19 August 2013
Annual Report Update | Sector: Automobiles
Hero MotoCorp
BSE Sensex
18,308
S&P CNX
5,415
CMP: INR1,926
TP: INR2,149
Buy
Building blocks in place for next leg of growth
Expect reflection in operating performance from 2HFY14
We went through Hero MotoCorp’s (HMCL) latest annual report. Our key takeaways:
Stock Info
Bloomberg
Equity Shares (m)
52-Week Range (INR)
1, 6, 12 Rel. Per (%)
M.Cap. (INR b)
M.Cap. (USD b)
HMCL IN
199.7
2005/1434
18/22/-4
6.2
384.4
Despite the tough market conditions currently, HMCL remains confident
of the long-term growth opportunity and is committed to its expansion
plans.
FY13 was a year of putting building blocks in place for the next leg of
growth. HMCL is focusing on new product development, profitability
enhancement measures and foraying into new overseas markets.
We expect recovery in two-wheeler demand from 2HFY14 and believe
HMCL would be a key beneficiary.
Valuations at 17.1x/12.6x FY14/FY15E EPS and dividend yield of
3.4%/3.6% for FY14/15E are attractive. Buy.
Financial Snapshot (INR b)
Y/E March
2013 2014E 2015E
Sales
EBITDA
PAT
EPS (INR)
EPS Gr. (%)
RoE (%)
RoCE (%)
P/E (x)
P/BV (x)
235.8
31.0
21.2
106.1
-10.9
45.6
15.5
18.1
7.7
254.0
35.2
22.4
112.4
6.0
286.8
41.8
16.1
17.1
6.7
294.0
40.4
30.7
153.5
36.5
359.0
47.5
18.0
12.6
5.4
BV/Sh.(INR) 250.7
Shareholding pattern %
As on
Jun-13 Mar-13 Jun-12
Promoter
Dom. Inst
Foreign
Others
52.2
9.3
30.0
8.6
52.2
8.5
30.7
8.6
52.2
5.9
33.3
8.5
Stock Performance (1-year)
Remains confident of long-term growth opportunity
Weak consumer sentiment, transition phase impacted growth in FY13:
Consumer sentiment was weak in FY13 due to poor rains, high interest
rates and fuel prices, and moderation in economic growth. Moreover, this
coincided with brand transition for Hero MotoCorp (HMCL), resulting in
volume decline of 2.6% against industry growth of 2.4%.
Expects recovery driven by good monsoon and pre-election spending:
The
management expects recovery in two-wheeler industry demand, with good
monsoon coupled with possible increase in government spending ahead of
2014 national elections.
Remains confident about huge growth opportunity in rural regions:
HMCL
continues to be confident about the tremendous growth potential in rural
areas owing to low penetration and growing income levels over the
medium to long term.
HMCL’s strategic advantages difficult to scale and replicate:
HMCL’s
strategic advantages of wide distribution and service reach, and consequent
low ownership cost are difficult to scale and replicate quickly. Hence, it
expects to be the key beneficiary of strong growth in rural markets over the
medium to long term.
Expects competition to increase but adequately prepared to defend
market share:
HMCL expects the level and intensity of competition from its
erstwhile partner Honda to increase significantly. However, it believes it is
adequately prepared to defend and consolidate its market position.
Expansion plans on track:
Despite the weak outlook on near-term
economic growth and consumer sentiment, HMCL remains committed to its
expansion plans. Construction of its fourth plant in Rajasthan and Global
Parts Center (GPC) is on schedule.
Jinesh Gandhi
(Jinesh@MotilalOswal.com); +91 22 3982 5416
Chirag Jain
(Chirag.Jain@MotilalOswal.com); +91 22 3982 5418
Investors are advised to refer through disclosures made at the end of the Research Report.

