
4.4
1,609
619
27.8
42
1
90
666
227
34.1
439
439
28.4
19.7
2,431
8.8
1,744
687
28.3
43
0
156
800
262
32.8
538
538
8.2
22.1
2,346
21.6
1,730
616
26.3
43
0
83
656
245
37.3
411
411
9.4
17.5
8,022
9.8
5,781
2,241
27.9
172
0
295
2,364
913
38.6
1,451
1,451
0.7
18.1
9,010
12.3
6,586
2,424
26.9
171
0
415
2,668
910
34.1
1,758
1,758
21.2
19.5
Nimish Desai (Nimishdesai@MotilalOswal.com); Tel: +91 22 39825406/Jinesh K Gandhi (Jinesh@MotilalOswal.com); Tel +91 22 39825416
29 December 2006
202

Results Preview
SECTOR: PHARMACEUTICALS
Biocon
STOCK INFO.
BLOOMBERG
REUTERS CODE
BSE Sensex: 13,787 BIOS IN
S&P CNX: 3,966
BION.BO
29 December 2006
Previous Recommendation: Buy
Buy
Rs372
EPS
P/E
(X)
P/BV
(X)
ROE
(%)
ROCE
(%)
EV/
EV/
SALES EBITDA
EPS
(RS) GROWTH (%)
Equity Shares (m)
52-Week Range
1,6,12 Rel. Perf. (%)
M.Cap. (Rs b)
M.Cap. (US$ b)
100.0
518/306
-1/-25/-71
37.2
0.8
YEAR
END
NET SALES
(RS M)
PAT
(RS M)
3/06A
3/07E
3/08E
7,881
9,649
10,670
1,739
1,720
2,243
17.4
17.2
22.4
-12.0
-1.1
30.4
21.4
21.6
16.6
4.2
3.6
3.1
19.6
16.9
18.8
19.9
18.0
20.1
4.7
3.8
3.3
16.3
14.3
11.2
?
Biocon’ 3QFY07 sales are expected to grow by 19% YoY to Rs2.3b led by higher sales for the Enzymes business
s
(growth of 44%), which faced capacity constraints last year and increased traction in contract research services
(~growth of 61% YoY).
EBITDA margins are likely to decline by 280bp (to 26.7%) due to only 9% growth for the bio-pharma business
and unabsorbed fixed cost on new bio-park facility.
Lower margins coupled with higher depreciation (up by 141% YoY) translated into 8% YoY decline in PAT to
Rs403m.
We have revised our estimates upward marginally (3-4%) for FY07 to take into account the lower-than-expected
number of statin API suppliers in the US market for Simvastatin and Pravastatin. Our sales estimates for FY07E
have been revised upward by 3.6% while earnings estimates have witnessed an increase of 3%.
While some of Biocon’ initiatives appear promising, as of now, their visibility is poor. Biocon is currently valued
s
at 21.6x FY07E and 16.6x FY08E earnings. We believe that most of the negatives are already captured into the
current valuations and there is little downside to the stock from current levels. Maintain
Buy.
(RS MILLION)
FY06
1Q
2Q
3Q
4Q
1Q
2Q
FY07
3QE
4QE
FY06
FY07E
?
?
?
?
QUARTERLY PERFORMANCE (CONSOLIDATED)
Y/E MARCH
Net Sales
YoY Change (%)
Total Expenditure
EBITDA
Margins (%)
Depreciation
Interest
Other Income
PBT
Tax
Rate (%)
Minority Interest
PAT
YoY Change (%)
Margins (%)
E: MOSt Estimates
1,740
-0.1
1,235
505
29.0
71.1
2.8
17.8
449
66
14.8
-5
387
-20.3
22.3
2,006
7.8
1,416
589
29.4
73.8
1.5
11.3
525
94
17.9
-4
435
-22.6
21.7
1,993
12.1
1,404
589
29.6
74.6
3.8
18.1
529
94
17.8
-4
439
-12.8
22.0
2,143
22.8
1,538
605
28.2
76.9
9.4
4.3
523
51
9.8
-7
478
12.9
22.3
2,120
21.9
1,577
544
25.6
109.7
16.7
13.6
431
42
9.8
-5
394
1.8
18.6
2,490
24.2
1,831
659
26.5
177.5
21.6
8.6
469
22
4.8
-7
453
4.1
18.2
2,378
19.4
1,742
636
26.7
180.0
16.0
17.0
457
58
12.8
-4
403
-8.2
16.9
2,661
24.2
1,937
724
27.2
186.5
5.1
27.4
560
88
15.7
1
470
-1.7
17.7
7,881
10.6
5,593
2,288
29.0
296.5
17.5
51.4
2,026
306
15.1
-20
1,740
-11.9
22.1
9,649
22.4
7,087
2,562
26.6
653.7
59.4
66.7
1,916
211
11.0
-15
1,720
-1.1
17.8
Nimish Desai (Nimishdesai@MotilalOswal.com); Tel: +91 22 39825406/Jinesh K Gandhi (Jinesh@MotilalOswal.com); Tel +91 22 39825416
29 December 2006
203

Results Preview
SECTOR: PHARMACEUTICALS
Cadila Healthcare
STOCK INFO.
BLOOMBERG
REUTERS CODE
BSE Sensex: 13,787 CDH IN
S&P CNX: 3,966
CADI.BO
29 December 2006
Previous Recommendation: Buy
Buy
Rs351
EPS
P/E
(X)
P/BV
(X)
ROE
(%)
ROCE
(%)
EV/
EV/
SALES EBITDA
EPS
(RS) GROWTH (%)
Equity Shares (m)
52-Week Range
1,6,12 Rel. Perf. (%)
M.Cap. (Rs b)
M.Cap. (US$ b)
125.6
400/231
8/-6/-4
44.1
1.0
YEAR
END
NET SALES
(RS M)
PAT
(RS M)
3/06A
3/07E
3/08E
14,845
17,667
21,164
1,633
2,315
2,778
13.0
18.4
22.1
36.3
41.7
20.0
27.0
19.1
15.9
6.3
4.9
3.9
23.7
28.8
27.3
20.2
23.4
23.2
3.2
2.6
2.1
16.5
12.1
10.2
?
We expect Cadila’ topline to record 20% YoY growth but PAT is expected to grow by only 15% for the quarter.
s
Performance is likely to be impacted due to lower supplies to Altana coupled with higher R&D expenses and tax rate.
EBITDA margins are likely to expand by 180bp YoY but will decline by 360bp sequentially due to reduced supplies to
Altana. These are high-margin supplies with NPM of about 75%-80%. Our estimates do not include the consideration
of Euro7m (gross) for sale of branded business in France.
This quarter should also witness commencement of Simvastatin supplies to the US with the 180-day exclusivity
expiring on 20 December 2006. We however, do not expect any significant upside for Cadila due to intense competition
with 8 players in the market (immediately post expiry of exclusivity) and more expected to follow in the short-term.
Cadila’ domestic operations are expected to show a gradual improvement post the sales force and portfolio restructuring
s
undertaken by the company in the past few quarters.
Cadila is currently valued at 19.1x FY07E and 15.9x FY08E consolidated earnings. Higher growth in the international
business, steady supplies to Altana coupled with a de-risked business model should augur well for the company.
Maintain
Buy.
(RS MILLION)
FY06
1Q
2Q
3Q
4Q
1Q
2Q
FY07
3QE
4QE
FY06
FY07E
?
?
?
QUARTERLY PERFORMANCE (CONSOLIDATED)
Y/E MARCH
Net Revenues
YoY Change (%)
Total Expenditure
EBITDA
Margins (%)
Depreciation
Interest
Other Income
PBT before EO Income
EO Exp/(Inc)
PBT after EO Income
Tax
Rate (%)
Minority Int/Adj on Consol
Reported PAT
Adj PAT
YoY Change (%)
Margins (%)
3,732
13.0
3,058
674
18.1
179
51
0
444
-49
493
58
11.8
-5
440
397
3.8
10.6
3,730
11.2
3,061
669
17.9
192
61
145
561
-25
586
67
11.4
-11
530
508
32.2
13.6
3,696
15.7
3,045
651
17.6
214
103
127
461
-14
475
49
10.3
1
425
412
25.9
11.2
3,460
40.7
2,804
656
19.0
194
36
-9
417
-16
433
59
13.6
16
358
344
245.9
9.9
4,458
19.5
3,560
898
20.1
197
69
49
681
0
681
76
11.2
21
584
584
47.2
13.1
4,748
27.3
3,658
1,090
23.0
213
54
3
826
0
826
100
12.1
21
705
705
38.8
14.8
4,428
19.8
3,569
859
19.4
225
90
8
552
0
552
77
14.0
0
474
474
15.0
10.7
4,034
16.6
3,069
965
23.9
234
99
2
633
0
633
124
19.5
0
510
510
48.0
12.6
14,845
16.2
11,968
2,877
19.4
779
251
36
1,883
-105
1,988
233
11.7
1
1,754
1,662
24.1
11.2
17,667
19.0
13,856
3,811
21.6
869
312
62
2,692
0
2,692
377
14.0
0
2,315
2,315
39.3
13.1
E: MOSt Estimates; 3QFY07 estimates do not include the proceeds from sale of branded business in France.
Nimish Desai (Nimishdesai@MotilalOswal.com); Tel: +91 22 39825406/Jinesh K Gandhi (Jinesh@MotilalOswal.com); Tel +91 22 39825416
29 December 2006
204

Results Preview
SECTOR: PHARMACEUTICALS
Cipla
STOCK INFO.
BLOOMBERG
REUTERS CODE
BSE Sensex: 13,787 CIPLA IN
S&P CNX: 3,966
CIPL.BO
29 December 2006
Previous Recommendation: Buy
Buy
Rs251
EPS
P/E
(X)
P/BV
(X)
ROE
(%)
ROCE
(%)
EV/
EV/
SALES EBITDA
EPS
(RS) GROWTH (%)
Equity Shares (m)
52-Week Range
1,6,12 Rel. Perf. (%)
M.Cap. (Rs b)
M.Cap. (US$ b)
777.3
305/170
-2/-14/-5
194.9
4.4
YEAR
END
NET SALES
(RS M)
PAT
(RS M)
03/06A 29,814
03/07E 36,696
03/08E 43,539
6,076
7,238
8,597
8.1
9.3
11.1
47.9
14.7
18.6
30.9
26.9
22.7
9.5
5.9
4.9
30.8
21.7
21.4
28.3
25.3
23.9
6.7
5.1
4.2
29.8
20.3
16.6
?
Cipla’ 3QFY07 revenues are expected to grow by 19% YoY to Rs9.3b, led by a 27% growth in exports business.
s
While formulation exports are expected to grow at 35.7% YoY, API exports are expected to grow at 13% and
domestic business is expected to grow by 14% YoY. Higher base effect of last year will result in a sequential decline
in sales growth vis-a-vis 1HFY07.
EBITDA margin is expected to expand by 222bp to 22.6% driven primarily by improving product and market mix.
However, bottom-line is expected to decline by 2% due to the higher other income recorded in 3QFY06 (on account
of insurance claims).
The company plans to incur capex of Rs6b (over and above Rs7b in FY05-FY06) in next few years in setting up two
EOUs and a SEZ unit.
Management is undertaking significant capex of Rs13b during FY05-FY08 to upgrade and expand facilities, which
we believe, implies good long-term potential. Valuations at 26.9x FY07E and 22.7x FY08E earnings do not fully
reflect the potential of Cipla’ generics pipeline. Our estimates do not include any uncertain upsides linked to patent
s
challenges filed by Cipla’ partners. Maintain
Buy.
s
(RS MILLION)
FY06
1Q
2Q
3Q
4Q
1Q
2Q
FY07
3QE
4QE
FY06
FY07E
?
?
?
QUARTERLY PERFORMANCE
Y/E MARCH
Net Sales
YoY Change (%)
Total Expenditure
EBITDA
Margins (%)
Depreciation
Interest
Other Income
Profit before Tax
Tax
Rate (%)
Reported PAT
YoY Change (%)
Margins (%)
E: MOSt Estimates
6,628
24.2
5,129
1,499
22.6
135
14
84
1,434
320
22.3
1,114
40.6
16.8
6,717
15.5
4,944
1,773
26.4
215
17
15
1,556
330
21.2
1,226
27.9
18.3
7,806
30.9
6,217
1,589
20.4
230
51
744
2,053
300
14.6
1,753
39.5
22.5
8,706
62.7
6,903
1,803
20.7
250
33
468
1,988
80
4.0
1,908
80.7
21.9
8,636
30.3
6,347
2,289
26.5
260
28
220
2,220
516
23.2
1,704
53.0
19.7
8,961
33.4
6,685
2,276
25.4
245
16
190
2,205
403
18.3
1,803
47.0
20.1
9,319
19.4
7,215
2,105
22.6
261
20
200
2,024
304
15.0
1,720
-1.9
18.5
9,780
12.3
7,285
2,495
25.5
275
33
191
2,378
367
15.4
2,011
5.4
20.6
29,919
32.7
23,121
6,798
22.7
802
114
1,216
7,098
1,022
14.4
6,076
48.3
20.3
36,696
22.7
27,532
9,164
25.0
1,041
96
800
8,827
1,589
18.0
7,238
19.1
19.7
Nimish Desai (Nimishdesai@MotilalOswal.com); Tel: +91 22 39825406/Jinesh K Gandhi (Jinesh@MotilalOswal.com); Tel +91 22 39825416
29 December 2006
205

Results Preview
SECTOR: PHARMACEUTICALS
Divi's Laboratories
STOCK INFO.
BLOOMBERG
REUTERS CODE
BSE Sensex: 13,787 DIVI IN
S&P CNX: 3,966
DIVI.BO
29 December 2006
Previous Recommendation: Neutral
Neutral
Rs3,056
P/E
(X)
P/BV
(X)
ROE
(%)
ROCE
(%)
EV/
EV/
SALES EBITDA
EPS
EPS
(RS) GROWTH (%)
Equity Shares (m)
52-Week Range
1,6,12 Rel. Perf. (%)
M.Cap. (Rs b)
M.Cap. (US$ b)
12.8
3,180/1,118
1/104/54
39.2
0.9
YEAR
END
NET SALES
(RS M)
PAT
(RS M)
03/06A
03/07E
03/08E
3,811
6,501
7,909
700
1,119
1,514
54.6
87.3
118.1
5.1
59.8
35.3
55.9
35.0
25.9
11.5
9.1
7.1
22.4
29.1
30.9
26.8
32.1
33.3
10.6
6.3
5.2
34.8
22.4
17.4
?
Divi’ 3QFY07 revenues are expected to grow by 39% YoY to Rs1.5b, led by continued momentum in both the
s
generics and custom chemical synthesis (CCS) business. We are forecasting lower sales growth for 2HFY07E as
compared to 1HFY07 since the latter had witnessed significantly higher supplies.
However, EBITDA margins are expected to decline by 160bp to 27.2%, due to higher contribution from the company’
s
generic supplies, which have lower margins as compared to its CCS business. Provision for depreciation and interest
are also likely to increase due to the commissioning of new facilities. However, lower tax provisioning (at 27% of
PBT v/s 33% in 2QFY06) is likely to temper down the adverse impact, resulting in PAT growth of 35.8% to Rs257m.
Divi’ has recently commissioned the first phase of its SEZ set up with capex of Rs800m.
s
Divi’ is expected to be one of the key beneficiaries of increased pharmaceutical outsourcing from India. The
s
company’ existing relationships with innovator companies should help it in procuring more MNC contracts. Our
s
estimates, however, do not include upsides from any future contracts that the company may announce. Divi’ is
s
currently valued at 35x FY07E and 25.9x FY08E earnings. We remain
Neutral
on the stock.
(RS MILLION)
FY06
1Q
2Q
3Q
4Q
1Q
2Q
FY07
3QE
4QE
FY06
FY07E
?
?
?
QUARTERLY PERFORMANCE
Y/E MARCH
Net Op Revenue
YoY Change (%)
Total Expenditure
EBITDA
Margins (%)
Depreciation
Interest
Other Income
PBT
Tax
Deferred Tax
Rate (%)
Adj PAT
YoY Change (%)
Margins (%)
E: MOSt Estimates
646
5.4
443
203
31.5
36
11
37
193
64
1
33.8
128
-11.0
19.7
814
7.8
549
265
32.5
37
9
22
241
77
4
33.7
159
18.3
19.6
1,080
6.8
769
311
28.8
37
14
22
282
89
4
33.0
189
24.0
17.5
1,271
16.1
883
388
30.5
39
21
26
354
103
22
35.3
229
-0.3
18.0
1,608
148.8
1,148
461
28.6
43
21
44
441
167
6
39.4
267
109.6
16.6
1,614
98.3
1,179
435
26.9
42
6
34
421
114
-6
25.7
313
96.2
19.4
1,495
38.5
1,089
407
27.2
55
40
40
352
81
14
27.0
257
35.8
17.2
1,784
40.3
1,267
516
28.9
85
53
30
408
43
83
30.9
282
23.2
15.8
3,811
9.7
2,644
1,167
30.6
148
56
106
1,069
333
31
34.1
705
6.7
18.5
6,501
70.6
4,683
1,818
28.0
224
120
148
1,622
405
97
31.0
1,119
58.8
17.2
Nimish Desai (Nimishdesai@MotilalOswal.com); Tel: +91 22 39825406/Jinesh K Gandhi (Jinesh@MotilalOswal.com); Tel +91 22 39825416
29 December 2006
206

Results Preview
SECTOR: PHARMACEUTICALS
Dr Reddy's Laboratories
STOCK INFO.
BLOOMBERG
REUTERS CODE
BSE Sensex: 13,787 DR IN
S&P CNX: 3,966
REDY.BO
29 December 2006
Previous Recommendation: Buy
Buy
Rs811
EPS
P/E
(X)
P/BV
(X)
ROE
(%)
ROCE
(%)
EV/
EV/
SALES EBITDA
EPS
(RS) GROWTH (%)
Equity Shares (m)
52-Week Range
1,6,12 Rel. Perf. (%)
M.Cap. (Rs b)
M.Cap. (US$ b)
153.4
877/471
7/-3/19
124.4
2.8
YEAR
END
NET SALES
(RS M)
PAT
(RS M)
03/06A 24,267
03/07E 42,149
03/08E 49,414
1,371
3,831
5,286
8.9
25.0
34.5
579.6
179.4
38.0
90.7
32.5
23.5
5.6
5.0
4.3
6.2
15.3
18.2
2.5
7.3
9.0
6.2
3.5
2.9
94.0
19.5
16.9
*Excludes one-time upsides from authorized generics and FTF opportunities
?
?
?
?
?
Dr Reddy’ 3QFY07 sales are expected to grow by 137% YoY to Rs14b, driven by consolidation of BetaPharm and
s
Roche’ Mexico facility, and contribution from authorized generics (Zocor and Proscar).
s
We believe that the company is unlikely to repeat the record performance (of 2QFY07) as the authorized generic
opportunities for Zocor and Proscar are expected to be on the wane as it nears its expiry in the third week of
December 2006.
Overall gross margins are expected to decline by 480bp (to 45.8%) due to higher contribution from low margin
authorized generics. However, EBITDA margins are likely to increase by 690bp due to the significantly lower base
of 3QFY06.
Our core estimate does not include any upside from one-time opportunities arising from generic Allegra, Proscar and
Zocor. However, our quarterly estimate includes upsides from these one-time opportunities. These one-time opportunities
can add around Rs17/share to EPS in FY07.
Improvement in the US business coupled with large one-time opportunities like generic Allegra, Zofran and authorized
generic opportunities like Proscar and Zocor will result in increased traction. The German operations are likely to
contribute positively to margins despite the recent price cuts. DRL is currently valued at 32.5x FY07E and 23.5x
FY08E EPS (excl one-time opportunities). We maintain
Buy.
(RS MILLION)
FY06
1Q
2Q
3Q
4Q
1Q
2Q
FY07#
3QE
4QE
FY06
FY07E
GLOBAL QUARTERLY PERFORMANCE (US GAAP)
Y/E MARCH
Gross Sales
YoY Change (%)
EBITDA
Margins (%)
Depreciation & Amortization
Interest
Other Income
Profit before Tax
Tax
Rate (%)
Reported PAT
Minority Interest
Net Profit
EO (Exp)/Inc
Adjusted PAT
YoY Change (%)
Margins (%)
5,591
15.1
459
8.2
96
0
92
455
73
16.0
382
0
382
0
382
-
6.8
5,773
6.9
754
13.1
76
0
170
848
-40
-4.7
888
1
887
0
887
71.6
15.4
5,898
27.0
445
7.5
86
0
557
916
287
31.3
629
1
628
258
370
-
6.3
6,974
64.0
-19
-0.3
162
0
-115
-296
-62
20.9
-234
-2
-232
0
-232
-
-3.3
14,049
151.3
2,217
15.8
388
0
-223
1,606
208
13.0
1,398
0
1,398
42
1,356
255.0
9.7
20,039
247.1
4,220
21.1
402
0
-287
3,531
737
20.9
2,794
-4
2,798
0
2,798
215.4
14.0
14,013
137.6
2,021
14.4
420
0
-400
1,201
180
15.0
1,021
0
1,021
0
1,021
175.7
7.3
10,760
54.3
1,782
16.6
446
0
-230
1,106
215
19.4
892
0
892
0
892
-
8.3
24,267
24.6
1,668
6.9
420
0
640
1,888
258
13.7
1,630
0
1,630
258
1,372
547.3
5.7
58,861
142.6
10,240
17.4
1,656
0
-1,140
7,444
1,340
18.0
6,104
-4
6,108
42
6,066
342.0
10.3
E: MOSt Estimates; # includes one time upsides
Nimish Desai (Nimishdesai@MotilalOswal.com); Tel: +91 22 39825406/Jinesh K Gandhi (Jinesh@MotilalOswal.com); Tel +91 22 39825416
29 December 2006
207

Results Preview
SECTOR: PHARMACEUTICALS
GlaxoSmithKline Pharmaceuticals
STOCK INFO.
BLOOMBERG
REUTERS CODE
BSE Sensex: 13,787 GLXO IN
S&P CNX: 3,966
GLAX.BO
29 December 2006
Previous Recommendation: Buy
Buy
Rs1,164
EPS
P/E
(X)
P/BV
(X)
ROE
(%)
ROCE
(%)
EV/
EV/
SALES EBITDA
EPS
(RS) GROWTH (%)
Equity Shares (m)
52-Week Range
1,6,12 Rel. Perf. (%)
M.Cap. (Rs b)
M.Cap. (US$ b)
84.7
1,551/891
-1/-18/-43
98.6
2.2
YEAR
END
NET SALES
(RS M)
PAT
(RS M)
12/06E 15,563
12/07E 17,388
12/08E 19,822
3,581
4,063
4,730
42.3
48.0
55.8
16.9
13.5
16.4
27.5
24.3
20.8
7.4
6.2
5.2
26.8
25.6
25.0
41.2
39.4
38.4
5.6
4.8
4.1
18.5
15.6
13.0
?
GSK Pharma’ 4QCY06 net sales are expected to grow by only 3.8% to Rs3.3b and adjusted PAT is expected to
s
grow by 26% to Rs645m. Sales are likely to be impacted due to the on-going supply issues for some of GSK’
s
products.
EBITDA margins are expected to improve by 180bp YoY to 22.6% on account of overall efficiency. Also, higher
other income (up by 60% YoY) boosted PAT growth to 26% to Rs645m.
GSK is focused on strengthening its presence in the lifestyle disease segment of CVS, CNS, diabetes etc., by in-
licensing products (in talks with Japanese pharmaceutical companies) and acquiring brands in the domestic market.
GSK Pharma is one of the best plays on the IPR regime. Our estimates for CY07E take into account the additional
marketing and promotional expenditure linked to launch of patented products in CY08E and divestment of animal
healthcare division. Valuations at 27.5x CY06E and 24.3x CY07E earnings do not fully reflect the ‘
option value’
created from the product patent regime. Maintain
Buy.
(RS MILLION)
CY05
1Q
2Q
3Q
4Q
1Q
2Q
CY06
3Q
4QE
CY05
CY06E
?
?
?
QUARTERLY PERFORMANCE (CONSOLIDATED)
Y/E DECEMBER
Net Sales
YoY Change (%)
Total Expenditure
EBITDA
Margins (%)
Depreciation
Other Income
PBT before EO Expense
Tax
Deferred Tax
Rate (%)
Adjusted PAT
YoY Change (%)
Margins (%)
Extra-Ord Expense
Reported PAT
2,762
-23.1
2,053
710
25.7
37
137
810
254
8
32.4
548
-21.6
19.8
78
469
4,649
30.8
3,076
1,573
33.8
38
140
1,675
549
72
37.1
1,054
44.0
22.7
19
1,035
4,132
10.6
2,805
1,328
32.1
38
178
1,467
481
37
35.3
949
20.0
23.0
-2,144
3,093
3,177
12.5
2,515
663
20.9
44
210
828
270
46
38.1
512
16.6
16.1
89
424
4,254
54.0
2,843
1,411
33.2
38
222
1,596
567
-6
35.2
1,034
88.9
24.3
22
1,012
4,041
-13.1
2,789
1,252
31.0
39
183
1,396
475
10
34.8
911
-13.6
22.5
0
911
3,970
-3.9
2,688
1,283
32.3
41
254
1,496
499
6
33.8
991
4.4
25.0
-1,864
2,854
3,298
3.8
2,552
746
22.6
40
335
1,022
360
17
36.9
645
26.0
19.6
0
645
14,704
6.9
10,424
4,280
29.1
157
656
4,779
1,553
164
35.9
3,063
15.1
20.8
-1,958
5,021
15,563
5.8
10,872
4,691
30.1
158
994
5,509
1,901
28
35.0
3,581
16.9
23.0
-1,842
5,423
E: MOSt Estimates; Quarterly results don’ add up due to recasting
t
Nimish Desai (Nimishdesai@MotilalOswal.com); Tel: +91 22 39825406/Jinesh K Gandhi (Jinesh@MotilalOswal.com); Tel +91 22 39825416
29 December 2006
208

