Initiating Coverage | 10 September 2014
Sector: Capital Goods
Bharat Electronics
Battle ready
Satyam Agarwal
(AgarwalS@MotilalOswal.com); +91 22 3982 5410
Amit Shah
(Amit.Shah@MotilalOswal.com);
Nirav Vasa
(Nirav.Vasa@MotilalOswal.com)

Bharat Electronics
Bharat Electronics: Battle ready
Page No.
Summary
..............................................................................................................
3
Defense Electronics at inflexion point
...........................................................
4-7
Bharat Electronics: Strengthening its Moat
...............................................
8-12
Expect 14% revenue CAGR, 18% earnings CAGR over FY15-17
................
13-15
Buy; price target of INR2,600 implies 26% upside
....................................
16-17
Risks and concerns
............................................................................................
18
Company background
.......................................................................................
19
Financials and valuations
...........................................................................
20-21
Investors are advised to refer through disclosures made at the end of the Research Report.
10 September 2014
2

Bharat Electronics
Initiating Coverage | Sector: Capital Goods
Bharat Electronics
BSE Sensex
27,265
S&P CNX
8,153
CMP: INR2,062
TP: INR2,600
Buy
Battle ready
Prepped for rising defense expenditure
Stock Info
Bloomberg
Equity Shares (m)
52-Week Range (INR)
1, 6, 12 Rel. Per (%)
M.Cap. (INR b)
M.Cap. (USD b)
BHE IN
80.0
2,320/895
7/85/34
165.0
2.7
The leader in Defense Electronics in India, Bharat Electronics (BHE) would be a
key beneficiary of the rising defense expenditure in the country.
The Indian Air Force would be finalizing large ticket acquisitions of USD20b-22b,
and as the proportion of Electronics is higher in Air Force orders, these deals
would be important from BHE’s perspective.
We expect BHE to report revenue CAGR of 14% and earnings CAGR of 18% over
FY15-17. Buy; our target price of INR2,600 implies 26% upside.
Financial Snapshot (INR Million)
2015E 2016E 2017E
Y/E Mar
Net Revenue 70,485 80,896 92,070
EBITDA
Adj PAT
EPS (INR)
Growth (%)
BV/Sh (INR)
RoE (%)
RoCE (%)
P/E (x)
P/BV (x)
9,754 12,600 15,027
9,637 11,485 13,436
120.5 143.6 167.9
3
12.5
8.4
17.2
2.2
19
13.4
10.1
14.4
2.0
17
14.1
11.0
12.3
1.8
965 1,069 1,190
Defense Electronics at inflexion point:
Large ticket acquisitions of USD20b-22b
to be finalized by the Indian Air Force –(1) MMCRA of ~USD20b from Dassault
(with 50% offset), and (2) Chinook/Apache Helicopters of ~USD2.5b from Boeing
– would be the key near-term drivers for Defense Electronics. Given that the
proportion of Electronics is higher in Air Force orders, the finalization of these
deals would be important from the perspective of Bharat Electronics (BHE).
Large Electronic Warfare Systems such as Tactical Communication Systems (TCS),
Battle Field Management Systems (BFMS), and Future Infantry Soldier System
(FISS), among others, would be medium-term drivers. In the past, BHE has stated
that the potential pipeline from TCS/BFMS stands at INR400b-500b.
Bharat Electronics to be key beneficiary:
BHE is the leader in Defense Electronics
in India, with a share of 55%+. BHE is well positioned to benefit from the rising
defense expenditure, supported by (1) strong manufacturing base (capacity
utilization of ~65%) and execution track record, (2) relationships with defense
and government agencies, (3) strategic collaboration with foreign technology
partners for new product development, and (4) in-house R&D capabilities (R&D
spend at 7.6% of revenues). Increased exports to friendly countries and higher
‘offset’ contribution opens up additional interesting growth opportunities.
Expect 14% revenue CAGR, 18% earnings CAGR over FY15-17:
We expect BHE to
report 14% revenue CAGR over FY15-17, largely supported by execution of the
Akash Missile project. During FY11/12, BHE received orders of ~INR65b for Akash
Missiles, and execution has been delayed. Improved execution will support
EBITDA margin (expect 210bp expansion during FY14-17), aided by lower staff
cost (expect 200bp decline), and lower provisions (expect 180bp decline),
offsetting the expected 165bp reduction in gross margin during this period. Net
working capital (NWC) is likely to deteriorate – being the lead integrator, BHE
had received advances on the Akash Missile project in FY11/FY12, leading to a
surge in cash balance and negative reported NWC.
Buy; price target of INR2,600 implies 26% upside:
We expect BHE to report EPS
of INR121 in FY15 (up 3%), INR144 in FY16 (up 19%), and INR168 in FY17 (up
17%). We initiate coverage with a
Buy
rating; our target price is INR2,600 (18x
FY16E EPS).
Key risks:
Delayed decision making for defense procurements and
increased competition from the private sector.
Shareholding Pattern (%)
As on
Promoter
DII
FII
Others
Jun-14 Mar-14 Jun-13
75.0
17.7
2.3
5.0
75.0
16.9
3.7
4.3
75.9
15.1
4.3
4.7
Notes:
FII incl. depository receipts
Stock Performance (1-year)
10 September 2014
3

Bharat Electronics
Defense Electronics at inflexion point
The Defense / Strategic Electronics sector, which contributes 6-7% of India’s overall
Electronics market, is at an inflexion point. We expect the production of Strategic
Electronics, which was INR90b in FY13, to grow at a CAGR of 16-18% over FY14-20.
Near-term drivers:
Large ticket acquisitions of USD20b-22b to be finalized by
the Indian Air Force – (1) MMCRA of ~USD20b from Dassault (with 50% offset),
and (2) Chinook / Apache Helicopters of ~USD2.5b from Boeing – would be the
key near-term drivers for Defense Electronics. Given that the proportion of
Electronics is higher in Air Force orders, the finalization of these deals would be
important from the perspective of Bharat Electronics (BHE).
Medium-term drivers:
Large Electronic Warfare Systems such as Tactical
Communication Systems (TCS), Battle Field Management Systems (BFMS), and
Future Infantry Soldier System (FISS), among others, would be medium-term
drivers. In the past, BHE has stated that the potential pipeline from TCS / BFMS
stands at INR400b-500b.
Big-ticket projects in the pipeline: Key drivers for Defence Electronics
Tactical Communication Systems
Battle Field Management Systems
Command Information Decision Support System
Future Infantry Soldier System
High data Rate Multi-band Software Defined Radio
Unmanned Arial Vehicles and Aerostats
Source: Industry
Dominant share in Strategic Defense Electronics (INR b)
Defense / Strategic Electronics at inflexion point (INR B)
Source: Dept of Electronics and Information Technology, Company,
MOSL (FY14 industry growth assumed at 5%)
Source: Dept of Electronics and Information Technology, Company,
MOSL (FY14 industry growth assumed at 5%)
Capital Expenditure budget constitutes ~40% of the Defense budget
Source: Company, MOSL
10 September 2014
4

