18 May 2015
4QFY15 Results Update | Sector:
Healthcare
Torrent Pharma
BSE SENSEX
27,324
Bloomberg
Equity Shares (m)
52-Week Range (INR)
1, 6, 12 Rel.Per (%)
Avg Val(INR M)/Vol ‘000
Free float (%)
S&P CNX
8,262
TRP IN
169.2
1335 / 570
5/32/94
104/110
28.8
CMP: INR1,256
TP: INR1,410 (+12%)
Buy
4Q miss on cost overrun; Expect strong EPS acceleration
High-impact US launches and strong traction in India/Brazil boost outlook:
4Q PAT at
INR1.3b (down 47% YoY) was 14% below estimates, mainly on weaker margins (14%
v/s 20.7% est.). Revenues were in line at INR11.3b (down 6% YoY) on a high base of
last year (gCymbalta sales). EBITDA dipped 54% YoY to INR1.6b (34% miss) due to cost
overruns, even as gross margins were in line. Higher other income of INR1b included
fx gains partly cushioning the PAT disappointment. We expect strong qtrs ahead on
the back of price hikes in India/Brazil & high-value US launches.
Revenue mix stronger than expectations:
India biz grew 55% YoY (inc. Elder) while
base business growth surprised positively at 23% YoY (v/s 13% for industry) on strong
chronic segment performance. US sales declined 44% YoY, constrained by fewer new
launches YoY and low sales numbers of gCymbalta in the base year (up 46% YoY adj.
for the same). Currency movement hurt EU (down 13% YoY) and RoW sales (down 4%
YoY) while Latam reported healthy growth (up 33% in constant currency; 10% in INR
terms). Impact of high-margin US launches like gAbilify, gNexium, gDetrol and recent
price hikes in domestic/RoW are expected to result in strong revenue traction over
FY15-17E (19% CAGR).
4Q margins disappoint; expect ramp-up ahead:
EBITDA margins at 14% (down 14.5bp
YoY) fell below estimate on unfavorable operating leverage, higher staff cost (one-off
of INR 350m) and other expenses in 4Q. We expect EBITDA margins to expand by
400bp over FY15-17E, led by (a) high-impact US launches, (b) higher synergies from
Elder brand acquisition (to be EPS accretive by FY16-end v/s FY17 est. earlier),
(c) ramp-up in Latam markets on new launches and (d) improved MR productivity in
India. Hence, EBITDA is likely to outpace revenue growth at 30% CAGR over FY15-17E.
Superior earnings growth to drive valuation upside:
Despite 4Q miss, we remain
positive on TRP’s re-rating potential due to (a) strong EPS momentum of 26% CAGR
over FY15-17E, (b) improving return ratios (ROE—31%; ROCE—27%), (c) potential
ramp-up in US biz (low base)—led by increased pace of filings and M&A. Retain
Buy
rating with a target price of INR 1,410 (22x FY17E EPS, in line with the sector).
FY14
41,840
30.3
9,514
22.7
870
586
381
8,439
0
8,439
1,801
21.3
6,638
5,024
6.8
12.0
FY15
46,530
11.2
10,200
21.9
1,910
1,750
2,860
9,400
0
9,400
1,890
20.1
7,510
6,761
34.6
14.5
(INR Million)
Est.
Var.
4QE vs Est
11,756
-1.8%
-4.0
2,436 -33.5%
20.7
560
560
600
1,916
0
1,916 -19.1%
402
21.0
1,514 -14.1%
1,514 -14.1%
39.9
12.9
M.Cap. (INR b) / (USD b) 212.7/3.4
Financials & Valuation (INR Billion)
Y/E MAR
Sales
EBITDA
Net Profit
EPS (INR)
EPS Gr. (%)
RoE (%)
RoCE (%)
P/E (x)
P/BV (x)
2015 2016E 2017E
46.5
10.2
6.8
40.0
25.6
30.8
27.7
31.5
8.5
56.7
14.4
8.5
50.1
25.4
30.4
24.8
25.1
6.9
66.0
17.1
10.7
63.2
26.2
31.1
27.5
19.9
5.6
BV/Sh. (INR) 147.2 182.4 223.7
Estimate change
TP change
Rating change
FY14
FY15
1Q
2Q
3Q
4Q
1Q
2Q
3Q
4Q
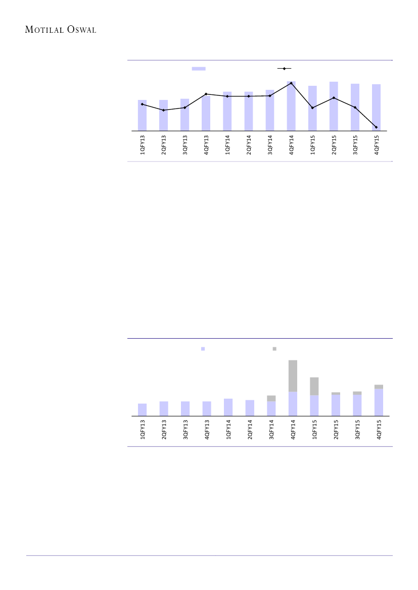
Net Revenues
9,720
9,720 10,150 12,250 11,140 12,170 11,680 11,540
YoY Cha nge (%)
26.7
26.9
27.3
40.6
14.6
25.2
15.1
-5.8
EBITDA
2,080
1,790
2,150
3,500
3,450
2,730 2,400 1,620
Ma rgi ns (%)
21.4
18.4
21.2
28.6
31.0
22.4
20.5
14.0
Depreci a ti on
210
220
210
230
210
560
540
600
Interes t
80
150
160
200
240
540
500
470
Other Income
80
100
100
100
490
720
650 1,000
PBT before EO Expe 1,870
1,520
1,880
3,170
3,490
2,350 2,010 1,550
Extra -Ord Expens e
0
0
0
0
0
0
0
0
PBT after EO Expen 1,870
1,520
1,880
3,170
3,490
2,350 2,010 1,550
Ta x
380
390
300
730
930
370
340
250
Ra te (%)
20.3
25.7
16.0
23.0
26.6
15.7
16.9
16.1
Reported PAT
1,490
1,130
1,580
2,440
2,560
1,980 1,670 1,300
Adj PAT
1,490
1,130
1,324
1,082
1,811
1,980 1,670 1,300
YoY Cha nge (%)
46.3
17.4
17.9
-9.1
21.5
75.2
26.1
20.2
Ma rgi ns (%)
15.3
11.6
13.0
8.8
16.3
16.3
14.3
11.3
E: MOSL Es ti ma tes ; Cons ol i da ti on of El der Pha rma bra nds from 2QFY15
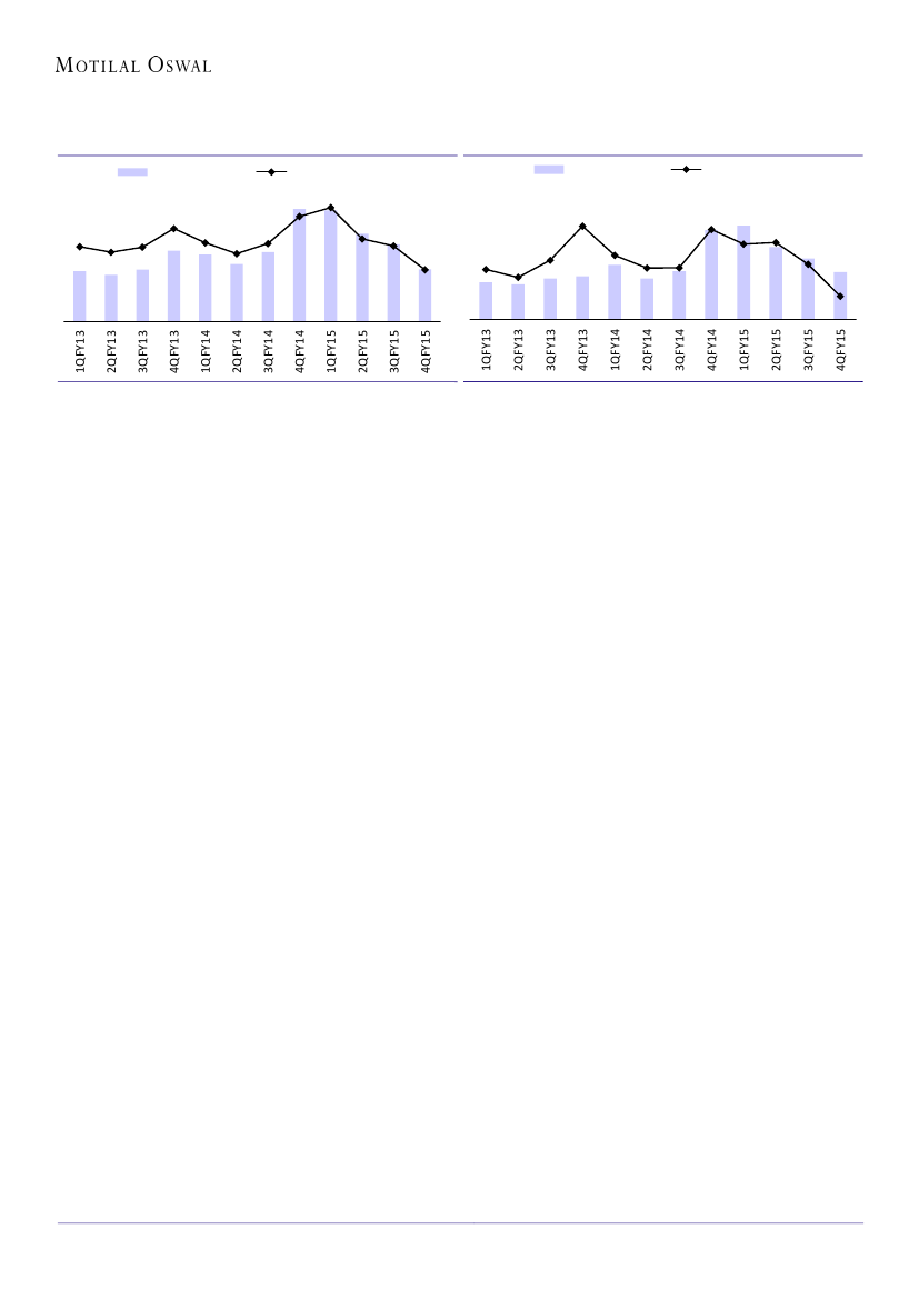
Quarterly performance
Y/E March
Arvind Bothra
(Arvind.Bothra@MotilalOswal.com);+91 22 3982 5584
Amey Chalke
(Amey.Chalke@MotilalOswal.com);+91 22 3982 5423
Investors are advised to refer through disclosures made at the end of the Research Report.
Motilal Oswal research is available on
www.motilaloswal.com/Institutional-Equities,
Bloomberg, Thomson Reuters, Factset and S&P Capital.

