Thematic Study | December 2015
20TH ANNUAL WEALTH CREATION STUDY
(2010-2015)
Mid-to-Mega
The power of industry leadership in Wealth Creation
HIGHLIGHTS
Value Migration is increasingly becoming the key driver
of rapid Wealth Creation.
Industry leadership is a necessary pre-requisite to be
a megacorp.
Market cap rank is a powerful tool to assess a company's
current standing and the roadmap ahead.
Mid-to-Mega marks a big change in ranks, driven by the
lollapalooza effect of MQGLP (Mid-size, Quality, Growth,
Longevity and Price).
"I've been searching for lollapalooza results all my life, so I'm very interested
in models that explain their occurrence … Really big effects, lollapalooza effects,
will often come only from large combinations of factors."
– Charlie Munger
TOP 10 WEALTH CREATORS (2010-2015)
THE BIGGEST
Wealth
Rank Company
Created
(INR b)
1 TCS
3,458
2 ITC
1,565
3 HDFC Bank
1,540
4 Sun Pharma
1,405
5 Hindustan Unilever
1,374
6 HCL Tech
1,130
7 HDFC
1,241
8 Tata Motors
1,071
9 Infosys
1,048
10 Axis Bank
774
THE FASTEST
5-Year
Company
Price
CAGR (%)
Ajanta Pharma
119
Symphony
108
Eicher Motors
90
P I Industries
85
Page Industries
77
Wockhardt
68
Bajaj Finance
68
GRUH Finance
62
Blue Dart Express
59
Amara Raja Batteries
59
THE MOST CONSISTENT
Company
Titan Company
Sun Pharma
Asian Paints
Kotak Mahindra
Dabur India
Bosch
Axis Bank
Cummins India
Nestle India
M&M
Appeared
in WC
Study (x)
10
10
10
10
10
10
10
10
10
10
10-Year
Price
CAGR (%)
43
36
35
34
31
29
28
27
27
25
Raamdeo Agrawal
(Raamdeo@MotilalOswal.com) /
Shrinath Mithanthaya
(ShrinathM@MotilalOswal.com)
We thank Mr Dhruv Mehta (Dhruv.Mehta@dhruvmehta.in), Investment Consultant, for his invaluable contribution to this report.
Investors are advised to refer through important disclosures made at the last page of the Research Report.

20th Annual Wealth Creation Study (2010-2015)
Motilal Oswal 20th Annual Wealth Creation Study
Page
Wealth Creation Study: Objective, Concept & Methodology
....................... 1
Wealth Creation 2010-15: Findings Summary
............................................ 2-3
Theme 2016: Mid-to-Mega
....................................................................... 4-27
Market Outlook
....................................................................................... 28-31
Wealth Creation 2010-15: Detailed Findings
......................................... 32-43
Appendix I: MOSL 100 – Biggest Wealth Creators
................................. 44-45
Appendix II: MOSL 100 – Fastest Wealth Creators
................................ 46-47
Appendix III: MOSL 100 – Wealth Creators (alphabetical)
......................... 48
20 Annual Wealth Creation Studies – Highlights & Insights
....................... i-vi
Abbreviations and Terms used in this report
Description
Reference to years for India are financial year ending March, unless otherwise stated
Average
Compound Annual Growth Rate
Loss to Profit / Profit to Loss. In such cases, calculation of PAT CAGR is not possible
Indian Rupees in billion
In the case of aggregates, Price CAGR refers to Market Cap CAGR
Wealth Created
Increase in Market Capitalization over the last 5 years, duly adjusted for corporate
events such as fresh equity issuance, mergers, demergers, share buybacks, etc.
Note:
Capitaline database has been used for this study. Source of all exhibits is MOSL analysis, unless otherwise stated
Abbreviation / Term
2005, 2010, 2015, etc
Avg
CAGR
L to P / P to L
INR b
Price CAGR
WC
Wealth Created

