Update | 22 September 2014
Sector: Consumer
United Spirits
Paradigm shift: Beginning of a new era
Gautam Duggad
(Gautam.Duggad@MotilalOswal.com); +91 22 3982 5404
Manish Poddar
(Manish.Poddar@MotilalOswal.com); +91 22 3027 8029

United Spirits
UNITED SPIRITS – Paradigm shift: Beginning of a new era
Page No.
Summary
............................................................................................................
3
IMFL opportunity big and growing
..................................................................
5
Diageo in driver’s seat; course correction to gather pace
..............................
8
Management and operational changes
.........................................................
11
Premiumization to gain steam, aiding profitability
......................................
17
An MNC touch should benefit United Spirits
................................................
23
W&M divestment to deleverage balance sheet
............................................
25
Expect gradual improvement in financials over FY14-17
..............................
27
DCF-based target price implies 27% upside.................................................... 29
Annexure-I
........................................................................................................
33
Annexure-II
.......................................................................................................
39
Annexure-III
......................................................................................................
40
Annexure-IV...................................................................................................... 41
Financials and valuations
................................................................................
43
Investors are advised to refer through disclosures made at the end of the Research Report.
22 September 2014
2

22 September 2014
Update | Sector: Consumer
United Spirits
BSE Sensex
27,207
S&P CNX
8,146
CMP: INR2,362
TP: INR3,000
Upgrade to Buy
Paradigm shift: Beginning of a new era
Multi year growth story provides a good compounding play
Stock Info
Bloomberg
Equity Shares (m)
52-Week Range (INR)
1, 6, 12 Rel. Per (%)
M.Cap. (INR b)
M.Cap. (USD b)
UNSP IN
145.3
2,941/2,226
-5/-34/-41
347.6
5.7
Financial Snapshot (INR b)
Y/E Mar
2015E 2016E 2017E
Net Sales
91.8 103.9 119.2
EBITDA
Adj PAT
EPS (INR)
Gr. (%)
BV/Sh (INR)
RoE (%)
RoCE (%)
P/E (x)
P/BV (x)
9.9
4.5
31.1
NA
12.9
14.9
77.0
9.9
13.3
7.6
52.5
68.6
17.9
18.8
45.7
8.2
16.2
10.2
70.4
34.2
361.6
19.5
21.5
34.0
6.6
Diageo now control 55% of UNSP. We expect UNSP to embark on new journey
with improved and strengthened balance sheet, focus on premiumization and
cleaner governance practices.
Our optimism is backed by the solid long-term prospects for IMFL and UNSP’s
dominant positioning in the same. With new management and better controls in
place, we believe UNSP offers a unique multi-year play on IMFL growth story.
UNSP provides an interesting and liquid vehicle to ride the favorable
demographics driven long term consumption story of India.
The 20% price correction after the conclusion of the open offer provides a good
entry point. Our DCF-based target price of INR3,000 indicates an upside of 27%,
prompting us to upgrade our stock rating from Neutral to Buy.
Regulation and taxation policy related risks, spike in RM cost, and potential
corporate governance issues emanating from operating two different entities in
similar business are key risk factors.
Diageo in driver’s seat; course correction to gather pace
Post the completion of open offer, Diageo controls 55% of UNSP. We now
expect the course correction in UNSP to gather pace. With bulk of the balance
sheet clean up done, we expect Diageo to focus on driving operational
improvement – sharper focus on in-market execution and investments behind
premium power brands. In the medium term we expect the triumvirate of
attractive long term prospects of IMFL industry, UNSP’s dominant market
positioning within the same and strong management with better controls and
governance practices to drive shareholder returns.
241.1 293.6
Shareholding pattern % (Mar-14)
Jun-14 Mar-14 Jun-13
Promoter
DII
FII
Others
33.0
0.1
11.5
55.4
38.6
4.0
40.7
16.7
21.1
6.0
42.4
30.5
Premiumization to gain steam, aiding profitability
We expect the Diageo management to continue driving premiumization and
focus on (a) brand investments, (b) leverage reduction, (c) working capital
improvement, and (d) prudent capex. EBITDA margin should expand from 8.3%
in FY14 to 12.8% in FY17. Diageo has indicated the possibility of achieving 20%
EBITDA margin (last seen in FY08) in the long term. We expect margin
expansion efforts to gather pace post FY16. Our 10-year forecast builds in 20%
EBITDA margin by 2023.
Notes: FII includes depository receipts
Stock Performance (1-year)
United Spirits
Sensex - Rebased
3,600
3,200
2,800
2,400
2,000
W&M divestment to deleverage balance sheet
Divestment of W&M should free management bandwidth to focus on the
lucrative domestic opportunity and drive deleveraging of UNSP’s balance sheet.
We factor in INR37b debt reduction in FY15 from the proceeds of the W&M
stake sale, driving interest cost savings of ~INR4b (UNSP’s FY14 standalone PAT
was INR2.4b). UNSP also holds 3.6% stake in United Breweries (UBL) and owns
an IPL team. While Diageo intends to use the IPL asset as a marketing tool, we
believe it would be open to divesting its stake in UBL.
3
22 September 2014

United Spirits
IMFL opportunity big and growing; UNSP best placed
Favorable demographics (50% population <25 years of age), low per capita
consumption (0.9 litre per annum), rising middle class, growing disposable
income, increasing social acceptance of drinking, and rising consumption of
IMFL among women are the key long-term IMFL growth drivers. With a deep
and wide portfolio across price points and ~41% volume market share in a
segment characterized by a plethora of entry barriers (controlled distribution,
manufacturing, retailing and pricing, ban on advertisement), UNSP is well
placed to capitalize on this opportunity.
DCF-based target price implies 27% upside
We expect bulk of the financial improvement to happen post FY16. Given this,
we believe DCF is the best metric to capture the expected long-term value
enhancement. We use a two-stage DCF model to arrive at our fair value of
INR3,000. We revise our stock recommendation from
Neutral to Buy.
We have
been conservative in our estimates vs. consensus and believe UNSP, in the
ensuing 3-5 years, can offer many earnings upgrade opportunities. Near-term
stock price weakness due to disappointing quarterly earnings and write offs
should present a good buying opportunity, in our view. Regulation and taxation
policy related risks, spike in raw material cost, and potential corporate
governance issues emanating from operating two different entities in similar
business are key risk factors.
DCF valuation summary – fair value of INR3,000/share
INR m
EBITDA
Other income
Tax
WC change
Capex
FCF
PV of each FCF
Sum of PV of FCF
Terminal value
PV of terminal value
EV
Net debt
Equity value
No of shares
Per share value
2015E
9,981
2,750
-2,762
10,774
-6,000
14,742
14,742
104,822
890,046
372,331
477,153
40,063
437,090
145
3,008
Source: Company, MOSL
78%
2016E
13,306
3,025
-2,228
669
-4,000
10,772
8,876
2017E
16,165
3,328
-3,756
-2,005
-4,000
9,731
7,277
2018E
19,854
3,660
-5,039
-720
-4,500
13,255
8,998
2019E
24,591
4,026
-6,416
-1,386
-5,000
15,815
9,746
2020E
31,235
4,429
-8,310
-1,195
-5,000
21,159
11,835
2021E
40,581
4,872
-10,848
-4,059
-5,000
25,545
12,970
2022E
52,147
5,359
-14,258
-7,757
-5,000
30,491
14,052
2023E
65,526
5,895
-18,383
-9,013
-5,000
39,025
16,325
22 September 2014
4

United Spirits
IMFL opportunity big and growing
United Spirits is best placed to capitalize on IMFL opportunity
The Indian Made Foreign Liquor (IMFL) industry, a 300m case industry as at the end of
FY14, is likely to grow at a CAGR of 13% over FY14-17.
Favorable demographics, low per capita consumption, rising middle class, growing
disposable income, increasing social acceptance of drinking, and rising consumption of
IMFL among women are the key long-term growth drivers.
With a deep and wide portfolio across price points and ~41% volume market share in a
segment characterized by a plethora of entry barriers (controlled distribution,
manufacturing, retailing and pricing; ban on advertisement), UNSP is well placed to
capitalize on this opportunity.
IMFL industry set to grow at a CAGR of 13% over FY14-17
The Indian Made Foreign Liquor (IMFL) is a 300m case industry as on FY14 and is
likely to grow at a CAGR of 13% over FY14-17. Whisky constitutes the largest pie of
IMFL, with 59% of volumes followed by Brandy, Rum, Gin, and Vodka, with 22%,
15%, 3%, and 1%, respectively. UNSP enjoys ~41% volume market share in IMFL.
Exhibit 1: Whisky forms bulk of the IMFL market…
IMFL Market (in volume terms)
Rum
15%
White
Spirits
4%
Exhibit 2: …with nearly 2/3rd value contribution
IMFL Market (in value terms)
White
Rum
Spirits
15%
3%
Brandy
22%
Whisky
59%
Brandy
16%
Whisky
66%
Source: Company, Industry, MOSL
Source: Company, Industry MOSL
Exhibit 3: IMFL industry expected to post healthy double digit value CAGR
INR m
Spirits
Brandy and Cognac
Rum
Whiskies
Gin
Vodka
2013
994.7
164.2
115.1
666.9
6.9
41.5
2014
1,110.3
185.8
125.0
745.1
6.8
47.5
2015E
1,227.2
207.8
134.6
824.2
6.7
53.8
2016E
1,345.8
229.7
144.4
904.6
6.7
60.4
2017E
1,463.7
250.5
154.8
984.7
6.6
67.1
CAGR
12.5
13.7
9.7
13.3
3.3
25.0
Source: Industry Sources, Company, MOSL
Multiple growth drivers
1. Favorable demographics:
The age profile of the Indian population is most conducive for sustained growth
in liquor consumption. People in the age group 20-59 years are considered as
primary consumers of liquor and more than half of India's population is below
22 September 2014
5

United Spirits
30 years. Over next 10 years, 150m potential new consumers are expected to
come of drinking age.
There is today a sea change in social values and attitudes towards drinking. This
is aided by the growing proportion of nuclear families, urbanization, and
changing social ethos with greater acceptance of drinking alcohol (increasingly
becoming a lifestyle drink in big metros). All these factors indicate sustained
demand growth for the liquor industry in the coming years. Also, the middle
class population is expected to grow from 120m to 600m (45% of total) by 2025,
which augurs well for premium spirits, in our view.
Exhibit 4: More than half of India’s population is below 30 years
0-19
4.0%
9.1%
9.5%
13.2%
18.0%
46.3%
20-29
30-39
40-49
50-64
65 & over
5.7%
11.6%
12.3%
15.1%
17.1%
38.3%
2013
Source: United Nations, MOSL
4.7%
9.9%
10.6%
14.6%
17.8%
42.4%
2003
1993
2. Rising income levels:
India is one of the fastest growing economies in the world, with average GDP
growth of 6.2% for the past four years. Per capita income has increased 3.6x in
the last 12 years to INR66k. With robust economic growth, an increasing
proportion of the population is coming into the consuming class. Both the
affluent and the middle class income groups are expected to form 80% of
national consumption by 2025. Moreover, we expect discretionary income to
grow at a much faster pace than GDP growth, boosting demand for lifestyle
products, including liquor.
Exhibit 5: Rising disposable income has aided IMFL growth
Personal disposable income (INR'000)
60
33
39
44
51
66
18
19
20
22
24
26
30
Source: Company, Industry, MOSL
22 September 2014
6

United Spirits
3. Low per capita consumption:
Despite the per capita consumption growing at 22% in the past five years, India
per capita consumption of liquor (0.9 litre p.a) is relatively low as compared to
global standards (4.6 liters p.a). Even a small increase in per capita consumption
can significantly alter the growth rates and aggregate consumption levels of
liquor in India. As factors like age composition, income levels, and social
attitudes are positively inclined, we expect the liquor industry to post steady
double-digit growth in the coming years.
Exhibit 6: Per capita consumption remains low
9.5
Per Capita consumption (litres per annum)
8.5
5
Exhibit 7: Urban markets constitute two third of IMFL
industry (consumption in mn litres)
Urban (%)
1,444
68
1,618
68
32
0.9
Rural (%)
1,920
66
32
34
1,990
65
35
1,798
68
4.7
4.5
4.6
32
Russia
Brazil Thailand
USA
UK
World
India
2009
2010
2011
2012
2013
Source: Company, MOSL
Source: Company, MOSL
22 September 2014
7

