16 May 2015
4QFY15 Results Update | Sector:
Metals
JSW Steel
BSE SENSEX
27,324
Bloomberg
Equity Shares (m)
S&P CNX
8,262
JSTL IN
241.7
CMP: INR875
TP: INR1,108 (+27%)
Buy
Above estimate on better-than-expected realization
JSW Steel (JSTL) reported better-than-expected 4Q numbers. Consolidated EBITDA at
M.Cap. (INR b) / (USD b) 211.5/3.3
INR16.8b was 6% ahead of our estimate, led by better price realization. Standalone
52-Week Range (INR)
1365 / 870
realizations dropped by ~INR2,100/t QoQ as against our estimate of ~INR2,800/t,
1, 6, 12 Rel. Per (%)
-1/-26/-38
which was attributed to higher value-add mix and favorable timing benefit of longer-
Avg Val INRm/Vol ‘000
722/648
term supply contracts price resets. RM cost was lower by ~INR1,000 QoQ, offsetting
Free float (%)
60.0
part of the realization drop. Standalone EBITDA/t at ~INR5,470 was down from
~INR7,000 in 3QFY15. Reported consolidated PAT of INR311m benefited from a tax
Financials & Valuation (INR Billion)
credit of INR1.1b and includes ~INR260m impact of impairment on US assets.
Y/E MAR
2016E 2017E 2018E
Realizations remain under pressure; iron ore benefit from 2Q:
Steel prices would
remain under pressure as Russian mill offers have gotten more competitive
Sales
511.6 556.7 666.5
EBITDA
92.0 100.3 115.2
(although Chinese offers have stabilized) and a few longer-term supply contracts
PAT
11.6 15.1 22.7
prices reset. We expect ~INR1,300/t QoQ decline in realization in 1QFY16. Lower
EPS (INR)
48.1 62.6 94.1
domestic iron ore costs will however offset this price decline, in our view, but
EPS Gr(%)
-35.5 30.3 50.2
benefit would be seen only from 2QFY16 as higher cost iron ore remains in
RoE (%)
5.0
6.3
9.0
inventory at the year end.
RoCE (%)
7.4
8.1
9.4
FY16E volume guidance of 12.9mt; increase of 7% YoY:
Crude steel production is
P/E (x)
18.2 14.0
9.3
guided to increase 6% YoY in FY16 to 13.4mt and saleable steel to increase 7% YoY
P/BV
0.9
0.9
0.8
to 12.9mt (our estimate 12.6 mt). Exports share would decline from ~26% in FY15
6.6
5.5
EV/EBITDA (x)
7.2
to 16% in FY16E.
Value-added product (VAP) share of 37%:
JSTL targets to increase its share of
VAP to 37% from 33% in FY15 (and 4Q exit of 34%). CAL2 (0.95mt) line was
Estimate change
commissioned in the quarter, while electrical steel complex (0.2mt) was
TP change
commissioned in April 2015. This, along with the ramp-up of CAL1, would drive
higher VAP mix and volumes amid tepid domestic demand environment.
Rating change
Maintain BUY:
We have done minor tweaks to our estimate post the 4Q numbers.
Our target price, based on 6.5x FY17E EV/EBITDA, is INR1,108. Maintain
Buy.
Sanjay Jain
(SanjayJain@MotilalOswal.com); +91 22 3982 5412
Dhruv Muchhal
(Dhruv.Muchhal@MotilalOswal.com); +91 22 3027 8033
Investors are advised to refer through disclosures made at the end of the Research Report.
Motilal Oswal research is available on
www.motilaloswal.com/Institutional-Equities,
Bloomberg, Thomson Reuters, Factset and S&P Capital.

JSW Steel
Other key highlights
Volumes down 1% YoY to 3.06mt in 4QFY15:
Standalone steel sales volumes in
4Q were down 1% YoY (+1% QoQ) to 3.06mt. Share of exports were down to
24% in the quarter from 29% in 3QFY15. Value-add product share was at 34% in
4QFY15.
Domestic iron ore cost benefit from 2QFY16:
While domestic iron ore prices
have declined sharply over the past few months, benefit to JSTL will flow-in
meaningfully only from 2QFY16. Higher cost imported/domestic iron ore
remains in stock and would keep cost elevated in 1Q.
Interest cost in the quarter was down 12% QoQ to INR6.8b helped by
refinancing in 3QFY15.
Capacities commissioned:
It commissioned the CAL-2 (0.95mtpa) and electrical
steel complex (0.2mtpa) at Vijaynagar in March/April 2015, respectively. Both
the capacities target import substitution products and would help gain market
share. With the completion of CAL2, JSTL’s auto-grade cold annealing capacity at
Vijaynagar is now at 1.9mt (CAL1 was commissioned in April 2014). Dolvi
expansion to 5mt (from current 3.3mt) remains on track for completion in
2HFY16.
