Sector Update | 6 November 2015
Financials
Please refer to our on Utilities
dated on 29 October, 2015
Lightening the power sector
“UDAY” - Right combination of carrot and sticks
Union Cabinet has approved a scheme
“UDAY”
(Ujwal DISCOM Assurance Yojna) for
turnaround of financially distressed DISCOMs. If accepted by states (optional as of
now) this will help resolve problem of aggravating SEB debt. Effective implementation
of the “UDAY” scheme is based on the 4 pillars of a) Reduction in cost of power, b)
Improving operational efficiency to reduce AT&C losses, c) Reducing interest cost of
discoms and, d) Enforcing financial discipline through alignment with states. Key
takeaways:
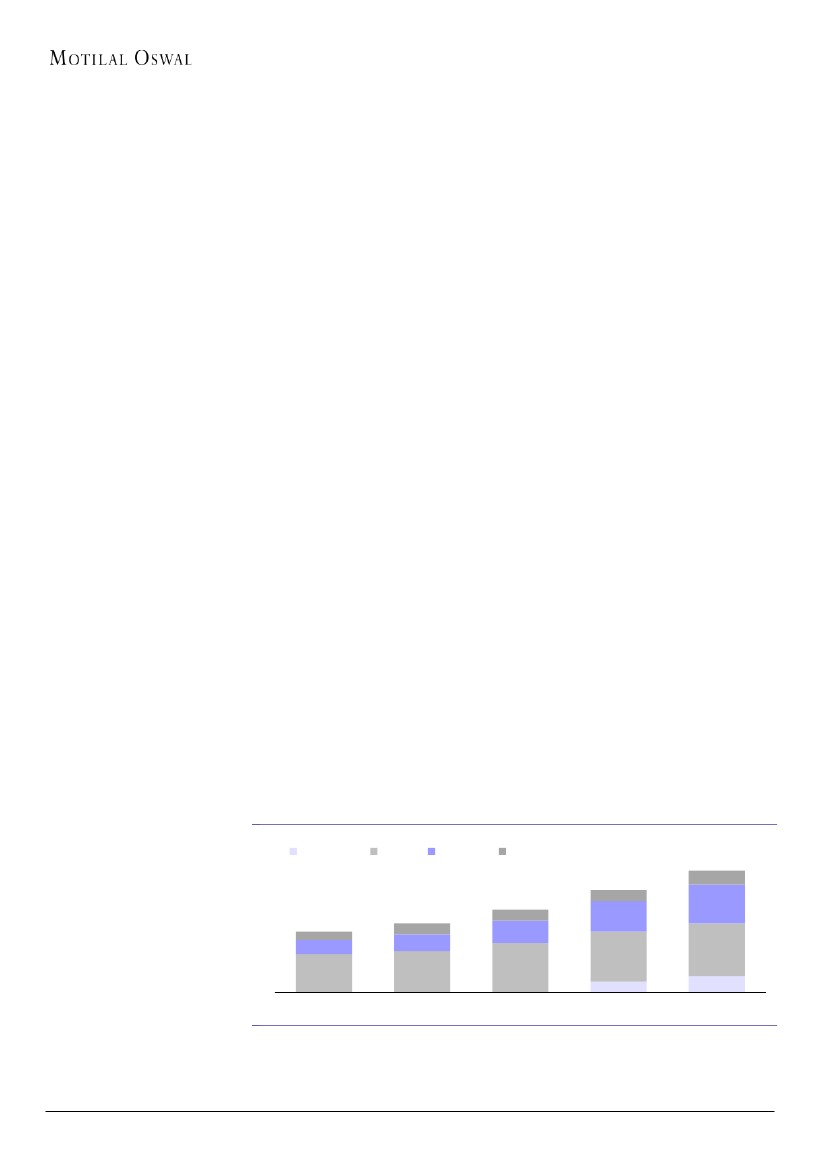
Debt of SEBs has increased to INR4.8t as on September 2015. The scheme’s
proposal of state governments taking over 75% of debt of SEBs by March 2016
and guaranteeing the remaining will significantly reduce cost of borrowing,
improving SEBs financial health. Not allowing bank funding for future losses is a
key measure which, in our view, could force SEBs to reform their operations.