United Spirits
Diageo in driver’s seat; course correction to gather
pace
Deep Economic Moat + MNC => multi-year compounding story!!
Post the completion of open offer, Diageo controls 55% of UNSP. We now expect the
course correction in UNSP to gather pace.
We expect gradual recovery in the balance sheet, cash flows, and return ratio. Bulk of
the ‘kitchen sinking’ of UNSP’s financials is behind, in our view.
Favorable long term industry prospects plus dominant market positioning now gets an
additional catalyst of a strong MNC management.
UNSP’s operational performance belie benefits of scale
Despite enjoying mark
et leadership in IMFL, with 41% volume share and ~50% value
share, UNSP’s operational performance has been sluggish vis-à-vis peers.
Disproportionate focus on volumes (even at the expense of profitability), imprudent
capital allocation, expansion in working capital with concomitant increase in
leverage, and group issues pertaining to Kingfisher have resulted in sub-par margins
and return ratios. UNSP has been unable to leverage scale benefits (volumes 4x of
next competitor). Even smaller domestic peers like Radico Khaitan (RDCK) and
Tilaknagar Industries (TLNGR) have outp
erformed UNSP on the EBITDA/case metric.
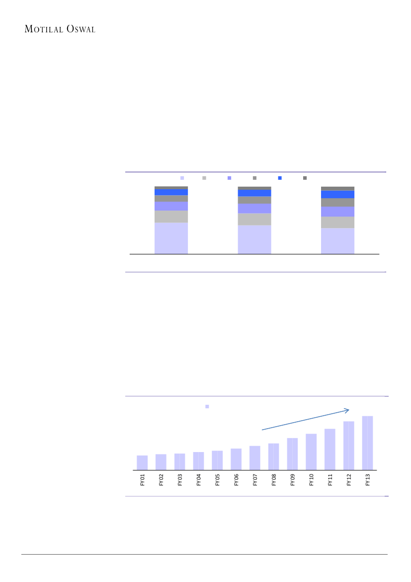
Exhibit 8: EBITDA margin (S/L) has deteriorated sharply
EBIDTA Margin (%)
18.8
15.7
10.2
5.2 5.6 5.5
15.3 15.7 15.1
12.6 12.5
9.1
49.9
47.3
41.1
35.4
54.4
Exhibit 9: Consol. working capital expanded significantly
NWC/Sales (%)
51.6
43.8
FY03 FY04 FY05 FY06 FY07 FY08 FY09 FY10 FY11 FY12 FY13 FY14
Source: Company, MOSL
FY08
FY09
FY10
FY11
FY12
FY13
FY14
Source: Company, MOSL
Exhibit 10: UNSP EBITDA per case (INR terms) lower than smaller domestic peers
United Spirits
Tilaknagar Industries
Radico Khaitan
FY08
FY09
FY10
FY11
FY12
FY13
FY14
Source: Company, MOSL
22 September 2014
8

United Spirits
Majority shareholding an incentive for Diageo to expedite operational
improvement
Post the Diageo-UNSP deal in November 2012, UNSP was re-rated, with
expectations of better management of core business. Diageo now owns 54.8% of
UNSP, having successfully completed its second open offer. With majority
shareholding and Diageo’s plans to consolidate UNSP financials with it w.e.f. 1
st
July
2014, we believe Diageo now has greater incentive to expedite operational
improvement. We see strong opportunity for Diageo to take UNSP’s margins back to
glory days. However, we expect this to happen gradually. Given the potential that
IMFL holds and Diageo’s focus on profitable volume growth, there could be further
stock re-rating.
Exhibit 11: Diageo now owns 54.8% of United Spirits
Entity
UBHL
KFIL
SWEW
UB Sports Mgmt
Palmer
Open offer
Preferential allotment
(10%)
Open market
Open market
Shares acquired in open
offer
Diageo's total shares
Total shares outstanding
Shares sold
to Diageo
10,141,437
6,575,550
125,531
548,460
4,376,771
58,668
14,532,775
1967940
3500000
37785214
79,612,346
145,327,750
% of expanded
capital
6.98
4.52
0.09
0.38
3.01
0.04
10.00
1.35
2.41
26.00
54.78
100.00
Source: Company, MOSL
Consideration
(INR m)
14,604
9,469
181
790
6,303
84
20,927
4,736
8,661
114,489
180,243
Is it a UBHL
Subsidiary
Yes
No
No
No
Yes
Yes
Yes
No
Yes
No
No
No
Has money flown
into company
What has Diageo done so far?
Diageo has implemented several corrective measures post acquiring control of
UNSP. Broadly these can be bracketed as a) Balance sheet clean up b) Management
and board level changes and c) Operational changes. We discuss them in details
below.
Kitchen sinking largely done; bulk of the write-offs over
While there should be gradual recovery in the balance sheet, cash flows, and return
ratios, this would be interspersed with some ‘kitchen sinking’ of UNSP’s financials.
In the recently announced FY14 results, UNSP has written off/made provisions for
certain intra group debt and outstanding debtors. We list them below:
Write offs/provisions: Balance sheet clean up
UNSP has provided for INR 36.2b as provision for loans given to intra- group
entity (net proceeds of W&M divestment being insufficient to pay off group
loans).
Explanation:
This write off is necessitated as the proceeds from the
divestment of W&M are not sufficient to pay off intra-group loans. W&M
9
22 September 2014

United Spirits
was sold for GBP430m. Net proceeds of GBP408m after paying transaction
charges would not be sufficient to repay intra-group loans, which stood at
INR47.9b as at 31
st
March 2014. After adjusting foreign currency
translation reserves of INR 9.4b, the net worth would be reduced by
INR36.2b.
It has also completely written off and provided for the entire investment made
in the subsidiary – Palmer (INR6.9b) and Montrose International (INR133.9m) –
cumulative provisions of INR7.1b.
Provision for debtors: INR6.5b has been provided as provision for account
receivables under debtors/third party manufacturers/project related parties,
advanced in earlier years.
Explanation:
These parties had accepted the due amount to UNSP earlier
but have subsequently reneged on the commitment and are proposing to
repay the dues only after receiving their own payments from other UB
group entities. These entities have claimed that they have advanced this
sum to certain “alleged UB group entities” and thus, the dues owed by
them to UNSP will be repaid only after receipt of their dues form such
entities. (Possibility of erstwhile UNSP management rerouting the sum to
other group entities via debtors). Management has proposed to conduct
detailed inquiry in these claims.
As regards the intra group loan of INR14.2b given to wholly owned sub UBHL,
UNSP has provided INR3.3b towards outstanding principal as on 31
st
March 2014
and has not recognized the interest income of INR 963.1m. Balance amount for
which no provision is created stand at INR9.95b.
Explanation:
UNSP has advanced loans of INR13.4b to UB Holdings at
9.5% per annum, effective 31
st
July 2013. Creditors of UB Holdings have
filed a winding up petition and the matter is subjudice. We believe the
probability of recovering these loans is low, as UB Holdings has defaulted
on its loan commitments to other banks. In our view, these loans would
be completely written off going forward. In the next few quarters, we
expect the remaining INR10b loans to be written off as well.
22 September 2014
10

United Spirits
Management and operational changes
Exhibit 12: Operational changes instituted by the new management
Senior management and board-level changes
st
Appointed Mr Anand Kripalu as CEO with effect from 1 April 2014. Mr Kripalu
has recently been roped in to be part of Diageo’s global executive committee.
The company appointed Mr Paul Walsh (ex-CEO, Diageo) and Mr Ravi Rajagopal
(Head, Global Business Development, Diageo) on the board.
Inducted Mr Sudhakar Rao (former Chief Secretary, Karnataka), Mr D
Sivanandhan (former IPS Officer), and Ms Indu Shahani as independent directors
on the board.
Appointed Mr Sam Fischer (currently Managing Director, Diageo Greater China)
as President, Diageo Greater China and Asia.
Created a new role and appointed Mr Ashoke Roy as Head, Compliance (in
various media interactions, the senior management of Diageo has highlighted
compliance, culture and performance as the key focus areas during integration).
Changes aimed at operational improvement / cost rationalization
Transferred some employees, including senior ones, off the payrolls of United
Spirits
Entered into distribution arrangement with Diageo India to leverage UNSP’s
wide distribution network. UNSP has booked INR 164m as income from
distribution services for FY14.
Appointed Accenture to suggest cost rationalization measures to drive stricter
financial discipline
Sold distillery unit: United Spirits has sold its distillery in Poonamallee, Tamil
Nadu to Enrica Enterprises Private Limited by way of a slump sale for INR1.25b.
Tamil Nadu is a state-controlled market (both wholesale and retail). TASMAC
had imposed an upper limit on the volumes that United Spirits could sell in the
state and had curtailed the production capacity at its Pooonamallee unit. Due to
excessive political interference in IMFL operations, United Spirits has hived off
its distillery unit and will now be working with Enrica on royalty basis.
Written off intra group loans and outstanding debtors totaling INR 53b.
As per media reports, UNSP will focus on select 14 power brands - Johnnie
Walker, VAT 69, Black & White, and Smirnoff from Diageo India stable while
Royal Challenge, Signature, Antiquity, Bagpiper, Director's Special Whisky,
McDowell No.1 Whisky, White Mischief Vodka, Romanov Vodka , No. 1
Celebration Rum and Black Dog scotch whisky
22 September 2014
11

United Spirits
Diageo – A backgrounder
Diageo is a global leader in alcoholic beverages with a collection of brands across
spirits, beer and wine categories. Its brands have broad consumer appeal across
geographies and are sold in more than 180 countries across the world.
Exhibit 13:Diageo PLC: 2/3 of net sales concentrated across few key brands
Brands
Johnie Walker
Crown Royal
J&B
Buchanan's
Windsor
Bushmills
Captain Morgan
Smirnoff
Ciroc
Ketel One Vodka
Baileys
Don Julio
Tanqueray
Guinness
Category
Scotch Whisky
Canadian Whisky
Scotch Whisky
Premium Scotch Whisky
Super Premium Scotch Whisky
Irish Whisky
Rum
Premium Vodka
Ultra Premium Vodka
Super Premium Vodka
Liqueur
Ultra Premium Tequila
Imported Gin
Stout
mn cases (9 liter)
18.9
5.3
3.7
1.6
0.7
0.8
10.9
25.9
2.2
2.4
6.4
0.3
2.3
10.2
Source: Company, MOSL
rd
Exhibit 14: Diageo –Financial Details
GBP m
Turnover
Cost of sales
Gross Profit
Other Operating Revenue
Operating Expenses
Operating profit
Other Operating Revenue
Interest Expense
Foreign Exchange Losses
Net Non-Operating Losses
Pretax Income
Income Tax Expense
Income Before XO Items
Extraordinary Loss Net of Tax
Minority Interests
Net profit
FY08
8,090
3,245
4,845
8
2,570
2,275
8
494
81
(385)
2,093
522
1,571
(26)
76
1,521
FY09
9,311
3,893
5,418
34
3,034
2,384
34
768
0
(340)
1,990
286
1,704
(2)
101
1,605
FY10
9,780
4,099
5,681
45
3,152
2,529
45
844
0
(509)
2,239
477
1,762
19
114
1,629
FY11
9,936
4,010
5,926
17
3,059
2,867
17
540
0
(16)
2,360
343
2,017
0
117
1,900
FY 12
10,762
4,259
6,503
31
3,336
3,167
31
493
0
(416)
3,121
1,038
2,083
11
130
1,942
FY13
11,303
4,416
6,887
13
3,520
3,367
13
502
(1)
(178)
3,057
507
2,550
0
98
2,452
FY14
10,258
4,029
6,229
10
3,118
3,111
10
455
12
(57)
2,711
447
2,264
83
(67)
2,248
Source: Bloomberg, Company, MOSL
22 September 2014
12

