March 2011
Metals
Sanjay Jain
(SanjayJain@MotilalOswal.com);Tel:+9122 39825412
Tushar Chaudhari
(Tushar.Chaudhari@MotilalOswal.com); +9122 39825425
New order

Metals | New Order
Metals: New order
Page No.
Executive Summary
....................................................................................................
3
FERROUS
..............................................................................................................
4-85
Indian steel industry - changing dynamics
...........................................................4-7
Expect temporary oversupply of finished steel in India
....................................
8-9
Tougher times for secondary producers
.........................................................
10-13
Greater challenges in iron ore mining / exports
............................................
14-20
Global iron ore prices to peak in 2011, with least supply growth
...............
21-29
Australia remains the main source for new coking coal supplies
...............
30-34
Steel producers remain vulnerable to global raw material shortage
..........
35-37
Ferrous Factories Map
.............................................................................................
38
Ferrous Minerals Map
.............................................................................................
39
Ferrous Large-caps
.............................................................................................
40-54
Tata Steel ........................................................................................ 41-43
JSW Steel ....................................................................................... 44-47
Sesa Goa ......................................................................................... 48-51
SAIL ............................................................................................... 52-54
Ferrous Mid-caps
................................................................................................
55-85
Mid-cap steel companies - struggling to maintain profitability
...................
56-58
Bhushan Steel ................................................................................. 59-62
Adhunik Metaliks ........................................................................... 63-66
Godawari Power & Ispat ............................................................... 67-69
Jai Balaji Industries ........................................................................ 70-72
Monnet Ispat ................................................................................... 73-76
Prakash Industries .......................................................................... 77-79
Sarda Energy & Minerals .............................................................. 80-82
Tata Sponge Iron ............................................................................ 83-85
NON-FERROUS
................................................................................................
86-105
Non-ferrous industry - getting new projects a challenge
..............................
87-92
Non-ferrous Factories Map
............................................................ 90
Non-ferrous Minerals Map.............................................................
91
Sterlite Industries ............................................................................ 93-96
Hindalco .......................................................................................... 97-99
Hindustan Zinc ........................................................................... 100-102
Nalco .......................................................................................... 103-105
Appendix: Vedanta Group site visit
.............................................................
106-115
March 2011
2

Metals | New Order
Metals
BSE Sensex: 18,328
S&P CNX: 5,494
10 March 2011
New order
In the Indian Metals space, we like steel and zinc. Primary steel producers will deliver
stronger volume growth over 12-15 months. The zinc business is also attractive due to
stronger growth in by-products like silver and lead, and bullish outlook on zinc prices.
The aluminum segment is facing challenges due to shortage of coal, rising input costs,
and project delays. The copper business in India is limited to custom smelting and is,
therefore, less significant.
Expect temporary oversupply of finished steel in India:
With 20mtpa capacity
likely to commission over the next 12-15 months, we expect temporary oversupply of
steel in India. Given a tough export market, primary producers will try to substitute
imports and crowd out secondary producers to sustain production at new capacities.
Margins will come under pressure.
Tougher times for secondary producers:
Secondary producers have to face the
additional challenge of sourcing coal and the requisite grade of iron ore for sponge iron
production due to dwindling supplies. Export of Indian iron ore fines is expected to
decline due to discouraging government policies. As the market for fines dries, the
supply of sponge iron grade iron ore, which requires additional crushing to achieve
smaller size of iron ore lumps, will decline.
Iron ore supply to ease in two years, coking coal market to remain tight for
four years:
Global finished steel consumption is likely to grow by 68m tons in 2011
and by 55m tons in 2012. This will drive demand for seaborne trade by 95m tons in
2011 and 77m tons in 2012 and demand for coking coal by 47m tons in 2011 and 38m
tons in 2012. Investment spurred by high margins will bring 730m tons of new iron ore
supplies over five years (v/s 1b tons of seaborne iron ore trade currently) and ease the
market.
Tata Steel and JSW Steel are our top picks:
Tata Steel's cash flows will grow on
the back of both volume growth and margin expansion. Sale of Teesside plant and
start of coking coal production in Mozambique and iron ore production in Canada are
other positives. JSW Steel will achieve the highest volume growth and is the most
efficient producer. We are downgrading SAIL to Sell due to widening competitive
disadvantage on labor cost, operating inefficiencies, and disappointing project
execution. As iron ore prices soften, SAIL will have nowhere to hide.
Buy Sterlite and Hindalco in the non-ferrous space:
Sterlite Industries is our top
pick in the non-ferrous space due to strong earnings growth in zinc, lead, silver and
energy businesses, though uncertainties over power sale, sourcing of coal and bauxite,
and minority stake buyouts continue to haunt. The outlook on zinc prices is bullish
primarily from the supply side, as a couple of large mines are expected to get depleted
over the next 2-3 years. We also like Hindalco due to the group's strong operating
cash flows. Utkal Alumina, though delayed a bit, will boost Hindalco's earnings.
Companies
Ferrous (Large-caps)
Tata Steel
JSW Steel
Sesa Goa
SAIL
Ferrous (Mid-caps)
Bhushan Steel
Adhunik Metaliks
Godawari Power & Ispat
Jai Balaji Industries
Monnet Ispat
Prakash Industries
Sarda Energy & Minerals
Tata Sponge Iron
Non-ferrous
Sterlite Industries
Hindalco
Hindustan Zinc
Nalco
March 2011
3

Metals | New Order
Indian steel industry - changing dynamics
Indian steel producers have had smooth sailing during the last decade, with demand growth
far exceeding supply growth. There was easy availability of raw material like coal and lump
ore. As a result, the steel producers enjoyed fat margins. The dynamics of the business are
now changing. Primary producers are bringing on stream ~20mtpa of capacity bunched
together over 12-15 months, which is unprecedented. Indian steel consumers will have a
greater choice of domestic supplies. However, it will no longer be smooth sailing for primary
steel producers. Ispat Industries, which shut operations in November 2010 for lack of working
capital, was the first casualty. Non-integrated producers like JSW Steel and SAIL will have to
prepare for lower margins in the face of constrained raw material supplies. Integrated
steel producers like Tata Steel are likely to continue enjoying high margins due to raw
material price pushed steel price increase in the global market.
Indian steel producers have
had smooth sailing during
the last decade, with
demand growth far
exceeding supply growth
A decade of smooth sailing, with demand growth exceeding supply growth
In the last decade, Indian steel producers had smooth sailing, as demand grew at a CAGR
of 8.3% against supply growth of 6%, leading to higher imports, stronger steel price
realization and superior margins. Supply growth lagged demand growth because the main
primary steel producers had underinvested due to varying reasons - delays in statutory
clearances, land acquisition issues, shortage of vendors, lack of new raw material linkages,
etc. JSW Steel is the only primary steel producer that multiplied its capacity ~5x from
1.6mtpa to 7.8mtpa. The capacity of other primary producers increased only marginally.
High realizations, benign raw material prices enabled fat margins
Secondary producers, helped by mushrooming of sponge iron capacities in mineral rich
states of Chhattisgarh, Orissa, Jharkhand and West Bengal, tried to bridge the gap and
many new names (e.g. Adhunik, Monnet, Jai Balaji, Prakash, Godawari and Sarda) emerged
and came out stronger by the end of the decade. Sponge iron production grew at a CAGR
of 23% over 2002-2008 due to availability of cheaper coal from Coal India and abundant
supply of sized iron ore from mines in Barbil. Strong Chinese demand for iron ore fines,
which was not consumed by Indian steel producers, helped in supply growth of sized ore.
This scenario is now changing.
EBITDA per ton (USD) for Indian steel producers
TATA Steel India
600
500
400
300
200
100
0
-100
SAIL
JSW Steel
Average for JSW & SAIL
Besides, there was easy
availability of raw material
like coal and lump ore
Source: Company/MOSL
March 2011
4

Metals | New Order
The situation is now
changing due to constrained
raw material supplies
Raw material cost pressure to tell on margins, going forward
1. Thermal coal is increasingly become difficult to source for sponge iron production
because Coal India has reduced linkages to the steel industry in the last few years due
to sharply rising demand from priority sectors like power and sluggish coal production
growth. The situation is likely to get worse, as large scale power capacities are expected
to get commissioned in the coming years, while Coal India's production is unlikely to
keep pace. Sponge iron producers are increasingly becoming dependent on costlier e-
auction and imported coal.
2. Sized iron ore (5-18mm) used in sponge iron production too has moved from abundance
to shortage, though India is still the third largest exporter of iron ore in the world. In the
last few years, a couple of pellet plants have come up to utilize iron ore fines in sponge
iron production through the relatively expensive pelletization process. The sponge iron
industry has lost negotiating power to select sized ore producers in Barbil. Deteriorating
supply of raw material has squeezed the margins of sponge iron producers and stifled
their growth.
3. Indian iron ore production too is likely to decline due to export ban in Karnataka and
increased focus of government agencies in enforcing mining and transportation
regulations to curb illegal mining. Production at a number of mines has declined, as
they are awaiting renewal of their mining licenses. Production at OMDC, which once
used to produce 4-5mtpa, has come to a grinding to halt. Exports too are declining
despite all-time high fob prices.
4. Indian steel producers have largely been consuming lump ion ore. The fines generated
during crushing were exported. Realizing the shortage of iron ore, Indian steel producers
have started investing in pellet plants to utilize fines. JSPL commissioned its 5mtpa
pellet plant in 2009. Tata Steel will be commissioning its pellet plant in 2011. A couple
of merchant pellet plants have also come up in Barbil. Some small pellet plants imported
from China were also put up, but these have been disasters. Pellets are more expensive
than lump ore in the market.
5. Coking coal imports are likely to grow at CAGR of 22% over FY10-FY13 to 44m tons
due to rising demand from ~20mtpa of new hot metal capacity. Sourcing coking coal
amidst the prevailing tight supply is challenging. Coking coal supply is often disrupted
by natural disasters.
De-rating unlikely despite margin compression
Steel stocks have been re-rated over the last 6-7 years, as EBITDA per ton increased
from under US$100 during FY01-FY03, to an average of US$130 during FY04-FY05 and
above US$200 during FY06-FY08. Valuation multiples expanded, aided not just by higher
margins but also consolidation. In 2005, steel stocks traded at one-year forward P/E multiples
of ~5x and EV/EBITDA of 2.5-3.5x. In the following three years, the P/E multiple expanded
to 7-10x and EV/EBITDA multiple to 6-7x. Following the financial crisis of 2008, the
market's focus shifted to normalized earnings and normalized multiples, because forecasting
earnings became a daunting task.
World steel consumption recovered fully in 2010, surpassing all-time high levels of 2007
(though the western world production is yet to recover fully; it is probable that these
countries have lost some production permanently). Margins too recovered to 80-90% of
5
Though the steel industry
is likely to witness
margin pressure…
…we do not expect a de-
rating of the sector…
March 2011

Metals | New Order
the pre financial crisis levels in 2010. Shortage of coking coal due to flooding of mines in
Australia, iron ore due to lack of new supplies, and change over to quarterly pricing will
put pressure on the margins of non-integrated Indian steel producers despite steel prices
moving up by US$150/ton in 2011. Will the compression of margins lead to a de-rating of
the sector? We do not think so.
…in a scenario of growing
global steel consumption
If the markets were to de-rate the sector, let's say to EV/EBITDA of 5x instead of 6.5x,
the enterprise valuations will move to US$750-800/ton based on new outlook of US$150-
160 EBITDA per ton for an Indian steel producer with no raw material linkage. This will
be at deep discount to replacement cost, which is now US$1,100-1,200/ton even in a low
cost country like India for a greenfield project. With return on investment (RoI) of a new
project falling to 7-8% on post tax basis, the incentive to set up capacities is low. Steel
demand is still expected to grow, while world capacity utilization remains low at 70-75%.
It is more logical for steel producers to acquire rather than build new capacities. It is not
surprising that JSW Steel acquired Ispat Industries despite not so attractive terms recently.
Sumitomo and Nippon have announced the intention of merging. Sector multiples are
unlikely to be de-rated in a scenario of growing global steel consumption.
JSW Steel and Tata Steel are our top picks
We expect global supply of iron ore to remain tight for two years and supply of coking coal
to remain tight for 4-5 years. Though global demand for steel is likely to grow 5.3% in
2011, peak shortage of both iron ore and coking coal will restrict steel production growth.
Steel capacity utilization still remains low at 73% v/s 85-90% during 2005-2007. This is
likely to put pressure on the margins of non-integrated steel producers dependent on imports
for both raw materials. Indian steel producers need to contend with temporary oversupply,
leading to further pressure on margins in FY12. However, margins of Indian steel producers
will still be higher than global peers.
JSW Steel and Tata Steel are our top picks in the Indian steel space. Tata Steel will
witness expansion of margins for the Indian business because globally steel prices will rise
by ~US$150/ton in FY12, led by higher raw material costs. This will drive margins by
~US$100/ton for its Indian business, which will be followed by strong volume growth in
FY13. Its European business, however, remains vulnerable. Start of iron ore and coking
coal production at Canada and Mozambique joint venture projects respectively in the
second half of FY12 will drive the group's margins.
We like JSW Steel due to aggressive volume growth, though margins for its Indian business
will remain under pressure due to non-integration of raw materials. However, coking coal
and iron ore production ramp-up in recently acquired coal mines in USA and iron ore
mines in Chile will drive group margins. A tailwind on US economy too augurs well for
turnaround of its plate and pipe mill in Texas. Sharp correction in the stock, driven by
coking coal concerns and de-rating due to acquisition of stake in Ispat Industries presents
a good buying opportunity.
While margins will be
under pressure, Indian steel
producers are likely to be
better placed than
global peers
Tata Steel's India business
will witness margin
expansion in FY12 followed
by volume growth in
FY13; Buy
We like JSW Steel due to
aggressive volume growth,
though margins for its
Indian business will remain
under pressure
March 2011
6

Metals | New Order
SAIL is likely to remain under pressure, as volume growth will pale in front of peers. Cost
inflation on account of annual wage hikes and higher repair and maintenance due to aging
plant and machinery will put pressure on margins. Captive iron ore mines remain the only
attraction in the stock over two years. Equity dilution on account of FPO will drag RoE
further.
Sesa Goa is a key beneficiary of strong iron ore prices. However, regulatory hurdles and
termination of third-party mining contract for Orissa operations have clouded volume growth.
If Karnataka lifts the ban on iron ore exports, the stock will get re-rated.
Among the mid-caps,
we like Godawari,
Prakash Industries, and
Adhunik Metaliks
Smaller steel producers are likely to get squeezed out of market due to shortage of thermal
coal and sized iron ore for sponge iron production. However, some of the smaller names
with operational mines will benefit. We like Godawari, Prakash Industries, and Adhunik
Metaliks, as they either have iron ore or thermal coal mines.
Valuations: Indian companies
Rating
Large-caps
Tata Steel
SAIL
JSW Steel
Sesa Goa
Mid-caps
Monnet Ispat
Godawari
Sarda Energy
Tata Sponge
Adhunik Metaliks
Bhushan Steel
Jai Balaji
Prakash Industries
Buy
Sell
Buy
Buy
Neutral
Buy
Neutral
Buy
Buy
Neutral
Buy
Buy
597
157
939
275
532
177
194
328
97
430
180
78
12,847
14,366
5,289
5,420
753
110
146
112
265
2,023
254
231
72.5
13.0
58.0
50.1
48.7
29.2
11.6
55.8
16.7
48.5
12.7
19.2
82.8 102.0
10.5
10.1
112.7 132.9
36.3
55.6
32.2
25.3
63.5
17.5
65.6
21.1
27.0
39.7
72.2
36.7
31.4
69.7
18.5
64.9
48.4
35.6
8.2
12.1
16.2
5.5
10.9
6.1
16.7
5.9
5.8
8.9
14.2
4.0
7.2
14.9
8.3
7.6
9.6
5.5
7.7
5.2
5.5
6.6
8.6
2.9
5.9
15.5
7.1
6.9
7.4
4.8
6.2
4.7
5.2
6.6
3.7
2.2
6.0
7.5
8.3
3.0
12.2
5.0
9.9
3.1
5.6
10.9
8.7
4.1
5.4
9.6
5.4
3.0
11.8
4.2
8.2
2.1
5.0
6.9
7.9
2.9
4.1
10.3
4.4
2.1
7.3
3.6
7.6
1.2
4.1
6.3
5.5
1.9
2.9
1.7
1.3
1.9
1.7
0.9
1.1
1.1
1.6
1.8
1.2
0.7
2.2
1.6
1.1
1.5
1.4
0.9
0.9
0.9
1.2
1.4
1.1
0.5
1.6
1.5
1.0
1.3
1.2
0.8
0.8
0.8
1.0
1.2
0.9
0.4
CMP MCAP
EPS (INR)
P/E (x)
EV/EBITDA (x)
P/BV (x)
(INR) (US$m) FY11E FY12E FY13E FY11E FY12E FY13E FY11E FY12E FY13E FY11E FY12E FY13E
CMP=current market price
Source: MOSL
March 2011
7

Metals | New Order
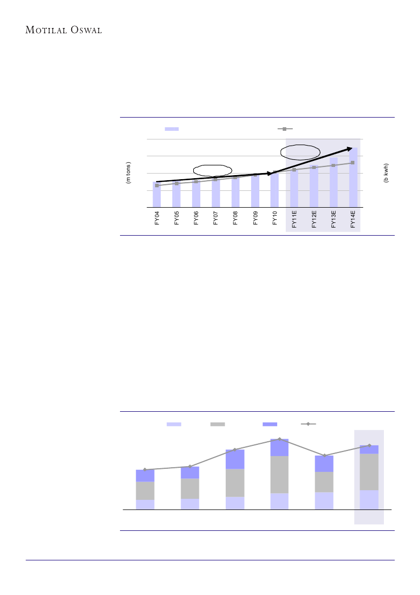
Expect temporary oversupply of finished steel in India
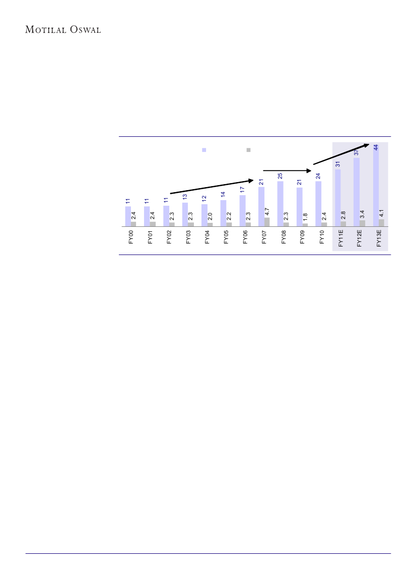
Over FY00-FY10, domestic steel consumption has grown at 8.3%, outpacing production growth
of 6%. As demand outpaced production, imports increased at a fast pace to ~7.2m tons in
FY10. With 20mtpa capacity likely to commission over the next 12-15 months, we expect
temporary oversupply. Domestic steel producers will have to look for export opportunities
- tough considering the current global economic environment - or work on pricing strategies
to substitute imports.
Over FY00-FY10, domestic
steel consumption grew at
8.3%, outpacing production
growth of 6%
Demand has outpaced domestic production during the last decade
With India's real GDP growing at a CAGR of 7.2% over FY00-FY10, domestic steel
consumption has grown at a CAGR of 8.3%. However, production grew at a CAGR of
6% over FY00-FY10, lagging demand growth due to lack of greenfield projects, slow
investment in capacity expansion, and postponement of private investment post the financial
crisis. As demand outpaced production, imports increased at a fast pace to ~7.2m tons in
FY10.
Growth in India's finished steel production has lagged consumption growth
Production
90
70
50
30
10
6%
11%
Consumption
Exports (RHS)
Imports (RHS)
8
6
4
2
0
Source: MOSL
Capacity equivalent to
almost a third of the current
annual domestic production
is scheduled for
commissioning over the
next 12-15 months
Capacity of 20mtpa is likely to commission in 12-15 months…
Over the next 12-15 months, ~20mtpa of production capacity (equivalent to almost a third
of the current annual domestic production) is scheduled for commissioning in India. Essar
Steel has recently commissioned a 1.7mtpa blast furnace and 1.7mtpa of DRI capacity;
further, 1.2mtpa of Corex furnaces will add a total of 5mtpa capacity. JSW Steel will be
commissioning a 3mtpa blast furnace by March 2011. RINL will be commissioning a
3mtpa long product capacity by mid-2011. Tata Steel and SAIL will be commissioning
furnaces of 3mtpa each by the end of FY12. Electrosteel Casting will be bringing on
stream ~2mtpa of capacity in FY12. Bhushan Steel will be ramping up its 1.9mtpa HRC
mill, adding ~0.7mtpa of production in FY12.
March 2011
8

Metals | New Order
Expect domestic steel production to grow at ~11% over FY10-FY14 v/s 6% over FY00-FY10
Producers
FY10
SAIL
Tata Steel
RINL
JSW Steel
Essar Steel
Ispat
JSPL
Bhushan Steel
Others
Total
12.7
6.4
2.7
5.7
3.4
2.7
2.0
0.4
23.6
59.6
Production
FY11E FY12E FY13E
13.2
6.5
2.9
6.4
3.9
2.8
2.2
1.2
23.8
62.9
14.2
6.8
4.0
9.1
5.4
2.9
2.5
1.8
25.0
71.6
15.8
8.5
6.0
10.2
6.4
3.0
4.2
2.3
26.2
82.6
FY14E
17.9
9.1
6.5
10.7
7.4
3.2
4.7
3.5
27.5
90.5
CAGR
FY10-14
(%)
8.9
7.4
24.6
16.9
21.5
4.3
23.8
72.0
4.0
10.8
Flat
(%)
51
60
65
100
100
85
34
100
15
80
54
Products
Long Special
(%)
(%)
35
36
100
35
14
4
VAP
(%)
19
26
20
60
20
11
8
Source: MOSL
Though consumption growth
too is likely to accelerate,
we expect temporary
oversupply
…leading to temporary oversupply and possible pricing pressure
Given the planned capacity additions over FY10-14, we expect domestic finished steel
production to grow at ~11%. With accelerating real GDP growth, demand growth too is
likely to accelerate to 10% per annum. However, there would be a temporary oversupply
of finished steel in the domestic market. While we estimate incremental production at
8.8m tons in FY12 and 10.6m tons in FY13, we estimate incremental demand at 7.1m tons
in FY12 and 7.7m tons in FY13.
Expect domestic steel consumption to grow at ~10% over FY10-FY14
Real GDP
Steel consumption
12
9
6
3
0
CAGR 7.2%
CAGR 8.3%
CAGR 9%
CAGR 10%
Source: MOSL
Domestic steel producers
may have to price
aggressively to
substitute imports
Domestic steel producers will have to look for export opportunities - tough considering the
current global economic environment - or work on pricing strategies to substitute imports.
March 2011
9

Metals | New Order
Tougher times for secondary producers
Sponge iron (DRI) has played an important role in fueling the growth of crude steel production
in India during the last decade. However, the double impact of rising coal and iron ore cost
has squeezed margins for the sponge iron industry. As a result, sponge iron production
has stagnated in the last two years and may begin to decline. Constrained sponge iron
availability resulted in scrap imports surging 50% to 5.2m tons during FY08-FY10. However,
new pig iron supply from primary producers will provide an alternate to steel scrap imports
in coming years. This will lead to primary producers gaining market share from secondary
producers.
DRI production in India
grew at a CAGR of 23% over
2002-2008, driven by
reasonable spreads
Sponge iron, an important source of metallic, drying up
Sponge iron (also known as DRI - direct reduced iron) has played a very important role in
fueling the growth of crude steel production in India during the last decade. Sponge iron
production grew at a CAGR of 23% over 2002-2008, while finished steel production
growth was barely 6%. Sponge iron producers enjoyed reasonable spread between sponge
iron prices and raw material cost. Coal India provided linkages to the sponge iron industry
at fixed published prices, which were lower than free market prices. Until 2007/FY08, the
sponge iron industry enjoyed 100% coal linkage.
DRI drove Indian crude steel production till 2008
Indian DRI production (m tons)
Share in w orld crude steel (%)
36
27
18
9
0
23% CAGR
Share in Indian crude steel (%)
Source: MOSL
With Coal India reducing
linkages to DRI producers,
their coal cost has increased
considerably
Cost of coal started rising for sponge iron producers in FY09, as Coal India reduced
linkages to the steel industry to meet demand from utilities. Coal linkages to steel producers
have been cut to 50% now. The actual fulfillment of commitment is even lower. Shortage
of coal choked production growth thereafter, as a large number of fragmented small
producers could not afford imports.
Coal linkages to steel industry declining
100
95
75
50
65
45
40
50
Coal linkage
Deliveries
2007
2008
2009
2010
Source: MOSL
March 2011
10

Metals | New Order
Some sponge iron producers turned to imports and Coal India's e-auctions for their coal
requirements. This led to significant increase in costs from FY09/2008. Since coal-based
power generation in India is expected to grow at 15% over FY10-14 v/s 5% over FY04-
FY10, coal allocation to the sponge iron industry is likely to reduce further.
Coal supply to DRI industry will reduce further due to pressure from power sector
Pow er generation (coal based)
800
625
450
275
100
5%
15%
Coal production
1,100
825
550
275
0
Source: MOSL
DRI grade iron ore lumps
are also in short-supply
Even when the sponge iron industry benefited from lower cost of coal due to linkages
from Coal India, it had been paying high prices for iron ore due to a very specific size and
grade requirement. As there was rapid growth in iron ore production during FY02-FY08,
driven by burgeoning exports of fines to China, the domestic DRI industry's demand for
the specific grade of ore was met. However, clamp-down on illegal mining and ban on
export of iron ore from Karnataka has crippled iron ore production. Additionally, deepening
of iron ore mines has reduced the generation of DRI grade lumps. The shortage has
resulted in a sharp rise in iron ore prices.
The double impact of rising coal and iron ore cost has squeezed margins for the sponge
iron industry. This situation is unlikely to change in the coming years. As a result, sponge
iron production may decline. Stagnant sponge iron production over FY08-FY10 has already
brought down its contribution in India's crude steel production.
DRI margins are getting squeezed (Rs '000 per ton of production)
Coal cost
Iron ore cost
15.9
4.5
10.6
3.3
4.8
2.6
FY06
11.5
3.2
7.5
5.3
2.9
FY07
3.3
FY08
4.4
FY09
4.7
FY10
5.1
FY11E
Source:MOSL
Squeezed margins have
led to DRI production
stagnating
Spread
18.8
Sponge iron
17.0
14.5
4.4
2.1
5.1
9.9
9.8
5.4
March 2011
11

Metals | New Order
Constrained DRI
availability resulted in scrap
imports surging 50% to 5.2m
tons during FY08-FY10
Steel scrap imports have filled the gap in metallic production
Though the global supply of ferrous scrap has declined during the last 4-5 years, India's
scrap imports have increased continuously. Domestic sponge iron availability had kept
scrap imports low until FY08, but as growth in sponge iron production became constrained,
scrap imports surged 50% to 5.2m tons in the following two years. New pig iron supply
from primary producers can provide an alternate to steel scrap imports in coming years.
This will lead to primary producers gaining market share from secondary producers.
Steel scrap imports increased by 50% in two years
5.2
4.8
4.4
3.5
3.2
3.5
FY05
FY06
FY07
FY08
FY09
FY10
Source: MOSL
New pig iron supply will
provide an alternate to
steel scrap imports in
coming years
Pig iron is regaining importance…
Pig iron is likely to play a more important role in steel production growth in India due to
addition of a number of blast furnaces during FY11-FY13. Pig iron production grew at
CAGR of just 4% over FY02-FY08; sponge iron production grew much faster at a CAGR
of 23%. With shortage of sized iron ore and coal linkages impacting sponge iron production,
this scenario is changing.
The share of pig iron in India's steel production is rising once again
Indian hot metal production (m tons)
Share in w orld crude steel (%)
90
80
70
60
50
40
Share in Indian crude steel (%)
45
40
35
30
25
20
Source: MOSL
March 2011
12

Metals | New Order
Pig iron production is likely
to grow at a CAGR of 18%
over FY10-FY13, driving
coking coal imports
…driving coking coal imports
Pig iron production is likely to grow at a CAGR of 18% over FY10-FY13, driving the
demand for coking coal. Since domestic coking coal production is unlikely to ramp up
much, coking coal imports are likely to grow at a CAGR of 22% over FY10-FY13.
Incremental imports during FY10-FY13 will be ~20m tons v/s total imports of 24m tons in
FY10.
Coking coal imports to nearly double in three years
Coking coal
Coke
CAGR 22%
CAGR 14%
Source: MOSL
March 2011
13

Metals | New Order
Greater challenges in iron ore mining / exports
Increasing environmental concerns are leading to stricter regulatory enforcement, which
has adversely impacted iron ore mining in India. Older mines are getting deeper and new
mining licenses are not coming through due to regulatory and governance issues. The
crackdown on illegal mining has also adversely impacted legitimate miners. As a result,
growth in domestic iron ore production has been crippled during the last two years. Higher
royalties on iron ore mining have resulted in increased cost of mining and stricter
enforcement of transportation permits is leading to higher logistics cost. Exports have
been hit by periodic increases in export duties and hikes in rail freight for iron ore meant for
exports.
Indian iron ore industry is highly fragmented
The Indian iron ore industry is highly fragmented. A total of 577 mining leases are in force,
which together produce ~225m tons of iron ore, implying an average of 0.4m tons from
each lease.
Indian Iron ore production: 225 m tons (FY08)
Others
6%
Chattisgarh
15%
Goa
14%
India has 577 operating mining leases (FY08)
Others
14%
Chattisgarh
2%
Goa
33%
Jharkhand
8%
Jharkhand
10%
Karnataka
22%
Orissa
16%
Orissa
33%
Karnataka
27%
Source: IBM
Goa has a total of 187 mining leases, with the lowest average per mine production of
157,000 tons per annum. Karnataka and Jharkhand have an average per mine production
of 289,000tpa and 435,000tpa, respectively.
Orissa is the largest iron ore
producing state, with 1/3rd
of the country's production
Mining in Chhattisgarh is somewhat concentrated. NMDC and SAIL operate most of the
mines. Merchant mining is virtually absent in the state. Orissa is the largest iron ore
producing state, with 1/3rd of the country's production. It has 90 mining leases, with an
average mine production of 761,000tpa.
March 2011
14

Metals | New Order
Average iron ore production per mining lease ('000 tons per annum)
2,361
761
157
289
435
142
Source:MOSL
Lump generation in
Orissa mines is 55-60% v/s
40-45% in other iron ore
producing states
Lump generation is declining in the country…
Orissa has been the main source of sized lump ore (5-18mm) used in sponge iron production.
Lump generation in Orissa mines is 55-60% v/s 40-45% in other states like Jharkhand,
Chhattisgarh and Karnataka. Due to strong demand from the domestic sponge iron industry
for sized lumps and from China for iron ore fines, iron ore production in Orissa grew
unfettered and more than doubled over FY04-FY08. In other states, the growth in iron ore
production during the same period was less than 50%.
Orissa has been the main source for sponge iron grade lump ore
FY04
Goa
Lumps
Karnataka
Lumps
Orissa
Lumps
Jharkhand
Lumps
Chattisgarh
Lumps
Total
m tons
(%)
m tons
(%)
m tons
(%)
m tons
(%)
m tons
(%)
m tons
20.3
19
31.6
28
31.3
59
14.7
44
23.3
46
122.8
FY05
22.3
19
37.2
32
40.6
55
16.1
45
23.1
45
145.9
FY06
24.0
20
39.8
35
52.5
55
18.0
39
26.1
46
165.2
FY07
28.7
23
40.7
46
64.2
60
18.6
48
28.7
45
187.7
FY08
29.3
20
45.6
42
68.5
58
20.9
44
30.7
Share (%)
14
22
33
10
15
41
206.5
Source: IBM (FY06-FY08)
During our recent field
visits, however, we
discovered that the average
percentage of lump in iron
ore production is declining
During our visits to iron ore mines in the Barbil region over the last 9-12 months, we were
given to understand that the average percentage of lump in iron ore production is declining
though this is yet to be reflected in data. New mining licenses are not coming through due
to regulatory and governance issues and older mines are getting deeper. Increased focus
of government agencies on enforcing mining and transportation permits has crippled
production growth in the last two years.
March 2011
15

Metals | New Order
Mines in Barbil are getting deeper thereby generating more fines
Source: MOSL
Realizing the shortage of
lumps, Indian steel
companies are setting up
pellet plants
…resulting in greater investments in pelletization
Realizing the shortage of lumps, JSPL has already set up pellet plants to utilize blue dust
and iron ore fines. Tata Steel too is setting up a pellet plant due to deepening of mines and
higher generation of blue dust.
Many others like Arya, MSP, Godawari, Sarda Energy, etc have already set up plants due
to rising shortage of sponge iron grade iron ore.
Regulation, increasing logistics cost impacting exports
Iron ore exports rose sharply at a CAGR of 21% over FY00-FY05 due to strong Chinese
demand and unfettered production growth. Exports continued to grow over FY05-FY10,
albeit at a slower CAGR of 7%. Iron ore exports are likely to decline in FY11 and thereafter
due to ban on export of iron ore from Karnataka and crackdown on illegal mining across
the country, which is also adversely impacting legitimate miners. Exports have also been
hit by periodic increases in export duties and hikes in rail freight for iron ore meant for
exports.
Domestic consumption (m tons)
Iron ore exports from India
are likely to decline in FY11
and thereafter
Iron ore exports (m tons)
7% CAGR
100
21% CAGR
68
55
33
41
58
85
84
91
106
117
90
88
113 110 109
29%
48
25
53
55
97
81
120
127
42
38
Source:MOSL
Export duties
The Indian iron ore industry enjoyed low freight, low royalty and zero export duty until
2006. In the union budget 2007, the central government imposed export duty of Rs300/ton
in an unprecedented move, to which the iron ore lobby protested. The government yielded
March 2011
16

Metals | New Order
under pressure and reduced the duty to Rs50/ton on low grade ore largely benefiting
mines in Goa.
Again in June 2008, when commodity price inflation started hurting, the government forced
the domestic steel industry to cap prices and, in return, agreed to raise export duty on iron
ore to a uniform 15% so that the cost of iron ore to steel producers could be controlled.
This did not last long, as financial crisis crippled the world economy and iron ore exports in
the latter part of 2008, forcing the government to cut export duty to nil on fines and 5% on
lumps by the end of 2008.
As iron ore prices and exports picked up again in 2009, export duty was raised once again
to 5% on fines and 15% on lumps. The export duties have been raised further to a uniform
20% in the budget for 2011-12.
Export duty changes
Fines
<62% Fe
Mar-11
Jan-10
Dec-09
Dec-08
Nov-08
Oct-08
Jun-08
May-07
Mar-07
Until Feb-07
20%
5%
5%
0%
8%
Rs200/t
15%
Rs50/t
Rs300/t
-nil-
Fines
>62% Fe
20%
5%
5%
0%
8%
Rs200/t
15%
Rs300/t
Rs300/t
-nil-
Lumps
(%)
20
15
10
5
15
15
15
Rs300/t
Rs300/t
-nil-
Source: MOSL
Iron ore royalty - ad-valorem 10%
The royalty on iron ore mining was a pittance due to very low iron ore prices about a
decade ago and remain unchanged until August 2009.
Royalty on iron ore production before September 2009 was a pittance
Fe %
Lumps
Iron ore
>65%
62-65%
<62
27
16
11
Royalty (Rs/ton)
Fines
19
11
8
Source: MOSL
Increase in royalty on iron
ore mining, though justified,
has raised the cost of mining
On the recommendation of the Hooda Committee, the royalty has been changed to 10%
ad-valorem on ex-mine realization since September 2009. Though justified, this has resulted
in high payout, leading to higher cost of mining. The Ministry of Mines has started publishing
ex-mine prices for iron ore according to geography, which is used for calculating ad-
valorem royalty.
Average price of 62-65% grade iron ore lumps (Rs/ton)
Feb-10 Mar-10 Apr-10 May-10 Jun-10
Chhattisgarh
Goa
Jharkhand
Karnataka
Orissa
All India avg
1,949
1,755
1,182
1,210
2,160
1,760
2,239
-
1,126
1,215
2,244
1,861
3,086
2,683
1,879
1,276
3,117
2,643
3,040
3,666
1,793
1,662
3,175
2,620
3,063
-
1,529
1,778
3,063
2,880
Jul-10 Aug-10 Sep-10 Oct-10 Nov-10
3,433
-
1,761
2,062
2,340
2,228
3,120
-
1,913
1,643
2,369
2,049
3,242
-
1,794
2,269
2,947
2,657
3,302
3,033
3,416
3,416
1,848
1,616
2,445
2,425
3,339
3,317
3,026
3,072
Source: IBM
March 2011
17

Metals | New Order
Inadequate rail capacity,
frequent freight revisions
adversely impact iron
ore exports
Rail freight
In India, rail freights for goods subsidize passenger traffic freights, leading to higher
transportation cost as compared with the global standards. Besides, Indian Railways follows
a dual freight pricing policy for iron ore. The freight on cargo meant for exports is higher
than on cargo meant for domestic consumption. In the last four years, rail freights on iron
ore exports have been changed 14 times. In 2010 alone, the freights were changed five
times. The iron ore industry has to face further challenges in sourcing rakes. Significant
quantities of iron ore are transported through road, as low axle load and shortage of rakes
results in inadequate rail capacity.
Rail freight for iron ore exports increased 3x over last two years (Rs/ton)
2,600
Class 160
2,100
1,600
1,100
600
100
Class 200X
Class 180
Source: Indian Railway/MOSL
Rail freight for iron ore meant for exports has changed frequently
S.N.
1
2
3
4
5
6
7
8
9
Date
11-May-05
1-Apr-07
1-Aug-07
1-Oct-07
1-Dec-07
22-May-08
1-Dec-08
30-Jan-09
1-Jun-09
Freight
513
646
706
780
903
1,564
1,193
1,293
884
26
9
10
16
73
-24
8
-32
% Chg.
Class
160
160
160
160
160
200X
200X
200X
180
Busy season surcharge 6 % and port congestion
charge 21%: total 27% introduced
Terminal charges increased from Rs10 to Rs40
Busy season surcharge raised to 7 % and port
congestion charge raised to 35%
Port congestion charge raised to 60%: total 67%
New Freight class 200X introduced+ Congestion
charge abolished
Discounts (25% for distances 401-500kms; 40% for
501-700;50% for 701-1100) introduced
Discount reduced by Rs100/ton
Discounts withdrawn; Freight class cut to 180;
distance surcharge 90%(201-300kms),
75% (301-400), 45%(401-500); 25%(501-600);
10% (601-700) introduced
10
11
12
13
14
15
16
17
1-Jul-09
15-Mar-10
1-Apr-10
1-May-10
1-Jun-10
27-Dec-10
28-Jan-11
4-Mar-11
1,084
1,384
1,484
1,584
1,884
1,916
2,416
2,516
23
28
7
7
19
2
26
4
180
180
180
180
180
180
180
180
Distance based surcharge + Rs200
Distance based surcharge + Rs500
Distance based surcharge + Rs600
Distance
Distance
Distance
Distance
Distance
based
based
based
based
based
surcharge + Rs700
surcharge + Rs1,000
surcharge + Rs1,000
surcharge + Rs1,500
surchage + Rs1,600
Source: Indian Railway/MOSL
Remarks
March 2011
18

Metals | New Order
Though Orissa iron ore
fetches the highest prices in
the spot market, the residual
realization to mining
companies at the pithead is
very low
Logistics and taxes take away ~72% of iron ore export realization for Orissa
mines
Of the four mining regions in India, three are located 400-600km from the ports. Barbil
(Orissa and Jharkhand) is the farthest - about 500km from the port, leading to high logistics
cost. Though Orissa iron ore fetches the highest prices in the spot market, the residual
realization to mining companies at the pithead is very low. On an average, ~72% of the
iron ore price is eaten by logistics cost, royalty, export tax and income tax. At lower iron
ore prices, this percentage goes up to 90-95%, making exports unviable from mines like
Barbil in Orissa/Jharkhand and Bailadila in Chhattisgarh. When iron ore prices go below
US$80/ton, the government is forced to lower railway freight and export duties, as exports
from the Indian hinterland become unviable.
Proximity to ports enables Goa mines to remain profitable across cycles
On the other hand, despite inferior grade ore and lower realizations, iron ore mines in Goa
have remained profitable through business cycles, due to proximity to ports. Margins per
ton for mines in Goa have been higher than Orissa mines though realizations are higher for
Orissa mines on account of superior grade as evident from the 4-year trends for both
regions (see exhibits below).
Margins per ton for mines in
Goa have been higher than
Orissa mines
Orissa mines: Margins vulnerable to logistics pricing
Ex-mine Margin
Export duty
200
150
100
50
0
Royalty
Sea freight
Road
Moisture adjustment
Rail
Income tax
Port charges
Exports (RHS)
14
9
4
-1
-6
Goa mines: Evergreen profitability despite lower grade
Ex-mine Margin
Export duty
200
150
100
50
0
Income tax
Sea freight
Royalty
Moisture adjustment
Road
Grade adjust.
Port charges
Exports (RHS)
14
9
4
-1
-6
Source: MOSL
March 2011
19

