6 March 2014
Blue Dart
spotlight
The Idea Junction
Stock Info
Bloomberg
BDE IN
CMP (INR)
3,358
Equity Shares (m)
23.8
M.Cap. (INR b)/(USD b)
79.8/1.3
52-Week Range (INR) 4,040/2,140
1,6,12 Rel. Perf. (%)
-2/36/35
India's largest package distribution company
Key beneficiary of explosive growth in e-commerce business
Blue Dart (BDE) is India's largest package distribution company, with a presence in over
33,739 locations domestically and 220 countries worldwide. It has a market share of
49% in the organized air express business and 13% in the organized surface express
business.
Acquiring a new license for operating a cargo airline is a significant entry barrier. Blue
Dart Aviation is India's first and only scheduled cargo airline.
E-commerce which contributes 10% of consolidated revenues is the fastest growing
segment for the company.
Financials & Valuation (INR b)
Y/E March
Sales
EBITDA
NP
EPS (INR)
EPS Gr (%)
BV/Sh (INR)
RoE (%)
RoCE (%)
Payout (%)
Valuation
P/E (x)
P/BV (x)
EV/EBITDA (x)
Div. Yld (%)
63.5
10.5
47.1
0.4
50.5
9.0
35.8
0.4
41.5
7.7
28.8
0.4
2014E 2015E 2016E
19.3
1.6
1.3
52.9
-34.1
18.1
26.4
22.1
21.3
2.1
1.6
66.5
25.8
19.5
29.1
21.1
23.7
2.6
1.9
80.9
21.7
20.2
30.2
21.7
320.0 373.5 438.0
Undisputed leader in organized air express business
BDE is the undisputed leader in the organized air express business, with 49%
market share. It benefits from strong first mover advantage, coupled with an
owned fleet of aircraft, high service standards, pan-India presence and long-
term tie-ups with major corporates across business segments. BDE's fleet of seven
aircraft covers 33,739 locations via 20 ground hubs and 166 network routes, a
competitive edge over existing domestic players and new entrants including
MNCs.
Shareholding pattern (%)
As on
Dec-13 Sep-13 Dec-12
Promoter
75.0
75.0
75.0
Dom. Inst
7.1
8.1
9.7
Foreign
6.5
5.6
3.3
Others
11.4
11.3
12.0
Blue Dart Aviation the only licensee for cargo aviation in India
Blue Dart Aviation is India's first and only scheduled cargo airline. Acquiring a
new license for operating a cargo airline is a significant entry barrier. Flying its
own aircraft gives BDE a competitive edge over its peers since it is in a better
position to deliver consignments on time, given secured cargo space (16 tonnes/
aircraft) and discipline in schedules (load/unload time rigid at 30 minutes). Other
air express players have to rely on space availability of passenger airlines, where
passenger luggage has priority over cargo. This results in space constraints (usually
two tonnes cargo capacity is available per passenger airline as against a dedicated
16-tonne capacity of a BDE aircraft) and time delays.
Stock performance (1 year)
Surface express: Expanding footprint quickly
BDE has aggressively scaled up the surface express business since 2007 and it
now contributes 20% of overall revenue. It has a market share of ~13% in this
business. Its ground fleet of 7,460 vehicles is mostly on hire basis. Because of its
Spotlight
is a new offering from the Research team at Motilal Oswal. While our Coverage Universe
is a wide representation of investment opportunities in India, there are many emerging names in the
Mid Cap Universe that are not under coverage. Spotlight is an attempt to feature such mid cap stocks
by visiting such companies. We are not including these stocks under our active coverage at this point
in time. Motilal Oswal Research may or may not follow up on stocks under Spotlight.
Niket Shah
(Niket.Shah@MotilalOswal.com); +91 22 3982 5426
Atul Mehra
(Atul.Mehra@MotilalOswal.com); +91 22 3982 5417
Investors are advised to refer through disclosures made at the end of the Research Report.
RED: Caution
AMBER: In transition
GREEN: Interesting
1

