Initiating Coverage | 8 April 2013
Sector: Electrical Goods
V-Guard Industries
Set for quantum jump
Niket Shah
(Niket.Shah@MotilalOswal.com); +91 22 3982 5426
Investors are advised to refer through disclosures made at the end of the Research Report.

V-Guard Industries
V-Guard Industries: Set for quantum jump
Page No.
Summary
........................................................................................................
3-4
Story in charts.................................................................................................... 5
Company description..................................................................................... 6-7
Industry dynamics
.......................................................................................
8-17
Poised to derive pan India success
...........................................................
18-24
Financial outlook
.......................................................................................
25-26
Valuation and view
..........................................................................................
27
Key risks
............................................................................................................
28
Appendix I
..................................................................................................
29-31
Appendix II
.......................................................................................................
32
Financials and valuation
...........................................................................
33-34
8 April 2013
2

Initiating Coverage | 8 April 2013
Sector: Electrical Goods
V-Guard Industries
BSE SENSEX
S&P CNX
18,865
5,704
CMP: INR438
Set for quantum jump
TP: INR621
Buy
Strong brand, product portfolio, pan India presence aid market share gain
Bloomberg
VGRD IN
Equity Shares (m)
29.8
M.Cap. (INR b)/(USD b) 12.9/0.2
52-Week Range (INR) 591/180
1,6,12 Rel. Perf. (%)
-4/16/121
Financial summary (INR b)
Y/E March
2013E 2014E 2015E
Sales
13.7 17.5 22.1
EBITDA
1.3
1.6
2.0
NP
0.7
1.0
1.2
EPS (INR)
25.0 32.5 41.4
EPS Gr. (%)
47.0 29.8 27.3
BV/Sh. (INR)
89.2 113.6 144.5
RoE (%)
31.3 32.0 32.1
RoCE (%)
32.4 34.6 38.9
Valuations
P/E (x)
17.5 13.5 10.6
P/BV (x)
4.9
3.9
3.0
EV/EBITDA (x) 11.4
8.9
6.9
Div. Yield (%)
1.3
1.6
2.1
Established in 1977, V-Guard Industries is a dominant player in south India in the light
electrical industry. Beginning with its flagship product, voltage stabilizers (in which it is the
market leader), the company has, over last 10 years, expanded its product profile to
include PVC insulated cables, LT power cables, Fans, Geysers, Solar water heaters, Pumps,
UPS and Inverters. The company, which went public in 2008 and has seen revenue CAGR of
35% and a PAT CAGR of 33% in the past five years.
Rapid expansion in non South India market to improve revenue contribution from
22% of sales in FY12 to 40% over next few years and reduce concentration on South
markets.
Target of INR1b ad spends by FY16E to provide significant pan India brand visibility
across product segments.
Strong network of 230 exclusive distributors, 3,000 plus channel partners and more
than 20,000 retailers; channel partners addition run rate at 725-750 per annum.
Focus to increase revenue per distributor in non South India markets from INR20-
25m to INR50-60m over next 2-3 years to drive growth and operating leverage.
Asset light business model as 60% of revenue is contributed through outsourcing
model, thus helping V-Guard to focus on branding and distribution network.
Over FY13-15E, it is likely to post a revenue growth of ~27.1% and net profit growth
of ~28.6%. V-Guard trades at a PE of 13.5x/10.6x FY14E/15E EPS. We value the stock at
15x FY15E EPS and arrive at a target price of INR621, with a Buy rating.
Diversified model; INR1b ad spends to project pan India visibility
Over the past 10 years, V-Guard expanded its product portfolio with cables,
electric and solar water heaters, digital UPS, fans, switchgears, pumps etc which
are scalable in nature, compared to being a stabilizer company in early 1990s. It
has a vital brand recall in South India as it spends ~4% of its sales on
advertisements. However, to become a pan India player, it spends ~10% of non
South India sales on advertisements to create a strong brand recall and pricing
power in those markets. In our view, the ad spends of INR1b by FY16E will lead
to higher growth in the recently-penetrated non South India markets and create
a pull factor for its products, thereby leading to sustainable and higher growth,
going forward.
Shareholding pattern %
As on
Promoter
Dom. Inst
Foreign
Others
Dec-12 Sep-12 Dec-11
65.2
3.6
13.1
18.2
65.2
3.7
11.5
19.6
67.3
2.4
8.0
22.2
Stock performance (1 year)
Strong distribution network in place to boost penetration
V-Guard has a strong distribution network of 230 exclusive distributors (120 in
non South India and 110 in South), 200 plus service centers, 3,000 channel
partners, 24 branches and more than 20,000 retailers. It rapidly expanded the
non South distribution network from 34 exclusive distributors and 16 channel
partners in FY08 to 95 exclusive distributors and 1,365 channel partners in FY12.
Our channel checks suggest that company gives 4-4.5% distributor margin in
South India, while margins in non South stands ~5.5%, which is likely to decline
8 April 2013
3

V-Guard Industries
to 4-4.5% over next 2-3 years, thereby improving margins. We believe that with a
pan India distribution in place, V-Guard will increase throughput from its non South
stores by adding retailers under existing distributors, which should drive growth.
Non South India market - a long term growth story
Company adopted the strategy to introduce newer products like fans, digital UPS,
PVC cables, induction cooktops, switchgears in the South India market, while
introducing traditional products like stabilizers, cables, pumps, solar water heaters
etc in non South markets. Once the newer products gain significant traction in South
market, company would introduce it in non South markets. V-Guard's sales per
distributor in South India stands at INR70-80m per annum, compared to INR20-25m
for non South. Management expects sales per distributor in non South to increase to
INR50-60m over next 2-3 years by expanding the number of retailers below
distributors, increased advertisement spends, introducing newer products, thereby
driving growth. Management expects to improve the revenue contribution from
non South from 22% of sales in FY12 to 40% over next few years.
Asset light business model leading to higher return ratios
V-Guard follows a unique business model of outsourcing 60% of its revenue
contribution for products like stabilizers through SSIs units (exemption from excise
duty) and UPS, digital UPS, pumps, fans, electric water heaters, induction cooktops
and switchgears through dedicated OEMs in India and China, and 40% of revenue
through in-house manufacturing for products like PVC cables, LT cables and solar
water heaters to maintain a uniform quality. This model helps to reduce its capex
requirement and working capital, generate higher return ratios and to focus on brand
building in newer areas, thereby leading to higher growth, going forward.
Valuation and view
We estimate V-Guard's revenue would increase by 27.1% and net profit by 28.6%
over FY12-15E. Given the strong product portfolio complimented by a sturdy brand
and distribution network and increased focused on growing in non South market
should help it gain market share and become a formidable pan India player over the
next few years. Given the asset light business model and improvement in working
capital going forward, we believe its RoCE and RoE will expand significantly from
27.3% and 26.6% in FY12 to 38.9% and 32.1% in FY15E, thereby making a strong case
for rerating. V-Guard trades at a PE of 13.5x/10.6x FY14E/15E EPS. We value the stock
at 15x FY15E EPS and arrive at a target price of INR621, with a
Buy
rating.
8 April 2013
4

V-Guard Industries
Story in charts Set for quantum jump
V-Guard spent ~4% of sales on advertisement (significantly
higher than competition), thus being able to build a strong
brand recall and gain market share.
Outsourcing model helps to focus on brand building,
reduce capex and working capital requirement, leading
to higher return ratios.
Improvement in revenue per distributor in non south
to drive growth and margins higher.
We expect 27.1% sales CAGR over FY13-15E, primarily
driven by higher growth from non South markets,
increased capacity and launch of newer products.
Average dealer addition run rate of ~725 dealers over
last 4 years leading to strong distribution network.
We expect 28.6% PAT CAGR over FY13-15E driven by
27.1% top line CAGR and stable margins.
V-Guard's ad spends highest among peers
South v/s non South sales per distributor (In m)
Distributor additions
Non-South
V-Guard adopts asset light business model
Sales and growth trend
PAT and growth trend
Source: Company, MOSL
8 April 2013
5

V-Guard Industries
Company description
V-Guard Industries Ltd (V-Guard) was incorporated as a partnership firm, Premier
Electronics, in Kochi, Kerala by Mr Kochouseph Chittilapilly in 1977 and acquired its
current name in February 1996. It began as a small manufacturing unit for voltage
stabilizers, capital of INR100,000 and just two employees. Post the IPO in 2008, it set
up a manufacturing unit for cables in Kashipur, Uttarakhand and is in the process of
doubling capacity in Kashipur from 3.6m coils to 7.2m by end-FY14. Company also
ventured into the leisure industry in 2000 and established Veega Land, an amusement
park.
Company Structure
Source: Company, MOSL
Revenue breakup - FY12
Source: Company, MOSL
8 April 2013
6

