Initiating Coverage | 22 Arpil 2014
Sector: Agriculture
Monsanto India
Taking a big leap
Niket Shah
(Niket.Shah@MotilalOswal.com); +91 22 3982 5426
Atul Mehra
(Atul.Mehra@MotilalOswal.com); +91 22 3982 5417
Investors are advised to refer through disclosures made at the end of the Research Report.
 Motilal Oswal Financial Services
Monsanto India
Monsanto India: Taking a big leap
Page No.
Summary
........................................................................................................
3-4
Company background
...................................................................................
5-6
Dekalb: Strong Brand focus on market share gain
....................................
7-16
Hybrid Corn at an inflection point
...........................................................
17-23
Monsanto Farm Agvisory Services (MFAS) & Dr. Dekalb Farm Care Service
(DDFC) – Differentiated model ............................................................... 24-26
Roundup sales to grow on increasing use of herbicides
.........................
27-32
GM Food crops and RR Flex – Game changer events
...............................
33-34
Financial outlook
.......................................................................................
35-36
Valuation and view – initiate coverage with a Buy
.......................................
37
Annexures
..................................................................................................
38-39
Financials and valuation
...........................................................................
40-41
22 April 2014
2
 Motilal Oswal Financial Services
Initiating Coverage | 22 Arpil 2014
Sector: Agriculture
Monsanto India
BSE SENSEX
S&P CNX
22,758
6,815
CMP: INR1,600
TP: INR2,150
Buy
Bloomberg
Equity Shares (m)
52-Week Range (INR)
1, 6, 12 Rel. Per (%)
M.Cap. (INR b)
M.Cap. (USD b)
MCHM IN
17.3
1,770/528
3/123/156
26.5
0.4
Monsanto India limited
(MIL), the flagship company of Monsanto company, is a subsidiary
and the only listed Monsanto entity outside the United States. MIL has partnered with
farmers for over four decades. In India, the Monsanto group operates through 3 entities
i.e. (1) the listed entity Monsanto India Ltd (MIL) which is primarily involved in Maize
seeds and Herbicides; (2) 50:50 JV between Mahyco and Monsanto Holdings Pvt. Ltd
known as Mahyco Monsanto Biotech (MMB) which is sub-licensed to distribute BT cotton
technology in India; and (3) Monsanto Holding.
Taking a big leap
Market share gain to drive earnings growth and re-rating
Financials & Valuation (INR b)
Y/E March
Sales
EBITDA
NP
EPS (INR)
EPS Gr. (%)
BV/Sh. (INR)
RoE (%)
RoCE (%)
Valuation
P/E (x)
P/BV (x)
EV/EBITDA (x)
EV/Sales (x)
20.0
5.5
17.9
4.6
15.3
4.3
13.2
3.4
11.9
3.3
9.7
2.6
2014E 2015E 2016E
5.8
1.5
1.4
104.7
30.4
33.8
7.4
1.9
1.8
31.0
31.7
35.3
9.1
2.5
2.3
28.4
31.7
35.3
79.9 104.6 134.4
290.2 369.2 477.9
Monsanto operates through 100 year old brand called Dekalb and it is India's largest
selling hybrid maize seed brand with 25% market share.
It currently derives 40% of its revenues from products launched in last 2 years.
Monsanto has been able to reduce the age profile of its portfolio from 10 years in 2009
to 8 years in 2013 and further plan to reduce to 6 years going forward.
Operational efficiencies and consolidation measures have helped reduce seed write
offs to less than 7% of revenues from an average of 20% for last 3 years. Additionally
sales return has come down by 15% there by driving growth.
Monsanto has a ~60% market share in the global USD5.4b glyphosate industry and
~25% market share in the Indian INR8b glyphosate industry, under the 'Roundup' brand.
Monsanto enjoys a premium positioning in the market place with its glyphosate selling
price at INR 340 per litre and competitors around INR 310-320 per litre.
GM food crops and RR Flex can be game changer events for Monsanto India.
Focus on market share gain and reduction in write offs to drive growth
Monsanto operates through 100 year old brand called Dekalb acquired from Cargill
in 1998 and it is India's largest selling hybrid maize seed brand with 25% market
share. Over last 2 years it has aggressively launched 7-8 hybrids leading to regain
of market share from players like pioneer and DuPont which are around 20-23%
market each. It currently derives 40% of its revenues from products launched in
last 2 years. This has also helped Monsanto gained market share in FY14 but also
helped to reduce the age profile of its portfolio from 10 years in 2009 to 8 years in
2013. Monsanto has a very strong Rabi portfolio as compared to Kharif. The
management plans to aggressively roll out newer hybrids for Kharif going forward
which has been under development since last 3-4 years there by driving margins.
Over last few years operational efficiencies and consolidation measures has
helped reduce seed write off to less than 7% of revenues from average of 20%
for last 3 years and reduction of sales return by 15% there by driving growth.
Shareholding pattern (%)
As on
Dec-13 Sep-13 Dec-12
Promoter
72.1
72.1
72.1
Dom. Inst
2.1
2.1
2.1
Foreign
1.4
1.4
1.4
Others
24.4
24.4
24.4
Stock performance (1 year)
MFAS and DDFS differentiated services to connect with farmers
Launched in 2010, MFAS is a service which offers timely and customized crop
management advisory to enable maize, cotton and vegetable farmers to enhance
farm yields and profitability. It currently has 1mn farmers connected with
presence in 16 states across 7 languages. Other companies like Pioneer etc and
government agencies tried to replicate this model through outsourcing model
22 April 2014
3
 Motilal Oswal Financial Services
Monsanto India
but have unable to get breakthrough. MIL provides a toll free number 1800 3000 0303
after purchase of any Dekalb® maize hybrid seeds packet and is operational 365 days
from 7am to 9pm. MIL has opened the free advisory centre in Malad, Mumbai, for
farmers where 40 agro experts are employed to assist the farmers. We believe this
is one of key differentiators that Monsanto has build over last 5-7 years with huge
investments in backend which adds value to farmers and is not easly replicable.
Herbicide penetration provides huge scalability opportunities
Weeds are plants which can cause yield losses up to almost 60% of the crop potential.
Labor shortage, rising wages due to NREGA implementation (15% CAGR in wages
post FY08) and rising urbanization trends have accelerating demand for
herbicides.Herbicides market in India is highly underpenetrated with its share in
agro-chemicals standing at 20% as against global standards of 48%.Glyphosate is a
leading safest herbicide and accounts for 30% of global herbicide sales and 70% of
Indian herbicide sales. Monsanto has a ~60% market share in the global USD5.4b
glyphosate industry and ~25% market share in the Indian INR8b glyphosate industry
selling products under the 'Roundup' brand. Monsanto enjoys a premium positioning
in the market place with its glyphosate selling price at INR 340 per litre and
competitors around INR 310-320 per litre. In FY14 cost for glyphosate has gone by 30-
35% leading to price increases of around 15-20% to protect margins and drive growth.
GM food crops and RR flex (BG2RR) approval - Game changer events
Once approved by all bodies all companies can start the field trials for GM food
crops, thereby providing significant opportunities of newer growth avenues.
Monsanto, Syngenta, Pioneer, Dow has been working on field trials across various
crops prior to monotorium imposed by government and hence are much ahead of
other competitors. MIL has been working on Roundup Ready® and Yieldgard® in-
the-seed technologies to offer maize farmer's choice of superior insect protection,
with convenient, flexible and effective weed management, to optimize maize yields.
Currently Monsanto GM corn is currently at BRL2 stage and management has guided
that it will take atleast 3 -4 years for commercial launch to happen. The initial research
and trials suggest that Monsanto GM corn can increase yields by 20-40%. Our
interaction with management highlight that not only the GM corn but the technology
for GM corn as well will remain in Monsanto India. This in our view will lead to
substantial re rating for the stock post commercial launch. Monsanto's current
technology of BT is likely to be replaced by RR Flex (BG 2 RR). RR flex has gone
through RCGM and is awaiting final approval from GEAC. RR-Flex has trait of herbicide
tolerancy thereby negating chances of damage to crop due to usage of herbicide and
also reducing labour cost.
Valuation and view
We expect topline to grow at 25% CAGR and PAT at 30% CAGR over FY14-16E. We
believe the investments done in FY09-FY12 will start paying off for Monsanto India
in terms of new product launches and market share gain. We also remain excited
about the huge potential and scalability opportunity it has to offer over the long
term from GM food and RR Flex. The stock is currently trading at 15.3x FY15E and
11.9x FY16E EPS. We value the stock at 16x FY16E EPS and arrive at a target price of
INR 2150 on the stock. We initiate coverage with a
Buy.
22 April 2014
4
 Motilal Oswal Financial Services
Monsanto India
Company Description
Monsanto Company
Monsanto Company is a leading global provider of technology-based solutions and
agricultural products that improve farm productivity and food quality. Monsanto
remains focused on enabling both smallholder and large-scale farmers to produce
more from their land while conserving more of our world’s natural resources such as
water and energy. The group company generated total revenue of USD 13.5b with
~75% of that from seeds and genomics for crops (corn, soybean, cotton and
vegetables) and the remainder from herbicides for agricultural productivity.
Headquarters: St. Louis, Missouri, United States; Facilities: 404 facilities in 66
countries.
Globally, its business is structured in two segments:
a. Seeds and Traits: The Seeds and Traits segment consists of the Company’s global
seeds and traits business, and genetic technology platforms - including breeding,
biotechnology and genomics.
b. Crop Protection: The Crop Protection segment consists primarily of agricultural
and industrial, turf and ornamental herbicide (weed management) products
The group company
generated total revenue of
USD 13.5b with ~75% of
that from seeds and
genomics for crops
Monsanto India limited (MIL)
Monsanto India limited (MIL), the flagship company of Monsanto company, is a
subsidiary and the only listed Monsanto entity outside the United States. MIL has
partnered with farmers for over four decades. In India, the Monsanto group
operates through 3 entities i.e. (1) the listed entity Monsanto India Ltd (MIL) which
is primarily involved in Maize seeds and Herbicides; (2) 50:50 JV between Mahyco
and Monsanto Holdings Pvt. Ltd known as Mahyco Monsanto Biotech (MMB) which
is sub-licensed to distribute BT cotton technology in India; and (3) Monsanto
Holding.
MIL is a R&D-focused agriculture company, which aims to improve farmers’ lives by
offering farmers wide access to cutting-edge, high-yielding maize hybrid seeds
researched and developed through advanced seed breeding techniques; and
herbicides for weed management. Our team comprises of over 375 employees, a
majority of whom are from rural backgrounds
Footprints in India: 1. Mumbai, 2. Chandigarh, 3. Eluru, 4. Hubli, 5. Kolkata, 6.
Coimbatore, 7. Siliguri, 8. Silvassa
R&D, Quality and Manufacturing Sites:
Three Corn Seed Research Breeding stations at Udaipur, Bangalore and
Jalandhar.
