Strategy | 19 March 2014
India Politics
Mandate 2014 | Vol 3
Research Team
(Rajat@MotilalOswal.com)

India Politics | Mandate 2014 - Vol 3
MANDATE 2014 – Volume 3
2014 General Elections is likely to be one of the most important event for India in this decade. The grandeur of the 16th Lok
Sabha Elections cannot be more justified especially at a time when the Indian economy is going through turbulent times. The
expectation of 1.2b+ population is to have a Central government which can bring back the era of high economic growth. The
recent state elections have shown the decisiveness of Indian electorate to vote for a change, to vote for development and
governance, and to vote against corruption. The theme for upcoming elections will be no different.
Given the scale of this event, we present to you “MANDATE 2014”, an Indian Politics series, covering our
analysis/perspectives, assimilation of key events/developments, apolitical opinions, quote shoot and lot more. In our third
volume, we present the Ten interesting facts of Indian elections along with our date with AAP chief, Arvind Kejriwal.
Contents
Page No.
1. India Politics: Ten Interesting Facts and Figures of Indian Elections
.................................................
3
2. Opinion polls update: NDTV polls suggests NDA maintaining lead
................................................
12
3. Politics in Pictures: Developments shaping current politics
.............................................................
14
4. Event of the Week: A date with Arvind Kejriwal
...............................................................................
15
5. Looking through the glass of opinion-makers
...................................................................................
17
6. Quote Shoot
.........................................................................................................................................
18
7. Annexure: All important facts about elections
.................................................................................
19
Investors are advised to refer through disclosures made at the end of the Research Report.
Ashish Gupta
(Ashish.Gupta@MotilalOswal.com); +91 22 3982 5544
19 March
Mitra
Dipankar
2014
(Dipankar.Mitra@MotilalOswal.com); +91 22 39825405
2

India Politics | Mandate 2014 - Vol 3
1. INDIA POLITICS: Ten Interesting Facts and Figures of
Indian Elections
Please refer to our detailed
report dated 26 Feb-14
Indian elections hold enormous interest amongst most observers as the largest
democracy in the world. However, many interesting aspects of Indian elections are
not popularly known outside those closely associated with the election process. In
this note we bring out many such basic aspects of Indian elections supported by
relevant facts. We also highlight the unique aspects of 2014 elections.
#1. What do you need to contest in the elections?
Any Indian citizen who is more than 25 years old and is registered as a voter can
contest elections even without forming a party.
n
However, there are many benefits of registering a party under the provisions of
the Representation of the People Act, 1951 (RPA).
Ø
The RPA allows political parties to accept contributions voluntarily offered
to it by any person or company other than a government company.
Ø
Apart from this, candidates of registered parties get preference in allotment
of election symbols.
Ø
Other candidates are identified as independents.
n
Spot the difference: In 2011 Tamil Nadu State Elections, DMDK claimed loss of seats due to voters’ confusion of its symbol of
‘Nagara' (Drum) with that of ‘Basket’ allotted to an independent K. Sivakumar
Source: Media, MOSL
#2. How many parties are there in India?
n
n
n
At present there are 6 national parties, 47 state parties and 1,563 unrecognised
(not fulfilling the criteria for either as a state or a national party).
This excludes the independents (persons or associations) that are not
recognized by Election Commission but can fight elections.
While the number of registered (but unrecognized) parties have multiplied over
the years, the state and national level parties, i.e., the registered and the
recognized parties have remained relatively stable.
19 March 2014
3

India Politics | Mandate 2014 - Vol 3
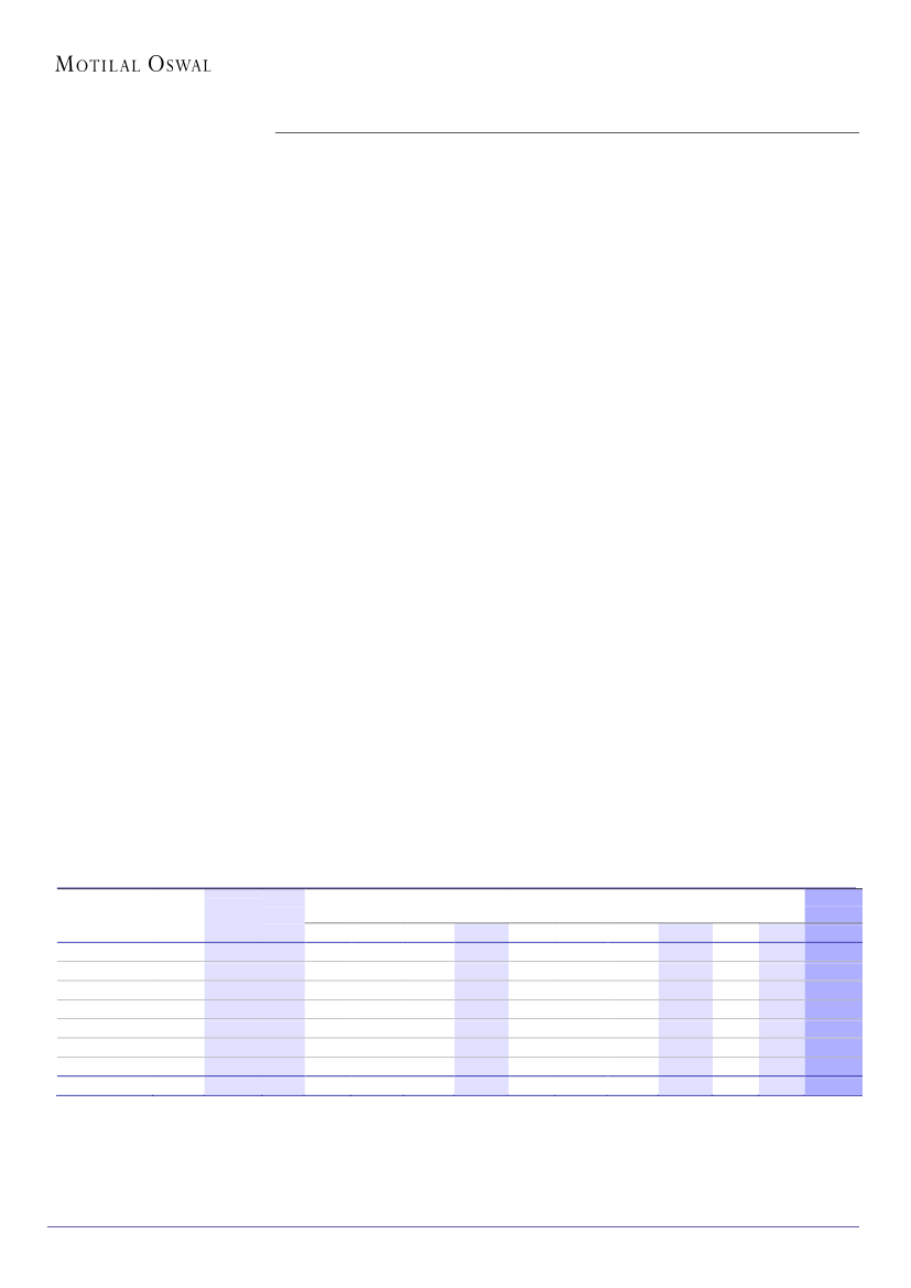
India is a multi-party democracy with numerous recognized and unrecognized parties
2004
2009
Feb-14
Registered
Participated
Registered
Participated
Registered
Participated
National Parties
6
6
7
7
6
State Parties
56
36
39
34
47
NA
Unrecognised Parties
702
173
1,014
322
1,563
Total Registered Parties
764
215
1,060
363
1,616
Note: The table does not include independents (persons or associations) that are not recognized but can fight elections
Source: Election Commission, MOSL
#3. When does a party become a state or national party?
n
Eligibility conditions would
have to be maintained for
all subsequent Lok sabha or
Legislative Assembly
elections for continuance of
the status
n
n
Post 2009 elections, the
status of Rashtriya Janata
Dal (RJD) has been altered
to a State Party from a
National Party.
n
Registered political parties can get recognition as RsState Party’ or ‘National
Party’ subject to the fulfillment of the conditions prescribed by the Commission
in the Election Symbols (Reservation and Allotment) Order, 1968, as amended
from time to time.
Eligibility conditions for recognition as a State Party
(any of the following):
ü
Wins at least 3% of seats in the assembly elections (subject to a minimum of
3 seats) at general elections or assembly elections.
ü
Wins 1 for every 25 Lok Sabha seat allotted for State in general elections.
ü
Secures minimum 6% of votes in a State and wins 1 Lok Sabha or 2
Legislative Assembly seats at general elections or assembly elections.
ü
Secures 8% of votes in a State at general elections or assembly elections.
Eligibility conditions for recognition as a State Party
(any of the following):
ü
Wins 2% of seats in Lok Sabha (11 seats) from at least 3 different states.
ü
Secures 6% of votes in 4 States and wins 4 Lok Sabha seats at general
elections or assembly elections.
ü
Gets recognition as State Party in four or more states.
Benefits:
ü
Exclusive allotment of its reserved symbol
ü
Only one proposer needed for filing the nomination
ü
Two sets of electoral rolls (plus one for the candidate) free of cost
ü
Broadcast/telecast facilities over Akashvani/Doordarshan
Refer Section 7 – Vital facts about elections (Annexure D) for National Parties
and State Parties in India at present
#4. How many candidates contest the election and from a constituency?
n
n
n
n
n
The 15
th
Lok Sabha (2009) witnessed on an average 15 candidates contesting
from a particular constituency. This number reached a high of 26 candidates per
constituency in 1996 before stabilizing again. It has started rising again recently.
Total number of candidates have varied between a low of 2,047 candidates
during 1957 election to a high of 13,950 during 1996 and stood at 8,069 in 2009.
The variance between the maximum and minimum number of candidates have
widened during recent times with one constituency fielding as high as 43
candidates during 2009 elections, above the maximum of 32 candidates in 1992.
However, there was a lot of variation among the states with the figure varying
from as low as 3 in Nagaland to as high as 28 in case of Puducherry.
Most states also witnessed an increase in the number of candidates contesting
elections between 2004 to 2009.
19 March 2014
4

