India Politics | 27 May 2014
India Politics
Please refer to our India Strategy
note “Good days ahead…” for detail
discussion dated 19 May 2014
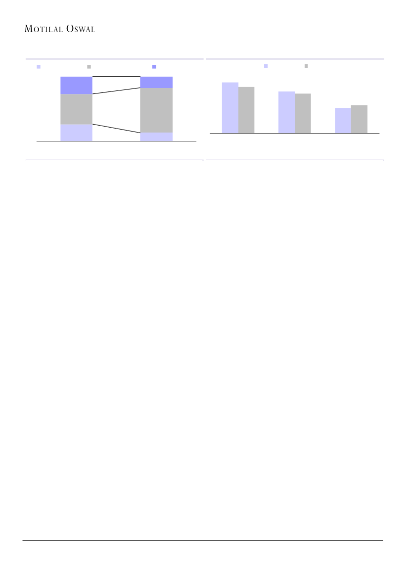
NDA takes guard with 45 Ministers
Aims at minimum government maximum governance rule
Ministers takes oath:
In a glittering ceremony at Rashtrapati Bhavan, Narendra
Modi led Council of Ministers undertook the oath of office.
Minimum government:
In all 45 Ministers were inducted apart from Prime
Minister, Narendra Modi. This is one of the smallest Council of Ministers in more
than a decade.
Cabinet reduced to 23 Ministers:
This Council of Ministers would only have 23
Cabinet rank senior Ministers. Again, this contrasts sharply with 33 Cabinet
Ministers at the time UPA-II assumed office (excluding Prime Ministers).
Trimmed the Ministers of States the most:
There are 10 Ministers of State who
have been handed over independent charge. The axe however, has fallen the
sharpest on the number of Ministers of State (without independent charge).
Numbering just 12, this is one of the lowest in recent times.
Trims the no. of Cabinet Ministers and Ministers of State list
Cabinet Ministers
Minister of State
Minister of State (Ind. charge)
NDA sticks to its minimum government stance
No. of Ministers
70
77
68
37
46
7
26
NDA (1999)
UPA (2004)
UPA (2009)
NDA (2014)
NDA (1999)
29
10
29
UPA (2004)
37
7
33
12
10
24
NDA (2014)
UPA (2009)
*46 ministers includes Narendra Modi
Source: GoI, MOSL
Source: GoI, MOSL
Young Ministry:
The average age of the Council of Ministers has remained the
same at 57 years, currently as well as in UPA-II. However, number of ministers
above the 65 age bracket has dipped sharply from 26% in UPA-II to merely 13%
in the current NDA regime. As Narendra Modi happens to be the first Prime
Minister born in independent India, his Council of Ministers, too, are all born in
independent India with two exceptions.
70% within 50-65 years:
The age group 50 to 65 has seen the maximum increase
in their representation comprising 70% of the Council as compared with just
47% of the Council during UPA-II.
Seven women and one Muslim:
Seven women were inducted in the Council of
Ministers (as compared with eight during UPA II) while the Council had one
Muslim Minister.
Ashish Gupta
(Ashish.Gupta@MotilalOswal.com); +91 22 3982 5544
Dipankar Mitra
(Dipankar.Mitra@MotilalOswal.com); +91 22 39825405
Investors are advised to refer through disclosures made at the end of the Research Report.

India Politics
Ministers in the age bracket of 50-65 increased sharply (%)
Above 65 years
27
Between 50-65 years
Under 50 yrs
17
62
60
Average age (years) of Ministers reduced across most categories
UPA (2009)
58
57
51
52
NDA (2014)
47
70
26
UPA (2009)
13
NDA (2014)
Cabinet Ministers
Ministers of States
(Ind charge)
Ministers of States
Source: Government of India, MOSL
Source: Government of India, MOSL
Most of the ministers have
previous ministerial
experience or were part of
various committee in
parliament
Previous NDA Ministers:
Most senior Ministers had a previous stint in NDA 1999
Government. Many of them too have a background in RSS.
No dynasty:
The lineage of established politicians was not included in Council of
Ministers.
