30 May 2013
4QFY13 Results Update | Sector:
Utilities
Power Grid Corporation
BSE Sensex
20,148
Bloomberg
Equity Shares (m)
M.Cap. (INR b)/(USD b)
52-Week Range (INR)
1,6,12 Rel. Perf. (%)
S&P CNX
6,104
PWGR IN
4,629.7
523.2/9.3
124/101
-2/-9/-17
CMP: INR113
TP:INR127
Buy
Financials & Valuation (INR b)
Y/E March
Sales
EBITDA
NP
EPS (INR)
EPS Gr. (%)
BV/Sh. (INR )
RoE (%)
RoCE (%)
Payout (%)
Valuations
P/E (x)
P/BV (x)
EV/EBITDA (x)
Div. Yield (%)
2013 2014E 2015E
127.1
108.9
41.4
8.9
24.6
56.7
16.6
9.3
34.1
12.6
2.0
10.6
2.4
157.8
137.7
49.4
10.7
19.4
63.6
17.7
9.5
35.0
10.6
1.8
9.2
2.8
191.9
168.8
59.4
12.8
20.3
72.0
18.9
10.1
35.0
8.8
1.6
8.1
3.4
Adjusted PAT below estimate:
Power Grid Corporation's (PGCIL) adjusted
PAT for 4QFY13 was INR10.4b (INR700m of interest on DESU period dues and
other exceptional items), 16% below our estimate, primarily led by
disappointments on performance of core business and Consultancy/Telecom
divisions. Transmission PBT was INR20b, almost at the level of 2QFY13, despite
capitalization of INR104b in 2HFY13. This could be partly due to lower equity
contribution. Short-term open access (STOA) charges were INR1b, lower than
our estimate of INR1.3b.
Consultancy profits dip sharply:
Consultancy division revenue grew 28% YoY
to INR1,225m (our estimate: INR923m), as PGCIL has begun trading activity
for products, while Telecom business revenue was up 9% YoY at INR640m
(our estimate: INR503m). Consultancy PBT dipped 58% YoY to INR237m (our
estimate: INR458), while Telecom PBT was INR179m (our estimate: INR220m)
v/s INR209m in 4QFY12.
Robust capex/capitalization in FY13 but equity contribution dips:
Capitalization for FY13 stood at INR172b, entailing capitalization of INR78b in
4Q. Capitalization for 4Q/FY13 was higher than our estimate of INR65b/
INR159b. The management has not given any definitive guidance for FY14/
15; we assume capitalization of INR185b/INR200b. PGCIL is hopeful of
maintaining equity contribution at 26-28% without any dilution in the near
term.
Cutting earnings estimates; maintain Buy:
We cut our earnings estimates for
FY14/FY15 by 6% to factor in the disappointments on core business and
Consultancy/Telecom division performance. We now expect PGCIL to report
EPS of INR10.7/INR12.8 for FY14/FY15. The stock trades at 8.8x FY15E EPS and
1.6x FY15E BV. Maintain
Buy.
Nalin Bhatt
(NalinBhatt@MotilalOswal.com); +91 22 39825429
Aditya Bahety
(Aditya.Bahety@MotilalOswal.com); +91 22 39825417
Investors are advised to refer through disclosures made at the end of the Research Report.
1

Power Grid Corporation
4QFY13 core / reported performance below estimate
PGCIL reported 4QFY13 revenues at INR33.7b (vs est of INR39.8b), EBIDTA of
INR28.3b (vs est of INR34.3b) and PAT of INR11b (vs est of INR12.4b). Reported PAT
includes gain of INR700m of interest on DESU period dues (booked in other
income), as also higher contribution from newly started trading activity as part of
consulting division (INR150m, not exceptional). Receipt of principal payment
(INR500m) of DESU period dues is adjusted against provisions. Adjusting interest
on DESU period dues, exception item, the adjusted PAT stood at INR10.4b, lower
than estimate of INR12.4b.
Key deviation has been lower transmission business revenue and PBT.
Transmission revenues for the 4QFY13 stood at INR31b, flat QoQ; while PBT of
transmission division stood at INR20b, down from INR20.7b QoQ. This is despite
capitalization of INR104b in 2HFY13. This, in our view, could have been impacted
owing to lower equity contribution for capitalisation of new projects in FY13, vs
normative allowed 30%.
Other income for the quarter stood higher at INR2.4b (owing to interest on DESU
period dues), leading PBT of INR15b (down from est of INR19.5b, and down 8%
YoY).
For FY13, the revenues stood at INR127b (up 27% YoY), EBIDTA at INR109b (up 30%
YoY), and PAT at INR42b (up 30% YoY). EBIDTA and PAT were however lower than
our estimate of INR115b and INR44b, respectively.
Segmental results: Consultancy /Telecom division performance dips, ST open
access marginally lower
Consultancy division 4QFY13 revenues grew substantially by 28% YoY to INR1225m
(our estimate INR923m), while Telecom business revenue were up 9% YoY at
INR640m (our estimate INR503m). Short term open access charges (STOA) for the
quarter stood at INR1b, marginally lower than our estimate of INR1.3b.
PBT for consultancy division dipped by 58% YoY to INR237m (our estimate INR458).
Lead to sharp dip in margins at 19% v/s 60%YoY and 56%QoQ. Part of the decline in
the performance is owing to product sales booked in 4QFY13, which entailed
lower margins.
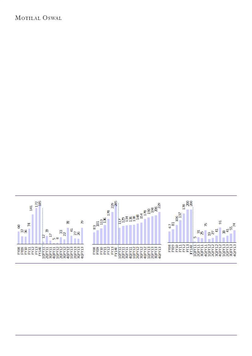
Consultancy division performance
muted (INR m)
Telecom division performance
too lower (INR m)
STOA tad lower QoQ (INR m)
Source: Company, MOSL
30 May 2013
2