Results Preview
SECTOR: PHARMACEUTICALS
Jubilant Organosys
STOCK INFO.
BLOOMBERG
REUTERS CODE
BSE Sensex: 13,787 VAM IN
S&P CNX: 3,966
JUBO.BO
29 December 2006
Previous Recommendation: Buy
Buy
Rs241
EPS
P/E
(X)
P/BV
(X)
ROE
(%)
ROCE
(%)
EV/
EV/
SALES EBITDA
EPS
(RS) GROWTH (%)
Equity Shares (m)
52-Week Range
1,6,12 Rel. Perf. (%)
M.Cap. (Rs b)
M.Cap. (US$ b)
142.3
290/180
-6/-24/-35
34.3
0.8
YEAR
END
NET SALES
(RS M)
PAT
(RS M)
03/06A 15,054
03/07E 19,136
03/08E 21,853
1,297
2,144
2,913
8.6
11.6
15.7
-1.2
34.7
35.8
28.0
20.8
15.3
4.2
3.0
2.5
19.6
21.9
23.0
15.4
11.5
10.2
2.7
2.0
1.6
18.5
11.0
8.1
?
Jubilant’ top-line is expected to grow by 24% to Rs5.2b in 3QFY07, driven by consolidation of acquisitions (Target
s
Research – 3QFY06 and Trinity Labs – 2QFY06), commencement of minor supplies of Oxcarbazepine to US and
robust growth in CRAMS business due to removal of capacity constraints, resulting in Pharma & Life Sciences
business growing by 68% to Rs3.1b.
?
EBITDA margin is expected to improve by 350bp to 18.8%, reflecting improving business mix in favor of Pharma &
Life Science business (at 59% of sales v/s 44% in 3QFY06) as well as the favorable impact of lower Molasses
prices. This would translate into PAT growth of 69% to Rs618m.
?
Oxcarbazepine supplies to the US have been delayed as the ANDA approvals for Jubilant’ customers have been
s
delayed due to filing of an additional patent by Novartis (the innovator). Although, these approvals are expected
shortly, any major delays could result in a downgrade of estimates at our end.
?
Margins are expected to improve gradually over the next two years, with the growing share of pharma & life
sciences business and easing raw material prices. This along with healthy growth in revenues would lead to an
impressive 35% CAGR in fully diluted earnings over FY06-08E. Valuations of 20.8x FY07E and 15.3x FY08E
earnings do not reflect excellent growth potential. We maintain
Buy.
QUARTERLY PERFORMANCE
Y/E MARCH
1Q
2Q
FY06
3Q
4Q
1Q
2Q
FY07
3QE
4QE
FY06
(RS MILLION)
FY07E
Net Sales
YoY Change (%)
Total Expenditure
EBITDA
Margins (%)
Depreciation
Interest
Other Income
PBT after EO Expense
Tax
Deferred Tax
Rate (%)
PAT
Minority Interest
Reported PAT
Adjusted PAT
YoY Change (%)
Margins (%)
E: MOSt Estimates
3,267
22.8
2,873
394
12.1
111
49
31
265
55
0
20.8
210
-3
213
213
-20.8
6.5
3,315
12.9
2,859
456
13.8
118
40
34
332
80
0
24.1
252
3
249
249
-19.9
7.5
4,234
46.5
3,588
646
15.3
129
54
36
499
121
0
24.2
378
12
366
366
36.1
8.6
4,238
31.8
3,545
693
16.4
155
30
96
604
136
0
22.5
468
-14
482
482
73.8
11.4
4,124
26.2
3,425
699
16.9
146
55
90
588
139
0
23.6
449
-12
461
461
116.4
11.2
4,659
40.5
3,858
801
17.2
153
37
145
756
215
0
28.4
541
-3
544
544
118.5
11.7
5,246
23.9
4,262
984
18.8
158
110
113
829
124
83
25.1
621
3
618
618
68.9
11.8
5,106
20.5
4,189
918
18.0
162
177
125
703
-47
206
22.6
544
23
521
521
8.1
10.2
15,054
28.6
12,884
2,170
14.4
513
173
197
1,681
392
0
23.3
1,289
-8
1,297
1,297
17.7
8.6
19,136
27.1
15,734
3,402
17.8
619
379
473
2,876
431
290
25.1
2,155
11
2,144
2,144
65.3
11.2
Nimish Desai (Nimishdesai@MotilalOswal.com); Tel: +91 22 39825406/Jinesh K Gandhi (Jinesh@MotilalOswal.com); Tel +91 22 39825416
29 December 2006
209

Results Preview
SECTOR: PHARMACEUTICALS
Lupin
STOCK INFO.
BLOOMBERG
REUTERS CODE
BSE Sensex: 13,787 LPC IN
S&P CNX: 3,966
LUPN.BO
29 December 2006
Previous Recommendation: Buy
Buy
Rs612
EPS
P/E
(X)
P/BV
(X)
ROE
(%)
ROCE
(%)
EV/
EV/
SALES EBITDA
EPS
(RS) GROWTH (%)
Equity Shares (m)
52-Week Range
1,6,12 Rel. Perf. (%)
M.Cap. (Rs b)
M.Cap. (US$ b)
80.3
638/365
15/7/13
49.1
1.1
YEAR
END*
NET SALES
(RS M)
PAT
(RS M)
03/06A 16,858
03/07E 19,889
03/08E 22,444
* Consolidated
1,722
2,286
3,073
21.4
25.9
34.9
87.5
20.9
34.4
28.5
23.6
17.6
7.9
6.2
4.8
31.0
32.2
33.6
20.6
21.7
25.0
3.2
2.6
2.2
24.0
17.0
13.4
?
?
Lupin’ quarterly results are standalone, while annual numbers are consolidated.
s
Lupin’ 3QFY07 revenue is expected to grow by 18.6% YoY to Rs5.06b, driven by continued momentum in domestic
s
formulations business, as well as formulation exports (to both regulated and unregulated markets).
EBITDA margin is expected to improve by 310bp YoY to 16.6%, as product and market mix improves. However,
higher tax provisioning (at 22% of PBT v/s 10.3% in 3QFY06) is likely to restrict PAT growth to 41% to Rs623m.
Lupin is currently valued at 23.6x and 17.6x FY07E and FY08E fully diluted consolidated EPS excluding upsides
from potential acquisitions and NCE out-licensing. Lupin is likely to witness gradual improvement in the underlying
fundamentals (led by an expanding US generics pipeline and bottoming out of Pen-G business). Maintain
Buy.
?
?
QUARTERLY PERFORMANCE (STANDALONE)
Y/E MARCH
1Q
2Q
FY06
3Q
4Q
1Q
2Q
FY07
3QE
4QE
FY06
(RS MILLION)
FY07E
Net Sales
YoY Change (%)
Total Expenditure
EBITDA
Margins (%)
Depreciation
Interest
Other Income
PBT
Tax
Rate (%)
Profit after Tax
YoY Change (%)
Margins (%)
E: MOSt Estimates
3,612
24.4
2,903
709
19.6
91
65
39
591
160
27.0
432
109.1
11.9
4,051
34.1
3,378
673
16.6
98
64
89
601
149
24.8
452
158.4
11.2
4,269
52.7
3,693
576
13.5
101
79
96
492
51
10.3
442
80.3
10.3
4,220
45.9
3,804
416
9.9
114
95
410
618
116
18.7
502
131.0
11.9
4,769
32.0
4,118
651
13.6
106
91
182
637
130
20.5
507
17.4
10.6
4,958
22.4
4,123
835
16.8
112
93
163
793
210
26.4
583
29.0
11.8
5,065
18.6
4,223
842
16.6
116
95
167
798
176
22.0
623
40.9
12.3
4,957
17.5
4,128
830
16.7
119
94
167
784
162
20.7
622
23.9
12.5
16,625
43.2
13,778
2,847
17.1
404
303
161
2,302
475
20.6
1,827
116.6
11.0
19,749
18.8
16,592
3,157
16.0
452
373
680
3,012
678
22.5
2,334
27.7
11.8
Nimish Desai (Nimishdesai@MotilalOswal.com); Tel: +91 22 39825406/Jinesh K Gandhi (Jinesh@MotilalOswal.com); Tel +91 22 39825416
29 December 2006
210

Results Preview
SECTOR: PHARMACEUTICALS
Matrix Laboratories
STOCK INFO.
BLOOMBERG
REUTERS CODE
BSE Sensex: 13,787 HDPH IN
S&P CNX: 3,966
MAXL.BO
29 December 2006
Previous Recommendation: Neutral
Neutral
Rs209
P/E
(X)
P/BV
(X)
ROE
(%)
ROCE
(%)
EV/
EV/
SALES EBITDA
EPS
EPS
(RS) GROWTH (%)
Equity Shares (m)
52-Week Range
1,6,12 Rel. Perf. (%)
M.Cap. (Rs b)
M.Cap. (US$ b)
153.6
313/184
-25/-50/-61
32.1
0.7
YEAR
END
NET SALES
(RS M)
PAT
(RS M)
03/06A 11,604
03/07E 16,091
03/08E 18,482
1,372
1,028
1,957
8.9
6.7
12.7
10.1
-25.1
90.4
23.4
31.2
16.4
3.3
3.0
2.6
17.1
10.0
16.9
13.3
8.9
13.3
3.7
2.7
2.2
32.1
23.7
16.0
?
Matrix’ 3QFY07 revenues are expected to grow by 16% to Rs3.9b, while PAT is expected to decline by 37% to
s
Rs246m. We expect Matrix’ performance to be adversely impacted by delays in receiving approvals for Docpharma’
s
s
new launches, consolidation of hospital’ businesses of Allergan and Inamed (which has impacted Docpharma’
s
s
hospital supplies) and higher depreciation and interest outgo as well as lower other income. EBITDA margins are
expected to improve by 150bp to 11.3% mainly, due to the lower base of 3QFY06.
?
Mylan has already acquired 71.5% stake from the promoters of Matrix, private equity investors and through the
mandatory open offer of 20% stake at Rs306/share. Mylan’ strong balance sheet could be utilized for lowering
s
Matrix’ debt (currently US$200m) leading to lower interest costs in the future. However, this deal raises some
s
uncertainties on Matrix’ supply arrangements with various generic companies since it now becomes a direct competitor
s
for these companies. Also, with a large generic company like Mylan gaining control of Matrix, the CRAMS initiatives
of the latter may also be impacted as innovator MNCs will now perceive Matrix as a direct competitor.
?
Valuations at 31.2x FY07E and 16.4x FY08E do not fully reflect the uncertainties about Matrix’ arrangements with
s
various generic companies, post Mylan acquisition. We had recommend tendering shares of Matrix in the open offer
price of Rs306. We maintain
Neutral.
QUARTERLY PERFORMANCE (CONSOLIDATED)
Y/E MARCH
1Q^
2Q^
FY06
3Q
4Q
1Q
2Q
FY07
3QE
4QE
FY06
(RS MILLION)
FY07E
Net Sales
YoY Change (%)
Total Expenditure
EBITDA
Margins (%)
Depreciation
Interest
Other Income
PBT before EO Exp
EO Exp/(Inc)
PBT after EO Exp
Taxes
Rate (%)
1,543
0.2
1,373
170
11.0
54
11
178
284
0
284
31
10.9
0
253
253
-37.9
16.4
2,916
79.5
2,461
455
15.6
84
28
175
518
0
518
74
14.2
7
437
437
4.2
15.0
3,406
105.1
3,073
332
9.8
94
100
338
476
-753
1,229
221
18.0
3
1,005
387
51.6
29.5
3,928
154.1
3,503
425
10.8
104
130
203
394
0
394
23
5.8
10
362
362
26.3
9.2
4,422
186.5
3,886
536
12.1
137
157
140
381
0
381
25
6.6
18
338
338
33.6
7.6
3,732
28.0
3,389
342
9.2
128
195
129
148
0
148
-6
-4.2
-4
158
158
-63.8
4.2
3,945
15.8
3,500
444
11.3
138
170
167
303
0
303
43
14.3
14
246
246
-36.6
6.2
3,993
1.7
3,511
482
12.1
148
186
225
374
0
374
58
15.6
30
286
286
-21.0
7.2
11,586
81.7
10,270
1,316
11.4
335
269
916
1,629
-753
2,382
376
15.8
14
1,992
1,358
2.9
17.2
16,091
38.9
14,286
1,805
11.2
551
707
660
1,207
0
1,207
121
10.0
58
1,028
1,028
-24.3
6.4
Minority Int/Share of Losses of Assc.
Reported PAT
Adjusted PAT
YoY Change (%)
Margins (%)
E: MOSt Estimates; ^ Standalone results
Nimish Desai (Nimishdesai@MotilalOswal.com); Tel: +91 22 39825406/Jinesh K Gandhi (Jinesh@MotilalOswal.com); Tel +91 22 39825416
29 December 2006
211

Results Preview
SECTOR: PHARMACEUTICALS
Nicholas Piramal
STOCK INFO.
BLOOMBERG
REUTERS CODE
BSE Sensex: 13,787 NP IN
S&P CNX: 3,966
NICH.BO
29 December 2006
Previous Recommendation: Buy
Buy
Rs265
EPS
P/E
(X)
P/BV
(X)
ROE
(%)
ROCE
(%)
EV/
EV/
SALES EBITDA
EPS
(RS) GROWTH (%)
Equity Shares (m)
52-Week Range
1,6,12 Rel. Perf. (%)
M.Cap. (Rs b)
M.Cap. (US$ b)
209.0
287/150
12/9/-5
55.4
1.3
YEAR
END
NET SALES
(RS M)
PAT
(RS M)
03/06A 15,825
03/07E 23,030
03/08E 26,565
1,269
2,116
2,816
6.1
10.1
13.5
13.1
66.7
33.1
43.6
26.2
19.7
5.8
5.3
4.7
17.4
21.0
25.1
15.0
19.0
20.8
3.6
2.6
2.3
29.1
16.8
13.3
?
NPIL is expected to report revenue growth of 48.7% to Rs5.9b in 3QFY07, driven by continued momentum in
CRAMS business. However, results are not strictly comparable due to consolidation of Avecia (acquired in October
2005) and Pfizer’ Morpeth facility (acquired in June 2006).
s
EBITDA margins are expected to improve by 410bp YoY to 15.2% as Phensedyl sales were impacted significantly
in 3QFY06 due to the case filed by the Narcotics Control Board (which has been resolved). However, consolidation
of loss-making Avecia and high-cost structure of the Morpeth facility will restrict margin expansion. Also, higher
depreciation and interest cost will impact bottom-line growth. We expect NPIL to record a 134% YoY growth in
adjusted PAT (albeit on a low base) to Rs564m.
Increasing visibility in CRAMS (with peak annual revenues of US$170m-US$200m expected by FY09), turnaround
at Avecia and higher growth in the domestic portfolio, would act as catalysts for the stock. Valuations at 26.2x FY07E
and 19.7x FY08E do not fully reflect the increasing momentum in CRAMS business. Maintain
Buy.
(RS MILLION)
FY06
1Q
2Q
3Q
4Q
1Q
2Q
FY07
3QE
4QE
FY06
FY07E
?
?
QUARTERLY PERFORMANCE
Y/E MARCH
Net Sales
YoY Change (%)
Total Expenditure
EBITDA
Margins (%)
Depreciation
Interest
Other Income
PBT before EO Expense
Extra-Ord Expense
PBT after EO Expense
Tax
Deferred Tax
Rate (%)
PAT
Less: Minority Interest
Reported PAT
Adj PAT
YoY Change (%)
3,983
11.0
3,228
755
18.9
151
48
18
574
5
569
73
-6
11.7
503
1
502
481
11.2
3,651
-2.8
3,007
644
17.6
154
58
205
637
36
600
123
-2
20.1
479
1
478
533
-4.7
4,026
17.3
3,580
446
11.1
170
23
34
287
137
150
34
19
35.2
97
0
97
241
-25.7
4,220
83.2
3,889
332
7.9
214
43
102
177
26
151
-106
103
-1.9
154
2
153
147
-
5,226
31.2
4,348
877
16.8
228
46
0
604
0
604
13
51
10.7
539
1
539
539
11.9
6,369
74.4
5,409
960
15.1
244
76
2
642
-76
718
172
9
25.2
537
0
537
480
-9.9
5,987
48.7
5,074
913
15.2
260
83
95
665
0
665
68
32
15.0
565
1
564
564
134.1
5,449
29.1
4,596
853
15.6
278
94
129
610
0
610
12
58
11.5
540
-1
541
541
268.3
15,944
21.9
13,849
2,095
13.1
688
173
282
1,516
33
1,484
125
114
16.0
1,246
4
1,242
1,269
24.4
23,030
44.4
19,428
3,603
15.6
1,010
299
226
2,520
-76
2,596
265
151
16.0
2,181
1
2,180
2,116
66.8
E: MOSt Estimates; Quarterly numbers don’ add up to full year numbers due to restatement
t
Nimish Desai (Nimishdesai@MotilalOswal.com); Tel: +91 22 39825406/Jinesh K Gandhi (Jinesh@MotilalOswal.com); Tel +91 22 39825416
29 December 2006
212

Results Preview
SECTOR: PHARMACEUTICALS
Pfizer
STOCK INFO.
BLOOMBERG
REUTERS CODE
BSE Sensex: 13,787 PFIZ IN
S&P CNX: 3,966
PFIZ.BO
29 December 2006
Previous Recommendation: Neutral
Neutral
Rs763
P/E
(X)
P/BV
(X)
ROE
(%)
ROCE
(%)
EV/
EV/
SALES EBITDA
EPS
EPS
(RS) GROWTH (%)
Equity Shares (m)
52-Week Range
1,6,12 Rel. Perf. (%)
M.Cap. (Rs b)
M.Cap. (US$ b)
29.8
1,225/621
-2/-32/-71
22.8
0.5
YEAR
END
NET SALES
(RS M)
PAT
(RS M)
11/06E
11/07E
11/08E
7,017
6,266
6,892
1,138
1,004
1,158
38.1
33.6
38.8
37.6
-11.8
15.4
20.0
22.7
19.7
5.2
4.7
4.2
26.0
20.8
21.6
39.6
31.6
32.4
2.9
3.2
2.8
12.4
13.5
11.3
?
Pfizer’ revenues for 1QFY07E (year-end: November 2007) are expected to decline by 11.3% to Rs1.4b, whereas
s
recurring PAT is expected to fall by 17% to Rs244. PAT decline is mainly due to the adjustment for divestment of the
consumer healthcare business.
Pfizer (USA) has decided to divest its consumer healthcare business to Johnson & Johnson. We estimate divestment
to result in loss of sales at Rs1.5b and reduction in PAT by Rs230m (EPS of Rs7.7/share) for FY07E (assuming the
divestment comes into effect by end-2006).
EBITDA margins are likely to decline by 150bp mainly due to the divestment of the consumer healthcare business,
which enjoys higher EBITDA margins compared with Pfizer’ pharmaceutical business. However, higher tax
s
provisioning (at 36.6% of PBT v/s 33.7% in 4QFY05) restricted adjusted PAT growth to 10% YoY to Rs216m.
Valuations of 20x FY06E and 22.7x FY07E adequately reflect Pfizer’ business fundamentals. Maintain
Neutral.
s
?
?
?
QUARTERLY PERFORMANCE (INFLUDING PHARMACIA)
Y/E NOVEMBER
1Q
2Q
FY06
3Q
4QE
1Q
2Q
FY07E
3Q
4Q
FY06
(RS MILLION)
FY07E
Net Revenues
YoY Change (%)
Total Expenditure
EBITDA
Margins (%)
Depreciation
Other Income
PBT before EO Items
EO Expense/(Income)
PBT after EO Items
Tax
Deferred Tax
Rate (%)
Reported PAT
YoY Change (%)
PAT adj. for Excep Items
YoY Change (%)
Margins (%)
E: MOSt Estimates
1,535
11.0
1,104
431
28.1
31
45
445
58
387
139
0
35.9
248
84.0
294
73.8
19.2
1,729
21.7
1,302
426
24.7
32
51
445
-60
505
146
0
28.9
359
132.0
295
54.7
17.1
1,856
9.5
1,378
478
25.7
37
54
496
58
437
157
0
35.8
281
28.6
328
28.7
17.7
1,897
8.2
1,576
321
16.9
42
54
333
57
276
101
0
36.6
175
0.8
220
12.2
11.6
1,362
-11.3
1,000
362
26.6
37
47
373
34
339
117
0
34.6
222
-10.5
244
-17.2
17.9
1,539
-11.0
1,136
403
26.2
37
54
421
34
387
134
0
34.6
253
-29.5
275
-6.7
17.9
1,643
-11.5
1,232
410
25.0
37
57
431
34
397
137
0
34.6
260
-7.5
282
-14.1
17.2
1,722
-9.2
1,433
289
16.8
37
59
311
34
277
40
56
34.6
181
3.4
203
-7.8
11.8
7,017
12.2
5,361
1,656
23.6
142
204
1,718
114
1,605
542
0
33.8
1,062
55.9
1,138
37.6
16.2
6,266
-10.7
4,802
1,464
23.4
146
217
1,535
135
1,400
428
56
34.6
915
-13.8
1,004
-11.8
16.0
Nimish Desai (Nimishdesai@MotilalOswal.com); Tel: +91 22 39825406/Jinesh K Gandhi (Jinesh@MotilalOswal.com); Tel +91 22 39825416
29 December 2006
213

