3 April 2012
Update
Financials
RBI releases discussion paper on dynamic provisioning framework
Proposals to strengthen balance sheets, but could impact near-term earnings
RBI's discussion paper on dynamic provisioning framework highlights the requirement of counter-cyclical provisioning to
reduce volatility in banks' earnings.
While dynamic provisioning will make banks' balance sheets structurally strong, some of the norms that RBI has proposed
will adversely impact their earnings and put strain on their capital in the near term.
Banks with superior technology that are already planning to move to IRB (internal rating based) approach might come out
with estimated loss assumption based on portfolio mix. Thus, 1.37% cannot be strictly taken as a benchmark for all banks.
Higher provisions will directly impact RoA (by 10-15bp) and RoE (by 100-200bp) of banks in the short-to-medium term.
RBI has released a discussion paper on
dynamic
provisioning (DP),
where it has highlighted the
requirement of counter-cyclical provisioning to reduce
volatility in banks’ earnings. It has requested views from
industry participants by 15 May 2012, post which it will
release draft guidelines.
Key highlights of discussion paper
Introduction of DP to strengthen balance sheets and
smoothen earnings:
The discussion paper
emphasizes that it would be prudent for all banks to
create a counter-cyclical buffer during good times,
which could be utilized when asset quality pressure
emanates during an economic downturn, thus
reduce earnings volatility. Initial DP would be
outstanding provisions made on standard asset and
floating provision. However, it has an in built
assumption that banks have reached 70% PCR.
Incrementally RBI has suggested credit cost of 1.37%.
If actual
specific provisions (SP)
is lower than 1.37%
excess provisions will be transferred to DP and vice-
a-versa subject to certain conditions.
Proforma credit cost estimated at 1.37%, but may
vary from bank to bank:
Based on weighted average
estimated loss (EL)
of nine individual banks, RBI has
arrived at a system-level
loss given default (LGD)
of
1.37% of loans during a downturn (a more
conservative approach which RBI has recommended)
and at an LGD of 0.84% of loans during normal times.
For the purpose of calculation, model portfolio with
corporate loans, retail loans, housing loans and other
loans was taken as 49%, 17%, 6% and 28%,
respectively. Thereby actual requirement would vary
from bank to bank. Further banks might come out
with estimated loss assumption based on their
internal rating method. Thus, 1.37% cannot be
strictly taken as a benchmark for all banks.
Treatment of DP:
The suggested framework for
Indian banks is conservative (as credit cost suggested
is based on downturn LGD) and the DP framework
will include an element of general and specific
provisions. RBI has suggested that till the level of
normal LGD (0.84%), DP provisions should be
considered as specific provisions and can be utilized
to arrive at net NPA. Above normal LGD to actual
levels (1.37%-0.84%), DP provisions should be
considered as general provisions, and thus would
be consider for tier-II capital.
To strengthen bank balance sheets but transition to
impact near-term earnings
The suggested framework will strengthen the balance
sheet of the banks and smoothen the earnings which is
positive. However initially, banks would have to shore
up their provision coverage ratio (PCR) to 70%, which
may impact their profitability, especially in case of state-
owned banks, wherein the PCR has declined significantly
in the past one year. Further incrementally higher
provision requirement could cumulatively impact banks
PBT by 3-35% over FY13/14.
However, over the cycle, DP will considerably reduce
earnings volatility and will also make earnings
comparable among the banks. Higher provisions will
directly impact RoA (10-15bp) and RoE (100-200bp) of
banks in the short-to-medium term. These provisions
will need some enhancement in NIMs to ensure that
profitability remains intact. Banks with strong risk
management systems would gain over the rest, once
they convince RBI to lower provisioning norms for them.
Alpesh Mehta
(Alpesh.Mehta@MotilalOswal.com) + 91 22 3982 5415
Sohail Halai
(Sohail.Halai@MotilalOswal.com) /
Umang Shah
(Umang.Shah@MotilalOswal.com)

Financials | Update
Suggested DP framework: Aim is to create a buffer in times of uncertainty
The DP framework is based on the premise of average losses; average SP is equal to EL
over the cycle. Under this framework, in addition to SP (as per regulation), banks are
required to make provisions to extent of EL and the difference between EL and SP is
transferred to an account called DP. A positive difference between EL and SP will
increase DP and a negative value will lead to drawdown from DP (subject to certain
conditions). Thus, it will ensure that charge to P&L on account of credit cost will
remain the same irrespective of the cycle.