India Politics | Mandate 2014 - Vol 3
No. of contestants stabilized and then started rising again
Total no. of candidates
Avg. no of candidates per constituencies
26
16
5
4
4
5
5
5
9
10 12
9
9
10
15
Variability in no. of candidates have also increased recently
Max
Min
35
Average
43
32
8
2
10
2
15
3
Source: Election Commission, MOSL
No. of candidates per constituency varies a lot across states of India
28
15
22 21 21
17 17 17 16 16 16 15 15
14 14 13 13 13 13
11 11 10 9
9
8
8
7
7
7
7
5
5
4
4
4
3
Source: Election Commission, MOSL
#5. How many candidates lose their deposits?
n
n
n
n
n
A candidate for Lok Sabha election has to make a deposit of INR25,000
(INR12,500 for Scheduled Castes and Scheduled Tribes) at the time of filing the
nomination. If the candidate fails to get a minimum of one-sixth of the total
valid votes polled, the deposit goes to the treasury.
Successive Lok Sabha elections have shown a rise in number of candidates
forfeiting their deposit, but this has not stopped people from throwing their hat
in the electoral ring. In 1
st
Lok Sabha Elections in 1951-52, almost 40% or 745
out of 1,874 candidates forfeited their deposits.
During 2009, almost every second aspirant from national parties and every fifth
aspirant from state parties could not save their deposits.
About 48 % of the seven national parties (BJP, BSP, CPI, CPM, INC, NCP and RJD),
20.3% of the state parties, 97.38% of unrecognized registered parties and
99.34% of the independent aspirants lost their security money during the 2009
general elections.
Only 25 independents out of 3831 could secure the requisite number of votes to
save their deposits. Overall, 84.6% of the candidates lost their security deposits.
19 March 2014
5

India Politics | Mandate 2014 - Vol 3
Ratio of candidates with forfeited deposits lowest for State Parties
and highest for independents
Ratio of candidates with forfeited deposits
97
48
78
73
A rising share of candidate's deposits are being forfeited (%)
Ratio of candidates with forfeited deposits
85
99
85
20
1999
2004
2009
Source: Election Commission, MOSL
Ratio of candidates with forfeited deposits varies from a high of 93% to a low of 33%
85
93 91 91 88 88 87 87 87 86 86 85 85 85
84 84 83 82 82 82 79 79 78 77 76
74 71 71 69 66
60 55 50 50
38 33
Source: Election Commission, MOSL
High correlation between average no. of candidates per constituency and ratio of candidates with forfeited deposits
32
24
16
8
0
Avg candidates/constituency
% of forfeited deposits
110
90
70
50
30
Source: Election Commission, MOSL
19 March 2014
6

India Politics | Mandate 2014 - Vol 3
#6. How much we spend to get a candidate elected?
n
n
n
n
n
Government’s expenditure on an elector has gone up manifold, twenty times to
be precise, from the 1
st
general election to the 15
th
general election.
In the 1
st
election, the Government spent INR0.60 on an elector whereas it
increased to INR12 in 2009 general elections.
However, this cost has come down from peak of INR17 per elector during 2004,
as some non-recurring poll related infrastructure may already have been set up.
Thus, total expenditure varied between less than INR1b in the 1
st
election to a
peak of INR111b in 2004 before coming down to INR85b during 2009.
The entire expenses are borne by the Central government barring the expenses
toward law and order which are borne by the state governments.
Expenditure per elector has been INR12 in last election
111
95
60
36
67
7
1
2
2
3
85
10
Expenditure per elector (INR)
11
15
17
12
Increased expenditure due to infrastructure cost
Expenditure (INR b)
1
1
1
1
1
2
5
8
15
1
0
0
0
0
Source: Election Commission, MOSL
#7. Which states vote most enthusiastically?
n
n
n
n
Past history suggests that people come out to vote enthusiastically when there
is a burning issue.
By last count the voter turnout ratio stood at 58% during 2009 general elections.
However, there is a lot of variation in voters’ participation amongst the states.
While 13 states had more than 70% turnout ratio, it was very low for some key
states like Bihar, Uttar Pradesh, Gujarat, Rajasthan and Maharashtra.
Many states have made impressive improvement in the voter turnout ratio
including Goa, Orissa, Andhra Pradesh, Tamil Nadu and north-eastern states.
People come forward to vote for change
Congress
64
Government on
Sympathy wave
60
57
62
57
58
Voter turnout
62
NDA
60
Government
58
58
1977
1980
1984
1989
1991
1996
1998
1999
2004
2009
Source: Election Commission, MOSL
19 March 2014
7

India Politics | Mandate 2014 - Vol 3
Thirteen states had more than 70% voter turnout in 2009 while some of the bigger states have very low voter turnout
90 86 84
84 81 80
77 73 73 73 73 71
70 70 68 67 66 65 64 64
59 58
58
55 55 53
52 52 51 51 51 48 48 48
44 40
Source: Election Commission, MOSL
#8. What is the success ratio of major parties?
n
n
n
n
n
n
Various parties field vastly different number of candidates for the general
elections depending on their prospects for winning elections. Relatively low
success rate explains why parties are sometimes economical in fielding
candidates, other than the reason for pre-poll alliances.
BJP and Congress approximately enjoy a success rate of one in three.
Some regional parties that are very selective in fielding candidates have enjoyed
near 100% or close to 100% success.
Winning in certain key states are usually an important part of the strategy of
major national parties. Illustratively, 10 states account for nearly three fourths
of all Lok Sabha seats.
In the 2009 elections, Congress had won more than 60% of the seats from the
following states: i) Andhra Pradesh (33), Rajasthan (20), Uttar Pradesh (21),
Maharashtra (17), Kerala (13), Madhya Pradesh (12) and Gujarat (11). Its vote
share varied from a high of 66% in Mizoram to a low of 10% in Bihar.
In case of BJP, the six states of Karnataka (19), Madhya Pradesh (16), Gujarat
(15), Bihar (12), Chhattisgarh (10) and Uttar Pradesh (10) accounted for more
than 70% of the seats. Its vote share varied from a high of 65% in Daman & Diu
to a low of just 2% in Tamil Nadu.
BJP/Congress roughly wins one in three seats that they contest
Source: Election Commission, MOSL
19 March 2014
8

