8 August 2015
1QFY16 Results Update | Sector:
Automobiles
BSE SENSEX
28,236
Bloomberg
Equity Shares (m)
M.Cap. (INR b) / (USD b)
52-Week Range (INR)
1, 6, 12 Rel. Per (%)
Avg Val,INRm/Vol‘000
Free float (%)
S&P CNX
8,565
MM IN
598.6
820.7/12.9
1441 / 1106
5/17/1
1343/1064
74.4
CMP: INR1,388
Mahindra & Mahindra
TP: INR1,408 (+2%)
Neutral
Above-est. EBITDA margins at 14.3% (v/s est. 12.2%) on the back of lower
commodity cost
Volumes declined 8% YoY (up 6.3% QoQ), while realizations grew 4.6% YoY (down
2.7% QoQ) to ~INR549k (v/s est. ~INR540k)—driven by mix improvement. Net
revenue declined 3.9% YoY (up 3.4% QoQ) to INR94.3b (v/s est. INR92.8b). EBITDA
margin was up 330bp QoQ (down 20bp YoY) to 14.3% (v/s est. 12.2%), driven by
lower commodity cost and lower other expense. Auto segment PBIT margin
declined ~20bp YoY (up 150bp QoQ) to 10.3%. Tractor business PBIT margin was
up 60bp YoY (650bp QoQ) to 17.7%, highest since 3QFY11. Lower other income
and higher tax rate restricted adj. PAT to INR8.3b, down 7% YoY (up 49% QoQ).
Management commentary:
(a) It expects 5% growth in tractors for FY16, with
pressure continuing in 2QFY16 and 2HFY16 seeing volumes similar to 2HFY14
levels (implying ~35% growth in 2HFY16); b) in the automotive segment, inventory
has gone higher by one week compared with end of June (but has reduced by two
day days in July and the target is to reduce further by two days in August); c) TUV-
3OO would be launched in mid-September, and the company plans to launch S101
(crossover) in 2HFY16; d) in 1QFY16, there was a 1.8% YoY improvement in gross
margins (due to favorable mix and material cost benefit); e) recently launched SCV
Jeeto is targeted to do ~2,500 units/month; f) maintained guidance for capex of
~INR75b and investments of INR25b over three years.
Valuation and view:
We raise our standalone EPS estimates by 2.5%/2.7% for
FY16/FY17 on better-than-estimated margins, despite volume cut of 3.4% in FY16.
However, consolidated EPS of FY16/17 is cut by 4%/2%, impacted by estimate cut
for subsidiaries—particularly for Ssangong. The stock trades at 19.3x FY16E and
14.2x FY17E consolidated EPS. Valuations reflect structural challenges in both
businesses. Maintain
Neutral,
with FY17E-based SOTP target price of ~INR1,408.
Financials & Valuation (INR b)
y/e MAR
2015 2016E 2017E
Sales
389.5 440.0 532.1
EBITDA
41.7
53.1
66.5
NP (incl.MVML) 31.6
39.1
49.2
Adj. EPS (INR) * 52.8
65.4
82.2
EPS Gr. (%)
(18.2) 23.8
25.7
Cons.EPS (INR) 47.8
71.9
97.7
BV/Sh (INR)
326
374
438
RoE (%)
15.9
16.9
18.0
RoCE (%)
16.3
18.7
20.2
Payout (%)
25.5
27.6
22.1
Valuations
P/E (x)
26.3
21.2
16.9
Cons. P/E (x)
29.0
19.3
14.2
P/BV (x)
4.3
3.7
3.2
EV/EBITDA (x)
19.7
15.3
12.0
Div. Yield (%)
0.9
1.1
1.1
* Incl MVML
Jinesh Gandhi
(Jinesh@MotilalOswal.com); +91 22 3982 5416
Jay Shah
(Jay.Shah@MotilalOswal.com); +91 22 3078 4701
Investors are advised to refer through disclosures made at the end of the Research Report.
Motilal Oswal research is available on
www.motilaloswal.com/Institutional-Equities,
Bloomberg, Thomson Reuters, Factset and S&P Capital.

Mahindra & Mahindra
Volume declines ~8%; UVs market share under pressure
Volumes de-grew ~8% YoY (+6.3% QoQ), impacted by 5% YoY decline in UV
volumes and ~16% YoY de-growth in tractors.
M&M market share in UV segment is at 38.5% (-200bp QoQ/YoY).
Tractor market share went up by 600bp QoQ (-70bp YoY) to 41.5%.
Realizations grew 4.6% YoY (-2.7% QoQ) to ~INR549k, driven by mix
improvement. Auto realizations grew 2% YoY (flat QoQ). Tractor realizations
continue to positively surprise, with growth of ~10% YoY (-12.8% QoQ).
Net revenues de-grew by ~4% YoY (3.4% QoQ) to INR94.3b (est 92.8b).