spotlight
| Blue Dart
strict timelines, BDE provides significant value to customers looking for a quick and
cost effective dispatch and has thus been able to gain trust and loyalty in the surface
business as well. Management expects this segment to report a growth rate in the
range of 15-20% as against air express expected growth rate of 8-10%.
Currency and fuel adjustment factors to protect margins
BDE's pricing is currently based on two components - an annually reviewed freight
component and a periodically reviewed variable component (which takes into
account fuel and currency adjustment factors which have been recently introduced).
BDE has been recently hit because of the lag in passing on the freight and currency
components to clients. However, as contracts come for renewal management expects
the same to be passed on to clients which will improve margins. Meanwhile, the
variable component will protect margin profile from fuel and currency fluctuations.
Extensive pan India air and ground network
BDE has an extensive coverage network, with over 33k service locations across 220
countries (through DHL). It has a dedicated aviation system, with seven freighters
(five B-757s and two B- 737s), with a daily haulage capacity of 375 tonnes and seven
air network stations across metro cities. In the ground segment, BDE applies a
combination of hub-and-spoke and centipede model. BDE's extensive reach coupled
with optimised flight scheduling ensures superior transit time, enhancing the value
proposition for the customer. BDE offers coverage that is over 3x its nearest
competitor, which coupled with its time-bound delivery make it a logistics partner
of choice.
Strong parentage; DHL the global leader in logistics
The global logistics industry is estimated to be worth USD300b, of which the express
logistics business is estimated to be 10% (USD30b). Globally, the logistics sector is
consolidated, with top-3 players accounting for 57% of the industry revenue. DHL,
BDE's parent and 75% shareholder, is the world's largest logistics player, with annual
revenue of USD72b.
GST: A potential game changer
Introduction of GST can lead to a massive increase in B2C movement of goods due to
absence of taxation hindrances. Goods can freely move from one state to another
instead of currently getting piled at the central hub. Also, there will be consolidation
of the warehouses required across the country, as there will be no cascading effect.
As a result, manufacturers will not have to maintain warehouses in different locations
to save inter-state tax. Reduction in number of warehouses will result in greater
supply chain efficiency. As the number of warehouses decreases, the lot size will
increase, leading to faster turnaround time. GST implementation will force
participants to transit from the unorganized market to the organized market, as
legitimate invoices will be necessary for the benefit of input credit set-off.
6 March 2014
2

spotlight
| Blue Dart
E-commerce sector to drive growth
E-commerce is fast evolving as a major growth driver for the logistics industry.
The market size for e-commerce in India is currently USD1.5b, which is just 0.25%
of the total Indian retail market. In comparison, online retail penetration is ~10%
in the US, 6% in China and 10% in Korea. Online retailing in India presents a huge
opportunity - a 5% penetration of online retailing in India would mean an
opportunity size of USD50b, assuming a USD1t retailing market in the next 10
years (current size is USD600b; assume modest 5% CAGR over the next 10 years).
High quality franchise with strong industry positioning to help sustain
current valuations
We expect BDE's revenue to grow at a CAGR 13.5% to INR24.8b and PAT to grow at a
CAGR of 24.5% to INR1.9b over FY14-16. At CMP of INR3,358 BDE trades at 50.5x
FY15E and 41.5x FY16E earnings. Given strong industry positioning, high entry
barriers, large e-commerce opportunity, asset light business model and a strong
balance sheet (RoCE of 26% and RoE of 18%) we believe Blue Dart is rightly
positioned.
Not Rated.
6 March 2014
3

spotlight
| Blue Dart
Background
Company description
Blue Dart Express (Bloomberg: BDE) is India's largest package distribution company,
with a presence in over 33,739 locations domestically and 220 countries worldwide.
It has a market share of 49% in the organized air express business and 13% in the
organized surface express business.
Express delivery services are used for various products, including documents like
letters, applications, cheque books, credit cards, trade papers and non-documents
like electronic products, machine spare parts, trade samples, equipments and e-
commerce parcels.
BDE began operations in 1983 as the first domestic and international onboard
courier service provider in India. In 1987, it tied up with Fed-Ex, giving it a strong
foothold in international markets. In 2005, BDE parted ways with Fed-Ex and
partnered with DHL, which bought out the original promoters and acquired 81%
stake in the company.
Key business segments
Air Express contributes ~80% of BDE's revenue. Surface Express is a relatively new
business for the company and currently contributes ~20%.
Institutional clients account for 94% of BDE's revenue, with the balance 6% from
retail clients.
Revenue composition (%)
Mode of transport
Buyer profile
Source: Company, MOSL
Promoters and management
BDE's parent, DHL Express is a division of Deutsche Post DHL, and is the world's largest
logistics company. DHL is the global market leader in sea and air mail. It has its
headquarters in Bonn, Germany, employs 467,088 people, and is present in over 220
countries and territories worldwide. Deutsche Post DHL reported revenue of ~USD72b
in 2012.
The current Managing Director of BDE is
Mr Anil Khanna,
who has over 32 years of
experience, more than 20 years of which are with BDE.
Mr Anil Khanna
6 March 2014
4