Capex of INR90b in FY16-17E:
JSTL continues to invest to expand capacity at
lower specific capex. It has chalked out a capex plan of INR90b for FY16-17E.
This includes investment at (a) Vijaynagar cast capacity increase to 12mt –
INR16.2b (b) Salem capacity expansion to 1.2mt (from current 1.0mt) – INR10b
and (c) Tin plate mill of 0.2mtpa at Tarapur to meet demand for packed foods /
packaging requirements – INR6.5b. It plans to spend INR52b in FY16 and INR38b
in FY17.
Vijaynagar to move to domestic iron ore sourcing:
With improvement in
availability of iron ore in the domestic market, Vijaynagar plant would move to
complete domestic iron ore sourcing in FY16. The management expects iron ore
availability in Karanataka to improve to 24mt in FY16. For Dolvi and Salem,
sourcing will remain dynamic based on economies between imports and
domestic iron ore.
Net debt at INR468b:
Net debt at the end of FY15 stood at INR468b, although
lower than 3QFY15 levels, was higher than INR424b at the end of FY14. Increase
in net debt was largely driven by increase in inventories (INR110b at the end of
FY15 from INR81b at the end of FY14).
Exhibit 2: EBITDA/t down on lower realization
Volumes (Kt)
6,457
6,674 6,859 7,137
7,478
EBITDA
8,052 8,545 8,534
Exhibit 1: Net realization down 5% QoQ (INR/t)
5,527
6,988
5,469
Source: MOSL, Company
16 May 2015
Source: MOSL, Company
2

JSW Steel
Exhibit 3: Share of exports was down to 24% in 4QFY15
Share of exports
34%
24%
14%
27%
28%
27%
25%
29%
Exhibit 4: Value add mix was marginally lower QoQ
Value add & special product mix (%)
27%
29%
33%
35%
34%
24%
25%
23%
25%
Source: MOSL, Company
Source: MOSL, Company
Subsidiary: Coated business pricing pressure; Chile losses widen
Coated business sales volumes were up 5% QoQ to 0.39mt. Blended realization
was down to INR53k from INR58k in 3QFY15. EBITDA/t was lower by INR270/t
QoQ to INR1,487.
US business generated an operating profit of USD0.1m as against a loss of
USD0.46m in 3Q. Utilization at plate mill fell 1400bps YoY to 30% and 100bps at
pipe mill to 10%.
Chile iron ore business operation loss increased to USD10.2m from USD6.4m in
3Q. In lieu of lower iron ore prices, the operations at the mine have been put
under care and maintenance from April 2015 end.
Maxsteel reported a loss of INR0.4b in the quarter on a sales volume of 0.05mt
of DRI. The facility was under shutdown for a large part of the quarter. It was
restarted in March 2015 and has commenced sourcing pellets from Amba River
Coke at Dolvi.
Exhibit 5: Subsidiary businesses EBITDA contribution
Y/E March
Net Sales
EBITDA
JSW coated
US Mills
Chile iron ore
Ambariver coke
US coal & adj.
PAT
1Q
9,125
1,303
790
34
48
-20
-2,205
FY14
2Q
3Q
14,982
16,583
1,141
1,062
780
790
-127
-107
332
324
-21
-4,057
55
-3,940
4Q
18,530
323
940
-248
82
-450
-5,092
1Q
17,077
1,506
950
240
-21
125
212
-1,449
FY15
2Q
3Q
18,413
17,178
1,925
1,784
1,080
650
154
-28
-107
-398
410
410
388
1,150
-1,360
-1,551
FY14
FY15
4Q
16,174 59,220 68,842
91
3,829
5,306
580
3,300
3,260
8
-640
663
-520
-1,904 -15,294
-7,343
Source: MOSL, Company
16 May 2015
3

JSW Steel
Exhibit 6: Consolidation of MaxSteel led to higher ‘other’ Exhibit 7: Coated business EBITDA/t lower QoQ on lower
business EBITDA
sales volume and pricing pressure
JSW Coated
Others
2,136
1,134
650
580
-489
1QFY15
2QFY15
3QFY15
4QFY15
440
400
410
370
390
Volumes (Kt)
2,375
EBITDA (INR/T)
2,634
1,757
556
940
-617
4QFY14
950
845
1,080
1,487
4QFY14
1QFY15
2QFY15
3QFY15
4QFY15
Source: MOSL, Company
Source: MOSL, Company
Valuation and views
TP: INR1,108, upside 27%; Maintain Buy
JSW Steel is one of the best placed steel producers in the current cycle owning to its
non-captive raw material exposure, value added product mix and efficient
operations.
With global iron ore prices likely to remain under pressure and easing domestic iron
ore supply, JSW is relatively better placed in a falling steel price environment. Every
INR500/t decline in iron ore cost has a 10% positive impact on JSW’s EBITDA. JSW’s
improving product mix – value add represented 34% of sales in 4QFY15 from 27% in
4QFY14 – would further aid margins. It is already one of the lowest cost steel
producers and is well placed to secure iron ore mining leases whenever the
government decides to auction resources (under the amendment to MMDRA Act).