Torrent Pharma
4Q Result Snapshot
Exhibit 1:
Quarterly Snapshot (Revenue mix)
(INR m)
Revenue split
USA
India
Europe
LatAm
RoW
CRAMs
Total revenues
4Q FY14
4,000
2,560
2,510
1,280
1,030
880
12,260
3Q FY15
1,710
4,200
2,270
1,560
1,060
666
11,466
4Q FY15
2,250
3,960
2,190
1,410
990
740
11,540
%YoY
(43.8)
54.7
(12.7)
10.2
(3.9)
(15.9)
(5.9)
%QoQ
31.6
(5.7)
(3.5)
(9.6)
(6.6)
11.1
0.6
FY14
7,760
11,620
9,300
5,340
3,800
3,910
41,730
FY15
%YoY
8,320
7.2
16,090
38.5
9,240
(0.6)
6,060
13.5
3,870
1.8
2,950
(24.6)
46,530
11.5
Source: Company, MOSL
Exhibit 2:
Quarterly Profit and Loss statement
(INR m)
Total revenues
Other operating income
Operating income
Cost of revenues
Gross profit
Gross margin (%)
Staff cost
% of Total Revenues
Other expense
% of Total Revenues
EBITDA
EBITDA margin (%)
Depreciation expenses
EBIT
Interest cost
Other (expenses)/income net
PBT
Income tax (benefit)/expense
Effective tax rate (%)
Net Profit - reported
4Q FY14
12,070
180
12,250
3,200
9,050
73.5
2,080
17.2
3,470
28.7
3,500
28.6
230
3,270
200
100
3,170
730
23.0
2,440
3Q FY15
11,560
120
11,680
3,720
7,960
67.8
1,990
17.2
3,570
30.9
2,400
20.5
540
1,860
500
650
2,010
340
16.9
1,670
4Q FY15
11,340
200
11,540
3,610
7,930
68.2
2,350
20.7
3,960
34.9
1,620
14.0
600
1,020
470
1,000
1,550
250
16.1
1,300
%YoY
(6.0)
11.1
(5.8)
12.8
(12.4)
(532)bp
13.0
349 bp
14.1
617 bp
(53.7)
(1,453)bp
160.9
(68.8)
135.0
900.0
(51.1)
(65.8)
(690)bp
(46.7)
%QoQ
(1.9)
66.7
(1.2)
(3.0)
(0.4)
35 bp
18.1
351 bp
10.9
404 bp
(32.5)
(651)bp
11.1
(45.2)
(6.0)
53.8
(22.9)
(26.5)
(79)bp
(22.2)
FY14
40,360
1,480
41,840
12,430
29,410
69.2
7,410
18.4
12,480
30.9
9,520
22.8
870
8,650
590
380
8,440
1,800
21.3
6,640
FY15
%YoY
45,850
13.6
680
(54.1)
46,530
11.2
14,150
13.8
32,380
10.1
69.1
(6)bp
8,420
13.6
18.4
0 bp
13,760
10.3
30.0
(91)bp
10,200
7.1
21.9
(83)bp
1,910
119.5
8,290
(4.2)
1,750
196.6
2,860
652.6
9,400
11.4
1,890
5.0
20.1
(122)bp
7,510
13.1
Source: Company, MOSL
Currency woes and higher base in US hurt sales growth
4Q Revenues declined 6% YoY to INR11.5b, in line with our estimates, primarily due
to high base in US and forex fluctuation in other geographies (Brazil/Europe/Russia).
Adjusting for gCymbalta sales, US growth was robust at 46%. Domestic business
(Excl. elder) grew 23% with improved traction in CNS/CVS portfolio. Surprisingly,
Brazil business grew 10% YoY, with superior constant currency growth of 33% (vs
14% for industry). RoW and Europe reported 4% and 13% decline in sales, affected
by currency depreciation. Going ahead, we expect sales growth to pick up with
improved traction in Elder brands (on recent price hikes and robust volume growth)
and high impact launches in US gAbilify (unexpected low competition, launched in
1QFY16), gNexium (expect approval soon) and gDetrol (low competition).
18 May 2015
2

