Initiating Coverage | 24 March 2014
Sector: Infrastructure
Gujarat Pipavav Port
The anchorage
Nalin Bhatt
(NalinBhatt@MotilalOswal.com); +91 22 3982 5429

Gujarat Pipavav Port
Gujarat Pipavav Port: The anchorage
Page No.
Summary
..............................................................................................................
3
Prime assets with strong parentage
..............................................................
4-7
Volume growth function of capacity than demand
...................................
8-14
Superior profitability led by operating leverage
.....................................
15-19
Comfort in earnings growth, cash flows
.........................................................
20
Key risks
.............................................................................................................
21
Operational matrix
............................................................................................
22
Pipavav Railways Corporation – Operational & Financial summary
............
23
Financials and valuation
.............................................................................
24-25
Investors are advised to refer through disclosures made at the end of the Research Report.
24 March 2014
2

Gujarat
Infrastructure
Initiating Coverage | Sector:
Pipavav Port
Gujarat Pipavav Port
BSE Sensex
22,055
S&P CNX
6,584
CMP: INR83
TP: INR100
Buy
The anchorage
Location, strong parentage, volume growth to aid profitability
Stock Info
Bloomberg
Equity Shares (m)
52-Week Range (INR)
1, 6, 12 Rel. Per (%)
M.Cap. (INR b)
M.Cap. (USD b)
GPPV IN
483.4
87/42
11/74/48
40.1
0.7
GPPV’s location on the prime trade route, access to rich hinterland and proximity
to key infrastructure projects like DFCC, DMIC are key drivers.
These attributes lead to robust volume growth. Future growth is a function of
capacity creation than demand; huge operating leverage to follow.
Earnings CAGR of 39% over CY13-15E, scope of upside exists.
Financial Snapshot (INR Billion)
Y/E Dec
2014E 2015E 2016E
Sales
6.4
7.9
9.5
EBITDA
NP
EPS (INR)
EPS Gr. (%)
BV/Sh (INR)
RoE (%)
RoCE (%)
P/E (x)
P/BV (x)
3.4
2.4
5.0
36.8
32.5
16.1
16.0
16.7
2.6
4.5
3.4
7.0
41.9
37.3
20.2
18.7
11.8
2.2
5.6
3.3
6.7
-4.2
41.6
17.1
19.7
12.3
2.0
Prime assets with strong parentage:
Gujarat Pipavav Port (GPPV) possesses
distinct advantages such as a) location, which enables access to the global trade
route/rich northern hinterland (60% of cargo traffic in India), b) infrastructure
advantages with long water frontage (3kms of which only 1kms is utilized),
contiguous land (1,561 acres, 45% unutilized) and rail/road connectivity,
proximity to dedicated freight corridor (DFCC) and c) strong parentage that
provides “trade and technology” edge (~30% of current volume). Thus, GPPV is
best placed to tap the high growth in container traffic volumes on India’s west
coast (GPPV grew 16% in CY13, vs 3.6% container traffic growth on West Coast).
Volume growth to be a function of capacity than demand:
In our view, growth
for west coast port would be driven by capacity creation than demand given
higher (85-140%) utilization, while traffic growth remains robust (non-major
Gujarat-based cargo volume posted 19% CAGR over CY09-12). GPPV will further
tend to benefit from projects like DFCC, DMIC being in close proximity.
Expansion plans include increase in capacity by 15mt to support volume growth
beyond CY15, while we expect 15% volume CAGR over CY13-15E.
Operating leverage to aid profitability:
GPPV witnessed 30ppt EBITDA margin
expansion over CY09-12, comprising of 12ppt gross margin and balance due to
savings in other expenditure. This was driven by discontinuation of guarantee
payments to Pipavav Rail Corporation (38.8% stake) towards volume
commitment, paid till CY10. Also, incremental cargo growth over CY09-12 was
due to 100% container cargo, and given the higher fixed cost structure for
container segment (70% is fixed), gross margin grew from 54% in CY09 to 66% in
CY13 (v/s 80% in CY05). Higher container volume growth hereon would have a
greater marginal contribution and thus can aid gross margin – we expect 6ppt
improvement over CY13-15E. While upside exists to margins, EBITDA CAGR of
32% (revenue CAGR of 23%), flat depreciation and interest cost savings would
drive 39% earnings CAGR over CY13-15E.
Initiate coverage with a Buy, future growth opportunity is huge:
We value
GPPV using the DCF method and assign terminal growth rate of 2% and WACC of
10.7% as point valuation may not fully capture the available growth
opportunity. We derive DCF valuation of INR99/sh. Stock trades at 11.8x PER
and 2.2x P/BV (RoE of 20%) on CY15E basis. Near debt-free status, strong
earnings/cash flow visibility and professional management are the key
differentiators. Initiate coverage with a
Buy
and target price of INR100.
Shareholding pattern (%)
As on
Promoter
Dom. Inst
Foreign
Others
Dec-13 Sep-13 Dec-12
43.0
13.0
34.0
10.0
43.0
12.9
33.7
10.5
43.0
14.1
31.3
11.6
Stock Performance (1-year)
24 March 2014
3

Gujarat Pipavav Port
Prime assets with strong parentage
Long water front, contiguous land, infrastructure are distinctive factors
GPPV is favorably located on the global trade route and has access to the rich northern
hinterland that accounts for 60% of total cargo traffic in India.
Best-in-class infrastructure with long water frontage of 3kms, 1,561 acres of land,
sound rail (access to DFCC)/road connectivity and apt draft offer advantage to handle
large vessels with highest efficiency – a key trait for GPPV’s growth. Crane moves/hour
in CY13 at one of the terminal was among the best in South Asia.
A unique advantage from strong parentage, APM Terminal, with the best global
footprint in container business gives trade and technology edge. Around 30% of
volumes are from A.P. Moller-Maersk
Accessibility to long water front, large contiguous land, rich hinterland, dedicated
support and evacuation infrastructure, pertinent location in Gujarat makes GPPV a
prime asset. It is among the first private sector port in India, own and operated by
APM Terminal, which is owned by A.P. Moller – Maersk Group. APM Terminals
operates a global terminal network in 68 countries with interests in 74 port and
terminal facilities and over 160 Inland services operations making it one of the
largest container terminal operators in the world. Strategic location along with
strong parentage is a key to the port’s success in the long run.
Location advantage
GPPV is one of the principal gateways on the west coast of India, located in the
Saurashtra region of Gujarat, and near the entrance of Gulf of Khambhat. Location in
Gujarat offers the distinct advantage of being gateway to vast North and North West
hinterland (Rajasthan, Delhi/NCR and Punjab), which account for ~60% of the total
cargo traffic in India. Also, it falls on the main maritime trade routes to Middle East,
Asia, Africa, the United States, Europe and other international destinations. Also,
Gujarat is one of India's primary cargo generating states, accounting for ~20% of the
country's export cargo and nearly 40% of its industrial output.
Gujarat provides best location advantage to international market and rich hinterland
Source: Vibrant Gujarat Summit
Port specific advantages
GPPV is located directly across from two islands – Shial Bet and Savai Bet – which act
as a natural breakwater, making the port safe in all-weather conditions. The draught
at container berths is 14.5m, 13.5m at bulk berth and 11.5m at liquid berth. Draft of
14.5 meters can enable the port to accommodate vessels with 100,000dwt or
6,000teus+. Also, GPPV enjoys a long water front of 3kms, which provides huge
scope for expansion, while the current usage is ~1kms.
24 March 2014
4

