1 November 2011
Initiating Coverage | Sector: Healthcare
IPCA Laboratories
Smoother road ahead
Amit Shah
(Amit.Shah@MotilalOswal.com) + 91 22 3982 5423
Nimish Desai
(NimishDesai@MotilalOswal.com) + 91 22 3982 5406

IPCA Laboratories
IPCA Laboratories: Smoother road ahead
Page No.
Summary
.................................................................................................................
3
One of the better managed mid-sized pharma companies
....................................
4
Stock correction of 30% in last 4 months offers good entry point
.......................
5
Growing stronger in lucrative domestic formulation business
..............................
7
API: Core component of IPCA's business model
................................................
12
International formulations: Expect 20-25% CAGR in branded generics
..........
13
Expect 18% revenue CAGR, 25% EPS CAGR
.................................................
16
Buy with target price of INR378, 50% upside
....................................................
19
Key investment risks
............................................................................................
20
Financials and valuation
.......................................................................................
21
1 November 2011
2

Initiating Coverage
Sector: Healthcare
IPCA Laboratories
BSE SENSEX
S&P CNX
17,705
5,327
CMP: INR254
TP: INR378
Buy
Smoother road ahead
Bloomberg
Equity Shares (m)
52-Week Range (INR)
1,6,12 Rel Perf. (%)
M.Cap. (INR b)
M.Cap. (USD b)
IPCA IN
125.7
352/225
-9/-9/-10
31.9
0.7
APIs, Brands, Capacity expansion
Y/E March
2011 2012E 2013E
22.3
2.8
22.0
26.4
11.5
25.8
8.1
1.6
23.6
24.0
26.3
3.4
27.0
22.9
9.4
33.4
6.7
2.1
24.7
24.4
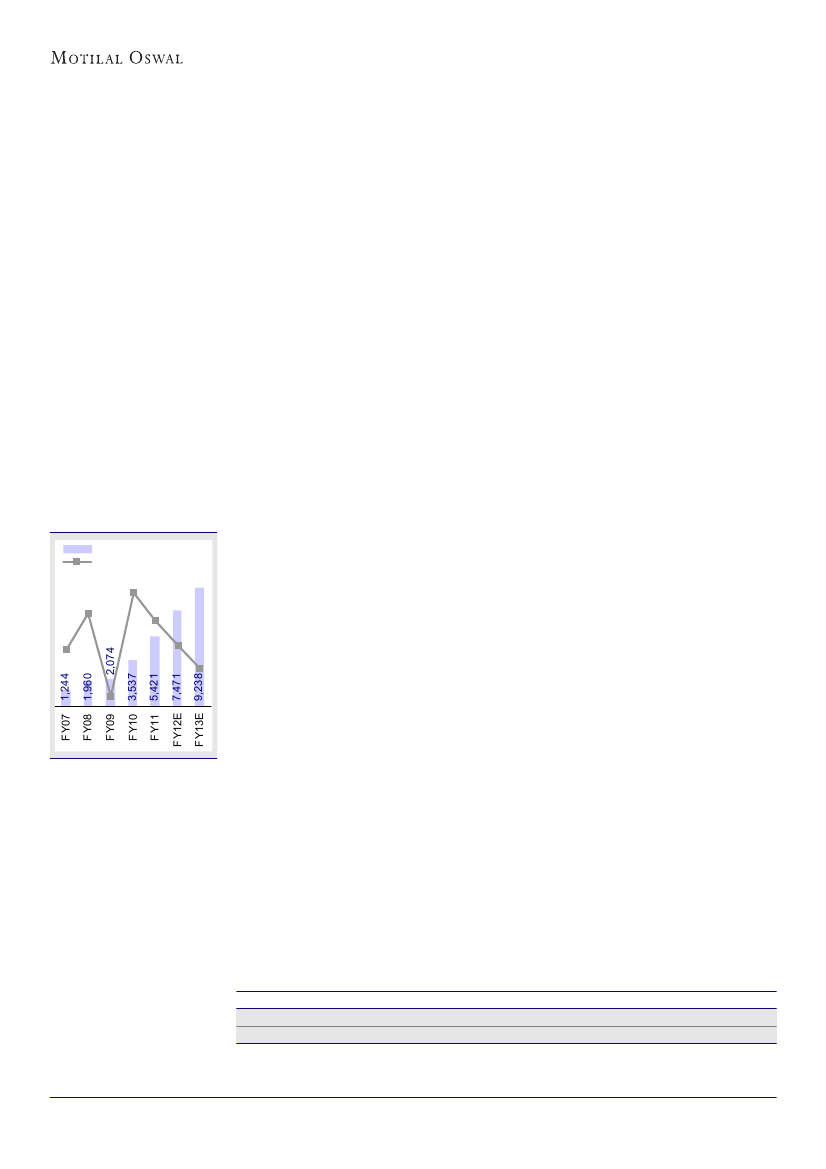
Revenue (INR b) 19.0
Income (INR b)
2.2
EPS (INR)
% Chg YoY
P/E (x)
CEPS (INR)
EV/E (x)
17.4
9.3
14.6
25.3
9.9
One of the better managed mid-cap pharma companies in India with (1)
vertically integrated business model, (2) strong domestic formulations
business, and (3) profitable international business.
Sharp 30% correction in stock price on short-term headwinds offers lucrative
long-term entry opportunity.
Long-term story intact; offers balanced play on growing domestic
formulation opportunity and international formulations on the back of strong
API capabilities.
Dividend Yield (%)1.5
RoCE (%)
22.7
RoE (%)
22.8
Consistent industry outperformer in domestic formulations:
Over FY05-11, IPCA's
domestic formulation business clocked revenue CAGR of 22.5%, over 1.5x the industry
CAGR of 14%. As a result its market share has improved from 1.18% in FY06 to
1.42% in FY11. IPCA has consistently outperformed the market growth rate on the
back of multiple drivers: (1) Growing share of chronic therapeutic segments in revenue
mix, (2) Focus on product selection, brand building and new launches, (3) Expansion
in the field force, and (4) Proper divisionalization of products. Given all these positives,
we expect IPCA to maintain its track record of outperforming the industry growth rate.
After a muted 10% growth in FY12, we expect growth to rebound to 18% levels in
FY13, translating into FY11-13 CAGR of 14% (v/s 14% for the industry).
APIs offer core competitive advantage of vertical integration:
IPCA is one of
India's largest manufacturers of APIs, and the global leader in select APIs, with market
share of 50%+ coupled with healthy profitability. IPCA is aiming to be world leader in
~25 APIs in the next 3-4 years (15 currently). This augurs well for the company as (1)
it offers core competitive advantage of vertical integration benefit, and (2) it creates
opportunity to grow revenues beyond captive demand.
Geographic expansion and new Indore SEZ to drive international formulations
growth:
IPCA has built a strong international formulation business with presence in
110 countries across regulated and emerging markets. This business has two main
segments: (1) Branded generics, and (2) Pure generics. We believe IPCA's branded
generic business will grow at CAGR of 20-25% over the next two years on the back of
(1) Strong sales force, (2) Geographic expansion to South/Central American and Western
African countries; and (3) Introduction of new products. The key drivers of pure generics
business are: (1) Europe: Geographic expansion beyond UK, (2) US: FDA approval
for Indore SEZ, and (3) Africa: Lucrative opportunity in Artemether-Lumefantrine, an
anti-malaria formulation.
Expect 25% earning CAGR over FY11-13; Initiate with Buy and price target of
INR378:
We expect IPCA to clock FY11-13 PAT and EPS CAGR of 25% on the back
of 18% revenue CAGR coupled with margin expansion. Further, despite INR5b capex
to sustain growth, the company is likely to sustain healthy return ratios and low gearing.
At 9x FY13 earning, the stock trades at 25-50% discount to its historic and peer
valuation. Initiate coverage with
Buy
rating and target price of INR378 (14x FY13E
EPS), 50% upside.
3
Shareholding pattern % (Sep-11)
Others,
21.6
Promoter, 46.1
Foreign,
10.1
Domestic
Inst, 22.2
Stock performance (1 year)
IPCA Labs
Sensex - Rebased
360
320
280
240
200
1 November 2011