Results Preview
SECTOR: PHARMACEUTICALS
Ranbaxy Laboratories
STOCK INFO.
BLOOMBERG
REUTERS CODE
BSE Sensex: 13,787 RBXY IN
S&P CNX: 3,966
RANB.BO
29 December 2006
Previous Recommendation: Buy
Buy
Rs392
EPS
GROWTH (%)
P/E
(X)
P/BV
(X)
ROE
(%)
ROCE
(%)
EV/
EV/
SALES EBITDA
EPS
(RS)
Equity Shares (m)
52-Week Range
1,6,12 Rel. Perf. (%)
M.Cap. (Rs b)
M.Cap. (US$ b)
372.4
530/317
5/-20/-39
145.9
3.3
YEAR
END*
NET SALES
(RS M)
PAT
(RS M)
12/06E
57,211
3,793
6,951
8,788
9.5
17.4
22.0
63.3
83.3
26.4
41.3
22.5
17.8
5.5
4.9
4.2
14.3
23.2
25.5
11.4
16.0
17.9
2.8
2.2
1.9
19.9
13.9
11.3
12/07E 70,850
12/08E 85,726
* Excludes upsides from FTF products
?
Ranbaxy is expected to report muted 12% YoY growth in revenues to Rs16b in 4QCY06, as the one-time impact of
Simvastatin exclusivity starts waning (expired on 20 December 2006). While our top-line estimates take into account
the consolidation of acquired companies (mainly Terapia), it also factors-in the intensely competitive generic markets.
?
EBITDA margins are expected to improve significantly over 4QCY05 (albeit on a low base) but, are likely to decline
sequentially as we expect a decline in Simvastatin sales. PAT is expected to be flat sequentially (426% YoY growth
on a significantly lower base) to Rs1.57b for the quarter. Our estimates do not include impact of forex fluctuations.
?
We have revised our core earnings estimates (excl one-time upsides) downward by 10% for CY06 to take into
account the less severe winter in regulated generic markets (resulting in lower offtake of anti-infectives) and higher
costs. Our revenue estimates for CY06 have been reduced by 1.7%.
?
Ranbaxy is currently valued at 41.3x CY06 and 22.5x CY07 earnings (excl. one-time upsides). Although, valuations
appear rich, they do not capture the full potential of Ranbaxy’ rich product pipeline, as the company has come out of
s
one of its worst years in the recent past. Valuations also do not reflect the potential upsides from any major de-risking
measures that Ranbaxy may undertake in the future. We believe that the company is reasonably valued at EV/Sales
of 2.8x CY06E and 2.2x CY07E. Maintain
Buy.
QUARTERLY PERFORMANCE
Y/E DECEMBER
1Q
2Q
CY05
3Q
4Q
1Q
2Q
CY06#
3Q
4QE
CY05
(RS MILLION)
CY06E
Net Income
YoY Change (%)
EBITDA
Margins (%)
Depreciation
Interest
Other Income
PBT before EO Expense
Extra-Ord Expense
PBT after EO Expense
Tax
Rate (%)
Reported PAT
Minority Interest
Adj PAT after Minority Int.
YoY Change (%)
Margins (%)
11,835
-12.1
1,275
10.8
326
138
31
842
0
842
131
15.6
711
3
708
-62.9
6.0
13,619
4.8
1,699
12.5
374
170
108
1,263
0
1,263
247
19.6
1,016
3
1,013
-48.3
7.4
13,585
-0.2
427
3.1
355
159
-67
-154
0
-154
-341
221.4
187
3
184
-90.8
1.4
14,291
-0.3
654
4.6
447
195
22
34
-285
319
-377
-118.2
696
10
299
-80.9
2.1
12,981
9.7
1,482
11.4
427
257
55
853
0
853
135
15.8
718
4
714
0.8
5.5
14,562
6.9
2,648
18.2
457
277
-355
1,559
0
1,559
336
21.6
1,223
12
1,211
19.5
8.3
16,087
18.4
2,697
16.8
496
299
106
2,008
226
1,782
378
21.2
1,404
11
1,571
753.8
9.8
16,029
12.2
2,623
16.4
498
251
94
1,968
0
1,968
383
19.5
1,585
13
1,572
426.3
9.8
53,131
-2.1
3,426
6.4
1,444
671
300
1,611
-333
1,944
-698
-35.9
2,642
25
2,164
-70.3
4.1
59,600
12.2
9,391
15.8
1,878
1,084
-41
6,388
226
6,162
1,232
20.0
4,930
40
5,071
134.3
8.5
E: MOSt Estimates; # includes upsides from FTF products
Nimish Desai (Nimishdesai@MotilalOswal.com); Tel: +91 22 39825406/Jinesh K Gandhi (Jinesh@MotilalOswal.com); Tel +91 22 39825416
29 December 2006
214

Results Preview
SECTOR: PHARMACEUTICALS
Shasun Chemicals
STOCK INFO.
BLOOMBERG
REUTERS CODE
BSE Sensex: 13,787 SSCD IN
S&P CNX: 3,966
SHAS.BO
29 December 2006
Previous Recommendation: Buy
Buy
Rs110
EPS
P/E
(X)
P/BV
(X)
ROE
(%)
ROCE
(%)
EV/
EV/
SALES EBITDA
EPS*
(RS) GROWTH (%)
Equity Shares (m)
52-Week Range
1,6,12 Rel. Perf. (%)
M.Cap. (Rs b)
M.Cap. (US$ b)
48.1
121/60
-4/16/-16
5.3
0.1
YEAR
END*
NET SALES*
(RS M)
PAT
(RS M)
03/06A
03/07E
03/08E
3,578
7,973
9,751
365
-100
585
7.6
-2.1
12.2
11.7
n.a.
n.a.
14.5
-
9.1
2.9
2.6
2.2
23.0
19.3
23.7
19.7
16.4
20.9
1.7
1.5
1.2
8.7
8.6
6.1
* Consolidated
?
Shasun (standalone) is expected to report 13% YoY growth in revenues to Rs1.1b in 3QFY07, driven by strong
growth in CRAMS and steady performance in older products. Our quarterly estimates do not include financials of
Rhodia’ custom manufacturing business, which Shasun acquired in January 2006. This business is likely to record
s
revenues of about GBP10-11m for the quarter led by increased order-flow from some customers.
?
EBITDA margins are expected to decline by 330bp to 17.2% due to higher material and staff costs. Higher depreciation
and interest costs as well as increased tax rate are likely to adversely impact stand-alone PAT (sales decline of 28%
to Rs92m).
?
Shasun plans to invest US$30m-US$35m in the business of Rhodia, UK, which it acquired in January 2006. This
includes the purchase consideration for the acquisition, working capital requirements and capex. The company would
be investing in research and production capabilities of the company and will also take its pipeline products to the final
stage.
?
This acquisition would aid transformation of Shasun’ operations in favor of CRAMS business. This, along with
s
commercialization of the company’ generic pipeline would result in gradual improvement in EBITDA margins in
s
medium term. However, the consolidated performance for FY07E will be significantly impacted due to the losses of
the acquired company. At 9.1x FY08E consolidated EPS, we believe valuations are reasonable. Maintain
Buy.
QUARTERLY PERFORMANCE (STANDALONE)
Y/E MARCH
1Q
2Q
FY06
3Q
4Q
1Q
2Q
FY07
3QE
4QE
FY06
(RS MILLION)
FY07E
Net Sales
YoY Change (%)
Total Expenditure
EBITDA
Margins (%)
Depreciation
Interest
Other Income
PBT
Tax
Deferred Tax
Rate (%)
PAT
YoY Change (%)
Margins (%)
E: MOSt Estimates
750
14.3
628
122
16.2
52
13
2
59
17
-1
27.3
43
8.7
5.7
844
2.8
698
146
17.3
58
13
3
78
15
1
20.3
62
8.6
7.3
993
31.0
789
203
20.5
61
13
2
132
4
-1
2.0
129
43.2
13.0
991
-4.3
764
228
23.0
60
11
6
163
28
4
19.4
132
6.0
13.3
955
27.3
809
146
15.3
67
11
3
71
15
-6
13.2
62
44.8
6.5
1,030
22.0
864
166
16.1
66
15
5
89
14
-3
13.1
78
25.5
7.5
1,123
13.1
930
193
17.2
72
18
3
106
14
0
13.0
92
-28.8
8.2
1,211
22.1
959
252
20.8
73
20
2
161
12
9
12.9
140
6.8
11.6
3,578
9.4
2,880
698
19.5
231
49
13
431
63
3
15.3
365
17.6
10.2
4,318
20.7
3,561
757
17.5
277
64
12
427
56
0
13.0
372
1.8
8.6
Nimish Desai (Nimishdesai@MotilalOswal.com); Tel: +91 22 39825406/Jinesh K Gandhi (Jinesh@MotilalOswal.com); Tel +91 22 39825416
29 December 2006
215

Results Preview
SECTOR: PHARMACEUTICALS
Sun Pharmaceuticals Industries
STOCK INFO.
BLOOMBERG
REUTERS CODE
BSE Sensex: 13,787 SUNP IN
S&P CNX: 3,966
SUN.BO
29 December 2006
Previous Recommendation: Buy
Buy
Rs979
EPS
P/E
(X)
P/BV
(X)
ROE
(%)
ROCE
(%)
EV/
EV/
SALES EBITDA
EPS
(RS) GROWTH (%)
Equity Shares (m)
52-Week Range
1,6,12 Rel. Perf. (%)
M.Cap. (Rs b)
M.Cap. (US$ b)
185.7
1,065/640
-4/-6/-3
181.8
4.1
YEAR
END*
NET SALES
(RS M)
PAT
(RS M)
03/06A 15,957
03/07E 19,631
03/08E 23,912
* Consolidated
5,733
6,571
8,182
27.7
31.7
39.5
29.7
14.6
24.5
35.4
30.9
24.8
11.4
9.7
7.2
42.1
38.0
37.1
19.1
20.8
23.5
11.4
9.1
7.2
37.0
28.7
21.8
?
Sun’ 3QFY07 revenues are expected to grow by 21% YoY to Rs5.1b, driven by 30% YoY growth in international
s
sales, which were boosted due to Ultracet sales in the US.
However, EBITDA margins are expected to decline by 370bp to 31.1%; as the company continues to invest in R&D
spend (up 23% YoY). Costs attached to the recently acquired companies (without any commensurate revenue
streams) will also impact EBITDA margins. PAT is expected to grow by 17.5% YoY to Rs1.72b. Minority adjustments
will also impact PAT growth as Caraco has now started reporting profit.
Sun Pharma has recently got approval from the US FDA for generic Dilantin (extended release tablets). We believe
that this is a niche opportunity for Sun Pharma and is likely to generate annualized revenues of US$15m-US$20m (as
competition is not very intense) in the long term.
Valuations at 30.9x FY07E and 24.8x FY08E fully diluted EPS, does not fully factor in the value that Sun could add
by using its strong cash chest (US$440m) for acquisitions and ramping up of its overseas business as well as the
contribution from the acquired businesses. Maintain
Buy.
(RS MILLION)
FY06
1Q
2Q
3Q
4Q
1Q
2Q
FY07
3QE
4QE
FY06
FY07E
?
?
?
QUARTERLY PERFORMANCE (CONSOLIDATED)
Y/E MARCH
Net Revenues
YoY Change (%)
EBITDA
Margins (%)
Depreciation
Net Other Income
PBT
Tax
Rate (%)
Profit after Tax
Share of Minority Partner
Adj Net Profit
YoY Change (%)
Margins (%)
3,784
35.7
1,281
33.9
119
284
1,446
33
2.3
1,413
52
1,361
53.9
36.0
4,112
43.2
1,415
34.4
130
193
1,478
23
1.5
1,455
-23
1,478
48.0
36.0
4,236
35.0
1,476
34.8
177
268
1,567
70
4.5
1,497
33
1,464
36.8
34.6
3,966
36.2
969
24.4
189
697
1,477
113
7.7
1,364
-65
1,429
20.8
36.0
4,987
31.8
1,811
36.3
202
274
1,883
2
0.1
1,882
115
1,767
29.9
35.4
5,229
27.2
1,708
32.7
204
402
1,906
-22
-1.1
1,928
64
1,864
26.1
35.6
5,131
21.1
1,597
31.1
209
475
1,863
37
2.0
1,826
105
1,721
17.5
33.5
4,284
8.0
1,089
25.4
212
508
1,384
53
3.9
1,331
112
1,219
-14.7
28.5
15,932
36.5
4,975
31.2
615
1,608
5,969
239
4.0
5,729
-3
5,732
44.7
36.0
19,631
23.2
6,206
31.6
827
1,658
7,037
70
1.0
6,966
395
6,571
14.6
33.5
E: MOSt Estimates; Quaterly results have been recasted and hence do not tally with full year results
Nimish Desai (Nimishdesai@MotilalOswal.com); Tel: +91 22 39825406/Jinesh K Gandhi (Jinesh@MotilalOswal.com); Tel +91 22 39825416
29 December 2006
216

Results Preview
SECTOR: PHARMACEUTICALS
Wockhardt
STOCK INFO.
BLOOMBERG
REUTERS CODE
BSE Sensex: 13,787 WOCK IN
S&P CNX: 3,966
WCKH.BO
29 December 2006
Previous Recommendation: Buy
Under Review
Rs350
EPS
GROWTH (%)
P/E*
(X)
P/BV
(X)
ROE
(%)
ROCE
(%)
EV/
EV/
SALES EBITDA
EPS*
(RS)
Equity Shares (m)
52-Week Range
1,6,12 Rel. Perf. (%)
M.Cap. (Rs b)
M.Cap. (US$ b)
109.3
562/318
-7/-38/-68
38.3
0.9
YEAR
END
NET SALES
(RS M)
PAT
(RS M)
12/06E 16,629
12/07E 18,686
12/08E 20,632
2,333
2,555
3,127
19.5
21.4
26.2
10.6
9.5
22.4
17.9
16.4
13.4
3.9
3.3
2.7
26.0
23.9
24.4
12.9
12.0
13.3
2.2
1.8
1.5
11.0
8.8
6.8
* Fully diluted EPS; Above estimates do not include contribution from Pinewood
?
Wockhardt’ 4QCY06 revenues are expected to grow by 26% YoY to Rs4.6b, driven by higher growth in the
s
domestic business and a 100% growth in its US business (albeit on a low base). Growth in domestic business is likely
to be higher due to increased traction in existing business as well as consolidation of acquired brands (Farex and
Protinex). Our estimates do not include impact of the Pinewood acquisition which is likely to contribute US$15m in
sales for the quarter and US$1m-US$1.5m at the PAT level.
?
EBITDA margins are expected to decline by 300bp YoY to 20.2% due to higher staff and material costs. While the
company has commenced capitalizing a part of its R&D expenses beginning 3QCY06, we continue to expense R&D
costs fully. Hence, adjusted PAT is likely to decline by 6.5% YoY to Rs682m. Higher depreciation (linked to
commissioning of new biotech facilities) and higher interest costs (linked to acquisition of Pinewood) will also impact
bottom-line growth adversely.
?
Wockhardt still has to display the ability to fully leverage its assets and scale up substantially in regulated markets, for
a further re-rating in its valuation multiples. We view the company’ policy of capitalization of generic products
s
development costs as a negative. We are in the process of revising our estimates to take into account the Pinewood
and Dumex acquisitions. Wockhardt is currently valued at 17.9x CY06E and 16.4x CY07E consolidated earnings.
Our recommendation is currently
Under Review.
QUARTERLY PERFORMANCE (CONSOLIDATED )
Y/E DECEMBER
1Q
2Q
CY05
3Q
4Q
1Q
2Q
CY06
3Q
4QE
CY05
(RS MILLION)
CY06E
Gross Sales
YoY Change (%)
Total Expenditure
EBITDA
Margins (%)
Depreciation
Interest
Other Income
PBT before EO Items
R&D Capitalized/EO Income
PBT after EO Items
Tax
Deferred Tax
Rate (%)
Reported PAT
Adjusted PAT
YoY Change (%)
Margins (%)
3,096
6.5
2,498
598
19.3
103
58
91
528
0
528
68
43
21.0
417
417
-6.1
13.5
3,770
28.8
2,810
960
25.5
107
46
33
840
0
840
95
-31
7.6
776
776
54.9
20.6
3,595
12.0
2,719
876
24.4
118
41
29
746
0
746
75
20
12.7
651
651
16.7
18.1
3,659
5.4
2,808
851
23.3
98
-51
27
831
0
831
116
-15
12.2
730
730
1.4
20.0
3,510
13.4
2,821
689
19.6
137
-77
33
662
-604
58
53
42
163.8
-37
516
23.8
-1.1
4,127
9.5
3,230
897
21.7
140
-6
18
781
0
781
126
21
18.8
634
634
-18.3
15.4
4,377
21.8
3,576
801
18.3
141
-5
61
726
170
896
81
75
17.4
740
600
-7.9
16.9
4,618
26.2
3,687
931
20.2
159
-14
38
824
170
994
148
23
17.2
823
682
-6.5
17.8
14,121
12.8
10,835
3,286
23.3
426
95
180
2,945
0
2,945
356
18
12.7
2,571
2,571
15.2
18.2
16,629
17.8
13,323
3,306
19.9
568
-103
150
2,991
-264
2,727
360
240
22.0
2,127
2,333
-9.3
12.8
E: MOSt Estimates; Quarterly numbers don’ add up to annual numbers due to re-classification
t
Nimish Desai (Nimishdesai@MotilalOswal.com); Tel: +91 22 39825406/Jinesh K Gandhi (Jinesh@MotilalOswal.com); Tel +91 22 39825416
29 December 2006
217

Results Preview
QUARTER ENDED DECEMBER 2006
Retailing
BSE Sensex: 13,787
S&P CNX: 3,966
29 December 2006
COMPANY NAME
PG.
Pantaloon Retail
222
Shopper’ Stop
s
223
Titan Industries
224
The retail sector continued to maintain a high share of voice with the entry of big players
like Walmart and Reliance. Same store sales continued to be robust due to the rub-off
effect of the ongoing economic boom. Operating costs continued to increase with
manpower and lease rentals showing an increase of 15-20%. The quarter witnessed
opening of stores by Reliance and ITC for sale of fresh farm produce. New formats and
realignment of existing stores continued as existing players tried to capture more and
more share of consumers’ wallets. Consumers continued to flock to shopping malls in
search of style and value. Long term prospects appear encouraging despite rising
competition and cost pressures.
Strong growth in same store sales continues
Retail companies continued to post double digit same store sales growth. Festive season
sales and impact of strong economic growth is clearly visible in rising footfalls and
conversion rates. Retail companies are also witnessing consumer upgrades across products
and segments. Our industry interaction reveals that the consumer response was extremely
good across all segments be it departmental stores, hypermart or specialty retailers. We
also observed the growing tendency of consumer companies to launch their premium
products through organized retail. We believe that the retail sector has the potential to
grow at 2-3x GDP growth rate over the forthcoming decade. With the economy likely to
grow by more than 7% for the fourth year in succession, retail sales are likely to grow
strongly in the coming quarters. CrisInfac expects organized retail to grow by 26% per
annum and reach a size of Rs700b by 2008.
Walmart and Reliance enter the fray
Retail sector continued to attract the interest of large domestic houses and big global
retailers. Domestic industrial houses like A.V. Birla and the Hero group announced their
plans to enter the sector. Reliance Retail and ITC started with their fresh fruits and
vegetable stores named Reliance Fresh and Choupal Fresh, during the quarter. Bharti
Enterprises announced its tie-up with Walmart to enter the retail sector. All the new
EXPECTED QUARTERLY PERFORMANCE SUMMARY
RECO
SALES
DEC.06
CHG. (%)
DEC.06
EBITDA
CHG. (%)
(RS MILLION)
NET PROFIT
DEC.06
CHG. (%)
Retailing
Pantaloon Retail
Shopper's Stop
Titan Industries
Sector Aggregate
Buy
Neutral
Neutral
7,600
2,500
4,750
14,850
61.0
28.8
30.2
44.0
580
255
310
1,145
53.1
29.7
3.8
31.0
264
163
157
584
42.2
45.4
18.1
35.6
Amnish Aggarwal (AmnishAggarwal@MotilalOswal.com)Tel:+91 22 3982 5404
29 December 2006
218

Retailing
players have indicated huge investments, which aim to transform the retailing landscape in
the country. We believe that entry of big domestic houses will make it tough for many
global companies to establish themselves in this market. We expect that the Walmart type
of entry into retail could be chosen by many of the global players to establish their presence
in India.
Operational costs on an uptrend
The Retail industry is experiencing a sharp increase in operational costs relating to lease
rentals, manpower and other operating expenses. In addition to these costs retailers have
to contend with higher costs on account of poor infrastructure and supply chain. We
estimate the increase in manpower costs at more than 25% while lease rentals have gone
up by 10-15%. For the specialty retailers who do not enjoy the benefits of being anchor
tenants, the cost increase has been substantially higher. We expect the impact of higher
lease rentals to get reflected in financials of retail companies in FY2008. Industry players
expect manpower costs to increase further as many new players are entering this industry.
While companies like Shopper’ Stop have been able to neutralize the impact of wage
s
increase by strong same sales growth, Pantaloon Retail has started feeling the impact of
the same due to delay in completion of properties and faster recruitment of people due to
aggressive store opening plans. Entry of new players and slowdown in same store sales
growth can impact margins if operating costs continue to move up.
Focus shifts to supply chain
In the wake of rising competition, retailers have started focusing on supply chain and the
back end. Reliance Industries and Pantaloon have initiated steps to develop a sound vendor
base in the sourcing of agri products and fruits to ensure quality and lower the costs.
Similarly these companies have embarked on extensive plans to improve the logistics and
remove the inefficiencies in the supply chain which will reduce the costs for the consumers
and retailers in the long term. All the big retailers have identified consumer staples and
fresh fruits and vegetables as one of areas where, there are strong inefficiencies and
quality issues. Changes in APMC act has provided the companies with enough elbow
room to undertake bulk sourcing until the last mile, which will ensure quality and reduce
costs. We expect this area to witness heightened activity with ITC, Reliance, Godrej and
Bharti nursing aggressive plans.
Organized retail – growing recognition from consumer companies
FMCG majors have clearly identified organized retail as a separate distribution segment
with dedicated teams for the same. Modern trade is fast gaining market share in the sale
of FMCG products. It accounts for 10% of sales in the metros, 20% in southern India and
4% for the entire FMCG sector. Our interaction with the leading FMCG and retail companies
indicates that the share of modern trade is likely to significantly increase in the coming
29 December 2006
219

Retailing
years. Both retailers and FMCG companies appear willing to realize the importance of
working together in the long term due to following benefit:
?
Market share and sales mix of leading FMCG companies is higher in organized retail
than the traditional distribution system.
?
Modern trade does not have low priced sachets and there is a tilt towards premium
products which improves the margin profile of companies
?
FMCG companies are showing a willingness to share the savings in logistics and
distribution costs with the retailers.
?
FMCG companies expect the processed food sector to take off in a major way as
drawbacks related to poor infrastructure and cold chains are addressed.
TREND IN MODERN TRADES STORES
3.3
2.6
2.0
1.3
0.7
0.0
1997
1998
Modern Trade Stores ('000) - LHS
% of FMCG Sales - RHS
5
4
3
2
1
0
1999
2000
2001
2002
2003
2004
2005
2006
Source: HLL/ Motilal Oswal Securities
Valuation and view
While we have good visibility for the existing retailers on the sales front, the same is
perhaps not true for the profit margins, particularly in the Hypermart and grocery stores.
We expect specialty stores to flourish due to committed customers and strong brand recall.
We believe that the competitive landscape will undergo a big change due to entry of
players such as Reliance, Bharti and the A.V. Birla group. We expect industry focus to
shift to cost efficiencies and better consumer value.
Despite expected increase in competition we believe that the companies which have a
strong headstart will continue to thrive in the foreseeable future. Past history of the evolution
of retail stocks in developed countries reveals that the sector enjoys premium valuations in
its development stage, a situation which is prevailing in India currently. We maintain a
positive view on the sector with
Pantaloon Retail
our top pick.
29 December 2006
220

Retailing
Stock performance and valuations
STOCK PERFORMANCE (%)
ABSOLUTE PERF
3M
1 YEAR
REL PERF TO SENSEX
3M
1 YEAR
REL PERF TO SECTOR
3M
1 YEAR
Retailing
Pantaloon Retail
Shopper's Stop
Titan Industries
6
18
7
18
56
7
-4
7
-4
-28
10
-39
-5
7
-4
-6
33
-17
RELATIVE PERFORMANCE - 3 MONTH (%)
RELATIVE PERFORMANCE - 1 YEAR (%)
Sensex
114
MOSt Retail Index
155
MOSt Retail Index
Sensex
110
135
106
102
115
95
98
Sep-06
Oct-06
Nov-06
Dec-06
75
Dec-05
Mar-06
Jun-06
Sep-06
Dec-06
COMPARATIVE VALUATION
CMP (RS)
29.12.06
RECO
FY06
EPS (RS)
FY07E
FY08E
FY06
P/E (X)
FY07E
FY08E
EV/EBITDA
FY06
FY07E
FY08E
FY06
ROE (%)
FY07E
FY08E
Retailing
Pantaloon Retail
Shopper's Stop
Titan Industries
Sector Aggregate
401
682
859
Buy
Neutral
Neutral
4.8
6.9
24.5
8.5
11.2
23.6
14.2
12.6
35.9
84.1
98.3
35.0
58.5
47.2
60.9
36.4
44.2
28.2
54.0
23.9
28.2
42.1
49.2
22.6
33.8
24.2
33.9
20.7
24.3
14.5
24.9
14.5
15.7
12.2
8.6
45.7
18.8
17.5
12.6
37.2
20.8
19.3
12.8
32.6
21.6
29 December 2006
221