A Biotechnology Research Centre at Bangalore
A Seed Processing Facility at Hyderabad
A Quality Assurance Laboratory at Hyderabad
A Chemistry Plant in Silvassa
MIL has partnered with
farmers for over four
decades
22 April 2014
5
 Motilal Oswal Financial Services
Monsanto India
Key Milestones
Year
1949
1975
1978
1979
1989
1998
1996
2000
Milestone
Monsanto Chemicals of India Limited incorporated
Launched Machete – India’s first rice weed herbicide, helped farmers reduce rice yield loss by ~40 per cent
Launched Lasso – soybean weed herbicide, helped farmers reduce soybean yield loss by ~40 per cent
Launched Roundup – world’s number one weed control herbicide, helped farmers reduce labour cost and crop loss caused by
general weeds
Listed on the Bombay Stock Exchange (BSE)
Invested in Agrochemicals plant at Silvassa
Launched Leader – wheat weed herbicide, helped farmers reduce wheat grain loss by ~70 per cent, helping secure India’s
wheat production
Acquired corn hybrid and sunflower businesses, post Monsanto's global acquisition of Cargill Inc.'s International Seed
Operations in 1998
Monsanto Chemicals of India Limited renamed as Monsanto India Limited
Listed on the National Stock Exchange (NSE)
Launched Fastmix – India’s first rice weed control herbicide for water-scarce areas
Invested in Corn Processing Plant at Elluru, Andhra Pradesh
2001
2002
2003
2004
Leader becomes India’s number one wheat weed herbicide
Integrated all corn hybrid seed varieties under ‘Dekalb’ brand
Voted among ‘India’s Best Places to Work’ by Great Places to Work Institute
Dekalb becomes India’s number one corn hybrid seed brand
Voted among ‘India’s Top 25 Best Employers’ by Hewitt Associates
Invested in Corn Research Breeding facility at Ghaziabad, Uttar Pradesh
2006
2007
Divested Leader – wheat weed herbicide to Sumitomo Chemicals
India identified as an independent region within Monsanto Company
Quality Assurance (QA) Lab at Hyderabad commissioned to meet current & future testing needs of India & Asia-Pacific
Voted among ‘India’s Top 25 Best Employers’ by Hewitt Associates
Divested hybrid sunflower business to Devgen Seeds and Crop Technology Pvt. Ltd. to increase focus on core businesses
Invested in Corn Drier facility at Shamirpeth, Andhra Pradesh
2008
Voted as ‘India’s Best Places to Work’ by Great Places To Work Institute
Divested Machete, Fastmix & Lasso to Sinochem India Company Private Limited to increase strategic focus on core
businesses. Today, MIL is sharply focused on its world-class products - Dekalb corn hybrid seeds and Roundup herbicide
businesses, that continue to be the number one choice of Indian farmers
Source: Company, MOSL
Revenue breakup for FY13 (%)
FY13
Others, 1
Agro
Chemicals,
34
Seeds
Business,
65
Revenue breakup for FY14E (%)
FY14E
Agro
Chemicals,
36
Seeds
Business,
64
Source: Company, MOSL
Source: Company, MOSL
22 April 2014
6
 Motilal Oswal Financial Services
Monsanto India
Dekalb: Strong Brand focus on market share gain
Monsanto operates through 100 year old brand called Dekalb acquired from Cargill in
1998 and it is India’s largest selling hybrid maize seed brand with 25% market share.
Monsanto has launched 7-8 hybrids in last 2 years leading of regain of market share
from players like pioneer and DuPont which are around 20-23% market each.
Monsanto India currently derives 40% of its revenues from products launched in last 2
years.
Aggressive launch of newer products has not only helped Monsanto gained market
share in FY14 but also helped to reduce the age profile of its portfolio from 10 years in
2009 to 8 years in 2013.
Operational efficiencies and consolidation measures have helped reduce seed write
offs to less than 7% of revenues from an average of 20% for last 3 years. Additionally
sales return has come down by 15% there by driving growth.
Monsanto has a very strong Rabi portfolio as compared to Kharif. The management
plans to aggressively roll out newer hybrids for Kharif going forward which has been
under development since last 3-4 years there by driving margins.
Entered hybrid corn with acquisition of Cargill
Monsanto started as Herbicide Company in India prior to 2000s. In 1998, Monsanto
global acquired Cargill’s international seed operations in central and South America,
Asia, Africa and Europe (excluding the UK) for USD1.4b as part of its strategy to
quickly spread the use of its GM seed worldwide. Monsanto Chemicals was a pure
manufacturer of agrochemicals. Monsanto Enterprises looked after the marketing
and distribution functions and was the marketing arm of the US parent with a
marketing and distribution infrastructure and rights for the entire range of parent's
products; while Monsanto India was the holding company of the group's operations
in India. Seeds and other biotechnology products were introduced through the
parent's 100% subsidiary, Monsanto Technologies. All this subsidiaries have now
been integrated with Monsanto Chemicals, which subsequently became Monsanto
India Ltd in 1999-2000. This restructuring was aimed at making Monsanto India an
“integrated agri-business company” and was formally put through in June 2000.
Restructuring done to focus on seeds business in 2008
Post consolidation, the company had branded seed products like DeKalb maize
hybrids (HiShell, AllRounder, Prabal, Sheetal, Double etc.), Asgrow sunflower hybrids
(SH3322, SH41, SH177, SH416, SH88 etc.), Frontline paddy hybrids (RH 257, RH664
etc.) in addition to Herbicides like Roundup (Glyphosate), Machete (Butachlor),
Leader (Sulfasulfuron) and FastMix (Butachlor). This consolidation also resulted in
promoters share increasing in listed Monsanto India from 40% to 72%. However,
during the fiscal year 2007-08, Monsanto India divested its Butachlor and Alachlor
businesses to Sinochem India Company Private Limited and Sunflower seeds
business to Devgen Seeds and Crop Technology Pvt. Ltd. Profits of INR458m from
some of these divestitures in 2007-08 significantly bolstered Monsanto’s net profit;
this was distributed to shareholders through a special dividend of INR180 per share
in 2008. Today, Monsanto had made Dekalb corn seeds and Roundup herbicide as
its core business in India, in addition to the biotech traits business
.
7
Consolidation also resulted
in promoters share
increasing in listed
Monsanto India from 40%
to 72%
22 April 2014
 Motilal Oswal Financial Services
Monsanto India
Decalb 100 year old brand, leader with 25% market share
Monsanto operates in hybrid corn segment through 100 year old brand called
Decalb acquired from Cargill in 1998. Dekalb® is India’s largest selling hybrid maize
seed brand renowned for its rich and diverse maize germplasm pool and enjoys 25%
market share with other players like Pioneer, DuPont having 22-23% each, Kaveri at
14% and Nuziveedu at 10% respectively. Monsanto currently has 17-18 hybrids and
sells across in 18 major states of India. Around 90% of the Corn is produced in 6-7
States namely TN, AP, Maharashtra, Gujarat, MP, UP, Rajasthan, Bihar for Rabi.
Monsanto India started launching its own product from FY08 onwards under the
DeKalb brand. In early 2000s Monsanto derived 80% of its revenues from herbicide
business, however post success of Decalb brand, seeds revenues now stand at 65%
of FY14 revenues for Monsanto with herbicide at 35%.
Monsanto continues to gain market share
Others , 5%
Nuziveedu , 10%
Monsanto, 25%
Dekalb® is India’s largest
selling hybrid maize seed
brand
Kaveri, 14%
Pioneer , 23%
Du Pont, 23%
Source: Company, MOSL
Hybrid maize introduction led to increase in Yield
Area (ha)
Production (MT)
Hybrid Maize
Introduced
Yield (kg/ha)
2,335 2,414
2,540
2,024
1,792
1,822
7
2,000
2,041
1,681
7
7
11
FY03
15
FY04
1,907
1,938 1,912
8
8
15
FY06
15
FY07
8
19
FY08
8
20
FY09
6
12
FY00
7
12
13
FY02
7
14
FY05
8
17
FY10
8
21
FY11
FY01
Source: Company, MOSL
Monsanto India has 7 R&D Seed Breeding Stations, Corn Seed Drying & Processing
Plant in Hyderabad, State-of-the-art QA Seed Testing Laboratory and AgroChem
facility, Silvassa. It also has more than 300 acreages of farmer land available for
breeding and around 40, 000 acres for seed production. It engages 21,000+ growers
for seeds production.
Monsanto acquired
leadership position with
more than 40% market
share in hybrid corn market
in early 2000s
22 April 2014
1999- 2007 – scaled up but 2007-2012 saw loss of market share
Post acquisition of Dekalb brand in 1998, Monsanto acquired leadership position
with more than 40% market share in hybrid corn market in early 2000s. Dekalb was
very strong brand with products like Dekalb 900M, Dekalb Super 900M, Dekalb
SUPERME, Dekalb lishell, Dekalb double, Dekalb prabhal and Dekalb Allrounder.
8
 Motilal Oswal Financial Services
Monsanto India
Amongst the entire portfolio Dekalb 900M, Dekalb Super 900M were the best
products in the portfolio with more than 70% market share in 2002-03, a testimony
of strong positioning of Monsanto in early 2000s.
However 2007-2012 saw a period of consolidation in market share for Monsanto
due to numerous factors like:-
1) Lack of investments in breeding in 2002-2007 hence lack of newer product
launches in 2008-2013, as it takes 5 years to launch a product. Eg: - Product
launched in 2008 is actually effort of last 5 years of R&D which includes crossing,
testing, etc.
2) Lack of MNC interest in bringing Germplasm into India.
3) Increased in competition intensity with companies like Syngenta, Pioneer,
Kaveri, Nuziveedu etc launching newer hybrid corn given success of BT Hybrid
cotton in India.
4) Non participation in lower end of hybrid corn market in the range of INR 60-80
per kg which has grown significantly in last 5 years especially in AP during the
Kharif season.
5) Focus on Rabi market which was more premium in nature as compared to kharif
which was more of lower price market.
6) Non participation in subsidy business which is currently around 25-30% of
overall corn industry. States like UP, Rajasthan, Gujarat and Karnataka (100%
subsidy) provides subsidy.
Non availability of right hybrids in South India affected market share
In 2007-08 maize gained popularity with farmers as a higher remunerative crop due
to its less water consumption, high yield, and good market price. Almost 83% of
Tamilnadu acreages were dedicated to corn production. Farmers affected by price
volatility in sugar cane, turmeric, and vegetables, switched to maize cultivation.
Also, Immediate liquidity in the market, store-and-sell facility, and high demand,
prompted TN farmers to increase maize cultivation in 2007-08. Continuous cropping
and congenial environment led to development of pests and diseases, especially like
Downy Mildew and Stalk Rot. Our channel checks with distributors and farmers
suggests, Monsanto lost market share in south India due to non availability of right
hybrids during increase in pests and diseases to the corn crop thereby losing market
share to competitors.
Downy mildew on plants
Almost 83% of Tamilnadu
acreages were dedicated to
corn production
Source: Company, MOSL
22 April 2014
9
 Motilal Oswal Financial Services
Monsanto India
Our checks suggest that in Andhra Pradesh during Rabi season some of Monsanto
hybrids didn’t perform well during cyclone in AP. While we understand some of new
launches in FY10 like DKC 9081 and DKC 9142 have done well but some others
weren’t able to withstand the cyclone as compared to competition whose hybrids
didn’t fall during cyclone. Also in central Karnataka due to increase in foliar diseases
like Rust, TLB etc performance of Monsanto hybrids was affected thereby leading to
market share loss.
New product launches to improve market share
Monsanto has launched 7-8
hybrids in last 2 years
leading of regain of market
share from players like
pioneer and DuPont which
are around 20-23% market
each.
While Monsanto India lost some market share from 39% in 2007 to 25% in 2013, the
company 2008 onwards started increasing its investments in breeding and exchange
of Germplasm from the parent. Our interaction with management suggests that the
increased investments since 2007 onwards has started seeing tangible benefits in
terms of newer launches since 2012. Monsanto has launched 7-8 hybrids in last 2
years leading of regain of market share from players like pioneer and DuPont which
are around 20-23% market each. Recently launched hybrids include DKC 9108, KC
9106, DKC 8101, DKC 9081, DKC 9120, DKC 9125 and DKC 9126.
22 April 2014
10
 Motilal Oswal Financial Services
Monsanto India
Monsanto product profolio
Sr No Brand Name
1
Dekalb® 900M Gold
Trait
For irrigated and assured rainfall conditions with good grain color
and good storing quality
For fertile soils with assured irrigation availability and good
management. Responds to good growing conditions and good
management.
For high fertile soils with irrigation facilities and good agronomic
practices. Pinnacle maize produce is known for high starch
content and very suitable for starch industrial use.
For consistent high yields, excellent grain color and good keeping
quality.
For irrigated and assured rainfall conditions with wide
adaptability. Its grain is rich in protein and oil and suitable for the
feed industry.