Healthy FCF generation over FY15-17E (INR36-49b), despite on-going expansion
plans, would provide growth impetus, in our view.
We value JSW Steel at 6.5x FY17E EV/EBITDA, in-line with our metal coverage
universe. Our 12m TP is INR1,108, implies an upside of 27%.
Key catalysts over the next 12 months
Auctioning of iron ore mines in Karnataka.
Uptick in domestic steel demand.
Imposition of duty on steel imports.
Key risks
Regulatory hurdles to improvement in the domestic iron ore supply.
Sharp appreciation of INR to USD.
16 May 2015
4

JSW Steel
Exhibit 8: Target price derivation
Year
A. S/A volumes
B. EBITDA per ton
C. S/A EBITDA (AxB)
D. Sub. EBITDA
E. Cons. EBITDA (C+D)
F. Target EV/EBITDA (x)
G. Target EV (FxG)
less: Net Debt (Rs m)
add: CWIP
Equity value
No. of shares
Target price
2013
8.9
7,105
63,088
1,951
65,039
2014
11.9
7,405
87,826
3,829
91,655
2015E
12.0
7,368
88,716
5,306
94,023
6.5
611,149
468,819
87,000
229,329
242
949
2016E
2017E
12.6
13.6
6,805
6,877
85,782
93,567
6,265
6,707
92,047
100,274
6.5
6.5
598,305
651,781
446,874
445,899
72,000
62,000
223,431
267,882
242
242
924
1108
Source: MOSL, Company
292,123
65,972
424,082
90,972
Exhibit 9: Metal sector valuation
Rating
Steel
Tata Steel
JSW Steel
SAIL
Non-Ferrous
Hindalco
Nalco
Vedanta
Mining
Coal India
Hindustan Zinc
NMDC
Buy
Buy
Sell
Buy
Buy
Neutral
Buy
Buy
Sell
Price MCAP
EPS
(INR) (USD M) FY15E FY16E FY17E
363
875
67
137
50
210
366
175
132
5,543
3,322
4,348
4,442
2,013
9,774
36,307
11,628
8,209
15.7
74.5
4.2
11.1
4.9
20.3
24.3
19.2
16.1
38.3
48.1
1.3
10.4
5.6
10.3
23.1
14.8
10.5
74.4
62.6
2.6
19.2
6.5
11.4
29.5
16.3
10.4
P/E (x)
FY16E FY17E
9.5
18.2
49.7
13.1
8.8
20.4
15.9
11.9
12.5
4.9
14.0
26.1
7.1
7.6
18.4
12.4
10.8
12.6
EV/EBITDA (x)
FY16E FY17E
7.4
7.2
11.1
7.4
2.8
7.8
8.4
6.5
7.9
5.4
6.6
9.2
6.0
1.6
6.6
P/B(x)
FY15E FY16E
1.1
0.9
0.6
1.1
1.0
0.8
1.1
0.9
0.6
1.1
0.9
0.8
6.5
5.5
5.3
5.2
1.7
1.6
8.0
1.6
1.5
Source: MOSL, Company
16 May 2015
5

JSW Steel
Story in charts
Exhibit 10: Capacity expansion to drive volume growth
Steel sales - mt
11.9 12.0 12.6
5.7
3.3
27%
4QFY14
34%
4QFY15
6.1
7.8
8.9
13.6
73%
Other
VAP
66%
16.7
Exhibit 11: Improving product mix
Source: Company, MOSL
Source: Company, MOSL