Results Preview
SECTOR: RETAILING
Pantaloon Retail
STOCK INFO.
BLOOMBERG
REUTERS CODE
BSE Sensex: 13,787 PF IN
S&P CNX: 3,966
PART.BO
29 December 2006
Previous Recommendation: Buy
Buy
Rs401
EPS
P/E
(X)
P/BV
(X)
ROE
(%)
ROCE
(%)
EV/
EV/
SALES EBITDA
EPS
(RS) GROWTH (%)
Equity Shares (m)
52-Week Range
1,6,12 Rel. Perf. (%)
M.Cap. (Rs b)
M.Cap. (US$ b)
134.4
476/216
-12/19/-28
54.0
1.2
YEAR
END
NET SALES
(RS M)
PAT
(RS M)
06/06A 18,678
06/07E* 33,669
06/08E* 57,846
642
1,142
2,013
4.8
8.5
14.2
-72.8
78.0
67.5
84.1
47.2
28.2
10.2
8.3
5.4
12.2
17.5
19.3
10.8
13.7
16.87
3.1
1.8
1.1
41.1
23.7
14.2
* Diluted equity after rights issue
?
Pantaloon’ revenues are expected to grow 61% YoY in 2QFY07 with value retailing driving growth during the
s
quarter.
Same store sales continue to clock steady growth, with expected same stores sales growth in double digits.
EBITDA margins are expected to decline by 40bp YoY, PAT is expected at Rs264m, a growth of 42% YoY buoyed
by strong growth in revenues.
Pantaloon is expected to witness acceleration in stores opening in the coming few months with more than 60 new
stores being opened under various formats by the end of January. The company is expected to open 28 Food Bazaars,
17 Big Bazaars, 12 Home Solutions and 4 Pantaloons by the end of January 2007.
Pantaloon continues to explore new initiatives to capture more and more share of the consumers’ wallet. New
formats like Shoe Factory, Beauty and Health mall, F123 format and Brand Factory are fast scaling up their store
launches.
The stock is currently trading at 84.1x FY06E EPS, 47.2x FY07E EPS and 28.2x FY08E EPS. We maintain
Buy.
(RS MILLION)
FY06
1Q
2Q
3Q
4Q
1Q
2QE
FY07
3QE
4QE
FY06
FY07E
?
?
?
?
?
QUARTERLY PERFORMANCE
Y/E JUNE
Net Sales
YoY Change (%)
Total Exp
EBITDA
Margins (%)
Depreciation
Interest
Other Income
PBT
Tax
Rate (%)
Adjusted PAT
YoY Change (%)
Exceptional Income
Repoorted PAT
YoY Change (%)
E: MOSt Estimates
3,648
81.4
3,368
280
7.7
-38
-57
7
192
-57
29.7
135
95.0
0
135
4,720
81.4
4,341
379
8.0
-46
-79
4
258
-72
28.0
186
83.0
0
186
4,554
98.0
4,169
385
8.5
-59
-101
5
230
-68
27.0
162
52.0
0
162
5,752
65.6
5,379
373
6.5
-66
-98
30
239
-80
33.6
158
43.5
0
158
6,034
65.4
5,618
415
6.9
-67
-125
17
241
-79
32.7
162
19.6
224
386
185.7
7,600
61.0
7,020
580
7.6
-70
-130
4
384
-120
31.3
264
42.2
12
276
48.7
8,000
75.7
7,330
670
8.4
-110
-165
5
400
-135
33.8
265
63.2
0
265
63.2
12,036
109.3
11,103
933
7.7
-150
-270
31
543
-93
17.0
451
184.7
0
451
184.7
18,678
77.4
17,257
1,420
7.6
-208
-335
42
919
-277
30.2
642
65.4
0
642
65.4
33,669
80.3
31,071
2,598
7.7
-397
-690
57
1,569
-427
27.2
1,142
78.0
236
1,378
114.8
Amnish Aggarwal (AmnishAggarwal@MotilalOswal.com) Tel: +91 22 39825404
29 December 2006
222

Results Preview
SECTOR: RETAILING
Shopper's Stop
STOCK INFO.
BLOOMBERG
REUTERS CODE
BSE Sensex: 13,787 SHOP IN
S&P CNX: 3,966
SHOP.BO
29 December 2006
Previous Recommendation: Neutral
Neutral
Rs682
P/E
(X)
P/BV
(X)
ROE
(%)
ROCE
(%)
EV/
EV/
SALES EBITDA
EPS
EPS
(RS) GROWTH (%)
Equity Shares (m)
52-Week Range
1,6,12 Rel. Perf. (%)
M.Cap. (Rs b)
M.Cap. (US$ b)
34.4
777/370
0/6/10
23.4
0.5
YEAR
END
NET SALES
(RS M)
PAT
(RS M)
03/06A
03/07E
03/08E
6,345
8,248
11,413
238
385
434
6.9
11.2
12.6
27.7
61.4
12.8
98.3
60.9
54.0
8.5
7.7
6.9
8.6
12.6
12.8
12.0
18.4
18.5
3.6
2.8
2.1
47.4
33.9
24.9
?
Shopper’ Stop is expected to report revenues of Rs2.5b in 3QFY07, an increase of 28.8%, driven by strong same
s
store sales growth in existing stores.
EBITDA margins are expected at 10.2% for 3QFY07, an increase of 10bp due to rising share of private labels and
strong same stores growth.
PAT at Rs163m is expected to increase by 45.4% during 3QFY07 on a YoY basis.
The company has been able to increase margins due to delay in store openings and strong same store sales in existing
stores. The company hopes to increase the number of Shopper’ Stop stores to around 30 in 12 months. We expect
s
margins to come under pressure after the store openings as the new stores will take at least 12 months to breakeven.
We expect the company to dilute some equity in CY07 to fund growth plans beyond 2007. The stock is currently
trading at 98.3x FY06E EPS, 60.9x FY07E EPS and 54x FY08E EPS. We maintain
Neutral.
?
?
?
?
QUARTERLY PERFORMANCE
Y/E MARCH
1Q
2Q
FY06
3Q
4Q
1Q
2Q
FY07
3QE
4QE
FY06
(RS MILLION)
FY07E
Net Sales
YoY Change (%)
Total Exp
EBITDA
Margins (%)
Depreciation
Interest
Other Income
PBT
Tax
Rate (%)
PAT
YoY Change (%)
Minority Interest
Reported PAT
E: MOSt Estimates
1,274
47.1
1,193
81
6.4
-40
-7
10
44
-16
37.2
28
-8.2
5
32
1,515
40.0
1,425
90
6.0
-47
-5
17
55
-23
41.4
32
127.4
0
32
1,941
43.2
1,744
197
10.1
-38
-7
17
168
-56
33.2
112
13.1
0
112
1,635
43.3
1,516
119
7.3
-41
-8
29
99
-37
37.9
61
35.2
0
61
1,720
35.0
1,600
119
6.9
-41
-9
25
95
-41
43.0
54
95.8
0
54
2,013
32.9
1,852
162
8.0
-55
-11
31
126
-46
36.4
80
148.0
0
80
2,500
28.8
2,245
255
10.2
-50
-7
25
223
-60
26.9
163
45.4
0
163
2,015
23.3
1,860
155
7.7
-53
-1
20
121
-33
27.5
88
42.8
0
88
6,345
42.6
5,858
487
7.7
-166
-28
78
371
-133
35.7
238
-95.8
5
243
8,248
30.0
7,557
691
8.4
-200
-28
101
565
-180
31.9
385
61.5
0
385
Amnish Aggarwal (AmnishAggarwal@MotilalOswal.com) Tel: +91 22 39825404
29 December 2006
223

Results Preview
SECTOR: RETAILING
Titan Industries
STOCK INFO.
BLOOMBERG
REUTERS CODE
BSE Sensex: 13,787 TTAN IN
S&P CNX: 3,966
TITN.BO
29 December 2006
Previous Recommendation: Neutral
Neutral
Rs859
P/E
(X)
P/BV
(X)
ROE
(%)
ROCE
(%)
EV/
EV/
SALES EBITDA
EPS
EPS
(RS) GROWTH (%)
Equity Shares (m)
52-Week Range
1,6,12 Rel. Perf. (%)
M.Cap. (Rs b)
M.Cap. (US$ b)
42.3
895/486
12/14/-39
36.3
0.8
YEAR
END
NET SALES
(RS M)
PAT
(RS M)
03/06A 14,402
03/07E 20,216
03/08E 24,288
1,054
1,046
1,595
24.5
23.6
35.9
65.5
-3.8
52.4
35.0
36.4
23.9
15.6
12.9
7.4
45.7
37.2
32.6
27.4
26.2
34.3
2.7
1.9
1.5
22.6
20.7
14.5
?
?
Titan is expected to report revenues of Rs4.75b in 3QFY07, a growth of 30% YoY.
EBITDA margins are expected to be 6.5% for 3QFY07, a decline of 170bp YoY, due to initial costs of retail stores
and deteriorating sales mix in favor of lower margin jewelry business.
PAT is expected to increase from Rs133m to Rs157m, an increase of 18%
The company has received various approvals and certifications for export of precision engineering components to the
aerospace industry. We expect this business segment to grow rapidly in the coming years as large import of passenger
aircraft are likely to result in good demand for components from India under the 30% offset rule.
The stock is currently trading at 35x FY06E EPS, 36.4x FY07E EPS and 23.9x FY08E EPS. We maintain
Neutral.
?
?
?
QUARTERLY PERFORMANCE
Y/E MARCH
1Q
2Q
FY06
3Q
4Q
1Q
2Q
FY07
3QE
4QE
FY06
(RS MILLION)
FY07E
Net Sales
YoY Change (%)
Total Exp
EBITDA
Margins (%)
Depreciation
Interest
Other Income
PBT
Tax
Rate (%)
PAT
YoY Change (%)
Extraordinary Items
Reported PAT
E: MOSt Estimates
2,862
42.9
2,709
153
5.3
-49
-58
5
51
24
-46.3
75
230.1
-25
50
3,539
29.7
2,988
551
15.6
-48
-60
6
449
-81
18.0
368
187.1
-162
206
3,649
24.0
3,350
299
8.2
-49
-73
4
181
-48
26.5
133
15.7
-25
108
4,231
33.1
3,693
537
12.7
-52
-58
10
438
-19
4.3
419
7.7
-48
371
4,410
54.1
4,245
165
3.7
-49
-49
14
81
-12
14.4
70
-7.4
-29
41
5,235
47.9
4,690
546
10.4
-66
-43
5
442
-100
22.6
342
-7.1
-21
322
4,750
30.2
4,440
310
6.5
-70
-45
7
202
-45
22.3
157
18.1
-20
137
5,820
37.6
5,086
734
12.6
-82
-40
12
624
-147
23.6
477
13.9
-21
456
14,402
31.3
12,794
1,608
11.2
-197
-248
24
1,187
-133
11.2
1,054
75.8
-250
804
20,216
40.4
18,461
1,755
8.7
-266
-177
39
1,350
-304
22.5
1,046
-0.8
-91
956
Amnish Aggarwal (AmnishAggarwal@MotilalOswal.com) Tel: +91 22 39825404
29 December 2006
224

Results Preview
QUARTER ENDED DECEMBER 2006
Telecom
BSE Sensex: 13,787
S&P CNX: 3,966
29 December 2006
COMPANY NAME
PG.
Bharti Airtel
230
Reliance Communication
231
The wireless industry continued its momentum of strong subscriber additions. We expect
the industry to add 20.18m subscribers in the quarter ended December 2006 compared
with 17.37m subscribers added in the quarter ended September 2006. Subscriber additions
continue to be driven by the A and B circles.
STRONG MARKET SHARE (%)
APR-06
MAY-06
JUN-06
JUL-06
AUG-06
SEP-06
OCT-06
NOV-06
VSNL
232
Market Share
Metros
A-Circle
B-Circle
C-Circle
Metros
A-Circle
B-Circle
C-Circle
24.2
35.4
32.5
8.0
14.8
37.3
34.2
13.7
23.9
35.4
32.5
8.2
15.4
36.9
34.6
13.2
23.4
35.5
32.8
8.3
14.7
37.1
37.4
10.7
23.0
35.6
33.1
8.3
13.2
38.6
39.5
8.6
22.3
35.6
33.7
8.4
9.8
35.2
45.3
9.7
21.9
35.8
33.8
8.5
13.4
39.4
37.0
10.3
21.4
35.9
34.2
8.6
11.3
37.7
40.3
10.6
20.8
36.0
34.5
8.7
9.7
38.2
40.5
11.7
Incremental Market Share
Source: Company/Motilal Oswal Securities
MOM NET ADDITIONS
7.5
6.0
4.5
3.0
1.5
Source: Company/Motilal Oswal Securities
EXPECTED QUARTERLY PERFORMANCE SUMMARY
RECO
SALES
SEP.06
CHG. (%)
SEP.06
EBITDA
CHG. (%)
(RS MILLION)
NET PROFIT
SEP.06
CHG. (%)
Telecom
Bharti Airtel
Reliance Comm
VSNL
Sector Aggregate
Buy
Buy
Not Rated
50,266
38,922
10,046
99,235
66.1
30.1
2.8
41.9
19,758
15,034
2,152
36,945
76.4
77.3
4.9
70.0
10,863
6,872
991
18,727
99.2
121.7
-34.0
86.3
Vaibhav Doshi (vaibhavdoshi@motilaloswal.com); Tel: +91 22 3982 5427
29 December 2006
225

Telecom
Cabinet approves proposal to extend USO support for wireless services
The Cabinet has approved a proposal by the Communications Ministry to bring an ordinance
to amend the Indian Telegraph Act 1885 to help bring mobile services in rural areas under
the ambit of the Universal Service Obligation (USO) Fund. The USO fund is built from a
5% levy on the adjusted gross revenue (AGR) of all telecom service operators. So far,
only fixed line service providers were eligible for support from the USO Fund. The
Amendment will enable the USO Fund to extend financial support to mobile services in
rural areas. The ordinance would be sent shortly to the President for his approval. The
government proposes to build about 10,000 towers to provide cellular services in areas
currently not covered by operators. The infrastructure will cost Rs35-50b, which will be
funded through the Rs70b corpus of the USO fund.
DOT may go for flat 6% license fees
Department of Telecommunications (DoT) is likely to recommend a single levy regime for
telecom service providers to the Finance Ministry. The industry has also demanded a
reduction in license fee to a flat 6%. Currently, telcos have to pay up to 10% of their
annual adjusted gross revenue (AGR) to the government as license fee. Operators have
to pay a license fee of 10% for category A circles, 8% for category B circles and 6% for
category C circles. Operators want that the license fee for category B and C circles
should be brought down to 6%. We believe this step could be very positive for industry; A
and B circles together constitute ~70% of the Indian wireless market. Although we expect
the benefit of license fee reduction to be passed on to consumers, such a move would
expand the addressable market and spur usage.
Infrastructure sharing in the spotlight
TRAI proposes to incentivise infrastructure sharing to help the industry to achieve
Government of India’ target to provide 250m telephones by December 2007 and 500m
s
telephones by 2010. As per TRAI’ proposal, a mobile operator must enter into agreements
s
with at least two other mobile operators for infrastructure sharing. For every tower shared,
a fixed amount could be considered as incentive and adjusted against the license fee for
the years in which such tower is operational and functional. The exact fixed benefit per
tower is yet to be determined. One of the key changes in the consultation paper is resale
of bandwidth. TRAI proposes to modify license conditions to allow resale of bandwidth,
as common back-haul sharing will require resale. Current license conditions do not permit
resale.
With infrastructure sharing, TRAI proposes to bring in 122m people (v/s current wireless
subscriber base of 140m) under wireless coverage. At present ~90k towers have been
commissioned to cater to 140m wireless subscribers. In order to achieve the target fixed
by the Government, approximately 135k towers will be required by 2007 and 330k by
2010. Currently, each tower costs about Rs3m, which translates into potential investment
of US$16b by 2010. Although subsidies may turn out to be small, we believe this will help
the industry to expand its addressable market.
29 December 2006
226

Telecom
TOWER
80
60
Existing Tow ers
New Tow ers
40
20
0
Source: Company/Motilal Oswal Securities
3G-spectrum release delayed
Ministry of Defense has informed the Department of Telecom (DoT) that the armed
services would require additional time, up to 390 days, to vacate the 45 MHz spectrum,
which it currently occupies. The delay means that 3G services will now be launched only
in early 2008 instead of the second half of 2007. The primary reason for the Ministry of
Defense seeking more time was due to BSNL’ and MTNL’ failure to complete the
s
s
Rs9.8b alternative optic fibre backbone for the armed forces as per schedule. Further, the
defense forces are demanding secure networks, which will cost to Rs27b. The DoT has
not decided who will bear this additional expenditure. Although most of the operators are
talking to vendors for 3G, the initial rollout will likely be voice-driven.
BSNL extends ‘
One India’plan to curb fixed line churn
BSNL has announced reduction in fixed line tariffs to make STD calls anywhere in the
country at Re1 per minute and local call at the rate of Re1 per 3 minutes. This is just an
extension of its ‘
One India’plan to other fixed line subscribers in urban areas. BSNL has
also reduced monthly rentals from Rs225 to Rs180.
Valuation and view
Momentum in subscriber additions continues to be strong, driven by falling handset costs,
attractive tariffs offered by different service providers and deeper penetration. We do not
expect last quarter’ stabilization in ARPU to continue, due to tariff pressures. Long distance
s
and enterprise segments are likely to see pressure due to commissioning of FALCON.
Though subscriber additions have been strong during the quarter, the focus is likely to be
on ARPU, as most operators are bundling free minutes to lure customers.
29 December 2006
227

Telecom
Reliance Communication – Not Just Wireless
Investmen t positives
Wireless – leveraging the network to drive profitability:
As
tariff rationalization is expected to continue in the medium term, lower
free minutes are likely to lead to lower MOU’ and lower drop in RPM
s
as compared to the industry. We expect average monthly subscriber
additions of 1.4m for the remainder of FY07, which will accelerate to
1.5m in FY08. Wireless ARPU is expected to drop by 6% in the
remainder of FY07 and 6% in FY08. In FY09, while monthly additions
are expected to be 1.2m, we expect ARPU decline to moderate at
2%. We see wireless margins improving from 36.1% in 2QFY07 to
36.8% in FY08 and 37.5% in FY09. We view this as a result of
improving capacity utilization, which explains the higher operating
leverage in the company’ margins as it acquires subscribers.
s
Global business – FALCON sub-sea cable to drive data
business:
We expect volume growth of 35% in long distance
minutes and robust growth in data business. Contribution of Flag
Telecom is likely to improve significantly, as the company is seeing
robust volume growth in the data segment. Reliance Communication’
s
global business is largely voice dependent and the voice business is
likely to see margin pressure. However, big-ticket deals and the
rapidly growing data market in Asia and Middle East is likely to reduce
its dependence on the voice business. Overall, we expect margins
to remain stable, as pressure on voice margins will be compensated
by 29% CAGR (FY07-09) in the data business, which has higher
margins.
Broadband – connecting enterprises and homes:
We believe
that Reliance Communication is poised to become a leader in domestic
enterprise services in the medium term. It has 170 MPLS enabled
cities and 20,000 RKM of fiber laid, which connects 30 cities in India.
Over the past few quarters, the company is rapidly expanding its
broadband presence, which is evident from a more than six fold rise
in the number of buildings connected. However, the growth in the
Valuations attractive; Buy
Concerns
Initiating Coverage
number of access lines has trailed, indicating higher growth in the
future. We believe that volume ramp up in this business is likely to
very fast, with access lines growing at CAGR of 81% during FY06-
09.
Improving profitability ratios:
We expect the company’ RoE
s
and RoCE to show marked improvement from 7.6% and 7.4%,
respectively in FY06. We expect RoE to touch 25.6% in FY08 and
27% In FY08 whereas RoCE would touch 18.8% in FY08 and 23.6%
in FY09.
We believe that the company’ current GSM pursuit is unlikely to
s
result into a nationwide rollout – GSM rollout will be selective, in our
opinion. We believe this has more to do with spectrum issues and
negotiations with Qualcomm. We have not factored in nationwide
rollout of GSM operations, which could negatively impact our
earnings forecast. Though improving disclosures are positive, a
limited financial history remains a risk, as highlighted by recent
restatements. Higher handset subsidies due to lower GSM handset
prices could also negatively impact our earnings estimates.
We believe momentum in wireless business is intact, driven by
strong subscriber additions. Broadband business is likely to gain
traction, with strong subscriber additions and robust margins. In the
long distance segment, although margins are likely to be stabilize,
volume growth is likely to be robust. Consolidated margins are
expected to improve from 21.9% in FY06 to 38.8% in FY08 and
39.8% in FY09. We expect the company to report EPS of Rs13.1 in
FY07, Rs21.8 in FY08 and Rs28.1 in FY09. The stock trades at
21.1x FY08E and 15.9x FY09E earnings. Given the strong earnings
growth and higher EBITDA growth, we recommend Buy with a 15-
month price target of Rs560 (20x FY09E EPS) – an upside of 25%.
We believe that Bharti would continue to report strong topline growth during the quarter
and maintain its operating margins. We expect EPS of Rs31 for FY08 and Rs38.9 for
FY09. We recommend Buy with a 15-month price target of Rs778 (20x FY09E EPS) – an
upside of 29%.
For Reliance Communication (RCOM), although PAT will show marginal decline as savings
on the interest cost front are unlikely to continue, it will report EBITDA growth of 11.5%
QoQ. RCOM is likely to report EPS of Rs13.1 in FY07, Rs21.8 in FY08 and Rs28.1 in
FY09. The stock trades at 21.1x FY08E and 15.9x FY09E earnings. Given the strong
earnings growth and higher EBITDA growth, we recommend Buy with a 15-month price
target of Rs560 (20x FY09E EPS) – an upside of 25%.
29 December 2006
228

Telecom
Stock performance and valuations
STOCK PERFORMANCE (%)
ABSOLUTE PERF
3M
1 YEAR
REL PERF TO SENSEX
3M
1 YEAR
REL PERF TO SECTOR
3M
1 YEAR
Telecom
Bharti Airtel
Reliance Communications
VSNL
34
36
7
82
-
11
23
25
-4
35
-
-36
3
5
-24
10
-
-61
RELATIVE PERFORMANCE - 3 MONTH (%)
RELATIVE PERFORMANCE - 1 YEAR (%)
Sensex
127
MOSt Telecom Index
185
MOSt Telecom Index
Sensex
119
160
111
135
103
110
95
Jun-06
Jul-06
Aug-06
Sep-06
85
Sep-05
Dec-05
Mar-06
Jun-06
Sep-06
COMPARATIVE VALUATION
CMP (RS)
29.12.06
RECO
FY06
EPS (RS)
FY07E
FY08E
FY06
P/E (X)
FY07E
FY08E
EV/EBITDA
FY06
FY07E
FY08E
FY06
ROE (%)
FY07E
FY08E
Telecommunication
Bharti Airtel
Reliance Comm
VSNL
Sector Aggregate
629
471
424
Buy
Buy
Not Rated
12.0
2.2
16.8
21.1
13.1
12.9
31.0
21.2
13.8
52.5
217.1
25.2
69.5
29.8
35.9
32.9
32.0
20.3
22.3
30.8
21.5
28.4
40.0
13.6
30.4
17.1
17.8
13.3
17.1
11.5
12.2
10.9
11.7
29.5
8.2
9.1
16.9
35.7
20.9
6.2
23.4
36.4
26.0
6.1
27.0
29 December 2006
229