V-Guard Industries
History
1980
1980
1990
1996
Launched A/C stabilisers
Launched servo controlled stabilisers
Launched Quartz clock
V-Guard Industries was incorporated as a Public Limited company which took over
the 19 year old proprietorship business of our promoter Mr. Kochouseph
Chittilappilly. Launced Electric Water Heaters.
Launched Ups (Online & Offline) Received Industry Excellence Award for Medium
Scale Industries by the Institution of Engineering (India), Cochin
Launched Digital Stabilizers Cable Manufacturing unit was inaugurated
at Coimbatore
Launched Compressor Pumps
Launched Solar water Heaters
Launched V-Guard Fans
Stabilizers Turnover Crossed 1 million mark in numbers. Company was converted
into a public limited company.
Launched inverters, Digital UPS and LT Cables
Opened new LT cable factory at coimbatore and started wire and cable factory
at kashipur
Turnover crosses INR 10bn mark
Launched induction cooktops and switchgears
Source: Company, MOSL
1998
1999
2001
2002
2006
2007
2008
2009
2012
2013
Product description
Manufacturing facility
Tie up with SSIs/
Self helped group
PVC wiring cable Coimbatore, Kashipur
Standalone UPS Tie up with SSIs/
Self helped group
Digital UPS
Tie up with SSIs/
Self helped group
Pumps
Coimbatore and SSIs
Fans
Kala Amb, Himachal Pradesh
and SSIs
LT Cable
Coimbatore
Electric water
Kala Amb, Himachal Pradesh
heaters
and SSIs
Solar
Coimbatore and perunthurai
water heaters
Product
Stabilisers
Production Model
100% Outsourced
100% In House
100% Outsourced
100% Outsourced
90% Outsourced
90% Outsourced
100% In House
90% Outsourced
100% In House
Industry growth
10-15%
10-12%
10-12%
25-30%
8-10%
12-15%
10-12%
12-15%
7-8%
Key competitors
Capri, Premier, Blue bird
Polycab, finolex,Havells
Frontech, Numeric, Microtech,
Wipro
Luminious, Microtech, Sukam
Crompton, Texmo, CRI
Crompton, Usha, Havells
Polycab, KEI, Havells
Racold, Bajaj, Venus,
Havells
Emmvee, Tata BP
Source: Company, MOSL
8 April 2013
7

V-Guard Industries
Industry dynamics
#1
Stabilizers
Voltage stabilizer (a device used to provide constant level of electricity to
electronic appliances) industry is fragmented, with more than 250 manufacturers
spread across India.
Stabilizers market in India is pegged at INR15b, of which 60% is dominated by
unorganized market and 40% by organized players.

V-Guard, which enjoys 34% market share of the organized market followed by
Capri at 9% and Premier at 7% respectively and the balance 50% by other small
organized players.
The difference between V-Guard and the second leader is ~4x and between V-
Guard and third leader is ~5x, thus leading to higher pricing power. Thus, V-Guard's
pricing is also at 7-10% premium to competition, leading to higher margins.
Of the overall market size of INR15b, non South India comprises of 60%, while
South India comprises of 40%. V-Guard has 13.3% market share of the overall
stabilizer market, with 60% market share in Kerala and more than 50% market
share in Tamil Nadu and Andhra Pradesh.
The stabilizer market of INR15b is growing at 12-13%, with South at 10% and non
South at 18-20%. The industry is in an uptrading phase, with consumers moving
from unorganized to organized segment, thereby benefiting V-Guard.
Around 60% of new air conditioners, 30% of refrigerators, ~30% of televisions
(including LCD and LED) and 20% of washing machines are sold with stabilizers.
V-Guard dominates the organized stabilizer market
Market leader with 34%
share of the organized
market
Source: Company, MOSL
Inbuild stabilizers not a threat to long term growth story
Voltage stabilizers do not
affect the product's
performance as in case of
inbuild stabilizers
In 2009, Samsung and LG introduced inbuild stabilizers with a view to add value to
consumers. However, the demerit of an inbuild stabilizer is that if the voltage falls
below a desired level, then it cuts off the power and affects the performance of the
product till normal voltage is restored. Conversely in case of voltage stabilizers if the
voltage drops below a certain level it immediately brings back to normal level without
affecting the performance of the product. Our channel checks suggest that many
organized players like V-Guard, Capri etc were affected in the short term due to
introduction of inbuild stabilizers. But due to latter's demerit, demand for voltage
stabilizers returned. We note that all white goods manufacturer's manual suggests
that consumers use voltage stabilizers.
8
8 April 2013

V-Guard Industries
Market breakup - organized and unorganized
Market breakup - North and South
Source: Company, MOSL
After sales service - the mantra for customer pull
V-Guard's instant after
sales service, a key
reason for customer pull
Our channel checks also suggest that a key reason for the success of large organized
players has been after sales service. Each V-Guard distributor has a service center and
ensures instant service in 24-48 hours in case of any defect in stabilizers, thereby
generating customer satisfaction. Competitors failed to provide this service, which
led to a decline in their products' demand.
V-Guard stabilizers usage-wise sales breakup
Source: Company, MOSL
White goods growth influences stabilizer growth
Stabilizer sales are directly co-related with white goods sales. Our channel checks
suggest that a steep increase in the selling price of white goods affect their demand,
thereby affecting a stabilizer company like V-Guard's sales. Its stabilizer revenue in
the past five years posted a CAGR of 17%, driven by 16% CAGR in white goods sales
(refrigerators, TVs, air conditioners and washing machines). Crisil expects white goods
volume to grow at 14% over FY13E-15E, thereby driving stabilizer growth.
8 April 2013
9

V-Guard Industries
White goods growth v/s stabilizers
Source: Crisil research,Company, MOSL
#2
Share of unorganized
players shrinking, leading
to uptrading in
the industry
Tier 2 and Tier 3 to grow
at a faster pace
PVC cables and wires
Cables are of two types, namely flexible and industrial cables. Flexible cables
comprise of PVC cables and wires which are used for household utility, while
industrial segment comprises of LT cables, which are used for supply of power
from transformers to consumers and HT cables which are used for industrial
purposes.
The Indian cable industry is estimated at INR143b divided between PVC cables
and LT cables. Of the INR143b, PVC cables comprises of INR70b, while LT comprises
of INR73b.
Of the INR70b, PVC cable market size is ~40% and is contributed by unorganized
market and the balance 60% is dominated by organized players like Polycab, which
enjoy 31% share of the organized market followed by Finolex at 27%, Havells by
14%, V-Guard at 7% and balance 21% by small organized players.
Also, of the INR70b, South India market comprises of INR30b and non South market
comprises of INR40b.
The unorganized market in FY08 was ~60% of the total market, which has now
shrunk to 40%, indicating uptrading in the industry. V-Guard is gaining market
share from unorganized and organized players like Havells and Finolex.
The cables industry is growing at ~12%, compared to 15% over the last 2-3 years,
mainly due to a slowdown in the economy. However, growth within Tier 2 and
Tier 3 cities continues to remain strong, which is expected to drive industry's
growth, going forward.
V-Guard gaining market share
Havells,
14%
Finolex, 27%
Source: Company, MOSL
8 April 2013
10

V-Guard Industries
Market size breakup - organized v/s unorganized
Market size breakup - North v/s South
Source: Company, MOSL
Aggressive ad spends seen going forward, lead to uptrading in industry
Heavy ad spends to
lead to pricing power,
going forward
Our channel checks suggest that Polycab sells its product 4-5% cheaper compared
to organized players due to lack of advertisement spends. Polycab enjoys 90%
market share in Maharashtra and Gujarat due to lower pricing, while Havells is
strong in North and Finolex in South India.
In FY09, V-Guard's products were priced at par with Havells. However, over the
past three years Havells aggressively spent on advertisement, thereby taking a 4-
5% price lead compared to V-Guard and 1-2% compared to Finolex.
With the new capacity coming on stream in Kashipur in September 2013, V-Guard
plans to increase the advertisement spends on cables starting March 2013, which
should lead to higher pricing power, market share gain and also help suffice the
incremental demand, going forward.
We believe the industry will see a significant increase in ad spends going forward,
thus leading to further uptrading.
#3
LT cables
The total market size of low tension cables (LT cables) stands at INR73b, of which
40% is contributed by unorganized market and the balance 60% is dominated by
organized players.
Polycab enjoys 31% market share of the organized market followed by KEI at 18%
and Havells at 12% and V-Guard at 1% and the balance 38% by small players.
Of the market size of INR73b, South comprises of 40% and non South comprises of
60%. Most of the sales in this segment are B to B in nature.
V-Guard does not plan to focus on LT cables business due to the B to B nature of
deals and also due to fear of higher NPA in this segment. It operates in this segment
through distributors with marquee clientele such as L&T, Tata Steel to name a
few.
8 April 2013
11

