31 January 2015
3QFY15 Results Update | Sector:
Utilities
NTPC
BSE SENSEX
29,183
Bloomberg
Equity Shares (m)
MCap.(INR b) / (USDb)
52-Week Range (INR)
1, 6, 12 Rel. Per (%)
Free float (%)
S&P CNX
8,809
NTPC IN
8,245.5
1,187/19.2
169/111
-5/-16/-30
25
CMP: INR144
n
TP: INR177 (+23%)
Buy
Robust core business performance, upgrade earnings estimate
3QFY15 earnings ahead of estimate:
NTPC reported revenues of INR187.4b, flat
YoY and largely in-line with our estimate of INR184b. While revenue growth
looked muted owing to higher base and impact of new regulation, the key
highlight of the performance was strong EBIDTA at INR45.4b (though down 2%
YoY), 25% higher than our estimate. This is also credible given lower profitability
in 1HFY15 owing to new regulation. Net profit stood at INR31b, vs estimate of
INR20b though partly aided by one-offs.
Core business performance robust:
NTPC booked prior period revenues of
INR1.2b (above EBIDTA) and tax refund of INR6.5b (below PBT) for the quarter.
Recurring EBIDTA stood at INR44b, as number of projects with fixed charge under
recovery (linked to availability) came down from 5 to 2 in 9MFY15. Recurring PAT
stood at INR23b, 14% higher than estimate despite other income at INR6b was
lower than our estimate of INR7b. Higher fixed charge recovery rather than
incentive contributed to better performance, in our view, as generation/PLF was
muted.
Operational performance in-line, capacity addition back ended:
For 3QFY15,
generation stood at 61.3BUs (up 4% YoY), vs est of 60.5BUs and sales stood at
57.2BUs (up 3.5% YoY), vs estimate of 53.2BUs. Coal and Gas project PLFs too
were in-line with estimate at 81% (160bps lower YoY) and 32% (200bps lower),
respectively. Capacity addition is near NIL, while FY15E addition target is 1.8GW.
Upgrade estimate, Re-iterate Top Buy:
NTPC is our top-pick given relatively
robust business model, strong cashflow/low leverage, beneficiary of improved
demand/generation and comfort on valuation. We upgrade our FY15/16E
estimate by 9% / 5% and expect net profit of INR88b in FY15E (down 11% YoY)
and INR94b in FY16E (up 7% YoY). Stock trades at PER of 11x and P/BV of 1.3x
(RoE 12%) on FY17E basis. Bonus debenture, dividend payout provides comfort.
Buy.
AvgVal(INRm)/Vol‘000 1,136/8,137
Financials & Valuation (INR Billion)
Y/E MAR
Sales
EBITDA
NP
AdjEPS(INR)
EPS Gr. (%)
2015E 2016E 2017E
720.2
154.9
88.0
10.7
-11.4
556.6
170.1
94.1
11.4
7.0
104.2
10.6
9.2
12.6
1.4
609.3
202.3
106.6
12.9
13.2
111.2
12.0
10.5
11.1
1.3
n
BV/Sh. (INR) 110.5
RoE (%)
RoCE (%)
P/E (x)
P/BV (x)
9.9
8.6
13.5
1.3
n
Estimate change
TP change
Rating change
9/5%
n
Nalin Bhatt
(NalinBhatt@MotilalOswal.com); +91 22 3982 5429
Investors are advised to refer through disclosures made at the end of the Research Report.
Motilal Oswal research is available on
www.motilaloswal.com/Institutional-Equities,
Bloomberg, Thomson Reuters, Factset and S&P Capital.

NTPC
3QFY15 earnings ahead of estimate, core business performance strong
n
n
n
NTPC reported 3QFY15 revenues of INR187.4b (flat YoY), despite 3.5%
generation growth and higher fuel cost at INR121b (up 2% YoY). Fuel cost per
unit on reported basis stood at INR2.12/unit (vs INR2.04/unit YoY). Revenues
were thus largely in-line with our estimate of INR184b.
However, the key highlight of the quarter was reported EBIDTA of INR45.4b,
though down 2% YoY, is up 47% QoQ. Also, this compares with 1HFY15
average EBIDTA of INR31.8b.
NTPC booked prior period revenue of INR1.2b, marginally aiding reported
EBIDTA. However, even after adjusting for same, recurring EBIDTA of INR44b is
robust given that profitability was perceived to be sizably impacted under the
new regulation.
Exhibit 1: EBIDTA growth led by core business performance (INR b)
36.3
42.2
40.0
39.1
42.7
41.1
46.3
44.4
32.7
30.9
45.4
Source: Company, MOSL
n
n
Recurring EBIDTA stood 22% higher than our estimate of INR36.4b. This is
driven by improvement in fixed charge (FC) recovery of NTPC stations. Total
number of Stations with FC under recovery came down from 5 to 2 in 9MFY15.
