SUN PHARMACEUTICAL INDUSTRIES FY13
Sun Pharmaceuticals Industries (SUNP) released its annual report
for two years together - FY12 and FY13 due to the approval pending
for the demerger of domestic formulation business into Sun Pharma
Laboratories (SPLL). SUNP also amalgamated the erstwhile
partnership firms (post conversion into private limited companies)
with SPLL.
the
ART
of annual report analysis
Aggregate tax expense
of standalone and all
subsidiaries is lower
than consolidated tax.
Contingent liabilities
increased due to
income-tax matters in
subsidiaries.
Jump in quoted equity investments from
INR1.4b in FY12 to INR4.2b in FY13.
Stock Info
Bloomberg
CMP
Equity Shares (m)
M.Cap. (INR b)/(USD b)
52-Week Range (INR)
1,6,12 Rel.Perf.(%)
SUNP IN
575
2,071.2
1,191.7/19.3
650/347
-7/12/51
A
NNUAL
R
EPORT
T
HREADBARE
12 December 2013
ART #1: Accounting and auditing segment
Aggregate tax expense of standalone and all subsidiaries is
significantly lower than the consolidated tax expense (lower
by 37% of consolidated tax expense).
Consolidated tax rate rose from 9.3% in FY12 to 19.6% in FY13
(based on profits from continuing operations) primarily due to
increase in tax rate at TARO from 11.7% in CY11 to 20.2% in FY13.
Accordingly we believe that the tax rate in Indian subsidiaries is
comparatively lower.
ART #2: Key financial insights
Contingent liabilities increased from INR6.9b in FY12 to INR9.9b
in FY13, primarily due to increase in contingent liabilities on
income-tax matters in subsidiaries.
Investments made in quoted equity jumped from INR1.4b in
FY12 to INR4.2b in FY13. No further details are available on the
nature of these investments.
Financial summary (INR b)
Y/E Mar
2011
2012
2013
Sales
57.2
80.2
113.0
Sales growth (%) 42.8
40.2
40.9
EBITDA
19.7
32.0
49.0
EBITDA margin (%) 34.4
40.0
43.3
PAT*
18.2
26.6
35.7
EPS (INR)*
8.8
12.8
17.2
EPS Gr. (%)
34.9
46.3
34.3
BV/Sh. (INR)*
45.8
59.1
72.4
RoE (%)*
21.0
24.5
26.2
RoCE (%)
18.6
23.8
29.8
Payout (%)
20.0
16.6
14.5
*2013 are adjusted for provision of Wyeth claim
ART #3: Management speak/key plans
Management in 4QFY13 earnings call had guided for FY14 tax rate
of 18-20%, which was revised to 15% in 1QFY14 earnings call.
Management has increased its revenue guidance for FY14E to
25% from 18-20% earlier (guidance is in constant currency). SUNP
plans to file 25 ANDAs this year.
ART #4: Governance matters
SUNP does not have a scheme of stock options either for the
executive directors or employees.
Details of managerial remuneration paid to Mr. Israel Makov
during FY13 is not disclosed in the annual report.
Shareholding pattern (%)
As on
Promoter
Domestic Inst
Foreign
Others
Sep-13
63.7
3.2
22.8
10.3
Jun-13
63.7
3.2
22.8
10.3
Sep-12
63.7
5.2
20.4
10.7
Our pharma analyst view
Potential of SUNP's US pipeline continues to be
underappreciated. SUNP's US revenue is estimated to witness a
robust CAGR of 25% over FY13-FY15.
We value SUNP's base business at 27x FY15E to arrive at a fair
value of INR680/share. We add INR28/share for Doxil and INR10/
share for other Para IV to arrive at a target price of INR718/share.
Stock performance (1 year)
ART
will present a threadbare portrait of annual reports - statistical, strategic and structured. We believe
ART's
wide canvas - from accounting and auditing issues to
operating performance to management insights to governance matters - will help readers paint a clearer picture of the stock's investment worthiness.
Ashish Gupta
(Ashish.Gupta@MotilalOswal.com); +91 22 3982 5544
Investors are advised to refer through disclosures made at the end of the Research Report.
1

