Initiating Coverage | 3 July 2012
Sector: Metals
NMDC
Gaining pricing power
Sanjay Jain
(SanjayJain@MotilalOswal.com); +91 22 3982 5412
Pavas Pethia
(Pavas.Pethia@MotilalOswal.com); +91 22 3982 5413

NMDC
NMDC: Gaining pricing power
Page No.
Summary
............................................................................................................
3
Expect 13% CAGR in iron ore volumes over FY12-15
...................................
4-7
Foresee uptrend in average iron ore realization
.......................................
8-15
Margins to be resilient, unlike global peers
.............................................
16-18
RoE to improve
..........................................................................................
19-21
Valuations attractive now
.........................................................................
22-26
Annexure: NMDC - India’s largest iron ore producer
..............................
27-29
Financials and valuation
...........................................................................
30-31
3 July 2012
2

Initiating Coverage
Sector: Metals
NMDC
BSE SENSEX
S&P CNX
17,399
5,279
CMP: INR196
Gaining pricing power
Unlike global peers
TP: INR231
Buy
Bloomberg
NMDC IN
Equity Shares (m)
3,964.7
52-Week Range (INR) 268/136
1,6,12 Rel. Perf. (%)
10/14/-18
M.Cap. (USD b/INR b)
14/777
Financial summary (INR b)
Y/E March
2012 2013E
Net Sales
112.6 129.6
EBITDA
89.3 102.2
PAT
73.2 81.9
EPS (INR)
18.5 20.7
BV/Sh. (INR)
61.6 75.9
P/E (x)
10.6
9.5
P/BV (x)
3.2
2.6
EV/Sales (x)
5.1
4.2
EV/EBITDA (x)
6.4
5.3
RoE (%)
31.7 28.5
RoCE (%)
31.5 28.4
RoIC (%)
348.6 278.7
Price as on 2 July 2012
2014E
155.8
124.1
97.5
24.6
92.9
8.0
2.1
3.4
4.2
26.8
26.7
278.5
While globally, the iron ore business is facing a slowdown, strong domestic demand
coupled with constrained supply has improved fundamentals of Indian iron ore miners
like NMDC.
Investments in pelletization capacities in India will lead to acceleration in demand
(and therefore, higher prices) for iron ore fines, which constitute ~65% of NMDC's
product mix.
Unlike its global peers, NMDC should witness an uptrend in its average iron ore
realization, helping to keep its margins resilient. Also, return ratios should improve,
with higher payout.
Post the 35% decline from the March 2010 FPO price coupled with 2.1x increase in
earnings over FY10-12, the stock trades at an attractive EV/EBITDA of 4.2x FY14E and
EV/ton of USD7. Buy.
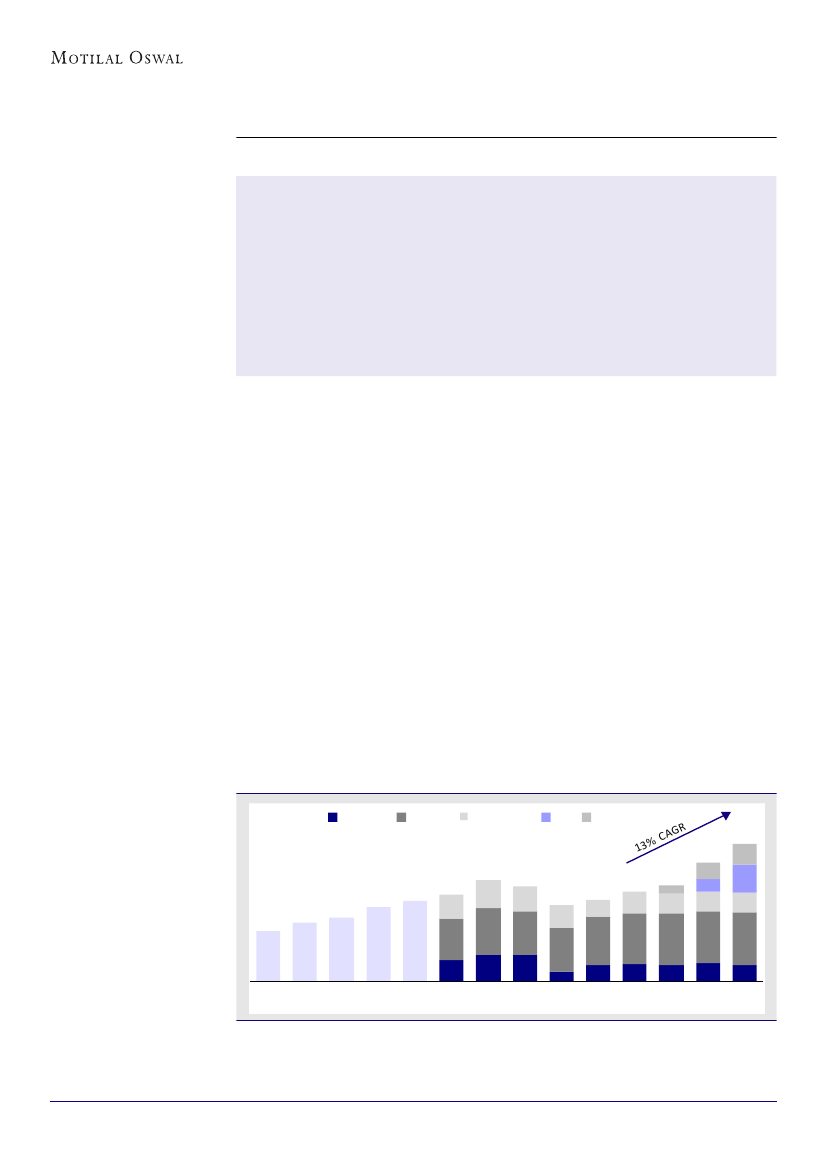
Expect 13% CAGR in iron ore volumes over FY12-15:
We expect NMDC's iron ore
volumes to grow at a CAGR of 13% to 39mtpa over FY12-15 with (1) easing logistics
bottlenecks, (2) CEC permission for forward sales in Karnataka, and (3) increase
in capacity to 47mtpa by the end of FY13.
Foresee uptrend in average iron ore realization:
Faced with increasing prices/
shortage of lumps, steel producers in India have made major investments in
pelletization and sintering capacities in the last couple of years. This will lead to
acceleration in domestic demand for iron ore fines, which in turn will result in
higher domestic prices and narrow the gap with international prices. Fines
constitute ~65% of NMDC's iron ore sales. Hence, we foresee an uptrend in
NMDC's average iron ore realization.
High quality, low cost assets driving superior returns:
NMDC has exceptional
RoIC of 350% against an average of 32% for global peers because of high asset
turnover ratio of 4-5x and EBITDA margin of 70-80%, driven by high quality of ore
and economies of scale. Despite retaining INR200b in cash, the RoCE at 32% is
still far higher than an average of 22.4% for global peers. Its exceptionally
attractive RoIC is an excellent cushion against possible correction in international
iron ore prices. NMDC stepped up its payout ratio by 5 percentage points to
28.5% in FY12. The dividend yield at the current market price is 2.3%. We expect
20% annual growth in dividend.
Valuations attractive now:
While the stock price has declined 35% from the
March 2010 FPO price of INR300, earnings have increased 2.1x over FY10-12.
NMDC is currently trading at an EV of 4.2x FY14E EBITDA v/s an average EV of 4.6x
CY13E EBITDA for global peers, despite its relative strengths. In our estimates,
we are currently ignoring upsides to realization to cushion against possible
correction in international prices. We initiate coverage on NMDC with a
Buy
rating. Our 1-year target price is INR231 (EV of 5x FY14E EBITDA), 18% upside.
Shareholding pattern % (Mar-12)
Foreign,
Others,
0.72
0.97
Domestic
Inst, 8.32
Promoter
90.0
Stock performance (1 year)
3 July 2012
3