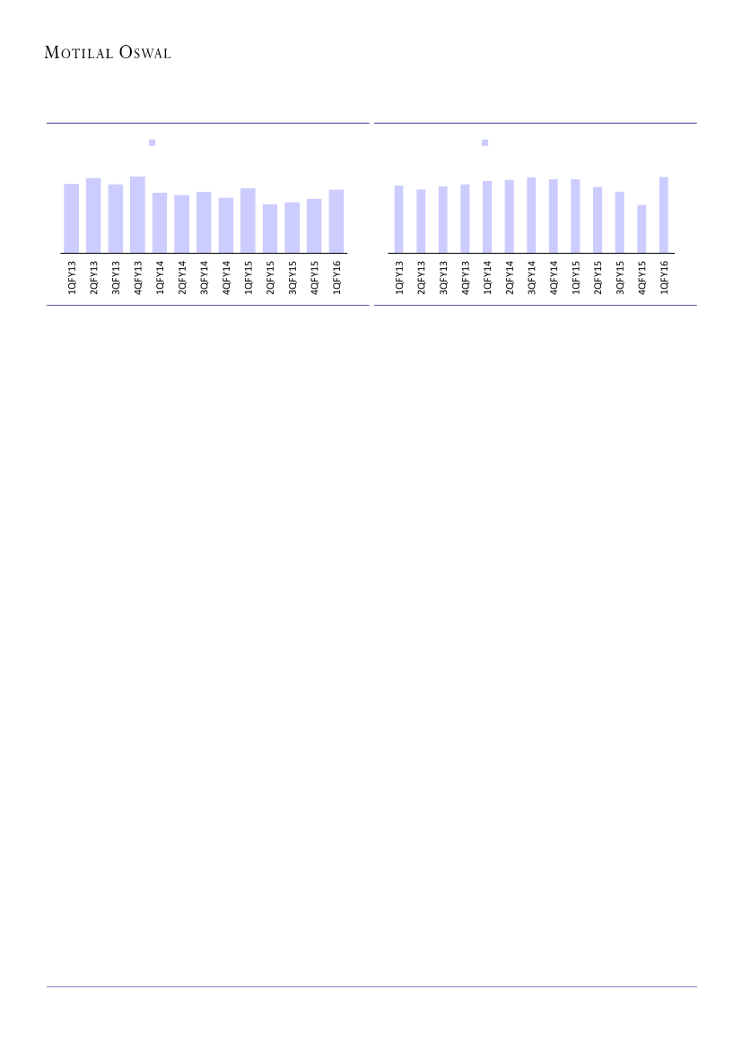
Exhibit 2: Tractor volumes under pressure, only hope on
normal rainfall
Tractors Volumes (Units)
Exhibit 1: UV (ex-pickups) volumes to improve post new
launches
UV Volumes Domestic (Units)
Source: Company, MOSL
Source: Company, MOSL
Exhibit 3: UV (ex-pickups) share under pressure
Market Share (%)
49.8
45.4 47.9 47.8 46.0
39.7 39.0
44.8
40.5
37.6 40.5 38.5
Exhibit 4: Domestic Tractor market share up 600bp QoQ
Market Share (%)
33.3
41.5
40.3
41.4
37.2
41.4
40.5
41.9
37.9
42.2
40.6
41.5
39.6
35.5
Source: Company, MOSL
Source: Company, MOSL
Exhibit 5: Auto realization improve 3% YoY
Auto Realization (INR '000)
Exhibit 6: FES realization up 9.7% YoY
FES Realization (INR '000)
Source: Company, MOSL
Source: Company, MOSL
8 August 2015
2

Mahindra & Mahindra
Exhibit 7: Volume break-up (units nos)
Passenger UVs
% of total
Pick-ups (incl. Small CVs)
% of total
Three Wheelers
% of total
Verito
% of total
Trucks & buses
% of total
Exports
% of total
Total Automotive
% of total
Tractors (Domestic)
% of total
Tractors (Exports)
% of total
Total Tractors
% of total
Total Volumes
1QFY16
49,354
29.3
32,450
19.3
12,166
7.2
667
0.4
3,023
1.8
8,449
5.0
106,109
63.0
59,150
35.1
3,208
1.9
62,358
37.0
168,467
1QFY15
52,180
28.7
34,008
18.7
11,808
6.5
413
0.2
2,586
1.4
6,551
3.6
107,546
59.1
71,920
39.5
2,635
1.4
74,555
40.9
182,101
YoY (%)
-5.4
-4.6
3.0
61.4
16.9
29.0
(1.3)
-17.8
21.7
-16.4
-7.5
4QFY15
QoQ (%)
59,681
-17.3
36.9
36,775
-11.8
22.7
13,490
-9.8
8.3
607
9.8
0.4
2,603
16.1
1.6
10,019
-15.7
6.2
123,175
-13.9
76.1
34,511
71.4
21.3
4,093
-21.6
2.5
38,604
61.5
23.9
161,779
4.1
Source: Company, MOSL
Lower commodity prices and other expense boost EBITDA margins to 14.3%
(v/s est. 12.2%)
As per management, gross margins improved 1.8% YoY driven by favorable mix
and material cost benefit.
EBITDA de-grew ~5% YoY (+35% QoQ) to ~INR13.5b (v/s est ~INR11.3b).
EBITDA margins went up by 330bp QoQ (down 20bp YoY) to 14.3% (v/s est.
12.2%) driven by lower RM cost at 68.1% (v/s est. 68.9%) and lower other
expenses at 10.6% (v/s est. 12.3%).
Auto segment PBIT margins declined by ~20bp YoY (+150bp QoQ). Tractor
business PBIT margins went up by 60bp YoY (+650bpQoQ).
Further, lower other income at INR1.1b (v/s est. INR1.7b) and tax rate at 27.7%
(v/s est. 23.1%) restricted Adjusted PAT to INR8.3b down 7% YoY (up 49% QoQ).