The reported PAT for NTPC too stood at INR31b, which includes INR6.5b of
gain on account of income tax refund (below PBT). Recurring PAT stood at
INR23b, 14% higher than our estimate. This is credible given that other income
at INR6b was lower than our estimate of INR7b. Growth in earnings is thus
driven by core business performance.
Exhibit 2: Recurring PAT growth too robust (INR b)
31
26
21
27
22
23
23
20
19
26
23
Source: Company, MOSL
31 January 2015
2

NTPC
Operational number in-line, capacity addition back ended
n
n
n
n
For 3QFY15, generation stood at 61.3BUs (up 4% YoY), vs est of 60.5BUs and
sales stood at 57.2BUs (up 3.5% YoY), vs estimate of 53.2BUs.
Coal and Gas project PLFs were in-line with estimate at 81% (down 160bps
YoY) and 32% (200bps lower), respectively. Coal project PAF stood at 91% (vs
95% YoY) and gas projects at 93% (vs 99% YoY). Coal materialization stood at
93%.
Capacity addition is near NIL, while FY15E addition target is 1.8GW.
Management indicated that Barh II 660MW, Koldam 400MW and one unit of
Kanti Bijlee (195MW) is on track, but would be commissioned by end FY15E.
This totals to capacity addition of 1.5GW, vs initial target of 1.8GW. 250MW
Nabinagar project is possibly facing delays and may slips to next year.
Exhibit 4: Gas based generation remain muted
Gas Gen (BUs)
-1%
-19%
-3
-20
-8
Gr (% YoY)
-37
4%
1%
-1
-6
-1
6
-16
-35
Exhibit 3: Coal based generation grew marginally
Coal Gen (BUs)
8%
6%
3%
0%
-3%
49 45 50 54 53
48
55
5%
10%
4%
57
0%
Gr (% YoY)12%
9%
5%
2%
-19
53 52 56 59 60 52 58
-11 3
5.5 5.4 6.3 5.9 5.7 5.1 5.2 3.7 3.7 2.8 3.0 3.1 3.5 3.0 2.9
Source: MOSL, Company
Source: MOSL, Company
Exhibit 5: PAF for gas projects remained robust (%)
Thermal - PAF
Gas - PAF
Exhibit 6: PLF for coal projects declined YoY (%)
Thermal - PLF
Gas - PLF
Source: MOSL, Company
Source: MOSL, Company
31 January 2015
3

NTPC
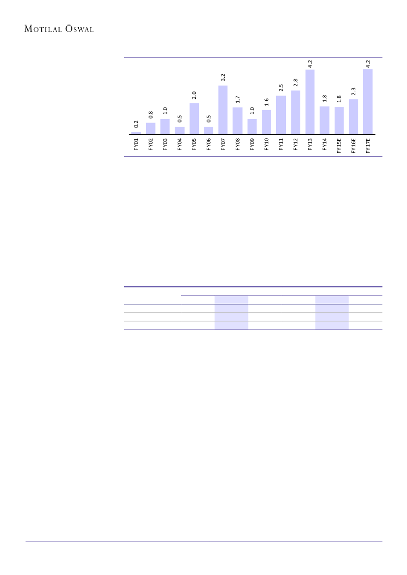
Exhibit 7: Capacity addition may be delayed (GW)
Source: MOSL, Company
Upgrade FY15/16E estimate by 9% / 5%
n
n
Given better than expected core business performance, we upgrade our
earnings for NTPC for FY15/16E. Key reason for upgrade in earnings is owing to
tax refund of INR6.5b, and increase in core RoE to reflect improvement in FC
recovery.
We now expect NTPC to report net profit of INR88b in FY15E (down 11% YoY)
and INR94b in FY16E (up 7% YoY). Delays in capacity addition could marginally
impact FY16E earnings, while higher generation / PLF would be key driver of
earnings growth.
Exhibit 8: Change in estimates
(INR m)
Revenue
EBIDTA
PAT
Earlier
714,460
146,404
80,413
FY15E
Revised Upgrade (%)
720,174
1%
154,947
6%
87,987
9%
Earlier
543,762
152,329
89,660
FY16E
Revised Upgrade (%)
556,589
2%
170,150
12%
94,103
5%
Source: MOSL
Key takeaways from concall
n
n
n
n
NTPC ‘s board has approved issue of 1 bonus debentures shares for every
shares held. Management stated that final approval from Ministry of
Corporate Affairs (MCA) is expected by end February 2015 and debentures
would be issued and listed by 15th March 2015.