IPCA Laboratories
One of the better managed mid-sized pharma companies
Leveraging core competitive advantage of strong API manufacturing
4 segments of IPCA's
business model
Internl.
APIs
18%
Dom.
APIs
8%
Dom.
formul.
37%
Internl.
formul.
37%
Business strategy is to leverage its strength in manufacturing API
APIs offer core competitive advantage
Domestic formulations is consistently outperforming the industry
International formulations - presence across countries
Established in 1949, IPCA Labs is one of India's better managed mid-sized pharma
companies. IPCA has presence in (1) domestic branded formulations, (2) global branded
and generic formulations, and (3) global APIs (active pharmaceutical ingredients).
IPCA's core business strategy is to leverage its strength in manufacturing API to develop
vertically integrated and highly competitive formulations. Most of the company's formulations
are backed by its own APIs.
APIs (26% of FY11 revenue): Core competitive advantage
Strong capability in API manufacturing is at the core of IPCA's business success. IPCA
is one of India's largest manufacturers of APIs, and markets them both in the domestic
and international markets. The company has attained global leadership position in select
APIs where it is the lowest cost producer and largest supplier with market share of 50-
70%. The company manufactures APIs mainly in three therapeutic segments: (1) CVS,
(2) Pain management, and (3) Anti-malaria.
Domestic formulations (37% of revenue): Consistent outperformance
IPCA has outperformed the industry growth over the past 5 years on the back of its rising
presence in fast-growing chronic therapy segments, which contribute ~65% of domestic
formulation revenue. It is India's largest player in anti-malaria segment, and is also among
the leaders in CVS and Pain management therapeutic segments.
Revenue trend in API
API
Grow th (%)
31.0 30.4
13.8
4.2
-4.8
8.5
Revenue trend in DF
DF Revenues
Grow th (%)
41.2
21.5 22.0
10.4
25.4
16.5
Revenue
trend
in
international formulation
Pure generic exports
Branded generic exports
Grow th
8,800
6,600
4,400
2,200
0
11.9
-11.2
30.1 25.1 27.9
41.4
International formulations (37% of revenue): Presence in 110 countries
IPCA has built a strong international formulation business with presence in 110 countries
across regulated and emerging markets. This business has two main segments: (1) Pure
generics, and (2) Branded generics.
1.
Pure generics:
IPCA has a larger presence in pure generics compared to branded
generics. Europe is its largest market followed by US. Here, the company sells its
products through distributors and partners.
2.
Branded generics:
IPCA has small presence in this segment, primarily in Asia and
CIS countries. Here, it employs its own field force to market its products.
Further IPCA has sizable institutional business through which it supplies anti-malaria drugs
primarily to African countries.
1 November 2011
4

IPCA Laboratories
Stock correction of 30% in last 4 months offers good
entry point
Headwinds are temporary; company to perform well in long term
Stock has corrected 30% over last 4 months
Correction was led by disappointing performance in domestic formulation
business and consequently guidance downgrade
Headwinds are temporary; long-term business prospects positive
IPCA has underperformed
Sensex by 20% over the last
4 months. The stock
correction offers good
opportunity to buy
Stock has corrected 30% over last 4 months
IPCA stock has corrected significantly in the last 4 months. In absolute terms the stock
price is down 30% over the last 4 months. On a relative basis, the stock has underperformed
Sensex by 20% during the same time. We believe this correction is on the back of a few
recent headwinds -
Lower growth in domestic formulation business
Muted EBITDA margins guidance
Likely forex losses due to weak rupee.
IPCA stock had significantly outperformed till June 2011 …
IPCA Labs.(INR) - LHS
Rel. to BSE HC (%) - RHS
400
325
250
175
100
Nov-10
Rel. to Sensex (%) - RHS
35
20
5
-10
-25
Oct-11
… and then the underperformance began
IPCA Labs.(INR) - LHS
Rel. to BSE HC (%) - RHS
390
315
240
165
90
Jul-11
Rel. to Sensex (%) - RHS
27
14
1
-12
-25
Oct-11
Source: BSE/MOSL
Jan-11
May-11
Aug-11
Aug-11
Sep-11
(Include BSE Healthcare as a 3rd line in both the charts)
Muted growth of 7%
reported in domestic
formulation segment in
1HFY12.
Headwinds are temporary; long-term business prospects positive
We believe headwinds facing the company for last two quarters are temporary in nature:
1)
Lower growth in domestic formulation business:
IPCA has lowered its domestic
formulation business FY12 growth guidance from 18-20% to 8-10% recently on account
of (1) lower incidence of malaria, infection, etc, and (2) restructuring of CVS and Pain
management divisions. We feel these reasons are temporary/one-off, and the company
should resume reporting above-industry growth rate from FY13 onwards on account
of (1) revival in domestic formulation industry, (2) stabilization of the sales force in
IPCA's CVS and Pain management divisions, and (3) improvement in MR productivity.
1 November 2011
5

IPCA Laboratories
The company has guided for
margin expansion of only
100bps in FY12 on account
of slowdown in domestic
business and pending
USFDA approval for Indore
SEZ
2)
Muted EBITDA margin guidance:
IPCA has guided for only 100bp margin
expansion in FY12 owing to (1) lower growth in domestic formulation business, and
(2) pending USFDA approval for Indore SEZ. We believe FY13 could see strong
margin expansion led by (1) rebound in domestic business, and (2) ramp-up in US
revenues following USFDA approval.
3)
Forex losses due to weak rupee:
IPCA has forex hedges worth USD140-160m on
its books which cover its net P&L exposure for next 18 months. We note that the
hedges are at an average USD/INR of 48.3 and unlikely to cause any significant
forex losses if USD/INR remains at current level of 49.5. Further, the company has
USD90m foreign currency debt on its books. But the risk of forex loss on these loans
is naturally hedged by equivalent amount of forex receivables on the balance sheet.
New Pharma Pricing Policy 2011 to have limited impact on the company
The government has released draft of the National Pharmaceuticals Pricing Policy, 2011
(NPPP). Under the policy, all the 348 drugs, which are currently a part of the National
List of Essential Medicines (NLEM) will be subjected to price control by the government.
Currently only 74 drugs are under price control. The price control will be implemented on
the formulations of these drugs as compared to the current practice of controlling bulk
drug price. Further, the policy will have market based pricing. The government notified
ceiling price (CP) for the formulations covered will be the weighted average price (WAP)
of the top three brands (by value) for individual formulations. Pharma companies will have
to price their respective formulations either below or at the WAP.
The management mentioned that, under the existing pricing policies followed by the
company, it sells the products at a premium pricing in the categories where the company
is market leader. In all other categories, the prices of the company's drugs are not at the
higher end of the market. So the pricing impact will be felt primarily in Anti-malaria and
Rheumatoid Arthritis segment where the company is market leader. However, management
has indicated that the overall pricing impact in these therapeutic areas won't be more than
2-3%.
We believe IPCA's long-term prospects remain positive (as discussed in
subsequent pages). Thus, the 30% price correction offers a good entry point
into the stock.
The NPPP(2011) unlikely to
have significant impact on
the business.
1 November 2011
6

