23 August 2013
Initiating Coverage |
Sector: Financial
Bajaj Finance
Building scale with profitability
Sunesh Khanna
(Sunesh.Khanna@motilaloswal.com) +91 22 3982 5521
Alpesh Mehta
(Alpesh.Mehta@MotilalOswal.com); + 91 22 3982 5415
Investors are advised to refer through disclosures made at the end of the Research Report.

Bajaj Finance
Bajaj Finance: Building scale with profitability
Page No.
Summary
................................................................................................................
3-4
Well-entrenched business model.......................................................................... 5-6
Diversification de-risks earnings and growth profile
........................................
7-13
Above industry growth rates, superior margins to sustain
............................
14-17
Diversification, better risk management reflected in asset quality
...............
18-19
Capital raising to suffice 3-year growth requirements
.........................................
20
Impressive execution, superior return ratios
...................................................
21-24
Financials and valuation
...................................................................................
25-26
23 August 2013
2

23 August 2013
Initiating Coverage |
Sector: Financial
Bajaj Finance
BSE SENSEX
S&P CNX
18,313
5,408
CMP: INR1,092
TP: INR1,520
Buy
Building scale with profitability
Above industry growth, superior return ratios to sustain
Bloomberg
Equity Shares (m)
M.Cap. (INR b)/(USD b)
52-Week Range
1,6,12 Rel.Perf.(%)
BAF IN
49.8
54.4/0.8
1,591/991
-10/-7/1
Financials & Valuation (INR b)
Y/E March
NII
PPP
PAT
EPS (INR)
EPS Gr. (%)
2013 2014E 2015E
17.2
10.5
5.9
119
21
22.5
13.8
7.5
150
26
800
3.7
20.3
15.0
7.3
1.4
28.0
17.4
9.0
181
21
949
3.5
20.7
15.0
6.0
1.1
2.5
Bajaj Finance (BAF) has transformed from a captive two-wheeler financier to a
diversified lender (Consumer, SME, Commercial), and is now building scale with
profitability.
Well-entrenched business model comprises businesses that are either profit
maximizers (generate RoA of over 5%) or scale builders (generate RoA of over 2.5%).
Diversification of product portfolio de-risks growth/earnings profile and mitigates
the risk arising from a particular segment or any adverse regulatory clampdown.
In the last three years, BAF has outpaced its peer group in growth and earnings; we
expect the strong business momentum to continue.
Improvement in risk management has led to historic low GNPA/NNPA at 1.1%/0.2%,
despite a challenging macro environment and operations in high-risk segments.
We initiate coverage with a Buy rating and target price of INR1,520 (1.6x FY15E BV of
INR949).
Well-entrenched business model
BAF has successfully transformed from a captive two-wheeler financer to a
diversified non-banking finance company (NBFC). It has fine-tuned its lending
model and redrawn its target segment, with a focus on affluent customers, high
value products and distribution network. Its business lines are complementary,
balancing risk. Its well-entrenched business model comprises businesses that
are either profit maximizers or scale builders. Profit maximizing businesses
include consumer durable loans, two-wheeler loans, personal/small business
loans and loans against shares, which generate RoA of over 5%. Scale building
loans include mortgage loans, loans against property, construction equipment
and infrastructure finance, which are of larger ticket size and generate RoA of 2-
2.5%.
BV/Share (INR) 676
RoA on AUM (%) 3.8
RoE (%)
Payout (%)
Valuations
P/E (x)
P/BV (x)
21.9
15.0
9.2
1.6
Div. Yield (%)
1.4
2.1
Price as on 22 August 2013
Share holding pattern (%)
As on
Jun-13 Mar-13 Jun-12
Promoter
62.1
62.1
62.3
Dom. Inst.
9.7
11.2
11.6
Foreign
8.7
6.9
6.7
Others
19.4
19.8
19.4
Diversification de-risks earnings and growth profile
With 10 business lines and rural lending foray underway, BAF is one of India's
most diversified NBFCs. Its diversified portfolio de-risks growth/earnings
profile, as weakness in a particular segment (ongoing slowdown in CVs/cars and
infrastructure segment) or impact of regulatory changes in a particular business
segment (tightening of regulatory norms for gold finance) can be absorbed by
other segments.
Stock performance (1 year)
Above industry growth rates, superior margins to sustain
BAF has been a key beneficiary of strong retail credit demand, which is reflected
in its business growth - loans grew ~3.5x in the last three years. Its loan book
posted 60% CAGR over FY09-13, significantly outpacing the peer group. We model
loan CAGR of ~28% over FY14-16. BAF has been able to maintain superior margins,
despite a rising interest rate environment and change in loan book in favor of
3

Bajaj Finance
lower yielding secured assets. Margins for FY13 were 11.7%, way above the peer
group. We estimate 100bp margin compression over the next three years due to a
change in loan mix in favor of secured loans. However, margins will still be healthy at
over 10.5%, higher than the peer group.
Diversification, better risk management reflected in asset quality
Strong asset quality performance (NPLs at historic lows - GNPA/NNPA at 1.14/0.25%
are among the least in the NBFC space) is a reflection of BAF's better risk management
practices and diversification strategy. Despite the challenging macroeconomic
environment and the company operating in high risk segments, its focus on affluent
segments, enhanced usage of credit bureau (CIBIL) and strong risk management
framework have ensured best-in-class asset quality, even in the riskier segments.
Impressive execution, superior return ratios; initiate coverage with Buy
Strong core operating performance and faster-than-expected turnaround in
operations demonstrate the management's superior execution skills. Superior
margins, focused fee income strategy and control over cost ratio will keep core
operating profitability strong. Strong loan growth momentum coupled with stable
asset quality and low credit costs would drive BAF's earnings at 21% CAGR over FY14-
16. We expect RoA/RoE to remain strong at over 3.4%/21% during FY14-16. We initiate
coverage with a
Buy
rating and target price of INR1,520 (1.6x FY15E BV of INR949).
Key operating matrix (%)
Yields on loans
Cost of funds
NIMs
Cost / Income
CAR
Tier 1
GNPA
RoE
RoA
EPS (INR)
EPS Growth
BVPS (INR)
FY10
25.3
8.3
18.8
44.7
28.0
26.0
7.60
8.0
2.5
24.4
163.6
314.9
FY11
22.7
7.5
15.0
44.5
20.0
16.8
4.30
19.7
3.8
67.4
176.0
370.8
FY12
20.4
8.8
12.2
46.9
17.5
15.0
1.2
24.0
3.8
98.4
45.9
487.0
FY13
20.2
10.2
11.7
44.7
22.0
18.7
1.1
21.9
3.8
118.8
20.8
676.4
FY14E
19.5
10.0
11.5
43.6
21.0
18.0
1.30
20.3
3.7
150.1
26.4
800.2
FY15E
19.0
9.3
11.1
42.4
20.0
17.0
1.60
20.7
3.5
181.1
20.6
949
23 August 2013
4