Results Preview
SECTOR: TELECOM
Bharti Airtel
STOCK INFO.
BLOOMBERG
REUTERS CODE
BSE Sensex: 13,787 BHARTI IN
S&P CNX: 3,966
BRTI.BO
29 December 2006
Previous Recommendation: Buy
YEAR
END
NET SALES
(RS M)
PAT
(RS M)
EPS
EPS
P/E
(X)
P/BV
(X)
ROE
(%)
ROCE
(%)
EV/
(RS) GROWTH (%)
Buy
Rs629
EV/
SALES EBITDA
Equity Shares (m)
52-Week Range
1,6,12 Rel. Perf. (%)
M.Cap. (Rs b)
M.Cap. (US$ b)
1,895.0
652/310
-1/40/35
1,191.7
26.9
3/06A 116,631
3/07E
3/08E
188,490
282,052
22,584
39,949
58,750
11.9
21.1
31.0
47.4
76.9
47.1
52.8
29.8
20.3
13.1
9.2
6.3
29.5
35.7
36.4
21.6
27.9
30.2
10.8
6.8
4.7
28.8
17.4
11.7
?
We expect Bharti Airtel’ overall revenues to grow 15.4 % QoQ, driven by growth in mobility revenues. We expect
s
the company to add 4.8m subscribers compared with 4m subscribers added in 2QFY07.
Overall EBITDA margins should expand 20bp QoQ to 39.2% on the back of higher wireless and fixed line margins
despite lower margins in long distance and enterprise business.
EBITDA margins for the mobile telephony business are likely to expand 15bp QoQ, driven largely by strong subscriber
additions during the quarter.
We expect a 30bp margin decline in long distance business due to pressure on net retentions. Enterprise business
margins are also likely to decline by 100bp to 41.2% owing to intense competition.
Net profit is likely to grow 16% QoQ due to robust revenue growth
The stock is currently trading at 20.3x FY08E and 16.2x FY09E earnings. We expect Bharti to consolidate its
leadership in the mobility market, while continuing to invest aggressively. We maintain
Buy.
(RS MILLION)
FY06
1Q
2Q
3Q
4Q
1Q
2Q
FY07
3QE
4QE
FY06
FY07E
?
?
?
?
?
QUARTERLY PERFORMANCE (CONSOLIDATED)
Y/E MARCH
Gross Revenue
YoY Growth (%)
QoQ Growth (%)
Access & Interconnect Charges
Net Revenue
Total Operating Expenses
EBITDA
Margin (%)
Net Finance Costs
Cash Profit from Operations
Depreciation & Amortisation
Profit before Tax
Income Tax Expense / (Income)
Net Profit / (Loss)
QoQ Growth (%)
Margin (%)
25,172
48.6
8.2
4,849
20,323
10,916
9,407
37.4
149
9,258
3,403
5,980
815
5,099
11.1
20.3
27,090
46.3
7.6
4,928
22,162
11,951
10,211
37.7
845
9,366
3,703
5,795
514
5,209
2.2
19.2
30,256
41.9
11.7
5,571
24,685
13,486
11,199
37.0
924
10,275
4,026
6,386
858
5,453
4.7
18.0
34,113
46.7
12.7
6,447
27,666
14,884
12,782
37.5
733
12,049
4,698
7,413
549
6,823
25.1
20.0
38,564
53.2
13.0
6,612
31,952
16,930
15,022
39.0
1,691
13,331
4,972
8,600
952
7,552
10.7
19.6
43,572
60.8
13.0
7,190
36,382
19,357
17,025
39.1
587
16,438
5,926
10,782
1,378
9,338
23.7
21.4
50,266
66.1
15.4
8,294
41,972
22,214
19,758
39.3
1,099
18,659
6,384
12,546
1,606
10,863
16.3
21.6
56,088
64.4
11.6
9,591
46,497
24,339
22,158
39.5
1,261
20,897
7,082
14,085
1,803
12,196
12.3
21.7
116,631
45.7
21,795
94,836
51,237
43,599
37.4
2,651
40,948
15,830
25,574
2,736
22,584
19.4
188,490
61.6
31,687
156,803
82,840
73,963
39.2
4,638
69,325
24,363
46,012
5,739
39,949
21.2
E: MOSt Estimates; Finacials as per US GAAP
Vaibhav Doshi (vaibhavdoshi@motilaloswal.com); Tel: +91 22 3982 5427
29 December 2006
230

Results Preview
SECTOR: TELECOM
Reliance Communication
STOCK INFO.
BLOOMBERG
REUTERS CODE
BSE Sensex: 13,787 RCOM IN
S&P CNX: 3,966
RLCM.BO
29 December 2006
Previous Recommendation: Not Rated
YEAR
END
NET SALES
(RS M)
PAT
(RS M)
EPS
EPS
P/E
(X)
P/BV
(X)
ROE
(%)
ROCE
(%)
EV/
(RS) GROWTH (%)
Buy
Rs471
EV/
SALES EBITDA
Equity Shares (m)
52-Week Range
1,6,12 Rel. Perf. (%)
M.Cap. (Rs b)
M.Cap. (US$ b)
2,044.6
485/186
9/59/-
963.6
21.8
3/06A 107,664
3/07E
3/08E
149,357
214,170
4,439
26,817
42,699
2.2
13.1
21.2
n.a.
504.1
61.5
217.1
35.9
22.3
8.2
6.6
5.1
7.6
20.4
25.6
7.4
13.3
18.8
9.2
6.8
4.7
40.0
17.8
12.2
?
We expect overall revenues to grow 10.63% QoQ, driven by growth in mobility revenues. We expect the company to
add 4m subscribers compared with 3.4m subscribers added in 2QFY07.
Overall EBITDA margins should expand 20bp from 38.4% in 2QFY07 to 38.6% on the back of higher margins in the
wireless business?
Although ARPU is likely to fall by 3%, EBITDA margins for wireless business should expand 25bp QoQ, driven
largely by strong subscriber additions during the quarter and tariff rationalization.
We expect stable margins in the long distance business despite pressure on retention as proportion of data business
increases. We expect broadband business margins to decline from 44.8% to 42.3% as the company starts targeting
the SME space.
Although PAT is likely to decline marginally, as savings on interest cost are unlikely to continue, EBITDA would grow
by a robust 11.5% QoQ. The stock is currently trading at 22.3x FY08E and 16.8x FY09E earnings. We recommend
Buy.
(RS MILLION)
FY06
1Q
2Q
3Q
4Q
1Q
2Q
FY07
3QE
4QE
FY06
FY07E
?
?
?
?
QUARTERLY PERFORMANCE (CONSOLIDATED)
Y/E MARCH
Gross Revenue
YoY Growth (%)
QoQ Growth (%)
Total Operating Expenses
EBITDA
Margin (%)
Net Finance Costs
Cash Profit from Operations
Depreciation & Amortization
Profit before Tax
Income Tax Expense / (Income)
Net Profit / (Loss)
QoQ Growth (%)
Margin (%)
22,830
25,220
10.5
29,910
18.6
21,430
8,480
28.4
1,280
7,200
3,980
3,220
120
3,100
-1731.6
10.4
29,704
-0.7
19,282
10,422
35.1
425
9,997
5,457
4,540
137
4,029
30.0
13.6
32,501
42.4
9.4
20,439
12,062
37.1
999
11,063
5,514
5,549
272
5,127
27.3
15.8
35,260
39.8
8.5
21,734
13,525
38.4
56
7,288
6,237
7,233
59
7,023
37.0
19.9
38,922
30.1
10.4
23,888
15,034
38.6
1,007
14,027
6,861
7,166
143
6,872
-2.1
17.7
42,674
43.7
9.6
26,205
16,469
38.6
1,020
15,449
7,342
8,107
162
7,795
13.4
18.3
107,664
34.5
82,902
24,762
23.0
2,625
22,137
16,987
5,150
337
4,439
4.1
149,357
38.7
92,267
57,090
38.2
2,502
47,827
25,954
28,054
637
26,817
18.0
21,240
1,590
7.0
270
1,320
3,760
-2,440
60
-2,500
20,950
4,270
16.9
650
3,620
3,790
-170
20
-190
-92.4
-0.8
E: MOSt Estimates; Finacials as per US GAAP
Vaibhav Doshi (vaibhavdoshi@motilaloswal.com); Tel: +91 22 3982 5427
29 December 2006
231

Results Preview
SECTOR: TELECOM
VSNL
STOCK INFO.
BLOOMBERG
REUTERS CODE
BSE Sensex: 13,787 VSNL IN
S&P CNX: 3,966
VSNL.BO
29 December 2006
Previous Recommendation: Not Rated
Not Rated
Rs424
P/E
(X)
P/BV
(X)
ROE
(%)
ROCE
(%)
EV/
EV/
SALES EBITDA
EPS
EPS
(RS) GROWTH (%)
Equity Shares (m)
52-Week Range
1,6,12 Rel. Perf. (%)
M.Cap. (Rs b)
M.Cap. (US$ b)
285.0
515/300
-1/-24/-36
121.0
2.7
YEAR
END
NET SALES
(RS M)
PAT
(RS M)
3/06A
3/07E
3/08E
37,810
39,275
43,534
4,796
3,682
3,931
16.8
12.9
13.8
-36.6
-23.2
6.8
25.2
32.9
30.8
2.0
1.9
1.9
8.1
6.0
6.1
12.4
9.3
9.1
3.2
2.9
2.6
13.6
13.3
10.9
?
?
We expect VSNL’ revenues to grow 2.8% YoY and 3.5% QoQ, driven largely by the data business.
s
EBITDA margins should expand 90bp to 21.4% from 20.5% in 2QFY07 due to increased contribution from the data
business.
Network expenses, which are of ‘
step-up’nature, are likely to act as the leverage factor in margin expansion. We
expect continued cost savings on other expenses, which were high last year due to acquisition-related expenses.
Due to continued maintenance capex, depreciation is likely to grow 17.3% YoY and 15% QoQ.
Net profit is likely to decline by 17.3% QoQ largely due to higher other income and lower depreciation in 2QFY07.
The stock is currently trading at 30.8x FY08E and 25.3x FY09E earnings.
(RS MILLION)
FY06
1Q
2Q
3Q
4Q
1Q
2Q
FY07
3QE
4QE
FY06
FY07E
?
?
?
QUARTERLY PERFORMANCE (STANDALONE)
Y/E MARCH
Gross Revenue
YoY Growth (%)
QoQ Growth (%)
Network Operating Expenses
Employee Costs
Other Operating Costs
Total Operating Expenses
EBITDA
QoQ Growth (%)
Margin (%)
Net Finance Costs
Cash Profit from Operations
Non-Operating Income
Depreciation & Amortisation
Profit before Tax
Income Tax Expense / (Income)
Adjusted PAT
QoQ Growth (%)
9,149
15.2
1.5
5,018
458
1,200
6,676
2,473
22.2
27.0
0
2,473
291
796
1,968
698
1,270
-68.2
9,295
19.4
1.6
5,340
527
1,518
7,385
1,910
-22.8
20.5
0
1,910
317
893
1,334
459
910
-28.3
9,775
18.2
5.2
5,597
527
1,600
7,724
2,051
7.4
21.0
0
2,051
980
882
2,149
729
1,501
64.9
9,595
6.4
-1.8
5,004
579
1,684
7,267
2,328
13.5
24.3
16
2,312
698
1,023
1,987
185
1,115
-25.7
9,240
1.0
-3.7
5,360
590
1,160
7,110
2,130
-8.5
23.1
10
2,120
270
1,050
1,340
430
880
-21.1
9,660
3.9
4.5
5,413
580
1,690
7,683
1,977
-8.7
20.5
10
1,967
390
900
1,457
530
1,067
21.3
10,046
2.8
3.5
5,521
632
1,741
7,894
2,152
-11.4
21.4
20
2,132
398
1,035
1,495
504
991
-7.1
10,328
7.6
2.8
5,632
673
1,727
8,032
2,296
6.7
22.2
20
2,276
406
1,139
1,543
520
1,023
3.2
37,814
14.5
20,959
2,091
6,002
29,052
8,762
23.2
16
8,746
2,286
3,594
7,438
2,071
4,796
39,275
3.9
21,926
2,475
6,318
30,719
8,555
21.8
60
8,495
1,464
4,124
5,835
1,984
3,681
E: MOSt Estimates; Finacials as per US GAAP
Vaibhav Doshi (vaibhavdoshi@motilaloswal.com); Tel: +91 22 3982 5427
29 December 2006
232

Results Preview
QUARTER ENDED DECEMBER 2006
Textiles
BSE Sensex: 13,787
S&P CNX: 3,966
29 December 2006
COMPANY NAME
PG.
Alok Industries
240
Arvind Mills
241
Gokaldas Exports
242
India leads in exports to the US
During January-September 2006, total import of textiles and apparel to the USA increased
marginally by 1.5% YoY in volume terms. Amongst the large exporters to the USA,
India emerged the largest gainer, with volumes increasing by 17% YoY, while, its key
competitors such as China and Pakistan reported 6% YoY and 15% YoY volume increases
respectively.
SEGMENTWISE IMPORT GROWTH RATES IN USA, EXPORT PERFORMANCE OF INDIA AND CHINA (%)
TOTAL IMPORT
EXPORT GROWTH RATE
TO USA FROM INDIA
EXPORT GROWTH RATE
TO USA FROM CHINA
Himatsingka Seide
243
Raymond
244
Home Textiles
Apparel
Yarns
Fabrics
GROWTH RATE IN USA
9.4
1.2
-6.3
-2.4
1.5
8.5
11.3
137
27.4
16.8
13.7
-1.1
112.5
-5
5.7
Source: TEXPROCIL
Vardhman Textiles
245
Welspun India
246
Total
Chinese exports to surge from 4QCY06 onward
We expect exports from China to surge from 4QCY06 onward, on the back of higher
quota limits and large unused quota limits in key categories. This is already reflected in
apparel exports from China which increased by 56% YoY and 73% YoY in September
2006 and October 2006 respectively. US apparel imports from China dramatically fell in
1HCY06 after the US imposed embargoes in CY05 that significantly disrupted trade
operations from 2HCY05 onwards. The quota fill rates for Chinese exports to the US in
key categories were extremely low in 1HCY06. However going forward, with higher
quota available to be fulfilled, this could result in a potential surge in Chinese apparel
exports from 2HCY06 onward. Furthermore, as per the quota limits set by the US for
China, Chinese exports can increase by 15% in CY07, against a limit of 12.5% growth
rate in CY06 in our view.
EXPECTED QUARTERLY PERFORMANCE SUMMARY
RECO
SALES
DEC.06
CHG. (%)
DEC.06
EBITDA
CHG. (%)
(RS MILLION)
NET PROFIT
DEC.06
CHG. (%)
Textiles
Alok Ind
Arvind Mills
Gokaldas Exports
Himatsingka Seide
Raymond
Vardhman Textiles
Welspun Ind
Sector Aggregate
Neutral
Neutral
Buy
Neutral
Buy
Buy
Neutral
4,750
4,035
2,582
481
2,952
5,650
2,750
23,200
29.6
3.4
17.8
17.9
-14.5
10.2
78.1
14.3
1,050
893
293
169
563
989
503
4,459
29.6
-2.7
21.8
28.4
-4.5
3.2
32.3
10.7
379
125
175
147
323
451
140
1,741
28.6
-46.6
11.0
23.3
23.9
-12.0
90.1
5.3
Siddharth Bothra (Sbothra@MotilalOswal.com); Tel: +91 22 39825407
29 December 2006
233

Textiles
Trade shift to developing countries slower than anticipated
World textile trade was expected to shift from the artificially protected developed countries
to the low-cost developing countries, in the post quota era. Though the initial trade data in
the post-quota period confirms the above prognosis, the pace of trade shift has been
substantially slower than anticipated.
Key factors responsible for the slower-than-anticipated impact resulting from quota
abolishment are: (1) tariff differentials; (2) preferential agreements; (3) re-imposition of
quotas on China by the US and EU and (4) transition time required by large buyers. Going
forward, though tariff differentials and preferential agreements may continue to be a
deterrent to growth, we expect trade shifts to accelerate as a result of aggressive outsourcing
ramp-up by global retailers from key sourcing countries such as India.
We expect trade shifts to India to accelerate in 2007
Although quota tariffs were removed in 2005, trade shifts are expected to start occurring
only by early 2007. This two-year window has given India time to invest and ramp up
capacities to achieve modest scale. Most Indian companies have expanded their capacities
aggressively over the last two years and are well positioned to benefit from the potential
surge in demand, in the post-quota era.
PARTICULARS TIME PERIOD
Tariffs Removed
Shifts in Production
Strategic Relationship
Jan-05
Jan-07
Jan-08
Source: Motilal Oswal Securities
Indian textile export performance in 1QFY07
Indian textile exports increased by 21% YoY during 1QFY07, driven by 31% YoY growth
in cotton textiles and 21% YoY increase in ready made garments (RMG) exports. Going
forward, we expect RMG exports to lead a 29% growth in total textile exports in India.
SEGMENT-WISE TEXTILE EXPORT PERFORMANCE (RS M)
2002-03
2003-04
2004-05
2005-06
APR-
JUN’
05
APR-
JUN’
06
% CHG
Cotton Textiles
% of Total
Manmade Textiles
% of Total
Silk
% of Total
Wool
% of Total
RMG
% of Total
Total Textiles
Handicraft
Jute
Coir & Coir Manufactures
162,678
31
68,600
13
21,841
4
13,035
2
258,154
49
524,308
63,781
9,078
3,550
165,422
30
83,688
15
25,053
5
15,531
3
265,891
48
555,586
49,874
11,140
3,574
159,244
28
92,143
16
26,715
5
18,741
3
270,691
48
567,533
45,554
12,413
4,743
198,939
29
88,555
13
30,631
4
20,983
3
343,243
50
682,350
54,869
13,044
5,944
43,353
28
20,032
13
6,888
4
4,425
3
81,662
52
156,360
13,286
3,094
1,259
56,829
30
23,636
12
7,487
4
5,167
3
98,529
51
191,647
13,673
2,975
1,444
31
18
9
17
21
23
3
-4
15
Source: Textile Commission
29 December 2006
234

Textiles
RMG AS A PERCENTAGE OF EXPORTS INCREASING
EXPORT GROWTH AT RECORD HIGHS
360,000
320,000
280,000
240,000
200,000
RMG
% of total
30
52
22
15
9
4
24
20
51
49
48
46
10
0
-10
-10
-20
Source: Textile Commission
Share of exports increasing in overall textile industry
Indian textile industry was estimated to be around US$47b in FY06, with the domestic
market valued at US$29.1b and the exports market at US$17.8b. Exports accounted for
nearly 38% of the Indian textile industry in FY06 v/s 34% in FY05. Within the textile
industry, apparel accounted for around 59% of the market in FY06, while textile accounted
for 41% of the market.
SNAPSHOT OF INDIAN TEXTILE AND APPAREL INDUSTRY FY06 (US$B)
EXPORTS
DOMESTIC
TOTAL
EXPORTS AS % OF TOTAL
Apparel
Textiles
Total
8.6
9.2
17.8
19.2
9.9
29.1
27.8
19.2
47.0
31
48
38
Source: Textil Commission
The Indian textile industry is expected to grow at a CAGR of 19.2%, over FY06-FY10
from US$47b in FY06 to around US$95b in FY10. This growth would be led by a CAGR
of 29% in exports and 11% in domestic consumption.
EXPECTED GROWTH RATES IN THE INDIAN TEXTILE INDUSTRY, OVER FY06-FY10E (US$B)
FY06
FY10
CAGR (%)
Domestic
Exports
Total
29
18
47
45
50
95
11
29
19
Source: Textil Commission
TUF sanctions witnesses a sharp jump
Sanctions under the Textile Upgradation Scheme (TUF) witnessed an unprecedented
increase over the last few years, owing to large capex initiatives by a majority of the
textile players. Total sanctions under the TUF scheme stood at around Rs584b, between
FY02-FY07. Sanctions under this scheme increased by almost 2x in FY07 to Rs300b
compared with Rs150b in FY06. Availability of easy and cheap financing has enabled the
29 December 2006
235

Textiles
Indian textile industry to modernize and create a credible scale for itself. As a result, a
majority of the Indian textile industry players today have access to the latest technology
and machinery and can offer critical scale to global buyers.
INVESTMENTS SANCTIONED UNDER TUF (RS B)
360
Project cost sanctioned under TUFS
300
270
180
74
13
0
2002
2003
2004
2005
14
33
150
90
2006
2007E
Source: Company/ Motilal Oswal Securities
Cotton outlook favorable
Historically, one of the key concerns for the textile sector has been the high dependence
on raw material cost. Raw materials such as cotton, man made yarn or fabric, along with
certain other items account for nearly 50-60% of revenues for most textile companies.
Any adverse movement in the raw material prices could have a significant impact on the
earnings of most companies.
International cotton prices have increased by 5-10% QoQ in 4QCY06 to around 58-59
cents/pound v/s 54-55 cents/pound in 3QCY06. However, we do not expect this trend to
sustain due to robust production estimates for the 2006-2007 cotton season and the bumper
crop in India.
WORLD COTTON DEMAND/SUPPLY ESTIMATES
PRODUCTION
IMPORTS
MILL USE
STOCKS
STOCKS TO USE RATIO
2003-04
2004-05
2005-06
2006-07E
20.74
26.21
24.85
25.23
7.42
7.26
9.62
9.08
21.34
23.69
25.22
26.34
9.38
11.77
11.81
11.21
44.0
49.7
46.8
42.6
Source: USDA
29 December 2006
236

Textiles
DOMESTIC COTTON PRICES (RS/KG)
MCU-5 (Rs/Kg)
95
80
65
50
35
72
64
56
48
40
S.6 (Rs/Kg)
INTERNATIONAL COTTON PRICES (US CENTS/LB)
96
82
68
54
40
26
Cotlook A Indices (US cents/Lb)
Source: Company/ Motilal Oswal Securities
Valuations
We believe the textile industry is today on a much stronger footing than it has ever been in
recent history. Most of the companies have expanded and modernized their capacities to
reach critical size. Consequently, due to their modern plans and global capacities, they
have also managed to attract large international institutional buyers with whom they now
have established strategic relationships. This has allowed them to move their business
models from being a transitional-based model to one that is based on strategic vendor-
based relationship. At the same time, their financials are extremely healthy, as they have
resorted to substantial withdrawal from the subsidized TUF scheme. Furthermore, there is
no immediate concern of large dilutions, as most companies have already completed a
substantial portion of their capex plans.
Textile stocks have significantly underperformed the Sensex
Textile stocks have been a major underperformer over the last one-year. Some of the key
reasons for this underperformance are: (1) constant dilutions from these companies; (2)
delay in commissioning of plants and concerns of margin pressure owing to competition
from China. Our textile universe today trades at a PER of 12.2x FY07 and 9.5x FY08
earnings, while it enjoys a P/B of 1.4x FY07 and 1.2x FY08. We believe this is an appropriate
time to stock up on the textile stocks and reap the benefits of strong topline growth and
29 December 2006
237

Textiles
improved margins, going forward. Our top picks are
Raymond, Vardhman Textiles
and
Gokaldas Exports.
RELATIVE PERFORMANCE OF TEXTILES INDUSTRY
MOSt Textiles Index
225
195
165
135
105
75
Sensex
Source: Company/ Motilal Oswal Securities
Earnings to record CAGR of 25%, over FY07-FY09
We expect the textile universe to record earnings CAGR of 25%, over FY07-FY09. This
growth would be led by the robust capacity expansion and smart improvement in operating
margins. The strongest growth is likely to be witnessed from Welspun, Vardhman and
Alok. Most textile stocks today are trading at discounts to their P/E ratios in FY05 and are
quoting near their median levels. We believe it is an opportune time to stock up on quality
textile stocks at inexpensive valuations.
HISTORICAL PER (X)
18
14
10
6
2
Source: Company/ Motilal Oswal Securities
29 December 2006
238

Textiles
Stock performance and valuations
STOCK PERFORMANCE (%)
ABSOLUTE PERF
3M
1 YEAR
REL PERF TO SENSEX
3M
1 YEAR
REL PERF TO SECTOR
3M
1 YEAR
Textiles
Alok Ind
Arvind Mills
Gokaldas Exports
Himatsingka Seide
Raymond
Vardhman Textiles
Welspun Ind
2
-24
-3
-7
-11
2
-11
0
-46
4
-12
-1
-10
-21
-8
-35
-14
-18
-22
-9
-22
-47
-93
-42
-59
-48
-57
-68
10
-16
5
1
-3
10
-3
13
-33
17
1
12
2
-8
RELATIVE PERFORMANCE - 3 MONTH (%)
RELATIVE PERFORMANCE - 1 YEAR (%)
Sensex
114
MOSt Textiles Index
155
MOSt Textiles Index
Sensex
108
135
115
102
96
95
75
Sep-06
Oct-06
Nov-06
Dec-06
Dec-05
Mar-06
Jun-06
Sep-06
Dec-06
90
COMPARATIVE VALUATION
CMP (RS)
29.12.06
RECO
FY06
EPS (RS)
FY07E
FY08E
FY06
P/E (X)
FY07E
FY08E
EV/EBITDA
FY06
FY07E
FY08E
FY06
ROE (%)
FY07E
FY08E
Textiles
Alok Ind
Arvind Mills
Gokaldas Exports
Himatsingka Seide
Raymond
Vardhman Textiles
Welspun Ind
Sector Aggregate
68
52
609
123
400
275
85
Neutral
Neutral
Buy
Neutral
Buy
Buy
Neutral
5.5
6.1
35.4
5.0
22.2
30.7
5.4
7.8
2.6
42.7
5.9
31.0
28.3
7.8
10.3
3.9
53.4
9.2
37.3
32.9
10.1
12.3
8.5
17.2
24.7
18.1
9.0
15.7
13.5
8.8
20.0
14.3
20.8
12.9
9.7
11.0
12.2
6.6
13.2
11.4
13.4
10.7
8.4
8.4
9.5
10.0
7.4
11.3
15.6
11.4
7.1
11.6
9.3
7.9
8.5
9.1
17.4
8.1
7.5
9.5
8.5
6.7
8.2
7.6
9.4
6.6
7.9
8.4
7.6
9.9
9.5
23.5
11.2
8.3
22.4
9.2
10.9
12.6
3.6
19.2
9.9
9.1
17.5
10.0
11.1
14.9
5.4
20.2
14.3
9.5
17.6
12.0
12.8
29 December 2006
239