spotlight
| Blue Dart
Business Insights Undisputed leader in organized air express business
Only player with proprietary aviation network
BDE is the undisputed leader in the organized air express business, with 49% market share.
It is the only player with a proprietary aviation network, which enables it to provide superior
service quality. Acquiring a new license for operating a cargo airline is a significant entry
barrier.
Unlike its competitors, BDE promises strict delivery timelines, making it the logistics partner
of choice for time-sensitive cargo. It commands 20-25% pricing premium over peers.
The air express industry is likely to witness 12.5% CAGR over CY13-15, and being the market
leader, BDE would be a key beneficiary.
Undisputed leader in organized air express business
India has over 500 air cargo operators in the domestic sector and ~75 that operate at
the national level. The organized segment is concentrated, with large players like
BDE, Aramex, First Flight, DTDC, Overnight Express, Safex and GATI accounting for
most of the business. BDE is the undisputed leader in the organized air express
business, with 49% market share. It benefits from strong first mover advantage,
coupled with an owned fleet of aircraft, high service standards, pan-India presence
and long-term tie-ups with major corporates across business segments.
BDE has been ahead of competition in advanced technology deployments like the
smart truck and RFID pilots, WDL machines, on-the-move handheld scanners, ERP
systems, etc, which help customers to track their cargo with great preciseness. BDE's
fleet of seven aircraft covers 33,739 locations via 20 ground hubs and 166 network
routes, giving it a competitive edge over existing domestic players and new entrants
including MNCs. It remains unmatched in terms of the first mile and last mile
connectivity it provides across India.
Market share in air express industry (%)
Source: Company, MOSL
Currency and fuel adjustment factors to protect margins
BDE's pricing is currently based on two components - an annually reviewed freight
component and a periodically reviewed variable component (which takes into account
fuel and currency adjustment factors which have been recently introduced). BDE has
been recently hit because of the lag in passing on the freight and currency components
to clients. However, as contracts come for renewal management expects the same to
be passed on to clients which will improve margins. Meanwhile, the variable
component will protect margin profile from fuel and currency fluctuations.
6 March 2014
5

spotlight
| Blue Dart
Acquiring a new license is a significant entry barrier
Acquiring a new license for operating a cargo airline is a significant entry barrier.
Flying its own aircraft gives BDE a competitive edge over its peers since it is in a better
position to deliver consignments on time, given secured cargo space (16 tonnes/
aircraft) and discipline in schedules (load/unload time rigid at 30 minutes). Other air
express players have to rely on space availability of passenger airlines, where
passenger luggage has priority over cargo. This results in space constraints (usually
two tonnes cargo capacity is available per passenger airline as against a dedicated 16-
tonne capacity of a BDE aircraft) and time delays.
Since most of BDE's business is through its own aircraft (its associate, BDA procures
aircraft on operating lease from DHL and uses these exclusively for BDE), its expenses
are fixed (annual operating lease payments and aircraft maintenance charges), which
introduces operating leverage in the business. In contrast, BDE's competitors work
with other commercial airlines and their carriage charges vary. To fill up spare cargo
capacity, airlines offer extremely low prices at the last minute (thus earning
incremental revenue with no extra costs), which leads to lower cost for competitors
in some cases. However, while competitors might be able to keep costs low, unlike
BDE, they cannot promise strict timelines to clients, as their consignments do not
have an assured take-off time (if one commercial flight does not have cargo space,
they have to wait in the queue for the next). BDE's ability to promise and deliver
consignments in time gives it a competitive advantage and allows it to charge a
premium of 25-30% over its organized peers.
Blue Dart Aviation the only licensee for cargo aviation in India
BDE carries out all its air express operations through its 49% associate company, Blue
Dart Aviation (BDA). BDA works on a cost plus basis and makes zero profits. The fleet
of two Boeing 737s and five Boeing 757s that BDA operates is leased from DHL. Short
lease term of 5 years gives BDE the flexibility to adjust fleet size depending on business
requirements. BDE has lent INR1,950m to BDA to meet its capital requirements.
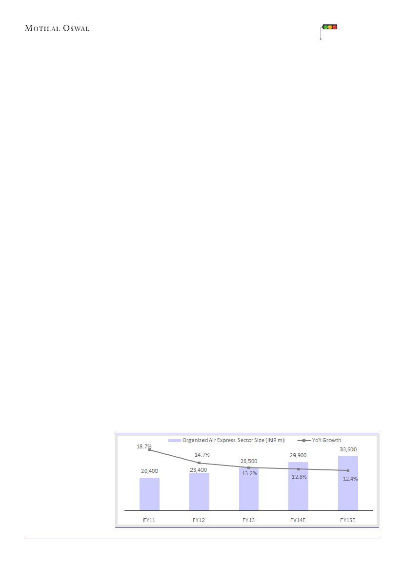
Air express industry to witness strong growth
The air express industry in India is characterized by limited number of players and
focuses on high value low weight items. Growth in this sector is driven by banking
and financial services, e-commerce, IT hardware, pharmaceuticals and automotive
segments. The total domestic air express market for FY13 was INR26.5b, which
according to the company is expected to grow at 12.5% CAGR to INR33.6b by FY15.
India's organized air express market
Source: Company, MOSL
6 March 2014
6