Bajaj Finance
Well-entrenched business model
Offers a bouquet of 10 products under three business segments
Focus on businesses that are either profit maximizers or scale builders.
Business segments — Consumer, SME and Commercial -- are designed to effectively
leverage BAF's large customer base to cross sell various products.
Business model marks competitive edge over other NBFCs on risk and growth profile.
Business model comprises of products that are either profit maximizers or scale
builders. Profit maximizing businesses are consumer durable loans, two-wheeler
loans, personal/small business loans and loan against shares, which generate superior
RoA of over 5%. For FY13, these segments constituted 57% of disbursements and 50%
of loan book. Scale building loans include mortgage loans, loan against property,
construction equipment and infrastructure finance, which are of larger ticket and
high duration products which generate RoAs of 2-2.5%. These loan segments formed
43% of disbursements and 50% of loan book. The unique combination of these
business lines led BAF to build a sustainable and scalable business model, with
superior return ratios.
Business mix generates superior returns or helps to build scale
Business model is
designed to ensure
healthy profitability
coupled with scale
Business Model
Large ticket
2-2.5% RoAs
High Churn
4-5% RoAs
loans
Profit Maxmisers
Scale Builders
Consumer
Durable
2 Wheeler
Loans
Mortgage
Loan
Against
Property
Loan against share
Construction equipment loan
Source: Company, MOSL
BAF offers a bouquet of 10 products under three business segments — Consumer,
SME and Commercial — and effectively leverages its large customer base to cross sell
various products and achieve higher growth by gaining market share in certain sectors.
Company is among the few organised lender in two-wheeler and consumer durable
financing segments and recently added lifestyle financing, which is also unique (BAF
being the sole lender) as it gives the edge to expand its bouquet of untapped consumer
business
23 August 2013
5

Bajaj Finance
BAF's unique business model marks a competitive edge over other NBFCs on two
counts - firstly the company focuses on three verticals with 10 business lines for
growth, compared to the single product focus in other NBFCs such as CV finance, gold
finance, car finance, home finance or infrastructure finance. Secondly, BAF has a
stronger customer focus on HNI and ultra HNI segments by offering innovative products
and superior customer experience.
Business lines cater to needs of varied clientele
High net worth Clients
BAF has a stronger
customer focus on HNI
and ultra HNI segments
by offering innovative
products and superior
customer experience
Affluent
Mass affluent
Mass clients
2wheeler & 3
wheeler finance
Consumer durables
salaried & cross
sell PL
SME
Commercial
Source: Company, MOSL
Products mix; Well tailored to tap the customer through life cycle
Consumer
Consumer durable financing
SME
Commercial
Construction Equipment
finance
Mortage - LAP and HL
Diversification reduces
risk viz-viz monoline
financiers
Lifestyle Financing
2 Wheeler & 3 wheeler
finance
Personal loan cross sell
Salaried loan
Small business loans
Secured auto
vendor finance
Loan against securities
Infrastructure finance
Cross sell - Life/General insurance, Extended warranty & credit card
Source: Company, MOSL
23 August 2013
6

Bajaj Finance
Diversification de-risks earnings and growth profile
Strategic presence in untapped segments or businesses where it has
regulatory/competitive advantage
BAF evolved from being a captive financier to one of the most diversified non banking
finance company, with 10 business lines.
Multiple business lines helps mitigate risk.
Business lines are designed to complement each other and tap the needs of customers.
BAF operates with 10
business lines: viz
consumer , SME &
commercial
BAF operates with 10 business lines and is in the process of foraying in rural lending.
With 11 business lines, it is one of the most diversified non banking finance company.
It has been taking consistent steps to evolve a lending model, whereby it aims to
build a loyal and captive customer base; catering and cross selling to a wide variety of
their needs. Business lines are designed to complement each other. Company is
strategically present in businesses where it has regulatory/competitive advantage or
in untapped/under-penetrated segments.
Strategic focus on segments where it has competitive/regulatory edge or untapped/under
penetrated segments
2wheeler & Consumer Business
(Captive financier for Bajaj
Auto, Only organised player in
INE 400b CD market & lifestyle
financing)
Loan against shares &
promoter funding (Banks
operate with restriction in
these segments)
Competitive Edge
Strategic
Presence
Regulatory Edge
Under penetrated
areas
Small business finance, LAP
(Underpenetrated markets
with significant potential)
Source: Company, MOSL
Multiple product
offerings mitigates risk as
well as open up cross
selling avenues
Diffrent product offerings enable to de-risk the portfolio and cross sell to prudent
customers. Diversification of product portfolio also de-risks growth/earnings profile
as weakness in a particular segment (ongoing slowdown in CV/cars and infrastructure
segment) or regulatory changes (tightening of regulatory norms for gold finance
NBFCs) can be absorbed by other faster growing segments.
23 August 2013
7

Bajaj Finance
Loan mix FY13; SME business forms ~50% of loan book
Source: Company, MOSL
BAF has developed
strong forte in consumer
electronic business.
Consumer line of businesses: Customer acquisition engine
BAF has been able to capture the untapped potential in consumer and small business
lending. Small businesses and consumer segments' access to finance was a constraint
for several years, as most players in the segment quit post FY08-10 shakeout. However,
BAF capatilised this opportunity as it reduced stiff competition in consumer financing
and imparted pricing power to incumbents like BAF.
BAF focused on consolidating the distribution franchise, rationalizing locations and
dealer network, changed the pattern of sourcing and collections and turned the risk-
reward in its favor by realigning and diversifying products and customer segments. It
also streamlined the processes and hiried/invested in key personnel.
Consumer electronic busines acts as a customer acquisition engine; BAF cross sells other products
to credit tested customers
Consumer durable business:
A customer acquisition engine
Acquire new customers(Aquired 2.8m new clients in FY13)
Credit test consumer
Cross sell products to credit tested customers
Source: Company, MOSL
23 August 2013
8

