1 November 2013
2QFY14 Results Update | Sector:
Healthcare
Dr Reddy’s Labs
BSE SENSEX
21,165
Bloomberg
S&P CNX
6,299
DRRD IN
CMP: INR2,456
TP: INR2,883
Buy
Equity Shares (m)
170.0
M.Cap. (INR b) / (USD
417.6/6.8
b)
52-Week Range (INR) 2,545/1,712
1, 6, 12 Rel. Per (%)
-6/15/25
Financials & Valuation (INR Billion)
Y/E MAR
Sales
EBITDA
Net Profit
Adj. EPS
BV/Sh.
RoE (%)
RoCE (%)
P/E (x)
P/BV (x)
2013
116.3
24.8
15.1
90.2
435.4
20.7
17.2
27.2
5.6
2014E 2015E
135.0
29.4
19.2
114.4
26.8
536.3
21.3
17.7
21.5
4.6
150.4
33.8
22.0
131.0
14.5
651.1
20.1
18.5
18.7
3.8
EPS Gr. (%) 21.9
Dr Reddy’s Labs (DRRD) 2QFY14 results were above estimates. Sales growth of
16.5% YoY to INR33.5b was in line with estimates, EBITDA growth of 25% (beat
our est. by 9%), while PAT grew 98% YoY to INR6.9b (beat of 42%).
Sales growth was driven by strong traction in US/Russia (24%/40% YoY growth in
constant currency); India sales growth at 8% YoY was in line. PSAI growth declined
19% YoY to INR6.4b due to absence of new launches during the quarter.
EBITDA margin improved 120bp YoY to 25.2% led by a strong product mix. PAT
beat was led by higher other income and lower effective tax rate (10% tax rate,
lower due to reversal in tax position of INR683m for the quarter). Adjusted for
these, PAT is higher by 15%, compared to our estimates.
Company has purchased Ecologic Chemicals, which has equity interest from
owners of DRRD for a consideration of INR1.26b. Ecologic Chemicals is India’s
largest manufacturer of DL-Naproxen, an intermediate to DRRD’s key product,
Naproxen. Rationale for the acquisition is to have better control over the supply
agreement as DRRD sees strong traction in this market. Consideration has been
determined by independent evaluators. While we do not have further details, we
derive confidence from the strong corporate governance track record of the
company.
Valuation and view:
Limited competition product launches in the US continue to gain
traction and its impact would be visible over the next few quarters. Products like
gDacogen, gReclast, gVidaza injections and pipeline of 65 pending ANDAs will support
strong growth in the US over the medium term. We expect Russia to continue its
growth momentum; India business has demonstrated steady growth over the last few
quarters, which is encouraging. We expect PSAI to demonstrate muted growth over
the next few quarters and a strong performance there would be a positive surprise.
On the back of 2Q beat, we increase the FY14E/FY15E EPS by 8%/3%. The stock trades
at attractive valuations of 21.3x FY14E and 18.7x FY15E. We value DRRD at 22x FY15E
earnings to reflect the strong CAGR of 21% in core earnings expected over FY13-15E.
Maintain
Buy
with a revised target price of INR2,883, 17% upside.
Alok Dalal
(Alok.Dalal@MotilalOswal.com); +91 22 3982 5584
Hardick Bora
(Hardick.Bora@MotilalOswal.com); +91 22 3982 5423
Investors are advised to refer through disclosures made at the end of the Research Report.

Dr Reddy’s Labs
Sales in line, US, Russia strong, India steady, PSAI disappoints
Dr Reddy’s Labs (DRRD) 2QFY14
sales
growth of 16.5% YoY to INR33.5b was in line
with estimates. Sales growth was driven by strong traction in US (24% YoY growth
in constant currency to USD 212m). Products launched in limited competition
space namely gPropecia 1mg, gDacogen, gVidaza and gReclast launched during
1HFY14 led growth in US. DRRD also witnessed significant traction in market share
of key existing products namely fondaparinux, omeprazole DR
Russia witnessed a growth of 40% YoY growth in constant currency was driven by
volume uptake in the current quarter on account of seasonal impact. India sales
growth at 8% YoY was in line with estimates. PSAI sales growth declined 19% YoY to
INR6.4b due to absence of new launches during the quarter
Sales mix
PSAI
India
International
Branded Formulations
India
International
Generics
North America
Europe
Others
Total Revenues
2QFY14
6,403
1,071
5,332
11,543
4,207
7,336
15,005
13,244
1,761
624
33,575
2QFY13
7,876
1,148
6,728
9,056
3,879
5,177
11,047
9,270
1,777
830
28,809
Change (%)
-18.7
-6.7
-20.7
27.5
8.5
41.7
35.8
42.9
-0.9
-24.8
16.5
1QFY14 Change (%)
5,868
9.1
791
35.4
5,077
5.0
9,459
22.0
3,493
20.4
5,966
23.0
12,444
20.6
10,871
21.8
1,573
12.0
679
-8.1
28,450
18.0
Strong EBITDA margins led by a favourable product mix
EBITDA margins improved 120bps YoY to 25.2% led by a strong product mix. Gross
margins for the generics business was at an all time high of 66% while margins for
the PSAI segment came at 24%. EBITDA growth for the quarter was 22% versus our
estimate of 15%
PAT beat was led by higher other income and lower effective tax rate (10% tax rate,
lower due to reversal in tax position of INR683m for the quarter). Adjusted for
these, PAT is higher by 15% as compared to our estimates
Trend in EBITDA margins
Source: MOSL, Company
1 November 2013
2

