31 May 2012
Update
Financials
Sharp rise in slippages, large corporate restructuring leading to higher stress
SBIN relatively better than peers; other large PSBs' net stress loans (ex Air India and SEBs) up 75-140bp
Overall net stress loans (NSL, defined as NNPA + outstanding standard restructured loans) for our universe of PSBs (public
sector banks) have increased to 7.3% (5.9% ex Air India and SEBs) v/s 5.1% in FY11. Excluding State Bank of India (SBIN), NSL
for PSBs are up 323bp to 8.13%. AI (Air India) and SEB have contributed bulk of increase in restructured loans, both
combined accounting for 195bp out of 323bp increase.
SBIN has the lowest proportion of NSL on the balance sheet at 5.5% (NNPA of 1.82% and OSRL of 3.65%). Also, it is the only
large PSB where NSL have remained flat YoY.
Ex AI and SEB, large PSBs have reported 75-140bp increase in NSLs, whereas midcap PSBs have reported 100-250bp rise.
PNB and OBC has one of the highest total NSLs; however, ex SEB and AI, their NSL are just 50-100bp higher than peers.
Stress loans increase led by restructuring of state
government entities
Over last one year, NNPA for PSBs are up ~35bp to 1.45%
and OSRL by ~190bp to 5.9% (up ~50bp to 4.5% ex AI and
SEB). Thus, overall NSL for PSBs have increased to 7.3%
(5.9% ex AI and SEB) v/s 5.1% in FY11. FY10 through
1HFY12, OSRL for PSBs remained relatively constant at
~4%. However, sharp increase in restructuring in 2HFY12
led to significant increase of OSRL as a proportion of
outstanding loan. Over past two quarters, OSRL has
increased from 4% to 5.9% in FY12.
Stress Loan rise significantly for large PSBs
Ex SBIN, stress loans among large PSBs increased 170-
450bp (75-140bp excluding AI and SEB). Among large
banks, PNB has the highest proportion of NSL on its
balance sheet at 9.4% (1.9x of FY11), of which ~300bp is
contributed by SEB and AI. Higher contribution of SEB
and AI (400bp of loans) is also leading to significantly
higher NSL for OBC (10.7% of loans). BOB's NSL is
relatively better than peers at ~5% (ex SEB and AI); but
this should also be viewed in the context of strong loan
CAGR of 28% over FY10-12.
Restructuring to increase further; asset quality to drive
valuation:
Challenging macroeconomic environment is
moderating growth and raising NSL in the system. While
GNPAs have peaked, further stress on account of SEB
restructuring (INR122b, 50bp of the outstanding loans)
and higher CDR cases will keep asset quality and
valuations under pressure. We like banks with strong
liability franchise, superior capitalization, and stability
at the top management level (specifically for PSBs). Top
picks:
SBIN, PNB, ICICIBC, YES
and
UNBK.
Smaller banks' NSL in the range of 6-11%
SBIN's NSL performance better than peers
Although SBIN faced higher challenges in terms of
significant increase in net slippages over past two years
(average of INR126b over FY11/12 v/s average of ~INR43b
over FY07-10), 16pp improvement in PCR (+9%
improvement in last one year) and the bank's
conservative restructuring policy led to 50bp decline in
NSL to 5.5% during the same period. Even excluding
restructuring of AI and SEB, SBIN's NSL remains the
lowest among PSBs at 5.3%.
NSL: PNB highest among large PSBs; SBIN much better
NSL:
Net Stressed Loans |OSRL: Outstanding Standard Restructured Loans
Alpesh Mehta
(Alpesh.Mehta@MotilalOswal.com) + 91 22 3982 5415
Sohail Halai
(Sohail.Halai@MotilalOswal.com) /
Umang Shah
(Umang.Shah@MotilalOswal.com)