V-Guard Industries
Polycab dominates organized cables market
Source: Company, MOSL
#4
Industry dominated by
Crompton, Texmo
and CRI with more than
40 years of experience
Pumps
Pumps segment can be divided into two types, namely domestic and agriculture.
Domestic segment includes pumps used for household utilities, while agriculture
implies usage in farms etc. With surging demand from infrastructure and irrigation
sector, the demand for pumps continues to be strong.
Overall pumps market size stands at INR65b, growing at 5-7%, of which domestic
stands at INR20b, while agriculture stands at INR45b.
Within the domestic segment market size of INR20b, 55% is contributed by
unorganized and 45% by organized players like Crompton, which enjoy 40% market
share, followed by Texmo at 21%, CRI at 18% and V-Guard at 15% and balance 6%
by small organized players. Most of the players in the pumps segment are 40-50
years old.
Of the INR20b market size, 65% of the market is concentrated in Non South,
compared to 35% in South India.
In South India, V-Guard sells at 4-5% premium to peers, compared to Non south
where it is a recent entrant and sells at 2-3% discount to peers. However, major
unorganized players are in the 0.25-1HP space. Also, distributor margins in this
segment stand at 4-5%.
The pump requirement varies with the changes in water level, quality of water
etc and hence a large number of SKUs are required along with deep understanding
of geography, which acts as an entry barrier in the business. V-Guard recently
ventured into three phase pumps, which are meant for agriculture purposes, but
is not present in industrial pumps.
Our channel checks suggest that majority of the players in the unorganized
segment cater to agriculture sector. The availability of cheap or free power and
price sensitive nature of the rural market have helped push volumes for
unorganized players.
8 April 2013
12

V-Guard Industries
Pumps organized market share breakup
Source: Company, MOSL
Market size breakup - organized v/s unorganized
Market size breakup - North v/s South
Source: Company, MOSL
#5
Fans
The overall industry size in fans stands at INR50b, of which ceiling fans contribute
~70% to the fans market, with table, pedestal and wall fans accounting for 30%
market.
Of the overall industry size of INR50b, 30% is comprised of unorganized market
and the balance 70% is dominated by organized players like Crompton with 28%
market share of the organized market, followed by Usha at 21%, Havells at 14.3%
and V-Guard at 1.8% and the balance 34.9% by small organized players.
Of the overall industry size of INR50b, South India comprises of 40% and non
South comprises of 60%.
Our channel checks indicate that the brand recall for Crompton, Usha etc have
created entry barriers for many players to grow in this business.
Due to stiff competition and rupee depreciation, V-Guard plans to pull out from
the fans business in non-profitable markets and plans to focus more on South and
East markets , going forward.
Overall fans market is expected to grow at 15% driven by the sharp growth in
housing sector.
8 April 2013
13

V-Guard Industries
Crompton dominates organized fans market
Source: Company, MOSL
#6
Recent power tariff hike
to increase cost of
electric water heaters,
going forward
Electric water heaters
Electric water heater market size stands at INR12b and is growing at 10-12%, of
which 45% comprises of unorganized and balance 55% is dominated by organized
players .

Racold, enjoys 28% market share of the organized market, followed by Bajaj at
20%, Venus at 19%, V-Guard at 12.3%, A.O. Smith at 10% and balance 10.7% by
small organized players.
V-Guard sells its products 5% premium than other organized players and 25-30%
more compared to unorganized.
Of the overall market size of INR12b, 65% contribution comes from non South
India (due to the extreme cold during winters in North India) and the balance
from South.
However, the recent sharp increase in power tariffs has increased the cost of
usage of electric water heaters significantly, compared to solar water heaters,
thereby leading to slower pace of growth in the sector.
Electrical water heaters organized market share breakup
Source: Company, MOSL
8 April 2013
14

V-Guard Industries
#7
Government impetus for
the sector by providing
30% subsidy to
stimulate growth
Solar water heaters
Solar water heaters were introduced to promote the effective use of environment
friendly and energy saving products. They come in 100-5,000 litre capacity, with
large heaters being utilized for commercial and industrial purposes and smaller
ones for household use.
Solar water heaters market has evolved over the past 10 years, with the current
market size pegged at INR6.5b, of which unorganized market comprises of 35%
and organized dominates at 65% with players like Emmvee by 12% market share
of organized market, Tata BP by 9%, Anu Solar at 9%, V-Guard at 6% and the balance
64% by small players.
Of the INR6.5b market, ~60% of the overall market sales come from non South
markets and balance from South. Around 70% of the sales in this segment are
business to consumers like hotels, educational centers, large villas etc.
However, with significant capacity addition from 18,000 units to 90,000 units in
3QFY13, V-Guard is eyeing to become the leader in this space over the next 2-3
years.
Given a low payback period in this segment and government impetus for the
sector through the National Solar Mission, market is expected to grow in excess
of 20-25% over the next few years. Management expects the solar water heater
market size to overtake electric water heater over the next 3-5 years.
Solar water heaters organized market share breakup
Source: Company, MOSL
Market size breakup - North v/s South
Market size breakup - organized v/s unorganized
Source: Company, MOSL
8 April 2013
15

V-Guard Industries
Solar water heaters likely to overtake electric heaters market
Subsidy of 30% to lead to
lower payback period
Over a period of past 10 years, solar water heaters are giving stiff competition to
electric heaters. The government has made solar heaters use mandatory for
commercial establishments like hospitals, guest houses, hotels, nursing homes etc
under the National Solar Mission. Also, to provide impetus to the sector, government
has unveiled a 30% subsidy scheme for solar water heaters. Though solar water heaters
come with a higher price (difference between solar and electric heaters is ~INR10,000),
they have less than two years of payback in cost recovery. Recent sharp hike in power
tariffs has increased the cost of usage of electric water heaters significantly, compared
to solar heaters, thereby leading to a slower pace of growth in the sector. Electric
water heaters market has reached ~INR12b in the past 20 years, while solar heaters
clocked ~INR6.5b in just past 8 years, thus posing stiff competition in the industry.
However, with solar water heaters usage limited to Gujarat, Orissa, South India among
others, the growth in electric water heaters is likely to continue but at lower levels.
Digital UPS
The overall digital UPS market size stands at INR75b, of which unorganized
comprises of 10% and organized dominates with 90% of the market, with players
like Luminous which enjoys 23% market share followed by Microtech with 12%,
Sukam at 11%, V-Guard at 1% and balance 53% by others.
Of the INR75b market size, 20% is contributed by South India and balance by non
South markets.
Our channel checks suggest that 60% of the total cost of a digital UPS is constituted
by the battery and rest by digital UPS.
Excessive power cuts of more than 10 hours might affect the segment's growth as
an UPS could function for only 2-3 hours. A UPS' replacement cycle is 8-9 years and
the battery is ~3 years.
Given the power cut situation prevailing pan India, the industry is likely to grow in
excess of 20-25%, going forward.
Digital UPS organized market share break-up
#8
Prevailing power crisis in
India to help industry
grow at 20%
Source: Company, MOSL
8 April 2013
16

V-Guard Industries
Market size breakup - North v/s South
Market size breakup - organized v/s unorganized
Source: Company, MOSL
8 April 2013
17