With high shelling percentage, this advanced hybrid maize has
attractive grain color and more protein percentage suitable for
poultry feed
Offers big cobs with good tip filling, is suitable for both grain crop
and green cob purposes and matures in 95-100 day
Utilizes soil moisture effectively as it has a deep root system, has
attractive grain colorand the ability to give good yields under
tough conditions
This is a stay green plant type with wider adaptability, consistent
high yields and cylindrical cobs with good tip filling
Desi type of grains with attractive grain color which matures in 90
days with good standability
For better yields even under less rainfall situations, has attractive
grain colorand can be stored for a longer time
This is a full maturity hybrid with high yielding potential,
attractive grain color and good keeping quality
For irrigated and assured rainfall conditions, excellent grain color,
robust cob size and good for storability
Good yields under less rainfall conditions and consistent
performance across soil types and varying agronomic conditions
New hybrid maize seeds for progressive maize farmers in Punjab
and Uttar Pradesh. While DKC 9108 is meant for the
spring
planting season
and DKC 9106 has been developed to suit the
May planting Kharif season
in the region for better productivity
With enhanced productivity, this new hybrid maize seed caters to
the Kharif season in Karnataka, Andhra Pradesh and Maharashtra,
suited for soil types with limited availability of utilizable water
Specially developed maize hybrid seeds for farmers who plant
maize in the rabi or dry season and need improved standability of
their maize crop
Specially developed maize hybrid seeds for farmers in Northern
States with irrigation on their lands
Before 2006
Year of Launch
FY07
Targeted States
NA
2
DKC 9081
FY10
Bihar
3
Dekalb® Pinnacle
Before 2006
NA
4
Dekalb® Super 900M
Before 2006
NA
5
Dekalb® Supreme
Before 2006
NA
6
Dekalb® I-lishell
Before 2006
NA
7
Dekalb® Double
Before 2006
NA
8
9
10
11
12
13
14
Dekalb® Prabal
DKC 9072
DKC 7074
DKC 972 plus
DKC 984
DKC 9099
Dekalb® Allrounder
Before 2006
Before 2006
FY07
NA
NA
NA
NA
NA
NA
NA
15
DKC 9108 and DKC
9106
2011
Punjab and Uttar Pradesh
16
DKC 8101
New Launches
2011
Karnataka, AP, Maharashtra
1
DKC 9120
2013
NA
2
DKC 9125
2013
Northern States
Source: Company, MOSL
22 April 2014
11
 Motilal Oswal Financial Services
Monsanto India
Some of the recent launches performance has been very strong
Brand
DKC 9081
Commentary
Developed specially to optimize yields in the rabi season in Bihar. In
its second year of cultivation in Bihar, this hybrid maize seed recorded
large growth and enhanced volumes as an ever increasing number of
progressive Bihar farmers took to its cultivation.
Developed to cater to the Kharif season in Karnataka, Andhra Pradesh
and Maharashtra. Farmers rewarded Dekalb® with a 5x volume
growth for the hybrid in FY13 over FY12.
Developed for farmers in Punjab and Uttar Pradesh.
States
Bihar
DKC 8101
DKC 9108
Karnataka, AP,
Maharashtra
Punjab and UP
Source: Company, MOSL
Strong marketing initiative assist in brand recall
Brand
DKC 8101
Dekalb Hishell
Dekalb 9120
Campaign name
Hero
Guru
Pehelwaan
Region
Maharashtra
North
Bihar
Source: Company, MOSL
Improving age profile of portfolio to help accelerate growth
Monsanto India currently
derives 40% of its revenues
from products launched in
last 2 years.
Monsanto India currently derives 40% of its revenues from products launched in last
2 years. Also the aggressive launch of newer products has not only helped Monsanto
gained market share in FY14 but also helped to reduce the age profile of its portfolio
from 10 years in 2009 to 8 years in 2013. Management has guided that it plans to
further reduce this to 6 years over next 2-3 years indicating aggressive product
launches and phasing out of older products going forward.
Rollout of kharif hybrids to philip market share gains further
Our checks suggest that Monsanto has a very strong Rabi portfolio as compared to
Kharif. This is also endorsed from the fact that Monsanto has a strong footing in
states like Bihar, UP and Maharashtra which have higher proportion of corn grown
during rabi and is weaker in South India which is a large Kharif market specially AP,
TN and Central Karnataka. The management plans to aggressively roll out newer
hybrids for Kharif going forward which has been under development since last 3-4
years thereby helping to improve their market share positioning.
Inventory forecasting helped reduce sales returns and write offs
All the corn companies
need to have around 6-9
months of inventory before
the start of the season
Inventory forecasting is the most important element for improving margins in corn
segment. Corn has a shelf life of 1 year as compared to cotton of 3 years. Also all the
corn companies need to have around 6-9 months of inventory before the start of
the season. Hence if the inventory comes back from the trade channels and
distributors then almost 50-70% of the inventory doesn’t germinate leading to
companies taking a write off the same.
However over last few years Monsanto with a view to gain greater operational
efficiencies decided to consolidate seed processing operations at Hyderabad from
Bellary and Eluru. This has resulted in better operation controls, inventory
management and reduction in operational cost. It offered a location advantage for
transport availability and economical dispatches of finished goods, resulting in
substantial cost savings. Also by closing down the Eluru drier facility and the Bellary
22 April 2014
12
 Motilal Oswal Financial Services
Monsanto India
Seed Conditioning unit we were able to make significant workforce related savings.
Also in case of overproduction the company now takes a prudent step to sell off the
grain directly instead of converting it into a seed and then taking a hit. All these
measures has helped reduce seed write off to less than 7% of revenues from
average of 20% for last 3 years and reduction of sales return by 15%.
FY14 witnessed a stellar performance
Corn is a 120 day crop but
over last few years many
farmers use hybrids to
cultivate 90 day crop
thereby leading to increase
in acreages
FY13 saw pressure on maize acreages on account of delayed rainfall and drought in
key maize growing markets of Maharashtra and North Karnataka thereby impacted
Kharif sales. However FY14 saw robust growth of 36% topline growth 9MFY14 over
9MFY13 primarily due to strong kharif and Rabi season due to increase in acreages
for corn due to higher global corn prices, strong rainfall and lower base effect of last
kharif season. Also corn is a 120 day crop but over last few years many farmers use
hybrids to cultivate 90 day crop thereby leading to increase in acreages. Eg: - In
north India, farmer produces cotton in kharif and potatoes in Rabi and in between
kharif and Rabi produces corn in 90 days.
Hence due to lower sales return and write offs in FY14 due to strong kharif and rabi
season, improvement in product mix in favour of single cross has helped Monsanto
improved margins significantly from 18.2% in 9MFY13 to 28.1% in 9MFY14 marking
an improvement of 10%.
Share of Rabi on increasing
trend…
Currently Rabi contributes
around 35% of volumes and
50% of value and Kharif
contributes 65% of volumes
and 50% of value.
Over last few years with improvement in irrigation facilities, better corn realization
acreages for corn production in rabi has been on an increasing trend. In 2008
around 85% of the corn sales were in kharif season while now it contributes around
65%. However currently Rabi contributes around 35% of volumes and 50% of value
and Kharif contributes 65% of volumes and 50% of value.
Most of Rabi corn is single cross thereby improving margins
Rabi corn seeds are largely single crossed and are sold low in volumes and high in
value and are more profitable. While Kharif corn seeds are 2 way and 3 way crossed
seeds and are more in volume and lower in value, hence lesser profitable. Over last
2 years most of the newer hybrids launched by Monsanto has been single cross in
nature. Also over last 2 years the share of single cross in Monsanto portfolio has
increase to around 40%. We believe that with increase in Rabi hybrid corn share the
share of single cross is likely to increase thereby leading to significant increase in
margins for Monsanto in the corn segment.
22 April 2014
13
 Motilal Oswal Financial Services
Monsanto India
Public-Private Partnership (PPP)
MIL participates across 6 states for PPP viz. Uttar Pradesh, Jammu & Kashmir,
Maharashtra, Odisha, Jharkhand & Uttranchal
Key Highlights of PPPs across states:
Hybrid Maize Yield Enhancement Program, Uttar Pradesh
Aims to improve crop yields, income, and thus, transform the lives of thousands
of maize farmers in Uttar Pradesh.
Knowledge on agri inputs and practices are shared at farmer education
programs, live crop demonstrations conducted, and information disseminated at
state-exhibitions and village-level exhibitions/fairs to progressive farmers and
farming groups.
Farmers gained access to quality inputs including Dekalb® maize hybrid seeds, as
well as the latest agronomic practices.
The project benefited 40,000 farmers from 23,000 households in 1,500 plus
villages
The average yield increased by 6-7 quintals per acre and farmers now earn
approx. INR6,000 – INR7,000 incremental income.
Improving Maize Productivity through Hybridization, Jammu & Kashmir
This project aims to transform over 25,000 maize farmers’ lives across 1,214
villages in eight districts in Jammu & Kashmir by improving crop productivity.
In coordination with Department of Agriculture, our Field Team conducted crop
demonstrations enabling farmers to increase yields by approx. 40-65% per acre.
Farmers now earn approx. INR5,000 – 6,000 incremental income per acre.
Maize hybrid seed usage is up 25 per cent from 15 per cent in the past with
better agronomic practices. Improved farmer income has set positive trend for
maize in the State.
Integrated Agriculture Development, Maharashtra
In 2012, MIL participated in Buldhana and Nandurbar districts of Maharashtra to
improve productivity of 5,000 farmers on approx.
4,000 acres through better seeds and agronomic practices
Farmers benefitted from sharing of knowledge related to right plant spacing,
better inputs and crop management, and despite deficient rainfall, yields
increased by 6-10 quintals per acre over earlier years
The project has been extended to five-fold cover 25,000 acres in 2013
PPP to Increase Maize Productivity through Hybridization, Odisha
Under the Rashtriya Krishi Vikas Yojana (RKVY), MIL partnered the Department
of Agriculture in a project to offer maize growing as a choice to 5,746 farmers in
459 villages in 4 districts (Balangir, Nuapada, Sonepur and Gajapati) in 2012-13.
The team conducted 238 Farmer Awareness and Education Programs along with
NGO partners and District Agricultural authorities, and maintained continued
farmer connect, enabling improved farm performance
Average farmers’ yields doubled with Dekalb® maize hybrid seeds, i.e. 1.5 – 2
tons per acre from 0.8-0.9 quintals per acre with open pollinated varietal (OPV)
seeds, enabling farmers to earn additional income of INR6,000-7,000 per acre.
22 April 2014
14
 Motilal Oswal Financial Services
Monsanto India
PPP to Increase Maize Productivity through Hybridization, Jharkhand
Under Rashtriya Krishi Vikas Yojana (RKVY), we were chosen by the Department
of Agriculture, Jharkhand to participate in a project to increase productivity by
popularization of maize hybrid seeds in 5 districts - Gadhwa, Palamau, Latehar,
Lohardagga and Ranchi
We outreached to 6,671 farmers in 159 villages through 230+ farmer awareness
and training programs, and 145 harvest day events
Our dedicated
Field team show cased Dekalb® maize hybrid seeds’ yield superiority and
enabled farmers to yield 1.8-2.0 tons per acre.
Additionally, favourable market prices enabled farmers to earn incremental
income of INR5,000 – 7,000 per acre.
Project Drishti, Uttaranchal
Project Drishti encouraged farmers in Uttaranchal to upgrade from open
pollinated varietal (OPV) seeds to maize hybrid seeds, and educated them on
improved agronomic practices towards increasing income and quality of life of
300 farmers in 91 villages.
The team outreached to 575+ farmers across four districts through crop
demonstration activities.
Crop yields increased by 50 to 100 per cent with maize hybrid seeds compared
with OPV cultivation, and farmers earned incremental income of INR5,000 –
7,000 per acre.
By way of the above Public- Private Partnerships (PPPs), we have contributed in
making a positive difference to approx. 1 lakh farmers.
Additionally, we engaged with the State governments in Rajasthan and Madhya
Pradesh under various initiatives to extend better quality products and create
shared value for over two lakh farmers in these States.
22 April 2014
15
 Motilal Oswal Financial Services
Monsanto India
Testimony by the farmers
Name
Sunil Bhaskar
Kankde,
Region
Aurangabad, Maharashtra
Testimony
My farm yielded 35 quintals per acre (7-8 quintals per acre higher than last year) with
Dekalb® 900M Gold
hybrid maize seed in the Rabi season. Although I was using
hybrid seeds, I knew that the right information on how to plant these, as well how to
manage the crop life through DDFC which helped immensely, as assistance was just a
call away. Since they had exact information on my region and its agricultural facets,
the advice they gave was topical, relevant and highly specialized. I feel this is yet
another blessing for us farmers.
I cultivate Maize on my 5 bigha rain-fed land. Earlier, I used to produce 1.5 quintals
per bigha of Maize from OPV (Open Pollinated Varieties) seeds. This harvest was
sufficient only for personal consumption. Ever since I started using Dekalb®’s
DKC-
7074
seeds, I have been able to produce 40 quintals in 5 bigha land which is about 8
quintals per bigha and a gain of 6.5 quintals per bigha. My economic conditions have
improved significantly and my family is enjoying the fruit of this progress. From the
additional income I have earned over the last 2-3 years, I have dug a well, purchased
agricultural equipment and a buffalo and sent my children to a good private school.