ART
| SUN PHARMA FY13
ART #1
ACCOUNTING AND AUDITING SEGMENT
Spin-off of domestic formulation business
SUNP had spun off its domestic formulation business from the standalone entity
and transferred it to Sun Pharma Laboratories Ltd (SPLL), a wholly-owned
subsidiary, formerly known as Sun Resins & Polymers Pvt Ltd from March 31, 2012.
Amalgamation of erstwhile partnership firms
SUNP had 97.5% interest in two partnership firms (Sun Pharmaceutical Industries
(SPI) and Sun Pharma Sikkim (SPS)) and these availed income tax deductions under
certain provisions of the Income Tax Act, resulting in lower tax rate for the
consolidated entity.
Budget 2012 introduced the Minimum Alternate Tax (MAT) imposition @ 18.5% on
partnership firms too (earlier only on companies), irrespective of the tax
deductions they claim under various provisions of the Income-Tax Act.
With a view to amalgamate the partnership firms in SPLL, SUNP converted SPI and
SPS into Sun Pharma Drugs Pvt Ltd and Sun Pharma Medication Pvt Ltd from Aug
31, 2012.
SUNP then amalgamated these new companies into SPLL from Sept 1, 2012.
Consolidated tax rate increases from 9% in FY12 to 20% in FY13
SUNP's consolidated tax rate rose from 9.3% in FY12 to 19.6% in FY13 (based on
profits from continuing operations).
We believe the increase is partially contributed due to an increase in the tax rate
at Taro Pharmaceuticals (TARO) during FY13. TARO's CY11 effective tax rate (in USD
terms) stood at 11.7%, which increased to 20.2% in FY13. Also, TARO's PBT
contribution to consolidated PBT stood at 40% in FY13 (CY11: 61%; compared as a
percentage of FY12 consolidated PBT).
Accordingly we believe that the tax rate in Indian subsidiaries is comparatively
lower.
Surprisingly, aggregate tax expense for standalone and subsidiaries is lower than
the consolidated tax expense.
The management has guided for FY14 tax rate at 15%.
12 December 2013
2

ART
| SUN PHARMA FY13
SPLL company structure
2012
Partnership firm
Sun Pharmaceuticals Industries
2013
Partnership firm
Sun Pharma Sikkim
Parent domestic formulation
business demerged into
SPLL w.e.f March 31, 2012
Converted to a company
w.e.f. Aug 31, 2012
Sun Pharma Medication Pvt Ltd
Converted to a company
w.e.f. Aug 31, 2012
Sun Pharma Drugs Pvt Ltd
Amalgamated into SPLL w.e.f. Sep 1, 2012
Sun Pharma Laboratories (SPLL) (formerly known as Sun Resins and Polymers)
Reported FY13 PBT loss of INR1.4b on net sales of INR26.7b
Source: Company annual report, Ministry of Company Affairs (MCA) website, MOSL
Standalone + SPLL financials (INR b)
Particulars
Sales
PBT (A)
PBT less share of partnership profits (B)
Tax (C)
PAT (D=A-C)
Reported tax rate (%) (C/A)
Tax rate excluding partnership profits (%) (C/B)
PAT margins (%)
Source:
Particulars
Sales (A)
PBT
Tax
Income from continuing operations (B)
Tax rate (%)
PAT margins (B/A*100) (%)
CY10
392.5
78.0
10.5
67.5
13.4
17.2
FY11
FY12
FY13
31.1
40.2
51.2
14.5
17.3
20.5
2.8
1.2
19.5
0.7
0.3
2.3
13.8
17.0
18.2
4.8
1.6
11.2
24.9
24.1
11.8
44.5
42.3
35.6
Company annual report, MCA website, MOSL
CY11
505.7
209.0
24.6
184.5
11.7
36.5
FY13
671.0
335.9
67.8
268.1
20.2
40.0
Source:
3 months ended
Mar 31, 2012
145.1
65.1
17.8
47.3
27.3
32.6
Form 20F for TARO, MOSL
TARO consolidated financials as per Form 20F (in USD m)
SUNP Consolidated (INR b)
Particulars
Sales
PBT
Tax
Profit from continuing operations after tax
Tax rate (%)
PAT margins (%)
12 December 2013
FY11
57.3
20.4
1.3
19.1
6.3
33.4
FY12
FY13
80.2
113.0
33.6
43.2
3.1
8.5
30.4
34.8
9.3
19.6
37.9
30.8
Source: Company annual report, MOSL
3

ART
| SUN PHARMA FY13
Share of profits in consolidated business (at PBT level)
Source: Company annual report, MCA website, MOSL
Notes: (1) Inter-company transactions have been ignored, (2) TARO PBT has been calculated as
the aggregate of TARO entities in SUNP's annual report and (3) TARO had changed its accounting
year from December 31 to March 31. Hence, full year FY12 details for TARO are not available. We
have considered CY11 TARO numbers instead of FY12 numbers for our analysis.
Increase in consolidated tax rate (%)
Source: Company annual report, MCA website, MOSL
Notes: (1) Tax paid by the partnership firms in FY11 and FY12, if any, has been ignored as the
details are not publicly available, (2) Sun Pharma Global (FZE) is incorporated in a tax-free zone
with zero tax rate and (3) TARO had changed its accounting year from December 31 to March 31.
Hence, full year FY12 details for TARO are not available. We have considered CY11 TARO numbers
instead of FY12 numbers for our analysis.
Aggregate tax for standalone and subsidiaries lower than consolidated tax
We note that aggregate tax expense of standalone and all subsidiaries is
significantly lower than the consolidated tax expense by INR3.1b.
We have not considered the tax expense, if any, for erstwhile partnership firms,
as the data is not publicly available.
Further, given our limitations to the tax provisioning norms outside India, we
have not made any adjustments to reported numbers.
12 December 2013
4