Hero Honda
Putting building blocks in place for next leg of growth
Forays into new international markets:
In line with the ambition to become
a global two-wheeler major, HMCL made an international foray in FY13,
covering Africa, Latin America and Central America. To support
international operations, it has set up assembly operations in Sri Lanka and
Kenya.
Considerable progress on becoming self-reliant on technology:
Apart from
scale-up of in-house R&D capabilities, HMCL’s R&D work with various
technology partners is also progressing well. It has test fired coupled of new
engines (100cc & 250cc) developed with technology partners. Moreover, to
further extend the partnership for offering a wide range of technologically
advanced two-wheelers, HMCL has invested USD25m for 49.2% stake in Erik
Buell Racing (EBR). It intends to launch several new products.
Launches margin transformation project:
To emerge as India’s top-tier
player in terms of productivity and cost excellence, HMCL has launched the
Margin Transformation Project. Cross-functional teams along with third-
party experts are working on multiple projects to make a leaner and
productive company.
Programs to identify future leaders, cross-pollination of ideas:
HMCL has
launched two other projects that could be transformational – (1) third-party
assessment centers to assess employee potential with the intent to identify
future leaders, without carrying legacy baggage of an in-house review
system, and (2) the Hero Ideas portal, which acts as a bridge between bright
young performers and facilitates cross-pollination of ideas with the
Managing Director.
Expect demand recovery in 2HFY14; valuations attractive
Good monsoon gives hope of demand revival:
Prospects of a good
monsoon provide hopes of a revival in consumer sentiment (particularly in
rural India) and consequently in two-wheeler demand in 2HFY14. Overall,
we expect the two-wheeler industry to grow by 8% in FY14.
HMSI – growth to remain healthy but expect moderation in FY14:
We
expect HMSI to continue its growth momentum, driven by network
expansion, recent launches and capacity addition, resulting in continued
market share gains. However, the pace of outperformance is likely to slow
down in FY14. HMSI has already reaped the low hanging fruits in FY13 –
high waiting period for popular models (Activa and
Shine)
and product
introduction into the largest segment (executive motorcycles, 65%).
HMCL would be the biggest beneficiary of normal monsoon
and
consequent demand recovery in 2HFY14, led by rural markets. Over 45% of
its sales come from rural India. Strong franchise of
Splendor
and
Passion,
and wide distribution reach make it best placed to benefit from demand
recovery, especially in rural markets. Further, product flow is now turning
favorable for HMCL, with several launches lined up for the next 6-9 months.
Valuations attractive; Buy:
Valuations at 17.1x/12.6x FY14/FY15E EPS and
dividend yield of 3.4%/3.6% for FY14/15E are attractive.
Buy.
19 August 2013
2

Hero Honda
scooter is not the same as
buying a TV or a mobile
phone. There are recurring
costs, which can only be
effectively met through a
strong sales and
distribution network
Mr Brijmohan Lal Munjal,
Chairman
Buying a motorcycle or a
Highlights from Chairman’s message
HMCL’s performance was adversely impacted (particularly in 2HFY13) due to
continuing economic hardship and also due to HMCL’s product pipeline being in
transition phase.
However, past experience suggests that the two-wheeler industry could be on
the verge of recovery, driven by higher consumer spending following good
monsoons and pre-election spending ahead of National Elections in 2014.
HMCL remains optimistic on the large opportunity in rural markets over the
medium to long term.
Drivers of rural prosperity such as MNREGA scheme coupled with the ongoing
direct beneficiary subsidy transfer scheme will continue to drive transformation
and growth in rural markets.
HMCL’s strategic advantages of strong sales and distribution network and
consequent lowest ownership cost are difficult to scale and replicate.
By maintaining these advantages, HMCL plans to maintain and grow its
leadership position further.
Looking ahead, I foresee
Highlights from Managing Director’s message
the emerging tailwinds of
recovery and opportunity
gradually overcoming the
headwinds of competition
and economic hardships
Mr Pawan Munjal,
Managing Director
Despite a challenging FY13, HMCL remains positive and is committed to all its
expansion plans.
HMCL has forayed into new international markets – Africa, Latin America and
Central America. With the appointment of new distributors, showrooms and
workshops, exports would increase in the coming months. It has already set up
assembly operations in Sri Lanka and Kenya. Moreover, it has created a new
vertical with dedicated manpower to drive the international push.
HMCL has launched a ‘Margin Transformation Project’ whereby a cross-
functional team together with third-party experts would aim at improving the
productivity and profitability levels.
Initiatives on new product development are progressing well and are ahead of
HMCL’s expectations. HMCL has also successfully test-fired two new engines
(100cc and 250cc engine).
Over the next few months, HMCL plans several launches (both upgrades and
new products).
Initiatives to consolidate market position
Becoming self-reliant on R&D capabilities
Foray into new international markets
Launches three transformation projects
Further strengthening of core advantage of reach, service network
Setting up of captive finance arm
Expansion plans on track, notwithstanding near-term concerns
19 August 2013
3