Cumulative capex spent on mine development is INR24b. Bid for appointment
of Mine Development cum Operator (MDO) for Pakri Barwadih mine is
received.
In 9MFY15, total capex incurred by NTPC (Standalone) is INR134b (up 31%
YoY), while JVs have incurred capex of INR30b. NTPC’s consolidated capex for
the 9MFY15 thus stood at INR163.7b, vs FY15E budget of INR245b.
Management remained confident that there would be no project with FC
under recovery by end FY15E. This provides scope for further improvement in
performance in 4QFY15E.
31 January 2015
4

NTPC
Re-iterate Buy
High visibility on capacity addition growth:
NTPC is working on 22GW of projects under construction, while additional 7GW of
projects were under tendering stage as at 1HFY15. This is 50% growth on current
installed base of ~44GW and thus, provides strong growth visibility. NTPC aims to
reach installed capacity base of 128GW 2032, as it has signed PPAs with State
DISCOMs for project and 52GW is under various stage of feasibility study. NTPC has
cash and cash equivalent of INR216b and has been exploring inorganic growth
opportunity. Net gearing for NTPC stands at 0.7x.
Core business return looking up, key beneficiary of demand growth improvement:
NTPC’s return on core business has been hit under new regulation. Despite this, we
have seen bout of positive surprise in 3QFY15 performance with core RoE of ~20%.
Sustained performance on similar lines would improve confidence on core earnings
and provide re-rating trigger. NTPC will also benefit significantly in the wake of
demand improvement as higher generation above 85% PLF would earn an incentive
of INR0.50/unit.
Relatively better placed:
Power sector in India is facing twin issues of long term power purchase agreement
(PPA) and Fuel. NTPC is favorably placed on PPA front with assured offtake and is
also relatively better placed with higher linkages for its pre-2009 projects. For new
projects, NTPC has been allotted captive mines, with production potential of 50+m
tons. In addition, NTPC can bid for new mines or seek under allotment route.
Valuations compelling, Buy:
Stock trades at PER of 11x and P/BV of 1.3 (RoE 12%) on FY17E basis. Bonus
debenture, dividend payout provides comfort.
Buy.
Key triggers:
- Higher generation, PLF and improvement in incentive
- Inorganic growth
- Captive mine re-allocation, new mines win/allotment
Key risk factors:
- Persistent delays in capacity addition
- Cash flow utilization/capital allocation
Exhibit 9: PER Band
28
24
20
16
12
8
11.3
15.9
16.4
13.4
PE (x)
Median(x)
Peak(x)
Min(x)
Avg(x)
25.9
Exhibit 10: PB Band
4.5
3.5
2.5
1.5
0.5
1.0
1.9
PB (x)
Median(x)
Peak(x)
Min(x)
3.7
2.0
1.4
Avg(x)
Source: MOSL
31 January 2015
5

NTPC
Exhibit 11: Quarterly operating metrics
1QFY13 2QFY13 3QFY13 4QFY13 1QFY14 2QFY14 3QFY14 4QFY14 1QFY15 2QFY15 3QFY15
Capacity
- NTPC
- JVs
Total
PLF (%)
- Coal projects
- Gas projects
PAF (%)
- Coal projects
- Gas projects
Operating data
Sales (BUs)
Generation (BUs)
- Coal based
- Gas based
Fuel details
Coal recd. (m tons)
- Imports
Gas (mmscmd)
Per unit data
Realisation
Fuel Cost
34,810
4,364
39,174
34,810
4,364
39,174
34,810
4,864
39,674
35,810
5,364
41,174
35,810
5,364
41,174
35,810
5,364
41,174
36,970
5,474
42,444
36,970
5,864
42,834
36,970
5,974
42,944
36,970
5,974
42,944
36,970
5,974
42,944
YoY
0.0%
9.1%
1.2%
QoQ
0.0%
0.0%
0.0%
86.5%
64.5%
88.4%
92.6%
74.9%
57.7%
80.1%
90.2%