Gujarat Pipavav Port
This, along with the right to develop 1,561 acres of land, opens up sizable growth
opportunity (land often is the key bottleneck in a port’s expansion). Of this, GPPV
has used ~700 acres (including lease to Pipavav shipyards, warehouse leased to
Central Warehousing Corporation, liquid storage facility etc), while the balance land
can be utilized for further expansion of port’s operations, including additional
berthing and cargo handling facilities both at the waterfront and in the backup
areas. Currently, GPPV’s operating capacity stands at ~20mt, comprising of 13mt of
container, 5mt of bulk cargo and 2mt of liquid cargo. The port has a 30-year
concession agreement with the Gujarat Maritime Board till September 2028.
GPPV layout: island provides natural break-water, huge water frontage available
Source: Company
Evacuation infrastructure - a key trait of GPPV
Evacuation bottleneck is the key constraining factor for the growth of any port
beyond its land side development and is a key determinant of its operational
efficiency. GPPV has the best access to both rail and road networks and access to
ICDs (inland container depots) enroute rail corridor. It has established a dedicated
broad gauge railway line of 269kms (with 22 parking bays enroute), which connects
to Surendranagar in Gujarat through a JV with Indian Railways -- Pipavav Railways
Corporation (38.8% stake).
The corridor is capable of double stacking the containers (180teus in a train and
capacity to handle 22 trains each way in a day), thus providing huge cost advantage
and faster turnaround. While the existing railway network is apt for connectivity to
northern land, the development of a parallel dedicated freight corridor (DFCC) will
provide significant advantage to GPPV compared to other ports on the west coast of
India -- given its proximity to DFCC and interconnection at two points, Ahmedabad
and Mehsana.
Similarly, a four-lane expressway from the port connects to NH-8E (Bhavnagar)
providing gateway to northern states. Also, the port is set to get connectivity with
the 10-lane Ahmedabad-Dholera spine road, for which 2/3rd of land is already
acquired by the government. GPPV also has the advantage of distance over
JNPT/Mumbai to Delhi and northern region of ~250-300kms.
24 March 2014
5

Gujarat Pipavav Port
Strong evacuation infrastructure to aid growth in volume
Source: Company
Strong parentage to provide trade and technology edge
APM Terminal, which houses the container terminal business of AP Moller-Mearsk,
handled container volumes of 35.4mteu in CY12, up from 33.5mteu YoY. APM
reported revenue of USD4.8b, while PAT stood at USD723m (v/s USD648m). The
Group targets PAT contribution of USD1b by CY16 from APM Terminal. Similarly, the
Maersk line has a fleet of 600 vessels, with carrying capacity of 4mteus. This
compares with GPPV’s CY13 container volume of 0.66mteus and the scale of parent
would help GPPV in trade/cargo volume growth.
Globally, the carrier/shipping lines map the voyage and have an origination and
destination port of call. Given this, APM’s parentage would play a vital role in the
development of GPPV. Also, the cost of port charges for exporter/importer in total
freight cost is minimal and thus the cost competitiveness of a port vis-à-vis peers is
not a key determinant of cargo volume growth.
Break-up of imported coal cost at power project
Source: Industry, MOSL
Given that a port of call is the prerogative of shipping lines, parentage of APM would
be a key advantage for GPPV. Also, APM’s strong backing will not only help it in
trade but also technology. For instance, the port achieved 34 moves per hour (mph)
for crane in 3QCY13, which is among the best in South Asia.
24 March 2014
6

Gujarat Pipavav Port
Transfer of shipping line from GPPV to Mundra compensated by another
vessel
In June 2012, Maersk moved one of its shipping lines from GPPV to Mundra as its
long term agreement expired. The service was India-Europe and it led to slackness in
container volumes. APM’s intent has been to keep its strategic position in the major
west coast port, though a lack of consistency could be an issue. However, a shipping
line was added to GPPV for India-USA, which earlier used to call only at JNPT.
Currently, Maersk accounts for 30% of GPPV’s total container cargo.
Revenue contribution by Maersk line (%)
Source: Company
24 March 2014
7

Gujarat Pipavav Port
Volume growth function of capacity than demand
Expect GPPV to record volume CAGR of 15% over CY13-15E
While cargo traffic at major ports remained flat over CY10-13, non-major ports in
Gujarat (representing 64% of total non-major ports capacity and 73% of cargo in FY12)
posted 19% CAGR over FY09-12. Pertinently, as all India ports capacity utilization
stands at 73%, west coast port utilization remains high and above 100%. It is reflection
of Strong demand-supply mismatch and robust growth in north/north-west corridor.
Capacity constraint on evacuation front could be a factor for any port and that may
retard growth over the medium term. However, award of 40% corridor on the western
dedicated freight corridor, development of Delhi-Mumbai Industrial Corridor (DMIC)
would act as key drivers of long term growth for a west coast port. GPPV is in a sweet
spot given its proximity to DFCC and being part of project influence area of DMIC.
Hence, we believe that GPPV’s volume growth over medium to longer term would be
a function of capacity creation than demand. The port operates its container facility at
77%/51% utilization at yard/quay side and thus timely expansion holds key for further
growth. It has already planned expansion, and has obtained the clearance.
We expect GPPV to record volume CAGR of 15% over CY13-15E as near term capacity
is not a constraint. Growth would be driven by container volumes (78% of incremental
volumes), while commencement of liquid facility may aid growth. Bulk cargo growth
may remain muted.
West coast’s cargo traffic growth has been robust, ports’ utilization at steep
level
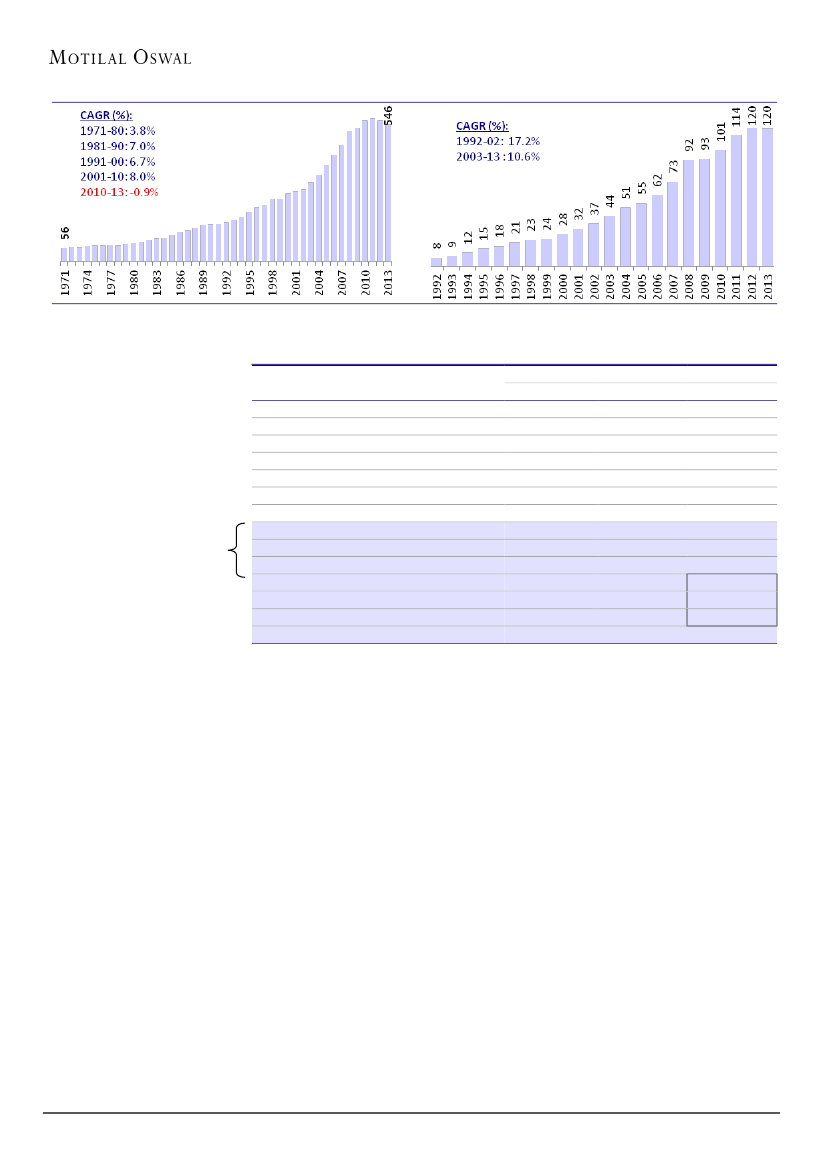
Seaborne cargo volume in India witnessed CAGR of 5.6% over FY1971-13 across
major ports. Growth in container volume from FY1992-13 was robust at 14% CAGR
(total cargo growth over the same period was 6.1%). Contribution of volume from
containers has picked up from 5% in FY92 to 22% in FY13. Growth in volume also
saw an improvement in capacity addition, though several ports still operate at
significantly higher utilization levels, while others were at a lower level and mask the
overall utilization levels. To illustrate, capacity of all major ports in India stood at
752mt in FY13 and utilization levels at 73%.
However, certain west coast ports like Kandla (100% utilization), Mumbai (145%
utilization) and JNPT (88% utilization) depict a different picture. Infact, we
understand that container terminals at JNPT operate at 100%+ utilization levels.
Higher utilization levels significantly impact the operational efficiency and
turnaround time for vessels. It is a crucial barometer as loss in ocean freight will
significantly affect the profitability of a vessel for shipping lines. Higher utilization of
west coast ports also signifies the robustness of cargo volume in north/north-west
corridor and demand-supply mismatch.
24 March 2014
8