Bajaj Finance
Consumer electronic financing:
BAF is the largest consumer electronic lender in India.
It focuses on affluent customers and is among few organized player in consumer
financing industry, with ~14% market share (as on 1QFY14). Company has a unique
proposition in consumer durables. It finances only high value items such as LCD,
refrigerators and air-conditioners and effectively competes with credit cards. BAF
has invested considerable resources to reduce the turnaround time for loan
applications, from a few hours to 15 minutes, thus allowing it to compete with credit
cards in this segment. The turnaround time is maintained due large inhouse database
and better data availability with the Credit Information Bureau India Ltd (CIBIL).
Largest consumer electronics lender in India, with 14% market share; BAF aims to increase market share to over 25% in next five
years Increasing market share in consumer electronics market (%)
(%)
Source: Company, MOSL
Economics of consumer electronic financing
A customer availing a durable loan from BAF pays 0% interest, which has a duration of
eight months and is required to make 30% down payment for the product. In this BAF
earns 1-1.5% from processing fee and entire spread from the manufacturer (5-12% of
product value), who gives a subvention for the customer's purchase.
Consumer durable
business is a customer
acquisition engine and is
strategic for other lines of
business
Demand for consumer durables (26% of BAF's FY13 disbursements), mainly in the
premium product space (such as LED/LCD), continues to remain robust driven by the
mass affluent and affluent segment of customers. Manufacturers increasingly expect
to use the finance option to stimulate such sales as subvention plans have provided
better results, compared to advertisement spends and promotional activities done
by manufacturers.
Consumer durable business is a customer acquisition engine and is strategic for other
lines of business. BAF acquires customers and cross sell products to prudent and
credit tested customers, enabling it to reduce loan losses in other lines of business.
We expect consumer durable disbursements to post a 30% CAGR (FY14E-16E), with its
contribution to overall disbursements remaining stable at 23-24%.
23 August 2013
9

Bajaj Finance
Two-wheeler financing:
BAF is the largest two-wheeler lender in India and with
disbursements of INR3.4b in FY13 it has ~20% market share in the business. The business
is focused on semi-urban and rural markets and currently contributes 30% of Bajaj
Auto's domestic two-wheeler sales. BAF continues to leverage on Bajaj Auto's
distribution network to build its 2/3 wheeler loan book. Currently, company is present
in 571 dealerships and has access to over 1,700 sub-dealers across India. Two-wheeler
loans form ~21% of BAF's loan book and we expect this to decline to 18% by FY15E,
mainly due to a shift in favor of SME loans.
Number of loans disbursed( 2 Wheeler)
Largest two-wheeler financier with 20% market share (%)
Source: Company, MOSL
Cross sells products to credit tested customers:
BAF has an in-house customer database
of over 5m individuals and it processes close to 1m customers every year. Company
has devised a strategy to cross sell products to creditworthy and thrifty customers.
This strategy is handy for other lines of business as they get a conservative customer
base with adequate creditworthiness to sell products with low probability of
delinquency and losses. Around 47% are repeat customers. To enable faster loan
appraisal for repeat customers, company provides an EMI card to all its consumer
durable customers.
Number of loans disbursed (Sales finance)
Source: Company, MOSL
23 August 2013
10

Bajaj Finance
The cost of acquiring a customer is ~2% of the loan amount; however a repeat customer
can be sourced for as low as 0.1% of the loan amount. To reap the benefits, BAF has
made concerted efforts to use its database to identify cross selling options. The strategy
has started to reap benefits as 11,000 of its consumer durable customers have home
loans of over INR2m and can be customers for SME loans.
foray into lifestyle
financing reflects
continous innovation
products innovation in
consumer segment
Lifestyle financing
On the lines of consumer electronic financing, BAF has forayed into lifestyle financing.
The products financed will be home improvement and furniture, modular kitchens,
digital lifestyle products etc. Company is operating in 18 cities and has tie-ups with 19
lifestyle brands such as @Home, Duria, Evoke, Hypercity, Godrej Interio, Home Time
etc. The loan amount is in the range of INR30,000 to INR0.7m, tenure of 8-10 months
and is being offered at 0% interest to consumers; however, BAF gets a subvention
from manufacturers which works out at IIR of ~23%. Company has a loan book of
INR2.5b and aims to disburse INR5b in FY14.
SME lines of business
SME lines of business focus on high net worth SMEs for meeting the working and
growth capital requirements.
Catering to SMEs' requirements through varied products
Working capital
requirements
Small business loans
SME
Businesses
Growth capital
requirements
Loan against property
Collateral capital
requirement
Loan against shares
Source: Company, MOSL
Small business loans:
Small business loans (SBL) are primarily for working capital
requirements, and the amount ranges between INR1-3m, with a maturity of 12-36
months. BAF is an established player in this segment, with 7% market share. SBL were
6.4% of disbursements and 7.9% of the loan book as in FY13.
Loan against property:
LAP has been one of the key growth drivers for BAF and with an
outstanding portfolio of INR58b, it formed 34.6% of the loan book in FY13. With
disbursements of INR44.3b in FY13, company is one of the top four loan originators
for LAP. BAF benefited from the prevailing high interest rate regime, which forced
small business borrowers to shift working/growth capital loans from banks (banks
23 August 2013
11

Bajaj Finance
offering loans upward of 16% for LAP product) whereas BAF offered loans at much
lower rates ~13% due to their secured nature. The ever increasing real estate prices
also supported to make LAP product an attractive proposition for both borrowers &
lender.
BAF took a new initiative for its mortgage customers by providing property search
services in its tie-up with Jones Lang Lasalle (JLL). This would facilitate company's
affluent customers locate and acquire suitable property, thereby giving end-to-end
solution and increasing loyalty.
BAF has also entered into an alliance with Central Bank of India (CBI) to co-finance
retail and SME loans, whereby the loans would be partially assigned to CBI on a periodic
basis. However, administration and servicing of loans will be managed by BAF. Company
intends to assign INR10b of co-financing loans over FY14 and will also earn upfront
fees (0.50-1.25%) and service charges (0.75-1%).
Rural foray will help to
generate PSL assets;
which will play a crucial
roal if it obtains new
banking licence.
Foray into rural market on pilot basis
BAF is planning to enter rural markets with the objective to give loans against free
assets like tractor, gold, commercial vehicles and insurance policies. Initial plan is to
start operations from 8-10 centres. However, management indicated it will be selective
and watchful of the portfolio behavior. The foray will also help it meet rural lending
criteria if it obtains a new banking licence.
Banking licence
Bajaj Finserv (parent of BAF) has applied for a banking licence and is a key and eligible contender in the race.
Management has stated that it will convert BAF into a bank on obtaining a licence. BAF has started preparations
for the same — launched the rural financing segment in June 2013 and brought a new CFO from HDFC Bank to
align the best practices with those of commercial banks. Currently, ~8% of loans comprise those to the priority
sector v/s 40% required for banks. We believe that BAF is a strong contender for banking licence; we analyze key
strengths and weakness of the group:
Advantages
Strong brand name and track record:
Bajaj Group has a robust brand name and is among the oldest business
houses. Through various companies, the group has a presence across several industries. Financial services
business has been in existence since 1987 through BAF and also has a strong presence in life and non-life
insurance business in India.
Diversified player:
Bajaj Finserv has a well diversified range of financial services: products lending, insurance
and wealth management. Lending business (through BAF) has a healthy mix of consumers, SME and
commercial finance segments.
Large footprint:
Bajaj Finserv at the group level has an existing customer base of 15m+ & presence at 1,000+
locations through its subsidiaries and also access to 550+ Bajaj Auto dealerships and 1,700+ sub-dealers.
Hurdles
Financial inclusion:
Bajaj Finserv has been focusing on the affluent segment of customers and thus does not
score very high in the objectives of financial inclusion.
Concentrated shareholding:
It has a concentrated shareholding structure, with 59% promoter holding-
company shareholding in Bajaj Finserv, with 40%+ promoter shareholding in promoter holding company.
Lending to group vendors and customers:
Bajaj Finserv has almost 21% of its book focused on financing
purchase of products of group companies. Hence, it does not bode well as RBI is not comfortable with
connected lending.
23 August 2013
12