Metals | New Order
NMDC is unwilling to renew
contracts with Japanese
mills, as margins on exports
have shrunk
Domestic market more profitable for mines in Barbil and Bailadila
NMDC exports 3m-4m tons of iron ore to Japanese mills through long-term arrangements.
The contract period is now getting exhausted. Since NMDC is earning lower margins on
exports due to export duty and exorbitantly high rail fares for exports, it is not willing to
renew the contracts. Frequent disruptions due to naxalite activities and strong domestic
demand are other reasons for mines in Barbil and Bailadila to avoid exports.
Draft MMDRA proposes a further 26% profit share from heavily taxed industry
The draft Mines and Minerals Development and Regulation Act (MMDRA) has been passed with consensus
by the Group of Ministers (GoM) headed by Finance Minister, Mr Pranab Mukherjee. The industry has
reacted negatively and the Cabinet has yet to take view though initial reactions have been negative. The
draft MMDRA proposes sharing of 26% profit from mining activities.
Other highlights of the draft MMDRA
New mine allotments will be based on a transparent competitive bidding system. The state government
will seek conditional environment, forest clearance and permissions from locals in advance. The
offers will be evaluated based on pre-decided numerical weights attached to key criteria like
technical knowhow, value addition, end use, long-term supply agreement with domestic industry,
existing mining companies whose resources are exhausting in the near future and financial bid.
There will be Mining Tribunals with judiciary power at the national and state levels for resolving
mining related disputes.
The central government will collect cess for national mineral funds for the purpose of R&D,
awareness, and development of the sector.
The state governments too will be allowed to collect cess (to a maximum of 10% of royalties) for
state mineral funds.
As in manufacturing, excise/export tax will be imposed on mine production.
Mining lease will be transferable subject to qualification of buyer and state government will charge
a fee.
May simplify allotment of new leases subject to state government's proactiveness
The new MMDRA has been drafted with focus on driving growth in mining activities and simplifying
procedures. Profit sharing, excise, royalty, central and state cess will bring down the returns from
mining projects. However, a more transparent and time-based mechanism, along with permission
from locals, environment and forest clearances, may expedite mine production.
Profit from mining activities will be calculated on run of the mine (RoM) ore and will be allowed as
expenditure in subsequent year. This will bring down the final impact on PAT to 18-21%, depending
upon applicable tax rate. The impact will be diluted further in case of companies involved in high level
of value addition. However, the specific details on calculating profit (after tax) are still not laid out.
Though a numerical weight-based multiple has been proposed for allotment of new mining leases,
the size of weight has been left to the state governments' discretion.
Though excise on mine production has been proposed, there is no clarity on whether this will be
"CENVATable".
Share of profit will be subjected to a minimum amount equal to royalty in case there are not enough
profits in a particular year. It is not clear if carry forward losses will be allowed.
Some companies have been spending significant amounts on CSR activities. It is not clear if this will
be allowed as a deduction against the proposed 26% profit share.
March 2011
20

Metals | New Order
Global iron ore prices to peak in 2011, with least supply
growth
Iron ore sales realizations (on fob basis) are touching new highs though spot prices (on
C&F basis) delivered to China are yet to cross the all-time high of US$205/ton for 63.5% Fe
achieved in 2008. The iron ore market, which headed into oversupply in 2HCY08 due to
scheduled commissioning of a number projects that were to bring ~300mtpa of new capacity
over 2008-2010, has become tight once again. This is because several projects got shelved
during the financial crisis and only 180mtpa of new supplies came to the market during the
period. We expect iron ore supply to remain tight in 2011 and prices could surpass the
previous high of 2008.
Though Chinese iron ore
imports registered a small
decline in 2010…
Chinese iron ore imports declined 1.4% in 2010 after 41% growth in 2009
China took the benefit of low global iron ore prices and its imports grew 41% in 2009,
driven by fiscal stimulus-led demand growth and shutdown of its local mines. The scenario
has started changing in the last 12-15 months. As iron ore prices crossed US$100/ton
towards the end of 2009, a number of high cost mines became operational in China.
Though Chinese iron ore imports continued to grow in the first 3-4 months of 2010, they
tapered off later in the year due to lower crude steel production and rising local iron ore
production. Chinese iron ore imports registered a small decline of 1.4% in 2010 to 619m
tons.
Spot price in China (US$/ton)
Fob change (RHS)
100
65
30
-5
-40
210
165
120
75
30
CIF
FOB
Contract price for Brazil ore
FOB
180
135
90
45
0
Freight
Source: Bloomberg/MOSL
Pig iron production
China
RoW
+8%
YoY
700
525
350
+24%
YoY
RoW
175
0
CAGR (1995-07) =1% in RoW
CAGR (1995-07) =14% in China
Source: MOSL
March 2011
21

Metals | New Order
…the global seaborne trade
grew 11-12%
Though Chinese iron ore imports declined in 2010, the global seaborne trade still grew by
11-12% to 1,003m tons, as pig iron production in the rest of the world recovered by 24%.
Expect tight global supply in 2011; prices to touch new highs
We expect iron ore supply to remain tight in 2011 because demand will grow across the
world. Steel production will still grow in China albeit at slower rate, and the rest of the
world (RoW) is yet to recover from the financial crisis. On the supply side, the Big-3
mining companies will bring an additional 20m tons and junior miners will bring an additional
42m tons (~28m tons from Australia and ~10m tons from Brazil) during 2011. Supplies
from India will shrink by 6-7m tons. Iron ore prices have already soared and are very
close to the previous highs of 2008. We believe that there is very high probability that
prices will go well beyond the highs of 2008.
Higher prices leading to re-opening of closed mines; encouraging new
capacities
Higher iron ore prices have led to re-opening of closed mines, which brought ~106m tons
(~88m tons from the Big-3 miners and ~9m tons from FMG) of additional supplies in 2010.
Also, a number of projects have been announced, which will bring ~730mtpa of new
capacity to the market over the next five years. This will require ~US$60b of investment.
Interestingly, most of these projects are already funded and majority of the projects have
the requisite statutory clearances.
Chinese steel mills have been aggressively buying equity in projects across the world.
China, which now has equity investments in overseas mines of 50-60mtpa capacity, will
have 300mtpa in 4-5 years at an investment of US$20b-25b. Many projects with low
grade ore have received funding e.g. Citic Pacific has committed US$2.6b in 28mtpa
magnetite iron ore project in Pilbara. This project had got delayed due to the financial
crisis, but is now slated to come on stream by the end of 2011. FMG has committed
US$8.8b to expand capacity from 50mtpa currently to 155mtpa by 2015. Similarly, many
projects in Brazil and Canada, which will produce sinter and pellet feed, have got funding
from Chinese, Japanese and Indian investors. Since these projects are funded by steel
producers, the risks to these projects are minimal.
We expect iron ore supply to
remain tight in 2011 because
demand will grow across
the world
Higher iron ore prices have
led to re-opening of closed
mines, which brought
~106m tons of additional
supplies in 2010
A number of projects have
been announced, which
will bring ~730mtpa of
new capacity over the
next five years
Global iron ore exports (m tons)
2004
Vale
Rio Tinto
BHP-Billiton
FMG
India Exports
South Africa
Others
Total
Change (yoy)
231
128
99
63
25
99
646
80
2005
255
148
114
81
27
92
717
71
2006
276
152
114
89
26
106
763
46
2007
310
179
122
94
30
88
823
60
2008
310
193
127
13
106
33
107
889
66
2009
247
218
128
33
115
45
111
897
8
2010
303
239
138
42
94
41
146
1,003
106
2011E
311
244
145
50
87
44
180
1,061
58
2012E
316
249
180
55
81
48
247
1,176
115
2013E
356
254
205
75
74
51
295
1,310
133
2014E
380
302
223
120
66
54
368
1,512
2015E
462
307
240
155
55
55
459
1,733
202
221
Source: MOSL
March 2011
22

Metals | New Order
We expect the iron ore
market to move into
oversupply in 2-3 years
Supply to ease, with new capacities of 730mtpa over five years
We expect the Iron ore market to move into oversupply in 2-3 years, as nearly 730mtpa of
new supply is expected to hit the seaborne market over five years. Overinvestment in bulk
shipping capacities by shipping companies, by Chinese steel mills, and by the largest iron
ore exporter, Vale, in super capsize vessels, which can carry 300k-400k tons of ore, will
keep freights low. Hence, far-off mines in Canada, Brazil, Chile and Peru will be viable,
even if iron ore prices soften. We have analyzed most of the project announcements over
the last few years to understand the expected supplies. Brazil will be the biggest contributor,
accounting for nearly 61% of the new supplies.
Big-4 companies will add 442m tons
The Big-3 players are expected to bring 329m tons of new supplies over five years. Vale
will contribute nearly half of that, while BHP-Billiton and Rio Tinto will bring 102m tons
and 68m tons, respectively. FMG will raise capacity to 155mtpa by the end of 2014,
bringing new supplies of 113m tons over five years - the most aggressive growth after
Vale. Bulk of the 442m tons of new supplies i.e. 61% of 730m tons will still remain
consolidated among four players. However, the combines share of the Big-4 will slip from
72% in 2010 to 67%.
Junior mining companies will add 313m tons
Junior mining companies will bring nearly 313m tons of supplies over five years. Brazil
will lead, with new supplies of 164m tons. As a country, Brazil's total supplies will increase
by 323m tons, i.e. 44% of new global supplies of 730m tons.
Brazil
CSN owns 100% of Casa de Pedra and 60% of Namisha. CSN is investing BRL11.6b
in mining projects. Projects include the expansion of Casa de Pedra to 50mtpa from
21mtpa and the expansion of Namisa (which is 40% controlled by a consortium of
six Japanese companies and one South Korean company) to 39mtpa from 6.8mtpa.
Expansion of Casa de Pedra to 40mtpa was concluded in June/July 2010.
CSN exported 32m tons of iron ore in 2010, less than 37m tons previously forecast
because of heavy rains that hit Rio de Janeiro in March-April, 2010. CSN expects to
gradually increase its stake in the seaborne iron ore market until becoming the
fourth-largest global supplier in 2015 with 84mtpa. Handling capability at the Itaguaí
port will be increased to 84mtpa of iron ore products from 30mtpa as part of the
mining budget. The port's capacity has reached 45mtpa in October 2010.
Mineração Usiminas (JV with Sumitomoto that paid US$1.26b for 30% stake) approved
a BRL550m (US$303m) investment to increase capacity to 12mtpa iron ore in the
second half of 2012, up from 7mtpa iron ore. By 2015, Mineração Usiminas plans to
reach 29mtpa capacity through estimated investments of BRL4.1b. By 2015, iron
ore capacity of 7mtpa will feed Usiminas' Cubatão steel works in São Paulo, while
around 22mtpa of iron ore will be sold to third parties. Of this, 12mtpa will be exported
through Sudeste Port. Porto Sudeste will be operational by the end of 2011 and will
have a total iron ore shipping capacity of 50mtpa. Usiminas will then need to export
up to 10mtpa of iron ore from 2015 onwards: either by building a port with a similar
capacity to Sepetiba, or by increasing iron ore shipments through Sudeste Port and
other facilities in South East Brazil.
MMX will increase installed capacity in Serra Azul to 33.7mtpa by 2015, up from
8.7mtpa currently at an investment of US$2.92b i.e. US$79/tpa. MMX is also investing
March 2011
23

Metals | New Order
New supplies from junior miners in Brazil
Sr.
No.
1
2
3
4
5
6
7
8
Casa de pedra
& Nimisha
Serra Azul
Minas Rio
Sul Americana
de Metais (SAM)
Mineração Usiminas
BMBV
Ferrous Resources
Greystone
CSN
MMX
Anglo
Honbridge
Usiminas
ENRC
Ferrous
Resources
ENRC
Hamatite
32
9
Pellet feed
Pellet feed
Hamatite
Pellet feed
Pellet feed
Pellet feed
31.8% Fe
Sub
41
51
64
86
124
204
164
57
Source:Metal Bulletin/MOSL
2
32% Fe
4
40
9
50
10
60
11
13
70
12
27
25
16
13
84
34
27
25
22
13
Project
Operator
Type
Grade
2010
2011
2012
2013
2014
2015
Incr.
52
25
2016
2010-15 onwards
8
7
22
13
7
50
US$300m in Chile to set up infrastructure for exporting 10mtpa iron ore from its
under-development mines 80km away in Copiapo. It will be ready by June 2013.
Hong Kong-based Honbridge Holdings acquired 100% stake in Brazil's Sul Americana
de Metais (SAM), which will produce up to 25mtpa of pellet feed in the Minas Gerais
state at an estimated investment of US$3b. SAM's Salinas is under drilling stage
currently and reserves are estimated at 2.8b tons. Salinas is expected to come on
stream by March 2014. Pellet feed production is expected to be transported through
a slurry pipeline that Sul Americana de Metais plans to build in Brazil. The pipeline
will link the mine in Minas Gerais to a port on the coast of Bahia state.
Anglo American will start civil building work in March 2011 on a beneficiation plant, a
tailings dam and a mine that will comprise its 26.5mtpa Minas-Rio pellet feed iron
ore project in Brazil. The announcement follows receipt of the second part of the
mine installation license granted on 9 December 2010 by Supram, the Minas Gerais
state agency responsible for environmental licensing. It should take 27-30 months to
construct and commission the mine and plant, complete the project, and deliver the
first ore on ship. This means commercial production at Minas-Rio will start between
the third and fourth quarters of 2013.
Several key approvals remain outstanding and these are on the critical path of the
project, which will impact the time and cost to complete. Output will be transported
through a 525km slurry pipeline to the Açu Superport, which is being built by LLX
Logística on the northern coast of Rio de Janeiro state. The port will be operational
in the first half of 2012 and will have capacity to handle 60mtpa of iron ore, 10.3mtpa
of steel products, 12.6mtpa of coal, and 2mtpa of pig iron, among other products.
Ferrous Resources is moving ahead with a project to produce 50mtpa of iron ore
(pellet feed) in Brazil, although it now estimates full capacity will be reached by the
end of 2017, nearly two years after the previous forecast of early 2016. A 400km
slurry pipeline will be constructed to link the mine to a private port to be built in
Presidente Kennedy city, in Espírito Santo state.
ENRC controlled BMBV's (Bahia) iron ore project has a JORC-compliant resource
base of 1.8b tons at 32% Fe content. Greystone has a JORC-compliant iron ore
resource base of 147m tons at 31.8% Fe, and an additional potential resource of
187.5m tons. Production is expected to start with initial capacity of 11mtpa in 2013,
which will be ramped up to 19.5mtpa. This would consist of 13.5mtpa of blast furnace
pellet feed fines and 6mtpa of direct reduction pellet feed fines up to 67% and 68.5%
Fe content. ENRC paid US$1b for the Bahia project, while Greystone will cost further
US$150m.
24
March 2011

Metals | New Order
Australia
Citi Pacific has undertaken the Sino Iron Project in Pilbara region to produce 28mpta
at a capital cost of US$2.6b. The production of magnetite ore will begin in 2HCY11.
Sino Iron is the largest magnetite ore project in Australia and has the potential to
expand further to 70mtpa. The reserves are 2b tons with an option on another 4b
tons.
Both Western Desert and Sherwin Iron hope to start shipping ore in 2012. Prospective
iron ore miners Sherwin Iron and Western Desert Resources have established a JV
to develop a common-user export facility in the Gulf of Carpentaria, Australia.
Atlas Iron has entered infrastructure discussions with BHP Billiton barely three weeks
after the junior iron ore producer hit an annualized export rate of 6mtpa ahead of
schedule. Iron ore miner Atlas Iron is set to expand through the acquisition of fellow
Australian miner Giralia Resources for AU$828m. Atlas is currently exporting DSO
from its Pardoo and Wodgina projects at a combined rate of around 6mtpa. Giralia
has a DSO resource of 397.5mtpa at 56.1% Fe content iron ore, according to its
website.
Murchison and Japan's Mitsubishi own 50:50 in Crosslands Resources, which
operates the 2mtpa Jack Hills iron ore mine in Geraldton, and is progressing an
expansion to 25-35mtpa. First shipment is now scheduled for late 2014 or early
2015.
Moly Mines Limited has shipped the first 54,500 tons of iron ore from its Spinifex
Ridge iron ore project in Western Australia to China. The project's expected annual
production rate is 800k-1m tons of iron ore from deposits located in the same area
as its Spinifex Ridge molybdenum project, which has yet to begin production.
The Mt Jackson J1 deposit project is expected to help Cliffs' increase production at
Koolyanobbing from 8.5mtpa to 11mtpa, or by 29.4%.
Brockman Resources and Fortescue Metals Group are in negotiations regarding an
agreement for rail haulage, port access and marketing service for its Marillana iron
ore project in Western Australia. The Marillana project could produce 17mtpa (dry)
once fully operational, shipping its first ore in early 2014.
Junior miner IMX Resources loaded its first shipment of iron-copper ore in Port Adelaide
from the Cairn Hill mine in December 2010. At full production, Cairn Hill will be
shipping ore at a rate of around two vessels per month, equivalent to 1.7mtpa.
Western Australian iron ore juniors Gindalbie Metals and Sinosteel Midwest
Corporation will share infrastructure and services to cut costs at neighboring mines
in the Mid West region, the two companies said. Both projects are still being
developed. Sinosteel's 1.5mtpa Koolanooka-Blue Hills is expected to start operations
this month, while 12mtpa Karara, which Gindalbie is developing in a joint venture
with China's Anshan Steel, is due to come on stream in 2011.
Australian iron ore exploration company Batavia Mining Limited said that the Roper
River deposit, in northern Australia, will start production at 5mtpa of direct shipping
iron ore (DSO) by 2012. In the next 5-7 years, the company expects to boost production
to 25mtpa and to build infrastructure to export material from Maria Island, close to
the mine. An extensive historical database supports an exploration target of 400m-
500m tons grading above 40% Fe content, according to Batavia. The mine is 300km
away from Darwin port and 80km away from the railway which will carry the ore to the
port at Darwin.
Western Australia could build a deepwater iron ore port to handle 350mtpa of iron ore
exports from the Pilbara, the state government said. The Anketell port, 10km from
Cape Lambert, would complement the other two major iron ore ports of the area: Port
March 2011
25

Metals | New Order
New supplies from junior miners in Australia
Sr. Project
No.
1
2
3
4
5
6
7
8
9
10
11
12
13
14
Sino Iron
Marillana
Karara
Operator
Citic pacific
Brockman
Gindalbie
Metals
8.5
6
40% Fe
62.5% Fe
2
2
2
2
1.7
1.5
0.8
DSO
56.10%
60% Fe
Sub
17
37
71
73
90
90
74
72
Source:Metal Bulletin/MOSL
Type
Magnetite
12
8.5
6
Grade
2010
2011
2012
28
12
8.5
6
5
3
2
2
1.7
1.5
1
2013
28
12
11
6
5
3
2
2
1.7
1.5
1
2014
28
17
12
11
6
5
3
2
2
1.7
1.5
1
2015
28
17
12
11
6
5
3
2
2
1.7
1.5
1
2
1.7
1.5
1
Incr.
2016
2010-15 onwards
28
17
12
2.5
5
3
30
42
Koolyanobbing
Cliff
Pardoo and Wodgina Atlas iron
DSO
Roper River
Batavia Mining
Peculiar Knob
Jack Hill
Western Plains
Resources
Crossland resource
Wilcherry Hill
Iron clad
Cairn hill
IMX resources
Koolanooka-Blue Hills Sino Steel
Spinifex Ridge
Giralia
Mt. Jackson J1
Moly Mines
Atlas iron
Cliff
Hedland and Dampier ports. Three major iron ore projects are in the vicinity of Anketell
and are potential investors in the port: Api Management for its 30-40mtpa project in
West Pilbara; Fortescue Metals Group for its 30-50mtpa Solomon project; and China
Metallurgical Group Corp for its 15mtpa Cape Lambert project, the government said.
"The government will work with these companies, or an infrastructure provider to
develop the project, with plans to commence operation by 2015," Barnett said in a
statement.
Perth-based iron ore junior Iron Clad Mining has signed a sales and marketing
agreement with Singapore trader OM Materials (OMS) for its total production at
Wilcherry Hill until 2013. Under the agreement, OM Materials will buy 2mtpa of
crystalline magnetite ore from Iron Clad's South Australian project, which will start
production in the first quarter of 2011.
Australia's Western Plains Resources has agreed to sell 9m tons of iron ore fines to
mainly China from 2011, said Chairman Bob Duffin. The miner has signed a
memorandum of understanding to sell output from its Peculiar Knob project in South
Australia, which is set for commissioning in the second half of 2011 at an initial 2-
3mtpa. The material has a Fe grade higher than 62.5% and the impurities of
phosphorous and alumina are low. The haematite mine is situated near Coober Pedy,
770km northwest of Adelaide.
Canada
Consolidated Thompson operates the high grade (66% Fe) Bloom Lake Mine, which
recently ramped up to 8mtpa production and turned its first profit. Production will
double to 16mtpa by end of 2014 at a capex of US$500m. The output is already tied
up in offtake agreement with Wuhan (WISCO). Cliff has signed US$4.94b all cash
deal to acquire 100% of Consolidated Thompson. It controls 580m tons of proven
and probable reserves and has more than 1b tons of indicated resources.
Adriana (19.9% stake sale to Wuhan Steel) sold 60% stake in Lac Otelnuk and
December Lake iron ore projects for US$121m to Wuhan Steel. The Lac Otelnuk
project has an estimated 4.29b tons indicated and 1.97b tons of inferred iron ore at
29% Fe (19 January 2011).
March 2011
26

Metals | New Order
Baffinland's original plan was to develop an 18mtpa open-pit mine producing lump
and fines grading around 65% Fe iron ore starting production around 2015. ArcelorMittal
could spend upwards of US$4b over 4-5 years bringing Baffinland Iron Mines' Mary
River project on stream, according to industry estimates. The project, which lies
within the Arctic circle, will be relatively difficult to develop.
The bulk of capex will be on infrastructure, including rail and a port to ship iron ore.
The real challenge for the project has been to find a logistics solution to shipping
from a predominantly icebound-port, at a reasonable cost. This will involve a fleet of
vessels with ice breaking capabilities, Baffinland's development proposal outlines,
which will be another significant expense. (10 November 2010)
Arcelor-Mittal expects to increase its iron ore production by nearly 45% over the
next five years. The company is targeting iron ore output as high as 100m tons by
2015. The expansion will cost the company about US$4b over the next five years.
(19 November 2010).
Toronto-based Advanced Explorations Inc (AEI) has entered an agreement to partner
with Xinxing Ductile Iron Pipes Company Limited, a subsidiary of Xinxing Pipes Group
Company Limited, and its affiliate China Huaxin International Trade Company Limited
to develop the Roche Bay Plc iron ore project in Nunavut, northeastern Canada. The
project is located near a deepwater harbor on the Melville Peninsula and has an
inferred resource of 357m tons. It intended to build an iron ore nugget plant using the
ITmk3 process from Japan's Kobe Steel Limited to produce higher-grade pig iron
nuggets. This is the same technology being used by Steel Dynamics Inc (SDI), Fort
Wayne, at its Mesabi Nugget plant in Minnesota. A preliminary study suggests that
the project is worth US$2.76b and is expected to have a 50-year mine life.
Labrador Iron Mines Holdings is looking to sell production from its Schefferville Iron
Ore project to European and Chinese markets. The miner, which has a project with
20 direct shipping ore [DSO] deposits stretching over 120km in Labrador and Quebec,
Canada, is hoping to ship 2m tons of iron ore products from 2011, ramping up to
6mtpa eventually. Production consists of 20-25% lump ore and 75-80% sinter fines.
The company, which is 41% owned by UK-based Anglesey Mining, has resources of
150m tons of iron ore and will produce 66-67% hematite DSO products. Ore will be
transported to a nearby rail line and moved 565 km to the Sept-Iles port, where
vessels of up to 140,000dwt will be filled.
New supplies from junior miners in Canada
Sr. Project
No.
1
2
3
4
5
6
Mary River
Schefferville
DSO
Bloom lake Mine
Lac Otelnuk
Operator
Baffinland
(Arcelor-Mittal)
Labrador Iron Hamatite
Mines Holdings
New Millenium
Capital
Consolidated
Thompson
66% DSO
2
3
4
66% Fe
8
9
10
4
4
12
5
4
16
6
4
6
4
-8
Type
Grade
2010
2011
2012
2013
2014
2015
18
Incr.
2016
2010-15 onwards
18
Adriana
29% Fe
(19.9% WISCO)
Roche Bay, Nunavut Advance
A preliminary study suggests that the project is worth $2.76 billion, which is expected to
Exploration
have a 50-year mine life
Sub
8
11
17
20
25
28
20
Source:Metal Bulletin/MOSL
March 2011
27

Metals | New Order
New Millennium Capital Corp's 4mtpa direct shipping iron ore (DSO) project in Canada,
which straddles the provinces of Newfoundland and Labrador, and Quebec, is expected
to start production in 2012, with all output going to Tata Steel.
USA
Nearly 75% of iron ore consumed in the United States and parts of Canada originates
from the Mesabi range. Minnesota is situated to serve the Chicago and Lake Erie
markets. The state has been averaging 40m tons annually except in 2009, when
production fell to a mere 19m tons. In 2002, eight companies held ownership in
mines, with the two largest companies holding 50% of the assets. By 2009, three
owners - two steel producers and an iron ore supplier - held nearly 80% stake in the
mines. US Steel Corp, Pittsburgh, holds 22.8m tons of capacity in four mines and
could increase its output to 26.4m tons, with 95% of its domestic needs sourced
from Minnesota. ArcelorMittal USA, Chicago, has 17.2m tons of capacity in three
mines, which supply nearly half of its domestic needs. Cliffs Natural Resources Inc,
Cleveland, has 30.7m tons of capacity, or about 42% of its supply. Pellet demand at
seven other blast furnaces in the United States and one in Canada total another
17.2m tons of iron units each year.
In addition to a half-dozen projects recently completing environmental reviews and
receiving necessary permits, another half-dozen projects are in the review process,
including the expansion of permitted output at Essar Steel Minnesota LLC, US Steel's
Keetac expansion and Steel Dynamics Inc's second phase of Mesabi Nugget LLC.
Another six projects are expected to apply for permits in the near future, including a
potential expansion of US Steel's east pit and ArcelorMittal's central pit.
Afrcia
The first phase of ArcelorMittal's project in Liberia is under construction, with direct
shipping ore production expected in the second half of 2011. The steelmaker is
hoping to produce around 1mtpa of iron ore once the project starts up. This will ramp
up to 15mtpa when in full production, according to its second quarter 2010 results.
Bellzone Mining has sealed a US$2.7b deal with China International Fund Limited
(CIF) to fund infrastructure to service the proposed Kalia iron ore project in Guinea
depending upon market conditions. The Kalia project has a maiden 2.4b tons inferred
JORC magnetite deposit. Once fully developed, Kalia will produce 50mtpa iron ore.
The studies will be complete by June 2011, after which building work will begin.
Bellzone and CIF are also partnering to develop Forecariah Iron Permits, which has
the potential to provide early production and cash flow.
Rio Tinto reported 2.25b tons of iron ore resources at the Simandou project in 2008,
and it plans to develop its first phase production of 70mtpa, potentially rising to
170mtpa. Chalco will invest US$1.35b to join Rio Tinto in developing the giant Simandou
iron ore resource in Guinea, extending China's push for access to overseas raw
materials. Chalco will take 47% share of a JV which controls 95% of the Simandou
project. Rio Tinto will retain a 53% stake in the JV. Political situation is ominous to
the project.
Shandong Iron & Steel Group has agreed to buy 25% stake in the Tonkolili project in
Sierra Leone to secure 10mtpa of iron ore supplies from the end of 2011. China's fifth-
biggest steelmaker will pay African Minerals US$1.5b for the stake, in exchange for
an offtake agreement based on discounted iron ore prices, African Minerals said in a
statement.
March 2011
28

Metals | New Order
Other countries
Peru:
Shougang Hierro Perú expects to complete its 10mtpa iron ore expansion in
2012 at a capex of US$1b. According to Peru's mining ministry, iron ore output
between January and October 2010 reached 5m ton, up 40% from the 3.56m tons
recorded in the corresponding period of 2009.
Chile:
CAP, which is able to produce 11mtpa currently, was recently granted approval
for a new Greenfield iron ore project and to expand one of its existing facilities.
Developing the Serro Negro Norte Greenfield mine and expanding CAP's Los
Colorados facility will come at a cost of US$916.5m and will boost the company's
output to 18mtpa in the first quarter of 2013.
Scandinavian Resources' subsidiary Kiruna Iron has acquired the Rakkuri project
in northern Sweden from Anglo American Exploration and Rio Tinto. The project is
located less than 3km from LKAB's Kirunavaara iron mine. The company hopes to
establish a 500m tons iron ore resource within the medium term. Rakkuri is within
30km from Kiruna and an open access railway that leads to the port of Narvik,
Norway.
China will boost its equity iron ore imports to 300mtpa, up from 50-60mtpa," said
Jiao at the 12th China Mining Congress in the port city of Tianjin.
Northland Resources has agreed to supply Tata Steel with 6m tons of iron ore
concentrate from its Kaunisvaara project in northern Sweden. Production at
Kaunisvaara is scheduled to begin in 2012. When Kaunisvaara reaches full capacity
during 2014, Northland is planning to produce 5mtpa of iron ore concentrate.
Russia's Metalloinvest may increase iron ore extraction at its Mikhailovsky and
Lebedinsky deposits by 30-40% over the next five years on rising demand.
Metalloinvest holds the largest iron ore reserves in the world at 14.8b tons, based
on the JORC international classification standards.
Russia's Magnitogorsk Iron & Steel has contracted Hatch Engineering & Consulting,
which is the Russian division of Canadian company Hatch, to conduct pre-project
development of the Prioskolskoye iron ore field, which has estimated reserves of
over 2b tons. MMK won an auction to develop the Prioskolskoye iron ore deposit in
the Belgorod region, in South West Russia. Planned capacity up to 25mtpa from
the mine will cover MMK's iron ore requirements for 60 years or more, MMK said.
IRC Limited, a subsidiary of London-based Petropavlovsk, will produce more than
3mtpa of iron ore at fully funded US$340m Kimkanskoye and Sutarskoye (K&S)
project near Russia's border with China from 2013. K&S could produce up to 4mtpa
of 65% Fe concentrate by 2016.
March 2011
29

Metals | New Order
Australia remains the main source for new coking coal
supplies
Over the last decade, coking coal supplies from US, Canada and Russia have either remained
stagnant or have declined due to high cost of production, aging and safety concerns. Volatility
in coking coal prices has deterred investments in these countries. Russian mines, in
particular, are suffering due to old technology and underinvestment, leading to frequent
mine fires and accidents. The aging US mines are showing a declining production trend.
Recently, Mechel from Russia, Metinvest from Ukraine and JSW Steel from India have acquired
assets in the US, which are essentially a group of very small mines. Opening of new mines
will help sustain current production levels. China, which used to export 25m-30m tons
equivalent coking coal, has turned a net importer, swinging supplies by nearly 40m tons in
2009. Mozambique and Mongolia are future sources of supplies, but large-scale investment
in infrastructure, logistics and political stability remains the key. Australia, which is vulnerable
to floods and cyclones during monsoons, remains the main source of new coking coal
supplies.
Coking coal supply (seaborne trade)
(m ton)
Australia
United States
Canada
Russia
China
Poland
Mozambique
Total Seaborne
Supply Growth (%)
2001
106
23
27
14
11
4
186
2008
135
39
27
16
5
2
222
13
2009
125
34
21
13
2
2
211
-11
2010
154
35
26
12
2
2
231
20
2011E
157
36
28
14
2
2
2
239
8
2012E
183
36
28
14
2
2
7
272
33
2013E
202
37
28
14
2
2
10
2014E
222
38
28
14
2
2
10
295
316
22
21
Source: MOSL
Australia will bring 20m
tons of additional coking
coal supplies each year
over 2-3 years
Australia - only reliable source of new projects
In 2011, nearly 15m tons of new coking coal is expected in Australia. Vale commissioned
Carborough Downs Longwall near Moranbah in Queensland, with new capacity of 4.2mtpa
towards the end of 2010. Among the new capacities expected in 2011 are: 4.2mtpa from
BMA's Daunia Project at Moranbah in Queensland, 2.5mtpa from Rio Tinto's Hail Creek
expansion at Mackay, 1mtpa from Xstrata's Oaky Creek expansion, and 2mtpa from
expansion of Wesfarmer's Curragh mine to 8.5mtpa. Existing mines (including Gujarat
NRE in NSW) are also likely to produce more.
Heavy rains leading to unprecedented floods in December 2010 have adversely impacted
mines, rail and infrastructure in Queensland, which accounts for nearly 70% of Australian
coking coal exports. Coal shipments are expected to return to normal only towards the
end of March 2011 provided there is no further damage during the monsoon months of
February and March.
Recovery of coking coal prices and replacing of proposed Resource Super Profit Tax
(RSPT) with Mineral Resource Rent Tax (MRRT) in 2010 has spurred investments in the
sector. Consequently, new capacities of nearly 13.2mtpa, 17.3mtpa and 20.6mtpa are
expected in 2012, 2013 and 2014, respectively. These will mainly be in Queensland. Nearly
20m tons of new supplies are expected each year over 2-3 years from Australia.
March 2011
30

Metals | New Order
Coking coal projects in Australia
Projects
Curragh Mine
Intergrated Isaac Plains Project
Daunia
Hail Creek expansion
Oaky Creek (phase 1)
Coltan
Kestrel
Middlemount (stage 1)
Byerwen Coal Project
Caval Ridge
(Peak Downs expansion)
Lake Vermont
Middlemount (stage 2)
Oaky Creek (phase 2)
Washpool coal project
Currah Mine expansion
Denham
Eagle Downs
(Peak Downs East underground)
Jellinbah East
Moranbah South project
Olive Downs North
Grosvenor underground
Belvedere underground
Winchester South
Ellensfield coal mine project
Goonyella Riverside Expansion
Operator
Wesfarmers
Aquila Resources/ Vale
BMA
Rio Tinto
Xstrata
Northern Energy
Rio Tinto
Macarthur Coal/ Nobel
QCoal / JFE Steel
BMA
Jellinbah Resources
Macarthur Coal/ Nobel Group
Xstrata
Aquilla Resources
Wesfarmers
Peabody Energy
Aquila Resources/Bowen
Central Coal Management
Jellinbah Resources
Anglo Coal Australia/Exxaro
Macarthur Coal
Anglo Coal Australia
Aquila Resources/ Vale
Rio Tinto
Nebo Central Coal/Vale
BMA
Location
200 km W of Rockhampton
180 km SW of Mackay
25 km SE of Moranbah
120 km SW of Mackay
90 km NE of Emerald
Maryborough
51 km NE of Emerald
6 km SW of Middlemount
100 km S of Collinsville
20 km SW of Moranbah
60 Km SE of Moranbah
6 km SW of Middlemount
90 km NE of Emerald
260 km W of Rockhamption
200 km W of Rockhampton
160 km W of Mackay
20 km SE of Moranbah
90 km E of Emerald
4 km S of Moranbah
30 km S of Coppabella
8 km N of Moranbah
160 km W of Gladstone
40 km S of Moranbah
175 km W of Mackay
30 km N of Moranbah
Startup
2011
na
2011
2011
2011
2012
2012
2012
2012
2013
2013
2013
2013
2013
2014
2014
2014
2014
2014
2014
2015
2016
na
New Capacity
increase to 8.5 Mt
1.6Mt coking and thermal
4 Mt coking
2.5 Mt hard coking
1 Mt coking
0.5 Mt coking
1.7 Mt coking
1.8 Mt coking (ROM)
10 Mt coking
5.5 Mt coking
4 Mt coking
3.2 Mt coking (ROM)
3 Mt coking
1.6 Mt coking
2 Mt coking
5-6 Mt coking
4.6 Mt coking
1-2 Mt coking
6.5 Mt coking
1 Mt coking
7 Mt hard coking
7Mt hard coking
4 Mt of coking and thermal
4.5 Mt thermal and coking
up to 9 Mt hard coking
Source:Metal Bulletin/MOSL
Infrastructure investments
will start easing bottlenecks
in rail and port facilities
from 2012
Rail and port infrastructure has been one of the bottlenecks in coking coal exports from
Australia. However, infrastructure investments will start easing bottlenecks from 2012.
Queensland (QLD) and New South Wales (NSW) are the two key mining states on the
eastern coast of Australia, with ship loading capacity of 220mtpa and 224mtpa, respectively.
In the next 2-3 years, new port handling capacities of 135mtpa and 48mtpa are planned in
QLD and NSW, respectively.
Queensland - new port handling capacity of 135mtpa in 2-3 years
Abbot Point Coal Terminal (APCT), Dalrymple Bay Coal Terminal (DBCT), Hay Point
Services Coal Terminal (HPSCT), RG Tanna Coal Terminal (RGCT) at Gladstone and
Brisbane Coal Terminal (BCT) handle almost all of the coking coal exported from QLD.
In the last 2-3 years, the only port expansion in QLD has been the expansion in DBCT's
port handling capacity from 72mtpa to 85mtpa. Port handling and rail shipment constraints
have restricted the growth of coking coal exports from Australia. However, a number of
projects are now in progress, which will add nearly 201m tons of new port handing capacity
at a capex of ~US$9b over 10 years. A further US$3b is being invested to strengthen rail
capacity.
In the near term, only 25mtpa of new capacity is expected, with the expansion of APCT
from 25mtpa to 50mtpa under project X50 towards mid-2011. APCT's X50 expansion can
effectively be utilized when the 70km rail link from Goonyella is established in early 2012.
The rail link will have carrying capacity of 50mtpa, which is being built at a capex of
March 2011
31

Metals | New Order
US$1.1b. Further US$800m is being invested in doubling of the lines from Rocklands to
Kabra in 2011, from Dingo to Walton in 2012, and to build the Maura link to Aldoga in
2013.
APCT will be further expanded to 80mtpa by 2013, bringing another 30mtpa of port handling
capacity. In December 2009, the QLD government approved the building of a new coal
handling terminal, Wiggins Island Coal Terminal (WICT) at Gladstone at a capex of US$3.8b.
WICT, at stage-1, will deliver port handling capacity of 25mtpa by the end of 2013, which
will be ultimately raised to 70mtpa by 2020. Thus, about 55mtpa of new capacity will be
delivered in 2013.
Xstrata is building the Balaclava Island Coal Terminal (BICT), 50km north of Gladstone,
at a capex of AU$1b. BICT will have a capacity of 35mtpa and is expected to start
operations towards the end of 2014. BMA is expanding Hey Point Port's capacity from
44mtpa to 55mtpa, translating into new port handling capacity of 11mtpa in 2014. Thus,
55mtpa of new capacity will be delivered in 2014.
WICT, at stage 2, will be expanded to 50mtpa by 2016 and to 70mtpa by 2020. In December
2010, Surat Basin Rail (Southern Missing Link) received environmental approval. The
project to connect Wandoan to Theodore by 210km rail link at a capex of US$1b will take
2.5 years. Work is expected to start in 2011, implying completion by the end of 2013.
New South Wales - new port handling capacity of 48mtpa in 2-3 years
NSW has two important ports of Newcastle and Port Kembla. These ports are not as
congested. Kooragang, Carrington and NCIG with port capacity of 88mtpa, 25mtpa and
30mtpa, respectively are the three key coal handling terminals in Newcastle. Kooragang
and Carrington are promoted by Port Waratah Coal Services (PWCS). NCIG terminal
started operations on 3 May 2010, with initial capacity of 30mtpa. Newcastle ports' shipping
capacity will expand to 163mtpa by the end of 2011 on completion of 20mtpa expansion to
108mtpa at Kooragang terminal at a capex of AU$670m.
NCIG terminal will expand to 53mtpa, thereby bringing new capacity of 23mtpa in 2013.
Thus, the shipping capacity at New South Wales ports will expand from 156mtpa currently
to 204mtpa.
In December 2010, the Australian government recognized the need for a fourth terminal,
Major Project Facilitation (MPF) promoted by PWCS, with initial capacity of 45mtpa.
Port Kembla too will expand capacity by 5mtpa to 18mtpa in 2012.
Mozambique - a potential supplier
The Tete region in Mozambique has the potential to develop into an alternate source of
coking coal supply in seaborne trade provided significant investment is made in infrastructure
building.
Vale and Riversdale are
developing coking coal
projects in Mozambique…
March 2011
Vale and Riversdale are developing coking coal projects in Mozambique and are targeting
to start production in 2011. Vale's Moatize stage-1 US$1.6b project and Riversdale's Benga
stage-1 US$270m project will have hard coking coal production capacity of 8.5mtpa and
32