Outstanding standard asset and floating provisions to form initial DP
While shifting to the DP framework, in the beginning, total provision outstanding on
the balance sheet should be the addition of outstanding standard assets, floating
provisions and specific provisions (at least 70% of NPA). In the other words, the DP
initial balance will be the aggregation of standard and floating balance outstanding
on the balance sheet. RBI has also ensured that the balance in the DP account should
not go below 1/3rd of EL and has prescribed the floor limit below which banks cannot
draw down from the DP account. Under the framework, RBI has suggested that banks
take charge of 1/4th of the annual DP on a quarterly basis.
Incremental provision requirement in case of DP would be
α
Ct – SP
Where
α
= average estimate of credit loss (1.37% of gross loans as calculated by a
sample of 9 banks),
Ct = outstanding loan portfolio, and
SP = specific provisions made during the year.
Credit cost (including standard asset provisioning, %)
FY05
FY06
FY07
FY08
FY09
FY10
0.87
0.68
1.10
0.70
1.25
0.75
0.82
0.78
0.94
2.00
1.96
1.73
1.02
1.09
1.37
0.37
1.85
0.72
FY11
1.49
1.21
0.70
0.72
0.71
1.12
1.16
1.18
1.00
1.09
0.61
1.09
0.41
0.95
0.93
0.31
1.87
0.56
FY12 AvgFY05-12E
1.63
1.14
0.68
0.80
0.85
1.24
0.97
0.70
1.36
0.91
0.76
1.01
0.75
0.94
0.92
0.44
0.91
0.66
Public Sector Banks
SBIN
0.84
0.27
0.77
0.76
0.65
PNB
0.60
0.15
1.01
0.53
0.74
CBK
1.76
1.30
0.83
0.90
0.84
BOB
1.29
0.81
0.67
0.65
0.32
BOI
0.83
1.12
1.14
1.02
0.63
UNBK
0.82
0.64
0.87
1.07
0.84
OBC*
0.77
0.02
-0.35
-0.30
0.40
INBK
1.49
0.72
0.73
1.53
0.17
ANDB
0.20
0.46
0.38
0.42
0.53
Private Banks
ICICIBC -0.19
0.87
1.48
1.38
1.66
HDFCB
0.99
1.88
2.46
2.59
2.72
AXSB
0.17
1.10
0.89
1.35
1.51
YES
0.96
1.06
0.32
0.89
IIB
0.92
1.15
0.71
0.62
1.03
VYSB
0.76
0.77
0.98
0.43
0.83
SIB
1.01
1.52
1.53
0.36
0.21
FB
1.80
1.76
1.04
1.44
1.83
JKBK
0.41
0.93
0.79
0.32
0.37
*OBC standard asset provisioning is available from FY06
Average credit
cost over FY05-12 varies
from 0.7% to 1.8%;
whereas RBI
recommends credit
cost of 1.37%
0.64
1.12
0.93
1.77
0.98
1.10
0.23
0.70
0.75
0.90
0.42
0.81
0.28
0.70
1.20
1.60
0.32
0.55
Source: Company/MOSL
3 April 2012
2

Financials | Update
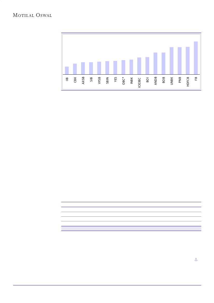
Standard assets + floating provisions as a percentage of loans (%)
1.2
1.0
1.0
1.0
0.8
0.4
0.4
0.4
0.4
0.5
0.5
0.5 0.5
0.6
0.6
0.8
Initial DP under current
guidelines to be
30-120bp for the banks
under our coverage
0.3
Source: Company/MOSL
Based on a sample of
9 banks, the discussion
paper estimates credit
cost at 137bp
While according to the discussion paper, ‘α’ needs to be calibrated on the basis of
α
credit histories of individual banks, due to lack of data for all the banks and for the
system as a whole, it is calculated based on a sample of 9 banks comprising of 32.5%
of gross loans of scheduled commercial banks as at March 2010. The estimated value
of ‘α’ for individual segments is significantly different from the value of ‘α’ for the
α
α
total loan portfolio. Fixing a single ‘α’ at the level of total loan portfolio will neither
α
α
be appropriate nor prudent. For the calculation of ‘α’, the relative proportion of
corporate loans, retail loans, housing loans and other loans was taken as 49%, 17%,
6% and 28%, respectively.