United Spirits
Exhibit 15:Diageo performance across five regions
Financials by Region
Volume
Net Sales
Operating Profit
% Share by Region
Volume (%)
Net Sales (%)
Operating Profit (%)
% Share of Net Sales
by 21 Markets
>20%
3-6%
32
34
45
North America
US Spirits & Wines
Diageo-Guinness UDA
(DGUSA)
21
21
19
Western Europe
23
21
17
Afrca, Eastern
Europe and Turkey
15
11
10
Latin America and
Turkey
9
13
9
Asia Pacific
North America
49.3
3444
1460
Western Europe
33
2169
639
Afrca, Eastern
Europe and Turkey
36
2075
554
Latin America and
Turkey
23
1144
328
Asia Pacific
14.8
1347
283
Western Europe
Nigeria, East
Africa, Turkey, WestLACm Paraguay,
Africa, Regional
Uruguay & Brazil
Markets
Russia & Eastern
Europe, South Africa
Mexico, Venezuela,
Columbia
Global Travel Asia &
Middle East
South East Asia,
Australia, North Asia,
Greater China
India
Source: Company, MOSL
2-3%
<2%
Canada
Bytes from Diageo India – Recent media interview of MD, Diageo India
Source: Business Standard and Hindu Business Line
It has been an year since Diageo acquired strategic control of United Spirits and
put in a sales agent contract for Diageo brands in India. What have been the key
learnings so far?
It's been an exciting ride, particularly in the wake of the completion of
Diageo's transaction with United Spirits. Suddenly, Diageo's commitment to
the market has multiplied and we are learning and adapting fast to the new
scenario. United Spirits' strong route-to-market war machine has given a
fillip to our brands in India, which have seen a 22% growth in volumes
while parallely delivering 40% growth to our top line.
The premiumisation effort which United Spirits has been driving over the
past few years fits exactly into our strategy of upgrading consumers. We
are sharing various best practices of adapting to Diageo's global systems
and processes and the United Spirits network is extremely receptive to it.
How difficult it has been to tune the United Spirits sales network to the more
premium brands of Diageo?
Diageo India has been activating intense marketing measures along with
United Spirits, and despite the weak economic scenario during the last
year, we have been able to withstand and grow our business. United
Spirits' brands are in a sweet spot and provide the best platform for the
consumer to premiumise as every segment is uptrading. We are working
closely with United Spirits brands such as Signature and Antiquity and will
further sharpen the team's finesse to sell premium brands.
22 September 2014
13

United Spirits
After the sales network integration, isn't it a matter of time before Diageo India
is integrated with United Spirits as well?
As of now besides the sales agreement, which is being fine-tuned, there is
not much of an update. We are happy with the sales agency operating
model. However, the United Spirits board may be studying various options
of how operations can be done more synergistically. We will continue along
the growth trajectory which we have been on for the past four years, and
going forward it will be more evolutionary and not revolutionary.
The United Spirits network sure has given us a good leg-up and it will
continue. The influence on United Spirits is more through leadership as
well as changes on the board. I am involved only to the extent of how we
can leverage the United Spirits network for Diageo brands. There is a three-
year road map which is being fine-tuned and which may be concertized
shortly as to how the brand portfolio should look like, both from United
Spirits' as well as from Diageo's lens.
What have been the pain points of integrating the sales network?
I would not term them as pain points, but it is more to do with
organizational learning. When you have a new partner you need to make
sure that as a sales agent one really understands how to sell and what
motivates consumers. We have worked collaboratively to share knowledge.
Transferring the knowledge of our brands is the key, while understanding
United Spirits' deep network and how to position our brands is another
learning. Are we completely there? May be not, but I feel that 80-90 per
cent of that process is done.
The Kerala government's move to roll out prohibition came as a shock. How is
Diageo addressing it?
We acknowledge that there is misuse of alcohol and we have been
supporting various programmes for road safety. We have partnered with
the Institute of Road Traffic Education, the Ministry of Road Transport and
Highways and the IRF to roll out a national campaign, Road to Safety,
aimed at enhancing road safety and reducing road fatalities due to driving
under the influence of alcohol. The programme will be implemented in 30
cities in India and includes training and capacity building of enforcement
agencies like the traffic police; distribution of high-quality breath alcohol
analysers; training drivers of commercial vehicles such as school bus, truck
and auto rickshaw drivers; and educating university students on the
dangers of underage drinking. We believe that efforts to reduce the misuse
of alcohol are most effective when government, civil society, individuals
and families, as well as the industry, work together.
The last two years have been busy for Diageo in India while it went about
acquiring United Spirits. Can you run us through how Diageo’s Indian operations
fared during this period?
It has been an exciting ride. With Diageo plc’s acquisition of a 54.8%
shareholding in United Spirits, its investment and commitment to India has
multiplied manifold, and we are learning and adapting fast to the
opportunities the new scenario presents.
22 September 2014
14

United Spirits
In October last year, Diageo appointed United Spirits (USL) as its sales
promotion agent. USL’s strong route-to-market, combined with Diageo’s
investments in its brands, have given a fillip to our brands in India which
have seen a 22% growth in volumes while parallelly delivering over 40%
growth to our top line. Strong performance by Johnnie Walker Black Label,
VAT 69 and Black & White drove most of the growth in Scotch, and our
share in Scotch increased 1.9 percentage points. Smirnoff too returned to
high single digit growth. The two organisations have been exploring
synergies, sharing best practices and combining our respective strengths.
As the results show, it’s been working well for us.
One of your competitors in India has become the leading liquor maker in the
country in value terms. What plans does Diageo have to create a bigger share
for itself in the next few years?
First, our partnership with USL has clearly transformed Diageo’s position in
India. Our ambition now is to deliver scale and sustainable growth for the
long-term. There are three areas we will clearly invest in — our talent, our
brands and our facilities. We are lucky to have iconic brands such as
Johnnie Walker, VAT 69 and Smirnoff — we will further build brand equity
and loyalty through our global marketing expertise and give consumers
opportunities to trade up and premiumize by offering them more choices.
Have you identified any brands as part of power brands. How do you plan to
drive their growth?
Among the many international brands in our portfolio, we are focused on a
set of core brands; so our marketing strategy is geared towards these
power brands. These include our Scotch whisky brands such as Johnnie
Walker, VAT 69 and our single malt The Singleton. In the vodka category,
we are focused on growing share for Smirnoff in the premium vodka
segment and CIROC in the luxury vodka segment. Our super deluxe Johnnie
Walker Blue Label is another big growth driver for Diageo. Investments
have been deployed in each of these brands by way of offering new leading
edge experiences, relevant brand associations, as well as the launch of new
variants all aimed at driving growth and recruiting consumers into our
brand fold.
What are the new brands that you plan to bring into India?
We have just launched Smirnoff Black, an unconventional product that
signifies a shift from the existing offerings in the portfolio. With clutter
breaking packaging and a unique bold flavour, our aim is to redefine the
vodka category in India with Smirnoff Black. We recently introduced
Smirnoff Black in Maharashtra and in a couple of days it will be available in
Karnataka. Over the next few months, we will launch Smirnoff Black in
other States as well.
Do you believe that inclusion of alcohol in the Goods and Services Tax will help
the industry?
GST is aimed at removing cascading of taxes and creating a common
national market for goods and services. Ideally, a landmark legislation like
GST should be comprehensive and all-encompassing. Exclusion of any
sector or service would be a dilution of the objectives of GST and lead to
revenue leakage and stranded input costs. Second, the denial of GST-input
tax credits will have cascading effects of tax on tax. Third, excluding alcohol
15
22 September 2014

United Spirits
will also greatly complicate administration and compliance (because of the
need to allocate input GST between exempt and taxable transactions).
These issues will have an adverse impact on volumes, prices and the
growth of the sector, leading to a reduction in overall tax revenue. For an
enlightened government, including alcohol in the GST regime would
represent a bold step towards aligning the Indian tax system to
international best practices with manifold benefits to both government and
industry and a potential reduction in overall GST rate.
How do you think inclusion of the liquor industry in GST will help the State
governments, who are otherwise opposing its inclusion?
According to the estimates of Satya Poddar of consultancy firm Ernst &
Young, an international expert on GST, the States would stand to gain
around INR10,000 crore by applying GST at 10% to alcoholic beverages.
There would be an additional gain in State revenues through better control
of undeclared movement of alcohol. Even though this will translate to an
additional INR10,000-crore tax burden to the alcoholic beverage industry, a
GST audit trail will provide greater exposure of unreported activities, which
could otherwise pose significant public health concerns.
Will exclusion of the liquor industry from GST impact any other sector or
services?
Most certainly. Besides potential compliance breaches by input service
providers to unrecorded alcohol, the exclusion of alcohol from the GST
regime will also have far reaching impact on trade partners, government
agencies and other industries. States which are currently under a VAT
regime will be forced to change their taxation systems resulting in an
increase in consumer prices. Multiple tax regimes will be created where an
assessee would have to file special tax returns for excluded products. In
contrast to GST products, the documentary trail will be lost after goods
leave the manufacturer, creating a loophole for possible tax evasion.
Valuation issues will arise, leading to increased litigation by all assessees
including consumption points such as hotels and restaurants.
What according to you is the biggest challenge foreign companies like yours face
in India today?
The most critical issue is the current deadlock on account of the Food
Safety and Standards Regulations (FSSAI). Since February, imported alcohol
stocks (like many other consumer goods) are being rejected at ports across
India on the basis that the manufacturer’s address and ingredients are not
listed on the label according to the “mandatory labelling requirements” of
the FSSAI. The health and well being of our consumers is a primary concern
for us — and we are absolutely prepared to abide by the labelling
requirements of the government. However, since the alcohol beverage
industry is governed by State Governments, any labelling changes
demanded must be synchronised with the annual state excise label
registration cycle, or they will be logistically impossible. We need a
minimum of six months in order to introduce the changes during the next
label registration cycle.
22 September 2014
16

United Spirits
Premiumization to gain steam, aiding profitability
EBITDA margin to move up gradually
We expect the Diageo management to continue driving premiumization and focus on
(a) brand investments, (b) leverage reduction, (c) working capital improvement, and
(d) prudent capex.
Consol. EBITDA margin should expand from 8.3% in FY14 to 12.8% in FY17. Diageo has
indicated the possibility of achieving 20% EBITDA margin (last seen in FY08) in the long
term.
We expect margin expansion efforts to gather pace post FY16. Our 10-year forecast
builds in 20% EBITDA margin by FY23
.
Margins have contracted significantly
Consistent increase in excise duties by various state governments has resulted in a
sharp 16pp increase in excise duty as a percentage of sales. Excise duties constituted
60.8% of UNSP’s gross sales in FY14 as compared with 44.4% in FY07.
Viewed differently, the state governments’ share of liquor revenues has gone up
consistently. For example, the Kerala government’s share of KSBC’s (Kerala State
Beverages Corporation) liquor sales has increased from 77% in FY07 to 82% in FY13.
IMFL volumes in Kerala have grown at a CAGR of 10.5% over FY08-13 while KSBC’s
gross sales have grown at a CAGR of 18.7%. Interestingly, the contribution to the
state exchequer has grown at a CAGR of 20%.
Exhibit 16: KSBC’s liquor revenues have grown at a CAGR of
19% over FY08-13
Gross sales (INR b)
78.6
67.3
36.7
46.3
55.4
24.2
29.1
36.2
42.6
88.2
Exhibit 17: Contribution of liquor revenues to state exchequer
rising
Contribution to state exchequer (INR b)
62.9
52.3
72.4
31.5
FY07
FY08
FY09
FY10
FY11
FY12
FY13
FY07
FY08
FY09
FY10
FY11
FY12
FY13
Exhibit 18: Over 80% of IMFL sales go to state treasury
Contribution to state exchequeras % of grosss sales
82.1%
79.4%
78.2%
77.1%
76.9%
77.7%
80.0%
Exhibit 19: While IMFL volumes were flattish in FY13, the five-
year CAGR is healthy
CAGR (FY08-13)
19.2%
20.0%
10.5%
11.6%
IMFL volumes
FY07
FY08
FY09
FY10
FY11
FY12
FY13
Beer volumes
Gross sales
Contribution to
state exchequer
Source: Company, MOSL
22 September 2014
Source: Company, MOSL
17

United Spirits
Increase in alcohol taxation coupled with lack of adequate price increases in
government controlled markets (Tamil Nadu last granted price increase in 2007) and
UNSP’s focus on volumes have impacted its gross margins. UNSP’s gross margins
have contracted from 47.6% in FY07 to 40.2% in FY14.
Exhibit 20: Excise duty as percentage of sales up 12pp
Excise (% of Gross Sales)
46.2 44.4 45.1 47.3 48.5
37.1 36.5
34.5
52.3 54.6
57.3
60.8
Exhibit 21: Gross margin down 360bp in last four years
Gross Margin (%)
48.7 47.6 50.1
38.2
43.5 44.3 43.8
36.5 36.2
40.3 40.0 40.2
Source: Company, MOSL
Source: Company, MOSL
Expect trend towards premiumization to accelerate
With the new management taking control and Diageo’s increased stake in UNSP, we
expect greater focus on profitable growth. Given that gross margins in the Prestige
segment are 4x the Regular segment, we expect UNSP to drive profitability through
mix improvement and pricing management.
Volume decline of 0.2% in FY13 and 6% in 9MFY14 in the Regular and Below
segment underscores the strategy of defocusing on the Regular portfolio, given the
context of rising raw material costs, higher excise duties, and lack of price increases
in big markets like Tamil Nadu. We do not expect the new management to overhaul
UNSP’s low-end portfolio immediately. We believe it will try to realign prices for
brands making sub-par contribution to the P&L.
Exhibit 22: Volume growth (%) in Prestige+ segments higher
than in Regular segment
Prestige & above
29.4
13.8
0.9 2.0
-5.4
1.1
19.5
13.2
1.1
-5.2
4.9
12.4
Regular & below
Exhibit 23: Steady rise in ENA prices
ENA/Case (INR)
-3.6
-8.8
1QFY13 2QFY13 3QFY13 4QFY13 1QFY14 2QFY14 3QFY14
Source: Company, MOSL
Source: Company, MOSL
22 September 2014
18