spotlight
| Blue Dart
Surface express business holds high potential
Revenue contribution up from single digit levels in 2007 to 20% in 2013
BDE has aggressively ramped up the surface express business since 2007. It has successfully
scaled up this business and it now contributes ~20% of overall revenue.
BDE has been able to grow its market share in this segment from 5.9% in CY06 to 13%.
Going forward, the management expects this segment to grow at 15-20% as against growth
rate of 8-10% for the air express segment.
Expanding footprint quickly in surface express business
BDE has aggressively ramped up the surface express business since 2007. It has
successfully scaled up this business and it now contributes ~20% of overall revenue.
BDE has a market share of ~13% in the surface express segment. It has a fleet of 7,460
vehicles, which are mostly on hire basis. Because of its strict timelines, it offers
significant value to customers looking for quick and cost effective dispatches. It has
been able to gain customer trust and loyalty in the surface business, as well. BDE
expects 15-20% growth in the surface express business against 8-10% growth in the
air express segment led by improvement in road infrastructure, gradual shift in favor
of organized players from unorganized and some shift from air to surface express due
to consumer downtrading in certain segments.
Surface express market to grow at 19% CAGR
India's surface express service industry is largely fragmented, with more than 2,500
entities. The organized ground express cargo industry is estimated at INR34.2b and is
expected to grow at 19% over the next couple of years. The ground express cargo
industry has relatively higher competitive intensity. BDE has been able to grow its
market share from 5.9% in CY06 to 13%. Its major competitors in this segment are
Safex, Gati, TCI XPS and TVS Logistics.
Market share in surface express industry (%)
Organized surface express market size (INR m)
Source: Company, MOSL
6 March 2014
7

spotlight
| Blue Dart
Extensive network, consistent innovation led leadership
Coverage 3x that of its nearest competitor; preferred logistics partner
BDE has an extensive coverage network, with over 33k service locations across 220 countries.
Its coverage is over 3x that of its nearest competitor.
It has a dedicated aviation system, with seven freighters and a daily haulage capacity of 375
tonnes. It also has a robust ground fleet of 7,460 vehicles, with 274 touch points, serving 166
network routes and 20 hubs.
Its bouquet of offerings across ground and air express make BDE a preferred logistics partner
for institutions that require all services under one roof.
Extensive pan India air and ground network
BDE has an extensive coverage network, with over 33k service locations across 220
countries (through DHL). It has a dedicated aviation system, with seven freighters
(five B-757s and two B- 737s), with a daily haulage capacity of 375 tonnes and seven air
network stations across metro cities. In the ground segment, BDE applies a combination
of hub-and-spoke and centipede model. It has a robust ground fleet of 7,460 vehicles,
with 274 touch points, serving 166 network routes and 20 hubs. BDE's extensive reach
coupled with optimised flight scheduling ensures superior transit time, enhancing
the value proposition for the customer. BDE offers coverage that is over 3x its nearest
competitor, which coupled with its time-bound delivery make it a logistics partner of
choice.
Blue Dart's has an extensive reach
Source: Company, MOSL
6 March 2014
8

spotlight
| Blue Dart
Offers customized service offerings for each industry
The USP for the express industry is its ability to provide door-to-door, time-bound
services. BDE, with its suite of integrated solutions, provides services right from
domestic door-to-door to international door-to-door through its parent, DHL's
worldwide network. As an integrated player, BDE's 19 core offerings distributed across
express services, value-added services and air freight services cover a gamut of
industry requirements. Its bouquet of offerings across ground and air express make
BDE a preferred logistics partner for institutions that require all services under one
roof.
Blue Dart's customized service offering for each industry
Source: Company, MOSL
Technology innovations enable ease in trace and control
BDE, being a pioneer in technology, has many firsts to its credit. It uses technology to
enhance customer interface together with synergizing internal processes. State-of-
the-art technology like weight dimension labelling (WDL) for accurate weight
measurement, GPS for real time shipment visibility and radio frequency identification
(RFID) help it to ensure speed, safety and accuracy. BDE has developed tools that
provide vital inputs to improve operational efficiency and also provide customers
seamless information about their shipments. This is imperative in a business where
majority of the customers belong to the institutional segment and high value
shipments are handled.
6 March 2014
9

spotlight
| Blue Dart
Blue Dart's Network Tools
Source: Company, MOSL
6 March 2014
10

spotlight
| Blue Dart
Strong parentage; DHL the global leader in logistics
Leveraging parent's global expertise to grow domestic business
DHL, BDE's parent and 75% shareholder, is the world's largest logistics player, with annual
revenue of USD72b.
In the global express market, DHL is dominant in its home market (Europe; 41% share) as
well as in Asia Pacific (40% share).
BDE is the leader in the domestic organized express market and is leveraging its parent's
global expertise to grow its business.
DHL is the global leader in logistics…
The global logistics industry is estimated to be worth USD300b, of which the express
logistics business is estimated to be 10% (USD30b). Globally, the logistics sector is
consolidated, with top-3 players accounting for 57% of the industry revenue. DHL,
BDE's parent and 75% shareholder, is the world's largest logistics player, with annual
revenue of USD72b.
Global logistic companies revenues (USD b)
Source: Company, MOSL
…with dominant presence in Europe and Asia Pacific
DHL's network spans more than 220 countries and territories, in which ~100,000
employees provide services to more than 2.6m customers. In the global express
market, DHL is dominant in its home market (Europe; 41% share) as well as in Asia
Pacific (40% share).
Dominant presence in Europe and Asia Pacific
Europe
Asia Pacific
Americas
Source: Company, MOSL
6 March 2014
11

