10 October 2011
Update | Sector: Utilities
Tata Power
BSE Sensex
16,557
S&P CNX
4,980
CMP: INR104
TP: INR105
Neutral
Option to limit UMPP losses exists, Coal earnings to support...
Stock price correction helps build long-term investment case
Bloomberg
Equity Shares (m)
52-Week Range (INR)
1,6,12 Rel. Perf. (%)
M.Cap. (INR b)
M.Cap. (USD b)
TPWR IN
2,373.3
145/94
5/-6/-9
246.8
5.0
Mundra UMPP losses are not due to poor cost structure, but "constrained"
PPA framework (only 50% fuel cost pass through). We have come across
comparisons with Dabhol project, which in our view is inappropriate.
Options exists to contain losses, while favorable outcome of bi-lateral
negotiation could provide upside, along with possible tax set-off.
Net long position on coal to yield positive returns on integrated investments.
20% correction in stock price in three months helps build long-term
investment case. CMP adequately captures most business challenges
Y/E March
Sales (INR b)
EBITDA (INR b)
NP* (INR b)
EPS (INR)*
EPS Gr. (%)
BV/Share (INR)
P/E (x)
P/BV (x)
EV/EBITDA (x)
EV/Sales (x)
2011 2012E 2013E
69.2
15.9
17.5
7.4
18.4
45
14.1
2.3
19.4
4.5
74.2
19.0
23.3
9.8
32.9
47
10.6
2.2
17.6
4.5
80.6
19.6
22.3
9.4
(4.0)
49
11.0
2.1
17.2
4.2
Mundra UMPP cash flow strain due to constrained PPA structure, not poor
cost economics:
Losses in project are due to poor PPA structure, which entails
year-1 tariffs at INR2.21/unit. Despite this, the project continues to be EBITDA positive
(expect year-1 EBITDA on full commissioning at INR5.5b). We have also come across
the comparison of the project with erstwhile Dabhol (Enron) project, which is
inappropriate given striking differences - while Dabhol had issues of cost viability and
project economics, for Mundra UMPP, the key issue is "constrained" PPA structure.
The all-inclusive generation cost of INR2.8/unit (on imported coal) for Mundra UMPP
is competitive and compares with tariffs INR2.5-2.8/kwh for several of NTPC's new
projects (based on domestic coal linkages). The key reasons leading to a competitive
cost structure are: (i) significantly lower capex cost, which entailed BTG award at
INR18.5m/MW in 2007 v/s current cost of INR30m-33m/MW, (ii) integration in the
chain, (iii) scale economics, and (iv) strong execution. However, due to the constrained
PPA structure, equity investors have not benefitted from these 'moats'. Post
commissioning of the Mundra UMPP, the profitability of the chain (coal mining +
Mundra UMPP) will decline from INR13.7b in FY12 to INR8b in FY14. But the RoE in
the chain will be reasonable at 15%, though lower than ~24% expected in FY12.
Possible options to curtail losses exists for Mundra UMPP:
Options to improve
the viability of Mundra UMPP and possibly salvage profitability include: (i) operating
the project at contractual norms, which entails 100% recovery of fixed charges at
80% plant availability (PLF of 72-78%), (ii) usage of low grade coal, (iii) possible
capacity expansion by 1.6GW (brownfield) and (iv) leveraging tax benefits on losses.
Any regulatory concessions can lead to improvements in project economics. We
have not factored a large part of these upside possibilities in our estimates.
Expect meaningful increase in profitability of KPC/Arutmin mines:
KPC/Arutmin
mines (30% stake by TPWR) have plans to ramp up production to 100mtpa v/s current
levels of 64m tons. The planned expansion will also entail productivity improvements
and conversion of operations into 'all weather' mining. As a result, we expect meaningful
increase in the profitability of KPC/Arutmin mines.
Stock price correction helps build long-term investment case:
The TPWR stock
has corrected by 20% over the last three months. While we maintain our
Neutral
rating, we believe that correction helps build an investment case for long-term investors.
Net long position on coal provides positive leverage to commodity prices.