India Politics | Mandate 2014 - Vol 3
Congress' seats and vote share in 2009
Seats
Voteshare
39 47 18 20 40 40 43 45 57 42 13 15 35 38 33 43 25 43 10 46 37 15 49 51 45 66 47 23 52 29 42 29
33
20 21 17
13 12 11 8
7
9
6
8
7
6
6
5
2
2
2
1
1
1
1
2
1
1
1
1
1
0
0
0
Source: Election Commission, MOSL
BJP's seats and vote share in 2009
Seats
42
43
47
14
45
17
18
28
16
37
50
6
10
Voteshare
45
44
46
65
37
12
2
34
4
17 35
19
19
16
15
12
10
10
9
8
4
4
3
1
1
1
1
1
1
0
0
0
0
0
0
0
0
MP:
Madhya Pradesh;
HP:
Himachal Pradesh;
AP*:
Arunachal Pradesh;
AP:
Andhra Pradesh
Source: Election Commission, MOSL
#9. Some election trivia
n
India as the world’s largest democracy holds many interesting features in its
election process. Some are highlighted below.
Facts
Auleyphuin Leh (15,300 m)
832,224
118
43
3
90.32%
25.55%
Ladakh (J&K) –1,73,266.37 sq. km
ChandniChowk (Delhi) -10.59 sq. km
Outer Delhi (NCT of Delhi) -31,03,525electors
Lakshadweep -37,619 electors
A polling station was set up in in Gir Forests of
Gujarat for just one elector.
Source: Election Commission, MOSL
Interesting tidbits of Indian general election
Feature
Highest Polling station
For a candidate
Maximum number of votes polled
Minimum number of votes polled
For a constituency
Maximum number of candidates
Minimum number of candidates
Maximum voter turnout
Minimum voter turnout
Largest (by area)
Smallest (by area)
Largest by size of electorate
Smallest by size of electorate
Unique polling station
19 March 2014
9

India Politics | Mandate 2014 - Vol 3
2009 Elections: A few facts
Feature
Total no. of candidates
No. of registered parties
Personnel on poll duty
Polling station
Registered electors
Poll Observers
Poll Micro Observers
Polling Staff
EVMs (control units)
EVMS (ballot units)
Videographers
Digital cameras
Counting Centres
Facts
8,070
363
10 million
834,919
717 million
2,046
139,284
4,690,575
908,643
1,183,543
74,729
40,599
1,080
Source: Election Commission, MOSL
#10.Unique aspects of 2014 elections
There are many new novel aspects of the 2014 elections. We highlight a few below.
n
New voters:
Largest addition of 102m new voters, of which 23m electors are in
the age group of 18 to 19 years. To put the figure in perspective the total votes
pooled by Congress and BJP in 2009 elections was 119m and 78m, respectively.
n
Politicians spend at USD5b:
Indian politicians are expected to spend about
INR300b (~USD4.9b) on campaigning during the 2014 election as estimated by
the Centre for Media Studies. The amount is second to the USD7b spent by
political parties in the 2012 US presidential election, the world’s most expensive.
n
NOTA option:
For the first time, voters in a national election will be able to
exercise their right to reject all candidates in their constituency if they so desire,
by pressing the "None of the Above" (NOTA) option.
n
Use of VVPAT:
For the first time a paper audit trail system, viz., Voter Verifiable
Paper Audit Trail (VVPAT) would be used enabling voters to verify and satisfy
themselves that the vote cast by them for the candidate of their choice has been
actually recorded correctly. About 1,400,000 VVPAT machines would be
deployed with an expenditure of INR20b.
The voting system including VVPAT on extreme right
Right to reject: “None of the Above”
Source: Election Commission, Media, MOSL
19 March 2014
10

India Politics | Mandate 2014 - Vol 3
n
n
n
n
n
n
Transgenders as Others:
The Commission allowed enrollment of transgender
persons with gender written as "Others" in the electoral rolls since 2012. The
number of electors enrolled as "Others" gender is 28,314.
Awareness Observers:
The Election Commission will deploy Central Awareness
Observers to oversee the efficient and effective management of the electoral
process at the field level, mainly in respect of voter awareness and facilitation.
They shall also monitor the various media related aspects of RP Act 1951 and
observe the mechanism directed by the Commission at District levels on
checking the problem of ‘Paid News’.
Revised spending ceiling:
As per the revised ceilings, the maximum limit of
election expenses for a Lok Sabha Constituency is INR7m per candidate for all
States (including Delhi) but excluding states of Arunachal Pradesh, Goa and
Sikkim and other Union Territories for which the ceiling is INR5.4m.
Media monitoring:
Commission has created District and State level Media
Certification and Monitoring Committees (MCMCs) to deal with the problem of
Paid News and other media related violations, besides carrying out the existing
provisions of pre-certification of political advertisements. Also, for the first time,
the use of social media for election campaigning has been subjected to similar
rules, as that applies to other electronic media.
Voter awareness programme (SVEEP):
The Election Commission is also
aggressively implementing the Systematic Voters’ Education and Electoral
Participation (SVEEP) programme launched in end-2009 to enhance people’s
participation in the electoral process.
Use of technology:
The Election Commission will propose to make e-filing
mandatory. With about 200m Internet users and about 67m Smartphone users
in India, political parties are also leveraging digital marketing to woo young
social network-savvy voters. Technology-savvy candidates, especially in the
urban constituencies, are extensively leveraging social media tools such as
Twitter, Facebook, Google+Hangouts and YouTube.
Digital marketing blitz by political parties
Source: Election Commission, Media, MOSL
19 March 2014
11

India Politics | Mandate 2014 - Vol 3
2. OPINION POLL UPDATE
NDTV polls suggests BJP-led NDA maintaining lead with 229 seats; UP, Bihar
in line with other polls; Karnataka, Maharashtra provide the positive
surprise
n
n
NDTV poll suggests Third
Front not to have major
impact securing 55 seats
n
BJP likely to get 20 of 28
seats in Karnataka on back
of return of Yeddyurappa
n
n
The latest NDTV Hansa Research opinion poll predicted BJP led NDA as the
majority party with 229 seats to the alliance. This is in line with the average of
the latest polls of other agencies – CNN-IBN CSDS, ABP News-Nielsen and Times
Now C-Voter. BJP is projected to get 195 seats, marginally lower than the
average seats of other poll agencies.
Congress is expected to bag slightly more than 100 seats with UPA likely to get
129 seats (higher than the average of other polls of 113 seats).
Left and other allied parties like SP, Naveen Patnaik’s BJD, Nitish Kumar's JD(U)
and Deve Gowda’s JD(S) which have recently announced a non-Congress, non-
BJP Third Front, are set to get 55 seats only. As per the survey, TMC of West
Bengal is likely to be the third largest individual party with 32 seats, AIADMK in
Tamil Nadu to get 27 seats while BSP and YSR Congress would get 16 seats and
15 seats, respectively. Arvind Kejriwal’s AAP is unlikely to create any major
impact with 4 seats.
BJP is seen improving its tally in major states while the regional dynamics of
these states are slated to undergo major change. Thus in UP and Bihar, BJP is
expected to win at least half of the Parliamentary Constituencies with 40 and 23
seats respectively. Gains are indicated even in state like Maharashtra where
there is seat sharing arrangement with key allies together obtaining 33 out of a
total of 48 seats. Karnataka remains the positive surprise with 20 out of 28 seats
on the back of Yeddyurappa’s return after BJP’s dismal performance in the
assembly elections.
As per the survey, Assam and Punjab are the only two states where the
Congress appears to be bucking the trend of suffering reverses. Congress is likely
to see major gains only in Assam (13 out of 14 seats) and Punjab (8 out of 13
seats).
Opinion polls suggest BJP-led NDA maintaining lead
Lok
Avg of
Sabha
Party
polls
Current
UPA
228
113
Congress
206
93
Congressallies 22
20
NDA
133
228
BJP
116
204
BJP allies
17
24
Others
182
202
Total
543
543
Swing
-115
-114
-2
95
88
7
20
0
CNN IBN & CSDS
Jul-13 Oct-13
153
138
135
120
18
18
176
191
161
175
15
16
214
214
543
543
Jan-14
117
100
17
221
201
20
205
543
Feb-14
129
102
27
222
203
19
192
543
C-Voter
Jul-13 Oct-13
136
117
119
102
17
15
156
186
131
162
25
24
251
240
543
543
Jan-14
103
91
12
212
188
24
228
543
NDTV
ABP News -
Hansa
Nielsen
Feb-14 Jan-14 Feb-14 Mar-14
101
101
92
129
89
81
73
106
12
20
19
23
227
226
236
229
202
210
217
195
25
16
19
34
215
216
215
185
543
543
543
543
Source: Media, MOSL
19 March 2014
12