Financials | Update
NSL at 7.3% of loans; further SEB restructuring of 65bp at least
SBIN has lowest NSL, INBK highest; AI and SEBs account for 140bp of NSL
NSL is defined as NNPA + outstanding standard restructured loans (OSRL).
Over the last one year, NNPA for PSBs is up ~35bp to 1.45% and OSRL up ~190bp to 5.85%
(4.55% excluding AI and SEB, up ~50bp).
SBIN has the lowest proportion of NSL at 5.5% (NNPA of 1.82% and OSRL of 3.65%). SBIN
is the only large PSB where NSL remained flat YoY.
Excluding SBI, large PSBs have reported 75-140bp increase in NSL (ex- AI and SEB) and
midcap PSBs 100-250bp.
Challenging macroeconomic environment, policy logjam, lag impact of agri debt waiver
scheme, and government mandate of complete recognition of NPA via system led to
significantly high stress on the FY12 balance sheets of PSBs (public sector banks). In
this note, we try to analyze asset quality of PSBs over the last couple of years based
on the metric of net stress loans (NSL), defined as NNPA + outstanding standard
restructured loans (OSRL).
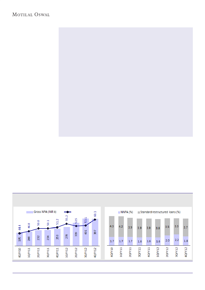
NSL up significantly to 7.3% of loans v/s 5.1% in FY11
Over last one year, NNPA for PSBs is up ~35bp to 1.45% and OSRL up ~190bp to 5.85%
(4.55% excluding AI and SEB, up ~50bp). Thus, overall NSL for PSBs has increased to
7.3% (5.9% ex AI and SEB) v/s 5.1% in FY11. FY10 through 1HFY12, OSRL for PSBs
remained relatively constant at ~4%. However, sharp increase in restructuring in
2HFY12 led to significant increase of OSRL as a proportion of outstanding loan. Over
past two quarters, OSRL has increased from 4% to 5.9% in FY12.
NSL for PSB increase (%)
While stressed loan for PSBs has
increased 220bp YoY; it was flat for SBIN
NSL ex-SBIN higher (%)
Of the 320bp increase in NSL 190b was
on account of SEB & AI
SEBs expected restructuring in 1HFY13
While GNPA has peaked expect further
restructuring in 1HFY13 led by SEB
restructuring and CDR
Expected SEBs restructuring as a %
to o/s loans
Source: Company/MOSL
31 May 2012
2

Financials | Update
Analyzing asset quality trend: The NSL methodology and assumptions
Due to difference in reporting of slippages, upgradation and recoveries across PSBs,
we believe movement of net slippages is one of key matrix to analyze apart from
movement in PCR. Net slippages if seen in isolation may give a misleading picture
due to aggressive restructuring or conservative policy of upfront recognition of stress
as NPA. Thus, to judge the asset quality movement we have analyzed movement in
net stress loans on a quarterly basis.
Key assumptions used to make net stress loans comparable:
As the reporting format
of restructured loans varies from bank to bank we have made some key assumptions
to make it comparable.
PNB:
Data for OSRL (net of repayment) is available since 1QFY12, therefore
historic (FY11) numbers are adjusted accordingly to make it comparable
CBK:
In 4QFY12, bank changed its accounting policy from gross basis and also
excluded undisbursed loan for which we have adjusted 4QFY12 nos (based on
discussion with the managment.
UNBK, ANDB, DBNK:
Report facility-wise; so we have incresed outstanding
restructured loan by 25% to make it borrower-wise
IOB:
As slippage from restructured loan book is not available, we have assumed
5% (based on reported numbers of OSRL of peers) of it has already slipped and
arrive at net OSRL.
SBIN relatively better than peers; significant increase for other large PSBs
SBIN faced some tough challenges in terms of significant increase in net slippages
over past two years (average of INR126b over FY11/12 vs.average of ~INR43b over
FY07-10), however 16pp improvement in PCR (+9pp including technical write-off)
and the bank's conservative restructuring policy led to 50bp decline in NSL to 5.5%
during the same period (NSL remained flat as comapred to FY11). Ex AI and SEBs NSL
stood at 5.3%, one of the lowest among PSBs. For all other large PSBs, NSL (ex AI,
SEBs) is up 75-140bp, and for midcap PSBs 100-250bp.
Improvement in PCR and increase in Gross NPA
Even as pressure on asset quality persisted for SBIN, it
increased its PCR significantly
Stressed assets one of the lowest amongst peers (%)
While NNPA has increased standard restructured loan as a %
to overall loan book has declined leading to overall decline
in stressed assets
PCR (cal %)
Source: Company/MOSL
31 May 2012
3