Gujarat Pipavav Port
Cargo traffic growth at major ports strong (m tons)
Container traffic has grown even at robust pace (m tons)
Note: Decline in overall cargo is partially due to mining ban of Iron ore
Source: Company, MOSL
Major ports utilization very high, particularly for West coast ports
Major ports
Kolkatta
Haldia
Paradip
Visakhapatnam
Ennore
Chennai
Tuticorin
Cochin
N, Mangalore
Mormugoa
JNPT
Mumbai
Kandla
Total
M tons
Volume
11.8
28.1
56.6
59.0
17.9
53.4
28.3
19.9
37.0
17.7
58.0
64.5
93.6
545.8
Utilization
Capacity
(%)
17.1
69
46.8
60
102.3
55
67.3
88
31.0
58
85.6
62
33.3
85
44.7
44
76.8
48
36.4
49
65.9
88
44.5
145
93.2
100
744.9
73
Source: MOSL, MoPS
Ban on iron ore mining
impacted utilization levels
of these ports
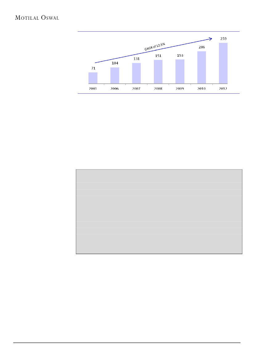
On non-major ports front too, the scenario does not change much. As a large part of
north and north-west hinterland would be addressed through minor ports in
Gujarat, we analyze minor ports in the state. Presently, Gujarat accounts for 64% of
the total capacity at non-major ports and 73% of the total non-major category cargo
(which posted a CAGR of 9.4% over FY1961-12). Volumes at minor ports in the state
clocked a robust CAGR of 12.5% over FY01-12. Pertinently, FY13 capacity of all minor
ports (total 41 ports, including 40 non-major ports) stood at 323mt, up from 135mt
in FY01, a CAGR of 8.3%. Despite this, the total cargo handled by all minor ports in
Gujarat was already at 259mt in FY13 – a utilization factor of ~80%. Hence, the
saturating capacity of existing major west coast ports, lack of sizable growth
opportunity and congestion in cargo movement unveil huge potential for ports like
GPPV.
24 March 2014
9

Gujarat Pipavav Port
Gujarat non-major ports witness robust growth (mt)
Source: GMDB, MOSL
Several enablers for future growth, GPPV to benefit from DFCC/DMIC
In our view, the evacuation infrastructure would play a vital role in shaping a port’s
growth than capacity. Tughlakabad-JNPT (Delhi-Mumbai) line, one of the highly
trafficked corridors in the country is a case in point, which on account of higher
utilization (upwards of 135%) is facing congestion in handling container traffic due
to passenger and priority cargo. While our interaction with GPPV suggests no major
hiccups on plying container cargo on the route, the accessibility to DFCC and
capacity creation on the Mumbai-Delhi corridor would be a key driver for volume
growth.
Tughlakabad-JNPT (Delhi-Mumbai) line:
With an average line capacity of 50 trains
per day, it has been handling over 67 trains per day, operating at a capacity
utilization of 135%; several sections are being operated at 160% utilization levels.
Roughly 40 trains on this corridor are passenger trains, leaving a limited capacity for
freight trains, which have a lower priority. Congestion at the railways’ Tughlakabad
Inland Container Depot (ICD) near Delhi and on the line itself has resulted in poor
reliability of service, and high value cargo such as containers, which form majority of
the traffic on this corridor, is increasingly shifting to road transport. Presently, less
than one-third of the containerized cargo in this corridor is being carried by
railways. On an average, 9,000 loaded trucks move on this corridor every day,
aggregating ~30mt annually of road freight traffic.
Source: Maritime Agenda 2010-20
Thus, the need for capacity addition is well realized and projects like DFCC are
targeted for the same. Progress on western DFCC is encouraging, with the entire
land acquisition being done and first project award of 640kms double track lane
from Rewari in Haryana to Palanpur in Gujarat is done – this represents 40% of the
entire western DFCC corridor length of 1,483kms. The project is given to a
consortium of L&T and Sojitz (Japan) to build the corridor at a cost of INR67b. Also,
there is a plan to award 1,500kms of projects by end-FY14, of which ~1,000kms is
for the western corridor. While the project is expected to be commissioned by FY17,
it could contribute to cargo traffic movement over the next three to five years,
considering some delays.
24 March 2014
10

Gujarat Pipavav Port
DMIC plans to develop 9 mega industrial regions, each of 20,000 hectares on 150-
200kms, on either side of DFCC. As GPPV comes under the “project influence area”,
it would be a key beneficiary of DMIC, though over a longer term. Higher utilization
factor of west coast ports, evacuation congestion and importance of DMIC mean
that GPPV’s growth would be a function of capacity than demand.
GPPV to be key beneficiary of DFCC and DMIC
GPPV would be in close proximity to DFCC and
related developments in the periphery area.
While advantages for other key ports on the
west coast like Kandla, Mundra could accrue
over the long term.
Source: DFCC, DMIC
GPPL in expansion mode as utilization levels inch up
In CY13, container volumes stood at 0.66mteus and utilization of container facility,
considering yard capacity, stood at 77% (quay side utilization at 51%). Also, while
bulk cargo handling capacity has been 5mt, volume has grown from 1.7mt in CY07 to
3.12mt in CY13 – a CAGR of 11%. The utilization level has thus moved up from 33%
to 62% in FY13. While GPPV can continue to operate the yard capacity at higher
utilization levels out of its existing capacity of 855,000teus, very high utilization at
quay side would impact efficiency in operation. Given that a berth’s development
would take 20-24 months and as current utilization levels already stand at 51%,
GPPV would have to keep capacity ready to tap growth beyond 1-2 years. This needs
an increase in capacity on the container side, suitably on the expectation that
24 March 2014
11