Power Grid Corporation
Telecom division PBT for the quarter stood at INR179m, vs INR209m in 4QFY12
(our estimate INR220m). The margins of telecom division also declined to 28%
from 36% YoY and QoQ.
Capital employed in Transmission division increased by INR42b in 4QFY13 led by
the higher capex during the quarter.
Capitalization higher than estimate, no guidance for FY14/15E; equity
invested lowered for new projects
For FY13, PGCIL capitalised INR172b of projects, entailing a capitalisation of INR79b
in 4QFY13 - higher than our estimate of INR65b. However, the earlier
understanding was that the capitalisation for the FY13 was INR145b. Management
indicated that a sizable number of projects were commissioned in last 10-15 days
of March 2013.
Management further indicated that the capitalisation as at 1st April 2013 stood at
INR180b - indicating strong traction. However, they did not share any definitive
guidance on capitalisation for FY14/15E.
We have now factored in capitalisation of INR185b in FY14E and INR200b in FY15E,
led by strong CWIP of INR400b as at March 2013.
Also, the management indicated that the regulated equity base as at March 2013
stood at INR216b, entailing addition of only INR38b of equity into capital sated
assets for FY13. This represents DER of 78:22 for these projects, vs normative
allowed DER of 70:30. Lower equity contribution into new projects would mean
lower addition to regulated equity, driving the growth lower going forward.
Capitalization trend muted (INR b)
RAB growth is thus lower,
vs earlier quarters (INR b)
Capex intensity however remain
high (INR b)
Source: Company, MOSL
Growth towards new initiatives: Current visibility low, equity requirement
too could be an issue
PGCIL is working on initiatives like Green Energy Corridor (INR430b of investment),
Intra-State transmission network up gradation/maintenance with DISCOMS in JVs,
etc. Management indicated that Green Energy Corridor opportunity for Inter-State
transmission network is only INR224b (PGCIL's domain) approved by Ministry of
New and Renewable Energy (MNRE).
30 May 2013
3

Power Grid Corporation
These projects can be taken up either on bidding basis as no new projects can now
be awarded to PGCIL on nomination basis. However, the Ministry of Power can
include the scope of such work under "urgent/important" projects and can override
to handover the work to PGCIL. Currently, there is no visibility on the same, but
management expects clarity on the same to emerge over next 3-4 months. Once
the same is done, the matter would be taken up for bidding / project cost approval
(if awarded to PGCIL) and then awards would begin. This could thus easily take 6-
12 months.
On its Joint Venture with State DISCOMs, PGCIL indicated that only 2 states have
come forward to its proposal to set up JV to upgrade/expand intra-state
transmission network. This includes JV with State government of Bihar and
Odhisha. The JV with Bihar TRANSCO has received transmission license approval
from SERC, while Odhisha JV's application is still under approval.
Maximum opportunity for Bihar JV is INR63b, while Odhisha JV is INR25b - totalling
to INR88b. Management indicated that this could be taken up over next 5-6 years,
entailing yearly capex of INR15-16b only. Given PGCIL's share of equity is 50%, the
contribution of equity would be limited to INR2.5-3b/pa.
Thus, barring the existing INR1000b capex programme under construction (of which
approval is given for INR905b and award placed for INR800b), there is no great
visibility on higher transmission capex spending / growth for PGCIL beyond 12th
plan.
Cut earnings by 6% for FY14/15E, Buy
We marginally cut our FY14E/15E earnings for PGCIL to factor in core earnings,
tweaking consultancy/telecom division performance, etc. We now expect PGCIL
to report net profit of INR49.4b in FY14E (up 19% YoY), and INR59.4b in FY15E (up
20% YoY).
The stock trades at PER of 8.8x and P/BV of 1.6x on FY15E basis, respectively.
Maintain
Buy
with TP of INR127/sh.
30 May 2013
4