Exhibit 9: Trend in S/A and M&M (incl. MVML) margins
M&M EBITDA (%)
13.9 13.8 13.5 14.4 13.8 13.5 14.0
12.8 12.8 13.1
M&M+MVML EBITDA (%)
14.5
12.8
12.5
10.6 10.4
12.0 11.7
11.0
9.5
14.3
Exhibit 8: EBITDA margins up 330bp QoQ to 14.3%
EBITDA (INR m)
M&M+MVML EBITDA (%)
14.3
13.9 13.8 13.5 14.4 13.8 13.5 14.0 12.8 14.5
12.0 11.7 11.0
12.1
11.8 11.4
11.2
1Q 2Q 3Q 4Q 1Q 2Q 3Q 4Q 1Q 2Q 3Q 4Q 1Q
FY13
FY14
FY15
FY16
12.7
1Q 2Q 3Q 4Q 1Q 2Q 3Q 8.2 1Q 2Q 3Q 4Q 1Q
4Q
FY13
FY14
FY15
FY16
8 August 2015
3

Mahindra & Mahindra
Exhibit 10: Auto PBIT margins up 150bp QoQ
AUTO PBIT margins (%)
11.2
12.2
11.2
12.4
9.8 9.4 10.0 9.0 10.5
10.3
Exhibit 11: FES PBIT margins up 650bp QoQ
FES PBIT margins (%)
15.7 14.8 15.5 16.0 16.7
17.0 17.6 17.1 17.1
15.4 14.2
11.2
17.7
7.9 8.3 8.8
Source: Company, MOSL
Source: Company, MOSL
Key highlights from Earnings Call
It expects 5% growth in tractors for FY16, with pressure continuing in 2QFY16
and 2HFY16 seeing volumes similar to 2HFY14 levels (implying ~35% growth in
2HFY16).
Crop sowing has been under stress in Vidarbha, Telangana, Northern Karnataka,
Marathwada and Southern Andhra Pradesh.
It has reduced inventory for tractors by 11k unit v/s inventory last year.
In the automotive segment inventory has gone higher by 1 week compared to
end of June (but has been reduced by 2 days in July and target to reduce further
by 2 days in Aug).
No price increase for tractors but 0.5% price increase for Automotive segment
across all models. Prices of tractor are up by average ~INR13,500 YoY.
TUV-3OO would be launched in mid September, and plans to launch S101
(crossover) in 2HFY16
It is targeting volumes of ~2,500/month from recently launched SCV Jeeto
Maintained guidance for capex of ~INR75b and Investments of INR25b over 3
years.
Ssangyong has sold ~33k Tivoli till date, and targets to cross 50k units of sale in
CY15. Ssangyong’s overall volume target for CY15 is ~146k units and ~200k for
CY16.
8 August 2015
4

Mahindra & Mahindra
Operating metrics
Exhibit 12: Snapshot of Revenue model
000 units
Tractors
Growth (%)
% of total volumes
UVs
Growth (%)
LCVs (MTBL)
Growth (%)
3-Ws
Growth (%)
Verito
Growth (%)
M&HCVs (MTBL)
Growth (%)
Total Autos
Growth (%)
% of total volumes
Total volumes
Growth (%)
ASP (INR '000/Unit)
Growth (%)
Net Sales (INR b)
Growth (%)
FY10
175
45.3
37.0
238
46.6
10
14.2
44
-0.2
6
0.0
0
0.0
298
35.6
63.0
472
35.3
382
5.3
180
42.5
FY11
214
22.3
36.2
292
22.8
11
12.7
62
39.8
11
0.0
0
0.0
376
25.1
63.8
590
24.9
391
2.3
230
27.8
FY12
235
10.2
32.6
384
31.6
14
24.8
67
8.5
18
61.2
3
0.0
487
27.5
67.4
722
21.9
437
11.8
314
36.2
FY13
224
-4.9
29.0
470
22.4
12
-13.9
66
-2.9
16
-12.2
3
-14.9
548
17.7
71.0
772
9.5
507
16.1
399
27.1
FY14
268
19.5
34.9
428
-8.9
8
-31.4
63
-3.4
8
-48.0
2
-34.2
500
-8.8
65.1
767
-1.2
514
1.4
400
0.2
FY15
234
-12.6
33.6
398
-7.2
9
9.2
57
-10.3
2
-80.5
3
-3.9
463
-7.3
66.4
697
-10.1
549
6.9
384
-3.9
FY16E
FY17E
245
269
4.5
10.0
31.7
29.4
457
572
15.0
25.0
10
13
17.5
25.0
59
63
4.0
6.0
3
3
62.5
0.0
4
6
15.0
0.0
527
647
13.7
22.9
68.3
70.6
771
916
11.4
18.8
558
569
1.5
2.0
434
526
13.0
21.1
Source: Company, MOSL
8 August 2015
5

Mahindra & Mahindra
Valuation and view
Compact SUVs key driver of UV industry, M&M preparing for 3 platform
launches each in Q1, Q2 and Q3 of FY16:
UV segment is expected to outgrow
PV industry over next 3-5 years. However, growth in UVs is expected to be
driven by increasing acceptance of compact SUVs by car buyers, while
traditional UVs (M&M’s forte) could show cyclical recovery in volumes. M&M
has started to launch 3 new platforms starting 1QFY16 to address gaps in its
product portfolio, two of which would be compact SUVs (two different
platforms, addressing both urban and rural consumer), while the third be a SCV
product. Also, it plans to launch 3 major refreshes and 3 variants of existing
models in FY16 of which one new refresh XUV500 already launched in May-15.
We estimate MM’s UV volumes to grow at ~20% CAGR over FY15-17E. MM is
responding to changing industry dynamics, it is this time challenged by market
leaders like Maruti and Hyundai in compact SUV segment, where MM is a weak
player. We estimate profitability of MM’s UV business to be under pressure in
medium term, as it will have shorten product refresh cycle and adopt very
aggressive pricing.