Bajaj Finance
Products offering
Consumer Finance
Product offering
Product profile
2 Wheeler
financing
2-3 Wheelers
Consumer durable Lifestyle Finance
financning
White goods- TV, lifestyle
products - Home
AC, LEDs ect
improvements
and furniture
Personal Loans
Cross Sell
Offer existing
customers with
good repayment
history various
pre-approved
personal loan
offers
Salaried Personal
Loans
affluent salaried
employees
above a
threshold salary
range employed
with leading
companies
SME Finance
Mortgage & LAP
Affluent and
high net worth
small business
and self-
employed
customers,
offering loans
against the
mortgage of
retail,
residential and
commercial
premises
40 Cities
Business Loan
Commercial Lending
Vendor
Financing
This business
focuses on
Project Finance,
Corporate
Finance and
Mezzanine Debt
to infrastructure
companies/
projects
Construction
equipment
Construction
SME customers
unsecured loans Equipment
Finance
for their varied
business needs.
Distribution
Network
~571 dealers of
Bajaj Auto &
1,700 Sub
dealers
2,500 point of
sales in top 79
cities
Loan size range
Yield (%)
Duration (in
months)
% of Loan book
(FY13)
Key Competitors
30K
28
24
21
Unorganized
Players
50k
24
9
11
Credit
Cards
Partner chains
like @home,
EVOK, Hypercity,
Durian, Timbor,
Reliance Living
and Fitness One
IN top 19 cities
15K-3Lac
24
10
2
None
40 Cities
31 Cities
23
NA
0.1.-25m
16
36
7
Banks
0.1-2.5m
16
36
3.5
Banks
1-15m
13
60-84
34.6
Indiabulls
5m
18
NA
8
HDFC Bank
NA
NA
NA
7
SREI, Magma,
Shriram
NA
NA
NA
4.5
Banks & IFCs
23 August 2013
13

Bajaj Finance
Above industry growth rates, superior margins to sustain
To attain balance sheet scale via secured segments
BAF has delivered above industry growth and maintained high margins; we expect the
trend to continue.
Loan growth to outpace peer groups and NIMs to stay above 10.5% despite compression.
Operational efficiencies, restructuring of distribution network and increasing ticket size
will lead to improvement in cost ratios.
Earnings to post a CAGR of over 21% over FY14-16E.
BAF has developed a forte in consumer business by gaining the top slot in consumer
durables and two-wheeler financing. Despite being a late entrant in the LAP market,
company has done well in the segment and is among the top four originators. BAF has
delivered an above industry growth, while keeping high margins. It has been one of
the key beneficiary of strong retail credit demand, which is reflected from business
growth — AUMs have jumped 3.5x during the last three years. The loan book clocked
60% CAGR over FY09-13, significantly outpacing the peer group. We model the loan
book to post a CAGR of ~28% over FY14E-16E. BAF has been able to maintain superior
margins despite a rising interest rate environment and change in loan book in favor of
lower yielding secured assets.
Loan book to post 28% CAGR over FY14-16E; led by secured loans
BAF is focused on building a diversified consumer franchise and plans to attain balance
sheet scale via secured segments. Scaling up in secured product segments led to a
loan book CAGR of over 60% during FY10-13. Secured products are expected to drive
28% loans CAGR over FY14E-16E. These segments would form ~65% of the loan book
by FY16E, from ~50% currently.
Loan growth has outpaced peer group
INR (b)
Loan mix; shifting in favour of SME (%)
Source: Company, MOSL
23 August 2013
14

Bajaj Finance
Loan mix FY10; Consumer segment formed ~54% of loan book
Loan mix FY13; SME segment froms ~50% of loan book
Source: Company, MOSL
NIMs to moderate ~100bp over next two years, yet to remain over 10.5%
NII clocked a CAGR of 37% over FY11-13 led by healthy loan growth of over 50% in the
same period. NIMs for FY13 stood at 11.7%, much higher than the peer group. However
Incremental loan growth will be driven by secured but lower yielding lending such as
loan against property as the shift will be in favor of low yielding assets, we assume
the yield on advances to moderate.
We factor a margin decline of ~100bp over FY14E-16E on a moderation in margins
arising from the change in loan mix for lower yielding but secured lending towards
LAP and mortgages. However, despite some some pressure; margins to remain healthy
at 10.5%, which is superior to peer group.
NII grew at a strong pace despite margin compression; NII growth to remain strong
Source: Company, MOSL
23 August 2013
15

Bajaj Finance
Diversified source of funds; lowest funding cost among peers
Company has a diversified borrowing profile, with the source of funds comprising of
term loans from banks (constituted 57% of FY13 borrowings), NCDs and CPs (43%).
With a cost of borrowing at 10.2% in FY13, BAF has one of the lowest borrowings cost
among peers, highlighting its ability to raise funds at competitive rates from financial
institutions. BAF enjoys strong credit ratings of AA+ from Crisil and LAA+ from ICRA
due to strong parentage (Bajaj Finserv rated AAA). Improved financials, better and
stringent risk assessment process, regular capitalization enabled BAF to raise funds
at competitive rates.
BAF's incremental borrowing cost as in 1QFY14 was ~10%. However post RBI's recent
action the short term rates have spiked by 100--150bp, (with 9% share of short term
borrowing; overall cost of funds can increase by 15-20bp). However banks constitute
57% of total borrowings; in event of reduction in base rate (in 2H) could reduce BAF's
cost of funds. If the spike in short term rates is temporary and banks reduce base rates
in 2H; provides an upside risk to our margin estimates.
Funding Mix FY13: Diversified source of funds: (%)
Borrowing cost lower compared to peer group
Source: Company, MOSL
Earnings to clock 21% CAGR over FY14-16E
We estimate net profit to witness 21% CAGR over FY14E-16E driven by strong loan
growth (28% CAGR over FY14E-16E), stable credit costs (FY13 credit costs of 125bp)
and improvement in operating efficiency (cost to assets to improve by 100bp to 4.8%
over FY14E-16E). However, we have factored a margin decline of 100bp over FY14E-
16E, led by change in loan mix and increase in borrowing costs. Hence, we expect BAF
to report healthy return ratios, with RoA and RoE of 3.4% and 21% respectively over
the next three years.
23 August 2013
16