Further, Maize plants have provided enough green fodder for cattle which has led to
increased savings. My future is secure and my family and I are elated
“I participated in one of Monsanto’s farmer meetings conducted in my village. The
demonstrated success of Dekalb® hybrid maize seeds led me to choose
Dekalb®
900M Gold
on two of my 5-acre farm. By employing the right agronomic practices as
guided by the Monsanto team, I got superior yields of 40 quintals per acre as
compared to 28 quintals from other seeds used earlier. The excellent grain colour of
the produce fetched an additional premium of INR50 per quintal, translating to a
total incremental benefit of over INR12,000 per acre.
“I have been using Dekalb® hybrid maize seeds for almost ten years now, which
stabilized my financial position. This year, on the advice of the MIL team, I sowed
DKC 9081 and Dekalb® 900M Gold in 10 acres of my 12 acre farm. The results were
outstanding. I got 34 quintals per acre from
Dekalb® 900M Gold
and 39 quintals per
acre from DKC 9081. Despite the irregularities in weather this season, the yield from
my farm was significantly higher than other farmers in my village who did not use
Dekalb® seeds. My additional income has helped me send my brother to an
engineering college, arrange the marriage of two of my sisters and buy a four-
wheeler.”
Dekalb™ 900m gold has helped me get 3 times higher yield of 49.7 quintals per acre
versus only 16.6 quintals per acre from other hybrid seeds that I planted on three
acres of my farm.
Dekalb™ 900m GOLD
is better than other seeds as it gave me
higher yields, and higher income due to superior quality of corn which fetched me a
good market price. I earned an income of inr 32,814, which is 5 times higher than
what i earned in the other three acres combined.
Sudhanshu Singh, a 48 year old Engineer, is a farmer with 150 acres of farmland and
believes in progressive farming techniques. He grows maize on 80 acres of his farm
and has always used Dekalb® hybrid maize seeds, because of the quality of crop and
the increasing yields he gets. From the resultant cash flows, he has invested in a
combined tractor and maize harvester to further enhance the level of mechanization
on his farm
I have been the Sarpanch of this village for over 45 years and I have witnessed
unparalleled prosperity for the entire village with Project Sunshine. Earlier many of
our villagers used to migrate to cities to look for work, but now, they are investing
their time and effort in agriculture in their own village and reaping spectacular
returns. Our quality of life has improved. I am glad that this dream of mine has come
true in my lifetime.
3 years ago, our farming was unsystematic and yields were inefficient and
insufficient. Then, two things happened. First, I was introduced to Project Sunshine
and decided to start cultivating maize on a large part of my 3 acre farm. Not only did
we get seeds, fertilizer and other inputs to start with, but also proper training in
farming techniques, such as guidelines on row-spacing and proper and timely
nutrition for plants. The result is taller plants, bigger cobs, good color, excellent grain
quality and a much higher yield. We now get 30% higher prices than conventional
maize.
Source: Company, MOSL
Punam Chand
Kasotia
Adol Village, Jhadol Tehsil,
Rajasthan
Bapurao
Shevantrao
Shinde
Silod, Aurangabad, Maharashtra
Mohammad
Nanhe
Balthirasulpur village,
Muzzafarpur, Bihar
Not Given
Not Given
Sudhanshu
Singh
Nayanagar, Samastipur, Bihar
Surpalbhai
Bihar
Pratapbhai
Maharashtra
22 April 2014
16
 Motilal Oswal Financial Services
Monsanto India
Hybrid Corn at an inflection point
India’s maize yields are half of the world average, with India’s yield at 2.47 tons/ha in
comparison with the world average yield of 5.14 tons/ha.
Farmers choosing maize hybrid seeds have contributed to increasing maize production
by approximately 93 per cent in the last 11 years.
In India 6-7 states contribute 90% of the corn production. Major crop producing States
are TN, AP, Maharashtra, Gujarat, UP, Rajasthan and Bihar.
Around 52% of the corn production is used for poultry feed, 24% in Food, Cattle food
and Starch 11% each. 60% of the raw material of poultry feeds consists of maize.
In 2013 production of corn in India was 23MT while consumption was 18.9MT and
management believes that in next 3 years demand for corn will outstrip its supply.
Hybrid maize a boon to farmers
Hybrid penetration is still at
the nascent stage with only
60% of the production is
under hybrids
Hybrid penetration is still at the nascent stage with only 60% of the production is
under hybrids. Overall Hybrid Market in India is estimated to be around INR9,000cr.
Out of which Cotton is 3600Cr, Corn 1200-1400Cr, Rice 500-600Cr, Vegetable
2000Cr. Even though farmers choosing maize hybrid seeds have seen increase in
maize production by approximately 93 per cent in the last 11 years (22.50 million
tons in 2012-13 from 11.15 million tons in 2002- 03) India’s maize yields is just half
of the world average, with India’s yield at 2.47 tons/ha in comparison with the world
average yield of 5.14 tons/ha. In the next 5 and 10 years India’s domestic demand
for maize is forecasted to outstrip supply. It is expected that maize production will
rise to 30MT in 2017 showing a robust growth of 36% while with the period of next
9 years it is expected that the production will double to 44MT by 2022.
Hybrid corn penetration relatively high in developed countries
94%
% of Crop in Hybrid
88%
86%
85%
75%
60%
35%
Canada
USA
SA
Argentina
Brazil
India
Global
Source: James 2012, MOSL
22 April 2014
17
 Motilal Oswal Financial Services
Monsanto India
Yield per hectare is low in India compared to Global average of 5.14 (tons/ha)
Area (thousand hectares)
2.30
1.94
2.41
Yields (tons/hectare)
2.53
2.01
2.47
2.55
2.47
1.89
1.94
7,500
2004
7,600
2005
7,800
2006
8,260
2007
8,170
2008
8,330
2009
8,600
2010
8,800
2011
8,710
2012
9,500
2013
Source: Ministry of Agriculture, MOSL
Hybrid Market in India at around ~9000Cr
INR Cr
1,400
2,000
1,400
3,600
600
9,000
Cotton
Corn
Rice
Vegetable
Others
Total Hybrid
Market
Source: Company, MOSL
Area under cultivation for Other Crops (‘000 hectares)
Crop
Corn
Sorghum
Barley
All Wheat
Rice
Soybean
Groundnuts
Rapeseed
Sunseed
Cotton
2004
2005 2006 2007 2008 2009
2010 2011 2012 2013
7,500 7,600 7,800 8,260 8,170 8,330
8,600 8,800 8,710 9,500
9,100 9,000 8,510 7,930 7,530 7,500
7,060 6,330 6,300 6,300
750
755
700
770
750
780
620
780
770
780
26,620 26,500 26,400 28,000 28,150 27,750 28,460 29,070 29,860 29,400
42,300 43,400 44,000 43,770 45,400 41,850 42,860 44,100 42,410 44,000
7,990 7,800 8,120 8,800 9,600 9,600
9,300 10,270 10,800 12,220
6,800 6,860 5,910 6,500 6,400 5,300
6,000 5,300 5,000 5,500
7,150 7,380 6,640 5,700 6,600 6,450
7,250 6,600 6,750 6,800
2,300 2,410 2,145 1,630 1,530 1,400
760
735
800
830
8,786 8,873 9,166 9,439 9,406 10,310 11,140 12,200 11,800 11,800
Source: Ministry of Agriculture, MOSL
Yields (tons/hectare; except cotton kilos lint/hectare) for Other Crops
Crop
Corn
Sorghum
Barley
All Wheat
Rice
Soybean
Groundnuts
Rapeseed
Sunseed
Cotton
2004
1.89
0.8
1.73
2.71
1.97
0.73
1.03
0.91
0.53
471
2005 2006 2007 2008 2009 2010 2011 2012 2013
1.94 1.94
2.3 2.41 2.01 2.53 2.47 2.55 2.47
0.85 0.84
1.0 0.96 0.89 0.99 0.95 0.84 0.92
1.59 1.74 1.73
1.6 2.17 2.18 2.13
2.1 2.23
2.59 2.63 2.71 2.79 2.91 2.84 2.99 3.18 3.14
2.11 2.12 2.21 2.18 2.13 2.24 2.39 2.46 2.41
0.9 0.95 1.08 0.95 1.01 1.05 1.07 1.06 0.94
0.92 0.91 1.05 0.98 0.92 0.98 1.04
1 1.09
0.95 0.87 0.96 1.02 0.99 0.98 0.94 1.01 1.03
0.64
0.6 0.69 0.65 0.59 0.92 0.84 0.88 0.88
467 518 554 523 503 516 491 489 572
Source: Ministry of Agriculture, MOSL
22 April 2014
18
 Motilal Oswal Financial Services
Monsanto India
Production (‘000 MT; except cotton in 480 pound bales)
Crop
Corn
Sorghum
Barley
Wheat
Rice (Milled)
Soybean
Groundnuts
Rapeseed
Sunseed
Cotton
2004
14,180
7,240
1,300
72,150
83,130
5,850
7,000
6,500
1,224
19,000
2005
14,710
7,630
1,200
68,640
91,790
7,000
6,300
7,000
1,550
19,050
2006
15,100
7,150
1,220
69,350
93,350
7,690
5,385
5,800
1,280
21,800
2007 2008
18,960 19,730
7,930 7,250
1,330 1,200
75,810 78,570
96,690 99,180
9,470 9,100
6,800 6,250
5,450 6,700
1,120 1,000
24,000 22,600
2009
2010
2011 2012
2013
16,720 21,730 21,760 22,230 23,500
6,700
7,000 6,030 5,300
5,800
1,690
1,350 1,660 1,620
1,740
80,680 80,800 86,870 94,880 92,460
89,090 95,980 105,310 104,400 106,000
9,700
9,800 11,000 11,500 11,500
4,900
5,850 5,500 5,000
6,000
6,400
7,100 6,200 6,800
7,000
820
700
620
700
730
23,800 26,400 27,500 26,500 31,000
Source: Ministry of Agriculture, MOSL
Globally Corn is the most widely grown crop
Maize is the most grown crops globally. It ranks 1
st
in terms of total global
production. Maize is majorly used as animal feed and industrial usage of starch. In
terms of international trade America has surplus corn and hence it is a net exporter
of maize. Europe, Ukraine, Russia and Australia have net deficit. In Asia China, Japan,
Korea and most of the other ASEAN countries are net importers. Management
believes that India will have surplus corn will be able to export for another 3-4 years.
Post which due to increase in consumption, demand will outcast the supply and it
will become net importer of corn.
Worldwide Corn Production (mt)
Canada South
2% Africa
Mexico
1%
2%
India Argentina
2%
3%
Ukraine
3%
EU
7%
Brazil
7%
Worldwide Corn Consumption (mt)
Others
14%
US
37%
Indonesia
1% Egypt
Canada
1% Japan 1%
2%
India
2%
Others
21%
US
32%
China
22%
Mexico
3%
China
23%
Brazil EU
6% 8%
Source: USDA, MOSL
Source: USDA, MOSL
India on of the largest consumer of corn
As per the KPMG estimates,
India will require 40-45MT
of corn in next 15-20 years.
6-7 states contribute 90% of
the Corn production in India
Every year population is increased by 2crore. It’s like adding Australia every year.
Also as the disposable income rises there will substantial change in consumption
pattern. People will more of Dairy products, Meat/Fish/Eggs, Fruits, Edible oil etc
and less of Rice and Wheat. Also for every Kg of meat you need 6Kgs of grain. Hence
requirement for corn will increase substantially. India is the world’s 6
th
largest
consumer of maize. As per the KPMG estimates, India will require 40-45MT of corn
in next 15-20 years. We currently have farmer base of ~8m who produce corn of
22MT in the field spread of 8.5m hectares. Farmers are choosing maize hybrid seeds
on 60% of India’s maize areas. Also 6-7 states contribute 90% of the Corn production
in India. Major crop producing States are TN, AP, Maharashtra, Gujarat, UP,
Rajasthan and Bihar. Also; Maharashtra, Gujarat, Punjab, Haryana and UP support
field trials for GM corn while Bihar and Tamil Nadu government are currently
opposing field trials. However after elections things are expected to improve. No
moratorium is received for field trail.