Gujarat Pipavav Port
volume growth will remain robust and utilization would reach 67% in CY15
(container volume growth of 15% CAGR over CY13-15E).
GPPV has already laid out expansion plans to increase both its container/bulk
handling capacity and improve the mechanization. Its capacity on the container side
(yard capacity) has grown from 0.6mteus in CY05 to 0.86mteus on the yard side,
while berth/quay side capacity stands at 1.3mteus. Under the expansion, the
container cargo handling capacity is proposed to be increased to 1.5mteus, both on
yard and quay side. Also, the plan is drawn to enhance bulk handling capacity by
5mt, which is however subject to tied cargo with take-or-pay commitment. Given a
situation of despair in power sector, several proposed power projects have been put
on hold and thus the visibility of bulk cargo volume is limited. GPPV has in-principle
decided to not pursue bulk cargo expansion, unless backed by volume commitment.
GPPV’s proposed expansion plan is to increase the container berth and carve out a separate berth for LNG terminal
Source: Company
Entire funding for the project is however tied up and external commercial borrowing
(ECB) equivalent of INR4.5b is already sanctioned. The proposed expansion cost was
estimated at INR11b, including capex of INR2.3b for bulk cargo. While capex on bulk
cargo is unlikely to be taken up soon, the delays in clearance may lead to marginal
increase in project costs. The project’s expansion was put on hold due to lack of final
consent from the Ministry of Environment and Forest (MoEF) on environment
clearance, on an appeal filed by a NGO challenging the earlier clearance granted by
MoEF in the National Green Tribunal (NGT). Since then, GPPV completed hearings
with NGT and the matter was referred back to MoEF for obtaining its clearance,
which is now received.
24 March 2014
12

Gujarat Pipavav Port
Details of expansion – 15mt of increased capacity and higher modernization
Particulars
Container Cargo
- Yard side
- Quay side
Bulk Cargo
Liquid Cargo
Periphery expansion
Unit
m TEUs
m TEUs
m tons
m tons
Capacity
Remarks
Existing Expanded
0.85
1.30
5.00
2.00
1.50
1.50
10.00
2.00
Berth length to go up from 385 meters to 735 meters
8 post panamax cranes (vs 5), 3 Panamax (same) and 28 RTGs (vs 18)
800 meter dry bulk berth, vs dedicated 365 meter dry bulk berth now
2 Gottwald cranes (vs 1), dedicated coal conveyor system, along with multi purpose
Relocation of Jetty to accommodate bulk and container berths
- Parallel road to existing road, separate now for Bulk and Container
- Capital dredging for new berths
Source: Company
Volume growth strong over CY13-15E…, further growth to be a function of
capacity creation
GPPV is well poised to grow at higher-than-industry rate. CY13 container volume
grew by 16% YoY, compared to west coast container traffic growth of 3.6%.
Introduction of a new service NMG, an India Middle-East service operated jointly by
Simatech, X-PRESS Feeders and OEL with the first call being on September 19, 2013
would aid volumes in CY14E/15E. The service, which is expected to ramp up in two
to three months time, would have a potential of 50,000-60,000teu pa – ~10% YoY
growth on container volume of 0.66mteus in CY13. Thus, addition of few new lines
with strong parentage, saturated capacity at ports like JNPT etc should help GPPV
achieve superior growth on the container front.
On the bulk front, CY13 show a muted growth in cargo with lower coal, mineral
volumes. CCEA’s decision to allow imported fuel cost as pass-through would be a
key enabler for power projects to use imported coal. However, lack of demand has
led to lower PLFs for projects across the country. Hence, growth in bulk cargo ports
may remain muted. Also, under-recovery in uptown coal cargo (~1.2mt of volume
pa) keeps the volume increase under check. Thus, the reliance on catchment area
cargo, where the current potential is ~2-2.5mt, may lead to lower volume growth.
We expect bulk cargo volumes to post a CAGR of 7.5% (back-ended in CY15) over
CY13-15E.
The other key delta would be from liquid cargo as storage/process facilities by Aegis
Logistics, Indian Molasses Company (IMC) and Shell Gas get commissioned in
1QCY14. Phase I of the expansion would have a capacity to process 0.6mt, which
would be enhanced to 1.4mt in Phase II, compared to nil volumes currently and 2mt
of liquid berth capacity. We expect a slow ramp-up of cargo volumes in CY14E and
CY15E at 0.25mt and 0.4mt, respectively.
We thus expect GPPV’s volume to post a CAGR of 15% over CY13-15E, largely in line
with the 12.2% growth seen over CY09-13. We are optimistic from the fact that
volumes at major ports clocked a CAGR of 0.7%, while at non-major ports it was at
16% CAGR over FY09-13. Growth at GPPV is a reflection of strong customer loyalty,
support/addition of new lines by parent and upsizing in container volumes etc.
While it is difficult to exactly comprehend the possible sources of volume gain,
particularly in the event of a slowdown, we rely on GPPV’s past track record, near
term mismatch in demand-supply and strong parentage. Of the incremental volume
24 March 2014
13

Gujarat Pipavav Port
growth of 4.1mt over CY13-15E, we expect container volumes to contribute 3.2mt
(213,000teus, of which 60,000teus is now assured due to the addition of a new
Middle East service), bulk cargo at 0.5mt and liquid cargo at 0.4mt.
Steady increase in utilization for container capacity (mt, %)
Bulk cargo growth to remain modest
*Container utilization calculated considering yard capacity and where
utilization levels can be higher, v/s quay side
Source: Company, MOSL
While we assume that the expansion work will commence from 1QCY14, the volume
contribution from such expansion does not yield before CY16. Hence, any
meaningful delay would not impact our CY15E estimate but any sizeable delay may
impact medium term cargo volume growth. Also, expansion/modernization driven
by competitive ports on the west coast could have a bearing on GPPV’s volume
growth.
24 March 2014
14