Bharat Electronics
Indian Defense sector has a large procurement pipeline
India’s defense sector has been long plagued by delayed decision making. The slow
procurement over the decades and the collapse of a string of defense deals during
the recent past has left the military short of key equipments. Hence there is an
urgent need to accelerate the process. We highlight the key procurement plans of
Indian Air Force, Army and Navy.
Indian Air Force Procurement Plan
Fighter Aircraft
Status
Induction into service
MMRCA
Specifications, contractual setup and work
If a contract is signed this year, then
share has been finalized with HAL by
the first batch of aircraft would be
Dassault Aviation. Initial 18 to be procured
delivered by 2017.
as fly-away and remaining 108 to be
licensed-produced by HAL in Bengaluru
PMF (FGFA) 5th Generation Fighter
PMF preliminary design phase (PDP)
To take place in 2022-2025 time frame.
completed in June 2013. Series production
HAL to commence flight testing of IAF
expected to commence in 2022. Su-30 MKI
variant in 2018
would have ended by then. 250 FGFA to
be procured
Sukhoi Su-30 MKI
Total of 272 ordered till date. HAL will
More than 150 Su-30 MKI are in IAF
complete delivery of 222 aircraft it has on
service
order by 2019-2020
Mirage 2000 Upgrade
Two aircraft being upgraded at present in
Upgrade of all aircraft scheduled to be
France. Remaining 47 aircraft to be
completed by 2021.
upgraded by HAL in Bengaluru
MiG 29 Upgrade
First of upgraded aircraft to enter service
Upgrade of 60 plus aircraft will be
this year
completed by middle of 13th plan
Jaguar Upgrade
Contract signed with HAL
Upgrade of all aircraft will be
completed by end of 13th plan
LCA ‘Tejas’ Mk1
FOC to be obtained by end of 2014
Two squadrons to be inducted by end
of 12th plan
Trainers
Status
Entry into service
Pilatus PC-7 Mk II
RFI for additional 106 trainers to be
Already in service with 37 trainers
acquired through ‘buy & make (Indian)’
delivered as of May this year
Basic Trainer
has been released
HJT 36 Sitara Intermediate Jet
IOC yet to be obtained
Entry into service likely to be delayed
Trainer (IJT)
by a few years
Hawk Mk-132 Advanced Jet Trainer
Orders for 20 more Hawks for Surya Kiran
All 66 from first order have been
(AJT)
display likely to be placed by next year
delivered. Deliveries underway as part
of additional contract for 40
Helicopters
Status
Entry into service
Light Utility Helicopter (LUH)
First prototype likely to be ready this year
Induction into service end of 12th plan
Reconnaissance & Surveillance
Winner yet to be declared
NA
Helicopter
Advanced Light Helicopter
Dhruv Mk4 deliveries currently underway
All Dhruv helicopter deliveries to
completed by end of 12th plan
Light Combat Helicopter (LCH)
65 on order for IAF
IOC likely to be obtained by 2015
Medium Lift Helicopter
All 71 Mi-17V-5 helicopters to be delivered
80 helicopters from previous order are
by next year
already in service
Heavy Lift Helicopter
Boeing Ch-47 D Chinook declared winner
Order for 15 helicopters has been
delayed
Attack Helicopter
Boeing AH-64 D Apache block 3 selected
Order for 22 helicopters has been
delayed
VVIP Helicopters
Order for 12 VVIP AW 101 helicopters
Three helicopters delivered to the IAF
terminated in January this year
before the order was terminated
Source: Force Magazine
10 September 2014
5

Bharat Electronics
India Navy Procurement Plan
Indigenous Warships
Project 15A 'Kolkata' class
Destroyer
Project 15B Destroyer
Entry into service
First of class INS Kolkata, to be delivered to
Navy this year. Sister ships INS Kochi and INS
are likely to be in service by 2016
Follow on class to project 15A. Contract for
Delivery schedule for four ships projected to
four P-15B ships has been signed in January
be July 2018, July 2020, July 2022 and July
2011
2024
will consist of 7 Frigates
First of class expected to be delivered to
Indian Navy post 2018
Total of four in class, Keel of the third ASW
INS Kamorta to be delivered to Indian Navy
corvette 'Kiltan' was laid in August 2010.
in FY15
Fourth and last of class named Kavaratti
Status
Entry into service
Status
All three 6,800 tonne destroyers are
significantly behind schedules
Project 17 A Frigate
Project 28 'Kamorta' Class
ASW corvette
Aircraft Carrier
Indigenous Aircraft Carrier 1
Now named INS Vikrant. Phase I completed
Trials to begin in 2016 with induction into
(IAC-1)
Navy being planned for 2018
Submarines
Status
Entry into service
Project 75 'Scorpene'
Total of six on order, has experienced
substantial delays, but project is now said
to be back on track
Upgrades planned to refit newer INS Shalki
and Shankul with Harpoon missiles
First in class named INS Arihant. Total of
three submarines to be built
Status
First Scorpene submarine will join the Indian
Navy only in 2016. Deliveries of remaining 5
submarines will be completed by 2021
NA
Sishumar-class HDW type
209/1500
Nuclear submarine
(indigenous)
Naval Air Arm
Boeing P-8 Long range
Maritime Reconnaissance
(LRMR)
Medium Range Maritime
Reconnaissance (MRMR)
MiG-29K
Sea trials are expected to commence this
year
Entry into service
Fourth P-81 delivered on schedule last
month. Two additional aircraft to be
delivered this year.
NA
First MIG 29K Squadron was commissioned
last year at INS Hansa
Request for Information has been sent out
for Eight aircraft
Boeing Ch-47 D Chinook declared winner
Light Combat Aircraft (LCA)
Navy MK1
All 16 Fighters from initial order have been
delivered. Additional orders for 29 more
placed in 2010 and deliveries are now
underway
Behind schedule. Target date for initial
operational clearance (IOC) by 2014 will
not be met.
IOC likely to be achieved by 2016-17 with
entry into service towards 2020
Source: Force Magazine
10 September 2014
6