Torrent Pharma
Exhibit 3: Quarterly sales (INR b)
Sales (INR b)
29
18
12
8
8
15
27
27
27
15
YoY growth (%)
41
25
15
12
8
9
10
10
10
12
11
12
12
(6)
Source: Company, MOSL
US (15% of sales):
US business declined 44% YoY to INR2.3b over a high base of
4QFY14, which includes gCymbalta sales for full quarter (under 180 days
exclusivity). Adjusting for one off revenues in 4QFY14, US sales growth was
much better than expectations at 46% YoY. Sequentially, US sales grew 24%,
owing to pricing benefits in some of the key drugs. Overall, TRP is among top 3
players for 14 products in US (in 3Q, it was less than 10). Improved market share
of old products has benefitted Torrent in this quarter. Management has
indicated that they will target 15% market share in most of the US launches
ahead.
TRP has maintained its guidance to launch 8-10 products for FY16. With
interesting launches like gNexium, gDetrol, gExforge expected over the next 3-4
quarters and recently launched gAbilify, we expect growth momentum in US to
accelerate.
Exhibit 4: US revenues (Quarterly)
US base sales (USD m)
One-offs (USD m)
37
21
7
15
17
17
17
20
19
17
28
24
3
25
4
25
5
31
Source: Company, MOSL
India (28% of sales):
India business registered 55% growth YoY (INR 3.9b),
benefitted by recent addition of acquired portfolio (Elder). Adjusted for Elder
brands, India business grew 23% for this quarter, much ahead of industry
growth of 13%. Elder sales were flat sequentially at INR 810m, mainly on
account of seasonality effect of March quarter with lower volumes. The
company has taken price increase for Elder products which should reflect from
next quarter, improving revenue growth as well as profitability. Improved
18 May 2015
3

Torrent Pharma
traction in Elder portfolio with focus launches in key therapies, management
expects India business to outpace industry growth over medium term.
Exhibit 5: India Revenues (Quarterly)
India sales (INR b)
Elder sales (INR b)
YoY growth (%)
49
0.9
13
3
15
3
13
3
12
3
15
3
17
3
13
3
3
3
4
54.7
41
0.8
10
2
10
3
Source: Company, MOSL
Brazil (13% of sales):
Brazil business grew 10% YoY in 4Q, affected by currency
depreciation as constant currency growth was higher at 33% YoY. Going
forward, management intends to increase its product portfolio from two
therapies( CNS/CVS) to eleven therapies (including Derma and Gynecology)
Torrent expects to continue outpacing industry growth led by focus on specialty
segment, improvement in MR productivity and scale-up of power brands. In
Brazil, it has pipeline of 25 products in CVS/CNS category.
Exhibit 7: REAL/INR depreciated 16% YoY in 4Q
REAL/INR
-2
0
4
-4
-1
-2
-11
27.1
27.2
27.3
26.1
26.8
26.6
24.4
-16
21.8
% YoY
Exhibit 6: Improved traction in Brazil business
Brazil (INR b)
26
8
1
-2
1
1
-4
1
12
5
1
2
2
YoY growth (%)
28
10
1
Source: Company, MOSL
Source: Company, MOSL
Europe (20% of sales):
Europe business declined 13% YoY to INR 2.2b owing to
currency depreciation and weaker traction. Constant currency growth was 5%
YoY during the quarter. Management expects pick-up in growth in the coming
quarters as it continues to be successful in tender business participation in
Germany.
18 May 2015
4