India Politics | Mandate 2014 - Vol 3
NDA seats maintained at 220-230, though BJP seats lower
BJP
133
228
24
204
17
116
222
19
203
BJP allies
227
25
202
236
19
229
34
195
NDTV Hansa: Estimated seats of other regional parties
32
27
18
17
16
15
13
11
217
10
5
4
Source: Media, MOSL
Uttar Pradesh (80): NDTV suggests seats in line with other polls; BJP to secure 40 seats
Parties
BJP
BSP
Congress
SP
Others
Total
2009
10
20
21
23
6
80
Avg of polls
40
15
9
15
2
80
Jul-13
31
16
13
19
1
80
CNN-IBN-CSDS
Jan-14
45
13
11
4
7
80
Feb-14
45
11
7
14
3
80
India
Today-
Cvoter
Jan-14
30
24
4
20
2
80
ABP News-Nielsen
Jan-14
35
15
12
14
4
80
Feb-14
40
13
11
14
2
80
Times Now-
NDTV Hansa
Cvoter
Feb-14
34
21
4
20
1
80
Mar-14
40
15
12
13
0
80
Maharashtra (48): Saffron wave to emerge after 15 years of Congress-NCP alliance
Parties
NDA
UPA
Others
Grand Total
2009
20
25
3
48
Avg of polls
29
15
4
48
CNN-IBN-CSDS
Jan-14
24
16
8
48
Feb-14
26
19
3
48
India Today-
CVoter
Jan-14
28
14
6
48
ABP News- Times Now-
Nielsen
CVoter
Feb-14
Feb-14
28
30
14
13
6
5
48
48
NDTV Hansa
Mar-14
33
12
3
48
Bihar (40): BJP and LJP alliance to sweep Bihar; JD(U) to suffer a big defeat
Parties
BJP + LJP
Congress + RJD
JDU
Others
Total
2009
12
6
20
2
40
Avg of polls
23
10
6
1
40
CNN-IBN-CSDS
Jan-14
20
10
10
0
40
Feb-14
26
8
6
0
40
India Today-
Cvoter
Jan-14
22
13
4
1
40
ABP News-Nielsen
Jan-14
24
7
6
3
40
Feb-14
21
7
9
3
40
Times Now-
NDTV Hansa
Cvoter
Feb-14
Mar-14
22
23
13
11
5
5
0
1
40
40
Karnataka (28): BJP makes a big comeback on back of return of BS Yeddyurappa
Parties
BJP
Congress
Others
Total
2009
19
6
3
28
Avg of polls
16
9
3
28
CNN-IBN-CSDS
Jan-14
8
14
6
28
India Today-
CVoter
Jan-14
13
12
3
28
ABP News-
Nielsen
Feb-14
17
8
3
28
Times Now-
NDTV Hansa
CVoter
Feb-14
Mar-14
11
20
14
6
3
2
28
28
Source: Media, MOSL
19 March 2014
13

India Politics | Mandate 2014 - Vol 3
3. POLITICS IN PICTURES: Developments shaping current politics
Events
Observations
Left Front and J Jayalalithaa snaps ties
§
§
Barely a month of the formation of the Third Front, the Left Front and
AIADMK (led by J Jayalalithaa) snapped ties over seat sharing
arrangement. This contrasts with the endorsement from Left Front for
supporting J Jayalalithaa as the PM candidate.
Third Front: A story of divorce before marriage?
Anna skips joint rally with Mamata
§
§
§
Another tie up seems to have gone sour. Anna Hazare failed to turn up for
the joint rally with Mamata Banerjee led TMC. What led the change of
plans? First came reports that Anna was ill. But later Anna accused his
own aide Santosh Bharatiya of mileading him about the no of people
present, which was only 4,000 ostensibly the reason for Anna’s absence!
Another joint rally at Ahmedabad now seems called off.
Another honeymoon cut short?
A day after Arvind Kejriwal kicked off his Lok Sabha campaign in
Maharashtra, Mumbai Police registered a case against the Aam Aadmi
Party leader and his supporters on the charge of unlawful assembly
outside the domestic airport.
Needed a guide book on “How to become an Aam Aadmi”.
Kejriwal booked for Mumbai anarchy
§
Angry politics: Apps on politics
§
§
Roughly a quarter of the 814 million eligible to vote in the upcoming
elections this year use smartphone. Political parties are increasingly
turning to devices to woo voters, and techies, in turn, developing apps to
enhance voter engagement including, gaming, voter-centric and party
specific apps.
The game of politics comes in your hand now
The one with the magic wand joins BJP
§
§
Arguably the world’s greatest magician P C Sorcar Junior has decided to
fight the Lok Sabha election on a Bharatiya Janata Party ticket. The move
took many by surprise as he has often spoken about Indira Gandhi as his
inspiration and have maintained a cordial relationship with the Left Front.
Would he be able to weave some magic to turn fortunes for BJP in West
Bengal?
Source: Various media reports
19 March 2014
14

India Politics | Mandate 2014 - Vol 3
4. EVENT OF THE WEEK: A date with Arvind Kejriwal
The leader of the Aam Aadmi Party (AAP), Arvind Kejriwal, arrived in Mumbai to
mass hysteria with crowds thronging to get a glimpse of the man they regard to be
truly “one of their own”. Paying homage to the ordinary Mumbaikar by first taking a
rickshaw from the airport and then riding the local train during the morning rush
hour, Mr. Kejriwal sought to endear himself to the common folk who make up a
majority of the voters by playing to the galleries every step of the way.
We had an opportunity of interacting with Mr. Kejriwal who expressed his views on
a variety of topics including role of a responsible government, AAP’s plan for Delhi
and Lok Sabha polls and candidate selection. A few of the important themes that
were touched upon by Mr. Kejriwal during our interaction were:
Role of government is to provide security and an honest administration
n
n
n
The AAP leader believes that the important functions of the government are
security of its citizens, honest administration and a non partisan judiciary.
He also stressed upon the importance of education and health and maintained
that the inefficiencies in government organizations should be removed and they
should at par with private entities.
He feels that there is a lot of anger against the ruling government and a wave
for change in India. It is imperative for India to make a decisive change in its
political as well as economic destiny.
Policies of AAP are pro-people and pro-development
n
n
n
Mr. Kejriwal accentuated that though their party may be naive in politics, their
nobility is beyond doubt.
The policies of AAP are honest and straightforward; though at times they may
not be the best.
AAP has given hope to the entire nation and is devoted to working for the
betterment of future generations.
Entrepreneurs discouraged due to corruption
n
n
n
According to Mr. Kejriwal, Indians have the ingenuity and the natural ability to
be successful entrepreneurs, but plenty of potential businesses don’t take off
due to the surging corruption.
He stressed the difference between time taken to start a business in India and
other countries, while stating that excessive regulatory measures taken by
successive governments, tantamounts to interference rather than
encouragement of business.
Entrepreneurs are disenchanted with growing corruption and it is time to relook
at many of the existing laws so that new companies have a level playing field
and an equal opportunity to thrive in the future.
19 March 2014
15