V-Guard Industries
Poised to derive pan India success
Strong brand, product portfolio, pan India presence aid market share gain
Diversified product portfolio complimented by strong brand and pan India presence to
lead to market share gains across segments.
Target of INR1b ad spends by FY16 to provide significant pan India brand visibility across
product segments.
Expanding capacity in cables and solar water heaters to meet rising demand and address
supply constraints.
Plans to leverage its brand V Guard to non South markets.
Diversified business model
Over last 10 years,
company has diversified
into new scalable
business models
V-Guard started its business as a single product company with the flagship product
being stabilizers in early 1980s. However, over the past 10 years, it expanded the
portfolio to cables, electric and solar water heaters, digital UPS, fans, induction
cooktops etc. Going forward, V-Guard plans to focus on cables, solar water heaters
and digital UPS for growth, which in our view is the right strategy as these segments
are large in size and provide significant opportunity to scale up.
INR1b ad spends target by FY16 to improve brand visibility
10% of non south
revenues spend on
advertisment to help
creat strong brand and
pricing power
Over the past five years, company spent ~4% of its sales on advertisement and sales
promotion (significantly higher than competition), thus being able to build a strong
brand recall and gain market share. It also spends ~10% of its non South sales on
advertisements to create strong brand recall and pricing power in those markets.
Going forward, V-Guard plans to invest 4% of sales on advertisements and targets
INR1b spends by FY16E, which should help further gain market share across product
segments. In our view, the ad spends will lead to sustainable and higher growth in the
recently-penetrated non South markets and create a pull factor for products, pan
India.
V-Guard's ad spends highest among peers
Source: Company, MOSL
8 April 2013
18

V-Guard Industries
Solar water heaters capacity
Units
Current
capacity
Post
capex
capacity
18,000
72,000
90,000
Expanding capacity to meet rising demand
V-Guard expects to double the capacity in house wiring and cable factory at Kashipur
plant in Uttaranchal, which is operating at 100% capacity utilization, from 3.6mn coils
p.a to 7.2mn coils p.a in 2 phases (1.8mn coils to come onstream by Sep 2013 and
balance 1.8mn by March 2014) ,at a capex of INR250m in FY14. The capex This expansion
is strategically planned to take advantage of the excise duty exemption applicable till
2018. The incremental capacity in wires segment can contribute INR2.5-3b in sales at
peak capacity utilization, implying peak asset turnover of ~10x. Company has already
expanded its solar water heater capacity from 18,000 units to 90,000 units at Perundurai
in Tamil Nadu, with a capex outlay of INR75m. This should drive growth and lead to an
improvement in margins, given V-Guard enjoys 12%-14% EBITDA margins in this
business, excluding subsidy and ~20% including subsidy. Post this expansion, company
expects to become the market leader in this segment over next 2-3 years.
Given the strong product portfolio , brand and increased focus to grow in non South
market, V-Guard will not only gain market share but become a formidable pan India
player over the next few years in our view.
Coimbatore 18,000
Perunderai
(Erode)
Total
18,000
Cables capacity
M Coils/p.a Current
capacity
Kashipur
Coimbatore
Total
3.6
1.2
4.8
Post
capex
capacity
7.2
1.2
8.4
Non South revenue to drive growth
Entry into non South markets complimented by wide range of newer product
launch to reduce concentration on South markets.
Strategically plans to launch traditional products in non South markets and newer
products in South markets.
With distribution network in place, focus is to increase revenue per distributor
going forward, leading to higher growth and operating leverage.
Non South markets breakeven in FY13 and to contribute to profitability, going
forward.
Entry into non South markets to provide scale, reduce concentration on
South markets
Newer launches, strong
brand to lead to faster
growth in non south
markets
V-Guard being a household name, derived 97% of its revenue in FY07 from South
India (Kerala, Andhra Pradesh, Karnataka and Tamil Nadu), with ~43% of revenue
coming from stabilizers due to its strong brand name and strong distribution network.
However, post IPO, company expanded its PVC cables capacity and also entered newer
segments like digital UPS, induction cooktops, switchgears etc with a view to derisk
the business model from higher concentration on stabilizers and enter segments
with large market size and scalability. To be a pan India player and reduce the risk of
concentration, company ventured aggressively into non South regions (Maharashtra,
Haryana, Madhya Pradesh, Orissa, Himachal Pradesh, Chhattisgarh, Uttar Pradesh,
Gujarat, Bihar etc) by increasing its distribution network significantly. It entered non
South markets with its flagship product stabilizers which is unique and can be related
to V-Guard due to the lack of large organized players in this segment. This
diversification has helped reduce contribution of south revenues to 78% in FY12 and
stabilisers contribution to 20% of sales in FY12.
8 April 2013
19

V-Guard Industries
Right strategy for new product launches
Company adopted the strategy to introduce new products like fans, digital UPS, PVC
cables, induction cooktops, switchgears in South India market, while introducing
traditional products like stabilizers, pumps, solar water heaters etc in non South
markets. Once the newer product gains significant traction in South markets, it is
introduced in non South markets. Thus, the focus is to grow newer products in South
market and traditional products in non South market. To expand in non South markets,
V-Guard made its facility in Himachal Pradesh and Kashipur as the manufacturing
base.
Focus to improve revenue per distributor to drive operating leverage
Improvement in revenue
per distributor in non
south to drive growth and
margins higher
V-Guard's sales per distributor in South India stands at INR70-80m per annum,
compared to INR20-25m for non South. Management expects sales per distributor in
non South to increase to INR50-60m over next 2-3 years by expanding the number of
retailers below distributors, increased advertisement spends, introducing newer
products, thus driving growth.
South v/s non South sales per distributor (In millions)
Source: Company, MOSL
Non South breakeven in FY13; profitability to improve going forward
Geographical EBITDA break-up
(INR m)
Company has managed to achieve breakeven in most of its branches in non South
states given strong brand recall due to advertising, which for non South stands at 10%
of non South revenues. Our channel checks suggest that V-Guard has reduced the
distributor margin in non South from 6-6.5% to ~5.5% and is likely to reduce to 4-4.5%
over next 2- 3 years. Also, it reduced the discount between South and non South
markets from 6% to 4% and is likely to further fall going forward, thereby improving
profitability of non South markets. Management expects non South to contribute
significantly to profitability over next 2- 3 years as operating leverage kicks in
complimented by higher sales.
Given the strong brand, increased distribution network complimented by new product
launches, we believe the non South market will drive company's revenue growth.
Management expects the share of South India market to reduce to 65% by FY15 from
78% in FY12. This strategy, though margin dilutive in initial years, would enable it to
be a formidable player in all product categories over the next 3-4 years.
8 April 2013
20

V-Guard Industries
Strong pan India distribution network
Strong network of 230 exclusive distributors, 3,000 plus channel partners and more
than 20,000 retailers, distributor addition run rate at 725-750 per annum.
Distributor network in non South markets overtakes South markets, with 120
distributors in non South compared to 110 in South.
Rapid expansion in non South markets led to an increase in revenue contribution
from them (5% of sales in FY08 to 22% in FY12); management expects to increase
it to 40% of sales over the next few years.
Distributor margins and discounts in non South markets to decline, thereby
improving margins.
Strong pan India distribution in place
Average dealer addition
run rate of ~725 dealers
over last 4 years
V-Guard has a strong network of 230 exclusive distributors (120 in non South and 110
in South India), 200 plus service centers, 3,000 plus channel partners, 24 branches and
more than 20,000 retailers serving the needs of over 50m customers. It has an employee
strength of more than 1,750 and over 5,500 indirect employees through its SHG (self
help groups) initiatives. Company's yearly dealer addition run rate over past 5 years
stands at ~725, in line with competitors like Havells and Crompton. V-Guard sells
stabilizers, solar water heaters and pumps (only in South India) solely through its
exclusive distributors as after sales service in these products is critical. It sells fans,
PVC cables and wires, switchgears etc through channel partners as these products are
usually replaced and do not require sales service and also due to higher competitive
intensity in these segments.
Direct dealer additions
Non South
Non South
Distributor additions
Source: Company, MOSL
Non South distribution grows at a faster pace than South
V-Guard has been a strong and established player in the South. However, post FY08, it
focused on developing the reach in non South markets to drive growth and be a pan
India player. Company has rapidly expanded its non South network from 34 exclusive
distributors and 16 channel partners in FY08 to 95 exclusive distributors and 1,365
channel partners in FY12. This expansion in non South market led to an increase in
revenue contribution from the region -- 5% of sales in FY08 to 22% in FY12.
Management expects to improve it to 40% of sales from non South markets over the
next few years.
8 April 2013
21