spotlight
| Blue Dart
BDE leveraging parent's global expertise to grow domestic business
BDE has 49% market share in India and is leveraging its parent's global expertise to
capture a larger part of the growth in the Indian logistics sector. It gains from DHL's
global customer networks, which can be utilized for domestic cargo. Our interactions
with the management suggest that BDE is now largely focussed on domestic business,
which contributes more than 90% of its revenue. Post integration with DHL in 2005, all
international outbound shipments are handled by DHL for fulfilment while all inbound
shipments are handled by DHL on its own. International business accounts for less
than 10% of BDE's revenue now as against 90% about 15 years ago.
Revenue share (FY00)
Revenue share (FY13)
Source: Company, MOSL
6 March 2014
12

spotlight
| Blue Dart
GST: A potential game changer
To encourage centralized warehousing and B2C movement of goods
The logistics industry would be one of the biggest beneficiaries of GST implementation.
Absence of taxation hindrances could lead to a massive increase in B2C movement of goods.
Manufacturers will not have to maintain warehouses in different locations to save inter-
state tax. The resultant consolidation of the warehouses required across the country would
result in greater supply chain efficiency.
Also, GST implementation will force participants to transit from the unorganized market to
the organized market, as legitimate invoices will be necessary for the benefit of input credit
set-off.
Introduction of GST can lead to a massive increase in B2C movement of goods due to
absence of taxation hindrances. Goods can freely move from one state to another
instead of currently getting piled at the central hub. With the implementation of GST,
the whole of India will be covered under a single tax rate, which will bring a lot of
efficiency in the system. With the whole of India being considered as a single market,
taxes on manufacturing goods will reduce, which will ultimately reflect in product
pricing.
Manufacturers will not have to maintain warehouses in different locations to save
inter-state tax. There will be consolidation of the warehouses required across the
country, which will result in greater supply chain efficiency. As the number of
warehouses decreases, the lot size will increase, leading to faster turnaround time.
GST implementation will force participants to transit from the unorganized market to
the organized market, as legitimate invoices will be necessary for the benefit of
input credit set-off.
Savings from GST implementation to boost B2C movement of goods
Source: Company, MOSL
6 March 2014
13

spotlight
| Blue Dart
E-commerce: Key growth driver for logistics industry
Logistics companies to be direct proxies for e-commerce growth
Online retail penetration in India is just 0.25% as against 10% in the US, 6% in China, and 10%
in Korea. A 5% penetration of online retailing in India would mean an e-commerce
opportunity size of USD50b, assuming a USD1t retailing market in the next 10 years.
Given that logistics typically cost 5% of sales for e-commerce players, the express logistics
industry can grow from the current USD0.8b to USD3.3b (15.2% CAGR) over the next 10
years.
E-commerce fast evolving into major growth driver for logistics industry
Online retail penetration
abysmally low in India (%)
E-commerce is fast evolving as a major growth driver for the logistics industry. The
market size for e-commerce in India is currently USD1.5b, which is just 0.25% of the
total Indian retail market. In comparison, online retail penetration is ~10% in the US,
6% in China and 10% in Korea. Online retailing in India presents a huge opportunity -
a 5% penetration of online retailing in India would mean an opportunity size of
USD50b, assuming a USD1t retailing market in the next 10 years (current size is
USD600b; assume modest 5% CAGR over the next 10 years).
India's express logistics industry could post a 10 year CAGR of 15%
Source: Company, MOSL
The size of India's organized express logistics industry is ~USD881m. This includes
organized air and ground express segments, which are estimated at USD400m and
USD481m, respectively. The air express market is driven by high value - low weight
products, which do not have a safer mode of transport, and where speed of delivery
is of utmost importance.
Logistics typically cost 5% of sales for e-commerce players. The express logistics
industry can grow from the current USD0.8b to USD3.3b (15.2% CAGR) over the next 10
years, assuming minimal growth for other industries. Currently, e-commerce accounts
for 10% of BDE's revenue and the management expects majority of the revenue growth
to be driven by the e-commerce sector.
Online retailing in India could be a USD50b market
Size of express industry in India (USD b)
Source: Company, MOSL
6 March 2014
14

spotlight
| Blue Dart
Consistent track record of all-round growth
9.2% volume CAGR and 15.5% revenue CAGR over last five years
BDE has been growing consistently over the last five years.
For the industry, shipments have grown at a CAGR of 9.5% to 142m over CY08-13; tonnage
has grown at 19.6%, led by greater contribution of non-document shipments.
BDE has grown its area and facilities at a CAGR of 15.9% and 9.1%, respectively over the last
five years. It continues to invest in new facilities and field employees despite the current
slowdown in anticipation of better growth prospects.
Consistent growth across measures
Shipments
Tonnage
Facilities
Area
Retail Stores
Vehicles
* 15 months ended March 2013
6 March 2014
Source: Company, MOSL
15