India Politics | Mandate 2014 - Vol 3
Aims to win 50 seats in Delhi assembly and weed out corruption
n
n
n
Arvind Kejriwal believes that his 49-day tenure as Chief Minister of Delhi
reduced corruption in Delhi and corruption will be wiped out completely if AAP
comes to power with a full majority.
As per him, AAP is projecting to win 50 seats in the Delhi assembly elections,
significantly higher than their very impressive debut haul in the previous
elections.
He believes a comprehensive mandate will give the party the freedom to fulfill
all their promises and policies.
Candidate selection for Lok Sabha elections on experiment basis
n
n
AAP leader mentioned that the candidate selection for current Lok Sabha
elections is an experiment and hence will be continuously reviewed.
He also mentioned that he will not hesitate in taking back seats from candidates
in certain constituencies where public feedback is negative about the
candidates.
AAP’s Economic Policy is “Honest Politics”
n
n
n
n
On being asked about AAP’s Economic Policy, Arvind Kejriwal mentioned that it
is “Honest Politics”.
The AAP chief feels that in the long run taxes can be brought down if the
finances of the government are rid of leakages arising due to corruption.
Furthering his stance on the issue of privatization, he stated that AAP is not
against privatization. He believes that even loss-making PSUs should be made
private and not only the profit making government companies.
He was, however, less conciliatory on FDI in retail, underscoring his party’s
opposition to the proposal on the grounds that it would lead to loss of jobs
across a wide cross section of the population currently engaged in retail.
Aam Aadmi (Investors’) suggestions for Avind Kejriwal’s AAP
n
n
n
Investors were concerned that Mr. Kejriwal could diminish Narendra Modi’s
chances of forming a strong government at the Centre.
One of the inventors said that for a good computer, both the operating system
and anti-virus needs to co-exist.
Arvind Kejriwal maintained that the AAP movement had given a new hope to
the nation; a new alternative. The group, however, suggested the leader to put
a positive agenda forward and not just a revolt.
19 March 2014
16

India Politics | Mandate 2014 - Vol 3
5. Looking through the glass of opinion makers
Opinions
MJ Akbar,
Editorial Director,
India Today
§
§
§
Swaminathan S Aiyar,
Consulting editor,
Economic Times
§
§
§
Neerja Chowdhary, Journalist
§
and Political commentator
§
§
What are pinprick constituencies?:
Those who understand the temperamental nature of any
electoral season know that predictions are risky. But if you had to lay any bets, how would you
start? Open up the map and check out what may be called pinprick constituencies. These are the
marginal seats where victory went to one party by a statistically inconsequential figure of around
15,000 votes or less.
Congress won 30-odd seats in 2009 by very low margin:
In 2009, Congress crept up from a
predicted 170-odd seats to 200-plus mainly through marginals. It won Chamarajanagar, Gulbarga
and Mysore in Karnataka, for instance, by 4,002, 13,404 and 7,691 votes. In Madhya Pradesh, it
won Shadol and Ujjain by 13, 415 and 15,841 votes; Dewas by 15,457 and Dhar by 2,661. Tonk in
Rajasthan came in by just 317 votes; Hoshiarpur and Gurdaspur in Punjab by 366 and 8,342 votes.
If you want to know why Narendra Modi campaigned so vigorously in Arunachal Pradesh, one
reason surely has to be the fact that BJP lost one seat by only 1,314 votes. And in Haryana,
Congress minister Selja chose the safer route to Parliament through Rajya Sabha because her
margin of victory from Ambala in 2009 was only 14,570.
On what should be Modi’s strategy:
The first challenge before Modi, if he wants to take his party
to the top position, is to protect BJP’s few marginals and displace Congress from its thin space. It
is only after this that he can attempt the surge to 200-plus by generating huge momentum in
seats where BJP lost by substantial numbers.
No Gujarat Model for Delhi:
His approach in Gujarat was similar to that in other successful states
such as Bihar, Madhya Pradesh, Odisha and Chhattisgarh. In these states, a strong chief minister
quashed all opposition within his party, empowered select bureaucrats to act decisively and
ignore opposition from sundry vote banks, and micromanaged major development sectors. This
model cannot be followed in New Delhi. If Modi comes to power, he will head a coalition with
formidable rivals within the BJP and even more formidable ones among allies. None of these can
be steamrollered the way Modi has done in Gujarat. Teaming up with Jayalalithaa or Mayawati
will be like going to bed with an anaconda. Far from acting authoritarian, he will have to kowtow
to "coalition dharma".
Too far for comfort:
Chief Ministers run India more than prime ministers. This basic truth has
been cloaked for decades by Congress hegemony in the Centre and states. In Gujarat, Modi
micromanaged Collectors of every district, ensuring that his priorities were followed. As prime
minister, he will be unable to direct any Collector — only chief ministers can do that. Even if he
wins a comfortable Lok Sabha majority, he will lack a majority in the Rajya Sabha. So, he will be
crippled in enacting legislation and be tormented by his foes.
Risk to India is not authoritarianism but ineffectiveness:
Back in 2012, Chidambaram induced
euphoric expectations of radical change. Modi has induced similar euphoria today. But if he
becomes prime minister, he will discover how onerous India's structural constraints are. The main
risk to India will not be authoritarianism but ineffectiveness.
Modi vs ‘Others’ battle rather than Modi vs Rahul Gandhi:
When the year opened, Election 2014
looked like a Narendra Modi versus Rahul Gandhi fight. Today the battle has acquired a Modi
versus 'Others' pitch, with the BJP's prime ministerial aspirant the central poll issue. There has
been a growing awareness in those opposed to Modi that if he has to be stopped, it can be done
only by a front of non-Congress, non-BJP parties — call it "Third Front", "Federal Front" or
another variant — and supported by Congress. Given the anger against UPA, the chances of
Congress leading the next government appear slim. Whatever be its rhetoric, Congress seems
reconciled to this possibility.
MAJAMA – the rise of women power:
There is the MAJAMA — Mamata, Jayalalithaa and Maya-
wati — phenomenon. These are three women who represent three large states. As things stand
today, together "Ma", "Ja" and "Ma" may well add up to around 75-80 Lok Sabha seats. Maverick
and gutsy, they are expected to be king/queen makers and we may see the rise of woman power
in the coming weeks.
Chances of any “Other Front”, unlikely:
Clearly, the idea of a pre-poll Third Front has received a
setback. The Federal Front is yet to become viable. But regional satraps continue to position
themselves. The chance that fortune might smile on them is only an outside one.
Source: Media, MOSL
19 March 2014
17

India Politics | Mandate 2014 - Vol 3
6. Quote Shoot
I can definitely say the next elections
will not be based on mathematics
(number game alone), but on
chemistry (between parties, leaders
and voters)
Narendra Modi
When I first asked BJP workers to work
together to attain the magic figure of 272
seats, even the opinion polls said this
target is difficult to achieve. However,
seeing the energetic atmosphere in favour
of Modi, I now feel that we may cross
even 300 seats
Rajnath Singh, BJP President
AAP has brought in positive things like
the way their fund raising etc, but India
needs deep reforms in government,
society, administration. But the AAP is an
agitational DNA party –
Nandan Nilekani, Congress candidate
from Bangalore South
He is delivering lectures and accusing others as
if he has come from planet Mars. Congress's
'Shehzada' should declare first whether this
government belongs to his party or not
Narendra Modi
.. there is another kind of leader, whose
best example is perhaps Hitler. Hitler
thought there was no need to go to
people. He believed entire knowledge of
the world is only in his mind. That kind of
leader only talks that he did this and that.
That leader does not require going to
people
Rahul Gandhi
Some of the PM candidates either don't
have the experience of Parliament or some
don't have the experience of running a
state. I have both. Though I don't have the
experience of talking unnecessarily
Nitish Kumar
I think we need not have gone on trying to work out
adjustments with all regional parties. Because some
of the regional parties wanted to maximise their seats
and they were not willing to concede any seat to the
Left
– Former CPI general secretary AB Bardhan on
whether it was a mistake to form Third Front before
the elections
19 March 2014
Source: Various media articles
18