ART
| SUN PHARMA FY13
Aggregate FY13 tax expense of subsidiaries and standalone with consolidated shows a difference
of INR3.1b
Particulars
Standalone
SPLL
TARO
Sun Pharmaceuticals Industries Inc, USA
Others
Total (A)
Consolidated (B)
Difference (B-A)
FY13
1,465
832
3,455
(612)
211
5,350
8,456
3,105
Source: Company annual report, MOSL
Notes: (1) Taxation in partnership firms, if any, has been ignored as the data is not publicly
available, (2) Adjustments for taxation, if any, at the consolidated level, has been ignored, (3)
TARO had changed its accounting year from December 31 to March 31. Hence, full year FY12
details for TARO are not available. We have considered CY11 TARO numbers instead of FY12
numbers for our analysis and (4) TARO's tax expense has been calculated as the aggregate of
TARO entities in SUNp's annual report.
FY12
283
-
2,148
(582)
263
2,113
3,132
1,019
Provisions increase due to litigation claim, medicaid claim
SUNP provides for product returns, charge-backs, medicaid, cash discount and
rebates and pending lawsuits, penalties and fines.
Provisions increased from INR2.9b in FY12 to INR12.7b in FY13. The increase is
contributed by claims made under the State Medicaid programme by TARO of
USD30m (INR1.6b) and provision for claim by Wyeth of INR5.8b.
Provisions jump manifold
Particulars
Short-term
Long-term
Provision for claim by Wyeth
Total
FY11
1,237
-
-
1,237
FY12
FY13
2,360
6,311
517
592
-
5,808
2,877
12,711
Source: Company annual report, MOSL
Change in accounting for forex differences on inventory results in PAT being
lower by 2.2%
During FY13, accounting for forex differences arising on increase/decrease in
inventories which formed a part of cost of materials consumed has been changed.
Earlier the difference between average cross currency exchange rate and closing
cross currency exchange rate with respect to changes in inventories of overseas
subsidiaries formed a part of raw material consumed.
This difference has now been transferred to foreign currency translation reserve.
This change resulted in SUNP's PAT being lower by INR653.2m (2.2% of FY13 PAT).
Other accounting/auditing highlights
As per the company's 'revenue recognition' policy, sales include delayed payment
charges.
In Nov-13, SUNP passed a resolution to spin off the Specified Therapeutic and
Investment Business Undertakings of Sun Pharma Global FZE, wholly-owned
subsidiary, into standalone without any consideration from May 1, 2013.
During FY13, net forex loss was INR0.8b, which appears to be primarily on account
of MTM loss on forward exchange contracts (FY12: INR0.6b).
12 December 2013
5

ART
| SUN PHARMA FY13
ART #2
KEY FINANCIAL INSIGHTS
Contingent liabilities increased primarily due to higher income tax matters in subsidiaries
Consolidated
2012
2013
Income Tax
5.1
7.6
Excise Duty
0.3
0.5
Claims not acknowledged as debts
0.8
0.7
Others
0.6
1.2
Total
6.9
9.9
As a % of net worth
5.6
6.6
Source: Company annual report, MOSL
Note: Wyeth litigation against Sun Global Inc/Sun Global FZE has not been included above
since the same has been settled in 1QFY14.
Particulars
Standalone
2012
2013
2.1
2.8
0.3
0.3
0.0
0.0
0.7
0.9
3.2
4.0
Subsidiaries
2012
2013
3.0
4.9
0.0
0.1
0.8
0.6
-0.1
0.3
3.7
5.9
TARO contingent liability
During FY13, TARO incurred settlements and loss contingencies expenses of
USD33.3m (INR1.8b), which primarily related to certain price reporting litigations.
On March 28, 2013, TARO was sued by Mallinckrodt LLC, Mallinckrodt Inc
("Mallinckrodt") and Nuvo Research Inc ("Nuvo") for alleged infringement of
Nuvo's US patent, which covers the use of Mallinckrodt's Pennsaid® product, due
to TARO's filing of an ANDA for the generic version of Pennsaid®. Management
has mentioned that it cannot quantify the likely outcome of this case.
Jump in certain operating and G&A expenses resulted in 130bp increase in costs (INR b)
Particulars
Consumption of Materials, Stores and Spare Parts
Professional and Consultancy
Miscellaneous Expenses
Total
Costs as a % of net sales
FY11
FY12
FY13
1.5
1.8
2.8
2.4
3.1
4.2
2.1
1.6
3.7
6.0
6.5
10.7
10.5
8.1
9.4
Source: Company annual report, MOSL
Healthy cash flow from operations of INR33.6b in FY13; ~INR25b invested (INR m)
Particulars
EBITDA
Other adjustments
Operating profit before w/cap changes
Inventories
Trade receivables
Loans and advances and other assets
Trade payables
Other liabilities and provisions
FY12
32,043
2,622
34,665
(5,975)
(9,308)
(951)
2,991
3,190
FY13
43,127
1,685
44,812
(3,902)
(6,480)
(540)
2,142
8,332
Remarks
Mainly due to forex loss
added back
FY13 increase is primarily due to
provision for generic Protonix
litigation
Cash generated from operations
Net income tax paid
Cash Flow from operating activities
Capex
Investment in subsidiaries
Free cash flows
24,612
(2,268)
22,345
(7,129)
(2,740)
12,475
44,363
(10,735)
33,629
(8,455)
(16,415)
Acquisition of URL Pharma and
DUSA
8,759
Source: Company annual report, MOSL
6
12 December 2013