NMDC
Expect 13% CAGR in iron ore volumes over FY12-15
Enablers: Demand pressure, latent capacity
Capacity additions by key customers like RINL and JSW Steel, coupled with restrictions on
mining in Karnataka are creating demand pressures on NMDC. Just RINL and JSW Steel
will together require 30-35mtpa of iron ore.
NMDC’s iron ore production has stagnated over the last five years due to (1) logistics
bottlenecks in evacuating iron ore from Bailadila mines due to repeated damage to
Essar’s slurry pipeline by Naxals, and (2) shifting to E-auction for the sale of iron ore from
its Karnataka mines.
However, with (1) easing logistics bottlenecks, (2) CEC permission for forward sales, and
(3) increase in capacity to 47mtpa by the end of FY13, we expect NMDC’s iron ore volumes
to grow at a CAGR of 13% to 39mtpa over FY12-15.
In a sweet spot in both Chattisgarh and Karnataka
We believe that NMDC is in a sweet spot in both Chhattisgarh and Karnataka because
of capacity expansion by its key customers.
Rashtriya Ispat Nigam (RINL) has recently commissioned a new blast furnace at its
Vizag plant, doubling capacity to 6.5mtpa. NMDC, which services RINL from its Bailadila
(Chattisgarh) mines, is RINL’s sole iron ore supplier. Alternate suppliers in Odisha are
far away and are unable to meet the requirement of such large consumption. RINL
will require 10-12mtpa of iron ore supply to feed its blast furnaces.
Similarly, the Supreme Court’s directive capping overall iron ore production in
Karnataka at 30mtpa has increased NMDC’s bargaining power in the region. JSW Steel
has already increased capacity to 11mtpa and is adding further 2mtpa, which will take
its overall iron ore requirement to 20-23mtpa. NMDC was supplying just 2-3mtpa
before the mining ban was enforced in 2011.
We expect intense demand pressure from its key customers to create an enabling
environment for NMDC to hasten production ramp-up. There could be upside risk to
our estimate of 13% CAGR in NMDC’s iron ore volumes over the next three years.
Expect commencement of Deposit-11B, Kumaraswamy mines to boost volumes (mtpa)
Ki randul
Ba chel i
Doni mal a i
11B
Kumars wa my
35
30
20
21
23
25
26
7
6
10
10
12
11
29
6
11
11
11
7
24
6
25
4
12
9
27
6
13
9
29
2
5
13
9
4
3
5
13
9
39
5
7
5
13
9
Iron ore requirement of
key customers increasing
17
FY02 FY03 FY04 FY05 FY06 FY07 FY08 FY09 FY10 FY11 FY12 FY13E FY14E FY15E
Source: Company/MOSL
3 July 2012
4

NMDC
Chattisgarh: Deposit-11B, improvement in logistics to aid production growth
NMDC has two iron ore mining complexes in the Bailadila region of Chhattisgarh –
Kirandul and Bacheli. Though the iron ore seams are continuous in the region, NMDC
has created two complexes for operational convenience. Together, these two
complexes have a capacity to produce ~28mtpa of iron ore. Logistics issues have
constrained production at the Bailadila mines. NMDC is addressing these issues and
the commencement of the uniflow dispatch system, which is currently under trial
run, should help increase dispatches. Another deposit, Deposit-11B is in advanced
stages of development and will add 7mtpa to NMDC’s existing iron core capacity in
Chattisgarh.
Kirandul Complex – to ramp up by 3-4mtpa, with improvement in logistics:
NMDC’s
Kirandul Complex comprises of Deposit-14, Deposit-14NMZ and Deposit-11C, and has
a capacity of 12.7mtpa. At its best, production from this complex has touched 11.4mtpa
in FY08 and FY09. Thereafter, there has been a decline in production because dispatches
suffered due to repeated damage to the slurry pipeline carrying iron ore to its
customer, Essar’s facility in Vizag. The Naxals in the region had damaged Essar’s slurry
pipeline in July 2010. The complex returned to full production after restoration of the
slurry pipeline in 4QFY11, but the Naxals damaged the pipeline again in October 2011.
Once the logistics bottlenecks are addressed, production should bounce back.
Kirandul Complex: Annualized volumes (mtpa)
Commencement of
uniflow dispatch system
will increase dispatches
Source: Company/MOSL
Bacheli Complex – production stable at 12-13mtpa:
The Bacheli Complex comprises of
Deposit-5, Deposit-10 and Deposit-11A, and has a total capacity of 15mtpa. This
complex has been producing and dispatching 12-13mtpa despite logistics bottlenecks.
We expect volumes to inch up gradually.
Deposit-11B – in advanced stages of development; to add 7mtpa:
Deposit-11B is
advanced stages of development. It will have a capacity of 7mtpa and requires capex
of just INR6.1b. We expect production to ramp up gradually because of logistics
bottlenecks.
Karnataka: Kumaraswamy mines, pellet plant to drive volumes
In Karnataka, deliveries from NMDC’s Donimalai mines had declined from a peak of
6.9mtpa in FY08 to 4.2mtpa in FY11, as production had started tapering off. Also, permits
for the new Kumaraswamy mines were held up due to litigation by private mines in
3 July 2012
5

NMDC
the region. The Supreme Court order banning mining in Karnataka came as a blessing
in disguise for NMDC. It resulted in fast track permission for its 7mtpa Kumaraswamy
mines, enhancing its iron ore mining capacity in Karnataka to ~11mtpa and its overall
iron ore mining capacity to 39mtpa. However, NMDC has struggled to achieve the
desired production rate due to lack of mechanization at Kumaraswamy mines and
change in sales mechanism from MoU to E-auction.
Supreme Court order banning iron ore mining in Karnataka, a blessing in disguise:
The
Supreme Court order dated July 2011, banning iron ore mining in Karnataka to prevent
illegal mining and further environmental damage, came as a blessing in disguise for
NMDC. With private mines not allowed to operate, the Supreme Court ordered NMDC
to supply 1m tonnes every month to the local steel mills. The Central Empowered
Committee (CEC) immediately granted all necessary permissions for the
Kumaraswamy mines. As a result, the mining permissions for NMDC increased by
7mtpa to 39mtpa.
CEC permission for forward sales helps volumes impacted by E-auction to bounce
back:
Since E-auction prevented forward sales, which were possible in the earlier
long-term sales arrangements, the storage requirement shot up. As NMDC had limited
storage space in the region, it had to stop production until the material sold through
E-auction was lifted by bid winners. This resulted in deliveries declining at an
annualized rate of 3.9mtpa in 3QFY12. CEC has allowed forward sale of production so
that the material can be loaded on wagons on a just-in-time basis. As a result, the
annualized rate of deliveries increased to 7.2mtpa in 4QFY12.
Karnataka mines: Annualized volumes (mtpa)
Capacity enhaced to
12mtpa by SC order
Karnataka mining ban
expedited the approvals
for Kumarswamy
Forward sales to aid
production growth
Source: Company/MOSL
Mechanization of
Kumarswamy mines to be
completed by Sept, 2013
Mechanization of Kumaraswamy mines underway; likely completion by September
2013:
To mechanize its Kumaraswamy mines, NMDC has begun an INR8.9b capex
project, for which MECON is the consultant. The project is being executed through six
packages. Orders for the four main packages (Crushing Plant, Downhill, Electrical
Works and Water Supply Pipelines) have been placed and work is in progress. The
remaining packages are in various stages of tendering/ordering. The entire
mechanization project is likely to be completed by September 2013.
3 July 2012
6