spotlight
| Blue Dart
Financial and
Valuation
Revenue growth stable; trough case margins
BDE's revenue has grown at a CAGR of 15.5% from INR9.7b in CY08 to INR17.3b in FY13.
EBITDA margin, however, is likely to come off by a substantial 400bp in FY14 to 8.5%
due to pressure on gross margin. Unlike competition, BDE's is a high fixed cost business
model. In the current environment of low volume growth and INR depreciation, gross
margin has suffered. We expect revenue growth CAGR of 10.8% and EBITDA CAGR of
26.1% over FY14-16.
EBITDA (INR m)
Revenue (INR m)
* 15 months annualized
Source: Company, MOSL
Robust operating and free cash generation; strong return ratios
BDE generates robust operating and free cash flows owing to its capital efficient
business model. The entire aircraft fleet is on lease and is part of the 49% owned Blue
Dart Aviation, while 80% of its vehicle fleet is outsourced. RoCE for FY13 stood at
29.8% whereas RoE stood at 23.4%.
Operating cash flow (INR m)
Free cash flow (INR m)
* 15 months annualized
Source: Company, MOSL
6 March 2014
16

spotlight
| Blue Dart
RoCE (%)
RoE (%)
* 15 months annualized
Source: Company, MOSL
High quality franchise with strong industry positioning to help sustain current
valuations
We expect BDE's revenue to grow at a CAGR 13.5% to INR24.8b and PAT to grow at a
CAGR of 24.5% to INR1.9b over FY14-16. At CMP of INR3,358 BDE trades at 50.5x FY15E
and 41.5x FY16E earnings. Given strong industry positioning, high entry barriers, large
e-commerce opportunity, asset light business model and a strong balance sheet (RoCE
of 26% and RoE of 18%) we believe Blue Dart is rightly positioned.
Not Rated.
Blue Dart: 1-year going forward P/E
Blue Dart: 1-year going forward P/BV
6 March 2014
17

spotlight
| Blue Dart
Risks & Concerns
Increase in international crude oil prices / INR depreciation
Fuel forms a substantial portion of expenses for Blue Dart Aviation, which are directly
passed on to BDE. A significant increase can impact margin performance. However,
BDE follows a fuel surcharge based price mechanism, which insulates it to a certain
degree.
Increase in competitive intensity
MNCs like FedEx and UPS, with their international best practices, are expanding their
presence in India. This could pose a risk to BDE's competitive positioning.
Shift from physical documents to e-documents poses a risk
Documents constitute 35% of BDE's revenue. Though a substantial shift from physical
documents to e-documents has already occurred, any incremental shift can impact
growth outlook.
6 March 2014
18

spotlight
| Blue Dart
Financials and Valuation (Consolidated)
Income Statement
Y/E March
Service Charges & Op. Inc.
Change (%)
Total Expenditure
% of Sales
EBITDA
Margin (%)
Depreciation
EBIT
Other Income - Rec.
PBT
Current Tax
Deferred Tax
Tax Rate (%)
Reported PAT
PAT Adj for EO items
Change (%)
Margin (%)
Less: Mionrity Interest
Net Profit
CY11
14,954
30.0
13,155
88.0
1,799
12.0
218
1,581
217
1,798
570
1
31.7
1,228
1,228
29.7
8.2
-14.1
1,242
FY13*
21,717
45.2
19,029
87.6
2,688
12.4
347
2,341
400
2,741
868
-34
30.4
1,907
1,907
55.3
8.8
-25.7
1,933
FY14E
19,349
-10.9
17,711
91.5
1,638
8.5
247
1,391
484
1,875
619
0
33.0
1,256
1,256
-34.1
6.5
-25.7
1,282
FY15E
21,330
10.2
19,204
90.0
2,126
10.0
265
1,861
533
2,394
814
0
34.0
1,580
1,580
25.8
7.4
-25.7
1,606
(INR Million)
FY16E
23,736
11.3
21,133
89.0
2,603
11.0
283
2,320
593
2,914
991
0
34.0
1,923
1,923
21.7
8.1
-25.7
1,949
Balance Sheet
Y/E March
Equity Share Capital
Total Reserves
Net Worth
Deferred Liabilities
Capital Employed
Gross Block
Less: Accum. Deprn.
Net Fixed Assets
Capital WIP
Total Investments
Curr. Assets, Loans&Adv.
Inventory
Account Receivables
Cash and Bank Balance
Loans and Advances
Curr. Liability & Prov.
Account Payables
Other Current Liabilities
Provisions
Net Current Assets
Appl. of Funds
E: MOSL Estimates; * 15 months
CY11
238
6,400
6,637
182
6,819
3,952
1,621
2,332
29
739
5,340
26
1,890
401
3,023
1,620
538
1,023
59
3,720
6,819
FY13*
238
6,362
6,599
148
6,747
3,967
1,761
2,206
123
228
7,951
24
2,272
2,417
3,239
3,760
729
1,007
2,025
4,190
6,747
FY14E
238
7,365
7,603
148
7,751
4,267
2,008
2,259
77
228
7,620
22
2,014
2,681
2,902
2,433
730
1,354
348
5,187
7,751
FY15E
238
8,638
8,875
148
9,023
4,567
2,273
2,294
85
228
9,116
24
2,221
3,671
3,200
2,699
787
1,493
419
6,416
9,023
(INR Million)
FY16E
238
10,170
10,407
148
10,555
4,867
2,556
2,311
95
228
10,965
26
2,471
4,908
3,560
3,044
863
1,662
519
7,921
10,555
6 March 2014
19