Gujarat Pipavav Port
Superior profitability led by operating leverage
Higher operating cash flow, lower capex to keep FCFF positive
Key observations over CY05-09: a) gross margin improved from lows of 54% to 66%
(12ppt improvement), b) entire incremental volume contribution from container
segment, c) EBITDA margin improvement of 29ppt led by lower contractual guarantee
payments made to PRCL, d) savings in interest cost due to debt repayment (gross DER
down from 3.4x in CY09 to 0.2x now).
Gross margin was historically at 80% (CY05) and with more containers, liquid cargo-led
volume growth would mean further improvement in gross margin. We expect 6ppt
improvement over CY13-15E to 72%. Scope of upside exists due to operating leverage
and higher proportion of fixed cost (70%) in container business.
Going forward, 15% volume CAGR, 23% revenue CAGR over CY13-15E would drive 32%
EBITDA CAGR and earnings CAGR of 39%. CY13 was the first year of sizable FCFF (at
INR2b), compared to consistent negative FCFF over CY05-09. Higher operating cash
flow, lower capex would help keep FCFF positive.
Revenue CAGR of 23% over CY13-15E on the back of strong volume growth
Over CY09-12, GPPV’s revenue grew at 23.5%, led by growth in average realization
of 8.3%, while volumes posted a CAGR of 12%. The growth in average realization
was partly aided by increasing scope of services, higher value added activities and
revision in rates in dollar denomination (August 2012). Volume growth was however
largely driven by container volumes (CAGR of 21%), while bulk cargo de-grew (CAGR
of 4%). De-growth was primarily driven by lower fertilizer and coal cargo.
Going forward, we expect GPPV to record revenue CAGR of 23%, in line with CY09-
12 growth. Volume growth is expected at 15%, while realization would clock 7.5%
CAGR. Container volumes are expected to post 15% CAGR, while bulk cargo would
register a CAGR of 7.5%. This is largely on account of lower base and built-up in
volume growth in CY15 for coal/other cargo, as demand environment looks up. We
expect marginal contribution from liquid cargo at 0.4mt in CY15, as all three
concessionaires’ storage/processing facility would be operational by 1QCY14.
Growth in realization is also partly a function of cargo mix led by higher contribution
from container cargo.
24 March 2014
15

Gujarat Pipavav Port
Revenue growth robust, CY13-15E estimate achievable…
…led largely by volume growth, realization growth steady
Source: MOSL, Company
Source: MOSL, Company
Huge operating leverage, higher utilization to drive EBITDA margin further
GPPV’s EBITDA margin rose from -11.1% in CY05 to 20% in CY09 and further to 50%
in CY13. We decipher EBITDA margin expansion from gross margin led improvement
and savings in other expenditure. We note that the 29.5% increase in EBITDA margin
for GPPV over CY09-13 comprised of 12% expansion in gross margin and 17.5%
increase due to savings in other (SG&A) expenditure. We calculate gross margin for
the port after excluding operating and staff cost, while savings in other expenditure
is attributable to EBITDA margin expansion. Pertinently, the entire incremental
cargo growth over CY09-12 was due to container cargo.
We note that GPPV’s gross margin was 80% in CY05, which declined to 54% in CY09
(port under development phase) and inched up to 66% in CY13. Higher container
volumes above minimum economic size enabled modernization such as installation
of rail mounted gantry cranes, compared to reach stacker. This is significant as the
margin profile of cargo is typically highest for liquid, followed by container and then
bulk. Thus, the higher contribution from container cargo would continue to enable
gross margin expansion, as ~70% of the operating cost remains fixed. We estimate
gross margin to inch up to 72% in CY15E (6ppt improvement). We believe that GPPV
may see a further increase in gross margin as the margin contribution over break-
even volume, benefit of mechanization would be sizable.
Cargo volume mix in favor of container (m tons)
Container
Bulk
Liquid
Total
CY09-12
3.7
(0.4)
-
3.3
% of total
112
(12)
-
100
CY13-15E
% of total
3.2
78
0.5
12
0.4
10
4.1
100
Source: Company, MOSL
Gross margin – scope exists for sizable improvement
Source: Company, MOSL
24 March 2014
16

Gujarat Pipavav Port
The gain on EBITDA margin expansion is on account of savings in other expenditure.
This was due to savings in miscellaneous expenditure portion of other expenditure
to a large extent. We note that the savings in other expenditure has come due to
discontinuation of contractual guarantee payments made to Pipavav Rail
Corporation (PRCL) from CY10 onwards. GPPV had guaranteed volume commitment
of 3mtpa and thus had to bear the guarantee payments. Thus, lower margin in the
past was not a true reflection of the port’s operating margin.
Traffic guarantee shortfall payment by GPPV (INR m)
CY03/
FY04
Traffic guarantee shortfall
SG&A expenses
- % to SG&A Expenses
EBIDTA
EBIDTA margin
94
CY04/
FY05
200
CY05/
FY06
322
613
52.5%
(75)
-11.1%
CY06/
FY07
234
937
25.0%
118
8.7%
CY07/
FY08
228
1,132
20.1%
71
4.7%
CY08/
FY09
306
876
35.0%
127
7.6%
CY09/
FY10
172
749
22.9%
445
20.1%
*Numbers taken from PRCL accounts, which follows March year ending. Thus, too that extent, the
number may not be directly comparable but offers insight to lower EBIDTA margin of port in the past
Source: Company, MOSL
Going forward, we expect GPPV to record an EBITDA margin improvement of 13ppt
over CY13-15 and expect EBITDA margin at 56%. This is partly led by revenue growth
of 23%, compared to expenditure growth of 14% CAGR. Pertinently, we expect
higher CAGR in total expenditure at 14%, compared to a CAGR of 10% in CY09-12,
and thus there exists scope of an upside. Given higher contribution from container
and liquid cargo over CY13-15, the margin expansion could be even higher. Also, the
higher liquid volume contribution may not carry an additional cost as
interest/depreciation is already being charged in P&L, and cost of operations would
be very less.
EBITDA margin expansion of 13ppt over CY13-15E
Overall utilization levels to go up at port
Source: Company, MOSL
Source: Company, MOSL
Lower finance cost, flat depreciation to aid profitability further, earnings
CAGR of 39% over CY13-15E
We expect GPPV to record earnings CAGR of 39% over CY13-15E, driven by EBITDA
growth of 32%, and aided by lower financing cost and flat depreciation. Finance cost
for the port has come down from INR1.3b in CY10 to INR374m in CY13 as it repaid
INR3.5b loan in July 2012. The outstanding debt on books stands at INR3b as in
December 2013, compared to INR10.9b in CY09. Depreciation charge has been
24 March 2014
17

Gujarat Pipavav Port
rather muted and has come off from 22% of revenue in CY08 to 12% in CY13. Given
that GPPV has outstanding losses of INR5b, the tax liability remains nil. Hence, we
expect the port to report net profit CAGR of 39% over CY13-15E.
Interest cost has been key driver of profitability
Net profit growth robust
Source: Company, MOSL
Source: Company, MOSL
Higher return ratio, net DER near zero; capex funding in place
Given debt repayment and sizable increase in cash due to QIP and preferential issue
(raised INR3.5b in June 2012) as also higher profitability, the net debt on the books
stands at INR914m, compared to INR9.8b in CY09. DER for GPPV has thus declined
from 3.4x in CY09 to 0.2x now on gross basis. It has readied a blue print for
expansion of INR10.5b on enhancing its port capacity (both at container and bulk)
and related modernization. This would involve debt drawl of INR4.5b and is not yet
started. The return ratios too would thus look up. We expect reported RoE to
improve from 7.4% in CY12 to 20.2% in CY15E, while RoCE would improve from 9.5%
in CY12 to 18.7% in CY15E.
Net DER for GPPV low, but may inch up with capex (INR m)
Return ratios improve on the back of profitability growth
Source: Company, MOSL
Source: Company, MOSL
24 March 2014
18

Gujarat Pipavav Port
Planned capex by GPPV (INR m)
Particulars
Berth
Dredging
Yard
Conveyor
Equipment
Roads
Others
Total
Container
2,280
-
940
-
2,380
472
6,072
Bulk
545
-
-
1,380
285
75
2,285
Common
Infra
-
2,070
-
-
-
545
Total
2,825
2,070
940
1,380
2,665
545
547
2,615
10,972
Source: Company
FCFF to increase sizably aided by operating cash flows, better working
capital and low capex
Higher profitability and favorable working capital change has led to strong operating
cash flows for GPPV in CY13 at INR3.2b, up from INR889m in CY10. Free cash flow
stood at INR2b in CY13, despite capex of INR1.2b, up from INR434m in CY10. For
CY09-12, the total capex incurred by the port has been INR6b. Going forward, we
expect GPPV to begin expansion work from CY14 and thus free cash flow would look
to taper off. However, this does not reflect the true potential of assets as volume
growth/capex recovery would happen over a period of time. Thus, FCFF beyond
CY15E would look robust. However, from consistent negative FCFF before CY10,
GPPV would now be always FCFF positive.
FCFF to improve going forward (INR b)
Source: MOSL
24 March 2014
19