NMDC
Pellet plant – 1.2mtpa bonus to overall volumes:
NMDC is putting up 1.2mtpa pellet
plant at a capex of INR5.72b in Bellary, which is likely to be completed by March 2013.
The plant will utilize slime, which is otherwise wasted, thus adding to overall volumes.
The project is being executed through six packages (Pelletization, Beneficiation, Site
Leveling, MRSS, Boundary Wall/Miscellaneous Buildings, and Mobile Equipment),
three of which have already been tendered. NMDC has obtained environmental
clearance, soil investigation has been completed and foundation work has
commenced at the site.
Expect total iron ore/pellet dispatch capacity of 47mtpa by the end of
FY13
NMDC has two operational iron ore mining complexes in the Bailadila region of
Chhattisgarh, which have a total capacity of ~28mtpa, and depleting mines in
Donimalai in the Bellary district of Karnataka. Deliveries from the Donimalai mines,
which it had been planning to replace with new mines in Kumaraswamy, had declined
from a peak of 6.9mtpa in FY08 to 4.2mtpa in FY11. However, permits for the new
Kumaraswamy mines were held up due to litigation by private mines in the region.
The Supreme Court order banning mining in Karnataka came as a blessing in disguise
for NMDC. It resulted in fast track permission for its 7mtpa Kumaraswamy mines,
enhancing its iron ore capacity in Karnataka to ~11mtpa and its overall iron ore
capacity to 39mtpa. Deposit-11B in Chattisgarh, which is in advanced stages of
development and is likely to start production by the end of 3QFY13, will add 7mtpa.
Thus, NMDC’s total mining capacity should increase to 46mtpa by December 2012.
Including its pellet plant in Bellary, NMDC’s total iron ore and pellet dispatch capacity
would be 47mtpa by the end of FY13.
Operational iron ore mining capacity of 32mtpa
Mines
Lease area
(Ha)
Kirandul Complex, CG
Deposit 14
Deposit 14 NMZ
Deposit 11C
Bacheli Complex, CG
Deposit 5
Deposit 10
Deposit 11A
Donimalai Complex, KN
Donimalai
CG: Chhattisgarh; KN: Karnataka
322.4
506.7
Extraction
capacity
(mtpa)
5
7
0.7
10
5
Lease
Validity
2015
2015
2017
2015
2015
2017
2028
Proven
reserves
(m tons)
132.2
63.9
0.7
43.5
142.4
25.6
Fe %
64.7
65.8
64.7
65.4
65.9
65.5
540.1
309.3
874.9
608.0
4
22.1
66.3
Source: Company/MOSL
3 July 2012
7

NMDC
Foresee uptrend in average iron ore realization
Driver: Acceleration in demand for fines (~65% of NMDC’s iron ore sales)
Faced with increasing prices/shortage of lumps, secondary steel producers in India have
made major investments in pelletization and sintering capacities in the last couple of
years.
This will lead to acceleration in domestic demand for iron ore fines, which until recently
were largely being exported. With demand acceleration, prices should also improve.
Fines constitute ~65% of NMDC’s iron ore sales. Hence, we foresee an uptrend in NMDC’s
average iron ore realization.
Given constrained lump supplies, domestic steel makers are looking at
alternatives
Though iron ore consumption has continued to grow in India, driven by increasing
steel production, iron ore production has declined significantly due to crackdown on
illegal mining followed by a ban on mining in the state of Karnataka. Also, no new
mining permits have been issued in the last two years. The changing profile of existing
mines, as they get deeper, has reduced the production of lumps. Reduced availability
of lumps has forced Indian steel producers to look for alternatives.
Declining iron ore production in India (mtpa)…
…and declining share (%) of lumps in Indian iron ore production…
Percentage of Lumps
decreasing in the mix
Source: Company/MOSL
3 July 2012
8

NMDC
…is driving demand for fines and investments in sintering/pelletization
Exponential growth
in investment in
Pellitization
Source: Company/MOSL
Investments in sintering and pelletization have been spurred
70% of the incremental
pellet capacity to source
fines from the open
market
Steel producers have now started investing in utilizing iron ore fines. This has spurred
investments in sintering and pelletization. Companies like Usha Martin, Jai Balaji and
Adhunik Metaliks have already set up sintering plants. Sesa Goa is in the process of
setting up a sintering plant for its pig iron facilities at Goa. Players such as JSW Steel,
Jindal Steel, Tata Steel, Arya Group, Sarda Energy, Godawari Power, MSP Ispat, Adhunik
Metaliks and Ardent Steel have already set up pelletization capacities in the last two
years. Stemcor, Jindal Steel, Essar Steel, NMDC, Godawari Power, SAIL, Usha Martin,
etc are currently in the process of building pelletization capacities. We expect ~20mtpa
of pelletization capacity to commission in 2012. Over 70% of these capacities will
have to source fines from the open market.
Expect prices of fines to move up with increasing demand
Secondary steel producers using the DRI (direct reduced iron or sponge iron) route no
longer enjoy the benefit of lower than international iron ore prices. With supply
becoming tight, domestic prices of DRI grade lumps have already crossed international
prices. As a result, the margins of secondary producers have shrunk, despite steel
prices heading north in FY12.
DRI route steel producers have started paying Chinese price equivalent for lumps…
Source: Company/MOSL
3 July 2012
9

NMDC
…and have seen margins shrinking despite higher steel prices
Source: Company/MOSL
Fines at heavy discount
to lumps in the domestic
market
The prices of iron ore fines too have inched up over the last 2-3 years, largely due to
the international trend. However, the discount to lump prices in India continues to be
much higher than in international markets. The domestic prices of iron ore fines as a
percentage of the prices of lumps have done some catching up, but they are still at
over 50% discount, unlike just 10-15% in the international markets.
Prices of fines continue to be at heavy discount to
lump prices in India…
…unlike international markets
Source: Company/MOSL
NMDC to be key beneficiary of uptrend in prices of fines
International iron ore prices could weaken due to slowing fixed asset formation in
China and the global economic slowdown, but industry consolidation should ensure
that the fall is gradual. Domestic iron ore prices will be supported by India’s stronger
fundamentals and the weakening Rupee. As far as fines are concerned, the huge
discount gap between domestic and international pricing gives significant headroom.
We expect the uptrend in domestic prices of iron ore fines to gain further traction
with increasing demand. NMDC will be a key beneficiary, as fines constitute ~65% of
its product mix.
3 July 2012
10

NMDC
Discounts not supported by metallurgy to reduce in line with international
trend
The blast furnace route is the most successful and widely used technology across
the world to convert iron ore into steel metallic. It is the only technology capable of
using all types, sizes and grades of iron ore. Lumps are directly charged in the furnace,
while fines are first sintered with the help of coke breeze. Sintering should not be
seen as an unnecessary cost additive process. Not only does it make fines usable, it
also improves furnace productivity and, most importantly, makes coke breeze usable.
Coke breeze is produced during the coke making and handling process. The net
realizable sales value of coke breeze is much lower than the cost of production.
Coke breeze acts as fuel and helps in partial reduction of iron ore during sintering.
Therefore, iron ore fines are equally valuable in steel making through the blast
furnace route. There is no metallurgical reason for the heavy price discount prevalent
in India. Currently, NMDC sells iron ore fines at 50% discount to lump prices. Globally,
iron ore fines trade at just 10-15% discount to lumps. We expect the emergence of a
similar trend in India.
Comparison of blast furnace, corex and sponge iron routes
Blast furnanc
Iron bearing
input
Carbon input
Process
specific
issues
Lumps (10-40mm)/fines/
sinter/Pellet
Coking coal and PCI
Corex
Pellets
Spone Iron
Pellets or lumps
(5-18mm size)
High grade thermal coal Thermal coal/natural gas
100% of mined iron
ore and coking coal
is usable
Iron ore lumps are
directly used
Both iron ore fines
and coke breeze
produced during
crushing of iron ore
and coke handling,
respectively are
sintered together for
use in blast furnace
Iron ore fines need
to be processed
first into pellets
High grade thermal
coal (over a certain
minimum size) is
required
Pellets are expensive
and DRI grade iron
ore is in short supply
Specific consumption
of coal is 60% higher
Coal rejects and
high calorific gases
are by-products
Coke requirement is
reduced but not
eliminated
High specific
consumption of
coal and rich
by-product gases
offset the
advantage of low
cost thermal coal
Blast furnace
route is the
most efficient
process
Zero waste of raw
material
Since specific
consumption of coking
coal is lower than
thermal coal, the
logistics costs too
are lower
Gas-based process
is efficient but gas
pricing is the key
Source: Company/MOSL
3 July 2012
11