19
22 April 2014
 Motilal Oswal Financial Services
Monsanto India
5 States contributing 65% of the total corn production in India
AP
22%
Others
35%
Karnataka
16%
Maharashtra
8%
Rajasthan
8%
Bihar
11%
Source: Ministry of Agriculture, MOSL
Major Corn producing states
Source: Government of India, MOSL
Most of the Corn is consumed in Poultry
Around 60% of the raw
material of poultry feeds
consists of maize
Indian Poultry has recorded a growth rate of 12% per annum for the past 20 years.
Poultry feed cannot be thought of without Maize, be it by quantity or quality.
Around 60% of the raw material of poultry feeds consists of maize. Due to
hybridization in maize, there is significant enhancement in quality and quantity,
which is also reflected in chicken production.
22 April 2014
20
 Motilal Oswal Financial Services
Monsanto India
Poultry biggest consumer of corn
Cattle Food, 11%
Starch, 11%
Seed, 1%
Food, 24%
Brewery, 1%
Poultry, Pig, Fish,
52%
Source: Directorate of Maize Research, MOSL
India’s 5 yearly Corn Production & Consumption pattern has moved in
tandem
India’s 5 yearly production and consumption pattern has shown a similar trend from
1960 to 2010; except the period from 1975 to 1985 where consumption grew at a
higher rate than production. India is been able to produce as much as it is
consuming however since past decade India is outgrowing its consumption
requirement mainly due to higher penetration of hybrid corn resulting in higher
yields. In 2010 production of corn was 21.7mt while consumption was 18.1mt.
Similarly in 2013 production was 23mt while consumption was 18.9mt.
India’s 5 yearly Production pattern
Production (in MT)
9.2%
6.2%
4.8%
3.3%
7.3
0.0%
4.1
4.8
7.5
-0.6%
7.0
-0.8%
6.6
9.0
9.5
1.2%
-0.9%
12.0
4.1%
14.7
21.7
0%
-4%
7.5 6.2
3%
5 year CAGR
8.1%
India’s 5 yearly Consumption pattern
Domestic Consumption (MT)
9%
6%
2%
1%
0%
4.9
6.8
7.0
9.3
9.5 12.0 14.2 18.1
5 year CAGR
5%
5%
4%
4.3
1960 1965 1970 1975 1980 1985 1990 1995 2000 2005 2010
1960 1965 1970 1975 1980 1985 1990 1995 2000 2005 2010
Source: Ministry of Agriculture, MOSL
Source: Ministry of Agriculture, MOSL
Depletion in water levels is a key concern
Water availability is a major limiting factor in productivity. There has been a major
depletion in the water levels since 2002. Hence micro irrigation will play a major role
in overall development of agriculture. Even building a dam is a challenging task due
to NGO protest and other political issues. The following chart clearly exhibits that
since 2002 there has been a substantial depletion of water levels especially in key
agricultural states in North India.
22 April 2014
21
 Motilal Oswal Financial Services
Monsanto India
Change in water levels in India from 2002-08
Source: Company, MOSL
% of land irrigated in various crops
Crop (in order of area)
Rice
Wheat
Oilseeds
Of which Soyabean
Pulses
Fruits and Vegetables
Jowar and Bajra
Cotton
Corn
Sugarcane
Production
(MT)
104
94
30
12.3
17.2
232
16
35
21.5
358
Yield
(kg/ha)
2,372
3,140
1,135
1,207
694
NA
908
491
2,476
70,317
Yield of Key Country
Irrigation
(kg/ha)
China : 6,590
58%
China : 4,748
92%
NA
26%
US: 2,957
1%
NA
16%
NA
NA
NA
9%
US: 920
36%
US: 920
21%
Brazil: 80,234
94%
Source: Company, MOSL
Land required for same output has reduced multi folds
. In 1950s 353.7sq.mts were
required to produce 100kgs
of corn which has reduced
to mere 96.4sq.mts in 2009
The land required to produce same amount of corn has reduced significantly due to
modern farming techniques and especially sowing of hybrid variety of corn in past
few years. In 1950s 353.7sq.mts were required to produce 100kgs of corn which has
reduced to mere 96.4sq.mts in 2009. It is estimated that this will further reduce the
just 53sq.mts by 2030. This improvisation is possible due to hybridization of corn.
22 April 2014
22
 Motilal Oswal Financial Services
Monsanto India
Reduction in amount of land required for same output
Source: Company, MOSL
22 April 2014
23
 Motilal Oswal Financial Services
Monsanto India
Monsanto Farm Agvisory Services (MFAS) & Dr. Dekalb
Farm Care Service (DDFC) – Differentiated model
Launched in 2010, MFAS is a service which offers timely and customized crop
management advisory to enable maize, cotton and vegetable farmers to enhance farm
yields and profitability.
It currently has 1mn farmers connected with presence in 16 states across 7 languages.
Other companies like Pioneer etc and government agencies tried to replicate this
model through outsourcing model but have unable to get breakthrough.
MIL provides a toll free number 1800 3000 0303 after purchase of any Dekalb® maize
hybrid seeds packet and is operational 365 days from 7am to 9pm.
MIL has opened the free advisory centre in Malad, Mumbai, for farmers where 40 agro
experts are employed to assist the farmers.
DDFC farmer enrolment rose 32% YoY, at 3.5+ lakh farmers in 2012-13 up from 2.65
lakh farmers in 2011-12
MFAS – Key Differentiator
1mn+ farmers connected
Present in 16 states
across India
MIL launched Monsanto Farm AgVisory® Services (MFAS) in 2010 leveraging on high
penetration of mobile phones in the villages. This is an innovative service which MIL
is offering to lure the farmers and educate them on crop management. Already 1mn
farmers are connected and using the services fruitfully. It has been launched in 16
states and across 7 different languages targeting most geography in India. The
program has resulted in higher yield for farmers and in turn this has increased the
brand loyalty. Our interaction with management suggests that this has been created
with significant amount of investments over 5 - 6 year period. We also learn that
some of the other companies like Pioneer etc tried to replicate this model through
outsourcing model but have unable to get breakthrough.
Key Features of MFAS
Assisted by 7 different
languages
MFAS is built on a highly sophisticated IT software system, which assists
qualified and trained MFAS Advisors to identify the farmer’s query, consult the
comprehensive technical advisory system, and present the solution to him
instantly, mostly, on a single call.
The toll-free number works for 365 days from 7 am to 9 pm, giving live solutions
to any crop related query of the farmer.
MFAS offers two distinctive services which provide timely and customized
advisory to the farmer round-the-season helping him get immediate solutions to
his farming queries.
Various advisory service offered through MFAS
Inbound advisory
Suitable seed selection
Timely agronomic practices for fertilizers,
Pest-disease and weed management
Outbound advisory
Regular voice based crop advisories and alerts
throughout the season
Timely alerts on crop management
Hybrid recommendation
Weather forecasts
Local mandi prices
Source: Company, MOSL
24
22 April 2014
 Motilal Oswal Financial Services
Monsanto India
Dr. Dekalb Farm Care Service
DDFC is dedicated Maize Crop Advisory Service under the MFAS umbrella. The Dr.
Dekalb Farm Care (DDFC) service, a customer-connect innovation introduced in
2010-11 to forge stronger farmer alliances, is a revolutionary new step in
Monsanto's engagement with farmers. The objective of DDFC project was to collate
and provide information to uneducated and less aware farmers. It was initiated in
May 2010. Success of DDFC lies in the agronomic knowledge of scientists which they
are able to share it with the farmers through this platform. Mobile will play a very
important role in communicating to farmer about Dekalb. In India Agronomics plays
a big role. In West due technological advancement farmer are more knowledgeable.
Indian farmers will be educated through mobile. MIL has opened the free advisory
centre in Malad, Mumbai, for farmers where 40 agro experts are employed to assist
the farmers. Currently MIL is servicing ~1mn farmers across the country through
their toll free number free of cost. However management believes that MIL might
be able to charge nominal amount but with that even the cost won’t be recovered,
on the other hand this type of services brand loyalty is improved resulting in higher
sale.
How does DDFC work?
It seeks to reach farmers in need of sustainable, timely agronomic knowledge. The
helpline answers a wide range of farm and crop management related questions.
With offerings ranging from one-on-one advice, information about MIL's hybrid
maize seeds and other crop management updates, this service helps farmers to
improve farm yields, while conserving resources. DDFC service improved yields,
reduced risks and boosted farmer confidence.
A toll-free number and contact centre has been set up, where farmers call to seek
advice on farm issues. Since a detailed database is maintained, the advice given to
farmers is not generic, but specific to their needs and farm conditions. Proactive
messages are delivered to the farmer's mobile phone, in their language, on best
practices on crop management. Additional information like weather forecasts, local
market prices for commodities, information on new hybrids and customer schemes
are also shared.
How data collection happens?
The DDFC team collects comprehensive information on farms and crop
management. With its advanced and innovative D-Tool (Diagnostic Tool) and Farmer
Expert Panel, it provides solutions on nutrient deficiency of soils timely control of
pests and diseases, recommendation on weedicide thus aiding in conservation of
resources and enhancing yield. DDFC drives on holistic crop management advisory
from its extensive research.
Ease of access to farmers
Register with DDFC on the toll-free number 1800 3000 0303 after purchase of
any Dekalb® maize hybrid seeds packet
Maintains a detailed database of each farmer.
Provides a toll free number with a simple assist directly to the DDFC advisor in
the preferred language of the farmer.
25
22 April 2014
 Motilal Oswal Financial Services
Monsanto India
DDCF provide opportunity to understand the ground reality
Having a wide reach to farmers, through DDFC MIL has been able to acquire some
significant ground realities. Owing to this platform MIL is able to reach to farmers
directly and get first hand information on their experience and problems. Direct
reach enables them to find a suitable solution for every farmer which differentiates
them from the competitors. MIL has already derived some interesting findings
through recent surveys which have led to effective decision making by the
organization. The platform is well integrated with field efforts and even though it is
centrally controlled, the effectiveness, to a large extent, is driven from the field,
enabling MIL to leverage and synergize efforts.
How do farmers take decisions?
An internal research by Monsanto indicates that farmers base their farming
decisions on information received from peers or input dealers. MIL provides farmers
with after-sales services where experts educate farmers about agronomic practices
to help them realize better yields. Information provided by DDFC’s helpline assists
farmers in access to comprehensive and specialized information on farm and crop
management. The handholding of farmers through the critical stages of the product
usage has helped improve farm yields, conserve resources and boost confidence.
Farmer households obtaining information from various sources (%)
Others, 22.8
Government
demonstrations, 2
.1
Credit agency, 1.9
Village fairs, 2
Output buyers/
food
processors, 2.3Primary
Extension
Cooperative
workers, 5.8
Society, 3.6
Other progressive
farmer, 16.8
Input dealers, 13.2
Radio, 13.1
Television, 9.4
Newspapers, 7
Source: MOSL, Company
Rural mobile penetration assisted the popularity
By 2014, the wireless
subscriber base is expected
to reach ~1 billion of which
468 million will be rural
subscribers
Mobile penetration in rural India is vital tool for the success of DDFC. By 2014, the
wireless subscriber base is expected to reach ~1 billion of which 468 million will be
rural subscribers. With such a wide reach MIL is able to provide unique services. It
establishes user identity and hence enables personalized content delivery. Using the
mobile as a medium, MIL connects and provides various services to farmers.
The Success Story
DDFC farmer enrolment
rose 32% YoY, at 3.5+ lakhs
farmers in 2012-13
DDFC was awarded a Silver Prize at Monsanto Sustainable Yield Global Pledge
Awards in 2010
DDFC farmer enrolment rose 32% YoY, at 3.5+ lakh farmers in 2012-13 up from
2.65 lakh farmers in 2011-12
22 April 2014
26
 Motilal Oswal Financial Services
Monsanto India
Roundup sales to grow on increasing use of
herbicides
Weeds are plants which can cause yield losses up to almost 60% of the crop potential.
Farmers in India have been using manual labor to pull out weeds which is labor
intensive.