20th Annual Wealth Creation Study (2010-2015)
Wealth Creation Study
Objective
Objective, Concept & Methodology
The foundation of Wealth Creation is to buy businesses at a price substantially lower than their
"intrinsic value" or "expected value". The lower the market value compared to the intrinsic
value, the higher is the margin of safety. Every year for the past 19 years, we endeavor to cull
out the characteristics of businesses that create value for their shareholders.
As Phil Fisher says, "It
seems logical that even before thinking of buying any common stock, the
first step is to see how money has been most successfully made in the past."
Our Wealth
Creation studies are attempts to study the past as a guide to the future, and gain insights into
the various dynamics of stock market investing.
Concept & Methodology
Wealth Creation is the process by which a company enhances the market value of the capital
entrusted to it by its shareholders. It is a basic measure of success for any commercial venture.
For listed companies, we define Wealth Created as the difference in market capitalization over
a period of last five years, after adjusting for equity dilution.
We rank the top 100 companies in descending order of absolute Wealth Created,
subject to the
company's stock price at least outperforming the benchmark index (BSE Sensex in our case).
These top 100 Wealth Creators are also ranked according to speed (i.e. price CAGR during the
period under study). The biggest Wealth Creators are listed in Appendix I (pages 44-45) and the
fastest in Appendix II (pages 46-47).
The table below shows companies which missed out on the top 100 Wealth Creators list due to
their stock underperforming the Sensex.
Exhibit 1
Market Outperformance Filter (Sensex CAGR over 2010-15 was 9.8%)
Who missed the Wealth Creators list …
WC
Price
Normal
Company
(INR b) CAGR (%) Rank*
L&T
60,307
9.7
16
Wipro
SBI
Bharti Airtel
ONGC
Power Grid
IOC
Hindustan Zinc
Hero MotoCorp
Bharat Electronics
ABB
Rural Elec. Corp.
52,785
46,411
32,170
27,544
21,847
17,372
17,127
13,980
9,254
9,043
8,170
8.2
5.1
4.8
2.2
6.3
4.4
6.1
6.3
8.9
8.7
5.9
18
20
32
38
47
58
59
71
94
95
100
… and who made it
Company
Kansai Nerolac
GRUH Finance
AIA Engineering
Supreme Inds
P I Inds
Bajaj Holdings
Jubilant Food
Alstom T&D
Whirlpool India
Petronet LNG
Info Edge (India)
Godrej Inds
WC
Price
(INR b) CAGR (%)
8,161
27
8,036
7,985
7,858
7,841
7,809
7,690
7,322
7,291
7,159
6,981
6,763
62
26
50
85
16
36
14
36
18
31
20
Rank
89
90
91
92
93
94
95
96
97
98
99
100
* If the stock had outperformed the Sensex
11 December 2015
1

20th Annual Wealth Creation Study (2010-2015)
Wealth Creation 2010-2015
Findings Summary
TCS is the Biggest Wealth Creator for the third time in a row
TCS
has emerged as the biggest Wealth Creator for the period 2010-15, retaining the top
spot it held even in the previous two study periods (2009-14 and 2008-13).
ITC
and
HDFC Bank
have also retained their No.2 and No.3 position for the third year in
succession.
Exhibit 2
TCS the biggest Wealth Creator for the third year in a row
Top Wealth Creators over the years
(INR b)
TCS (3)
Reliance Industries (5)
3,077
2,556
ONGC (3)
Hindustan Unilever
1,247
(HUL) (4)
Wipro
HUL
Wipro
(2)
1,030 1,065
3,638
3,458
1,856
1,514
1,742
ITC
2284
1,678
1,187
91
73
262 341
377 383
245
Ajanta is the Fastest Wealth Creator
Ajanta Pharma
emerged as the Fastest Wealth Creator during 2010-15, with Price CAGR of
119%, followed by
Symphony
at 108%.
Eicher Motors
and
Page Industries
are among the top 10 Fastest Wealth Creators for the
last 4 studies.
The base market cap of all these stocks in 2010 was less than INR 20 billion, including 5 of
them in single-digit billion.
Exhibit 3
History of Fastest Wealth Creators (5-year Price multiplier, x)
837
665
223
30
7
23
75
66
69
50
75
136
182
54
28
50
24
28
27
50
11 December 2015
2