Bharat Electronics
India Army Procurement Plan
Rockets and Artillery
Status
Induction into service
Brahmos supersonic cruise
Army has placed orders for three regiments of
Two regiments with Brahmos are already
missile
Brahmos. Sanction for 4th regiment awaited.
operational. Third Regiment of Brahmos
Upgraded block III Brahmos has undergone
to be deployed in Arunachal Pradesh
successful series of trials
M777 ultra light
MOD delay has pushed back purchase of 145
If an order is placed by 2015-16, then
howitzers
M777 155mm/39 calibre ultra light howitzer's
first guns would be delivered by 2017-
pending since 2010. Cost has now increased from
2018, with deliveries being completed by
USD 647 mn to USD 885mn
2020 for 5 regiments
Ordinance factory Board
Ordinance Factory board displayed 155/45mm
If an order is placed by 2015-16, then
155/45mm calibre
calibre Dhanush based on original bofors
first guns would be delivered by 2017-
Dhanush artillery gun
drawings at Defexpo 2014. OFB has received
2018, with deliveries being completed by
indent for 114 units of 155mmx45 calibre
2020 for 5 regiments
artillery gun
Towed gun systems (TGS)
Has been declared a Make and Buy for 1800
2016-2018
and Mounted Gun system
systems. Winner yet to be declared
Armour
Status
Induction into service
T-90 S Bhisma Main battle
tank (MBT)
59 armoured regiments to be equipped with
around 1600 tanks (1000 to be manufactured in
India). DAC has cleared manufacture of 235 T-90
tanks at HVF Avadi
The fleet of T-72 tanks is being upgraded with
thermal imager stand alone system, improved
engines and auto land navigation system for
command and control tanks
All 124 tanks have been delivered to the Indian
Army
Already in operation. Substantial
numbers of T-90's to be upgraded with
improved shifting, navigation and fire
control system
Upgraded t-72 tanks are entering service
and with life extension to remain
operational beyond 2025
T-721 M1 Ajeya MBT
Arjun MBT MK-1
Arjun MBT MK-2
Future infantry combat
vehicle (FICV)
BMP-2/2K Sarath
Small Arms, Anti Tank
& Air Defence
Indian small arms system
(INSAS) Rifle replacement
The 43rd armoured regiment at
jaisalmer and 75th armoured regiment
are fully operational with 45 tanks each
Orders for 118 Arjun MK-2 likely to be obtained
If orders placed next year, deliveries will
next year. Trials expected to be completed this
begin in 2018. Production rate of 30
year
tanks annually being targeted
Make India project has requirement for 2600
An indigenous FICV will require at least 3
FICV's. Project approved in 2009. contenders are
years to enter production. The large
Mahindra, L&T, Tata motors and OFB
numbers mean that obsolete BMP2/2K
will be replaced only by 2030
Indian Army looking to upgrade BMP-2/2K to
Large numbers and delays in the upgrade
BMP-2M standard without replacement of
mean that the entire fleet upgrade for
existing turret
approximately 1400 BMP's would be
complete only by 2025
Status
Entry into Service
To be replaced through global route. Request for
proposal issued in November 2011 for 60000
assault rifles. Field trials underway
Requirements for 43000 carbines
Induction likely to begin 2016 onwards.
Transfer of technology will see Indian
ordinance factories manufacture 140000
rifles
NA
NA
Close Quarter battle
carbines
3rd generation Anti tank
guided missile (ATGM)
Very short range air
defence system
(VSHORADS)
Israel Rafael spike and Raytheon/Lockheed
Martin Javelin in contention for order of up to
2000 launchers with 24,000 missiles
Tender underway since 2010. Competitors are
MBDA Mistral, Saab RBS 70 NG and KBM Igla S
for an order of close to 1,000 launchers with
6000 missiles initially. Raytheon's stinger also an
offer
NA
Source: Force Magazine
10 September 2014
7

Bharat Electronics
Bharat Electronics: Strengthening its Moat
Bharat Electronics (BHE) is the leader in Defense Electronics in India, with a share of
55%+. The company is well positioned to benefit from the rising defense
expenditure, supported by (1) strong manufacturing base (capacity utilization of
~65%) and execution track record, (2) relationships with defense and government
agencies, (3) strategic collaboration with foreign technology partners for new
product development, and (4) in-house R&D capabilities (R&D spend at 7.6% of
revenues). Increased exports to friendly countries and higher ‘offset’ contribution
open up additional interesting growth opportunities.
BHE: Customer profile
Segments
Defense Communication
Naval Systems, Electro Optics, Electronic
Warfare, Avionics, Tank Electronics,
Weapon Systems, Command and Control
Systems
Radars & Sonars
Telecommunication
Broadcasting Equipments and Studio
Systems
Electronic Voting Machine
Solar Products & Systems
Turnkey Systems, E-Governance
Networks
Components
Customers
Indian Defense Services, Para-military forces
Indian Defense Services, Para-military forces
Indian Defense Services, Civil Aviation, Meteorological
Department, Space Department.
Department of Telecommunication, Para-military forces,
Railways, DRDO
All India Radio, Doordarshan, (National Radio & TV
Broadcasters), ISRO
Election Commission of India.
Police, Individuals, Private and Government organizations.
Police, State governments, Public sector undertakings,
ISRO
All India Radio and Doordarshan the National Radio & TV
Broadcasters, Instrumentation Industry, Switching
Industry, Entertainment Industry, Telephone Industry,
Individuals
Source: MOSL, Company
BHE’s Key Product portfolio
Defense Products
Non Defense Products
Services
Army Communication Products &
Systems
Land-based Radars
Naval Systems
Electronic Warfare Systems
Avionics
Electro Optics
Tank & Armoured Fighting Vehicle
Weapon Systems
C4I Systems
Shelters & Masts
Simulators
Batteries
E-governance
Systems
Homeland
Civilian Radars
Solar products
Electronic
Telecom,
PCB assembly (SMT, Through Hole, BGA) and testing
Precision Machining and Fabrication
Opto electronics components and assemblies
Microwave Integrated Circuit Assemblies
Super Components Modules
Cable assemblies and wiring harnesses
Design and manufacturing of professional grade
Antennae manufacturing
Source: MOSL, Company
10 September 2014
8

Bharat Electronics
#1
R&D spend at 7.6% of revenues
To improve indigenization, adapt upcoming technologies, and maintain its
leadership position in the fast evolving Defense Electronics market, BHE has laid
strong emphasis on R&D (FY14 spend at 7.6% of net sales). Its focused approach has
led to 85% of its revenues coming from indigenously developed products. Products
developed in-house account for 41% of its revenues, while products developed in
association with DRDO and other national laboratories account for 44%.
BHE has enhanced R&D spending (% of revenues) / R&D
manpower meaningfully since FY09
R&D (% Revenues)
R&D Employees
BHE’s revenue composition: Higher proportion of revenues
from indigenously developed products
Indigenous
ToT
40%
15%
27% 19% 17% 25% 25% 22% 19% 22%
60%
85%
73% 81% 83% 75% 75% 78% 81% 78%
Source: Company, MOSL
Source: Company, MOSL
BHE has filed for 9 patents
during FY14 in the area of x-
ray baggage scan images,
radar scan converter,
gradient estimate for
adaptive analog beam,
accurate target bearing
using digital compass, etc
BHE: New products developed / introduced
FY11
Akash Weapon System
New Generation Humsa Sonar
Mobile Communication Terminal
Combat Management Systems for Ships
Coastal Surveillance System
Tablet PC
Integrated anti submarine warfare complex
Advanced torpedo defence system
Digital radio trunking system
Upgraded indigenous forward observer simulator
Electro optic fire control systems
Integrated radio line modem
Remotely operated vehicle
Thermal imaging camera for fly catcher radar
National Command Control Communication and Intelligence Network (NC3I)
Mobile Cellular Communication System
Passive Night Vision Devices with XD4 technology
ESM system for small ship
Point to Multi Point Radio and mast for LORROS
3D Tactical Control Radar
Low Level Light Weight Surveillance Radar (Bharani)
Missile Approach Warning System
Printing attachment to EVM to facilitate comparison of votes in event of disputes
EVM with new specifications incl digital certification and tamper proof mechanism
Hull Mounted Sonar
Source: MOSL, Company
FY12
FY13
FY14
10 September 2014
9