United Spirits
Exhibit 24:Premium sub-segments of IMFL are growing at faster clip
Prestige +
17.3%
Below Prestige
9.5%
2.4%
1.7%
FY14
Source: Industry, MOSL
FY13
Exhibit 25:Across IMFL sub-segments growth of premium folio >> regular
Growth (%)
Whisky
Scotches
Super-premium
Premium-whisky
Prestige-whisky
Regular- whisky
Economy-Whisky
Total-Whisky
Rum
Premium- rum
Regular-rum
White rum
Economy-Rum
Total-Rum
Brandy
Premium- brandy
Semi-premium- brandy
Regular-brandy
Economy-Brandy
Total-Brandy
Gin
Regular-gin
Economy-Gin
Total-Gin
Vodka
Premium- vodka
Semi premium- vodka
Regular- vodka
Total- Vodka
Total IMFL
-0.3
2.5
-8.4
-5.3
3.9
9.1
17.0
-8.2
2.7
2.5
Source: Industry, MOSL
-14.1
-24.9
-5.6
0.9
-12.5
-8.3
64.2
61.7
13.9
14.5
11.1
-31.8
30.8
26.5
-25.2
2.0
63.9
-5.3
-10.5
-6.3
-5.3
33.3
5.5
-4.8
-14.8
1.0
8.1
19.1
12.9
13.1
-2.8
-6.2
4.1
17.1
11.3
12.5
4.4
-4.8
-2.1
3.3
FY13
FY14
22 September 2014
19

United Spirits
While it has tactically curtailed some low-end brands in select markets (Old
Cask
Rum
in Kerala), Diageo does not intend to disrupt UNSP’s existing brand
architecture, as this could result in loss of customers and market share. In a
conference call that we hosted in January 2014, the senior management indicated
gradual mix enhancement. Nevertheless, we note that the proportion of Prestige+
brands has gone up from 20.7% in FY11 to 27.4% in 9MFY14. The premiumization
trend is already underway for UNSP as well as the industry; we expect this to
accelerate, going forward.
Exhibit 26: Salience of Prestige+ segment up 6pp in three
years
Prestige & above as % of total volumes
26.0
22.2 22.6
20.1
21.7 22.3 22.0
24.3 23.7 23.9
26.2
27.7 28.3
Exhibit 27: So is the case with Radico Khaitan
Premium Brands as % of total volumes
19.3
18.4
18.3
17.9
17.3
17.1
16.216.1
16.2
15.3
15.2
14.5 14.5
14.114.6
Source: Company, MOSL
Source: Company, MOSL
Please refer to our
Corner Office
report on
ABD dated 22 May 2014
Model for relatively sedate near-term volume growth
We model for a relatively sedate 5% volume growth in FY15 facilitated by a low base
of FY14. Over FY16-23, we expect volume growth to average at 6.5-8%. This is in line
with the CAGR delivered over FY09-14 (including the impact of Tamil Nadu issues
over FY12-14) but much lower than the 20% volume CAGR over FY05-14. Given the
expected focus on expanding profit margins, we see the company striking a balance
between volume and realization metrics. Over the next 10 years, we expect UNSP to
deliver 7.4% volume and 15.6% revenue CAGR in standalone P&L. Over the next
three years, we build in 6.2% volume and 12.5% value CAGR in standalone P&L, as
Diageo stabilizes operations.
Exhibit 28: We build in modest volume CAGR over FY14-17
Volume Growth (%)
32.1
20.5
12.5
6.2
Sales Growth (%)
2005-2014
2014-2017
Source: Company, MOSL
22 September 2014
20

United Spirits
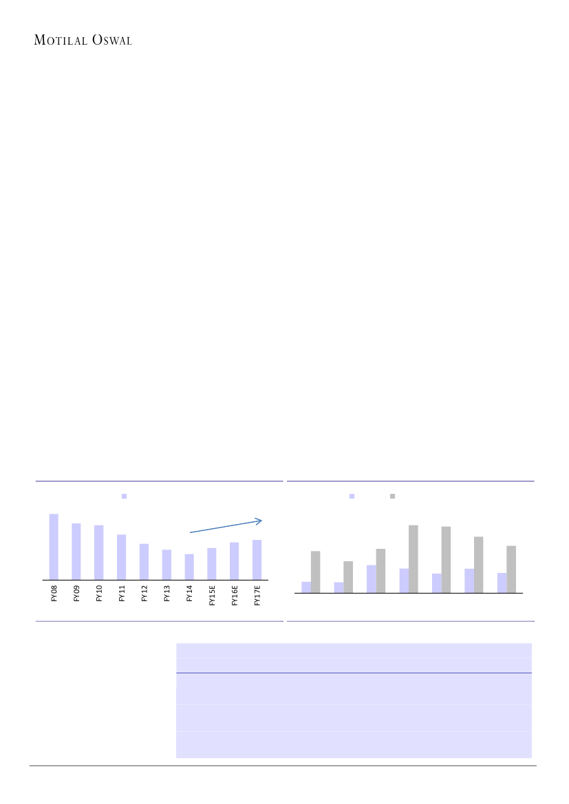
Mix improvement + cost savings = operating margin recovery
UNSP’s EBITDA margin has shrunk from 21% in FY08 to 9.6% in FY13 and 8.3% in
FY14. This is a reflection of prioritizing volume growth over profitability in an
environment of rising input costs and inadequate price increases in government-
controlled markets. Domestic peers, Radico Khaitan (RDCK) and Tilaknagar
Industries (TLNGR) have not seen as much margin deterioration despite lower scale
of operations (RDCK sold 20m cases and TLNGR sold 16m cases as against UNSP’s
122m cases in FY14).
Apart from the inflationary raw material environment, we believe cost inefficiencies
specific to UNSP have also resulted in weaker margin output despite its gigantic
scale of operations. We expect Diageo to drive cost savings in every line item of the
P&L except investments on branding. It has appointed Accenture to suggest cost
rationalization measures.
We draw comfort from our earlier interaction with Diageo, wherein it had pointed
towards the possibility of recouping lost margins and reverting to UNSP’s historical
EBITDA margin of 20%. Nonetheless, we model for incremental margin gain of
450bp over FY14-17, with 190bp expansion in FY15, 180bp expansion in FY16, and
80bp expansion in FY17.
We expect Diageo to focus initially on putting in place its systems, global practices,
and people, while simultaneously driving investments in the premium portfolio. This
would mean lower flow-through of gross margin benefits to the EBITDA level, but
would build the foundation for medium to long-term growth and margin expansion.
We expect margins to stabilize in 3-5 years, as brand investments and
premiumization start yielding results.
Exhibit 29: We build in 450bp margin expansion in three years Exhibit 30: Peer’s margins (%) have not suffered as much
21.0
EBIDTA Margin (%)
18.0 17.5
14.4
Radico
Tilaknagar Industries
29.6
11.5
9.6
8.3
10.2
12.0 12.8
22.1
13.3
13.2
22.8
19.2 18.1
17.2
15.6
17.1
29.2
26.3
23.6
15.9
FY08
Source: Company, MOSL
FY09
FY10
FY11
FY12
FY13
FY14
Source: Company, MOSL
Diageo leveraging UNSP’s distribution network to market its premium
brands
Additional income stream for UNSP; little threat of brand cannibalization
Since 1
st
October 2013, Diageo has been using UNSP’s distribution network to
market its premium brands. It has entered into a sales agency agreement, under
which UNSP is a sales agent for all Diageo brands in India and receives fees for
distribution. UNSP provides sales promotion services to Diageo India for all Diageo
brands manufactured by and/or imported by Diageo India and sold in India.
22 September 2014
21

United Spirits
From Diageo’s viewpoint, this arrangement leverages UNSP’s superior distribution
network and strong trade relationships to push its brands. UNSP, on the other
hand, is able to monetize its supply chain infrastructure and generate an
additional revenue stream.
According to Diageo’s 1HFY14 results, it is already deriving significant benefits
from the sales promotion arrangement with UNSP. Diageo’s India sales grew 35%
YoY against low single-digit growth in other emerging markets. UNSP has booked
INR 164m of distribution income for FY14.
Some investors have raised concerns over possible cannibalization of UNSP brands
by Diageo India’s (unlisted) premium portfolio. We believe the price differential
between UNSP’s and Diageo India’s brands is too steep to warrant such concern.
Though the Indian market is firmly on the premiumization path, it remains a price-
conscious and value-seeking market, precluding any drastic shift in brand
preferences in the medium term. Besides, Diageo India has a limited portfolio in
India, with less than 1% market share in India, and as such does not pose a
meaningful threat for UNSP.
Exhibit 31: United Spirits versus Diageo India – product pricing comparison
Price for 750ml (INR)
Diageo
United Spirits
1,700
4,100
1,300
1,400
6,050
4,950
280
Bagpiper
280
Director's
Special
720
Signature
725
Royal
Challenge
920
Antiquity
Blue
VAT 69
Black &
White
Johnnie
Johnnie
Walker Red Walker Black
Label
Label
Talisker
Johnnie
Walker Gold
Label
Source: Company, MOSL
Focus on select 14 power brands to drive growth
22 September 2014
22

United Spirits
An MNC touch should benefit United Spirits
Heineken’s entry resulted in operational benefits for United Breweries
Carlsberg and Heineken jointly acquired S&N's global operations for USD15.4b in
January 2008. Consequently, Heineken got hold of S&N's 37.5% stake in United
Breweries (UBL). Dr Vijay Mallya opposed this on the ground that Heineken
already owned ~44% in Asia Pacific Breweries (APB). APB used to sell the beer
brand,
Tiger
in India. Heineken would, therefore, have dual interest in India –
one with APB and one with UBL. The UB Group even moved the Bombay High
Court to restrain Heineken from exercising management rights that were
accorded to S&N, citing that Heineken was part of a rival firm, APB. This issue
was resolved in December 2009.
Heineken bought APB's assets in India and transferred them to UBL. Besides, it
transferred the rights to brew, bottle and distribute Heineken brands in India to
UBL, and paid a one-time fee of INR3b. The “peace deal” ensured that Heineken
got the same rights that S&N had enjoyed – power to nominate the Chief
Financial Officer and equal board representation.
UBL’s performance improved post the deal. Volumes, gross margins, and profits
increased significantly post the transaction. Market share went up, leverage
came down, and PAT moved up 3x over FY09-12. Even working capital and
return ratios improved. Consequently, UBL got re-rated.
Exhibit 32: UBL performance aided by Heineken entry
United Breweries (INR m)
Volumes (m cases)
Growth
Market share
Net Sales
Growth
EBITDA
Margin
Interest
EBIT
Profit Before Tax
Net Profit
Margin
Net Debt
No of shares
Networth
Book value per share
Net debt/Equity
FY07
66
FY08
75
13.9%
NA
15,590
30.3%
2,157
13.8%
576
1,581
850
542
3.5%
6,694
216
6,741
31.2
99.3%
FY09
82
9.4%
48.0%
19,295
23.8%
2,807
14.5%
1,054
1,752
856
456
2.4%
7,138
240
11,443
47.7
62.4%
FY10
101
22.6%
50%+
22,755
17.9%
3,174
13.9%
665
2,509
1,469
896
3.9%
7,035
240
12,228
50.9
57.5%
FY11
125
24.2%
54.0%
30,598
34.5%
4,353
14.2%
779
3,574
2,266
1,475
4.8%
6,491
255
12,944
50.9
50.1%
FY12
133
6.0%
54.5%
36,252
18.5%
4,659
12.9%
989
3,670
2,182
1,398
3.9%
6,995
264
13,658
51.7
51.2%
FY13
139
4.5%
52.0%
39,031
7.7%
4,764
12.2%
799
3,965
2,655
1,722
4.4%
5,104
264
15,107
57.1
33.8%
FY14
139
0.0%
52.0%
42,355
27.0%
17.0%
8.5%
5,873
27.1%
15.9%
13.9%
798
5,074
15.0%
23.7%
3,341
0.3%
31.3%
2,256
-9.0%
37.7%
5.3%
3,851
264
17,059
64.5
22.6%
Source: Company, MOSL
FY07-09
CAGR
11.7%
FY09-14
CAGR
11.0%
11,968
1,737
14.5%
412
1,325
851
550
4.6%
4,795
216
6,205
28.7
77.3%
22 September 2014
23