Torrent Pharma
Exhibit 8: Dwindling Europe sales
Europe (INR b)
49.0
54.2
2.4
59.0
19.0
17.3
2.3
(8.5)
2.0
2.5
2.5
2.3
2.5
2.2
(12.7)
YoY growth (%)
Exhibit 9: EUR/INR depreciated 17% YoY in 4Q
EUR/INR
19
5
5.5
20
18
12
-2
82.3
84.4
84.7
82.0
80.3
-8
77.4
-17
70.2
% YoY
73.1
Source: Company, MOSL
Source: Company, MOSL
ROW (9% of sales):
in 4Q, RoW sales declined 4% YoY to INR 990m, primarily
affected by weaker performance in newer territories and currency depreciation.
TRP has been successful in Philippines market and has achieved leader position
in covered market.
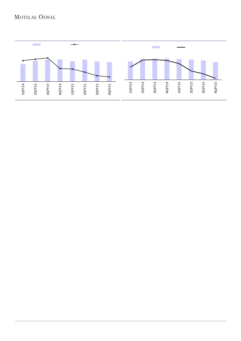
Margins shrunk to 14%; but likely to improve in coming quarters
4Q EBIDTA declined 54% YoY to INR 1.6b, over a high base of 4QFY14 and
substantial increase in staff costs and other expenses. Gross margins stood at 68%,
532bp lower than 4QFY14 (in line). However, sequentially there was 35bp
improvement during this quarter. Due to one off item of Leave encashment (INR
350m) in 4Q, staff cost was higher at 21% of sales (17% in 4QFY14) reflecting
unfavorable operating leverage. Other expenses also included higher R&D expenses
for this quarter. As a result, EBITDA margin plummeted to 14% in 4Q, from 28% in
4QFY14 (sequentially down by 651bp).
Over FY15-17E, we expect Torrent’s EBITDA margins to improve from 21.9% to 26%
driven by (a) Improved MR productivity in domestic business (management is
targeting improvement from INR 5m per person annually to INR 9m per person
annually, (b) scale-up in US business backed by high value launches like gNexium,
gAbilify, etc and (c) improved profitability in Latam business.
Net profit beat led by higher other income
Net profits declined 47% YoY at INR 1.3b, saved by higher other income of INR 1b (vs
INR 600m est) and lower effective tax rate of 16% (21% est). Other income largely
comprised of forex gains arising out of hedges. Excluding the impact of one-off sales
in 4QFY14 (Cymbalta), there was a PBT/PAT growth of 60% YoY during the quarter
(per management).
18 May 2015
5

Torrent Pharma
Exhibit 10: EBITDA margins moderated with lower Cymbalta
sales
EBITDA (INR b)
25.3
20.3 18.8 20.2
EBITDA margin (%)
31.0
28.6
21.2
3.5 3.5
2.2 2.1 1.8 2.2
1.6 1.4 1.6
22.4 20.5
14.0
2.7 2.4
1.6
14.1
(3.7)
1.0
1.1
1.2
1.5
Exhibit 11: PAT growth trends
PAT (INR m)
112.6
35.0
46.3
17.4 17.9
YoY growth (%)
105.0
71.8 75.2
26.1
(46.7)
21.4
18.4
1.0
1.1
1.3
2.4
2.6
2.0
1.7
1.3
Source: Company, MOSL
Source: Company, MOSL
18 May 2015
6

Torrent Pharma
Operating metrics
Exhibit 12: Key operating metrics
1QFY13 2QFY13
Revenue Mix (%)
USA
India
Europe
LatAm
RoW
CRAMs
Revenue Gr. (%)
USA
India
Europe
LatAm
RoW
CRAMs
As % of sales
Raw material
Staff cost
Other expenses
Tax Rate
Margins (%)
Gross Margins
EBITDA Margins
EBIT Margins
PAT margins
70.1
20.3
17.7
13.3
70.5
18.8
16.2
12.6
67.9
20.2
17.7
14.1
69.7
25.3
22.7
13.7
66.3
21.4
19.2
15.3
67.8
18.4
16.2
11.6
67.9
21.2
19.1
15.6
73.5
28.6
26.7
19.9
72.4
31.0
29.1
23.0
68.3
22.4
17.8
67.8
20.5
15.9
29.9
20.8
32.3
26.6
29.5
21.1
33.9
24.1
32.1
20.0
30.7
21.6
30.3
20.4
30.4
24.5
33.7
19.0
31.9
20.3
32.2
19.4
33.1
25.7
32.1
18.1
30.6
16.0
26.5
17.2
28.7
23.0
27.6
16.8
26.0
26.6
31.7
18.6
28.2
15.7
32.2
17.2
30.9
21.0
10.3
36.2
17.1
17.7
9.2
8.9
21.0
88.3
13.5
8.1
26.2
68.3
(19.5)
11.9
34.9
19.6
14.9
8.9
9.0
13.3
70.5
14.7
5.5
(6.5)
19.7
1.1
11.5
32.4
19.5
14.7
9.8
11.4
14.1
43.8
12.7
8.3
(2.5)
30.0
5.6
10.6
25.0
24.2
15.3
9.4
14.6
22.7
46.0
9.8
59.5
6.3
21.7
17.5
11.6
32.1
20.1
13.7
8.7
12.5
22.9
43.2
12.3
49.0
(1.8)
20.6
4.9
11.8
30.6
24.2
12.9
10.0
10.5
25.1
24.5
9.6
54.2
7.7
41.0
50.8
14.6
29.3
24.4
14.6
9.4
7.8
28.6
60.9
14.9
59.0
26.5
21.8
(28.0)
32.6
20.9
20.5
10.4
8.4
7.2
50.4
334.8
17.4
19.0
(3.8)
25.6
(14.9)
24.1
31.6
20.6
13.4
7.7
2.6
20.8
137.6
12.8
17.3
12.0
1.2
(61.9)
13.7
36.3
20.4
13.1
8.0
8.5
28.7
45.0
48.8
5.5
28.0
-
(2.0)
14.6
36.0
19.4
13.4
9.1
5.7
16.8
15.5
41.4
(8.5)
5.4
11.6
15.0
3QFY13
4QFY13
1QFY14 2QFY14 3QFY14
4QFY14 1QFY15
2QFY15 3QFY15
4QFY15
19.5
34.3
19.0
12.2
8.6
6.4
(6.1)
(43.8)
54.7
(12.7)
10.2
(3.9)
(10.0)
31.8
20.7
34.9
16.1
68.2
14.0
8.8
11.3
16.3
14.3
Source: Company; MOSL
18 May 2015
7