IPCA Laboratories
Growing stronger in lucrative domestic formulation
business
Focused strategy; multiple drivers; expect FY11-13 CAGR of 14%
Consistently outperforming the industry
Chronic therapies drive growth led by NSAID
Focus on product selection, brand building and new launches
Strong brand equity with doctors in anti-malaria and pain management;
improvement in rankings
Expansion in field force; impact to kick in going forward
IPCA, traditionally an anti-
malaria company, has shown
strong growth in domestic
formulation business over
the past few years
IPCA, traditionally an anti-malaria company, has shown strong growth in domestic
formulation business over the past few years albeit on a small base. The company has
grown this business at CAGR of 22.5% over FY05-11 versus industry growth of just
14%. Apart from growing in size, depth and breadth, the quality of business has also
improved. The company has been continuously increasing share of chronic segments in its
business mix over the years. The company has also demonstrated strong brand building
capabilities with 4 of its brands featuring among top 300 brands in the industry. We expect
the company to grow this business at 14% CAGR over FY11-13 (despite near term
headwinds) led by expansion in field force, improving field force productivity, brand building
exercise, new product launches and entry into new therapeutic areas.
Consistently outperforming the industry
Over FY05-11, IPCA's domestic formulation business clocked revenue CAGR of 22.5%,
over 1.5x the industry CAGR of 14%. As a result its market share has improved from
1.18% in FY06 to 1.42% in FY11. IPCA has consistently outperformed the market growth
rate on the back of multiple drivers:
Growing share of chronic therapeutic segments in revenue mix
Focus on product selection, brand building and new launches
Expansion in the field force and
Proper divisionalization of products.
Over FY05-11, IPCA's
domestic formulation
business clocked revenue
CAGR of 22.5%, over 1.5x
the industry CAGR of 14%
IPCA has outperformed industry in most years over FY06-11… … leading to market share expanding from 1.18% to 1.42%
Company grow th (%)
25.3
Industry grow th (%)
25.6
20.3
15.4
9.9
4.4
15.4
14.3
14.8
11.0
10.1
17.7
16.3
14.3
Mkt share
1.3
1.2
1.3
1.4
1.4
FY05
FY06
FY07
FY08
FY09
FY10
FY11
FY05
FY06
FY07
FY10
FY11
Source: Company/Industry/MOSL
1 November 2011
7

IPCA Laboratories
Over time, IPCA has
managed to sharply lower its
dependence on acute
therapy segments
Chronic therapies and NSAID drive growth
Over time, IPCA has managed to sharply lower its dependence on acute therapy segments,
viz, anti-malaria, anti-bacteria, gastro-intestinal and others. The combined share of acute
therapy segments is down from 51% of revenue in FY06 to 38% in FY11. Consequently,
revenues under DPCO coverage reduced from as high as 50% in FY02 to ~10% in FY11.
The rise in share of chronic therapeutic segments and strong market share gain in NSAID
(non-steroidal anti-inflammatory drugs) segment led to the overall growth.
Chronic therapy areas contribute 62% to the revenues
Cough
Preparatio, 4
Derma, 4
CNS, 4
GI, 6
FY11
Others, 1
CVS and
anti diabetic,
27
DF therapeutic contribution (%)
FY07
CVS and anti diabetic
NSAID
Anti bacteria
Anti malaria
GI
CNS
Derma
Cough Preparatio
Others
27
20
12
22
7
FY08
28
23
11
17
8
7
3
3
FY09
29
24
10
17
7
7
FY10
28
26
9
17
7
4
4
FY11
27
28
8
17
6
4
4
}
6
4
2
Anti malaria,
17
Anti
bacteria, 8
4
4
4
2
1
1
Source: Company/MOSL
NSAID, 28
One of the key success
factors for IPCA in domestic
formulations business has
been its product selection
and brand building
approach
Focus on product selection, brand building and new launches
One of the key success factors for IPCA in domestic formulations business has been its
product selection and brand building approach. The company carefully chooses products
with high growth potential. Also it has been the first one to launch few new molecules in
the market, gaining significant traction in those products.
Key products launched in recent years
Molecule
1
2
3
4
5
Aceclofenac
Hydroxy Chloroquine Sulphate
Quetiapine
Metoprolol Succinate and Amlodipine
Ceftazidime & Sulbactum
Brand
Zerodol
'HCQS’
Quel SR
Revelol AM
GARDCEF
Comment
Today it is a INR800m brand for the company
Has again emerged as one of the key growth
drivers for the company over the years
NDDS based products
Sustained release combination formulation
A novel injectable anti-biotic combination
Source: Company/MOSL
The company has guided to
maintain steady rate of
15-25 new product launches
every year for the next few
years.
Modest but steady rate of product introductions:
IPCA's new product launch rate
has been moderate compared to industry peers. In the last four years, it has launched 22
new products annually (including line extensions). The company has guided to maintain
steady rate of 15-25 new product launches every year for the next few years.
Brand strategy paying off:
IPCA's strategy of launching fewer products compared to
peers but making good and sustainable brands out of them has paid off well. IPCA's
strong branding strategy is evident from the fact that products launched in last three
financial years have contributed upwards of 15% to total domestic formulation revenues.
1 November 2011
8

IPCA Laboratories
IPCA has just 150 brands in the market which is very low compared to peers; but still, it
has 4 brands among top 300 brands of the industry (up from two brands three years ago).
Moderate in number but highly successful product launches… … contribute 6-8% to revenue growth
No. Of launches
88.3
Avg rev. per launch
88.5
New Launches Grow th
Existing Brands Grow th
61.6
52.8
52
40
36
35
19.7
10.4
3.4
6.1
8.4
6.9
CY09
6.0
CY10
Source: Industry/MOSL
11.5
CY07
CY08
CY09
CY10
CY07
CY08
In anti-malaria, IPCA ranks
No1 with prescription
market share of 43% while
in pain management, it
ranks No7 with prescription
market share of 3.3%
Strong brand equity with doctors in anti-malaria and pain management;
improvement in rankings
IPCA enjoys strong brand equity in anti-malaria and pain management segments. In anti-
malaria, IPCA ranks No1 with prescription market share of 43% while in pain management,
it ranks No7 with prescription market share of 3.3% which has improved from 2.5% four
years ago. In anti-diabetics, the company has improved its ranking from 15 in Jan-2007
(2.2% share) to 12 in Oct-2010 (2.5% share). Even in other therapy areas like CVS,
IPCA has been able to maintain its prescription market share or ranking despite growing
competition.
IPCA has maintained its prescription market share and ranking in various therapy segments
PMS*/Rank
1QCY07
1QCY08
1QCY09
1QCY10
4QCY10
Anti-malaria
41.2/1
36.3/1
37.4/1
42.5/1
42.7/1
Pain management
2.5/11
2.6/11
2.6/12
3.0/10
3.3/7
CVS
2.5/15
2.5/14
2.3/15
2.4/14
2.2/16
AD
2.2/15
1.9/19
1.9/16
2.4/11
2.5/12
Source: Industry/MOSL
* Prescription market share
IPCA has doubled its field
force over the last three
years. It employs one of the
largest field forces in the
industry with MR strength of
4,200
IPCA has already increased
its doctor coverage from
200,000 doctors three years
ago to 400,000
Expansion in field force; impact to kick in going forward
IPCA has doubled its field force over the last three years. It employs one of the largest
field forces in the industry with MR strength of 4,200. We feel the impact of this field
force addition is yet to reflect in the revenue, and will help maintain strong growth
momentum over the next 4-5 years.
Further, the company does not plan to increase the field force going forward. Instead, it
plans to focus on improving field force productivity, which is very low compared to its
large peers. IPCA has already increased its doctor coverage from 200,000 doctors three
years ago to 400,000. We believe the company has ample scope to leverage the strong
field force to penetrate deeper into the markets.
1 November 2011
9