United Spirits
Exhibit 33: Sales growth picked up post Heineken deal
Net Sales growth (%)
34.5%
30.3%
23.8%
17.9%
37.6%
36.8%
38.3%
Exhibit 34: Gross margins improved too
Gross margin (%)
41.3%
FY08
FY09
FY10
FY11
Source: Company, MOSL
FY08
FY09
FY10
FY11
Source: Company, MOSL
Exhibit 35: Net profit margins improved
Net Profit Margin (%)
4.8%
3.5%
2.4%
3.9%
3.9%
4.4%
5.3%
Exhibit 36: Leverage eased off significantly
99.3%
Net debt/Equity
62.4%
57.5%
50.1%
51.2%
33.8%
22.6%
FY08
FY09
FY10
FY11
FY12
FY13
FY14
FY08
FY09
FY10
FY11
FY12
FY13
FY14
Source: Company, MOSL
Source: Company, MOSL
22 September 2014
24

United Spirits
W&M divestment to deleverage balance sheet
Monetization of other non-core assets also a possibility
Divestment of W&M should free management bandwidth to focus on the lucrative
domestic opportunity and drive deleveraging of UNSP’s balance sheet.
We factor in INR37b debt reduction in FY15 from the proceeds of the W&M stake sale,
driving interest cost savings of ~INR4b (UNSP’s FY14 standalone PAT was INR2.4b).
UNSP holds 3.2% stake in United Breweries (UBL) and owns an IPL team. While Diageo
intends to use the IPL asset as a marketing tool, we believe it would be open to
divesting UBL.
W&M divestment concluded; see substantial debt reduction in FY15
UNSP has divested W&M to Emperador group for GBP430m. Apart from
deleveraging the balance sheet (UNSP’s net debt stood at INR75.8b, with net debt-
equity of 1x), we believe this frees management bandwidth to focus on the
attractive domestic market.
The divestment of W&M also removes a key drag on the consolidated balance
sheet. W&M’s performance had deteriorated post the conclusion of the bulk
contract deal in FY11. While its revenues have grown from GBP216m in FY09 to
GBP252m in FY14, EBITDA has declined from GBP57m to GBP25m.
Exhibit 37: W&M’s margins had consistently declined
EBITDA margin
32.1%
32.1%
32.6%
21.4%
3.1%
20.4%
9.9%
-15.3%
FY08
FY09
FY10
FY11
FY12
FY13
FY14
Revenue
EBITDA
Source: Company, MOSL
Exhibit 38: W&M was a drag on consolidated P&L
FY09-14 CAGR
19.2%
Source: Company, MOSL
According to the disclosures given to exchanges and annual report, of the net
proceeds of GBP408m, UNSP would be utilizing GBP370m for debt repayment. We
expect UNSP’s debt to reduce by INR37b in FY15. Net debt to equity should ease to
1.1x in FY15 from 2.6x in FY14.
22 September 2014
25

United Spirits
Exhibit 39: Post W&M divestment, expect leverage to ease to 1.1x in FY15
Net Debt/Equity (%)
2.9
2.9
2.4
1.3
0.7
1.4
1.5
1.4
1.1
0.7
0.5
FY07
FY08
FY09
FY10
FY11
FY12
FY13
FY14
FY15E
FY16E
FY17E
Source: Company, MOSL
Monetization of other non-core assets also a possibility
UNSP holds 3.2% stake in United Breweries (UBL), which could be monetized for
debt reduction, going forward. At the current price, this stake is valued at INR6.1b.
UNSP also owns an IPL team through its 100% subsidiary, Royal Challengers Sports.
In various media interactions, Diageo has indicated that it would continue to retain
this sports franchise. It intends to leverage the vehicle for marketing/branding
activities.
While IPL is a good vehicle to market brands, we believe for a liquor company,
owning a cricket team is a suboptimal capital allocation decision, given the already
stretched working capital needs of the core business. Potential divestment of the IPL
franchise would be positive from a deleveraging perspective.
We note that Sun TV Network had bought the Hyderabad franchise in 2012 for a
sum of INR4.25b, translating into INR85m per annum for the remaining five years of
IPL.
Exhibit 40: Royal Challengers Sports (IPL team) – key financials
INR m
Sales
PBT
PAT
FY10
913.4
-84.7
-53.2
FY11
537.7
-78.4
-54.3
FY12
944.4
-94.9
-70.8
FY13
813.9
-116.3
-78.6
FY14
914.6
-1054.2
-990.5
Source: Company, MOSL
22 September 2014
26

United Spirits
Expect gradual improvement in financials over
FY14-17
6.2% volume CAGR; 12.5% revenue CAGR
We believe Diageo will take time to put its systems, processes, and people in place.
Hence, we are factoring in modest recovery in volumes and margins in the next three
years.
Over FY14-17, we expect volumes to grow at a CAGR of 6.2% and net standalone
revenue to grow at a CAGR of 12.5%. We factor in 350bp EBITDA margin expansion to
12.6% in the standalone business, largely driven by gross margin expansion.
We expect Diageo to enforce better financial discipline on working capital and build in
working capital improvement from 44% of sales in FY14 to 29% in FY17.
Volumes to grow at a CAGR of 6.2%
We are building in modest volume growth, as we believe Diageo would concentrate
on driving volumes of Prestige+ brands, with bulk of its advertising spend behind
these brands. Overall, we are factoring in 6.2% volume CAGR over FY14-17 on a low
base of FY13 and FY14. For the Regular and Below portfolio, we are building in 2.5%
volume CAGR.
Exhibit 41: We build modest volume CAGR for the next three years
2009-2014
13.3%
26.7%
CAGR
2005-2014
20.5%
32.1%
2014-2017
6.2%
12.5%
Source: Company, MOSL
Volume Growth
Sales Growth
Net standalone revenue to grow at a CAGR of 12.5%
We expect net standalone revenue to grow at a CAGR of 12.5% over FY14-17. Price
hikes in government-controlled markets were difficult to come by in FY14 due to
elections. With the general elections behind, we expect price hikes to materialize in
FY15. Our interactions with IMFL players indicate that discussions on price hikes
have already begun.
EBITDA margin to expand 350bp to 12.6%
We believe the pace of margin expansion would be gradual in the first few years
despite continued premiumization of its portfolio. Over FY14-17, we factor in 350bp
EBITDA margin expansion to 12.6% in the standalone business, largely driven by
gross margin expansion. Cost rationalization measures initiated by Diageo should
provide further margin upside; however, we are not building this in our estimates,
yet.
22 September 2014
27

United Spirits
Exhibit 42: Gross margin to expand ~400bp over FY14-17…
Gross Margin (%)
50.1
43.5 44.3 43.8
40.3 40.0 40.2
43.5 44.2
Exhibit 43: … driving 350bp expansion in EBITDA margin
18.8
EBIDTA Margin (%)
15.3 15.7 15.1
12.6 12.5
9.1
10.0
11.9 12.6
42.2
FY08 FY09 FY10 FY11 FY12 FY13 FY14 FY15E FY16E FY17E
Source: Company, MOSL
Source: Company, MOSL
Working capital to improve from 44% of sales to 29%
We expect Diageo to enforce better financial discipline on working capital. While
debtor days from government-controlled markets may not change much, we expect
Diageo to employ state-specific strategies as in the case of Tamil Nadu. Rising
working capital needs have crimped UNSP’s free cash generation in the past and
have weighed on return ratios. With improved margin profile and better financial
control, we expect UNSP’s working capital metric to improve, going forward. We
build in working capital improvement from 44% of sales in FY14 to 29% in FY17.
Exhibit 44: Working capital has remained sticky
NWC/Sales (%)
49.9
54.4
47.3
51.6
41.1
43.8
35.4
35.5
30.8 28.5
10.6%
0.4%
2.9%
4.7% 1.5%
1.4%
-6.2%
-7.4%
FY13
FY14
Exhibit 45: Poor FCF generation
Consol FCF/Sales
20.7%
18.9%
Standalone FCF/Sales
17.5%
11.7%
-3.4%
FY08
Source: Company, MOSL
FY09
FY10
-4.7%
FY11
FY12
Source: Company, MOSL
Exhibit 46:United Spirits: Consensus v/s MOSL Forecast
INR m
MOSL
Sales
EBITDA
PAT
Consensus
Sales
EBITDA
PAT
Difference: MOSL v/s Consensus
Sales
EBITDA
PAT
(6.3)
(18.9)
10.4
(5.1)
(15.3)
6.3
2.3
(9.9)
10.3
Source: Bloomberg, MOSL
22 September 2014
28
104,802
12,303
4,097
116,730
15,718
7,171
123,764
17,936
9,277
98,226
9,981
4,523
110,796
13,306
7,626
126,646
16,165
10,231
2015
2016
2017

United Spirits
DCF-based target price implies 27% upside
Upgrading stock rating to Buy
Given our expectations of gradual improvement in operating/financial metrics and
that equilibrium would be reached only after 3-5 years, we believe DCF is the
appropriate valuation tool.
Our DCF valuation works out to INR3,000/share (46x FY16E EPS and 34x FY17E EPS),
indicating 27% upside. We upgrade our stock rating from Neutral to Buy.
We would view any near-term weakness in stock price owing to quarterly earnings
disappointment and/or business/financial cleanup as a good buying opportunity.
We have made the following assumptions for our two-stage DCF-based valuation:
Weighted average cost of capital of 10.2% with 12.9% cost of equity (RFR-8%,
ERP-7%, beta of 0.75) and 8% cost of debt. We have assumed TVG of 5.5%.
Net sales CAGR of 13.8% over FY15-23.
EBITDA margin expansion from 8.3% in FY14 to 20% by FY23.
Exhibit 47: DCF valuation summary – fair value of INR3,000/share
INR m
EBITDA
Other income
Tax
WC change
Capex
FCF
PV of each FCF
Sum of PV of FCF
Terminal value
PV of terminal value
EV
Net debt
Equity value
No of shares
Per share value
2015E
9,981
2,750
-2,762
10,774
-6,000
14,742
14,742
104,822
890,046
372,331
477,153
40,063
437,090
145
3,008
77%
2016E
13,306
3,025
-2,228
669
-4,000
10,772
8,876
2017E
16,165
3,328
-3,756
-2,005
-4,000
9,731
7,277
2018E
19,854
3,660
-5,039
-720
-4,500
13,255
8,998
2019E
24,591
4,026
-6,416
-1,386
-5,000
15,815
9,746
2020E
31,235
4,429
-8,310
-1,195
-5,000
21,159
11,835
2021E
40,581
4,872
-10,848
-4,059
-5,000
25,545
12,970
2022E
52,147
5,359
-14,258
-7,757
-5,000
30,491
14,052
2023E
65,526
5,895
-18,383
-9,013
-5,000
39,025
16,325
Source: Company, MOSL
Risks and concerns
Alcoholic Beverages is a heavily regulated industry in India. In states that
together constitute 70% of the IMFL industry revenues, the state governments
control manufacturing, distribution, retailing, and pricing. Excise and other taxes
from the IMFL industry hold great importance for state governments; any
abnormal increase in taxation on liquor constitutes a downside risk.
Discrimination in favor of local breweries/distilleries at the expense of branded
manufacturers, as currently underway in Tamil Nadu, could prevent UNSP and
other liquor companies from realizing the full benefits of premiumization.
Any spike in prices of raw material (ENA, molasses, glass) would impact margins
adversely, as price hikes in government-controlled markets lag RM inflation.
Operating two entities – Diageo India and United Spirits – could give rise to
corporate governance issues. Current premium valuations also reflect
expectations of high corporate governance standards.
29
22 September 2014