ART
| SUN PHARMA FY13
SUNP infused INR16.3b during FY13 in subsidiaries, primarily in Sun Pharma Global Inc, USA
Particulars
FY12
FY13
Change
Investments made during FY13
Sun Pharma Global Inc BV
13,435
Equity shares
9,629
Preference shares
-
Share application money
3,806
Sun Pharma Drugs Pvt Ltd
-
Equity
-
Loans and advances
-
Sun Pharma Medication Pvt Ltd
-
Equity
-
Loans and advances
-
Others
469
Equity
398
Loans and advances
71
Sub-total (A)
13,904
Investment in partnership firms sold during FY13
Sun Pharmaceuticals Industries
8,999
Sun Pharma Sikkim
11,979
Sub-total (B)
20,978
Total (A+B)
34,882
26,599
9,629
6,058
10,912
2,066
200
1,866
1,032
200
832
476
399
77
30,172
13,164
-
6,058
7,106
2,066
200
1,866
1,032
200
832
7
1
6
16,268
-
(8,999)
-
(11,979)
-
(20,978)
30,172
(4,710)
Source: Company annual report, MOSL
INR200m investment in Sun Pharma Drugs and Sun Pharma Medication is in the form of 10%
redeemable non-cumulative preference shares of INR100 to be issued pursuant to
amalgamation.
Investments increase primarily due to quoted equity investments
Investments made in quoted equity jumped from INR1.4b in FY12 to INR4.2b in
FY13.
These investments were made through subsidiaries and hence details are not
available.
Non-current investments jumped to INR11.1b in FY13
Particulars
Quoted
In Equity Instruments
In Debentures
In Bonds
In Zero Percent-Notes
Unquoted
In Equity Instruments
In Debentures
In Bonds
In Deposits
In Mutual Funds
Total
FY11
1,098
373
52
1,039
153
0
5
0
741
3,460
FY12
1,399
250
427
0
FY13
4,175
250
367
0
163
406
116
116
0
0
500
500
3,035
5,250
5,890
11,064
Source: Company annual report, MOSL
12 December 2013
7

ART
| SUN PHARMA FY13
Other financial highlights
Capital advances have almost doubled from INR1.1b in FY12 to INR2.1b in FY13.
Loans and advances to employees/others stood at INR5.9b in FY13 (FY12: INR6.1b).
As explained by the management, majority of the loans pertained to parties/
suppliers other than employees.
During FY13, SUNP has also given loan/share application money of INR780m to
Sun Pharma Advanced Research Company (SPARC) (FY12: Nil).
Consolidated net worth analysis (INR b)
Particulars
Opening networth
Add: Profit for the year
Add: Differences on account of
foreign currency translation
Less: Proposed dividend*
Closing net worth
*Incl. dividend tax
Source: Company
FY12
94.8
26.6
FY13
122.4
29.8
Goodwill on consolidation @ 8% of net worth (INR b)
Particulars
FY11
FY12
FY13
Caraco Pharmaceutical Laboratories
5.0
6.0
6.8
Taro Pharmaceutical Industries
3.2
4.6
4.9
Others
0.4
0.5
0.5
Less: Capital reserve on Alkaloida
Chemical Company Zrt
0.9
0.9
0.9
Total
7.7
10.2
11.3
Goodwill as a % of net worth
8.1
8.4
7.6
Source: Company annual report, MOSL
6.0
3.8
(5.0)
(6.1)
122.4
149.9
annual report, MOSL
Revenue from outside India command an increasing share (%)
Source: Company annual report, MOSL
12 December 2013
8