RoE (%)
7.5
7.7
7.0
RoCE (%)
6.2
6.6
6.2
* Consolidated; EPS calculated on fully
diluted equity
Shareholding pattern % (Jun-11)
Others,
16.1
Promoter
31.8
Foreign,
23.6
Domestic
Inst,28.5
Stock performance (1 year)
Tata Pow er
Sensex - Rebased
160
140
120
100
80
Nalin Bhatt
(NalinBhatt@MotilalOswal.com) +91 22 3982 5429
Satyam Agarwal
(AgarwalS@MotilalOswal.com)
/ Vishal Periwal
(Vishal.Periwal@MotilalOswal.com)

Tata Power
Mundra UMPP is not Dabhol (Enron)
Based on our interactions
with various investors, we
have come across
comparisons of Mundra
UMPP with the Dabhol
(Enron) power plant
However, we believe Dabhol
had issues of cost viability
and project economics; for
Mundra UMPP, the key issue
is poor PPA structure
Cash flow strain due to constrained PPA structure, not poor cost economics
We expect Mundra UMPP (4GW) to report net loss of ~INR14b and cash loss of
INR3b-4b on full project commissioning. This is a meaningful strain in terms of project
cash flows, given that the project equity stands at INR42b.
The strain is largely due to constrained PPA structure, which entails year-1 tariffs at
INR2.21/unit. This makes fixed cost recovery challenging, as we calculate fuel cost
at INR2/unit (assuming entire requirement sourced at current import parity prices).
However, the project continues to be EBITDA positive and we expect year-1 EBITDA
(on full commissioning) at INR5.5b.
We have come across comparisons of Mundra UMPP with the Dabhol (Enron) power
plant. However, we believe there are striking differences between the two projects -
while Dabhol had issues of cost viability and project economics, for Mundra UMPP,
the key issue is poor PPA structure.
Assuming 100% fuel sourcing at import parity prices, we calculate the generation cost
for Mundra UMPP at INR2.8/unit. This is competitive given that the first-year tariffs
for several of NTPC projects based on Coal India linkages are INR2.4-2.8/unit. Also,
for projects based on imported coal, the year-1 tariffs are now calculated at ~INR3.5/
unit. Given the competitive cost structure, we believe that Mundra UMPP does not
have issues of 'cost' viability and is thus not directly comparable with the experience
of Dabhol (Enron) power plant.
The key reasons, in our opinion, leading to a competitive cost structure for the Mundra
UMPP are: (i) significantly lower capex cost, which entailed BTG award at INR18.5m/
MW in 2007 v/s current cost of INR30m-33m/MW, (ii) integration in the chain, including
ownership of ships, long-term coal sourcing arrangements, etc (iii) scale economics
(Mundra UMPP will be amongst the largest project sites in the country), (iv) strong
execution capabilities, resulting in project completion within 4.5-5 years (while many
new capacities take 7-8 years post project planning). Many of these cost advantages
are permanent and difficult to replicate. However, due to the poor PPA structure,
equity investors have not benefitted from these 'moats'.
Post commissioning of the Mundra UMPP, the profitability of the chain (coal mining +
Mundra) will decline from INR13.7b in FY12 to INR8b in FY14. But RoE in the chain
will continue to be reasonable at ~15%, though lower than ~24% expected in FY12.
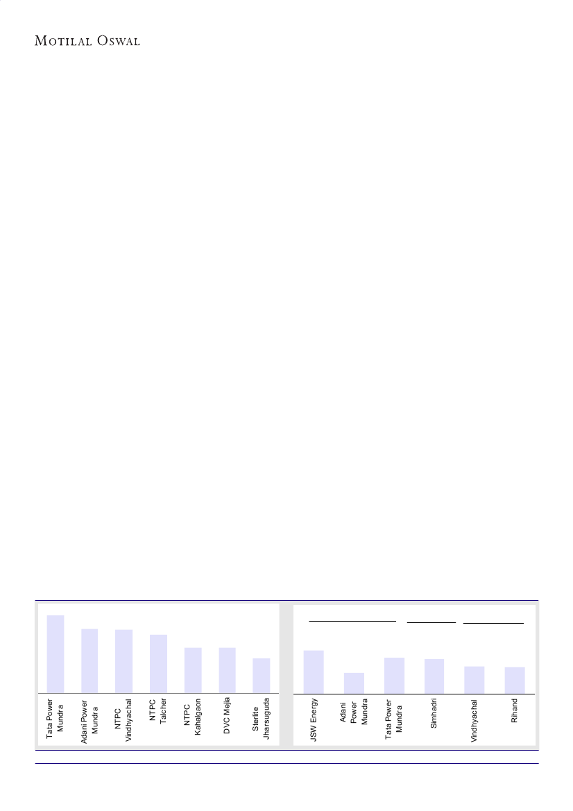
...providing scale economics, fuel cost (INR/unit)
Mundra UMPP to be amongst the largest operating power
plants in India* (MW)...