Gujarat Pipavav Port
Comfort in earnings growth, cash flows
Scalable business model, with strong operating leverage
We have valued GPPV using DCF method as the near term earnings growth and
valuation linked to the same may not fully capture the growth potential. In our view,
GPPV’s business model offers comfort in earnings and cash flow, as large part of
near term growth can be catered to without any major capex. Also, the medium
term capex funding is already tied up and thus may not entail any cash flow issues.
Our DCF-based method discounts explicit cash flow projections till FY28 and
assumes 2% terminal growth rate, which in our view would be a fair reflection of
possible cash flow generation opportunity. Also, it is pertinent to note that while
GPPV’s current concession of 28 years ends in FY28, there is high possibility of an
extension, given that other development projects in Gujarat have a clause of
additional concession period. GPPV was among the first private sector project by the
Gujarat Maritime Board (GMB) and hence the extension clause was not included.
We arrive at a DCF-based target price of INR100/sh. At current market price, the
stock trades at PER of 10x CY15E, P/BV of 1.9x (RoE of 20%). We believe that a
scalable business model, with strong operating leverage would continue to offer
upsides. Initiate coverage with a
Buy
rating.
DCF Valuations summary
PAT
Add: Depreciation
Add: Interest*
Add: Wkg capital changes
Add: Capex
Free cash flow (FCF)
Discount factor
Discounted cash flow
Sum of DCF
Add: Cash (INR mn)
Less: Debt
Equity value
Equity shares o/s
Value per share
*Net off tax
CY13
1,754
608
374
464
(1,208)
1,992
CY14E
1,680
684
501
641
(2,390)
1,116
0.90
1,009
CY15E
2,301
724
587
340
(4,764)
(811)
0.82
(662)
CY16E
2,087
838
816
31
(5,809)
(2,037)
0.74
(1,502)
CY17E
2,519
972
1,036
328
(5,910)
(1,055)
0.67
(703)
CY28E
8,309
2,408
867
1,435
-
13,019
0.22
2,839
Terminal
152,893
0.20
30,126
48,232
3,374
3,673
47,933
483
100
Comparative financials and valuation
Company Name
Gujarat Pipavav Port Ltd
Adani Ports and Special Econom
Essar Ports Ltd
EPS Growth (%)
FY13FY14E FY15E FY13
137.2 36.8
47.3 5.7
400.7 9.0
41.9 13.4
23.8 29.0
11.6 13.5
RoE (%)
FY14E
16.1
23.2
12.6
FY15E
20.2
21.6
13.7
EV/EBIDTA (x)
16.0
14.2
8.3
11.9
16.8
6.2
9.4 22.9
14.1 22.6
5.1 6.4
PE (x)
16.7
21.4
5.8
PB (x)
11.8 2.9
2.6
2.2
17.3 5.7
4.3
3.5
5.2 0.8
0.7
0.6
Source: Bloomberg, MOSL
FY13 FY14E FY15E FY13 FY14E FY15E FY13 FY14E FY15E
24 March 2014
20

Gujarat Pipavav Port
Key risks
Consistency in container cargo is minimal
A large part of container cargo of shipping lines are based on voyages and have
short term charter hire contract, berthing contracts and small proportion of long
term contracts. Thus, there exists possibility of shift in container volumes from one
port to competing port for better rates, operational efficiency/turnaround time etc.
We already have precedence in case of GPPV, where Mearsk shifted one of the
shipping service to Mundra port.
Competition and upcoming capacity may impact volume growth
Currently, the competing ports of GPPV -- JNPT, Mundra, Kandla either have spare
capacity or are undergoing huge expansion plans. To illustrate, Mundra port’s
container capacity stands at 4mteus, while volume stands at 1.7mteus – 40%
utilization. Similarly, JNPT has awarded 0.8mteus terminal to DP World in 2013 and
has recently awarded 4.8mteus terminal development to Port of Singapore (PSA).
This existing and upcoming capacity may exert pressure on the volume growth and
realization.
Regulatory change may impact port operations
Being an infrastructure project, GPPV is governed by several regulations, which have
direct bearing on its operations. To illustrate, the revision of railway tariffs based on
new slabs have placed GPPV at some disadvantage to few of its customer on cargo
movement. To this extent, there is an under-recovery in cargo volumes. Any
unforeseen regulatory changes may thus impact port’s profitability and operations.
24 March 2014
21

Gujarat Pipavav Port
Operational matrix
Y/E Dec (INR m)
Container (mTEUs)
% YoY
Bulk (m tons)
% YoY
Liquid (m tons)
% YoY
Total (m tons)*
% YoY
Revenue
% YoY
EBIDTA
Margin (%)
% YoY
PAT
Margin (%)
% YoY
CY06
0.14
2.15
CY07
0.19
42.1
1.66
-22.8
CY08
0.20
1.8
2.07
24.9
CY09
0.32
64.4
3.40
64.1
CY10
0.47
45.0
3.36
-1.2
CY11
0.61
30.9
3.69
9.8
CY12
0.57
(6.5)
3.01
-18.4
CY13 CY14E CY15E
0.66
0.76
0.87
15.8
15.0
15.0
3.12
3.27
3.60
3.6
5.0
10.0
0.25
0.42
68.0
13.0
14.9
17.1
12.6
14.5
14.8
5,179
24.5
2,568
49.6
41.2
1,754
33.9
137.2
6,385
23.3
3,386
53.0
31.8
2,400
37.6
36.8
7,861
23.1
4,469
56.9
32.0
3,404
43.3
41.9
4.2
4.5
8.3
1,516
12.3
71
4.7
(39.9)
(460)
(30.4)
(11.2)
5.0
10.1
8.2
64.2
10.4
25.9
12.8
24.1
11.6
(9.9)
4,160
5.1
1,819
43.7
0.1
740
17.8
29.5
1,350
118
8.7
(518)
(38.4)
1,673 2,207
10.4
31.9
127
445
7.6
20.1
79.4 249.6
(676) (1,164)
(40.4) (52.7)
46.9
72.2
2,839 3,959
28.6
39.4
1,106 1,817
38.9
45.9
148.7
64.3
(547)
571
(19.3)
LP
(53.0) (204.3)
Per ton summary
Revenue
322
334
334
268
274
Operating cost
293
318
309
214
167
EBIDTA
28
16
25
54
107
PAT
(124) (101) (135) (142)
(53)
TEUs converted in to m ton for simpler representations
308
167
141
44
360
202
157
64
397
428
459
200
201
198
197
227
261
135
161
199
Source: MOSL
24 March 2014
22