Total debt of Discom has doubled
over FY11-15 (INR t)
FRP bonds
Banks
PFC/REC
State government loans / Others
0.5
0.4
1.4
0.4
1.1
0.4
0.8
0.3
0.6
0.5
1.9
1.8
1.8
1.5
1.4
0.6
0.4
2011
2012
2013
2014
2015
Scheme will lead to ~20bp CET1 release and reduce ~15% of net stress loans for
state owned banks. Expected fall in NIMs will largely be compensated by
reversals of provisions in the first year thus; earnings are unlikely to be impacted
meaningfully. RECL/POWF are likely to be impacted the most as we expect ROEs
to come down to ~16% from ~20%
Within the power sector, we see key beneficiaries to be NTPC (higher PLF), Power
Grid (focus on lower power purchase cost by moving energy through grid than
rail) and JSPL (in the longer-term pit-head power plants).
Within the capital goods space key beneficiaries are Inox Wind and Crompton
Greaves. BHEL, L&T and Thermax would benefit with a revival in orders for power
generation equipment over the medium term. Negative for diesel generator set
suppliers like Cummins India, Kirloskar Oil Engines (as demand declines as power
supply improves).
Success of UDAY lies in willingness on the part of States to reform. With right
combination of carrots and sticks we believe there is a high probability that
States are likely to find themselves pushed into corner to accept UDAY.
Sanjay Jain
(SanjayJain@MotilalOswal.com);
+91 22 3982 5412
Alpesh Mehta
(Alpesh.Mehta@MotilalOswal.com);
+91 22 3982 5415
Nalin Bhatt
(NalinBhatt@MotilalOswal.com);
+91 22 3982 5429
Ankur Sharma
(ankur.vsharma@motilaloswal.com);
+91 22 3982 5449
Proposal to transfer 75% of DISCOM liabilities to states
st
th
DISCOMs total debt of as on 31 March 2015 and 30 Sept 2015 was INR4.3t
and INR4.8t. Under the optional scheme “UDAY”, States shall take over 75% of
DISCOM debt as on 1HFY16 over two years - 50% in FY16 and 25% in FY17.
Remaining 25% of DISCOM debt can be funded by state guaranteed DISCOM
bonds/loans at the prevailing market rates which shall be equal to or less than
bank base rate plus 0.1%. This can bring down the cost of debt from as high as
14-15% to 8-9%.
State government Bonds will have non SLR status and will be priced at 10year G-
Sec+50bp+premium for non SLR status. Thus, it works out to be 8.25-8.5%
Incremental future losses post FY17 will be taken over by states
(5%/10%/25%/50% in FY18/19/20/21 respectively)
States will issue non-SLR (including SDL) bonds, which will not be counted in the
states’ fiscal deficit for FY16 and FY17.
Investors are advised to refer through disclosures made at the end of the Research Report.
Motilal Oswal research is available on
www.motilaloswal.com/Institutional-Equities,
Bloomberg, Thomson Reuters, Factset and S&P Capital.

Financials | Update
Focus on reducing AT&C losses and bridge the gap between ARR and ACS by FY19
DISCOMs will be required to reduce the average AT&C loss from around 22% to
15% and eliminate the gap between Average Revenue Realized (ARR) & Average
Cost of Supply (ACS) by FY19.
Improving operational efficiencies through compulsory smart metering (for 500+
kwh user), up-gradation of transformers, meters etc., energy efficiency
measures like efficient LED bulbs, agricultural pumps, fans & air-conditioners
etc.
In order to reduce the gap between ARR and ACS focus is on reduction of cost of
power by a) lower fuel cost b) Reduction in interest cost of DISCOMs (state
government guarantee and transfer of debt to reduce financial burden
substantially)
Carrots: to get states on board
States accepting UDAY and performing operational milestones will be given
additional funding under DDUGJY, IPDS, PSDF etc to strengthen the grid and
distribution network.