84.7%
59.4%
88.6%
90.0%
86.9%
42.6%
92.7%
95.9%
79.1%
42.0%
84.9%
94.4%
75.9%
31.8%
87.5%
87.1%
82.4%
33.8%
95.1%
99.8%
88.7%
35.6%
99.8%
99.7%
84.3%
39.8%
89.3%
90.1%
73.2%
33.4%
76.8%
89.1%
80.8%
31.8%
91.0%
93.2%
-1.6% 7.6%
-2.0% -1.6%
-4.1% 14.3%
-6.7% 4.1%
54.7
58.9
53.2
5.7
48.9
52.7
47.6
5.1
56.3
60.6
54.9
5.2
56.4
60.3
56.6
3.7
53.1
57.0
53.3
3.7
50.7
54.5
51.7
2.8
55.3
59.1
56.2
3.0
58.4
62.6
59.5
3.1
58.9
63.1
59.7
3.5
51.5
55.5
52.4
3.0
57.2
61.3
58.4
2.9
3.5%
3.7%
4.0%
-2.2%
11.2%
10.5%
11.4%
-4.5%
36.559
2.771
13.08
33.50
1.5
10.90
41.18
2.899
10.73
43.80
1.93
7.72
38.4
3.8
7.9
37.3
3.5
6.7
39.3
1.2
7.0
45.7
2.3
6.0
39.6
3.6
7.3
36.8
2.9
6.7
44.5 13.5% 21.0%
4.9 307.4% 71.2%
6.1 -11.9% -8.4%
2.92
1.94
3.30
2.03
2.80
1.79
2.92
1.84
2.9
1.8
3.2
2.0
3.4
2.1
3.6
2.5
3.1
2.2
3.2
2.2
3.3
2.1
-3.6%
1.6%
-1.0% -4.7%
Source: MOSL
31 January 2015
6

NTPC
Story in charts
Exhibit 12: Capacity addition to be robust (GW)
Exhibit 13: RAB growth to remain strong
RAB (INR b)
Capacity (GW)
34.2
39.2
43.8
64.7
48.9 49.9
55.9
22.5 24.5 25.0
31.7
27.4 29.1 30.1
155 164 167 205 215 227 237 262 301 315 345 397 457 491
Source: MOSL, Company
Source: MOSL, Company
Exhibit 15: Generation growth to look up
Agg, Gen Gr (% YoY)
Coal gen. gr. (% YoY)
Gas gen. gr. (% YoY)
Exhibit 14: PLF assumption can see an upside
Coal PLF(%)
Gas PLF (%)
88 88 90 92 91 91 88 85 83
81 80 80 81
80 82 81 84 84
71 72 71 70 68 70 66 78 68 67 78 78 65 56 36 36 40 40
FY13
Source: MOSL, Company
FY14E
FY15E
FY16E
FY17E
Source: MOSL, Company
Exhibit 16: Earnings growth to inch up, post rebasing
Adjusted net profit (Rs b)
Growth (% YoY)
Exhibit 17: Cash, CWIP partially drag RoE
16%
14%
12%
10%
RoE
Cash, CWIP as a % to capital employed
70
50
30
10
-10
Source: MOSL, Company
Source: MOSL, Company
31 January 2015
7

NTPC
Corporate profile: NTPC
Company description
NTPC is the largest power generator in India with
Installed capacity stands at 41.7GW and contribute
~30% of generation of the electricity in India. It
aims to add 14GW in 12
th
plan v/s ~9GW addition
in 11
th
plan period. It has also ventured into related
areas like coal mining, distribution, transmission,
and gas exploration.
Exhibit 18: Sensex rebased
Exhibit 19: Shareholding pattern (%)
Dec-14
Promoter
DII
FII
Others
75.0
12.1
10.4
2.5
Sep-14
75.0
11.8
10.4
2.8
Dec-13
75.0
12.1
10.3
2.6
Exhibit 20: Top holders
Holder Name
Life Insurance Coporation of India
% Holding
9.7
Note: FII Includes depository receipts
Exhibit 21: Top management
Name
Arup Roy Choudhury
Designation
Chairman & Managing Director
Exhibit 22: Directors
Name
Arup Roy Choudhury
Kulamani Biswal
I J Kapoor
U P Pani
K K Sharma
S C Pandey
A K Jha
Name
Sushil Khanna*
A Didar Singh*
Prashant Mehta*
Homai A Daruwalla*
Anol Nath Chatterji*
Pradeep Kumar
Anil Kumar Singh
*Independent
Exhibit 23: Auditors
Name
A R & Co
K K Soni & Co
O P Bagla & Co
P S D & Associates
PKF Sridhar & Santhanam
Ramesh C Agarwal & Co
V Sankar Aiyar & Co
Type
Statutory
Statutory
Statutory
Statutory
Statutory
Statutory
Statutory
Exhibit 24: MOSL forecast v/s consensus
EPS
(INR)
FY15
FY16
FY17
MOSL
forecast
10.7
11.4
12.9
Consensus
forecast
10.7
11.5
12.6
Variation
(%)
-0.2
-1.3
2.6
31 January 2015
8

NTPC
Financials and valuations
Income Statement
Y/E March
Net Sales
Change (%)
Other operating income
Total Expenditure
% of Sales
EBITDA
Margin (%)
Depreciation
EBIT
Interest
Other Income - Rec.