Metals | New Order
1.7mtpa, respectively. These projects should ramp up fully in 1-2 years. Both Vale and
Riversdale are considering expansion of coking coal mine capacity to 17mtpa and 33mtpa,
respectively in stage-2.
…but transport remains the
bottleneck for fast ramp-up
of coal exports
Transport remains the bottleneck for fast ramp-up of coal exports. There is just one single-
line 1,700km rail connection, the Linha do Sena Railway to the Beira port, which can
transport a maximum of 10m tons of coal per year. The war-torn line (Sena Railway) has
been revamped recently with the help of IRCON. Though the production of coal is expected
to start in 2011, exports of the full 10.3m tons of hard coking coal is expected only in 2013.
Further expansion of capacity remains contingent upon infrastructure investment.
In September 2010, Vale acquired 51% stake in a distribution company in Mozambique,
Sociedade de Desenvolvimento do Corredor do Norte S.A. (SDCN) to get control over
logistics. SDCN is a major shareholder in Mozambique's rail transport companies, Corredor
de Desenvolvimento do Norte (CDN) and Central East African Railway (CEAR). Vale
has, thus, become an indirect owner of these two railway companies. Vale plans to invest
US$298m in logistics to connect Tete to Nacala port as an alternate transport route. This
will allow Vale to double coking coal exports.
Riversdale is carrying out feasibility studies to evaluate transportation through the Zambezi
River. This will involve dredging and building of a new port.
Mongolia - new supplies currently only for China
Mongolia, land locked between Russia and China, is developing a number of coal projects.
Energy Resource and South Gobi have started coking coal production at Ovoot Tolgoi
district in South Gobi, which is largely exported to China. The Mongolian government is
undertaking another large scale coal mine project, Tavan Tolgoi, and is developing an
alternate 1,100km rail link to Russia to export through East Russian ports to other countries.
Coal exports from Mongolia have started rising, which has reduced China's dependence
on the seaborne trade to some extent. In 3-4 years, Mongolia may also emerge as an
important contributor to the seaborne trade.
Energy Resource started coking coal production, with initial production of 1.8m tons in
April 2009 at Ukhaa Khudag (UHG) coal mine in Mongol. UHG is an open cast coal mine
at Ovoot Tolgoi district in South Gobi. Raw coal production in 2009 was 1.8m tons, which
is expected to expand to 15mtpa by the end of 2013. Coal produced at the mine is exported
to China without washing.
South Gobi Energy operates the Ovoot Tolgoi coal mine in the South Gobi region of Mongol
near the border with China. This is an open cut mine located in the South West part of
South Gobi Province, where full stride coal production was launched in July 2008. The
mine produces high quality thermal coal and metallurgical coal, with the total production
volume of 1.5mtpa. At Ovoot Tolgoi mine, the coal production was raised by expansion
works to 4mtpa in 2010. Further expansion to 6.5mtpa in 2011 and 8mtpa in 2012 planned.
More than half the coal produced at Ovoot Tolgoi is exported to Inner Mongolia Autonomous
Region and Gansu Province of China. In addition, South Gobi Energy plans to develop the
Vale has acquired majority
stake in SDCN, a
distribution company in
Mozambique
Mongolia is developing a
number of coal projects
March 2011
33

Metals | New Order
underdeveloped Soumber concession located 20km east of the Ovoot Tolgoi mine for
exports to China. Rio Tinto owns 34.9% in Canadian mining company Ivanhoe, which in
turn owns 57.3% in South Gobi. Thus, Rio Tinto now has 20% stake in the Ovoot Tolgoi
project.
Peabody and Winsway Coking Coal Holdings of China are actively developing concessions
in the South Gobi Coal Region through equal joint venture to export metallurgical coal and
thermal coal to the Asian region including China as the central market.
In November 2009, Mongolia Energy Corp of Hong Kong promoted Khushuut Metallurgical
Coal Project in Mongol to develop metallurgical coal concession in the Khovd Province of
West Mongol. The metallurgical coal production at Khushuut concession will be 3mtpa,
which will be raised to 8mtpa in the future.
The construction of a
1,100km railway line to the
Russian border will
facilitate exports
On 25 June 2010, the Mongolian Parliament gave a green signal to the construction of a
railway line of 1,100km from Tavan Tolgoi deposits to the Russian border. The railway will
export metallurgical coal produced at Tavan Tolgoi through Russia directly to Japan, South
Korea and so on without passing through China. In early July 2010, the Mongolian Parliament
approved the release of 50% interest in large-scale metallurgical coal project in South
Gobi, Tavan Tolgoi Project.
Canada - expect 2m-3m tons of new supplies
Canada currently produces 25m-26m tons of coking coal, which is mostly found in Bristish
Columbia and Aberta and is evacuated from western coast ports at Vancouver. Teck
Resources accounts for 85-90% of the entire production in Canada through its operations
in six mines in British Columbia. Teck's current rate of production is ~22mtpa, with a
potential to ramp up to 25mtpa provided there are no disruptions from strikes, weather,
breakdowns, etc. Western Coal Corp (WCC) and Grand Cache are the only other significant
coking coal producers in Canada, accounting for 2-3mtpa and 1.5-2mtpa, respectively. At
this stage, there is no visibility over opening of new mines though a couple of mine expansion
projects are under consideration.
The cost of Canadian mined coking coal loaded on ship is US$90-95/ton. Coking coal
prices have been highly volatile in the last five years, moving from US$50-60/ton in 2005
to US$300/ton in 2008, then falling back to US$129/ton in 2009, and rising again to US$225
in 2010. This has deterred large-scale investment in the mining sector in Canada. Teck is
now carrying out feasibility studies to re-open the Quintette mine. If restarted, it can begin
supplying 3mtpa in 2013. Four of Teck's mines have long lives of more that 25 years at
current rate of production. However, two mines, Coal Mountain and Line Creek will
deplete in 9-10 years.
WCC has plans to bring new supplies of 2m-3m tons over the next couple of years.
Grande Cache too has plans to raise coal production from 2mtpa currently to 3mtpa.
Canada currently produces
25m-26m tons of coking coal
Volatile coking coal prices
have deterred large-scale
mining investments
in Canada
March 2011
34

Metals | New Order
Steel producers remain vulnerable to global raw material
shortage
Having witnessed very strong growth of 8% during 2001-2007 and the extremely volatile
period of 2008-2010, we expect global steel consumption to grow at a moderate 4.1% over
the next four years. This will drive demand for raw materials like iron ore and coking coal.
Supplies of both iron ore and coking coal are, however, likely to remain tight in 2011 and
2012. We expect average iron ore prices to increase by US$29/dmt and coking coal prices to
increase sharply by US$86/dmt to an average of US$300/ton in FY12. Steel producers will
have to increase steel prices by US$144/ton in FY12 to pass on the higher cost of raw
materials.
Global steel consumption
is likely to increase
by 5.3% in 2011
Expect global steel consumption to grow at 4.1% over the next four years...
In 2010, global steel consumption surpassed the previous all-time high of 2007. Having
witnessed very strong growth of 8% during 2001-2007 and the extremely volatile period
of 2008-2010, we expect global steel consumption to grow at a moderate 4.1% over the
next four years. According to World Steel Association (WSA) Short Range Outlook, October
2010, steel consumption is likely to increase by 5.3% in 2011, which factors 3.5% growth
in China and 13.6% growth in India. Steel consumption is expected to grow at 5.7% in
Europe and ~9% in the Americas as these regions are yet to recover fully from the
financial crisis of 2008. We expect growth to moderate post 2011, as China will continue
to slow down and the West will move from recovery phase to normal growth.
Global finished steel demand
Demand
1,500
Grow th
Average Grow th
15
1,300
9
1,100
3
900
-3
700
2002 2003 2004 2005 2006 2007
2008 2009 2010
2011 2012 2013 2014
-9
Source: WSA and MOSL
…driving demand for iron ore and coking coal
Finished steel consumption is likely to grow by 68m tons in 2011, by 55m tons in 2012, 50m
tons in 2013 and 48m tons in 2014. Assuming that 30% of the incremental steel is produced
from incremental supply of steel scrap and ramp up of production of raw material from
inland captive mines with steel producers, production through the BoF route will have to
be ~47m tons in 2011, ~38m tons in 2012, ~35m tons in 2013, and 33m tons in 2014. This
will drive demand for seaborne trade by 95m tons in 2011, 77m tons in 2012, 70m tons in
2013, and 67m tons in 2014 for iron ore and by 47m tons in 2011, 38m tons in 2012, 35m
tons in 2013, and 33m tons in 2014 for coking coal.
March 2011
35

Metals | New Order
Iron ore: incremental demand and incremental supply
Demand
Supply
202
Coking coal: incremental demand and incremental supply
47
38
Demand
35
Supply
133
115
95
77
58
70
67
22
33
33
21
8
2012
2013
2014
2011
2012
2013
2014
Source: MOSL
2011
Supplies of both iron ore
and coking coal will
remain extremely tight
in 2011 and 2012
Supplies of both iron ore and coking coal to remain tight in 2011 and 2012
Supplies of both iron ore and coking coal will remain extremely tight in 2011 and 2012. In
2011, the supply situation might be worse than in 2008. Prices of both iron ore and coking
coal are likely to cross the previous all-time highs of 2008. Since sea freights have crashed
to 10-year lows, fob realizations for both iron ore and coking coal are likely to make new
highs in 2011.
Iron ore will remain in tight supply for at least two years. While supply is likely to ease in
2013 or 2014, iron ore prices are not likely to fall below US$120/dmt cfr China. This is
because the cost for Chinese iron ore mines is US$90-120/ton, as the average grade has
fallen to as low as 15% Fe. Since the Chinese Remninbi is under constant pressure to
appreciate and the iron ore market is highly consolidated, the floor for iron ore prices will
practically be higher.
Iron ore contracts
FOB
200
150
100
50
0
Freight
Fob change (RHS)
105
70
35
0
-35
While iron ore supply will
ease in 2013, prices are
unlikely to fall below
US$120/dmt
Source: MOSL
Coking coal will remain in
structural shortage for the
next 3-4 years
Coking coal will remain in structural shortage for the next 3-4 years. Though the annual
incremental seaborne supply growth over the next 4-5 years is likely to be 20m tons i.e. 4x
the 5m tons average growth in the last decade, it will still be not sufficient because pig iron
production growth will accelerate outside China unlike the last decade of stagnation. India
alone will demand 7m-8m tons of incremental seaborne supply every year. China has the
potential to gobble such volumes in a couple of months, as its local coking coal mines have
36
March 2011

Metals | New Order
been overexploited. The 40m tons of seaborne coking coal and equivalent coke trade
swing in 2009 by China alone is a testimony to the Chinese appetite. We expect coking
coal prices to increase 44% QoQ to US$325/ton fob in 1QFY12 due to floods in Australian
mines in December 2010 / January 2011.
Coking coal contracts
FOB
350
250
150
50
-50
Freight
Change
300
200
100
0
-100
Source: MOSL
To maintain margins, steel
producers will have to
increase steel prices by
US$144/ton in FY12
Steel producers to increase prices by US$144/ton in FY12 to pass on higher
raw material prices
We expect average iron ore prices to increase by US$29/dmt in FY12 and decrease by
US$12/dmt in FY13. Coking coal prices will increase sharply by US$86/dmt to an average
of US$300/ton in FY12 and decline by a modest US$12/ton in FY13. Steel producers will
have to increase steel prices by US$144/ton in FY12 to pass on the cost increase on
account of higher raw material prices.
EBITDA per ton of global steel producers
Arcelor-Mittal
MMK
JSW Steel
700
Corus
NLMK
SAIL
AM-Europe
Tata Steel India
450
200
-50
-300
Source: MOSL
March 2011
37

Metals | New Order
Ferrous Factories
Sahibabad BHUS 0.5mtpa CR mill
Champa PKI 0.7mtpa steel
Raigarh JSP 3mtpa ISP->6mt*, JPL 1000MW IPP->3400MW* + MISP 0.3mt
Patratu JSP 6mtpa ISP#
Bokaro SAIL 3.8mtpa ISP->4.18mtpa*
Durgapur SAIL 1.6mtpa ISP->2.1mtpa* + JBIL 0.9mtpa
steel / Burnpur SAIL 0.55mtpa ->2.4mtpa*
Purulia JBIL 5mtpa ISP#
Jamshedpur TATA 6.8mtpa ISP->9.7mtpa*
Hazira 4.6mtpa Essar steel
Rourkela SAIL 1.7mtpa ISP->4mtpa* + ADML 0.45mtpa steel
Angul BHUS 2mtpa steel->5mtpa ISP* + JSP 6mtpa ISP#
Tarapur JSTL 0.9mtpa CR mill
Dolvi ISPT 3mtpa steel
Raipur GODPI 0.4mtpa + MISP 0.3mtpa + SEML 0.24mtpa steel
Bhilai SAIL 3.15mtpa ISP->6.56mtpa*
Khopoli BHUS 0.5mtpa CR mill
Vizag 3.6mtpa RINL steel->6.3mtpa+ 125ktpa SEML Ferro alloy
Vijaynagar JSTL 10mtpa steel
Salem JSTL 1mtpa + SAIL 0.34mtpa steel
Integrated Steel Plant
Partly integrated Steel Plant
*
#
Ongoing capacity expansion
Greenfield projects
March 2011
38

Metals | New Order
Ferrous Mines
Hasdeo-Arand coal fields JV
Rajgamar 50mt MISP
Rohne 17mt JBIL
Kiriburu SAIL
N Karanpura 447mt JV
Ghatkuri 97mt ADML
W Bokaro 250mt TATA
Sitarampur JSTL
Urtan 96mt JSP/MISP/BHUS/PKI
Kawardha 75mt PKI
Mand Raigarh (Gare) coalfields
Rajnandgaon SEML
Jharia 394mt SAIL
Raniganj 753mt JV
Andal 230mt JBIL
Noamundi TATA
Gua SAIL
Keonjhar BHUS/ADML
Patrapara 325mt BHUS
Dumri 38mt JBIL
Talcher coalfields JV
Bolani SAIL
Joda TATA
Meghahatubure SAIL
IB Valley JV
Bailadila NMDC/SAIL
Bellary Hospet iron ore region
Shonshi & other mines Goa
Iron Ore Mine
Coal Mine
March 2011
39

Metals | New Order
Ferrous Large-caps
Companies
Ferrous (Large-caps)
Tata Steel
JSW Steel
Sesa Goa
SAIL
March 2011
40

Update
SECTOR: METALS
Tata Steel
BSE SENSEX
S&P CNX
18,328
Bloomberg
Equity Shares (m)
52-Week Range (Rs)
1,6,12 Rel. Perf. (%)
M.Cap. (Rs b)
M.Cap. (US$ b)
5,494
TATA IN
971.4
737/449
-7/5/-10
579.9
12.8
Rs597
Buy
Volume and margin expansion
Y/E March
2011E 2012E 2013E
1,350
178
80
1,416
208
99
102.0
23.1
366.1
5.9
1.6
0.6
4.1
27.9
15.2
21.1
Sales (Rs b) 1,200
EBITDA (Rs b) 170
NP (Rs b)
70
EPS (Rs)
72.5
82.8
EPS Gr. (%) -879.0
14.3
BV/Sh. (Rs) 202.8 277.0
P/E (x)
P/BV (x)
EV/Sales (x)
8.2
2.9
0.9
7.2
2.2
0.7
5.4
29.9
13.7
21.7
EV/EBITDA (x) 6.0
RoE (%)
35.7
RoCE (%)
13.7
RoIC (%)
18.0
Shareholding pattern % (Dec-10)
Others,
23.9
Promoter
32.5
Foreign,
17.4
Domestic
Inst, 26.2
Stock performance (1 year)
Tata Steel
Sensex - Rebased
800
700
600
500
400
Mar-10
Jul-10
Nov-10 Mar-11
Margins for Tata Steel's India steel business are likely to expand in FY12, driven
by higher steel prices. Its India business has 100% iron ore integration and 50%
coking coal integration. Steel prices have already responded to the anticipated
increase in raw material prices.
Volumes for the India business will increase 5% in FY12, followed by bigger increase
of 24% to 8.5m tons in FY13 due to expansion of capacity by 3mtpa to 10mtpa by
December 2011. Margins for new volumes will be lower because captive production
of coking coal will not grow in line with steel production, necessitating dependence
on higher cost external sources. However, margins will be higher than non-integrated
players, as its captive iron ore production will keep pace.
Fixed cost too will decline, as manpower is expected to decline 12% to 30,000 by
the end of FY12, while volumes will increase 24% in FY13.
Captive iron ore and coal mines ensure uninterrupted supply of raw material to
India business, while competition remains vulnerable to raw material supply
disruption.
Overseas investment in raw material assets, Riversdale and New Millennium Capital
will start generating cash flows in FY12, with the start of coking coal and iron ore
production, respectively. These investments are worth US$2b-2.5b at current market
prices.
Coking coal production is expected to start from Riversdale in Mozambique in
2HFY12, with stage-1 capacity of 1.7mtpa. Share of Tata Steel in Riversdale coking
coal production is likely to be 0.9m tons in FY12, with potential to generate EBITDA
of US$150m-200m.
New Millennium too is expected to start iron ore production from DSO project in
1HFY13, which will ultimately ramp up to 4m-5m tons. Tata Steel's share will be
~85%, which has the potential to generate EBITDA of US$300m-350m at current
iron ore prices.
Tata Steel Europe (TSE), the erstwhile Corus, too may have self-sustaining cash
flows, with proceeds from the sale of Teesside invested in improving operating
efficiencies, resulting in margin expansion. Currently, TSE margins are significantly
lower than many other players in the region. Management is now guiding that
normalized EBITDA per ton will expand from USS$50 to US$80 in two years. TSE
will generate EBITDA of US$750m (15m tons x US$50/ton) in FY12 and US$1.05b
(15m tons x US$70/ton) in FY13.
Tata Steel still has an investment of US$800m in group company, Tata Motors,
which can bring further cash to the company if the promoter continues to buy as
it did in the last two years.
We believe that growth in high margin businesses both in India and overseas
mineral investments will drive earnings growth. Cash flows from India business
will continue to rise. Focus on cutting costs and improving productivity will aid
long-term earnings sustainability. The stock trades at an attractive EV of 5.4x
FY12E and 4.1x FY13E EBITDA. We reiterate
Buy.
March 2011
41

Tata Steel
Volume growth in high margin business…
EBITDA per ton (US$)
Sales (m tons)
909
721
384
4.8
5.2
FY 08
FY 09
FY 10
FY 11E
FY 12E
FY 13E
295
6.2
4.8
FY 07
391
397
885
784
6.8
6.4
296
328
365
Realization (US$/t)
970
8.4
970
… will drive RoIC (%)
36
39
917
22
21
18
18
18
0
FY 06
FY 07
FY 08
FY 09
FY 10
FY 11E FY 12E FY 13E
TSE still dominates revenues (Rs b)…
Indain Business
TSE and others
… but India business dominates EBITDA (Rs m)
Indain Business
TSE and others
71
98
90
49
53
82
91
90
-9
121
124
137
FY08
FY09
FY10
FY11E
FY12E
FY13E
FY 08
FY 09
FY 10
FY 11E
FY 12E
FY 13E
Iron ore production to grow YoY (m tons)
India
Canada
3.0
Coking coal production will grow in FY13 (m tons)
India
Mozambique
1.7
8.0 8.4
6.1 6.5 7.0 7.3
12.0
9.8 10.8 9.8 10.0 10.4
16.8
13.5
12.9
5.1 5.2 5.3
5.6 5.9 5.8
6.4 6.5
7.0 7.2 7.3 7.2 7.2 7.2 7.2
Specific cost to reduce despite wage inflation…
Annual cost(US$/man)
24,000
18,000
12,000
6,000
0
Specific cost (US$/ton)
100
75
50
25
0
… through productivity improvement
Productivity(tons/man year)
300
225
150
75
0
Head count
60
45
30
15
0
Source: Company/MOSL
March 2011
42

Tata Steel
Financials and Valuation
Income Statement (Consolidated)
Y/E March
Net Sales (Rs b)
Change (%)
EBITDA
% of Net Sales
2009
1,473.3
12.0
181,277
12.3
2010
1,023.9
2011E
1,200.5
(Rs Million)
2012E
1,350.2
2013E
1,415.7
Ratios (Consolidated)
Y/E March
Basic (Rs)
EPS
Cash EPS
BV/Share
DPS
Payout (%)
Valuation (x)
P/E
Cash P/E
P/BV
EV/Sales
EV/EBITDA
Dividend Yield (%)
Return Ratios (%)
RoE
RoCE
RoIC
2009
101.9
124.7
132.9
16.0
16.5
2010
(9.3)
26.7
95.7
8.0
(106.4)
2011E
72.5
124.7
202.8
9.0
14.5
2012E
82.8
129.4
277.0
10.0
14.1
2013E
102.0
153.7
366.1
11.0
12.6
-30.5
17.2
12.5
4.8
80,427 170,465 177,624 208,205
7.9
14.2
13.2
14.7
44,917 43,887 45,845 50,767
35,509 126,577 131,779 157,438
30,221 27,735 30,579 32,667
6,859
2,228
4,339
4,465
12,147 101,071 105,539 129,235
-11,837
7,309
-
-
310 108,380 105,539 129,235
21,518 32,661 25,705 30,704
6,941
30.1
24.4
23.8
-21,208
152
1,269
-20,092
-8,255
-109.1
75,719
-375
742
76,836
69,526
-n/a-
79,834
35
667
80,465
80,465
15.7
98,532
165
694
99,061
99,061
23.1
Depn. & Amortization 42,654
EBIT
138,623
Net Interest
32,902
Other income
PBT before EO
EO income
PBT after EO
Tax
Rate (%)
Reported PAT
Minority interests
Share of asso. PAT
Attributable PAT
Adjusted PAT
Change (%)
2,657
108,378
-40,945
67,432
18,940
28.1
48,492
-409
607
49,509
90,454
16.9
5.9
4.8
4.5
0.7
5.7
2.7
(64.2)
22.3
6.2
1.0
12.1
1.3
8.2
4.8
2.9
0.9
6.0
1.5
7.2
4.6
2.2
0.7
5.4
1.7
5.9
3.9
1.6
0.6
4.1
1.8
76.7
15.3
18.5
(9.7)
4.5
-na-
35.7
13.7
18.0
29.9
13.7
21.7
27.9
15.2
21.1
Working Capital Ratios
Fixed Asset Turnover (x)1.5
1.0
1.3
41.4
67
83.4
22
1.2
1.3
43.7
68
71.7
43
1.3
1.4
39.9
63
71.6
34
1.2
1.4
41.5
66
75.5
29
Balance sheet (Consolidated)
Y/E March
Share Capital
Reserves
Net Worth
Minority Interest
Total Loans
2009
2010
2011E
(Rs Million)
2012E
2013E
7,301
8,867
9,587
9,707
9,707
264,245 221,516 330,423 404,749 491,308
271,546 230,383 340,011 414,457 501,015
8,949
8,841
8,466
8,501
8,666
599,005 531,004 559,835 524,008 515,276
Asset Turnover (x)
Debtor (Days)
Inventory (Days)
1.6
32.3
54
A/c Payables (Days)
57.2
Wkg Capital T/O (Days) 43
Leverage Ratio (x)
Current Ratio
Interest Cover Ratio
Debt/Equity
Def. Tax Liability
27,518 16,541 14,742 12,943
11,144
Capital Employed 907,018 786,768 923,053 959,9091,036,101
Gross Block
995,007 976,2901,001,2901,031,2901,205,010
Less: Accu. Deprn. 630,832 608,126 652,013 697,859 748,626
Net Fixed Assets 364,175 368,164 349,276 333,431 456,384
Capital WIP
Investments
88,880
30,203
89,795 140,746 174,919
34,890 34,890 34,890
43,346
34,890
1.9
4.2
4.3
1.5
1.2
5.2
1.9
4.6
2.3
1.8
4.3
1.4
2.0
4.8
0.8
Cash Flow Statement (Consolidated)
Y/E March
EBITDA
2009
181,277
2010
2,404
46,465
-24,586
2011E
(Rs Million)
2012E
2013E
80,427 170,465 177,624 208,205
-62,644
-32,661
15,544
-25,705
-7,503
-30,704
Goodwill on Cons. 153,649 145,418 145,418 145,418 145,418
Curr. Assets
Inventory
Account Rec.
Cash & Bank Bal.
Others
572,620 457,965 545,510 594,892 710,533
216,687 186,866 224,073 233,659 255,475
130,316 116,240 143,736 147,558 160,989
95,391 87,166 110,006 145,981 242,824
130,225 67,694 67,694 67,694 51,245
Non cash exp. (inc.) 6,647
(Inc)/Dec in Wkg. Cap. 2,848
Tax Paid
-33,813
CF fr. Op. Activity 156,959 104,710
(Inc)/Dec in FA
-83,611
(Pur)/Sale of Invest. -4,743
Int. & Divident Income 4,754
Other inv. activities
CF fr. Inv. Activity -85,428
Equity raised/(repaid)
145
Debt raised/(repaid) 20,047
Dividend (incl. tax) -12,266
Interest Paid
-35,473
CF fr. Fin. Activity -27,548
(Inc)/Dec in Cash
Add: Opening Bal.
Closing Balance
43,983
51,408
95,391
-69,498
8,398
3,054
-61,584
24,465
-29,944
-13,209
-32,662
-51,350
75,159 167,463 169,999
-75,951
2,228
-15,051
-88,774
45,462
28,831
-10,103
-27,735
36,455
-64,173
4,339
771
-59,063
5,346
-35,827
-11,365
-30,579
-72,426
-42,147
4,465
18,428
-19,254
Curr. Liab.&Prov. 302,510 309,464 292,787 323,642 354,470
Account Payables 230,933 233,886 235,945 264,896 292,641
Provisions & Others 71,577 75,578 56,842 58,745 61,830
Net Curr. Assets 270,110 148,501 252,723 271,250 356,063
Appl. of Funds
907,018 786,768 923,053 959,9091,036,101
E: MOSL Estimates
-8,732
-12,502
-32,667
-53,901
-8,224 22,841 35,975 96,843
95,390 87,166 110,006 145,981
87,166 110,006 145,981 242,824
March 2011
43

Update
SECTOR: METALS
JSW Steel
BSE SENSEX
S&P CNX
18,328
Bloomberg
Equity Shares (m)
52-Week Range
1,6,12 Rel. Perf. (%)
M.Cap. (Rs b)
M.Cap. (US$ b)
5,494
JSTL IN
254.3
1,400/752
11/-21/-27
238.7
5.3
Rs939
Buy
Highest volume growth
Y/E March
2011E 2012E 2013E
405.9
77.6
33.8
132.9
17.9
986.4
7.1
1.0
0.8
4.4
13.5
16.0
14.5
Sales (Rs b) 240.8 381.1
EBITDA (Rs b) 45.3
69.9
NP (Rs b)
EPS (Rs)
EPS Gr. (%)
BV/Sh. (Rs)
P/E (x)
P/BV (x)
EV/Sales (x)
EV/EBITDA (x)
RoE (%)
RoCE (%)
RoIC
14.8
28.7
58.0 112.7
-2.4
94.3
732.1 863.2
16.2
1.3
1.6
8.3
7.9
9.0
8.9
8.3
1.1
1.0
5.4
13.1
14.4
12.9
Shareholding pattern % (Dec-10)
Others,
9.8
Promoter
38.3
JSW Steel boasts of the highest volume growth in the country, with 42% growth in
FY12 and a further 12% growth in FY13. It has demonstrated superior project
execution skills, growing its capacity 6x to 10mtpa during the decade (ending
March 2011) through brownfield expansions at Vijaynagar. With the acquisition of
Ispat Industries and Salem Steel, it now controls 14mtpa of capacity, i.e. none
less the SAIL. The growth momentum is likely to continue over the next 3-5
years, with a strong pipeline of projects in Karnataka and West Bengal.
In West Bengal, JSW Steel is undertaking a 4.5mtpa greenfield steel project at a
capex of Rs160b to be executed over four years. Coking coal blocks of Kulti,
Sitarampur and Rohne have already been allotted. Iron ore will be sourced through
slurry pipelines from Orissa/Jharkhand.
We expect the recently acquired Ispat Industries to cut costs. Refinancing debt
will enable it to save interest costs. Long-term supply agreements for power,
pellets and coke will help to reduce variable costs. Marketing synergies will help
to save on transportation costs. Ispat is an efficient producer, but suffers from
underinvestment, which can be overcome with planned capex of Rs39b over three
years.
Temporary oversupply in India may force JSW Steel to take some hit on its historical
average EBITDA per ton. However, PBT per ton is still likely to trend upwards
because of low specific project costs. JSW Steel's spend on new capacity is
US$700/ton, against ~US$1,200/ton for Tata Steel and ~US$1,600/ton for SAIL.
PBT margin expansion and strong volume growth will drive bottomline growth.
Consolidated net debt will decline, driven by rising cash flows and equity infusion,
despite capex and acquisition of equity in Ispat Industries. Debt-to-equity will
decline, freeing up capital for its West Bengal project. Rs59b of equity has been
infused i.e. Rs54b by JFE and Rs5.3b as advances from promoters towards issue
of warrants in FY11. Further Rs30b of equity is pending conversion - Rs15.9b
towards warrants, Rs11b towards FCCB and Rs3b by JFE. Even if pending
Foreign,
47.3
Domestic
Inst, 4.6
Despite capex and Ispat acquisition, consolidated debt will decline
-9
117
-28
-22
Stock performance (1 year)
JSW Steel
Sensex - Rebased
1,600
1,375
1,150
925
700
Mar-10 Jul-10 Nov-10 Mar-11
Debt
3/10
-97
59
223 m shares 254
121 EPS (Rs) 113
0.9 D/E (x)
0.6
30
Capex
Ispat
Div & Int WC EBITDA
paid changes
Equity
FY11
Debt
3/12
Equity
FY12
Debt
3/12
Source: Company/MOSL
March 2011
44

JSW Steel
conversion lapses, the D/E ratio will still remain comfortable at 0.9x. Ispat Industries'
balance sheet will not be consolidated unless JSW Steel is able to raise its stake
from 41% currently to more than 50%. We expect Ispat to break even at PBT level.
Overseas investment in Chilean iron ore mines and US coal mines too are expected
to generate cash flows in FY12. We expect production of 0.5mtpa each of iron ore
and coking coal in FY12, which is likely to double in FY13. We still do not expect the
US pipe and plate mill to turn around in the near term. We expect all subsidiaries
together to contribute Rs7.8b to consolidated EBITDA and Rs3.4b to consolidated
PAT in FY12.
We expect EPS CAGR of 51% over FY11-13. RoE is likely to improve from 7.9% in
FY11 to 13.1% in FY12. The stock trades at attractive valuations of 8.3x FY12E EPS
and 1.1x FY12E BV. On EV/EBITDA, the stock trades at 5.4x FY12E and 4.4x
FY13E. We maintain
Buy
with a target price of Rs1,655 (EV/EBITDA of 6.5x FY13E).
March 2011
45

JSW Steel
Fastest growing steel company (m tons)
JSW Steel
16
12
8
4
+42%
Tata India
SAIL
JSPL
Lowest conversion costs (USD/ton)
Staff costs
Pow er & fuel
Others
105
133
59
47
131
75
SAIL
TATA
74
36
13
JSW
69
122
18
Ispat
0
PBT/ton to inch up despite lower EBITDA/ton
PBT
300
250
200
Depreciation
Interest
Lowest project cost (USD/ton)
JSW Steel
SAIL
Tata Steel
1,628
1,169
753
150
100
50
814
641
700
Gross block
Capex
Rs117b of EBITDA over FY11-FY12 (USD/ton)
1,000
750
EBITDA per ton
Realization
Deleveraging will continue despite capex
Net Debt (Rs b)
Equity (Rs b)
2.6
2.1
1.6
1.6
1.1
0.8
1.0
0.6
0.4
D/E (x)
500
250
0
175
283
180
225 237
181 159
158 153
151
Ispat: High interest and depreciation costs (USD/ton)…
Interest
132
63
52
35
104
FY06
79
FY07
58
39
FY08
78
FY09
56
FY10
107
114
92
75
59
Depreciation
EBITDA
…significant opportunity for debt refinancing (USD/ton)
Interest
Depreciation
37
41
23
7
SAIL
TATA
JSW
52
32
59
56
Ispat
Source: Company/MOSL
March 2011
46

JSW Steel
Financials and Valuation
Income Statement (Consolidated)
Y/E March
Net Sales
Change (%)
Total Expenses
EBITDA
2009
2010
2011E
(Rs Million)
2012E
2013E
Ratios
Y/E March
Basic (Rs)
EPS
Cash EPS
BV/Share
DPS
Payout (%)
Valuation (x)
P/E
Cash P/E
P/BV
EV/Sales
EV/EBITDA
Dividend Yield (%)
EV/ton
Return Ratios (%)
RoE
RoCE
RoIC
13.5
7.7
10.0
12.4
10.1
10.1
7.9
9.0
8.9
13.1
14.4
12.9
13.5
16.0
14.5
54.4
65.8
401.8
1.0
23.0
59.4
152.5
480.0
9.0
14.9
58.0
141.4
732.1
9.0
16.2
112.7
182.9
863.2
9.0
10.5
132.9
203.7
986.4
9.0
8.9
2009
2010
2011E
2012E
2013E
159,348 189,572 240,821 381,100 405,885
29.1
19.0
27.0
58.3
6.5
129,530 148,865 195,556 311,200 328,276
29,818 40,707 45,265 69,900 77,610
21.5
12,987
27,720
11,080
1,012
17,652
4,348
22,000
6,467
29.4
15,533
289
11,117
9.3
18.8
14,934
30,331
9,650
1,813
22,494
1,570
24,064
7,451
31.0
16,613
291
14,751
32.7
18.3
17,774
52,126
12,498
407
40,034
-
40,034
11,308
28.2
28,726
279
28,656
94.3
19.1
18,222
59,388
13,785
415
46,018
-
46,018
12,438
27.0
33,579
279
33,798
17.9
% of Net Sales
18.7
Depn. & Amortization 9,878
EBIT
19,941
Net Interest
Other income
PBT before EO
EO income
PBT after EO
Tax
Rate (%)
Reported PAT
Preference Dividend
Adjusted PAT
Change (%)
11,556
2,717
11,101
-7,948
3,153
726
23.0
2,427
290
10,174
-31.8
17.3
14.3
2.3
2.3
12.4
0.1
54,505
15.8
6.2
2.0
1.9
9.0
1.0
1,349
16.2
6.6
1.3
1.6
8.3
1.0
1,360
8.3
5.1
1.1
1.0
5.4
1.0
926
7.1
4.6
1.0
0.8
4.4
1.0
784
Balance Sheet
Y/E March
Share Capital
Reserves
Net Worth
Minority Interest
Total Loans
2009
1,871
73,280
75,150
2010
2011E
(Rs Million)
2012E
2013E
1,871
2,231
2,543
2,543
87,911 161,111 216,941 248,250
89,781 163,343 219,484 250,792
1,135
83,468
Working Capital Ratios
Fixed Asset T/O (x)
0.7
Asset Turnover (x)
0.6
Debtor (Days)
Inventory (Days)
Creditors(Days)
Leverage Ratio (x)
Current Ratio
Interest Cover Ratio
Debt/Equity
0.6
1.7
2.6
9
67
187
0.7
0.7
13
55
150
0.7
0.7
19
58
122
0.9
1.1
19
47
102
0.9
1.1
19
47
103
2,732
2,187
2,066
1,750
168,392 164,521 149,521 113,468
Def. Tax Liability
12,768 16,848 21,272 28,198 35,934
Capital Employed 259,042 273,336 336,202 362,900 371,329
Gross Block
231,720 276,912 328,053 401,391 429,616
Less: Accu. Deprn. 40,798 53,393 68,327 86,101 104,323
Net Fixed Assets 190,923 223,520 259,726 315,290 325,293
Capital WIP
Investments
95,852
3,966
69,562
6,282
54,700
28,667
6,964
3,030
16,038
80,727
78,078
2,649
87,562
6,282
68,438
38,222
12,560
7,138
10,517
42,562
27,852
91,088
49,139
19,514
2,553
19,881
42,562
27,852
97,081
51,986
20,996
2,711
21,388
0.7
2.5
2.1
0.8
3.1
1.0
0.8
4.2
0.6
0.8
4.3
0.4
Cashflow statement (Consolidated)
Y/E March
EBITDA
2009
29,818
2010
40,707
2,209
-4,710
-4,594
-
33,613
-27,418
-2,033
128
-29,323
-99
6,392
-570
-11,485
-5,762
-1,471
5,093
-591
3,030
2011E
45,265
454
-4,551
-1,841
52
39,379
-69,141
-
1,813
-67,328
59,397
-15,000
-2,690
-9,650
32,057
4,108
3,030
-
7,138
(Rs Million)
2012E
69,900
107
850
-4,383
-
66,474
-28,338
-21,570
407
-49,501
29,996
-36,053
-3,004
-12,498
-21,559
-4,585
7,138
-
2,553
2013E
77,610
117
1,731
-4,702
-
74,757
-28,225
-
415
-27,810
-
-30,000
-3,004
-13,785
-46,789
158
2,553
-
2,711
Non cash exp. (inc.) -6,857
(Inc)/Dec in Wkg.Cap.26,781
Tax Paid
-2,624
-
47,118
XO (employee sep)
CF fr. Op. Activity
Curr. Assets
50,929
Inventory
29,246
Account Receivables 3,991
Cash and Bank Bal.
5,093
Others
12,600
Curr. Liab. & Prov. 82,628
Account Payables 81,799
Provisions & Others
829
(Inc)/Dec in FA
-59,435
(Pur)/Sale of Invest.
874
Int. & Divident Income
152
CF fr. Inv. Activity -58,409
Equity raised/(repaid)
-
Debt raised/(repaid) 25,484
Dividend (incl. tax)
-3,404
Interest paid
-10,911
CF fr. Fin. Activity 11,169
(Inc)/Dec in Cash
-122
Add: Opening Balance 4,715
Adjustment
500
Closing Balance
5,093
85,807 113,891 121,459
80,424 106,872 114,121
5,382
7,019
7,338
Net Curr.Assets -31,699 -26,027 -17,368 -22,804 -24,377
Appl. of Funds
259,042 273,336 336,202 362,900 371,329
E: MOSL Estimates
March 2011
47

Update
SECTOR: METALS
Sesa Goa
BSE SENSEX
S&P CNX
18,328
Bloomberg
Equity Shares (m)
52-Week Range (Rs)
1,6,12 Rel. Perf. (%)
M.Cap. (Rs b)
M.Cap. (US$ b)
5,494
SESA IN
889.7
494/221
-17/-11/-44
244.7
5.4
Rs275
Buy
Negatives factored in
Y/E March
2011E 2012E 2013E
78.6
40.8
32.3
36.3
-27.6
180
7.6
1.5
1.5
3.0
20.2
24.8
73.3
83.4
43.3
35.3
39.7
9.4
215
6.9
1.3
1.1
2.1
18.5
22.0
75.0
Sales (Rs m)
82.8
EBITDA (Rs m) 49.7
NP (Rs m)
EPS (Rs)
EPS Gr. (%)
BV/Share (Rs)
P/E (x)
P/BV (x)
EV/Sales (x)
44.6
50.1
58.5
147
5.5
1.9
1.8
EV/EBITDA (x) 3.0
RoE (%)
34.0
RoCE (%)
36.8
RoIC (%)
114.4
Shareholding pattern % (Dec-10)
Others,
15.2
Promoter
55.7
Foreign,
24.6
Domestic
Inst, 4.5
Stock performance (1 year)
Sesa Goa
Sensex - Rebased
600
500
400
300
200
Mar-10
Jul-10
Nov-10 Mar-11
Sesa Goa has the most sustainable iron ore mining business in India. Its Goa
mines account for 80% of its 20-21m tons annual iron ore production and its
Karnataka mines, which contribute the remaining 20% production are located
~300km from ports.
Goa has the advantage of proximity to ports. Iron ore is transported 10-20km by
trucks from mines to nearby rivers and loaded onto barges, which in turn move
similar distances though the rivers into deep sea. With the help of transships, the
iron ore is loaded from barges into outgoing large capesize vessels for export.
Total logistics costs range from US$7-8/ton after factoring recent hikes in road
transport cost due to recently imposed weight and time restrictions.
Iron ore from Goa mines is of lower grade, with 52-62% Fe content. Though
realizations are lower, margins are similar to high grade ore due to low cost of
mining and logistics. Due to its inferior grade and fragility, Indian steel producers
find it undesirable. Hence, there is little risk of export ban. Iron ore exports from
Goa have sustained through multiple economic and steel cycles due to low costs.
Sesa Goa has permission to mine ~16mtpa in Goa, which it plans to ramp up to
30mtpa. Though it has already developed the infrastructure, the statutory
permissions are still awaited.
The Karnataka mines yield superior grade ore and costs are also low. Indian
Railways charges higher freights for carrying iron ore meant for exports. Despite
higher logistics costs, margins from the Karnataka business remain healthy.
Exports have temporarily been banned due to problems related to illegal mining
by few miners in the region and lack of effective administration. The Supreme
Court is, in principal, in favor of exports and has asked the state government to
put in place effective administration so that interests of genuine mining companies
are not hurt. A final word on this issue is expected in the first week of April 2011.
Sesa has permission to mine ~6mtpa against the current production rate of 3mtpa.
Production can be ramped up to 10mtpa once statutory permissions are in place.
Cost of mining has been continuously reduced since Sesa was acquired by Vedanta.
Under the new leadership, management processes have been streamlined to
enhance productivity.
Cash surpluses have mounted every year due to strong cash flows. Though RoIC
remains attractive at over 90%, RoE has continuously declined due to low return
on liquid investment. Sesa has been continuously on the lookout for inorganic
growth, but has kept away due to rising valuations. Dempo was an attractive and
thoughtful acquisition.
Vedanta's move to acquire Cairn using cash surpluses of Sesa for 20% stake has
de-rated the stock despite EPS accretion.
The stock has been de-rated due to uncertainties relating to the Cairn deal,
Karnataka export ban, and downgrading of volume guidance due to delay in getting
statutory permissions. Despite all-time high iron ore prices, the stock performance
has been subdued. We believe most of the negatives are already factored. The
March 2011
48

stock is now trading at attractive valuations of 7.6x FY12E EPS, and an EV of 3x
FY12E EBITDA and US$8.3/ton. Our discounted cash flow valuation is Rs249-458/
share, assuming iron ore prices range from US$100/dmt to US$160/dmt on fob basis
over the next 10-12 years. Though iron prices may soften from current levels, they will
still remain very attractive and well above US$100/dmt. Risk to reward ratio has turned
favorable. Maintain
Buy.
DCF valuation (Rs m)
WACC (%)
Terminal Growth (%)
NPV of cashflows post FY12 (a)
Cash surplus (b)
Terminal Value (c )
Equity value (a+b+c)
Number of shares (m)
DCF value per share
10
3
180,858
95,915
10,152
286,925
900
319
1
2
3
4
5
6
7
SN
Iron ore
63% Fe
(US$/dmt fob)
70
80
90
100
120
140
160
DCF
Rs/sh.
145
180
215
249
319
388
458
Source: MOSL
March 2011
49