IPCA Laboratories
IPCA has doubled its field force in last 3 years…
…but its MR productivity is still much below that of
large players
7.8
Revenues Per MR (INR m)
4.9
3.2
3.6
3.6
3.6
3.6
1.6
4,200
7.1
3,000
2,300
FY09
Chart on MR trend
FY10
FY11
Source: Company/Industry/MOSL
IPCA has created a robust
marketing set-up with 13
marketing divisions. These
different divisions focus on
different therapeutic
segments
Proper divisionalization of products ensures focus
IPCA has created a robust marketing set-up with 13 marketing divisions. These different
divisions focus on different therapeutic segments and channelize the efforts of MRs who
are divided into these divisions. Unlike many other companies, IPCA has limited number
of doctors in each MR's list in order to ensure high visit frequency and quality relationship
through innovative customer relationship management (CRM) strategies. We believe that
this focused approach has worked successfully for the company, as reflected in its rising
prescription share in most ailment segments.
Marketing divisions
Division Name
General Pharma
Intima
Activa
3C
Innova
Hycare
Bionova
Altus
3D
Nephro Sciences
Urosciences
Year
1976
2002
2003
1997
2001
2004
Apr-06
Apr-07
Apr-10
Apr-10
Apr-10
Focus therapeutic classes
CVS, Malaria, NSAID, cough prep
Malaria, Anti-bacterial, GI
Ortho, GI
CVS and Anti-diabetics
CNS
CVS and Anti-diabetics
Derma
Anti-biotic
CVS
Nephrology
Urology
Source: Company/MOSL
IPCA to maintain its track
record of outperforming the
industry growth rate
Expect 14% revenue CAGR over FY11-13
Given all the positives discussed above, we expect IPCA to maintain its track record of
outperforming the industry growth rate. After a muted 11% growth in FY12, we expect
growth to rebound to 20% levels in FY13, translating into FY11-13 CAGR of 14%.
1 November 2011
10

IPCA Laboratories
Temporary headwinds impacted domestic performance
Revenue
29.4
Grow th
Expect IPCA's industry outperformance to continue
DF Revenues
41.2
7,661
6,964
5,978
Grow th (%)
9,039
16.1
2,219
1,682
1,775
1,288
11.7
5.1
1,890
2,913
21.5
22.0
4,766
25.4
4,319
16.5
10.4
18.0
10.0
12.3
2,064
5.1
3,540
1QFY11
2QFY11
3QFY11
4QFY11
1QFY12
FY05 FY06 FY07 FY08 FY09 FY10 FY11 FY12E FY13E
Source: Company/MOSL
1 November 2011
11

IPCA Laboratories
API: Core component of IPCA's business model
Provides vertical integration; growth beyond captive demand from FY13
Focus on cost competency and market leadership
Benefit of vertical integration
Expect healthy growth from FY13
IPCA is one of India's largest API producers. IPCA's expanding API basket augurs well
for the company in terms of vertical integration benefit and growing revenues beyond
captive demand.
Key APIs
Furosemide
Chlroquine Phosphate
Losartan
Atenolol
Hydrochlorothiazide
Metoclopramide HCl
Hydroxychloroquine Sulphate
Metorprolol Succinate
Pyrantel Pamoate
Propranolol HCl
Metoprolol Tartrate
Source: Company/MOSL
Focus on cost competency and market leadership
IPCA always strived to establish itself as the lowest cost global market leader in select
APIs, and the strategy has paid off well. IPCA is the lowest cost and the largest producer
of 15 APIs globally. This number is up from 10 about four years ago, and is expected to
reach 25 over next 3-4 years. It enjoys 50-70% market share in these APIs. Further,
unlike some of its peers, the company has been making good margins in this business.
Benefit of vertical integration
IPCA's cost leadership in its select APIs creates its core competitive advantage of vertical
integration in the formulation business. This is most relevant in the pure generics business
where product cost is the key success factor. This is evident from the fact that despite
being a late entrant in the US, IPCA has managed decent market share coupled with
healthy profitability in its products launched so far. On the back of cost competitiveness,
IPCA has become a partner of choice for many formulation companies across the globe.
It is evident from IPCA's cumulative DMF fillings with USFDA (up from 22 in FY05 to 57
in FY11) and API filings in Europe (up from 7 in FY05 to 29 in FY10).
Expect healthy growth from FY13
We expect healthy revenue growth in this business from FY13, supported by increasing
number of products where IPCA has cost advantage. Further, many global players have
re-filed their products changing their API source to IPCA. The business has clocked
13% CAGR over FY05-11. However, FY11 API revenue growth was muted at 4% despite
~20% increase in production, given higher captive demand. With increase in capacities
going forward, we model in API revenue CAGR of 8% over FY11-13.
API's market mix is well-diversified
Africa
10%
Australasia
2%
Europe
32%
Expect healthy revenue
growth in this business from
FY13, supported by
increasing number of
products where IPCA has
cost advantage
API growth to resume after muted 4% in FY11
API
Grow th (%)
31.0
30.4
14.5
8.5
13.8
7.1
4.2
8.6
Asia
26%
-4.8
FY05 FY06 FY07 FY08 FY09 FY10 FY11 FY12E FY13E
CIS
1%
US/America's
29%
Source: Company/MOSL
1 November 2011
12

IPCA Laboratories
International formulations: Expect 20-25% CAGR in
branded generics
USFDA approval for Indore SEZ is key for pure generics ramp-up
Branded formulations - key growth driver
Europe: Strong product pipeline, vertical integration and geographic expansion
to drive growth
US: Significant advantage despite late entry; Indore SEZ approval likely in
CY11
IPCA has comparatively small presence in international formulation segment in terms of
revenues compared to some of its peers. However, it has wide reach as it markets its
products in 110 countries. IPCA has established its presence in both branded generic
markets (with its own field force) and pure generic market (through partners, distributors).
Branded formulations - key growth driver
Though small in size, branded formulations is one of the most profitable businesses for
IPCA with gross margins of 70-75% and EBITDA margins of 27-28%. This segment
contributed INR1.6b (8%) to IPCA's total revenues in FY11. Over the years, IPCA has
been investing resources in growing its international branded business.
CIS contributes 50% to branded formulation business
Grow th (%)
Africa
33%
Branded formulations is one
of the most profitable
businesses for IPCA
Trend in branded formulations revenue
Branded Formulation (INR m)
57.7
33.9
26.3
10.5
-2.1
23.3
20.0
CIS
50%
-41.1
FY05 FY06
FY07 FY08
FY09
FY10 FY11 FY12E FY13E
Asia
17%
Source: Company/MOSL
Strong sales force of 500
In 40 branded generic markets, IPCA has a sales force of 500 people, which is one of the
highest among Indian pharma companies. It has registered formulation dossiers in 70
countries. The company's thrust is on brand-building in pain management, CVS, CNS,
anti-infective and anti-malaria segments.
Major markets for the company include CIS, Africa and Asia
CIS remains the largest branded generic market for the company with revenues of
INR750m in FY11. Among CIS, IPCA's major markets are Russia, Ukraine and
Belarus. The company has ~300 MRs employed in this region. The company's product
portfolio is dominated by fast growing CVS therapeutic segment.
13
CIS remains the largest
branded generic market for
the company
1 November 2011