United Spirits
Deep Economic Moat + credible management = strong returns in
consumer sector
Indian consumer sector’s history is littered with examples of Deep Economic Moat +
Credible management combo delivering outsized returns. We highlight few cases.
We compare three parameters for the period 2004-14.
Earnings growth
Return on Equity
PE rerating
EXHIBIT 48: CONSUMER STORIES WHICH DELIVERED CONSISTENT ROBUST EARNINGS PERFORMANCE OVER 2004-2014
Asian Paints (2004-2014)
19.0
20.2
23.5
19.3
GSK (2004-2014)
24.0
18.3
Sales CAGR (%)
EBITDA CAGR (%)
PAT CAGR (%)
Source: Company, MOSL
Sales CAGR (%)
EBITDA CAGR (%)
PAT CAGR (%)
Source: Company, MOSL
ITC (2004-2014)
17.5
17.1
17.7
15.7
Nestle (2004-2014)
15.8
15.0
Sales CAGR (%)
EBITDA CAGR (%)
PAT CAGR (%)
Source: Company, MOSL
Sales CAGR (%)
EBITDA CAGR (%)
PAT CAGR (%)
Source: Company, MOSL
Pidilite (2004-2014)
22.4
28.5
Titan (2004-2014)
35.8
25.1
19.5
19.4
Sales CAGR (%)
EBITDA CAGR (%)
PAT CAGR (%)
Source: Company, MOSL
Sales CAGR (%)
EBITDA CAGR (%)
PAT CAGR (%)
Source: Company, MOSL
30
22 September 2014

United Spirits
Exhibit 49: Return ratios of our select consumer universe over the decade
RoE (%)
Asian Paints
GSK
ITC
Nestle
Pidilite
Titan
2003
30.3
17.6
38.0
77.4
21.5
3.4
2004
35.3
16.0
28.7
65.5
19.5
19.4
2005
32.1
13.7
32.2
61.6
20.2
35.5
2006
34.2
22.4
27.5
65.4
21.3
50.1
2007
36.8
23.4
27.4
69.5
25.8
43.4
2008
42.5
25.1
27.7
106.9
30.9
42.4
2009
33.4
24.8
25.3
126.7
21.3
42.5
2010
48.8
25.7
28.9
132.3
33.0
41.0
2011
38.5
31.2
31.3
116.5
27.2
49.2
2012
36.0
31.0
32.8
94.0
25.3
48.9
2013
32.9
32.2
36.1
71.6
27.0
42.5
2014
30.4
41.9
38.8
55.8
23.8
26.8
Source: Company, MOSL
Consistent earnings delivery led to expansion of valuation multiples and premium vs. market P/E.
Exhibit 50: Asian Paints
PE (x)
46
33
21
8
PE Relative to Sensex PE (%) (RHS)
145.4 175
100
25
-50
35.6% Stock Return
Exhibit 51: GSK
45
30
15
0
PE (x)
PE Relative to Sensex PE (%) (RHS)
175
103.0
32.5
100
25
-50
35.9% Stock Return
39.3
Source: Company, MOSL
Source: Company, MOSL
Exhibit 52: ITC
34
26
18
10
58.6
PE (x)
PE Relative to Sensex PE (%) (RHS)
25.4
130
80
30
-20
Exhibit 53: Nestle
45
30
15
0
PE Relative to Sensex PE (%) (RHS)
43.8
28.1% Stock Return
173.4
70
-10
PE (x)
230
150
25.7% Stock Return
Source: Company, MOSL
Source: Company, MOSL
Exhibit 54: Pidilite
45
30
33.5
15
0
PE (x)
PE Relative to Sensex PE (%) (RHS)
109.2
37.7% Stock Return
125
50
-25
-100
Exhibit 55: Titan
45
30
35.5
15
0
25
-50
PE (x)
PE Relative to Sensex PE (%) (RHS)
121.2
100
49.8% Stock Return
175
Source: Company, MOSL
Source: Company, MOSL
22 September 2014
31

United Spirits
We see similar potential for UNSP notwithstanding the relatively harsher regulatory
and government restrictions in the IMFL industry. Possibility of multi-year solid
earnings growth partly explains the current premium valuations of UNSP,
notwithstanding the near term volatility in financials.
Five things we will monitor under new regime
As the UNSP story unfolds over the next few years, we enumerate some key
parameters to be closely monitored.
Portfolio strategy:
While premiumisation is a stated goal, execution of this
strategy will largely influence the trajectory UNSP’s EBITDA margins will take in
the medium term. Though we rule out any sweeping changes in portfolio, how
Diageo gradually defocuses on lower end brands will be an interesting case
study.
Geographic strategy:
UNSP has changed its strategy in TN and moved from
direct operations to third party royalty based arrangement. Will similar strategy
be adopted in markets like Kerala, Karnataka, Andhra Pradesh in future? If yes,
how much benefits can accrue from working capital perspective?
Pricing strategy:
Price increases have been difficult to come by for variety of
reasons in government controlled markets. How will Diageo maneuver such
markets? Will it follow in the footsteps of Pernod Ricard?
Management changes:
Diageo has retained most of the senior managers of UB
group. With the fullness of time, will Diageo gradually change the complexion of
senior managers by replacing existing talent from its global pool?
Balance sheet management:
Success in driving working capital and balance
sheet improvement will weigh on return ratios and consequently valuation
premium. Thus it is THE most critical parameter to monitor, in our view.
22 September 2014
32

United Spirits
Annexure-I
UNSP dominates the market characterized by
significant entry barriers
Market leader with comprehensive product portfolio
United Spirits enjoys 41% market share in the IMFL segment. It has strong portfolio
presence with brand presence across all the sub-segments of IMFL across price
points. This bestows significant competitive advantage on UNSP given the plethora
of entry barriers which characterize IMFL industry which is inherently complex to
operate in.
Exhibit 56: United Spirits enjoys 41% volume market share in IMFL
UB Group
37.1
Pernod Ricard
35.9
ABD
Jagajit
32.4
Radico
33.1
Others
32.4
38.6
6.4
41.6
2007
6.9
42.1
2008
7.5
42.3
2009
8.4
42.6
2010
9.0
41.6
2011
9.7
41.0
2012
Source: Company, Industry, MOSL
Exhibit 57: UNSP’s portfolio straddle across price points
Source: Company, MOSL
22 September 2014
33

United Spirits
Exhibit 58: UNSP’s product offerings
CY11
Whisky
Black Dog
Antiquity
Mc Dowells No. 1
Signature
Royal Challenge
Director's Special Black
Mc Dowells Platinum
Old Tavern
Bagpiper
Director's Special
Gilbeys Green Label
Gold Riband
Hayward
Mens Club
Total Whisky
Rum
Celebration
Olde Adventurer
Rare Old Cask
Bagpiper
Total Rum
Brandy
Mc Dowells VSOP
Mc Dowells No. 1
Honey Bee
Mens Club
Total Rum
Vodka
White Mischief
Romanov
Romanov Flavours
Total Vodka
Gin
Carew
Blue Riband
Blue Riband Duet & Tango
Total Gin
Total IMFL
1.1
0.5
0.4
2.0
114
1.2
0.4
0.3
1.9
117
1.2
0.4
0.3
1.8
118
1.5
1.0
0.5
3.2
1.7
0.9
0.4
3.2
2.0
0.9
0.4
3.4
1.4
11.7
4.7
0.1
20.2
1.9
10.9
4.9
0.3
20.4
2.2
9.2
3.4
2.9
18.6
15.5
1.0
2.2
1.5
20.2
17.7
0.9
1.3
0.4
20.3
18.9
0.8
0.7
0.1
20.5
0.2
0.6
13.6
1.5
1.3
2.9
2.1
11.1
15.5
4.5
2.9
3.1
6.2
1.1
68.0
0.3
0.6
16.4
1.7
1.5
2.8
1.8
11.6
13.5
4.3
3.3
3.5
7.1
1.2
71.1
0.4
0.7
20.6
1.7
1.9
2.7
1.8
11.5
11.2
4.0
2.7
2.3
9.2
1.3
73.1
CY12
CY13
Source: IWSR, Company, MOSL
22 September 2014
34

United Spirits
Exhibit 59:Whisky forms 57% of the IMFL Industry
Segment wise Percentage distribution of IMFL
IMFL segment
Whisky
Scotches
Super-premium
Premium-whisky
Prestige-whisky
Delux- whisky
Upper regular- whisky
Regular- whisky
Medium-whisky
Economy-Whisky
Total-Whisky
Rum
Premium- rum
Delux-rum
Regular-rum
White rum
Economy-Rum
Total-Rum
Brandy
Premium- brandy
Semi-premium- brandy
Delux- brandy
Regular-brandy
Economy-Brandy
Total-Brandy
Gin
Regular-gin
Medium-gin
Economy-Gin
Total-Gin
Vodka
Premium- vodka
Semi premium- vodka
Regular- vodka
Economy- Vodka
Total- Vodka
All India
0.3
0.8
1.6
0.0
2.7
100.0
0.3
0.8
1.4
0.0
2.5
100.0
0.3
0.9
1.3
0.0
2.5
100.0
0.1
0.9
0.2
1.2
0.1
0.9
0.2
1.1
0.1
0.8
0.1
1.0
0.3
0.7
6.8
8.6
7.4
23.7
0.5
1.0
6.3
9.4
8.1
25.3
0.3
1.3
6.0
11.6
5.9
25.2
0.2
0.0
10.9
0.4
4.7
16.2
0.3
0.0
10.0
0.3
4.2
14.8
0.3
0.1
10.3
0.3
3.5
14.6
0.4
0.3
2.1
4.5
5.2
5.5
21.8
3.5
13.0
56.2
0.4
0.3
2.2
4.9
5.9
6.0
20.4
4.3
11.7
56.3
0.5
0.3
2.4
5.0
6.9
7.2
19.0
4.1
11.2
56.8
FY12
FY13
FY14
Of IKSource: Industry, MOSL
22 September 2014
35

United Spirits
Operational complexity characterizes IMFL industry
1. Significant entry barriers
Strong entry barriers characterize the Indian liquor industry. These have resulted in
very few new players having successfully entered and established new brands. The
industry is dominated by few players like United Spirits (UNSP), Pernod Ricard,
Radico Khaitan (RDCK), Jagatjit Industries (JGI), and Mohan Meakin (MOHN).
Media advertising of liquor is banned in India. Manufacturers undertake
surrogate advertising and sponsorships of various sports events to create brand
awareness. Surrogate advertising is generally done for soda, bottled water, and
sports equipment. This makes it difficult for any player to launch a new brand
and make it a success. This has thwarted the attempts of many global majors to
gain a strong foothold in the Indian liquor industry.
Though one can readily expand existing units, it is difficult to obtain a fresh
license to set up a new unit. This acts as an entry barrier for any new global
players.
Taxes and duties constitute more than 50% of the final consumer price. In
addition to excise, there are high taxes on inter-state movement of liquor. These
different types of taxes on liquor in India raise the entry barriers for any new
player.
Liquor is subject to 150% import duty and several state level duties, which raises
the price of imported liquor to very high levels. This results in very high prices
for imported liquor, thus limiting their consumer reach.
High taxes on inter-state movement of liquor results in manufacturers having
small bottling units in various states, thus creating inefficiencies in
manufacturing. Operating in India is akin to operating in 30 countries.
2. More than 60% of market is government controlled
Liquor is a state subject in India. Consequently, the liquor industry is subjected to
very strict distribution controls by the state governments. There is pricing flexibility
in 32% of the market, while 57% of the market is controlled by government
monopolies and 11% by government sponsored cartels. Currently, three types of
distribution systems are prevalent in India – government controlled, auction market,
and free market. Each distribution system has its own characteristics, some of which
have been impeding the growth of the liquor industry in India.
3. Strenuous taxation regime
The taxation structure for alcoholic drinks in India is complex, with legislation
varying from state to state. The central government issues licenses for establishing
manufacturing facilities, and imposes an import tax on imported alcoholic drinks.
Besides, state governments also impose excise and sales taxes in their own states.
They also control the decision with regards to retailing of alcoholic drinks. There are
also restrictions on setting up liquor shops in the vicinity of an educational
institution, as well in residential areas. Different legislation in different states leads
to anomalies in the taxation structure and restricts the growth of domestic
manufacturers. While imported products are subject to customs duty, domestically-
produced alcoholic drinks are subject to different levies in various states, as well as
22 September 2014
36