Exhibit 12: FCF generation to provide impetus to further gwth Exhibit 13: One of the lowest/ efficient convertors – USD/t
FCF - INR b
53
56
41
2
-6
-25
FY11
FY12
FY13
-14
FY14
FY15E
FY16E
FY17E
FY09
FY10
FY11
FY12
FY13
FY14
0
57
Capex - INR b
74
62
45
42
50
323
311
JSW
300
273
136
SAIL
TSI
322 310
327
347
272
214
108
289 270
150
156
140
133
Source: Company, MOSL
Source: Company, MOSL
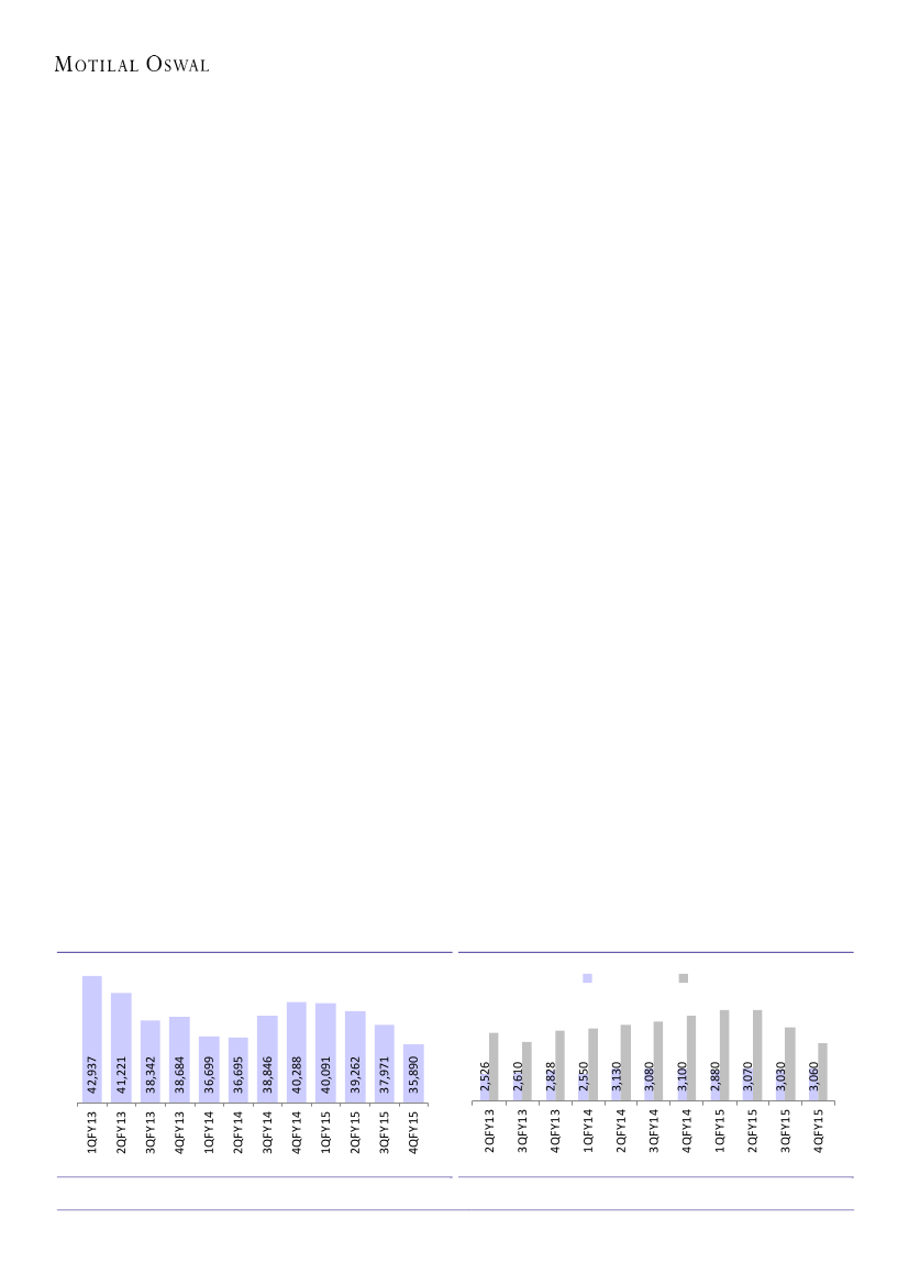
Exhibit 14: RM cost to decline on lower iron ore
44,000
40,000
36,000
32,000
28,000
20,278 18,507
35,890
34,650
19,000
15,000
RM cost
Realization
27,000
23,000
Exhibit 15: Exports increasing despite increasing competition
Share of exports (%)
34%
24%
14%
27%
28%
27%
25%
29%
Source: MOSL, Company
Source: MOSL, Company
16 May 2015
6

JSW Steel
Financials and valuations
Income Statement (Consolidated)
Y/E March
Net sales
Change (%)
Total Expenses
EBITDA
% of Net Sales
Depn. & Amortization
EBIT
Net Interest
Other income
PBT before EO
EO income
PBT after EO
Tax
Rate (%)
Reported PAT
Minority interests
Share of Associates
Preference dividend
Adj. PAT (after MI & Asso)
Change (%)
2011
241,059
27.2
192,380
48,679
20.2
15,597
33,082
10,603
1,900
24,379
24,379
7,785
31.9
16,594
-239
707
279
16,783
40.4
2012
343,681
42.6
282,662
61,019
17.8
19,332
41,687
14,273
769
28,183
-15,353
12,830
5,002
39.0
7,828
189
-2,262
279
14,844
-11.6
2013
382,097
11.2
317,057
65,039
17.0
22,375
42,664
19,675
697
23,687
-4,302
19,385
8,453
43.6
10,933
-343
-1,645
279
11,091
-25.3
2014
512,197
34.0
420,542
91,655
17.9
31,826
59,829
30,479
858
30,209
-17,128
13,081
9,201
70.3
3,880
504
135
279
9,322
-16.0
2015
529,715
3.4
435,692
94,023
17.7
34,345
59,678
34,930
1,114
25,862
-471
25,391
8,194
32.3
17,197
748
21
279
18,006
93.2
2016E
511,557
-3.4
419,510
92,047
18.0
36,198
55,849
37,172
645
19,322
19,322
7,949
41.1
11,373
506
20
279
11,621
-35.5
2017E
556,665
8.8
456,391
100,274
18.0
38,187
62,087
38,421
794
24,459
24,459
9,564
39.1
14,896
506
20
279
15,144
30.3
(INR Million)
2018E
666,489
19.7
551,264
115,224
17.3
40,808
74,417
39,721
949
35,645
35,645
13,143
36.9
22,502
506
20
279
22,750
50.2
Balance Sheet
Y/E March
Share Capital
Reserves
Net Worth
Minority Interest
Total Loans
Deferred Tax Liability
Capital Employed
Gross Block
Less: Accum. Deprn.