NMDC
NMDC’s realization (indexed to the international benchmark) has lagged far behind
the international benchmark due to domestic oversupply, fragmentation of domestic
mines, and rising export and rail freight levies due to lobbying by key steel producers.
We believe this gives significant headroom for improvement in NMDC’s average
realization, especially in a scenario of increasing demand for / tightening supply of
iron ore fines in India.
Iron ore fines constitute ~65% of NMDC’s product mix (%)
NMDC’s realization (indexed to international benchmark) lagging international benchmark
NMDC realization is
lagging international
benchmark
Crackdown on illegal mining, regional volume caps have squeezed exports
Exports from states other than Goa
Source: Company/MOSL
3 July 2012
12

NMDC
Rising domestic crude steel production will keep driving demand
Pricing of fines has also started moving away from export parity (INR/t)
Source: Company/MOSL
Iron ore pricing in India: A perspective
High fragmentation in India…
…against high consolidation globally…
Over-production, fragmentation, and export levies had curtailed the pricing power of Indian iron ore mines.
Source: Company/MOSL
3 July 2012
13

NMDC
…coupled with over-production led to export parity prices (mtpa)
Source: Company/MOSL
Frequent hikes in export duties suppressed pricing power of Indian iron ore mines…
Fines <62% Fe %
Dec-11
Mar-11
Jan-10
Dec-09
Dec-08
Nov-08
Oct-08
Jun-08
May-07
Mar-07
Until Feb -2007
30
20
5
5
0
8
INR200/t
15
INR50/t
INR300/t
Nil
Fines >62% Fe %
30
20
5
5
0
8
INR200/t
15
INR300/t
INR300/t
Nil
Lumps %
30
20
15
10
5
15
15
15
INR300/t
INR300/t
Nil
Source: Company/MOSL
…as did rising rail freights
Source: Company/MOSL
3 July 2012
14

NMDC
Consequently, ex-mine prices are much lower in India
Source: Company/MOSL
Primary producers like JSW Steel have been key beneficiaries
Primary producers like JSW Steel that have invested in beneficiation and pelletization have
been the key beneficiaries of NMDC’s export parity pricing mechanism.
Source: Company/MOSL
3 July 2012
15

NMDC
Margins to be resilient, unlike global peers
Drivers: Higher realization, superior quality ore, low production cost
NMDC’s operating assets have proven reserves of 458m tonnes. With average Fe grade of
65.5%, the quality of its ore is among the best in the world. Total resource are estimated
to be 2.2b tons.
At USD18/tonne, NMDC’s cost of production is one of the lowest in the world. This coupled
with the expected increase in average realization should aid margins.
Margins of global peers would be under pressure, given the current economic scenario.
However, we expect NMDC’s margins to remain resilient.
Superior quality ore – the best in India
R&R is likely to increase
~50% to 2.2b tonnes
As at 31 March 2011, NMDC had rich reserves and resources (R&R) of 1,434m tonnes,
implying mine life of 50 years. According to the company’s internal reassessment, the
total R&R is likely to increase by ~50% to 2.2b tonnes. NMDC will make a formal
announcement, once it receives JORC (Joint Ore Reserves Committee) certification.
Its operating assets have proven reserves of 458m tonnes, with average Fe grade of
65.5%. This is the best quality ore in the world, second only to some mines of Vale,
Brazil. Further exploration and lowering of cut-off grade will enhance R&R significantly.
NMDC has undertaken projects to expand capacity by 65% to 50mtpa. This expansion
is still much below its true potential, though there remain challenges in getting
regulatory approvals.
NMDC’s mines hold superior quality ore
Operating Mines
State
Fe%
Bailadila Deposit-14/11C
Chhattisgarh
64.7-65.8
Bailadila Deposit-5, 10/11A
Chhattisgarh
65.4-65.9
Donimalai
Karnataka
66.3
Kumaraswamy
Karnataka
64
Non-operating Mines
Deposit 11B
Chhattisgarh
66.4
Deposit 13*
Chhattisgarh
67.2
*Deposit-13 is a joint venture with Chhattisgarh Mineral Development Corporation Limited,
with NMDC having 51% equity interest.
Source: Company/MOSL
NMDC’s mines have the best quality iron ore in India
Source: Company/MOSL
3 July 2012
16

NMDC
Best product mix (Lumps % highest)
Source: Company/MOSL
R&R up 161m tonnes in two years
Reserves and resources (1st April 2009)
Deposit/Mine
Chhattisgarh
Bailadila Deposit 5
Bailadila Deposit 10
Bailadila Deposit 11A
Bailadila Deposit 11 (11B+Part of 11C)
Bailadila Deposit 14
Bailadila Deposit 14 NMZ
Bailadila Deposit 13
Karnataka
Donimalai
Kumaraswamy
Grand Total
Total R&R
Reserve
(m tons)
1,024
226
142
26
115
132
64
320
153
22
131
1,177
Resources
(m tons)
96
57
1
16
20
3
Reserves and resources (31st March 2011)
Deposit/Mine
Chhattisgarh
Bailadila Deposit 5
Bailadila Deposit 10
Bailadila Deposit 11A
Bailadila Deposit 11 (11B+Part of 11C)
Bailadila Deposit 14
Bailadila Deposit 14 NMZ
Bailadila Deposit 13
Karnataka
Donimalai
Kumaraswamy
Grand Total
Total R&R
Reserve
(m tons)
1,075
224
193
25
114
127
68
325
156
25
130
1,231
Resources
(m tons)
204
86
56
0
32
28
2
0
96
1,273
204
1,434
Cost of production among the lowest in the world
NMDC’s cost of production is one of the lowest in the world. Its iron ore mining
operations are concentrated at two locations, allowing it to benefit from scale of
operations. The company has access to a relatively large and inexpensive labor/talent
pool in India. It is trying to lower costs further across its operations through (1)
mechanization of mines, (2) focus on continually reducing mining costs, and (3)
improvement in operational efficiency, including logistics. NMDC’s new expansion
projects are adjacent to its existing mines, enabling it to utilize its existing
infrastructure for new production. It also benefits from financial strength due to high
net worth, high cash resources, and zero debt.
3 July 2012
17

NMDC
Cost of production (USD/t) one of the lowest in the world…
Note: Inclusive of freight, royalties, etc.
Source: Company/MOSL
…despite significant increase in royalty (USD/t)
Source: Company/MOSL
Margins to remain resilient, unlike global peers
NMDC margins to
remain resilient
International iron ore prices are expected to weaken, as steel production in China is
slowing down and the commissioning of new iron ore projects would bring additional
supplies. The margins of NMDC’s global peers are, therefore, likely to be under
pressure. However, NMDC’s average realization is likely to move up, as (1) domestic
iron ore supplies have been constrained due to regulatory issues, and (2) investments
in pelletization capacities will result in higher demand (and, therefore, higher prices)
for iron ore fines, which constitute ~65% of NMDC’s product mix. The expected increase
in its average realization, coupled with superior quality ore and low production cost
should enable NMDC’s margins to remain resilient.
3 July 2012
18