Bajaj Finance
Strong PAT growth from FY09-FY13 (INR m)
Source: Company, MOSL
Operational efficiencies, restructuring of distribution network and increasing
loan ticket size will lead to better cost ratios
BAF has aggressively been investing to build its presence across consumer retailing
chains for consumer durables financing and small business lending. It made huge
investments in technology upgradation and implemented a fully integrated lending
platform to streamline processing. These one-time investments resulted in higher
operating costs; since the investment phase is over; operating efficiencies will kick
in. Moreover, restructuring of distribution network and higher ticket loans will help
contain costs. We expect the cost to income ratio to decline to ~42% by FY16E, from
45% in FY13, and cost to assets to fall by 100bp over the next two years to 4.8%, from
existing 5.8%.
Cost to income ratio to decline over 205bp by FY16E (%)
Cost to average asset to improve by 100bp by FY16E (%)
Source: Company, MOSL
23 August 2013
17

Bajaj Finance
Diversification, better risk management reflected in
asset quality
Operating in riskier segments with safeguards
Focus on affluent segments, enhanced usage of credit bureau, product rationalization
and strong risk management framework have ensured best-in-class asset quality.
NPLs running at historic lows despite challanging macro environment and operations in
riskier segments.
Use of technology to keep a check on asset quality.
Focus on affluent
segments, enhanced
usage of credit bureau,
product rationalization
and strong risk
management framework
backed by technology has
ensured best-in-class
asset quality, even in the
high risk segments
Focus on affluent segments, enhanced usage of credit bureau, product rationalization
and strong risk management framework have ensured best-in-class asset quality,
even in the riskier segments. BAF's proposition of aggressive loan growth without
compromising the risk profile is clearly visible with NNPAs of 0.25%. BAF has seen a
marked improvement in the asset quality over the years, which is largely attributable
to the loan book mix and risk adjusted pricing approach. GNPAs and NNPAs stand at
1.14% and 0.25% respectively, while the coverage gets stronger at 78% as on 1QFY14.
BAF's strong credit origination practice has added to the strength, with credit cost
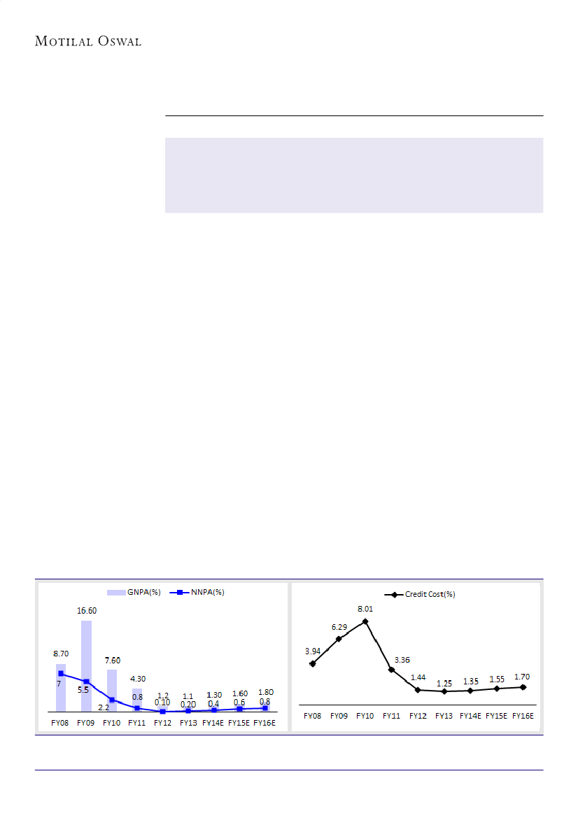
falling from 8% in FY10 to 1.25% in FY13. NPLs are running at historic lows and are one
of the best among the NBFC space. We believe the performance in containing the
asset quality is commendable despite the challanging macro environment and
operating in high risk segments.
Company's foray into commercial space through construction equipment (4.2% of
loan book) and infrastructure financing (2.6% of loan book) raised concerns, given its
lack of expertise and potentially lumpy NPL accretions, (In wake of fragile macro
environment). However, concerns on commercial segment receded, and the
construction equipment segment, which has been witnessing stress since June-2012,
saw an improvement during 4QFY13. Management believes the worst is over and will
continue to see an improvement, going forward. However, we estimate some uptick
in NPAs and credit cost; GNPAs to increase to 1.6% by FY15E, from existing 1.14%, and
credit cost to increase to 1.55% from 1.25% currently.
NPLs at historic lows
Credit cost to remain low
Source: Company, MOSL
23 August 2013
18

Bajaj Finance
How BAF has been able to maintain good asset quality
CIBIL checks maintain good asset quality in riskier consumer loans
Due to operations in riskier segments, BAF ensures that the asset quality is healthy. It
implemented the usage of credit bureau, CIBIL, from FY09. BAF also has an inhouse
database with credit history of over 5m of its customers (especially for consumer
durables and two-wheelers). The effective usage of this database along with CIBIL
scores has helped maintain good asset quality. Once the credit record is approved, a
loan is disbursed instantly — a three-minute turnaround time in FY13, compared to
three days in FY07-08.
Strong risk management framework
BAF has strong risk management practises whereby it keeps a tigh vigil on all the
portfolio; in event of any adverse behaviour in any segment the management is prompt
to take corrective measures. BAF also involves dealers in the credit disbursement
process by a unique arrangement. If credit losses on loans disbursed through a specific
dealer are below the initial estimation, company pays an incentive to the dealer. This
enables the dealer to ensure timely collection on goods sold. Thus, it ensures lower
credit losses and higher penetration for BAF.
Use of technology to keep tabs on asset quality
BAF extensively uses technology to map customer credit history and track its portfolio
risk. It identifies trends in delinquent loans across time lines or geographies and then
changes the loan appraisal policy to reduce credit losses in the future and also monitor
the collections across business lines. Company has an in-house database of over 5m
individuals and it also makes extensive use of CIBIL's database (the largest user of
CIBIL) to prepare an application and fraud scorecard before disbursing a loan.
23 August 2013
19