Dr Reddy’s Labs
Key takeaways from the conference call
No specific guidance on sales growth/EBITDA: The management has refrained
from giving any guidance on sales growth and EBITDA for FY14E. This is mainly
due to the uncertainty involved in obtaining product approvals from the US FDA.
DRRD believes it well positioned to deliver strong growth in Russia while India
business is increasingly becoming stable. Growth in the PSAI business was weak
due to lack of new launches and pricing pressure, however DRRD is confident of
regaining some of the lost momentum in the coming quarters.
Key products and new launches to drive US growth: While, there is no specific
guidance shared for US generics for FY14E, growth should continue to be driven
by key products like Propecia 1mg, gDacogen, gVidaza and gReclast which were
launched in 1HFY14. We believe these products along with new launches can
support a 15%+ growth in US market despite a high base of FY13. The
management indicated that one-two niche product launches each year can be
expected, subject to timely approvals.
Other guidance parameters: Management guided FY14 tax rate of 20% with
R&D expenses guided to be 8-9% of sales going forward. Increased R&D spend
would be towards innovation, niche ANDA filings in space of injectables, delayed
release products, topical, etc. The company plans to file 15-20 ANDAs per year
going forward, with focus on such niche products which enjoy low competition.
Future hedges to realize better rates - Forex hedges stood at ~USD460m (at
average of INR56-60). While the company hedges forthcoming 18 months of its
net exposure (and hence is reasonably hedged), we note that incremental
hedges are coming-in at better rates. This will also aid sales growth in the US.
Balance sheet hedges stand at USD560m and outstanding net debt on book is
USD352m (net debt/equity at 0.3x).
US generics continues to be a key market for FY14
The US generic continues to be a key market for the company. Over the last
year, profile of the new launches in the US has changed materially. Of the
products launched over the last year, 31% have been injectables, 28% FTFs and
8% of the products have less than five competitors. DRRD is thus moving away
from the traditional oral products into more complex generics
The company is gaining significant traction in recent launches like Propecia 1mg,
Toprol XL, Reclast and Dacogen, full potential of which would be realized over
the next few quarters.
The company has 62 ANDAs awaiting approval of which 39 are Para IVs and 9
FTF opportunities. DRRD thus has a robust pipeline for the US which we believe
would drive 18% revenue CAGR to USD 936m over FY13-FY15 despite a high
base of FY13. Our growth estimate factors in the potential adverse impact of
patent cliff. We note that growth in FY14E will also be aided by realization of
favorable rates on cash flow hedges (average rate of INR56-60/USD).
1 November 2013
3

Dr Reddy’s Labs
Dr. Reddy's - Core US Sales (INR M)
Source: MOSL, Company
PSAI business impacted by lack of new launches
PSAI business witnessed a decline of 19% YoY to INR 6.4b impacted by lack of
new launches and pricing pressure in certain key products
DRRD believes PSAI will show a better performance over the next few quarters
on the back of strong order book visibility
We believe that while this strong growth traction will moderate due to the
reduced number of patent expiries, we build in a modest 6.7% growth in FY14E
for PSAI before tapering off to 5.4% in FY15E.
Dr. Reddy's - PSAI Sales (INR M)
Source: MOSL, Company
Branded formulations exports to sustain double-digit growth; potential
change in regulations a key long-term risk
We expect DRRD to sustain ~15% revenue CAGR for this business over FY13-15E
led by:
a) Expanding presence in Russian OTC market coupled with additional growth
drivers like in-licensed products
b) Ramp-up in the biogeneric portfolio in emerging markets – management
expects revenues of USD100m in the next 2-3 years v/s the current USD30m
c) Gradual ramp-up in revenues from the company’s partnership arrangement
in emerging markets.
However, the Russian market (a key contributor for DRRD’s emerging markets
business) is gradually transitioning from an out-of-pocket market to the model
of centralized reimbursement with the Russian government expected to play a
key role in regulating both, access and price of essential medicines. Currently,
4
1 November 2013