NMDC
RoE to improve
Driver: Higher payout
NMDC generates exceptionally high RoIC of 300-400%, aided by low capex intensity (fixed
asset turnover of 4-5x) and high margins (70-80%).
However, it has preferred to accumulate profits rather than distribute them, resulting in
high cash of over INR200b. Relatively low yield on cash adversely impacts RoE.
The company has increased its dividend payout from a narrow range of 22-24% over
FY05-11 to 28.5% in FY12. This has helped to arrest the decline in RoE.
We expect NMDC to step up dividend payout ratio further, as it will find it difficult to
reinvest its high cash flows. This will help enhance RoE.
Expect dividend payout to increase despite INR300b capex
NMDC has preferred to accumulate profits rather than distribute them to shareholders.
As a result, its cash chest has swelled to over INR200b. Though the company has
planned investments of INR300b, mostly in steel making in the vicinity of its mines in
Chhattisgarh and Karnataka, its cash flows over the next five years along with available
cash surpluses will far outstrip its capex requirements. We estimate that the iron ore
business alone will generate free cash of INR433b in the next five years. Add to this
INR203b of existing cash surplus and INR83b of interest income, and NMDC will have
total cash of INR719b. Assuming a payout ratio of 33% (against 28.5% in FY12), it will
pay out only INR174b as dividend. This implies available surpluses of INR545b for
capex from retained earnings alone.
Though NMDC has planned capex of INR300b over FY13-17, we expect execution to
lag, given its lack of experience in steel making and public sector inefficiencies. We
believe NMDC will be better off returning more of its earnings to shareholders rather
than funding projects with 100% equity.
Cash surplus will far
outstrip capex
requirements
Planned capex of INR300b over FY13-17
NMDC has planned investments of INR300b over the next five years, mostly in steel
making in the vicinity of its mines in Chhattisgarh and Karnataka to enhance its iron
ore resource base. States have stopped issuing leases for merchant mining. The
internal rate of return (IRR) of the steel project will increase from 4.4% to 13.4% with
the help of captive iron ore mines, yet it will be short of NMDC's cost of equity of
15.8%. It is important that these steel projects are funded with some amount of debt
so that the weighted average cost of capital (WACC) is below IRR.
3mtpa greenfield steel project in Chattisgarh (capex: INR155b)
NMDC is executing a 3mtpa greenfield steel project at a capex of INR155b. The
integrated steel plant will be located at Nagarnar, Jagdalpur, in the state of
Chhattisgarh. The state has recommended Deposit-4 in Bailadila for this steel project
on 30 September 2010. The steel project has received all statutory clearances, but
the mine clearances are at early stages. NMDC’s existing mines at Bailadila will
supply the required iron ore through a slurry pipeline until Deposit-4 starts producing
iron ore. So far, INR10b has been spent. Work has started at the sites for Blast Furnace,
RMHS and Coke Ovens. Sinter Plant, Blast Furnace, Raw Material Handling System,
Coke Oven, By-product Plants, Steel Melting Shop, Thin slab Caster & Hot Strip Mill
and Oxygen Plant packages have been ordered. Lime & Dolomite Plant is under final
stage of ordering. The project is likely to be completed by the end of FY15.
3 July 2012
19

NMDC
IRR v/s margins
EBITDA (USD/T)
75
100
150
200
250
IRR (%)
2.0
4.4
8.0
10.9
13.4
DCF Valuations -
Steel Business (INR m)
Project Cost
155,000
WACC (%)
15.8
EBITDA/ton (USD)
100
NPV of cashflows (a) -72,357
Spent so far (b)
10,000
Equity value (a+b)
-82,357
Number of shares (m) 3,965
DCF value per share
-21
Though an integrated steel plant with dedicated captive iron ore mines is considered
an attractive project, the NPV of NMDC’s project is negative because it will be funded
by high cost equity. At a WACC of 15.8%, this project will result in equity value
destruction of INR83.4b or INR21/share if iron ore is supplied by existing mines. We
are assuming that the steel plant will deliver EBITDA of USD100/tonne in FY17,
growing at 2% per year thereafter. If Deposit-4 becomes operational by then, EBITDA
might expand to USD250/tonne, still resulting in an NPV loss of INR22b or INR6/
share. In our view, this project should be funded by 50% debt so that WACC comes
down and equity value increases. The IRR of the project ranges from 2% to 13.4%
depending upon EBITDA margins.
Sensitivity table: DCF (INR/share)
WACC (%)
50
75
100
150
250
8.0
-27
-20
-13
0
27
12.0
-27
-23
-19
-11
4
15.8
-26
-23
-21
-16
-6
17.0
-25
-23
-21
-17
-8
18.0
-25
-23
-21
-17
-9
19.0
-25
-23
-21
-17
-10
3mtpa steel plant in Karnataka in JV with Severstal
NMDC has been allocated 2,500 acres of land in Karnataka, where it is planning to set
up a 3mtpa steel plant jointly with Severstal. The project plan includes captive iron
ore and coal mines. However, there is still no clarity on allotment/acquisition of
mines. Also, details of the joint venture agreement are yet to be finalized. Severstal
has been trying to enter the Indian steel space for a long time but has not done so
due to volatility in the steel market. Given the deteriorating outlook for the steel
sector, we are not sure whether this joint venture will translate into serious
investment.
1.2mtpa pellet plant at Donimalai, Karnataka (capex: INR5.7b)
NMDC is setting up a 1.2mtpa pellet plant at Donimalai in the Bellary district of
Karnataka at a capex of INR5.7b. The plant is likely to be commissioned by March
2013. We expect this project to be highly profitable – it will be converting waste
slimes into a value-added product. The company is planning a similar project in
Chhattisgarh as well.
International foray – small investments for future growth
With huge cash and cash equivalents, NMDC has started to look for overseas
acquisitions. It acquired 50% equity in Legacy Iron Ore, Australia in December 2011
for AUD18.9m. Legacy Iron Ore has about 1b tonnes of magnetite resource. NMDC
has also entered into an agreement to acquire 26% stake in a Brazilian iron ore firm,
Amplus, with reserves of over 1b tonnes.
Slowing demand from the steel sector in China and delivery of many new projects
have resulted in the iron ore market turning from tight supply to oversupply. The
world’s largest iron ore producer, Vale has rolled back its expansion plan in Brazil.
Projects like Legacy Iron Ore, which are at very early stages of development, will
need huge investments in mine and related infrastructure.
Further, NMDC is also looking for three overseas coal mines, one each in Russia,
Mozambique and Australia and a rock-phosphate mine in Australia.
3 July 2012
20

NMDC
Higher dividend payout to help enhance RoE
NMDC’s RoE has been declining after peaking in FY07, though RoIC peaked much later
in FY11. This can be attributed to relatively low returns on its high cash surpluses.
NMDC increased its dividend payout from a narrow range of 22-24% over FY05-11 to
28.5% in FY12. This has helped to arrest the decline in RoE. We expect NMDC to step
up dividend payout ratio further, which should help to reverse the trend of declining
return ratios.
Higher dividend payout in FY12 (%)…
…has helped to arrest declining RoE (%)…
…RoIC still remains superior (%)
Source: Company/MOSL
3 July 2012
21

NMDC
Valuations attractive now
Stock price down 35% from March 2010 FPO price
While the stock price has declined 35% from the March 2010 FPO price of INR300, earnings
have increased 2.1x over FY10-12.
The stock trades at an attractive EV/EBITDA of 5.3x FY13E at current ore prices. If the
prices of fines increase from the current 50% of lump prices to 80-85% of lump prices,
EV/EBITDA would be 4x FY13E.
NMDC increased its dividend per share by 36% in FY12. We expect the company to step
up its dividend payout further, which will be a catalyst for stock performance. Buy.
March 2010 FPO was aggressively priced
FPO was expensively
priced at 12x EV/EBITDA
NMDC’s follow-on public offer (FPO) of 332m shares in March 2010 was aggressively
priced at INR300/share. Institutional investors perceived the FPO as expensive (EV/
EBITDA of 12x; EV/ton of USD16) and stayed away. LIC bailed out the issue, purchasing
197m shares – 60% of the issue size or 4.97% of NMDC’s share capital. The Government
of India’s stake in NMDC declined from 98.32% to 90% after the FPO. Even post the
FPO, LIC continued to make open market purchases and increased its stake in NMDC
to 6.15%, leaving only 3.85% as practical free float.
FPO was overpriced and had to be bailed out by LIC (INR b)
Source: Company/MOSL
Stock price down 35% from March 2010 FPO price
The stock price has declined 35% to INR196 from the March 2010 FPO price of INR300.
Over the same period (that is, over FY10-12), NMDC’s earnings have increased 2.1x, as
domestic iron ore supply became tight due to crackdown on illegal mining. Valuations
have become attractive now – the stock is trading at an EV/EBITDA of 5.3x FY13E at
current iron ore prices. If our hypothesis that prices of iron ore fines will increase
significantly over the next couple of years due to widespread investments in
pelletization capacities in India holds, NMDC ’s earnings would be boosted
considerably, making valuations appear even more attractive. If prices of iron ore
fines jump from the current 50% of lump prices to 80-85% of lump prices, EV/EBITDA
would be 4x FY13E making the stock even more attractive.
3 July 2012
22