Results Preview
SECTOR: TEXTILES
Alok Industries
STOCK INFO.
BLOOMBERG
REUTERS CODE
BSE Sensex: 13,787 ALOK IN
S&P CNX: 3,966
ALOK.BO
29 December 2006
Previous Recommendation: Neutral
Neutral
Rs68
P/E
(X)
P/BV
(X)
ROE
(%)
ROCE
(%)
EV/
EV/
SALES EBITDA
EPS*
EPS
(RS) GROWTH (%)
Equity Shares (m)
52-Week Range
1,6,12 Rel. Perf. (%)
M.Cap. (Rs b)
M.Cap. (US$ b)
199.1
99/54
-3/-9/-47
13.6
0.3
YEAR
END
NET SALES
(RS M)
PAT
(RS M)
3/06A
3/07E
3/08E
14,188
19,214
23,447
1,102
1,543
2,057
5.5
7.8
10.3
-18.5
40.1
33.3
12.4
8.8
6.6
1.2
1.1
1.0
9.9
12.6
14.9
7.1
8.9
10.2
2.1
1.7
1.6
10.0
7.9
6.7
*Fully Diluted EPS
?
During 3QFY07, we expect Alok to post 30% YoY increase in revenues to Rs4.75b v/s Rs3.66b in 3QFY06. Total
exports are likely to increase by 90% YoY to Rs1.7b in 3QFY07.
We expect EBITDA to increase by 30% to around Rs1b, while we expect EBITDA margins to remain flat at around
22.1%.
We expect PAT to increase by 29% to around Rs379m v/s Rs295m in 3QFY06.
During 3QFY07, the company launched its retail initiatives through exclusive retail stores christened ‘
Homes and
Apparels’ It plans to open around 15 stores in FY07 and increase the number of stores to around 100 by FY08.
.
We expect Alok’ revenues and earnings to witness 21% and 29% CAGR (FY07-FY09) respectively. Margins are
s
likely to expand from 21% in FY05 to 23.5% in FY08. The stock s currently trading at 8.8x FY07E and 6.6x FY08E
earnings. We maintain
Neutral.
(RS MILLION)
FY06
1Q
2Q
3Q
4Q
1Q
2Q
FY07
3QE
4QE
FY06
FY07E
?
?
?
?
QUARTERLY PERFORMANCE
Y/E MARCH
Sales
Change (%)
Total Expenditure
EBITDA
Change (%)
As % of Sales
Depreciation
Interest
Other Income
PBT
Tax
Effective Tax Rate (%)
Repoted PAT
Change (%)
E: MOSt Estimates
2,992
28.8
2,404
588
26.9
19.7
160
166
23
284
79
27.7
206
40.6
3,454
23.2
2,746
708
32.0
20.5
184
178
7
353
98
27.8
255
23.8
3,664
10.7
2,854
810
31.8
22.1
198
181
-28
404
109
27.0
295
18.5
4,077
7.8
3,202
876
15.8
21.5
216
173
15
503
156
31.0
347
11.8
3,579
19.6
2,772
806
37.1
22.5
246
170
-4
386
117
28.2
269
31.0
4,172
20.8
3,204
968
36.7
23.2
280
213
-16
459
132
28.9
326
28.1
4,750
29.6
3,700
1,050
29.6
22.1
311
231
30
538
159
29.5
379
28.6
5,963
46.2
4,587
1,376
57.1
23.1
314
311
55
806
238
29.5
568
63.9
14,188
16.1
11,226
2,961
24.9
20.9
758
697
37
1,544
442
28.6
1,102
21.0
18,464
35.4
14,265
4,199
41.8
22.7
1,150
925
65
2,189
646
29.5
1,543
40.1
Siddharth Bothra (Sbothra@MotilalOswal.com); Tel: +91 22 39825407
29 December 2006
240

Results Preview
SECTOR: TEXTILES
Arvind Mills
STOCK INFO.
BLOOMBERG
REUTERS CODE
BSE Sensex: 13,787 ARVND IN
S&P CNX: 3,966
ARMI.BO
29 December 2006
Previous Recommendation: Buy
Neutral
Rs52
EPS
P/E
(X)
P/BV
(X)
ROE
(%)
ROCE
(%)
EV/
EV/
SALES EBITDA
EPS
(RS) GROWTH (%)
Equity Shares (m)
52-Week Range
1,6,12 Rel. Perf. (%)
M.Cap. (Rs b)
M.Cap. (US$ b)
209.4
114/47
-3/-40/-93
10.8
0.2
YEAR
END
NET SALES
(RS M)
PAT
(RS M)
3/06A
3/07E
3/08E
15,964
16,691
18,258
1,272
541
821
6.1
2.6
3.9
-0.1
-57.5
51.8
8.5
20.0
13.2
0.7
0.7
0.7
9.5
3.6
5.4
8.4
6.2
5.9
1.9
1.9
1.6
7.4
8.5
8.2
?
?
?
We expect Arvind to record revenue increase of 3.4% YoY to Rs4b, on the back of higher garment sales.
EBITDA margin is likely to decline by 140bp YoY to 22.1% in 3QFY07 v/s 23.5% in 3QFY06.
During 3QFY07, denim scenario improved in the international markets, however, the domestic market continues to be
plagued by a huge overcapacity situation. We do not expect domestic demand-supply equilibrium in the denim industry
to emerge in the near-to-medium term. Hence we expect pressure on denim margins to continue in the near-to-
medium term.
The company is currently working on re-structuring plans, which could include re-locating a part of its commodity
grade denim capacity to other countries such as Bangladesh and Egypt.
Arvind Mills has recently concluded an agreement with VF Corporation. The American apparel group with US$7b in
revenues (Lee, Wrangler and Nautica brands) will pick up a 60% stake in a joint venture with Arvind Brands.
Arvind plans to aggressively expand its garment manufacturing capacity from 12.7m/pieces p.a. in FY06 to around
42.2m/pieces p.a. by FY09, to de-risk itself from denim.
The stock is trading at 20x FY07E and 13.2x FY08E earnings. We maintain
Neutral.
(RS MILLION)
FY06
1Q
2Q
3Q
4Q
1Q
2Q
FY07
3QE
4QE
FY06
FY07E
?
?
?
?
QUARTERLY PERFORMANCE
Y/E MARCH
Sales
Change (%)
Total Expenditure
EBITDA
Change (%)
As % of Sales
Depreciation
Interest
Other Income
PBT
Tax
Effective Tax Rate (%)
Reported PAT
Change (%)
E: MOSt Estimates
4,204
7.1
3,055
1,149
29.1
27.3
385
335
67
497
45.9
9.2
451
147.9
4,280
1.0
3,219
1,061
16.1
24.8
387
342
77
409
37.2
9.1
372
84
3,902
-5.7
2,984
918
-5.1
23.5
385
296
21
258
23.8
9.2
234
-36
3,578
-18.8
2,714
864
-22.9
24.1
394
330
60
200
-14.7
-7.4
215
-59
3,546
-15.7
2,802
744
-35.3
21.0
372
348
48
70
3.2
4.6
67
-85
3,932
-8.1
3,074
859
-19.1
21.8
383
378
-40
57
2.2
3.8
55
-85
4,035
3.4
3,142
893
-2.7
22.1
400
394
43
142
16.8
11.9
125
-47
4,628
29.4
3,551
1,077
24.7
23.3
413
395
62
331
38.0
11.5
293
36
15,964
-4.9
11,972
3,993
10.2
25.0
1,551
1,303
225
1,364
92.2
6.8
1,272
-0.1
16,141
1.1
12,569
3,572
-10.5
22.1
1,568
1,515
112
601
60.1
10.0
541
-57
Siddharth Bothra (Sbothra@MotilalOswal.com); Tel: +91 22 39825407
29 December 2006
241

Results Preview
SECTOR: TEXTILES
Gokaldas Exports
STOCK INFO.
BLOOMBERG
REUTERS CODE
BSE Sensex: 13,787 GOKL IN
S&P CNX: 3,966
GOKL.BO
29 December 2006
Previous Recommendation: Buy
Buy
Rs609
EPS
P/E
(X)
P/BV
(X)
ROE
(%)
ROCE
(%)
EV/
EV/
SALES EBITDA
EPS
(RS) GROWTH (%)
Equity Shares (m)
52-Week Range
1,6,12 Rel. Perf. (%)
M.Cap. (Rs b)
M.Cap. (US$ b)
17.2
809/452
-8/-30/-42
10.5
0.2
YEAR
END
NET SALES
(RS M)
PAT
(RS M)
3/06A
3/07E
3/08E
8,845
10,583
12,719
609
735
918
35.4
42.7
53.4
25.2
20.6
25.0
17.2
14.3
11.4
3.0
2.5
2.1
23.5
19.2
20.2
19.1
19.5
20.6
1.2
1.0
0.8
11.3
9.1
7.6
?
We expect revenues in 3QFY07 to register17.8% YoY increase to Rs2.6b, while net profit is likely to increase by
11% YoY to Rs175m.
EBITDA margins are likely to increase by 38bp to 11.3%, driven primarily by better utilization and improved product
mix.
PAT growth is likely to be subdued at 11% YoY to Rs175m, due to higher depreciation and interest cost.
Gokaldas plans to set up two more factories in an SEZ in Chennai, which the promoters are developing. The company
stands to gain substantial tax benefits from its investment in SEZs.
We expect the company to register revenue CAGR of 19% and profit CAGR of 21% over FY07-FY09. The stock
is trading at 14.3x FY07E and 11.4x FY08E earnings. We reiterate
Buy.
?
?
?
?
QUARTERLY PERFORMANCE
Y/E MARCH
1Q
2Q
FY06
3Q
4Q
1Q
2Q
FY07
3QE
4QE
FY06
(RS MILLION)
FY07E
Sales
Change (%)
Total Expenditure
EBITDA
Change (%)
As % of Sales
Depreciation
Interest
Other Income
PBT
Tax
Effective Tax Rate (%)
Repoted PAT
Change (%)
E: MOSt Estimates
1,790
N.A.
1,611
179
N.A.
10.0
34
33
8
120
4
2.9
116
N.A.
2,471
N.A.
2,207
265
N.A.
10.7
42
38
5
190
5
2.6
185
N.A.
2,193
N.A.
1,952
240
N.A.
11.0
50
37
12
166
8
5.1
157
N.A.
2,391
N.A.
2,115
276
N.A.
11.5
54
35
17
204
54
26.3
150
N.A.
2,216
23.8
1,991
225
25.8
10.2
52
46
22
150
14
9.7
135
16.3
2,810
13.7
2,494
316
19.4
11.2
60
54
16
218
10
4.4
208
12.4
2,582
17.8
2,289
293
21.8
11.3
62
53
17
194
20
10.2
175
11.0
2,974
24.4
2,634
340
23.3
11.4
65
55
21
241
24
10.0
217
44.3
8,845
22.2
7,885
960
64.6
10.9
181
143
43
679
71
10.4
609
53.0
10,583
19.7
9,409
1,175
22.4
11.1
239
208
75
803
68
8.5
735
20.6
Siddharth Bothra (Sbothra@MotilalOswal.com); Tel: +91 22 39825407
29 December 2006
242

Results Preview
SECTOR: TEXTILES
Himatsingka Seide
STOCK INFO.
BLOOMBERG
REUTERS CODE
BSE Sensex: 13,787 HSS IN
S&P CNX: 3,966
HMSD.BO
29 December 2006
Previous Recommendation: Neutral
Neutral
Rs123
P/E
(X)
P/BV
(X)
ROE
(%)
ROCE
(%)
EV/
EV/
SALES EBITDA
EPS *
EPS
(RS) GROWTH (%)
Equity Shares (m)
52-Week Range
1,6,12 Rel. Perf. (%)
M.Cap. (Rs b)
M.Cap. (US$ b)
97.4
172/82
-5/2/-59
12.0
0.3
YEAR
END
NET SALES
(RS M)
PAT
(RS M)
3/06A
3/07E
3/08E
1,623
2,100
5,186
486
578
896
5.0
5.9
9.2
9.1
18.8
55.0
24.7
20.8
13.4
2.1
2.0
1.8
11.2
9.9
14.3
8.6
8.0
12.8
5.1
5.4
2.3
15.6
17.4
9.4
* Consolidated
?
We expect Himatsingka to report revenue growth of 17.9% YoY to Rs481m on the back of higher contribution from
yarn and better utilization rates.
We expect EBITDA margins to improve by 286bp YoY to 35.2% on the back of improved utilization rates and lower
power cost.
PAT is likely to increase by 23.3% YoY to Rs147m.
Its foray into the bed linen segment is progressing as planned, with the 20m plant scheduled to commence production
by February 2007. The plant is located at the Hassan Special Economic Zone (SEZ), Karnataka. The company has
been allotted 110 acres of land within the Hassan SEZ for this project.
We expect the company to post EPS of Rs5.9 for FY07 and Rs9.2 for FY08. The stock is trading at 20.8x FY07E
and 13.4x FY08E earnings and an EV/EBITDA of 17.4x FY07E and 9.4x FY08E. Maintain
Neutral.
?
?
?
?
QUARTERLY PERFORMANCE (STANDALONE)
Y/E MARCH
1Q
2Q
FY06
3Q
4Q
1Q
2Q
FY07
3QE
4QE
FY06
(RS MILLION)
FY07E
Sales
Change (%)
EBITDA
Change (%)
As % of Sales
Depreciation
Interest
Other Income
PBT
Tax
Effective Tax Rate (%)
Reported PAT
Adj. PAT
Change (%)
342
9.8
132
0.6
38.7
35
5
32
124
12
9.3
113
113
11.4
381
9.9
147
-3.9
38.7
36
4
29
136
4
2.9
132
132
24.0
408
4.0
132
-13.9
32.3
35
1
25
121
1
0.9
119
119
1.8
379
14.9
106
-12.2
28.0
32
1
57
130
12
9.2
118
118
-9.3
378
10.5
126
-4.9
33.3
35
1
62
151
7
4.6
144
144
27.8
470
23.5
159
7.8
33.8
37
1
69
190
27
14.2
163
163
22.7
481
17.9
169
28.4
35.2
47
1
42
164
16
10.1
147
147
23.3
486
28.3
170
60.4
35.0
75
13
38
120
15
12.5
105
105
-11.2
1,509
8.4
518
-6.0
34.3
138
11
143
512
29
5.6
483
483
9.1
1,815
20.3
625
20.7
34.4
195
16
210
624
66
10.6
558
558
15.5
E: MOSt Estimates; Quarterly numbers are standalone, while annual numbers include its retail subsidiary.
Siddharth Bothra (Sbothra@MotilalOswal.com); Tel: +91 22 39825407
29 December 2006
243

Results Preview
SECTOR: TEXTILES
Raymond
STOCK INFO.
BLOOMBERG
REUTERS CODE
BSE Sensex: 13,787 RW IN
S&P CNX: 3,966
RYMD.BO
29 December 2006
Previous Recommendation: Buy
Buy
Rs400
EPS
P/E
(X)
P/BV
(X)
ROE
(%)
ROCE
(%)
EV/
EV/
SALES EBITDA
EPS
(RS) GROWTH (%)
Equity Shares (m)
52-Week Range
1,6,12 Rel. Perf. (%)
M.Cap. (Rs b)
M.Cap. (US$ b)
61.4
625/289
-9/-30/-48
24.6
0.6
YEAR
END
NET SALES
(RS M)
PAT*
(RS M)
3/06A
3/07E
3/08E
17,106
20,961
24,041
1,377
1,905
2,290
22.2
31.0
37.3
48.6
40.1
20.2
18.1
12.9
10.7
1.9
1.7
1.5
11.6
14.2
14.9
10.1
12.2
13.5
1.7
1.3
1.1
12.3
8.4
6.9
* Consolidated
?
We expect Raymond to post revenues of Rs2.9b v/s Rs3.5b in 3QFY06, a decline of 15% YoY. However, the
numbers are not comparable, as 3QFY07 does not include denim revenues — the denim division has been de-merged
into a JV. Denim revenues during 3QFY06 stood at Rs815m.
We expect EBITDA margins to expand by 199bp YoY to 19.1%, while PAT to increase by 24% YoY to Rs323m.
The company is likely to double worsted fabric capacity at its Vapi plant to 6m meters by 1QFY08.
Raymond’ denim JV is facing cost pressures at its international plants in the US and Romania.
s
The company expects to aggressively roll out 40-50 flagship stores in FY08. However we feel these stores are
unlikely to breakeven before 3-4 years due to high rentals. Management has given guidance for its branded apparel
business to register growth rates of 20%-25% CAGR, over the next two three years.
During 3QFY07, Raymond entered into a JV with the international brand GAS, to retail the international brand in
India through exclusive stores. Raymond expects this 50:50 JV to reach revenues of Rs1b by FY08-FY10.
The stock trades at 13.5x FY07E and 11.3x FY08E earnings. It has an EV/EBITDA of 8.7x FY07E and 7.2x
FY08E. We have a
Buy
rating on the stock with a price target of Rs560.
(RS MILLION)
FY06
1Q
2Q
3Q
4Q
1Q
2Q
FY07
3QE
4QE
FY06*
FY07E
?
?
?
?
?
?
QUARTERLY PERFORMANCE (STANDALONE)
Y/E MARCH
Sales
Change (%)
Total Expenses
EBITDA
Change (%)
As % of Sales
Depreciation
Interest
Other Income
Extra-ordinary Income
PBT
Tax
Effective Tax Rate (%)
Repoted PAT
Adj. PAT
Change (%)
E: MOSt Estimates
2,455
30.9
2,137
318
197.9
13.0
166
46
163
-42
227
39
17.2
188
188
499.0
3,497
3.2
2,946
551
36.1
15.7
180
63
231
-35
505
136
26.9
369
334
15.1
3,453
15.4
2,864
589
52.5
17.1
188
69
141
-35
439
143
32.6
296
261
17.9
3,843
20.6
3,311
531
26.3
13.8
193
54
160
2
444
98
22.0
347
348
51.2
2,806
14.3
2,578
228
-28.4
8.1
187
44
179
-14
162
46
24.0
116
130
-30.8
3,586
2.6
2,945
641
16.4
17.9
146
93
160
859
1,421
6
0.5
1,415
556
66.4
2,952
-14.5
2,389
563
-4.5
19.1
157
59
137
0
483
160
33.1
323
323
23.9
3,217
-16.3
2,565
652
22.7
20.3
223
41
175
0
563
198
35.2
365
365
4.9
13,248
15.8
11,258
1,989
75.0
15.0
727
231
695
-109
1,725
416
24.1
1,210
1,101
69.7
12,561
-5.2
10,478
2,083
4.7
16.6
712
236
650
845
2,630
410
15.6
2,220
1,375
25.0
Siddharth Bothra (Sbothra@MotilalOswal.com); Tel: +91 22 39825407
29 December 2006
244

Results Preview
SECTOR: TEXTILES
Vardhman Textiles
STOCK INFO.
BLOOMBERG
REUTERS CODE
BSE Sensex: 13,787 VTEX IN
S&P CNX: 3,966
MHSP.BO
29 December 2006
Previous Recommendation: Buy
Buy
Rs275
EPS
P/E
(X)
P/BV
(X)
ROE
(%)
ROCE
(%)
EV/
EV/
SALES EBITDA
EPS
(RS) GROWTH (%)
Equity Shares (m)
52-Week Range
1,6,12 Rel. Perf. (%)
M.Cap. (Rs b)
M.Cap. (US$ b)
57.8
420/250
4/-42/-57
15.9
0.4
YEAR
END
NET SALES
(RS M)
PAT
(RS M)
3/06A
3/07E
3/08E
18,892
22,611
25,850
1,964
1,815
2,110
30.7
28.3
32.9
65.5
-3.3
16.2
9.0
9.7
8.4
1.7
1.6
1.4
22.4
17.5
17.6
12.5
10.9
9.9
1.4
1.4
1.6
7.6
7.9
8.3
Vardhman Textiles has issued a bonus of 1:2
?
?
Vardhman is likely to report revenue CAGR of 10% in 3QFY07 to around Rs5.6b.
We expect EBITDA margins to decline by 120bp to 17.5% in 3QFY07 v/s 18.7% in 3QFY06, as a result of lower
margins in the fabrics and steel businesses.
PAT is likely to register 12% YoY decline to Rs451m in 3QFY07 v/s Rs513m in 3QFY06.
During 3QFY07, the company successfully stabilized its fabric plant at Baddi. Going forward, we expect its fabric
margins to improve on the back of higher utilization rates.
The company is currently implementing an ambitious Rs16b capex plan, which would double its fabric capacity and
increase spinning capacity by nearly 50%.
We expect Vardhman Textiles’ sales and earnings to witness CAGR of 19% and 18%, respectively over FY07-
FY09.
The stock is trading at 9.7x FY07E and 8.4x FY08E earnings. We maintain
Buy.
(RS MILLION)
FY06
1Q
2Q
3Q
4Q
1Q
2Q
FY07
3QE
4QE
FY06
FY07E
?
?
?
?
?
QUARTERLY PERFORMANCE
Y/E MARCH
Sales
Change (%)
Total Expenditure
EBITDA
Change (%)
As % of Sales
Depreciation
Interest
Other Income
Extra-ordinary Income
PBT
Tax
Effective Tax Rate (%)
Reported PAT
Adj. PAT
Change (%)
4,221
2.0
3,438
783
16.0
18.5
251
112
12
0
431
142
32.8
290
290
62.0
4,596
-3.9
3,743
853
19.2
18.6
251
98
27
0
531
132
24.8
399
399
62.5
5,127
6.0
4,169
958
30.7
18.7
267
91
56
0
656
143
21.7
513
513
64.2
4,948
3.9
4,112
836
9.5
16.9
244
93
120
270
888
127
14.3
762
492
4.2
4,755
12.7
153
836
6.8
17.6
286
110
62
0
501
126
25.2
375
375
29.4
5,283
15.0
4,366
917
7.5
17.4
301
99
37
35
590
132
22.4
458
423
5.9
5,650
10.2
4,661
989
3.2
17.5
325
120
50
0
594
143
24.0
451
451
-12.0
6,922
39.9
5,678
1,244
48.8
18.0
402
121
51
0
772
204
26.4
568
568
15.5
18,892
2.1
15,462
3,430
18.9
18.2
1,013
395
214
270
2,506
543
21.7
1,963
1,693
62.6
22,611
19.7
18,625
3,985
16.2
17.6
1,315
450
200
35
2,455
605
24.6
1,850
1,815
7.2
E: MOSt Estimates; * Standalone numbers not merged
Siddharth Bothra (Sbothra@MotilalOswal.com); Tel: +91 22 39825407
29 December 2006
245