Financials | Update
NSL highest for PNB among large banks; high loan growth saves the day for
some PSBs
Among the large PSBs, PNB has the highest NSL in FY12 (1.9x of FY11) at 9.4%, broken
down into NNPA of 1.52% (+70bp) and OSRL of 7.85% (+366bp). AI and SEB loans which
got restructured formed 300bp of the NSL. Thus, even excluding the same, NSL is still
high at 6.4% of loans. Strong loan CAGR of 25%+ over FY10-12 partially helped lower
NSL percentage.
BoB's
reported NSL rose 230bp to 6.5%; however, excluding AI and SEB, increase in
NSL is much lower at ~50bp of which ~20bp is contributed by NNPA. However, lower
percentage increase should also be seen in the context of strong loan CAGR of ~28%.
CBK's
NSL at 6.3% is the lowest after SBIN. However, it has not yet restructured any
SEB loans. Management has guided for SEB restructuring of INR55b, adjusting for
which NSL would increase to 8.5%+ in line with peers.
Mid-cap PSB NSL up 100-250bp; INBK and OBC lead the pack
Among mid-cap PSBs, INBK had highest NSL at 11.2% (9% ex AI and SEBs) followed by
OBC at 10.7% (6.7% ex AI and SEB).
INBK,
at the end of FY10, already had significantly high NSL at 5.8% which further
increased to 7.4% in FY11 and 11.2% as of FY12. ~25% of the restructured loans for
INBK are from Textiles.
OBC
has the highest proportion of troubled government entity accounts on
balance sheet. Bank has guided for additional SEB restructuring of INR18b (1.6%
of loan book) in 1HFY13. Higher NSL as % of loans should also be seen in the
context of lowest loan CAGR of ~16% over FY10-12. Prior to FY09, restructured
loans are excluded in disclosure of OSRL.
Stressed loan proportion increase (%)
SBIN only bank to report stable stressed loan; SEB & AI forms
10 - 300bp of stressed loan for large PSBs
Strong loan growth for PNB and BoB leading to lower NSL %
SBIN NSL also be viewed in context of moderate loan growth
Source: Company/MOSL
31 May 2012
4

Financials | Update
Sharp increase in stressed loan among midcap PSBs (%)
While OBC has highest proportion of NSL percentage AI and
SEB constitutes bulk of it
Loan growth for mid-cap PSB (%)
Magnitude of increase in percentage of net stressed loan
seems higher in case of OBC due to higher restructuring of
state government entities and moderate loan growth
DBNK
Sequential Change in stressed loan (in bps)
Most PSBs see sharp increase in stressed loan in 2HFY12 led by restructuring of state government entities
1Q
FY12
-13
53
20
35
37
-110
2Q
FY12
17
79
17
51
0
63
3Q
FY12
-2
67
40
32
40
102
4Q
FY12
-4
234
152
189
97
189
Chg since
FY11
-1
433
228
308
174
243
1Q
FY12
-52
-39
52
7
-8
-56
2Q
FY12
-24
98
96
91
122
12
3Q
4Q Chg since
FY12
FY12
FY11
51
400
375
160
325
544
31
242
421
29
245
371
106
290
510
190
130
277
Source: Company/MOSL
SBIN
PNB
BOB
BOI
CBK
UNBK
INBK
OBC
CRPBK
DBNK
ANDB
IOB
31 May 2012
5

Financials | Update
Restructured loans, slippages rise sharply for most PSBs
Air India, SEBs account for 140bp of 185bp rise in restructuring in FY12
For FY12, restructured loans as a percentage of outstanding loan book stands at 5.85%,
up 185bp over FY11. Of this, 140bp was contributed by restructuring of state government
entities (Air India and SEBs).
For most PSBs, OSRL (outstanding standard restructured loan) is in the range of 5-8%.
Among large banks, PNB's OSRL is the highest at 7.9% (4.9% ex AI & SEBs) v/s 4.2% in FY11.
For PSBs, net slippages have also increased significantly in FY12 to INR417b (1.7% of
opening loans) v/s INR247b in FY11 (1.3% of opening loans).
PCR declined for most of the large PSBs. SBIN was a clearly an exception wherein the PCR
over past two years has improved 16pp to 60% in FY12. Including technical write-offs,
SBIN's PCR improved 9% to 68%, second best among PSBs after BoB's 80%.
Standard restructured loans rise significantly; SBIN a major contrarian
For most PSBs, OSRL is in the range of 5-8%. Among large banks, PNB's OSRL is the
highest at 7.9% (4.9% ex AI & SEBs) v/s 4.2% in FY11. Most other large PSBs also saw
OSRL rise 150-450bp in last one year. Amidst this, SBIN's performance was commendable
with OSRL down 20bp YoY. If we consider a two year horizon, SBIN is the lone bank to
have seen a decline of 60bp in OSRL . This, to an extent, also exhibits SBIN's conservative
approach of upfront taking off stress in form of NPA rather than going for aggressive
restructuring. In case of BoI, ORSL is up 50bp over last two years to 5.8%. However, it
is yet to recognize AI as restructured loan, adjusting for which OSRL would be 6.7%. Of
this, SEB which got restructured accounts for 1.1%.
Net slippages increase to 1.7% of opening loans v/s 1.3% in FY11
For PSBs under coverage, net slippages have increased significantly in FY12 to INR417b
(1.7% of opening loans) as compared to INR247b in FY11 (1.3% of opening loans). We
prefer to look at net slippages rather than gross slippages due to difference in reporting
format which makes it non-comparable. BoB's net slippages increased 2x (although
on a lower base of FY11) to INR25b (1.1% of opening loans), while for SBI and PNB they
rose ~1.6x (already on a higher base) to INR154b (2% of opening loans v/s 1.6% in
FY11) and INR44.7b (1.8% of opening loans v/s 1.5% in FY11).
Among smaller banks, OBC and INBK witnessed significant increase in FY12 net
slippages to INR26b and INR16.2b v/s INR11.5b and INR8.2b in FY11. Higher slippages
in case of OBC were led by sharp increase due to system-based NPA recognition. In
case of INBK, higher slippages were from a few large corporate accounts (mainly in
4QFY12).
PCR declines for most PSBs
Further, due to higher asset quality pressure, PCR (cal.) declined for most large PSBs.
Significant increase in net slippages led to sharp 20pp drop in PCR (cal.) for both BoI
and OBC. PCR for other banks (ex SBIN and DBNK) eroded by 4-15pp. SBIN was a
clearly an exception wherein the PCR over past two years improving 16pp to touch
60% in FY12. Including technical write-offs, SBIN's PCR improved 9% to 68%, second
best among PSBs after BoB's 80%.
31 May 2012
6