Exceptional item
Profit before Tax
Current Tax
Tax Rate (%)
Reported PAT
EO Exp/(Inc)
Adjusted PAT
Change (%)
Margin (%)
2010
463,226
10.5
0
339,122
73.2
124,104
26.8
26,501
97,603
18,089
29,341
108,855
21,573
19.8
87,282
2,742
84,540
3.9
18.3
2011
548,740
18.5
0
422,892
77.1
125,848
22.9
24,857
100,992
21,491
40,995
120,496
29,470
24.5
91,025
11,445
79,580
-5.9
14.5
2012
615,937
12.2
4,586
480,124
78.0
140,399
22.8
27,917
112,482
17,116
27,897
123,262
31,024
25.2
92,237
12,518
79,720
0.2
12.9
2013
641,896
4.2
15,475
486,699
75.8
170,672
26.6
33,968
136,704
19,244
31,485
16,841
165,786
39,592
23.9
126,194
36,153
90,041
12.9
14.0
2014
714,900
11.4
5,290
542,416
75.9
177,774
24.9
41,422
136,352
24,066
26,761
139,047
29,299
21.1
109,747
10,439
99,308
10.3
13.9
2015E
720,174
0.7
5,819
571,046
79.3
154,947
21.5
46,964
107,984
27,635
23,206
103,554
4,678
4.5
98,877
-10,890
87,987
-11.4
12.2
2016E
556,589
-22.7
6,109
392,549
70.5
170,150
30.6
50,929
119,221
24,718
23,149
117,652
23,549
20.0
94,103
0
94,103
7.0
16.9
(INR Million)
2017E
609,268
9.5
6,415
413,373
67.8
202,309
33.2
55,916
146,393
37,000
25,261
134,654
28,103
20.9
106,551
0
106,551
13.2
17.5
Balance Sheet
Y/E March
Equity Share Capital
Total Reserves
Net Worth
Deferred liabilities
Total Loans
Capital Employed
Gross Block
Less: Accum. Deprn.
Net Fixed Assets
Capital WIP
Investments
Curr. Assets
Inventory
Account Receivables
Cash and Bank Balance
Others
Curr. Liability & Prov.
Account Payables
Provisions
Net Current Assets
Appl. of Funds
E: MOSL Estimates
2010
82,455
541,719
624,174
-1560
394,078
1,016,692
668,501
320,888
347,613
321,043
148,071
307,546
33,477
66,514
144,595
62,960
107,581
76,876
30,705
199,965
1,016,692
2011
82,455
596,468
678,923
3028
439,803
1,121,754
727,552
335,192
392,360
382,706
123,448
353,968
36,391
79,243
161,853
76,481
130,729
103,205
27,524
223,239
1,121,753
2012
82,455
650,457
732,912
6369
476955
1,216,236
818,283
365,719
452,564
418,278
112,064
411,683
37,029
58,325
161,419
154,911
178,353
139,979
38,374
233,330
1,216,236
2013
82,455
721,421
803,875
9153
553348
1,366,376
1,032,457
403,096
629,361
371,094
107,601
2014
82,455
775,699
858,153
10516
651673
1,520,343
1,169,921
448,812
721,108
448,887
97,579
2015E
82,455
829,028
911,483
10516
617380
1,539,379
1,260,308
495,776
764,532
408,797
66,756
2016E
82,455
776,715
859,169
10516
692269
1,561,955
1,383,735
546,705
837,030
454,803
69,156
(INR Million)
2017E
82,455
834,183
916,638
10516
770648
1,697,802
1,679,925
602,621
1,077,304
340,493
71,756
473,191
64,755
66,916
107,285
234,235
264,942
207,466
57,476
208,249
1,697,802
663,362.6
491,781
514,361
525,264
461,675
40,572
53,734
59,103
61,866
53,655
52,201
61,075
63,931
168,677
153,114
149,697
114,871
228,877
255,313
255,390
221,007
233,461
261,591
225,970
260,709
156,016
179,771
157,549
199,307
77,445
81,820
68,421
61,403
258,320
252,770
299,294
200,966
1,366,376 1,520,344 1,539,379 1,561,955
384,670.8 498,559.5 467,683.8 577,398.1
31 January 2015
9

NTPC
Financials and valuations
Ratios
Y/E March
EPS (Adjusted)
Cash EPS
BV/Share
DPS
Payout (%)
Valuation (x)
P/E
Cash P/E
P/BV
EV/Sales
EV/EBITDA
Dividend Yield (%)
Return Ratios (%)
RoE
RoCE
Working Capital Ratios
Fixed Asset Turnover (x)
Asset Turnover (x)
Debtor (Days)
Inventory (Days)
Working Capital Turnover (Days)
Leverage Ratio (x)
Current Ratio
Interest Cover Ratio
Debt/Equity
2010
10.3
13.5
75.7
3.8
41.9
14.0
10.7
1.9
3.1
10.8
2.6
14.1
13.0
0.7
0.5
52
26
44
2.9
5.4
0.6
2011
9.7
12.7
82.3
3.8
40.1
14.9
11.4
1.7
2.7
11.1
2.6
12.2
13.3
0.8
0.5
53
24
41
2.7
4.7
0.6
2012
9.7
13.1
88.9
4.0
41.5
14.9
11.0
1.6