Results Preview
SECTOR: TEXTILES
Welspun India
STOCK INFO.
BLOOMBERG
REUTERS CODE
BSE Sensex: 13,787 WLSP IN
S&P CNX: 3,966
WLSP.BO
29 December 2006
Previous Recommendation: Neutral
Neutral
Rs85
P/E
(X)
P/BV
(X)
ROE
(%)
ROCE
(%)
EV/
EV/
SALES EBITDA
EPS
EPS
(RS) GROWTH (%)
Equity Shares (m)
52-Week Range
1,6,12 Rel. Perf. (%)
M.Cap. (Rs b)
M.Cap. (US$ b)
76.8
135/63
-10/-21/-68
6.5
0.1
YEAR
END
NET SALES
(RS M)
PAT
(RS M)
3/06A
3/07E
3/08E
6,537
10,696
11,569
415
594
779
5.4
7.7
10.1
5.3
42.9
31.0
15.7
11.0
8.4
1.1
1.1
1.0
9.2
10.0
12.0
5.9
7.5
7.5
2.2
1.7
1.7
11.6
9.5
8.4
?
We expect Welspun to post revenue CAGR of 78% to Rs2.8b in 3QFY07 buoyed by sharp increase in bed-linen
sales.
EBITDA margins are likely to drop by 585bp YoY to 18.3%, as a result lower margins in the bed-linen division. We
expect margin pressure to subside substantially from 4QFY07 onward, as a result of higher utilization rates in the
bed-linen division.
PAT is likely to post robust 90% YoY increase to Rs140m, 3QFY07 was negatively impacted due to losses in other
income up to Rs43m.
During the quarter, utilization rates for the bed-linen plant stood at around 55-60%.
Going forward, margins in the bed-linen plant are likely to improve on the back of increased capacity utilization rates.
We expect Welspun’ revenues and earnings to witness 11% and 28% CAGR (FY07-FY09) respectively. Welspun
s
is trading at a PER of 11x FY07E and 8.4x FY08E earnings. We are
Neutral
on the stock
(RS MILLION)
FY06
1Q
2Q
3Q
4Q
1Q
2Q
FY07
3QE
4QE
FY06
FY07E
?
?
?
?
?
QUARTERLY PERFORMANCE
Y/E MARCH
Sales
Change (%)
Total Expenditure
EBITDA
Change (%)
As % of Sales
Depreciation
Interest
Other Income
Extra-ordinary Income
PBT
Tax
Effective Tax Rate (%)
Repoted PAT
Adj. PAT
Change (%)
E: MOSt Estimates
1,441
50.7
1,127
314
58.7
21.8
102
74
23
0
161
53
32.9
108
108
156.3
1,547
37.2
1,228
320
-0.9
20.7
115
81
59
0
182
56
30.6
127
127
14.7
1,544
35.1
1,164
380
32.0
24.6
120
86
-43
0
131
57
43.7
74
74
-31.2
2,051
39.0
1,737
314
20.4
15.3
149
102
95
0
158
51
32.4
107
107
5.0
1,989
38.1
1,576
413
31.5
20.8
144
112
52
-90
119
43
36.2
76
166
53.7
2,764
78.7
2,342
423
32.2
15.3
157
122
40
88
272
89
32.6
183
95
-24.6
2,750
78.1
2,247
503
32.3
18.3
174
130
15
212
71
33.6
140
140
90.1
3,192
55.6
2,592
600
90.9
18.8
193
145
30
292
98
33.6
194
194
80.8
6,583
63.6
5,255
1,328
57.9
20.2
486
343
134
0
633
217
34.4
416
416
5.3
10,696
62.5
8,757
1,939
46.0
18.1
668
509
135
-2
895
301
33.6
594
596
43.5
Siddharth Bothra (Sbothra@MotilalOswal.com); Tel: +91 22 39825407
29 December 2006
246

Results Preview
QUARTER ENDED DECEMBER 2006
Utilities
BSE Sensex: 13,787
S&P CNX: 3,966
29 December 2006
COMPANY NAME
PG.
CESC
251
NTPC
252
Neyveli Lignite
253
PTC India
254
Two ultra mega power projects awarded
The government announced the successful biders for Ultra mega power project at Sasan
and Mundra in December 2006. Lanco Infratech emerged as lowest bidder (tariff Rs1.196/
unit) for Sasan power project, while Tata Power won the bid (tariff Rs2.26/unit) for
Mundra Power project. The government had received Request for Qualifications from
15 companies for Sasan power (Madhya Pradesh) and from 13 companies for Coastal
Gujarat Power (Gujarat). The government is likely to announce the award of
Krishnapatnam Ultra mega power project in Andhra Pradesh by May 2007.
US Parliament approves nuclear bill — a key breakthrough
In December 2006, the joint session of the US Parliament approved the nuclear deal
with India. As part of the deal: (1) international nuclear fuel supply market would open
up for Indian nuclear power players and (2) benefits in terms of imports and nuclear
technology are expected to start trickling over the next 18 months or so. India has agreed
to place 14 out of its 22 nuclear facilities under the safeguard of the International Atomic
Energy Agency in return for guaranteed fuel supply, and use the remaining eight facilities,
including development of fast breeder reactors, for developing nuclear weapons.
The Department of Atomic Energy (DAE) also initiated steps to amend the Indian Atomic
Energy Act, 1962 as a precursor to facilitating private and foreign participation in India.
The public sector undertakings are also showing their keen interest to participate in the
development of nuclear power plant while NTPC is scouting for suitable sites for the
nuclear power projects. Also, various private sector players (predominantly Tata Power
and Reliance Energy) have shown their interest for the development of the nuclear
power projects. The target is to reach 20,000MW by 2020 from the current capacity of
less than 3,000MW.
Reliance Energy
255
Tata Power
256
EXPECTED QUARTERLY PERFORMANCE SUMMARY
RECO
SALES
DEC.06
CHG. (%)
DEC.06
EBITDA
CHG. (%)
(RS MILLION)
NET PROFIT
DEC.06
CHG. (%)
Utilities
CESC
Neyveli Lignite Corp.
NTPC
PTC India
Reliance Energy
Tata Power
Sector Aggregate
Buy
Buy
Neutral
Buy
Buy
Buy
5,725
6,228
77,843
16,883
12,142
13,483
132,304
-0.9
9.3
13.3
60.1
22.8
9.5
17.2
1,145
3,363
19,850
132
2,064
2,562
29,116
-13.9
55.0
9.1
-28.4
15.1
30.2
13.5
396
2,111
15,216
130
2,189
1,086
21,128
7.0
51.9
20.1
1.9
32.9
13.5
23.1
Satyam Agarwal (Agarwals@MotilalOswal.com); Tel: +91 22 39825410/Nalin Bhatt (NalinBhatt@MotilalOswal.com); +91 22 39825429
29 December 2006
247

Utilities
TARGETED NUCLEAR POWER CAPACITY IN INDIA
22,000
17,000
12,000
7,000
2,000
Source: Department of Automic Energy
Independent of US deal, DAE has initiated the process of preparation of Feasibility Reports
to install 6,800MW of nuclear power capacity at an investment of Rs340b. The sites
cleared by the government are at Kudankulam in Tamil Nadu, Kakrapar in Gujarat,
Rawatbhata in Rajasthan and Jaitapur in Maharashtra. We expect project awards over
the next 12-18 months.
Increased traction in renewable segment — Hydro and Wind Power key
drivers
The focus of the Central public sector undertakings and private players in favor of establishing
a renewable portfolio has led to increased traction in the Hydro and Wind power segments.
NTPC has announced hydropower capacity addition of 2,200MW for XI
th
Plan. Others
including private players such as Tata Power (Tala HEP), are working on the renewable
portfolio. Reliance Energy has announced plans to set up a 500MW wind power project.
Peak deficit during FY06 stood at 12.6% and growth in electricity consumption at ~5.5%
p.a. over the past few years has been largely met through improvement in capacity utilization
(industry PLF increased from 64% in FY99 to 74% in FY06). The urge to balance the
nation’ power portfolio and higher hydropower capacity addition to meet peak demand
s
are the key focus areas. The government has announced 50,000MW of hydropower projects
to be commissioned in next 10 years. CEA has finalized the preliminary feasibility report
with hydro potential in 16 states totaling ~48,000MW. We believe that attracting both
public and private sector investments in hydropower remains one of the key challenges for
the government.
29 December 2006
248

Utilities
HYDRO POWER POTENTIAL: PRELIMINARY FEASIBILITY REPORT
STATES
CAPACITY (MW)
Arunachal Pradesh ........................................................................................................................ 27,293
Uttaranchal ........................................................................................................................................ 5,282
Himachal Pradesh ............................................................................................................................ 3,328
Jammu & Kashmir ............................................................................................................................ 2,675
Mizoram ............................................................................................................................................. 1,500
Maharashtra ......................................................................................................................................... 411
Sikkim ................................................................................................................................................. 1,469
Meghalaya ............................................................................................................................................. 931
Orissa ................................................................................................................................................ 1,189
Nagaland ............................................................................................................................................... 330
Karnataka .......................................................................................................................................... 1,900
Andhra Pradesh ..................................................................................................................................... 81
Chhattisgarh ......................................................................................................................................... 848
Manipur ................................................................................................................................................. 362
Kerala .................................................................................................................................................... 126
Madhya Pradesh .................................................................................................................................. 205
Total ................................................................................................................................................ 47,930
Source: CEA, As on 31.08.2006
Tenth Plan capacity addition pegged at ~33,000MW
Tenth Plan is the most important of all the five year plans particularly for the power sector.
It has witnessed a great deal of reforms including introduction of Electricity Act, 2003,
unbundling of the SEBs and increased scope for private sector players. The fallout in
terms of generation appears to be highly encouraging with the estimated capacity addition
in the Tenth Plan at ~33,000MW v/s the targeted ~41,000MW, an achievement of 80%.
This is significantly higher than the achievement in Ninth and Eighth Plans at 46% and
54% respectively. Also, in the Tenth Plan, much of the capacity addition has been back-
ended with FY07 accounting for capacity addition of ~18,000MW.
CAPACITY ADDITION DURING XTH PLAN (MW)
SECTOR
TARGET *
LIKELY ACHIEVEMENT #
Hydro
Thermal
Nuclear
Total
14,393
25,417
1,300
41,110
10,174
21,230
1,400
32,804
Source:Motilal Oswal Securities
(*) As per planning commission, (#) Infraline, as on August, 2006
Valuation and view
During 3QFY07, we expect utilities to report steady performance in terms of revenues
and profitability. Attracting private sector investments in generation, privatization of
distribution, improvement in the financial health of SEBs etc. have proved to be a significant
challenge. Nonetheless, the various pieces of evidence at the ground level suggest that
reforms are back on track. We do believe that incumbents enjoy growth optionality, which
would not be equity dilutive.
29 December 2006
249

Utilities
Stock performance and valuations
STOCK PERFORMANCE (%)
ABSOLUTE PERF
3M
1 YEAR
REL PERF TO SENSEX
3M
1 YEAR
REL PERF TO SECTOR
3M
1 YEAR
Utilities
CESC
Neyveli Lignite Corporation
NTPC
PTC India
Reliance Energy
Tata Power
3
-12
5
-1
7
-1
39
-29
22
-4
-14
28
-7
-23
-6
-12
-3
-12
-8
-76
-25
-51
-61
-18
0
-15
2
-4
4
-4
25
-43
8
-18
-28
14
RELATIVE PERFORMANCE - 3 MONTH (%)
RELATIVE PERFORMANCE - 1 YEAR (%)
Sensex
111
MOSt Utilities Index
150
MOSt Utilities Index
Sensex
108
135
105
120
102
105
99
Sep-06
Oct-06
Nov-06
Dec-06
90
Dec-05
Mar-06
Jun-06
Sep-06
Dec-06
COMPARATIVE VALUATION
CMP (RS)
29.12.06
RECO
FY06
EPS (RS)
FY07E
FY08E
FY06
P/E (X)
FY07E
FY08E
EV/EBITDA
FY06
FY07E
FY08E
FY06
ROE (%)
FY07E
FY08E
Utilities
CESC
Neyveli Lignite Corp.
NTPC
PTC India
Reliance Energy
Tata Power
Sector Aggregate
318
56
136
57
520
560
Buy
Buy
Neutral
Buy
Buy
Buy
21.0
4.6
7.1
2.7
27.7
21.4
25.3
6.1
7.7
2.8
35.9
28.0
28.5
6.2
8.3
4.2
40.7
32.3
15.1
12.1
19.3
21.0
18.8
26.2
19.9
12.5
9.2
17.8
20.5
14.5
20.0
16.3
11.1
9.1
16.5
13.6
12.8
17.3
15.1
7.0
7.3
12.0
17.6
9.0
15.4
11.5
7.5
3.7
10.9
21.5
6.9
11.8
9.8
7.3
4.1
9.7
13.2
4.9
10.7
8.9
5.8
9.9
12.3
17.5
10.7
9.2
11.4
6.0
12.4
13.5
16.0
10.7
9.3
12.5
6.0
11.6
13.5
21.2
10.6
11.9
12.4
29 December 2006
250

Results Preview
SECTOR: UTILITIES
CESC
STOCK INFO.
BLOOMBERG
REUTERS CODE
BSE Sensex: 13,787 CESC IN
S&P CNX: 3,966
CESC.BO
29 December 2006
Previous Recommendation: Buy
Buy
Rs318
EPS*
P/E*
(X)
P/BV
(X)
ROE
(%)
ROCE
(%)
EV/
EV/
SALES EBITDA
EPS*
(RS) GROWTH (%)
Equity Shares (m)
52-Week Range
1,6,12 Rel. Perf. (%)
M.Cap. (Rs b)
M.Cap. (US$ b)
84.3
370/198
-7/-4/-8
26.8
0.6
YEAR
END
NET SALES
(RS M)
PAT
(RS M)
3/06A
3/07E
3/08E
25,159
24,892
25,929
1,853
2,137
2,406
21.0
25.3
28.5
13.0
20.4
12.6
15.1
12.5
11.1
1.7
1.5
1.3
10.8
11.4
11.5
10.4
10.5
10.9
1.7
1.6
1.5
7.0
7.5
7.3
* Excl impact of Budge Budge plant capital account adjustment; fully diluted
?
?
?
?
?
?
During 3QFY07, we expect CESC to report revenue of Rs5.7b and net profit of Rs396m, up 7% YoY.
West Bengal Electricity Regulatory Commission (WBERC) has approved the Tariff Order for FY07, which has
improved CESC’ earnings from core businesses with RoE on generation assets at 14% and on distribution assets at
s
15% v/s 14% for both generation and distribution earlier.
Equity base of the company has also increased to Rs13b (March 2006, as per regulatory accounts) compared with
Rs8.9b (March 2005). The new formulae permits efficiency incentives for CESC for higher PLF, interest cost on
working capital finance etc. We expect the quantum of these incentives to be in the region of Rs250m in FY07.
CESC has entered into a JV with Godrej Projects (CESC’ share 50%) to develop a retail mall on three acres of land,
s
with constructed area of 0.4m sq ft. CESC’ contribution will be in the manner of land, while the entire development
s
expense would be borne by the Godrej group. The expected average rental is Rs80-Rs125/sq ft/month, which translates
into annual rental income of Rs400-Rs600m. WBERC norms permit the company to retain two-thirds of the non-
tariff income, thus entailing CESC’ share at Rs160-Rs240m. Construction is expected to commence by September
s
2006 and is likely to be completed by October 2008.
CESC is expanding capacity at Budge Budge by 250 MW, targeted to be completed by end-FY09. It has announced
setting up of pit head-based power plants: Jharkhand (2,000 MW), Orissa (2,000 MW) and Haldia (1,000MW)
through the SPV route, and is also a bidder for the Ultra Mega Power Projects. On the distribution front, the company
has indicated its interest to participate in the SEB privatization process.
We recommend
Buy.
(RS MILLION)
FY06
1Q
2Q
3Q
4Q
1Q
2Q
FY07
3QE
4QE
FY06
FY07E
QUARTERLY PERFORMANCE
Y/E MARCH
Sales
Change (%)
EBITDA
Change (%)
As of % Sales
Depreciation
Interest
Other Income
PBT
Tax
Effective Tax Rate (%)
Reported PAT
Adjusted PAT
Change (%)
E: MOSt Estimates
6,740
6.0
1,510
-17.5
22.4
640
560
140
450
40
8.9
410
410
10.8
6,720
15.7
1,540
-8.3
22.9
630
440
160
630
60
9.5
570
570
9.6
5,780
7.2
1,330
-9.5
23.0
640
490
200
400
30
7.5
370
370
15.6
5,840
3.7
1,440
0.0
24.7
610
560
210
480
40
8.3
440
440
68.3
6,740
0.0
1,360
-9.9
20.2
410
540
210
620
70
11.3
550
550
34.1
6,750
0.4
1,400
-9.1
20.7
410
420
220
790
100
12.7
690
690
21.1
5,725
-0.9
1,145
-13.9
20.0
450
425
180
450
54
12.0
396
396
7.0
5,677
-2.8
1,345
-6.6
23.7
494
464
182
569
67
11.9
501
501
13.9
25,080
8.0
5,820
-9.8
23.2
2,520
2,050
710
1,960
170
8.7
1,790
1,790
29.1
24,892
-0.8
5,250
-9.8
21.1
1,764
1,849
792
2,429
291
12.0
2,137
2,137
19.4
Satyam Agarwal (Agarwals@MotilalOswal.com); Tel: +91 22 39825410/Nalin Bhatt (NalinBhatt@MotilalOswal.com); +91 22 39825429
29 December 2006
251

Results Preview
SECTOR: UTILITIES
National Thermal Power Corporation
STOCK INFO.
BLOOMBERG
REUTERS CODE
BSE Sensex: 13,787 NTPC IN
S&P CNX: 3,966
NTPC.BO
29 December 2006
Previous Recommendation: Neutral
YEAR
END*
NET SALES
(RS M)
PAT*
(RS M)
EPS*
EPS
P/E
(X)
P/BV
(X)
ROE
(%)
ROCE
(%)
Neutral
Rs136
EV/
EV/
SALES EBITDA
(RS) GROWTH (%)
Equity Shares (m)
52-Week Range
1,6,12 Rel. Perf. (%)
M.Cap. (Rs b)
M.Cap. (US$ b)
8,245.5
158/91
-8/-7/-25
1,124.7
25.4
3/06A 261,429
3/07E
3/08E
299,396
348,533
53,148
63,263
68,148
6.4
7.7
8.3
16.0
19.0
7.7
21.2
17.8
16.5
2.5
2.3
2.2
12.3
13.5
13.5
16.8
16.8
16.8
4.0
3.6
3.3
12.0
10.9
9.7
* Pre-exceptional earnings
?
?
?
?
?
?
During 3QFY07, we expect NTPC to report revenue of Rs77.8b up 13.3% YoY and net profit of Rs15.2b, up 20.1%
YoY.
NTPC recently approved the investment for its 600MW (4*150MW) Tapoban Vishnugad hydroelectric power project
at Rs34.3b. It also commissioned 500MW (unit I) of Vindhyachal Super Thermal Power project in December. It is
also in the process of signing a MoA with the Government of Sri Lanka and the Ceylon electricity board for
development 500 MW coal-based power project at Trincomalee.
It has recently formed a JV (50% stake) named Aravali Power company, with Haryana Power Generation Corporation
(25% stake) and Indraprastha Power Generation (25% stake) to setup 1,500 MW coal based power plant in the state
of Haryana.
NTPC has also revised its XI
th
Plan capacity addition target upward to 21,941MW v/s 17,333MW earlier and plans
to establish capacity up to 70GW by 2017. XI
th
Plan would viz. Koldam 800MW, Loharinag Pala 600MW, Tapovan
Vishnugad 520MW, Lata Tapovan 171MW and Rammam III 120MW. It has selectively bid for Sasan ultra mega
power projects.
It has earmarked a capacity of 1,600MW on a merchant basis (Korba extn. 500MW, Loharipanag-600MW and
Farakka). This coupled with savings in operations and maintenance expenditure and gains from integration, particularly
mining projects, will enable the company to earn a superior RoE than the regulated RoE of 14%.
We recommend
Neutral.
(RS MILLION)
FY06
1Q
2Q
3Q
4Q
1Q
2Q
FY07
3QE
4QE
FY06
FY07E
QUARTERLY PERFORMANCE
Y/E MARCH
Sales
Change (%)
EBITDA
Change (%)
As of % Sales
Depreciation
Interest
Other Income
PBT
Tax
Effective Tax Rate (%)
Reported PAT
Adj. PAT (Pre Exceptional)
Change (%)
E: MOSt Estimates
60,567
16.7
15,426
16.2
25.5
4,873
2,357
5,528
13,724
637
4.6
13,087
12,214
9.1
59,259
12.9
12,977
-6.0
21.9
5,280
1,545
6,315
12,467
832
6.7
11,635
11,544
12.3
68,689
20.5
18,199
15.7
26.5
5,063
2,829
8,026
18,333
516
2.8
17,817
12,672
15.5
72,914
13.5
17,583
-1.8
24.1
5,261
2,854
6,232
15,700
37
0.2
15,663
15,662
16.8
71,536
18.1
19,960
29.4
27.9
4,755
5,238
6,369
16,336
808
4.9
15,528
15,318
25.4
68,138
15.0
18,408
41.9
27.0
4,780
4,630
6,505
15,503
764
4.9
14,739
14,410
24.8
77,843
13.3
19,850
9.1
25.5
5,600
3,900
6,100
16,450
1,234
7.5
15,216
15,216
20.1
81,879
12.3
21,261
20.9
26.0
6,964
2,895
7,828
19,231
1,451
7.5
17,780
17,780
13.5
261,429
15.9
64,185
5.8
24.6
20,477
9,585
26,101
60,224
2,022
3.4
58,202
53,149
16.0
299,396
14.5
79,479
23.8
26.5
22,099
16,663
26,802
67,520
4,257
6.3
63,263
63,263
19.0
Satyam Agarwal (Agarwals@MotilalOswal.com); Tel: +91 22 39825410/Nalin Bhatt (NalinBhatt@MotilalOswal.com); +91 22 39825429
29 December 2006
252

Results Preview
SECTOR: UTILITIES
Neyveli Lignite Corporation
STOCK INFO.
BLOOMBERG
REUTERS CODE
BSE Sensex: 13,787 NLC IN
S&P CNX: 3,966
NELG.BO
29 December 2006
Previous Recommendation: Buy
YEAR
END *
NET SALES
(RS M)
PAT*
(RS M)
EPS
EPS
P/E
(X)
P/BV
(X)
ROE
(%)
ROCE
(%)
EV/
(RS) GROWTH (%)
Buy
Rs56
EV/
SALES EBITDA
Equity Shares (m)
52-Week Range
1,6,12 Rel. Perf. (%)
M.Cap. (Rs b)
M.Cap. (US$ b)
1,677.7
100/47
-11/-40/-76
94.5
2.2
3/06A
3/07E
3/08E
21,986
24,425
24,583
7,790
10,280
10,352
4.6
6.1
6.2
-20.5
32.0
0.7
12.1
9.2
9.1
1.2
1.1
1.0
9.9
12.4
11.6
9.3
14.2
12.4
2.5
2.3
2.6
7.3
3.7
4.1
* Pre-exceptional earnings
?
?
?
?
?
We expect Neyveli Lignite to post net profit of Rs2.1b in 3QFY07, up 52% on YoY basis. This growth is largely a
result of the hit taken by the company due to revised lignite transfer policy announced by the Ministry of Coal,
applicable w.e.f. January 2006.
As per the revised lignite transfer policy announced by the Ministry of Coal, Neyveli Lignite has been impacted to the
tune of Rs1.3b p.a. (the company made provision of Rs6.36b in FY06 for a five-year period). The company has also
changed the depreciation policy from the rates prescribed in the Companies Act (5.28% Straight Line Method) to
Electricity Act, 2003 (3.60% SLM), which would result in lower depreciation by Rs560m for FY07.
During 2QFY07, Neyveli Lignite has picked up 15% stake in a joint venture with Mahanadi Coalfields Ltd. (MCL
70%) and Hindalco Industries (15%) for coal mining in Orissa, to provide fuel linkage to its proposed 2,000MW
thermal power project in Orissa. It has also entered into a JV with Gujarat government for integrated power plant of
1,000 MW with lignite mine of 8m ton p.a. in the first phase which will be enhanced to 1,500MW and 12m tons p.a.
in the second phase. NLC would have a minimum stake of 74% (89% on higher side) in JV.
The government has sanctioned Neyveli Mine II expansion of 4.5m tones p.a. and Barsingsar Lignite Mine, Rajasthan
of 2.1m tones p.a. Post this, the company’ lignite mining capacity will increase from 24m tons to 30.6m tons and
s
power generation capacity from 2490MW to 3240MW by FY2010. The company has already announced projects to
triple its existing capacity to 7,732MW by end FY2015. It has significant cash and cash equivalent to the tune of
~Rs.50b as of March 2006, which will facilitate scalability.
We maintain
Buy.
(RS MILLION)
FY06
1Q
2Q
3Q
4Q
1Q
2Q
FY07
3QE
4QE
FY06
FY07E
QUARTERLY PERFORMANCE
Y/E MARCH
Sales
Change (%)
EBITDA
Change (%)
As of % Sales
Depreciation
Interest
Other Income
PBT
Tax
Effective Tax Rate (%)
Reported PAT
Adj. PAT (Pre Exceptionals)
Change (%)
E: MOSt Estimates
8,460
28.9
5,000
54.7
59.1
1,300
140
2,030
5,590
1,640
29.3
3,950
2,980
41.3
7,190
-5.3
3,360
-23.7
46.7
1,320
140
1,320
3,220
860
26.7
2,370
2,230
-12.2
5,700
4.2
2,170
-18.4
38.1
1,220
140
1,180
1,990
600
30.2
1,370
1,390
21.9
3,676
-64.6
130
-98.1
3.5
-347
128
1,585
1,935
-254
-13.1
-658
1,190
-70.9
6,397
-24.4
3,085
-38.3
48.2
1,070
134
1,213
3,095
856
27.7
2,238
2,238
-24.9
6,079
-15.4
2,143
-36.2
35.3
1,064
121
1,260
2,218
580
26.1
1,639
1,639
-26.5
6,228
9.3
3,363
55.0
54.0
1,200
185
1,250
3,228
1,098
34.0
2,111
2,111
51.9
5,721
55.6
6,986
5,269.7
122.1
1,266
350
879
6,249
1,976
31.6
4,282
4,282
260.0
21,986
-26.8
7,641
-55.1
34.8
3,495
543
6,270
9,874
2,850
28.9
7,024
7,790
-20.5
24,425
11.1
15,578
103.9
63.8
4,600
790
4,602
14,790
4,510
30.5
10,280
10,280
32.0
Satyam Agarwal (Agarwals@MotilalOswal.com); Tel: +91 22 39825410/Nalin Bhatt (NalinBhatt@MotilalOswal.com); +91 22 39825429
29 December 2006
253