Financials | Update
Stressed loan proportion increase (% of opening loans)
Higher net slippages and increase in addition to restructured loan accounting for higher stress. SBIN net stress addition were
lowest at 2.3%; most of the mid-cap PSB and amongst the large PSB, PNB witnessed significant stress
*
*AI is included to make nos. comparable
Sharp increase in NNPA among midcap PSBs (in bps)
Significant increase in net slippages couple with drop in PCR
leading to increase in NNPA
AI and SEB form 45-95% of additional restructuring in FY12
Other than AI and SEB other SRL contributed 20-200bp in FY12
(in bps)
PCR declines across banks except SBIN
Increase in pressure on asset quality led to banks depleting their PCR; SBIN on the contrary saw significant improvement over
past two years
PCR (calculated)
Source: Company/MOSL
31 May 2012
7

Financials | Update
Valuation and view
Interest rates to gradually decline in FY13
In April 2012, RBI cut policy rates by 50bp (repo at 8%) to revive economic growth.
Banks have partially passed on benefits of recent rate actions (50bp repo cut, 125bp
CRR cut and 100bp hike in MSF limit) with 25bp cut in lending rates. For lending rates
to fall further, decline in cost of funds is imperative. However, liquidity conditions
remain tight and deposit growth still low. Higher Reserve money growth (via OMO or
fall in CRR) will be key for deposits growth in FY13. Our economist expects a further
rate cut of 25bp in June monetary policy and 25bp CRR cut in July monetary policy
review.
Macroeconomic environment challenging; expect loan growth of 15-16%
Our interaction with bankers suggests moderation in new sanctions continued even
in busy season of FY12. As in FY12, in FY13 too, working capital is likely to be a key
driver for corporate loan growth. Lag impact of 2-3 years of continued moderation in
capex cycle will have impact on other loan segments.
NIMs to remain healthy; factoring in 10-15bp drop across banks
Tight liquidity conditions, elevated CD ratio, higher asset quality stress and pricing
discipline among all the large players in the industry kept NIMs healthy in FY12 despite
sharp increase in cost of deposits. Moderating growth, fall in interest rates, and the
government's moral suasion to reduce lending rates will put pressure on NIMs.
However, margins will be cushioned by fall in CRR and benefit of capital-raising for
some PSBs. Nevertheless, for our coverage universe, we model in NIM moderation
of 10-15bp.
Asset quality - a key to valuations
While GNPAs have peaked, further stress on account of SEB restructuring (INR122b,
50bp of the outstanding loans) and higher CDR cases will keep asset quality and
valuations under pressure. We like banks with strong liability franchise, superior
capitalization, and stability at the top management level (specifically for PSBs). Top
picks:
SBIN, PNB, ICICIBC, YES
and
UNBK.
31 May 2012
8