Some expansion and M&A likely:
While no portfolios have been allocated so
far, as per media reports, the Council might be expanded to accommodate more
Ministers from certain States (like Rajasthan) after a month’s time. Besides
mergers of a few Ministries are on the cards in order to work out greater
synergies among them.
Work ethics:
Clearly signaling the expectation on the new Government, the
Prime Minister, Narendra Modi has called for 18 hours of work a day for his
Council of Ministers.
International Diplomacy:
The event also marked for the first time presence of
most SAARC country heads for the swearing-in ceremony. This is clearly one of
the early initiatives to improve the external relationship with neighbours.
Union Cabinet
Union Cabinet, is the collective decision-making body of the Government of India,
consisting of the Prime Minister and the Cabinet Ministers, the most senior of the
government ministers. The Cabinet is the ultimate decision-making body of the
executive.
Council of Ministers
There are three categories of ministers, in the descending order of rank:
Union Cabinet Minister:
Senior minister in-charge of a ministry. A cabinet
minister may also hold additional charges of other Ministries, when no other
Cabinet minister is appointed.
Minister of State (Independent Charges):
This minister would not have any
oversight by any Union cabinet minister for that portfolio.
Minister of State (MoS):
Junior minister to support a cabinet minister; usually
tasked with a specific responsibility in that ministry. For instance, an MoS in the
Finance Ministry may only handle taxation.
27 May 2014
2

India Politics
Cabinet Ministers
Sr.
No.
1.
Name of the
minister (Age)
Rajnath Singh (63)
Portfolio
Ministry
Affairs
of
Home
Brief background
Associated with the Rashtriya Swayamsevak Sangh (RSS) since the age of
13 years
Served as Cabinet Minister, Surface Transport in 1999 and also held
Agriculture & Food Processing ministries from May 2003 till May, 2004
Appointed as the BJP President in 2013
Implemented the National Highway Development Programme (NHDP),
which included the Golden Quadrilateral and the North South East West
corridor
Introduced projects like Farm Income Insurance Scheme and Kisan Call
Centre and also brought down the rate of interest on agricultural loans
from 14-18% to 8%
2.
Arun Jaitley (62)
Ministry of Finance &
Additional charge of
Defence
Rajya Sabha member from Gujarat and elected as Leader of the
opposition in Rajya Sabha in June 2009
Appointed Minister of State for Information and Broadcasting
(Independent Charge) in Oct 1999
Also appointed Minister of State for Disinvestment (Independent
Charge), a new Ministry created for the first time. Additional charge of
the Ministry of Law, Justice and Company Affairs in July 2000 following
the resignation of Ram Jethmalani.
3.
Sushma Swaraj (62)
Ministry
Affairs
of
External
Served as Union Cabinet Minister, Information & Broadcasting during
various BJP-led governments at the Centre in 1996, 1998 and 1999-04
Appointed as Union Minister of Health and Family Welfare and
Parliamentary Affairs from Jan 2003 till May 2004
Declared production and distribution of films as an industry, which
made them eligible for finance from financial institutions
As Health Minister, set up six AIIMS (All India Institute of Medical
Sciences) at Bhopal (MP), Bhubaneshwar (Odisha), Jodhpur (Rajasthan),
Patna (Bihar), Raipur (Chhattisgarh) and Rishikesh (Uttarakhand).
4.
Venkaiah Naidu (64)
Ministry of Urban
Development
Bachelor’s Degree in Politics & Law with specialization in International
Law
National President of the BJP from 2002 to 2004
Union Cabinet Minister for Rural Development in the Vajpayee
government
Aggressively pushed for reforms in Rural development and introduced
many schemes such as the ‘Pradhan Mantri Gram Sadak Yojana’
27 May 2014
3

India Politics
5.
Nitin Gadkari (57)
Ministry of Surface
Transport and Shipping
Promoted to National President of BJP in 2010, holding the position till
2013
Has never held a Union ministerial portfolio but has served as Minister
for Public Works in the BJP-Shiv Sena government in Maharashtra
Widely credited with the inception and swift execution of major road
projects like the
Mumbai-Pune expressway
Established Maharashtra State Road Development Corporation (MSRDC)
through which
funds were raised from open market for infrastructure
projects for the first time in India
Showed strong support for privatization in the infrastructure areas and
pioneered the Public Private Partnership (PPP) model
of infrastructure
projects
6.