V-Guard Industries
Distributor margins, discounts to decline in non South; improve margins
Revenue contribution
from non south to
improve due to faster
growth of distribution
Our channel checks suggest that V-Guard gives 4-4.5% distributor margin in South
India, compared to 6% in FY08, while distributor margin in non South stands ~5.5%,
which is likely to fall to 4-4.5% over the next 2-3 years. Also, to penetrate aggressively
in newer non South market, it had initially offered 6% discount to distributors, which
has now narrowed to 4% and is further expected to reduce to 1-2% over next 2-3
years, thereby improving margins. It also offers 0.5-1.5% turnover discount to
distributors to increase sales and reduce working capital.
We believe that with a pan India distribution in place, V-Guard will focus to increase
the throughput from non South stores by adding retailers under existent distributors,
which should drive growth. Going forward, with a reduction in discounts and distributor
margins in non South market complimented by higher operating leverage, margins
are slated to rise.
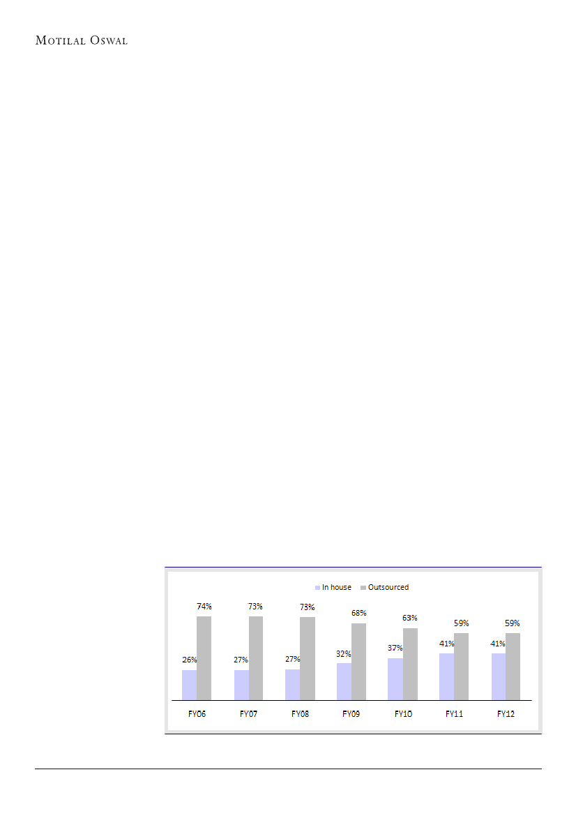
Blend of outsourcing and manufacturing to optimize quality and capex
requirements
60% of revenue is contributed by the outsourcing model and helps to keep the
business model asset light and focus on branding.
Outsourcing purchases through SSI leads to exemption of excise duty and provides
access to lower cost labor and power.
Outsourcing model leads to higher RoCE for stabilizers which stands at 106%,
pumps at 37%, water heaters at 51%, UPS and digital UPS in the range of 30-34% in
FY12.
60% outsourcing makes business model asset light, leading to higher RoCE
V-Guard follows a unique model of outsourcing 60% of its revenue contribution for
products like stabilizers through SSIs units and UPS, digital UPS, pumps, fans, electric
water heaters and switchgears through dedicated OEMs in India and China, and 40%
of revenue through in-house manufacturing for products like PVC cables, LT cables
and solar water heaters to maintain uniform quality. For stabilizers, it has tie-ups
with 63 exclusive vendors, which include SSIs and self-help group units in South
India, build over past 23 years.
V guard adopts asset light business model
Source: Company, MOSL
8 April 2013
22

V-Guard Industries
V-Guard suffices non South market's demand for stabilizers through an outsourced
OEM based in Himachal Pradesh through semi-automation capacity and partly through
South India as logistics cost is ~2% of sales only. Also capacity can be expanded in
Himachal Pradesh and at the SSI units in South India at a very minimal capex of
~INR0.5m per unit, thereby making it a scalable model in nature.
Outsourcing model helps
to focus on brand
building, reduce capex
and working capital
requirement, leading to
higher return ratios
Company manufactures PVC cables and wires in Coimbatore and Kashipur. It derives
6-7% margins in the Coimbatore plant and 10-11% margins in Kashipur plant due to
100% excise exemption till 2018, 100% income tax exemption for first 5 years and 50%
for next 5 years. It also has access to lower labor and power cost thus benefiting with
14-15% blended margin for the product.
The outsourcing model helps V-Guard to reduce capex requirement and working
capital and generate higher return ratios -- stabilizers currently at 106%, pumps at
37%, water heaters at 51%, UPS and digital UPS at 30-34% in FY12. This also helps it
focus on brand building in newer areas and lead to higher growth.
Working capital cycle to improve, lead to improved return ratios
Entry into newer markets led to an increase in working capital cycle in initial days.
However, working capital cycle peaked in FY11 at 97 days.
Vendor financing and bill discounting to increase creditor days, while increased
pricing power in non South markets, as brands gain traction, to improve debtor
days.
We expect working capital to improve from 67 days in FY12 to 58 days in FY15E,
thus leading to an improvement in RoCE and RoE.
Entry into newer markets increased working capital in initial days…
Improvement in working
capital cycle to lead to
higher return ratios
V-Guard's working capital increased from INR492m in FY09 to INR1,830m in FY12,
marking a CAGR of 55%, compared to 46.4% growth in sales in the same period. This
was primarily due to an increase in Inventory days which rose from 41 in FY09 to 58 in
FY12 as it aggressively launched newer products within South markets and introduced
traditional products in non South markets. However, Havells enjoys debtor days of
~16, compared to 54, primarily on account of higher debtor factoring done by the
company . Also, Havells enjoys higher creditor days of 73, compared to 45 for V-Guard
due to higher amount of bills discounting and higher economies of scale.
V-Guard v/s Havells (Standalone) - working capital comparison
Year
Working capital (No of days)
Debtors
Inventory
Creditors
Net working capital cycle
FY09
V guard
Havells
55
41
41
55
14
35
58
-9
FY10
V guard
Havells
60
79
55
83
12
51
61
2
FY11
V guard
61
72
36
97
Havells
14
59
74
-1
FY12
V guard
Havells
54
16
58
65
45
73
67
8
Source: Company, MOSL
Hub and spoke model to improve inventory days…
V-Guard has adopted the hub and spoke model to manage its inventory more
efficiently. It has 3 hubs, one each in Coimbatore, Hyderabad, Gurgaon and plans to
open 2 more in Kerala. This model will help to manage inventory better, going forward.
8 April 2013
23

V-Guard Industries
…Bills discounting and vendor financing to improve creditor days
Management has also introduced bills discounting and vendor financing scheme and
targets to increase creditor days from 45 in FY12 to 60-65 over next few years. In bills
discounting, instead of V-Guard paying the vendors in 30 days, the bank pays them
post 30 days and then V-Guard will pay the bank post 60-90 days from the bank's date
of payment. Also delinquency risk for the bank is lower as the payment is to be made
by V-Guard and not the vendor. V-Guard is also likely to enjoy better credit terms from
its suppliers due to economies of scale going forward, leading to an increase in creditor
days. Company has already availed a bills discounting facility of INR500m in FY13 and
is likely to scale it to INR900m in FY14E, thereby improving creditor days.
Channel financing and increasing traction in non South markets to improve
debtor days
As far as debtors are concerned, V-Guard has introduced channel financing to its
distributors. Also as it gains traction in non South markets, pricing power is likely to
improve, going forward, thus leading to lower debtor days. Company did INR250m
worth of channel financing in FY13 and expects to reach INR500m by FY14E, thereby
improving debtor days, going forward.
Strategy has started to pay rich dividends
Some of these measures have already started to pay rich dividends by reducing net
working capital cycle from 97 days in FY11 to 67 in FY12 and INR540m of free cash flows
in FY12. Due to these measures, management expects to improve the net working
capital cycle by 8-10 days every year over next 2-3 years. We believe this move is
likely to improve RoCE from 27.3% in FY12 to 39.2% in FY15E and RoE from 26.6% in
FY12 to 32.3% in FY15E.
8 April 2013
24

V-Guard Industries
Financial outlook
Top line to post 27.1% CAGR over FY13-15E
We estimate V-Guard sales will increase from ~INR13.6b in FY13 to INR22b by FY15E, a
CAGR of 27.1%, primarily driven by higher growth from non South markets, increased
capacity in cables and solar water heaters and introduction of newer products like
induction cooktops, switchgears and mixer grinders.
Company's strong product portfolio complimented by aggressive ad spends and
penetration into newer geographies will drive market share across segments, going
forward.
Sales and growth trend
Source: Company, MOSL
EBITDA to clock 26.9% CAGR over FY12-15E
We assume V-Guard's EBITDA will increase from ~INR1.3b in FY12 to INR2b by FY15E, a
CAGR of 26.9%. We expect margins to sustain around 9.2% over next two years,
primarily on account of an improvement in non South markets' margins through
withdrawal of discounts and reduction in distributor margins, and operating leverage
due to economies of scale.
EBITDA and growth trend
Source: Company, MOSL
8 April 2013
25