Torrent Pharma
Valuation and view
Strong traction in US business (including one-off) as well as expectations of higher
synergy benefits from Elder’s domestic portfolio acquisition has aided re-rating for
TRP over the last twelve months. We expect core earnings (excluding one-offs)
trajectory to remain strong (forecast 25% CAGR over FY15-17E) as we think margin
upside in domestic portfolio is still not fully reflected. We expect the stock trade
much above its historic P/E band due to higher revenue visibility and deleveraging
prospects.
Our TP of INR 1410 implies 12% upside from current levels. Our TP discounts TRP’s
base business at 22x FY17E P/E, in line with current sector average multiple. This is
at the higher end of its historical average and in line with current multiples (22.4x
FY16E). Sustenance of high earnings growth and de-leveraging of Balance Sheet
justify upward shift of its average P/E band upwards.
Key catalysts to drive stock’s performance over the medium term are:
Improvement in EBITDA margin, mainly on stronger contribution from Elder
brands
Execution in key US launches including gAbilify, gNexium, gExforge
Improved free cash generation, driving Balance Sheet deleveraging
Risks to our investment thesis
Regulatory delays could affect timely launch of key US launches.
Increased span of drug price control could hurt domestic business (34% of total
sales).
Unstable currency and macroeconomic outlook for key emerging markets like
Brazil/Russia could dampen growth prospects.
Exhibit 13: TRP has re-rated structurally (1 yr forward P/E
band)
27
22
17
12
7
2
12.8
3.9
PE (x)
Peak(x)
Avg(x)
24.1
Min(x)
24.1
100
50
0
-50
-100
-18.5
Exhibit 14: TRP trades at 18% discount to Sensex P/E (LPA)
Torrent Pharma PE Relative to Sensex PE (%)
LPA (%)
51.4
Source: Company, MOSL
Source: Company, MOSL
18 May 2015
8

Torrent Pharma
Story in charts
Exhibit 15: Formulation led sales growth
Formulations (INR b)
CRAMS (INR b)
3
3
2
3
2
14
2
16
2
19
3
24
3
28
38
44
53
62
7,254
FY10
8,377
FY11
15.5
15.5
8.5
12.7
13.5
17.5
Exhibit 16: Domestic sales growth led by Elder acqn. in FY15
Revenues (INR m)
Growth (%)
38.5
32.8
9,090 10,240 11,620 16,090 21,369 25,104
FY12
FY13
FY14
FY15
FY16E FY17E
FY09 FY10 FY11 FY12 FY13 FY14 FY15 FY16E FY17E
Source: Company, MOSL
Source: Company, MOSL
Exhibit 17: Base sales to grow at ~31% over FY15-17E
US base sales (USD m)
One-offs (USD m)
8
44
32
150
45
FY12
65
FY13
84
105
182
8
Exhibit 18: Latam - Gradual recovery ahead
Latam revenues (INR m)
32.1
19.9
Growth (%)
17.4
5,020
6.4
5,340
FY13
FY14
13.5
13.9
15.0
5.2
3,012
3,612
FY11
4,770
FY12
FY15
FY16E FY17E
19
FY10
25
FY11
6,060
FY15
6,902
7,937
FY14
FY10
FY16E FY17E
Source: Company, MOSL
Source: Company, MOSL
Exhibit 19: Europe business to grow at 17% over FY15-17E
Europe (INR m)
43.1
21.1
20.7
19.9
18.5
15.0
5,421
FY12
6,500
FY13
9,300
FY14
-0.6
9,240 10,947 12,589
FY15
FY16E FY17E
Growth (%)
Exhibit 20: Healthy return ratios
42.0
36.2
29.2
28.8
22.5
17.3
29.7
33.5
25.7
31.1
ROIC (%)
36.0
RoE (%)
32.4
30.8
30.4
31.1
29.9
22.5
26.3
3,710
3.5
4,492
FY10
FY11
FY09
FY10
FY11
FY12
FY13
FY14
FY15 FY16E FY17E
Source: Company, MOSL
Source: Company, MOSL
18 May 2015
9

Torrent Pharma
Exhibit 21: EBITDA growth (%)
EBITDA (INR b)
43.5
36.3
34.6
32.8
EBITDA growth (%)
37.3
41.0
19.1
7.2
3
4
-5.1
4
5
7
10
10
14
17
Exhibit 22: Gross margin to improve over FY16-17E
Gross Margin (%)
67.2
70.0
68.3
68.0
71.2
EBITDA Margin (%)
70.3
69.6
71.3
71.3
18.4
21.5
17.6
19.4
21.6
22.7
21.9
25.4
26.0
FY09 FY10 FY11 FY12 FY13 FY14 FY15 FY16E FY17E
Source: Company, MOSL
FY09
FY10
FY11
FY12
FY13
FY14
FY15 FY16E FY17E
Source: Company, MOSL
Exhibit 23: ANDA filed v/s pending
ANDA filed
64
ANDA pending
67
70
75
Exhibit 24: Core EPS to grow at 26% CAGR (FY15-17E)
Core EPS (INR/ share)
One off
0
7
24
21
22
4
0
58
45
32
21
29
32
27
1
14
16
16
19
28
32
40
50
63
0
-2
-3
-4
FY09 FY10 FY11 FY12 FY13 FY14 FY15 FY16E FY17E
Source: Company, MOSL
FY09
FY10
FY11
FY12
FY13
FY14
YTD
Source: Company, MOSL
18 May 2015
10