Power Grid Corporation
Power Grid Corporation: an investment profile
Company description
PGCIL is a central transmission utility (CTU) with a mini-
navratna status, which owns and operates most of
India's interstate and inter-regional power transmission
system. It has been identified as a nodal agency by the
Government to set up inter-regional transmission
capacity in India.
Recent developments
PGCIL capitalized INR172b in FY13 and it has done
capex of INR200b for the same period.
Valuation and view
We marginally cut our FY14E/15E earnings for PGCIL
to factor in core earnings, tweaking consultancy/
telecom division performance, etc. We now expect
PGCIL to report net profit of INR49.4b in FY14E (up
19% YoY), and INR59.4b in FY15E (up 20% YoY).
The stock trades at PER of 8.8x and P/BV of 1.6x on
FY15E basis, respectively. Maintain
Buy
with TP of
INR127/share.
Key investment arguments
CERC has approved setting up of nine high speed
transmission corridors (HSTCs) at a cost of INR650b,
significantly improving business visibility for PGCIL.
PGCIL's RAB is set to increase to INR282b by FY14E
(up 20%) and INR345b in FY15 (up 21% YoY).
Management has guided for capex worth INR1t in
12th plan which would drive the earnings for PGCIL.
Sector view
Key investment risks
Meaningful delay in project execution owing to
delay in obtaining right of way.
Continued delays in generation projects may slow
down the growth momentum for PGCIL.
Lower equity contribution (below 30%) would be
negative for PGCIL in long run.
Power sector has begun to witness several initiatives
by authorities to address concerns on SEBs, fuel
supply pacts and PPAs. It would however take a while
before clarity on several issues emerges. In this
environment, we continue to prefer CPSUs which
are relatively better positioned on these fronts.
Target price and recommendation
Current
Price (INR)
113
Target
Price (INR)
127
Upside
(%)
12.4
Reco.
Buy
EPS: MOSL forecast v/s consensus (INR)
MOSL
Forecast
10.7
12.8
Consensus
Forecast
10.4
10.7
Variation
(%)
3.3
20.1
FY14
FY15
Stock performance (1 year)
Shareholding pattern (%)
Mar-13
Promoter
Domestic Inst
Foreign
Others
69.4
7.8
14.2
8.6
Dec-12
69.4
7.5
14.3
8.8
Mar-12
69.4
8.0
13.0
9.5
5
30 May 2013