Net Fixed Assets
Capital WIP
Investments
Curr. Assets
Inventory
Account Receivables
Cash and Bank Balance
Others
Curr. Liability & Prov.
Account Payables
Provisions & Others
Net Current Assets
Appl. of Funds
E: MOSL Estimates
16 May 2015
2011
2,231
160,272
162,503
2,219
236,073
20,494
421,288
337,771
68,732
269,039
65,078
26,437
86,298
44,097
9,334
23,063
9,805
25,563
21,740
3,823
60,735
421,288
2012
2,231
162,474
164,705
2,177
293,907
27,250
488,039
426,895
88,775
338,121
35,703
18,856
124,582
57,893
15,394
32,510
18,786
29,223
26,565
2,659
95,359
488,039
2013
2,231
168,416
170,647
1,972
310,091
32,720
515,430
458,676
111,508
347,168
65,972
16,064
120,572
54,952
21,063
17,969
26,588
34,345
30,858
3,487
86,226
515,430
2014
2,417
216,966
219,383
1,670
431,392
21,234
673,679
691,215
217,729
473,485
90,972
5,947
205,995
81,551
22,924
7,310
94,209
102,720
33,051
69,668
103,275
673,679
2015
2,417
228,123
230,541
976
487,955
31,547
751,019
769,490
252,074
517,416
87,000
5,990
248,787
110,090
24,998
19,136
94,563
108,172
31,757
76,415
140,614
751,019
2016E
2,417
233,639
236,056
1,483
490,670
35,632
763,840
829,490
288,272
541,217
72,000
5,990
251,882
91,099
22,424
43,796
94,563
107,249
30,834
76,415
144,634
763,840
2017E
2,417
240,915
243,332
1,989
495,148
40,303
780,772
889,490
326,460
563,030
62,000
5,990
259,720
91,507
24,402
49,249
94,563
109,968
33,552
76,415
149,753
780,772
(INR Million)
2018E
2,417
259,991
262,409
2,496
495,148
46,317
806,369
949,490
367,267
582,222
22,000
5,990
312,745
109,560
31,042
77,580
94,563
116,587
40,172
76,415
196,158
806,369
7

JSW Steel
Financials and valuations
Ratios
Y/E March
Basic (INR)
EPS
Cash EPS
BV/Share
DPS
Payout (%)
Valuation (x)
P/E
Cash P/E
P/BV
EV/Sales
EV/EBITDA
Dividend Yield (%)
EV/ton
Return Ratios (%)
EBITDA Margins (%)
Net Profit Margins (%)
RoE
RoCE (pre-tax)
RoIC (pre-tax)
Working Capital Ratios
Fixed Asset Turnover (x)
Asset Turnover (x)
Debtor (Days)
Inventory (Days)
Creditors(Days)
Working Capital (Days)
Leverage Ratio (x)
Current Ratio
Interest Cover Ratio
Debt/Equity
2011
75.2
144.3
728.3
12.3
14.3
2012
66.5
121.7
738.2
7.5
23.6
2013
49.7
149.3
764.8
10.0
20.5
2014
38.6
147.7
907.5
11.0
33.3
2015
74.5
213.2
953.7
11.0
18.8
2016E
48.1
196.8
976.5
11.0
29.2
2017E
62.6
219.6
1,006.6
12.0
22.4
2018E
94.1
261.9
1,085.5
12.0
16.1
13.2
7.2
1.2
1.3
7.5
0.9
1,219
17.6
5.9
1.1
1.3
7.5
1.1
1,008
22.7
5.9
1.0
1.2
6.9
1.3
885
11.7
4.1
0.9
1.3
7.2
1.3
925
18.2
4.4
0.9
1.3
7.2
1.3
829
14.0
4.0
0.9
72.9
6.6
1.4
755
9.3
3.3
0.8
72.9
5.5
1.4
588
20.2
7.0
12.5
9.6
12.0
17.8
4.3
9.1
8.8
11.8
17.0
2.9
6.6
8.4
10.5
17.9
1.8
4.6
10.1
12.1
17.7
3.4
8.0
8.4
9.9
18.0
2.3
5.0
7.4
8.7
18.0
2.7
6.3
8.1
9.5
17.3
3.4
9.0
9.4
10.9
0.7
0.6
14
67
33
48
0.8
0.7
16
61
28
50
0.8
0.7
20
52
29
43
0.7
0.8
16
58
24
51
0.7
0.7
17
76
22
71
0.6
0.7
16
65
22
59
0.6
0.7
16
60
22
54
0.7
0.8
17
60
22
55
3.4
3.1
1.3
4.3
2.9
1.6
3.5
2.2
1.7
2.0
2.0
1.9
2.3
1.7
2.0
2.3
1.5
1.9
2.4
1.6
1.8
2.7
1.9
1.6
Cash Flow Statement (Consolidated)
Y/E March
EBITDA
Non cash exp. (income)
(Inc)/Dec in Wkg. Cap.