4,000
3,300
3,260
3,000
2,340
2,340
1,800
Imported
Spot
2.40
1.15
Linkages
Spot
2.00
Coal India
Linkages
1.93
Coal India
Pithead
1.53
1.49
* Mundra to be operational by FY14
10 October 2011
Source: Company/MOSL/CEA/CERC
2

Tata Power
Supercritical project's BTG cost: Mundra at significant discount, providing a meaningful cost advantage
Capacity
Project
Mundra UMPP
Barh Stage 2
Nigrie
Bara
Karchana
Lalitpur Power Gen
Bulk Tendering
Developer
Tata Power
NTPC
JPVL
JPVL
JPVL
Bajaj Hindustan
NTPC
State
Gujarat
Bihar
Winner
Doosan
BHEL
Units
5 x 800
2 x 660
2 x 660
3 x 660
3 x 660
3 x 660
9 x 800
(MW)
4,000
1,320
1,320
1,980
1,320
1,980
7,200
Award Value (INR m) INR m/MW
Year
May-07
Oct-08
Aug-09
Oct-09
Aug-10
Mar-11
Sep-11
Total
74,000
29,470
40,000
56,000
65,000
Total
18.5
22.3
30.3
28.3
32.8
Madhya Pradesh L&T-MHI
Uttar Pradesh
BHEL
Uttar Pradesh
L&T-MHI
Uttar Pradesh
Various
BHEL
Doosan & BGR
54,500
27.5
190,800
26.5
Source: Company/MOSL
Net contribution from mining + power project still remains positive (INR b)
Other Pow er Business
Mine + UMPP
Others
23.3
17.5
14.8
11.9
7.5
22.8
18.7
Tata Power investments in
UMPP and Mine stands at
INR56b (INR42.5b in
Mundra UMPP and
INR13.5b advances to
Mine Holdco)
FY08
FY09
FY10
FY11
FY12E
FY13E
FY14E
Variable cost: Lower recovery (INR/unit)
Actual
2.0
2.0
Recovery
1.9
Fixed cost: Lower at 90% (INR/unit)
Fixed Cost at 75% PLF
Fixed Cost at 90% PLF
1.07
0.87
1.3
1.3
1.3
0.83
0.68
0.61
0.54
FY12
FY13
FY14
FY12E
FY13E
FY14E
Source: Company/MOSL
FY14 PAT sensitivity with coal realisation and production cost
Coal Realization (USD/ton)
87.5
38.6
39.6
40.6
41.6
42.6
18,111
17,482
16,854
16,225
15,596
88.5
18,740
18,111
17,482
16,854
16,225
89.5
19,368
18,740
18,111
17,482
16,854
90.5
19,997
19,368
18,740
18,111
17,482
91.5
20,626
19,997
19,368
18,740
18,111
Source: MOSL
Production Cost
(USD/ton)
10 October 2011
3

Tata Power
Possible options to curtail losses
We understand that the debt financing for Mundra UMPP is on non-recourse basis. The
company has also approached the Ministry of Power for a possible revision in the PPA
structure and the Indonesian Government for exempting the contract with KPC/Arutmin
mines on coal supplies at 'fixed rates'. Any regulatory concessions can lead to improvements
in project economics.
Some of the options to improve project viability and also possibly salvage project
profitability include:
Operating the project at contractual norms, which entails 100% recovery of fixed
charges at 80% plant availability. We understand that based on seasonal factors, this
will possibly translate into a PLF of 72-78%.
Usage of low grade coal (v/s average GCV of 5,600kCal on GAR basis from KPC/
Arutmin Indonesian mines). This will lead to improved cost economics on GCV adjusted
basis.
Possible capacity expansion at Mundra UMPP by 1.6GW (brownfield), which will
further enhance the scale economics. Also, most of the common infrastructure facilities
can be utilized, resulting in increased profitability for the expansion project.
Mundra UMPP: Project funding on non-recourse basis by international and domestic banks
Agency
International Funding
International Finance Corporation
Asian Development Bank
K-Exim/KEIC
Loan (USD b)
1.80
0.45
0.25
1.10
Agency
Domestic Funding (INR b)
State Bank of India
SBI Associates (consortium)
India Infrastructure Finance Co. Ltd.