NMDC
Valuations are now attractive (INR b)
Source: Company/MOSL
Increasing dividend payout to be a catalyst for stock performance
NMDC stepped up
dividend payout to 28.5%
in FY12
NMDC stepped up its dividend payout ratio from a narrow range of 22-24% over FY05-11
to 28.5% in FY12. As a result, dividend per share increased by 36% to INR4.5. At the
current market price, this translates into a dividend yield of 2.3%. We expect the company
to step up its dividend payout ratio further, which will be a catalyst for stock performance.
Stepping up dividend payout can increase equity value by 50%
A mining company’s valuation is best understood by discounted cash flows (DCF)
over the life of its mines. NMDC has best iron ore mining assets in India. On an
average, its ore is of the 63-65% Fe grade, the best in the world after Brazilian mines.
Also, its mining assets are highly underexplored. NMDC’s total reserves and
resources are estimated at 2.2b tonnes.
International iron ore prices are expected to weaken, as steel production in China is
slowing down and the commissioning of new iron ore projects would bring additional
supplies. However, NMDC’s average realization is likely to move up, as (1) domestic
iron ore supplies have been constrained due to regulatory issues, and (2) investments
in pelletization capacities will result in higher demand (and, therefore, higher prices)
for iron ore fines, which constitute ~65% of NMDC’s product mix.
We are modeling average realization of USD90/tonne, which will start increasing at
3% per year from FY16, while cost of mining will continue to grow at 5% per year until
the end of mine life. We assume that production of iron ore will grow at 10% per
year, leading to exhaustion of the mines by FY34. The dividend discount model
implies expected market return of 15.5%. The cost of equity for NMDC is 15.8%, as its
adjusted beta with Sensex is 1.04, while risk-free interest is 8.1%. Since, NMDC has
no debt, its weighted average cost of capital (WACC) is high at 15.8%, i.e. equal to
the cost of equity.
Sensitivity table: INR/share
13.8
284
320
356
392
428
14.8
264
296
328
360
393
15.8
246
275
304
333
362
WACC (%)
16.8
230
256
283
309
335
17.8
216
240
264
288
312
18.8
204
225
247
269
291
DCF Valuations: Iron Ore
Business
WACC (%)
15.8
Realization (USD/ton)
90
R&R (m tons)
2,119
A. NPV of cashflows 999,383
B. Cash surplus
205,418
Equity value (A+B) 1,204,801
Number of shares (m) 3,965
DCF value per share
304
70
80
90
100
110
3 July 2012
23

NMDC
WACC Calculations (%)
A. Cost of Equity
(B+CxD)
B. Risk free rate
(91 day T-bill)
C. Beta (adj.)
with Sensex
D. Market Premium
E. Cost of Debt
F. DEBT/EQUITY (%)
G. WACC {ExF+Ax(1-F)}
15.8
8.1
1.04
7.4
10%
NIL
15.8
Expected market return (Sensex)
A. Dividend yield
B. RoCE
C. Retained Earnings ratio
D. Growth (BxC)
Market return (A+D)
Basis: Dividend discount model
2.01%
21%
63%
13.5%
15.5%
The outcome of the DCF model at various levels of iron ore realization and WACC
indicates that the lowest value is INR246/share and highest value is INR362/share at
a WACC of 15.8%. In our base case of realization at USD90/tonne and WACC of 15.8%,
the DCF value is INR304/share. There will be upside to realization, as the gap between
pricing of lumps and fines narrows. The DCF value would increase 7-8% for every 1
percentage point decrease in WACC, with the help of borrowings and increasing
payout above 100% of the free cash flows. Instead, NMDC is investing INR155b in a
steel project, which will lower its value by INR14-25/share depending on the EBITDA
margin and WACC, as tabulated below.
Sensitivity table: DCF (INR/share)
8.0
-27
-20
-13
0
27
12.0
-27
-23
-19
-11
4
15.8
-26
-23
-21
-16
-6
WACC (%)
17.0
-25
-23
-21
-17
-8
18.0
-25
-23
-21
-17
-9
19.0
-25
-23
-21
-17
-10
DCF Valuations: Steel
Business (INR m)
Project Cost
155,000
WACC (%)
15.8
EBITDA per ton (USD)
100
NPV of cashflows (a) -72,357
Spent so far (b)
10,000
Equity value (a+b) -82,357
Number of shares (m) 3,965
DCF value per share
-21
50
75
100
150
250
Further, NMDC is retaining 70% of its profits to invest in fixed deposits, which is
lower shareholders’ wealth by 60% by way of uninvested and undistributed profit
opportunity cost (UUPOC). According to our calculations, the NPV of UUPOC is
INR725b over the life time of mines at WACC of 15.8%. This translates into reduction
of equity value by INR436b or INR110/share. The value loss can be substantially
reduced to INR23/share, if the dividend payout is increased to 100% of profits.
DCF Valuations: UUPOC
(INR m)
Cash surplus
233,201
Pay-out ratio (%)
33
A. WACC (%)
15.8
B. NPV of
725,329
un-invested cash
Yield on UI cash (%)
9
Tax rate (%)
30
C. Post tax yield (%)
6.3
D. Yield as % of
40
WACC (C/A. %)
Loss of equity value -435,694
Number of shares (m) 3,965
DCF value per share
-110
Sensitivity table: DCF (INR/share)
8.0
13.8
-115
-102
-71
-44
-20
12.0
14.8
-112
-101
-71
-45
-22
15.8
15.8
-110
-99
-71
-46
-23
WACC (%)
17.0
16.8
-107
-97
-70
-46
-25
18.0
17.8
-104
-94
-69
-46
-26
19.0
18.8
-101
-92
-68
-47
-27
33
40
60
80
100
In summary, NMDC’s reinvestment strategies are suboptimal and are resulting in
value loss of 43%. Increasing dividend payout to 100% will result in equity value
accretion of INR87/share or 50%.
3 July 2012
24

NMDC
Reinvestment strategy is destroying equity value (INR/share)
Source: Company/MOSL
Buy with a target price of INR231 - 18% upside
We believe NMDC deserves superior valuations over its global peers, because:
1. Its realization will inch up due to stronger local market dynamics for fines, which
constitute 65% of its product portfolio. The realization of its global peers -
especially those that are exposed to Chinese demand - may however, come under
pressure due to slower growth in global demand.
2. NMDC's average realization is much lower than global peers, though lumps
constitute 35% of its product mix against less than 10% for global peers. Also, on
a like-to-like basis, NMDC gets USD50/tonne for iron ore fines, while global peers
command USD110-120/tonne for the same grade of iron ore fines.
3. We expect NMDC to deliver stronger volume growth of 13% CAGR over FY12-15.
4. NMDC generates RoIC of 350% against 14-35% for global peers.
NMDC's realization is lower than global
peers despite superior product (USD/t)
NMDC's margins will inch up, unlike global peers (USD/t)
3 July 2012
25