Power Grid Corporation
Financials and Valuation
30 May 2013
6

Power Grid Corporation
N O T E S
30 May 2013
7

Disclosures
This report is for personal information of the authorized recipient and does not construe to be any investment, legal or taxation advice to you. This research report does not constitute an offer, invitation or inducement
to invest in securities or other investments and Motilal Oswal Securities Limited (hereinafter referred as MOSt) is not soliciting any action based upon it. This report is not for public distribution and has been
furnished to you solely for your information and should not be reproduced or redistributed to any other person in any form.
Unauthorized disclosure, use, dissemination or copying (either whole or partial) of this information, is prohibited. The person accessing this information specifically agrees to exempt MOSt or any of its affiliates
or employees from, any and all responsibility/liability arising from such misuse and agrees not to hold MOSt or any of its affiliates or employees responsible for any such misuse and further agrees to hold MOSt
or any of its affiliates or employees free and harmless from all losses, costs, damages, expenses that may be suffered by the person accessing this information due to any errors and delays.
The information contained herein is based on publicly available data or other sources believed to be reliable. While we would endeavour to update the information herein on reasonable basis, MOSt and/or its
affiliates are under no obligation to update the information. Also there may be regulatory, compliance, or other reasons that may prevent MOSt and/or its affiliates from doing so. MOSt or any of its affiliates or
employees shall not be in any way responsible and liable for any loss or damage that may arise to any person from any inadvertent error in the information contained in this report . MOSt or any of its affiliates
or employees do not provide, at any time, any express or implied warranty of any kind, regarding any matter pertaining to this report, including without limitation the implied warranties of merchantability, fitness
for a particular purpose, and non-infringement. The recipients of this report should rely on their own investigations.
This report is intended for distribution to institutional investors. Recipients who are not institutional investors should seek advice of their independent financial advisor prior to taking any investment decision
based on this report or for any necessary explanation of its contents.
MOSt and/or its affiliates and/or employees may have interests/positions, financial or otherwise in the securities mentioned in this report. To enhance transparency, MOSt has incorporated a Disclosure of Interest
Statement in this document. This should, however, not be treated as endorsement of the views expressed in the report.
Disclosure of Interest Statement
1. Analyst ownership of the stock
2. Group/Directors ownership of the stock
3. Broking relationship with company covered
4. Investment Banking relationship with company covered
Power Grid Corporation
No
No
No
No
Analyst Certification
The views expressed in this research report accurately reflect the personal views of the analyst(s) about the subject securities or issues, and no part of the compensation of the research analyst(s) was, is, or
will be directly or indirectly related to the specific recommendations and views expressed by research analyst(s) in this report. The research analysts, strategists, or research associates principally responsible
for preparation of MOSt research receive compensation based upon various factors, including quality of research, investor client feedback, stock picking, competitive factors and firm revenues.
Regional Disclosures (outside India)
This report is not directed or intended for distribution to or use by any person or entity resident in a state, country or any jurisdiction, where such distribution, publication, availability or use would be contrary to
law, regulation or which would subject MOSt & its group companies to registration or licensing requirements within such jurisdictions.
For U.K.
This report is intended for distribution only to persons having professional experience in matters relating to investments as described in Article 19 of the Financial Services and Markets Act 2000 (Financial
Promotion) Order 2005 (referred to as "investment professionals"). This document must not be acted on or relied on by persons who are not investment professionals. Any investment or investment activity to
which this document relates is only available to investment professionals and will be engaged in only with such persons.
For U.S.
Motilal Oswal Securities Limited (MOSL) is not a registered broker - dealer under the U.S. Securities Exchange Act of 1934, as amended (the"1934 act") and under applicable state laws in the United States.
In addition MOSL is not a registered investment adviser under the U.S. Investment Advisers Act of 1940, as amended (the "Advisers Act" and together with the 1934 Act, the "Acts), and under applicable state
laws in the United States. Accordingly, in the absence of specific exemption under the Acts, any brokerage and investment services provided by MOSL, including the products and services described herein
are not available to or intended for U.S. persons.
This report is intended for distribution only to "Major Institutional Investors" as defined by Rule 15a-6(b)(4) of the Exchange Act and interpretations thereof by SEC (henceforth referred to as "major institutional
investors"). This document must not be acted on or relied on by persons who are not major institutional investors. Any investment or investment activity to which this document relates is only available to major
institutional investors and will be engaged in only with major institutional investors. In reliance on the exemption from registration provided by Rule 15a-6 of the U.S. Securities Exchange Act of 1934, as amended
(the "Exchange Act") and interpretations thereof by the U.S. Securities and Exchange Commission ("SEC") in order to conduct business with Institutional Investors based in the U.S., MOSL has entered into
a chaperoning agreement with a U.S. registered broker-dealer, Motilal Oswal Securities International Private Limited. ("MOSIPL"). Any business interaction pursuant to this report will have to be executed within
the provisions of this chaperoning agreement.
The Research Analysts contributing to the report may not be registered /qualified as research analyst with FINRA. Such research analyst may not be associated persons of the U.S. registered broker-dealer,
MOSIPL, and therefore, may not be subject to NASD rule 2711 and NYSE Rule 472 restrictions on communication with a subject company, public appearances and trading securities held by a research analyst
account.
For Singapore
Motilal Oswal Capital Markets Singapore Pte Limited is acting as an exempt financial advisor under section 23(1)(f) of the Financial Advisers Act(FAA) read with regulation 17(1)(d) of the Financial Advisors
Regulations and is a subsidiary of Motilal Oswal Securities Limited in India. This research is distributed in Singapore by Motilal Oswal Capital Markets Singapore Pte Limited and it is only directed in Singapore
to accredited investors, as defined in the Financial Advisers Regulations and the Securities and Futures Act (Chapter 289), as amended from time to time.
In respect of any matter arising from or in connection with the research you could contact the following representatives of Motilal Oswal Capital Markets Singapore Pte Limited:
Nihar Oza
Kadambari Balachandran
Email: niharoza.sg@motilaloswal.com
Email : kadambari.balachandran@motilaloswal.com
Contact: (+65) 68189232
Contact: (+65) 68189233 / 65249115
Office address: 21 (Suite 31), 16 Collyer Quay, Singapore 049318
Motilal Oswal Securities Ltd
Motilal Oswal Tower, Level 9, Sayani Road, Prabhadevi, Mumbai 400 025
Phone: +91 22 3982 5500 E-mail: reports@motilaloswal.com