Tractor volume expected to recover in FY16, with improvement in non-agri
demand:
We expect tractor demand to see recovery in FY16 led by potential
normal monsoon. Also, considering high usage of tractors for non-farm usage
(primarily construction, infrastructure activities), resumption in investment
activity could boost demand over long term. We conservatively estimate tractor
volume growth of ~6% CAGR over FY15-17E. Further, we expect continued
ramp-up in non-tractor mechanization (implements, harvesters etc), which
should result in stronger revenue growth over FY15-FY17E.
Ssangyong ramp-up well, although near term volumes to be impacted by geo-
political issues in Russia:
While long term volume outlook remains positive for
Ssangyong’s driven by favorable product lifecycle, near term exports to Russia
have been impacted by geo-political issues. Ssangyong recently launched new
compact SUV Tivoli, it has received encouraging response. MM and Ssangyong
are jointly working on engines, which are slated for CY15 launch, which should
result in cost savings of 2-3pp for Ssangyong.
We raise our standalone EPS estimates by 2.5%/2.7% for FY16/FY17E on better
than estimated margins, despite volume cut of 3.4% in FY16. However,
consolidated EPS of FY16/17 is cut by 4%/2% respectively, impacted by estimate
cut for subsidiaries, particularly for Ssangong. The stock trades at 19.3x FY16E
and 14.2x FY17E consolidated EPS. Valuations reflect structural challenges in
both businesses. Maintain
Neutral,
with FY17E-based SOTP target price of
~INR1,408.
8 August 2015
6

Mahindra & Mahindra
Exhibit 13: Revised forecast (INR b)
Rev
778
440
13.9
37
62
65.4
71.9
FY16E
Old
806
455
13.1
36
60
63.8
74.9
Chg (%)
-3.4
-3.4
80bp
3.6
3.6
2.5
-4.0
FY17E
Rev
Old Chg (%)
924
928
-0.4
532
540
-1.4
14.4
14.1
30bp
47
45
2.9
78
76
2.9
82.2
80.0
2.7
97.7
99.6
-1.9
Source: Company, MOSL
Volumes ('000 units)
Net Sales
EBITDA (%, incl MVML)
Net Profit
EPS (INR)
EPS (INR, incl MVML)
Cons EPS (INR)
Exhibit 14: M&M: Sum-of-the-parts (INR/share)
FY16E
Core EPS (excl. subsidiary dividend)
PE attributable (x)
Value of core business
Value of subsidiaries @ Hold Co discount
1. Tech Mahindra
2. M&M Financial Services
3. Mahindra Lifespaces
4. Mahindra Holidays
5. Ssangyong
6. Mahindra CIE
7. Others - Value per share of M&M
Target price (after 20% discount)
Upside (%)
60.1
14
843
20
49
100
11
27
67
24
63
1,184
(14.7)
FY17E
76.1
14
1,067
49
100
11
27
67
24
63
1,408
1.5
Source: Company, MOSL
8 August 2015
7

Mahindra & Mahindra
Exhibit 15: Valuations trading around historical average, reflecting improving fundamentals
36
P/E (x)
5 Yrs Avg(x)
15 Yrs Avg(x)
10 Yrs Avg(x)
6.0
4.5
P/B (x)
5 Yrs Avg(x)
15 Yrs Avg(x)
10 Yrs Avg(x)
24
15.2
12
11.9
13.2
16.0
3.3
3.0
1.5
0.0
3.3
2.6
3.4
0
Source: MOSL
Source: MOSL
Exhibit 16:
Comparative
valuation
Auto OEM's
Bajaj Auto
Hero MotoCorp
TVS Motor
M&M
Maruti Suzuki
Tata Motors
Ashok Leyland
Eicher Motors#
Auto Ancillaries
Bharat Forge
Exide Industries
Amara Raja Batteries
# Nos. are on CY basis
CMP
(INR)*
2,538
2,661
239
1,388
4,452
393
87
20,616
1,223
159
972
Rating
Buy
Buy
Buy
Neutral
Buy
Buy
Buy
Buy
Buy
Buy
Buy
TP
(INR)
3,154
2,938
287
1,408
5,298
519
89
24,137
1,379
178
1,069
P/E (x)
FY16E
FY17E
19.4
15.1
17.3
14.5
24.4
14.6
19.3
14.2
25.0
17.8
7.5
6.8
24.9
14.1
56.3
32.4
29.5
21.1
31.8
22.2
18.0
22.7
EV/EBITDA (x)
FY16E
FY17E
12.3
9.7
11.0
9.4
15.0
9.7
15.5
12.3
12.5
9.8
3.4
2.9
12.4
7.8
30.3
18.3
15.8
12.5
17.7
12.6
10.5
13.0
RoE (%)
FY16E
FY17E
33.0
36.5
42.5
41.7
25.7
33.8
16.9
18.0
19.2
22.7
26.0
21.6
18.3
27.5
35.4
44.7
25.4
14.3
27.5
27.7
14.9
30.5
RoCE (%)
FY16E
FY17E
46.5
49.1
59.6
56.9
24.8
34.2
18.7
20.2
26.5
30.1
23.7
23.7
18.4
28.1
38.3
52.5
26.5
19.7