Hero Honda
Based on its on-going
initiatives in R&D, HMCL is
planning several new
launches including new
products over the next few
months
1.
Considerable progress on becoming self-reliant on technology
Apart from scale-up of in-house R&D capabilities, HMCL’s R&D work with
various technology partners is also progressing well.
It has test fired coupled of new engines (100cc & 250cc) developed with
technology partners.
Moreover, to further extend the partnership for offering a wide range of
technologically advanced two-wheelers, HMCL has invested USD25m for 49.2%
stake in Erik Buell Racing (EBR).
R&D’s focus would be on four key planks:
Refurnishing existing platforms
Developing products with alternate fuel options
Compliance with stringent safety and environment norms
Achieving cost competitiveness through VA/VE and innovative cost
reduction ideas
HMCL is planning several new launches (including new products) over the next
few months.
2. Forays into new international markets in FY13
In line with the ambition to become a global two-wheeler major, HMCL made an
international foray in FY13 covering Africa, Latin America and Central America.
To support international operations, HMCL has already set up assembly
operations in Sri Lanka and Kenya.
HMCL has entered Africa (industry size: ~2m units) and Central America
(industry size: ~4m units) in 1QFY14.
While brand awareness is low, HMCL plans to have big product launches, state
of the art infrastructure, etc, to build its brand in various export markets.
Depending on the market requirements, HMCL would explore the choice of
business model in export markets (CKD/SKD operations, full-fledged
manufacturing set-up, etc).
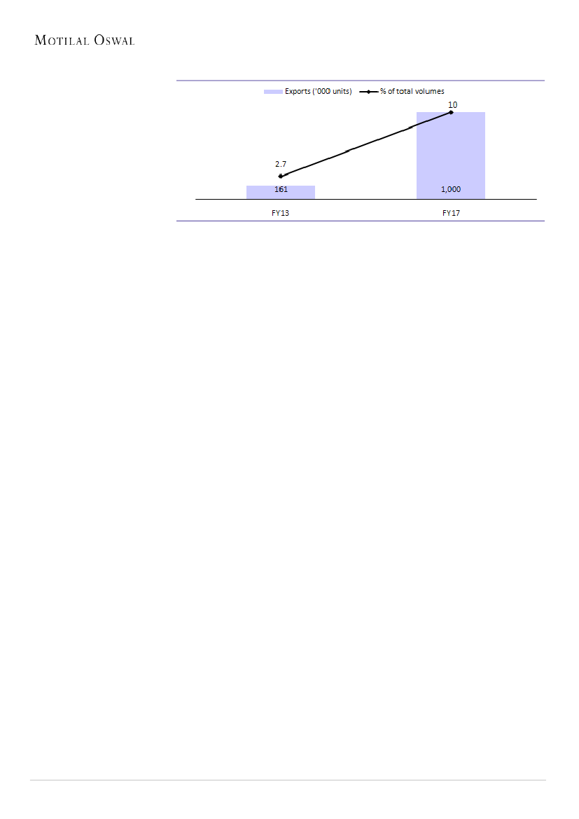
HMCL has guided export volumes of 350,000 for FY14 and 1m by FY17.
Distributor
NGM
ABANS
Products Introduced/Launched
Introduced Hero Xtreme, Pleasure
Launched HF Deluxe, HF Dawn, Splendor Pro, Splendor NXG,
Super Splendor, Glamour, Passion Pro, Karizma ZMR, Hunk,
Xtreme, Achiever
Launched Hunk, Karizma, Glamour, HF Dawn, Splendor NXG,
Super Splendor, Achiever
Source: MOSL, Company
Markets
Nepal
Sri Lanka
Central America
(Guatemala, El
Salvador and
Honduras)
Indy Motos
Group
19 August 2013
4