India Politics | Mandate 2014 - Vol 3
7. Annexure: Vital facts about elections
A. General Election 2014
Key dates
Phase
Schedule
1 Issue of Notification
2 Last Date for filing Nominations
3 Scrutiny of Nominations
4 Last date for withdrawal
5 Date of Poll
6 Counting of Votes
1
1
14-Mar
(Fri)
21-Mar
(Fri)
22-Mar
(Sat)
24-Mar
(Mon)
7-Apr
(Mon)
16-May
(Fri)
2
2
15-Mar
(Sat)
22-Mar
(Sat)
24-Mar
(Mon)
26-Mar
(Wed)
9-Apr
(Wed)
16-May
(Fri)
3
3A
15-Mar
(Sat)
22-Mar
(Sat)
24-Mar
(Mon)
26-Mar
(Wed)
10-Apr
(Thu)
16-May
(Fri)
3B
13-Mar
(Thu)
20-Mar
(Thu)
21-Mar
(Fri)
24-Mar
(Mon)
10-Apr
(Thu)
16-May
(Fri)
4
4
19-Mar
(Wed)
26-Mar
(Wed)
27-Mar
(Thu)
29-Mar
(Sat)
12-Apr
(Sat)
16-May
(Fri)
5
5
19-Mar
(Wed)
26-Mar
(Wed)
27-Mar
(Thu)
29-Mar
(Sat)
17-Apr
(Thu)
16-May
(Fri)
6
7
8
9
6
7
8
9
29-Mar
2-Apr
12-Apr 17-Apr
(Sat)
(Wed)
(Sat)
(Thu)
5-Apr
9-Apr
19-Apr 24-Apr
(Sat)
(Wed)
(Sat)
(Thu)
7-Apr
10-Apr 21-Apr 25-Apr
(Mon)
(Thu)
( Mon)
(Fri)
9-Apr
12-Apr 23-Apr 28-Apr
(Wed)
(Sat)
(Wed)
(Mon)
24-Apr 30-Apr
7-May 12-May
(Thu)
(Wed)
(Wed)
(Mon)
16-May 16-May 16-May 16-May
(Fri)
(Fri)
(Fri)
(Fri)
Source: Election Commission, MOSL
Elections to be held in nine phases for various states/UTs
spread out across April to early May (2014)
14
13
12
9
7
5
2
3
3
420 out of 543 constituencies would vote during the four
days of April, viz., 10th, 17th, 24th and 30th (2014)
122
92
117
89
64
41
6
7
5
Source: Election Commission, MOSL
Source: Election Commission, MOSL
Polls would be over by three days for most of the states
21
States with extended polling have many constituencies
167
120
116
92
5
2
Six poll
dates
2
Five poll
dates
Three poll
dates
5
48
Two poll
dates
Single poll
date
Six poll
dates
Five poll
dates
Three poll
dates
Two poll Single poll
dates
date
Source: Election Commission, MOSL
Source: Election Commission, MOSL
19 March 2014
19

India Politics | Mandate 2014 - Vol 3
Number of electorates touches 81m in 2014; ~14% increase in number of voters in 2014
Electors (in m)
11
7
31
(0)
% change
19
2
2
8
7
717
14
814
593
499
321
1977
356
1980
380
498
606
620
671
Voting age reduced
from 21 to 18 years
1984
1989
1991
1996
1998
1999
2004
2009
2014
Source: Election Commission of India, MOSL
General elections are to be held in 9 phases spread out across states (2014)
No. Of Parl.
Constituencies
Andhra Pradesh
42
Arunachal Pradesh
2
Assam
14
Bihar
40
Chhattisgarh
11
Goa
2
Gujarat
26
Haryana
10
Himachal Pradesh
4
Jammu & Kashmir
6
Jharkhand
14
Karnataka
28
Kerala
20
Madhya Pradesh
29
Maharashtra
48
Manipur
2
Meghalaya
2
Mizoram
1
Nagaland
1
Odisha
21
Punjab
13
Rajasthan
25
Sikkim
1
Tamil Nadu
39
Tripura
2
Uttar Pradesh
80
Uttarkhand
5
West Bengal
42
Andaman & Nicobar
1
Chandigarh
1
Dadra & Nagar Haveli
1
Daman & Diu
1
Lakshadeep
1
Delhi
7
Puducherry
1
Total
543
States
7-Apr
Mon
9-Apr
Wed
2
5
6
1
3
7
3
2
6
7
7
7
7
6
10-Apr
Thu
12-Apr
Sat
17-Apr
Thu
24-Apr
Thu
30-Apr
Wed
17
7-May
Wed
25
12-May
Mon
26
10
1
5
20
9
10
1
2
1
1
10
1
5
28
10
19
1
1
4
1
4
2
10
19
11
13
20
1
39
5
1
10
1
11
4
1
1
1
1
1
7
12
6
14
9
15
5
6
18
17
6
7
92
5
122
1
117
89
64
41
Source: Election Commission of India, MOSL
19 March 2014
20

India Politics | Mandate 2014 - Vol 3
B. Seat/vote share distribution
Party-wise seats won by major parties in past 3 general elections
Party Name
Congress (INC)
Bharatiya Janata Party (BJP)
Samajwadi Party (SP)
Bahujan Samaj Party (BSP)
Janata Dal (United) (JD (U))
All India Trinamool Congress (AITC)
Dravida Munnetra Kazhagam (DMK)
Communist Party Of India (Marxist) (CPI (M))
Biju Janata Dal (BJD)
Shiva Sena (SHS)
Nationalist Congress Party (NCP)
All India Anna Dravida Munnetra Kazhagam (AIADMK)
Telugu Desam Party (TDP)
Rashtriya Lok Dal (RLD)
Rashtriya Janata Dal (RJD)
Shiromani Akali Dal (SAD)
Communist Party Of India (CPI)
Jammu & Kashmir National Conference (JKN)
Janata Dal (Secular) (JD (S))
Other regional/independent parties
Total
1999
114
182
26
14
21
8
12
33
10
15
8
10
29
2
7
2
4
4
1
41
5
3
24
8
10
2
3
49
2004
146
138
36
19
8
1
16
43
11
12
9
2009
206
116
23
21
20
19
18
16
14
11
9
9
6
5
4
4
4
3
3
32
543
543
543
Source: Election Commission of India
Congress: Vote share has remained in the range of 26-29%, however seat share have
varied from 21% in 1999 to 38% in 2009
Seats won
Non-Congress led alliance
28.8
25.8
25.8
26.0
21.0
28.3
26.7
26.5
28.6
Vote share (%)
Seats won (%)
37.9
140
1996
141
1998
114
1999
145
2004
206
2009
Source: Election Commission of India
19 March 2014
21

India Politics | Mandate 2014 - Vol 3
BJP: 2009 vote share has been the lowest in the last 5 general elections
Seats won
29.7
33.5
Vote share (%)
33.5
25.4
25.6
20.3
21.4
23.8
22.2
18.8
Seats won (%)
161
1996
182
1998
182
1999
138
2004
116
2009
Source: Election Commission of India
Congress and BJP combined seats won ranges from 295-325
Seats won
55
49
59
51
Seat won (%)
55
52
Vote share (%)
52
49
59
47
301
1996
323
1998
296
1999
283
2004
322
2009
Source: Election Commission of India
UPA/NDA coalition bifurcation state-wise (pre-poll alliance of respective election year)
States
Uttar Pradesh
Maharashtra
Andhra Pradesh
West Bengal
Bihar
Tamil Nadu
Madhya Pradesh
Karnataka
Gujarat
Rajasthan
Orissa
Kerala
Assam
Jharkhand
Punjab
Chhattisgarh
Haryana
NCT of Delhi
Other States/UTs
Grand Total
1999
Congress
12
11
6
35
12
13
11
18
6
9
2
17
10
0
9
0
0
0
10
181
NDA
31
28
36
2
41
26
29
10
20
16
19
0
2
0
3
0
10
7
10
290
Others
42
9
0
5
1
0
0
0
0
0
0
3
2
0
1
0
0
0
9
72
Total
85
48
42
42
54
39
40
28
26
25
21
20
14
0
13
0
10
7
29
543
UPA
9
23
37
35
29
39
4
10
12
4
3
17
9
13
2
1
9
6
17
279
NDA
11
25
5
1
11
0
25
18
14
21
18
1
2
1
11
10
1
1
11
187
2004
Others
60
0
0
6
0
0
0
0
0
0
0
2
3
0
0
0
0
0
6
77
Total
80
48
42
42
40
39
29
28
26
25
21
20
14
14
13
11
10
7
34
543
2009
UPA NDA
Others
Total
21
15
44
80
25
20
3
48
34
0
8
42
25
1
16
42
2
32
6
40
27
0
12
39
12
16
1
29
6
19
3
28
11
15
0
26
20
4
1
25
6
0
15
21
14
0
6
20
7
5
2
14
2
10
2
14
8
5
0
13
1
10
0
11
9
0
1
10
7
0
0
7
22
8
4
34
259
160
124
543
Source: Election Commission of India
19 March 2014
22