Bharat Electronics
#2
Technology collaborations / MoUs with several foreign players for product
development / offset opportunities
BHE has forged technology collaborations with global players like (1) Thales, France
(radars for select defense and civilian applications), and the JV has been approved
by the FIPB / Central Government, and (2) Elbit Systems Intelligence and Electro-
Optics (licensed collaborated manufacturing and D-level maintenance of Compact
Multi-Purpose Advanced Stabilized System for the Advanced Light Helicopter
Program), among others. These collaborations should enable BHE to enhance its
capabilities to cater to various domestic projects.
Also, given the strong “Offset” pipeline in Defense Procurement, BHE is interacting
with several foreign companies like Elbit Systems, Boeing, Lockheed Martin,
Raytheon, Northrop Grumman, BAE Systems, SAAB, Thales, and Israel Aerospace
Industries for possible business arising out of various RFPs issued by the Ministry of
Defense. It has already signed several MoUs, which should enable BHE to be a part
of the global supply chain.
During FY14, BHE has received record high export order inflow of US$142m and
export order book stands at US$194m. Of the total order book, offset order book
stands at US$28m, growth of 119% YoY basis. We believe that recent 49% FDI
approval in defence from central government augurs well for BHE’s offset portfolio
as every order above INR3bn will have an 30% offset clause built in.
Technology tie-ups / MoUs signed by BHE
Company
Oerlikon Contraves, Switzerland
Norcontrol, Norway
Northrop Grumman, USA
ELTA, Israel
INROS, Russia
Matra Defence Equipments & Systems,
Sextant, France
ELBIT, Israel
Ericsson, Sweden
Elopotro, South Africa
Signaal, The Netherlands
Thompson Tube Electronic, France
Optelian International Corp
Thales, France
Elbit Systems Intelligence and Electro-
TCOM, USA
Textron Systems
Sagem, France
Israel Aerospace Industries
Elbit Systems Intelligence and Electro-
Optics
Products
Naval FC Systems
Radar Scan Convertor
Airport Radars
Battle Field Surveillance Radar
Sonobouys
Electric Drive system for Tanks
LCD display unit
Stand alone communication unit
Radio Relay System
Laser Range Finder
Fire Control Radar
TWT
Manufacture & Design of optical networking systems in India
Radars for select defense and civilian applications
Compact Multi Purpose Advance Stabilization System
Aerostat Surveillance and Communication System
Unattended Ground Sensor (UGS) system
Navigational Sensors like periscope, Inertial Navigational
Long range Surface to Air Missile ship-defense systems
Licensed collaborated manufacturing and D-Level
Maintenance of Compact Multi-Purpose Advanced Stabilized
Source: MOSL, Company
10 September 2014
10

Bharat Electronics
#3
Increased exports to friendly countries
Increased exports of defense equipment and armaments to friendly countries could
also be a key driver. Going by recent media articles, BHE could make a beginning by
exporting BrahMos missiles to South East Asian and South American countries.
Vietnam, Indonesia, and Venezuela have expressed willingness to procure the
BrahMos supersonic missiles. India could also export indigenously developed Light
Combat Aircraft (Tejas; expect clearance in 2014), Air Defense Systems (Akash and
Prahar class of missiles), etc, to friendly countries.
BHE’s export order book increased meaningfully in FY14 to USD194m (v/s USD94m
in FY13). It exported sonar systems for the first time in FY14. Other major products it
has exported include Automatic Identification Systems, Radar Warning Systems,
Radar Finger Printing Systems, Casings, Stators, Electromechanical Parts, etc. Also,
BHE has successfully established itself as a supply chain partner of global players like
Boeing and Hamilton Sunstrand. In FY14, it successfully commenced manufacturing
of Aircraft Cable Looms for Pilatus of Switzerland.
The management targets to increase its export sales to total sales ratio from the
current 4% in FY14 to 7% by FY19.
BHE: Increased contribution of exports (INR B)
Exports (INR B)
% of Revenues
4%
5%
5%
6%
1%
1%
2%
2%
3%
3%
3%
Source: MOSL, Company
#4
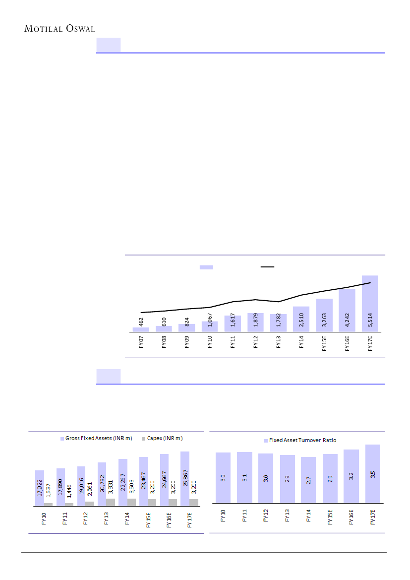
Infrastructure in place to target INR100b revenue
BHE has created a strong manufacturing base of nine factories, which currently
operate at ~61% capacity utilization. The management believes these assets can
support revenues of up to INR100b; the business has meaningful operating leverage.
Steady infrastructure Creation over the Years
FA turnover ratio to improve as execution picks up (x)
Source: MOSL, Company
10 September 2014
Source: MOSL, Company
11

Bharat Electronics
BHE: Key manufacturing facilities
Military communication equipment, network centric systems, military radars,
navel systems, electronic warfare(airforce), avionics, weapon system, telecom and
broadcast system, components, coastal surveillance system, electronic voting
machines, solar products, traffic signals, security systems, microwave super
components.
Network centric systems, radars, antennae, satcom (defense), microwave
components
Military communication equipment, encryption products
Telecommunication systems, military communication systems
X-ray tubes, batteries and laser products
Shelters and masts
Electronic warfare systems
Electro optics ( nights vision devices)
Tank electronics, gun upgrades
Source: MOSL, Company
Bangalore
Ghaziabad
Panchkula
Kotdwara
Pune
Navi Mumbai
Hyderabad
Machilipatnam
Chennai
10 September 2014
12