Torrent Pharma
Financials and valuations
Key assumption
Segment growth
USA
India
Europe
LatAm
RoW
CRAMs
Total Sales
Expenses
Cost of sales (%)
EBITDA Margin (%)
2010
227.0
15.5
3.5
17.4
28.9
12.8
13.4
30.0
21.5
2011
25.7
15.5
21.1
19.9
18.6
13.4
15.7
31.7
17.6
2012
89.2
8.5
20.7
32.1
67.8
41.2
27.2
32.0
19.4
2013
64.2
12.7
19.9
5.2
30.8
1.4
19.1
28.8
21.6
2014
118.6
13.5
43.1
6.4
27.9
0.3
30.3
29.7
22.7
2015
7.2
38.5
(0.6)
13.5
1.8
(25.2)
11.2
30.4
21.9
2016E
13.8
32.8
18.5
13.9
16.9
12.0
21.9
28.8
25.4
2017E
20.0
17.5
15.0
15.0
15.0
12.0
16.4
28.8
26.0
Income Statement
Y/E March
Net Sales
Change (%)
Total Expenditure
% of Sales
EBITDA
Margin (%)
Depreciation
EBIT
Int. and Finance Charges
Other Income - Rec.
PBT before EO Expense
EO Expense/(Income)
PBT after EO Expense
Current Tax
Deferred Tax
Tax
Tax Rate (%)
Reported PAT
Less: Minority Interest
Net Profit
Adj PAT
2010
19,040
16.8
14,953
78.5
4,087
21.5
661
3,426
291
216
3,352
-84
3,436
705
-74
631
18.8
2,805
0
2,805
2,680
2011
21,978
15.4
18,100
82.4
3,878
17.6
626
3,252
391
347
3,208
-168
3,376
751
-15
736
22.9
2,640
0
2,640
2,702
2012
26,961
22.7
21,743
80.6
5,218
19.4
817
4,400
395
445
4,451
863
3,588
690
40
730
16.4
2,858
23
2,835
3,287
2013
32,120
19.1
25,190
78.4
6,930
21.6
830
6,100
340
430
6,190
370
5,820
1,732
-262
1,470
23.8
4,350
20
4,330
4,705
2014
41,840
30.3
32,326
77.3
9,514
22.7
870
8,644
586
381
8,439
0
8,439
2,246
-445
1,801
21.3
6,638
0
6,638
5,385
2015
46,530
11.2
36,330
78.1
10,200
21.9
1,910
8,290
1,750
2,860
9,400
0
9,400
1,890
0
1,890
20.1
7,510
0
7,510
6,761
(INR Million)
2016E
56,728
21.9
42,348
74.7
14,381
25.4
2,384
11,997
2,164
900
10,733
0
10,733
2,200
0
2,200
20.5
8,533
0
8,533
8,479
2017E
66,015
16.4
48,884
74.1
17,131
26.0
2,552
14,579
1,984
950
13,546
0
13,546
2,777
0
2,777
20.5
10,769
0
10,769
10,701
18 May 2015
11

Torrent Pharma
Financials and valuations
Balance Sheet
Y/E March
Equity Share Capital
Total Reserves
Net Worth
Minority Interest
Deferred liabilities
Total Loans
Capital Employed
Net Fixed Assets
Capital WIP
Investments
Curr. Assets
Inventory
Account Receivables
Cash and Bank Balance
Loans & Advances
Curr. Liability & Prov.
Account Payables
Provisions
Net Current Assets
Appl. of Funds
E: MOSL Estimates
(INR Million)
2010
423
7,887
8,310
0
499
5,224
14,033
5,411
1,098
1,412
11,607
3,236
2,982
3,883
1,506
5,496
4,216
1,280
6,111
14,033
2011
423
9,801
10,224
16
480
5,720
16,440
6,355
1,799
1,460
15,742
5,048
3,404
4,788
2,502
8,916
7,490
1,427
6,826
16,440
2012
423
11,515
11,938
35
514
5,786
18,274
7,968
1,188
1,240
20,081
5,315
5,228
6,743
2,795
12,202
10,395
1,807
7,878
18,274
2013
423
13,796
14,219
4
257
7,030
21,510
8,198
2,853
605
25,872
9,239
6,878
6,270
3,485
16,017
12,297
3,720
9,855
21,510
2014
846
18,178
19,024
4
-182
11,418
30,264
8,753
5,341
1,857
34,091
10,061
10,994
7,694
5,342
19,777
16,239
3,538
14,314
30,265
2015
846
24,060
24,906
4
1050
25,040
51,000
31,939
3,171
2,980
40,180
10,670
15,950
5,670
7,890
27,270
22,890
4,380
12,910
51,000
2016E
846
30,026
30,872
4
1690
23,040
55,606
32,598
2,085
2,980
39,317
11,906
11,913
6,819
8,679
21,375
15,850
5,525
17,942
55,605
2017E
846
37,015
37,861
4
1690
21,040
60,595
33,568
1,543
2,980
47,311
13,855
13,863
10,046
9,547
24,807
18,440
6,367
22,504
60,594
Ratios
Y/E March
Basic EPS (INR)
EPS
Cash EPS
BV/Share
DPS
Payout (%)
Valuation (x)
P/E
Cash P/E
P/BV
EV/Sales
EV/EBITDA
Dividend Yield (%)
Return Ratios (%)
RoE
RoCE
Working Capital Ratios
Fixed Asset Turnover (x)
Debtor (Days)
Inventory (Days)
Working Capital
Turnover(Days)
Leverage Ratio (x)
Interest Cover Ratio
Debt/Equity
18 May 2015
2010
15.8
20.5
49.1
6.0
21.1
2011
16.0
19.3
60.4
8.0
29.8
2012
19.4
21.6
70.5
8.5
29.2
2013
27.8
30.5
84.0
23.0
52.3
2014
31.8
44.4
112.4
10.0
29.8
2015
40.0
55.7
147.2
11.3
29.7
2016E
50.1
64.5
182.4
15.1
35.1
2017E
63.2
78.7
223.7
19.1
35.1
39.5
28.3
11.2
5.2
22.7
0.8
31.4
22.6
8.5
5.0
22.7
0.9
25.1
19.5
6.9
4.0
15.9
1.2
19.9
16.0
5.6
3.4
13.1
1.5
36.2
29.3
29.2
24.4
29.7
28.8
36.0
33.5
32.4
34.9
30.8
27.7
30.4
24.8
31.1
27.5
3.6
56
62
43
3.7
55
84
34
3.8
71
72
15
4.0
78
105
41
4.9
96
88
58
2.3
125
84
57
1.8
77
77
72
2.0
77
77
69
11.8
0.6
8.3
0.6
11.2
0.5
17.9
0.5
14.7
0.6
4.7
1.0
5.5
0.7
7.3
0.6
12

Torrent Pharma
Financials and valuations
Cash Flow Statement
Y/E March
Oper. Profit/(Loss) before Tax
Interest/Dividends Recd.
Direct Taxes Paid
(Inc)/Dec in WC
CF from Operations
EO Expense / (Income)
CF from Operating incl EO Expense
(inc)/dec in FA
(Pur)/Sale of Investments
CF from Investments
Issue of shares
(Inc)/Dec in Debt
Interest Paid
Dividend Paid
Others
CF from Fin. Activity
Inc/Dec of Cash
Add: Beginning Balance
Closing Balance
(INR Million)
2010
4,087
216
-716
349
3,937
-84
4,021
-1,487
-17
-1,504
0
398
-291
-592
-449
-934
1,583
2,300
3,883
2011
3,878
347
-755
190
3,660
-168
3,828
-2,214
-48
-2,262
0
512
-391
-787
5
-661
905
3,883
4,788
2012
5,218
445
-696
902
5,869
863
5,006
-1,736
220
-1,516
0
85
-395
-836
-390
-1,535
1,955
4,788
6,743
2013
6,930
430
-1,728
-2,449
3,183
370
2,813
-2,460
636
-1,825
0
1,212
-340
-2,273
-61
-1,462
-473
6,743
6,270
2014
9,514
381
-2,239
-3,034
4,622
0
4,622
-3,904
-1,252
-5,156
423
4,388
-586
-1,980
-286
1,959
1,425
6,270
7,694
2015
10,200
2,860
-658
-621
11,781
0
11,781
-22,925
-1,123
-24,049
599
13,622
-1,750
-2,227
10,244
-2,024
7,694
5,671
2016E
14,381
900
-1,560
-3,883
9,838
0
9,838
-1,957
0
-1,957
428
-2,000
-2,164
-2,995
-6,731
1,150
5,670
6,820
2017E
17,131
950
-2,777
-1,335
13,969
0
13,969
-2,979
0
-2,979
0
-2,000
-1,984
-3,780
0
-7,763
3,227
6,819
10,046
18 May 2015
13