Dr Reddy’s Labs
55-60% of products marketed by DRRD are included in the essential drugs list.
This is a key long-term risk for DRRD given that this is one of the most profitable
markets.
Dr. Reddy's - Branded Formulation Exports (INR M)
Source: MOSL, Company
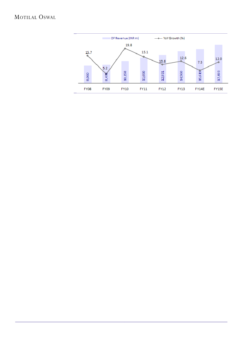
India formulations business – increasingly getting stable
DRRD’s India formulations business faced multiple growth challenges in the past
few years mainly due to execution shortfalls:
a) The company redeployed its experienced urban sales force in rural areas,
which resulted in a decline in urban doctor coverage and loss of business in
the metros. The management claims it has taken corrective action and the
results should be visible in the next few quarters.
b) Further, during the last few years, DRRD's focus was on US and Europe, post
the Betapharm acquisition. India was ignored, which resulted in fewer
product launches here. However, the company has now resumed a healthy
rate of product introductions (23/24 in FY12/FY13).
c) Growth in 2QFY14 was 8.5% despite trade disruptions and impact of the
revised prices under new pharma pricing policy
d) The company is confident of sustaining the current growth momentum in
India and targets to match the industry growth rate of 12-14% (FY13 growth
was 12.6%).
We expect this business to record 10% CAGR for FY13-15E, slightly lower than
the average market growth.
1 November 2013
5

Dr Reddy’s Labs
Dr. Reddy's - Domestic Formulations growth recovering (INR m)
Source: Company, MOSL
Europe – continues to remain weak
a) DRRD’s Europe business continued to decline due to the continuous pricing
pressure in Germany. Overall Europe reported a decline of 18% YoY to INR 1.76b
in 1QFY14
b) The outlook for Germany and other markets continues to remain challenging.
DRRD has indicated that it is not participating in certain low margin
opportunities in Europe which is impacting its revenue growth in Europe. We
continue to build in a decline in sales in Europe over FY13-FY15
1 November 2013
6

Dr Reddy’s Labs
Dr. Reddy's - Europe Generic Sales (INR M)
Source: Company, MOSL
DRRD acquires Ecologic Chemicals, a company which has equity interest
from owners of DRRD, strong corporate governance track record makes us
confident that the transaction would be fair in valuations
DRRD announced an asset purchase agreement with Ecologic Chemicals which has
equity interest from owners of DRRD. The consideration is INR1.26b. Ecologic
Chemicals was set up in 2009 and is India’s largest manufacturer of DL-Naproxen, an
intermediate used to manufacture Naproxen, a key product for DRRD. Rationale for
the acquisition was to have better control over the supply agreement as DRRD sees
strong traction in this market. Consideration has been arrived at based on valuation
from independent valuers. While we do not have further details on this, we derive
confidence from the strong corporate governance track record of the company
Valuations and view
Limited competition product launches in US continue to gain traction and its
impact would be visible over the next few quarters. Products like gDacogen,
gReclast injections and pipeline of 65 pending ANDAs will support strong growth
in the US over the medium term. We expect Russia to continue its growth
momentum; India business has demonstrated steady growth over the last few
quarters which is encouraging. We expect PSAI to demonstrate muted growth
over the next few quarters and a strong performance there would be a positive
surprise. On the back of the 2Q beat, we have increased our FY14E/FY15E EPS by
8%/3%. The stock trades at attractive valuations of 21.3x FY14E and 18.7x
FY15E. We value DRRD at 22x FY15E earnings to reflect the strong CAGR of 21%
in core earnings expected over FY13-FY15. Maintain
Buy
with TP of INR2,883,
17% upside
1 November 2013
7