The paper gives banks that have adequate data history the liberty to set up their own
α
framework for the calculation of ‘α ’, i.e. estimated credit loss based on their
experience. Banks with superior technology that are already planning to move to IRB
(internal rating based) approach might come out with estimated loss assumption
based on portfolio mix. Thus, 1.37% cannot be strictly taken as a benchmark for all
banks.
Segment-wise calculation of estimated loss (%)
Based on normal LGD
Based on downturn LGD
0.62
2.67
0.27
2.26
1.37
Source: Company/MOSL
Calculation of ‘α’ (average estimated credit cost)
α
RBI more in favor of
downturn LGD which is a
more conservative
approach
Corporate Loans
Retail Loans
Housing Loans
All other Loans
Total Loans
0.28
1.21
0.11
1.67
0.84
Utilization of DP to provide cushion during downturn
While implementing the Dynamic Provisioning Approach (DPA) for the first time, the
RBI has assumed that the banks would have adequate specific provisions to cover its
NPAs. Incrementally, as the banks adopt this approach, a positive value of
α
Ct- SP
will increase the DP balance, while a negative value will represent a drawdown from
the DP balance. This would ensure that the charge to P&L every year on account of
3 April 2012
3

Financials | Update
specific provisions and DP is maintained at a level of
αCt.
RBI has further defined the
floor and the ceiling for the DP. The DP is subject to a floor of 0.33αCt. The floor limit
would ensure that during downturns, the drawdown from the DP would not exceed
33% of the expected loss and in such a scenario banks will have to make additional
provisions to restore the DP balance.
Utilization of DP (INR)
Year
A
B
C
D
E
F
G
Loans O/S (Ct)
Specific prov during the year
EL (1.5% of A)
Incremental DP (C-B)
Floor of DP (0.33% of C)
Stock of DP (Fpy+Dcy)
Charge to P&L
On account of SP
Addition/reduction from DP
Prov as Floor DP is reached
1
1,000
5.0
15.0
10.0
5.0
10.0
5.0
10.0
2
1,200
10.0
18.0
8.0
6.0
18.0
10.0
8.0
3
1,500
25.0
22.5
-2.5
7.5
15.5
25.0
-2.5
4
1,600
37.0
24.0
-7.5*
8.0
8.0
5
1,750
29.0
26.3
0.8
8.8
8.8
6
1,950
25.0
29.3
4.3
9.8
13.0
Floor of DP = 0.33%
of estimated loss *
outstanding loans
24.0
26.3
25.0
-7.5*
0.8
4.3
5.5
2.8
Source: Company/MOSL
Explanation of the working
In this example, the dynamic provision is created in the first and second year, as
the expected loss (αCt) is higher than the specific provisions. Thus, the positive
value of
αCt-
SP will add to the stock of dynamic provisions.
In the third year, when the specific provisions exceed the expected loss, the
bank can draw down from the stock of dynamic provisions. Hence, the specific
provisions requirement would be lower and dynamic provision reserve would
deplete.
However, drawdown is restricted to the floor for DP account. In the fourth year,
specific provisions would be higher than
αCt.
With the DP account already hitting
the floor, no further drawdown would be permitted and the excess amount (of
INR5.5) would be charged to P&L account.