Bharat Electronics
Expect 14% revenue CAGR, 18% earnings CAGR over FY15-17
We expect BHE to report 14% revenue CAGR over FY15-17, largely supported by
execution of the Akash Missile project. During FY11/12, BHE received orders of
~INR65b for Akash Missiles and execution is delayed. With successful test firing for
the Indian Air Force in FY13 / Indian Army in FY14, execution should pick up in FY15-
16. Improved execution will support EBITDA margin (expect 210bp expansion during
FY14-17), aided by lower staff cost (expect 200bp decline), and lower provisions
(expect 180bp decline), offsetting the expected 165bp reduction in gross margin
during this period. We expect net profit to grow at a CAGR of 18% over FY15-17.
Net working capital (NWC) is likely to deteriorate – being the lead integrator, BHE
had received advances on the Akash Missile project in FY11/FY12, leading to a surge
in cash balance and negative reported NWC.
Expect revenue CAGR of 14%, led by Akash Missile execution
Expect revenue CAGR over FY14-17 to improve to 14%
Revenues (INR B)
% YoY
Expect
acceleration
Constrained
execution
Execution of Akash Missile to normalize BTB
Order Book (INR B)
Akash Missile order in
FY11/12 of INR65b
BTB (x)
Source: Company, MOSL
Source: Company, MOSL
Gross margin to decline but EBITDA to increase, given lower staff costs
Expect gross margin to decline further, but EBITDA margin
should expand
Gross Margins (%) LHS
60%
50%
40%
30%
20%
10%
0%
EBIDTA (%)
30%
25%
20%
15%
10%
5%
0%
26.0%
22.0%
18.0%
14.0%
10.0%
Employee strength cut by ~45% from peak levels in FY01; to
support margins
Staff Costs (% of Revenues)
Employees (Nos)
16000
14000
12000
10000
8000
Source: Company, MOSL
Source: Company, MOSL
10 September 2014
13

Bharat Electronics
Reported NWC to deteriorate, largely due to execution of Akash Missile project
Customer advances to decline sharply as % of revenues, but
to be stable as % of order book, impacting NWC
% of Order Book
40%
30%
20%
10%
0%
% of Revenues
160%
120%
80%
40%
0%
400
300
200
100
0
-100
-200
Volatility in FY11/12 in NWC / cash was due to advances on
Akash Missile project
NWC (Days)
Net Cash (INR B)
80
60
40
20
0
-20
-40
Source: Company, MOSL
Source: Company, MOSL
Core NWC to improve; however reported NWC to deteriorate as customer advances decline (Days)
FY10
Inventories
Debtors
Loans and Advances
Other Current Assets
Total Current Assets
Creditors
Other Current Liabilities
Provisions
Total current Liabilities
Core NWC
Customer Advances
Reported NWC
168
149
30
0
347
55
8
37
64
283
241
43
FY11
161
189
35
1
386
55
20
37
75
311
421
-110
FY12
177
170
106
4
457
68
24
37
92
365
454
-89
FY13
196
199
86
5
486
67
23
43
90
396
353
43
FY14
196
241
71
4
512
70
25
35
95
418
307
111
FY15E
190
225
80
4
499
69
24
38
93
406
265
141
FY16E
180
210
85
4
479
68
23
40
91
388
225
163
FY17E
175
200
90
4
469
65
22
40
87
382
210
172
Source: MOSL, Company
CFO to turn positive led by improvement in core NWC
Cash balance (% of CE) to decline
Source: MOSL, Company
Source: MOSL, Company
10 September 2014
14

Bharat Electronics
BHE: Key orders acquired and executed in FY14
Key orders acquired
Advanced composite communication
Electronic support measures system
Missile warning system
Stabilized optronic pedestal for CRN 91
Passive night vision devices
Modular Combat Management System
Ship borne EQ System
Electronic Voting Machines
Key orders executed
Akash Missile system
Passive night vision devices
Central Acquisition Radar
National Population Register
Electronic support measure system for small ships
Missile warning system
Low level light weight Radar (Bharani)
Low intensity conflict EW system
National Command Control Communication and
Fire Control System
Hull Mounted Sonar
Electronic Voting Machine
Source: MOSL, Company
10 September 2014
15

Bharat Electronics
Buy; price target of INR2,600 implies 26% upside
We believe that BHE is well positioned to benefit from the rising defense
expenditure, supported by (1) strong manufacturing base (capacity utilization of
~60%) and execution track record, (2) relationships with defense and government
agencies, (3) strategic collaboration with foreign technology partners for new
product development, and (4) in-house R&D capabilities (R&D spend at 7.6% of
revenues)We expect BHE to report EPS of INR121 in FY15 (up 3%), INR144 in FY16
(up 19%), and INR168 in FY17 (up 17%). We initiate coverage with a
Buy
rating; our
target price is INR2,600 (18x FY16E EPS).
Key risks:
Delayed decision making for
defense procurements and increased competition from the private sector.
Net profit growth of 18% CAGR over FY15-17E as
P/E band
Source: Company, MOSL
Source: Company, MOSL
Return Ratios to improve
P/B band
Source: Company, MOSL
Source: Company, MOSL
Global Peer Group valuation Matrix (USD m)
CY13
Company
Thales SA
Rockwell Collins Inc
L-3 communications Holdings
ITT Corp
CAE Inc
Heico Corp
Mcap
11,688
10,388
9,741
4,510
3,285
2,965
Sales
18,854
4,610
12,629
2,497
2,033
1,009
Op Margin PAT Margin
10
23
12
11
21
22
4
14
6
20
7
10
RoE
15
44
14
51
13
17
CY14E
6.2
10.9
9.4
9.8
10.0
13.5
EV/EBIDTA
CY15E
5.9
10.1
9.1
8.8
8.9
12.1
CY16E
5.8
9.3
8.7
8.1
8.2
11.0
CY14E
12.2
17.1
14.1
20.2
20.0
28.4
P/E (x)
CY15E
11.4
15.5
12.9
17.9
17.4
25.3
CY16E
10.6
13.9
11.6
16.1
15.2
22.1
Source: MOSL, Company
10 September 2014
16