Govt of India (GoI) will support states with additional low cost coal from COAL
and power from NTPC etc.
Increased supply of cheaper domestic coal, coal linkage rationalization, liberal
coal swaps from inefficient to efficient plants, coal price rationalization based on
GCV, supply of washed and crushed coal, and faster completion of transmission
lines.
NTPC alone is expected to save INR0.35 /kwh through higher supply of domestic
coal and rationalization/swapping of coal which will be passed on to DISCOMs /
consumers.
Sticks: Closing the funding tap
While the press release is silent about the additional loss funding to DISCOMs by
banks; Power minister in his media briefing indicated about advising banks to
not fund DISCOM losses and be prudent in lending. Majority of the SEB losses
are funded through state owned banks and entities.
Non-performance will result in forfeiting of benefits under DDUGJY (INR756b)
and IPDS (INR326b)
Exhibit 1: Total debt of Discom has doubled over FY11-15 (INR t)
FRP bonds
Banks
PFC/REC
State government loans / Others
0.5
0.4
0.3
0.5
1.4
2011
0.4
0.6
1.5
2012
0.4
0.8
1.8
2013
1.1
1.8
0.4
2014
1.4
1.9
0.6
2015
Source: MOSL, CRISIL
6 November 2015
2

Financials | Update
Impact on Financials Sector
Positive for Public Sector Banks; Negative for POWF/REC
PSBs: CET1 release of ~20bp | NSL decline of ~15% | Provision reversal to partly
compensate for NIMs
Restructured SEB loans currently carry a risk weight of 125% and when converted
into state bonds will be zero risk weighted. This will release ~3% of the CET1 capital
(~20bp) for PSBs. Reduction in the coupon rate will have impact on NIMs (~6bp of
avg. assets) however, reversal of standard restructured loans related provision
(~3bp) will compensate for the same. Earnings benefit is available for 1
st
year
however; if banks decide keep these bonds on the balance sheet then it will be
earnings dilutive (5-6% of earnings assuming no MTM gains on the bonds). Further,
restructured SEB loans will reduce NSL by ~15% (~2% of loans). Overall we believe
this is positive for the state owned banks as it will reduce the overhang from the
balance sheet and release much needed capital.
Exhibit 2: Capital release in PSU banks
Capital
Capital
% of
% of
% of SEB % of
% of
Current
Exp. Tier
INR b
INR b
INR b
% of NSL Current Revised
Release
loans
loans
exp.
loans
OSRL
Tier I (%)
I (%)
(bps)
CBK
639
20%
263
8.16%
65
25%
2%
28%
20%
10.0%
8.5%
8.6%
20
8.8%
INBK
238
19%
96
7.64%
41
43%
3%
41%
31%
10.6%
8.1%
10.4%
55
10.9%
OBC
345
23%
72
4.80%
55
77%
4%
39%
29%
12.8% 10.1%
8.6%
35
8.9%
UNBK
388
15%
100
3.91%
60
60%
2%
42%
27%
8.5%
6.8%
7.2%
21
7.4%
BOI
483
13%
155
3.90%
38
26%
1%
20%
11%
9.2%
8.4%
7.2%
9
7.3%
ANDB
199
16%
47
3.70%
38
81%
3%
26%
21%
14.5% 12.3%
7.3%
27
7.6%
PNB
638
17%
107
2.80%
57
54%
2%
14%
10%
14.5% 13.4%
8.6%
15
8.8%
BOB
357
9%
65
1.60%
29
44%
1%
11%
8%
8.3%
7.8%
8.9%
8
8.9%
SBIN
1,719
13%
118
0.90%
39
33%
0%
7%
5%
6.4%
6.2%
9.6%
4
9.6%
Note: We assume all restructured SEB exposure would be converted under 'UDAY'
Note: For revised NSL, we assume 75% reduction of SEB restructured loans within NSL
Source: MOSL, Company
Power
SEB Exposure
SEB Restructured
NSL (%)
Exhibit 3: SEB exposure of PSU banks
INR b
SBIN
PNB
CBK
BOB
BOI
UNBK
INBK
ANDB
OBC
IOB
CBOI
VJYBK
CRPBK
ALBK
SNDB
DBNK
PSBs
Infra
1,719
638
639
357
483
388
238
199
345
287
410
234
254
254
255
159
7,407
% of loans
13.1%
16.7%
19.8%
8.7%
12.6%
15.2%
19.0%
15.8%
23.0%
16.4%
21.2%
27.6%
18.1%
16.8%
12.6%
20.4%
15.8%
Power
1,077
373
449
192
334
220
156
140
214
173
270
158
140
139
170
100
4,455
% of loans
8.2%
9.8%
13.9%
4.7%
8.7%
8.6%
12.5%
11.1%
14.3%
9.9%
14.0%
18.6%
10.0%
9.2%
8.4%
12.8%
9.5%
SEB Exp.