Sesa Goa
Volume growth muted pending permissions (m tons)
Total
Goa
Karnataka
Orissa
2
3
2
3
15
10
16
16
16
2
3
4
6
Mining cost cut since acquisition (USD/ton)
Mining
Logistic costs
Royalty & duties
3
3
1
9
5
5
FY03
5
5
FY04
6
6
FY05
11
12
10
19
10
FY08
FY09
7
FY10
12
16
15
3
FY06
FY07
Sesa has the most competitive fob costs (USD/ton)
50
38
34
We factor conservative realization (USD/ton)
Realization
200
150
Benchmark contracts
32
24
22
18
100
50
0
Rio Tinto
BHP-
Billiton
Kumba
Sesa
Vale
Goa
Karnataka
EBITDA/ton will still drag (USD/ton)
51
42
32
21
18
30
44
39
Mounting cash chest is dragging RoE
Cash surpluses (Rs b)
200
150
100
50
0
RoE (%)
RoIC (%)
FY06
FY07
FY08
FY09
FY10
FY11E FY12E FY13E
Source: Company/MOSL
March 2011
50

Sesa Goa
Financials and Valuation
Income Statement (Consolidated)
Y/E March
Net Sales
Change (%)
Total Expenses
EBITDA
2009
49,591
29.7
24,170
25,421
2010
58,583
18.1
27,097
31,486
53.7
745
30,741
555
4,260
34,446
-
34,446
8,056
23.4
26,390
99
26,291
32.2
2011E
82,826
41.4
33,155
49,671
60.0
789
48,882
544
5,143
53,481
-523
52,959
8,755
16.5
44,204
117
44,609
69.7
(Rs Million)
2012E
78,553
-5.2
37,725
40,828
52.0
824
40,004
12
8,584
48,575
-
48,575
16,225
33.4
32,350
74
32,276
-27.6
2013E
83,382
6.1
40,047
43,335
52.0
831
42,504
12
10,670
53,162
-
53,162
17,768
33.4
35,394
70
35,323
9.4
Ratios
Y/E March
Basic (Rs)
EPS
Cash EPS
BV/Share
DPS
Payout (%)
Valuation (x)
P/E
Cash P/E
P/BV
EV/Sales
EV/EBITDA
Dividend Yield (%)
EV/ton (US$)
Return Ratios (%)
EBITDA Margins (%)
51.3
53.7
44.9
33.2
30.8
79.5
60.0
53.9
34.0
36.8
114.4
52.0
41.1
20.2
24.8
73.3
52.0
42.4
18.5
22.0
75.0
Net Profit Margins (%) 40.1
RoE
42.2
RoCE
51.7
RoIC
112.8
25.3
26.0
59.9
2.3
10.4
31.6
32.7
95.3
3.2
12.0
50.1
50.6
147.4
3.5
8.2
36.3
37.3
179.5
3.5
11.3
39.7
40.7
215.1
3.5
10.3
2009
2010
2011E
2012E
2013E
% of Net Sales
51.3
Depn. & Amortization
517
EBIT
24,904
Net Interest
Other income
PBT before EO
EO Income
PBT after EO
Tax
Rate (%)
Reported PAT
Minority interests
Adjusted PAT
Change (%)
43
2,240
27,102
-
27,102
7,153
26.4
19,949
69
19,880
\29.0
10.9
10.6
4.6
3.7
7.3
0.8
16
8.7
8.4
2.9
3.0
5.7
1.2
10
5.5
5.4
1.9
1.8
3.0
1.3
9
7.6
7.4
1.5
1.5
3.0
1.3
10
6.9
6.8
1.3
1.1
2.1
1.3
7
Balance Sheet
Y/E March
Share Capital
Reserves
Net Worth
Minority Interest
Total Loans
Deferred Tax Liability
2009
787
46,370
47,157
334
19
664
2010
831
2011E
890
(Rs Million)
2012E
890
2013E
890
78,346 130,220 158,853 190,533
79,177 131,110 159,743 191,423
433
512
586
656
19,606
750
444
750
444
750
444
750
Working Capital Ratios
Fixed Asset T/O (x)
5.6
Asset Turnover (x)
Debtor (Days)
Inventory (Days)
1.0
21.9
5.3
2.1
0.6
21.1
8.6
13.4
77.3
2.8
0.6
23.2
6.4
15.6
41.7
2.5
0.5
23.0
6.2
16.0
42.3
2.5
0.4
23.1
6.2
15.6
40.8
Capital Employed 48,175
Gross Block
8,863
99,966 132,815 161,522 193,273
27,510
5,741
21,770
787
1
29,310
6,558
22,752
787
1
31,160
7,412
23,748
787
1
33,010
8,305
24,706
787
1
Wkg Capital T/O (Days) 21.8
Creditors
43.0
Leverage Ratio (x)
Current Ratio
Less: Accum. Deprn. 3,422
Net Fixed Assets
5,441
Capital WIP
Investments
Curr. Assets
489
0
48,084
8.2
7.2
12.5
16.1
19.0
Cashflow statement
Y/E March
Pre-tax Profit
2009
27,102
2010
34,446
745
2,973
-8,012
1,504
31,657
-18,945
0
-18,945
394
19,587
-3,160
25,426
38,138
31,429
69,566
2011E
52,959
789
-5,075
-8,755
-7,682
32,236
-1,800
0
-1,800
8,999
-19,162
-3,643
-3,643
(Rs million)
2012E
48,575
824
343
-16,225
30
33,547
-1,850
-1,850
19,162
-3,643
-3,643
-3,643
-3,643
2013E
53,162
831
-435
-17,768
62
35,851
-1,850
-1,850
89,808 118,744 146,085 177,089
5,278
4,864
5,194
5,255
4,957
5,273
96,359 124,412 154,770
11,851
9,468
11,851
9,099
11,851
9,310
Inventory
2,642
5,009
Account Receivables 2,982
3,381
Cash and Bank Balance31,429 69,566
Others
Curr. Liab. & Prov.
11,032
5,840
11,851
12,400
Depreciation
517
(Inc)/Dec in Wkg.Cap. -6,146
Tax paid
-7,100
Other Oper. Activities -585
CF fr. Op. Activity 13,788
(Inc)/Dec in FA
-1,442
22
-1,420
Account Payables
3,120
Provisions & Others 2,720
Net Curr. Assets 42,244
Appl. of Funds
E: MOSL Estimates
48,175
7,451
4,519
4,150
4,361
4,949
4,949
4,949
4,949
77,408 109,275 136,986 167,779
99,966 132,815 161,522 193,273
(Pur)/Sale of Inv.
CF fr. Inv. Activity
Share Capital raised/(repaid)
Debt raised/(repaid)
19
Dividend (incl. tax)
-2,072
CF fr. Fin. Activity -1,660
(Inc)/Dec in Cash
Add: Opening Bal.
Closing Balance
10,709
20,720
31,429
26,792 28,054 30,358
69,566 96,359 124,412
96,359 124,412 154,770
March 2011
51

Update
SECTOR: METALS
SAIL
BSE SENSEX
S&P CNX
18,328
Bloomberg
Equity Shares (m)
52-Week Range
1,6,12 Rel. Perf. (%)
M.Cap. (Rs b)
M.Cap. (US$ b)
5,494
SAIL IN
4,130.4
259/150
-3/-19/-40
648.5
14.4
Rs157
Sell
Losing competitive advantage
Y/E March
2011E 2012E 2013E
498.8
78.3
41.9
10.1
10.1
-3.9
105.9
15.5
1.5
10.3
1.6
9.6
9.7
Sales (Rs b) 450.9 474.0
EBITDA (Rs b) 85.7
76.1
NP (Rs b)
53.7
43.6
EPS (Rs)
EPS (Rs)
EPS Gr. (%)
BV/Sh. (Rs)
13.0
13.0
-21.3
91.4
10.5
10.5
-18.8
98.9
14.9
1.6
9.6
1.5
10.7
11.5
P/E (x)
12.1
P/BV (x)
1.7
EV/EBITDA (x) 7.5
EV/Sales (x)
RoE (%)
RoCE (%)
1.4
14.2
14.8
Shareholding pattern % (Dec-10)
Others,
Foreign,
2.3
4.4
Domestic
Inst, 7.5
Promoter
85.8
SAIL has benefited from iron ore integration over the last decade. The prices of
iron ore increased 10x, pushing up cost of steel production for most steel producers
across the world. In the resultant scenario of high global steel prices, many of
SAIL's operating inefficiencies like sharp increase of 70-75% in labor cost to
US$126/ton and other fixed operating costs to US$170/ton were overlooked. This
situation is changing. Global steel consumption is tapering down and new iron ore
supplies are likely to come on stream over the next couple of years, leading to
softening of iron ore prices. In the mean time, ~30% increase in domestic steel
production over 12-15 months, largely from primary producers will create temporary
oversupply, leading to compression in margins.
Managing costs will be a challenge, which will get increasingly exposed as spreads
between coking coal and steel prices start narrowing. Capacity expansion to
20mtpa will ensure that specific labor cost does not increase, assuming total
headcount remains constant. However, per ton labor cost (6x new private Indian
players) is non-competitive. Though headcount has halved and steel production
has doubled, the basic working on ground has not changed in over 15 years. SAIL
needs to urgently invest in adopting best management practices and restructuring.
Plant and machinery is old, requiring frequent repairs and maintenance.
Sustenance capex has been just US$11/ton/year during FY01-FY09. Under the
company's Rs700b growth plan, Rs158b (US$269/ton over five years) is being
spent on sustenance.
Capex of Rs700b is being funded by internal cash flows, FPO and debt. Though
debt/equity ratio will still remain comfortable, the change from net interest earnings
to net interest expense will drag the bottomline.
RoIC too will decline sharply due to low returns on new investment. Rs540b are
being invested to create 7mtpa of new saleable steel capacity, translating into
capital investment of US$1,628/ton v/s US$245/ton currently. RoIC will drop every
year because new investment will yield just 5.3% v/s the current RoIC of >35%.
We have cut our EPS estimate by 24% to Rs10.5 for FY12. The stock is expensive
at 14.9x FY12E EPS and an EV of 9.6x FY12E EBITDA. SAIL will have CWIP of
Rs254b by FY11 end. Adjusting for CWIP, the stock is trading at an EV of 5.3x
FY12E EBITDA, which is comparable to peers. We believe as CWIP moves into
gross block, the declining RoIC because of low returns on new gross bock will
drag stock performance. We downgrade the stock to
Sell.
Stock performance (1 year)
Capex status as on 30 September 2010
SAIL
320
270
220
170
120
Mar-10
Sensex - Rebased
Actual expenses
Orders placed
Orders pending
Jul-10
Nov-10 Mar-11
Bhilai
DSP
RSP
BSL
ISP
SSPs
Others
March 2011
52

SAIL
Volumes will grow but margins will be subdued
EBITDA per ton (USD)
300
225
150
75
0
Sales tonnage (m tons)
16.0
12.0
8.0
4.0
0.0
D/E will remain comfortable (Rs b)
Debt
500
375
250
125
0
FY07
FY08
FY09
FY10
FY11
FY12
FY13
FY14
Cash
Net Worth
Coking coal & labor costs are a drag on margins (US$/ton)
Staff
900
675
450
225
0
Fixed
RM
Realization
Net interest cost will rise (US$/ton)
40
20
Depreciation
Net interest costs
0
-20
-40
FY07
FY08
FY09
FY10
FY11
FY12
FY13
FY14
RoIC will drop every year…
RoIC (%)
261
181
137
180
EBITDA (US$/ton)
…because RoIC on new capex has plunged
Production
EBIT (RHS)
40
173
30
150
132
128
136
20
10
0
Invested Capital (RHS)
RoIC (%)
2,000
1,500
1,000
500
0
FY11
Grow th
FY06 FY07 FY08 FY09 FY10 FY11 FY12
FY13 FY14
Rs70b is being invested in product mix improvement and value addition
FY11E
Semis
11%
Round/
Bars
17%
Pipes
1%
FY15E
Plates
21%
Round/
Bars
24%
Pipes
1%
Plates
16%
Coated
Products
2%
CR
coils/sheets
7%
Structurals
7%
Coated
Products
5%
Railw ays
Material
7%
HR
Coils/sheets
27%
CR
coils/sheets
10%
Structurals
15%
HR
Coils/sheets
27%
Railw ays
Material
7%
Source: Company/MOSL
March 2011
53

SAIL
Financials and Valuation
Income Statement (Consolidated)
Y/E March
Net Sales
Change (%)
Total Expenditure
EBITDA
Change (%)
% of Sales
Depreciation
EBIT
Interest
Other income
PBT before EO
Extra ordinary Item
PBT
Current Tax
Defrred Tax
Total Tax
2009
9.2
350,781
86,764
-31.1
19.8
13,316
73,448
2,576
24,330
2010
2011E
(Rs Million)
2012E
2013E
Ratio
Y/E March
Basic (Rs)
EPS
Cash EPS
Book Value per Share
Dividend Per Share
Valuation (x)
P/E
Cash PE
EV/EBITDA
EV/Sales
EV( USD/Ton)
Price to Book Value
10.4
8.5
6.3
1.3
1,079
2.3
9.5
7.8
6.3
1.5
1,092
1.9
12.1
9.4
7.5
1.4
1,152
1.7
14.9
10.9
9.6
1.5
1,273
1.6
15.5
11.0
10.3
1.6
1,420
1.5
15.1
18.4
68.5
2.5
16.5
20.0
81.7
2.6
13.0
16.7
91.4
3.0
10.5
14.4
98.9
3.0
10.1
14.3
105.9
3.0
2009
2010
2011E
2012E
2013E
437,545 405,726 450,940 473,989 498,763
-7.3
11.1
5.1
5.2
311,118 365,225 397,842 420,473
94,608 85,715 76,147 78,290
9.0
23.3
14,296
80,312
4,740
26,909
-9.4
19.0
15,263
70,452
4,051
13,327
79,728
45
79,773
26,262
-182
26,081
32.7
53,693
-21.6
3.2
53,658
-21.3
-11.2
16.1
16,049
60,098
5,053
10,303
65,348
47
65,396
22,128
-335
21,792
33.3
43,603
-18.8
3.2
43,568
-18.8
2.8
15.7
17,298
60,992
6,405
5,635
60,223
50
60,273
18,705
-352
18,353
30.5
41,920
-3.9
3.2
41,881
-3.9
95,202 102,482
241
464
95,443 102,946
35,321
-2,408
32,912
33,432
1,049
34,481
33.5
68,465
9.5
3.2
68,153
9.3
Profitability Ratios (%)
EBITDA Margin
19.8
RoE
22.0
RoCE
RoIC
Turnover Ratios
Debtors (Days)
Inventory (Days)
Creditors (Days)
Working Capital (Days)
Asset Turnover (x)
Leverage Ratio
Debt/Equity (x)
25.5
40.5
23.3
20.2
20.3
36.4
19.0
14.2
14.8
37.3
16.1
10.7
11.5
23.8
15.7
9.6
9.7
19.0
Effective Rate (%)
34.5
Reported PAT
62,531
Change (%)
Minority Interest
Adjusted PAT
Change (%)
-17.7
3.3
62,369
-26.3
26
50
-6
1.1
33
84
-4
0.8
25
62
-12
0.8
26
51
1
0.8
25
51
2
0.7
Balance Sheet (Consolidated)
Y/E March
Share Capital
Res. and Surplus
Net Worth
Loans
Def. Tax Liability
Minority Interest
2009
41,304
2010
41,304
2011E
41,304
(Rs Million)
2012E
41,304
2013E
41,304
241,702 296,086 336,296 367,012 396,027
283,006 337,390 377,600 408,316 437,331
86,665 176,378 175,612 188,112 238,112
13,277 14,301 13,619 13,284 12,932
7
10
7
7
7
-0.3
-0.2
0.0
0.2
0.4
Cash Flow Statement
Y/E March
OP/(Loss) bef.Tax
Dep. & Amort.
2009
2010
2011E
79,773
15,263
4,051
-26,262
10,874
83,698
-2,032
81,666
95,443 102,946
13,316 14,296
4,740
-33,432
-2,904
85,646
-1,712
83,934
(Rs Million)
2012E
65,396
16,049
5,053
-22,128
-16,980
47,389
-336
47,053
2013E
60,273
17,298
6,405
-18,705
-1,074
64,197
-353
63,844
Capital Employed 382,955 528,079 566,838 609,719 688,382
Gross Fixed Assets 335,112 374,194 380,147 420,645 491,142
Less: Depreciation 208,969 223,104 237,770 253,819 271,116
Net Fixed Assets 126,144 151,090 142,378 166,827 220,026
Capital WIP
Investments
78,949 153,822 253,768 333,768 383,768
370
447
531
531
531
Interest Paid
2,576
Direct Taxes Paid
-35,321
(Inc)/Dec in Wkg.Cap.
224
CF fr. Op. Activity
76,238
Other Items
-1,554
CF after EO Items 74,684
Curr. Assets, Loans & Advances
Inventory
Sundry Debtors
Cash & Bank Bal.
102,432 91,617 86,579 94,190
30,952 36,235 30,335 33,146
184,863 227,185 185,502 106,954
7,863
36,618
7,845
35,618
7,845
35,618
99,477
34,842
81,344
7,845
35,618
(Inc)/Dec in FA
-62,397 -113,954 -105,900 -120,498 -120,497
(Inc)/Dec in Misc Exp.
596
-3
3
-
-
(Pur)/Sale of Invest.
-12
-77
-84
-
-
CF fr. Inv. Activity -61,813 -114,034 -105,981 -120,498 -120,497
Free Cash Flows
Inc / (Dec) in Debt
71,240
41,155
61,713
50,418
55,699
49,874
58,498
52,983
14,425
47,788
-28,388
89,714
-4,740
-12,552
72,422
-22,282
-766
-4,051
-12,552
-17,368
-73,109
12,500
-5,053
-12,552
-5,104
-56,300
50,000
-6,405
-12,552
31,044
Int. Receiv./Accrued 10,186
Loans and Adv.
23,408
Current Liabilities
Sundry Creditors
48,046
Other Current Liab. 30,750
Provisions
95,554 64,407 63,589 63,589 63,589
Net Curr. Assets 177,491 222,717 170,160 108,592 84,056
Misc. Exp. not W/Off
1
4
1
1
1
Appl. of Funds
382,955 528,079 566,838 609,719 688,382
E: MOSL Estimates
Interest Paid
-2,576
Dividends Paid
-12,552
CF fr. Fin. Activity 32,661
Inc / ( Dec) in Cash 45,532 42,322 -41,683 -78,549 -25,610
Add: Opening Bal. 139,331 184,863 227,185 185,502 106,954
Closing Balance 184,863 227,185 185,502 106,954 81,344
March 2011
54

Metals | New Order
Ferrous Mid-caps
Companies
Ferrous (Mid-caps)
Bhushan Steel
Adhunik Metaliks
Godawari Power & Ispat
Jai Balaji Industries
Monnet Ispat
Prakash Industries
Sarda Energy & Minerals
Tata Sponge Iron
March 2011
55

Metals | New Order
Mid-cap steel companies - struggling to maintain
profitability
Over the next 12-15 months, ~20mtpa of steel production capacity is scheduled for
commissioning in India. The sudden increase in domestic supply will put pressure on steel
prices. During the period of global financial crisis, most mid-cap steel companies were able
to switch to sale of power instead of producing steel. However, this no longer presents a
good trade-off as merchant power rates have collapsed in the last two quarters. Also,
delays in opening of captive mines and rising raw material prices are impacting cash flows.
As a result, most mid-cap steel companies are available at attractive valuations. We
recommend buying selectively.
Steel pricing environment to get tougher as domestic steel supply increases
We expect steel supply in the domestic market to grow at a CAGR of 11% over FY10-14,
as ~20mtpa of production capacity is scheduled to get commissioned over the next 12-15
months in India. Although domestic demand is also expected to grow at 10-12% over the
same period, the sudden increase in supply due to commissioning of large scale projects
(e.g. JSW Steel, Tata Steel, etc) will create a very competitive pricing environment. We
expect smaller size steel producers to struggle in such an environment.
Subdued merchant power rates making trade-off difficult
Post the credit crisis, most mid-cap steel companies survived by switching to sale of
power instead of producing steel, which made a good trade-off when steel demand and
prices were sluggish. However, in the last two quarters, the scenario has changed. Merchant
rates have collapsed from Rs5/kwH to Rs2.5-3/kwH, and quantity of linkage coal from
Coal India (CIL) has also been reduced due to increasing thermal power capacities and
inability of CIL to ramp up production. Eventually, companies will have to increase the
proportion of imported coal or buy from e-auction/external sources, which will increase
costs.
Delays in opening of captive mines, rising raw material prices impacting
cash flows
Though many steel producers have received allotment of captive raw material mines in
the last 5-7 years, very few of them have been able to start mining operations. Procedural
delays in getting requisite approvals from state or central governments, problems in land
acquisition and lack of clarity on "No-Go" zone coal mines have delayed the opening of
captive mines. On the other hand, raw material costs are rising due to supply constraints
and increasing demand on the back of higher steel production. Iron ore prices in the
domestic market have increased at a CAGR of 19% over the last 3-4 years and coking
coal prices have moved up from US$57/ton in FY05 to over US$225/ton in FY11, putting
considerable pressure on steel producers' margins. With rising crude oil prices, derivative
product prices will also increase, which will further dent margins.
Aggregate EBITDA to increase at a CAGR of 29% to Rs69b in FY13
Aggregate EBITDA of the eight mid-cap companies under our coverage has increased at
a CAGR of 36% to Rs32b over FY04-10. We expect aggregate EBITDA to grow at a
CAGR of 29% to Rs69b over FY10-13 on the back of higher volumes and partial raw
material integration.
March 2011
56

Metals | New Order
Valuations attractive; buy selectively
As mid-cap steel companies are struggling to maintain their margins and earnings growth,
most of them are trading at attractive valuations. We like Adhunik Metaliks (due to aggressive
growth plans of OMM), Godawari Power and Ispat (100% iron ore integration and higher
pellet volumes), Bhushan Steel (strong volume growth) and Prakash Industries (strong
volume growth and partial integration).
Capacity ('000 tons)
Sr. Company
No.
DRI
(ktpa)
1
2
3
4
5
6
7
8
Adhunik Metaliks
Bhushan Steel
Godawari
Jai Balaji
Monnet Ispat
Prakash Industries
Sarda Energy
Tata sponge
Total
270
1,360
495
445
800
600
360
390
4,720
Pig
iron
180
1,269
-
509
-
-
-
-
1,958
450
2,300
400
906
300
700
240
-
5,296
-
-
1,200
608
-
-
600
-
2,408
Existing capacities
Steel
Pellet
Captive
Iron Coal
ore
1,000
-
700
-
-
-
CPP
(MW)
34
458
73
111
150
113
DRI
(ktpa)
Capacities post expansion
Captive
Pig Steel Pellet
Iron Coal CPP
iron
1,200
-
1,200
608
1,200
-
600
-
4,808
ore
2,000
-
700
-
-
-
(MW)
34
840
73
111
230
463
270
180
450
1,360 4,169 5,300
495
-
400
505
1,000
1,000
509
906
650 1,800
-
700
-
-
- 1,200
- 1,000
-
200
- 1,200
- 1,000
-
600
82
-
-
26
1,700 2,800 1,046
360
-
240
390
-
-
5,380 5,508 9,796
- 1,000
82
-
-
26
2,700 3,400 1,859
Source: Company/MOSL
Production ('000 tons)
Sr.
No.
1
2
3
4
5
6
7
8
Adhunik Metaliks
Bhushan Steel
Godawari Power
Jai Balaji
Monnet Ispat
Prakash Inds
Sarda Energy
Tata Sponge
Total
Company
FY09
125
352
280
265
600
296
176
342
2,437
200
401
286
287
710
335
203
359
2,780
Sponge Iron
FY10 FY11E FY12E FY13E
265
441
270
283
729
432
234
371
3,023
275
1,088
300
404
765
552
252
378
4,014
275
1,088
320
404
800
640
252
386
4,165
FY09
145
-
-
252
-
-
-
-
397
170
-
-
428
-
-
-
-
598
Pig Iron
FY10 FY11E FY12E FY13E
200
480
-
407
-
-
-
-
1,087
200
1,080
-
433
81
-
-
-
1,794
200
1,080
-
509
325
-
-
-
2,114
FY09
249
302
108
350
136
446
74
-
1,665
332
299
56
511
115
507
12
-
1,833
Steel
FY10 FY11E FY12E FY13E
380
1,200
60
392
127
564
36
-
380
2,100
120
531
190
663
84
-
380
2,100
160
531
540
750
84
-
2,759 4,068 4,545
Source: Company/MOSL
CAGR (%)
FY04-10 FY11-13
87
24
39
58
35
12
28
20
28
97
33
34
63
36
30
42
15
36
18
11
13
12
29
29
8
0
15
7
29
20
38
36
55
21
5
29
Summary of mid-cap companies
2004
Revenues (Rs m)
Adhunik Metaliks
Bhushan Steel
Godawari Power & Ispat
Jai Balaji Inds
Monnet Ispat
Prakash Inds
Sarda Energy & Minerals
Tata Sponge
Total
EBITDA (Rs m)
Adhunik Metaliks
Bhushan Steel
Godawari Power & Ispat
Jai Balaji Inds
Monnet Ispat
Prakash Inds
Sarda Energy & Minerals
Tata Sponge
Total
March 2011
2005
2006
2007
2008
2009
2010
2011E
2012E
2013E
334
15,647
1,076
1,220
2,471
7,859
1,173
1,749
31,529
67
2,585
211
130
696
747
95
530
5,059
1,302
26,750
1,726
2,749
5,181
7,305
2,273
2,405
49,691
157
4,030
374
188
1,782
1,016
360
922
8,827
4,223
27,940
2,335
4,327
5,325
7,993
2,157
1,930
56,230
719
3,859
360
530
1,382
1,527
200
302
8,879
7,440
38,377
4,432
10,734
6,378
9,329
3,679
10,347
42,053
8,293
13,275
11,591
12,534
6,248
12,703
51,403
10,355
17,180
15,487
15,265
9,488
14,496
56,404
7,764
19,212
14,807
15,677
5,228
18,567
70,396
8,158
21,232
15,539
17,148
8,466
24,799
85,402
9,898
24,451
20,457
22,837
9,231
26,024
86,601
10,480
26,458
25,664
28,705
9,838
2,775
4,566
6,081
5,200
6,595
6,470
6,592
83,142 108,906 137,962 138,788 166,101 203,545 220,362
1,167
6,281
794
1,527
1,742
1,987
687
321
14,504
1,677
8,354
1,690
2,379
2,503
2,845
1,684
1,447
22,579
2,051
12,120
1,154
1,660
3,590
2,976
2,230
1,840
27,621
3,844
14,527
1,226
2,449
4,456
3,525
767
1,239
32,033
5,790
20,160
1,869
3,320
4,530
3,532
1,159
1,323
41,682
6,308
32,533
2,401
4,261
5,432
5,970
1,501
1,433
59,839
6,637
33,785
2,712
6,324
8,318
8,463
1,694
1,469
69,402
57

Metals | New Order
Summary of mid-cap companies (Contd..)
2004
Adjusted PAT (Rs m)
Adhunik Metaliks
Bhushan Steel
Godawari Power & Ispat
Jai Balaji Inds
Monnet Ispat
Prakash Inds
Sarda Energy & Minerals
Tata Sponge
Total
Net Debt (Rs m)
Adhunik Metaliks
Bhushan Steel
Godawari Power & Ispat
Jai Balaji Inds
Monnet Ispat
Prakash Inds
Sarda Energy & Minerals
Tata Sponge
Total
Net Worth (Rs m)
Adhunik Metaliks
Bhushan Steel
Godawari Power & Ispat
Jai Balaji Inds
Monnet Ispat
Prakash Inds
Sarda Energy & Minerals
Tata Sponge
Total
No of Shares (m)
Adhunik Metaliks
Bhushan Steel
Godawari Power & Ispat
Jai Balaji Inds
Monnet Ispat
Prakash Inds
Sarda Energy & Minerals
Tata Sponge
EPS (Rs)
Adhunik Metaliks
Bhushan Steel
Godawari Power & Ispat
Jai Balaji Inds
Monnet Ispat
Prakash Inds
Sarda Energy & Minerals
Tata Sponge
41
903
78
70
282
1,534
268
344
3,518
260
9,193
412
240
2,504
10,460
291
-18
23,343
228
5,887
392
352
1,505
-4,306
472
834
5,364
19
40
3
25
26
115
13
15
2
22
24
3
11
13
20
22
71
1,534
241
86
1,222
3,726
181
609
7,670
881
13,001
825
494
2,226
6,539
727
-454
24,239
761
7,306
632
409
3,089
4,676
609
1,320
18,800
58
40
16
25
32
115
13
15
1
38
15
3
39
32
14
40
337
1,545
373
271
1,059
713
121
221
4,640
981
19,547
1,584
1,205
4,115
5,949
1,025
681
35,085
2,191
8,897
975
647
4,101
5,327
699
1,471
24,308
91
41
16
25
33
115
13
15
4
37
23
11
33
6
9
14
779
3,133
522
620
1,348
1,300
425
212
8,339
4,283
31,418
2,655
6,416
7,139
4,878
1,873
669
59,331
2,673
12,145
2,051
2,459
5,709
6,687
2,082
1,584
35,390
91
42
25
47
34
115
30
15
9
74
21
13
39
11
14
14
822
4,237
1,016
1,206
1,662
1,987
1,214
955
13,100
9,345
56,905
2,208
14,257
7,272
2,786
2,245
-128
468
6,041
577
19
2,160
2,041
1,606
1,207
14,119
1,394
7,597
514
354
2,691
2,662
268
845
16,325
2,172
10,290
820
811
3,113
2,632
417
860
21,113
2,281
13,932
1,023
1,342
3,555
3,907
906
977
27,923
2,475
13,786
1,166
3,085
4,616
5,605
1,124
1,074
32,931
80
43
37
31
46
10
0
16
29
102
52
45
101
31
-30
57
93
39
78
38
52
73
49
-
51
31
63
37
1
44
17
12
1
17
-
31
41
-5
12
30
9
-15
16
7
16
19
95
22
46
64
12
25
-2
-3
-2
16
12
2
14
82
0
25
24
17
18
16
29
12
17
22
1
0
6
0
0
6
0
-
6
16
12
95
22
38
64
12
2005
2006
2007
2008
2009
2010
2011E
2012E
2013E
CAGR (%)
FY04-10 FY11-13
13,984 17,649 19,717 20,979 19,032
79,419 112,839 127,831 132,365 119,888
2,907
11,500
10,796
2,280
4,977
-1,145
3,778
15,942
12,897
1,284
4,348
-932
4,379
17,271
21,442
4,058
4,567
-995
4,554
22,005
30,002
7,018
5,412
-2,040
4,223
23,135
26,791
4,236
5,888
-3,311
94,891 124,718 167,806 198,270 220,295 199,882
3,288
16,253
3,873
4,475
10,888
9,098
4,028
2,435
54,336
91
42
28
47
48
115
34
15
9
100
36
26
35
17
36
62
3,760
24,285
4,365
4,495
12,863
10,291
5,133
3,497
7,205
39,917
4,797
9,351
16,730
14,308
5,646
4,201
9,404
50,082
5,518
10,012
21,205
17,538
6,949
4,916
11,512
63,890
6,466
11,131
24,387
20,894
7,729
5,750
14,601
77,552
7,520
13,917
28,629
29,173
8,727
6,679
68,689 102,154 125,624 151,757 186,799
91
42
28
47
48
115
34
15
5
142
21
0
45
18
47
78
123
42
28
64
52
122
34
15
11
179
18
6
51
22
8
55
130
212
28
64
64
134
36
15
17
48
29
13
49
20
12
56
130
212
32
64
64
134
36
15
18
66
32
21
56
29
25
63
132
212
32
64
64
150
36
15
19
65
37
48
72
37
31
70
Source: Company/MOSL
March 2011
58

Update
SECTOR: METALS
Bhushan Steel
BSE SENSEX
S&P CNX
18,328
Bloomberg
Equity Shares (m)
52-Week Range (Rs)
1,6,12 Rel. Perf. (%)
M.Cap. (Rs b)
M.Cap. (US$ b)
5,494
BHUS IN
212.4
545/252
10/16/18
91.3
2.0
Rs430
Neutral
Emerging primary steel producer
Bhushan Steel (Bhushan) is a leading cold-rolled product manufacturer in India, with a
rich product mix. Its plants are strategically located near customers and ports. Value-
added products such as cold-rolled color coated sheets, galva and galume dominate
its revenue mix (77% in FY10). To integrate backward, Bhushan has set up a 2.2mtpa
integrated steel plant, India's only successful greenfield steel project in the last decade.
The plant is in the mineral rich state of Orissa and is being expanded further to 5mtpa
by FY13. Its captive iron ore and coal mines will start production over the next 2-3
years.
Crude steel production to grow at 32% CAGR
Y/E March
2011E 2012E 2013E
85.4
32.5
86.6
33.8
13.8
64.9
-1.0
363.5
6.6
1.2
2.4
6.3
17.9
11.9
21.5
Sales (Rs b)
70.4
EBITDA (Rs b) 20.2
NP (Rs b)
EPS (Rs)
EPS Gr. (%)
BV/Sh. (Rs)
P/E (x)
P/BV (x)
EV/Sales (x)
10.3
13.9
48.5
65.6
-72.9
35.4
234.1 299.1
8.9
1.8
3.1
6.6
1.4
2.6
6.9
21.9
12.1
23.9
EV/EBITDA (x) 10.9
RoE (%)
20.7
RoCE (%)
9.7
RoIC (%)
19.4
The Orissa plant started production of steel in 2006 in a small way, with initial
capacity of 300ktpa (phase-1). Though its 1.9mtpa HRC plant started production
in April 2010 (phase-2) and has already achieved capacity utilization of 60%,
commercial production is likely to be announced in March 2011. HRC production
is expected to grow at a CAGR of 38% to 1.62m tons over FY11-13.
Phase-III expansion to 5mtpa is expected to be commissioned by 1QFY13; the
company has already spent Rs42b out of the total project cost of Rs100b. We
expect crude steel production to grow at 32% CAGR to 2.1m tons over FY11-13.
Bhushan is setting up a 0.5mtpa ERW pipe mill (4"-25") at Khopoli at a capex of
Rs12b. Work on the mill is on track for commissioning by June 2011. This will
increase value addition.
Shareholding pattern % (Dec-10)
Iron ore and coking coal prices to push up cost of production
Others,
27.5
Foreign,
2.6
Domestic
Inst, 0.8
Promoter
69.2
At present, Bhushan sources iron ore from the mineral rich area of Barbil, Orissa.
~80% of its iron ore requirement is met through Orissa Mining Corporation mines
(~180km away from Angul) and it sources 70-85% of its coal through linkage provided
by Mahanandi Coalfields. Iron ore prices have been hardening for the last few months.
Prices of e-auction coal have also increased by ~25%. While steel prices have
increased, so have costs.
Raw material integration over 2-3 years
Stock performance (1 year)
Bhushan Steel
Sensex - Rebased
600
500
400
300
200
Mar-10
Jul-10
Nov-10 Mar-11
Though Bhushan has already been allotted captive mines for key raw materials,
development of these mines has been slow. The thermal coal mine at Orissa is at
the stage of land acquisition. The company expects to get land possession in the
next six months.
Bhushan has acquired 60% stake in Bowen Energy, Australia for US$15m with
the intention of ensuring long-term supply of coking coal. Bowen holds licenses to
explore four major coal blocks in the Bowen basin. The mine portfolio consists of
two open cast thermal mines (West Rollestone and Tarong Projects), one
underground coking coal mine (Black Water South Project) and one underground
coking, PCI, thermal coal mine (East Middlemount). The first stage of exploration
is completed and it will take 3-4 years to commence production from these mines.
March 2011
59

Bhushan Steel
Leveraged play on strong volume growth
Debt increased from Rs110b as of March 2010 to Rs140b as of December 2010.
Annual capex of Rs25b will keep absolute debt rising till FY12. Debt-equity ratio,
however, will decline from 2.8x in FY10 to 1.5x by FY13 due to improved internal
cash flows.
Bhushan has delivered superior margins in the last few quarters due to focus on
value addition and strict control over costs. Volumes will continue to grow as HSM's
capacity utilization is improving every quarter. Ongoing expansion to 5mtpa will add
further to steel volumes in FY13. We expect earnings to grow at a CAGR of 22% over
FY10-13. The stock is trading at 6.6x FY12E EPS and an EV of 6.9x EBITDA. We
value the stock at Rs598 (2x FY12E BV). Maintain
Neutral.
March 2011
60

Bhushan Steel
Crude steel volumes to grow at a CAGR of 32%
2,400
1,800
1,200
600
0
FY07
FY08
FY09
FY10 FY11E FY12E FY13E
CRC
Crude Steel
HRC
Steel sales volumes to grow at a CAGR of 16%
CRC
2,400
Saleable Steel
16% CAGR
32% CAGR
1,800
1,200
600
0
FY07
FY08
FY09
FY10 FY11E FY12E FY13E
EBITDA to grow at a CAGR of 29%
33
29% CAGR
20
12
6
8
15
34
Leverage to decline (Rs b)
160
120
80
40
0
Debt
Net w orth
D/E ratio
5.0
3.5
2.0
0.5
-1.0
FY07
FY08
FY09
FY10 FY11E FY12E FY13E
FY07
FY08
FY09
FY10
FY11E
FY12E
FY13E
Expansion plan
Product ('000 tons)
Sponge Iron
Billets
Blast furnace
Slabs
HR Coil
Power plant (MW)
Phase I
1,020
300
0
0
0
410
Phase II
340
0
1,269
2,000
1,900
0
Phase III (under
implementation)
0
0
2,900
3,000
2,500
0
Capacities post
complete expansion
1,360
300
4,169
5,000
4,400
410
FY10 revenue break-up
Others
23%
Value added
Products
48%
Mineral resources (m tons)
Block
New Patrapara - Coal
Andal East - Coal
Urdtan - Coking coal
Marsua Tirba - Iron ore
Reserves
325
235
55
70
State
Orissa
West Bengal
Madhya Pradesh
Orissa
Comm. by
end FY13
-
-
FY13
Galva
29%
Source: Company/MOSL
March 2011
61