United Spirits
other fees. These include license fees, vending fees, assessment fees, and sales and
transport fees.
The individual states have the authority to impose excise duties on domestically
manufactured liquor but their jurisdiction does not extend to imported
products.
Each state imposes: (1) state excise duty on the production of alcohol in the
state, (2) import duty on any alcoholic products from outside the state, and (3)
export duty on all alcoholic products manufactured in the state for consumption
in other states.
The high tax on alcoholic drinks means that these products constitute a major
source of revenue for the central and state governments. States find it difficult
(or, perhaps, counter-productive) to enforce prohibition and even harder to find
alternative revenue sources to replace lost alcohol taxes. Andhra Pradesh, for
example, imposed prohibition in 1994, only to revoke it in 1997 in the wake of
diminishing tax revenues. Gujarat, in West India, enforces total prohibition.
However, the main impact of this is to remove a major income source for the
Gujarat government, while encouraging the bootlegging of spirits. Most
organized crime in the state has its roots in bootlegging, and alcoholic drinks are
widely available.
International trade forums have repeatedly raised the issue of restrictive /
prohibitively high import duties on alcoholic beverages in India. There was a
significant pressure on the central government to reduce tariffs on alcoholic
drinks during the review period, following the entry of India to the World Trade
Organization (WTO).
22 September 2014
37

United Spirits
Exhibit 60: Manufacturer receives less than one-third of MRP
SEMI-PREMIUM
Uttar Pradesh
ML
bottle per case
Proof litre
Landed cost
Excise duty
EXTRA Excise DUTY
Landed cost
Warehouse margin
WHOLESALE PRICE
Shop margin
Total
MRP Per bottle
750
12
75
993
3263
27
4282
71
4353
807
5160
430
ML
Bottle per case
Proof litre
Landed cost
Excise duty
Development Cess
Permit Fee
Total
Wholesale margin
Total
VAT 13%
VAT S/C 10%
Total Tax
Duty to be paid by
shop
Total (Landed at shop)
Shop margin
Retail price per case
MRP Per bottle
SEMI-PREMIUM
Punjab
750
12
75
731
340
14
14
1098
132
1230
160
16
176
1350
2756
1444
4200
350
Source: Company, MOSL
ML
bottle per case
Proof litre
Landed cost
EXPORT FEES-U.P
IMPORT FEES-Haryana
EXCISE DUTY
Total Landed to
Wholesale.
Wholesalers Margin
Total
Shop margin
Total
MRP Per bottle
SEMI-DELUXE
Haryana
750
12
75
812
14
108
270
1204
96
1300
2060
3360
280
22 September 2014
38

United Spirits
Annexure-II
Liquor ban in Kerala – can it be emulated by other
states?
Kerala government has decided to impose ban on liquor and move towards
a path of prohibition in 10 years
Measures
In Kerala, liquor bar licenses are renewed annually. 418 liquor bars whose
licenses had expired on Mar’14 were not renewed. Additionally, licenses of 312
bars won't be renewed after March 31
st
2015
Kerala State Beverages Corporation outlets will be phased out with a plan to
close 10% outlets per annum.
Sunday and first day of every month will be observed as dry day.
Kerala is one of the largest IMFL market in India with close to 12% of the
industry size. It is a government controlled market with trade, distribution and
pricing under its control.
It contributes close to 8-10% of revenues for UNSP and Radico. However, given
the pricing restrictions it contributes less than 5% of EBITDA.
As the phase out is gradual, it will not have immediate material impact on
revenues.
As the ban comes into effect, there exists a possibility of goods moving from
neighboring states like Karanataka and Tamil Nadu.
Historical data from KSBC suggests (as discussed in earlier section through
exhibits) IMFL was a lucrative revenue resource for the state with nearly 80% of
the sales going into state treasury.
Impact
Bar and hotel owners have appealed against the policy decision in courts. Supreme
Court has subsequently asked the government to maintain status quo till 30
th
September and directed the government to file a fresh affidavit before the Kerala
High Court before the aforementioned date.
Long term implications
While it is difficult to surmise on future course of policy action by state
governments, IMFL constitutes an important source of revenue for states (excise
duties, plethora of state taxes like import-export duty etc) and given the fiscal
conditions of state governments and the difficulty in finding ready replacement
for IMFL revenues, they will be constrained before replicating Kerala
government’s policy, in our view.
Secondly, in Kerala, politics was a major driver for this decision. Both the key
political parties were posturing for stringent alcohol control for sometime as
excessive liquor consumption (Kerala has highest per capita IMFL consumption
in India) has become a key socio-political issue in Kerala.
Thus, while replication of Kerala’s policy by other states remains a theoretical risk,
we attach little probability to that scenario.
22 September 2014
39

United Spirits
Annexure-III
India a manageable market even for an MNC
Pernod Ricard’s performance stands testimony
Excessive government control in manufacturing, distribution, pricing, and
retailing of IMFL restricts the degree of freedom and is often touted as a key
challenge for an MNC like Diageo. However, Pernod Ricard’s India performance
amply illustrates the feasibility of running a successful liquor operation in India
despite the plethora of operational challenges typifying the Indian liquor sector.
Despite selling 1/4
th
of UNSP’s volumes in FY13 (29m cases), Pernod’s PAT at
INR6.9b was more than double UNSP’s standalone PAT. Also, Pernod’s balance
sheet exemplifies the quintessential FMCG DNA – net cash and negative WC.
While Pernod’s product mix is concentrated in the Premium and Prestige
segments (top 3 brands - Royal Stag, Imperial Blue and Blenders Pride account
for 98% of volumes), UNSP’s Prestige+ portfolio is still larger than Pernod’s
portfolio. Similar EBIT for both UNSP and Pernod, despite UNSP’s bigger volume
base and consequent operating leverage, highlights the inefficiencies in UNSP’s
P&L. Alternatively, it also underscores the extent of opportunity available for
Diageo to improve operations.
FY11
43,932.2
5,078.0
3,352.0
11.6%
7.6%
FY12
59,407.8
8,818.6
5,925.7
14.8%
10.0%
FY13
72,164.2
10,068.2
6,851.7
14.0%
9.5%
Source: Company, MOSL
Exhibit 61: Pernod India’s PAT more than doubled in two years
INR m
Gross Revenue
Profit before tax
Profit after tax
PBT Margin
PAT Margin
Exhibit 62: Pernod runs a net cash balance sheet…
Net D/E
Exhibit 63: …with minimal working capital requirements
7.4%
NWC/Sales (%)
6.5%
5.2%
-0.6
-0.9
FY11
FY12
-0.6
-1.0
FY10
FY13
FY11
FY12
FY13
Exhibit 64: Pernod Ricard’s sales/case is ~4x United Spirits’…
United Spirits
Pernod Ricard
Exhibit 65: …while PBT/case is ~9x United Spirits’
United Spirits
Pernod Ricard
FY10
FY11
FY12
FY13
Source: Company, MOSL
FY10
FY11
FY12
FY13
Source: Company, MOSL
40
22 September 2014

United Spirits
Annexure-IV
Wholesaler
Cumbersome trade dynamics
Auction Market
State auctions distribution rights to
private parties for selected areas and
time
Private vendors
20%+
Very low
Free Market
Manufacturers sell to
wholesalers/retailers
Private parties obtain license for nominal
fee
8-10%
High
Exhibit 66: Distribution systems for alcoholic beverages in India
Government controlled
State through its entity
Retailers
Retailer Margin
Sellers
bargaining
power
Methodology
Key States
State operated or private
12-15%
Low to average
Annual tender from manufacturers
Karnataka, Kerala, Uttaranchal, Tamil
Nadu, Andhra Pradesh, Orissa, Bihar,
Rajasthan, MP
Private parties negotiate with liquor
companies
Punjab, Haryana, Chandigarh, Uttar
Pradesh
Private wholesalers directly procure from
manufacturers
Goa, Maharashtra, Assam, Delhi, West
Bengal, Tripura, Pondicherry, Chandigarh,
Jharkhand
Source: Company, MOSL
Government controlled:
Under the government controlled system, the state
government (either on its own or through an agency) purchases liquor from
various entities through negotiated prices and sells at a mark-up through its own
shops. This system currently exists in southern India. It indirectly imposes limits
on the availability of the product.
Auction market:
Under the auction market system, the state government
auctions the right to sell liquor to various parties for a certain fixed fee annually.
The winners of these contracts then negotiate prices with the liquor companies
and sell to the consumers through their own distribution network. This creates
distribution monopolies in small regions, which results in high consumer prices
and fat margins for the retailers.
Free market:
The open/free market system is most favorable to the trade and
industry. It improves the availability of products and ensures fairness to both
the consumer and retailer. Under this system, interested parties can open liquor
shops by taking licenses from the state for a certain fee. Manufacturers sell the
liquor directly to the retailers at negotiated prices. This ensures fair play for the
manufacturer, as no one retailer can force it to reduce prices.
22 September 2014
41

United Spirits
Exhibit 67: State-wise distribution system
Type of market and jurisdiction
Government- controlled markets
Andhra Pradesh
Bihar
CSD
Chattisgarh
Karnataka
Kerala
Orissa
Rajasthan
Tamil Nadu
Uttaranchal
Hybrid markets
Delhi
Uttar Pradesh
Oligopolistic markets
Chandigarh
Haryana
Himachal Pradesh
Punjab
Uttar Pradesh
Free markets
Assam
Bihar
Daman
Goa
Jharkhand
Maharashtra
Pondicherry
West Bengal
Free market
Government- controlled
Free markets
Free markets
Free markets
Free markets
Free markets
Free markets
Free market
Free market
Free market
Free market
Free market
Free market
Free market
Free market
Source: Company, MOSL
Private Oligopoly
Private Oligopoly
Private Oligopoly
Private Oligopoly
Private Oligopoly
Private Oligopoly
Private Oligopoly
Private Oligopoly
Private Oligopoly
Private Oligopoly
Free market
Government- controlled
Government- controlled
Free market
Government- controlled
Government- controlled
Government- controlled
Government- controlled
Government- controlled
Government- controlled
Government- controlled
Government- controlled
Government- controlled
Government- controlled
Free market
Free market
Government- controlled
Free market
Free market
Government- controlled
Free market
Free market
Government- controlled
Free market
Wholesale
Retail
22 September 2014
42

United Spirits
Financials and valuations
Income statement
Y/E Mar
Net Sales
Change (%)
EBITDA
EBITDA Margin (%)
Depreciation
EBIT
Interest
Other Income
PBT
Tax
Tax Rate (%)
Reported PAT
Adjusted PAT
Change (%)
Min. Int. & Assoc. Share
Adj Cons PAT
2012
86,372
25.9
10,603
11.5
1,474
9,129
7,773
2,106
3,461
1,481
42.8
1,872
1,988
-42.6
7
1,988
2013
98,524
14.1
10,037
9.6
1,784
8,253
8,861
1,446
838
1,781
212.4
-1,050
-904
-145.5
38
-904
2014
99,116
0.6
8,711
8.3
2,026
6,685
12,771
7,550
1,463
2,762
188.8
-44,888
-1,302
44.1
-3
-1,302
2015E
91,801
-7.4
9,981
10.2
1,472
8,509
4,508
2,750
6,751
2,228
33.0
4,523
4,523
-447.4
0
4,523
(INR Million)
2016E
103,882
13.2
13,306
12.0
1,642
11,664
3,306
3,025
11,383
3,756
33.0
7,626
7,626
68.6
0
7,626
2017E
119,198
14.7
16,165
12.8
1,809
14,356
2,413
3,328
15,271
5,039
33.0
10,231
10,231
34.2
0
10,231
Balance sheet
Y/E Mar
Share Capital
Reserves
Net Worth
Debt
Deferred Tax
Total Capital Employed
Gross Fixed Assets
Less: Acc Depreciation
Net Fixed Assets
Capital WIP
Investments
Current Assets
Inventory
Debtors
Cash & Bank
Loans & Adv, Others
Curr Liabs & Provns
Curr. Liabilities
Provisions
Net Current Assets
Total Assets
2012
1,259
45,359
46,764
75,231
-592
121,403
29,620
-9,432
20,188
1,080
2,358
75,729
27,548
17,737
3,632
26,812
36,570
34,119
2,451
39,159
121,403
2013
1,259
46,614
47,984
72,517
-589
119,911
31,026
-10,721
20,305
1,312
2,179
82,059
25,112
24,170
2,816
29,960
44,330
40,517
3,812
37,729
119,911
2014
1,453
28,869
30,330
81,563
-967
110,927
35,317
-13,413
21,905
1,097
2,380
87,129
29,351
22,652
7,047
28,078
36,683
30,542
6,141
50,447
110,927
2015E
1,453
33,390
35,043
41,563
-855
75,751
31,317
-14,884
16,433
500
2,380
74,382
25,566
20,183
3,713
24,920
38,044
31,486
6,557
36,339
75,751
(INR Million)
2016E
2017E
1,453
1,453
41,013
50,902
42,666
52,555
36,063
30,063
-668
-416
78,062
82,203
35,317
39,317
-16,527
-18,335
18,791
20,982
500
500
2,380
2,380
80,223
90,330
27,319
31,228
22,766
27,064
4,335
4,280
25,802
27,758
43,931
52,088
37,640
45,107
6,291
6,981
36,292
38,242
78,062
82,203
E: MOSL Estimates
22 September 2014
43