38.8
30.6
20.4
43.4
8 August 2015
8

Mahindra & Mahindra
Story in charts: New launches to watch out for
Exhibit 17: Tractor growth to recover
Tractor volumes (units)
Growth (%)
Exhibit 18: New product launches to drive UV CAGR of ~20%
31.6
22.4
UVs (incl pick-ups)
Growth (%)
25.0
15.0
10.2
10.0
19.5
4.5
(4.9)
(12.6)
FY12
FY13
FY14
FY15
FY16E
FY17E
FY12
FY13
(8.9)
FY14
(7.2)
FY15
FY16E
FY17E
Source: Company, MOSL
Source: Company, MOSL
Exhibit 19: Net realizations on improving trend
Net realizations (INR/unit)
Exhibit 20: Margins to improve on lower commodity cost
benifit
EBITDA margins (incl. MVML)
14.4
13.9
13.3
13.5
12.3
13.9
FY09
FY10
FY11
FY12
FY13
FY14
FY15 FY16E FY17E
Source: Company, MOSL
FY12
FY13
FY14
FY15
FY16E
FY17E
Source: Company, MOSL
Exhibit 21: Standalone EPS growth to be muted
EPS (incl. MVML)
Consolidated EPS
97.7
60.9
59.2
72.7
47.8
64.5
52.8
65.4
71.9
82.2
Exhibit 22: FCF to improve despite high capex plans
CFO
Capex
FCF
51.6
37.8
27
11
(10)
FY14E
35.6
27
58.9
34
42.4
28.4
14
28
51.2
48.6
(13)
FY12
FY13
FY14
FY15
FY16E
FY17E
FY12
(14)
FY13
(21)
FY15
(25)
FY16E
(25)
FY17E
Source: Company, MOSL
Source: Company, MOSL
8 August 2015
9

Mahindra & Mahindra
Financials and valuations
Income Statement
Y/E March
Total Income
Change (%)
EBITDA
Margins (%)
Margins (%, incl MVML)
Depreciation
EBIT
Int. & Finance Charges
Other Income
Profit before Tax
Eff. Tax Rate (%)
Adj. Profit after Tax
Change (%)
Adj. PAT (incl MVML)
Balance Sheet
Y/E March
Share Capital
Reserves
Net Worth
Deferred tax
Loans
Capital Employed
Gross Fixed Assets
Less: Depreciation
Net Fixed Assets
Capital WIP
Investments
Curr.Assets, L & Adv.
Inventory
Sundry Debtors
Cash & Bank Bal.
Loans & Advances
Others
Current Liab. & Prov.
Sundry Creditors
Other Liabilities
Provisions
Net Current Assets
Working Capital
Application of Funds
E: MOSL Estimates
2010
185,888
42.0
29,552
15.9
3,708
25,845
278
1,994
28,468
26.7
20,212
117.8
20,212
2011
234,603
26.2
34,543
14.7
15.3
4,139
30,405
725
4,342
35,196
24.4
25,732
27.3
25,732
2012
318,535
35.8
37,707
11.8
13.3
5,761
31,946
1,628
4,658
36,059
20.2
27,924
8.5
29,113
2013
404,412
27.0
47,093
11.6
13.9
7,108
39,985
1,912
5,177
44,156
24.8
32,532
16.5
35,438
2014
405,085
0.2
47,212
11.7
13.5
8,633
38,579
2,592
7,180
43,694
14.0
37,129
14.1
38,605
2015
389,454
-3.9
41,734
10.7
12.3
9,749
31,985
2,143
8,489
41,689
20.3
30,537
(17.8)
31,595
2016E
440,042
13.0
53,061
12.1
13.9
10,414
42,647
1,981
9,136
49,802
25.0
37,352
22.3
39,128
(INR Million)
2017E
532,074
20.9
66,464
12.5
14.4
12,762
53,702
2,331
10,107
61,478
24.0
46,723
25.1
49,175
(INR Million)
2017E
2,957
255,927
258,884
9,797
46,615
315,296
179,173
81,267
97,906
10,000
146,964
172,256
36,443
34,986
43,478
51,021
6,328
111,829
76,531
6,143
29,155
60,427
16,948
315,296
0
2010
2,830
75,473
78,302
2,403
28,802
109,507
52,763
25,378
27,385
9,642
63,980
60,424
11,888
12,581
17,432
18,014
509
51,965
32,601
1,399
17,965
8,458
-8,974
109,507
0
2011
2,936
100,198
103,134
3,544
23,211
129,889
57,625
28,417
29,207
9,859
89,256
67,076
16,942
12,603
6,146
27,061
4,323
65,509
39,527
9,167
16,815
1,566
-4,580
129,889
0
2012
2,945
118,640
121,585
5,271
31,738
158,595
74,986
34,179
40,808
10,000
103,105
85,082
23,584
19,884
11,884
24,077
5,653
80,399
47,962
13,985
18,453
4,683
-7,202
158,595
(0)
2013
2,952
143,638
146,589
6,149
42,792
195,530
89,500
41,287
48,213
10,000
118,335
97,988
24,198
22,084
17,814
28,509
5,384
79,006
55,797
4,154
19,055
18,982
1,168
195,530
(0)
2014
2,952
164,961
167,912
8,897
48,787
225,596
107,961
49,192
58,770
12,284
113,799
128,034
28,036
25,098
29,504
39,640
5,756
87,291
60,688
5,863
20,740
40,743
11,239
225,596
(0)
2015
2,957
189,594
192,551
9,797
46,615
248,963
117,385