Results Preview
SECTOR: UTILITIES
PTC India
STOCK INFO.
BLOOMBERG
REUTERS CODE
BSE Sensex: 13,787 PWTC IN
S&P CNX: 3,966
PTCI.BO
29 December 2006
Previous Recommendation: Buy
Buy
Rs57
EPS
P/E
(X)
P/BV
(X)
ROE
(%)
ROCE
(%)
EV/
EV/
SALES EBITDA
EPS*
(RS) GROWTH (%)
Equity Shares (m)
52-Week Range
1,6,12 Rel. Perf. (%)
M.Cap. (Rs b)
M.Cap. (US$ b)
150.0
83/44
12/-16/-51
8.5
0.2
YEAR
END
NET SALES
(RS M)
PAT*
(RS M)
3/06A
3/07E
3/08E
29,861
53,767
91,345
408
417
629
2.7
2.8
4.2
69.1
2.5
51.0
21.0
20.5
13.6
3.5
3.1
2.7
17.5
16.0
21.2
24.0
20.4
21.2
0.3
0.1
0.1
17.6
21.5
13.2
* Pre-exceptional
?
?
?
?
?
?
During 3QFY07, we expect PTC to report revenue of Rs16.9b, up 60% YoY and net profit of Rs130m, up 1.9% YoY.
This is largely a result of lower trading margins at Rs0.04/unit, post CERC’ directive in January 2006 v/s Rs0.07/unit
s
in 2QFY06. This also compares with an average trading margin of Rs0.047/unit earned during 1QFY07.
PTC is witnessing substantial change in its business model – short term trading which accounts for 80% of the traded
volumes now will decline to 35% in FY08. Long term contracts are typically for 10-35 years, and also mitigate the
threat on margins. PTC has decided to set up an SPV to subscribe to the equity capital of electricity generation
projects. It plans to take 10-11% equity stake in power projects for 100% assured offtake.
As at September 2006, the company has signed power purchase agreements (PPA) for 6,666MW and MoUs for
15,361MW of power capacity on a long term basis. The company has also entered into back-to-back power sale
agreement for 5,224MW.
PTC has also commenced coal trading activity, wherein it intends to take advantage of the arbitrage between coal
and electricity prices. Further, we expect consultancy income to increase, going forward.
PTC has also been notified as a nodal agency by GoI to trade power with Bhutan and Nepal, with sizeable hydropower
potential. Tala Transmission network, with capacity of 3,000MW, connecting Bhutan to New Delhi has been
commissioned during 2QFY07, which would facilitate power transfer between the NE-N regions.
We recommend
Buy.
(RS MILLION)
FY06
1Q
2Q
3Q
4Q
1Q
2Q
FY07
3QE
4QE
FY06
FY07E
QUARTERLY PERFORMANCE
Y/E MARCH
Power Traded (MUs)
Sales
Change (%)
EBITDA
Change (%)
As of % Sales
Depreciation
Interest
Other Income
Extraordinary Income/(Expense)
PBT
Tax
Effective Tax Rate (%)
Reported PAT
Adjusted PAT
Change (%)
E: MOSt Estimates
1,523
4,373
-11.5
81
-27.3
1.9
8
1
67
0
139
26
18.5
113
113
39.0
3,148
8,620
45.3
142
52.0
1.6
9
4
13
2
140
45
32.0
95
97
81.4
3,280
10,546
74.5
184
81.1
1.7
9
5
20
0
190
62
32.8
128
128
89.2
2,168
7,547
121.9
92
85.1
1.2
9
3
21
0
101
31
31.0
70
70
78.1
2,625
10,421
138.3
88
8.0
1.3
8
3
79
-1
155
35
22.3
120
120
6.3
3,268
13,147
52.5
95
-32.7
0.7
8
7
39
0
119
32
30.0
86
86
-11.2
3,829
16,883
60.1
132
-28.4
0.8
11
9
80
0
192
61
32.0
130
130
1.9
3,953
13,316
76.4
52
-43.0
0.4
12
11
99
0
129
51
39.2
79
79
12.6
10,119
31,085
59.2
499
42.7
1.6
34
13
120
2
570
164
28.8
406
408
67.3
13,675
53,767
73.0
367
-26.4
0.7
39
30
297
0
595
179
30.0
417
417
2.1
Satyam Agarwal (Agarwals@MotilalOswal.com); Tel: +91 22 39825410/Nalin Bhatt (NalinBhatt@MotilalOswal.com); +91 22 39825429
29 December 2006
254

Results Preview
SECTOR: UTILITIES
Reliance Energy
STOCK INFO.
BLOOMBERG
REUTERS CODE
BSE Sensex: 13,787 RELE IN
S&P CNX: 3,966
RLEN.BO
29 December 2006
Previous Recommendation: Buy
Buy
Rs520
EPS
P/E*
(X)
P/BV
(X)
ROE
(%)
ROCE
(%)
EV/
EV/
SALES EBITDA
EPS*
(RS) GROWTH (%)
Equity Shares (m)
52-Week Range
1,6,12 Rel. Perf. (%)
M.Cap. (Rs b)
M.Cap. (US$ b)
212.4
701/362
-2/-15/-61
110.4
2.5
YEAR
END
NET SALES
(RS M)
PAT
(RS M)
3/06A
3/07E
3/08E
40,335
50,591
55,718
6,504
8,434
9,553
27.7
35.9
40.7
2.2
29.7
13.3
18.8
14.5
12.8
1.6
1.4
1.3
10.7
10.7
10.6
9.4
10.3
10.5
2.1
1.3
1.0
11.3
9.1
6.4
* Consolidated , pre-exceptionals, fully diluted
?
?
?
?
?
?
During 3QFY07, we expect Reliance Energy to report revenue of Rs12.1b, up 22.8% YoY and net profit of Rs2.2b,
up 32.9% YoY on a reported basis.
In the first competitive tariff-based international bidding in transmission sector, Reliance Energy Transmission (RETL),
a subsidiary Reliance Energy (REL), won the bid for setting up Rs18-20b fully-independent private power transmission
lines in Maharashtra and Gujarat.
In ambitious capacity addition plans chalked out by the ADAG group, likely investments in power generation projects
in next 5-7 years is Rs500b and would add up to 10,000MW by 2010-12. This plan also includes its interest to venture
into nuclear power projects. The company recently acquired the defunct 620MW Rosa project in Uttar Pradesh from
the Aditya Birla group and plans to double this capacity at an investment of Rs56b. It is also working on the Shahpur
project (2,000MW, based on imported coal) and is in the process of finalizing EPC bids for the project.
Apart from this, the company has also bagged the following projects on BOT basis: (a) Mumbai Mass Rapid Transit
system, Rs23b; (b) NHAI road projects, Rs7b; (c) interstate transmission network, Rs8b; (d) hydropower projects
(MoU) in Arunachal Pradesh, Rs100b; (d) hydropower projects in Uttaranchal, Rs15b.
We believe that the stock is largely a play on future growth opportunities rather than on existing assured return
businesses.
We maintain
Buy.
(RS MILLION)
FY06
1Q
2Q
3Q
4Q
1Q
2Q
FY07
3QE
4QE
FY06
FY07E
QUARTERLY PERFORMANCE
Y/E MARCH
Sales
Change (%)
EBITDA
Change (%)
As of % Sales
Depreciation
Interest
Other Income
PBT
Tax (incl contingencies)
Effective Tax Rate (%)
Reported PAT
PAT (Pre Exceptionals)
Change (%)
9,497
0.7
1,615
9.6
17.0
817
433
1,348
1,712
146
8.5
1,567
1,567
52.3
10,429
31.7
2,034
25.1
19.5
871
553
1,185
1,796
200
11.1
1,596
1,596
24.5
9,884
6.4
1,793
200.7
18.1
907
467
1,493
1,912
265
13.9
1,646
1,646
22.1
10,382
-29.2
1,901
0.6
18.3
891
477
1,863
2,396
701
29.3
1,695
1,695
14.6
11,549
21.6
1,334
-17.4
11.6
619
459
1,711
1,967
201
10.2
1,766
1,666
12.7
14,076
35.0
1,775
-12.8
17.0
635
671
1,761
2,230
366
15.0
1,864
1,864
16.8
12,142
22.8
2,064
15.1
17.0
775
570
1,950
2,669
480
18.0
2,189
2,189
32.9
12,824
23.5
2,230
17.3
17.4
766
507
2,430
3,387
772
22.8
2,615
2,715
54.3
40,191
-2.9
7,332
4.4
18.2
3,486
1,919
5,890
7,817
1,311
6.5
6,505
6,505
25.1
50,591
25.9
7,403
1.0
14.6
2,795
2,207
7,852
10,253
1,820
11.7
8,434
8,434
29.6
E: MOSt Estimates; Quarterly numbers are on standalone basis
Satyam Agarwal (Agarwals@MotilalOswal.com); Tel: +91 22 39825410/Nalin Bhatt (NalinBhatt@MotilalOswal.com); +91 22 39825429
29 December 2006
255

Results Preview
SECTOR: UTILITIES
Tata Power
STOCK INFO.
BLOOMBERG
REUTERS CODE
BSE Sensex: 13,787 TPWR IN
S&P CNX: 3,966
TTPW.BO
29 December 2006
Previous Recommendation: Buy
Buy
Rs560
EPS
P/E*
(X)
P/BV
(X)
ROE
(%)
ROCE
(%)
EV/
EV/
SALES EBITDA
EPS*
(RS) GROWTH (%)
Equity Shares (m)
52-Week Range
1,6,12 Rel. Perf. (%)
M.Cap. (Rs b)
M.Cap. (US$ b)
197.9
621/390
-4/-13/-18
110.8
2.5
YEAR
END
NET SALES
(RS M)
PAT*
(RS M)
3/06A
3/07E
3/08E
45,609
51,859
53,860
4,549
5,955
6,868
21.4
28.0
32.3
-7.4
30.9
15.3
26.2
20.0
17.3
2.2
1.9
1.8
9.2
9.2
9.0
6.8
8.4
8.6
2.8
2.6
2.4
15.5
12.9
11.2
* Consolidated , pre-exceptionals, fully diluted
?
?
?
?
?
?
During 3QFY07, Tata Power is expected to report net profit of Rs1.1b, up 13.5% YoY.
Tata Power has won the bid (tariff Rs2.26/unit) for Mundra Power project based on imported coal, which represents
a significant ramp in its current capacity of 2,490MW.
Besides this, the company has outlined big expansion plans which include: (1) Applied for coal blocks in the state of
Jharkhand and Orissa for setting up 4,000MW plant, (2) Working on 250MW expansion at the Trombay, (3) Setting
up 100MW of diesel run generation plant near Khopoli, Maharashtra, (4) Placed orders for 50MW wind farm at
Khandke, Ahmednagar, (5) Setting up 120MW IPP at Haldia, based on met coke over gas, (6) Acquired coal linkages
for 1,000MW Maithon power project, (7) Commenced work on 120MW Jojobera plant .
The company has received seven licenses for its Strategic Electronics Division that enables it to be the prime
contractor for sale to the Ministry of Defense (MoD) for the design, development, manufacture, assembly and
upgrading of mission critical systems in seven core areas of Defense Strategic Electronics. According to management,
the addressable market for the company is likely to reach over Rs200b in next 4-5 years.
We understand that Appellate Tribunal of Electricity has directed Tata Power to pay Rs3.5b to Reliance Energy on
account of standby charges. However, Tata Power has the option to appeal to Supreme Court.
We recommend
Buy.
(RS MILLION)
FY06
1Q
2Q
3Q
4Q
1Q
2Q
FY07E
3QE
4QE
FY06
FY07E
QUARTERLY PERFORMANCE
Y/E MARCH
Total Operating Income
Change (%)
EBITDA
Change (%)
As of % Sales
Depreciation
Interest
Other Income
PBT
Tax
Effective Tax Rate (%)
Reported PAT
Adjusted PAT
Change (%)
10,988
1.1
2,410
-31.6
21.9
656
379
315
1,691
507
30.0
1,184
1,096
-0.8
10,616
12.9
2,403
8.9
22.6
682
430
421
1,712
456
26.6
1,257
1,257
20.0
12,314
30.9
1,968
-12.0
16.0
712
424
1,766
2,598
321
12.4
2,277
957
-3.5
11,711
21.7
1,573
0.3
13.4
734
420
754
1,173
85
7.3
1,088
1,052
692.4
13,766
25.3
2,581
7.1
18.7
760
524
410
1,706
488
28.6
1,218
1,130
3.1
12,008
13.1
2,495
3.8
24.8
731
388
783
2,160
137
6.3
2,023
1,682
33.8
13,483
9.5
2,562
30.2
19.0
800
335
125
1,552
466
30.0
1,086
1,086
13.5
12,602
7.6
2,620
66.6
20.8
881
346
190
1,583
433
27.4
1,150
1,238
17.7
45,628
16.1
8,355
-9.5
18.3
2,783
1,653
3,256
7,475
1,369
18.3
6,105
4,361
33.1
51,859
13.7
10,258
22.8
19.8
3,173
1,593
1,508
7,000
1,523
21.8
5,477
5,136
17.8
E: MOSt Estimates; Quarterly numbers are on standalone basis
Satyam Agarwal (Agarwals@MotilalOswal.com); Tel: +91 22 39825410/Nalin Bhatt (NalinBhatt@MotilalOswal.com); +91 22 39825429
29 December 2006
256

Results Preview
SECTOR: TRANSPORT
Container Corporation of India
STOCK INFO.
BLOOMBERG
REUTERS CODE
BSE Sensex: 13,787 CCRI IN
S&P CNX: 3,966
CCRI.BO
29 December 2006
Previous Recommendation: Buy
Buy
Rs2,132
EPS
P/E
(X)
P/BV
(X)
ROE
(%)
ROCE
(%)
EV/
EV/
SALES EBITDA
EPS
(RS) GROWTH (%)
Equity Shares (m)
52-Week Range
1,6,12 Rel. Perf. (%)
M.Cap. (Rs b)
M.Cap. (US$ b)
65.0
2,288/1,271
-2/19/2
138.6
3.1
YEAR
END
NET SALES
(RS M)
PAT
(RS M)
3/06A
3/07E
3/08E
24,408
30,562
37,242
5,027
6,652
7,725
77.3
102.4
118.9
17.2
32.3
16.1
27.6
20.8
17.9
6.7
5.3
4.3
26.6
28.4
26.4
33.5
36.6
34.5
5.3
4.1
3.3
18.4
13.8
11.5
?
?
?
?
?
?
During 3QFY07, we expect Concor’ revenue to increase 20% YoY to Rs7.6b, EBITDA to grow at 22% YoY to
s
Rs2.2b and net profit at 13.9% YoY to Rs1.6b.
We expect EBITDA margins to improve marginally, owing to having effected a tariff hike on both the domestic (~20-
22%) and international routes (~10%) and also to absorb the haulage charges introduced by the Indian Railways.
It has also recently entered into a joint working agreement with Secunderabad-based logistics major, Seaways group
to provide end-to-end logistics for exports from the Punjab region to Chittagong, Bangladesh.
Concor has started double-decker container trains in the northern region which has enabled it to double its capacity
on a single train. It is also in the process of opening its 56
th
inland container depot (ICD) at Dhapar near Ludhiana
which would ease the pressure at its Ludhiana ICD. It is also in the process of acquiring land at Durgapur, W. Bengal
to set up a terminal to handle domestic traffic. We expect these initiatives to drive volume growth for the company in
the future. Management has guided for 22% volume growth in FY07.
It plans to launch the first phase of its cold chain supply project with its first plant at Rai, Haryana. It plans to establish
a pan-India presence after a year of operation of its Rai plant.
We maintain
Buy.
(RS MILLION)
FY06
1Q
2Q
3Q
4Q
1Q
2Q
FY07
3QE
4QE
FY06
FY07E
QUARTERLY PERFORMANCE
Y/E MARCH
Sales
Change (%)
EBITDA
Change (%)
OPM (%)
Depreciation
Interest
Other Income
Extra-ordinary items
PBT
Tax
Effective Tax Rate (%)
Reported PAT
Change (%)
Adjusted PAT
Change (%)
E: MOSt Estimates
5,388
19.6
1,553
9.7
28.8
192
1
104
0
1,464
390
26.6
1,075
10.5
1,075
10.5
5,857
19.3
1,751
6.6
29.9
208
2
130
0
1,671
450
26.9
1,221
8.4
1,221
8.4
6,358
24.8
1,765
16.5
27.8
207
0
146
1
1,705
336
19.7
1,368
34.4
1,369
34.5
6,806
24.6
1,966
21.9
28.9
242
0
162
0
1,886
524
27.8
1,362
6.5
1,362
6.4
7,213
33.9
2,160
39.1
30.0
223
0
163
0
2,100
437
20.8
1,663
54.8
1,663
54.8
7,693
31.3
2,522
44.0
32.8
232
0
169
0
2,458
563
22.9
1,895
55.2
1,895
55.2
7,629
20.0
2,155
22.1
28.3
238
1
190
0
2,107
548
26.0
1,559
14.0
1,559
13.9
8,027
17.9
2,320
18.0
28.9
290
2
211
0
2,239
705
31.5
1,534
12.7
1,534
12.7
24,408
21.8
7,036
12.0
28.8
849
2
542
1
6,725
1,699
25.3
5,026
17.2
5,027
17.2
30,562
25.2
9,158
30.2
30.0
983
2
732
0
8,905
2,253
25.3
6,652
32.3
6,652
32.3
Satyam Agarwal (Agarwals@MotilalOswal.com); Tel: +91 22 39825410/Anjali Shah Vora (Anjali@MotilalOswal.com);+91 22 39825415
29 December 2006
257

Results Preview
SECTOR: AGROCHEMICALS
United Phosphorus
STOCK INFO.
BLOOMBERG
REUTERS CODE
BSE Sensex: 13,787 UNTP IN
S&P CNX: 3,966
UNPO.BO
29 December 2006
Previous Recommendation: Buy
YEAR
END
NET SALES
(RS M)
PAT
(RS M)
EPS
EPS
P/E
(X)
P/BV
(X)
ROE
(%)
ROCE
(%)
EV/
(RS) GROWTH (%)
Buy
Rs300
EV/
SALES EBITDA
Equity Shares (m)
52-Week Range
1,6,12 Rel. Perf. (%)
M.Cap. (Rs b)
M.Cap. (US$ b)
187.2
340/204
-10/-3/-22
56.2
1.3
3/06A
3/07E
3/08E
18,020
21,646
25,219
2,163
2,996
3,938
10.7
14.8
19.5
18.9
38.5
31.4
28.0
20.2
15.4
4.4
3.6
2.9
21.0
21.2
22.8
17.8
17.2
19.1
3.5
2.6
2.1
12.8
9.5
7.5
Excluding Advanta & Cerexagri
?
United Phosphorus (UPL) is expected to report 25.5% YoY growth in consolidated revenues to Rs4.8b, driven
primarily by five product acquisitions since August 2006, although numbers may not be strictly comparable. Also, our
estimates do not yet factor in for acquisition of Cerexagri as we would wait for closure of this acquisition.
EBITDA margins are expected to decline marginally by 40bp to 23.8%, on account of expenditure of acquisitions
done recently. This translated into PAT growth to 94.7% to Rs450m.
During the quarter, UPL acquired Cerexagri, for EUR111m, having revenues of EUR200m with presence in fungicides,
aquatic applications and post-harvest treatment products, with strong distribution presence in US (~35% of sales)
and EU (~47% of sales). Also, it acquired a rice herbicide from Dow for US$25m (incl. inventory), having revenues
of around US$19m and 100 registrations in 30 countries.
Current valuations at 18.8x FY07E and 13.1x FY08E based on our proforma consolidated EPS (fully diluted incl.
Advanta and Cerexagri acquisition) do not fully reflect strong business fundamentals and any upsides from potential
acquisitions. Maintain
Buy.
(RS MILLION)
FY06
1Q
2Q
3Q
4Q
1Q
2Q
FY07
3QE
4QE
FY06
FY07E
?
?
?
QUARTERLY PERFORMANCE (CONSOLIDATED)
Y/E MARCH
Gross Revenues
YoY Change (%)
Total Expenditure
EBITDA
Margins (%)
Depreciation
Interest
PBT after EO Expense
Tax
Deferred Tax
Rate (%)
Reported PAT
Adjusted PAT
YoY Change (%)
Margins (%)
E: MOSt Estimates
4,075
21.3
3,055
1,020
25.0
326
230
464
5
75
17.2
384
384
78.4
9.4
4,381
22.7
3,255
1,126
25.7
353
212
561
22
68
16.0
472
472
50.9
10.8
3,847
26.3
2,914
933
24.2
351
206
376
44
100
38.5
231
231
53.8
6.0
5,717
34.5
3,899
1,818
31.8
373
340
1,106
17
-23
-0.5
1,111
1,111
24.3
19.4
4,804
17.9
3,589
1,215
25.3
360
241
614
22
51
12.0
541
541
40.8
11.3
5,169
18.0
3,824
1,345
26.0
370
219
755
4
94
13.1
656
656
39.1
12.7
4,827
25.5
3,681
1,146
23.8
377
215
554
76
28
18.8
450
450
94.7
9.3
6,846
19.8
4,583
2,263
33.1
370
204
1,688
330
-11
18.9
1,369
1,369
23.2
20.0
18,020
26.7
13,123
4,897
27.2
1,402
988
2,507
107
221
13.1
2,179
2,179
38.6
12.1
21,646
20.1
15,677
5,969
27.6
1,478
879
3,612
433
163
16.5
3,016
3,016
38.4
13.9
Nimish Desai (Nimishdesai@MotilalOswal.com); Tel: +91 22 39825406/Jinesh K Gandhi (Jinesh@MotilalOswal.com); Tel +91 22 39825416
29 December 2006
258

N O T E S
29 December 2006
259

Results Preview
For more copies or other information, contact
Institutional:
Navin Agarwal.
Retail:
Manish Shah, Mihir Kothari
Phone: (91-22) 39825500 Fax: (91-22) 22885038. E-mail: inquire@motilaloswal.com
Motilal Oswal Securities Ltd, 3rd Floor, Hoechst House, Nariman Point, Mumbai 400 021
This report is for the personal information of the authorized recipient and does not construe to be any investment, legal or taxation advice to you. Motilal Oswal
Securities Limited
(hereinafter
referred as MOSt)
is not soliciting any action based upon it. This report is not for public distribution and has been furnished to you solely
for your information and should not be reproduced or redistributed to any other person in any form.
The report is based upon information that we consider reliable, but we do not represent that it is accurate or complete, and it should not be relied upon such. MOSt or
any of its affiliates or employees shall not be in any way responsible for any loss or damage that may arise to any person from any inadvertent error in the information
contained in this report. MOSt or any of its affiliates or employees do not provide, at any time, any express or implied warranty of any kind, regarding any matter
pertaining to this report, including without limitation the implied warranties of merchantability, fitness for a particular purpose, and non-infringement. The recipients of
this report should rely on their own investigations.
MOSt and/or its affiliates and/or employees may have interests/ positions, financial or otherwise in the securities mentioned in this report. To enhance transparency,
MOSt has incorporated a Disclosure of Interest Statement in this document. This should, however, not be treated as endorsement of the views expressed in the report.
Disclosure of Interest Statement
The MOSt group and its Directors own shares in the following companies covered in this report: Aventis Pharma, Bharat Electronics, Bharti Airtel, Birla Corporation,
Hero Honda, Indian Overseas Bank, IOC, Pfizer, Siemens, State Bank, Tata Motors and Tata Steel.
MOSt does not have a broking relationship with any of the companies covered in this report.
MOSt is engaged in providing investment-banking services in the following companies covered in this report: Pfizer and Wockhardt.
This information is subject to change without any prior notice. MOSt reserves the right to make modifications and alternations to this statement as may be required
from time to time. Nevertheless, MOSt is committed to providing independent and transparent recommendations to its clients, and would be happy to provide
information in response to specific client queries.
29 December 2006
260