Tax Paid
CF from Op. Activity
(Inc)/Dec in FA + CWIP
Int. & Dividend Income
CF from Inv. Activity
Dividend (incl. tax)
Interest paid
CF from Fin. Activity
(Inc)/Dec in Cash
Add: opening Balance
Closing Balance
16 May 2015
2011
48,679
-2,944
-13,137
-4,264
28,334
-53,144
526
-73,780
-2,397
-10,007
50,961
5,514
3,030
23,063
2012
61,019
-11,202
-10,622
-4,071
35,124
-40,795
636
-41,407
-3,501
-11,430
6,978
695
23,063
32,510
2013
65,039
-7,379
5,888
-5,105
58,442
-56,301
533
-55,044
-2,269
-15,186
-7,909
-4,511
32,510
17,969
2014
91,655
-46,566
-2,616
42,473
-56,893
858
-56,035
-3,107
-30,479
2,904
-10,659
17,969
7,310
2015
94,023
-1,937
-31,906
-5,078
74,432
-74,304
1,114
-80,849
-3,390
-34,930
18,243
11,826
7,310
19,136
2016E
92,047
-873
20,641
-3,864
107,261
-45,000
645
-44,753
-3,390
-37,172
-37,848
24,660
19,136
43,796
2017E
100,274
-873
334
-4,892
92,391
-50,000
794
-49,604
-3,390
-38,421
-37,333
5,453
43,796
49,249
2018E
115,224
-873
-18,074
-7,129
89,149
-20,000
949
-19,051
-3,673
-39,721
-43,394
26,704
49,249
75,952
8

JSW Steel
Corporate profile
Company description
JSW Steel (JSTL) demonstrated excellent project
execution skills over the past decade, growing its
annual capacity 6x to 10m tons through brownfield
expansions at Vijaynagar. With the acquisition of
Ispat Industries and Salem Steel, it controls annual
capacity of 14.3m tons. Its main production
facilities are located in proximity to rich iron ore
reserves in Karnataka. It has investments in iron
ore and coal mining in Americas. Its other overseas
investments include plate and pipe mill operations
and coal mines in the US.
Exhibit 15: Sensex rebased
Exhibit 17: Shareholding pattern (%)
Mar-15
Promoter
DII
FII
Others
40.0
4.2
19.0
36.8
Dec-14
39.6
4.1
19.9
36.5
Mar-14
38.4
4.1
19.2
38.3
Exhibit 18: Top holders
Holder Name
JFE Steel International Europe B V
APMS Investment Fund Ltd
Lotus Global Investments Ltd
Duferco Coke Investments Ltd
Gagandeep Credit Capital Pvt Ltd
%
Holding
15.0
1.8
1.7
1.7
1.6
Note: FII Includes depository receipts
Exhibit 19: Top management
Name
Sajjan Jindal
Savitri Devi Jindal
Vinod Nowal
Seshagiri Rao M V S
Designation
Chairman & Managing Director
Chairman Emeritus
Deputy Managing Director
Jt. Managing Dir. & Group CFO
Exhibit 20: Directors
Name
Sajjan Jindal
Savitri Devi Jindal
Vinod Nowal
Seshagiri Rao M V S
S K Gupta*
Vijay Kelkar*
Sudipto Sarkar*
*Independent
Name
Uday M Chitale*
Punita Kumar Sinha*
Kannan Vijayaraghavan*
Jayant Acharya
Hiromu Oka
Naveen Raj Singh
Exhibit 21: Auditors
Name
Deloitte Haskins & Sells LLP
Type
Statutory
Exhibit 22: MOSL forecast v/s consensus
EPS (INR)
FY16
FY17
FY18
MOSL forecast
48.1
62.6
94.1
Consensus
forecast
103.8
126.9
169.4
Variation (%)
-53.7
-50.7
-44.5
16 May 2015
9

This document has been prepared by Motilal Oswal Securities Limited (hereinafter referred to as Most) to provide information about the company(ies) and/sector(s), if any, covered in the report and may be
JSW Steel
distributed by it and/or its affiliated company(ies). This report is for personal information of the selected recipient/s and does not construe to be any investment, legal or taxation advice to you. This research report does
not constitute an offer, invitation or inducement to invest in securities or other investments and Motilal Oswal Securities Limited (hereinafter referred as MOSt) is not soliciting any action based upon it. This report is not
for public distribution and has been furnished to you solely for your general information and should not be reproduced or redistributed to any other person in any form. This report does not constitute a personal
recommendation or take into account the particular investment objectives, financial situations, or needs of individual clients. Before acting on any advice or recommendation in this material, investors should consider
whether it is suitable for their particular circumstances and, if necessary, seek professional advice. The price and value of the investments referred to in this material and the income from them may go down as well as
up, and investors may realize losses on any investments. Past performance is not a guide for future performance, future returns are not guaranteed and a loss of original capital may occur.