Bhushan Steel
Financials and Valuation
Income Statement (Standalone)
Y/E March
Net Sales
Change (%)
Total Expenses
EBITDA
% of Net Sales
Depn. & Amortization
EBIT
Net Interest
Other income
PBT before EO
EO income
PBT after EO
Tax
Rate (%)
Reported PAT
Preference dividend
Adjusted PAT
Change (%)
2009
51,403
22.2
39,282
12,120
23.6
2,344
9,776
2,521
181
7,436
-
7,436
1,395
18.8
6,041
-
6,041
42.6
2010
56,404
9.7
41,876
14,527
25.8
2,091
12,436
2,100
320
10,655
858
11,514
3,056
26.5
8,458
2
7,597
25.8
2011E
70,396
24.8
50,236
20,160
28.6
2,406
17,754
4,037
392
14,109
-
14,109
3,783
26.8
10,326
37
10,290
35.4
(Rs Million)
2012E
85,402
21.3
52,869
32,533
38.1
7,480
25,053
6,122
471
19,401
-
19,401
5,432
28.0
13,969
37
13,932
35.4
2013E
86,601
1.4
52,816
33,785
39.0
8,880
24,905
6,271
565
19,199
-
19,199
5,376
28.0
13,823
37
13,786
-1.0
Ratios
Y/E March
Basic (Rs)
EPS
Cash EPS
BV/Share
DPS
Payout (%)
Valuation (x)
P/E
Cash P/E
P/BV
EV/Sales
EV/EBITDA
Dividend Yield (%)
EV/ton (US$/ton)
Return Ratios (%)
EBITDA Margins
Net Profit Margins
RoE
RoCE
RoIC
23.6
11.8
24.9
9.1
31.4
25.8
13.5
19.2
7.9
30.1
28.6
14.6
20.7
9.7
19.4
38.1
16.3
21.9
12.1
23.9
39.0
15.9
17.9
11.9
21.5
28.4
39.5
114.4
0.5
2.1
35.8
45.6
186.2
0.5
1.5
48.5
59.8
234.1
0.5
1.2
65.6
100.8
299.1
0.5
0.9
64.9
106.7
363.5
0.5
0.9
2009
2010
2011E
2012E
2013E
15.1
10.9
3.8
1.9
8.1
0.1
984
12.0
9.4
2.3
2.3
9.0
0.1
1,320
8.9
7.2
1.8
3.1
10.9
0.1
2,207
6.6
4.3
1.4
2.6
6.9
0.1
2,252
6.6
4.0
1.2
2.4
6.3
0.1
2,127
Balance Sheet
Y/E March
Share Capital
Preference Capital
Reserves
Net Worth
2009
425
23,860
24,285
2010
425
367
39,125
39,917
2011E
425
367
49,291
50,082
(Rs Million)
2012E
425
367
63,098
63,890
2013E
425
367
76,761
77,552
Working Capital Ratios
Fixed Asset T/O (x)
1.6
Asset Turnover (x)
Debtor (Days)
Inventory (Days)
Creditors (Days)
Leverage Ratio (x)
Current Ratio
Interest Cover Ratio
Debt/Equity
0.5
44
87
97
1.5
0.4
47
127
101
0.7
0.4
50
70
100
0.7
0.4
50
70
100
0.6
0.4
50
70
100
Loans
80,662 114,041 129,041 139,041 129,041
Def. Tax Liability (net) 2,463
3,295
3,295
3,295
3,295
Capital Employed 107,411 157,253 182,419 206,226 209,889
Gross Block
Less: Accu. Deprn.
Net Fixed Assets
Capital WIP
Investments
Curr. Assets
Inventories
Sundry Debtors
Cash and Bank
Loans and Adv.
32,819
13,959
18,860
74,001
1,077
27,436
12,304
6,198
1,244
7,691
36,859
16,066
20,793
111,093
3,700
37,702
19,627
7,339
1,202
9,534
16,036
15,671
365
21,666
96,859 116,859 136,859
18,472
78,387
86,093
3,700
33,889
13,501
9,643
1,210
9,534
19,651
19,287
365
14,237
25,952 34,832
90,907 102,027
91,093
3,700
44,288
16,378
11,699
6,676
9,534
23,762
23,398
365
20,525
81,093
3,700
47,159
16,608
11,863
9,153
9,534
24,091
23,726
365
23,068
2.0
3.9
3.3
2.4
5.9
2.8
1.7
4.4
2.6
1.9
4.1
2.1
2.0
4.0
1.5
Cash Flow Statement
Y/E March
Pre-tax Profit
Depreciation
(Inc)/Dec in Wkg. Cap.
Tax paid
Other oper. activities
CF fr. Op. Activity
2009
7,436
2,278
-958
-899
2,115
9,973
2010
11,514
2,107
-8,235
-2,224
6,933
10,095
-41,132
-2,623
-43,755
367
33,379
-124
-2.331
33,619
-42
1,244
1,202
2011E
14,109
2,406
7,437
-3,783
-
20,169
-35,000
-
-35,000
-
15,000
-124
-36.683
14,839
9
1,202
1,210
(Rs Million)
2012E
19,401
7,480
-822
-5,432
-
20,627
-25,000
-
-25,000
-
10,000
-124
-36.683
9,839
5,466
1,210
6,676
2013E
19,199
8,880
-66
-5,376
-
22,638
-10,000
-
-10,000
-
-10,000
-124
-36.683
-10,161
2,477
6,676
9,153
Curr. Liab. & Prov. 13,964
Sundry Creditors
13,687
Other Liabilities & Prov. 277
Net Curr. Assets 13,472
(Inc)/Dec in FA
-31,869
(Pur)/Sale of Invest.
-493
CF fr. Inv. Activity -32,362
Equity raised/(repaid)
-
Appl. of Funds
107,411 157,253 182,419 206,226 209,889
E: MOSL Estimates
Debt raised/(repaid) 23,481
Dividend (incl. tax)
-124
Other Fin. Activities
CF fr. Fin. Activity
23,357
(Inc)/Dec in Cash
967
Add: opening Balance 276
Closing Balance
1,244
March 2011
62

Update
SECTOR: METALS
Adhunik Metaliks
BSE SENSEX
S&P CNX
18,328
Bloomberg
Equity Shares (m)
52-Week Range (Rs)
1,6,12 Rel. Perf. (%)
M.Cap. (Rs b)
M.Cap. (US$ b)
5,494
ADML IN
123.5
137/77
12/-16/-24
12.0
0.3
Rs97
Buy
Three-pronged strategy to drive earnings growth
Adhunik is in the business of mining iron ore and manganese ore and producing
special steel. It is also entering the power business. Its mining business is a cash
cow, but its steel business' margins have been under pressure. Captive iron ore mines
will improve the margins of steel business. Its power business (61% stake in APNR)
will start generating cash flows in FY13.
Mining: cash flows strong; to grow further
Adhunik's wholly-owned subsidiary, OMM's Ghatkuri iron ore mine is operational
since January 2009 with high grade reserves of 60-64% Fe content, lumps to fines
ratio of 70:30 and approved mining plan for 2mtpa. Its stripping ratio is very low
due to absence of overburden, enabling cost saving. Its iron ore production is
expected to rise from 1.1m tons in FY11 to 1.5m tons in FY13.
It has recently entered into equal partnership with the erstwhile promoters of Suleipat
mine located at Mayurbhanj, Orissa (90km from Jamshedpur, 80m tons of reserves
with 64 Fe grade ore). The total mining area is ~618 hectares, which includes 200
hectares of non-forest land. The Central Empowered Committee (CEC) has already
approved mining operations in 70 hectares of non-forest area, with a mining plan of
0.6mtpa. The company is now awaiting state approval and final clearance from the
Environmental Ministry for commencement of mining operations. The management
expects to start operations from 1QFY12 and has already placed orders for the
requisite mining equipment.
Its open-cast manganese mine (Patmunda) is operational since January 2008,
with approved mining plan of 0.36mtpa. It plans to increase manganese ore
production at Patmunda through further mechanization. It has also recently started
mining operations in the non-forest area of its three other mines, which will drive
volumes further. Manganese ore production is expected to rise from 151k tons in
9MFY11 to 300k tons in FY13.
A 1.2mtpa beneficiation and pellet plant (based on straight grate technology) to
convert iron ore fines into pellets is being set up at Jamshedpur at a capex of
Rs4.4b. Till date, Rs2.9b is already invested in the plant and all the equipment has
arrived at the plant site. The company expects to commission the beneficiation
unit in 1QFY12 and pellet plant in 3QFY12.
Special steel: captive mine and Rs4.5b capex to drive growth
Standalone steel operations (located at Rourkela) cater to the automobile, power,
engineering, hydrocarbon and construction sectors. Operating efficiencies are superior
due to the incorporation of a blast furnace, sponge iron, sinter plant and coke ovens in
the electric route of steel making. Rs4.6b capex to increase sponge iron ore capacity
by 100ktpa and 45MW CPP and captive iron ore mine will fuel earnings growth. Captive
iron ore mine has received forest and environment clearances and area has been
demarcated for mining lease. Opening of mine, though delayed repeatedly, is now
scheduled for 1QFY12.
Y/E March
2011E 2012E 2013E
25.7
6.8
2.3
4.8
17.5
4.8
78.6
5.5
1.2
1.3
5.0
22.3
15.8
25.5
28.8
7.2
2.4
7.0
18.5
5.5
100.5
5.2
1.0
1.0
4.1
18.4
16.6
28.2
Sales (Rs b)
18.6
EBITDA (Rs b) 5.8
PAT (Rs b)
2.2
Growth (%)
EPS (Rs)
EPS Gr. (%)
BV/Sh. (Rs)
P/E (x)
P/BV (x)
EV/Sales (x)
55.8
16.7
48.1
62.4
5.8
1.6
1.7
EV/EBITDA (x) 5.6
RoE (%)
26.8
RoCE (%)
14.5
RoIC (%)
22.5
Shareholding pattern % (Dec-10)
Promoter
Others,
14.9
55.5
Foreign,
16.4
Domestic
Inst, 13.1
Stock performance (1 year)
Adhunik Metaliks
Sensex - Rebased
160
135
110
85
60
Mar-10
Jul-10
Nov-10 Mar-11
March 2011
63

Adhunik Metaliks
Entering merchant power business
APNR, in which Adhunik has 61% stake, is setting up a 540MW independent power
project (IPP) at a capex of Rs26.5b at Jharkhand. The entire debt has been tied up and
two private equity players have already put in Rs3.75b for 39% stake. Environmental
clearance for the first unit of 270MW has been received and commissioning is likely by
1QFY13. The company plans to double the capacity at its existing location through
brownfield expansion.
Valuations attractive
We believe Adhunik is on a strong earnings growth path on the back of rich mineral
resources and focus on growth. Over FY11-13, manganese ore production will grow at a
CAGR of 18% to 300k tons and iron ore production at a CAGR of 22% to 1.5m tons.
Commissioning of pellet plant and captive iron ore mine will help expand margins further.
We expect earnings to grow at a CAGR of 19% over FY10-13 without considering estimates
of Suleipat iron ore mine and 540MW IPP. The stock is trading at an EV of 5x FY12E
EBITDA. Re-iterate
Buy.
March 2011
64

Adhunik Metaliks
Strong volume growth in OMM (k tons)
Manganese ore
1,152
1,010
Iron ore
1,168
1,497
Strong growth in OMM EBITDA (Rs b)
AML standalone
6.0
4.5
3.0
OMM
Conso debt
24
18
12
6
0
FY08
FY09
FY10
FY11E
FY12E
FY13E
324
182
143
216
260
299
1.5
0.0
FY09
FY10
FY11
FY12
FY13
Beneficiation plant: under commissioning
Pellet plant: under construction
Pellet plant: equipment at the site
Note: Pictures taken on 17 December 2010 during site visit
Mineral reserves
Mineral
Merchant Mining (OMM)
Iron ore
Iron ore (JV co)
Manganese ore
Manganese ore
Steel (captive) AML
Iron ore
Coal
Power (captive) APNRL
Coal
Reserves
(m tons)
97
80
53
5
25
31
69
Ghatkuri, Jharkhand
Suleipat, Orissa
Patmunda, Orissa
Koira, Orissa
Keonjhar, Orissa
Talcher, Orissa
Ganeshpur, Jharkhand
Fe 60-64 grade; Operational since Jan-09
Fe 64+; 200Ha non forest area; By 1QFY12
Avg grade 32% Mn; Operational since Jan-08
Avg grade 32% Mn; Recently opened 3 mines
ML expected soon; By 1QFY12
JV with Bhushan Steel; by 4QFY13
JV Tata Steel; expected by 4QFY13
Source: Company/MOSL
March 2011
Location
Remarks
65

Adhunik Metaliks
Financials and Valuation
Income Statement (Consolidated)
Y/E March
Net Sales
Change (%)
Total Expenses
EBITDA
% of Net Sales
Depn. & Amortization
EBIT
Net Interest
Other income
PBT before EO
EO Income
PBT after EO
Tax
Rate (%)
Reported PAT
Adjusted PAT
Change (%)
2009
12,703
22.8
10,652
2,051
16.1
402
1,649
1,201
282
730
-7
723
263
36.4
460
468
-43.1
2010
14,496
14.1
10,652
3,844
26.5
677
3,167
1,595
448
2,021
-21
2,000
629
31.5
1,371
1,394
198.2
2011E
18,567
28.1
12,777
5,790
31.2
1,028
4,762
1,792
30
3,000
-
3,000
738
24.6
2,262
2,172
55.8
(Rs Million)
2012E
25,670
38.3
18,883
6,787
26.4
1,078
5,709
2,223
75
3,562
-
3,562
1,168
32.8
2,393
2,276
4.8
2013E
28,761
12.0
21,572
7,190
25.0
1,133
6,057
2,153
77
3,982
-
3,982
1,397
35.1
2,585
2,434
7.0
Ratios
Y/E March
Basic (Rs)
EPS
Cash EPS
BV/Share
DPS
Payout (%)
Valuation (x)
P/E
Cash P/E
P/BV
EV/Sales
EV/EBITDA
Dividend Yield (%)
Return Ratios (%)
EBITDA Margins
Net Profit Margins
RoE
RoCE
RoIC
5.1
9.5
31.2
1.0
23.2
11.3
16.8
48.3
1.2
12.6
16.7
24.6
62.4
1.2
8.1
17.5
25.8
78.6
1.2
7.6
18.5
27.1
100.5
1.2
7.2
2009
2010
2011E
2012E
2013E
18.9
10.2
3.1
1.8
11.1
1.0
8.6
5.8
2.0
2.0
7.7
1.2
5.8
3.9
1.6
1.7
5.6
1.2
5.5
3.8
1.2
1.3
5.0
1.2
5.2
3.6
1.0
1.0
4.1
1.2
16.1
3.7
16.4
7.8
11.9
26.5
9.6
23.4
11.1
16.6
31.2
11.7
26.8
14.5
22.5
26.4
8.9
22.3
15.8
25.5
25.0
8.5
18.4
16.6
28.2
Balance Sheet
Y/E March
Share Capital
Reserves
Net Worth
Loans
Secured
2009
912
2,847
3,760
15,357
11,354
2010
1,235
5,970
7,205
19,435
16,967
2,468
1,459
28,642
18,232
1,649
16,583
7,752
1
11,125
5,257
2,206
1,786
1,875
6,825
6,363
461
4,301
5
28,642
2011E
1,299
8,106
9,404
21,395
18,927
2,468
1,459
32,892
20,151
2,676
17,475
9,752
301
10,801
5,344
1,904
1,678
1,875
5,442
4,981
461
5,359
5
32,892
(Rs Million)
2012E
1,299
10,208
11,507
22,395
19,927
2,468
1,459
36,112
21,651
3,754
17,897
11,752
601
13,193
7,323
2,635
1,359
1,875
7,336
6,875
461
5,857
5
36,112
2013E
1,317
13,239
14,555
19,635
17,167
2,468
1,459
36,550
21,731
4,887
16,845
11,752
601
15,446
7,875
2,974
2,722
1,875
8,099
7,638
461
7,347
5
36,550
Working Capital Ratios
Fixed Asset Turnover (x)1.1
Asset Turnover (x)
Debtor (Days)
Inventory (Days)
Creditors (Days)
Leverage Ratio (x)
Current Ratio
Interest Cover Ratio
Debt/Equity
0.6
45
110
113
0.8
0.5
56
132
160
0.9
0.6
37
105
98
1.2
0.7
37
104
98
1.3
0.8
38
100
97
Unsecured
4,003
Def. Tax Liability (net) 1,051
Capital Employed 21,092
Gross Block
11,559
2.1
1.4
4.9
1.6
2.0
3.0
2.0
2.7
2.4
1.8
2.6
2.1
1.9
2.8
1.3
Less: Accum. Deprn.
901
Net Fixed Assets 10,658
Capital WIP
Investments
Curr. Assets
Inventories
Sundry Debtors
Cash and Bank
Loans and Adv.
Curr. Liab. & Prov.
5,654
201
8,695
3,834
1,576
1,373
1,912
4,117
Cash Flow Statement
Y/E March
Pre-tax Profit
Depreciation
2009
723
389
2010
2,000
747
690
-570
-622
2,246
-8,770
200
-8,570
323
2,510
4,078
-173
6,737
413
1,373
1,786
2011E
3,000
1,028
-1,167
-738
146
2,269
-3,919
-300
-4,219
64
-
1,960
-182
1,842
-108
1,786
1,678
(Rs Million)
2012E
3,562
1,078
-817
-1,168
9
2,663
-3,500
-300
-3,800
-
-
1,000
-182
818
-319
1,678
1,359
2013E
3,982
1,133
-128
-1,397
781
4,371
-80
-80
18
-
-2,760
-185
-2,927
1,363
1,359
2,722
(Inc)/Dec in Wkg. Cap. -827
Tax Paid
-231
Other Oper. Activities 1,039
CF fr. Op. Activity
1,093
(Inc)/Dec in FA
-5,836
(Pur)/Sale of Invest.
211
CF fr. Inv. Activity
-5,625
-
Sundry Creditors
3,946
Other Liabilities & Prov. 171
Net Curr. Assets
4,578
Misc. Exp. (not w/off)
1
Appl. of Funds
21,092
E: MOSL Estimates
Sh. cap. raised/(repaid)
Share Premium
Debt raised/(repaid)
Dividend (incl. tax)
CF fr. Fin. Activity
-
5,478
-107
5,371
(Inc)/Dec in Cash
839
Add: opening Balance 534
Closing Balance
1,373
March 2011
66

Update
SECTOR: METALS
Godawari Power & Ispat
BSE SENSEX
S&P CNX
18,328
Bloomberg
Equity Shares (m)
52-Week Range
1,6,12 Rel. Perf. (%)
M.Cap. (Rs b)
M.Cap. (US$ m)
5,494
GODPI IN
28.1
320/157
8/-18/-23
5.0
110.1
Rs177
Buy
Pellet plant stabilizing
Y/E March
Sales (Rs b)
EBITDA (Rs b)
PAT (Rs b)
Growth (%)
EPS (Rs)
EPS Gr. (%)
BV/Sh. (Rs)
P/E (x)
P/BV (x)
EV/Sales (x)
EV/EBITDA (x)
RoE (%)
RoCE (%)
RoIC (%)
2011E 2012E 2013E
8.2
1.9
0.8
9.9
2.4
1.0
10.5
2.7
1.2
14.0
36.7
14.0
226.7
4.8
0.8
0.9
3.6
16.2
14.7
18.5
59.5
24.8
29.2
32.2
59.5
10.2
186.6 193.5
6.1
5.5
0.9
1.1
5.0
15.7
14.0
17.7
0.9
1.0
4.2
16.6
14.5
18.0
Shareholding pattern % (Dec-10)
Promoter
Others,
28.6
59.0
Foreign,
6.2
Domestic
Inst, 6.2
Godawari Power and Ispat produces steel via the sponge iron route and generates
captive power from waste gases produced at the kilns. The company doubled its
sponge iron capacity to 495ktpa and steel billet capacity to 400ktpa along with a
53MW captive power plant (CPP) in FY08. Since then, it has shifted focus to
reducing costs through backward integration. Its 700ktpa iron ore mine and 600ktpa
pellet plant started operations in FY10. The 20MW biomass based power plant
has been commissioned in December 2010.
The company has focused on sponge iron production and power generation. Its
steel production keeps fluctuating depending on the economics between value
addition and merchant sale of power.
After initial teething problems in the last few quarters, the pellet plant is getting
stabilized. In 3QFY11, Godawari produced 103k tons of pellets, achieving capacity
utilization of 69%. Prices of special grade iron ore needed for sponge iron production
have shot up due to shortage in the country. Low cost pellets produced from
captive iron ore have substituted expensive iron ore, thereby generating significant
savings. The captive iron ore lumps and pellets are meeting 90-95% of its
requirement.
Iron ore production is expected to ramp up from 309k tons in 9MFY11 to 480k tons
in FY12 and 700k tons in FY13. Another iron ore mine at Boria Tibu in Chhattisgarh
is awaiting forest clearance. Statutory clearance for captive coal blocks (Nakia I &
II and Madanpur) is still pending.
The 20MW biomass-based power unit at Raipur is under stabilization phase and
will boost earnings further. The company is also setting up a 1,200MW independent
power project (IPP) through a 100% subsidiary (Godawari Energy Limited). It is
awaiting regulatory clearances and coal linkages before beginning work on the
project.
We expect iron ore and pellet production to increase at a CAGR of 28% and 37%
over FY11-13 to 700k tons and 500k tons, respectively. Widening spread between
thermal coal and steel prices is the key earnings driver. We expect earnings to
grow at a CAGR of 26% over FY10-13. The stock trades at an EV of 4.2x FY12E
EBITDA. Re-iterate
Buy.
Mineral resources
Stock performance (1 year)
Godaw ari Pow er & Ispat
Sensex - Rebased
350
300
250
200
150
Mar-10
Jul-10
Nov-10 Mar-11
Mine/ Blocks
Iron Ore
Ari Dongri
Boria Tibu
Dallirajhara
Coal
Nakia I & II
Madanpur
Reserves (m tons)
7
15
-
63
12
Status
Operational
Approvals awaited
PL received for 754 hectares of area
Approvals awaited
Stuck under No-Go zone
March 2011
67

Godawari Power & Ispat
Higher pellet and iron ore production…
Pellet (kt)
Steel (kt)
Sponge Iron (kt)
Iron ore (kt)
..leading to improvement in EBIDTA margins
EBITDA (Rs m)
740
540
340
140
-60
Margin (%) - RHS
28.0
20.0
12.0
4.0
-4.0
160
120
80
40
0
Ramping up pellet and iron ore production
Iron ore (kt)
800
600
400
200
0
FY10
FY11E
FY12E
FY13E
Pellet (kt)
Power volumes to grow at 16% CAGR
Pow er (MU)
500
375
250
125
0
FY06
FY07
FY08
FY09
FY10 FY11E FY12E FY13E
Sponge Iron (kt)
Steel (kt)
EBITDA to grow at a CAGR of 20% (Rs m)
Revenue composition (FY10)
Pow er
Generation
11%
Ferro
Alloys
1%
Others
4%
Sponge
Iron
41%
Steel
Wires
27%
FY06
FY07
FY08
FY09
FY10
FY11E FY12E FY13E
Steel Billets
16%
Source: Company/MOSL
March 2011
68

Godawari Power & Ispat
Financials and Valuation
Income Statement (Standalone)
Y/E March
Net Sales
Change (%)
Total Expenses
EBITDA
% of Net Sales
Depn. & Amortization
EBIT
Net Interest
Other income
PBT
Tax
Rate (%)
Reported PAT
Adjusted PAT
Change (%)
2009
10,355
24.9
9,201
1,154
11.1
264
890
342
104
653
75
11.5
577
577
-43.2
2010
7,764
-25.0
6,538
1,226
15.8
316
910
320
30
620
106
17.1
514
514
-10.9
2011E
8,158
5.1
6,289
1,869
22.9
418
1,451
440
17
1,027
207
20.2
820
820
59.5
(Rs Million)
2012E
9,898
21.3
7,496
2,401
24.3
727
1,675
420
24
1,278
256
20.0
1,023
1,023
24.8
2013E
10,480
5.9
7,768
2,712
25.9
857
1,854
431
33
1,457
291
20.0
1,166
1,166
14.0
Ratios
Y/E March
Basic (Rs)
EPS
Cash EPS
BV/Share
DPS
Payout (%)
Valuation (x)
P/E
Cash P/E
P/BV
EV/Sales
EV/EBITDA
Dividend Yield (%)
EV/ton (US$/ton)
Return Ratios (%)
20.6
30.0
145.5
2.5
14.2
18.3
29.6
160.9
2.5
16.0
29.2
44.1
186.6
3.0
12.0
32.2
55.1
193.5
3.0
10.9
36.7
63.7
226.7
3.0
9.6
2009
2010
2011E
2012E
2013E
8.6
5.9
1.2
0.8
6.8
1.4
1,613
9.7
6.0
1.1
1.1
7.1
1.4
3,431
6.1
4.0
0.9
1.1
5.0
1.7
3,451
5.5
3.2
0.9
1.0
4.2
1.7
1,879
4.8
2.8
0.8
0.9
3.6
1.7
1,363
Balance Sheet
Y/E March
Share Capital
Reserves
Net Worth
Loans
Capital Employed
Gross Block
2009
281
4,084
4,365
3,318
7,682
4,588
2010
281
4,516
4,797
3,915
8,712
6,907
1,101
5,806
602
715
2,554
1,586
358
137
473
965
779
186
1,589
8,712
2011E
281
5,237
5,518
4,815
10,333
8,407
1,519
6,888
802
915
2,361
1,006
447
436
473
633
447
186
1,728
10,333
(Rs Million)
2012E
318
6,148
6,466
5,065
11,531
9,907
2,246
7,661
802
915
2,881
1,356
542
511
473
728
542
186
2,153
11,531
2013E
318
7,202
7,520
5,065
12,585
11,407
3,103
8,303
802
915
3,325
1,436
574
842
473
760
574
186
2,565
12,585
EBITDA Margins
Net Profit Margins
RoE
RoCE
RoIC
11.1
5.6
14.1
11.6
17.4
15.8
6.6
11.4
10.4
12.5
22.9
10.0
15.7
14.0
17.7
24.3
10.3
16.6
14.5
18.0
25.9
11.1
16.2
14.7
18.5
Working Capital Ratios
Fixed Asset T/O (x)
Asset Turnover (x)
Debtor (Days)
Inventory (Days)
Creditors (Days)
Leverage Ratio (x)
Current Ratio
Interest Cover Ratio
Debt/Equity
3.3
2.6
0.7
2.6
2.8
0.8
3.7
3.3
0.8
4.0
4.0
0.7
4.4
4.3
0.6
2.3
1.3
11
48
20
1.1
0.9
17
75
37
1.0
0.8
20
45
20
1.0
0.9
20
50
20
0.9
0.8
20
50
20
Less: Accum. Deprn.
788
Net Fixed Assets
3,800
Capital WIP
Investments
Curr. Assets
Inventories
Sundry Debtors
Cash and Bank
Loans and Advances
1,714
446
2,463
1,348
303
410
402
Cash Flow Statement
Y/E March
Pre-tax Profit
Depreciation
(Inc)/Dec in Wkg. Cap.
Tax Paid
Other Oper. Activities
CF fr. Op. Activity
(Inc)/Dec in FA
2009
653
264
485
-75
-4
1,323
-1,814
2010
620
313
-139
-106
0
688
-1,207
-270
-1,477
597
-82
515
-273
410
137
2011E
1,027
418
160
-205
-2
1,397
-1,700
-200
-1,900
900
-99
801
299
137
436
(Rs Million)
2012E
1,278
727
-350
-256
0
1,400
-1,500
0
-1,500
250
-112
175
75
436
511
2013E
1,457
857
-80
-291
0
1,943
-1,500
0
-1,500
0
-112
-112
332
511
842
Curr. Liability & Prov. 740
Sundry Creditors
556
Other Liab. & Prov.
185
Net Current Assets 1,723
Appl. of Funds
7,682
E: MOSL Estimates
(Pur)/Sale of Invest.
-126
CF fr. Inv. Activity -1,940
Debt raised/(repaid)
476
Dividend (incl. tax)
-82
CF from Fin. Activity 393
(Inc)/Dec in Cash
-224
Add: opening Balance 634
Closing Balance
410
March 2011
69

Update
SECTOR: METALS
Jai Balaji Industries
BSE SENSEX
S&P CNX
18,328
Bloomberg
Equity Shares (m)
52-Week Range (Rs)
1,6,12 Rel. Perf. (%)
M.Cap. (Rs b)
M.Cap. (US$ b)
5,494
JBIL IN
63.8
333/168
-10/-32/-36
11.5
0.3
Rs180
Buy
Big ambitions in coal mining
Y/E March
2011E 2012E 2013E
24.5
4.3
26.5
6.3
3.1
48.4
129.8
208.2
3.7
0.9
1.3
5.5
23.2
13.0
14.4
Sales (Rs b)
21.2
EBITDA (Rs b) 3.3
NP (Rs b)
EPS (Rs)
EPS Gr. (%)
BV/Sh. (Rs)
P/E (x)
P/BV (x)
EV/Sales (x)
EV/EBITDA (x)
RoE (%)
RoCE (%)
RoIC (%)
0.8
1.3
12.7
21.1
129.0
65.6
147.0 164.5
14.2
1.2
1.4
8.7
8.6
8.7
10.5
8.6
1.1
1.4
7.9
12.8
9.7
12.6
Shareholding pattern % (Dec-10)
Promoter
50.8
Others,
20.5
Foreign,
26.2
Domestic
Inst, 2.6
Stock performance (1 year)
Jai Balaji Inds
Sensex - Rebased
350
300
250
200
150
Mar-10
Jul-10
Nov-10 Mar-11
Jai Balaji Industries (JBIL) has increased its metallic and crude steel production
capacities at a CAGR of 62% and 42% to 954ktpa and 906ktpa, respectively over
FY07-10 through organic as well as inorganic means (merger of Sri Ramrupai
Balaji, acquisition of sponge capacities from HEG and Nilachal, etc). Capacity
utilization of aggregate DRI and pig iron facilities has improved consistently over
the years to 65% and 84%, respectively.
It has set up a 608ktpa sinter plant to reduce dependency on external lumps; this
plant is running at 100% capacity utilization and is contributing significantly to
reducing the cost of production of hot metal.
Its 111MW CPP utilizes waste gases of DRI kilns, blast furnaces and solid waste
generated from integrated operations, which helps to keep cost of power generation
low at Rs1.25/unit.
JBIL has set up a 240ktpa ductile iron (DI) pipe mill to improve product mix and tap
the increasing domestic demand for DI pipes. The mill started commercial production
in 3QFY11 and is expected to contribute significantly to margins in the near term.
The company has orders worth 50,000 tons in hand, as demand remains robust.
JBIL has rich reserves of coal allotted by state and central governments over the
years. These coal mines are at different stages of development. Dumri (non-coking
coal) and Rohne (coking coal) blocks are in advanced stages; forest and few more
statutory clearances are pending. Management expects to receive all approvals
for Dumri in 2-3 months. Coking coal production from Rohne block is expected to
start from June 2011. JBIL has total coal reserves of ~700m tons, the largest
among mid-cap steel companies in India.
It is setting up 0.35mtpa coke oven batteries at a capex of Rs3.6b, which will
further reduce its cost of production of hot metal.
JBIL is further planning to set up a 5mtpa integrated steel plant with 1,215MW
CPP in modular phases wherein it has firmed up phase-1 capex of Rs18.7b. It will
consist of a 1.2mtpa pellet plant, a 0.7mtpa sponge iron unit, a 75MW CPP based
on waste-heat recovery and a 450ktpa EAF steel making facility. JBIL has already
achieved financial closure of Rs12.3b for the same; the rest will be funded through
a mix of internal accruals and equity.
JBIL is focusing on ramping up DI pipe production, completion of coke oven facilities
and starting of captive coal in the near term. Capex requirement will remain high
over the next few years due to Purulia project. We expect capex of Rs2.5b in
FY11 and Rs6b in FY12.
Large coal reserves along with significant capacity addition plans to monetize
these reserves will help the company to post strong earnings growth over the next
3-4 years. We expect earnings to grow at a CAGR of 110% (on a lower base of
FY10, when JBIL suffered on account of high coking coal costs and reduced
demand) over FY10-13. The stock trades at 8.6x FY12E EPS and an EV of 7.9x
FY12E EBITDA. Maintain
Buy.
March 2011
70

Jai Balaji Industries
42% CAGR in steel capacity over FY07-10 ('000 tons)
Crude steel
1,000
750
500
250
0
DRI
Pig
Production trend improving again ('000 tons)
Crude steel
600
450
300
150
0
DRI
Pig
Margins will rise due to better product mix
EBITDA (Rs m) - LHS
1,000
600
200
-200
-600
Margin (%) - RHS
28.0%
14.0%
0.0%
-14.0%
EBITDA to grow at a CAGR of 37% over FY10-13 (Rs b)
8
EBITDA
DEBT
30
6
22
4
14
2
6
-28.0%
0
FY06 FY07 FY08
FY09
FY10 FY11E FY12E FY13E
Source: Company/MOSL
-2
Rich reserves of coal
Coal Mines
Dumri
Rohne (Coking coal)
Ardhgram
Andal
Jagannathpur A & B
State
Jharkhand
Jharkhand
West Bengal
West Bengal
West Bengal
Reserves (m tons)
38
17
4
230
450
Status
Statutory clearance expected in 2-3 months
Expected in 2HFY12
Expected in 2-3 years
Expected in 3-4 years
Started exploration and drilling activities
Source: Company/MOSL
March 2011
71

Jai Balaji Industries
Financials and Valuation
Income Statement
Y/E March
Net Sales
Change (%)
Total Expenses
EBITDA
% of Net Sales
Depn. & Amortization
EBIT
Net Interest
Other income
PBT
Tax
Rate (%)
Reported PAT
Adjusted PAT
Change (%)
2009
17,180
29.4
15,520
1,660
9.7
541
1,119
1,324
316
111
92
82.5
19
19
-98.4
2010
19,212
11.8
16,764
2,449
12.7
728
1,720
1,442
269
548
194
35.4
354
354
1,725.7
2011E
21,232
10.5
17,912
3,320
15.6
813
2,507
1,369
37
1,175
365
31.0
811
811
129.0
(Rs Million)
2012E
24,451
15.2
20,190
4,261
17.4
896
3,364
1,458
40
1,947
604
31.0
1,342
1,342
65.6
2013E
26,458
8.2
20,134
6,324
23.9
1,301
5,023
1,696
529
3,856
771
20.0
3,085
3,085
129.8
Ratios
Y/E March
Basic (Rs)
EPS
Cash EPS
BV/Share
DPS
Payout (%)
Valuation (x)
P/E
Cash P/E
P/BV
EV/Sales
EV/EBITDA
Dividend Yield (%)
EV/ton (US$/ton)
Return Ratios (%)
0.4
11.9
85.4
0.5
133.9
5.6
17.0
136.6
1.0
8.4
12.7
25.5
147.0
2.0
18.4
21.1
35.1
164.5
3.0
16.7
48.4
68.8
208.2
4.0
9.7
2009
2010
2011E
2012E
2013E
437.4
15.1
2.1
1.2
12.0
0.3
553
32.4
10.6
1.3
1.4
11.2
0.6
675
14.2
7.1
1.2
1.4
8.7
1.1
637
8.6
5.1
1.1
1.4
7.9
1.7
742
3.7
2.6
0.9
1.3
5.5
2.2
511
Balance Sheet
Y/E March
Share Capital
Reserves
Net Worth
Loans
2009
471
4,024
4,495
18,187
2010
638
8,713
9,351
16,175
965
26,491
14,703
2,227
12,476
6,329
37
11,506
5,002
3,399
233
2,872
3,855
3,779
76
7,651
26,491
2011E
638
9,374
10,012
17,675
965
28,653
19,113
3,040
16,073
4,399
37
10,548
4,072
3,199
404
2,872
2,403
2,327
76
8,145
28,653
(Rs Million)
2012E
638
10,493
11,131
22,675
965
34,771
22,063
3,937
18,126
7,449
37
11,915
4,689
3,684
670
2,872
2,756
2,680
76
9,160
34,771
2013E
638
13,279
13,917
23,675
965
38,558
31,063
5,238
25,825
3,199
37
12,473
5,074
3,987
540
2,872
2,976
2,900
76
9,498
38,558
EBITDA Margins
Net Profit Margins
RoE
RoCE
RoIC
9.7
0.1
0.5
4.8
5.6
12.7
1.8
4.1
6.5
8.6
15.6
3.8
8.6
8.7
10.5
17.4
5.5
12.8
9.7
12.6
23.9
11.7
23.2
13.0
14.4
Working Capital Ratios
Fixed Asset Turnover (x)1.2
Asset Turnover (x)
0.7
Debtor (Days)
56
Inventory (Days)
Creditors (Days)
Leverage Ratio (x)
Current Ratio
Interest Cover Ratio
Debt/Equity
3.3
0.8
4.5
3.0
1.2
1.8
4.4
1.8
1.8
4.3
2.3
2.1
4.2
3.0
1.7
113
69
1.3
0.7
65
95
72
1.1
0.7
55
70
40
1.1
0.7
55
70
40
0.9
0.7
55
70
40
Def. Tax Liability (net) 772
Capital Employed 23,454
Gross Block
14,119
Less: Accum. Deprn. 1,512
Net Fixed Assets
Capital WIP
Investments
Curr. Assets
Inventories
Sundry Debtors
Cash and Bank
Loans and Adv.
Curr. Liab. & Prov.
Sundry Creditors
12,606
3,207
37
10,906
5,305
2,626
225
2,750
3,303
3,258
Cash Flow Statement
Y/E March
Pre-tax Profit
Depreciation
(Inc)/Dec in Wkg. Cap.
Tax paid
Other Oper. Activities
CF from Op. Activity
(Inc)/Dec in FA
2009
111
545
106
-29
39
772
2010
548
715
-39
-125
-63
1,036
-3,706
0
-3,705
4,719
-2,012
-30
2,678
9
225
233
2011E
1,175
813
-323
-235
-124
1,306
-2,480
-
-2,480
-
1,500
-149
1,351
177
233
404
(Rs Million)
2012E
1,947
896
-750
-389
-184
1,520
-6,000
-
-6,000
-
5,000
-224
4,776
296
404
670
2013E
3,856
1,301
-467
-771
0
3,919
-4,750
-
-4,750
-
1,000
-298
702
-129
670
540
Other Liabilities & Prov. 45
Net Current Assets 7,603
Appl. of Funds
23,454
E: MOSL Estimates
-4,453
(Pur)/Sale of Invest.
1
CF fr. Inv. Activity -4,452
Equity raised/(repaid)
0
Debt raised/(repaid) 3,717
Dividend (incl. tax)
-26
CF fr. Fin. Activity
(Inc)/Dec in Cash
Add: Opening Balance
Closing Balance
3,691
12
213
225
March 2011
72

Update
SECTOR: METALS
Monnet Ispat
BSE SENSEX
S&P CNX
18,328
Bloomberg
Equity Shares (m)
52-Week Range (Rs)
1,6,12 Rel. Perf. (%)
M.Cap. (Rs b)
M.Cap. (US$ b)
5,494
MISP IN
63.9
682/351
-8/3/28
34.0
0.8
Rs532
Neutral
Coal mining to drive growth
Y/E March
2011E 2012E 2013E
20.5
5.4
3.6
25.7
8.3
4.6
29.8
72.2
29.8
435.1
7.4
1.2
2.4
7.3
16.6
11.1
15.4
Sales (Rs b)
15.5
EBITDA (Rs b) 4.5
PAT (Rs b)
3.1
Growth (%)
EPS (Rs)
EPS Gr. (%)
BV/Sh. (Rs)
P/E (x)
P/BV (x)
EV/Sales (x)
15.7
14.2
48.7
55.6
-5.4
14.2
318.9 368.7
10.9
1.7
3.6
9.6
1.4
3.1
11.8
15.1
7.6
18.5
EV/EBITDA (x) 12.2
RoE (%)
15.3
RoCE (%)
8.1
RoIC (%)
20.7
Shareholding pattern % (Dec-10)
Promoter
47.1
Others,
15.4
Foreign,
30.9
Domestic
Inst, 6.5
Stock performance (1 year)
Monnet Ispat
Sensex - Rebased
680
580
480
380
280
Mar-10
Jul-10
Nov-10 Mar-11
Monnet Ispat operates a 0.8mtpa sponge iron plant, a 0.3mtpa steel plant and a
150MW captive power plant (CPP) in the mineral rich state of Chhattisgarh. It is
setting up a 1.5mtpa integrated steel project at Raigarh and is also venturing into
the power generation business through a subsidiary to set up 1,050MW of IPP at
Angul, Orissa.
0.5mtpa of its total DRI capacity and 90MW CPP is strategically located close to
its coal mines in Raigarh. Rest of its DRI facilities is located at Raipur. It produces
~1m ton of coal from its existing underground mine at Mand Raigarh Coalfields,
which improves its overall margins in the DRI as well as power business.
Monnet is setting up a 1.5mtpa integrated steel project in Raigarh at a capex of
Rs25b, which includes a 0.6mtpa blast furnace, 1.2mtpa pellet plant, 0.9mtpa
sinter plant, 0.4mtpa coke oven plant, 0.75mtpa finished mills and 80MW CPP.
Monnet currently sells ~2/3rd of the power it generates at merchant rates. In the
first phase of expansion, it plans an 80MW CPP, to be commissioned in 1QFY12.
This will drive earnings in the near term.
The steel project is expected to start commissioning from September 2011 starting
with blast furnace and steel melting shop followed by finished mills. Timely
commissioning of the pellet plant will improve margins.
Captive iron ore mine at Rameshwaram Steel and Power (97% subsidiary) is
expected to start operations by 1QFY13. The mine has high quality reserves (30m
tons; Fe grade 64-66) with annual extraction capacity of 0.8mtpa. Land acquisition
is under process and clearance from the Ministry of Environment and Forests is
expected in 2QFY11.
Monnet has received environment clearance for two of its coal mines recently -
Utkal B2 and Mandakini Block in Orissa. Last stage of forest clearance is expected
soon and mining operations can be started immediately at the Utkal B2 mine, as
it is an open cast mine.
Monnet is also venturing into the power generation business by setting up a pithead
1,050MW power project near its coal block at Angul, Orissa through its 87.5%
subsidiary, Monnet Power Company Limited. Financial closure for Rs50b capex
has been achieved, while ~85% of land has been already acquired. Order for the
BTG package was placed with BHEL in June 2009. First phase of the project
(525MW) is expected to be commissioned by January 2013. PPA has been signed
with PTC for 400MW and with the state for 300MW. Balance 32% power will be
sold in the merchant market. This project is expected to have high profitability due
to low cost structure.
In the longer term, Monnet plans to augment power generation capacity to
3,000MW, which will include 600MW unit at the existing 1,050MW project.
Monnet has recently merged Mounteverest Trading and Investment Company
(promoter group company involved in acquisition of Orissa Sponge Iron and Steel
Limited) with itself. Thus, Rs3.5b investment in Orissa Sponge has been brought
to the books of Monnet Ispat. Shareholders of Mounteverest have received 4.7m
shares i.e. ~7% of Monnet's expanded equity.
73
March 2011