HUDCO
Oriental Bank of Commerce
Vijaya Bank
Loan (INR b)
58
20
5
18
5
5
5
Source:MOSL
Sensitivity of PLF to consolidated PAT & SOTP valuations
Our assumption
Possible
80
17,146
-5.3
101
-3.4
Source: MOSL
PLF (%)
FY14 consolidated PAT (INR m)
Decrease (%)
SOTP Valuations (INR)
Decrease (%)
75
18,111
105
5% increase in the PLF,
impacts FY14 PAT and SOTP
valuations by ~5%
Tata Power is net long on coal (m tons)
Produc-
tion
FY08
FY09
54.2
52.8
TPWR
Share (30%)
(A)
16.3
15.8
Total
Require
ment *
0.0
0.0
Pass through
based on
CERC Index
0.0
0.0
Net Exposed*
on coal
(B)
0.0
0.0
16.3
15.8
Long
Position
Tata Power is net long on
coal to the tune of ~19m ton
FY10
63.1
18.9
0.1
0.0
FY11
58.2
17.5
0.3
0.0
FY12E
65.2
19.6
0.6
0.2
FY13E
71.7
21.5
4.8
2.3
FY14E
82.5
24.7
9.8
4.8
* Requirement for Mundra UMPP (4,000MW) and Trombay (100MW)
0.1
18.8
0.3
17.2
0.4
19.1
2.5
19.0
5.1
19.7
Source: Company/MOSL
10 October 2011
4

Tata Power
TPWR: Gain/impact analysis of long coal equity
TPWR's requirement for its Mundra UMPP would remain constant at ~10m tons considering 75% PLF (10.7m tons at 80% PLF), of which
exposure on ~5m tons is covered under PPA. Thus, TPWR is vulnerable to 5m tons of coal procurement at spot rates for its Mundra UMPP
project. Given its 30% stake in KPC/Arutmin mines, TPWR has ~19m tons of coal equity as at CY11, which would increase to 30m tons, as KPC/
Arutmin mine production reaches 100m tons by say CY14-15E, which in our view is a structural benefit.
We also evaluate that the tax adjusted return/benefit for TPWR is still positive, even taking into account 45% tax in mine profits, vs no set-off
for Mundra UMPP losses (being SPV, no set-off with other profit making divsion). We note that US$10/ton increase in coal cost for Mundra
UMPP and realisation for KPC/Artumin mines (as both linked to spot prices), is net US$85m+ positive contribution from TPWR.
Mundra UMPP: Sensitivty of coal prices*
Incr in losses at
Mundra UMPP
Increase in cost (USD/ton)
Coal consumption (m tons)*
Pass through under PPA (%)
Net impact on coal consumption (m tons)
Financial impact for Mundra UMPP (USD m)
* at 75% PLF
-10.0
9.4
50
4.7
-47.0
KPC/Arutmin mines: Sensitivty of coal prices*
Incr
in PAT for
KPC/Arutmin
Increase in realisation (USD/ton)
Coal Sales (m tons)*
Stake In KPC/Artumin mines (%)
TPWR share in coal sales (m tons)
Tax impact (%)
Tax adjusted share of coal sales (m tons)
Financial gain (USD m)
*For FY14E PAT
10.0
82.5
30
24.8
45
13.6
136.1
Source: Company/MOSL
Currency change is positive
for TPWR on account of
earnings contribution from
KPC/Artumin mines
Rupee Depreciation: Positive for Tata Power
Power portfolio:
Existing capacity of Tata Power is based on mix of domestic fuel
and Imported coal. However large part of its PPA is structured on CERC norms thus
insulating against exchange variation. Currency change for Mundra UMPP is pass
through in the tariff and Maithon project is structured on CERC norms and thus there
will be no meaningful impact on Power portfolio.
Coal Mines:
Currency change is positive given that 1) Earnings contribution from
KPC/Artumin mines would be higher, and 2) relatively higher fuel cost could mean
that Mundra UMPP project could slip further in merit order dispatch (though it would
be still very competitive at bided tariff of Rs2.29/unit).
Net Impact on Tata Power:
Post INR depreciation, the interest payment on acquisition
debt could become dearer, however given its sizable earnings from coal companies,
net-impact could be positive. If exchange rate of FY12 sustains at INR48/USD, our
FY12 consolidated PAT post factoring the impact on interest cost see an increase of
~5%.