118
107
263
65
155
100
96
47
72
72
183
74
39
51
116
73
1,558
% of loans
0.9%
2.8%
8.2%
1.6%
4.0%
3.9%
7.6%
3.7%
4.8%
4.1%
9.5%
8.7%
2.8%
3.4%
5.7%
9.3%
3.3%
SEB Rest.
39
57
65
29
38
60
41
38
55
17
143
25
24
32
43
37
705
% of SEB exp. % of loans
33.3%
0.3%
53.6%
1.5%
24.6%
2.0%
43.8%
0.7%
24.8%
1.0%
59.8%
2.3%
43.0%
3.3%
81.1%
3.0%
76.7%
3.7%
23.6%
1.0%
77.9%
7.4%
33.3%
2.9%
60.7%
1.7%
61.8%
2.1%
36.8%
2.1%
51.6%
4.8%
45.2%
1.5%
Source: MOSL, Company
6 November 2015
3

Financials | Update
POWF/RECL to be negatively impacted; sustainable ROEs to come down
With the expected improvement in DISCOM health, yield on loans are expected to
decline sharply. Further, as per CRISIL discom debt of these entities contributes
~30% of combined debt (INR1.4tr). Of the combined debt we assume 50% is for
project related/Capex purposes and of the rest given as a transitional
finance/funding for cash losses. Our back of the envelope calculation suggest that
overall spreads are likely to decline by ~70bps (assuming conversion to bonds and
rest of the loans spreads to decline to ~2%). Currently RECL/POWF are making a
spread of ~3.7% which in our view can come down to ~2.6% and NIMs can come
down to ~4% from ~5.2% on a sustainable basis (assuming 20% private loans with a
spread of ~3%). ROAs are likely to decline to ~2.3% and with a leverage of 7x ROEs
can be ~16% (down from ~20% currently)
Exhibit 4: Expect INR22b of PAT losses for combined RECL and POWF (~15% of FY17 PAT)
Total Loans (REC/PFC)
INR4.3t
T&D
INR1.4t
Genco
INR2.9t
Capex related project
finance ~INR700b
Transitional / operational loss funding
~INR700b
Expect spread of 2% (v/s 3.7%
blended reported now)
To be converted into bonds
(75%) leading to spread loss of
3.7% (blended)
Expect spread of 2% (v/s 3.7%
blended reported now)
Source: Company, MOSL
Exhibit 5: POWF and RECL- Return ratios likely to decline
1.2
3.1
0.4
20.6
2.2
15.7
Current RoA
Impact on
margin
Impact of
taxation
Est. RoA
Current
RoE*
Revised
RoE*
Source: MOSL
*Assuming similar leverage of 7x; and 20% share of private loans
6 November 2015
4

Financials | Update
Impact on Power Sector
NTPC and PGCIL key beneficiaries
We believe that key reasons behind poor financials of DISCOMS is both high
ACS, low ARR (function of tariff, AT&C loss etc.) and debt due to accumulated
financial losses. We have discussed the key issues in our recent report “Second
FRP in three years; Will it work this time?”