India Politics | Mandate 2014 - Vol 3
C. Voter turnout
Voter turnout in general elections across different states (%)
States
Andaman & Nicobar Islands
Andhra Pradesh
Arunachal Pradesh
Assam
Bihar
Chandigarh
Chattisgarh
Dadra & Nagar Haveli
Daman & Diu
Goa
Gujarat
Haryana
Himachal Pradesh
Jammu & Kashmir
Jharkhand
Karnataka
Kerala
Lakshadweep
Madhya Pradesh
Maharashtra
Manipur
Meghalaya
Mizoram
Nagaland
NCT OF Delhi
Orissa
Puducherry
Punjab
Rajasthan
Sikkim
Tamil Nadu
Tripura
Uttar Pradesh
Uttarakhand
West Bengal
1999
59.5
69.1
72.2
71.3
61.5
48.4
2004
2009
63.7
64.2
70.0
72.6
56.4
68.2
69.1
69.5
58.0
44.5
51.1
65.5
52.1
55.3
74.7
69.0
73.2
71.7
70.2
71.3
45.1
58.8
55.3
47.0
45.2
47.9
63.7
65.7
67.5
56.8
59.7
58.4
32.3
35.2
39.7
55.7
51.0
67.6
65.1
58.8
70.2
71.5
73.4
80.2
81.5
85.9
54.9
48.1
51.2
61.0
54.4
50.7
65.7
67.4
77.1
56.2
52.7
64.4
65.3
63.6
51.8
76.3
91.8
90.0
43.5
47.1
51.9
55.6
66.1
65.3
63.3
76.1
79.8
56.1
61.6
69.8
53.9
50.0
48.4
81.7
78.0
83.8
58.0
60.8
73.0
68.1
67.1
84.5
53.5
48.2
47.8
48.1
53.3
75.1
78.0
81.4
Source: Election Commission of India
National average voter turnout: Higher turnout expected in 2014 elections (%)
64 Sympathy votes
60
57
62
58
57
62
60
58
58
1977
1980
1984
1989
1991
1996
1998
1999
2004
2009
Source: Election Commission of India
19 March 2014
23

India Politics | Mandate 2014 - Vol 3
Higher voter turnout in assembly elections than general elections; gap of 10pp highest in
2009-13
MP (5%): Voter turn-out at its peak in 2013
BJP win 72.7
69.8
Rajasthan (5%): Gradual rise in vote turnout over the years
BJP decisive win 75.2
67.2
57.1
60.6
63.4
66.5
67.3
60.5
54.2
49
49.8
60.2
52.2
54.9
1980
1985
1990
1993
1998
2003
2008
2013
1980
1985
1990
1993
1998
2003
2008
2013
Gujarat (5%): Decisive voting in favour of Narendra Modi
Decisive voting 72.5
64.4
59.3
52.2
48.1
48.8
61.5
59.8
Delhi (1%): AAP forms govt in 2013
Decisive voting against Congress 65.7
61.8
55.5
49
57.6
53.4
1980
1985
1990
1995
1998
2002
2007
2012
1983
1993
1998
2003
2008
2013
UP (15%): Decisive voting in favour of Samajwadi party
SP convincing win 59.5
57.1
51.4
48.5
44.9
45.6
46
55.7
53.8
Karnataka (5%): Voter turnout above 70% for the first time
Congress dethrones BJP 71.5
68.6
67.3
65.7
67.6
67.7
65
65.1
1980 1985 1989 1991 1993 1996 2002 2007 2012
1983
1985
1989
1994
1999
2004
2008
2013
19 March 2014
24

India Politics | Mandate 2014 - Vol 3
D. National and State parties at present
There are six National Parties in India at present
S. No. Name
1 Bahujan Samaj Party (BSP)
2 Bharatiya Janata Party (BJP)
3 Communist Party of India (CPI)
4 Communist Party of India (Marxist) CPI (M)
5 Indian National Congress (INC)
6 Nationalist Congress Party (NCP)
Year
1984
1980
1925
1964
1885
1999
Current leader
Mayawati
Rajnath Singh
Suravaram Sudhakar Reddy
Prakash Karat
Sonia Gandhi
Sharad Pawar
Symbol
Elephant
Lotus
Ears of Corn and Sickle
Hammer, Sickle and Star
Hand
Clock
There are 47 State Parties in India at present
S.No.Name of the party
1 Aam Aadmi Party
2 All India Anna Dravida Munnetra Kazhagam
3 All India N.R. Congress
4 All India Forward Bloc
5 All India Trinamool Congress
6 All India United Democratic Front
7 All Jharkhand Students Union
8 Asom Gana Parishad
9 Biju Janata Dal
10 Bodoland People's Front
11 Desiya Murpokku Dravidar Kazhagam
12 Dravida Munnetra Kazhagam
13 Haryana Janhit Congress (BL)
14 Hill State People's Democratic Party
15 Indian National Lok Dal
16 Indian Union Muslim League
17 Jammu & Kashmir National Conference
18 Jammu & Kashmir National Panthers
19 Jammu and Kashmir People's Democratic
20 Janata Dal (United)
21 Jharkhand Mukti Morcha
22 Jharkhand Vikas Morcha (Prajatantrik)
23 Janata Dal (Secular)
24
25
26
27
28
29
30
31
32
33
34
35
36
37
38
39
40
41
42
43
44
45
47
Karnataka Janata Paksha merged with BJP
Kerala Congress (M)
Lok Jan Shakti Party
Maharashtra Navnirman Sena
Maharashtrawadi Gomantak Party
Manipur State Congress Party
Mizo National Front
Mizoram People's Conference
Naga People's Front
Pattali Makkal Katchi
People's Democratic Alliance
People's Party of Arunachal
Rashtriya Janata Dal
Rashtriya Lok Dal
Revolutionary Socialist Party
Samajwadi Party
Shiromani Akali Dal
Shiv Sena
Sikkim Democratic Front
Telangana Rashtra Samithi
Telugu Desam Party
United Democratic Party
Zoram Nationalist Party
Year
2012
1972
2011
1939
1998
2004
1986
1985
1997
2005
1949
2007
1999
1948
1932
1982
1998
1999
1972
2006
1999
1979
2000
2006
1963
1959
1972
2002
1989
1987
1997
1996
1940
1992
1920
1966
1993
2001
1982
1997
Current leaders
Arvind Kejriwal
J. Jayalalithaa
N. Rangasamy
Biswas, Debabrata
Banerjee, Mamata
Ajmal, Badruddin
Mahto, Sudesh
Mahanta, Prafulla
Patnaik, Naveen
Mohilary, Hagrama
Vijayakanth
Karunanidhi, M
Bishnoi, Kuldeep
Lyngdoh, H.S.
Chautala, Om Prakash
Ahamed, E.
Abdullah, Omar
Singh, Bhim
Sayeed, Mufti Mhmd.
Yadav, Sharad
Soren, Shibu
Marandi, Babu Lal
Deve Gowda, H.D.
Thomas, C.F.
Paswan, Ram Vilas
Thackeray, Raj
Kakodkar, Shashikala
Zoramthanga, Pu
Lalhmingthanga, Pu
Rio, Neiphiu
Mani, G. K.
Riba, Tomo
Lalu Prasad Yadav
Choudhary Ajit Singh
Chandrachoodan, T. J.
Yadav, Mulayam Singh
Badal, Parkash Singh
Thackeray, Uddhav
Chamling, Pawan
Rao, K. Chandrashekar
Naidu, Chandrababu
Roy, Donkupar
Lalduhoma
States/UT
Delhi
Puducherry/ Tamil Nadu
Puducherry
West Bengal
Bengal/Arunachal/Manipur
Assam
Jharkhand
Assam
Odisha
Assam
Tamil Nadu
Puducherry/ Tamil Nadu
Haryana
Meghalaya
Haryana
Kerala
Jammu and Kashmir
Jammu and Kashmir
Jammu and Kashmir
Bihar
Jharkhand
Jharkhand
Karnataka/Kerala
Symbol
Broom
Two Leaves
Jug
Lion
Flowers & Grass
Lock & Key
Banana
Elephant
Conch
Nangol
Nagara
Rising Sun
Tractor
Lion
Spectacles
Ladder
Plough
Bicycle
Ink Pot & Pen
Arrow
Bow & Arrow
Comb
A Lady Farmer carrying
Paddy on her head
Karnataka
Kerala
Two Leaves
Bihar
Bungalow
Maharashtra
Railway Engine
Goa
Lion
Manipur
Cultivator Cutting Crop
Mizoram
Star
Mizoram
Electric Bulb
Manipur, Nagaland
Cock
Puducherry
Mango
Manipur
Crown
Arunachal Pradesh
Maize
Bihar, Jharkhand
Hurricane Lamp
Uttar Pradesh
Hand Pump
West Bengal
Spade & Stoker
Uttar Pradesh
Bicycle
Punjab
Scales
Maharashtra
Bow and Arrow
Sikkim
Umbrella
Andhra Pradesh
Car
Andhra Pradesh
Bicycle
Meghalaya
Drum
Mizoram
Sun (without rays)
Source: Election Commission, MOSL
25
19 March 2014