Bharat Electronics
Operating Matrix
INR m
Order book
Y-o-Y growth
Order inflow
Y-o-Y growth
Execution
Y-o-Y growth
Book to bill ratio (x)
Net Sales
Defence
Non Defence
Net Sales
Indigenously developed
In association with DRDO, etc
Total Indigenous
ToT from Foreign OEM's
Net Sales
Domestic
Exports
Exports, % of Total
Cost structure (% of Revenue)
Raw material cost
Employee Cost
Other Expenses
Provisions/write off
R&D Expenses (INR m)
R&D Expenses % to Sales
Net cash/( Debt) (INR m)
Core NWC (Days)
Customer Advances
Reported NWC (Days)
FY10
113,500
9.3%
61,444
14.1%
51,804
13.0%
2.2
51,804
44,330
8,798
FY11
236,000
107.9%
177,217
188.4%
54,717
5.6%
4.3
54,717
44,696
11,174
FY12
257,480
9.1%
77,897
-56.0%
56,500
3.3%
4.6
56,500
42,104
15,573
FY13
249,490
-3.1%
52,425
-32.7%
59,905
6.0%
4.2
59,905
51,882
9,156
FY14
234,520
-6.0%
42,300
-19.3%
61,223
2.2%
3.8
61,223
52,087
10,668
FY15E
220,634
-5.9%
54,990
30.0%
68,876
12.5%
3.2
68,876
57,856
11,020
FY16E
212,914
-3.5%
71,487
30.0%
79,207
15.0%
2.7
79,207
65,742
13,465
FY17E
215,551
1.2%
92,933
30.0%
90,296
14.0%
2.4
90,296
74,043
16,253
57.0%
18.0%
75.0%
25.0%
57.0%
21.0%
78.0%
22.0%
54.0%
27.0%
81.0%
19.0%
NA
NA
78.0%
22.0%
41.0%
44.0%
85.0%
15.0%
51,131
1,067
2.1%
53,680
1,617
3.0%
55,157
1,879
3.3%
58,340
1,782
3.0%
59,232
2,510
4.1%
65,613
3,263
4.7%
74,965
4,242
5.4%
8,782
5,514
6.1%
56.4
19.0
4.8
2.0
3159
5.9
35,777
283
241
43
56.3
18.6
5.0
2.4
3882
6.9
65,192
311
421
-110
62.1
18.7
5.7
2.9
4682
8.1
67,725
365
454
-89
62.4
18.2
6.0
2.9
5099
8.4
53,025
396
353
43
57.9
16.4
6.3
5.4
4670
7.4
45,644
418
307
111
59.0
16.7
6.3
4.3
59.3
15.1
6.3
3.8
59.5
14.4
6.3
3.5
46,040
406
265
141
47,366
51,540
388
382
225
210
163
172
Source: MOSL, Company
10 September 2014
17

Bharat Electronics
Risks and concerns
Increase in competition from private players
In order to thrust indigenization in the defence sector, Government has increased
the FDI Limit in July 2014 in defence sector to 49%. Increased FDI limit can lead to
huge investments in defence sector by global defence giants by forging partnership
with Indian private companies and bid for the upcoming projects. This will
significantly increase the competition in the defence Sector and might hurt the
financials of the private sector.
Delay in Finalization of defence orders
Over the last five years, BHE as well as defence sector has witnessed sluggish order
finalization on account of the policy logjam at the Centre. If the constrained ordering
environment continues in future than it might significantly impact the financials of
the company.
Inability to indigenize Technology
Technology tie up and absorption of the technology for indigenization remains key
for financial success of BHE. Any failure to successfully tie with foreign vendor or in
absorption of technology will impact the financials of the company.
De-licensing of the BHE’s product list
Currently BHE’s product continue to be in the licensed category and thus any new
player entering the BHE’s product category has to procure license from Government
for the manufacturing of the same. If going ahead government de-licenses BHE’s
products since electronics are not standalone weapons systems then it can intensify
the competition and impact the financials of the company.
10 September 2014
18

Bharat Electronics
Company background
Bharat Electronics Limited (BHE) was established at Bangalore, India, by the
Government of India under the Ministry of Defence in 1954 to meet the specialized
electronic needs of the Indian defence services. Over the years, it has grown into a
multi-product, multi-technology, multi-unit company servicing the needs of
customers in diverse fields in India and abroad.
Key Milestones
Year
1956
1961
1962
1964
1967
1970
1972
1973
1979
1985
1989
Products Introduced
Communication Equipment
Receiving Valves
Germanium Semi-conductors
Radio Transmitters for AIR
Transmitting Tubes, Silicon Devices and Integrated circuits
Black and white TV picture Tube, X-ray tube and microwave tubes
TV transmitters for Doordarshan
Frigate Radars for Navy
Image Converter and Image intensifier tubes
Low power TV transmitters and TVRO for expansion of Doordarshan's Coverage
Telecom switching and transmission systems
Electronic Voting Machine
Source: MOSL, Company
Year
1966
1968
1974
1980
1981
1982
1983
1985
1986
Manufacturing Facility Set up
Sets up radar manufacturing Facility for Army
Sets up in-house R&D Facility
Sets up PCB manufacturing Facility
Sets up Manufacturing facility for Radars and Tropo communication Equipment for Indian Air
force
Sets up first overseas office in Newyork for procurement of components and materials
Sets up manufacturing Facility for Magnesium Manganese Dioxide batteries at Pune
Sets up Space Electronic division at Bangalore
Takes over Andhra Scientific Company
Sets up manufacturing facility for supply of Tank Electronics
Sets up manufacturing facility for military communication equipment
Sets up manufacturing facility for switching Equipment
Sets up manufacturing facility for TV glass Shell
Sets up Manufacturing Facility for Electronic warfare Equipment
Sets up separate Naval Equipment division
Sets up first central Research Laboratory to focus on R&D
First JV with M/s Delft of Holland
Sets up second Research Laboratory
Sets up JV with M/s GE USA
Sets up second overseas at Singapore to source components from South East Asia
Mini Ratna Status
Navratna Status
Source: MOSL, Company
1987
1990
1992
1997
1998
2002
2007
10 September 2014
19

Bharat Electronics
Financials and valuations
Income statement
Y/E Mar
Net Revenue
Change (%)
EBITDA
EBITDA Margin (%)
Depreciation
EBIT
Interest
Other Income
Extraordinary items
PBT
Tax
Tax Rate (%)
Reported PAT
Adjusted PAT
Change (%)
Min. Int. & Assoc. Share
Adjusted PAT
2012
57,676
3
6,146
10.7
1,208
4,938
6
5,855
-39
10,748
2,450
22.8
8,338
8,299
-1
0
8,299
2013
61,038
6
6,425
10.5
1,307
5,118
8
6,100
-64
11,146
2,248
20.2
8,962
8,898
7
0
8,898
2014
62,755
3
8,911
14.2
1,421
7,490
34
4,285
6
11,747
2,431
20.7
9,310
9,316
4
0
9,316
2015E
70,485
12
9,754
13.8
1,525
8,229
30
4,000
0
12,199
2,562
21.0
9,637
9,637
4
0
9,637
(INR Million)
2016E
80,896
15
12,600
15.6
1,632
10,969
30
3,600
0
14,539
3,053
21.0
11,485
11,485
19
0
11,485
2017E
92,070
14
15,027
16.3
1,740
13,287
30
3,750
0
17,007
3,571
21.0
13,436
13,436
17
0
13,436
Balance sheet
Y/E Mar
Share Capital
Reserves
Net Worth
Debt
Deferred Tax
Total Capital Employed
Gross Fixed Assets
Less: Acc Depreciation
Net Fixed Assets
Capital WIP
Investments
Current Assets
Inventory
Debtors
Cash & Bank
Loans & Adv, Others
Curr Liabs & Provns
Curr. Liabilities
Provisions
Net Current Assets
Total Assets
2012
800
55,570
56,370
0
-2,282
54,088
19,016
13,914
5,102
1,136
120
139,941
27,918
26,869
67,725
17,429
92,210
86,323
5,887
47,731
54,088
2013
800
62,429
63,229
0
-2,716
60,513
20,732
14,978
5,755
1,614
120
134,257
32,711
33,347
53,025
15,174
81,233
74,071
7,162
53,024
60,513
2014
800
69,498
70,298
0
-2,995
67,304
22,267
15,757
6,509
1,969
120
133,680
33,701
41,508
45,644
12,826
74,974
68,979
5,995
58,705
67,304
2015E
800
76,434
77,234
0
-3,000
74,234
23,467
17,283
6,184
2,000
120
142,401
36,691
43,449
46,040
16,221
76,471
69,133
7,338
65,930
74,234
(INR Million)
2016E
2017E
800
800
84,700
94,369
85,500
95,169
0
0
-3,000
-3,000
82,500
92,169
24,667
25,867
18,914
20,655
5,752
5,212
2,000
2,000
120
120
153,529 169,844
39,894
44,143
46,543
50,449
47,366
51,540
19,725
23,711
78,902
85,007
70,036
74,917
8,865
10,090
74,628
84,837
82,500
92,169
E: MOSL Estimates
10 September 2014
20