ART
| SUN PHARMA FY13
ART #3
MANAGEMENT SPEAK/KEY PLANS
Revision of consolidated tax rate guidance to 15%
Management had during 4QFY13 results conference call guided for FY14 tax rate @ 18-
20%. FY14 tax rate guidance during 1QFY14 results conference call was however revised
to 15%.
Addition to intangible assets of INR1.3b apart from URL and Dusa during FY13
During FY13, intangible assets (net) increased from INR3.2b in FY12 to INR13.5b in
FY13. Of this, INR9.7b pertains to addition on acquisition of DUSA Pharmaceuticals
and URL Pharma.
INR795m pertains to payment made to Sun Pharma Advanced Research Company
(SPARC) for product development. Further, as mentioned in the conference call,
royalty expense will continue to form a part of P&L.
As per SUNP's policy, the company charges the entire R&D expenditure through
the P&L account.
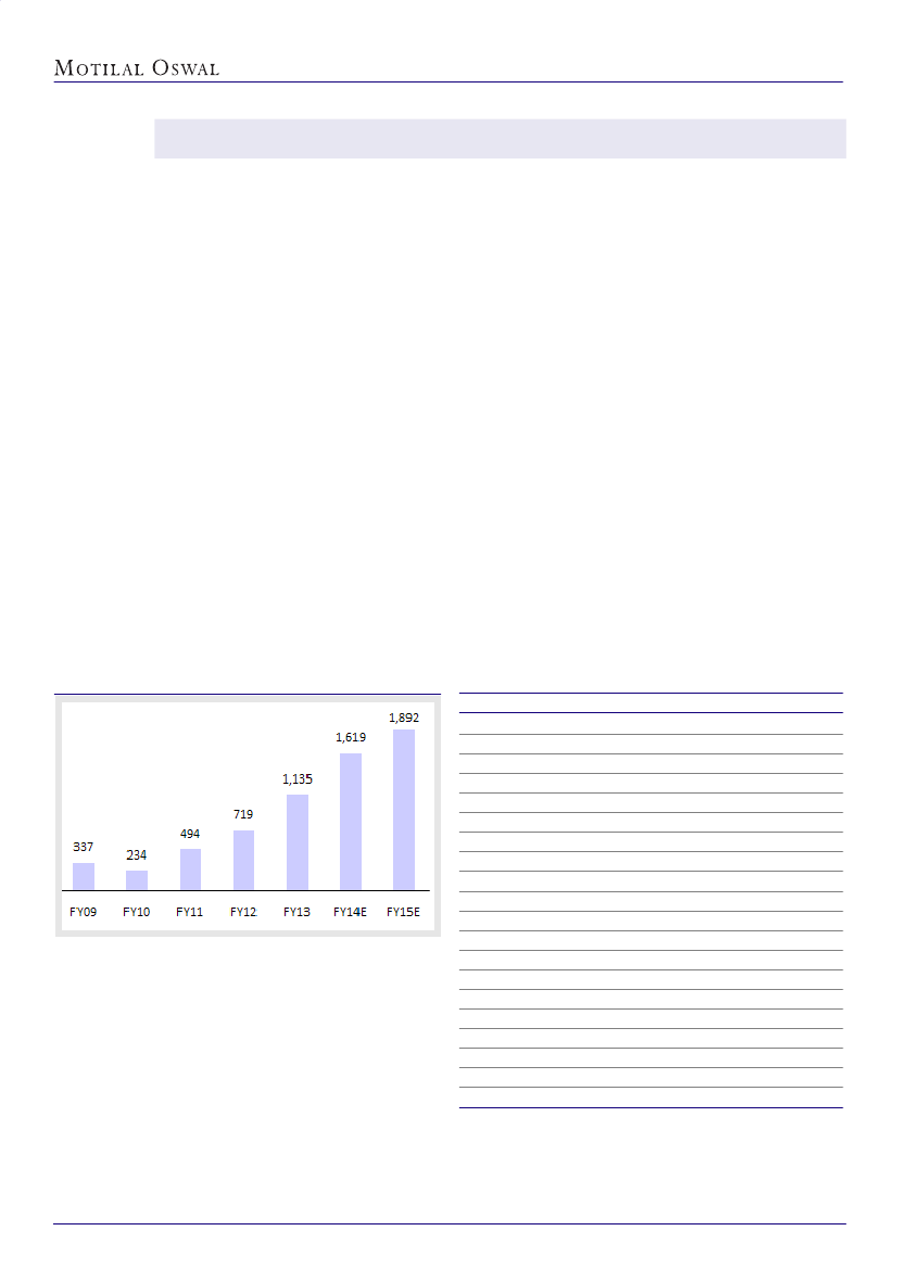
Trademarks, Designs and other intangible assets (gross) increases on acquisitions
Particulars
Additions during the year
Taken over on acquisitions
Total
FY09
1,050
1,050
FY10
317
FY11
FY12
FY13
570
551
1,310
3,380
10,236
317
3,950
551
11,546
Source: Company annual report, MOSL
Well charted strategy provides good growth visibility
After achieving USD2b in sales in FY13, SUNP has laid out a clear strategy for its next
leg of growth:
Create sustainable revenue and cash flow stream:
To generate sustainable
revenues and free cash flows from differentiated product offerings, with focus
on chronic therapies in India and other emerging markets.
Balance
profitability and future investments:
To focus on developing complex
and differentiated products, while taking a conservative approach towards
inorganic initiatives.
Cost leadership:
To maintain cost leadership through vertical integration
capabilities and optimizing operational expenses.
US Market
Outlook
Projected to grow at 1-4% CAGR over 2012-16 to reach USD350b-380b by 2016, as
per IMS report.
Growth would be slow due to expiration of patents worth USD73b over 2013-16.
SUNP's strategy
Focus on complex generics, including injectables and differentiated dosage forms.
Significant portion of this pipeline being backward integrated through in-house
API capabilities.
Manufacturing capabilities across a wide array of dosage forms will enable SUNP
to tap multiple opportunities.
12 December 2013
9