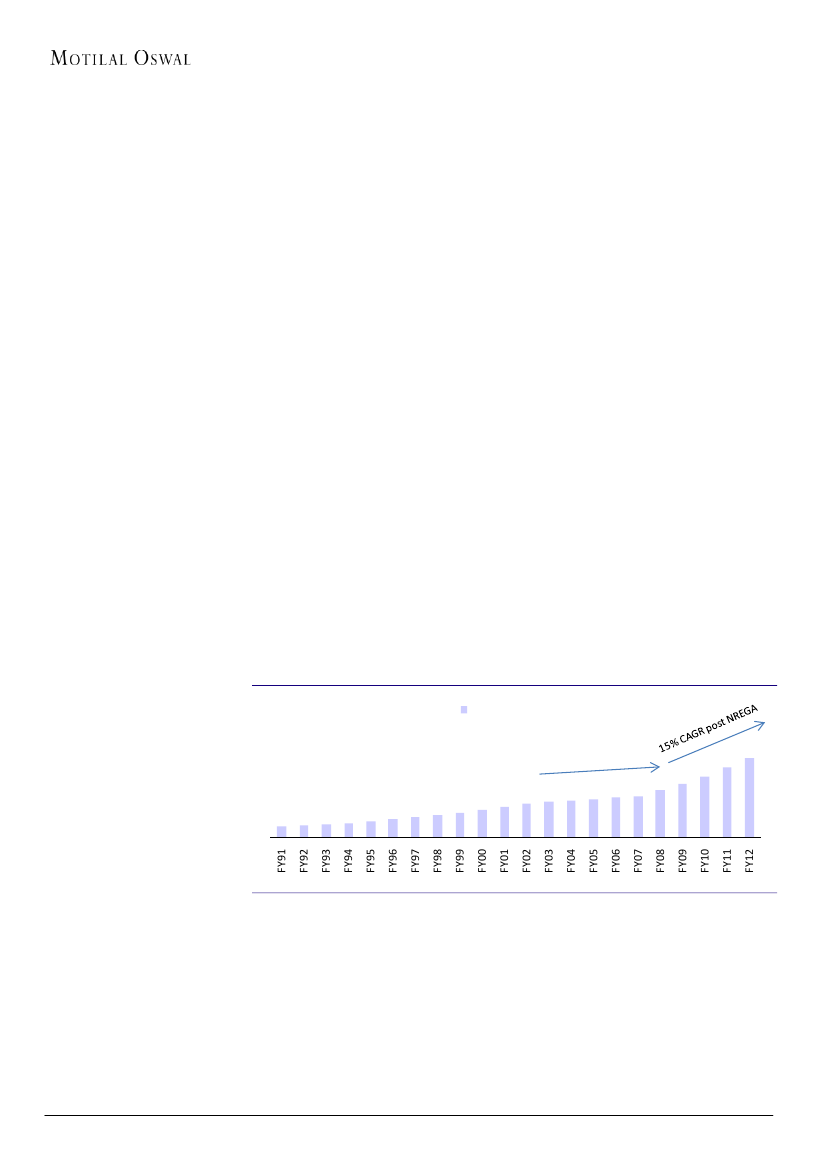
Labor shortage, rising wages due to NREGA implementation (15% CAGR in wages post
FY08) and rising urbanization trends have accelerating demand for herbicides.
Herbicides market in India is highly underpenetrated with its share in agro-chemicals
standing at 20% as against global standards of 48%.
Glyphosate is a leading safest herbicide and accounts for 30% of global herbicide sales
and 70% of Indian herbicide sales.
Monsanto has a ~60% market share in the global USD5.4b glyphosate industry and
~25% market share in the Indian INR8b glyphosate industry selling products under the
‘Roundup’ brand.
Post expiration of Monsanto’s Roundup patent in 2,000, many firms, especially
Chinese firms have entered the market and form 40% of global supply.
Monsanto enjoys a premium positioning in the market place with its glyphosate selling
price at INR340 per litre and competitors around INR310-320 per litre.
In FY14 cost for glyphosate has gone by 30-35% leading to price increases of around
15-20% to protect margins and drive growth.
Weeds can cause substantial (20-60%) damage to crop; thus requiring use
of herbicides
A weed is a plant considered undesirable. Weeds take up the nutrition in the soil
and hence impact yields. In some cases yield losses can add up to almost 50% of the
crop potential. Apart from depriving the crop of nutrition, weeds also act as a host
to many pests which are harmful to crops. Weeds are a major problem for farmers
across crops and across the country – especially in the wet/Kharif season. Other
problems associated with weeds in agriculture include: a) reduced crop quality by
contaminating the commodity; b) interference with harvest; c) serve as hosts for
crop diseases or provide shelter for insects to overwinter; d) limit the choice of crop
rotation sequences and cultural practices; and e) production of chemical substances
which are toxic to crop plants. Ineffective weed control measures could result in 20-
60% loss in yield. Thus weeds need to be removed from the farm which can be done
via manual plucking or by use of chemicals like herbicides. So far, farmers in India
have been using manual labour to pull out weeds. When weed picking is done
manually, there are chances of damage to crop which further impacts yields.
Herbicides are pesticides used to kill weeds. Selective herbicides kill specific targets,
while leaving the desired crop relatively unharmed. Some of these act by interfering
with the growth of the weed and are often synthetic mimics of natural plant
hormones.
22 April 2014
27
 Motilal Oswal Financial Services
Monsanto India
What is Glyphosate?
Roundup® (a glyphosate-
based product) is a broad
spectrum, post emergent
systemic herbicide, the
flagship brand of MIL Crop
Protection Chemicals
business. It is world class,
innovative solution to
weeds, a critical farmer
concern.
First registered for use in 1974, Glyphosate is used to kill a variety of broadleaf
weeds and grasses. Labeled uses of Glyphosate include over 100 terrestrial food
crops as well as other non-food sites including forestry, greenhouse etc. The
greatest Glyphosate use according to US Geological Survey (USGS) is in the
Mississippi River basin where most application is for weed control on GM Corn,
Soybeans and Cotton. Glyphosate at rates of 0.35-0.54kg /ha provides at least 90%
control of a wide range of annual grass and broad level weed species in subtle /pre-
plant even with cultivation just 6 hours after treatment. This ensures a weed free
start for next crop. Glyphosate use has skyrocketed to more than double the
amount used five years ago, with 57 million pounds of Glyphosate applied to corn
fields in 2010 compared to 23 million pounds in 2005 and 4.4 million in 2000
Glyphosate is a leading herbicide globally, Monsanto is the largest player
Glyphosate is a leading herbicide and accounts for 30% of global herbicide sales.
Glyphosate is used to kill weeds, especially annual broadleaf weeds and grasses
known to compete with commercial crops grown around the globe. Monsanto
developed and patented the glyphosate molecule in the 1970s, and has marketed it
as Roundup since 1973. It retained exclusive rights in the United States until its
United States patent expired in September, 2000.
The global glyphosate
market was valued at
USD5.4b in 2012 and is
expected to reach USD8.7b
by 2019
The global glyphosate market was valued at USD5.4b in 2012 and is expected to
reach USD8.7b by 2019, growing at a CAGR of 7.2% over the forecast period from
2013 to 2019. In terms of volume, the global glyphosate market demand was
718,000 tons in 2012 (Source: Transparency Market Research).
Monsanto has a ~60% market share in the global glyphosate industry with products
sold under the ‘Roundup’ brand. Monsanto primarily distributes glyphosate
products in the B2B market through distributors, independent retailers and dealers,
and agricultural cooperatives. Monsanto’s production process experiences lower
lead times and cost savings due to vertically integrated supply chains for raw
materials including: disodium iminodiacetic acid and phosphorus. In addition to lean
value chains, Monsanto leases phosphate mines in several locations from
government entities, providing ample supply for production needs. Since the
expiration of Monsanto’s primary glyphosate product, Roundup, in 2000, many firms
have entered the market to serve farmer’s requests for cheaper weed control
alternatives. Primary amongst these are Chinese firms who form 40% of the global
supply.
Global Players in Glyphosate manufacturing
Sr no
1
2
3
4
5
Leading Chinese Glyphosate manufacturers
Zherjiang Wynca Chemical Group Co Ltd
Nantong Jiangshan Agrochemicals Co Ltd
Jiangsu Yangnong Chemical Co Ltd
Sichaum Agro Chemicals Co Ltd
Zhejiang Jinfanda Biochemical Co Ltd
Sales (USD m)
296
236
230
215
201
Source: Wiglab Journal, MOSL
22 April 2014
28
 Motilal Oswal Financial Services
Monsanto India
Herbicides market in India highly underpenetrated
Herbicides market in India is
highly underpenetrated
with herbicides share in
agro-chemicals standing at
20% as against global
standards of 48%
Herbicides market in India is highly underpenetrated with herbicides share in agro-
chemicals standing at 20% as against global standards of 48%. Agro-chemicals in
themselves are under-penetrated in India with consumption in India standing at a
mere 0.6kgs/Hectare as against global average of 4.5kgs/Hectare. In India,
glyphosate is the most significant herbicide product and is preferred by farmers
because it is relatively safe and very effective. Glyphosate forms 70% of herbicides
sales in India and is an INR8b (25m liters) market.
Roundup enjoys leadership position with pricing power
Monsanto enjoys leadership position with 25% market share with other players
being excel industries and Sabero organics to name a few. The market in India is
extremely competitive with 150+ manufacturers and many more brands being
available. Most of the players import their requirement of the intermediate product
from countries such as China since India is deficient in phosphorous mines which are
a key raw material for manufacturing glyphosate. However Monsanto enjoy a
premium positioning in the market place with its glyphosate selling price at INR 340
per litre and competitors around INR 310-320 per litre. In FY14 the global glyposate
prices have increased by 15-20% and with rupee depreciation the cost of production
for Monsanto has gone by 30-35%. Monsanto and other industry players hence took
price increase of around 15-20% thereby leading to higher growth and stable
margins.
Herbicides penetration %
India
62%
48%
26%
16%
Global
11
9.4
6.6
4.6
23%
20%
2%
2%
Insecticides
Fungicides
Herbicides
Others
4.2
2.5
2.4
2.3
1.3
Consumption of agrochemicals
Consumption of Agrochemicals (Kg / Hectare)
0.6
Source: Company, MOSL
Source: Company, MOSL
Rising labor costs to drive herbicides demand, driving sales for Roundup
higher
Labor forms 60% of cotton cultivation costs in India. Out of the total cost of
cultivation of INR20,000/acre, ~60% i.e. INR12,000 is labor cost as compared to 10%
in developed countries. Traditional methods of weed control -- hand weeding or
mechanical weeding, provide limited duration weed control, are labour intensive,
and hence, costly. Labour shortage, timely unavailability, rising wages and
insufficient farm mechanization options, has farmers choosing to spray herbicides
for weed management. Further, when weed picking is done manually, there are
chances of damage to crop which further impacts yields. Herbicides marketed under
brand ‘Roundup’ for Monsanto offer a unique solution wherein weeds are killed at
their initial stage of growth, leaving the crop un-damaged and thus enhancing yields.
22 April 2014
29
 Motilal Oswal Financial Services
Monsanto India
Benefits of Roundup Brand
Roundup® is a glyphosate based broad spectrum, post emergent systemic herbicide
for weed management, and the flagship of our agricultural productivity business. It
provides efficient weed control and helps cover wide areas effectively. It offers cost
savings in weed management on labour and time, helps prevent soil erosion,
conserve water and carbon dioxide, and is safer to soil microbes (as compared to
other herbicides) in conservation (reduced or zero) tillage practices. Roundup® is
also used to control weeds along roadsides, railway tracks, airports and gardens and
doesn’t pose threat to life.
Following are the benefits of Roundup:
Potential to save crop-yield loss by approximately 30-35%
Manages weeds by eliminating them from their roots
Protects weed reemergence for 50-55 days
Reduces manual dependence for weeds removal
Saves farmers money and time
Can be used easily with minimal impact on soil fertility
NREGA driving wages higher…
Wage rates in India have been on a continuous spiral especially post implementation
of NREGA making manual weed picking an expensive affair. The Ministry of Rural
Development, Mahatma Gandhi National Rural Employment Guarantee Act
(Mahatma Gandhi NREGA) was introduced in 2006 with providing at least one
hundred days of guaranteed wage employment in a financial year to every
household whose adult members volunteer to do unskilled manual work. Spending
under NREGA has aggregated to over INR2005b since its implementation in 2006,
having provided employment to over 313m households during FY06-13.