Monnet Ispat
Orissa Sponge Iron has iron ore and coal mines, with reserves of 120m tons and
125m tons, respectively in Orissa. It has undertaken Rs12b capex to expand steel
making capacity to 1mtpa. Blast furnace capacity of 0.6mtpa has been ordered
though some other facilities are yet to be ordered.
During 9MFY11, 4.7m shares were issued on conversion of warrants, 4.7m shares
on merger of Mounteverest and 2.2m shares on conversion of FCCB. As a result,
paid up number of shares has increased from 52.3m to 63.9m. Promoter holding has
increased from 44.3% to 51.1%.
We expect Monnet's earnings to grow at a CAGR of 12% over FY10-13. We value
the stock at Rs510 based on 6.5x FY12E core business EBITDA, Rs23b for its
equity stake of 87.5% in Monnet Power (1,050MW project) and Rs4.2b for Orissa
Sponge. The stock is trading at 9.6x FY12E EPS and an EV of 11.8x FY12E EBITDA.
Though our target price still does not fully capture the value of its coal mining assets,
there remains project execution risk. Maintain
Neutral.
March 2011
74

Monnet Ispat
Ongoing expansion to increase capacities in FY12 ('000 tons) Steel production to grow at 67% CAGR
DRI
2,000
1,500
1,000
500
0
Pig
Pow er (RHS)
Steel billets
320
900
675
Sponge
Pig
Steel
1,600
1,200
800
400
0
240
160
80
0
450
225
0
Power sale to increase at 4% CAGR (MU)
Generation
Captive requirement
Captive coal keeping power generation cost low (Rs m)
EBITDA (LHS)
10,000
7,500
5,000
2,500
0
Coal (kt)
Pow er (MU)
1,600
1,200
800
400
0
FY06
FY07
FY08
FY09
FY10
FY11E FY12E FY13E
Power substitutes steel production in dull market
Steel prod (ton)
Pow er sales (MU)
Leverage to come down in FY13 (Rs b)
Debt
32
24
16
Net Worth
D/E ratio (RHS)
1.6
1.2
0.8
0.4
0.0
FY06 FY07 FY08 FY09
FY10 FY11E FY12E FY13E
80,000
60,000
40,000
20,000
0
300
225
150
75
8
0
0
Rich reserves of raw materials
Mines
Milupara, Mand Raigarh
Utkal B2, Angul
Mandakini, Talcher
Rajgamar, Chhattisgarh
Rameshwaram, Raigarh
Urtan, MP
Mineral
Coal
Coal
Coal
Coal
Iron ore
Coking coal
Reserves Extraction cap
(m tons)
86
85
97
50
30
23
(mtpa)
1.0
3.5
1.7
-
0.8
-
Mine
Type
U/G
O/C
O/C
U/G
U/G
U/G
Grade
B-D
E,F
E,F
B-E
Fe 64-66
Coking
Status
Operational
Land acquired; expecting MoEF soon
Pending Forest, exp in 1HFY13
Procured geological report; exp in 1QFY14
Pending MoEF clearance; exp by 1QFY13
Mining lease exp by 1QFY14
Source: Company/MOSL
March 2011
75

Monnet Ispat
Financials and Valuation
Income Statement (Standalone)
Y/E March
Net Sales
Change (%)
Total Expenses
EBITDA
% of Net Sales
Depn. & Amortization
EBIT
Net Interest
Other income
PBT before EO
EO Income
PBT after EO
Tax
Rate (%)
Reported PAT
Adjusted PAT
Change (%)
2009
15,487
33.6
11,898
3,590
23.2
653
2,937
706
477
2,707
-
2,707
547
20.2
2,160
2,160
30.0
2010
14,807
-4.4
10,351
4,456
30.1
717
3,739
744
318
3,313
-
3,313
622
18.8
2,691
2,691
24.6
2011E
15,539
4.9
11,009
4,530
29.2
759
3,771
441
524
3,854
49
3,903
750
19.2
3,153
3,113
15.7
(Rs Million)
2012E
20,457
31.7
15,026
5,432
26.6
1,048
4,383
516
577
4,444
-
4,444
889
20.0
3,555
3,555
14.2
2013E
25,664
25.5
17,346
8,318
32.4
1,789
6,529
1,341
583
5,770
-
5,770
1,154
20.0
4,616
4,616
29.8
Ratios
Y/E March
Basic (Rs)
EPS
Cash EPS
BV/Share
DPS
Payout (%)
Valuation (x)
P/E
Cash P/E
P/BV
EV/Sales
EV/EBITDA
Dividend Yield (%)
Return Ratios (%)
EBITDA Margins
Net Profit Margins
RoE
RoCE
RoIC
45.0
58.7
241.0
5.0
13.0
51.5
65.2
306.5
5.5
12.4
48.7
60.6
318.9
5.0
11.9
55.6
72.0
368.7
5.0
10.5
72.2
100.2
435.1
5.0
8.1
2009
2010
2011E
2012E
2013E
11.8
9.1
2.2
2.3
10.1
0.9
10.3
8.2
1.7
2.7
9.1
1.0
10.9
8.8
1.7
3.6
12.2
0.9
9.6
7.4
1.4
3.1
11.8
0.9
7.4
5.3
1.2
2.4
7.3
0.9
23.2
13.9
18.7
10.8
15.7
30.1
18.2
16.8
11.4
20.8
29.2
20.0
15.3
8.1
20.7
26.6
17.4
15.1
7.6
18.5
32.4
18.0
16.6
11.1
15.4
Balance Sheet
Y/E March
Share Capital
Reserves
2009
480
12,383
2010
523
16,208
16,730
14,950
1,196
32,876
14,391
3,108
11,283
7,212
5,454
11,427
2,188
1,289
2,052
5,898
2,685
1,803
882
8,743
32,876
2011E
639
20,566
21,205
24,248
1,196
46,649
15,391
3,868
11,524
19,962
5,454
12,110
2,129
1,277
2,806
5,898
2,585
1,703
882
9,525
46,649
(Rs Million)
2012E
639
23,747
24,387
32,248
1,196
57,830
21,391
4,916
16,475
26,212
5,454
12,628
2,802
1,681
2,246
5,898
3,124
2,242
882
9,505
57,830
2013E
639
27,990
28,629
29,248
1,196
59,073
41,391
6,705
34,686
8,462
5,454
13,981
3,516
2,109
2,458
5,898
3,694
2,812
882
10,286
59,073
Working Capital Ratios
Fixed Asset T/Or (x)
1.1
Asset Turnover (x)
Debtor (Days)
Inventory (Days)
Creditors (Days)
Leverage Ratio (x)
Current Ratio
Interest Cover Ratio
Debt/Equity
0.6
26
43
34
1.0
0.5
32
54
44
1.0
0.3
30
50
40
1.0
0.4
30
50
40
0.6
0.4
30
50
40
Net Worth
12,863
Loans
13,252
Def. Tax Liability (net) 1,140
Capital Employed 27,254
Gross Block
13,665
Less: Accum. Deprn. 2,396
Net Fixed Assets
Capital WIP
Investments
Curr. Assets
Inventories
Sundry Debtors
Cash and Bank
Loans and Adv.
11,269
3,097
2,156
12,225
1,845
1,097
2,456
6,827
5.3
4.2
0.9
4.3
5.0
0.8
4.7
8.6
1.1
4.0
8.5
1.3
3.8
4.9
1.0
Cash Flow Statement
Y/E March
Pre-tax Profit
2009
2,707
2010
3,313
712
760
-566
-1,715
2,505
-4,842
-3,298
-8,140
3,868
1,698
-334
5,231
-403
2,456
2,052
2011E
3,903
759
-29
-750
-
3,883
-13,750
-
-13,750
1,696
9,298
-374
10,620
753
2,052
2,806
(Rs Million)
2012E
4,444
1,048
-539
-889
-
4,065
-12,250
-
-12,250
-
8,000
-374
7,626
-559
2,806
2,246
2013E
5,770
1,789
-571
-1,154
-
5,835
-2,250
-
-2,250
-
-3,000
-374
-3,374
211
2,246
2,458
Depreciation
648
(Inc)/Dec in Wkg.Cap. -2,800
Tax Paid
-316
Other Oper. Activities -2,705
CF fr. Op. Activity -2,467
(Inc)/Dec in FA
-1,979
(Pur)/Sale of Invest.
-772
CF fr. Inv. Activity
-2,751
Curr. Liab. & Prov. 2,318
Sundry Creditors
1,437
Other Liabilities & Prov. 882
Net Current Assets 9,906
Appl. of Funds
27,254
E: MOSL Estimates
Equity raised/(repaid) 1,975
Debt raised/(repaid)
Dividend (incl. tax)
CF fr. Fin. Activity
(Inc)/Dec in Cash
Add: Opening Bal.
Closing Balance
2,271
-281
3,966
-1,252
3,708
2,456
March 2011
76

Update
SECTOR: METALS
Prakash Industries
BSE SENSEX
S&P CNX
18,328
Bloomberg
Equity Shares (m)
52-Week Range (Rs)
1,6,12 Rel. Perf. (%)
M.Cap. (Rs b)
M.Cap. (US$ b)
5,494
PKI IN
134.5
244/71
-20/-48/-73
10.4
0.2
Rs78
Buy
Growth outlook intact
Y/E March
2011E 2012E 2013E
23.0
6.2
3.6
40.6
27.0
40.6
29.1
8.7
5.3
46.9
35.6
31.7
179.4
2.2
0.4
0.6
1.9
19.8
20.6
23.3
Sales (Rs b)
17.1
EBITDA (Rs b) 3.5
PAT (Rs b)
2.6
Growth (%)
EPS (Rs)
EPS Gr. (%)
BV/Sh. (Rs)
P/E (x)
P/BV (x)
-2.9
19.2
-12.1
118.8 141.8
4.0
2.9
0.7
0.5
0.8
2.9
19.1
17.6
20.1
EV/Sales (x)
0.8
EV/EBITDA (x) 4.1
RoE (%)
16.2
RoCE (%)
RoIC (%)
12.1
14.6
Shareholding pattern % (Dec-10)
Promoter
Others,
32.5
49.3
Foreign,
14.1
Domestic
Inst, 4.1
Stock performance (1 year)
Prakash Inds
Sensex - Rebased
350
275
200
125
50
Mar-10
Jul-10
Nov-10 Mar-11
Prakash Industries (PKI) has emerged as an integrated steel producer through its
focus on backward integration over the last 8-10 years. It has a steelmaking capacity
of 0.7mtpa, backed by 0.6mtpa sponge iron units and 112MW of captive power.
Most of the crude steel it produces is converted into value-added products such
as structural/TMT (capacity of 0.3mtpa) and wire rods (capacity of 0.45mtpa).
PKI is setting up a 625MW thermal power plant at a capex of Rs25b in phases as
part of its Rs33b modular expansion in steel and power. The first phase of 125MW
is expected to get commissioned by the end of 1QFY12. Its steel operations
require ~130MW of power; we expect ~70MW of power to be available for merchant
sale.
BTG equipment for the next phases of 200MW and 300MW has already been
ordered. PKI expects the first unit of 100MW (of phase-II) to be commissioned in
June 2012 and rest 100MW by March 2013. We expect power generation to grow
at a CAGR of 84% to 386MU over FY11-13.
The company has recently expanded its steel capacity from 550ktpa to 700ktpa
as part of its expansion to 1mtpa. However, it has temporarily delayed further steel
expansion due to current volatility in the steel market and delays in receiving iron
ore mining approvals. PKI has spent ~Rs350m out of the Rs1b steel capex.
Sponge iron capacity is expected to increase to 0.8mtpa by 1QFY12 as the fourth
200ktpa DRI kiln is under commissioning. DRI production is likely to grow at a
CAGR of 22% over FY11-13 to 640k tons. This will help to reduce external purchase
of metallic further.
PKI had applied for captive mine allocation in 2003 and received three coal mining
blocks and two iron ore mines. Its captive mines have reserves of 150mt of coal
and 85mt of iron ore. Its Chotia coal mine has been operational for the last four
years. It produces ~1m tons of coal per year, which is used by PKI's sponge and
power plants.
Commissioning of its Madanpur coal mine is delayed due to the MoEF's "No-Go"
classification. Work on the Fatehpur mine (allotted for 625MW IPP) is on track.
Bank guarantees have been submitted and it is expected to start production in the
next 30 months.
The company has applied for tapering coal linkage for the 625MW IPP, which is
expected to receive coal from March 2011. Currently, it has a captive power
generation capacity of 112MW and imports the rest of its power requirement from
the grid.
Production from captive iron ore mines has been delayed by three quarters due to
procedural delays in Orissa and delays on account of stringent implementation of
environment and forest norms by MoEF.
Though the mining plan for the Sirkaguttu (Orissa) mine has been approved, it will
take 5-6 months to start operations, subject to receipt of mining lease. We have
cut our FY12 iron ore integration assumption to just 30%. If we assume zero iron
ore integration for FY12, our EPS estimate will get downgraded further by 21% to
Rs21.2 from the current Rs27.
March 2011
77

Prakash Industries
PKI has planned the entire capacity addition schedule in such a way that it will be
able to execute it with internal accruals and modest debt. However, looking at the
existing difficult scenario in the steel market, we expect PKI to add ~Rs3b of debt,
which would take its peak debt to Rs7.8b (including FCCB) in FY12.
PKI's earnings will be driven by margin expansion due to increased production of
sponge iron and topline growth on account of volume growth in the steel business
and sale of surplus power from its 625MW over five years. Early start of captive iron
ore mines will be a bonus, which will drive up margins significantly.
We expect earnings to grow at a CAGR of 18% over FY10-13 on commissioning of
125MW power plant and partial raw material integration. The stock trades at 2.9x
FY12E EPS, 0.5x FY12E BV and at an EV of 2.9x FY12E EBITDA. Maintain
Buy.
Sponge production to grow at 24% CAGR
Sponge Iron
800
600
400
200
0
FY08
FY09
FY10
FY11E FY12E FY13E
Steel Billets
Pow er (MW - RHS)
700
500
Power generation to grow at 84% over FY11-13
Captive Requirement
Pow er Generation
386
219
300
100
-100
FY08
FY09
FY10
FY11E
FY12E
FY13E
86 75
93 83
112
100
122
115
137
150
EBITDA margin is set to improve…
Net Sales (Rs b)
EBITDA Margin (%)
26.9
21.3
19.1
22.7
19.5
22.5
20.6
29.8
...though debt will increase in the near term
Debt
Net w orth
D/E ratio (RHS)
32
24
1.6
1.2
16
8
0
0.8
0.4
0.0
FY06 FY07 FY08 FY09 FY10 FY11EFY 12E FY13E
Source: Company/MOSL
FY06
FY07
FY08
FY09
FY10
FY11E FY12E FY13E
March 2011
78

Prakash Industries
Financials and Valuation
Income statement (consolidated)
Y/E March
Net Sales
Change (%)
Total Expenses
EBITDA
% of Net Sales
Power in EBITDA (%)
Depn. & Amortization
EBIT
Net Interest
Other Income
PBT before EO
EO income
PBT after EO
Tax
Rate (%)
Reported PAT
Adjusted PAT
Change (%)
2009
15,265
21.8
12,289
2,976
19.5
-
425
2,552
605
101
2,048
68
1,980
6
0.3
1,974
2,041
2.7
2010
15,677
2.7
12,152
3,525
22.5
-
568
2,957
255
30
2,733
-
2,733
71
2.6
2,662
2,662
30.4
2011E
17,148
9.4
13,616
3,532
20.6
-
738
2,794
107
39
2,726
13
2,712
141
5.2
2,572
2,584
-2.9
(Rs million)
2012E
22,972
34.0
16,790
6,182
26.9
24
1,053
5,130
630
42
4,542
-
4,542
908
20.0
3,634
3,634
40.6
2013E
29,097
26.7
20,416
8,681
29.8
48
1,351
7,330
705
47
6,671
-
6,671
1,334
20.0
5,337
5,337
46.9
Ratios
Y/E March
Basic (Rs)
EPS
Cash EPS
BV/Share
DPS
Payout (%)
Valuation (x)
P/E
Cash P/E
P/BV
EV/Sales
EV/EBITDA
Dividend Yield (%)
Return Ratios (%)
EBITDA Margins
Net Profit Margins
RoE
RoCE
RoIC
19.5
13.4
22.8
18.8
24.0
22.5
17.0
20.6
17.0
22.5
20.6
15.1
16.2
12.1
14.6
26.9
15.8
19.1
17.6
20.1
29.8
18.3
19.8
20.6
23.3
17.7
21.4
77.5
21.9
26.5
106.2
19.2
24.7
118.8
3.0
18.4
27.0
34.8
141.8
3.5
15.2
35.6
44.6
179.4
4.0
13.2
2009
2010
2011E
2012E
2013E
4.4
3.6
1.0
0.7
3.8
3.6
2.9
0.7
0.7
3.0
4.0
3.1
0.7
0.8
4.1
3.9
2.9
2.2
0.5
0.8
2.9
4.5
2.2
1.7
0.4
0.6
1.9
5.1
Balance Sheet
Y/E March
Share Capital
Reserves
2009
1,155
9,137
2010
1,217
13,091
14,308
2,301
772
17,381
17,829
7,082
10,747
3,026
22
5,226
1,019
820
1,018
2,370
1,804
1,023
781
3,422
17,381
2011E
1,345
16,146
17,490
4,801
772
23,064
24,354
7,820
16,533
3,026
22
5,273
564
1,644
696
2,370
1,956
1,175
781
3,318
23,064
(Rs Million)
2012E
1,345
19,228
20,573
7,801
772
29,147
31,379
8,873
22,506
3,026
22
5,783
755
2,203
455
2,370
2,355
1,573
781
3,428
29,147
2013E
1,500
27,085
28,585
6,301
772
35,658
38,404
10,224
28,180
2,496
22
7,570
957
2,790
1,454
2,370
2,774
1,993
781
4,796
35,658
Net Worth
10,291
Loans
2,593
Def. Tax Liability (net) 702
Capital Employed 13,587
Gross Block
15,242
Less: Accum. Deprn. 6,370
Net Fixed Assets
Capital WIP
Investments
Curr. Assets
Inventories
Sundry Debtors
Cash and Bank
Loans and Adv.
8,872
2,413
22
4,153
820
1,085
313
1,935
Working Capital Ratios
Fixed Asset T/O (x)
1.0
Asset Turnover (x)
Debtor (Days)
Inventory (Days)
Creditors (Days)
Leverage Ratio (x)
Current Ratio
Debt/Equity
1.1
26
20
32
0.9
0.9
19
24
24
0.7
0.7
35
12
25
0.7
0.8
35
12
25
0.8
0.8
35
12
25
2.0
0.3
2.9
0.1
2.7
0.3
2.5
0.4
2.7
0.2
Cash Flow Statement
Y/E March
Pre-tax Profit
Depreciation
(Inc)/Dec in Wkg. Cap.
Tax Paid
Other Oper. Activities
CF fr. Op. Activity
(Inc)/Dec in FA
2009
1,980
302
371
-6
-61
2,586
-2,058
2010
2,733
712
-629
-473
593
2,937
-3,200
-
-3,200
1,260
-292
-
968
705
313
1,018
2011E
2,712
738
-218
-141
-
3,092
-6,525
-
-6,525
1,083
2,500
-472
3,111
-322
1,018
696
(Rs Million)
2012E
4,542
1,053
-351
-908
-
4,335
-7,025
-
-7,025
-
3,000
-551
2,449
-241
696
455
2013E
6,671
1,351
-369
-1,334
-
6,319
-6,495
-
-6,495
3,377
-1,500
-702
1,175
999
455
1,454
Curr. Liab. & Prov. 2,064
Sundry Creditors
1,349
Other Liabilities & Prov. 715
Net Current Assets 2,089
Appl. of Funds
13,587
E: MOSL Estimates
(Pur)/Sale of Invest.
-21
CF fr. Inv. Activity -2,080
Equity raised/(repaid)
-
Debt raised/(repaid) -1,038
Dividend (incl. tax)
-
CF fr. Fin. Activity
-1,038
(Inc)/Dec in Cash
-532
Add: Opening Balance 845
Closing Balance
313
March 2011
79

Update
SECTOR: METALS
Sarda Energy & Minerals
BSE SENSEX
S&P CNX
18,328
Bloomberg
Equity Shares (m)
52-Week Range (Rs)
1,6,12 Rel. Perf. (%)
M.Cap. (Rs b)
M.Cap. (US$ m)
5,494
SEML IN
34.0
382/172
-10/-26/-16
6.6
146.3
Rs194
Neutral
Execution disappointing
Y/E March
Sales (Rs b)
EBITDA (Rs b)
PAT (Rs b)
2011E 2012E 2013E
8.5
1.2
0.4
9.2
1.5
0.9
9.8
1.7
1.1
24.1
31.4
24.1
233.4
6.2
0.8
1.3
7.6
13.4
8.1
18.9
Growth (%)
55.8 117.3
EPS (Rs)
11.6
25.3
EPS Gr.h (%) 48.0 117.3
BV/Sh. (Rs) 183.8 205.6
P/E (x)
P/BV (x)
EV/Sales (x)
EV/EBITDA (x)
RoE (%)
RoCE (%)
RoIC (%)
16.7
1.1
1.4
9.9
6.3
5.0
9.5
7.7
0.9
1.3
8.2
12.3
7.7
16.3
Shareholding pattern % (Dec-10)
Others,
14.4
Foreign,
11.7
Domestic
Inst, 7.4
Promoter
66.5
Stock performance (1 year)
Sarda Energy
Sensex - Rebased
440
360
280
200
120
Mar-10
Jul-10
Nov-10 Mar-11
Sarda Energy (SEML) is a Raipur-based ferroalloy cum steel producer, with a rich
mineral portfolio. It uses the DRI route to produce steel and has capacities of
360ktpa sponge, 240ktpa steel and 72ktpa of ferroalloys. It also has rich reserves
of coal, iron and manganese ore allotted across India. However, it currently sources
only coal from its captive mines.
Its captive iron ore mine in the Rajnandgaon district has not been operational for
the last two years, as the area is impacted by naxalite operations. Though material
and labor movement in the area began in early 2QFY11, its mines are still closed
due to operational difficulties. The hardening iron ore prices in the last two years
have dented SEML's performance.
To utilize its captive iron ore fines, SEML commissioned its 0.6mtpa pellet plant in
FY10. However, the pellet plant continues to operate at low capacity utilization
even after undergoing various technical modifications in the recent quarters. The
ramp up of pellet production is not likely to happen in the next few months. SEML
has paid dearly by the way of lost opportunity over the last few quarters. The
spread between cost of pellet and market price is too large to ignore operational
failure for such a long period. We model in slower ramp-up of the pellet plant in our
estimates (300k tons in FY12 and 360k tons in FY13).
The captive coal mine at Karwahi, Raigarh continues to operate satisfactorily, with
298k tons of coal production in 9MFY11.
SEML has recently received consent to operate the third FBC boiler installed at
Raipur, which has taken its captive power generating capacity to 81.5MW. We
expect faster ramp-up of the power unit, enabling captive power for full operations.
Power generation is expected to grow at a CAGR of 14% to 516MU over FY11-13.
SEML is setting up a greenfield ferroalloy project (125ktpa with 2x33MVA
submerged arc furnace and 80MW CPP) at Vizag at a capex of Rs5.5b. This
project is progressing on schedule to get commissioned by 1QFY13. The company
has already tied up entire debt for the project and has invested Rs1b in terms of
equity (out of Rs1.37b). BTG orders for the 80MW CPP have been placed and
equipment has started arriving at the site.
SEML is working on numerous projects such as manganese ore mining in Goa,
over 1,800MW of hydro and thermal power projects in Chhattisgarh, and 1.1mtpa
steel project at Raipur, which are in different stages. We expect these projects to
contribute significantly to the consolidated earnings over the next 5-10 years.
Leverage is likely to remain on the higher side, as the company is investing Rs1.5b-
2b every year on a number of projects that it has undertaken.
SEML has received Rs920m of preferential equity investment from Asia Minerals,
Hong Kong. This will be invested in its ongoing expansion projects. SEML has
allotted 1.8m shares (at a premium of Rs500/share), diluting equity by 5.3% to
358m in 3QFY11.
Faster ramp-up of pellet production, re-starting of iron ore mine and timely
completion of Vizag ferro project will drive earnings and help to reduce leverage.
However, in the near term, execution risk remains. Though it has a very rich mineral
portfolio, raw material integration is likely to be lower in the near term. The stock
is trading at 7.7x FY12E EPS and an EV of 8.2x FY12E EBITDA. Maintain
Neutral.
80
March 2011

Sarda Energy & Minerals
Higher pellet and power production to drive earnings…
DRI
400
300
200
100
0
FY06 FY07 FY08 FY09 FY10 FY11EFY12EFY13E
Steel
Pellets
Pow er (MU; RHS)
600
2,400
24
16
8
0
EBITDA (Rs m)
Margin (%) - RHS
3,200
32
420
1,600
240
800
60
0
-120
Pellet plant is not yet stabilized
Sponge Iron
Pellets
Steel
Ferro Alloys (RHS)
Ferro sales volumes will increase to 80ktpa ('000 tons)
Sponge Iron
60
Ferro Alloys
80
60
40
20
0
18
13
8
3
-2
45
30
15
0
Debt to remain on higher side
Debt
10.0
7.5
5.0
2.5
0.0
Net w orth
D/E ratio (RHS)
2.0
1.5
1.0
0.5
0.0
Rich reserves with huge potential
Resources
Iron ore
Rajnandgaon
5 mines in CG
Navelem, Goa
Coal
Raigarh
Madanpur South SPV
Indonesia coal JV
Manganese Ore
Navelem, Goa
Balaghat
Balaghat
20
230
3
100
36
300
6
-
-
Not operational
1 PL recd, 4 recommended
ML received
Operational
Expected in 2011
Land acquisition in progress
ML received
PL received
RP received
Reserves
(m tons)
Status
Focusing on too many projects at a time
Projects
Manganese ore
Manganese ore
Coal mines
Indonesia Coal mines
Iron ore mines
Hydro power
Thermal power
Thermal power
Ferro alloys
Steel
Capacity/ Area
54 hectares
319 hectares
20.3% stake, 36m tons
10,000 hectares
150 hectares
230MW
350MW pit head
1,320MW IPP
2*33 MVA + 80MW CPP
1.1mtpa
Location
Goa
Madhya Pradesh
Madanpur South, Chhattisgarh
Indonesia
Narangsur, Chhattisgarh
Sikkim, Uttarakhand, Chhattisgarh
Chhattisgarh
Chhattisgarh
Visakhapatnam
Siltara, Chhattisgarh
Status
Recived Mining lease
Received Prospecting license
Allotted in JV; awaited forest clearance
Mining lease, environment clearance done
Granted prospecting license
7 projects in different stages
Land, water done; statutory clearance awaited
ToR cleared by MoEF, land acquired
Expected by 1QFY13
Granted consent, land acquired
Source: Company/MOSL
March 2011
81

Sarda Energy & Minerals
Financials and Valuation
Income statement
Y/E March
Net Sales
Change (%)
Total Expenses
EBITDA
% of Net Sales
Depn. & Amortization
EBIT
Net Interest
Other Income
PBT before EO
EO income
PBT after EO
Tax
Rate (%)
Reported PAT
Adjusted PAT
Change (%)
2009
9,488
51.8
7,258
2,230
23.5
279
1,951
46
37
1,942
-450
1,492
258
17.3
1,234
1,606
32.2
2010
5,228
-44.9
4,461
767
14.7
388
379
127
73
325
447
772
140
17.7
632
268
-83.3
2011E
8,466
61.9
7,307
1,159
13.7
546
613
116
82
579
127
706
197
28.0
508
417
55.8
(Rs million)
2012E
9,231
9.0
7,730
1,501
16.3
451
1,050
-16
66
1,132
1,132
226
20.0
906
906
117.3
2013E
9,838
6.6
8,144
1,694
17.2
475
1,218
-121
66
1,405
1,405
281
20.0
1,124
1,124
24.1
Ratios
Y/E March
Basic (Rs)
EPS
Cash EPS
BV/Share
DPS
Payout (%)
Valuation (x)
P/E
Cash P/E
P/BV
EV/Sales
EV/EBITDA
Dividend Yield (%)
Return Ratios (%)
EBITDA Margins
Net Profit Margins
RoE
RoCE
RoIC
23.5
16.9
33.5
18.2
31.9
14.7
5.1
5.0
3.6
6.3
13.7
4.9
6.3
5.0
9.5
16.3
9.8
12.3
7.7
16.3
17.2
11.4
13.4
8.1
18.9
47.2
55.4
140.8
3.0
9.7
7.9
19.3
155.8
3.0
18.9
11.6
26.9
183.8
3.0
24.8
25.3
37.8
205.6
3.0
13.9
31.4
44.6
233.4
3.0
11.2
2009
2010
2011E
2012E
2013E
4.1
3.5
1.4
1.2
5.2
1.5
24.7
10.1
1.2
2.1
14.3
1.5
16.7
7.2
1.1
1.4
9.9
1.5
7.7
5.1
0.9
1.3
8.2
1.5
6.2
4.3
0.8
1.3
7.6
1.5
Balance Sheet
Y/E March
Share Capital
Reserves
Net Worth
2009
340
4,793
5,133
2010
340
5,305
5,646
4,595
286
10,527
5,913
1,468
4,445
3,554
665
2,823
1,520
144
247
912
959
840
119
1,864
10,527
2011E
358
6,590
6,949
5,095
286
12,330
6,263
2,014
4,249
4,704
665
3,644
1,392
812
528
912
931
812
119
2,713
12,330
(Rs Million)
2012E
358
7,370
7,729
5,595
286
13,610
6,613
2,464
4,148
6,304
665
3,498
1,517
885
183
912
1,005
885
119
2,493
13,610
2013E
358
8,369
8,727
6,095
286
15,108
6,963
2,940
4,023
7,804
665
3,680
1,617
943
207
912
1,063
943
119
2,617
15,108
Working Capital Ratios
Fixed Asset T/Or (x)
1.9
Asset Turnover (x)
Debtor (Days)
Inventory (Days)
Creditors (Days)
0.9
7
38
17
0.9
0.5
10
106
59
1.4
0.7
35
60
35
1.4
0.7
35
60
35
1.4
0.7
35
60
35
Loans
5,330
Def. Tax Liability (net) 282
Capital Employed 10,745
Gross Block
4,984
Less: Accum. Deprn. 1,468
Net Fixed Assets
3,516
Capital WIP
Investments
Curr. Assets
Inventories
Sundry Debtors
3,554
726
3,522
996
183
Leverage Ratio (x)
Current Ratio
Interest Cover Ratio
Net Debt/Equity
6.1
42.5
1.0
2.9
3.0
0.8
3.9
5.3
0.7
3.5
-66.3
0.7
3.5
-10.1
0.7
Cash Flow Statement
Y/E March
Pre-tax Profit
2009
1,492
2010
772
980
-136
1,615
-929
62
-867
-
-735
-119
-854
-106
353
247
2011E
706
546
-567
-197
487
-1,500
-
-1,500
920
500
-126
1,295
282
247
528
(Rs Million)
2012E
1,132
451
-126
-226
1,231
-1,950
-
-1,950
-
500
-126
374
-345
528
183
2013E
1,405
475
-100
-281
1,500
-1,850
-
-1,850
-
500
-126
374
24
183
207
Cash and Bank
353
Loans and Advances 1,991
Curr. Liability & Prov. 573
Sundry Creditors
454
Other Liabilities & Prov. 119
Net Current Assets 2,949
Appl. of Funds
10,745
E: MOSL Estimates
Depreciation
252
(Inc)/Dec in Wkg. Cap. -992
Tax paid
-170
CF from Op. Activity
(Inc)/Dec in FA
535
-2,648
(Pur)/Sale of Invest.
-546
CF fr. Inv. Activity -3,195
Equity raised/(repaid)
47
Debt raised/(repaid) 2,091
Dividend (incl. tax)
-119
CF fr. Fin. Activity
2,019
(Inc)/Dec in Cash
-640
Add: Opening Balance 993
Closing Balance
353
March 2011
82

Update
SECTOR: METALS
Tata Sponge Iron
BSE SENSEX
S&P CNX
18,328
Bloomberg
Equity Shares (m)
52-Week Range (Rs)
1,6,12 Rel. Perf. (%)
M.Cap. (Rs b)
M.Cap. (US$ m)
5,494
TTSP IN
15.4
405/295
-1/-9/-15
5.1
111.9
Rs328
Buy
Missing growth
Y/E March
Sales (Rs b)
EBITDA (Rs b)
PAT (Rs b)
Growth (%)
EPS (Rs)
EPS Gr. (%)
BV/Sh. (Rs)
P/E (x)
P/BV (x)
2011E 2012E 2013E
6.6
1.3
0.9
1.7
55.8
1.7
6.5
1.4
1.0
13.7
63.5
13.7
6.6
1.5
1.1
9.9
69.7
9.9
423.7
4.7
0.8
0.3
1.2
16.5
16.6
69.6
309.2 363.3
5.9
5.2
1.1
0.9
0.5
2.1
17.5
19.1
59.4
EV/Sales (x)
0.6
EV/EBITDA (x) 3.1
RoE (%)
18.1
RoCE (%)
RoIC (%)
21.0
47.9
Shareholding pattern % (Dec-10)
Promoter
Others,
42.7
42.7
Domestic
Foreign,
Inst, 7.3
6.4
Tata Sponge (TTSP) has its manufacturing facility at Bilaipada near Joda in the
Keonjhar district of Orissa. It has sponge iron production capacity of 390,000tpa
(3 kilns; 2x120ktpa and 1x150ktpa) and a 26MW captive power plant based on
waste heat recovery from its kilns.
Its power facilities are adequate to meet its captive needs and it sells ~70% of the
power generated to the state electricity grid at notified rates.
TTSP's plant is ideally located in close proximity to iron ore mines (25km from
plants) and sponge iron consumers in the eastern region, which helps to save
transportation costs. The company's strategic tie-up with Tata Steel secures its
iron ore requirement in future years. Tata Steel's Khondbond mine in Orissa supplies
iron ore to TTSP largely on long-term pricing basis.
TTSP imports ~35% of its coal requirement for blending with inferior grade domestic
coal. It sources the balance 65% through linkage and e-auction from Coal India.
Its average coal cost is Rs4,000-4,500 per ton.
To get coal with ash content less than 22% from diverse sources remains a
challenge. In FY10, TTSP imported ~200k tons of coal from South Africa.
Development of Radhikapur (East) captive coal block in Talcher coal fields, Orissa
is underway. Environment clearance has been obtained. About 2,500 acres of land
has been allotted. However, the company still does not have possession of the
land. So far, TTSP has paid Rs1.1b towards the coal mines. Forest clearance is
still pending. Total cost of developing the mine will be nearly Rs5b. The coal block
has reserves of 115m tons and TTSP's share is ~50m tons. Scaw industries and
SPS Sponge are the other joint allottees. TTSP will be the leader and invest 100%
of the project cost. Coal will be supplied to the joint allottees at cost plus fixed
return on investment.
TTSP is planning to add another 25MW captive power plant at the existing location,
which will use unburnt coal from the sponge iron kiln.
TTSP is one of the best managed sponge iron plants in the country. Its location in
Barbil is of strategic advantage in sourcing iron ore. The arrangement with Tata
Steel helps in sourcing iron ore at reasonable long-term prices. It has a strong
balance sheet with surplus cash (Rs1.3b) and consistent track record of paying
dividend (80%). Valuations are attractive. The stock trades at 5.2x FY12E EPS
and at an EV of 2.1x FY12E EBITDA. Maintain
Buy.
Stock performance (1 year)
Tata Sponge
Sensex - Rebased
460
410
360
310
260
Mar-10
Jul-10
Nov-10 Mar-11
March 2011
83

Tata Sponge Iron
Volume growth muted
Sponge iron (k tons)
329
280
207
112
8
FY06
14
FY07
FY08
FY09
FY10
FY11E FY12E FY13E
123
141
140
139
138
343
361
Pow er (MU)
371
378
386
Quarterly production trend
Production tons)
Production (k (k tons)
97
92
84
69
88
91
86
94
92
101
99
RoIC to grow to 70% in FY13…
EBITDA (Rs m)
2,000
1,500
1,000
500
0
FY06 FY07 FY08 FY09 FY10 FY11EFY12EFY13E
RoIC (%; RHS)
80
60
40
20
…driven by sponge iron prices
EBITDA (Rs/t)
12,000
9,000
6,000
3,000
0
0
DRI realization (RHS, Rs/t)
24,000
18,000
12,000
6,000
0
Iron ore cost lower than peers (US$/ton)
Tata Sponge
Monnet Ispat
116
112
Consistent track record of paying dividend (Rs/share)
Book value
8
7
74
Dividend per share
8
8
8
8
71
75
47
54
49
4
4
32
38
FY06
FY07
FY08
FY09
FY10
FY06
FY07
FY08
FY09
FY10
FY11E FY12E FY13E
Source: Company/MOSL
March 2011
84

Tata Sponge Iron
Financials and Valuation
Income statement (consolidated)
Y/E March
Net Sales
Change (%)
Total Expenses
EBITDA
% of Net Sales
Depn. & Amortization
EBIT
Net Interest
Other Income
PBT
Tax
Rate (%)
Reported PAT
Adjusted PAT
Change (%)
2009
6,081
33.2
4,242
1,840
30.3
183
1,657
46
201
1,812
605
33.4
1,207
1,207
26.3
2010
5,200
-14.5
3,961
1,239
23.8
194
1,045
2
219
1,262
417
33.0
845
845
-30.0
2011E
6,595
26.8
5,272
1,323
20.1
196
1,127
-
156
1,283
423
33.0
860
860
1.7
(Rs million)
2012E
6,470
-1.9
5,037
1,433
22.2
208
1,225
-
234
1,459
481
33.0
977
977
13.7
2013E
6,592
1.9
5,123
1,469
22.3
208
1,261
-
342
1,603
529
33.0
1,074
1,074
9.9
Ratios
Y/E March
Basic (Rs)
EPS
Cash EPS
BV/Share
DPS
Payout (%)
Valuation (x)
P/E
Cash P/E
P/BV
EV/Sales
EV/EBITDA
Dividend Yield (%)
Return Ratios (%)
78.4
90.2
217.1
8.0
11.9
54.9
67.5
262.8
8.0
17.1
55.8
68.5
309.2
8.0
16.8
63.5
77.0
363.3
8.0
14.7
69.7
83.3
423.7
8.0
13.4
2009
2010
2011E
2012E
2013E
4.2
3.6
1.5
0.6
2.1
2.4
6.0
4.9
1.2
0.8
3.3
2.4
5.9
4.8
1.1
0.6
3.1
2.4
5.2
4.3
0.9
0.5
2.1
2.4
4.7
3.9
0.8
0.3
1.2
2.4
Balance Sheet
Y/E March
Share Capital
Reserves
Net Worth
Loans
2009
154
3,343
3,497
1
2010
154
4,047
4,201
1
459
4,661
3,592
1,536
2,057
1,217
8
2,155
683
375
933
164
775
401
375
1,379
4,661
2011E
154
4,762
4,916
1
459
5,377
3,592
1,732
1,861
2,017
8
2,407
813
434
997
164
917
542
375
1,491
5,377
(Rs Million)
2012E
154
5,596
5,750
1
678
6,429
3,592
1,940
1,653
2,317
8
3,358
798
355
2,042
164
907
532
375
2,451
6,429
2013E
154
6,525
6,679
1
918
7,599
3,592
2,148
1,444
2,467
8
4,560
722
361
3,313
164
881
506
375
3,680
7,599
EBITDA Margins
Net Profit Margins
RoE
RoCE
RoIC
30.3
19.8
36.1
41.4
62.9
23.8
16.3
20.9
22.4
41.8
20.1
13.0
18.1
21.0
47.9
22.2
15.1
17.5
19.1
59.4
22.3
16.3
16.5
16.6
69.6
Def. Tax Liability (net) 503
Capital Employed
4,002
Gross Block
3,591
Less: Accum. Deprn. 1,357
Net Fixed Assets
Capital WIP
Investments
Curr. Assets
Inventories
Sundry Debtors
Cash and Bank
Loans and Adv.
2,234
213
8
2,096
508
199
1,146
243
Working Capital Ratios
Fixed Asset T/O (x)
1.7
Asset Turnover (x)
Debtor (Days)
Inventory (Days)
Creditors (Days)
Leverage Ratio (x)
Current Ratio
Interest Cover Ratio
Debt/Equity
1.5
12
30
17
1.4
1.1
26
48
28
1.8
1.2
24
45
30
1.8
1.0
20
45
30
1.8
0.9
20
40
28
3.8
35.7
-0.3
2.8
-
-0.2
2.6
-
-0.2
3.7
-
-0.4
5.2
-
-0.5
Cash Flow Statement
Y/E March
Pre-tax Profit
2009
1,812
2010
1,262
179
-46
-461
2
937
-1,006
-1,006
-
-144
-144
-213
1,146
933
2011E
1,283
196
-47
-423
-
1,008
-800
-800
-
-144
-144
64
933
997
(Rs Million)
2012E
1,459
208
84
-263
-
1,489
-300
-300
-
-144
-144
1,045
997
2,042
2013E
1,603
208
42
-288
-
1,565
-150
-150
-
-144
-144
1,271
2,042
3,313
Curr. Liability & Prov. 549
Sundry Creditors
286
Other Liabilities & prov. 263
Net Current Assets 1,546
Appl. of Funds
4,002
E: MOSL Estimates; Consolidated
Depreciation
179
(Inc)/Dec in Wkg. Cap. -227
Tax paid
-631
Other Oper. Activities
-
CF fr. Op. Activity
1,132
(Inc)/Dec in FA + CWIP
CF from Inv. Activity
Debt Raised/(Repaid)
Dividend (incl. tax)
CF fr. Fin. Activity
29
29
-843
-144
-987
(Inc)/Dec in Cash
174
Add: Opening Balance 972
Closing Balance
1,146
March 2011
85