Gopinath Munde
(64)
Ministry of Rural
Development
Five-time member of the Maharashtra Legislative Assembly
Deputy chief minister of Maharashtra in 1995, when the Shiv Sena-BJP
alliance shot in power
In the previous NDA government he was the Chairman of the
Committee on Chemicals and Fertilisers in Lok Sabha
7.
Harsh Vardhan (59)
Ministry of Health
8.
Ram Vilas Paswan
(67)
Ministry of Consumer
Affairs, Food and Civil
Supplies
An MBBS and MS in otolaryngology from Kanpur college
Pioneer of Pulse Polio Programme, which he launched first in Delhi in
1993, which was then adopted throughout India
Has won all 5 Delhi Legislative Assembly elections since 1993
Former Union Railway Minister in 1996
Union Minister for Communications in NDA government from 1999 till
2001, following which he was shifted to the Coal Ministry, a portfolio he
held till April, 2002
Minister for Chemicals and Fertilizers and Minister of Steel in the first
Congress-led UPA government
9.
Uma Bharati (55)
Ministry of Water
Resources and Ganga
cleaning
Held various state-level and cabinet level portfolios of Human Resource
Development, Tourism, Youth Affairs & Sports, and finally Coal & Mines
in the BJP-led NDA government from 1999 till 2003
10.
Maneka Gandhi (57)
Ministry of Women &
Child Welfare
Became India’s youngest minister in the Janata Dal government holding
the Ministry of Environment & Forests in two successive governments
Introduced legislations such as Coastal Zone Regulation Act and The
Public Liability Act for Hazardous Chemicals
Served as Minister for Social Justice and Empowerment in 1999-2004
Instrumental in creating India’s Animal Welfare Ministry - a first in the
world, and serving as its first Minister
Also served as Minister for Culture and Minister for Programme
Implementation
27 May 2014
4

India Politics
11.
Sadananda Gowda
(61)
Ministry of Railways
Appointed as Chief Minister of Karnataka in August 2011
Introduced various schemes such as Sakaala, aimed at providing time
bound services at government offices
12.
Najma Hepatullah
(74)
Ministry of Minority
Affairs
Grand niece of prominent freedom fighter Maulana Abdul Kalam Azad
Deputy Chairperson of the Rajya Sabha twice- January, 1985 to January,
1986 and 1998 to 2004
Joined BJP in 2004 and was named as head of the Indian Council of
Cultural Affairs, leading many Indian delegations abroad
13.
Kalraj Mishra (73)
NA
As Minister of Public Works and Tourism, he formulated the Road
Development Policy in Uttar Pradesh
Several link roads were constructed in a number of villages under the
Dindayal Link Road Scheme’
14.
Anant Kumar (54)
Ministry of
Parliamentary Affairs
Won six consecutive Lok Sabha terms from the Bangalore South
constituency
Served as Minister of Civil Aviation, Tourism, Sports & Youth Affairs,
Culture, Urban Development and Poverty Alleviation during the NDA
government from 1999 to 2004
15.
Ravi Shankar Prasad
(59)
Ministry of Telecom,
Law and Justice
Earned BA Hons, MA (Political Science) and LLB degrees from Patna
University and practiced as a Patna High Court and Supreme Court
advocate
Served as Minister of State (Coal and Mines) in 2001 and accelerated
the reforms process in mining and coal sector
Was given additional charge of Minister of State in Ministry of Law and
Justice in July 2002. Within a fortnight had prepared a bill amending the
Representation of People Act.
16.
Ashok Gajapathi
Raju (63)
Ministry of Civil
Aviation
Sped up the process of fast-track courts
Comes from Pusapati Royal family
Held the Excise Minister and Commercial Taxes and the Finance and
Legislative and the Revenue ministries in the Andhra Pradesh
government
17.