IPCA Laboratories
Similarly, in Africa the company sells its products in ~40 countries with field force of
~150.
In Asia, it has presence in Middle East and South east countries. The expansion of
product portfolio would be a key growth driver in these markets for the company.
Expect 20-25% CAGR
We believe that the IPCA's branded generic business will grow at CAGR of 20-25% over
the next two years on the back of:
Strong sales force;
Geographic expansion to South and Central American and Western African countries;
and
Introduction of new products (IPCA has identified 50 existing formulations for
registration and launch across geographies).
Pure generics - USFDA approval for Indore SEZ is key to ramp-up
IPCA derives 29% of its revenue from pure generics exported to Europe, US, Australasia
and Africa. Europe is the largest generic market for IPCA, of which 90% of revenue
comes from UK alone. This is followed by Africa where the company sells anti-malaria
drugs through various institutions. IPCA is a late entrant in the US markets having started
business here as recent as in FY09. Australasia is a highly profitable market for IPCA, but
revenues from this market are low as of now.
The key drivers of pure generics business are -
Europe:
Geographic expansion beyond UK
US:
US FDA approval for Indore SEZ
Africa:
Lucrative opportunity in Artemether-Lumefantrine, an anti-malaria formulation.
Europe: Strong product pipeline, vertical integration and geographic
expansion to drive growth
Unlike in the past, when IPCA used to market plain vanilla generic products based on
dossiers purchased from other companies, IPCA's product portfolio now consists of complex
products. This gives it an edge in the highly competitive UK market. Further, the company
has developed a large product basket with 38 products already registered and 16 products
under registration in UK and other European countries like Portugal. Importantly, most of
these products are backed by its own API which offers the company good profitability
despite very high pricing pressure. Also the company has started diversifying its presence
in other European countries to reduce its dependence on UK. In a few geographies, IPCA
is also selling the product dossiers to other companies against milestone payments and
long-term supply arrangements.
Product registered and under registration over the years
UK
Dossier filed
Dossier registered
FY05
32
6
FY06
36
12
FY07
39
21
FY08
44
29
FY09
45
27
FY10
FY11
45
47
29
35
Source: Company/MOSL
We believe that the
IPCA's branded generic
business will grow at CAGR
of 20-25%
Trend in pure generics
revenue
Pure Generics (INR m)
Grow th (%)
70.6
57.6
35.0
53.3
37.8
23.7
5.8
Source: Company/MOSL
1 November 2011
14

IPCA Laboratories
The company has so far filed
22 ANDAs and has received
approval for 12, of which it
has launched 7 products
US: Significant advantage despite late entry; Indore SEZ approval likely in
CY11
Though IPCA is a late entrant in US, it has demonstrated ability to scale up the business
rapidly. Within three years of its entry in the US, IPCA earns revenue of ~USD25m in this
market. Here, IPCA has adopted the partnership model rather than marketing on its own.
It has three partners, Ranbaxy being the largest. It has tied up with Ranbaxy for supply of
25 ANDAs for which IPCA supplies the final product with manufacturing margins. Further,
IPCA and Ranbaxy equally share the profits generated through selling the products. The
company has so far filed 22 ANDAs and has received approval for 12, of which it has
launched 7 products so far. IPCA intends to file 10-12 ANDAs every year for next few
years.
We like the company's strategy to focus on select products where it has vertical integration
advantage. It will enable the company to garner higher market share in various products
launched. We believe US will be a key long-term growth driver for the company. However
in the near term, early USFDA approval for Indore SEZ is key to ramp up revenues in US.
Currently, IPCA has only one USFDA formulation facility at Silvassa which is running at
full capacity. The company has invested INR1.5b in construction of new SEZ at Indore
which is built specifically for the US market. The facility is awaiting USFDA approval for
last 2 years and is expected to finally receive the same in CY11. Once approved, this
facility can generate peak revenues of USD100m for IPCA. We have modeled in revenue
from Indore SEZ beginning FY13.
Africa: Anti-malarial formulation presents significant revenue ramp-up
potential
IPCA has obtained WHO pre-qualification for Artemether-Lumefantrine, an anti-malaria
formulation. This is a USD400m market with only 3 other players. This is a lucrative
product opportunity with significantly high EBITDA margins at ~32%. We note that IPCA
is the only fully integrated player hence enjoys significant advantage over other players in
terms of ramping up the business. Currently Novartis has the largest share in the institutional
tender business for the product. IPCA's revenue from this product has increased from
INR300m in FY10 to INR1.2b in FY11. We are very positive on IPCA's prospects in this
opportunity and believe that IPCA will manage to garner much higher market share going
forward. We expect revenues of INR2.5b from this business in FY12 and INR3b in FY13.
Approved ANDAs
Filed
FY07
FY08
FY09
FY10
FY11
8
10
Approved
2
5
11
9
16
10
22
12
Source: Company/MOSL
IPCA has obtained WHO
pre-qualification for
Artemether-Lumefantrine, an
anti-malaria formulation.
This is a USD400m market
with only 3 other players
1 November 2011
15