Treatment of DP on capital and NPA movement
Provision made on
normal LGD bases to be
netted from GNPA to
arrive at NNPA above
which to be treated as
general provisions and
thus be considered for
tier-II capital
The suggested framework for Indian banks is conservative (as credit cost suggested is
based on downturn LGD) and the DP framework will include an element of general
and specific provisions. RBI has suggested that till the level of normal LGD (0.84%), DP
provisions should be considered as specific provisions and should be used for arriving
at net NPA. Above normal LGD to actual levels (1.37%-0.84%), DP provisions should be
considered as general provisions, and thus, as tier-II capital.
RBI has suggested that two DP accounts be kept in the balance sheet: (a) DP account
based on normal LGD – at the end of every quarter, the balance in normal LGD should
be treated as SP, and (b) DP account based on downturn LGD – which could be treated
as general provision and could be treated as capital.
3 April 2012
4

Financials | Update
To strengthen banks’ balance sheets, but to impact RoA in near-term
The discussion paper appears to suggest that at the time of implementation of the DP
framework, banks would have already seen the worst of the credit cycle and would
have room to create DP in their balance sheets in the following years. Initially, banks
would have to shore up their provision coverage ratio (PCR) to 70%, which may impact
their profitability, especially in case of state-owned banks, wherein the PCR has
declined significantly in the past one year. However, in our view, even if the framework
is set up in the existing form, RBI would allow banks adequate time to reach the
stipulated PCR. Ambiguity in terms of whether technical write-off is included remains;
if disallowed, the impact could be higher.
Assuming amortization of 8 quarters and technical write-offs to be allowed while
calculating 70% PCR, the impact on banks’ PBT could be 0-10% over FY13/14 (see Table
1). Banks with superior technology and already planning to move to IRB (internal
rating based) approach might come out with estimated loss assumption based on
portfolio mix. Thus, 1.37% cannot be strictly taken as a benchmark for all banks.
Currently, we model credit cost of 60-140bp for FY13-14. If the DP framework based
on current suggested structure is implemented (at 1.37%), it will impact PBT by 3-30%
for FY13/14 (see Table 2).
If the DP framework is adopted as suggested in the discussion paper, overall it will
impact PBT (see Table 3) by 10-40% for FY13/14. However, over the cycle, DP will
considerably reduce earnings volatility and will also make earnings comparable among
the banks. Higher provisions will impact RoA (10-15bp) and RoE (100-200bp) of banks
in the short-to-medium term. These provisions will need some enhancement in NIMs
to ensure that profitability remains intact. Banks with strong risk management systems
would gain over the rest, once they convince RBI to lower provisioning norms for
them.
Table 1: Impact of increase in PCR to 70% for PSU banks to be 0-11%
Provision (incl tech w/off)
to retain
at end of
shortfall/
70% (a)
3QFY12 (b) (excess) (a-b)
Assuming 8
quarters
ammortisation
(impact per year)
18,7635
-5
1,068
-3,573
4,775
2,679
1,891
-962
849
628
Impact on PBT (%)
FY13
FY14
With private banks PCR
already above 70%, there
would be no impact
SBIN
PNB
CBK
BOB
BOI
UNBK
OBC*
INBK
CRPBK*
ANDB
351,180
67,721
71,209
47,598
73,222
54,673
39,279
20,711
16,695
19,078
313,654
67,731
69,072
54,745
63,671
49,315
35,497
22,635
14,996
17,822
37,526
-10
2,136
-7,147
9,550
5,358
3,782
-1,923
1,698
1,256
8.9
7.1
0.0
0.0
2.2
1.9
-4.8
-4.1
11.3
9.2
7.4
6.4
9.1
8.2
-3.1
-2.7
4.3
3.7
3.1
2.7
Source: Company/MOSL