Click here to access detailed report
UDAY has laid down clear path for de-stressing balance sheet of DISCOMs. But,
this will not be enough to bridge the gap (ARR-ACS) for DISCOMs in Rajasthan,
Tamil Nadu, UP and MP among the larger states as evident from following
exhibit.
Success of UDAY lies in willingness on the part of States to reform. UDAY has
right combination of carrots and sticks.
We believe that there is very little headroom to increase tariffs for high paying
consumers without losing them. As the banks stop lending further to fund
losses, DISCOMs and States will be compelled to improve ARR by reducing AT&C
losses. States may find it difficult to avoid benefits under DDUGJY and IPDS.
There is very high probability that states are likely to find themselves pushed
into corner to accept UDAY.
Exhibit 6: SEBs interest, depreciation and revenue gap - INR/kWh
4.00
3.00
2.00
1.00
0.00
Bihar, Haryana,
Punjab are
operationally okay
with subsidy but gaps
due to debt
0.3
0.6
0.8
Interest
Dep.
Gap w.r.t. cost
Rajasthan has highest
interest cost
0.4
0.4
0.6
0.7
1.5
0.9
0.7
Source: MOSL, PFC
NTPC and PWGR are likely beneficiary
If States do accept UDAY, we are likely to see efficient Gencos like NTPC (better
PLF), Transco’s like PWGR (more investment in long distance transmission lines
bet” low cost fuel and demand centers) and low cost coal supplier like COAL
(Coal India) benefiting gradually.
Price rationalization based on GCV will ultimately benefit COAL as it will narrow
the gap between low grade and high grade coal. Also, COAL will have to
rationalize production between low cost and high cost mining because
inefficient subsidiaries/mines will report losses.
Among the private players, we expect pit head power plants e.g. Jindal power
are better placed and will be able to tie up their open capacities ahead of
others.
6 November 2015
5

Financials | Update
Impact on Capital Goods Sector
Successful implementation of “UDAY” to resuscitate T&D Equipment/EPC
supplier value chain; Power Generation equipment orders to wait
Distribution sector losses bane for the sector:
High and non -sustainable
distribution sector loses have been the primary reason behind subdued
demand for power from discoms. This in turn has negatively affected capex
plans of generation, transmission and distribution utilities and in turn impacted
demand for the entire value chain of companies in the equipment supply/EPC
in the Power generation and T&D sector. A successful implementation of the
‘UDAY”’ programme which intends to eliminate discoms losses by FY19 would
help revive demand for the entire value chain. However, given the over-
capacity in generation and poor financial health of private IPP’s, we expect an
improvement in orders for power generation equipment suppliers to happen
over the medium term.
Key BUY ideas:
In our coverage space, key beneficiaries are Inox Wind and
Crompton Greaves while BHEL, L&T and Thermax would benefit with a revival
in orders for power generation equipment over the medium term.
Negative for Diesel Generator set suppliers:
A meaningful reduction in AT&C
losses and an improvement in power supply would be a negative for Diesel
generator set suppliers as power deficits drop in the true sense – currently
deficits are low since SEB’s resort to power cuts as they lack funds to buy power
and also restrict supplies to areas where the cost recovery is low. Once AT&C
losses reduced, the improved reliability of power supply would result in a drop
in diesel generator demand which is a medium term negative for players like
Cummins India, Kirloskar Oil Engines.
Exhibit 7: Key beneficiaries in the listed space to benefit from the proposed “UDAY” scheme
Key Measures proposed
Improving operational efficiency to
reduce AT&C losses
- Compulsory Smart Metering
- Up gradation of Transformers and
substations
Energy efficiency measures to reduce :
- LEDs
- Agricultural pumps
- Fans
- Air-conditioners
Reduction of Cost of Power
- Better Transmission connectivity to
reduce cost of power
Renewable Purchase
Obligation (RPO) outstanding since
Apr, 2012 complied
Will ensure efficient and reliable grid connectivity
Will ensure implementation of RPO norms and higher
procurement of power from renewable Energy by
discoms
Inox Wind, Suzlon Energy, ABB India,
Source: MOSL, Company
6
KEC International, Kalpataru Power, L&T,
Skipper, Techno Electric
This will ensure better utilization of the power
generated and significant energy saving
Havells, Bajaj Electricals, Eveready, Surya Roshni
KSP Pumps, Crompton Greaves ,ABB
Crompton Greaves, Havells, Bajaj Electricals
Voltas, Blue star, Hitachi
This will ensure reduction of AT&C losses through
faster implementation of IPDS Scheme and Deendayal
Upadhyaya Gram Jyoti Yojana.