Anant Geete (62)
NA
MP from Maharashtra's Raigad
Served as former union minister of power in the previous NDA
government from Aug 2002 to May 2004
Also Chairman of the Committee on Chemicals and Fertilizers and
Member of Committee on Petitions in 2004
27 May 2014
5

India Politics
18.
Harsimrat Kaur
Badal (47)
Ministry of Food
Processing
Married to the Deputy Chief Minister of Punjab, Sukhbir Singh Badal
Started a project named "Nanhi Chhan" (innocent lives), a movement to
save girl child and trees
19.
Narendra S Tomar
(57)
NA
Two-time MP Served as Cabinet Minister in Madhya Pradesh
government between 2003-07 and was later tasked to head the state
party unit in November 2006
20.
Jual Oram (53)
Ministry of Tribal
Affairs
Worked for about six years in a public sector company with his diploma
in electrical engineering before joining politics
A firebrand tribal leader who created history by becoming India's first
tribal affairs minister in Vajpayee government
Presently national vice-president of BJP; has held several important
posts including MLA and MP
A five-term MP from Motihari, Bihar since 1989
Bihar unit chief from 2006 to 2009 and BJP's Kisan Morcha Vice-
President and incharge of Uttar Pradesh and Uttarkhand units
Served as member of various committees on ministries of Railways,
Communications, Petroleum and Natural Gas, Surface Transport and
External Affairs
21.
Radha Mohan Singh
(64)
Ministry of Agriculture
22.
Thawar Chand
Ghelot (66)
NA
Rajya Sabha member and BJP’s national general secretary
Has held several positions in Madhya Pradesh and was also head of
BJP’s Scheduled Castes Cell
Deputed as the central observer of the party for Gujarat and is
considered close to Modi
23.
Smriti Irani (38)
Ministry of Human
Resource Department
Popular television actress till the mid-2000s before she shifted her focus
to politics
Served as All India President of the BJP Mahila Morcha and raised
various issues like women empowerment in Indian Military and crime
against women
NA: Not available; Source: Various media reports, MOS
L
27 May 2014
6

India Politics
Minister of States (MoS) (Independent charge)
Sr.
No.
1.
Name of the
minister (Age)
V K Singh (63)
Portfolio
Ministry
of
State
charge)
Brief background
Chief of Army Staff on 31 March 2010, and was the first commando to
achieve that position
Subsequent to his retirement in 2012, showed support for the anti-
corruption movement of which Anna Hazare
Joined the BJP in March 2014 and contested the Ghaziabad Lok Sabha
seat in the 2014 general elections
2.
Rao Inderjit Singh
(63)
Ministry
of
State
charge)
State
Served as Cabinet Minister for the Environment, Forest, Medical and
Technical Education from 1991 to 1996
Was the Minister of State for External Affairs (2004–2006) and
Minister of State for Defence Production from 2006 to 2009 in the
UPA government
Severed ties with the Congress in September 2013 and contested the
2014 elections on BJP ticket from Gurgaon
(Independent
North-East & Ministry of
State External Affairs
(Independent
Ministry
Defence
of
Statistics & Planning &
3.
Santosh Gangwar
(65)
NA
Elected to the Lok Sabha from Bareilly, UP
(different from Rai Bareily)
seat six successive times from 1989-2004
Lost in 2009 but regained the Bareilly seat in 2014
Has served as Minister of State for Petroleum and Natural Gas with
additional charge of Parliament Affairs
He was also Minister of State of Science and Technology in the NDA
government
Four times Member of Parliament from North Goa
Former BJP president for state of Goa
4.
Shripad Naik (61)
NA
5.
Dharmendra
Pradhan (44)
Ministry of State (Ind
charge) Oil
A post graduate in Anthropology from Utkal University in Odisha
Rajya Sabha MP from Bihar
A vocal opponent of religion based reservation in jobs
Organisational in-charge of party affairs in the states of Karnataka,
Uttarakhand, Jharkhand and Odisha
6.
Sarvanand Sonowal
(51)
NA
One of the most promising leaders from Assam
Credited with successfully challenging the controversial Illegal
Migrants (Determination by Tribunals) Act, which was stuck down by
Supreme Court terming the legislation as " biggest hurdle and is the
main impediment or barrier in the identification and deportation of
illegal migrants"
27 May 2014
7

India Politics
7.