3 April 2012
5

Financials | Update
Table 2: Provisioning requirement of 137bp to impact FY13/14 earnings by 3-33% (INR m)
Provisions
assuming
1.37% on
opening loans
FY13
FY14
Current
estimates of
provisions
FY13
FY14
Shortfall/
(Excess)
Impact on
(%) PBT
FY13
FY14
FY13
FY14
Incrementally
higher provisions will
need some enhancement
in NIMs to ensure that
profitability
remains intact, or else
PBT to be impacted
by 3-33%
Public Sector Banks
SBIN
122,331 141,904 122,867 110,934
-536
30,970
-0.3
11.6
PNB
38,476
45,401
29,545
32,477
8,931
12,924
10.8
12.6
CBK
33,474
38,495
19,272
24,474
14,202
14,021
29.7
24.8
BOB
37,908
44,731
27,869
33,171
10,038
11,560
13.5
13.3
BOI
34,157
39,622
26,628
28,343
7,530
11,279
17.8
21.8
OBC
15,636
17,981
12,412
16,078
3,224
1,903
15.6
8.3
CRPBK
13,921
16,427
9,039
10,666
4,883
5,761
24.6
25.2
ANDB
11,548
13,396
10,278
10,763
1,271
2,633
6.2
11.5
Private Sector Banks
ICICIBC
35,288
41,357
25,447
30,771
9,840
10,587
10.2
9.8
HDFCB
27,419
33,451
17,982
23,043
9,437
10,408
10.0
9.2
AXSB
23,022
27,626
18,980
22,919
4,041
4,707
5.8
5.8
YES
5,367
6,440
2,253
3,023
3,114
3,418
18.0
16.4
IIB
4,660
5,825
3,402
4,491
1,259
1,334
8.2
6.9
VYSB
3,945
4,734
1,814
2,367
2,131
2,367
28.5
26.7
SIB
3,593
4,455
1,427
1,951
2,166
2,504
33.5
32.8
FB
5,034
5,840
4,659
5,405
375
435
2.9
2.9
JKBK
4,342
5,254
2,017
2,865
2,325
2,389
20.3
18.6
*Please note the provisioning assumption under RBI norms has been taken on standard 137bp
and it may vary with respect to change in portfolio mix of different banks Source: Company/MOSL
Table 3: Overall DP framework could impact profitability by 3-33% (INR m)
Excess Provision
Required if DP
comes in current form
FY13
FY14
Public Sector Bank
SBIN
PNB
CBK
BOB
BOI
UNBK
OBC
INBK
CRPBK
ANDB
Private Sector Bank
ICICIBC
HDFCB
AXSB
YES
IIB
VYSB
SIB
FB
JKBK
18,227
8,926
15,270
6,465
12,305
8,201
5,115
3,450
5,732
1,899
9,840
9,437
4,041
3,114
1,259
2,131
2,166
375
2,325
49,733
12,920
15,089
7,987
16,054
8,701
3,794
3,480
6,611
3,261
10,587
10,408
4,707
3,418
1,334
2,367
2,504
435
2,389
Impact
on PBT
(%)
FY13
8.6
10.7
31.9
8.7
29.1
22.7
24.7
11.0
28.9
9.3
FY14
18.7
12.6
26.7
9.2
31.1
20.7
16.6
9.8
28.9
14.2
Double whammy of
increasing PCR and higher
credit cost to impact
state-owned banks
Despite strong risk
management practices,
higher provisioning
requirement on an
incremental basis would
impact private banks'
profitability
10.2
9.8
10.0
9.2
5.8
5.8
18.0
16.4
8.2
6.9
28.5
26.7
33.5
32.8
2.9
2.9
20.3
18.6
Source: Company/MOSL
6
3 April 2012

Financials | Update
3 April 2012
7

Disclosures
This report is for personal information of the authorized recipient and does not construe to be any investment, legal or taxation advice to you. This research report does not constitute an offer, invitation or inducement
to invest in securities or other investments and Motilal Oswal Securities Limited (hereinafter referred as MOSt) is not soliciting any action based upon it. This report is not for public distribution and has been
furnished to you solely for your information and should not be reproduced or redistributed to any other person in any form.
Unauthorized disclosure, use, dissemination or copying (either whole or partial) of this information, is prohibited. The person accessing this information specifically agrees to exempt MOSt or any of its affiliates
or employees from, any and all responsibility/liability arising from such misuse and agrees not to hold MOSt or any of its affiliates or employees responsible for any such misuse and further agrees to hold MOSt
or any of its affiliates or employees free and harmless from all losses, costs, damages, expenses that may be suffered by the person accessing this information due to any errors and delays.