Schneider Electric, ABB, Siemens, Crompton
Greaves
Voltamp, Indo tech, TRIL, ABB, EMCO, Schneider
Electric, BHEL, KEC International
Impact
Beneficiary Companies
6 November 2015

REPORT GALLERY
STRATEGIES
COMPANIES
SECTOR UPDATES

This document has been prepared by Motilal Oswal Securities Limited (hereinafter referred to as Most) to provide information about the company(ies) and/sector(s), if any, covered in the report and may be distributed by it and/or its
affiliated company(ies). This report is for personal information of the selected recipient/s and does not construe to be any investment, legal or taxation advice to you. This research report does not constitute an offer, invitation or
Financials | Update
inducement to invest in securities or other investments and Motilal Oswal Securities Limited (hereinafter referred as MOSt) is not soliciting any action based upon it. This report is not for public distribution and has been furnished to
you solely for your general information and should not be reproduced or redistributed to any other person in any form. This report does not constitute a personal recommendation or take into account the particular investment
objectives, financial situations, or needs of individual clients. Before acting on any advice or recommendation in this material, investors should consider whether it is suitable for their particular circumstances and, if necessary, seek
professional advice. The price and value of the investments referred to in this material and the income from them may go down as well as up, and investors may realize losses on any investments. Past performance is not a guide for
future performance, future returns are not guaranteed and a loss of original capital may occur.
MOSt and its affiliates are a full-service, integrated investment banking, investment management, brokerage and financing group. We and our affiliates have investment banking and other business relationships with a some
companies covered by our Research Department. Our research professionals may provide input into our investment banking and other business selection processes. Investors should assume that MOSt and/or its affiliates are
seeking or will seek investment banking or other business from the company or companies that are the subject of this material and that the research professionals who were involved in preparing this material may educate investors
on investments in such business. The research professionals responsible for the preparation of this document may interact with trading desk personnel, sales personnel and other parties for the purpose of gathering, applying and
interpreting information. Our research professionals are paid on the profitability of MOSt which may include earnings from investment banking and other business.
MOSt generally prohibits its analysts, persons reporting to analysts, and members of their households from maintaining a financial interest in the securities or derivatives of any companies that the analysts cover. Additionally, MOSt
generally prohibits its analysts and persons reporting to analysts from serving as an officer, director, or advisory board member of any companies that the analysts cover. Our salespeople, traders, and other professionals or affiliates
may provide oral or written market commentary or trading strategies to our clients that reflect opinions that are contrary to the opinions expressed herein, and our proprietary trading and investing businesses may make investment
decisions that are inconsistent with the recommendations expressed herein. In reviewing these materials, you should be aware that any or all of the foregoing among other things, may give rise to real or potential conflicts of interest.
MOSt and its affiliated company(ies), their directors and employees and their relatives may; (a) from time to time, have a long or short position in, act as principal in, and buy or sell the securities or derivatives thereof of companies
mentioned herein. (b) be engaged in any other transaction involving such securities and earn brokerage or other compensation or act as a market maker in the financial instruments of the company(ies) discussed herein or act as an
advisor or lender/borrower to such company(ies) or may have any other potential conflict of interests with respect to any recommendation and other related information and opinions.; however the same shall have no bearing
whatsoever on the specific recommendations made by the analyst(s), as the recommendations made by the analyst(s) are completely independent of the views of the affiliates of MOSt even though there might exist an inherent
conflict of interest in some of the stocks mentioned in the research report
Reports based on technical and derivative analysis center on studying charts company's price movement, outstanding positions and trading volume, as opposed to focusing on a company's fundamentals and, as such, may not match
with a report on a company's fundamental analysis. In addition MOST has different business segments / Divisions with independent research separated by Chinese walls catering to different set of customers having various
objectives, risk profiles, investment horizon, etc, and therefore may at times have different contrary views on stocks sectors and markets.