Prakash Javadekar
(63)
Ministry of State I&B and
Ministry of State
(Independent Charge)
Environment
Was a member of the Maharashtra Legislative Council for two terms
from 1990 to 2002 before being elected to Rajya Sabha in 2008
Former banker; has been awarded “Sir Purshottam Das Thakur
Memorial"
National
Award,
for
research
papers
on
‘Rural
Development & Banks role in co-ordinated approach’
8.
Dr. Jitendra Singh
(58)
NA
Professor of Diabetes & Endocrinology, a consultant and clinical
practitioner, author of 8 books and a newspaper columnist
National Executive member of BJP and Chief Spokesperson of Jammu
and Kashmir
9.
Nirmala Sitharaman
(54)
Ministry of State (Ind
charge) Commerce
Works as part of a team of six spokespersons headed by Ravi Shankar
Prasad
Likely to be nominated to the Upper House by BJP
Former member of National Commission for Women
10.
Piyush Goyal (49)
Ministry of State
(Independent charge)
Power and Coal
Strong academic record with all-India second rank holder Chartered
Accountant and second rank holder in Law in Mumbai University
Participated in Leadership Programs at Yale University (2011), Oxford
University (2012) and Princeton University (2013) and is currently
pursuing the Owner / President Management (OPM) Program at
Harvard Business School
Well-known
investment
banker;
advised
top
corporates
on
management strategy and growth; also served on the Board of the
State Bank of India and Bank of Baroda.
Nominated by the Government of India to the prestigious Task Force
for Interlinking of Rivers.
NA: Not available; Source: Various media reports, MOSL
27 May 2014
8

India Politics
Minister of States (MoS)
Sr.
No.
1.
Name of the
minister (Age)
G M Siddeshwara
(62)
Portfolio
NA
Brief background
Elected to Lok Sabha for the third term
Vice-President of the Karnataka BJP (2009-2010) and the BJP National
Parliamentary Party Treasurer from 2004-2014
Served as member of Parliamentary Committee on: i) Water
Resources, ii) Finance, iii) Consultative Committee for the Ministry
of Commerce & Industry
2.
Manoj Sinha (55)
NA
An M. Tech. in civil engineering from Indian Institute of Technology
(BHU) Varanasi
Was a member of the National Council from 1989-1996
Was the President of the Banaras Hindu University Students Union in
1983
3.
Upendra Kushwaha
(54)
NA
Founded Rashtriya Lok Samata Party in 2013
Was state General-Secretary in Yuva Lok Dal (1985-88), National
General-Secretary, Yuva Janata Dal (1988-93) and General-Secretary
for Samata Party (1994-2002)
Was Member of Bihar Legislative Assembly in 2002-2004 and
appointed as Deputy Leader (Samata Party) Bihar Legislative Assembly
(2004-2005).
4.
Radhakrishnan P
(62)
Was Leader of Opposition from Samata Party in Bihar Legislative
Assembly in 2005
A lawyer by profession
Served as Minister of State for Youth affairs and later as Minister of
State in the Ministry of Housing and Urban Poverty Alleviation during
the earlier NDA government during 1999-2004
NA
5.
Kiren Rijiju (43)
Is currently the President of Tamil Nadu State BJP
Was the BJP national secretary
Was member of Committee on Energy; and member, Consultative
Committee, Ministry of Tribal Affairs & Development of North Eastern
Region during previous NDA regime
NA
6.
Mansukhbhai
Vasava (57)
NA
Elected to 12th Lok Sabha in a bye-election held in Nov 1998
Was re-elected to the Lok Sabha in 1999, 2004 and 2009
Has served as member of parliamentary committees on i) Members of
Parliament Local Area Development Scheme, ii) Consultative
Committee, Ministry of Social Justice and Empowerment, iii) Labour
and Welfare, iv) Private MembersRs Bills and Resolutions, v)
Consultative Committee, Ministry of Rural Development, vi) Chemicals
and Fertilizers, vii) Petitions, and viii) Science & Technology,
Environment & Forests
27 May 2014
9

India Politics
7.