Metals | New Order
Non-ferrous
Companies
Non-ferrous
Sterlite Industries
Hindalco
Hindustan Zinc
Nalco
March 2011
86

Metals | New Order
Non-ferrous industry - getting new projects a challenge
In the non-ferrous space, we like zinc. The outlook on zinc prices is bullish due to global
supply-side constraints. The Indian aluminum sector is facing challenges due to shortage
of coal, rising input costs, and project delays. The copper business in India is limited to
custom smelting and is, therefore, less significant.
Zinc: Global supply growth will taper
Zinc is used in protecting steel, in alloy castings, and in a range of chemical applications.
Over 2004-2010, global consumption of refined zinc grew at a CAGR of 2.7% to 12.5m
tons, mainly due to strong consumption growth in China. Chinese zinc consumption grew
at a robust 12% CAGR to 5.4m tons over the period, on strong steel production growth.
Consumption in the western world, however, declined at 1.3% CAGR to 6.6m tons. Refined
zinc production grew faster at 3.5% CAGR to 12.8m tons over 2004-2010. Mine production
grew at 4%. As a result, the zinc market turned from peak deficit of 388,000 tons in 2005
to peak surplus of 446,000 tons in 2009. This trend has, however, turned. The metal surplus
shrank to 264,000 tons in 2010.
Refined Zinc: Demand and Supply ('000 tons)
2004
Mine Production
YoY Change (%)
Metal Production
YoY Change (%)
Metal Consumption
9,735
2.3
10,396
4.9
10,651
2005
10,146
4.2
10,221
-1.7
10,609
-0.4
-388
1,393
2006
10,447
3.0
10,655
4.2
11,015
3.8
-360
3,248
2007
11,119
6.4
11,360
6.6
11,307
2.7
53
3,249
2008
11,654
4.8
11,645
2.5
11,436
1.1
209
1,901
2009
11,315
-2.9
11,263
-3.3
10,817
-5.4
446
1,689
2010
12,309
8.8
12,764
13.3
12,500
15.6
264
2,185
2011E
13,294
8.0
13,479
5.6
13,287
6.3
192
2,200
YoY Change (%)
8.2
Metal Balance
-255
LME (3M) average US$/ton 1,064
Source: ILZSG, December 2010/MOSL
Global usage of refined zinc metal grew 15.6% in 2010, surpassing the 12m tons mark for
the first time, mainly due to recovery in developed nations such as US, Netherlands, Canada,
Japan, Belgium and also in Brazil and Korea. Most of the capacity suspended during the
financial crisis has been brought back on stream. Refined metal production grew 13.3% in
2010. Hindustan Zinc added 210,000tpa of smelting capacity in 2010 while Votorantim's
160,000tpa smelter was commissioned in May 2010 in Peru. Mine production growth,
however, lagged at 8.8% due to destocking of 455,000 tons of metal in concentrate.
According to the ILZSG forecast, world zinc metal production is expected to grow at
5.6% in 2011 while metal usage is expected to grow at 6.3% on sizeable recoveries in
Japan, Brazil and Mexico and continued strong growth from China and India. Chinese zinc
demand is expected to grow at 8.8% in 2011. The zinc market has been in surplus for the
last four years. The surplus is expected to narrow to 192,000 tons in 2011. To sustain such
production growth, mine production will have to grow at 8%.
Globally, a couple of mines among the top-10 and several smaller mines are approaching
the end of mine life. Minmetals operated Century, which is currently producing ~500,000tpa
of zinc MIC is likely to get exhausted by 2015. Brunswick, which has a capacity of
March 2011
87

Metals | New Order
300,000tpa and is operated by Xstrata, has already started reporting production decline.
Brunswick is expected to close by 2013. Many of these mines have nearby projects,
which are getting developed to replace the existing mines. However, most of these projects
are less significant. Though 2.5mtpa of new zinc supply is likely to hit the market, the net
addition will be only 0.5mtpa over 3-5 years.
Zinc inventories at LME have risen
LME ZINC
5,250
3,500
1,750
0
-1,750
SPOT ($)
Fw d prem 15m/3m ( $)
Inventories (tons)
800,000
600,000
400,000
200,000
0
Zinc surplus will narrow in 2011
Surplus/ (Def icit) in k tons
446
264
209
192
53
2007
2008
2009
2010
2011E
Source: Bloomberg/MOSL
Aluminum: Project delays will drag production growth in FY12
India's aluminum consumption has grown at a CAGR of 10.6% over FY00-FY10, while
real GDP has grown at a CAGR of 7.2%. This implies that aluminum consumption has
been growing 47% faster than the GDP growth rate. Aluminum production too grew strongly
at a CAGR of 9.6% over this period but still fell short of consumption growth. During
FY11-FY14, we expect aluminum demand to growth at a CAGR of 13.2%. Production
too is expected to grow at a CAGR of 15% but most of the growth will be back-ended.
Production growth is likely to be only 3.3% in FY12 because new projects are delayed,
while existing capacities can be ramped up only marginally. Alumina production is expected
to grow in FY12 due to expansion of Nalco's refinery, but the surplus will be exported
rather than becoming available to domestic smelters.
March 2011
88

Metals | New Order
Aluminum: Domestic demand and supply
Production
3.0
2.5
2.0
1.5
1.0
0.5
Consumption
Imports
Exports
1.3
1.0
0.8
0.5
0.3
0.0
Source: MOSL
Aluminum production
Sr.
No.
1
Hindalco
Company Cap.
(ktpa)
545
Bauxite Captive
(%
captive)
100
(MW) FY07
1,188
443
FY08
478
Production ('000 tons)
FY09
523
FY10 FY11E FY12E FY13E FY14E (ktpa)
555
532
564
750
1,200
545
359
359
2
3
Nalco
Balco
460
245
100
29
100
1,200
810
359
313
360
359
366
357
431
268
435
245
460
245
460
245
460
245
359
460
570
2012
2013
2015
900
900
900
Projects
by
CPP
(Mw)
Location
Renukoot
& Hirakud
MP
Orissa
Jharkhand
Angul
Korba
Jharsuguda
Salem
Hold 1,200
Hold 1,215
5,115
4
VAL
500
5
Malco
40
Total
1,790
Change (%) YoY
1,215
86
265
500
500
500
700
825
75
37
37
23
<------------- Mothballed ------------>
4,488 1,151 1,234 1,355 1,520 1,712 1,769 1,955 2,605 3,477
15.3
7.2
9.8
12.2
12.6
3.3
10.5
33.2
Note: - MP=Madhya Pradesh;AP=Andhra Pradesh; ktpa=thousand ton per annum
Alumina production
Sr.
No.
1
Company
Hindalco
Capacity
(ktpa) FY06
1,550
1,203
FY07
1,199
Production ('000 tons)
Projects
FY08 FY09 FY10 FY11E FY12E FY13E FY14E (ktpa)
by
Location
1,193
1,237 1,307
1,373
1,500
2,500
2,900
1,500 Mar-12 Utkal (O)
2
3
4
5
Nalco
Balco
Malco
Vedanta Alumina
Domestic Production
Chg. (%) YoY
Domestic Consumption
Exports
1,575
200
70
1,400
4,795
1,590
219
83
3,096
1,475
230
83
2,987
1,576
230
83
267
3,348
1,577 1,592
230
0
83
544
762
3,671 3,661
1,577
0
800
3,749
2,100
0
1,000
4,600
2,100
0
1,000
5,600
2,100
0
1,000
6,000
1,500 Dec-14 Aditya (O)
525 Apr-11 Damanjori (O)
3,600
7,125
Hold
-3.5
1,898 2,188
1,198
799
12.1
9.6
-0.3
2,344 2,575 2,889
1,004 1,096
772
2.4
22.7
21.7
7.1
3,253 3,361 3,715 4,950
497 1,239 1,886 1,051
Note: MP = Madhya Pradesh; AP = Andhra Pradesh; O = Orissa
March 2011
89

Metals | New Order
Non-ferrous Factories
Talwandi Sabu STLT 2640MW IPP#
Dariba HZ
210ktpa +
Debari HZ
88ktpa zinc
smelter
Mahan HNDL 359ktpa smelter + 900MW CPP
Korba Balco 245ktpa smelter ->570ktpa* + 810MW CPP
Renukoot HNDL 390ktpa smelter + 821MW CPP
Jharsuguda VAL 1.75mtpa smelter + STLT 2400MW IPP#
Chanderia HZ 525ktpa zinc smelter
Jharkhand HNDL 359ktpa AL + 900MW CPP# + Muri 0.45mtpa refinery
Dahej copper smelter 500ktpa HNDL
Silvassa STLT
195ktpa copper
refinery
Angul NACL 0.46mtpa smelter
Hirakud HNDL 155ktpa smelter + 368MW CPP + Aditya project
Utkal HNDL 1.5mtpa AL refinery#
Langigarh VAL 1mtpa AL refinery ->6mtpa*
Damanjodi NACL 2.1mtpa AL refinery#
Aditya refinery 1.5mtpa HNDL+mines
Vizag 56ktpa HZ smelter
Belgaum HNDL 0.35mtpa refinery
Tuticorin STLT 0.4mtpa copper smelter
Aluminum Complex
Zinc Smelter
Copper Complex
*
#
Ongoing capacity expansion
Greenfield projects
March 2011
90

Metals | New Order
Non-ferrous Mines
Hasdeo-Arand coal fields JV
Mainpat STLT
Samri HNDL
Auranga 95mt HNDL
Lohardaga/Gumla HNDL
Rampura Agucha HZ
Zawar HZ
Sindesar Khurd HZ
N Karanpura 447mt JV
Mahan 150mt HNDL JV
Raniganj 753mt JV
Mand Raigarh (Gare) coalfields
Talcher coalfields JV
IB Valley JV
Talabira 2/3 Aditya HNDL
Panchpatmali NACL
Pottangi NACL
Chandgad HNDL
Maliparbat HNDL
Koraput Aditya HNDL
Bauxite Mine
Zinc Mine
Coal Mine
March 2011
91

Metals | New Order
In the non-ferrous space,
Sterlite Industries is
our top pick
Sterlite and Hindalco are our top picks in the non-ferrous space
In the non-ferrous space, Sterlite Industries is our top pick due to strong earnings growth
in zinc, lead, silver and energy business, though uncertainties over power sale, sourcing of
coal and bauxite, and minority stake buyouts continue to haunt. The outlook on zinc prices
is bullish primarily from the supply side, as a couple of large mines are expected to get
depleted over the next 2-3 years. Though 3.5mtpa of new zinc supply is likely to hit the
market, the net addition will be only 0.5mtpa. We recently visited Hindustan Zinc's silver
rich Sindesur Kurd (SK) mine, where the expansion is running ahead of schedule. The
contribution of silver to Hindustan Zinc's EBITDA will increase from 10% currently to 20-
25% by FY13. We expect its zinc production to grow at a CAGR of 6.2% to 800k tons
over FY11-FY13 following the recent expansion. We remain positive on Hindustan Zinc
due to strong volume growth in both zinc and lead over the next few years.
We have Buy rating on Hindalco as well due to the group's strong operating cash flows.
Though its smelter projects have been delayed significantly, Utkal Alumina remains on
track, with a small delay of six months. Sourcing of coal for the captive power plant of
Mahan smelter remains uncertain. The start of its captive coal mine is uncertain due to
'Go/No Go Zone' classification. If the Mahan smelter were to obtain coal from sources
other than Coal India/captive mines, its margins are likely to be thin. Valuations are not
demanding.
Nalco trades at expensive valuations and its margins are coming under pressure due to
rising cost of raw materials, labor and maintenance, despite access to captive bauxite and
low cost coal from Coal India.
We also have a Buy
rating on Hindalco
However, we believe
Nalco is expensive
Valuations: Indian companies
Rating
Non-ferrous
Sterlite Inds.
Hindustan Zinc
CMP MCAP
EPS (INR)
P/E (x)
EV/EBITDA (x)
P/BV (x)
(INR) (US$m) FY11E FY12E FY13E FY11E FY12E FY13E FY11E FY12E FY13E FY11E FY12E FY13E
165
131
464
209
12,290
12,262
6,624
9,188
12.7
10.3
16.4
15.3
22.3
12.7
18.1
17.7
23.6
13.9
17.4
19.2
12.9
12.7
28.3
13.6
7.4
10.3
25.7
11.8
7.0
9.4
26.7
10.9
9.7
8.0
15.9
7.1
5.7
5.8
14.1
6.5
4.4
4.6
14.8
5.9
1.4
2.5
2.7
2.7
1.2
2.0
1.0
1.7
Buy
Buy
Nalco
Sell
Hindalco
Buy
CMP=current market price
2.5
2.4
2.2
1.9
Source: MOSL
March 2011
92

Update
SECTOR: METALS
Sterlite Industries
BSE SENSEX
S&P CNX
18,328
Bloomberg
Equity Shares (m)
52-Week Range (Rs)
1,6,12 Rel. Perf. (%)
M.Cap. (Rs b)
M.Cap. (US$ b)
5,494
STLT IN
3,361.6
223/149
-3/1/-25
554.7
12.3
Rs165
Buy
Value at discount
We expect Sterlite Industries to post earnings CAGR of 36% over FY11-13, driven
by volume growth in zinc, lead and silver, and merchant power sales by Sterlite
Energy and Balco. As the company has used some of its cash to acquire zinc
assets from Anglo, the gap between RoIC and RoE is narrowing.
Y/E March
2011E 2012E 2013E
403.0
140.8
79.2
5.6
23.6
5.6
159.6
7.0
1.0
1.0
4.4
14.8
14.5
19.2
Sales (Rs b) 287.2 387.0
EBITDA (Rs b) 71.7 125.0
PAT (Rs b)
42.9
75.0
Growth (%)
EPS (Rs)
EPS Gr. (%)
BV/Sh. (Rs)
P/E (x)
P/BV (x)
6.1
12.7
6.1
75.0
22.3
75.0
119.1 138.7
12.9
7.4
1.4
1.2
1.3
5.7
16.1
14.2
19.0
EV/Sales (x)
1.8
EV/EBITDA (x) 9.7
RoE (%)
10.7
RoCE (%)
RoIC (%)
9.5
13.6
Zinc, lead and silver - inorganic and organic growth to pay off
We expect the attributable zinc, lead and silver volumes to grow at a rapid CAGR
of 37%, 51% and 45%, respectively to 837k tons, 120k tons and 211 tons over
FY11-FY13 on account of organic growth at Hindustan Zinc and addition of Anglo's
business. The growth momentum is likely to be maintained, as full ramp-up of
capacity progresses.
The Rampur Agucha mine has been expanded by 20% to 6mtpa and the Sindesar
Kurd (SK) mine is being expanded from 0.5mtpa to 1.5mtpa.
Production at Lisheen, Skorpion and Black mountain is likely to be maintained.
The Gamsberg project has the potential to add ~400ktpa capacity over 3-4 years
at a capex of ~US$1b.
The outlook for zinc prices remains bullish due to expected depletion of few large-
scale mines. We expect segmental attributable EBITDA to grow at a CAGR of
26% over FY11-FY13 to Rs58b. The international zinc business will add Rs14b-
17b to the Rs58b EBITDA, while other income will be lower by Rs4b.
Power sales to deliver growth; aluminum expansions on hold
The company is looking to cash in on the merchant sale of power post the
commissioning of Sterlite Energy's 2,400MW and Balco's 1,200MW projects over
the next 12-15 months. Aluminum expansions at both Vedanta Aluminum (VAL)
and Balco have been put on hold.
Sterlite Industries will be selling an attributable 3,111MW to third parties as against
~140MW in FY11. Power sales will add Rs30b to EBITDA over FY11-FY13.
Given the shortage in the country, sourcing coal is a bit challenging. We factor
average coal cost of Rs1,600/ton. Balco's captive coal mines, expected to be
operational in six months subject to stage-2 forest clearances, will reduce fuel
costs significantly.
Trades at significant discount to SOTP value; Buy
Sterlite has underperformed due to a trail of setbacks - bauxite mining, minority buyouts,
Tuticorin smelter, etc. Yet, earnings growth remains intact. The stock now trades at a
significant discount to its intrinsic valuation of Rs221 (based on SOTP), implying that
negatives are factored in. We believe the stock will get re-rated once projects get
delivered. Maintain
Buy.
Shareholding pattern % (Dec-10)
Promoter
Others,
11.9
52.8
Foreign,
27.0
Domestic
Inst, 8.3
Stock performance (1 year)
Sterlite Inds.
Sensex - Rebased
280
240
200
160
120
Mar-10
Jul-10
Nov-10 Mar-11
March 2011
93

Sterlite Industries
Power plant commissioning schedule (MW)
Existing
Capacity
Sterlie Energy
Expansion
Cumulative Capacity
Sale to State grid @Rs3.2/kwh
Merchant Sales
Expansion
Cumulative Capacity
Captive Consumption
Merchant Sales
3rd party sales
(less; minority interest
in Balco)
* Trial run production
State Grid
Merchant Sales
Total Power Sales
810
540
270
1,200
Jun
-11
1,200
600
600
300
1,110
540
570
Sep
-11
600
1,800
600
1,200
300
1,410
540
870
Dec
-11
600
2,400
600
1,800
1,410
540
870
Mar
-12
2,400
600
1,800
300
1,710
540
1,170
Jun
-12
2,400
600
1,800
300
2,010
540
1,470
Avg. available capacities
FY11
*
400
300
100
810
540
270
300
238
538
FY12
1,650
600
1,050
983
540
443
600
1,276
1,876
FY13
2,400
600
1,800
1,935
540
1,395
600
2,511
3,111
Balco
Source: Company/MOSL
Sum of the parts valuations (based on FY12 estimates) - (Rs b)
Net EBITDA
sales
Stand-alone
Hindustan Zinc
Balco
CMT (less intersegment)
VAL
Skorpion Zinc
Lisheen Zinc
Black Mountain Zinc
Sterlite Energy
164
104
44
66
15
20
6
5
62
17
6
25
8
7
2
10
54
8
2
9
5
7
1
PAT
Net
debt
26
-198
46
-15
225
-13
-20
-2
Net
worth
231
176
24
-75
77
38
32
17
Valuation
basis
6.5x EBITDA
6.5x EBITDA
6.5x EBITDA
5.0x EBITDA
6.5x EBITDA
3.5x EBITDA
3.5x EBITDA
10.0x EBITDA
15.0x PE
32
402
107
30
165
28
25
21
EV
Equity
value
31
600
61
45
-
41
45
23
143
990
Stake
(%)
100
64.9
51
100
29.5
100
100
75
Attrib.
equity
31
389
31
45
-
41
45
17
Rs/
share
9
116
9
13
-
12
13
5
33
18
10
70
25
453
150
105
119
Note: - Aluminum prices US$2,200/ton, zinc & lead prices = US$2,200/ton
100
143
43
SOTP
743
221
Source: Company/MOSL
March 2011
94

Sterlite Industries
Segment-wise volumes (attributable, B Kwh)
Zinc (kt)
Silver (tons)
Aluminium (kt)
Lead (kt)
Copper (kt)
Pow er (RHS)
Price assumptions
Copper
Lead
Aluminium
Alumina
Zinc
Pow er (RHS)
5.0
3.8
2.5
1.3
0.0
FY 07 FY 08 FY 09 FY 10 FY 11 FY 12 FY 13 FY 14
130
130
10,000
7,500
5,000
161
32
184
FY 07
183
53
226
FY 08
182
67
277
FY 09
137
90
359
FY 10
122
100
176
211
804
448
837
2,500
0
FY 11
FY 12
FY 13
EBITDA (attributable, Rs b)
Standalone
Balco
Zinc - international
CMT & intersegment etc
Hindustan Zinc
Sterlite Energy
18
17
42
7
4
35
7
FY 08
18
4
FY 09
30
4
FY 10
40
33
4
FY 11
8
FY 12
15
42
Net debt (attributable, Rs b)
Net
Sterlite Energy
Copper
Hindustan Zinc
63
Balco
Zinc - international
70
58
20
16
3
25
40
-19
-34
-50
FY 07
FY 13
Other income (attributable, Rs b)
Zinc
Advances to VAL
Standalone
2
3
9
6
7
2
3
2
FY 07
FY 08
FY 09
FY 10
FY 11
FY 12
FY 13
6
6
5
8
6
11
5
8
7
2
6
Cash & equivalents (attributable, Rs b)
Advances to VAL
Standalone
26
84
11
81
63
29
FY 09
FY 10
FY 11
FY 12
FY 13
77
104
114
26
30
Zinc assets
Subsidiaries
23
28
216
28
34
163
79
79
79
Significant unemployed capital (Rs b)
900
675
450
Copper
Zinc - international
Sterlite Energy
Unemployed
Hindustan Zinc
Balco
VAL
Gap between RoIC and RoE will narrow in FY12 (Rs b)
RoE
RoIC
51
47
35
19
18
19
14
16
11
FY 11
FY 12
19
15
225
0
FY 07
FY 08
FY 09
FY 10
FY 11
FY 12
FY 13
FY 07
20
14
11
FY 10
FY 08
FY 09
FY 13
Source: Company/MOSL
March 2011
95

Sterlite Industries
Financials and Valuation
Income Statement (Consolidated)
Y/E March
Net Sales
Change (%)
Total Expenses
EBITDA
2009
2010
2011E
(Rs Million)
2012E
2013E
Ratios
Y/E March
Basic (Rs)
EPS
Cash EPS
BV/Share
DPS
Payout (%)
Valuation (x)
P/E
Cash P/E
P/BV
EV/Sales
EV/EBITDA
Dividend Yield (%)
Return Ratios (%)
EBITDA Margins
Net Profit Margins
RoE
RoCE
RoIC
12.3
14.8
90.4
1.7
14.2
12.0
14.3
110.1
1.9
15.6
12.7
15.5
119.1
1.8
13.7
22.3
27.1
138.7
1.8
7.8
23.6
29.1
159.6
1.8
7.4
2009
2010
2011E
2012E
2013E
211,442 244,103 287,220 386,965 403,038
-14.5
15.4
17.7
34.7
4.2
164,401 183,386 215,536 261,999 262,189
47,041 60,718 71,684 124,966 140,849
-40.2
22.2
7,007
40,035
3,973
21,543
57,604
8,550
14.8
49,054
-553
49,607
12,671
-1,536
34,847
-19.9
29.1
24.9
7,498
53,220
3,424
19,594
69,390
12,330
17.8
57,060
2,970
54,091
17,241
588
40,407
16.0
18.1
25.0
9,333
74.3
32.3
16,123
12.7
34.9
18,642
Change (YoY %)
As % of Net Sales
Depn. & Amortization
EBIT
Net Interest
Other income
PBT
Tax
Rate (%)
PAT
EO Income
Adj. PAT
Minority interests
Share in Asso.
Attrib. PAT
Change (YoY %)
62,351 108,844 122,207
3,167
9,638
11,635
20,712 20,142 24,095
79,897 119,347 134,668
16,660 23,483 26,525
20.9
19.7
19.7
63,237
1,631
61,607
17,510
-2,873
42,854
6.1
95,864 108,142
-
-
95,864 108,142
22,965
2,092
74,991
75.0
29,247
308
79,203
5.6
13.4
11.2
1.8
4.0
25.0
1.1
13.7
11.6
1.5
1.8
11.1
1.1
12.9
10.6
1.4
1.8
9.7
1.1
7.4
6.1
1.2
1.3
5.7
1.1
7.0
5.7
1.0
1.0
4.4
1.1
22.2
23.5
13.6
9.8
19.3
24.9
22.2
10.9
9.5
17.6
25.0
21.4
10.7
9.5
13.6
32.3
24.8
16.1
14.2
19.0
34.9
26.8
14.8
14.5
19.2
Balance sheet (Consolidated)
Y/E March
Share Capital
Reserves
Net Worth
Minority Interest
Total Loans
Def. Tax Liability
2009
1,417
2010
1,681
2011E
3,362
(Rs Million)
2012E
3,362
2013E
3,362
Working Capital Ratios
Fixed Asset Turnover (x)1.4
Asset Turnover (x)
0.5
Debtor (Days)
15
Inventory (Days)
42
Working Capital (Days) 128
Leverage Ratio (x)
Current Ratio
Interest Cover Ratio
Debt/Equity
2.8
10.1
-0.2
1.3
0.4
9
45
188
1.0
0.4
19
43
168
1.0
0.5
16
37
139
0.9
0.5
16
37
146
254,715 368,439 397,052 463,015 533,190
256,132 370,120 400,414 466,377 536,552
68,132
70,135
14,076
84,096 105,761 127,191 154,902
92,600 132,600 149,600 127,600
15,524
18,789
21,081
23,535
Capital Employed 408,475 562,340 657,563 764,248 842,589
Gross Block
153,867 181,789 297,736 396,761 453,849
3.6
15.5
-0.2
3.8
19.7
-0.1
3.8
11.3
-0.1
3.8
10.5
-0.2
Cash Flow Statement
Y/E March
EBITDA
2009
47,041
2010
60,718
2011E
(Rs Million)
2012E
2013E
71,684 124,966 140,849
1,971
4,381
-3,071
-5,753
-2,946
2,431
-13,712 -21,191 -24,071
54,190 105,211 116,138
-52,605
-54,789
14,099
80
-93,216
-
17,000
-6,883
-9,638
479
12,474
54,611
67,086
-16,752
-66,842
16,867
252
-66,476
-
-22,000
-
-11,635
-33,635
16,027
67,086
83,113
Less: Accu. Deprn. 51,549 59,133 68,302 84,352 102,950
Net Fixed Assets 102,319 122,656 229,434 312,409 350,899
Capital WIP
Investments
Liquid invest.
69,786 110,844 115,717
69,297
28,962
162,062 203,045 180,110 234,899 301,741
137,823 198,283 171,923 220,020 286,555
Non cash exp. (inc) 6,227
1,135
(Inc)/Dec in Wkg. Cap.13,636 -8,487
Tax paid
-8,522 -11,549
CF fr. Op. Activity 58,382 41,817
(Inc)/Dec in FA
-40,095
(Pur)/Sale of Invest. 2,747
Curr. Assets
116,360 175,114 179,336 200,433 219,168
Inventory
24,591 29,827 33,918 39,036 40,417
Account Receivables 8,760
5,709 14,839 17,411 17,754
Cash and Bank Bal. 55,048 33,378
Loans and advances 27,961 106,200
Curr. Liab. & Prov. 42,051
Account Payables
23,747
Provisions & Others 18,304
49,319
28,827
20,492
54,611
75,967
47,033
36,295
10,738
67,086
76,901
52,790
41,039
11,752
83,113
77,883
58,180
45,195
12,986
-61,819 -120,820
-36,725 22,935
14,499
20,479
-62,907
-
40,000
-6,883
-3,167
29,951
21,234
33,378
54,611
Int.& Div. Income
12,801 12,279
Loans and Adv.
-6,974 -65,445
CF fr. Inv. Activity -31,521 -151,710
Equity raised/(repaid)
-
76,248
21,795
-4,352
-5,469
88,222
-21,671
55,048
33,378
Net Curr. Assets 74,309 125,795 132,303 147,643 160,987
Appl. of Funds
408,475 562,340 657,563 764,249 842,590
E: MOSL Estimates
Debt raised/(repaid) 11,682
Dividend (incl. tax)
-3,938
Interest paid
-4,093
CF fr. Fin. Activity
(Inc)/Dec in Cash
Add: Opening Bal.
Closing Balance
3,651
30,513
24,536
55,048
March 2011
96

Update
SECTOR: METALS
Hindalco
BSE SENSEX
S&P CNX
18,328
Bloomberg
Equity Shares (m)
52-Week Range (Rs)
1,6,12 Rel. Perf. (%)
M.Cap. (Rs b)
M.Cap. (US$ b)
5,494
HNDL IN
1,984.4
252/129
-14/17/21
414.7
9.2
Rs209
Buy
Delaying projects
Y/E March
Sales (Rs b)
2011E 2012E 2013E
703.0
686.7
93.2
35.2
17.7
15.5
94.3
11.8
2.2
0.9
6.5
18.8
10.4
16.5
730.7
104.6
38.1
19.2
8.3
111.8
10.9
1.9
0.8
5.9
17.2
10.6
14.3
EBITDA (Rs b) 84.5
NP (Rs b)
30.4
EPS (Rs)
15.3
EPS Gr. (%)
BV/Sh. (Rs)
P/E (x)
P/BV (x)
EV/Sales (x)
EV/EBITDA (x)
RoE (%)
RoCE (%)
RoIC
59.1
78.4
13.6
2.7
0.9
7.1
19.6
9.8
14.1
Shareholding pattern % (Dec-10)
Others,
12.6
Promoter
32.1
Foreign,
41,9
Domestic
Inst, 14.4
Stock performance (1 year)
Hindalco
Sensex - Rebased
280
240
200
160
120
Mar-10
Jul-10
Nov-10 Mar-11
Hindalco is investing US$5b in greenfield projects to raise aluminum capacity 3x
to 1.6m tons and alumina capacity 2x to 3mtpa. Progress on the projects had
picked up momentum in the last 1-2 years and timelines were being maintained.
However, the projects are now delayed.
Alumina capacity is likely to double. Though the Uktal Alumina project has been
delayed by six months, we expect it to ramp-up production in FY13. Statutory
clearances for the captive bauxite mines are in place. Hence, margins in alumina
production are likely to be robust.
Primary aluminum production will dip a bit in FY11 due to breakdown at the Hirakud
smelter following torrential rain and lightning during the monsoon season. Over
FY11-FY13, the production is likely to increase at a CAGR of 19% to 750k tons
due to expansion of Hirakud and commissioning of the 359ktpa Mahan smelter.
The Mahan smelter has been allotted a coal block, but statutory clearances are
pending due to new classification of "Go/No Go" zone introduced by the Ministry
of Environment and Forest (MoEF). In the absence of coal linkages, the profitability
of the smelter has become questionable.
Gains on account of stronger LME prices are getting eroded by persisting cost
pressure for aluminum smelter in India. Hindalco has a strong pipeline of aluminum
and alumina projects, but execution delays remain a risk to our volume assumption.
Though the Mahan smelter's captive power plant has been allotted captive coal
mines, delays in operating the coal block or alternative coal linkages can adversely
impact margins.
Novelis has already surpassed its guidance of US$1b EBITDA on trailing 12-
month basis. However, margin pressure was seen in European business in 3QFY11.
Demand for FRP products remains strong. Novelis continues to focus on cost
reduction and increase in volumes through de-bottlenecking and capacity
expansion. We expect volumes to increase 20% over 3-4 years. We model EBITDA
of US$1.14b for FY12 and US$1.2b for FY13.
Novelis has returned US$1.7b (as return of capital) to Hindalco, which has been
utilized to repay acquisition debt. Consolidated interest expense for FY12 has
increased by Rs3.7b due to increase of debt at Novelis level. The benefit of reduction
in interest expense on receipt of US$650m will be going to capital account rather
than revenue account because the proceeds will be utilized for greenfield projects.
We recently cut our FY11E EPS by 9% to model lower than expected 3QFY11
results for both standalone and Novelis. We have cut our volume assumptions of
alumina and metal for FY12 and FY13 to incorporate delays in commissioning of
projects. Our FY12 alumina production estimate is cut from 1.8m tons to 1.5m
tons. Similarly, our FY13 metal production estimate is cut from 0.8m tons to
0.75m tons. We have cut our EPS estimates by 3% to Rs17.7 for FY12 and by
4% to Rs20 for FY13. The stock trades at 11.8x FY12E EPS and an EV of 6.5x
FY12E EBITDA. Maintain
Buy.
March 2011
97

Hindalco
Smelter capacity to rise 3x
Existing Capacity
addition by FY12
58
359
155
359
1,680
359
Aluminum production to grow at 19% CAGR
800
700
600
500
400
CAGR 4%
CAGR 19%
390
Renukoot Hirakud
Mahan
Aditya
Hirakud Jharkhand Total
Refinery capacity to double
Existing Capacity
addition by FY12
1,500
4,500
1,500
Alumina production to grow at 35% CAGR
2,600
2,200
CAGR 3%
1,800
1,400
1,000
CAGR
35%
1,500
Copper smelter - steady income
EBITDA
8.0
20.3
6.0
4.0
2.0
0.9
0.0
FY05 FY06 FY07 FY08 FY09 FY10 FY11E
0
11.8
16.6
12.9
12
6
EBIT
Average Rs7.1b
18.9
16.9 18
24
SG alumina - steady income
EBITDA (Rs b)
389
323
300
260
238
242
250
280
298
Volume (000 tons)
Average Rs3.3b
FY05 FY06 FY07 FY08 FY09
FY10 FY11E FY12E FY13E
EBITDA (US$ m): 16% CAGR over FY11-13
2,500
2,000
Novelis
Aluminium
Copper
Others
Novelis EBITDA (US$m): End of upgrade cycle
290
263
231
200
199
238
1,500
1,000
500
0
FY08
FY09
FY10
FY11E
FY12E
FY13E
124
1QFY10 2QFY10 3QFY10 4QFY10 1QFY11 2QFY11 3QFY11
Source: Company/MOSL
March 2011
98

Hindalco
Financials and Valuation
Income Statement (Consolidated)
Y/E March
Net Sales
Change (%)
Total Expenses
EBITDA
2009
2010
2011E
(Rs Million)
2012E
2013E
Ratios
Y/E March
Basic (Rs)
EPS
Cash EPS
BV/Share (adj.)
DPS
Payout (%)
Valuation (x)
P/E
Cash P/E
P/BV
EV/Sales
EV/EBITDA
Dividend Yield (%)
Return Ratios (%)
RoE
RoCE
RoIC
Growth (%)
27.4
4.8
-4.7
14.0
8.3
10.9
19.6
9.8
14.1
18.8
10.4
16.5
17.2
10.6
14.3
11.9
53.1
43.5
1.4
67.7
9.6
36.0
68.7
1.4
6.2
15.3
28.6
78.4
1.5
10.5
17.7
32.9
94.3
1.5
7.8
19.2
36.4
111.8
1.5
7.2
2009
2010
2011E
2012E
2013E
656,252 607,221 703,023 686,733 730,720
9.4
-7.5
15.8
-2.3
6.4
602,631 536,753 618,512 593,517 626,167
53,622 70,468
84,511 93,215 104,553
11.6
27,836
42,632
14,085
3,227
31,774
30,034
61,808
18,289
29.6
43,519
4,237
-27
19,132
-8.2
12.0
28,251
56,260
12,484
5,034
48,810
-7,948
40,862
12,382
30.3
28,480
3,335
-27
30,443
59.1
13.6
27,309
65,907
16,087
4,238
54,058
-
54,058
16,103
29.8
37,954
2,777
-27
35,150
15.5
14.3
30,760
73,793
17,315
4,113
60,591
-
60,591
19,046
31.4
41,545
3,450
-27
38,068
8.3
% of Net Sales
8.2
Depn. & Amortization 30,378
EBIT
23,244
Net Interest
Other Income
PBT before EO
EO income
PBT after EO
Tax
Rate (%)
Reported PAT
Minority Interests
Share of Asso.
Adjusted PAT
Change (%)
12,323
6,878
17,799
-23,848
-6,049
-9,537
157.7
3,488
-1,718
-353
20,831
1.5
17.6
3.9
4.8
0.9
10.9
0.6
21.7
5.8
3.0
0.9
8.1
0.6
13.6
7.3
2.7
0.9
7.1
0.7
11.8
6.4
2.2
0.9
6.5
0.7
10.9
5.7
1.9
0.8
5.9
0.7
Balance Sheet
Y/E March
Share Capital
Reserves
Net Worth
Minority Interest
Total Loans
2009
2010
2011E
(Rs million)
2012E
2013E
1,750
1,984
1,984
1,984
1,984
156,782 213,462 232,601 264,323 298,962
158,532 215,446 234,585 266,307 300,947
12,866 17,372 17,372 17,372 17,372
283,098 239,987 273,737 293,737 318,737
Sales
EBITDA
PAT
Leverage Ratio (x)
Current Ratio
Interest Cover Ratio
Debt/Equity
9.4
-19.2
1.5
-7.5
31.4
-8.2
15.8
19.9
59.1
-2.3
10.3
15.5
6.4
12.2
8.3
1.4
1.9
2.9
1.6
3.0
1.2
1.8
4.5
1.2
1.9
4.1
1.0
2.0
4.3
0.9
Def. Tax Liability
27,571 39,382 46,512 53,281 61,180
Capital Employed 482,066 512,187 572,206 630,697 698,235
Gross Block
Less: Acc. Deprn.
Goodwill on cons.
Capital WIP
Investments
Curr. Assets
Inventory
383,315 375,915 387,415 421,470 518,370
108,066 130,243 158,494 185,802 216,562
82,419
29,495
22,362
79,101 79,101 79,101 79,101
58,008 110,887 150,129 131,715
18,652
18,652
18,652
18,652
Cash Flow Statement
Y/E March
EBITDA
Non-cash items
2009
53,622
-4,879
2010
70,468
-8,811
-6,353
-5,984
49,321
-41,708
4,741
-36,967
27,539
-3,209
-16,771
-3,274
4,284
16,637
64,353
80,990
2011E
84,511
-
-5,252
-19,115
60,143
-64,379
1,672
-62,707
-
33,750
-12,484
-3,429
17,837
15,273
(Rs Million)
2012E
-
-9,334
3,477
87,358
-73,297
1,434
-71,863
-
20,000
-16,087
-3,429
484
15,979
2013E
-
-11,147
-5,914
87,492
-78,486
636
-77,850
-
25,000
-17,315
-3,429
4,256
13,898
93,215 104,553
Net Fixed Assets 275,249 245,672 228,921 235,668 301,808
tax paid
-8,432
Change in Wkg. Cap. 2,591
CF fr. Op. Activity
42,903
235,144 290,920 297,637 307,436 334,437
85,241 112,754 113,623 108,641 117,896
65,437
80,990
31,739
66,509 65,311 69,159
85,765 101,744 115,643
31,739 31,739 31,739
(Inc)/Dec in FA
-25,988
(Pur)/Sale of Invest.
894
CF fr. Inv. Activity -25,094
Equity raised/(repaid)50,623
Debt raised/(repaid) -91,954
Interest
-22,449
Dividend (incl. tax)
-3,532
CF fr. Fin. Activity -67,313
(Inc)/Dec in Cash -49,504
Add: Opening Bal.
Closing Balance
113,857
64,353
Account Receiv.
66,733
Cash and Bank Bal. 64,353
Others
18,817
Curr. Liab. & Prov.162,602 180,166 162,992 160,288 167,478
Account Payables
96,078 130,996 114,000 111,297 118,486
Provisions & Others 66,523 49,169 48,992 48,992 48,992
Net Curr. Assets 72,542 110,755 134,645 147,147 166,960
Appl. of Funds
482,066 512,187 572,206 630,697 698,235
E: MOSL Estimates
80,990 96,263 112,243
96,263 112,243 126,141
March 2011
99