58,091
59,295
21,788
131,382
116,985
24,376
25,580
20,648
40,054
6,328
80,486
53,655
6,143
20,688
36,499
15,852
248,963
0
2016E
2,957
218,075
221,032
9,797
46,615
277,444
156,673
68,505
88,168
7,500
139,464
135,861
30,140
28,934
28,264
42,196
6,328
93,549
63,294
6,143
24,112
42,312
14,049
277,444
0
8 August 2015
10

Mahindra & Mahindra
Financials and valuations
Ratios
Y/E March
Basic (INR)
Fully diluted EPS
FD EPS (incl MVML)
Consolidated EPS
Cash EPS
Book Value per Share
DPS
Payout (Incl. Div. Tax) %
Valuation (x)
P/E
Consolidated P/E
Cash P/E
EV/EBITDA
EV/Sales
Price to Book Value
Dividend Yield (%)
Profitability Ratios (%)
RoE
RoCE
ROIC
Turnover Ratios
Debtors (Days)
Inventory (Days)
Creditors (Days)
Working Capital (Days)
Asset Turnover (x)
Leverage Ratio
Debt/Equity (x)
2010
33.8
33.8
40.7
42.3
138.4
9.5
29.9
41.1
34.1
32.8
20.5
3.4
10.0
0.7
25.8
25.4
79.3
25
24
66
17
1.6
0.4
2011
43.0
43.0
48.0
50.9
175.6
11.5
30.2
32.3
28.9
27.3
20.3
3.0
7.9
0.8
25.0
26.8
71.7
20
27
63
2
1.8
0.2
2012
46.7
48.6
51.2
57.2
206.4
12.5
29.7
28.5
27.1
24.3
17.4
2.1
6.7
0.9
23.0
23.1
62.0
23
27
56
5
2.0
0.3
2013
54.3
59.2
60.9
67.2
248.3
13.0
26.8
23.4
22.8
20.7
14.2
1.7
5.6
0.9
22.2
23.1
55.6
20
22
51
17
2.0
0.3
2014
62.0
64.5
72.7
77.5
284.4
14.0
25.7
21.5
19.1
17.9
17.2
2.0
4.9
1.0
22.1
20.3
43.7
23
26
55
37
1.8
0.3
2015
51.0
52.8
47.8
68.1
325.6
12.0
25.5
26.3
29.0
20.4
19.7
2.1
4.3
0.9
15.9
16.3
2016E
62.4
65.4
71.9
80.8
373.7
15.0
27.6
21.2
19.3
17.2
15.3
1.9
3.7
1.1
16.9
18.7
2017E
78.1
82.2
97.7
100.6
437.7
15.0
22.1
16.9
14.2
13.8
12.0
1.5
3.2
1.1
18.0
20.2
24
23
51
35
1.5
0.2
9.3
24
25
53
36
1.6
0.2
7.8
24
25
53
42
1.7
0.2
6.1
(INR Million)
2017E
53,702
10,107
12,762
-14,755
-2,900
58,917
0
58,917
-25,000
33,917
-7,500
-32,500
-8,871
0
-2,331
-168
-11,370
15,047
28,264
43,478
Cash Flow Statement
Y/E March
OP/(Loss) before Tax
Int./Dividends Received
Depreciation & Amort.
Direct Taxes Paid
(Inc)/Dec in Wkg. Capital
CF from Oper.Activity
Extra-ordinary Items
CF after EO Items
(Inc)/Dec in FA+CWIP
Free Cash Flow
(Pur)/Sale of Invest.
CF from Inv. Activity
Change in Net Worth
Inc/(Dec) in Debt
Interest Paid
Dividends Paid
CF from Fin. Activity
Inc/(Dec) in Cash
Add: Beginning Balance
Closing Balance
E: MOSL Estimates
2010
26,815
1,880
3,708
-7,114
-45
25,245
0
25,245
-9,607
15,638
-5,909
-15,516
724
-3,077
-2,295
-3,191
-7,839
1,890
15,744
17,634
0-Jan-00
2011
31,311
2,370
4,139
-7,725
2,074
32,168
0
32,168
-12,070
20,098
-27,627
-39,697
87
3,311
-1,016
-6,138
-3,757
-11,286
17,432
6,146
2012
34,976
-1,113
5,761
-7,432
-4,843
27,350
1,083
28,432
-13,404
13,945
-5,961
-19,365
818
6,442
-1,496
-8,008
-2,244
5,741
6,146
11,884
2013
43,565
-2,043
7,108
-8,732
1,559
41,457
906
42,363
-13,893
27,564
-9,416
-23,309
0
-1,534
-2,015
-8,670
-12,219
5,930
11,884
17,814
2014
43,166
-3,455
8,633
-8,942
-2,126
37,277
528
37,805
-10,053
27,224
-7,295
-17,348
1,839
1,465
-2,608
-8,935
-8,239
11,689
17,814
29,504
2015
38,332
-3,723
-9,749
-8,468
15,802
32,195
3,357
35,552
-21,366
10,829
-4,005
-25,371
26
-3,847
-2,419
-9,609
-15,848
-9,024
29,504
20,648
2016E
42,647
9,136
10,414
-12,451
1,803
51,550
0
51,550
-25,000
26,550
-8,082
-33,082
1,437
0
-1,981
-10,473
-11,017
7,451
20,648
28,267
8 August 2015
11

Mahindra & Mahindra
Corporate profile: Mahindra & Mahindra
Company description
M&M is the market leader in UV and tractors, with
market share of over 40% in both segments. It also
has presence into CVs, 3-wheelers and 2-wheelers
segments. Also, Ssangyong, it subsidiary in South
Korea is focused on SUV segment in global markets.
Apart from core auto business, it has subsidiaries/
associates in various businesses like IT, NBFC, Auto
ancillaries, hospitality, infrastructure etc.