Rising Labor cost a major concern
Labor cost (INR/Day)
137
157
81 93
67 70 72 75 78
48 54 60
31 35 39 43
20 22 25 28
106
121
Source: Company, MOSL
22 April 2014
30
 Motilal Oswal Financial Services
Monsanto India
NREGA Budget
NREGA Budget Outlay (INR b)
391
300
113
120
401
400
330
21
33.9
Employment has improved consistently
Employment provided to households (m)
45.1
52.6
54.9
50.4
55.47
FY07
FY08
FY09
FY10
FY11
FY12
FY13
FY07
FY08
FY09
FY10
FY11
FY12
FY13
Source: Company, MOSL
Source: Company, MOSL
coupled with urbanization trend
Impact of Further, urbanization has reduced the availability of labor for agricultural
activities. In 1951 83% of population lived in rural India, this number has reduced
significantly in 2011 where only 69% of the total population is rural. However of the
total rural population percentage of people employed in agriculture related
activities have remained ~33% throughout 1951-2011.
Urbanization has led to shortage in labour supply
% of Rural
Average
population
Annual
as
Total Exponential Rural
Agricultural
Population Growth Population % of Rural
workers (9)
Rate (%)
Population
(m)
(m)
Agricultural Workers (m)
= (8)/(4)
361
1.25
299
83%
70
27
97
33%
439
1.96
360
82%
100
32
131
36%
548
2.2
439
80%
78
48
126
29%
683
2.22
526
77%
93
56
148
28%
846
2.16
631
75%
111
75
185
29%
1,029
1.97
743
72%
127
107
234
32%
1,211
1.64
834
69%
119
144
263
32%
Source: Agricultural Statistics Handbook 2013, MOSL
Year
1951
1961
1971
1981
1991
2001
2011
Tea Industry: An Example of Benefit of Roundup
India is one of the largest producer and consumer of tea in the world. The
production of tea has been steadily growing in the country due to efficient and
integrated agricultural practices which include efficient weed management. Tea is a
perennial plant which lives beyond 80 years. Weed infestation is the key concern
which significantly hampers productivity of tea. Besides reducing yield, weeds also
restrict branching and frame development in young tea plants, which impacts
productivity in later years. Tea plants are susceptible to weeds like Borreria hispida,
Clerodendrum viscosum, Cynodon dactylon, Polygonum sinensis, Cyperus rotundus,
Ageratum conyzoides etc. Roundup®, that can be used to manage weeds in young
and mature plantations, has been the herbicide of choice for tea planters for nearly
two decades. The herbicide saves man-days and provides broad-spectrum control of
weeds for up to 50-60 days.
22 April 2014
31
 Motilal Oswal Financial Services
Monsanto India
Sundar Azaria, General Manager, Parrison’s Estate, Wayanad, Kerala
Weed infestation is one of the most serious problems in tea plantation, reducing the
leaf yield significantly. In addition to the problem of reducing the nutrient
availability for the tea bushes, weeds in our area grow very fast, aided by heavy
monsoon, thus outgrowing the tea plants. Creepers are also a major issue in the tea
estates of South India. Hence, it is essential to control weeds at an early stage.
Weed management is a major expense for tea estates. Manual methods are
insufficient, inefficient and extremely costly. We had been using Roundup® initially,
but due to tight cash flows, we had to use cheaper products. Having tried many
products, I can say that Roundup® provides the best control for weeds.
22 April 2014
32
 Motilal Oswal Financial Services
Monsanto India
GM Food crops and RR Flex – Game changer
events
Once approved by all bodies all companies can start the field trials for GM food crops,
thereby providing significant opportunities of newer growth avenues.
Monsanto, Syngenta, Pioneer, Dow has been working on field trials across various
crops prior to monotorium imposed by government and hence are much ahead of
other competitors.
MIL has been working on Roundup Ready® and Yieldgard® in-the-seed technologies to
offer maize farmer’s choice of superior insect protection, with convenient, flexible and
effective weed management, to optimize maize yields.
Currently Monsanto GM corn is currently at BRL2 stage and management has guided
that it will take atleast 3 -4 years for commercial launch to happen.
The initial research and trials suggest that Monsanto GM corn can increase yields by
20-40%.
Our interaction with management highlight that not only the GM corn but the
technology for GM corn as well will remain in Monsanto India. This in our view will
lead to substantial re rating for the stock post commercial launch.
Monsanto’s current technology of BT is likely to be replaced by RR Flex (BG 2 RR). RR
flex has gone through RCGM and is awaiting final approval from GEAC.
RR-Flex has trait of herbicide tolerancy thereby negating chances of damage to crop
due to usage of herbicide and also reducing labour cost.
Monsanto to have huge advantage over competition in GM Food crops
Monsanto has been pioneer in innovation in technologies for increasing productivity
for farmers globally. In 2002 it launched BT technology through Monsanto – Mahyco
JV and has achieved 95% penetration in India since then. BT has been a success
inspite of some of other companies like Nath seeds, etc launching at the same time.
Globally USA, Brazil, Australia etc allow production of GM food crops apart from
Europe. However in India field trials for GM food crops are on hold post objection
from environmental minister. However the recent environmental minister has
approved the field trials of GM Food crops after a monotorium of 3 years. Also in
recent meeting on 21
st
March the GEAC has given an inpriciple to restart the field
trials; however the company is yet to receive official notification on the same. With
government and GEAC now approving the ball lies in the Supreme Court which is
likely to take this matter in April, post which companies have to take NOC from
individual states for re starting field trials. Once approved by all bodies all
companies can start the field trials for GM food crops, thereby providing significant
opportunities of newer growth avenues.
Launch of GM corn – next big trigger
There are 4 stages to field trials namely greenhouse, BRL1, BRL2 and biosafety.
Monsanto, Syngenta, Pioneer, Dow has been working on field trials across various
crops prior to monotorium imposed by government and hence are much ahead of
other competitors. To help farmers overcome the challenges of rising cost of
cultivation primarily driven by labour costs MIL has been working on Roundup
Ready® and Yieldgard® in-the-seed technologies to offer maize farmers the choice of
22 April 2014
33
 Motilal Oswal Financial Services
Monsanto India
dual benefit of superior insect protection, with convenient, flexible and effective
weed management, to optimize maize yields.
Monsanto’s technology – YieldGard VT Double Pro, is a combined trait maize
product developed by combining insect protection and herbicide tolerance traits,
stacked together using traditional breeding methods. The inserted genes and their
gene products have a history of safe use, and have undergone review and approval
by several regulatory agencies around the world.
Currently Monsanto GM
corn is currently at BRL2
stage and management has
guided that it will take
atleast 3 -4 years for
commercial launch to
happen.
We learn that currently Monsanto GM corn is currently at BRL2 stage and
management has guided that it will take atleast 3 -4 years for commercial launch to
happen. The initial research and trials suggest that Monsanto GM corn can increase
yields by 20-40%. Our interaction with management highlight that not only the GM
corn but the technology for GM corn as well will remain in Monsanto India.
Management has guided that the technology is ready and MIL will not pay any
royalty to Monsanto USA for the same. This in our view will lead to substantial re
rating for the stock post commercial launch of the same. We believe that Monsanto
India will have a significant first mover advantage; however pricing of the same will
continue to be a key monitorable.
RR Flex technology can drive herbicides sales growth
Monsanto’s current technology of BT is likely to be replaced by RR Flex (BG 2 RR). RR
flex has gone through RCGM and is awaiting final approval from GEAC (Genetic
Engineering Appraisal Committee). Some industry experts believe that the industry
can multiply by 3-5x due to higher yield RR Flex offers as compared to BT. Currently,
herbicides need to be carefully used in case of BT cotton as the crop may get
damaged if herbicides are sprayed on the top of the plant. RR-Flex will be herbicide
tolerant thus negating chances of damage to crop due to herbicide use. This in our
view will give a huge phillip to herbicide sales going forward.
22 April 2014
34
 Motilal Oswal Financial Services
Monsanto India
Financial outlook
Revenues to post a 25% CAGR over FY14-16
We expect revenues to grow at a 25% CAGR from INR6,053m to INR9,474m over
FY14-16. Growth will be driven by seeds business which is expected to grow at 23%
CAGR (contributes 65% to total revenues) led by aggressive launch of new maize
hybrids. Agro-chemical business as well is expected to post a strong 29% CAGR led
by increased penetration of herbicides, which will drive Roundup (glyphosate) sales.
Segment wise revenue of MIL (m)
Agricultural Chemicals
Seeds
5,870
4,852
3,879
2,674
1,127
2,975
1,560
2,174
2,858
3,605
3,860
3.0%
FY13
FY14E
FY15E
FY16E
FY12
4,602
FY13
FY14E
FY15E
FY16E
19.2%
6,053
7,709
Total Revenue (m) and YoY growth(%)
Total Revenue
31.5%
YoY Growth
9,474
27.4%
22.9%
FY12
Source: Company, MOSL
Source: Company, MOSL
Margins to expand 200bp
EBITDA is expected to grow at a 29% CAGR from INR1,483m to INR2,461m over
FY14-16. Margins are expected to expand 200bp from 25% to 27% led by
improvement in mix in favor of single cross maize, lower sales returns and inventory
write-offs due to better sales forecasting abilities going forward
EBITDA margin trend
EBITDA
112.9%
1,925
26.6%
550
-15.6%
FY12
FY13
FY14E
FY15E
FY16E
697
1,483
29.9%
27.8%
YoY Growth
2,461
Source: Company, MOSL
PAT to grow at 30% CAGR
Led by strong operating performance we expect PAT to grow at 30% CAGR from
INR1,379m to INR2,319m over FY14-16. Tax rate is expected to remain stable at
10%.
22 April 2014
35
 Motilal Oswal Financial Services
Monsanto India
PAT growth trend
PAT
104.7%
1,806
1,379
673
34.2%
FY13
FY14E
31.0%
FY15E
28.4%
FY16E
YoY Growth
2,319
502
17.2%
FY12
Source: Company, MOSL
ROCE and ROE to improve going forward
We expect ROCE and ROE to improve from 34% and 30% in FY14 respectively to 35%
and 32% in FY16E respectively primarily on account of improvement in margins.
ROCE trend (%)
ROCE
34
19
35
35
ROE trend (%)
ROE (%)
30
32
32
17
16
15
13
17
FY11
FY12
FY13
FY14E
FY15E
FY16E
FY11
FY12
FY13
FY14E
FY15E
FY16E
Source: Company, MOSL
Source: Company, MOSL
22 April 2014
36
 Motilal Oswal Financial Services
Monsanto India
Valuation and view – initiate coverage with a Buy
Market share gain to drive earnings growth
We expect topline to grow at 25% CAGR and PAT at 30% CAGR over FY14-16E. We believe
the investments done in FY09-FY12 will start paying off for Monsanto India in terms of new
product launches and market share gain. We also remain excited about the huge potential
and scalability opportunity it has to offer over the long term from GM food and RR Flex.
The stock is currently trading at 15.3x FY15E and 11.9xFY16E EPS. We value the stock at
16x FY16E EPS and arrive at a target price of INR 2,150 on the stock. We initiate coverage
with a Buy.