Financials | Update
Neutral
31 May 2012
9

Disclosures
This report is for personal information of the authorized recipient and does not construe to be any investment, legal or taxation advice to you. This research report does not constitute an offer, invitation or inducement
to invest in securities or other investments and Motilal Oswal Securities Limited (hereinafter referred as MOSt) is not soliciting any action based upon it. This report is not for public distribution and has been
furnished to you solely for your information and should not be reproduced or redistributed to any other person in any form.
Unauthorized disclosure, use, dissemination or copying (either whole or partial) of this information, is prohibited. The person accessing this information specifically agrees to exempt MOSt or any of its affiliates
or employees from, any and all responsibility/liability arising from such misuse and agrees not to hold MOSt or any of its affiliates or employees responsible for any such misuse and further agrees to hold MOSt
or any of its affiliates or employees free and harmless from all losses, costs, damages, expenses that may be suffered by the person accessing this information due to any errors and delays.
The information contained herein is based on publicly available data or other sources believed to be reliable. While we would endeavour to update the information herein on reasonable basis, MOSt and/or its
affiliates are under no obligation to update the information. Also there may be regulatory, compliance, or other reasons that may prevent MOSt and/or its affiliates from doing so. MOSt or any of its affiliates or
employees shall not be in any way responsible and liable for any loss or damage that may arise to any person from any inadvertent error in the information contained in this report . MOSt or any of its affiliates
or employees do not provide, at any time, any express or implied warranty of any kind, regarding any matter pertaining to this report, including without limitation the implied warranties of merchantability, fitness
for a particular purpose, and non-infringement. The recipients of this report should rely on their own investigations.
This report is intended for distribution to institutional investors. Recipients who are not institutional investors should seek advice of their independent financial advisor prior to taking any investment decision
based on this report or for any necessary explanation of its contents.
MOSt and/or its affiliates and/or employees may have interests/positions, financial or otherwise in the securities mentioned in this report. To enhance transparency, MOSt has incorporated a Disclosure of Interest
Statement in this document. This should, however, not be treated as endorsement of the views expressed in the report.
Disclosure of Interest Statement
1. Analyst ownership of the stock
2. Group/Directors ownership of the stock
3. Broking relationship with company covered
4. Investment Banking relationship with company covered
Companies where there is interest
None
Oriental Bank of Commerce, South Indian Bank, State Bank of India
None
None
Analyst Certification
The views expressed in this research report accurately reflect the personal views of the analyst(s) about the subject securities or issues, and no part of the compensation of the research analyst(s) was, is, or
will be directly or indirectly related to the specific recommendations and views expressed by research analyst(s) in this report. The research analysts, strategists, or research associates principally responsible
for preparation of MOSt research receive compensation based upon various factors, including quality of research, investor client feedback, stock picking, competitive factors and firm revenues.
Regional Disclosures (outside India)
This report is not directed or intended for distribution to or use by any person or entity resident in a state, country or any jurisdiction, where such distribution, publication, availability or use would be contrary to
law, regulation or which would subject MOSt & its group companies to registration or licensing requirements within such jurisdictions.
For U.K.
This report is intended for distribution only to persons having professional experience in matters relating to investments as described in Article 19 of the Financial Services and Markets Act 2000 (Financial
Promotion) Order 2005 (referred to as "investment professionals"). This document must not be acted on or relied on by persons who are not investment professionals. Any investment or investment activity to
which this document relates is only available to investment professionals and will be engaged in only with such persons.
For U.S.
MOSt is not a registered broker-dealer in the United States (U.S.) and, therefore, is not subject to U.S. rules. In reliance on the exemption from registration provided by Rule 15a-6 of the U.S. Securities Exchange
Act of 1934, as amended (the "Exchange Act") and interpretations thereof by the U.S. Securities and Exchange Commission ("SEC") in order to conduct business with Institutional Investors based in the U.S.,
Motilal Oswal has entered into a chaperoning agreement with a U.S. registered broker-dealer, Marco Polo Securities Inc. ("Marco Polo").
This report is intended for distribution only to "Major Institutional Investors" as defined by Rule 15a-6(b)(4) of the Exchange Act and interpretations thereof by SEC (henceforth referred to as "major institutional
investors"). This document must not be acted on or relied on by persons who are not major institutional investors. Any investment or investment activity to which this document relates is only available to major
institutional investors and will be engaged in only with major institutional investors.
The Research Analysts contributing to the report may not be registered /qualified as research analyst with FINRA. Such research analyst may not be associated persons of the U.S. registered broker-dealer, Marco
Polo and therefore, may not be subject to NASD rule 2711 and NYSE Rule 472 restrictions on communication with a subject company, public appearances and trading securities held by a research analyst account.
Motilal Oswal Securities Ltd
3rd Floor, Hoechst House, Nariman Point, Mumbai 400 021
Phone: +91 22 3982 5500. E-mail: reports@motilaloswal.com