United Spirits
Financials and valuations
Ratios
Y/E Mar
Basic (INR)
EPS
Cash EPS
Book Value
DPS
Payout (incl. Div. Tax.)
Valuation(x)
P/E
Cash P/E
Price / Book Value
EV/Sales
EV/EBITDA
Dividend Yield (%)
Profitability Ratios (%)
RoE
RoCE
Turnover Ratios (%)
Asset Turnover (x)
Debtors (No. of Days)
Inventory (No. of Days)
Creditors (No. of Days)
Leverage Ratios (%)
Net Debt/Equity (x)
2012
16.2
28.3
382.0
2.5
15.4
147.6
84.8
6.3
4.2
36.2
0.1
4.3
9.3
0.8
70.5
109.5
75.4
1.6
2013
-7.4
7.2
392.0
2.5
-33.9
-324.6
333.4
6.1
3.7
38.1
0.1
-1.9
8.1
0.9
84.7
88.0
60.7
1.5
2014
-9.0
5.0
208.7
2.5
-27.9
N.A.
481.1
11.5
3.7
45.0
0.1
-4.3
12.8
0.9
78.7
102.0
54.1
2.7
2015E
31.1
41.3
241.1
0.0
0.0
77.0
58.1
9.9
3.6
35.2
0.0
12.9
14.9
1.3
75.0
95.0
61.2
1.2
2016E
52.5
63.8
293.6
0.0
0.0
45.7
37.6
8.2
3.1
26.0
0.0
17.9
18.8
1.4
75.0
90.0
68.2
0.8
2017E
70.4
82.8
361.6
2.0
2.8
34.0
28.9
6.6
2.7
21.0
0.1
19.5
21.5
1.5
78.0
90.0
74.5
0.6
Cash flow statement
Y/E Mar
OP/(Loss) before Tax
Others
Interest
Direct Taxes Paid
(Inc)/Dec in Wkg Cap
CF from Op. Activity
(Inc)/Dec in FA & CWIP
(Pur)/Sale of Invt
Others
CF from Inv. Activity
Inc/(Dec) in Net Worth
Inc / (Dec) in Debt
Divd Paid (incl Tax)
CF from Fin. Activity
Inc/(Dec) in Cash
Add: Opening Balance
Closing Balance
2012
3,461
-2,106
7,773
-1,481
-156
7,384
-16,736
-814
-448
-17,998
3,303
8,124
-379
7,876
-2,738
6,370
3,632
2013
838
-1,446
8,861
-1,781
614
6,978
-1,406
179
0
-1,227
2,611
-2,714
-379
-6,568
-816
3,632
2,816
2014
1,463
-7,550
12,771
-2,762
-8,487
-48,153
19,211
-201
-1
19,009
27,278
9,047
-41
33,374
4,231
2,816
7,047
2015E
6,751
-2,750
4,508
-2,228
10,774
17,055
19,597
0
1
19,597
189
-40,000
0
-39,987
-3,334
7,047
3,713
(INR Million)
2016E
2017E
11,383
15,271
-3,025
-3,328
3,306
2,413
-3,756
-5,039
669
-2,005
8,576
7,311
-4,000
-4,000
0
0
0
0
-4,000
-4,000
-3
-3
-5,500
-6,000
0
-339
-3,954
-3,367
622
-56
3,713
4,335
4,336
4,280
E: MOSL Estimates
22 September 2014
44

United Spirits
NOTES
22 September 2014
45

Disclosures
This research report has been prepared by MOSt to provide information about the company(ies) and sector(s), if any, covered in the report and may be distributed by it and/or its affiliated company(ies). This
United Spirits
report is for personal information of the select recipient and does not construe to be any investment, legal or taxation advice to you. This research report does not constitute an offer, invitation or inducement to
invest in securities or other investments and Motilal Oswal Securities Limited (hereinafter referred as MOSt) is not soliciting any action based upon it. This report is not for public distribution and has been
furnished to you solely for your general information and should not be reproduced or redistributed to any other person in any form. This report does not constitute a personal recommendation or take into
account the particular investment objectives, financial situations, or needs of individual clients. Before acting on any advice or recommendation in this material, investors should consider whether it is suitable
for their particular circumstances and, if necessary, seek professional advice. The price and value of the investments referred to in this material and the income from them may go down as well as up, and
investors may realize losses on any investments. Past performance is not a guide for future performance, future returns are not guaranteed and a loss of original capital may occur.
MOSt and its affiliates are a full-service, integrated investment banking, investment management, brokerage and financing group. We and our affiliates have investment banking and other business
relationships with a significant percentage of the companies covered by our Research Department Our research professionals provide important input into our investment banking and other business selection
processes. Investors should assume that MOSt and/or its affiliates are seeking or will seek investment banking or other business from the company or companies that are the subject of this material and that
the research professionals who were involved in preparing this material may participate in the solicitation of such business. The research professionals responsible for the preparation of this document may
interact with trading desk personnel, sales personnel and other parties for the purpose of gathering, applying and interpreting market information. Our research professionals are paid in part based on the
profitability of MOSt which include earnings from investment banking and other business. MOSt generally prohibits its analysts, persons reporting to analysts, and members of their households from
maintaining a financial interest in the securities or derivatives of any companies that the analysts cover. Additionally, MOSt generally prohibits its analysts and persons reporting to analysts from serving as an
officer, director, or advisory board member of any companies that the analysts cover. Our salespeople, traders, and other professionals or affiliates may provide oral or written market commentary or trading
strategies to our clients that reflect opinions that are contrary to the opinions expressed herein, and our proprietary trading and investing businesses may make investment decisions that are inconsistent with
the recommendations expressed herein. In reviewing these materials, you should be aware that any or all o the foregoing, among other things, may give rise to real or potential conflicts of interest . MOSt and
its affiliated company(ies), their directors and employees may; (a) from time to time, have a long or short position in, and buy or sell the securities of the company(ies) mentioned herein or (b) be engaged in
any other transaction involving such securities and earn brokerage or other compensation or act as a market maker in the financial instruments of the company(ies) discussed herein or act as an advisor or
lender/borrower to such company(ies) or may have any other potential conflict of interests with respect to any recommendation and other related information and opinions.
Unauthorized disclosure, use, dissemination or copying (either whole or partial) of this information, is prohibited. The person accessing this information specifically agrees to exempt MOSt or any of its
affiliates or employees from, any and all responsibility/liability arising from such misuse and agrees not to hold MOSt or any of its affiliates or employees responsible for any such misuse and further agrees to
hold MOSt or any of its affiliates or employees free and harmless from all losses, costs, damages, expenses that may be suffered by the person accessing this information due to any errors and delays. The
information contained herein is based on publicly available data or other sources believed to be reliable. Any statements contained in this report attributed to a third party represent MOSt’s interpretation of the
data, information and/or opinions provided by that third party either publicly or through a subscription service, and such use and interpretation have not been reviewed by the third party. This Report is not
intended to be a complete statement or summary of the securities, markets or developments referred to in the document. While we would endeavor to update the information herein on reasonable basis, MOSt
and/or its affiliates are under no obligation to update the information. Also there may be regulatory, compliance, or other reasons that may prevent MOSt and/or its affiliates from doing so. MOSt or any of its
affiliates or employees shall not be in any way responsible and liable for any loss or damage that may arise to any person from any inadvertent error in the information contained in this report. MOSt or any of
its affiliates or employees do not provide, at any time, any express or implied warranty of any kind, regarding any matter pertaining to this report, including without limitation the implied warranties of
merchantability, fitness for a particular purpose, and non-infringement. The recipients of this report should rely on their own investigations.
Recipients who are not institutional investors should seek advice of their independent financial advisor prior to taking any investment decision based on this report or for any necessary explanation of its
contents.
MOSt and/or its affiliates and/or employees may have interests/positions, financial or otherwise in the securities mentioned in this report. To enhance transparency, MOSt has incorporated a Disclosure of
Interest Statement in this document. This should, however, not be treated as endorsement of the views expressed in the report.
Disclosure of Interest Statement
Analyst ownership of the stock
UNITED SPIRITS LTD
No
Analyst Certification
The views expressed in this research report accurately reflect the personal views of the analyst(s) about the subject securities or issues, and no part of the compensation of the research analyst(s) was, is, or
will be directly or indirectly related to the specific recommendations and views expressed by research analyst(s) in this report. The research analysts, strategists, or research associates principally responsible
for preparation of MOSt research receive compensation based upon various factors, including quality of research, investor client feedback, stock picking, competitive factors and firm revenues.
Regional Disclosures (outside India)
For U.K.
This report is not directed or intended for distribution to or use by any person or entity resident in a state, country or any jurisdiction, where such distribution, publication, availability or use would be contrary to
law, regulation or which would subject MOSt & its group companies to registration or licensing requirements within such jurisdictions.
This report is intended for distribution only to persons having professional experience in matters relating to investments as described in Article 19 of the Financial Services and Markets Act 2000 (Financial
Promotion) Order 2005 (referred to as "investment professionals"). This document must not be acted on or relied on by persons who are not investment professionals. Any investment or investment activity to
which this document relates is only available to investment professionals and will be engaged in only with such persons.
Motilal Oswal Securities Limited (MOSL) is not a registered broker - dealer under the U.S. Securities Exchange Act of 1934, as amended (the"1934 act") and under applicable state laws in the United States.
In addition MOSL is not a registered investment adviser under the U.S. Investment Advisers Act of 1940, as amended (the "Advisers Act" and together with the 1934 Act, the "Acts), and under applicable state
laws in the United States. Accordingly, in the absence of specific exemption under the Acts, any brokerage and investment services provided by MOSL, including the products and services described herein
are not available to or intended for U.S. persons.
This report is intended for distribution only to "Major Institutional Investors" as defined by Rule 15a-6(b)(4) of the Exchange Act and interpretations thereof by SEC (henceforth referred to as "major institutional
investors"). This document must not be acted on or relied on by persons who are not major institutional investors. Any investment or investment activity to which this document relates is only available to major
institutional investors and will be engaged in only with major institutional investors. In reliance on the exemption from registration provided by Rule 15a-6 of the U.S. Securities Exchange Act of 1934, as
amended (the "Exchange Act") and interpretations thereof by the U.S. Securities and Exchange Commission ("SEC") in order to conduct business with Institutional Investors based in the U.S., MOSL has
entered into a chaperoning agreement with a U.S. registered broker-dealer, Motilal Oswal Securities International Private Limited. ("MOSIPL"). Any business interaction pursuant to this report will have to be
executed within the provisions of this chaperoning agreement.
The Research Analysts contributing to the report may not be registered /qualified as research analyst with FINRA. Such research analyst may not be associated persons of the U.S. registered broker-dealer,
MOSIPL, and therefore, may not be subject to NASD rule 2711 and NYSE Rule 472 restrictions on communication with a subject company, public appearances and trading securities held by a research
analyst account.
Motilal Oswal Capital Markets Singapore Pte Limited is acting as an exempt financial advisor under section 23(1)(f) of the Financial Advisers Act(FAA) read with regulation 17(1)(d) of the Financial Advisors
Regulations and is a subsidiary of Motilal Oswal Securities Limited in India. This research is distributed in Singapore by Motilal Oswal Capital Markets Singapore Pte Limited and it is only directed in Singapore
to accredited investors, as defined in the Financial Advisers Regulations and the Securities and Futures Act (Chapter 289), as amended from time to time.
In respect of any matter arising from or in connection with the research you could contact the following representatives of Motilal Oswal Capital Markets Singapore Pte Limited:
Anosh Koppikar
Kadambari Balachandran
Email:anosh.Koppikar@motilaloswal.com
Email : kadambari.balachandran@motilaloswal.com
Contact(+65)68189232
Contact: (+65) 68189233 / 65249115
Office Address:21 (Suite 31),16 Collyer Quay,Singapore 04931
For U.S.
For Singapore
Motilal Oswal Securities Ltd
22 September 2014
Motilal Oswal Tower, Level 9, Sayani Road, Prabhadevi, Mumbai 400 025
Phone: +91 22 3982 5500 E-mail: reports@motilaloswal.com
46