Bharat Electronics
Financials and valuations
Ratios
Y/E Mar
Basic (INR)
EPS
Cash EPS
Book Value
DPS
Payout (incl. Div. Tax.)
Valuation(x)
P/E
Cash P/E
Price / Book Value
EV/Sales
EV/EBITDA
Dividend Yield (%)
Profitability Ratios (%)
RoE
RoCE
Turnover Ratios (%)
Asset Turnover (x)
Debtors (No. of Days)
Inventory (No. of Days)
Creditors (No. of Days)
Leverage Ratios (%)
Net Debt/Equity (x)
2012
104.2
118.8
704.6
20.8
23.3
2013
112.0
127.6
790.4
22.3
23.4
2014
116.4
134.2
878.7
23.3
23.4
17.8
15.4
1.3
0.8
5.2
1.1
14.7
6.8
3.0
170.0
176.7
68.4
0.0
14.1
6.5
2.9
199.4
195.6
67.4
0.0
13.3
8.4
2.7
241.4
196.0
69.6
0.0
2015E
120.5
139.5
965.4
28.9
24.0
17.2
14.8
2.2
1.8
12.4
1.4
12.5
8.4
2.9
225.0
190.0
69.0
0.0
2016E
143.6
164.0
1068.7
34.5
24.0
14.4
12.6
2.0
1.5
9.5
1.7
13.4
10.1
3.2
210.0
180.0
68.0
0.0
2017E
167.9
189.7
1189.6
40.3
24.0
12.3
10.9
1.8
1.3
7.7
1.9
14.1
11.0
3.5
200.0
175.0
65.0
0.0
Cash flow statement
Y/E Mar
OP/(Loss) before Tax
Depreciation
Others
Interest
Direct Taxes Paid
(Inc)/Dec in Wkg Cap
CF from Op. Activity
(Inc)/Dec in FA & CWIP
(Pur)/Sale of Invt
Others
CF from Inv. Activity
Inc/(Dec) in Net Worth
Inc / (Dec) in Debt
Interest Paid
Divd Paid (incl Tax)
CF from Fin. Activity
Inc/(Dec) in Cash
Add: Opening Balance
Closing Balance
2012
10,787
1,208
0
6
2,450
-2,534
6,979
-2,010
0
0
-2,010
-496
-1
-6
-1,934
-2,437
2,531
65,194
67,725
2013
11,210
1,307
0
8
2,248
-19,994
-9,780
-2,439
0
0
-2,439
-390
0
-8
-2,083
-2,481
-14,700
67,725
53,025
2014
11,741
1,421
0
34
2,431
-13,062
-2,291
-2,530
0
0
-2,530
-345
0
-34
-2,181
-2,560
-7,381
53,025
45,644
2015E
12,199
1,525
0
30
2,562
-6,828
4,364
-1,231
0
0
-1,232
-5
0
-30
-2,701
-2,736
396
45,644
46,039
(INR Million)
2016E
2017E
14,539
17,007
1,632
1,740
0
0
30
30
3,053
3,571
-7,371
-6,036
5,776
9,170
-1,200
-1,200
0
0
0
0
-1,200
-1,200
0
0
0
0
-30
-30
-3,220
-3,766
-3,250
-3,796
1,327
4,174
46,040
47,366
47,366
51,540
E: MOSL Estimates
10 September 2014
21