Gujarat Pipavav Port
Pipavav Railways Corporation – Operational & Financial summary
INR m
- Container
- Bulk
Cargo volumes (m tons)
% YoY
- From Traffic
- Guarantee payments
- Other income
Revenue
% YoY
Expenses
- Operating expense
% of revenue
- Administrative expenses
% of revenue
- Lease rent to WR
- Prov for doubtful debt
Total
% of revenue
EBIDTA
% of revenue
% YoY
Interest
Depreciation
Profit before tax
EO Items
Profit before tax
Tax
% of PBT
PAT
% of revenue
% YoY
Per ton summary
- Revenue
- EBIDTA
- PAT
FY04
0.1
0.2
0.4
FY05
0.8
0.0
0.8
122.9
93
200
10
302
59.2
FY06
1.0
0.1
1.1
43.6
190
322
3
515
70.2
FY07
1.3
0.4
1.6
43.8
408
234
34
676
31.3
FY08
0.9
0.6
1.5
-7.5
430
228
15
673
(0.5)
FY09
0.7
0.6
1.3
-13.4
377
306
8
691
2.7
FY10
1.3
1.2
2.5
90.7
594
172
37
803
16.2
FY11
2.3
1.5
3.8
54.5
896
-
19
914
13.9
FY12
4.2
1.9
6.1
60.3
1,513
-
18
1,530
67.4
FY13
4.7
1.6
6.3
3.3
1,790
-
68
1,858
21.4
52
94
45
190
117
61
39
21
20
175
92
15
8
162
53
22
7
20
203
67
99
33
576
208
139
(247)
(247)
-
(247)
(82)
203
39
22
4
20
245
48
270
52
172
166
146
(42)
(42)
0
(1)
(42)
(8)
215
32
24
4
20
259
38
417
62
54
204
147
67
67
0
1
66
10
LP
420
259
41
260
39
25
4
20
305
45
368
55
(12)
237
144
(13)
(13)
0
(3)
(14)
(2)
PL
452
247
(9)
453
65
39
6
20
13
524
76
167
24
(55)
192
144
(169)
(83)
(251)
-
(251)
(36)
641
80
27
3
20
3
691
86
112
14
(33)
163
147
(198)
15
(183)
-
(183)
(23)
544
59
27
3
20
122
712
78
203
22
81
166
149
(113)
147
35
-
35
4
LP
241
53
9
786
51
30
2
20
67
904
59
627
41
209
137
145
345
92
437
(116)
(27)
553
36
1,503
939
51
31
2
20
-
989
53
868
47
39
41
153
675
1
675
209
31
466
25
(16)
204
141
(330)
(330)
-
(330)
(173)
543
42
(942)
388
127
(317)
459
241
(38)
536
130
(195)
326
46
(75)
251
295
103
138
91
74
Source: Company
24 March 2014
23

Gujarat Pipavav Port
Financials and valuation
Income statement
Y/E December
Net Sales
Change (%)
EBITDA
Margin (%)
Depreciation
EBIT
Int. and Finance Charges
Other Income - Rec.
PBT bef. EO Exp.
EO Expense/(Income)
PBT after EO Exp.
Current Tax
Tax Rate (%)
Reported PAT
PAT Adj for EO items
Change (%)
Margin (%)
2011
3,959
39.4
1,817
45.9
558
1,259
852
164
571
0
571
0
0.0
571
571
-204.3
14.4
2012
4,160
5.1
1,819
43.7
549
1,269
684
155
740
0
740
0
0.0
740
740
29.5
17.8
2013
5,179
24.5
2,568
49.6
608
1,960
374
168
1,754
-164
1,918
0
0.0
1,918
1,754
137.2
33.9
2014E
6,385
23.3
3,386
53.0
684
2,702
501
200
2,400
0
2,400
0
0.0
2,400
2,400
36.8
37.6
(INR Million)
2015E
7,861
23.1
4,469
56.9
724
3,745
587
247
3,404
0
3,404
0
0.0
3,404
3,404
41.9
43.3
2016E
9,471
20.5
5,635
59.5
838
4,797
1,020
298
4,075
0
4,075
815
20.0
3,260
3,260
-4.2
34.4
Balance sheet
Y/E December
Equity Share Capital
Total Reserves
Net Worth
Total Loans
Capital Employed
Gross Block
Less: Accum. Deprn.
Less:Impairment of Assets
Net Fixed Assets
Capital WIP
Total Investments
Curr. Assets, Loans&Adv.
Inventory
Account Receivables
Cash and Bank Balance
Loans and Advances
Curr. Liability & Prov.
Account Payables
Provisions
Net Current Assets
Appl. of Funds
2011
4,236
3,694
7,930
6,759
14,688
17,515
3,063
1,754
12,698
91
830
2012
4,834
7,283
12,117
3,207
15,324
17,821
3,606
1,754
12,462
1,577
830
2013
4,834
9,201
14,035
2,938
16,973
20,606
4,214
1,754
14,639
0
830
2014E
4,834
10,881
15,715
3,673
19,388
21,500
4,898
1,754
14,848
1,497
830
(INR Million)
2015E
4,834
13,182
18,017
5,324
23,341
23,082
5,622
1,754
15,706
4,679
830
2016E
4,834
15,269
20,103
8,225
28,328
28,481
6,460
1,754
20,267
5,088
830
2,224
1,765
3,197
4,794
5,377
5,788
57
115
120
122
135
167
324
418
344
424
538
649
705
511
2,023
3,374
3,627
3,675
1,138
722
710
875
1,077
1,297
1,154
1,310
1,694
2,581
3,251
3,645
1,079
1,133
1,287
1,393
1,610
1,853
75
177
407
1,188
1,641
1,792
1,070
455
1,504
2,213
2,126
2,143
14,688
15,324
16,972
19,388
23,341
28,328
E: MOSL Estimates; E: MOSL Estimates; Adjusted for treasury stocks
24 March 2014
24

Gujarat Pipavav Port
Financials and valuation
Ratios
Y/E December
Basic (INR)*
EPS
Cash EPS
BV/Share
DPS
Payout (%)
Valuation (x) *
P/E
Cash P/E
P/BV
EV/Sales
EV/EBITDA
Dividend Yield (%)
Return Ratios (%)
RoE
RoCE
Working Capital Ratios
Asset Turnover (x)
Inventory (Days)
Debtor (Days)
Leverage Ratio (x)
Current Ratio
Debt/Equity
2011
1.3
2.7
18.7
0.0
0.0
2012
1.5
2.7
25.1
0.0
0.0
2013
3.6
4.9
29.0
0.0
0.0
22.9
17.0
2.9
7.9
16.0
0.0
7.5
9.5
0.3
5.3
30
1.9
0.9
7.4
9.5
0.3
10.0
37
1.3
0.3
13.4
13.2
0.3
8.5
24
1.9
0.2
2014E
5.0
6.4
32.5
1.2
30.0
16.7
13.0
2.6
6.3
11.9
1.5
16.1
16.0
0.3
7.0
24
1.9
0.2
2015E
7.0
8.5
37.3
1.9
32.4
11.8
9.7
2.2
5.3
9.4
2.3
20.2
18.7
0.3
6.3
25
1.7
0.3
2016E
6.7
8.5
41.6
2.0
36.0
12.3
9.8
2.0
4.7
7.9
2.4
17.1
19.7
0.3
6.4
25
1.6
0.4
Cash flow statement
Y/E December
NP/(Loss) bef. Tax & EO Items
Depreciation
Interest & Finance Charges
Direct Taxes Paid
(Inc)/Dec in WC
CF from Operations
Others
CF from Operating incl EO
(inc)/dec in FA
Others
CF from Investments
Issue of Shares
(Inc)/Dec in Debt
Interest Paid
Dividend Paid
Others
CF from Fin. Activity
Inc/Dec of Cash
Add: Beginning Balance
Closing Balance
2011
571
558
729
35
-1,201
622
-14
608
-525
514
-10
0
-1,215
-926
0
300
-1,841
-1,244
1,949
705
(INR Million)
2012
2013
2014E
2015E
2016E
740
1,754
2,400
3,404
4,075
549
608
684
724
838
606
374
501
587
1,020
84
0
0
0
815
849
464
641
340
31
2,661
3,200
4,227
5,056
5,149
-40
0
0
0
0
2,621
3,200
4,227
5,056
5,149
-1,751
-1,208
-2,390
-4,764
-5,809
123
0
0
0
0
-1,628
-1,208
-2,390
-4,764
-5,809
3,500
164
0
0
0
-3,669
-269
736
1,651
2,901
-667
-374
-501
-587
-1,020
0
0
-720
-1,103
-1,174
-352
0
0
0
0
-1,188
-480
-486
-39
708
-195
1,513
1,351
253
48
705
511
2,023
3,374
3,627
511
2,023
3,374
3,627
3,675
E: MOSL Estimates; * Adjusted for treasury stocks
24 March 2014
25