Dr Reddy’s Labs
Dr Reddy’ s Labs: an investment profile
Company description
Dr. Reddy's is a vertically integrated company, with
presence across the pharmaceutical value chain through
its core businesses of Global Generics, Pharmaceutical
Services and Active Ingredients (PSAI) and Proprietary
Products. Company is currently developing bio-generics
and NCEs. Key focus markets include India, the US,
Europe and Russia.
Recent developments
Launched exclusive generic version of Dacogen
and Vidaza in US with limited competition
Acquired Ecologic Chemicals for INR1.26b
Valuation and view
Key investment arguments
We estimate core EPS of INR114.4 for FY14E and
INR131.0 for FY15E.
Trades at 21.5x FY14E and 18.7x FY15E core
earnings.
Reiterates strong growth traction over the coming
quarters: Management expects to achieve strong
growth led by the US, PSAI and emerging market
and without any major inorganic growth initiatives.
Company continues to focus on its five key markets
- the US, India, Russia, Germany and the UK.
US market will be a key contributor led by
commercialization of its pipeline of 62 ANDAs
(pending approval) and the contribution from FTF/
low competition opportunities.
Sector view
Emerging markets coupled with low competition/
Para-IV upsides in the US would remain the key
sales and profit drivers in the medium term.
We are Overweight on companies that have a
differentiated business model for the US market.
Key investment risks
Government mandated price controls could impact
the profitability of India formulations business.
Higher-than-expected currency appreciation could
adversely impact future earnings.
EPS: MOSL forecast v/s consensus (INR)
DRL
21.5
18.7
4.6
3.8
3.1
2.7
14.3
12.2
Cipla
20.6
18.4
3.2
2.8
3.2
2.8
13.9
12.5
Ranbaxy
30.0
25.0
4.3
3.0
1.6
1.4
19.6
7.4
MOSL
Forecast
FY14
FY15
114.4
131.0
Consensus
Forecast
111.0
128.0
Variation
(%)
3.1
2.3
Comparative valuations
P/E (x)
P/BV (x)
EV/Sales (x)
EV/EBITDA (x)
FY13E
FY14E
FY13E
FY14E
FY13E
FY14E
FY13E
FY14E
Target price and recommendation
Current
Price (INR)
2,456
Target
Price (INR)
2,883
Upside
(%)
17.4
Reco.
Buy
Shareholding pattern (%)
Promoter
Domestic Inst
Foreign
Others
Sep-13
25.5
8.9
50.8
14.8
Jun-13
25.5
8.8
51.2
14.4
Sep-12
25.6
15.2
42.9
16.3
Stock performance (1-year)
1 November 2013
8