Hero Honda
Exports to constitute 10% (1m units) of total volumes by FY17
Source: MOSL, Company
3. Launches three transformation projects
Margin Improvement
Third-party employee assessment to identify future leaders
Cross-pollination of ideas between young performers and MD
Margin transformation project
To emerge as India’s top-tier player in terms of productivity and cost
excellence, HMCL
has launched the Margin Transformation Project.
Cross-functional teams, along with third-party experts are working on
multiple projects to make a leaner and productive company. A team of 300
people is working on various projects to improve efficiencies and improve
profitability.
HMCL has initiated over 50 quality improvement projects with supply chain
partners to ensure better quality products. To tackle the increasing cost
pressure on HMCL as well as on suppliers, a new department called
‘Achieving Cost Excellence’ (ACE) has been set up to optimize cost
performance.
This project is expected to yield benefits gradually from 3QFY14 in areas like
logistics, labor, etc. Major benefits are expected after 12-15 months.
Overall, the management expects a benefit of 400-500bp over 24-30
months.
Third-party employee assessment to identify future leaders
HMCL has set up third-party assessment centers to assess employee
potential, with an eye on identifying future leaders, without carrying some
of the legacy baggage of an in-house review system.
Cross-pollination of ideas between young performers and MD
The company has set up a unique Hero Ideas portal, which acts as a bridge
between bright young performers and facilitates cross-pollination of ideas
with the Managing Director.
A team of 300 people is
working on various projects to
improve efficiencies and
profitability of the
company
19 August 2013
5

Hero Honda
HMCL’s key strategic focus
is on building a steady and
robust product portfolio
across categories and on
exploring growth
opportunities globally.
4. Further strengthening core advantage of reach, service network
a. Service Har Jagah (Increasing accessibility)
b. Sure (Facilitating product upgradability)
c. GoodLife Programme (Customer engagement)
d. Hero Advantage (Low cost of ownership)
a. Service Har Jagah (Increasing accessibility)
It is also working on
continuously improving
operational efficiency,
aggressively expanding
customer reach, investing in
brand building, and
ensuring customer and
shareholder delight.
In 2009, HMCL kick-started a project to increase and improve reach across
unrepresented geographies through a unique program called Service Har Jagah.
Today, on an average, it conducts ~8,500 service camps per month, covering
over 7,500 villages.
HMCL was partnering 560 dealers to push this initiative into the hinterland and
84 new dealers were added in FY13.
Focus on further strengthening reach continues (touchpoints)
Source: MOSL, Company
b. Sure (Facilitating product upgradability)
To strengthen its appeal among two-wheeler aspirants (both new and old),
HMCL has started a refurbishment and exchange business called Sure.
The program faced some teething challenges in multiple states, as there were
certain state taxation issues relating to second-hand sales. These are now
gradually getting resolved. In FY13, Sure was re-launched in Kerala, Gujarat,
Jharkhand and Tamil Nadu.
More than 100 dealers across these states are offering resale and refurbishment
facilities
at their showrooms and workshops.
c. GoodLife Program (Customer engagement)
Customer satisfaction is at
the heart of Hero
MotoCorp’s business
strategy. SAP data shows a
secular decline in the
number of customer
complaints over the last
three years, but the journey
to enchant the customer
through better products
and services continues.
The Hero GoodLife Program was conceived to enhance customer satisfaction
and initiate higher levels of member engagement by making them brand
ambassadors to generate referral sales and boost service visits.
The program also had as its objectives, increased revenue opportunities for
dealers and increase in customer volumes as well as volume of transactions.
GoodLife has not only managed to successfully build a consolidated base of
150m plus loyal customers, but has also seen the emergence of a new
distribution platform for HMCL.
During FY13, over 10m transactions were processed under GoodLife and 13% of
vehicle sales in FY13 were through member referrals.
6
19 August 2013