India Politics | Mandate 2014 - Vol 3
NOTES
19 March 2014
26

Disclosures
This report is for personal information of the authorized recipient and does not construe to be any investment, legal or taxation advice to you. This research report does not constitute an offer, invitation or
inducement to invest in securities or other investments and Motilal Oswal Securities Limited (hereinafter referred as MOSt) is not soliciting any action based upon it. This report is not for public distribution
and has been furnished to you solely for your information and should not be reproduced or redistributed to any other person in any form.
India Politics | Mandate 2014 - Vol 3
Unauthorized disclosure, use, dissemination or copying (either whole or partial) of this information, is prohibited. The person accessing this information specifically agrees to exempt MOSt or any of its
affiliates or employees from, any and all responsibility/liability arising from such misuse and agrees not to hold MOSt or any of its affiliates or employees responsible for any such misuse and further agrees
to hold MOSt or any of its affiliates or employees free and harmless from all losses, costs, damages, expenses that may be suffered by the person accessing this information due to any errors and delays.
The information contained herein is based on publicly available data or other sources believed to be reliable. While we would endeavour to update the information herein on reasonable basis, MOSt and/or
its affiliates are under no obligation to update the information. Also there may be regulatory, compliance, or other reasons that may prevent MOSt and/or its affiliates from doing so. MOSt or any of its
affiliates or employees shall not be in any way responsible and liable for any loss or damage that may arise to any person from any inadvertent error in the information contained in this report. MOSt or any
of its affiliates or employees do not provide, at any time, any express or implied warranty of any kind, regarding any matter pertaining to this report, including without limitation the implied warranties of
merchantability, fitness for a particular purpose, and non-infringement. The recipients of this report should rely on their own investigations.
This report is intended for distribution to institutional investors. Recipients who are not institutional investors should seek advice of their independent financial advisor prior to taking any investment decision
based on this report or for any necessary explanation of its contents.
MOSt and/or its affiliates and/or employees may have interests/positions, financial or otherwise in the securities mentioned in this report. To enhance transparency, MOSt has incorporated a Disclosure of
Interest Statement in this document. This should, however, not be treated as endorsement of the views expressed in the report.
Disclosure of Interest Statement
1. Analyst ownership of the stock
2. Group/Directors ownership of the stock
3. Broking relationship with company covered
4. Investment Banking relationship with company covered
Companies where there is interest
No
No
No
No
Analyst Certification
The views expressed in this research report accurately reflect the personal views of the analyst(s) about the subject securities or issues, and no part of the compensation of the research analyst(s) was, is,
or will be directly or indirectly related to the specific recommendations and views expressed by research analyst(s) in this report. The research analysts, strategists, or research associates principally
responsible for preparation of MOSt research receive compensation based upon various factors, including quality of research, investor client feedback, stock picking, competitive factors and firm revenues.
This report is not directed or intended for distribution to or use by any person or entity resident in a state, country or any jurisdiction, where such distribution, publication, availability or use would be contrary
to law, regulation or which would subject MOSt & its group companies to registration or licensing requirements within such jurisdictions.
Regional Disclosures (outside India)
For U.K.
This report is intended for distribution only to persons having professional experience in matters relating to investments as described in Article 19 of the Financial Services and Markets Act 2000 (Financial
Promotion) Order 2005 (referred to as "investment professionals"). This document must not be acted on or relied on by persons who are not investment professionals. Any investment or investment activity
to which this document relates is only available to investment professionals and will be engaged in only with such persons.
For U.S.
Motilal Oswal Securities Limited (MOSL) is not a registered broker - dealer under the U.S. Securities Exchange Act of 1934, as amended (the"1934 act") and under applicable state laws in the United
States. In addition MOSL is not a registered investment adviser under the U.S. Investment Advisers Act of 1940, as amended (the "Advisers Act" and together with the 1934 Act, the "Acts), and under
applicable state laws in the United States. Accordingly, in the absence of specific exemption under the Acts, any brokerage and investment services provided by MOSL, including the products and services
described herein are not available to or intended for U.S. persons.
This report is intended for distribution only to "Major Institutional Investors" as defined by Rule 15a-6(b)(4) of the Exchange Act and interpretations thereof by SEC (henceforth referred to as "major
institutional investors"). This document must not be acted on or relied on by persons who are not major institutional investors. Any investment or investment activity to which this document relates is only
available to major institutional investors and will be engaged in only with major institutional investors. In reliance on the exemption from registration provided by Rule 15a-6 of the U.S. Securities Exchange
Act of 1934, as amended (the "Exchange Act") and interpretations thereof by the U.S. Securities and Exchange Commission ("SEC") in order to conduct business with Institutional Investors based in the
U.S., MOSL has entered into a chaperoning agreement with a U.S. registered broker-dealer, Motilal Oswal Securities International Private Limited. ("MOSIPL"). Any business interaction pursuant to this
report will have to be executed within the provisions of this chaperoning agreement.
The Research Analysts contributing to the report may not be registered /qualified as research analyst with FINRA. Such research analyst may not be associated persons of the U.S. registered broker-
dealer, MOSIPL, and therefore, may not be subject to NASD rule 2711 and NYSE Rule 472 restrictions on communication with a subject company, public appearances and trading securities held by a
research analyst account.
Motilal Oswal Capital Markets Singapore Pte Limited is acting as an exempt financial advisor under section 23(1)(f) of the Financial Advisers Act(FAA) read with regulation 17(1)(d) of the Financial
Advisors Regulations and is a subsidiary of Motilal Oswal Securities Limited in India. This research is distributed in Singapore by Motilal Oswal Capital Markets Singapore Pte Limited and it is only directed
in Singapore to accredited investors, as defined in the Financial Advisers Regulations and the Securities and Futures Act (Chapter 289), as amended from time to time.
In respect of any matter arising from or in connection with the research you could contact the following representatives of Motilal Oswal Capital Markets Singapore Pte Limited:
Anosh Koppikar
Kadambari Balachandran
Email:anosh.Koppikar@motilaloswal.com
Email : kadambari.balachandran@motilaloswal.com
Contact(+65)68189232
Contact: (+65) 68189233 / 65249115
Office Address:21 (Suite 31),16 Collyer Quay,Singapore 04931
For Singapore
Motilal Oswal Securities Ltd
19 March 2014
Motilal Oswal Tower, Level 9, Sayani Road, Prabhadevi, Mumbai 400 025
Phone: +91 22 3982 5500 E-mail: reports@motilaloswal.com
27

Indian Politics Gallery
India Politics | Mandate 2014 - Vol 3
19 March 2014
28