Bajaj Finance
Capital raising to suffice 3-year growth requirements
Headroom remain for increasing leverage by raising tier 2 capital
In Jan 2013, BAF raised INR 7.5b through rights issue
Post capital infusion CAR stands at 21.5% of which 18.1% is tier1
Capital infusion to take care of growth requirements for next 2-3 years.
In Janurary 2013 BAF raised INR7.5b through a rights issue to shore up the capital base
to 22% and ensure growth requirements for two to three years. Capital adequacy
stands at 22%, of which 18.7% is Tier 1. As the company has not yet used Tier 2 capital,
going forward it can raise Tier 2 to leverage efficiently.
Healthy capital adequacy ratio (%)
Shareholding, post capital raising
Source: Company, MOSL
Earlier capital raisings
Date
Janurary-2006
Janurary-2006
Feburary-2007
Mar-07
Jul-07
Mar-12
Janurary-2013
Mode
Preferential Allotment
Preferential Allotment
Rights Issue of 6:10
Conversion of Preferential Warrants
Conversion of Preferential Warrants
Conversion of Preferential Warrants
Rights Issue of 3:19
No of shares (m)
1.0
3.5
12.6
1.8
1.2
6.0
6.8
Price per share
410
450
325
410
410
651
1,100
Amount Raised (m)
411
1,575
4,094
721
512
3,906
7,425
Source: Company, MOSL
23 August 2013
20

Bajaj Finance
Impressive execution, superior return ratios
Estimate RoA/ RoE of 3.4/21% over the next three years
BAF has delivered strong business and earnings growth, driven by expanding product
portfolio and gaining market in key business segments.
Return on assets has improved significantly from 2.3% in FY10 to 3.8% in FY13 and RoE
improved from 8% in FY10 to 22% in FY13. We estimate a steady state RoA/ RoE of 3.4/
21% over the next three years.
At CMP INR1,092, the stock trades at 1.1x FY15E price to book and 6x FY15E earnings,
with further scope to re-rate on strong earnings visibility and sustainable return ratio.
BAF has delivered strong business and earnings growth driven by expanding product
portfolio and gaining market in key business segments. Return on assets improved
significantly from 2.3% in FY10 to 3.8% in FY13, primarily attributable to the operating
leverage and sharp fall in credit costs due to better-than-expected portfolio behavior
and shift in loan book mix. The stock has given healthy return during past 2 years ,
reflecting sustained improvement in company's fundamentals.
We believe the unique business model, strategic focus on high growth segments,
continuous product development and innovative customer service, sustaining superior
return ratios and risk adjusted approach for product pricing are key value drivers for
the stock.
We expect BAF to continue outpace the sector growth and sustain superior return
ratios for the next three years. We estimate the company to deliver 21% CAGR in net
earnings over FY14E-16E, driven by 28% CAGR in loan book, and 3.4% plus RoA and
21% plus on a sustainable basis in the medium term.
At CMP INR1,092, the stock trades at 1.4x/1.1x FY14/15E price to book and 7.3/6x FY14/
15E earnings, with further scope to re-rate on strong earnings visibility and sustainable
return ratios. Going forward, we believe BAF is well positioned to deliver sustainable
and profitable growth, which is scalable with lower risk as it intends to focus on
secured business lines, which should lead to significant re-rating of the stock. We
initiate coverage with a
Buy
rating and target price of INR1,520 (1.6x FY15E BV of
INR949), with an 12-month investment objective.
One-year forward P/E
One-year forward P/B
Source: Company, MOSL
23 August 2013
21

Bajaj Finance
Comparative valuation
EPS (INR)
FY14E FY15E
150.1
181.1
65.2
75.2
17.9
22.2
88.0
114.0
4.4
5.7
P/E (x)
FY14E FY15E
7.3
6.0
8.5
7.4
12.2
9.8
6.8
5.2
12.7
9.8
BV (INR)
FY14E FY15E
800.2
949.4
386.2
459.1
92.3
108.8
488.0
589.0
36.0
42.0
P/BV (x)
FY14E FY15E
1.4
1.1
1.4
1.2
2.4
2.0
1.2
1.0
1.6
1.3
RoA (%)
FY14E FY15E
3.7
3.5
2.4
2.4
3.4
3.3
2.9
2.9
1.8
2.0
RoE (%)
FY14E FY15E
20.3
20.7
18.9
18.5
20.9
22.1
19.9
21.1
12.5
14.0
Source: MOSL
Bajaj Finance
Shriram Transport
Mahindra finance
Shriram city union finance
L&T Finance
Key risks
Prolonged economic slowdown:
A prolonged economic slowdown is a key risk and
could lead to slower growth and impact BAF's earnings adversely. Further, it may
result in deterioration of asset quality and could adversely affect its profitability.
Sharp surge in credit losses:
Although we have been conservative in our credit cost
assumptions, higher-than-expected delinquencies due to unseasoned loan book
(construction equipment, LAP and infrastructure finance) remain a risk to our
estimates.
Competitive intensity:
A key reason for the failure of consumer business during the
last cycle was intense competition among lenders, which led to a compromise in
business practices. Any significant increase in competition, mainly in consumer
durables and two/three-wheeler space, could impact adversely.
23 August 2013
22

Bajaj Finance
Company background
Bajaj Finance Ltd (BAF), a Bajaj group company, was incorporated in 1987 and
commenced operations as a captive financer for Bajaj Auto vehicles. Over the past
few years, its business model has been broadened and reliance on Bajaj Auto has
reduced, enabling it to emerge as a diversified consumer finance NBFC. BAF has a
presence in 10 business lines: two-wheeler, consumer durables, small business, loan
against property, loan against shares and construction equipment.
BAF forayed into the consumer finance business in late 2007, which coincided with
the downtrend in overall economic environment. Thus, its addressable consumer
segments faced difficulties in servicing existing obligations, leading to higher
delinquencies for banks/finance companies, and BAF was not insulated from it. This
also led to a demand slowdown and liquidity constraints, impacting the business
operations and asset-liability positions of banks/finance companies severely.
However, being a late entrant to the consumer business enabled BAF to survive the
cyclical stress as many players exited the sector/segment. Company, in trying times,
cleaned up its books, set up strong risk assessment and lending process and undertook
a phase of consolidation. It also implemented a series of measures to proactively
manage the economic slowdown and minimize the potential losses arising from
delinquencies, while laying the groundwork for broadening its franchise.
BAF implemented several initiatives to restructure the cost base, tighten risk policies,
increase usage of credit bureau and undertake branch rationalization. Company is
the survivor in some of its business segments, as cyclical stress forced other players
to exit. Now, it is witnessing a sharp turnaround in business on the back of favorable
environment and benign competition, which translates into stronger pricing power.
BAF is well positioned to capture opportunities arising from the consumer finance.
Strong and focused management team
BAF has a highly experienced management team, with almost the entire team having
worked with reputed multinationals and private banks. It is led by Mr Rajeev Jain,
who has ~20 years of experience in auto loans, durable loans, personal loans and
credit cards. Mr Jain's past experience includes four years with GE and eight years
with American Express respectively. He has been instrumental in restructuring BAF
and transforming it from a consumer finance business to one of the most diversified
NBFCs. Mr Jain is supported by experienced professionals, with all business heads
having an experience of over 10 years and niche in their respective fields.
To retain talent and encourage loyalty, BAF introduced performance linked pay and
an employee stock option scheme to lower the turnover rate. This worked well as the
senior management on an average has a tenure of around five years and almost all
the top management team that was inducted post FY08 are at the helm of affairs.
Current management team has successfully restructured the businesses and
transformed BAF from a captive two-wheeler lender to a successful diversified retail
lender. In the next phase, management will be responsible for building scale with
profitability. We believe that with a strong and experienced team at the helm of
affairs, BAF is well positioned to deliver sustainable and profitable growth.
23 August 2013
23