Hero Honda
d. Hero Advantage (Low cost of ownership)
In FY13, HMCL rolled out its ambitious warranty program, Hero Advantage. This
unique program, which can be registered online, is the most competitively
priced in the two-wheeler industry. It covers the longest distance (70,000 km),
provides the longest warranty (up to five years) and encompasses the largest
number of components.
The program is tailored to help Dealers / SSPs retain customers, and in the
process, help them improve revenue from the sale of spares and services.
Hero Advantage was launched in 2009, and went national in FY13. Over 9.5m
policies have been sold, with over 45% retail conversion.
5. Captive retail financing arm to cover 450 dealers by FY15
HMCL has launched its captive retail financing arm in Delhi and its service would
be shortly extended to the National Capital Region (NCR) and then to the rest of
the northern market.
The initial plan is to make Hero FinCorp Services available at ~200 dealerships by
March 2014 and extend it to 450 dealerships by March 2015.
HMCL already has tie-ups with various bankers/financiers such as HDFC Bank,
IndusInd Bank, Shriram City Union Finance and Fullerton to offer easy financing
to customers.
6. Expansion plans on track notwithstanding near-term concerns
HMCL is investing ~INR25.5b over the next two years to expand capacity, global
parts center and R&D center.
It would be expanding capacity by ~1.95m units to ~9m units, with 0.7m units at
Neemrana becoming operational by 4QFY14 and 1.2m units at Gujarat getting
operational by FY15.
Aggressive expansion plans
Capacity Capex
Commence
Comments
(m units) (INR b) Operations by
4th plant at Neemrana
0.75
4.0
4QFY14
5th plant at Gujarat
1.20
11.0
FY15
Expandable to further 1.8m units
R&D centre at Rajasthan
4.0
2QFY14
India's largest 2W R&D centre
Capacity expansion at other plants
5.0
Global Parts Centre (GPC)
1.5
4QFY14
Hero Fincorp (Retail finance arm)
To cover 450 dealers by FY15
Source: MOSL, Company
Particulars
19 August 2013
7

Hero Honda
Operating and financial highlights
Weak consumer sentiment, transition phase impacted growth in FY13
Consumer sentiment was impacted in FY13 due to poor rains, high interest rates
and fuel prices, and moderation in economic growth.
Moreover, this coincided with transition phase for HMCL’s product brands from
Hero Honda to Hero MotoCorp, resulting in sales volume decline of 2.6% against
industry growth of 2.4%.
Hero’s market share declined by 2% in the domestic two-wheeler industry in
FY13 to 43%.
Hero lost 200bp market share in domestic 2Ws in FY13
Domestic 2W industry volumes grew by 2.7% in FY13
Source: MOSL, Company
Source: MOSL, Company
Hero’s domestic 2W volumes declined on 5% drop in
motorcycle volumes
Exports declined due to high import duty levy in Sri Lanka
Source: MOSL, Company
Source: MOSL, Company
19 August 2013
8