2.4
10.4
2.8
11.3
12.0
0.8
0.5
35
22
43
2.3
6.6
0.7
2013
10.9
15.0
97.5
5.8
43.8
13.2
9.6
1.5
2.4
9.0
4.0
11.7
14.3
0.6
0.5
31
23
51
2.1
7.1
0.7
2014
12.0
17.1
104.1
5.8
50.5
12.0
8.4
1.4
2.4
9.4
4.0
12.0
11.3
0.6
0.5
27
27
51
2.0
5.7
0.8
2015E
10.7
16.4
110.5
4.8
46.1
13.5
8.8
1.3
2.3
10.7
3.3
9.9
8.6
0.6
0.5
31
30
76
2.3
3.9
0.7
2016E
11.4
17.6
104.2
4.6
46.1
12.6
8.2
1.4
3.2
10.4
3.2
10.6
9.2
0.4
0.4
42
41
56
1.8
4.8
0.8
2017E
12.9
19.7
111.2
5.2
46.1
11.1
7.3
1.3
3.0
9.1
3.6
12.0
10.5
0.4
0.4
40
39
60
1.8
4.0
0.8
Cash Flow Statement
Y/E March
OP/(Loss) before Tax
Interest
Depreciation
Direct Taxes Paid
(Inc)/Dec in WC
CF from Operations
CF fr. Oper. incl EO Exp.
(inc)/dec in FA
(Pur)/Sale of Investments
CF from Investments
(Inc)/Dec in Debt
Dividend Paid
Interest
Others
CF from Fin. Activity
Inc/Dec of Cash
Add: Beginning Balance
Closing Balance
E: MOSL Estimates
2010
108,855
18,089
26,501
-21,573
-16,330
115,542
115,542
-101,965
8,236
-93,729
32,292
-26,056
-18,089
-28,081
-39,934
-18,121
162,716
144,595
2011
120,496
21,491
24,857
-29,470
-5,405
131,969
131,969
-120,714
-24,623
-145,336
53,912
-26,185
-21,491
24,389
30,625
17,258
144,595
161,853
2012
123,262
17,116
27,917
-31,024
-10,525
126,745
126,745
-126,303
-11,385
-137,688
44,491
-27,703
-17,116
10,836
10,508
-434
161,853
161,419
2013
165,786
19,244
33,968
-39,592
-17,731
161,674
161,674
-166,990
-4,463
-171,453
75,862
-39,593
-19,244
12
17,038
7,258
161,419
168,677
2014
139,047
24,066
41,422
-29,299
-10,014
165,222
165,222
-215,256
-10,022
-225,279
96,947
-39,364
-24,066
10,976
44,493
-15,563
168,677
153,114
2015E
103,554
27,635
46,964
-4,678
-49,941
123,534
123,534
-50,298
-30,823
-81,120
-33,600
-33,356
-27,635
48,761
-45,830
-3,417
153,114
149,697
2016E
117,652
24,718
50,929
-23,549
63,503
233,253
233,253
-169,433
2,400
-167,033
75,512
-31,746
-24,718
-120,094
-101,045
-34,825
149,697
114,871
(INR Million)
2017E
134,654
37,000
55,916
-28,103
-14,869
184,598
184,598
-181,880
2,600
-179,280
78,940
-35,945
-37,000
-18,898
-12,904
-7,586
114,871
107,285
31 January 2015
10

NTPC
NOTES
31 January 2015
11

Disclosures
This document has been prepared by Motilal Oswal Securities Limited (hereinafter referred to as Most) to provide information about the company(ies) and/sector(s), if any, covered in the report and may be
distributed by it and/or its affiliated company(ies). This report is for personal information of the selected recipient/s and does not construe to be any investment, legal or taxation advice to you. This research report does
not constitute an offer, invitation or inducement to invest in securities or other investments and Motilal Oswal Securities Limited (hereinafter referred as MOSt) is not soliciting any action based upon it. This report is not
for public distribution and has been furnished to you solely for your general information and should not be reproduced or redistributed to any other person in any form. This report does not constitute a personal
recommendation or take into account the particular investment objectives, financial situations, or needs of individual clients. Before acting on any advice or recommendation in this material, investors should consider
whether it is suitable for their particular circumstances and, if necessary, seek professional advice. The price and value of the investments referred to in this material and the income from them may go down as well as
up, and investors may realize losses on any investments. Past performance is not a guide for future performance, future returns are not guaranteed and a loss of original capital may occur.