IPCA Laboratories
Expect 18% revenue CAGR, 25% EPS CAGR
Operating leverage to drive earnings growth; return rations sustainable
Branded formulations and institutional business to drive 18% revenue CAGR
EBITDA to grow at 22.5% CAGR; Margin improvement to sustain
EPS CAGR of 25% led by strong operating performance and lower tax expense
INR5b capex planned to support revenue scale-up
Strong returns ratios to sustain despite large capex
Expect IPCA to clock topline
CAGR of 18% over FY11-13
led by branded formulations,
both in the domestic and
international markets
We expect IPCA to clock topline CAGR of 18% over FY11-13 led by branded formulations,
both in the domestic and international markets. Margins would expand 170bp over this
period led by higher capacity utilization and improving product mix, in turn, driving PAT
and EPS CAGR of 25%. Further, we expect strong return ratios to sustain going forward
despite high capex of INR5b planned over next two years.
Branded formulations and institutional business to drive 18%
revenue CAGR
We expect IPCA to report revenue CAGR of 18% over FY11-13 led by strong traction in
domestic formulation segment (14% CAGR), branded formulation exports (22% CAGR)
and institutional business (57% CAGR). We expect back-ended growth for regulated
markets like US and Europe due to slowdown in Europe and capacity constraints for US
market. API segment is expected to grow at 8% led by new product launches.
Branded formulations to drive revenue growth
FY08
Domestic formulation
YoY Growth (%)
International formulation
YoY Growth (%)
Europe
America's
4,319
22.0
3,417
25.1
1,873
31
55
557
204
696
0
741
4.9
1,943
-8.0
10,419
14.6
139
16.5
10,559
14.6
FY09
4,766
10.4
4,372
27.9
1,741
242
90
1,023
177
1,099
0
1,083
46.2
2,432
25.2
12,653
21.4
88
-36.6
12,742
20.7
FY10
5,978
25.4
4,892
11.9
2,483
664
120
658
173
524
270
1,416
30.7
3,169
30.3
15,456
22.1
70
-20.5
15,526
21.9
FY11
6,964
16.5
6,917
41.4
2,800
1,159
242
742
258
496
1220
1,443
1.9
3,335
5.2
18,659
20.7
163
132.1
18,822
21.2
FY12E
7,661
10.0
9,317
34.7
3,220
1,449
303
927
323
595
2500
1,515
5.0
3,601
8.0
22,094
18.4
196
20.0
22,290
18.4
FY13E
9,039
18.0
11,453
22.9
3,542
2,318
378
1,113
387
714
3000
1,667
10.0
3,890
8.0
26,049
17.9
235
20.0
26,284
17.9
12.5
41.4
25.0
22.5
22.5
20.0
56.8
7.5
8.0
18.2
20.0
18.2
FY11-13
CAGR (%)
13.9
28.7
Topline growth led by
branded formulation
institutional business and
US market
Australasia
CIS
Asia
Africa
Institutional business
Domestic APIs
YoY Growth (%)
International APIs
YoY Growth (%)
Net Sales
YoY Growth (%)
Other operating income
YoY Growth (%)
Income from operations
YoY Growth (%)
Source: Company/MOSL
1 November 2011
16

IPCA Laboratories
FY12 margins are likely to
remain under pressure
EBITDA to grow at 22.5% CAGR; Margin improvement to sustain
We expect FY11-13 EBITDA CAGR of 22.5% on the back of strong revenue growth
and improvement in the margins. FY12 margins are likely to remain under pressure owing
to:
1) Muted growth in domestic formulation revenues;
2) Higher spend in domestic formulation segment due to (a) increased field force, (b)
entry into newer therapeutic segments, and (c) start-up cost of Sikkim facility; and
3) Fixed costs at Indore SEZ without commensurate revenues, pending USFDA approval
(we expect revenues to start only in FY13).
We expect margin improvement from FY13 with (1) normalcy in domestic formulation
business, and (2) revenue contribution from Indore SEZ. Historically, IPCA has steadily
improved EBITDA margin from 14.8% in FY06 to 19.8% in FY11.
EPS CAGR of 25% led by strong operating performance and lower tax
expense
IPCA's earnings are likely to grow at 25% CAGR over FY11-13, in-line led by strong
operating performance. We feel that the interest will remain stagnant with stable debt
level. However we expect tax rate to come down owning to commencement of Sikkim
facility in this month for domestic formulation business and Indore SEZ being taken under
MAT. Over the last seven years the earnings have gone up at CAGR of 20%
IPCA's earnings are likely to
grow at 25% CAGR over
FY11-13, in-line led by
strong operating
performance
Earnings growth to accelerate FY13 onwards…
EPS (INR m)
109.5
80.9
Grow th (%)
…in line with higher EBITDA and EBITDA margins
EBITDA (INR m)
21.8
17.3
26.4
22.9
2,653
3,335 3,761
4,645
17.1
14.8
5,648
20.6
EBITDA Margin (%)
21.3
19.8
20.8
21.5
15.7
0.0
-18.1
5.9
4.8
10.1
-24.1
7.6
13.8
16.0
8.9
2,038 1,817
17.4
22.0
27.0
1,175 1,117
FY05 FY06 FY07 FY08 FY09 FY10 FY11 FY12E FY13E
FY05 FY06 FY07 FY08 FY09 FY10 FY11 FY12E FY13E
Source: Company/MOSL
INR5b capex planned to support revenue scale-up
IPCA expects to spend ~INR5b over FY12 and FY13 to increase capacities in sync with
the strong traction in revenue. The company is planning a greenfield manufacturing facility
at Baroda and likely to expand its API capacities at various locations. Besides, INR500m
would be invested in Indore SEZ and Sikkim facility before they start commercial production.
1 November 2011
17

IPCA Laboratories
IPCA's return ratios have
improved remarkably over
the years
Strong returns ratios to sustain despite large capex
IPCA's return ratios have improved remarkably over the years - RoCE up from 17.2% in
FY06 to ~23% in FY11, and RoE up from 15.9% to ~23% over the same period. Our
estimates suggest that despite the INR5b capex, IPCA will sustain its high return ratios on
the back of improving profitability driven by higher asset utilization and operating leverage.
Impressive return ratios to sustain…
RoCE (%)
32.0
27.0
RoE (%)
…despite strong capex to support revenue scale-up (INR b)
Gross Block
Capex
12.2
9.9
8.8
7.8
5.8
14.5
22.0
17.0
12.0
3.8
1.0
4.5
5.1
0.7
0.8
1.4
0.9
1.3
1.8
2.3
2.3
FY05 FY06 FY07 FY08 FY09 FY10 FY11 FY12E FY13E
Source: Company/MOSL
1HFY12 performance review: Robust growth despite slowdown in
domestic business
IPCA achieved robust growth in both revenue and profits during first half of FY12.
Revenue was up 23.2%YoY to INR11.5b. EBITDA grew 33.8%YoY to INR2.53b
while adjusted PAT grew 47.4%YoY to INR1.58b.
Topline growth was driven by 57.2%YoY growth in export formulation to INR4.67b
on the back of ~5x increase in institutional business led by anti-malaria segment and
~60% growth in US market albeit on a low base. Domestic formulation business
reported muted growth of 7.2%YoY to INR4.18b during the period due to 1) lower
revenue in anti-malaria and anti-bacterial segments, 2) restructuring of various
marketing divisions 3) attrition in field force and 4) overall slowdown in the industry.
API revenue reported muted growth of 7.3%YoY to INR2.59b primarily due to
increase in captive consumption to support increase in demand in formulation
segment. During 1HFY12, the company could not sell Artemether API outside due
to increased captive consumption.
EBITDA grew 33.8%YoY to INR2.53b while EBITDA margins expanded 177bp
to 21.3%. The margins expansion came on the back of favorable product mix as
the share of high margin business segments going up.
Adjusted PAT grew by 47.4%YoY to INR1.58b led by strong operational
performance and lower tax expense.
1 November 2011
18