Dr Reddy’s Labs
Financials and valuation
1 November 2013
9

Disclosures
This report is for personal information of the authorized recipient and does not construe to be any investment, legal or taxation advice to you. This research report does not constitute an offer, invitation or
inducement to invest in securities or other investments and Motilal Oswal Securities Limited (hereinafter referred as MOSt) is not soliciting any action based upon it. This report is not for public distribution
and has been furnished to you solely for your information and should not be reproduced or redistributed to any other person in any form.
Unauthorized disclosure, use, dissemination or copying (either whole or partial) of this information, is prohibited. The person accessing this information specifically agrees to exempt MOSt or any of its
affiliates or employees from, any and all responsibility/liability arising from such misuse and agrees not to hold MOSt or any of its affiliates or employees responsible for any such misuse and further agrees
to hold MOSt or any of its affiliates or employees free and harmless from all losses, costs, damages, expenses that may be suffered by the person accessing this information due to any errors and delays.
The information contained herein is based on publicly available data or other sources believed to be reliable. While we would endeavour to update the information herein on reasonable basis, MOSt and/or
its affiliates are under no obligation to update the information. Also there may be regulatory, compliance, or other reasons that may prevent MOSt and/or its affiliates from doing so. MOSt or any of its
affiliates or employees shall not be in any way responsible and liable for any loss or damage that may arise to any person from any inadvertent error in the information contained in this report. MOSt or any
of its affiliates or employees do not provide, at any time, any express or implied warranty of any kind, regarding any matter pertaining to this report, including without limitation the implied warranties of
merchantability, fitness for a particular purpose, and non-infringement. The recipients of this report should rely on their own investigations.
Dr Reddy’s Labs
This report is intended for distribution to institutional investors. Recipients who are not institutional investors should seek advice of their independent financial advisor prior to taking any investment decision
based on this report or for any necessary explanation of its contents.
MOSt and/or its affiliates and/or employees may have interests/positions, financial or otherwise in the securities mentioned in this report. To enhance transparency, MOSt has incorporated a Disclosure of
Interest Statement in this document. This should, however, not be treated as endorsement of the views expressed in the report.
Disclosure of Interest Statement
1. Analyst ownership of the stock
2. Group/Directors ownership of the stock
3. Broking relationship with company covered
4. Investment Banking relationship with company covered
DR. REDDY'S LABORATORIES
No
No
No
No
Analyst Certification
The views expressed in this research report accurately reflect the personal views of the analyst(s) about the subject securities or issues, and no part of the compensation of the research analyst(s) was, is,
or will be directly or indirectly related to the specific recommendations and views expressed by research analyst(s) in this report. The research analysts, strategists, or research associates principally
responsible for preparation of MOSt research receive compensation based upon various factors, including quality of research, investor client feedback, stock picking, competitive factors and firm revenues.
This report is not directed or intended for distribution to or use by any person or entity resident in a state, country or any jurisdiction, where such distribution, publication, availability or use would be contrary
to law, regulation or which would subject MOSt & its group companies to registration or licensing requirements within such jurisdictions.
Regional Disclosures (outside India)
This report is intended for distribution only to persons having professional experience in matters relating to investments as described in Article 19 of the Financial Services and Markets Act 2000 (Financial
Promotion) Order 2005 (referred to as "investment professionals"). This document must not be acted on or relied on by persons who are not investment professionals. Any investment or investment activity
to which this document relates is only available to investment professionals and will be engaged in only with such persons.
For U.K.
Motilal Oswal Securities Limited (MOSL) is not a registered broker - dealer under the U.S. Securities Exchange Act of 1934, as amended (the"1934 act") and under applicable state laws in the United
States. In addition MOSL is not a registered investment adviser under the U.S. Investment Advisers Act of 1940, as amended (the "Advisers Act" and together with the 1934 Act, the "Acts), and under
applicable state laws in the United States. Accordingly, in the absence of specific exemption under the Acts, any brokerage and investment services provided by MOSL, including the products and services
described herein are not available to or intended for U.S. persons.
This report is intended for distribution only to "Major Institutional Investors" as defined by Rule 15a-6(b)(4) of the Exchange Act and interpretations thereof by SEC (henceforth referred to as "major
institutional investors"). This document must not be acted on or relied on by persons who are not major institutional investors. Any investment or investment activity to which this document relates is only
available to major institutional investors and will be engaged in only with major institutional investors. In reliance on the exemption from registration provided by Rule 15a-6 of the U.S. Securities Exchange
Act of 1934, as amended (the "Exchange Act") and interpretations thereof by the U.S. Securities and Exchange Commission ("SEC") in order to conduct business with Institutional Investors based in the
U.S., MOSL has entered into a chaperoning agreement with a U.S. registered broker-dealer, Motilal Oswal Securities International Private Limited. ("MOSIPL"). Any business interaction pursuant to this
report will have to be executed within the provisions of this chaperoning agreement.
The Research Analysts contributing to the report may not be registered /qualified as research analyst with FINRA. Such research analyst may not be associated persons of the U.S. registered broker-
dealer, MOSIPL, and therefore, may not be subject to NASD rule 2711 and NYSE Rule 472 restrictions on communication with a subject company, public appearances and trading securities held by a
research analyst account.
For U.S.
Motilal Oswal Capital Markets Singapore Pte Limited is acting as an exempt financial advisor under section 23(1)(f) of the Financial Advisers Act(FAA) read with regulation 17(1)(d) of the Financial
Advisors Regulations and is a subsidiary of Motilal Oswal Securities Limited in India. This research is distributed in Singapore by Motilal Oswal Capital Markets Singapore Pte Limited and it is only directed
in Singapore to accredited investors, as defined in the Financial Advisers Regulations and the Securities and Futures Act (Chapter 289), as amended from time to time.
In respect of any matter arising from or in connection with the research you could contact the following representatives of Motilal Oswal Capital Markets Singapore Pte Limited:
Anosh Koppikar
Kadambari Balachandran
Email : anosh.koppikar@motilaloswal.com
Email : kadambari.balachandran@motilaloswal.com
Contact: (+65) 68189232
Contact: (+65) 68189233 / 65249115
Office address: 21 (Suite 31), 16 Collyer Quay, Singapore 049318
For Singapore
Motilal Oswal Securities Ltd
Motilal Oswal Tower, Level 9, Sayani Road, Prabhadevi, Mumbai 400 025
Phone: +91 22 3982 5500 E-mail: reports@motilaloswal.com
1 November 2013
10