spotlight
| Blue Dart
Financials and Valuation (Consolidated)
Ratios
Y/E March
Basic (INR)
EPS
Cash EPS
BV/Share
DPS
Payout (%)
Valuation (x)
P/E
Cash P/E
P/BV
EV/Sales
EV/EBITDA
Dividend Yield (%)
Return Ratios (%)
RoE
RoCE
Working Capital Ratios
Asset Turnover (x)
Debtor (Days)
Leverage Ratio (x)
Current Ratio
Debt/Equity
CY11
51.7
60.8
279.3
2.0
4.5
FY13*
80.3
94.9
277.7
70.9
103.4
FY14E
52.9
63.3
320.0
10.0
22.1
FY15E
66.5
77.7
373.5
12.0
21.1
FY16E
80.9
92.8
438.0
15.0
21.7
41.8
35.4
12.1
3.6
28.8
2.1
63.5
53.1
10.5
4.0
47.1
0.3
50.5
43.2
9.0
3.6
35.8
0.4
41.5
36.2
7.7
3.2
28.8
0.4
20.5
29.8
29.2
41.4
18.1
26.4
19.5
29.1
20.2
30.2
2.2
46
3.2
38
2.5
38
2.4
38
2.2
38
3.3
0.0
2.1
0.0
3.1
0.0
3.4
0.0
3.6
0.0
Cash Flow Statement
Y/E March
CY11
NP / (Loss) bef. Tax and EO Items 1,798
Depreciation
218
Interest & Finance Charges
-153
Direct Taxes Paid
598
(Inc)/Dec in WC
-128
CF from Operations
1,137
Others
CF from Operating incl EO
(inc)/dec in FA
(Pur)/Sale of Investments
Others
CF from Investments
(Inc)/Dec in Debt
Interest Paid
Dividend Paid
CF from Fin. Activity
Inc/Dec of Cash
Add: Beginning Balance
Closing Balance
E: MOSL Estimates; * 15 months
-67
1,070
-518
-10,648
10,172
-994
-3
0
-24
-27
50
351
401
FY13*
2,741
347
-280
882
-167
1,760
65
1,825
-418
-21,889
22,552
246
-7
0
-48
-55
2,016
400
2,417
FY14E
1,875
247
-484
619
-732
287
0
287
-255
0
484
229
26
0
-278
-252
264
2,417
2,681
FY15E
2,394
265
-533
814
-239
1,073
0
1,073
-308
0
533
225
26
0
-334
-308
991
2,681
3,671
(INR Million)
FY16E
2,914
283
-593
991
-269
1,344
0
1,344
-310
0
593
284
26
0
-417
-391
1,236
3,671
4,908
6 March 2014
20