IPCA Laboratories
Buy with target price of INR378, 50% upside
Trading at discount to historical and peers valuation
Vertically integrated business model with core competitive advantage of APIs
De-risked revenue streams, both in terms of product lines and geographies
25% EPS CAGR: We expect the company to report earning CAGR of 25% over
FY11-13 on the back of strong revenue growth and margin expansion.
We initiate coverage with a Buy rating and target price of INR378 (14x FY13E
EPS), a 50% upside.
Key qualitative arguments
We believe IPCA is one of the best managed mid-sized pharma company in India. Our
key qualitative arguments are:
Vertically integrated business model with core competitive advantage of APIs;
De-risked revenue streams, both in terms of product lines and geographies;
Solid business strategy around branded formulations; and
Conservative, yet proactive, management.
Key financial and valuation arguments
25% EPS CAGR:
We expect the company to report earning CAGR of 25% over
FY11-13 on the back of strong revenue growth and margin expansion.
High return ratios, low gearing: The company is likely to sustain healthy return ratios
going forward; gearing is low and expected to fall further (FY13E D/E at 0.50 v/s
0.53 in FY11).
Significant valuation discount: At 9x FY13 earning, the IPCA stock trades at 25-50%
discount to its own historic valuation and that of peers.
Buy for 50% upside:
We initiate coverage with a
Buy
rating and target price of
INR378 (14x FY13E EPS), a 50% upside.
Historical valuation bands
One year forward P/E
One year forward P/BV
P/E (x)
18
Avg(x)
16.6
Peak(x)
Min(x)
9.0
7.0
P/B (x)
Avg(x)
Peak(x)
Min(x)
14
10
6
4.1
2
11.4
10.2
7.2
5.0
3.0
1.0
3.2
2.8
2.0
Source: MOSL
IPCA: Peer valuations
Company
IPCA Labs
Biocon
Glenmark Pharma
Torrent Pharma
CMP
(INR)
254
349
309
578
EPS (INR)
FY11 FY12E FY13E
17.4
18.4
12.5
31.9
22.0
16.9
16.4
40.2
27.0
20.2
20.8
50.1
FY11
14.6
19.0
24.8
18.1
P/E (x)
FY12E
11.6
20.6
18.8
14.4
FY13E
9.4
17.2
14.9
11.5
EV/EBITDA (x)
FY11 FY12E FY13E
9.9
10.9
17.3
12.2
8.1
11.1
10.2
9.3
6.7
9.3
10.5
7.6
RoE (%)
FY11 FY12E
22.8
18.1
17.4
29.2
FY13E
24.0
24.4
14.9
15.9
18.8
19.0
29.2
28.7
Source: MOSL
1 November 2011
19

IPCA Laboratories
Key investment risks
Regulatory risks
1)
National Pharmacutical Pricing Policy (NPPP) 2011:
The newly proposed NPPP
intends to bring total 348 drugs under price control resulting in a significant increase in
span of control to 50-60% from the current 20%. The policy if implemented could
have negative impact on the industry including Ipca.
Mitigant:
IPCA's management has indicitated that if the policy is implemented in its
current form the company will have to reduce the prices for pain management and
Anti Malaria durgs. However the company as stated that the impact would be minimul
at 2-3%.
2)
US - Strict FDA norms:
In the recent times, we have observed that USFDA is
becoming more and more stringent regarding cGMP norms and has taken action against
many pharma companies including Indian companies. Any similar action taken by
USFDA may impact company's US business.
Pricing risks
1)
UK:
High competition in UK poses a risk of further price erosion.
Mitigant:
We believe IPCA's vertical integration will help cushion any major impact
on its profitability.
2)
API:
This is a commodity business, and is vulnerable to competitive pricing.
Mitigant:
We believe IPCA's global market leadership in its select segments, lowest
cost producer status and reasonable pricing strategy do not leave much room for
under-cutting.
Currency risk
As 55% of IPCA's revenue comes from exports, sustained appreciation of the Indian
rupee vis-à-vis global currencies would adversely impact revenue and profits.
Mitigant:
IPCA's six-month forward cover hedging policy partly mitigates short-term
currency risk. Over the long-term, the only possible mitigant is to sustain cost competitiveness
via economies of scale.
1 November 2011
20

IPCA Laboratories
Financials and valuation
Income statement
Y/E March
Net Revenues
Change (%)
EBITDA
Margin (%)
Depreciation
EBIT
Int. and Finance Charges
Other Income - Rec.
PBT before EO Expense
Extra Ordinary Expense/(Income)
PBT after EO Expense
Current Tax
Deferred Tax
Tax
Tax Rate (%)
Reported PAT
Less: Minority Interest
Net Profit
Adj PAT
2008
10,652
13.8
1,817
17.1
325
1,492
204
28
1,316
-436
1,753
296
62
358
27.2
1,395
1,395
958
2009
12,888
21.0
2,653
20.6
397
2,257
318
21
1,960
777
1,183
155
78
233
11.9
951
951
1,727
2010
15,622
21.2
3,335
21.3
467
2,868
264
25
2,629
-33
2,663
485
142
627
23.9
2,035
2,035
2,002
2011
18,969
21.4
3,761
19.8
558
3,203
314
83
2,973
-434
3,407
770
14
784
26.4
2,623
2,623
2,189
2012E
22,290
17.5
4,645
20.8
662
3,983
407
112
3,689
181
3,508
738
184
922
25.0
2,586
2,586
2,766
(INR Million)
2013E
26,284
17.9
5,648
21.5
800
4,848
473
157
4,532
0
4,532
906
227
1,133
25.0
3,399
3,399
3,399
Balance Sheet
Y/E March
Equity Share Capital
Total Reserves
Net Worth
Deferred liabilities
Total Loans
Capital Employed
Gross Block
Less: Accum. Deprn.
Net Fixed Assets
Capital WIP
Investments
Curr. Assets
Inventory
Account Receivables
Cash and Bank Balance
Loans & Advances
Curr. Liability & Prov.
Account Payables
Provisions
Net Current Assets
Appl. of Funds
E: MOSL Estimates
2008
251
5,642
5,892
574
3,530
9,996
5,789
1,646
4,143
1,276
95
6,055
2,676
2,595
94
690
1,574
1,371
203
4,481
9,996
2009
250
6,063
6,313
651
4,594
11,554
7,790
2,022
5,768
144
412
7,392
3,062
3,391
107
832
2,162
1,962
200
5,230
11,554
2010
250
8,399
8,649
793
4,545
13,981
8,812
2,433
6,379
383
325
8,992
3,802
3,880
108
1,201
2,097
1,850
247
6,895
13,981
2011
251
10,265
10,516
807
5,308
16,625
9,884
2,892
6,992
1,132
408
10,586
4,664
4,637
104
1,182
2,493
2,073
420
8,093
16,625
2012E
251
12,333
12,585
992
6,308
19,885
12,184
3,554
8,630
1,132
634
12,908
5,533
5,471
537
1,368
3,419
2,797
622
9,489
19,885
(INR Million)
2013E
251
15,052
15,304
1218
6,308
22,830
14,484
4,354
10,130
1,132
634
15,111
6,595
6,595
310
1,612
4,177
3,297
879
10,935
22,830
1 November 2011
21