Disclosures
This report is for personal information of the authorized recipient and does not construe to be any investment, legal or taxation advice to you. This research report does not constitute an offer, invitation or
inducement to invest in securities or other investments and Motilal Oswal Securities Limited (hereinafter referred as MOSt) is not soliciting any action based upon it. This report is not for public distribution
and has been furnished to you solely for your information and should not be reproduced or redistributed to any other person in any form.
Unauthorized disclosure, use, dissemination or copying (either whole or partial) of this information, is prohibited. The person accessing this information specifically agrees to exempt MOSt or any of its
affiliates or employees from, any and all responsibility/liability arising from such misuse and agrees not to hold MOSt or any of its affiliates or employees responsible for any such misuse and further agrees
to hold MOSt or any of its affiliates or employees free and harmless from all losses, costs, damages, expenses that may be suffered by the person accessing this information due to any errors and delays.
The information contained herein is based on publicly available data or other sources believed to be reliable. While we would endeavour to update the information herein on reasonable basis, MOSt and/or
its affiliates are under no obligation to update the information. Also there may be regulatory, compliance, or other reasons that may prevent MOSt and/or its affiliates from doing so. MOSt or any of its
affiliates or employees shall not be in any way responsible and liable for any loss or damage that may arise to any person from any inadvertent error in the information contained in this report. MOSt or any
of its affiliates or employees do not provide, at any time, any express or implied warranty of any kind, regarding any matter pertaining to this report, including without limitation the implied warranties of
merchantability, fitness for a particular purpose, and non-infringement. The recipients of this report should rely on their own investigations.
This report is intended for distribution to institutional investors. Recipients who are not institutional investors should seek advice of their independent financial advisor prior to taking any investment decision
based on this report or for any necessary explanation of its contents.
MOSt and/or its affiliates and/or employees may have interests/positions, financial or otherwise in the securities mentioned in this report. To enhance transparency, MOSt has incorporated a Disclosure of
Interest Statement in this document. This should, however, not be treated as endorsement of the views expressed in the report.
Disclosure of Interest Statement
1. Analyst ownership of the stock
2. Group/Directors ownership of the stock
3. Broking relationship with company covered
4. Investment Banking relationship with company covered
GUJARAT PIPAVAV PORT LTD
No
No
No
No
Gujarat Pipavav Port
Analyst Certification
The views expressed in this research report accurately reflect the personal views of the analyst(s) about the subject securities or issues, and no part of the compensation of the research analyst(s) was, is,
or will be directly or indirectly related to the specific recommendations and views expressed by research analyst(s) in this report. The research analysts, strategists, or research associates principally
responsible for preparation of MOSt research receive compensation based upon various factors, including quality of research, investor client feedback, stock picking, competitive factors and firm revenues.
This report is not directed or intended for distribution to or use by any person or entity resident in a state, country or any jurisdiction, where such distribution, publication, availability or use would be contrary
to law, regulation or which would subject MOSt & its group companies to registration or licensing requirements within such jurisdictions.
Regional Disclosures (outside India)
This report is intended for distribution only to persons having professional experience in matters relating to investments as described in Article 19 of the Financial Services and Markets Act 2000 (Financial
Promotion) Order 2005 (referred to as "investment professionals"). This document must not be acted on or relied on by persons who are not investment professionals. Any investment or investment activity
to which this document relates is only available to investment professionals and will be engaged in only with such persons.
For U.K.
Motilal Oswal Securities Limited (MOSL) is not a registered broker - dealer under the U.S. Securities Exchange Act of 1934, as amended (the"1934 act") and under applicable state laws in the United
States. In addition MOSL is not a registered investment adviser under the U.S. Investment Advisers Act of 1940, as amended (the "Advisers Act" and together with the 1934 Act, the "Acts), and under
applicable state laws in the United States. Accordingly, in the absence of specific exemption under the Acts, any brokerage and investment services provided by MOSL, including the products and services
described herein are not available to or intended for U.S. persons.
This report is intended for distribution only to "Major Institutional Investors" as defined by Rule 15a-6(b)(4) of the Exchange Act and interpretations thereof by SEC (henceforth referred to as "major
institutional investors"). This document must not be acted on or relied on by persons who are not major institutional investors. Any investment or investment activity to which this document relates is only
available to major institutional investors and will be engaged in only with major institutional investors. In reliance on the exemption from registration provided by Rule 15a-6 of the U.S. Securities Exchange
Act of 1934, as amended (the "Exchange Act") and interpretations thereof by the U.S. Securities and Exchange Commission ("SEC") in order to conduct business with Institutional Investors based in the
U.S., MOSL has entered into a chaperoning agreement with a U.S. registered broker-dealer, Motilal Oswal Securities International Private Limited. ("MOSIPL"). Any business interaction pursuant to this
report will have to be executed within the provisions of this chaperoning agreement.
The Research Analysts contributing to the report may not be registered /qualified as research analyst with FINRA. Such research analyst may not be associated persons of the U.S. registered broker-
dealer, MOSIPL, and therefore, may not be subject to NASD rule 2711 and NYSE Rule 472 restrictions on communication with a subject company, public appearances and trading securities held by a
research analyst account.
For U.S.
Motilal Oswal Capital Markets Singapore Pte Limited is acting as an exempt financial advisor under section 23(1)(f) of the Financial Advisers Act(FAA) read with regulation 17(1)(d) of the Financial
Advisors Regulations and is a subsidiary of Motilal Oswal Securities Limited in India. This research is distributed in Singapore by Motilal Oswal Capital Markets Singapore Pte Limited and it is only directed
in Singapore to accredited investors, as defined in the Financial Advisers Regulations and the Securities and Futures Act (Chapter 289), as amended from time to time.
In respect of any matter arising from or in connection with the research you could contact the following representatives of Motilal Oswal Capital Markets Singapore Pte Limited:
Anosh Koppikar
Kadambari Balachandran
Email:anosh.Koppikar@motilaloswal.com
Email : kadambari.balachandran@motilaloswal.com
Contact(+65)68189232
Contact: (+65) 68189233 / 65249115
Office Address:21 (Suite 31),16 Collyer Quay,Singapore 04931
For Singapore
Motilal Oswal Securities Ltd
24 March 2014
Motilal Oswal Tower, Level 9, Sayani Road, Prabhadevi, Mumbai 400 025
Phone: +91 22 3982 5500 E-mail: reports@motilaloswal.com
26