NMDC
NMDC's equity value based on free cash flows from its iron ore business discounted
at its WACC of 15.8% is INR304/share as at March 2013, provided all free cash flows are
returned to investors as they occur or reinvested in projects with similar returns.
However, the market is unlikely to attach this value because NMDC is unable to reinvest
retained earnings at its WACC. Higher dividend payout will aid stock performance, in
our view.
NMDC yet to command valuations commensurate to its superior return ratios
2011 (%)
RoE (%)
P/E (x)
Payout Ratio
RoIC RoCE
2012
2013
2012
2013
VALE
32.5
23.2
22.0
22.5
20.0
5.8
5.8
BHP
22.6
35.0
35.4
28.1
24.7
9.7
8.8
Rio
29.0
14.2
8.9
21.8
21.7
6.8
5.9
FMG
22.0
33.6
23.2
47.1
43.9
10.2
7.1
Global Avg.
26.5
22.4
29.9
27.6
8.1
6.9
NMDC *
28.5 348.6
31.5
28.5
26.8
9.5
8.0
* For NMDC 2011 is FY12, 2012 is FY13 and 2013 is FY14
EV/EBITDA (x)
P/B (x)
2012
2013
2012
2013
4.7
4.5
1.3
1.1
5.5
4.9
2.5
2.1
5.3
4.5
1.4
1.2
6.7
4.6
4.3
2.8
5.6
4.6
2.4
1.8
5.3
4.2
2.6
2.1
Source: Company/MOSL
NMDC has superior RoIC
and RoCE as compared to
global players
The stock is trading at an EV of 4.2x FY14E EBITDA v/s an average EV of 4.6x CY13E
EBITDA for global peers. As prices of iron ore fines inch up driven by local demand,
earnings upgrades should follow. Given the international market scenario, we are
currently ignoring upsides to realization. Depreciation of the INR against the USD is
guarding against softening of international iron ore prices. NMDC has superior RoIC
and RoCE as compared to global peers. We value NMDC at an EV of 5x FY14E EBITDA
and add 50% value of CWIP to arrive at our target price of INR231. At the current
market price of INR196, there is an upside of 18%.
Target price calculation (INR m)
Y/E March
EBITDA
Target EBITDA multiple (x)
Target EV
Less: Net Debt
Add: CWIP
Less: discount to CWIP (%)
Residual Market Cap
Target Price (INR)
2014E
124,113
5.0
620,566
-252,893
86,398
50
916,658
231
3 July 2012
26

NMDC
Annexure: NMDC - India’s largest iron ore producer
NMDC is India’s largest iron ore producer, with a capacity of 32mtpa. It produces
~27mtpa of iron ore from four mining complexes in Chhattisgarh and Karnataka. NMDC
was incorporated in 1958 as a public sector enterprise. It is under the administrative
control of the Ministry of Steel, Government of India. In addition to its iron ore
operations, NMDC has a diamond mine at Panna (Madhya Pradesh) and owns a 10.5MW
wind power plant in Karnataka. In July 2010, Sponge Iron India Limited, which has a
small sponge iron capacity of 60ktpa, was merged with NMDC. The contribution of
operations other than iron ore mining is insignificant at the topline and negative at
the bottomline. NMDC is investing INR300b over the next five years to expand its iron
ore production to 50mtpa and forward integrate by setting up a 3mpta steel plant in
Chhattisgarh and 1.2mtpa pellet plant in Karnataka.
Iron ore production complex-wise breakup (mtpa)
Source: Company/MOSL
Rich portfolio of high grade iron ore assets
NMDC possesses high grade iron ore reserves. As of 31 March 2011, its estimated
reserves and resources (R&R) were 1,434m tonnes. Most of its ore is of higher than
64% Fe grade. It is carrying out drilling to reassess its R&R. According to the company’s
internal reassessment, the total R&R is likely to increase by ~50% to 2.2b tonnes.
NMDC will make a formal announcement, once it receives JORC (Joint Ore Reserves
Committee) certification. Its producing mines are open cast and mechanized, except
for the recently commissioned Kumaraswamy mine. Currently, ~80% of its iron ore
production comes from its two mining complexes at Bailadila in Chhattisgarh. Lumps
constitute ~35% of its sales mix.
NMDC’s iron ore production capacity
Kirandul Complex
Deposit -14
Deposit -14 NMZ
Deposit 11 C
Bacheli Complex
Deposit - 5
Deposit 10/11A
Deposit 11A: 12-09-2017
Donimalai Complex
Donimalai
Kumaraswamy
3 July 2012
Production Limit/Output
5
7
0.7
10
5
Lease validity
11-09-2015
06-12-2015
12-09-2017
11-09-2015
Deposit 10: 10-09-2015
4
7
03-11-2028
17-10-2022
Source: Company/MOSL
27

NMDC
NMDC’s mineral portfolio
Source: Company/MOSL
A play on domestic demand
Most of NMDC’s revenue comes from the sale of iron ore to domestic consumers. The
contribution of exports has declined significantly after the expiry of contracts with
Japanese producers in FY11. Its other businesses including wind power, diamond
mine and sponge iron constitute <1% of its total revenue. NMDC’s main domestic
customers are Rashtriya Ispat Nigam Limited (RINL) (Vizag Steel Plant), Welspun
Maxsteel, Essar Steel Limited, Ispat Industries Limited, Kudremukh Iron Ore Company
Limited (KIOCL) and JSW Steel Limited (JSW). Its key customers account for 85-90% of
its domestic iron ore sales. In Chhattisgarh, 2-3mtpa of its iron ore production is
reserved for local steel and sponge iron producers.
Contribution of exports to revenue has declined
Source: Company/MOSL
3 July 2012
28

NMDC
Key customer locations
Other operations
Wind power plant:
NMDC operates a wind power plant that has 7 towers with an
aggregate capacity of 10.5MW. It is located at Chitradurga, Karnataka, about 995
meters above sea level on hilly terrain. The property is on lease from Karnataka
Renewable Energy Development Limited. All the electricity generated by the
wind farm is sold to Bangalore Electricity Supply Company (“BESCOM”), as per the
power purchase agreement (PPA) dated 25 July 2009 for an initial term of 20 years.
Diamond mine:
NMDC has diamond mining operations at Panna, Madhya Pradesh.
Activities were suspended for almost four years from August 2005, as the area in
which this mine was operating was declared a wildlife sanctuary. However, the
Supreme Court order dated 1 May 2009 permitted NMDC to re-start its diamond
mining operations.
Sponge iron:
In FY11, Sponge Iron India Limited was merged with NMDC. Its 60ktpa
sponge iron facility is located in Paloncha, Andhra Pradesh.
3 July 2012
29

NMDC
Financials and Valuation
Income Statement (Consolidated)
Y/E March
Net sales
Change (%)
Total Expenses
EBITDA
% of Net Sales
EBITDA per ton
Depn. & Amortization
EBIT
Other income
PBT before EO
PBT after EO
Tax
Rate (%)
Reported PAT
Adjusted PAT
Change (%)
2010
62,391
-17.5
18,130
44,261
70.9
1,838
732
43,529
8,617
52,146
52,146
17,719
34.0
34,427
34,427
-21.3
2011
113,689
82.2
27,260
86,430
76.0
3,284
1,215
85,215
12,057
97,272
97,272
32,280
33.2
64,992
64,992
88.8
2012
112,615
-0.9
23,334
89,281
79.3
3,270
1,328
87,953
20,169
108,123
108,123
34,941
32.3
73,182
73,182
12.6
2013E
129,650
15.1
27,448
102,202
78.8
3,559
1,368
100,834
23,322
124,155
124,155
42,213
34.0
81,942
81,942
12.0
(INR Million)
2014E
155,751
20.1
31,637
124,113
79.7
3,602
1,510
122,603
25,190
147,793
147,793
50,250
34.0
97,543
97,543
19.0
Balance Sheet
Y/E March
Share Capital
Reserves
Share holders funds
Loans
Defferred tax liability (net)
Capital Employed
Gross Block
Less: Accum. Deprn.
Net Fixed Assets
Capital WIP
Investments
Curr. Assets
Inventories
Sundry Debtors
Cash and Bank
Loans and Advances
Curr. Liability & Prov.
Sundry Creditors
Other Liabilities & prov.
Net Current Assets
Application of Funds
E: MOSL Estimates
2010
3,965
138,760
142,724
-
849
143,573
17,711
9,840
7,872
5,561
761
142,636
2,988
4,270
128,549
6,829
13,477
7,525
5,952
129,160
143,573
2011
3,965
188,181
192,145
-
1,029
193,174
22,730
11,740
10,990
6,774
1,357
191,716
4,154
4,854
172,281
10,427
17,807
7,719
10,088
173,908
193,174
2012
3,965
240,488
244,453
-
1,029
245,482
26,730
13,068
13,662
17,774
1,357
230,345
3,702
10,799
205,418
10,427
17,802
7,713
10,088
212,544
245,482
2013E
3,965
296,918
300,882
-
1,029
301,911
30,730
14,436
16,294
42,762
1,357
260,323
4,262
12,432
233,201
10,427
18,969
8,880
10,088
241,354
301,911
(INR Million)
2014E
3,965
364,309
368,274
-
1,029
369,303
34,730
15,946
18,784
86,398
1,357
283,375
5,121
14,935
252,893
10,427
20,756
10,668
10,088
262,619
369,303
3 July 2012
30