V-Guard Industries
PAT to post 28.6% CAGR over FY13-15E
Given 27.1% top line growth complimented by stable margins, we estimate company's
PAT will increase from INR0.75b in FY13 to INR1.23b by FY15E, a CAGR of 28.6%. The
growth in bottom line is likely to be higher primarily due to higher contribution from
the outsourcing model, leading to lower depreciation and improvement in working
capital, thus leading to higher free cash flows.
PAT and growth trend
Source: Company, MOSL
RoCE, RoE set to expand significantly, with an improvement in working capital
We estimate V-Guard's RoCE and RoE will expand from 27.3% and 26.6% in FY12 to
38.9% and 32.1% respectively in FY15E, primarily due to a significant improvement in
net working capital cycle, which is expected to reduce to 61 days by FY15E from 67
days in FY12. With margins remaining at ~9.2% levels, asset turnover is expected to
increase going forward due to increased capacity in the cables business, which has a
higher asset turnover thereby improving RoCE.
RoCE and RoE trend
Source: Company, MOSL
8 April 2013
26

V-Guard Industries
Valuation and view
We estimate V-Guard's revenue would increase by 27.1% and net profit by 28.6% over
FY13-15E. The strong product portfolio complimented by strong brand and distribution
network and increased focus to grow in non South market should help it gain market
share and be a formidable pan India player over the next few years. Given the asset
light business model and improvement in working capital going forward, we believe
RoCE and RoE will expand significantly from 27.3% and 26.6% in FY12 to 38.9% and
32.1% respectively in FY15E, thus making a strong case for rerating. At CMP of INR 438,
V-Guard trades at a PE of 13.5x/10.6x FY14E/15E EPS We value the stock at 15x FY15E
EPS and arrive at a target price of INR621, with a
Buy
rating.
Key assumptions
FY09
Sales (INR m)
PVC Insulated Cable
Stabilizers
Pumps
Electric Fans
LT Cables
Solar Water Heaters
Water Heater
UPS
Digi UPS
Induction cooktops & switchgears
Others
Total sales (INR m)
Growth (%)
PVC Insulated Cable
Stabilizers
Pumps
Electric Fans
LT Cables
Solar Water Heaters
Water Heater
UPS
Digi UPS
Induction cooktops & switchgears
Others
695
968
662
130
0
155
368
162
11
17
3,168
FY10
1,199
1,221
853
255
152
163
370
174
88
68
4,541
72.4
26.1
28.8
96.4
0.0
5.1
0.5
7.0
719.6
0.0
293.8
FY11
2,061
1,668
1,207
532
411
214
600
272
216
82
7,263
71.9
36.7
41.6
109.1
169.4
31.5
62.3
56.8
146.4
0.0
20.2
FY12
2,826
2,010
1,519
638
582
260
863
421
727
93
9,936
37.1
20.5
25.8
19.8
41.8
21.4
43.7
54.6
236.3
0.0
13.0
FY13E
3,660
2,411
1,975
789
756
299
1,118
515
1,668
350
116
13,658
FY14E
4,758
2,822
2,469
946
907
434
1,397
505
2,418
700
145
17,502
FY15E
6,066
3,245
3,011
1,097
1,062
608
1,677
495
3,386
1,225
181
22,053
27.5
15.0
22.0
16.0
17.0
40.0
20.0
-2.0
40.0
75.0
25.0
MOSL
29.5
30.0
20.0
17.0
30.1
25.0
23.6
20.0
30.0
20.0
15.4
45.0
29.5
25.0
22.4
-2.0
129.5
45.0
0.0
100.0
25.0
25.0
Source: Company,
V-Guard: 1-year going forward P/E
V-Guard: 1-year going forward P/BV
8 April 2013
27

V-Guard Industries
Key risks
Highly dependent on South India
V-Guard earns 77% of revenue from the Southern region. Though its brand recall is
high in these markets, any unforeseen circumstances like poor rainfall or long period
of power cuts might affect its growth.
Poor summer season can affect growth
Around 70% of the company's products are related to the summer season. Hence, in
case of a poor summer, demand for products could decline thereby affecting growth.
Unable to grow in non South markets
V-Guard has a strong presence in South India and recently it ventured into non South
markets. If it is not able to garner significant market share or due to muted growth in
other parts of India, it might impact company's growth and earnings.
Significant increase in raw material prices
V-Guard mainly depends on copper, which is the primary raw material accounting for
70% of its total manufacturing cost. Any adverse increase in key raw materials cost,
price cuts due to stiff competition and company's inability to pass it will affect
profitability adversely.
Economic slowdown
Any significant slowdown in the economy might impact demand as most products are
demand-derived in nature. It could offer higher discounts to distributors to reduce
the inventory, thus affecting margins and profitability.
8 April 2013
28

V-Guard Industries
Appendix I
Segments description
Stabilizers
V-Guard has a large range of stabilizers from 110 volts to 280. It has 63 vendors built
over past 23 years. Company enjoys 100% excise duty exemption till 2018, 100% income
tax exemption for first 5 years, which ends in FY15, and lower labor and power cost
benefits in the form of 15-17% EBITDA margin for products. V-Guard prices its products
10% above organized players and 20% above unorganized ones. Margins in South
India stand at 17-18% v/s 13-15% in non South. Within stabilizers, A/C stabilizers have
the highest margin of 20%, while for rest it stands at 13-15%. It also derives 20% of
stabilizers sales from LED, LCD segment which is growing at 50%. Company mainly
sells mainland stabilizers in non South markets, largely in UP, Bihar etc, which are
used for an entire house. Excise duty on stabilizers is at 12%. V-Guard sells products 4-
5% cheaper in non South markets, compared to South, with a view to penetrate.
However, it expects to reduce discounts going forward and improve margins in
stabilizer segment. It has 2-3 units in Orissa and 1 OEM in Himachal Pradesh for
manufacturing stabilizers and hence scalability is not an issue. Margins at the retailer
level in stabilizer segment stand at 25%.
PVC cables and wires
V-Guard has a capacity of 4.8m coils, with 3.6m coils capacity in Kashipur and balance
in Coimbatore. Company is doubling its capacity in Kashipur from 3.6m to 7.2m, of
which 1.8m is expected to come on stream by September 2013 and balance by March
2014. Currently, it is operating at 100% capacity utilization. V-Guard has a range of 0.5
sq.mm to 25 sq. mm, multi core flat and round cables. Margins in Kashipur plant stand
at 11%, compared to 6-7% in Coimbatore, primarily due to excise duty benefit and
cheap power and labor cost. Excise duty in this segment stands at 12.36%. To penetrate
into non South markets, it has given 14 days of extra credit period to distributors.
Gross margins at the retailer level (MRP- landed cost) stand at 40%, while net margins
stand at 10-15%.
Pumps
V-Guard entered into this segment is early 1990s and has been focusing on domestic
pumps segment. However, it recently entered the agriculture segment, where most
players are 40-50 years old. There are more than 400 models, with capacities ranging
from 0.25-25 HP (single and 3 phase variants), ideal to suit all domestic and agricultural
requirements. The range includes mono block, centrifugal, submersible, jet pumps
compressor and regenerative self-prime pumps. However, major unorganized players
are in the 0.25-1HP space. V-Guard derives 70% of sales from South and 30% from
North; industry is growing at 5-7%. Within South, it sells product at 4-5% higher than
competition and cheaper by 2-3% in non South. Distributor margins in this segment
stand at 4-6% and are similar to those given by competition; margins at retailer level
in pumps segment stand at 15%. Company passes the cost increase with a lag of 15
days. Excise duty in this segment stands at 6%.
29
8 April 2013