MOSt and its affiliates are a full-service, integrated investment banking, investment management, brokerage and financing group. We and our affiliates have investment banking and other business relationships with a
some companies covered by our Research Department. Our research professionals may provide input into our investment banking and other business selection processes. Investors should assume that MOSt and/or
its affiliates are seeking or will seek investment banking or other business from the company or companies that are the subject of this material and that the research professionals who were involved in preparing this
material may educate investors on investments in such business. The research professionals responsible for the preparation of this document may interact with trading desk personnel, sales personnel and other
parties for the purpose of gathering, applying and interpreting information. Our research professionals are paid on the profitability of MOSt which may include earnings from investment banking and other business.
MOSt generally prohibits its analysts, persons reporting to analysts, and members of their households from maintaining a financial interest in the securities or derivatives of any companies that the analysts cover.
Additionally, MOSt generally prohibits its analysts and persons reporting to analysts from serving as an officer, director, or advisory board member of any companies that the analysts cover. Our salespeople, traders,
and other professionals or affiliates may provide oral or written market commentary or trading strategies to our clients that reflect opinions that are contrary to the opinions expressed herein, and our proprietary
trading and investing businesses may make investment decisions that are inconsistent with the recommendations expressed herein. In reviewing these materials, you should be aware that any or all of the foregoing
among other things, may give rise to real or potential conflicts of interest. MOSt and its affiliated company(ies), their directors and employees and their relatives may; (a) from time to time, have a long or short position
in, act as principal in, and buy or sell the securities or derivatives thereof of companies mentioned herein. (b) be engaged in any other transaction involving such securities and earn brokerage or other compensation
or act as a market maker in the financial instruments of the company(ies) discussed herein or act as an advisor or lender/borrower to such company(ies) or may have any other potential conflict of interests with
respect to any recommendation and other related information and opinions.; however the same shall have no bearing whatsoever on the specific recommendations made by the analyst(s), as the recommendations
made by the analyst(s) are completely independent of the views of the affiliates of MOSt even though there might exist an inherent conflict of interest in some of the stocks mentioned in the research report
Reports based on technical and derivative analysis center on studying charts company's price movement, outstanding positions and trading volume, as opposed to focusing on a company's fundamentals and, as
such, may not match with a report on a company's fundamental analysis. In addition MOST has different business segments / Divisions with independent research separated by Chinese walls catering to different set
of customers having various objectives, risk profiles, investment horizon, etc, and therefore may at times have different contrary views on stocks sectors and markets.
Unauthorized disclosure, use, dissemination or copying (either whole or partial) of this information, is prohibited. The person accessing this information specifically agrees to exempt MOSt or any of its affiliates or
employees from, any and all responsibility/liability arising from such misuse and agrees not to hold MOSt or any of its affiliates or employees responsible for any such misuse and further agrees to hold MOSt or any of
its affiliates or employees free and harmless from all losses, costs, damages, expenses that may be suffered by the person accessing this information due to any errors and delays. The information contained herein is
based on publicly available data or other sources believed to be reliable. Any statements contained in this report attributed to a third party represent MOSt’s interpretation of the data, information and/or opinions
provided by that third party either publicly or through a subscription service, and such use and interpretation have not been reviewed by the third party. This Report is not intended to be a complete statement or
summary of the securities, markets or developments referred to in the document. While we would endeavor to update the information herein on reasonable basis, MOSt and/or its affiliates are under no obligation to
update the information. Also there may be regulatory, compliance, or other reasons that may prevent MOSt and/or its affiliates from doing so. MOSt or any of its affiliates or employees shall not be in any way
responsible and liable for any loss or damage that may arise to any person from any inadvertent error in the information contained in this report. MOSt or any of its affiliates or employees do not provide, at any time,
any express or implied warranty of any kind, regarding any matter pertaining to this report, including without limitation the implied warranties of merchantability, fitness for a particular purpose, and non-infringement.
The recipients of this report should rely on their own investigations.
This report is intended for distribution to institutional investors. Recipients who are not institutional investors should seek advice of their independent financial advisor prior to taking any investment decision based on
this report or for any necessary explanation of its contents.
Most and it’s associates may have managed or co-managed public offering of securities, may have received compensation for investment banking or merchant banking or brokerage services, may have received any
compensation for products or services other than investment banking or merchant banking or brokerage services from the subject company in the past 12 months.