Raosaheb Danve (59)
NA
Has been elected to the Lok Sabha for the fourth term
Has served as member of parliamentary committees on i) Commerce,
ii) Consultative Committee, Ministry of Rural Development, iii)
Finance, iv) Consultative Committee, Ministry of Communications and
Information Technology, v) Agriculture, vi) Petroleum and Natural Gas
8.
Vishnu Deo Sai (50)
NA
Has been elected to the Lok Sabha for the fourth term
Has served as member of parliamentary committees on i) Absence of
Members from the sittings of the House, ii) Food, Civil Supplies and
Public Distribution, iii) Consultative Committee, Ministry of
Agriculture, iv) Information Technology, v) Water Resources, and vi)
Commerce
Minister of State, Human Resources, Government of Jharkhand (2000-
03)
Minister of State (Independent Charge), C.M. Secretariat; Government
of Jharkhand (2003-04)
Minister, Department of Welfare, Government of Jharkhand (2004-05)
Elected to the Lok Sabha for the second term
th
Has served the 15 Lok Sabha as member of parliamentary
committees on i) Labour and ii) Consultative Committee, Ministry of
Tribal Affairs
Is a veterinary doctor
Has done his Phd. In 2005
9.
Sudarshan Bhagat
(45)
NA
10.
Sanjeev Kumar
Balyan (57)
NA
11.
Krishan Pal Gujjar
(41)
NA
Appointed as Transport Minister of Haryana in 1996-99
Was leader of BJP's legislator team during 2000-05
Became state President of the BJP in 2009
12.
Nihalchand (43)
NA
Represents the Ganganagar constituency of Rajasthan
27 May 2014
10

India Politics
NOTES
27 May 2014
11

Disclosures
This report is for personal information of the authorized recipient and does not construe to be any investment, legal or taxation advice to you. This research report does not constitute an offer, invitation or
inducement to invest in securities or other investments and Motilal Oswal Securities Limited (hereinafter referred as MOSt) is not soliciting any action based upon it. This report is not for public distribution
and has been furnished to you solely for your information and should not be reproduced or redistributed to any other person in any form.
Unauthorized disclosure, use, dissemination or copying (either whole or partial) of this information, is prohibited. The person accessing this information specifically agrees to exempt MOSt or any of its
affiliates or employees from, any and all responsibility/liability arising from such misuse and agrees not to hold MOSt or any of its affiliates or employees responsible for any such misuse and further agrees
to hold MOSt or any of its affiliates or employees free and harmless from all losses, costs, damages, expenses that may be suffered by the person accessing this information due to any errors and delays.
The information contained herein is based on publicly available data or other sources believed to be reliable. While we would endeavour to update the information herein on reasonable basis, MOSt and/or
its affiliates are under no obligation to update the information. Also there may be regulatory, compliance, or other reasons that may prevent MOSt and/or its affiliates from doing so. MOSt or any of its
affiliates or employees shall not be in any way responsible and liable for any loss or damage that may arise to any person from any inadvertent error in the information contained in this report. MOSt or any
of its affiliates or employees do not provide, at any time, any express or implied warranty of any kind, regarding any matter pertaining to this report, including without limitation the implied warranties of
merchantability, fitness for a particular purpose, and non-infringement. The recipients of this report should rely on their own investigations.
This report is intended for distribution to institutional investors. Recipients who are not institutional investors should seek advice of their independent financial advisor prior to taking any investment decision
based on this report or for any necessary explanation of its contents.
MOSt and/or its affiliates and/or employees may have interests/positions, financial or otherwise in the securities mentioned in this report. To enhance transparency, MOSt has incorporated a Disclosure of
Interest Statement in this document. This should, however, not be treated as endorsement of the views expressed in the report.