Torrent Pharma
Corporate profile
Company description
Torrent Pharma is one of the second tier Pharma
companies that is actively targeting the regulated
generics and semi-regulated markets. The company
has strong presence in domestic market with focus
and leadership in CVS and CNS segments. Recent
acquisition of Elder’s brand in India strengthens its
positioning further. The company has large
presence in some of the key global markets like
Brazil and Germany while it is expanding its
footprint in key markets like US, Europe (excl.
Germany) and RoW.
Exhibit 26: Shareholding pattern (%)
Mar-15
Promoter
DII
FII
Others
71.3
6.8
12.3
9.7
Dec-14
71.5
6.5
12.9
9.1
Mar-14
71.5
7.6
12.0
8.9
Exhibit 25: Sensex rebased
Exhibit 27: Top holders
Holder Name
Lavender Investments Ltd
Franklin Templeton Investment Funds
HDFC Trustee Company Ltd-HDFC Mid Cap
% Holding
2.7
2.3
1.2
Note: FII Includes depository receipts
Exhibit 28: Top management
Name
Sudhir Mehta
Designation
Chairman
Exhibit 29: Directors
Name
Sudhir Mehta
Pradeep Bhargava*
Haigreve Khaitan*
Shailesh Haribhakti*
Name
Markand Bhatt
Chaitanya Dutt
Samir Mehta
*Independent
Exhibit 30: Auditors
Name
Delloite Haskins & Sells
Kirit Mehta & Co
Type
Statutory
Cost Auditor
Exhibit 31: MOSL forecast v/s consensus
EPS (INR)
FY16
FY17
MOSL
forecast
50.1
63.2
Consensus
forecast
53.6
64.5
Variation (%)
-6.5
-2.0
18 May 2015
14