ART
| SUN PHARMA FY13
Focus on growing recently acquired DUSA and URL Pharma, and enhancing their
profitability.
Indian Formulations Market
Outlook
Expected to grow at a CAGR of 14-17% over 2012-16 as per IMS report.
Growth will be driven by increased healthcare spending, rising income levels,
rapid urbanization and increasing healthcare insurance.
SUNP's strategy
SUNP is sharpening its focus on building brands and strengthening customer
relationships.
It continues to strengthen its product portfolio and increase in-licensing products.
Going ahead, SUNP will continue to concentrate on the chronic segments, which
offer stable returns and ensure competitive long-term stability.
Pharmerging Markets
Outlook
Projected to grow at 12-15% CAGR over 2012-16 to USD310b-350b as per IMS report.
The key contributing countries will be Brazil, Russia, China, Mexico and South
Africa.
Rising income and increased access to medicines will be a common trend driving
growth in these markets.
SUNP's strategy
The focus ahead will be to leverage on the chronic portfolio to enhance presence
in key emerging markets. In addition, SUNP is focusing on expanding its presence
to new geographies.
Some of the focus markets for the future include Latin America, Russia & CIS,
China, South Africa, etc. SUNP plans to replicate its specialty product basket in
these markets, including technology-based products.
Active Pharmaceutical Ingredients (APIs)
Outlook
Projected to grow at 8-10% over the next few years as per IMS report.
The API market is highly fragmented and is expected to witness consolidation.
Growth will be fueled by patent expiries, greater outsourcing and demand for
potent and biogeneric APIs.
SUNP's strategy
Focus on ensuring long-term competitiveness of the formulations business
through strong backward integration.
Establish long-term contracts with customers in regulated markets for sustainable
revenue growth and margins.
12 December 2013
10

ART
| SUN PHARMA FY13
Acquisitions, new products and restructuring
DUSA
The acquisition of DUSA marks Sun Pharma's entry into the specialty dermatology
segment. During FY13, SUNP acquired DUSA Pharmaceuticals with all cash deal of
USD230m.
The US alone has over 5m treatments annually with DUSA having 5% share of it. It
has a drug device combination that is difficult to copy for a generic company.
URL Pharma
Caraco entered into a definitive agreement with Takeda Pharmaceuticals Inc to
buy URL Pharma's non-colcrys business.
The acquisition adds two US FDA compliant manufacturing facilities and three
delivery system technologies to SUNP's US presence.
Generic Doxil
In Feb-2013, Sun Pharma has commenced the supply of the approved product to
the US market.
12 December 2013
11

ART
| SUN PHARMA FY13
ART #4
GOVERNANCE MATTERS
SUNP's ESOP policy
SUNP does not have a scheme of stock options either for the executive directors
or employees. However, TARO had an ESOP option scheme prior to its acquisition
by SUNP.
TARO has not granted any options to purchase equity shares since January 14,
2009. As at Mar 31, 2013, there are 25,500 options outstanding.
Change in management
Mr Israel Makov was appointed as the Chairman of the company from May 29,
2012. Mr Dilip Shanghvi was the Chairman and Managing Director till May 29, 2012.
Mr Shanghvi now holds the position of Managing Director.
Mr Israel Makov is the former President and CEO of Teva Pharmaceutical Industries
Ltd (2002-07).
Managerial remuneration
Company has not formed any Remuneration Committee of Directors. The whole-
time directors' remuneration is approved by the board within the overall limit
fixed by the shareholders at their meetings.
Mr Shanghvi's managerial remuneration fell from INR82m in FY12 to INR10m in
FY13. As explained by the management, the fall is due to excess provision created
in FY12.
As a result, overall managerial remuneration fell from 0.7% to 0.3% of net profit
during the year.
The amount of managerial remuneration paid to Mr. Israel Makov is not disclosed
in the annual report.
Managerial remuneration fell from 0.7% to 0.3% of net profit during FY13 (INR m)
Particulars
Mr. Dilip S. Shanghvi
Mr. Sudhir V. Valia
Mr. S. Kalyanasundaram
Mr. Sailesh T. Desai
Apprenticeship Stipend / Remuneration
Mr. Aalok Shanghvi
Ms. Vidhi Shanghvi
Total
Net profits
Managerial remuneration as % of profits
FY11
30
25
20
8
9
1
93
19,074
0.5
FY12
82
61
25
8
FY13
10
52
-
9
40
33
-
0
215
103
30,422
34,693
0.7
0.3
Source: Company annual report, MOSL
12 December 2013
12

ART
| SUN PHARMA FY13
Board meetings
Four board meetings were held during the year, which is the minimum requirement
as per the Companies Act.
Directors were generally regular in attending board meetings
Name of Director
Mr. Israel Makov
Mr. Dilip S. Shanghvi
Mr. Sudhir V. Valia
Mr. Sailesh T. Desai
Mr. S. Mohanchand Dadha
Mr. Hasmukh S. Shah
Mr. Keki M. Mistry
Mr. Ashwin S. Dani
Board meetings attended
3
3
4
4
4
4
4
3
Last AGM attended
Yes
Yes
Yes
Yes
Yes
Yes
Yes
Yes
Source: Company annual report
12 December 2013
13