V-Guard Industries
Electric water heaters
Company forayed into water heaters segment in 1996 and is available in more than 35
models, with capacities ranging from 1, 6, 10, 15, 25, 35 and 50 litre in shapes and sizes.
Havells entered the segment 2 years ago and is getting aggressive. V-Guard sells
products at 5% higher than competitors in the organized market and 25-30% higher in
unorganized market; there is some Chinese competition in this segment. Industry is
facing competition from the solar water heater segment.
Digital UPS
V-Guard entered the market in FY09-10, with three capacity variants 1,400 VA, 800 VA
and 600 VA, with Sine Wave Models and Pseudo Sine Wave Models. Margins fell from
14% in FY11 to 8% in FY12 due to higher allocation of ad spends in this segment.
Battery margins stood at 4-5%, compared to digital UPS margins at ~15%. There is no
major price difference among organized players, while unorganized is 20% cheaper
to organized players. The UPS price is 40% of the overall digital UPS cost and the
balance 60% is battery; replacement cycle of an UPS is 8-9 years, while for batteries it
is three years. Entry barriers in the business are brand, technology and distribution
network. No major Chinese competition.
Solar water heaters
The solar water heater market in India consists of segments like domestic and
commercial/industrial, with a market size of INR6.5b. V-Guard entered the market in
FY11, with more than 23 models and capacities ranging from 100-5,000 lpd. Power
tariffs have increased, thereby making the cost of usage of electric water heaters
significantly higher. The solar water heater market is also growing as the government
has made it mandatory for their use in commercial establishments like hospitals,
guest houses, hotels, nursing homes etc under the National Solar Mission. To provide
impetus to the sector, government offers 30% subsidy on solar water heaters, thereby
reducing the payback period for consumers to less than 2 years; price difference
between solar and electric water heaters post subsidy is ~INR10,000. V-Guard enjoys
EBITDA margin of 20-22%, including subsidy, and excluding ~11-12% in this segment.
However, with significant capacity additions from 18,000 units to 90,000 in 3QFY13, V-
Guard is eyeing to be the leader in this space over next 2-3 years.
Fans
Company launched fans in 2006 and has more than 30 models, with variants of ceiling,
pedestal, table, wall, ventilating and exhaust fans. Of the INR640m sales in FY12 for V-
Guard, 66% comes from ceiling fans, 19% from pedestal and table fans and rest from
others. There is a lack of pricing power in this segment as it takes ~6 months to pass on
the prices to end consumers. Ceiling fans are manufactured in India and pedestal and
table fans are outsourced from China and enjoy gross margins of 35%. Company plans
to break even in FY14 and profitable in FY15. V-Guard also has a higher presence in
Tier 2 and Tier 3 cities in this segment.
Induction cooktops and switchgears
Company recently launched induction cooktops and switchgear products. Switchgear
has been launched in Kerala market only and will be launched in Tamil Nadu and
8 April 2013
30

V-Guard Industries
Andhra Pradesh in FY14, while induction cooktops have been introduced in Kerala
and Karnataka only and will be launched in Tamil Nadu and Andhra Pradesh in 1QFY14.
Company makes 40% gross margin in these products. It plans to launch mixer grinders
starting 1QFY14 in South India.
Key management personnel
Mr Kochouseph Chittilappilly - Chairman
Mr Kochouseph is the founder promoter of V-Guard and has been the MD since
inception in 1977. He is a post graduate in science, from Calicut University. In April
2012, he passed the baton to his son Mr Mithun Chittilappilly as the Managing Director,
assuming the post of Executive Vice Chairman and on November 1, 2012, when P. G. R.
Prasad stepped down, he took over as the Chairman of the board.
Mr Mithun Chittilappilly - Managing Director
He is a post graduate in finance from University of Melbourne, Australia. After
completing his graduation in commerce, he joined V-Guard to be trained in various
departments, ranging from finance to marketing. After graduating in May 2006 from
Australia, he joined as the Executive Director and in 2012 was appointed as the
Managing Director.
Dr George Sleeba - Joint MD
Dr Sleeba has been inducted as an Additional Director of the company from May 27,
2010. He has also been appointed as the Joint Managing Director from June 1, 2010. He
was the former Chairman and Managing Director of FACT Ltd.
Mr Jacob Kuruvilla - CFO
Mr Jacob Kuruvilla is the Chief Financial Officer and heads the overall finance and
accounts function.
Mr Ramachandran Venketaraman - Director (Marketing & Strategy)
Mr Ramachandran Venketaraman has joined from 1 April 2012 as Director (Marketing
& Strategy). Prior to joining us, he was associated with Unilever, Hindustan Unilever
and LG Electronics India in various capacities and last held responsibility as Director
and Chief strategy Officer, LG electronics, South west Asia region.
8 April 2013
31

V-Guard Industries
Appendix II
PVC Cable Factory
LT Cable Factory
Solar Water Heater Factory
Stabilizer Manufacturing Units
8 April 2013
32

V-Guard Industries
Financials and Valuation
Income Statement
Y/E March
Gross Revenues
Less: Excise Duty
Net Sales
Change (%)
Total Expenditure
% of Sales
EBITDA
Margin (%)
Depreciation
EBIT
Int. and Finance Charges
Other Income - Rec.
PBT bef. EO Exp.
EO Expense/(Income)
PBT after EO Exp.
Current Tax
Deferred Tax
Tax Rate (%)
Reported PAT
PAT Adj for EO items
Change (%)
Margin (%)
2010
4,623
82
4,541
43.3
4,037
88.9
504
11.1
71
432
51
14
395
0
395
127
13
35.5
255
255
46.8
5.6
2011
7,375
111
7,263
60.0
6,536
90.0
728
10.0
79
648
113
20
555
-36
591
161
4
27.9
426
400
57.1
5.5
2012
10,068
132
9,936
36.8
9,001
90.6
935
9.4
97
838
170
24
692
0
692
202
-19
26.6
508
508
27.0
5.1
2013E
13,985
328
13,658
37.5
12,394
90.8
1,263
9.3
116
1,147
192
28
983
0
983
236
0
24.0
747
747
47.0
5.5
2014E
17,887
385
17,502
28.1
15,900
90.9
1,601
9.2
131
1,471
211
32
1,293
0
1,293
323
0
25.0
969
969
29.8
5.5
(INR Million)
2015E
22,538
485
22,053
26.0
20,024
90.8
2,029
9.2
142
1,887
186
37
1,739
0
1,739
504
0
29.0
1,234
1,234
27.3
5.6
Standalone - Balance Sheet
Y/E March
Equity Share Capital
Total Reserves
Net Worth
Deferred Liabilities
Total Loans
Capital Employed
Gross Block
Less: Accum. Deprn.
Net Fixed Assets
Capital WIP
Total Investments
Curr. Assets, Loans&Adv.
Inventory
Account Receivables
Cash and Bank Balance
Loans and Advances
Curr. Liability & Prov.
Account Payables
Provisions
Net Current Assets
2010
298
1,116
1,415
57
805
2,277
1,379
256
1,123
29
46
1,904
985
756
74
89
824
690
134
1,080
2011
298
1,421
1,720
61
1,394
3,175
1,462
324
1,137
14
0
2,898
1,424
1,231
71
172
874
712
162
2,023
2012
298
1,808
2,106
43
1,091
3,240
1,625
395
1,230
111
0
3,365
1,574
1,478
34
279
1,466
1,222
245
1,899
3,240
2013E
298
2,364
2,663
43
1,391
4,097
1,850
511
1,339
82
0
4,779
2,389
1,983
58
349
2,103
1,765
339
2,676
4,097
(INR Million)
2014E
298
3,091
3,390
43
1,241
4,674
2,050
642
1,408
105
0
6,064
2,986
2,541
83
454
2,904
2,482
421
3,160
4,674
2015E
298
4,014
4,313
43
941
5,297
2,250
784
1,466
132
0
7,507
3,674
3,202
40
590
3,809
3,281
528
3,698
5,297
Appl. of Funds
2,277
3,175
E: MOSL Estimates; * Adjusted for treasury stocks
8 April 2013
33