Over the last 2 months Dollar appreciated by 10%
50
49
48
47
46
45
Aug-11
Sep-11
Oct-11
Source: Bloomberg
10 October 2011
5

Tata Power
Expect meaningful increase in KPC/Arutmin mines
profitability
KPC/Arutmin mines (30% stake by TPWR) have initiated plans to ramp up production
to 100m tons per year over the next few years. We believe this will be the key trigger
going forward, and will lead to a quantum jump in profitability contributions. At net
coal realizations of USD86/ton for FY12, USD88/ton for FY13 and USD90/ton for
FY14, we calculate TPWR's share of KPC/Arutmin mines profitability at INR13.9b
in FY12 (production: 64m tons), INR16.1b in FY13 (70m tons) and INR19.8b in FY14
(83m tons).
While there have been disappointments in terms of production volumes over the past
few quarters, given various constraints including heavy rains, we believe that the
ramp-up from 59m tons in FY11 to 75m tons should happen quickly. We model in
production volumes of 64m tons in FY12 and 70m tons in FY13.
We understand that the planned expansion will also entail productivity improvements
for the existing operations: (i) setting up conveyor belts, resulting in 'all weather' mining
operations, (ii) replacement of DG sets with coal-fired plants, etc. This can drive
meaningful increase in the profitability of existing operations.
Total investment for the project expansion is estimated at USD1.1b and will be largely
through an outsourcing model, which will lower the initial investment.
Higher earnings from KPC/Arutmin mines driven by
improved economics
Sales (m ton)
Gross realization (USD/t)
73.3
63.1
91.1
78.3
92.9
KPC/Arutmin mines: Meaningful improvement in
profitability (USD)
Expect meaningful improvement
in reported profitability
40.1
24.8
31
31.2
36
44
41.1
50
44.0
58
59
64
70
55
52
Source: Company/MOSL
5,700kCal coal in Indonesia - reference price trend (USD/ton) KPC/Arutmin average realisation (USD/ton)
99.0
83.9
61.2
65.9
68.2
71.3
72.5
83.1
94.1
Source: Company/MOSL
10 October 2011
6

Tata Power
Stock price correction helps build long-term investment
case
The TPWR stock has corrected by 20% over the last three months. While we maintain
our
Neutral
rating, we believe that further correction would help build an investment
case for long-term investors.
We expect TPWR to report an EPS of INR9.8 in FY12 (up 33%) and INR9.4 in
FY13 (down 4%). The full impact of losses from Mundra UMPP will be visible from
FY14. TPWR continues to be net long on coal and is positively leveraged to increasing
commodity prices.
Project pipeline continues to be in a nascent stage and now includes brownfield
expansion of Mundra (1.6GW) and Maithon (~1.2GW). We believe that progress on
these projects could possibly be fast-tracked, as large parts of the land are already
under possession and common infrastructure can be utilized.
Price correction: 20% decline over the last three months (INR/share)
138
126
114
102
90
Jun-11
Jul-11
Aug-11
Sep-11
Oct-11
Source: Bloomberg
Project pipeline: Development status
Projects
Tubed IPP
Capacity (MW)
500
Remarks
2.3mtpa of proportionate share for Tata Power (JV with Hindalco, 40% stake);
Mining Plan approved, Acquisition of land, Forest Land Approval under process;
Initial development activity could start by end FY11, CoD possible in FY15
MandakiniCoal Block allotted jointly with other players (Tata Power’s share of 2.5 MTPA)
Mining plan approved by MoC; All clearance in place
50%+ land acquisition is done, Financial closure to be achieved after full land acquisition
CoD possible by FY15