Unauthorized disclosure, use, dissemination or copying (either whole or partial) of this information, is prohibited. The person accessing this information specifically agrees to exempt MOSt or any of its affiliates or employees from, any
and all responsibility/liability arising from such misuse and agrees not to hold MOSt or any of its affiliates or employees responsible for any such misuse and further agrees to hold MOSt or any of its affiliates or employees free and
harmless from all losses, costs, damages, expenses that may be suffered by the person accessing this information due to any errors and delays. The information contained herein is based on publicly available data or other sources
believed to be reliable. Any statements contained in this report attributed to a third party represent MOSt’s interpretation of the data, information and/or opinions provided by that third party either publicly or through a subscription
service, and such use and interpretation have not been reviewed by the third party. This Report is not intended to be a complete statement or summary of the securities, markets or developments referred to in the document. While we
would endeavor to update the information herein on reasonable basis, MOSt and/or its affiliates are under no obligation to update the information. Also there may be regulatory, compliance, or other reasons that may prevent MOSt
and/or its affiliates from doing so. MOSt or any of its affiliates or employees shall not be in any way responsible and liable for any loss or damage that may arise to any person from any inadvertent error in the information contained in
this report. MOSt or any of its affiliates or employees do not provide, at any time, any express or implied warranty of any kind, regarding any matter pertaining to this report, including without limitation the implied warranties of
merchantability, fitness for a particular purpose, and non-infringement. The recipients of this report should rely on their own investigations.
This report is intended for distribution to institutional investors. Recipients who are not institutional investors should seek advice of their independent financial advisor prior to taking any investment decision based on this report or for
any necessary explanation of its contents.
Most and it’s associates may have managed or co-managed public offering of securities, may have received compensation for investment banking or merchant banking or brokerage services, may have received any compensation for
products or services other than investment banking or merchant banking or brokerage services from the subject company in the past 12 months.
Most and it’s associates have not received any compensation or other benefits from the subject company or third party in connection with the research report.
Subject Company may have been a client of Most or its associates during twelve months preceding the date of distribution of the research report
MOSt and/or its affiliates and/or employees may have interests/positions, financial or otherwise of over 1 % at the end of the month immediately preceding the date of publication of the research in the securities mentioned in this
report. To enhance transparency, MOSt has incorporated a Disclosure of Interest Statement in this document. This should, however, not be treated as endorsement of the views expressed in the report.
Motilal Oswal Securities Limited is registered as a Research Analyst under SEBI (Research Analyst) Regulations, 2014. SEBI Reg. No. INH000000412
There are no material disciplinary action that been taken by any regulatory authority impacting equity research analysis activities
The views expressed in this research report accurately reflect the personal views of the analyst(s) about the subject securities or issues, and no part of the compensation of the research analyst(s) was, is, or will be directly or
indirectly related to the specific recommendations and views expressed by research analyst(s) in this report. The research analysts, strategists, or research associates principally responsible for preparation of MOSt research receive
compensation based upon various factors, including quality of research, investor client feedback, stock picking, competitive factors and firm revenues
Disclosures
Analyst Certification
Disclosure of Interest Statement
Analyst ownership of the stock
Companies where there is interest
No
A graph of daily closing prices of securities is available at www.nseindia.com and http://economictimes.indiatimes.com/markets/stocks/stock-quotes
Regional Disclosures (outside India)
For U.S.
This report is not directed or intended for distribution to or use by any person or entity resident in a state, country or any jurisdiction, where such distribution, publication, availability or use would be contrary to law, regulation or which
would subject MOSt & its group companies to registration or licensing requirements within such jurisdictions.