Most and it’s associates have not received any compensation or other benefits from the subject company or third party in connection with the research report.
Subject Company may have been a client of Most or its associates during twelve months preceding the date of distribution of the research report
MOSt and/or its affiliates and/or employees may have interests/positions, financial or otherwise of over 1 % at the end of the month immediately preceding the date of publication of the research in the securities
mentioned in this report. To enhance transparency, MOSt has incorporated a Disclosure of Interest Statement in this document. This should, however, not be treated as endorsement of the views expressed in the
report.
Motilal Oswal Securities Limited is under the process of seeking registration under SEBI (Research Analyst) Regulations, 2014.
There are no material disciplinary action that been taken by any regulatory authority impacting equity research analysis activities
Analyst Certification
The views expressed in this research report accurately reflect the personal views of the analyst(s) about the subject securities or issues, and no part of the compensation of the research analyst(s) was, is, or will be
directly or indirectly related to the specific recommendations and views expressed by research analyst(s) in this report. The research analysts, strategists, or research associates principally responsible for preparation
of MOSt research receive compensation based upon various factors, including quality of research, investor client feedback, stock picking, competitive factors and firm revenues
Disclosure of Interest Statement
§
Analyst ownership of the stock
§
Served as an officer, director or employee
NTPC
No
No
NTPC
Regional Disclosures (outside India)
For U.S.
This report is not directed or intended for distribution to or use by any person or entity resident in a state, country or any jurisdiction, where such distribution, publication, availability or use would be contrary to law,
regulation or which would subject MOSt & its group companies to registration or licensing requirements within such jurisdictions.
Motilal Oswal Securities Limited (MOSL) is not a registered broker - dealer under the U.S. Securities Exchange Act of 1934, as amended (the"1934 act") and under applicable state laws in the United States. In
addition MOSL is not a registered investment adviser under the U.S. Investment Advisers Act of 1940, as amended (the "Advisers Act" and together with the 1934 Act, the "Acts), and under applicable state laws in the
United States. Accordingly, in the absence of specific exemption under the Acts, any brokerage and investment services provided by MOSL, including the products and services described herein are not available to or
intended for U.S. persons.
This report is intended for distribution only to "Major Institutional Investors" as defined by Rule 15a-6(b)(4) of the Exchange Act and interpretations thereof by SEC (henceforth referred to as "major institutional
investors"). This document must not be acted on or relied on by persons who are not major institutional investors. Any investment or investment activity to which this document relates is only available to major
institutional investors and will be engaged in only with major institutional investors. In reliance on the exemption from registration provided by Rule 15a-6 of the U.S. Securities Exchange Act of 1934, as amended (the
"Exchange Act") and interpretations thereof by the U.S. Securities and Exchange Commission ("SEC") in order to conduct business with Institutional Investors based in the U.S., MOSL has entered into a chaperoning
agreement with a U.S. registered broker-dealer, Motilal Oswal Securities International Private Limited. ("MOSIPL"). Any business interaction pursuant to this report will have to be executed within the provisions of this
chaperoning agreement.
The Research Analysts contributing to the report may not be registered /qualified as research analyst with FINRA. Such research analyst may not be associated persons of the U.S. registered broker-dealer, MOSIPL,
and therefore, may not be subject to NASD rule 2711 and NYSE Rule 472 restrictions on communication with a subject company, public appearances and trading securities held by a research analyst account.
Motilal Oswal Capital Markets Singapore Pte Limited is acting as an exempt financial advisor under section 23(1)(f) of the Financial Advisers Act(FAA) read with regulation 17(1)(d) of the Financial Advisors
Regulations and is a subsidiary of Motilal Oswal Securities Limited in India. This research is distributed in Singapore by Motilal Oswal Capital Markets Singapore Pte Limited and it is only directed in Singapore to
accredited investors, as defined in the Financial Advisers Regulations and the Securities and Futures Act (Chapter 289), as amended from time to time.
In respect of any matter arising from or in connection with the research you could contact the following representatives of Motilal Oswal Capital Markets Singapore Pte Limited:
Anosh Koppikar
Kadambari Balachandran
Email : anosh.Koppikar@motilaloswal.com
Email : kadambari.balachandran@motilaloswal.com
Contact : (+65)68189232
Contact : (+65) 68189233 / 65249115
Office Address : 21 (Suite 31),16 Collyer Quay,Singapore 04931
For Singapore
31 January 2015
Motilal Oswal Securities Ltd
Motilal Oswal Tower, Level 9, Sayani Road, Prabhadevi, Mumbai 400 025
Phone: +91 22 3982 5500 E-mail: reports@motilaloswal.com
12