Exhibit 23: Sensex rebased
Exhibit 24: Shareholding pattern (%)
Jun-15
Promoter
DII
FII
Others
25.6
22.7
38.6
13.1
Mar-15
25.7
18.4
43.0
12.9
Jun-14
25.3
15.5
44.3
14.9
Exhibit 25: Top holders
Holder Name
Life Insurance Corporation Of India
Dodge And Cox International Stock Fund
Aranda Investments (Mauritius) Pte Ltd
National Westminster Bank Plc As Depositary Of First
Government Of Singapore
% Holding
12.6
2.7
1.9
1.9
1.9
Note: FII Includes depository receipts
Exhibit 26: Top management
Name
Anand G Mahindra
Pawan Goenka
V. S. Parthasarathy
Pravin Shah
Designation
Chairman & Managing Director
Executive Director & President –
Automotive & Farm Equipment
sectors
CFO, Group CIO
Chief Executive – Automotive
Division & International
Operations
Exhibit 27: Directors
Name
Anand G Mahindra
Keshub Mahindra
A K Nanda
Anupam Puri
R K Kulkarni
Bharat Doshi
M M Murugappan
Name
Nadir B Godrej
Deepak S Parekh
Narayanan Vaghul
Vishakha N Desai
Vikram Singh Mehta
Pawan Goenka
S B Mainak
*Independent
Exhibit 28: Auditors
Name
Deloitte Haskins & Sells
N I Mehta
Type
Statutory
Cost Auditor
Exhibit 29: MOSL forecast v/s consensus
EPS
(INR)
FY16
FY17
MOSL
forecast
62.4
78.1
Consensus
forecast
60.5
75.0
Variation
(%)
3.2
4.2
8 August 2015
12

Mahindra & Mahindra
NOTES
8 August 2015
13

This document has been prepared by Motilal Oswal Securities Limited (hereinafter referred to as Most) to provide information about the company(ies) and/sector(s), if any, covered in the report and may be distributed
Mahindra & Mahindra
by it and/or its affiliated company(ies). This report is for personal information of the selected recipient/s and does not construe to be any investment, legal or taxation advice to you. This research report does not
constitute an offer, invitation or inducement to invest in securities or other investments and Motilal Oswal Securities Limited (hereinafter referred as MOSt) is not soliciting any action based upon it. This report is not for
public distribution and has been furnished to you solely for your general information and should not be reproduced or redistributed to any other person in any form. This report does not constitute a personal
recommendation or take into account the particular investment objectives, financial situations, or needs of individual clients. Before acting on any advice or recommendation in this material, investors should consider
whether it is suitable for their particular circumstances and, if necessary, seek professional advice. The price and value of the investments referred to in this material and the income from them may go down as well as
up, and investors may realize losses on any investments. Past performance is not a guide for future performance, future returns are not guaranteed and a loss of original capital may occur.
MOSt and its affiliates are a full-service, integrated investment banking, investment management, brokerage and financing group. We and our affiliates have investment banking and other business relationships with a
some companies covered by our Research Department. Our research professionals may provide input into our investment banking and other business selection processes. Investors should assume that MOSt and/or
its affiliates are seeking or will seek investment banking or other business from the company or companies that are the subject of this material and that the research professionals who were involved in preparing this
material may educate investors on investments in such business. The research professionals responsible for the preparation of this document may interact with trading desk personnel, sales personnel and other
parties for the purpose of gathering, applying and interpreting information. Our research professionals are paid on the profitability of MOSt which may include earnings from investment banking and other business.
MOSt generally prohibits its analysts, persons reporting to analysts, and members of their households from maintaining a financial interest in the securities or derivatives of any companies that the analysts cover.
Additionally, MOSt generally prohibits its analysts and persons reporting to analysts from serving as an officer, director, or advisory board member of any companies that the analysts cover. Our salespeople, traders,
and other professionals or affiliates may provide oral or written market commentary or trading strategies to our clients that reflect opinions that are contrary to the opinions expressed herein, and our proprietary
trading and investing businesses may make investment decisions that are inconsistent with the recommendations expressed herein. In reviewing these materials, you should be aware that any or all of the foregoing
among other things, may give rise to real or potential conflicts of interest. MOSt and its affiliated company(ies), their directors and employees and their relatives may; (a) from time to time, have a long or short position
in, act as principal in, and buy or sell the securities or derivatives thereof of companies mentioned herein. (b) be engaged in any other transaction involving such securities and earn brokerage or other compensation
or act as a market maker in the financial instruments of the company(ies) discussed herein or act as an advisor or lender/borrower to such company(ies) or may have any other potential conflict of interests with
respect to any recommendation and other related information and opinions.; however the same shall have no bearing whatsoever on the specific recommendations made by the analyst(s), as the recommendations
made by the analyst(s) are completely independent of the views of the affiliates of MOSt even though there might exist an inherent conflict of interest in some of the stocks mentioned in the research report
Reports based on technical and derivative analysis center on studying charts company's price movement, outstanding positions and trading volume, as opposed to focusing on a company's fundamentals and, as
such, may not match with a report on a company's fundamental analysis. In addition MOST has different business segments / Divisions with independent research separated by Chinese walls catering to different set
of customers having various objectives, risk profiles, investment horizon, etc, and therefore may at times have different contrary views on stocks sectors and markets.
Unauthorized disclosure, use, dissemination or copying (either whole or partial) of this information, is prohibited. The person accessing this information specifically agrees to exempt MOSt or any of its affiliates or
employees from, any and all responsibility/liability arising from such misuse and agrees not to hold MOSt or any of its affiliates or employees responsible for any such misuse and further agrees to hold MOSt or any of
its affiliates or employees free and harmless from all losses, costs, damages, expenses that may be suffered by the person accessing this information due to any errors and delays. The information contained herein is
based on publicly available data or other sources believed to be reliable. Any statements contained in this report attributed to a third party represent MOSt’s interpretation of the data, information and/or opinions
provided by that third party either publicly or through a subscription service, and such use and interpretation have not been reviewed by the third party. This Report is not intended to be a complete statement or
summary of the securities, markets or developments referred to in the document. While we would endeavor to update the information herein on reasonable basis, MOSt and/or its affiliates are under no obligation to
update the information. Also there may be regulatory, compliance, or other reasons that may prevent MOSt and/or its affiliates from doing so. MOSt or any of its affiliates or employees shall not be in any way
responsible and liable for any loss or damage that may arise to any person from any inadvertent error in the information contained in this report. MOSt or any of its affiliates or employees do not provide, at any time,
any express or implied warranty of any kind, regarding any matter pertaining to this report, including without limitation the implied warranties of merchantability, fitness for a particular purpose, and non-infringement.