Torrent Pharma
NOTES
18 May 2015
15

Disclosures
This document has been prepared by Motilal Oswal Securities Limited (hereinafter referred to as Most) to provide information about the company(ies) and/sector(s), if any, covered in the report and may be
distributed by it and/or its affiliated company(ies). This report is for personal information of the selected recipient/s and does not construe to be any investment, legal or taxation advice to you. This research report does
not constitute an offer, invitation or inducement to invest in securities or other investments and Motilal Oswal Securities Limited (hereinafter referred as MOSt) is not soliciting any action based upon it. This report is not
for public distribution and has been furnished to you solely for your general information and should not be reproduced or redistributed to any other person in any form. This report does not constitute a personal
recommendation or take into account the particular investment objectives, financial situations, or needs of individual clients. Before acting on any advice or recommendation in this material, investors should consider
whether it is suitable for their particular circumstances and, if necessary, seek professional advice. The price and value of the investments referred to in this material and the income from them may go down as well as
up, and investors may realize losses on any investments. Past performance is not a guide for future performance, future returns are not guaranteed and a loss of original capital may occur.
MOSt and its affiliates are a full-service, integrated investment banking, investment management, brokerage and financing group. We and our affiliates have investment banking and other business relationships with a
some companies covered by our Research Department. Our research professionals may provide input into our investment banking and other business selection processes. Investors should assume that MOSt and/or
its affiliates are seeking or will seek investment banking or other business from the company or companies that are the subject of this material and that the research professionals who were involved in preparing this
material may educate investors on investments in such business. The research professionals responsible for the preparation of this document may interact with trading desk personnel, sales personnel and other
parties for the purpose of gathering, applying and interpreting information. Our research professionals are paid on the profitability of MOSt which may include earnings from investment banking and other business.
MOSt generally prohibits its analysts, persons reporting to analysts, and members of their households from maintaining a financial interest in the securities or derivatives of any companies that the analysts cover.
Additionally, MOSt generally prohibits its analysts and persons reporting to analysts from serving as an officer, director, or advisory board member of any companies that the analysts cover. Our salespeople, traders,
and other professionals or affiliates may provide oral or written market commentary or trading strategies to our clients that reflect opinions that are contrary to the opinions expressed herein, and our proprietary
trading and investing businesses may make investment decisions that are inconsistent with the recommendations expressed herein. In reviewing these materials, you should be aware that any or all of the foregoing
among other things, may give rise to real or potential conflicts of interest. MOSt and its affiliated company(ies), their directors and employees and their relatives may; (a) from time to time, have a long or short position
in, act as principal in, and buy or sell the securities or derivatives thereof of companies mentioned herein. (b) be engaged in any other transaction involving such securities and earn brokerage or other compensation
or act as a market maker in the financial instruments of the company(ies) discussed herein or act as an advisor or lender/borrower to such company(ies) or may have any other potential conflict of interests with
respect to any recommendation and other related information and opinions.; however the same shall have no bearing whatsoever on the specific recommendations made by the analyst(s), as the recommendations
made by the analyst(s) are completely independent of the views of the affiliates of MOSt even though there might exist an inherent conflict of interest in some of the stocks mentioned in the research report
Reports based on technical and derivative analysis center on studying charts company's price movement, outstanding positions and trading volume, as opposed to focusing on a company's fundamentals and, as
such, may not match with a report on a company's fundamental analysis. In addition MOST has different business segments / Divisions with independent research separated by Chinese walls catering to different set
of customers having various objectives, risk profiles, investment horizon, etc, and therefore may at times have different contrary views on stocks sectors and markets.
Unauthorized disclosure, use, dissemination or copying (either whole or partial) of this information, is prohibited. The person accessing this information specifically agrees to exempt MOSt or any of its affiliates or
employees from, any and all responsibility/liability arising from such misuse and agrees not to hold MOSt or any of its affiliates or employees responsible for any such misuse and further agrees to hold MOSt or any of
its affiliates or employees free and harmless from all losses, costs, damages, expenses that may be suffered by the person accessing this information due to any errors and delays. The information contained herein is
based on publicly available data or other sources believed to be reliable. Any statements contained in this report attributed to a third party represent MOSt’s interpretation of the data, information and/or opinions
provided by that third party either publicly or through a subscription service, and such use and interpretation have not been reviewed by the third party. This Report is not intended to be a complete statement or
summary of the securities, markets or developments referred to in the document. While we would endeavor to update the information herein on reasonable basis, MOSt and/or its affiliates are under no obligation to
update the information. Also there may be regulatory, compliance, or other reasons that may prevent MOSt and/or its affiliates from doing so. MOSt or any of its affiliates or employees shall not be in any way
responsible and liable for any loss or damage that may arise to any person from any inadvertent error in the information contained in this report. MOSt or any of its affiliates or employees do not provide, at any time,
any express or implied warranty of any kind, regarding any matter pertaining to this report, including without limitation the implied warranties of merchantability, fitness for a particular purpose, and non-infringement.
The recipients of this report should rely on their own investigations.
This report is intended for distribution to institutional investors. Recipients who are not institutional investors should seek advice of their independent financial advisor prior to taking any investment decision based on
this report or for any necessary explanation of its contents.
Most and it’s associates may have managed or co-managed public offering of securities, may have received compensation for investment banking or merchant banking or brokerage services, may have received any
compensation for products or services other than investment banking or merchant banking or brokerage services from the subject company in the past 12 months.
Most and it’s associates have not received any compensation or other benefits from the subject company or third party in connection with the research report.
Subject Company may have been a client of Most or its associates during twelve months preceding the date of distribution of the research report
MOSt and/or its affiliates and/or employees may have interests/positions, financial or otherwise of over 1 % at the end of the month immediately preceding the date of publication of the research in the securities
mentioned in this report. To enhance transparency, MOSt has incorporated a Disclosure of Interest Statement in this document. This should, however, not be treated as endorsement of the views expressed in the
report.
Motilal Oswal Securities Limited is under the process of seeking registration under SEBI (Research Analyst) Regulations, 2014.
There are no material disciplinary action that been taken by any regulatory authority impacting equity research analysis activities
Analyst Certification
The views expressed in this research report accurately reflect the personal views of the analyst(s) about the subject securities or issues, and no part of the compensation of the research analyst(s) was, is, or will be
directly or indirectly related to the specific recommendations and views expressed by research analyst(s) in this report. The research analysts, strategists, or research associates principally responsible for preparation
of MOSt research receive compensation based upon various factors, including quality of research, investor client feedback, stock picking, competitive factors and firm revenues
Disclosure of Interest Statement
Analyst ownership of the stock
Served as an officer, director or employee
TORRENT PHARMACEUTICALS LTD
No
No
Torrent Pharma
Regional Disclosures (outside India)
For U.S.
This report is not directed or intended for distribution to or use by any person or entity resident in a state, country or any jurisdiction, where such distribution, publication, availability or use would be contrary to law,
regulation or which would subject MOSt & its group companies to registration or licensing requirements within such jurisdictions.
Motilal Oswal Securities Limited (MOSL) is not a registered broker - dealer under the U.S. Securities Exchange Act of 1934, as amended (the"1934 act") and under applicable state laws in the United States. In
addition MOSL is not a registered investment adviser under the U.S. Investment Advisers Act of 1940, as amended (the "Advisers Act" and together with the 1934 Act, the "Acts), and under applicable state laws in the
United States. Accordingly, in the absence of specific exemption under the Acts, any brokerage and investment services provided by MOSL, including the products and services described herein are not available to or
intended for U.S. persons.
This report is intended for distribution only to "Major Institutional Investors" as defined by Rule 15a-6(b)(4) of the Exchange Act and interpretations thereof by SEC (henceforth referred to as "major institutional
investors"). This document must not be acted on or relied on by persons who are not major institutional investors. Any investment or investment activity to which this document relates is only available to major
institutional investors and will be engaged in only with major institutional investors. In reliance on the exemption from registration provided by Rule 15a-6 of the U.S. Securities Exchange Act of 1934, as amended (the
"Exchange Act") and interpretations thereof by the U.S. Securities and Exchange Commission ("SEC") in order to conduct business with Institutional Investors based in the U.S., MOSL has entered into a chaperoning
agreement with a U.S. registered broker-dealer, Motilal Oswal Securities International Private Limited. ("MOSIPL"). Any business interaction pursuant to this report will have to be executed within the provisions of this
chaperoning agreement.
The Research Analysts contributing to the report may not be registered /qualified as research analyst with FINRA. Such research analyst may not be associated persons of the U.S. registered broker-dealer, MOSIPL,
and therefore, may not be subject to NASD rule 2711 and NYSE Rule 472 restrictions on communication with a subject company, public appearances and trading securities held by a research analyst account.
Motilal Oswal Capital Markets Singapore Pte Limited is acting as an exempt financial advisor under section 23(1)(f) of the Financial Advisers Act(FAA) read with regulation 17(1)(d) of the Financial Advisors
Regulations and is a subsidiary of Motilal Oswal Securities Limited in India. This research is distributed in Singapore by Motilal Oswal Capital Markets Singapore Pte Limited and it is only directed in Singapore to
accredited investors, as defined in the Financial Advisers Regulations and the Securities and Futures Act (Chapter 289), as amended from time to time.
In respect of any matter arising from or in connection with the research you could contact the following representatives of Motilal Oswal Capital Markets Singapore Pte Limited:
Anosh Koppikar
Kadambari Balachandran
Email : anosh.Koppikar@motilaloswal.com
Email : kadambari.balachandran@motilaloswal.com
Contact : (+65)68189232
Contact : (+65) 68189233 / 65249115
Office Address : 21 (Suite 31),16 Collyer Quay,Singapore 04931
For Singapore
18 May 2015
Motilal Oswal Securities Ltd
Motilal Oswal Tower, Level 9, Sayani Road, Prabhadevi, Mumbai 400 025
Phone: +91 22 3982 5500 E-mail: reports@motilaloswal.com
16