spotlight
| Blue Dart
N O T E S
6 March 2014
21

Disclosures
This report is for personal information of the authorized recipient and does not construe to be any investment, legal or taxation advice to you. This research report does not constitute an offer, invitation or inducement
to invest in securities or other investments and Motilal Oswal Securities Limited (hereinafter referred as MOSt) is not soliciting any action based upon it. This report is not for public distribution and has been
furnished to you solely for your information and should not be reproduced or redistributed to any other person in any form.
Unauthorized disclosure, use, dissemination or copying (either whole or partial) of this information, is prohibited. The person accessing this information specifically agrees to exempt MOSt or any of its affiliates
or employees from, any and all responsibility/liability arising from such misuse and agrees not to hold MOSt or any of its affiliates or employees responsible for any such misuse and further agrees to hold MOSt
or any of its affiliates or employees free and harmless from all losses, costs, damages, expenses that may be suffered by the person accessing this information due to any errors and delays.
The information contained herein is based on publicly available data or other sources believed to be reliable. While we would endeavour to update the information herein on reasonable basis, MOSt and/or its
affiliates are under no obligation to update the information. Also there may be regulatory, compliance, or other reasons that may prevent MOSt and/or its affiliates from doing so. MOSt or any of its affiliates or
employees shall not be in any way responsible and liable for any loss or damage that may arise to any person from any inadvertent error in the information contained in this report . MOSt or any of its affiliates
or employees do not provide, at any time, any express or implied warranty of any kind, regarding any matter pertaining to this report, including without limitation the implied warranties of merchantability, fitness
for a particular purpose, and non-infringement. The recipients of this report should rely on their own investigations.
This report is intended for distribution to institutional investors. Recipients who are not institutional investors should seek advice of their independent financial advisor prior to taking any investment decision
based on this report or for any necessary explanation of its contents.
MOSt and/or its affiliates and/or employees may have interests/positions, financial or otherwise in the securities mentioned in this report. To enhance transparency, MOSt has incorporated a Disclosure of Interest
Statement in this document. This should, however, not be treated as endorsement of the views expressed in the report.
Disclosure of Interest Statement
1. Analyst ownership of the stock
2. Group/Directors ownership of the stock
3. Broking relationship with company covered
4. Investment Banking relationship with company covered
Blue Dart Express
No
No
No
No
Analyst Certification
The views expressed in this research report accurately reflect the personal views of the analyst(s) about the subject securities or issues, and no part of the compensation of the research analyst(s) was, is, or
will be directly or indirectly related to the specific recommendations and views expressed by research analyst(s) in this report. The research analysts, strategists, or research associates principally responsible
for preparation of MOSt research receive compensation based upon various factors, including quality of research, investor client feedback, stock picking, competitive factors and firm revenues.
Regional Disclosures (outside India)
This report is not directed or intended for distribution to or use by any person or entity resident in a state, country or any jurisdiction, where such distribution, publication, availability or use would be contrary to
law, regulation or which would subject MOSt & its group companies to registration or licensing requirements within such jurisdictions.
For U.K.
This report is intended for distribution only to persons having professional experience in matters relating to investments as described in Article 19 of the Financial Services and Markets Act 2000 (Financial
Promotion) Order 2005 (referred to as "investment professionals"). This document must not be acted on or relied on by persons who are not investment professionals. Any investment or investment activity to
which this document relates is only available to investment professionals and will be engaged in only with such persons.
For U.S.
Motilal Oswal Securities Limited (MOSL) is not a registered broker - dealer under the U.S. Securities Exchange Act of 1934, as amended (the"1934 act") and under applicable state laws in the United States.
In addition MOSL is not a registered investment adviser under the U.S. Investment Advisers Act of 1940, as amended (the "Advisers Act" and together with the 1934 Act, the "Acts), and under applicable state
laws in the United States. Accordingly, in the absence of specific exemption under the Acts, any brokerage and investment services provided by MOSL, including the products and services described herein
are not available to or intended for U.S. persons.
This report is intended for distribution only to "Major Institutional Investors" as defined by Rule 15a-6(b)(4) of the Exchange Act and interpretations thereof by SEC (henceforth referred to as "major institutional
investors"). This document must not be acted on or relied on by persons who are not major institutional investors. Any investment or investment activity to which this document relates is only available to major
institutional investors and will be engaged in only with major institutional investors. In reliance on the exemption from registration provided by Rule 15a-6 of the U.S. Securities Exchange Act of 1934, as amended
(the "Exchange Act") and interpretations thereof by the U.S. Securities and Exchange Commission ("SEC") in order to conduct business with Institutional Investors based in the U.S., MOSL has entered into
a chaperoning agreement with a U.S. registered broker-dealer, Motilal Oswal Securities International Private Limited. ("MOSIPL"). Any business interaction pursuant to this report will have to be executed within
the provisions of this chaperoning agreement.
The Research Analysts contributing to the report may not be registered /qualified as research analyst with FINRA. Such research analyst may not be associated persons of the U.S. registered broker-dealer,
MOSIPL, and therefore, may not be subject to NASD rule 2711 and NYSE Rule 472 restrictions on communication with a subject company, public appearances and trading securities held by a research analyst
account.
For Singapore
Motilal Oswal Capital Markets Singapore Pte Limited is acting as an exempt financial advisor under section 23(1)(f) of the Financial Advisers Act(FAA) read with regulation 17(1)(d) of the Financial Advisors
Regulations and is a subsidiary of Motilal Oswal Securities Limited in India. This research is distributed in Singapore by Motilal Oswal Capital Markets Singapore Pte Limited and it is only directed in Singapore
to accredited investors, as defined in the Financial Advisers Regulations and the Securities and Futures Act (Chapter 289), as amended from time to time.
In respect of any matter arising from or in connection with the research you could contact the following representatives of Motilal Oswal Capital Markets Singapore Pte Limited:
Anosh Koppikar
Kadambari Balachandran
Email : anosh.koppikar@motilaloswal.com
Email : kadambari.balachandran@motilaloswal.com
Contact: (+65) 68189232
Contact: (+65) 68189233 / 65249115
Office address: 21 (Suite 31), 16 Collyer Quay, Singapore 049318
Motilal Oswal Securities Ltd
Motilal Oswal Tower, Level 9, Sayani Road, Prabhadevi, Mumbai 400 025
Phone: +91 22 3982 5500 E-mail: reports@motilaloswal.com