ART
| SUN PHARMA FY13
OUR PHARMA ANALYST VIEW
Our pharma analyst view
Potential of SUNP's US pipeline continues to be underappreciated. SUNP's US
revenue is estimated to witness a robust CAGR of 25% over FY13-FY15.
SUNP's acquisition track record has been superb and past FDA issues make it more
vigilant towards future challenges.
Valuations are reasonable in light of the core earnings growth of 30% over FY13-
FY15. Maintain
Buy
with a target price of INR718
Potential of US pipeline continues to be underappreciated
SUNP's US pipeline is shaping up well with an interesting mix of complex products,
branded generics and plain vanilla products.
Our Pharma analyst indicates that SUNP's strong pipeline in US is well placed to
deliver revenue CAGR of 29% to USD 1.9b. While a meaningful contribution to this
growth is being led by Doxil (J&J supplies to be restored only in 2014) and recently
acquired URL Pharma, in our analysis, SUNP's own pipeline is estimated to witness
revenue CAGR of 40% to USD 600m.
Our analyst assumes flat sales growth for TARO as he expects incremental
competition to impact the market share for key TARO products.
If competition is delayed or loss in market share is bridged by contribution from
new launches, his estimates for TARO may have room for positive surprise.
US Generic Sales (USD m); driven by acquisitions and new launches
Sun Pharma: Key Generics Expected Timeline
Brand
Cymbalta
Temodar
Niaspan
Reclast
Yaz
Lunesta
Zemplar
Namenda
Actonel
Abilify
Coreg CR
Gleevec
OrthoTricyclen Lo
Crestor
Focalin
Strattera
Alimta
Lyrica
Angiomax
Lexapro
Brand Sales
Timeline
3,918
Dec-13
403
Feb-14
911
Mar-14
350
FY14
330
FY14
783
May-14
310
Dec-14
600
Jan-15
800
FY15
2,102
Apr-15
211
Nov-15
1,800
Dec-15
450
Dec-15
3,164
Jul-16
500
>FY15
384
May-17
1,122
Jul-17
1,672
Dec-18
400
Dec-19
2,259
Delayed
Source: Industry, MOSL Research
Taro's US revenue consolidated from FY11 onwards
DUSA & URL from 4QFY13 onwards
12 December 2013
14

ART
| SUN PHARMA FY13
Acquisition track record has been superb; past FDA issues makes SUNP more
vigilant towards future challenges
SUNP's acquisition track record and payback period have by far been the best
amongst the Indian companies. Over the last decade, SUNP has acquired 16 assets,
majority of which have been turned around successfully.
In addition, SUNP has never overpaid for inorganic growth, its turnaround time
and value creation from those acquisitions is commendable. This shows
managerial vision and bandwidth for which we believe SUNP will continue to
trade at premium valuations to its peers.
Over the past few years, SUNP has faced three major issues with the US FDA and
resolved those successfully. SUNP's ability to successfully resolve past issues
makes it well placed to counteract any future challenges.
History of successful acquisitions
Company
Caraco
Women's
Health Brands
Valeant Pharma
Able Labs
Taro Pharma
Chattem
Inwood
DUSA
URL Pharma
Facility/Products
Detroit formulations facility
Cost (USDm)
52
Date
Aug-97
3 brands in US
5.4
Sep-04
Formulations facility in Ohio (USA)
10
Sep-05
Formulations facility in NJ (USA) & IP
23
Dec-05
API & formulations facility in Israel & Canda;
US operations
250-300
May-07
Controlled facility in Tennessee,
Nov-08
Select products
3QFY10
Novel derma product; mfg unit.
230
3QFY13
Generic product portfolio.
71
3QFY13
Source: Company, MOSL; Note: Acquisition costs are approximate
Promising outlook with proven track record; valuations reasonable
Strong US pipeline, superior India positioning and an excellent management track
record translates into core earnings growth of 30% over FY13-FY15.
We value SUNP's base business at 27x FY15E (20% premium to the sector valuations
and its historic trading average) to arrive at a fair value of INR680/share. We add
INR28/share for the Doxil opportunity and INR10/share for other Para IV
opportunities to arrive at a target price of INR718/share.
SUNP is amongst our best ideas in the large cap pharma space.
12 December 2013
15