IPCA Laboratories
Financials and valuation
Ratios
Y/E March
Basic EPS (INR)
EPS
Cash EPS
BV/Share
Valuation (x)
P/E
Cash P/E
P/BV
EV/Sales
EV/EBITDA
Dividend Yield (%)
FCF per Share
Return Ratios (%)
EBITDA Margins (%)
Net Profit Margins (%)
RoE
RoCE
Working Capital Ratios
Asset Turnover (x)
Fixed Asset Turnover (x)
Debtor (Days)
Inventory (Days)
Working Capital Turnover (Days)
Growth (%)
Sales
EBITDA
PAT
Leverage Ratio (x)
Current Ratio
Interest Cover Ratio
Debt/Equity
E: MOSL Estimates
3.8
7.3
0.6
3.4
7.1
0.7
4.3
10.9
0.5
4.2
10.2
0.5
3.8
9.8
0.5
3.6
10.2
0.4
2008
7.6
13.7
47.0
2009
13.8
10.8
50.5
2010
16.0
20.0
69.1
2011
17.4
25.3
83.7
2012E
22.0
25.8
100.1
2013E
27.0
33.4
121.7
14.6
10.0
3.0
2.0
9.9
1.5
3.9
11.5
9.8
2.5
1.7
8.1
1.6
4.6
9.4
7.6
2.1
1.4
6.7
2.1
7.4
17.1
9.0
18.0
18.4
20.6
13.4
28.3
22.4
21.3
12.8
26.8
24.0
19.8
11.5
22.8
22.7
20.8
12.4
24.0
23.6
21.5
12.9
24.4
24.7
1.8
2.7
85
92
150
1.7
2.6
93
87
145
1.8
2.6
88
89
159
1.9
2.8
87
90
154
1.8
2.9
87
91
147
1.8
2.8
89
92
148
13.8
-10.8
-23.8
21.0
46.0
80.2
21.2
25.7
15.9
21.4
12.8
9.3
17.5
23.5
26.4
17.9
21.6
22.9
1 November 2011
22

IPCA Laboratories
Financials and valuation
Cash Flow Statement
Y/E March
Oper. Profit/(Loss) before Tax
Interest/Dividends Recd.
Direct Taxes Paid
(Inc)/Dec in WC
CF from Operations
EO Expense / (Income)
CF from Operating incl EO Exp.
(inc)/dec in FA
(Pur)/Sale of Investments
CF from Investments
Issue of shares
(Inc)/Dec in Debt
Interest Paid
Dividend Paid
Others
CF from Fin. Activity
Inc/Dec of Cash
Add: Beginning Balance
Closing Balance
E: MOSL Estimates
2008
1,817
28
-296
-1,260
290
-436
726
-1,386
-9
-1,395
1
1,141
-204
-235
-41
662
-7
101
94
2009
2,653
21
-155
-736
1,784
777
1,007
-869
-316
-1,185
-1
1,060
-318
-323
-227
191
13
94
107
2010
3,335
25
-485
-1,664
1,212
-33
1,245
-1,261
86
-1,174
1
-50
-264
-409
653
-70
1
107
108
2011
3,761
83
-770
-1,203
1,872
-434
2,307
-1,821
-83
-1,904
1
762
-314
-468
-388
-407
-4
108
104
2012E
4,645
112
-738
-963
3,057
181
2,876
-2,300
-225
-2,525
0
1,007
-407
-517
0
83
434
104
537
(INR Million)
2013E
5,648
157
-906
-1,673
3,226
0
3,226
-2,300
0
-2,300
0
0
-473
-680
0
-1,153
-227
537
310
1 November 2011
23

Disclosures
This report is for personal information of the authorized recipient and does not construe to be any investment, legal or taxation advice to you. This research report does not constitute an offer, invitation or inducement
to invest in securities or other investments and Motilal Oswal Securities Limited (hereinafter referred as MOSt) is not soliciting any action based upon it. This report is not for public distribution and has been
furnished to you solely for your information and should not be reproduced or redistributed to any other person in any form.
Unauthorized disclosure, use, dissemination or copying (either whole or partial) of this information, is prohibited. The person accessing this information specifically agrees to exempt MOSt or any of its affiliates
or employees from, any and all responsibility/liability arising from such misuse and agrees not to hold MOSt or any of its affiliates or employees responsible for any such misuse and further agrees to hold MOSt
or any of its affiliates or employees free and harmless from all losses, costs, damages, expenses that may be suffered by the person accessing this information due to any errors and delays.
The information contained herein is based on publicly available data or other sources believed to be reliable. While we would endeavour to update the information herein on reasonable basis, MOSt and/or its
affiliates are under no obligation to update the information. Also there may be regulatory, compliance, or other reasons that may prevent MOSt and/or its affiliates from doing so. MOSt or any of its affiliates or
employees shall not be in any way responsible and liable for any loss or damage that may arise to any person from any inadvertent error in the information contained in this report . MOSt or any of its affiliates
or employees do not provide, at any time, any express or implied warranty of any kind, regarding any matter pertaining to this report, including without limitation the implied warranties of merchantability, fitness
for a particular purpose, and non-infringement. The recipients of this report should rely on their own investigations.
This report is intended for distribution to institutional investors. Recipients who are not institutional investors should seek advice of their independent financial advisor prior to taking any investment decision
based on this report or for any necessary explanation of its contents.
MOSt and/or its affiliates and/or employees may have interests/positions, financial or otherwise in the securities mentioned in this report. To enhance transparency, MOSt has incorporated a Disclosure of Interest
Statement in this document. This should, however, not be treated as endorsement of the views expressed in the report.
Disclosure of Interest Statement
1. Analyst ownership of the stock
2. Group/Directors ownership of the stock
3. Broking relationship with company covered
4. Investment Banking relationship with company covered
IPCA Laboratories
No
No
No
No
Analyst Certification
The views expressed in this research report accurately reflect the personal views of the analyst(s) about the subject securities or issues, and no part of the compensation of the research analyst(s) was, is, or
will be directly or indirectly related to the specific recommendations and views expressed by research analyst(s) in this report. The research analysts, strategists, or research associates principally responsible
for preparation of MOSt research receive compensation based upon various factors, including quality of research, investor client feedback, stock picking, competitive factors and firm revenues.
Regional Disclosures (outside India)
This report is not directed or intended for distribution to or use by any person or entity resident in a state, country or any jurisdiction, where such distribution, publication, availability or use would be contrary to
law, regulation or which would subject MOSt & its group companies to registration or licensing requirements within such jurisdictions.
For U.K.
This report is intended for distribution only to persons having professional experience in matters relating to investments as described in Article 19 of the Financial Services and Markets Act 2000 (Financial
Promotion) Order 2005 (referred to as "investment professionals"). This document must not be acted on or relied on by persons who are not investment professionals. Any investment or investment activity to
which this document relates is only available to investment professionals and will be engaged in only with such persons.
For U.S.
MOSt is not a registered broker-dealer in the United States (U.S.) and, therefore, is not subject to U.S. rules. In reliance on the exemption from registration provided by Rule 15a-6 of the U.S. Securities Exchange
Act of 1934, as amended (the "Exchange Act") and interpretations thereof by the U.S. Securities and Exchange Commission ("SEC") in order to conduct business with Institutional Investors based in the U.S.,
Motilal Oswal has entered into a chaperoning agreement with a U.S. registered broker-dealer, Marco Polo Securities Inc. ("Marco Polo").
This report is intended for distribution only to "Major Institutional Investors" as defined by Rule 15a-6(b)(4) of the Exchange Act and interpretations thereof by SEC (henceforth referred to as "major institutional
investors"). This document must not be acted on or relied on by persons who are not major institutional investors. Any investment or investment activity to which this document relates is only available to major
institutional investors and will be engaged in only with major institutional investors.
The Research Analysts contributing to the report may not be registered /qualified as research analyst with FINRA. Such research analyst may not be associated persons of the U.S. registered broker-dealer, Marco
Polo and therefore, may not be subject to NASD rule 2711 and NYSE Rule 472 restrictions on communication with a subject company, public appearances and trading securities held by a research analyst account.
Motilal Oswal Securities Ltd
3rd Floor, Hoechst House, Nariman Point, Mumbai 400 021
Phone: (91-22) 39825500 Fax: (91-22) 22885038. E-mail: reports@motilaloswal.com