Bharat Electronics
NOTES
10 September 2014
22

This research report has been prepared by MOSt to provide information about the company(ies) and sector(s), if any, covered in the report and may be distributed by it and/or its affiliated company(ies). This
report is for personal information of the select recipient and does not construe to be any investment, legal or taxation advice to you. This research report does not constitute an offer, invitation or inducement to
invest in securities or other investments and Motilal Oswal Securities Limited (hereinafter referred as MOSt) is not soliciting any action based upon it. This report is not for public distribution and has been
furnished to you solely for your general information and should not be reproduced or redistributed to any other person in any form. This report does not constitute a personal recommendation or take into
account the particular investment objectives, financial situations, or needs of individual clients. Before acting on any advice or recommendation in this material, investors should consider whether it is suitable
for their particular circumstances and, if necessary, seek professional advice. The price and value of the investments referred to in this material and the income from them may go down as well as up, and
investors may realize losses on any investments. Past performance is not a guide for future performance, future returns are not guaranteed and a loss of original capital may occur.
MOSt and its affiliates are a full-service, integrated investment banking, investment management, brokerage and financing group. We and our affiliates have investment banking and other business
relationships with a significant percentage of the companies covered by our Research Department Our research professionals provide important input into our investment banking and other business selection
processes. Investors should assume that MOSt and/or its affiliates are seeking or will seek investment banking or other business from the company or companies that are the subject of this material and that
the research professionals who were involved in preparing this material may participate in the solicitation of such business. The research professionals responsible for the preparation of this document may
interact with trading desk personnel, sales personnel and other parties for the purpose of gathering, applying and interpreting market information. Our research professionals are paid in part based on the
profitability of MOSt which include earnings from investment banking and other business. MOSt generally prohibits its analysts, persons reporting to analysts, and members of their households from
maintaining a financial interest in the securities or derivatives of any companies that the analysts cover. Additionally, MOSt generally prohibits its analysts and persons reporting to analysts from serving as an
officer, director, or advisory board member of any companies that the analysts cover. Our salespeople, traders, and other professionals or affiliates may provide oral or written market commentary or trading
strategies to our clients that reflect opinions that are contrary to the opinions expressed herein, and our proprietary trading and investing businesses may make investment decisions that are inconsistent with
the recommendations expressed herein. In reviewing these materials, you should be aware that any or all o the foregoing, among other things, may give rise to real or potential conflicts of interest . MOSt and
its affiliated company(ies), their directors and employees may; (a) from time to time, have a long or short position in, and buy or sell the securities of the company(ies) mentioned herein or (b) be engaged in
any other transaction involving such securities and earn brokerage or other compensation or act as a market maker in the financial instruments of the company(ies) discussed herein or act as an advisor or
lender/borrower to such company(ies) or may have any other potential conflict of interests with respect to any recommendation and other related information and opinions.
Unauthorized disclosure, use, dissemination or copying (either whole or partial) of this information, is prohibited. The person accessing this information specifically agrees to exempt MOSt or any of its
affiliates or employees from, any and all responsibility/liability arising from such misuse and agrees not to hold MOSt or any of its affiliates or employees responsible for any such misuse and further agrees to
hold MOSt or any of its affiliates or employees free and harmless from all losses, costs, damages, expenses that may be suffered by the person accessing this information due to any errors and delays. The
information contained herein is based on publicly available data or other sources believed to be reliable. Any statements contained in this report attributed to a third party represent MOSt’s interpretation of the
data, information and/or opinions provided by that third party either publicly or through a subscription service, and such use and interpretation have not been reviewed by the third party. This Report is not
intended to be a complete statement or summary of the securities, markets or developments referred to in the document. While we would endeavor to update the information herein on reasonable basis, MOSt
and/or its affiliates are under no obligation to update the information. Also there may be regulatory, compliance, or other reasons that may prevent MOSt and/or its affiliates from doing so. MOSt or any of its
affiliates or employees shall not be in any way responsible and liable for any loss or damage that may arise to any person from any inadvertent error in the information contained in this report. MOSt or any of
its affiliates or employees do not provide, at any time, any express or implied warranty of any kind, regarding any matter pertaining to this report, including without limitation the implied warranties of
merchantability, fitness for a particular purpose, and non-infringement. The recipients of this report should rely on their own investigations.
Recipients who are not institutional investors should seek advice of their independent financial advisor prior to taking any investment decision based on this report or for any necessary explanation of its
contents.
MOSt and/or its affiliates and/or employees may have interests/positions, financial or otherwise in the securities mentioned in this report. To enhance transparency, MOSt has incorporated a Disclosure of
Interest Statement in this document. This should, however, not be treated as endorsement of the views expressed in the report.
Disclosure of Interest Statement
Analyst ownership of the stock
BHARAT ELECTRONICS
No
Disclosures
Bharat Electronics
Analyst Certification
The views expressed in this research report accurately reflect the personal views of the analyst(s) about the subject securities or issues, and no part of the compensation of the research analyst(s) was, is, or
will be directly or indirectly related to the specific recommendations and views expressed by research analyst(s) in this report. The research analysts, strategists, or research associates principally responsible
for preparation of MOSt research receive compensation based upon various factors, including quality of research, investor client feedback, stock picking, competitive factors and firm revenues.
Regional Disclosures (outside India)
For U.K.
This report is not directed or intended for distribution to or use by any person or entity resident in a state, country or any jurisdiction, where such distribution, publication, availability or use would be contrary to
law, regulation or which would subject MOSt & its group companies to registration or licensing requirements within such jurisdictions.
This report is intended for distribution only to persons having professional experience in matters relating to investments as described in Article 19 of the Financial Services and Markets Act 2000 (Financial
Promotion) Order 2005 (referred to as "investment professionals"). This document must not be acted on or relied on by persons who are not investment professionals. Any investment or investment activity to
which this document relates is only available to investment professionals and will be engaged in only with such persons.
Motilal Oswal Securities Limited (MOSL) is not a registered broker - dealer under the U.S. Securities Exchange Act of 1934, as amended (the"1934 act") and under applicable state laws in the United States.
In addition MOSL is not a registered investment adviser under the U.S. Investment Advisers Act of 1940, as amended (the "Advisers Act" and together with the 1934 Act, the "Acts), and under applicable state
laws in the United States. Accordingly, in the absence of specific exemption under the Acts, any brokerage and investment services provided by MOSL, including the products and services described herein
are not available to or intended for U.S. persons.
This report is intended for distribution only to "Major Institutional Investors" as defined by Rule 15a-6(b)(4) of the Exchange Act and interpretations thereof by SEC (henceforth referred to as "major institutional
investors"). This document must not be acted on or relied on by persons who are not major institutional investors. Any investment or investment activity to which this document relates is only available to major
institutional investors and will be engaged in only with major institutional investors. In reliance on the exemption from registration provided by Rule 15a-6 of the U.S. Securities Exchange Act of 1934, as
amended (the "Exchange Act") and interpretations thereof by the U.S. Securities and Exchange Commission ("SEC") in order to conduct business with Institutional Investors based in the U.S., MOSL has
entered into a chaperoning agreement with a U.S. registered broker-dealer, Motilal Oswal Securities International Private Limited. ("MOSIPL"). Any business interaction pursuant to this report will have to be
executed within the provisions of this chaperoning agreement.
The Research Analysts contributing to the report may not be registered /qualified as research analyst with FINRA. Such research analyst may not be associated persons of the U.S. registered broker-dealer,
MOSIPL, and therefore, may not be subject to NASD rule 2711 and NYSE Rule 472 restrictions on communication with a subject company, public appearances and trading securities held by a research
analyst account.
Motilal Oswal Capital Markets Singapore Pte Limited is acting as an exempt financial advisor under section 23(1)(f) of the Financial Advisers Act(FAA) read with regulation 17(1)(d) of the Financial Advisors
Regulations and is a subsidiary of Motilal Oswal Securities Limited in India. This research is distributed in Singapore by Motilal Oswal Capital Markets Singapore Pte Limited and it is only directed in Singapore
to accredited investors, as defined in the Financial Advisers Regulations and the Securities and Futures Act (Chapter 289), as amended from time to time.
In respect of any matter arising from or in connection with the research you could contact the following representatives of Motilal Oswal Capital Markets Singapore Pte Limited:
Anosh Koppikar
Kadambari Balachandran
Email:anosh.Koppikar@motilaloswal.com
Email : kadambari.balachandran@motilaloswal.com
Contact(+65)68189232
Contact: (+65) 68189233 / 65249115
Office Address:21 (Suite 31),16 Collyer Quay,Singapore 04931
For U.S.
For Singapore
10 September 2014
Motilal Oswal Securities Ltd
Motilal Oswal Tower, Level 9, Sayani Road, Prabhadevi, Mumbai 400 025
Phone: +91 22 3982 5500 E-mail: reports@motilaloswal.com
23

Bharat Electronics
10 September 2014
24