Hero Honda
Domestic motorcycle industry sales were flat in FY13
Hero lost 300bp market share in domestic motorcycles
Source: MOSL, Company
Source: MOSL, Company
Domestic scooter industry sales grew by 13% in FY13
Hero gained ~280bp market share led by Maestro launch
Source: MOSL, Company
Source: MOSL, Company
Net sales grew 7.7%, led by increase in realizations
Capacity utilization dropped in FY13
Source: MOSL, Company
Source: MOSL, Company
19 August 2013
9

Hero Honda
RM cost declined marginally on stable commodity cost
Employee cost increased due to operating de-leverage
Source: MOSL, Company
Source: MOSL, Company
Royalty amortization increased in FY13 on weaker currency
Higher ad spends in FY13 to implement brand transition
Source: MOSL, Company
Source: MOSL, Company
EBITDA margin shrank on higher ad spends, volume decline
Tax to rise on partial expiry of tax incentives on Haridwar
Source: MOSL, Company
Source: MOSL, Company
19 August 2013
10

Hero Honda
EPS declined by 11% on weak volumes, margin pressure
Cash flows
Source: MOSL, Company
Source: MOSL, Company
WC days up on higher debtor and lower creditor days
Dividend payout increased to 65% in FY13
Source: MOSL, Company
Source: MOSL, Company
Return ratios remain strong but moderated in FY13
Surplus cash increased to INR35b as at March 2013
Source: MOSL, Company
Source: MOSL, Company
19 August 2013
11