Update
SECTOR: METALS
Hindustan Zinc
BSE SENSEX
S&P CNX
18,328
Bloomberg
Equity Shares (m)
52-Week Range (Rs)
1,6,12 Rel. Perf. (%)
M.Cap. (Rs b)
M.Cap. (US$ b)
5,494
HZ IN
4,225.3
144/90
4/22/3
553.5
12.3
Rs131
Buy
Silver and lead to grow faster
Y/E March
2011E 2012E 2013E
109.5
64.8
58.6
13.9
9.5
77.1
9.4
1.7
2.7
4.6
18.0
17.7
66.0
Sales (Rs b)
92.8 104.1
EBITDA (Rs b) 50.9
61.8
NP (Rs b)
EPS (Rs)
EPS Gr. (%)
BV/Sh. (Rs)
P/E (x)
P/BV (x)
EV/Sales (x)
43.7
10.3
8.0
52.4
12.7
2.5
4.4
53.5
12.7
22.6
64.1
10.3
2.0
3.4
5.8
19.7
20.2
62.9
EV/EBITDA (x) 8.0
RoE (%)
19.7
RoCE (%)
20.1
RoIC (%)
52.2
Shareholding pattern % (Dec-10)
Promoter
Others,
31.3
64.9
Domestic
Inst, 2.0
Foreign,
1.6
We expect zinc production to grow at a CAGR of 6.2% to 800k tons over FY11-
FY13 due to recent expansion of zinc refining capacity. The company had expanded
its smelting capacity to 879ktpa in mid-2010. In 3QFY11, its smelters achieved
highest production of 178k tons, implying annualized production of 713k tons.
Lead production will grow at a CAGR of 41% to 120k tons over FY11-FY13. A new
lead smelter, with capacity of 100ktpa is expected to be commissioned in 4QFY11.
Since incremental internal requirement will rise at just 6%, more lead will be available
for third party sales.
Silver production will grow at a CAGR of 44% to 324 tons over FY11-FY13. Silver
capacity will be expanded to 500tpa along with the lead smelter. Sindesur Kurd
(SK) mine is rich in silver. SK mine produced 0.7m tons in FY11, while the current
production rate has already reached 1.2mtpa. In FY12, SK mine is expected to
produce 1.5m tons and 2m tons in FY13. Silver production is expected to more
than double to 400 tons in FY12, which is ahead of 270 tons in our estimates.
Mine production too is being ramped up to match the refining capacity. Post
expansion of Rampur Agucha mines, the total mine capacity has been increased
to 8.6mtpa. During FY10, the ore production was 7.1m tons. SK mine will be
further expanded to 1.2mtpa. Sale of zinc and lead concentrates has been
discontinued but for exceptional situations.
The cost of production remains one of the lowest in world. Including royalties, the
cost of production of zinc has been US$800-1,000/ton in the last five years.
Although its 100ktpa lead smelter is delayed again by a quarter, second unit of
80MW (in 160MW CPP) has commenced trail runs in 3QFY11.
The company has recently announced addition of 150MW capacity to its existing
123.2MW power generation capacity, with an additional capex of Rs8.65b in two
phases. The first phase of 50MW will be commissioned by 1QFY12 while the
balance 50MW will be commissioned by 3QFY12.
Cash and equivalents stand at Rs131b, of which Rs6.6b is invested in debt mutual
funds. Recently, the company announced a bonus of 1:1 and stock split of 1:5.
We remain positive on Hindustan Zinc due to strong volume growth of zinc metal
and sharper growth in lead and silver production over the next few years. The stock
trades at 10.3x FY12E EPS and an EV of 5.8x FY12E EBITDA, assuming zinc
and lead prices of US$2,200/ton. Every US$100/ton change in LME prices impacts
EPS by 5-6%. Maintain
Buy.
Stock performance (1 year)
Snapshot of mining operations
160
140
120
100
80
Mar-10
Hindustan Zinc
Sensex - Rebased
Mines-->
Type of mine
Reserves (m tons)
Resources (m tons)
Reserve grade Zinc (%)
Reserve grade Lead (%)
FY10 Ore prod cap (mtpa)
FY10 Ore production (mtpa)
Rampura
Agucha
Open cast
75.71
44.65
14.23
1.99
6
5.14
10.74
50.08
5.45
2.95
0.5
0.44
Sindesar
Khurd
Rajpura
Dariba
Underground
7.80
34.41
6.25
1.4
0.9
0.50
7.85
53.36
3.66
1.95
1.2
1.02
Zawar
Jul-10
Nov-10 Mar-11
March 2011
100

Hindustan Zinc
Expect PAT growth of 16% over FY11-FY13 (Rs b)
PAT
Net Sales
93
80
57
47
27
27
FY09
40
43
54
51
59
62
65
104
EBITDA
109
Lead and silver gaining share in revenue (Rs b)
Silver
Refined Lead
Refined Zinc
28
60
54
40
57
73
79
81
FY10
FY11E
FY12E
FY13E
2
0
FY06
3
1
FY07
7
2
FY08
5
2
FY09
7
3
FY10
6
5
11
11
12
13
FY11E FY12E FY13E
Production of refined zinc, lead and silver
Refined Zinc (kt)
1,000
750
500
60
250
0
FY06 FY07
FY08 FY09 FY10 FY11E FY12E FY13E
0
12
0
Refined Lead (kt)
Silver (tons)
240
180
120
Ref ined Zinc
Ref ined Lead
Silver (RHS)
48
36
24
Realization (Rs/ton)
Refined Zinc
200,000
150,000
100,000
50,000
0
FY07 FY08 FY09 FY10 FY11E FY12E FY13E
Ref ined Lead
Sulphuric acid (RHS)
12,000
9,000
6,000
68,750
3,000
0
50,000
3,000
0
Ref ined Zinc
125,000
106,250
87,500
Ref ined Lead
Sulphuric acid (RHS)
12,000
9,000
6,000
Cost of production of zinc (US$/ton)
Pow er
Mf g
Labor
200
144
86
108
310
177
FY06
238
98
96
215
149
FY07
214
FY08
255
FY09
196
FY10
129
121
317
Admin & Selling
115
98
115
333
Royalty
Despite high RoIC, mounting cash chest dragging RoE
Cash
155
166
86
124
RoE
RoIC
91
57
58
37
44
FY07
63
FY08
48
19
69
FY09
59
109
22
FY10
246
138
52
20
63
189
20
66
18
336
43
16
FY06
FY11E FY12E FY13E
Source: Company/MOSL
March 2011
101

Hindustan Zinc
Financials and Valuation
Income Statement
Y/E March
Net Sales
Change (%)
Total Expenses
EBITDA
2009
56,803
-27.9
29,461
27,342
2010
80,170
41.1
33,469
46,701
58.3
3,343
43,358
439
7,222
50,141
-
50,141
9,727
19.4
40,414
40,414
48.2
2011E
15.8
41,873
50,925
54.9
4,658
46,266
111
7,594
53,750
-212
53,538
10,047
18.8
43,491
43,663
8.0
(Rs Million)
2012E
12.2
42,328
61,779
59.3
4,843
56,936
196
10,155
66,895
-
66,895
13,379
20.0
53,516
53,516
22.6
2013E
5.1
44,652
64,806
59.2
4,825
59,980
196
13,491
73,276
-
73,276
14,655
20.0
58,621
58,621
9.5
92,797 104,107 109,457
Ratios
Y/E March
Basic (Rs)
EPS
Cash EPS
BV/Share
DPS
Payout (%)
Valuation (x)
P/E
Cash P/E
P/BV
EV/Sales
EV/EBITDA
Dividend Yield (%)
Return Ratios (%)
EBITDA Margins (%)
Net Profit Margins (%)
RoE
RoCE
RoIC
6.5
7.1
34.0
4.0
7.2
9.6
10.4
42.9
6.0
7.3
10.3
11.4
52.4
7.0
7.9
12.7
13.8
64.1
8.0
7.4
13.9
15.0
77.1
8.0
6.7
2009
2010
2011E
2012E
2013E
% of Net Sales
48.1
Depn. & Amortization 2,853
EBIT
24,489
Net Interest
Other Income
PBT before EO
EO Income
PBT after EO
Tax
Rate (%)
Reported PAT
Adjusted PAT
Change (%)
219
9,312
33,582
-
33,582
6,306
18.8
27,276
27,276
-38.0
20.3
18.4
3.9
8.0
16.7
3.1
13.7
12.6
3.1
5.4
9.3
4.6
12.7
11.5
2.5
4.4
8.0
5.3
10.3
9.5
2.0
3.4
5.8
6.1
9.4
8.7
1.7
2.7
4.6
6.1
48.1
48.0
19.0
16.4
47.7
58.3
50.4
22.3
22.9
59.2
54.9
47.1
19.7
20.1
52.2
59.3
51.4
19.7
20.2
62.9
59.2
53.6
18.0
17.7
66.0
Balance Sheet
Y/E March
Share Capital
Reserves
2009
2010
2011E
(Rs Million)
2012E
2013E
4,225
4,225
8,451
8,451
8,451
139,351 177,014 213,032 262,593 317,259
Net Worth
143,576 181,240 221,482 271,044 325,709
Total Loans
87
605
605
605
605
Deferred Tax Liability 5,589
7,112
8,548 10,459 12,552
Capital Employed 149,251 188,957 230,634 282,107 338,866
Gross Block
58,555
Less: Accum. Deprn. 17,506
Net Fixed Assets
Capital WIP
Investments
Curr. Assets
Inventory
41,049
82,407
20,766
61,641
99,012 103,012 107,012
24,526 28,298 32,081
74,487
74,714
74,931
Working Capital Ratios
Fixed Asset T/O (x)
1.0
Asset Turnover (x)
0.4
Debtor (Days)
10.6
Inventory (Days)
9.6
Wkg. Capital T/O (Days) 1.1
Payable (Days)
Leverage Ratio (x)
Current Ratio
Interest Cover Ratio
23.9
1.0
0.4
6.9
5.6
-3.2
21.7
0.9
0.4
6.6
5.4
-2.6
20.7
1.0
0.4
6.6
5.4
-2.2
20.7
1.0
0.3
6.6
5.4
-2.0
20.7
11,084 11,130
11,084 11,084
11,084
69,289 109,492 138,244 189,320 245,783
37,839
5,457
19,953
4,517
1,518
9,275
4,642
13,258
4,777
8,481
20,555
4,968
1,670
9,275
4,642
13,735
5,253
8,481
21,364
5,574
1,873
9,275
4,642
14,375
5,893
8,481
21,746
5,860
1,970
9,275
4,642
14,678
6,196
8,481
3.8
111.9
1.5
98.7
1.5
418.7
1.5
290.5
1.5
306.0
Cash Flow Statement
Y/E March
Pre-tax Profit
2009
33,582
2010
50,141
3,343
3,219
-8,309
229
48,623
2011E
53,538
4,658
-126
-8,611
-686
48,773
(Rs Million)
2012E
66,895
4,843
-169
-11,468
-1,071
59,031
-4,000
-51,076
-55,076
-
-3,955
-3,955
-
9,275
9,275
2013E
73,276
4,825
-80
-12,562
-1,042
64,418
-4,000
-56,463
-60,463
-
-3,955
-3,955
-
9,275
9,275
Account Receivables 1,649
Cash and Bank Bal. 27,192
Others
3,542
Curr. Liab. & Prov. 10,010
Account Payables
3,722
Provisions & Others 6,287
Depreciation
2,853
(Inc)/Dec in Wkg. Cap. 3,866
Tax paid
-5,209
Other oper. activities
-503
CF fr. Op. Activity 34,589
(Inc)/Dec in FA
-13,166
(Pur)/Sale of Invest. -5,964
CF fr. Inv. Activity -19,131
Debt Raised/(Repaid)
Dividend (incl. tax)
CF fr. Fin. Activity
(Inc)/Dec in Cash
Add: opening Bal.
Closing Balance
83
-1,977
-1,894
13,564
13,628
27,192
Net Curr. Assets 27,830
6,695
6,820
6,989
7,069
Appl. of Funds
149,251 188,957 230,634 282,107 338,866
E: MOSL Estimates
-23,897 -16,560
-40,203 -28,752
-64,100
518
-2,956
-2,439
-17,916
27,192
9,275
-45,312
-
-3,461
-3,461
-
9,275
9,275
March 2011
102

Update
SECTOR: METALS
Nalco
BSE SENSEX
S&P CNX
18,328
Bloomberg
Equity Shares (m)
52-Week Range (Rs)
1,6,12 Rel. Perf. (%)
M.Cap. (Rs b)
M.Cap. (US$ b)
5,494
NACL IN
644.3
471/334
8/16/10
299.0
6.6
Rs464
Sell
Cost pressure squeezing margins
Y/E March
2011E 2012E 2013E
68.2
17.3
66.0
15.9
11.2
17.4
-3.9
196.8
26.7
2.4
3.6
14.8
8.8
9.0
16.9
Sales (Rs b)
58.1
EBITDA (Rs b) 15.6
NP (Rs b)
EPS (Rs)
EPS Gr. (%)
BV/Sh. (Rs)
P/E (x)
P/BV (x)
EV/Sales (x)
10.6
11.6
16.4
18.1
31.5
10.3
173.1 185.3
28.3
2.7
4.3
25.7
2.5
3.6
14.1
9.8
10.6
18.1
EV/EBITDA (x) 15.9
RoE (%)
9.5
RoCE (%)
9.9
RoIC (%)
18.1
Shareholding pattern % (Dec-10)
Others,
Foreign,
3.1
4.4
Domestic
Inst, 5.4
Promoter
87.2
Stock performance (1 year)
Nalco
Sensex - Rebased
500
450
400
350
300
Mar-10
Jul-10
Nov-10 Mar-11
Nalco has invested ~US$900m over the last 3-4 years to increase smelter capacity
from 345ktpa to 460ktpa, captive power capacity from 960MW to 1,200MW, and
alumina capacity from 1.6mtpa to 2.1mtpa. The balance sheet has remained debt-
free with cash surplus of Rs35b-40b.
The smelter has been fully ramped-up, with estimated production of 435kt in FY11.
Metal production will grow 2-3%, as operating efficiencies improve.
Alumina capacity expansion is running behind schedule and is now expected to
be completed by April 2011. As the production of alumina ramps up, alumina sales
will grow and drive revenue growth.
Cost of production has continuously risen. In FY06, cost of production used to be
US$110/ton for alumina and US$1,100/ton for aluminum. Since then, there has
been huge cost inflation due to shortage of coal, rising maintenance cost due to
aging smelter, faster labor cost inflation than productivity improvement and rising
commodity prices. Cost of aluminum production has risen to US$2,070/ton by
3QFY11.
Fixed cost has risen 52% due to aging of smelter and wage cost inflation during
FY06-FY11. The trend is likely to continue because public sector productivity
improvement usually lags manpower cost increase.
Power and fuel cost has risen 2.3x in five years, as the captive power plant has
increasingly been sourcing coal through e-auction and imports because coal
linkages have moved down from 100% to 80%.
Growth will continue to elude Nalco, though the company is working on a number
of expansion projects (Indonesia, Orissa, nuclear power, titanium, etc). However,
there is no visibility of any of these projects. Also, Nalco's intention of getting into
unrelated project (though with the help of JV partner) is also worrisome. The
government may try to extract cash from Nalco by selling equity of other public
sector companies like Hindustan Copper.
Though Nalco's assets are one of the best in world, with strategic location of
alumina refinery close to captive bauxite mines and the smelter's location close to
coal mines, it is still unable to contain costs. Costs continue to rise on all fronts.
We have cut our FY11E EPS by 11% to Rs16.1 to factor lower than expected
3QFY11 results and rising coal costs. We have also reduced our assumption of
coal linkage from 90% to 80% for FY12 and FY13. Our EPS estimates are cut
from Rs22.7 to Rs18.1 for FY12 and from Rs24.5 to Rs17.4 for FY13. The stock
trades at 25.7x FY12E EPS and an EV of 14.1x FY12E EBITDA. Maintain
Sell.
March 2011
103

Nalco
Metal production is muted (000 tons)
431
359
359
358
361
445
460
460
Alumina production will drive revenue (000 tons)
FY06
FY07
FY08
FY09
FY10
FY11
FY12
FY13
FY06
FY07
FY08
FY09
FY10
FY11
FY12
FY13
Cost of production on the rise (USD/ton)
Alumina
Pow er Smelter
Other consumables
529
551
348
217
301
236
FY06
411
251
276
266
FY07
276
350
325
FY08
556
335
381
335
FY09
540
267
406
356
FY10
750
348
FY11
758
351
FY12
744
358
FY13
384
Fixed Cost
534
388
550
330
EBITDA growth will be muted
35
26
22
17
10
16
17
16
LME (US$/ton)
EBITDA (Rs b)
FY06
FY07
FY08
FY09
FY10
FY11
FY12
FY13
Aluminum CoP and EBIT (USD/ton)
3,200
2,400
1,600
800
0
CoP
EBIT
Realizations (Rs/ton)
12,000
9,000
6,000
3,000
0
Alumina
Aluminium
75,000
50,000
25,000
0
-25,000
Mounting cash chest… (Rs b)
…dragging RoE
RoE (%)
64
51
55
RoIC (%)
56
37
22
35
38
41
34
31
19
36
25
18
10
13
8
FY10
9
FY11
10
FY12
26
18
17
9
FY13
FY06
FY07
FY08
FY09
FY10
FY11
FY12
FY13
FY06
FY07
FY08
FY09
Source: Company/MOSL
March 2011
104

Nalco
Financials and Valuation
Income Statement
Y/E March
Net Sales
Change (%)
Total Expenses
EBITDA
2009
50,945
2.1
34,038
16,907
2010
50,557
-0.8
40,635
9,922
19.6
3,194
6,728
23
4,688
11,392
156
11,549
3,406
29.5
8,142
8,032
-36.3
2011E
58,099
14.9
42,530
15,569
26.8
3,848
11,721
1
3,628
15,348
0
15,348
4,790
31.2
10,558
10,558
31.5
(Rs Million)
2012E
68,248
17.5
50,903
17,345
25.4
4,006
13,339
0
4,298
17,638
0
17,638
5,997
34.0
11,641
11,641
10.3
2013E
66,002
-3.3
50,110
15,892
24.1
3,906
11,986
0
4,969
16,955
0
16,955
5,765
34.0
11,190
11,190
-3.9
Ratios
Y/E March
Basic (Rs)
EPS
Cash EPS
BV/Share
DPS
Payout (%)
Valuation (x)
P/E
Cash P/E
P/BV
EV/Sales
EV/EBITDA
Dividend Yield (%)
Return Ratios (%)
RoE
RoCE
RoIC
19.6
24.0
151.6
5.0
29.6
12.5
17.6
161.3
2.5
23.1
16.4
22.4
173.1
4.0
28.6
18.1
24.3
185.3
5.0
32.4
17.4
23.4
196.8
5.0
33.7
2009
2010
2011E
2012E
2013E
% of Net Sales
33.2
Depn. & Amortization 2,724
EBIT
14,182
Net Interest
Other Income
PBT before EO
EO income
PBT after EO
Tax
Rate (%)
Reported PAT
Adjusted PAT
Change (%)
40
4,958
19,101
170
19,272
6,549
34.0
12,723
12,610
-23.5
23.7
19.4
3.1
5.1
15.5
1.1
37.2
26.4
2.9
5.1
26.0
0.5
28.3
20.8
2.7
4.3
15.9
0.9
25.7
19.1
2.5
3.6
14.1
1.1
26.7
19.8
2.4
3.6
14.8
1.1
12.9
13.6
24.9
7.7
6.1
10.1
9.5
9.9
18.1
9.8
10.6
18.1
8.8
9.0
16.9
Balance Sheet
Y/E March
Share Capital
Reserves
2009
6,443
91,255
2010
2011E
(Rs Million)
2012E
2013E
6,443
6,443
6,443
6,443
97,513 105,056 112,927 120,348
Working Capital Ratios
Fixed Asset Turnover (x)0.5
Asset Turnover (x)
Debtor (Days)
Inventory (Days)
Wkg. Capital T/O (Days)
Leverage Ratio (x)
Current Ratio
0.5
2
17
-5
0.5
0.5
13
19
(3)
0.5
0.5
5
14
(12)
0.6
0.5
5
14
(1)
0.5
0.5
5
14
(1)
Net Worth
97,698 103,956 111,499 119,370 126,791
Def. Tax Liability
6,214
6,606
6,606
6,606
6,606
Capital Employed 103,912 110,562 118,105 125,976 133,397
Gross Block
Less: Accu. Deprn.
Net Fixed Assets
Capital WIP
Investments
Curr. Assets
98,998 110,180 117,180 119,180 121,180
58,673
40,325
28,671
8,959
45,288
61,817
48,363
22,434
9,868
52,096
9,449
1,818
31,524
9,306
22,199
18,500
3,700
29,897
65,665
51,515
22,434
9,868
59,673
8,280
812
41,275
9,306
25,385
21,685
3,700
34,289
69,671
49,509
22,434
9,868
64,694
9,349
935
45,105
9,306
20,528
16,828
3,700
44,166
73,577
47,603
22,434
9,868
73,467
9,041
904
54,216
9,306
19,974
16,274
3,700
53,493
2.3
2.3
2.4
3.2
3.7
Cash Flow Statement
Y/E March
Pre-tax Profit
2009
19,272
2010
11,549
3,194
-1,108
-3,014
-50
10,570
-4,944
-908
-5,852
-1,885
-
-1,885
2,833
28,690
31,524
2011E
15,348
3,848
5,360
-4,790
0
19,767
-7,000
0
-7,000
-3,015
-
-3,015
9,752
31,524
41,275
(Rs Million)
2012E
17,638
4,006
-6,048
-5,997
0
9,599
-2,000
0
-2,000
-3,769
-
-3,769
3,829
41,275
45,105
2013E
16,955
3,906
-215
-5,765
0
14,881
-2,000
0
-2,000
-3,769
-
-3,769
9,111
45,105
54,216
Inventories
8,419
Account Receivables
265
Cash and Bank Bal. 28,690
Others
7,914
Depreciation
2,724
(Inc)/Dec in Wkg. Cap. 2,575
Tax Paid
-6,410
Other Oper. Activities
-1
CF fr. Op. Activity 18,160
(Inc)/Dec in FA
-12,951
(Pur)/Sale of Invest. -7,809
CF fr. Inv. Activity -20,760
Dividend (incl. tax)
Other fin. activities
CF fr. Fin. Activity
(Inc)/Dec in Cash
Add: opening Bal.
Closing Balance
-3,769
-105
-3,874
-6,474
35,165
28,690
Curr. Liab. & Prov. 19,332
Account Payables
16,034
Provisions & Others 3,298
Net Curr. Assets 25,956
Appl. of Funds
103,912 110,562 118,105 125,976 133,397
E: MOSL Estimates
March 2011
105

Metals | New Order
Appendix: Vedanta Group site visit
Silver lining amid uncertainties
Vedanta group all-India site visit takeaways
During March 1-4, we visited mines and plant sites of Vedanta group of companies across India. The companies covered
were (1) Hindustan Zinc, (2) Sterlite Energy, (3) Vedanta Aluminium and (4) Sesa Goa. We present our key takeaways below.
Hindustan Zinc: SK mines ahead of schedule
We were positively surprised by the progress of Hindustan Zinc's (HZ IN, Mkt Cap US$12.5b, CMP Rs131, Buy)
silver-rich SK mines, where the expansion is running ahead of schedule.
HZL is targeting silver production of 400 tons v/s our estimate of 270 tons in FY12.
Cost of production will remain constant despite deepening of mines as stripping ratio will come down.
We are keeping our estimates unchanged for now but we will look to upgrade as we see ramp-up of sliver production.
Sterlite Energy: Ramp-up delayed
Sterlite Energy's power plant ramp-up has been delayed in past due to bottlenecks in evacuation of power. With 950-
1,000MW of transmission capacity in place now, generation ramp-up at 1,200MW can be expected.
Sterlite Energy's 2 units of 600MW each will start commercial production from April 2011. Other 2 units of 600MW
each are scheduled to start in September and December 2011, but risk of delay remains.
We have factored average of 1,500MW to be available for FY12, which looks achievable but we need to monitor the
projects carefully.
Vedanta Aluminium and Balco: Smelters on hold
VAL's 1.25mtpa smelter is 80% complete but put on hold due to shortage of alumina and better margins in selling
power. VAL will continue to operate only 500ktpa smelter and 1mtpa refinery. Captive power plant gets 35% of its
coal requirement through linkages.
Cost of production of aluminium is US$1,750-1,800/ton. Balco's landed cost of alumina converted by VAL from its
captive bauxite is US$300/ton.
Balco's 1,200MW project is on track, while 325ktpa smelter is put on hold. Captive coal mine is expected to start
production by December 2011 subject to getting permissions.
Sesa Goa: thrust on R&R
Sesa Goa (SESA IN, Mkt Cap US$5.4b, CMP Rs272, Buy) indicated that R&R would be enhanced at year-end.
It remains keen on expansion to 40mtpa subject to permissions. Infrastructure investment in Orissa in on track.
Sesa currently is trading at unjustified discount to DCF valuations of Rs319 (assuming long-term iron ore prices of
US$120/dmt on fob basis).
Valuation and view
We believe Hindustan Zinc and Sesa Goa are trading at attractive valuations with upside risk to our estimates.
Sterlite Industries (STLT IN, Mkt Cap US$12.4b, CMP Rs166, Buy) is likely to post strong EPS growth of 76.3% to
Rs22.5 in FY12 due to growth in HZL, Anglo, Balco and Sterlite Energy businesses.
We have a
Buy
rating on HZL, Sesa Goa and Sterlite Industries.
March 2011
106

Metals | New Order
Day 1 at Jharsuguda
Balco: 1,200MW CPP expansion on track
Balco is currently operating 245ktpa smelter, 540MW CPP and 270MW merchant
power plant. Balco has focused on enriching product mix. Value-added products have
increased from 80% in FY10 to 92% in FY11. Rod production increased from 148kt in
FY10 to 165kt in FY11, while rolled products remained at 66kt.
Cost of production (CoP) ranges from US$1,750-1,800/ton. Alumina is produced on
conversion basis by sending bauxite from its mines to Lanjigarh. VAL charges
approximately Rs8,000 for conversion of one ton of alumina. Thus, cost of alumina to
Balco is approx US$300/ton. Balco's captive power plants receive coal through linkages.
Manpower has been right-sized and rationalized by 1,000 persons since April 1, 2009
through VRS. Hot metal costs consist of US$60/ton on account of surplus manpower
of dismantled Soderberg smelter.
It is currently implementing expansion of 325ktpa of smelter and 1,200MW captive
power plant. Though the smelter commissioning has been put on hold, 1,200MW CPP
remains on track. First unit of 300MW is expected to commission by June 2011. The
400KV power transmission lines are expected by end of March 2011. Second, third
and fourth units are schedule for commissioning by September 2011, March 2012 and
June 2013.
1,200MW power plant's captive coal mine is expected to start production by December
2011. Traimar coal block with R&R of 211m tons is located 70km from the plant site.
Coal mine has achieved significant progress with approval of TOR by MoEF, mining
plan by Ministry of Coal, in-principle mining lease by state government, in-principle
diversion of forest, and public hearing for environment clearance. Final forest clearance
is expected by July 2011 and mining lease by August 2011. Coal production can be
expected to start by December 2011.
VAL: 1.2mtpa smelter remains on hold
1.25mtpa smelter with 4 lines of 336 pots each is nearly 80% complete. Project has
been kept on hold due to denial of bauxite from Nyamgiri mines. Lanjigarh alumina
refinery has completed 100% of purchase, while 60% of project construction is
complete.
500ktpa smelter was operating near capacity. Neary 50% of alumina is received from
Lanjigarh refinery and rest is imported. Cost of alumina at Jharsuguda is US$420/ton.
Landed cost of 3rd party bauxite at Lanjigarh is ~Rs1,900/ton, which has increased by
Rs200 in last 2 years. Cost of production of aluminium is US$1,974/ton.
Cost of power generation is Rs2.30/kwh (Rs2/kwh for coal and Paise30/kwh for
O&M).
1,215MW CPP receives 35% coal through linkages, while remaining coal is purchased
through e-auction, forward auction, and imports. Nearly 60% of total coal consumed
is transported by road, while balance 40% by rail.
Sterlite Energy: 1,200MW commissioned
Sterlite Energy (SEL) has already started power generation at 2 units of 600MW each.
Unit 2 was started in September 2010. The 600MW unit was producing 321.1MW i.e.
PLF of 53%.
March 2011
107

Metals | New Order
Sterlite Energy Unit 2 (600MW)
Source: Company/MOSL
Evonics Energy, a German contractor, has been given O&M contract. This unit is
supplying power to state grid through 450MW line, which can take maximum of 500MW.
PLF ramp up remains slow due to lack of demand from state. State grid (Gridco) is
buying power at Rs3.2/kwh. Coal cost is pass-through in agreement with state grid.
600MW Unit 1 too has been started. Though the unit was ready operationally some
time ago, power generation was delayed due to delay in getting transmission line.
600MW Line-in Line-out (LILO-1) was charged towards end of February i.e. couple
of days before our site visit. The unit was being readied for charging to the grid. As
shown in the following picture, the control shows 0% PLF. Chinese contractor has
been hired for O&M of this unit as seen in the following picture.
Unit 1 (600MW)
Source: Company/MOSL
The power plants are heavily dependent on purchase of coal through e-auction and
forward auctions because linkage coal from Coal India is only 65%. Nearly 10% of
coal consumed is imported. Though the coal mines are in proximity, the availability of
rakes remains poor. Nearly 60% of coal is transported through roads. An average
2,500 trucks remain engaged for delivery of coal. Since the e-auction coal is not
uniformly distributed through the month, the number of trucks touches 6,000 in peak
days. Commercial generation of 1,200MW i.e. first 2 units is expected to start from
April, 2011.
108
March 2011

Metals | New Order
Unit 3 and 4 are expected to start generation by September and December 2011
respectively. The power evacuation will remain dependent on getting 1,000MW LILO-
2 and IB-Meramundli tansmission line. Though LILO-2 will be ready in next 6 months,
the IB-Meramundli line will take 12-15 months.
Unit 4: Schedule to start in 3QFY12
Unit 3: Schedule to start by 2QFY12
Boiler house: 3rd units (blue) completion; 4th unit (brown)
still under construction
VAL’s 0.5mtpa aluminum smelter potline
Source: Company/MOSL
To strengthen the logistics to handle huge requirement of raw materials, the company
is laying out 85km of railway lines at cost of Rs4b. Two projects have been completed.
3rd project will be completed by March 2011. 17-18km of Dhutra line is expected in
4QFY11. A merry-go-around to connect to captive coal mines is expected by 2013.
Currently 50,000 tons per month of coal is being imported, which will go to 100,000tpm
at full production rate. At Jharsuguda, 4,400 acres of land has been acquired. Land for
ash pond is under acquisition.
March 2011
109

Metals | New Order
Sum of the parts valuations (based on FY12 estimates) - (Rs b)
Net EBITDA
sales
Stand-alone
Hindustan Zinc
Balco
CMT (less intersegment)
VAL
Skorpion Zinc
Lisheen Zinc
Black Mountain Zinc
Sterlite Energy
164
104
44
66
15
20
6
5
62
17
6
25
8
7
2
10
54
8
2
9
5
7
1
PAT
Net
debt
26
-198
46
-15
225
-13
-20
-2
Net
worth
231
176
24
-75
77
38
32
17
Valuation
basis
6.5x EBITDA
6.5x EBITDA
6.5x EBITDA
5.0x EBITDA
6.5x EBITDA
3.5x EBITDA
3.5x EBITDA
10.0x EBITDA
15.0x PE
32
402
107
30
165
28
25
21
EV
Equity
value
31
600
61
45
-
41
45
23
143
990
Stake
(%)
100
64.9
51
100
29.5
100
100
75
Attrib.
equity
31
389
31
45
-
41
45
17
Rs/
share
9
116
9
13
-
12
13
5
33
18
10
70
25
453
150
105
119
Note: - Aluminum prices US$2,200/ton, zinc & lead prices = US$2,200/ton
100
143
43
SOTP
743
221
Source: Company/MOSL
Day 2 at Hindustan
Zinc: Dariba Smelter
and SK mines
Hindustan Zinc: Dariba Smelter and SK mines
On March 2, we visited Hindustan Zinc's Dariba smelter and Sindesur Kurd (SK)
underground zinc mine.
210ktpa zinc smelter was operating at full capacity, while lead and silver smelter is
expected to start operation by end of March 2011. SK mines development is running
ahead of schedule. Both lead and silver production is expected to get a boost with
commissioning of Dariba lead and silver smelters.
SK mine produced 0.7m tons in FY11, while the current production rate has already
reached 1.2mtpa. In FY12, SK mine is expected to produce 1.5m tons and 2m tons in
FY13. Silver production is expected to more than double to 400 tons in FY12, which is
ahead of 270 tons in our estimates.
Hindustan Zinc has invested heavily in drilling and exploration activities to expand
R&R by 186m tons (including depletion of 33.4m tons) to 299m tons. Nearly 70,000
meters of drilling is carried out every year. A team of 46 geologists is engaged in the
task.
Zinc-lead-silver mines (m tons)
Reserves
Resources
FY04
FY05
FY06
FY07
FY08
FY09
FY10
Source: Company/MOSL
March 2011
110

Metals | New Order
Hindustan Zinc: Mining assets
Hindustan Zinc: Smelters and captive power plants
Source: Company/MOSL
After a presentation on Hindustan Zinc, we visited Dariba complex. Zinc smelter was
operating at full capacity, while lead and silver smelters are expected to start production
by end of March 2011. Thereafter, we visited underground SK mine.
March 2011
111

Metals | New Order
Dariba Zinc Smelter: Cell house and output of zinc in sheet form
Dariba Lead-Silver Smelter: Entry gate
Dumper exiting silver-rich SK mines
Source: Company/MOSL
Day 3 at Hindustan
Zinc: Rampura Agucha
and Chanderiya
Hindustan Zinc: Rampura Agucha and Chanderiya
On day 3 we visited the Rampura Agucha mines and Chanderiya smelter. Rampura
Agucha zinc and lead mine is currently operating at depth of 190 meters. Total depth
of zinc ore body (vein) is about 1,200 meters. Open cut mining will continue to the
depth of 372 meters. Thereafter, underground mine will have to be undertaken. Open
cut mining will last until 2020 though simultaneous underground mining will start in
next 3 years to sustain current production levels.
The stripping ratio currently is about 1:13 versus average of 1:10 for entire mine life.
Currently, the stripping ratio has increased because the preparations for mining next
stage of hanging wall are currently on. This is visible in the following photograph
(Rampura Agucha mine) on the left side of pit. Left wall of pit is called hanging wall
because it is sitting on top of ore body, which is moving from right to left downwards.
The wall on right side is called footwall because it is below the ore body and is not
required to be mined further. This wall is used for evacuating the ore, while hanging
wall is used for evacuating overburden. The stripping ratio will decline over time.
Thus cost of production will remain constant.
The average cost of zinc concentrate is US$300/ton for all the mines. Rampura Agucha
mine's cost of production is lower at US$250/ton of MIC. Cost of production for
underground mines is approximately US$400/ton of MIC exclusive of royalties.
112
March 2011

Metals | New Order
Rampura Agucha open pit mine
Rampura Agucha: Elevation (left) and mine cutting plan (right) - replica of actual mine
Chanderiya smelter: Cell house (left) and robot stacking zinc slabs (right)
Source: Company/MOSL
March 2011
113

Metals | New Order
Day 4 at Sesa Goa:
Shonshi-Surla mine
complex
Sesa Goa: Shonshi-Surla mine complex
On March 4, we arrived in Goa and directly reached the Shonshi Surla mine complex,
which has R&R of 50m tons. Currently, this complex produces 5mtpa. Surla mine came to
Sesa's fold when Dempo was acquired. These are two adjoining mines. Thus, there are
synergies in R&R and cost of production. The average grade of this complex is 57%. The
mining activities are currently being carried out are at the depth of 70 meters below mean
sea level. The maximum depth when fully mined will be 200 meters below mean sea level.
These mines can double the production subject to getting statutory clearances. The mined
ore is transported to Amona beneficiation plant, which is situated on the banks of Mandovi
River. After beneficiation, the ore is loaded onto barges, which is subsequently loaded
mid-sea with the help of trans-shippers on to outgoing capesize vessels.
Sesa Goa: Shonshi mines - full mine view (left) and zoomed to ore body (right)
Sesa: North Goa mines map (left) and out going barge (right) loaded with iron ore
Source: Company/MOSL
The site visit was followed by presentation by management. Sesa continues to pursue
mine capacity expansion. Currently, the R&R stand at 275m tons, which has been
increased by 120m tons since acquisition by Vedanta. Nearly 85m tons of R&R were
added to erstwhile Sesa and 35m tons of R&R have been added to Dempo's assets
through continuous drilling and exploration. Sesa indicated that R&R are further
expected to be enhanced once the results of exploration are announced along with the
annual results for FY11.
114
March 2011

Metals | New Order
Sesa has permission to mine total of 22mtpa (16mtpa in Goa and 6mtpa in Karnataka).
The shipments are expected to be flat at 20.5m tons in FY11 and 25m tons in FY12
subject to getting permission to expand Karnataka mines from 6mtpa to 10mtpa and
lifting of export ban. Karnataka mines are currently selling to domestic producers at
discount of US$35/ton to the export parity prices. The realization is likely to further dip
due to enhancement of export duty to 20%. Karnataka mines dispatched 3.5m tons in
FY10 and 2.5m tons in FY11, while the target for FY12 is 6m tons. Though Karnataka
mine expansion and logistics debottlenecking have achieved many milestones, some
more approvals are still pending. There is apparently no visibility over mine expansion
permission for Goa mines though management is targeting to expand total mine capacity
to 30mtpa by end of FY12 and 40mtpa by end of FY13.
We met couple of local mining companies to understand the sentiments. Goa miners
are very disappointed with the recent hike in export duty to 20% on fines. Most miners
are currently sharpening the axe to make presentation to ministry against hike in duty.
There is very high probability that export duty on fines may be lowered because
exports of very low grade like 48% Fe, which fetches as low as US$30/ton (though
63% Fe grade ore is selling at US$170/dmt) have become unviable. Also, there are
possibilities of introducing more slabs for low-grade ore to reduce the burden of royalty
on very low grade ore.
March 2011
115

N O T E S
March 2011
116

For more copies or other information, contact
Institutional:
Navin Agarwal.
Retail:
Manish Shah
Phone: (91-22) 39825500 Fax: (91-22) 22885038. E-mail: reports@motilaloswal.com
Motilal Oswal Securities Ltd, 3rd Floor, Hoechst House, Nariman Point, Mumbai 400 021
This report is for the personal information of the authorized recipient and does not construe to be any investment, legal or taxation advice to you. Motilal Oswal
Securities Limited
(
hereinafter referred as MOSt
)
is not soliciting any action based upon it. This report is not for public distribution and has been furnished to you solely
for your information and should not be reproduced or redistributed to any other person in any form.
The report is based upon information that we consider reliable, but we do not represent that it is accurate or complete, and it should not be relied upon such. MOSt or
any of its affiliates or employees shall not be in any way responsible for any loss or damage that may arise to any person from any inadvertent error in the information
contained in this report. MOSt or any of its affiliates or employees do not provide, at any time, any express or implied warranty of any kind, regarding any matter
pertaining to this report, including without limitation the implied warranties of merchantability, fitness for a particular purpose, and non-infringement. The recipients of
this report should rely on their own investigations.
MOSt and/or its affiliates and/or employees may have interests/ positions, financial or otherwise in the securities mentioned in this report. To enhance transparency,
MOSt has incorporated a Disclosure of Interest Statement in this document. This should, however, not be treated as endorsement of the views expressed in the report.
Disclosure of Interest Statement
Tata Steel
JSW Steel
Sesa Goa
SAIL
Bhushan Steel
Adhunik Metaliks
Godawari Power & Ispat
Jai Balaji Industries
Monnet Ispat
Prakash Industries
Sarda Energy
Tata Sponge Iron
Sterlite Industries
Hindalco
Hindustan Zinc
Nalco
Analyst ownership
of the stock
No
No
No
No
No
No
No
No
No
Yes
No
No
No
No
No
No
Group/Directors ownership
with of the stock
Yes
No
No
No
No
No
No
No
No
No
No
No
No
No
No
No
Broking relationship
company covered
No
No
No
No
No
No
No
No
No
No
No
No
No
No
No
No
Investment Banking relationship
with company covered
No
No
No
No
No
No
No
No
No
No
No
No
No
No
No
No
This information is subject to change without any prior notice. MOSt reserves the right to make modifications and alternations to this statement as may be required
from time to time. Nevertheless, MOSt is committed to providing independent and transparent recommendations to its clients, and would be happy to provide
information in response to specific client queries.

Motilal Oswal Sector Gallery