Coastal Maharashtra (Dehrand)
2,400
Disbursement for land payments has begun,
460 acres of private land has been acquired out of 1100 acres (900 private and
200 acres government)
200 acres of government land would be available on completion of 75% of
private land acquisition
Technical bids for BTG are called and are being evaluated
CPP to Tata Steel’s operation in Europe based on Waste Gas
Fuel supply by Tata Steel
Fuel supply by Procurers
26% stake in SPV, To be developed in Bhutan
Source: Company/MOSL
Naraj Marthapur
1,200
Corus (Tata Steel)
Jharkhand CPP
Naraj Marthapur CPP
Dagachhu Hydro project
Total
525
500
1,270
113
6,508
10 October 2011
7

Tata Power
Tata Power: SOTP based price target INR105/sh
INR m
Power Business (Mumbai, IPPs, etc)
Defense Business
Delhi Distribution
Tata BP Solar
Powerlinks Transmission
India Energy Ltd
Investments
- Tata Sons
- Aftaab Investments
- Telecom Investments
98,618
3,569
16,282
9,350
3,342
5,916
12,574
4,112
27,036
INR/Sh
42
1
7
4
1
2
5
2
11
Business Segment
Power Utility
Defense
Power Distribution
Method
DCF, WACC 10.4%
EV/EBIDTA 15x FY12E
PER, 12x FY12E
Solar Cells, etc
PER, 10x FY12E
Power Transmission, Generation, etc ROE ~18-20%, 1.4x FY12 P/BV
Power Exchange
10x FY12E PER
Investment Company
Investment Company
Investments in Tata Tele and VSNL
Value of investment, Discount of 20% to
Market Value
Value of investment, Discount of 20% to
Market Value
Tata Tele: At 3x EV/sales for FY09 (~50%
discount to DOCOMO valuations), Discount
of 20% to Market value for other investment
Power projects under development
- Mundra, KPC / Mining Investment
- Shipping Subsidiary
- Maithon Power Project
Power projects pipeline
Naraj Marthapur
Tubed IPP
Liquid investments/Cash (net)
Govt Bonds, MF, etc
Cash in Hand
Less: Debt
57,953
5,588
11,351
7,078
8,012
14,216
8,373
44,295
249,076
25
2
5
3
3
6
4
19
105
Source: MOSL
Power project, Coal mines
Shipping
Power generation
Power generation
Power generation
Investments
DCF, Project NPV
BV of Investement in FY11
DCF, Project NPV, Cost of equity at 13.5%
DCF, Project NPV, Cost of equity at 16%
DCF, Project NPV, Cost of equity at 16%
Book value of Investment till March 2011
Book value
Excluding debt on existing regulatory
business
10 October 2011
8

Tata Power
Financials and Valuation
Income Statement
Y/E March
Total Revenues
Cost of Energy purchase
Cost of fuel
Administ. & Other Exps
EBITDA
% of Total Revenues
Depreciation
Interest
Other Income
PBT
Tax
Rate (%)
Reported PAT
Change (%)
Recurring PAT
Change (%)
Consolidated PAT
Change (%)
2009
72,362
4,935
48,135
7,883
11,409
15.8
3,289
3,278
6,324
11,167
-1,945
-17.4
9,222
6.0
5,152
3.4
11,864
58.2
2010
70,983
2,517
40,456
9,224
18,786
26.5
4,779
4,230
2,816
12,593
-3,205
-25.4
9,388
1.8
7,148
38.7
14,799
24.7
3,230
2011
69,185
7,842
34,851
10,577
15,914
23.0
5,101
4,620
4,936
11,129
-1,703
-15.3
9,425
0.4
7,748
8.4
17,516
18.4
3,085
2012E
74,246
6,559
37,605
11,106
18,976
25.6
5,709
5,781
4,923
12,409
-4,095
-33.0
8,314
-11.8
8,438
8.9
23,272
32.9
3,085
(INR Million)
2013E
80,619
7,976
41,366
11,661
19,617
24.3
5,709
7,239
5,311
11,981
-3,954
-33.0
8,027
-3.5
8,027
-4.9
22,346
-4.0
3,085
Dividend (Inc. tax)
2,870
* Incl share of profit from Bumi Resources
Balance Sheet
Y/E March
Share Capital
Reserves
Net Worth
Loans
Capital Cont. from cust.
Approp. to project cost
Capital Employed
Gross Fixed Assets
Less: Depreciation
Net Fixed Assets
Capital WIP
Investments
Deffered Tax Asset
Curr. Assets
Inventory
Debtors
Cash & Bank Balance
Loans & Advances
Current Liab. & Prov.