Disclosure of Interest Statement
1. Analyst ownership of the stock
2. Group/Directors ownership of the stock
3. Broking relationship with company covered
4. Investment Banking relationship with company covered
Companies where there is interest
No
No
No
No
India Politics
Analyst Certification
The views expressed in this research report accurately reflect the personal views of the analyst(s) about the subject securities or issues, and no part of the compensation of the research analyst(s) was, is,
or will be directly or indirectly related to the specific recommendations and views expressed by research analyst(s) in this report. The research analysts, strategists, or research associates principally
responsible for preparation of MOSt research receive compensation based upon various factors, including quality of research, investor client feedback, stock picking, competitive factors and firm revenues.
This report is not directed or intended for distribution to or use by any person or entity resident in a state, country or any jurisdiction, where such distribution, publication, availability or use would be contrary
to law, regulation or which would subject MOSt & its group companies to registration or licensing requirements within such jurisdictions.
Regional Disclosures (outside India)
This report is intended for distribution only to persons having professional experience in matters relating to investments as described in Article 19 of the Financial Services and Markets Act 2000 (Financial
Promotion) Order 2005 (referred to as "investment professionals"). This document must not be acted on or relied on by persons who are not investment professionals. Any investment or investment activity
to which this document relates is only available to investment professionals and will be engaged in only with such persons.
For U.K.
Motilal Oswal Securities Limited (MOSL) is not a registered broker - dealer under the U.S. Securities Exchange Act of 1934, as amended (the"1934 act") and under applicable state laws in the United
States. In addition MOSL is not a registered investment adviser under the U.S. Investment Advisers Act of 1940, as amended (the "Advisers Act" and together with the 1934 Act, the "Acts), and under
applicable state laws in the United States. Accordingly, in the absence of specific exemption under the Acts, any brokerage and investment services provided by MOSL, including the products and services
described herein are not available to or intended for U.S. persons.
This report is intended for distribution only to "Major Institutional Investors" as defined by Rule 15a-6(b)(4) of the Exchange Act and interpretations thereof by SEC (henceforth referred to as "major
institutional investors"). This document must not be acted on or relied on by persons who are not major institutional investors. Any investment or investment activity to which this document relates is only
available to major institutional investors and will be engaged in only with major institutional investors. In reliance on the exemption from registration provided by Rule 15a-6 of the U.S. Securities Exchange
Act of 1934, as amended (the "Exchange Act") and interpretations thereof by the U.S. Securities and Exchange Commission ("SEC") in order to conduct business with Institutional Investors based in the
U.S., MOSL has entered into a chaperoning agreement with a U.S. registered broker-dealer, Motilal Oswal Securities International Private Limited. ("MOSIPL"). Any business interaction pursuant to this
report will have to be executed within the provisions of this chaperoning agreement.
The Research Analysts contributing to the report may not be registered /qualified as research analyst with FINRA. Such research analyst may not be associated persons of the U.S. registered broker-
dealer, MOSIPL, and therefore, may not be subject to NASD rule 2711 and NYSE Rule 472 restrictions on communication with a subject company, public appearances and trading securities held by a
research analyst account.
For U.S.
Motilal Oswal Capital Markets Singapore Pte Limited is acting as an exempt financial advisor under section 23(1)(f) of the Financial Advisers Act(FAA) read with regulation 17(1)(d) of the Financial
Advisors Regulations and is a subsidiary of Motilal Oswal Securities Limited in India. This research is distributed in Singapore by Motilal Oswal Capital Markets Singapore Pte Limited and it is only directed
in Singapore to accredited investors, as defined in the Financial Advisers Regulations and the Securities and Futures Act (Chapter 289), as amended from time to time.
In respect of any matter arising from or in connection with the research you could contact the following representatives of Motilal Oswal Capital Markets Singapore Pte Limited:
Anosh Koppikar
Kadambari Balachandran
Email:anosh.Koppikar@motilaloswal.com
Email : kadambari.balachandran@motilaloswal.com
Contact(+65)68189232
Contact: (+65) 68189233 / 65249115
Office Address:21 (Suite 31),16 Collyer Quay,Singapore 04931
For Singapore
Motilal Oswal Securities Ltd
27 May 2014
Motilal Oswal Tower, Level 9, Sayani Road, Prabhadevi, Mumbai 400 025
Phone: +91 22 3982 5500 E-mail: reports@motilaloswal.com
12