Bajaj Finance
Management profile
Name
Mr. Rajeev Jain
Designation
CEO
Profile
1) 20 years of experience in auto loans, durable loans, personal loans and
credit cards 2) – Past experience includes 4 years with GE & eight years with
American Express respectively; Post that he joined AIG, and was the Deputy
CEO of the consumer finance business 3) – Mr. Jain has been instrumental
in reastructuring og BFL and subsequent a sucessful transforming BAF from
a consumer finance business to one of the most diversified NBFCs
1) 30 years of experience in financing, financial accounting, cost accounting,
tax, and systems 2) – His previous assignments were with Bajaj Auto
Limited, Eicher and Mico
1) Responsible for the overall risk policy, portfolio management, risk analytics
and fraud management for the firm 2) Erlier worked with HSBC where he
was leading the portfolio risk management unit for HSBC’s Consumer Credit
Risk function
1) Worked with GE Money, AIG and E&Y on various assignments in Six Sigma,
Sales Finance, Cross-Sell, and Personal Loans 2) – Instrumental in building
the sales finance business & leading substantial market share gains
1) 15 years of experience, manages the Loan Against Property business which
is a high growth business for the company 2) Joined from GE Money, where
he held the position of National Sales“Manager - Mortgages"
1) Over 18 years of experience prior experience includes ABN Amro Bank
wherein he was heading Asset Backed Finance (ABF) business in the
Infrastructure and Healthcare segment.
1) Over 10 years of experience; he is responsible for overall risk policy
portfolio management risk analysis and fraud management. Prior
experience includes with HSBC & GE.
1) Over 10 years of experience and in retail banking has worked with Citi,
Barclays and standard charterd bank. His last assignment was with
Barclays bank as the Head of Acquisition and Portfolio Actions
1) Has extensive work experience in the services industry spread across
printing solutions, reprographics, rating firms, supply chain management
and lending. He joined us from Yes bank where he was the Zonal head for
the unsecured business. Prior to which he has worked with HDFC bank,
ONICRA, Mahindra & Mahindra and Modi Xerox.
Mr. Pankaj Thadani
CFO
Mr. Rakesh Bhatt
COO
Mr. Devang Mody
Predident- Consumer
Finance
Business Head-
Mortgage
Business Head-
Construction
equipment financing
Chief Risk Officer
Mr. Amit Gainda
Mr. Sanjeev Vij
Mr. Rajesh K
Mr. Ashish Panchal
Mr. Deepak Bagati
Business Head-
Credit cards &
salaried loans
Business Head-
Business laon
23 August 2013
24

Bajaj Finance
Financials and Valuation
Income Statement
Y/E March
Interest Income
Interest Expended
Net Interest Income
Change (%)
Other Operating Income
Other Income
Net Income
Change (%)
Operating Expenses
Operating Income
Change (%)
Provisions and W/Offs
PBT
Tax
Tax Rate (%)
PAT
Change (%)
Proposed Dividend
2011
12,838
3,710
9,128
50.1
1,085
138
10,351
44.9
4,606
5,745
45.5
2,046
3,699
1,229
33.2
2,470
176.2
366
2012
19,963
7,462
12,501
36.9
1,668
89
14,257
37.7
6,691
7,566
31.7
1,544
6,022
1,958
32.5
4,064
64.6
496
2013
29,248
12,057
17,191
37.5
1,689
177
19,057
33.7
8,523
10,534
39.2
1,818
8,716
2,803
32.2
5,913
45.5
747
2014E
36,932
14,458
22,474
30.7
1,864
101
24,439
28.2
10,645
13,794
30.9
2,725
11,069
3,597
32.5
7,471
26.4
1,121
(INR Million)
2015E
46,197
18,243
27,954
24.4
2,050
121
30,126
23.3
12,774
17,352
25.8
3,999
13,353
4,340
32.5
9,013
20.6
1,352
Balance Sheet
Y/E March
Capital
Reserves & Surplus
Net Worth
Borrowings
Change (%)
Other liabilities & provisions
Total Liabilities
Investments
Change (%)
Advances
Change (%)
Net Fixed Assets
Other assets
Total Assets
Assumptions (%)
Deposit Growth
Advances Growth
Investments Growth
E: MOSL Estimates
2011
366
13,215
13,581
67,086
107.9
4,552
85,219
56
-98.1
72,718
80.4
1,026
11,419
85,219
2012
413
19,923
20,336
102,264
52.4
6,667
129,267
55
-2.3
122,831
68.9
1,388
4,993
129,267
2013
498
33,173
33,670
133,490
30.5
11,051
178,211
53
-4.0
167,440
36.3
1,762
8,957
178,211
2014E
498
39,333
39,830
174,138
30.4
12,156
226,124
58
10.0
217,672
30.0
1,772
6,622
226,124
(INR Million)
2015E
498
46,764
47,262
231,255
32.8
13,372
291,888
64
10.0
278,620
28.0
1,782
11,422
291,888
107.9
80.4
-98.1
52.4
68.9
-2.3
30.5
36.3
-4.0
30.4
30.0
10.0
32.8
28.0
10.0
23 August 2013
25

Bajaj Finance
Financials and Valuation
Ratios
Y/E March
Spreads Analysis (%)
Yield on Advances
Cost of borrowings
Interest Spread
Net Interest Margin
Profitability Ratios (%)
RoE
RoA
Int. Expended/Int.Earned
Secur. Inc./Net Income
Efficiency Ratios (%)
Op. Exps./Net Income
Empl. Cost/Op. Exps.
Asset-Liability Profile (%)
Loans/Borrowings Ratio
CAR
Tier 1
Valuation
Book Value (INR)
Price-BV (x)
EPS (INR)
EPS Growth (%)
Price-Earnings (x)
Dividend per Share (INR)
Dividend Yield (%)
E: MOSL Estimates
2011
22.7
7.5
15.2
15.0
2012
20.4
8.8
11.6
12.2
2013
20.2
10.2
9.9
11.7
2014E
19.5
10.0
9.5
11.5
2015E
19.0
9.3
9.8
11.1
19.7
3.8
28.9
10.5
24.0
3.8
37.4
11.7
21.9
3.8
41.2
8.9
20.3
3.7
39.1
7.6
20.7
3.5
39.5
6.8
44.5
31.4
46.9
28.4
44.7
28.8
43.6
27.6
42.4
27.6
108.4
20.0
16.8
120.1
17.5
15.0
125.4
22.0
18.7
125.0
21.0
18.0
120.5
20.0
17.0
371
2.9
67.4
176.0
16.2
10.0
0.9
487
2.2
98.4
45.9
11.1
12.0
1.1
676
1.6
118.8
20.8
9.2
15.0
1.4
800
1.4
150.1
26.4
7.3
22.5
2.1
949
1.1
181.1
20.6
6.0
27.2
2.5
23 August 2013
26