Sundry Liabilities
Provisions
Net Current Assets
Application of Funds
E: MOSL Estimates
2009
2,214
78,885
81,099
51,982
489
5,336
138,906
89,859
37,953
51,905
7,612
54,434
-1,144
46,811
6,441
15,880
455
24,035
20,713
14,193
6,520
26,098
138,905
2010
2,373
97,614
99,988
58,720
914
5,336
164,958
100,108
42,581
57,527
4,762
66,887
-2,078
59,543
5,894
19,763
12,776
21,110
21,683
14,657
7,026
37,860
164,958
2011
2,373
104,046
106,419
69,893
644
5,336
182,292
105,189
47,360
57,829
14,695
79,399
-2,151
60,127
6,296
19,743
8,373
25,715
27,607
20,583
7,025
32,520
182,292
2012E
2,373
109,275
111,648
101,000
644
5,336
218,628
127,772
53,500
74,273
0
106,412
-2,151
68,575
6,816
21,376
14,668
25,715
28,481
22,284
6,197
40,094
218,628
(INR Million)
2013E
2,373
114,216
116,590
106,000
644
5,336
228,570
127,772
59,209
68,564
0
119,651
-2,151
72,675
7,398
23,200
16,362
25,715
30,169
24,186
5,983
42,506
228,570
10 October 2011
9

Tata Power
Financials and Valuation
Ratios
Y/E March
Basic EPS (INR) (Recu.)
Consolidated EPS
Fully Diluted Cons. EPS
CEPS (INR)
Book Value
DPS
Payout (incl. Div. Tax.)
Valuation (x)
P/E
EV/EBITDA
EV/Sales
Price/Book Value
Dividend Yield (%)
Profitability Ratios (%)
RoE
RoCE
Turnover Ratios
Debtors (Days)
Inventory (Days)
Asset Turnover (x)
Leverage Ratio
Debt/Equity (x)
0.6
0.6
0.7
0.9
0.9
6.6
6.5
7.9
9.2
7.5
6.2
7.7
6.6
7.0
6.2
2009
2.3
5.4
5.4
3.8
36.6
1.3
53.8
2010
3.0
6.2
6.2
5.0
42.1
1.4
55.7
2011
3.3
7.4
7.4
5.4
44.8
1.3
45.2
2012E
3.6
9.8
9.8
6.0
47.0
1.3
39.8
2013E
3.4
9.4
9.4
5.8
49.1
1.3
36.6
14.1
19.4
4.5
2.3
1.3
10.6
17.6
4.5
2.2
1.3
11.0
17.2
4.2
2.1
1.3
80.1
32.5
0.5
101.6
30.3
0.4
104.2
33.2
0.4
105.1
33.5
0.3
105.0
33.5
0.4
Cash Flow Statement
Y/E March
PBT before EO Items
Add: Depreciation
Interest
Less : Direct Taxes Paid
(Inc)/Dec in WC
CF from operations
Extra-ordinary Items
CF from oper. incl EOI
(Inc)/dec in FA
(Pur)/Sale of Investments
CF from investments
2009
11,167
3,289
3,278
1,945
-5,589
10,199
4,070
6,129
-15,933
-10,113
-26,047
2010
12,593
4,779
4,230
3,205
560
18,957
2,240
16,717
-7,552
-12,452
-20,004
15,905
6,738
426
4,230
3,230
15,608
12,321
455
12,776
2011
11,129
5,101
4,620
1,703
937
20,084
1,677
18,407
-15,336
-12,512
-27,848
1,841
11,173
-270
4,620
3,085
5,039
-4,403
12,776
8,373
2012E
12,409
5,709
5,781
4,095
-1,280
18,524
-124
18,648
-7,457
-27,013
-34,470
-124
31,107
0
5,781
3,085
22,117
6,295
8,373
14,668
(INR Million)
2013E
11,981
5,709
7,239
3,954
-718
20,256
0
20,256
0
-13,239
-13,239
0
5,000
0
7,239
3,085
-5,324
1,693
14,668
16,362
(Inc)/Dec in Networth
4,596
(Inc)/Dec in Debt
21,609
(Inc)/Dec in Cap.Contrib. fr. Customers
28
Less: Interest Paid
Dividend Paid
CF from Fin. Activity
Inc/Dec of Cash
Add: Beginning Balance
Closing Balance
E: MOSL Estimates
3,278
2,870
20,086
168
287
455
10 October 2011
10

Motilal Oswal Utilities Research Gallery

Disclosures
This report is for personal information of the authorized recipient and does not construe to be any investment, legal or taxation advice to you. This research report does not constitute an offer, invitation or inducement
to invest in securities or other investments and Motilal Oswal Securities Limited (hereinafter referred as MOSt) is not soliciting any action based upon it. This report is not for public distribution and has been
furnished to you solely for your information and should not be reproduced or redistributed to any other person in any form.