Disclosures
This report is for personal information of the authorized recipient and does not construe to be any investment, legal or taxation advice to you. This research report does not constitute an offer, invitation or inducement
to invest in securities or other investments and Motilal Oswal Securities Limited (hereinafter referred as MOSt) is not soliciting any action based upon it. This report is not for public distribution and has been
furnished to you solely for your information and should not be reproduced or redistributed to any other person in any form.
Unauthorized disclosure, use, dissemination or copying (either whole or partial) of this information, is prohibited. The person accessing this information specifically agrees to exempt MOSt or any of its affiliates
or employees from, any and all responsibility/liability arising from such misuse and agrees not to hold MOSt or any of its affiliates or employees responsible for any such misuse and further agrees to hold MOSt
or any of its affiliates or employees free and harmless from all losses, costs, damages, expenses that may be suffered by the person accessing this information due to any errors and delays.
The information contained herein is based on publicly available data or other sources believed to be reliable. While we would endeavour to update the information herein on reasonable basis, MOSt and/or its
affiliates are under no obligation to update the information. Also there may be regulatory, compliance, or other reasons that may prevent MOSt and/or its affiliates from doing so. MOSt or any of its affiliates or
employees shall not be in any way responsible and liable for any loss or damage that may arise to any person from any inadvertent error in the information contained in this report . MOSt or any of its affiliates
or employees do not provide, at any time, any express or implied warranty of any kind, regarding any matter pertaining to this report, including without limitation the implied warranties of merchantability, fitness
for a particular purpose, and non-infringement. The recipients of this report should rely on their own investigations.
This report is intended for distribution to institutional investors. Recipients who are not institutional investors should seek advice of their independent financial advisor prior to taking any investment decision
based on this report or for any necessary explanation of its contents.
MOSt and/or its affiliates and/or employees may have interests/positions, financial or otherwise in the securities mentioned in this report. To enhance transparency, MOSt has incorporated a Disclosure of Interest
Statement in this document. This should, however, not be treated as endorsement of the views expressed in the report.
Disclosure of Interest Statement
1. Analyst ownership of the stock
2. Group/Directors ownership of the stock
3. Broking relationship with company covered
4. Investment Banking relationship with company covered
Companies where there is interest
None
None
None
None
Analyst Certification
The views expressed in this research report accurately reflect the personal views of the analyst(s) about the subject securities or issues, and no part of the compensation of the research analyst(s) was, is, or
will be directly or indirectly related to the specific recommendations and views expressed by research analyst(s) in this report. The research analysts, strategists, or research associates principally responsible
for preparation of MOSt research receive compensation based upon various factors, including quality of research, investor client feedback, stock picking, competitive factors and firm revenues.
Regional Disclosures (outside India)
This report is not directed or intended for distribution to or use by any person or entity resident in a state, country or any jurisdiction, where such distribution, publication, availability or use would be contrary to
law, regulation or which would subject MOSt & its group companies to registration or licensing requirements within such jurisdictions.
For U.K.
This report is intended for distribution only to persons having professional experience in matters relating to investments as described in Article 19 of the Financial Services and Markets Act 2000 (Financial
Promotion) Order 2005 (referred to as "investment professionals"). This document must not be acted on or relied on by persons who are not investment professionals. Any investment or investment activity to
which this document relates is only available to investment professionals and will be engaged in only with such persons.
For U.S.
Motilal Oswal Securities Limited (MOSL) is not a registered broker - dealer under the U.S. Securities Exchange Act of 1934, as amended (the"1934 act") and under applicable state laws in the United States.
In addition MOSL is not a registered investment adviser under the U.S. Investment Advisers Act of 1940, as amended (the "Advisers Act" and together with the 1934 Act, the "Acts), and under applicable state
laws in the United States. Accordingly, in the absence of specific exemption under the Acts, any brokerage and investment services provided by MOSL, including the products and services described herein
are not available to or intended for U.S. persons.
This report is intended for distribution only to "Major Institutional Investors" as defined by Rule 15a-6(b)(4) of the Exchange Act and interpretations thereof by SEC (henceforth referred to as "major institutional
investors"). This document must not be acted on or relied on by persons who are not major institutional investors. Any investment or investment activity to which this document relates is only available to major
institutional investors and will be engaged in only with major institutional investors. In reliance on the exemption from registration provided by Rule 15a-6 of the U.S. Securities Exchange Act of 1934, as amended
(the "Exchange Act") and interpretations thereof by the U.S. Securities and Exchange Commission ("SEC") in order to conduct business with Institutional Investors based in the U.S., MOSL has entered into
a chaperoning agreement with a U.S. registered broker-dealer, Motilal Oswal Securities International Private Limited. ("MOSIPL"). Any business interaction pursuant to this report will have to be executed within
the provisions of this chaperoning agreement.
The Research Analysts contributing to the report may not be registered /qualified as research analyst with FINRA. Such research analyst may not be associated persons of the U.S. registered broker-dealer,
MOSIPL, and therefore, may not be subject to NASD rule 2711 and NYSE Rule 472 restrictions on communication with a subject company, public appearances and trading securities held by a research analyst
account.
For Singapore
Motilal Oswal Capital Markets Singapore Pte Limited is acting as an exempt financial advisor under section 23(1)(f) of the Financial Advisers Act(FAA) read with regulation 17(1)(d) of the Financial Advisors
Regulations and is a subsidiary of Motilal Oswal Securities Limited in India. This research is distributed in Singapore by Motilal Oswal Capital Markets Singapore Pte Limited and it is only directed in Singapore
to accredited investors, as defined in the Financial Advisers Regulations and the Securities and Futures Act (Chapter 289), as amended from time to time.
In respect of any matter arising from or in connection with the research you could contact the following representatives of Motilal Oswal Capital Markets Singapore Pte Limited:
Anosh Koppikar
Kadambari Balachandran
Email : anosh.koppikar@motilaloswal.com
Email : kadambari.balachandran@motilaloswal.com
Contact: (+65) 68189232
Contact: (+65) 68189233 / 65249115
Office address: 21 (Suite 31), 16 Collyer Quay, Singapore 049318
Motilal Oswal Securities Ltd
Motilal Oswal Tower, Level 9, Sayani Road, Prabhadevi, Mumbai 400 025
Phone: +91 22 3982 5500 E-mail: reports@motilaloswal.com