The information contained herein is based on publicly available data or other sources believed to be reliable. While we would endeavour to update the information herein on reasonable basis, MOSt and/or its
affiliates are under no obligation to update the information. Also there may be regulatory, compliance, or other reasons that may prevent MOSt and/or its affiliates from doing so. MOSt or any of its affiliates or
employees shall not be in any way responsible and liable for any loss or damage that may arise to any person from any inadvertent error in the information contained in this report . MOSt or any of its affiliates
or employees do not provide, at any time, any express or implied warranty of any kind, regarding any matter pertaining to this report, including without limitation the implied warranties of merchantability, fitness
for a particular purpose, and non-infringement. The recipients of this report should rely on their own investigations.
This report is intended for distribution to institutional investors. Recipients who are not institutional investors should seek advice of their independent financial advisor prior to taking any investment decision
based on this report or for any necessary explanation of its contents.
MOSt and/or its affiliates and/or employees may have interests/positions, financial or otherwise in the securities mentioned in this report. To enhance transparency, MOSt has incorporated a Disclosure of Interest
Statement in this document. This should, however, not be treated as endorsement of the views expressed in the report.
Disclosure of Interest Statement
1. Analyst ownership of the stock
2. Group/Directors ownership of the stock
3. Broking relationship with company covered
4. Investment Banking relationship with company covered
Companies where there is interest
None
Oriental Bank of Commerce, South Indian Bank, State Bank of India
None
None
Analyst Certification
The views expressed in this research report accurately reflect the personal views of the analyst(s) about the subject securities or issues, and no part of the compensation of the research analyst(s) was, is, or
will be directly or indirectly related to the specific recommendations and views expressed by research analyst(s) in this report. The research analysts, strategists, or research associates principally responsible
for preparation of MOSt research receive compensation based upon various factors, including quality of research, investor client feedback, stock picking, competitive factors and firm revenues.
Regional Disclosures (outside India)
This report is not directed or intended for distribution to or use by any person or entity resident in a state, country or any jurisdiction, where such distribution, publication, availability or use would be contrary to
law, regulation or which would subject MOSt & its group companies to registration or licensing requirements within such jurisdictions.
For U.K.
This report is intended for distribution only to persons having professional experience in matters relating to investments as described in Article 19 of the Financial Services and Markets Act 2000 (Financial
Promotion) Order 2005 (referred to as "investment professionals"). This document must not be acted on or relied on by persons who are not investment professionals. Any investment or investment activity to
which this document relates is only available to investment professionals and will be engaged in only with such persons.
For U.S.
MOSt is not a registered broker-dealer in the United States (U.S.) and, therefore, is not subject to U.S. rules. In reliance on the exemption from registration provided by Rule 15a-6 of the U.S. Securities Exchange
Act of 1934, as amended (the "Exchange Act") and interpretations thereof by the U.S. Securities and Exchange Commission ("SEC") in order to conduct business with Institutional Investors based in the U.S.,
Motilal Oswal has entered into a chaperoning agreement with a U.S. registered broker-dealer, Marco Polo Securities Inc. ("Marco Polo").
This report is intended for distribution only to "Major Institutional Investors" as defined by Rule 15a-6(b)(4) of the Exchange Act and interpretations thereof by SEC (henceforth referred to as "major institutional
investors"). This document must not be acted on or relied on by persons who are not major institutional investors. Any investment or investment activity to which this document relates is only available to major
institutional investors and will be engaged in only with major institutional investors.
The Research Analysts contributing to the report may not be registered /qualified as research analyst with FINRA. Such research analyst may not be associated persons of the U.S. registered broker-dealer, Marco
Polo and therefore, may not be subject to NASD rule 2711 and NYSE Rule 472 restrictions on communication with a subject company, public appearances and trading securities held by a research analyst account.
Motilal Oswal Securities Ltd
3rd Floor, Hoechst House, Nariman Point, Mumbai 400 021
Phone: (91-22) 39825500 Fax: (91-22) 22885038. E-mail: reports@motilaloswal.com