Motilal Oswal Securities Limited (MOSL) is not a registered broker - dealer under the U.S. Securities Exchange Act of 1934, as amended (the"1934 act") and under applicable state laws in the United States. In addition MOSL is not a
registered investment adviser under the U.S. Investment Advisers Act of 1940, as amended (the "Advisers Act" and together with the 1934 Act, the "Acts), and under applicable state laws in the United States. Accordingly, in the
absence of specific exemption under the Acts, any brokerage and investment services provided by MOSL, including the products and services described herein are not available to or intended for U.S. persons.
This report is intended for distribution only to "Major Institutional Investors" as defined by Rule 15a-6(b)(4) of the Exchange Act and interpretations thereof by SEC (henceforth referred to as "major institutional investors"). This
document must not be acted on or relied on by persons who are not major institutional investors. Any investment or investment activity to which this document relates is only available to major institutional investors and will be
engaged in only with major institutional investors. In reliance on the exemption from registration provided by Rule 15a-6 of the U.S. Securities Exchange Act of 1934, as amended (the "Exchange Act") and interpretations thereof by
the U.S. Securities and Exchange Commission ("SEC") in order to conduct business with Institutional Investors based in the U.S., MOSL has entered into a chaperoning agreement with a U.S. registered broker-dealer, Motilal Oswal
Securities International Private Limited. ("MOSIPL"). Any business interaction pursuant to this report will have to be executed within the provisions of this chaperoning agreement.
The Research Analysts contributing to the report may not be registered /qualified as research analyst with FINRA. Such research analyst may not be associated persons of the U.S. registered broker-dealer, MOSIPL, and therefore,
may not be subject to NASD rule 2711 and NYSE Rule 472 restrictions on communication with a subject company, public appearances and trading securities held by a research analyst account.
For Hong Kong:
This report is distributed in Hong Kong by Motilal Oswal capital Markets (Hong Kong) Private Limited, a licensed corporation (CE AYY-301) licensed and regulated by the Hong Kong Securities and Futures Commission (SFC)
pursuant to the Securities and Futures Ordinance (Chapter 571 of the Laws of Hong Kong) “SFO”. As per SEBI (Research Analyst Regulations) 2014 Motilal Oswal Securities (SEBI Reg No. INH000000412) has an agreement with
Motilal Oswal capital Markets (Hong Kong) Private Limited for distribution of research report in Kong Kong. This report is intended for distribution only to “Professional Investors” as defined in Part I of Schedule 1 to SFO. Any
investment or investment activity to which this document relates is only available to professional investor and will be engaged only with professional investors.”
Nothing here is an offer or solicitation of these securities, products and services in any jurisdiction where their offer or sale is not qualified or exempt from registration. The Indian Analyst(s) who compile this report is/are not located in
Hong Kong & are not conducting Research Analysis in Hong Kong.
Motilal Oswal Capital Markets Singapore Pte Limited is acting as an exempt financial advisor under section 23(1)(f) of the Financial Advisers Act(FAA) read with regulation 17(1)(d) of the Financial Advisors Regulations and is a
subsidiary of Motilal Oswal Securities Limited in India. This research is distributed in Singapore by Motilal Oswal Capital Markets Singapore Pte Limited and it is only directed in Singapore to accredited investors, as defined in the
Financial Advisers Regulations and the Securities and Futures Act (Chapter 289), as amended from time to time.
In respect of any matter arising from or in connection with the research you could contact the following representatives of Motilal Oswal Capital Markets Singapore Pte Limited:
Kadambari Balachandran
Email : kadambari.balachandran@motilaloswal.com
Contact : (+65) 68189233 / 65249115
Office Address : 21 (Suite 31),16 Collyer Quay,Singapore 04931
For Singapore
Motilal Oswal Securities Ltd
6 November 2015
Motilal Oswal Tower, Level 9, Sayani Road, Prabhadevi, Mumbai 400 025
Phone: +91 22 3982 5500 E-mail: reports@motilaloswal.com
7