Bajaj Finance
N O T E S
23 August 2013
27

Disclosures
This report is for personal information of the authorized recipient and does not construe to be any investment, legal or taxation advice to you. This research report does not constitute an offer, invitation or inducement
to invest in securities or other investments and Motilal Oswal Securities Limited (hereinafter referred as MOSt) is not soliciting any action based upon it. This report is not for public distribution and has been
furnished to you solely for your information and should not be reproduced or redistributed to any other person in any form.
Unauthorized disclosure, use, dissemination or copying (either whole or partial) of this information, is prohibited. The person accessing this information specifically agrees to exempt MOSt or any of its affiliates
or employees from, any and all responsibility/liability arising from such misuse and agrees not to hold MOSt or any of its affiliates or employees responsible for any such misuse and further agrees to hold MOSt
or any of its affiliates or employees free and harmless from all losses, costs, damages, expenses that may be suffered by the person accessing this information due to any errors and delays.
The information contained herein is based on publicly available data or other sources believed to be reliable. While we would endeavour to update the information herein on reasonable basis, MOSt and/or its
affiliates are under no obligation to update the information. Also there may be regulatory, compliance, or other reasons that may prevent MOSt and/or its affiliates from doing so. MOSt or any of its affiliates or
employees shall not be in any way responsible and liable for any loss or damage that may arise to any person from any inadvertent error in the information contained in this report . MOSt or any of its affiliates
or employees do not provide, at any time, any express or implied warranty of any kind, regarding any matter pertaining to this report, including without limitation the implied warranties of merchantability, fitness
for a particular purpose, and non-infringement. The recipients of this report should rely on their own investigations.
This report is intended for distribution to institutional investors. Recipients who are not institutional investors should seek advice of their independent financial advisor prior to taking any investment decision
based on this report or for any necessary explanation of its contents.
MOSt and/or its affiliates and/or employees may have interests/positions, financial or otherwise in the securities mentioned in this report. To enhance transparency, MOSt has incorporated a Disclosure of Interest
Statement in this document. This should, however, not be treated as endorsement of the views expressed in the report.
Disclosure of Interest Statement
1. Analyst ownership of the stock
2. Group/Directors ownership of the stock
3. Broking relationship with company covered
4. Investment Banking relationship with company covered
Bajaj Finance
No
No
No
No
Analyst Certification
The views expressed in this research report accurately reflect the personal views of the analyst(s) about the subject securities or issues, and no part of the compensation of the research analyst(s) was, is, or
will be directly or indirectly related to the specific recommendations and views expressed by research analyst(s) in this report. The research analysts, strategists, or research associates principally responsible
for preparation of MOSt research receive compensation based upon various factors, including quality of research, investor client feedback, stock picking, competitive factors and firm revenues.
Regional Disclosures (outside India)
This report is not directed or intended for distribution to or use by any person or entity resident in a state, country or any jurisdiction, where such distribution, publication, availability or use would be contrary to
law, regulation or which would subject MOSt & its group companies to registration or licensing requirements within such jurisdictions.
For U.K.
This report is intended for distribution only to persons having professional experience in matters relating to investments as described in Article 19 of the Financial Services and Markets Act 2000 (Financial
Promotion) Order 2005 (referred to as "investment professionals"). This document must not be acted on or relied on by persons who are not investment professionals. Any investment or investment activity to
which this document relates is only available to investment professionals and will be engaged in only with such persons.
For U.S.
Motilal Oswal Securities Limited (MOSL) is not a registered broker - dealer under the U.S. Securities Exchange Act of 1934, as amended (the"1934 act") and under applicable state laws in the United States.
In addition MOSL is not a registered investment adviser under the U.S. Investment Advisers Act of 1940, as amended (the "Advisers Act" and together with the 1934 Act, the "Acts), and under applicable state
laws in the United States. Accordingly, in the absence of specific exemption under the Acts, any brokerage and investment services provided by MOSL, including the products and services described herein
are not available to or intended for U.S. persons.
This report is intended for distribution only to "Major Institutional Investors" as defined by Rule 15a-6(b)(4) of the Exchange Act and interpretations thereof by SEC (henceforth referred to as "major institutional
investors"). This document must not be acted on or relied on by persons who are not major institutional investors. Any investment or investment activity to which this document relates is only available to major
institutional investors and will be engaged in only with major institutional investors. In reliance on the exemption from registration provided by Rule 15a-6 of the U.S. Securities Exchange Act of 1934, as amended
(the "Exchange Act") and interpretations thereof by the U.S. Securities and Exchange Commission ("SEC") in order to conduct business with Institutional Investors based in the U.S., MOSL has entered into
a chaperoning agreement with a U.S. registered broker-dealer, Motilal Oswal Securities International Private Limited. ("MOSIPL"). Any business interaction pursuant to this report will have to be executed within
the provisions of this chaperoning agreement.
The Research Analysts contributing to the report may not be registered /qualified as research analyst with FINRA. Such research analyst may not be associated persons of the U.S. registered broker-dealer,
MOSIPL, and therefore, may not be subject to NASD rule 2711 and NYSE Rule 472 restrictions on communication with a subject company, public appearances and trading securities held by a research analyst
account.
For Singapore
Motilal Oswal Capital Markets Singapore Pte Limited is acting as an exempt financial advisor under section 23(1)(f) of the Financial Advisers Act(FAA) read with regulation 17(1)(d) of the Financial Advisors
Regulations and is a subsidiary of Motilal Oswal Securities Limited in India. This research is distributed in Singapore by Motilal Oswal Capital Markets Singapore Pte Limited and it is only directed in Singapore
to accredited investors, as defined in the Financial Advisers Regulations and the Securities and Futures Act (Chapter 289), as amended from time to time.
In respect of any matter arising from or in connection with the research you could contact the following representatives of Motilal Oswal Capital Markets Singapore Pte Limited:
Kadambari Balachandran
Email : kadambari.balachandran@motilaloswal.com
Contact: (+65) 68189233 / 65249115
Office address: 21 (Suite 31), 16 Collyer Quay, Singapore 049318
Motilal Oswal Securities Ltd
Motilal Oswal Tower, Level 9, Sayani Road, Prabhadevi, Mumbai 400 025
Phone: +91 22 3982 5500 E-mail: reports@motilaloswal.com