Hero Honda
Financials and valuation
19 August 2013
12

Hero Honda
Financials and valuation
19 August 2013
13

Hero Honda
This report is for personal information of the authorized recipient and does not construe to be any investment, legal or taxation advice to you. This research report does not constitute an offer, invitation or
inducement to invest in securities or other investments and Motilal Oswal Securities Limited (hereinafter referred as MOSt) is not soliciting any action based upon it. This report is not for public distribution
and has been furnished to you solely for your information and should not be reproduced or redistributed to any other person in any form.
Unauthorized disclosure, use, dissemination or copying (either whole or partial) of this information, is prohibited. The person accessing this information specifically agrees to exempt MOSt or any of its
affiliates or employees from, any and all responsibility/liability arising from such misuse and agrees not to hold MOSt or any of its affiliates or employees responsible for any such misuse and further agrees
to hold MOSt or any of its affiliates or employees free and harmless from all losses, costs, damages, expenses that may be suffered by the person accessing this information due to any errors and delays.
The information contained herein is based on publicly available data or other sources believed to be reliable. While we would endeavour to update the information herein on reasonable basis, MOSt and/or
its affiliates are under no obligation to update the information. Also there may be regulatory, compliance, or other reasons that may prevent MOSt and/or its affiliates from doing so. MOSt or any of its
affiliates or employees shall not be in any way responsible and liable for any loss or damage that may arise to any person from any inadvertent error in the information contained in this report. MOSt or any
of its affiliates or employees do not provide, at any time, any express or implied warranty of any kind, regarding any matter pertaining to this report, including without limitation the implied warranties of
merchantability, fitness for a particular purpose, and non-infringement. The recipients of this report should rely on their own investigations.
This report is intended for distribution to institutional investors. Recipients who are not institutional investors should seek advice of their independent financial advisor prior to taking any investment decision
based on this report or for any necessary explanation of its contents.
MOSt and/or its affiliates and/or employees may have interests/positions, financial or otherwise in the securities mentioned in this report. To enhance transparency, MOSt has incorporated a Disclosure of
Interest Statement in this document. This should, however, not be treated as endorsement of the views expressed in the report.
Disclosure of Interest Statement
1. Analyst ownership of the stock
2. Group/Directors ownership of the stock
3. Broking relationship with company covered
4. Investment Banking relationship with company covered
HERO MOTOCORP LTD
No
Yes
No
No
Disclosures
Analyst Certification
The views expressed in this research report accurately reflect the personal views of the analyst(s) about the subject securities or issues, and no part of the compensation of the research analyst(s) was, is,
or will be directly or indirectly related to the specific recommendations and views expressed by research analyst(s) in this report. The research analysts, strategists, or research associates principally
responsible for preparation of MOSt research receive compensation based upon various factors, including quality of research, investor client feedback, stock picking, competitive factors and firm revenues.
This report is not directed or intended for distribution to or use by any person or entity resident in a state, country or any jurisdiction, where such distribution, publication, availability or use would be contrary
to law, regulation or which would subject MOSt & its group companies to registration or licensing requirements within such jurisdictions.
Regional Disclosures (outside India)
This report is intended for distribution only to persons having professional experience in matters relating to investments as described in Article 19 of the Financial Services and Markets Act 2000 (Financial
Promotion) Order 2005 (referred to as "investment professionals"). This document must not be acted on or relied on by persons who are not investment professionals. Any investment or investment activity
to which this document relates is only available to investment professionals and will be engaged in only with such persons.
For U.K.
Motilal Oswal Securities Limited (MOSL) is not a registered broker - dealer under the U.S. Securities Exchange Act of 1934, as amended (the"1934 act") and under applicable state laws in the United
States. In addition MOSL is not a registered investment adviser under the U.S. Investment Advisers Act of 1940, as amended (the "Advisers Act" and together with the 1934 Act, the "Acts), and under
applicable state laws in the United States. Accordingly, in the absence of specific exemption under the Acts, any brokerage and investment services provided by MOSL, including the products and services
described herein are not available to or intended for U.S. persons.
This report is intended for distribution only to "Major Institutional Investors" as defined by Rule 15a-6(b)(4) of the Exchange Act and interpretations thereof by SEC (henceforth referred to as "major
institutional investors"). This document must not be acted on or relied on by persons who are not major institutional investors. Any investment or investment activity to which this document relates is only
available to major institutional investors and will be engaged in only with major institutional investors. In reliance on the exemption from registration provided by Rule 15a-6 of the U.S. Securities Exchange
Act of 1934, as amended (the "Exchange Act") and interpretations thereof by the U.S. Securities and Exchange Commission ("SEC") in order to conduct business with Institutional Investors based in the
U.S., MOSL has entered into a chaperoning agreement with a U.S. registered broker-dealer, Motilal Oswal Securities International Private Limited. ("MOSIPL"). Any business interaction pursuant to this
report will have to be executed within the provisions of this chaperoning agreement.
The Research Analysts contributing to the report may not be registered /qualified as research analyst with FINRA. Such research analyst may not be associated persons of the U.S. registered broker-
dealer, MOSIPL, and therefore, may not be subject to NASD rule 2711 and NYSE Rule 472 restrictions on communication with a subject company, public appearances and trading securities held by a
research analyst account.
For U.S.
Motilal Oswal Capital Markets Singapore Pte Limited is acting as an exempt financial advisor under section 23(1)(f) of the Financial Advisers Act(FAA) read with regulation 17(1)(d) of the Financial
Advisors Regulations and is a subsidiary of Motilal Oswal Securities Limited in India. This research is distributed in Singapore by Motilal Oswal Capital Markets Singapore Pte Limited and it is only directed
in Singapore to accredited investors, as defined in the Financial Advisers Regulations and the Securities and Futures Act (Chapter 289), as amended from time to time.
In respect of any matter arising from or in connection with the research you could contact the following representatives of Motilal Oswal Capital Markets Singapore Pte Limited:
Kadambari Balachandran
Email : kadambari.balachandran@motilaloswal.com
Contact: (+65) 68189233 / 65249115
Office address: 21 (Suite 31), 16 Collyer Quay, Singapore 049318
For Singapore
Motilal Oswal Securities Ltd
19 August 2013
Motilal Oswal Tower, Level 9, Sayani Road, Prabhadevi, Mumbai 400 025
Phone: +91 22 3982 5500 E-mail: reports@motilaloswal.com
14