MOSt and its affiliates are a full-service, integrated investment banking, investment management, brokerage and financing group. We and our affiliates have investment banking and other business relationships with a
some companies covered by our Research Department. Our research professionals may provide input into our investment banking and other business selection processes. Investors should assume that MOSt and/or
its affiliates are seeking or will seek investment banking or other business from the company or companies that are the subject of this material and that the research professionals who were involved in preparing this
material may educate investors on investments in such business. The research professionals responsible for the preparation of this document may interact with trading desk personnel, sales personnel and other
parties for the purpose of gathering, applying and interpreting information. Our research professionals are paid on the profitability of MOSt which may include earnings from investment banking and other business.
MOSt generally prohibits its analysts, persons reporting to analysts, and members of their households from maintaining a financial interest in the securities or derivatives of any companies that the analysts cover.
Additionally, MOSt generally prohibits its analysts and persons reporting to analysts from serving as an officer, director, or advisory board member of any companies that the analysts cover. Our salespeople, traders,
and other professionals or affiliates may provide oral or written market commentary or trading strategies to our clients that reflect opinions that are contrary to the opinions expressed herein, and our proprietary
trading and investing businesses may make investment decisions that are inconsistent with the recommendations expressed herein. In reviewing these materials, you should be aware that any or all of the foregoing
among other things, may give rise to real or potential conflicts of interest. MOSt and its affiliated company(ies), their directors and employees and their relatives may; (a) from time to time, have a long or short position
in, act as principal in, and buy or sell the securities or derivatives thereof of companies mentioned herein. (b) be engaged in any other transaction involving such securities and earn brokerage or other compensation
or act as a market maker in the financial instruments of the company(ies) discussed herein or act as an advisor or lender/borrower to such company(ies) or may have any other potential conflict of interests with
respect to any recommendation and other related information and opinions.; however the same shall have no bearing whatsoever on the specific recommendations made by the analyst(s), as the recommendations
made by the analyst(s) are completely independent of the views of the affiliates of MOSt even though there might exist an inherent conflict of interest in some of the stocks mentioned in the research report
Reports based on technical and derivative analysis center on studying charts company's price movement, outstanding positions and trading volume, as opposed to focusing on a company's fundamentals and, as
such, may not match with a report on a company's fundamental analysis. In addition MOST has different business segments / Divisions with independent research separated by Chinese walls catering to different set
of customers having various objectives, risk profiles, investment horizon, etc, and therefore may at times have different contrary views on stocks sectors and markets.
Unauthorized disclosure, use, dissemination or copying (either whole or partial) of this information, is prohibited. The person accessing this information specifically agrees to exempt MOSt or any of its affiliates or
employees from, any and all responsibility/liability arising from such misuse and agrees not to hold MOSt or any of its affiliates or employees responsible for any such misuse and further agrees to hold MOSt or any of
its affiliates or employees free and harmless from all losses, costs, damages, expenses that may be suffered by the person accessing this information due to any errors and delays. The information contained herein is
based on publicly available data or other sources believed to be reliable. Any statements contained in this report attributed to a third party represent MOSt’s interpretation of the data, information and/or opinions
provided by that third party either publicly or through a subscription service, and such use and interpretation have not been reviewed by the third party. This Report is not intended to be a complete statement or
summary of the securities, markets or developments referred to in the document. While we would endeavor to update the information herein on reasonable basis, MOSt and/or its affiliates are under no obligation to
update the information. Also there may be regulatory, compliance, or other reasons that may prevent MOSt and/or its affiliates from doing so. MOSt or any of its affiliates or employees shall not be in any way
responsible and liable for any loss or damage that may arise to any person from any inadvertent error in the information contained in this report. MOSt or any of its affiliates or employees do not provide, at any time,
any express or implied warranty of any kind, regarding any matter pertaining to this report, including without limitation the implied warranties of merchantability, fitness for a particular purpose, and non-infringement.
The recipients of this report should rely on their own investigations.
This report is intended for distribution to institutional investors. Recipients who are not institutional investors should seek advice of their independent financial advisor prior to taking any investment decision based on
this report or for any necessary explanation of its contents.