Unauthorized disclosure, use, dissemination or copying (either whole or partial) of this information, is prohibited. The person accessing this information specifically agrees to exempt MOSt or any of its affiliates
or employees from, any and all responsibility/liability arising from such misuse and agrees not to hold MOSt or any of its affiliates or employees responsible for any such misuse and further agrees to hold MOSt
or any of its affiliates or employees free and harmless from all losses, costs, damages, expenses that may be suffered by the person accessing this information due to any errors and delays.
The information contained herein is based on publicly available data or other sources believed to be reliable. While we would endeavour to update the information herein on reasonable basis, MOSt and/or its
affiliates are under no obligation to update the information. Also there may be regulatory, compliance, or other reasons that may prevent MOSt and/or its affiliates from doing so. MOSt or any of its affiliates or
employees shall not be in any way responsible and liable for any loss or damage that may arise to any person from any inadvertent error in the information contained in this report . MOSt or any of its affiliates
or employees do not provide, at any time, any express or implied warranty of any kind, regarding any matter pertaining to this report, including without limitation the implied warranties of merchantability, fitness
for a particular purpose, and non-infringement. The recipients of this report should rely on their own investigations.
This report is intended for distribution to institutional investors. Recipients who are not institutional investors should seek advice of their independent financial advisor prior to taking any investment decision
based on this report or for any necessary explanation of its contents.
MOSt and/or its affiliates and/or employees may have interests/positions, financial or otherwise in the securities mentioned in this report. To enhance transparency, MOSt has incorporated a Disclosure of Interest
Statement in this document. This should, however, not be treated as endorsement of the views expressed in the report.
Disclosure of Interest Statement
1. Analyst ownership of the stock
2. Group/Directors ownership of the stock
3. Broking relationship with company covered
4. Investment Banking relationship with company covered
Tata Power
No
No
No
No
Analyst Certification
The views expressed in this research report accurately reflect the personal views of the analyst(s) about the subject securities or issues, and no part of the compensation of the research analyst(s) was, is, or
will be directly or indirectly related to the specific recommendations and views expressed by research analyst(s) in this report. The research analysts, strategists, or research associates principally responsible
for preparation of MOSt research receive compensation based upon various factors, including quality of research, investor client feedback, stock picking, competitive factors and firm revenues.
Regional Disclosures (outside India)
This report is not directed or intended for distribution to or use by any person or entity resident in a state, country or any jurisdiction, where such distribution, publication, availability or use would be contrary to
law, regulation or which would subject MOSt & its group companies to registration or licensing requirements within such jurisdictions.
For U.K.
This report is intended for distribution only to persons having professional experience in matters relating to investments as described in Article 19 of the Financial Services and Markets Act 2000 (Financial
Promotion) Order 2005 (referred to as "investment professionals"). This document must not be acted on or relied on by persons who are not investment professionals. Any investment or investment activity to
which this document relates is only available to investment professionals and will be engaged in only with such persons.
For U.S.
MOSt is not a registered broker-dealer in the United States (U.S.) and, therefore, is not subject to U.S. rules. In reliance on the exemption from registration provided by Rule 15a-6 of the U.S. Securities Exchange
Act of 1934, as amended (the "Exchange Act") and interpretations thereof by the U.S. Securities and Exchange Commission ("SEC") in order to conduct business with Institutional Investors based in the U.S.,
Motilal Oswal has entered into a chaperoning agreement with a U.S. registered broker-dealer, Marco Polo Securities Inc. ("Marco Polo").
This report is intended for distribution only to "Major Institutional Investors" as defined by Rule 15a-6(b)(4) of the Exchange Act and interpretations thereof by SEC (henceforth referred to as "major institutional
investors"). This document must not be acted on or relied on by persons who are not major institutional investors. Any investment or investment activity to which this document relates is only available to major
institutional investors and will be engaged in only with major institutional investors.
The Research Analysts contributing to the report may not be registered /qualified as research analyst with FINRA. Such research analyst may not be associated persons of the U.S. registered broker-dealer, Marco
Polo and therefore, may not be subject to NASD rule 2711 and NYSE Rule 472 restrictions on communication with a subject company, public appearances and trading securities held by a research analyst account.
Motilal Oswal Securities Ltd
3rd Floor, Hoechst House, Nariman Point, Mumbai 400 021
Phone: (91-22) 39825500 Fax: (91-22) 22885038. E-mail: reports@motilaloswal.com