V-Guard Industries
Financials and Valuation
Ratios
Y/E March
Basic (INR)*
EPS
Cash EPS
BV/Share
DPS
Payout (%)
Valuation (x) *
P/E
Cash P/E
P/BV
EV/Sales
EV/EBITDA
Dividend Yield (%)
Return Ratios (%)
RoE
RoCE
Working Capital Ratios
Asset Turnover (x)
Inventory (Days)
Debtor (Days)
Creditor (Days)
Working Capital Turnover (Days)
Leverage Ratio (x)
Current Ratio
Debt/Equity
* Adjusted for treasury stocks
2010
8.5
10.9
47.4
3.0
41.0
2011
13.4
16.1
57.6
3.5
28.5
2012
17.0
20.3
70.6
3.5
23.9
2013E
25.0
28.9
89.2
5.5
25.5
2014E
32.5
36.9
113.6
7.0
25.0
2015E
41.4
46.1
144.5
9.0
25.2
25.7
21.6
6.2
1.4
15.1
0.8
17.5
15.1
4.9
1.1
11.4
1.3
13.5
11.9
3.9
0.8
8.9
1.6
10.6
9.5
3.0
0.6
6.9
2.1
19.0
23.8
25.5
25.0
26.6
27.3
31.3
32.4
32.0
34.6
32.1
38.9
2.0
79
60
55
81
2.3
72
61
36
98
3.1
58
54
45
69
3.3
64
52
47
70
3.7
62
52
52
64
4.2
61
52
54
61
2.3
0.6
3.3
0.8
2.3
0.5
2.3
0.5
2.1
0.4
2.0
0.2
Standalone - Cash Flow Statement
Y/E March
Oper. Profit/(Loss) before Tax
Depreciation
Interest and finance charges
Direct Taxes Paid
(Inc)/Dec in WC
CF from Operations
EO expense
CF from Operating incl EO
(inc)/dec in FA
(Pur)/Sale of Invest.
Others
CF from investments
(Inc)/Dec in Debt
Interest Paid
Dividend Paid
CF from Fin. Activity
2010
395
71
51
125
-584
-192
3
-190
-253
68
4
-181
541
-50
-87
404
2011
591
79
112
181
-946
-344
3
-341
-86
46
3
-37
593
-113
-104
375
2012
692
97
162
157
30
823
14
837
-293
0
15
-277
-310
-166
-121
-597
-38
71
33
2013E
983
116
192
236
-753
303
0
303
-196
0
0
-196
300
-192
-190
-83
24
34
58
(INR Million)
2014E
1,293
131
211
323
-459
851
0
851
-223
0
0
-223
-150
-211
-242
-603
25
58
83
2015E
1,739
142
186
504
-580
982
0
982
-227
0
0
-227
-300
-186
-312
-797
-43
83
40
Inc/Dec of Cash
33
-3
Add: Beginning Balance
41
74
Closing Balance
74
71
E: MOSL Estimates; * Adjusted for treasury stocks
8 April 2013
34

V-Guard Industries
N O T E S
8 April 2013
35

Disclosures
This report is for personal information of the authorized recipient and does not construe to be any investment, legal or taxation advice to you. This research report does not constitute an offer, invitation or inducement
to invest in securities or other investments and Motilal Oswal Securities Limited (hereinafter referred as MOSt) is not soliciting any action based upon it. This report is not for public distribution and has been
furnished to you solely for your information and should not be reproduced or redistributed to any other person in any form.
Unauthorized disclosure, use, dissemination or copying (either whole or partial) of this information, is prohibited. The person accessing this information specifically agrees to exempt MOSt or any of its affiliates
or employees from, any and all responsibility/liability arising from such misuse and agrees not to hold MOSt or any of its affiliates or employees responsible for any such misuse and further agrees to hold MOSt
or any of its affiliates or employees free and harmless from all losses, costs, damages, expenses that may be suffered by the person accessing this information due to any errors and delays.
The information contained herein is based on publicly available data or other sources believed to be reliable. While we would endeavour to update the information herein on reasonable basis, MOSt and/or its
affiliates are under no obligation to update the information. Also there may be regulatory, compliance, or other reasons that may prevent MOSt and/or its affiliates from doing so. MOSt or any of its affiliates or
employees shall not be in any way responsible and liable for any loss or damage that may arise to any person from any inadvertent error in the information contained in this report . MOSt or any of its affiliates
or employees do not provide, at any time, any express or implied warranty of any kind, regarding any matter pertaining to this report, including without limitation the implied warranties of merchantability, fitness
for a particular purpose, and non-infringement. The recipients of this report should rely on their own investigations.
This report is intended for distribution to institutional investors. Recipients who are not institutional investors should seek advice of their independent financial advisor prior to taking any investment decision
based on this report or for any necessary explanation of its contents.
MOSt and/or its affiliates and/or employees may have interests/positions, financial or otherwise in the securities mentioned in this report. To enhance transparency, MOSt has incorporated a Disclosure of Interest
Statement in this document. This should, however, not be treated as endorsement of the views expressed in the report.
Disclosure of Interest Statement
1. Analyst ownership of the stock
2. Group/Directors ownership of the stock
3. Broking relationship with company covered
4. Investment Banking relationship with company covered
V-Guard Industries
No
No
No
No
Analyst Certification
The views expressed in this research report accurately reflect the personal views of the analyst(s) about the subject securities or issues, and no part of the compensation of the research analyst(s) was, is, or
will be directly or indirectly related to the specific recommendations and views expressed by research analyst(s) in this report. The research analysts, strategists, or research associates principally responsible
for preparation of MOSt research receive compensation based upon various factors, including quality of research, investor client feedback, stock picking, competitive factors and firm revenues.
Regional Disclosures (outside India)
This report is not directed or intended for distribution to or use by any person or entity resident in a state, country or any jurisdiction, where such distribution, publication, availability or use would be contrary to
law, regulation or which would subject MOSt & its group companies to registration or licensing requirements within such jurisdictions.
For U.K.
This report is intended for distribution only to persons having professional experience in matters relating to investments as described in Article 19 of the Financial Services and Markets Act 2000 (Financial
Promotion) Order 2005 (referred to as "investment professionals"). This document must not be acted on or relied on by persons who are not investment professionals. Any investment or investment activity to
which this document relates is only available to investment professionals and will be engaged in only with such persons.
For U.S.
Motilal Oswal Securities Limited (MOSL) is not a registered broker - dealer under the U.S. Securities Exchange Act of 1934, as amended (the"1934 act") and under applicable state laws in the United States.
In addition MOSL is not a registered investment adviser under the U.S. Investment Advisers Act of 1940, as amended (the "Advisers Act" and together with the 1934 Act, the "Acts), and under applicable state
laws in the United States. Accordingly, in the absence of specific exemption under the Acts, any brokerage and investment services provided by MOSL, including the products and services described herein
are not available to or intended for U.S. persons.
This report is intended for distribution only to "Major Institutional Investors" as defined by Rule 15a-6(b)(4) of the Exchange Act and interpretations thereof by SEC (henceforth referred to as "major institutional
investors"). This document must not be acted on or relied on by persons who are not major institutional investors. Any investment or investment activity to which this document relates is only available to major
institutional investors and will be engaged in only with major institutional investors. In reliance on the exemption from registration provided by Rule 15a-6 of the U.S. Securities Exchange Act of 1934, as amended
(the "Exchange Act") and interpretations thereof by the U.S. Securities and Exchange Commission ("SEC") in order to conduct business with Institutional Investors based in the U.S., MOSL has entered into
a chaperoning agreement with a U.S. registered broker-dealer, Motilal Oswal Securities International Private Limited. ("MOSIPL"). Any business interaction pursuant to this report will have to be executed within
the provisions of this chaperoning agreement.
The Research Analysts contributing to the report may not be registered /qualified as research analyst with FINRA. Such research analyst may not be associated persons of the U.S. registered broker-dealer,
MOSIPL, and therefore, may not be subject to NASD rule 2711 and NYSE Rule 472 restrictions on communication with a subject company, public appearances and trading securities held by a research analyst
account.
For Singapore
Motilal Oswal Capital Markets Singapore Pte Limited is acting as an exempt financial advisor under section 23(1)(f) of the Financial Advisers Act(FAA) read with regulation 17(1)(d) of the Financial Advisors
Regulations and is a subsidiary of Motilal Oswal Securities Limited in India. This research is distributed in Singapore by Motilal Oswal Capital Markets Singapore Pte Limited and it is only directed in Singapore
to accredited investors, as defined in the Financial Advisers Regulations and the Securities and Futures Act (Chapter 289), as amended from time to time.
In respect of any matter arising from or in connection with the research you could contact the following representatives of Motilal Oswal Capital Markets Singapore Pte Limited:
Nihar Oza
Kadambari Balachandran
Email: niharoza.sg@motilaloswal.com
Email : kadambari.balachandran@motilaloswal.com
Contact: (+65) 68189232
Contact: (+65) 68189233 / 65249115
Office address: 21 (Suite 31), 16 Collyer Quay, Singapore 049318
Motilal Oswal Securities Ltd
Motilal Oswal Tower, Level 9, Sayani Road, Prabhadevi, Mumbai 400 025
Phone: +91 22 3982 5500 E-mail: reports@motilaloswal.com