The recipients of this report should rely on their own investigations.
This report is intended for distribution to institutional investors. Recipients who are not institutional investors should seek advice of their independent financial advisor prior to taking any investment decision based on
this report or for any necessary explanation of its contents.
Most and it’s associates may have managed or co-managed public offering of securities, may have received compensation for investment banking or merchant banking or brokerage services, may have received any
compensation for products or services other than investment banking or merchant banking or brokerage services from the subject company in the past 12 months.
Most and it’s associates have not received any compensation or other benefits from the subject company or third party in connection with the research report.
Subject Company may have been a client of Most or its associates during twelve months preceding the date of distribution of the research report
MOSt and/or its affiliates and/or employees may have interests/positions, financial or otherwise of over 1 % at the end of the month immediately preceding the date of publication of the research in the securities
mentioned in this report. To enhance transparency, MOSt has incorporated a Disclosure of Interest Statement in this document. This should, however, not be treated as endorsement of the views expressed in the
report.
Motilal Oswal Securities Limited is registered as a Research Analyst under SEBI (Research Analyst) Regulations, 2014. SEBI Reg. No. INH000000412
There are no material disciplinary action that been taken by any regulatory authority impacting equity research analysis activities
Analyst Certification
The views expressed in this research report accurately reflect the personal views of the analyst(s) about the subject securities or issues, and no part of the compensation of the research analyst(s) was, is, or will be
directly or indirectly related to the specific recommendations and views expressed by research analyst(s) in this report. The research analysts, strategists, or research associates principally responsible for preparation
of MOSt research receive compensation based upon various factors, including quality of research, investor client feedback, stock picking, competitive factors and firm revenues
Disclosure of Interest Statement
Analyst ownership of the stock
Served as an officer, director or employee
MAHINDRA & MAHINDRA
No
No
Disclosures
A graph of daily closing prices of securities is available at www.nseindia.com and http://economictimes.indiatimes.com/markets/stocks/stock-quotes
Regional Disclosures (outside India)
For U.S.
This report is not directed or intended for distribution to or use by any person or entity resident in a state, country or any jurisdiction, where such distribution, publication, availability or use would be contrary to law,
regulation or which would subject MOSt & its group companies to registration or licensing requirements within such jurisdictions.
Motilal Oswal Securities Limited (MOSL) is not a registered broker - dealer under the U.S. Securities Exchange Act of 1934, as amended (the"1934 act") and under applicable state laws in the United States. In
addition MOSL is not a registered investment adviser under the U.S. Investment Advisers Act of 1940, as amended (the "Advisers Act" and together with the 1934 Act, the "Acts), and under applicable state laws in the
United States. Accordingly, in the absence of specific exemption under the Acts, any brokerage and investment services provided by MOSL, including the products and services described herein are not available to or
intended for U.S. persons.
This report is intended for distribution only to "Major Institutional Investors" as defined by Rule 15a-6(b)(4) of the Exchange Act and interpretations thereof by SEC (henceforth referred to as "major institutional
investors"). This document must not be acted on or relied on by persons who are not major institutional investors. Any investment or investment activity to which this document relates is only available to major
institutional investors and will be engaged in only with major institutional investors. In reliance on the exemption from registration provided by Rule 15a-6 of the U.S. Securities Exchange Act of 1934, as amended (the
"Exchange Act") and interpretations thereof by the U.S. Securities and Exchange Commission ("SEC") in order to conduct business with Institutional Investors based in the U.S., MOSL has entered into a chaperoning
agreement with a U.S. registered broker-dealer, Motilal Oswal Securities International Private Limited. ("MOSIPL"). Any business interaction pursuant to this report will have to be executed within the provisions of this
chaperoning agreement.
The Research Analysts contributing to the report may not be registered /qualified as research analyst with FINRA. Such research analyst may not be associated persons of the U.S. registered broker-dealer, MOSIPL,
and therefore, may not be subject to NASD rule 2711 and NYSE Rule 472 restrictions on communication with a subject company, public appearances and trading securities held by a research analyst account.
Motilal Oswal Capital Markets Singapore Pte Limited is acting as an exempt financial advisor under section 23(1)(f) of the Financial Advisers Act(FAA) read with regulation 17(1)(d) of the Financial Advisors
Regulations and is a subsidiary of Motilal Oswal Securities Limited in India. This research is distributed in Singapore by Motilal Oswal Capital Markets Singapore Pte Limited and it is only directed in Singapore to
accredited investors, as defined in the Financial Advisers Regulations and the Securities and Futures Act (Chapter 289), as amended from time to time.
In respect of any matter arising from or in connection with the research you could contact the following representatives of Motilal Oswal Capital Markets Singapore Pte Limited:
Kadambari Balachandran
Email : kadambari.balachandran@motilaloswal.com
Contact : (+65) 68189233 / 65249115
Office Address : 21 (Suite 31),16 Collyer Quay,Singapore 04931
For Singapore
Motilal Oswal Securities Ltd
8 August 2015
Motilal Oswal Tower, Level 9, Sayani Road, Prabhadevi, Mumbai 400 025
Phone: +91 22 3982 5500 E-mail: reports@motilaloswal.com
14