Monsato India PE
35
28
21
14
7
0
2.9
10.4
14.3
P/E (x)
Avg (x)
Peak (x)
Min (x)
33.3
Monsato India PB
5.0
4.0
3.0
2.0
1.0
0.0
1.9
0.5
P/B (x)
Avg (x)
4.3
Peak (x)
Min (x)
4.1
Source: Company, MOSL
Source: Company, MOSL
22 April 2014
37
 Motilal Oswal Financial Services
Monsanto India
Annexures
Improvement in Bio Tech Agriculture
Source: Company, MOSL
Biotech agriculture can increase the productivity going forward
Source: Company, MOSL
22 April 2014
38
 Motilal Oswal Financial Services
Monsanto India
Significant R&D is required for a long term
Source: Company, MOSL
Global Seed and Agro Chemical Market
Market Performance 2012 (Distributor level – Average Exchange Rates – Nominal USD)
Year
2002
2003
2004
2005
2006
2007
2008
2009
2010
2011
2012
YOY growth
2011/12
Crop Protection (USD m)
25150
26710
30725
31190
30425
33390
40475
37860
38315
44528
47360
6.4%
Non-Crop Agro
Chemicals (USD m)
4270
4445
4675
4905
5150
5365
5655
5860
5880
6290
6375
1.4%
GM
Conventional Seed
Seed
(USD m)
(USD m)
3140
13060
3709
4476
5095
5855
7062
9150
10570
12870
15685
18495
17.9%
13521
14524
14657
14485
14648
16870
17185
17950
18810
19065
1.4%
Agrochemical = $53732,
Seed = $37560, +8.9%
Source: Company, MOSL
22 April 2014
39
 Motilal Oswal Financial Services
Monsanto India
Financials and valuation
Income statement
Y/E March
Net Sales
Change (%)
EBITDA
EBITDA Margin (%)
Depreciation
EBIT
Interest
Other Income
Extraordinary items
PBT
Tax
Tax Rate (%)
Reported PAT
Adjusted PAT
Change (%)
Min. Int. & Assoc. Share
Adj Cons PAT
2011
3,634
-11.4
652
17.9
108
544
3
84
122
503
75
14.8
428
532
-1.2
0
532
2012
3,738
2.9
550
14.7
90
460
13
152
-3
601
100
16.5
502
500
-6.1
0
500
2013
4,424
18.4
697
15.7
109
588
7
169
0
750
76
10.2
673
673
34.8
0
673
2014E
5,819
31.5
1,483
25.5
122
1,360
0
175
0
1,535
156
10.2
1,379
1,379
104.7
0
1,379
(INR Million)
2015E
7,411
27.4
1,925
26.0
137
1,788
0
222
0
2,010
205
10.2
1,806
1,806
31.0
0
1,806
2016E
9,108
22.9
2,461
27.0
152
2,309
0
273
0
2,582
263
10.2
2,319
2,319
28.4
0
2,319
Balance sheet
Y/E March
Share Capital
Reserves
Net Worth
Debt
Deferred Tax
Total Capital Employed
Gross Fixed Assets
Less: Acc Depreciation
Net Fixed Assets
Capital WIP
Investments
Current Assets
Inventory
Debtors
Cash & Bank
Loans & Adv, Others
Curr Liabs & Provns
Curr. Liabilities
Provisions
Net Current Assets
Total Assets
2011
86
3,657
3,743
0
-30
3,714
1,395
518
876
51
1,514
2,367
1,303
409
172
484
1,095
831
264
1,273
3,714
2012
173
3,671
3,844
0
-27
3,817
1,380
571
809
111
1,958
2,476
1,297
504
190
485
1,537
1,203
334
939
3,817
2013
173
3,902
4,074
0
-36
4,038
1,541
674
868
24
2,509
2,503
1,394
412
203
494
1,866
1,440
427
637
4,038
2014E
173
4,837
5,010
0
-36
4,974
1,741
796
945
32
2,509
3,918
1,660
542
1,066
650
2,430
1,764
666
1,487
4,974
(INR Million)
2015E
2016E
173
173
6,200
8,076
6,372
8,248
0
0
-36
-36
6,336
8,212
1,941
2,141
933
1,086
1,008
1,056
40
50
2,509
2,509
5,718
8,055
2,089
2,506
691
849
2,111
3,684
828
1,017
2,939
3,457
2,229
2,693
711
764
2,779
4,598
6,336
8,212
E: MOSL Estimates
22 April 2014
40
 Motilal Oswal Financial Services
Monsanto India
Financials and valuation
Ratios
Y/E March
Basic (INR)
EPS
Cash EPS
Book Value
DPS
Payout (incl. Div. Tax.)
Valuation(x)
P/E
Cash P/E
Price / Book Value
EV/Sales
EV/EBITDA
Dividend Yield (%)
Profitability Ratios (%)
RoE
RoCE
Turnover Ratios (%)
Asset Turnover (x)
Debtors (No. of Days)
Inventory (No. of Days)
Creditors (No. of Days)
Leverage Ratios (%)
Net Debt/Equity (x)
2011
61.6
74.2
433.7
10.0
46.9
25.9
21.6
3.7
7.1
39.6
0.6
14.7
17.3
1.0
39.8
130.9
65.5
0.0
2012
29.0
34.2
222.7
20.0
79.9
55.2
46.8
7.2
6.9
46.9
1.3
13.2
16.1
1.0
47.7
126.6
82.6
0.0
2013
39.0
45.3
236.0
22.0
65.8
41.0
35.3
6.8
5.8
37.1
1.4
17.0
19.1
1.1
32.7
115.0
101.5
0.0
2014E
79.9
87.0
290.2
22.0
32.1
20.0
18.4
5.5
4.3
16.8
1.4
30.4
33.8
1.2
32.7
104.1
103.9
0.0
2015E
104.6
112.6
369.2
22.0
24.5
15.3
14.2
4.3
3.2
12.4
1.4
31.7
35.3
1.2
32.7
102.9
103.4
0.0
2016E
134.4
143.2
477.9
22.0
19.1
11.9
11.2
3.3
2.5
9.1
1.4
31.7
35.3
1.1
32.7
100.4
102.3
0.0
Cash flow statement
Y/E March
OP/(Loss) before Tax
Depreciation
Others
Interest
Direct Taxes Paid
(Inc)/Dec in Wkg Cap
CF from Op. Activity
(Inc)/Dec in FA & CWIP
(Pur)/Sale of Invt
Others
CF from Inv. Activity
Inc/(Dec) in Net Worth
Inc / (Dec) in Debt
Interest Paid
Divd Paid (incl Tax)
CF from Fin. Activity
Inc/(Dec) in Cash
Add: Opening Balance
Closing Balance
2011
503
108
0
-3
100
316
896
-111
-1,909
1,269
-750
0
-16
-6
-151
-173
-27
198
172
2012
601
90
0
3
125
258
721
-96
-6,085
5,782
-399
0
-33
-3
-258
-294
27
163
190
2013
750
109
0
-3
93
253
894
-86
-3,840
3,450
-476
0
-47
-3
-345
-395
23
180
203
2014E
1,535
122
0
-175
156
12
1,339
-208
0
175
-33
0
0
0
-443
-443
863
203
1,066
(INR Million)
2015E
2016E
2,010
2,582
137
152
0
0
-222
-273
205
263
-246
-246
1,474
1,952
-209
-209
0
0
222
273
14
64
0
0
0
0
0
0
-443
-443
-443
-443
1,045
1,573
1,066
2,111
2,111
3,684
E: MOSL Estimates
22 April 2014
41
 Motilal Oswal Financial Services
Disclosures
This report is for personal information of the authorized recipient and does not construe to be any investment, legal or taxation advice to you. This research report does not constitute an offer, invitation or
inducement to invest in securities or other investments and Motilal Oswal Securities Limited (hereinafter referred as MOSt) is not soliciting any action based upon it. This report is not for public distribution
and has been furnished to you solely for your information and should not be reproduced or redistributed to any other person in any form.
Unauthorized disclosure, use, dissemination or copying (either whole or partial) of this information, is prohibited. The person accessing this information specifically agrees to exempt MOSt or any of its
affiliates or employees from, any and all responsibility/liability arising from such misuse and agrees not to hold MOSt or any of its affiliates or employees responsible for any such misuse and further agrees
to hold MOSt or any of its affiliates or employees free and harmless from all losses, costs, damages, expenses that may be suffered by the person accessing this information due to any errors and delays.
The information contained herein is based on publicly available data or other sources believed to be reliable. While we would endeavour to update the information herein on reasonable basis, MOSt and/or
its affiliates are under no obligation to update the information. Also there may be regulatory, compliance, or other reasons that may prevent MOSt and/or its affiliates from doing so. MOSt or any of its
affiliates or employees shall not be in any way responsible and liable for any loss or damage that may arise to any person from any inadvertent error in the information contained in this report. MOSt or any
of its affiliates or employees do not provide, at any time, any express or implied warranty of any kind, regarding any matter pertaining to this report, including without limitation the implied warranties of
merchantability, fitness for a particular purpose, and non-infringement. The recipients of this report should rely on their own investigations.
Monsanto India
This report is intended for distribution to institutional investors. Recipients who are not institutional investors should seek advice of their independent financial advisor prior to taking any investment decision
based on this report or for any necessary explanation of its contents.
MOSt and/or its affiliates and/or employees may have interests/positions, financial or otherwise in the securities mentioned in this report. To enhance transparency, MOSt has incorporated a Disclosure of
Interest Statement in this document. This should, however, not be treated as endorsement of the views expressed in the report.
Disclosure of Interest Statement
1. Analyst ownership of the stock
2. Group/Directors ownership of the stock
3. Broking relationship with company covered
4. Investment Banking relationship with company covered
MONSANTO INDIA LTD
No
No
No
No
Analyst Certification
The views expressed in this research report accurately reflect the personal views of the analyst(s) about the subject securities or issues, and no part of the compensation of the research analyst(s) was, is,
or will be directly or indirectly related to the specific recommendations and views expressed by research analyst(s) in this report. The research analysts, strategists, or research associates principally
responsible for preparation of MOSt research receive compensation based upon various factors, including quality of research, investor client feedback, stock picking, competitive factors and firm revenues.
This report is not directed or intended for distribution to or use by any person or entity resident in a state, country or any jurisdiction, where such distribution, publication, availability or use would be contrary
to law, regulation or which would subject MOSt & its group companies to registration or licensing requirements within such jurisdictions.
Regional Disclosures (outside India)
This report is intended for distribution only to persons having professional experience in matters relating to investments as described in Article 19 of the Financial Services and Markets Act 2000 (Financial
Promotion) Order 2005 (referred to as "investment professionals"). This document must not be acted on or relied on by persons who are not investment professionals. Any investment or investment activity
to which this document relates is only available to investment professionals and will be engaged in only with such persons.
For U.K.
Motilal Oswal Securities Limited (MOSL) is not a registered broker - dealer under the U.S. Securities Exchange Act of 1934, as amended (the"1934 act") and under applicable state laws in the United
States. In addition MOSL is not a registered investment adviser under the U.S. Investment Advisers Act of 1940, as amended (the "Advisers Act" and together with the 1934 Act, the "Acts), and under
applicable state laws in the United States. Accordingly, in the absence of specific exemption under the Acts, any brokerage and investment services provided by MOSL, including the products and services
described herein are not available to or intended for U.S. persons.
This report is intended for distribution only to "Major Institutional Investors" as defined by Rule 15a-6(b)(4) of the Exchange Act and interpretations thereof by SEC (henceforth referred to as "major
institutional investors"). This document must not be acted on or relied on by persons who are not major institutional investors. Any investment or investment activity to which this document relates is only
available to major institutional investors and will be engaged in only with major institutional investors. In reliance on the exemption from registration provided by Rule 15a-6 of the U.S. Securities Exchange
Act of 1934, as amended (the "Exchange Act") and interpretations thereof by the U.S. Securities and Exchange Commission ("SEC") in order to conduct business with Institutional Investors based in the
U.S., MOSL has entered into a chaperoning agreement with a U.S. registered broker-dealer, Motilal Oswal Securities International Private Limited. ("MOSIPL"). Any business interaction pursuant to this
report will have to be executed within the provisions of this chaperoning agreement.
The Research Analysts contributing to the report may not be registered /qualified as research analyst with FINRA. Such research analyst may not be associated persons of the U.S. registered broker-
dealer, MOSIPL, and therefore, may not be subject to NASD rule 2711 and NYSE Rule 472 restrictions on communication with a subject company, public appearances and trading securities held by a
research analyst account.
For U.S.
Motilal Oswal Capital Markets Singapore Pte Limited is acting as an exempt financial advisor under section 23(1)(f) of the Financial Advisers Act(FAA) read with regulation 17(1)(d) of the Financial
Advisors Regulations and is a subsidiary of Motilal Oswal Securities Limited in India. This research is distributed in Singapore by Motilal Oswal Capital Markets Singapore Pte Limited and it is only directed
in Singapore to accredited investors, as defined in the Financial Advisers Regulations and the Securities and Futures Act (Chapter 289), as amended from time to time.
In respect of any matter arising from or in connection with the research you could contact the following representatives of Motilal Oswal Capital Markets Singapore Pte Limited:
Anosh Koppikar
Kadambari Balachandran
Email:anosh.Koppikar@motilaloswal.com
Email : kadambari.balachandran@motilaloswal.com
Contact(+65)68189232
Contact: (+65) 68189233 / 65249115
Office Address:21 (Suite 31),16 Collyer Quay,Singapore 04931
For Singapore
Motilal Oswal Securities Ltd
22 April 2014
Motilal Oswal Tower, Level 9, Sayani Road, Prabhadevi, Mumbai 400 025
Phone: +91 22 3982 5500 E-mail: reports@motilaloswal.com
42