NMDC
Financials and Valuation
Ratios
Y/E March
Basic (INR)
EPS
Cash EPS
BV/Share
DPS
Payout (%)
Valuation (x)
P/E
Cash P/E
P/BV
EV/EBITDA
Dividend Yield (%)
EV/ton
Return Ratios (%)
RoE
RoCE
RoIC
Working Capital Ratios
Fixed Asset Turnover (x)
Asset Turnover (x)
Debtor (Days)
Inventory (Days)
Creditors (Days)
Leverage Ratio (x)
Current Ratio
Debt/Equity
2010
8.7
8.9
35.9
1.7
23.6
2011
16.4
16.7
48.4
3.3
23.6
2012
18.5
18.8
61.6
4.5
28.5
2013E
20.7
21.0
75.9
5.5
31.1
2014E
24.6
25.0
92.9
6.5
30.9
10.6
10.4
3.2
6.4
2.3
8
9.5
9.3
2.6
5.3
2.8
7
8.0
7.8
2.1
4.2
3.3
7
30.2
30.0
270.8
29.7
29.5
406.1
31.7
31.5
348.6
28.5
28.4
278.7
26.8
26.7
278.5
3.5
0.4
25
17
44
5.0
0.6
16
13
25
4.2
0.5
35
12
25
4.2
0.4
35
12
25
4.5
0.4
35
12
25
10.6
-0.9
10.8
-0.9
12.9
-0.8
13.7
-0.8
13.7
-0.7
Cashflow Statement
Y/E March
Pre-tax profit
Depreciation
(Inc)/Dec in Wkg. Cap.
Tax paid
Other operating activities
CF from Op. Activity
(Inc)/Dec in FA + CWIP
(Pur)/Sale of Investments
CF from Inv. Activity
Dividend (incl. tax)
CF from Fin. Activity
(Inc)/Dec in Cash
Add: opening Balance
Closing Balance
E: MOSL Estimates
2010
52,146
614
8,056
-17,332
-71
43,414
-4,098
-46
-4,144
-8,117
-8,117
31,153
97,397
128,549
2011
97,272
1,900
-1,018
-32,280
-9
65,866
-6,232
-595
-6,827
-15,307
-15,307
43,731
128,549
172,281
2012
108,123
1,328
-5,498
-34,941
69,011
-15,000
-15,000
-20,874
-20,874
33,137
172,281
205,418
2013E
124,155
1,368
-1,027
-42,213
82,284
-28,987
-28,987
-25,513
-25,513
27,784
205,418
233,201
(INR Million)
2014E
147,793
1,510
-1,573
-50,250
97,480
-47,637
-47,637
-30,152
-30,152
19,692
233,201
252,893
3 July 2012
31

Disclosures
This report is for personal information of the authorized recipient and does not construe to be any investment, legal or taxation advice to you. This research report does not constitute an offer, invitation or inducement
to invest in securities or other investments and Motilal Oswal Securities Limited (hereinafter referred as MOSt) is not soliciting any action based upon it. This report is not for public distribution and has been
furnished to you solely for your information and should not be reproduced or redistributed to any other person in any form.
Unauthorized disclosure, use, dissemination or copying (either whole or partial) of this information, is prohibited. The person accessing this information specifically agrees to exempt MOSt or any of its affiliates
or employees from, any and all responsibility/liability arising from such misuse and agrees not to hold MOSt or any of its affiliates or employees responsible for any such misuse and further agrees to hold MOSt
or any of its affiliates or employees free and harmless from all losses, costs, damages, expenses that may be suffered by the person accessing this information due to any errors and delays.
The information contained herein is based on publicly available data or other sources believed to be reliable. While we would endeavour to update the information herein on reasonable basis, MOSt and/or its
affiliates are under no obligation to update the information. Also there may be regulatory, compliance, or other reasons that may prevent MOSt and/or its affiliates from doing so. MOSt or any of its affiliates or
employees shall not be in any way responsible and liable for any loss or damage that may arise to any person from any inadvertent error in the information contained in this report . MOSt or any of its affiliates
or employees do not provide, at any time, any express or implied warranty of any kind, regarding any matter pertaining to this report, including without limitation the implied warranties of merchantability, fitness
for a particular purpose, and non-infringement. The recipients of this report should rely on their own investigations.
This report is intended for distribution to institutional investors. Recipients who are not institutional investors should seek advice of their independent financial advisor prior to taking any investment decision
based on this report or for any necessary explanation of its contents.
MOSt and/or its affiliates and/or employees may have interests/positions, financial or otherwise in the securities mentioned in this report. To enhance transparency, MOSt has incorporated a Disclosure of Interest
Statement in this document. This should, however, not be treated as endorsement of the views expressed in the report.
Disclosure of Interest Statement
1. Analyst ownership of the stock
2. Group/Directors ownership of the stock
3. Broking relationship with company covered
4. Investment Banking relationship with company covered
NMDC
No
No
No
No
Analyst Certification
The views expressed in this research report accurately reflect the personal views of the analyst(s) about the subject securities or issues, and no part of the compensation of the research analyst(s) was, is, or
will be directly or indirectly related to the specific recommendations and views expressed by research analyst(s) in this report. The research analysts, strategists, or research associates principally responsible
for preparation of MOSt research receive compensation based upon various factors, including quality of research, investor client feedback, stock picking, competitive factors and firm revenues.
Regional Disclosures (outside India)
This report is not directed or intended for distribution to or use by any person or entity resident in a state, country or any jurisdiction, where such distribution, publication, availability or use would be contrary to
law, regulation or which would subject MOSt & its group companies to registration or licensing requirements within such jurisdictions.
For U.K.
This report is intended for distribution only to persons having professional experience in matters relating to investments as described in Article 19 of the Financial Services and Markets Act 2000 (Financial
Promotion) Order 2005 (referred to as "investment professionals"). This document must not be acted on or relied on by persons who are not investment professionals. Any investment or investment activity to
which this document relates is only available to investment professionals and will be engaged in only with such persons.
For U.S.
MOSt is not a registered broker-dealer in the United States (U.S.) and, therefore, is not subject to U.S. rules. In reliance on the exemption from registration provided by Rule 15a-6 of the U.S. Securities Exchange
Act of 1934, as amended (the "Exchange Act") and interpretations thereof by the U.S. Securities and Exchange Commission ("SEC") in order to conduct business with Institutional Investors based in the U.S.,
Motilal Oswal has entered into a chaperoning agreement with a U.S. registered broker-dealer, Marco Polo Securities Inc. ("Marco Polo").
This report is intended for distribution only to "Major Institutional Investors" as defined by Rule 15a-6(b)(4) of the Exchange Act and interpretations thereof by SEC (henceforth referred to as "major institutional
investors"). This document must not be acted on or relied on by persons who are not major institutional investors. Any investment or investment activity to which this document relates is only available to major
institutional investors and will be engaged in only with major institutional investors.
The Research Analysts contributing to the report may not be registered /qualified as research analyst with FINRA. Such research analyst may not be associated persons of the U.S. registered broker-dealer, Marco
Polo and therefore, may not be subject to NASD rule 2711 and NYSE Rule 472 restrictions on communication with a subject company, public appearances and trading securities held by a research analyst account.
Motilal Oswal Securities Ltd
Motilal Oswal Tower, Level 9, Sayani Road, Prabhadevi, Mumbai 400 025
Phone: +91 22 3982 5500 E-mail: reports@motilaloswal.com