Most and it’s associates may have managed or co-managed public offering of securities, may have received compensation for investment banking or merchant banking or brokerage services, may have received any
compensation for products or services other than investment banking or merchant banking or brokerage services from the subject company in the past 12 months.
Most and it’s associates have not received any compensation or other benefits from the subject company or third party in connection with the research report.
Subject Company may have been a client of Most or its associates during twelve months preceding the date of distribution of the research report
MOSt and/or its affiliates and/or employees may have interests/positions, financial or otherwise of over 1 % at the end of the month immediately preceding the date of publication of the research in the securities
mentioned in this report. To enhance transparency, MOSt has incorporated a Disclosure of Interest Statement in this document. This should, however, not be treated as endorsement of the views expressed in the
report.
Motilal Oswal Securities Limited is under the process of seeking registration under SEBI (Research Analyst) Regulations, 2014.
There are no material disciplinary action that been taken by any regulatory authority impacting equity research analysis activities
Analyst Certification
The views expressed in this research report accurately reflect the personal views of the analyst(s) about the subject securities or issues, and no part of the compensation of the research analyst(s) was, is, or will be
directly or indirectly related to the specific recommendations and views expressed by research analyst(s) in this report. The research analysts, strategists, or research associates principally responsible for preparation
of MOSt research receive compensation based upon various factors, including quality of research, investor client feedback, stock picking, competitive factors and firm revenues
Disclosure of Interest Statement
Analyst ownership of the stock
Served as an officer, director or employee
JSW Steel
No
No
Disclosures
Regional Disclosures (outside India)
For U.S.
This report is not directed or intended for distribution to or use by any person or entity resident in a state, country or any jurisdiction, where such distribution, publication, availability or use would be contrary to law,
regulation or which would subject MOSt & its group companies to registration or licensing requirements within such jurisdictions.
Motilal Oswal Securities Limited (MOSL) is not a registered broker - dealer under the U.S. Securities Exchange Act of 1934, as amended (the"1934 act") and under applicable state laws in the United States. In
addition MOSL is not a registered investment adviser under the U.S. Investment Advisers Act of 1940, as amended (the "Advisers Act" and together with the 1934 Act, the "Acts), and under applicable state laws in the
United States. Accordingly, in the absence of specific exemption under the Acts, any brokerage and investment services provided by MOSL, including the products and services described herein are not available to or
intended for U.S. persons.
This report is intended for distribution only to "Major Institutional Investors" as defined by Rule 15a-6(b)(4) of the Exchange Act and interpretations thereof by SEC (henceforth referred to as "major institutional
investors"). This document must not be acted on or relied on by persons who are not major institutional investors. Any investment or investment activity to which this document relates is only available to major
institutional investors and will be engaged in only with major institutional investors. In reliance on the exemption from registration provided by Rule 15a-6 of the U.S. Securities Exchange Act of 1934, as amended (the
"Exchange Act") and interpretations thereof by the U.S. Securities and Exchange Commission ("SEC") in order to conduct business with Institutional Investors based in the U.S., MOSL has entered into a chaperoning
agreement with a U.S. registered broker-dealer, Motilal Oswal Securities International Private Limited. ("MOSIPL"). Any business interaction pursuant to this report will have to be executed within the provisions of this
chaperoning agreement.
The Research Analysts contributing to the report may not be registered /qualified as research analyst with FINRA. Such research analyst may not be associated persons of the U.S. registered broker-dealer, MOSIPL,
and therefore, may not be subject to NASD rule 2711 and NYSE Rule 472 restrictions on communication with a subject company, public appearances and trading securities held by a research analyst account.
Motilal Oswal Capital Markets Singapore Pte Limited is acting as an exempt financial advisor under section 23(1)(f) of the Financial Advisers Act(FAA) read with regulation 17(1)(d) of the Financial Advisors
Regulations and is a subsidiary of Motilal Oswal Securities Limited in India. This research is distributed in Singapore by Motilal Oswal Capital Markets Singapore Pte Limited and it is only directed in Singapore to
accredited investors, as defined in the Financial Advisers Regulations and the Securities and Futures Act (Chapter 289), as amended from time to time.
In respect of any matter arising from or in connection with the research you could contact the following representatives of Motilal Oswal Capital Markets Singapore Pte Limited:
Anosh Koppikar
Kadambari Balachandran
Email : anosh.Koppikar@motilaloswal.com
Email : kadambari.balachandran@motilaloswal.com
Contact : (+65)68189232
Contact : (+65) 68189233 / 65249115
Office Address : 21 (Suite 31),16 Collyer Quay,Singapore 04931
For Singapore
Motilal Oswal Securities Ltd
16 May 2015
Motilal Oswal Tower, Level 9, Sayani Road, Prabhadevi, Mumbai 400 025
Phone: +91 22 3982 5500 E-mail: reports@motilaloswal.com
10