20th Annual Wealth Creation Study (2010-2015)
Titan Industries is the Most Consistent Wealth Creator
Titan Industries
is the Most Consistent Wealth Creator over 2005-15, by virtue of:
(1) Appearing among top 100 Wealth Creators in each of the last 10 studies; and
(2) Highest 10-year Price CAGR of 43%, ahead of
Sun Pharma
(36%) and
Asian Paints
(35%).
8 of the top 10 Most Consistent Wealth Creators are consumer-facing companies, with
Bosch
and
Cummins India
the only exceptions.
Consumer/Retail re-emerges as the largest ever Wealth Creating sector
After losing its top spot to Technology sector during 2009-14,
Consumer/Retail
has
re-emerged as India’s biggest Wealth Creating sector over 2010-2015.
Exhibit 4
Consumer/Retail is the leading Wealth Creating sector, led by P/E re-rating (flight to safety)
Sector
(No of companies)
Consumer/Retail (25)
Financials (17)
Technology (6)
Auto (14)
Healthcare (14)
Cement (5)
Capital Goods (5)
Telecom/Media (2)
Oil & Gas (3)
Others (9)
Total
WC Share of WC % CAGR 10-15, %
(INR b)
2015
2010
Price
PAT
7,519
22
7
28
16
6,712
20
15
23
21
6,170
18
10
23
23
4,914
14
5
29
21
4,481
13
4
31
29
1,337
4
2
21
-2
681
2
10
19
8
613
2
3
24
21
580
2
17
22
15
1,226
4
28
23
18
34,233
100
100
25
19
P/E, x
2015
2010
44
28
21
20
23
22
23
17
33
30
32
11
51
31
24
21
13
10
33
27
27
21
ROE, %
2015
2010
28
29
16
14
30
30
20
25
21
17
11
24
19
24
16
10
17
12
19
19
20
20
Commodity collapse drives up Wealth Destruction
The total Wealth Destroyed during 2010-15 is INR 14.6 trillion, 43% of the total Wealth
Created by top 100 companies. This is a significant jump from the previous 5-year period.
8 of the top 10 Wealth Destroying companies are engaged in global commodity business.
The only exceptions are
BHEL
and
NTPC.
6 of the top 10 Wealth Destroyers are public sector companies.
Exhibit 5
Global commodity companies top Wealth Destroyers list
Company
Wealth Destroyed
INR b
% Share
1,522
820
758
651
593
505
492
435
427
293
6,494
14,654
10
6
5
4
4
3
3
3
3
2
44
100
Price
CAGR (%)
-50
-5
-23
-15
-13
-26
-7
-35
-17
-13
Exhibit 6
Usual suspects at the sector level too
Sector
Metals / Mining
Utilities
Constn / Real Estate
Capital Goods
Oil & Gas
Banking & Finance
Telecom
Technology
Textiles
Chemicals & Fertilizers
Others
Total
Wealth
Destroyed
(INR b)
3,866
1,905
1,371
1,165
1,106
873
466
442
322
210
2,927
14,654
%
Share
26
13
9
8
8
6
3
3
2
1
20
100
MMTC
Reliance Industries
SAIL
NMDC
BHEL
Jindal Steel
NTPC
Hindustan Copper
Vedanta
Tata Steel
Total of Above
Total Wealth Destroyed
For detailed findings, please see pages 32-42.
11 December 2015
3

20th Annual Wealth Creation Study (2010-2015)
Theme 2016
11 December 2015
4

20th Annual Wealth Creation Study (2010-2015)
Mid-to-Mega
The power of industry leadership in Wealth Creation
Preamble
100x v/s Mid-to-Mega
In our 19th Annual Wealth Creation Study last year, we studied
the idea of
100x
i.e. stocks which rose 100-fold from the purchase
price within 20 years.
The study, while insightful, also suggests some difficulties of
100x
stock picking:
100x ideas are few and far between
– we came across only
47 enduring 100x stocks over 20 years, 1994 to 2014. Hence,
creating a full portfolio of 100x stocks is a challenge.
100x returns are very aspirational and somewhat theoretical
– The average time taken for stocks to rise 100 times turned out to be 12 years, translating
into a return CAGR of 47%. To enjoy such high returns over a long period requires high level
of patience, which is rare among investors.
We believe the current study –
Mid-to-Mega
– is more practical:
The number of
Mid-to-Mega
ideas is higher at an 9-12 every year; and
Similar to the
100x
study, the possible returns are high, but achievable within a much
more realistic time window of 5 years.
We hope readers will practice one or both of the methodologies and create significant
wealth from investing in equities.
1. Summary
The MQGLP lollapalooza
1.1 Definitions
We classify stocks as Mega, Mid and Mini based on market cap ranks. Mega are the top 100
stocks, Mid the next 200 and Mini all others.
1.2 What is Mid-to-Mega
Mid-to-Mega
stands for a company’s stock crossing over from the Mid (i.e. ranks 101 to 300) to
the Mega category (i.e. top 100). This marks a significant crossover for any company, both in
terms of achieving critical mass and scale in its operations, and recognition of the same by the
stock markets.
11 December 2015
5

20th Annual Wealth Creation Study (2010-2015)
1.3 Why Mid-to-Mega
There are 3 crossovers relevant to the buyers of stocks – (1) Mini-to-Mega, (2) Mini-to-Mid and
(3) Mid-to-Mega. Data suggests that of the 3,
Mid-to-Mega
is the most profitable in terms of
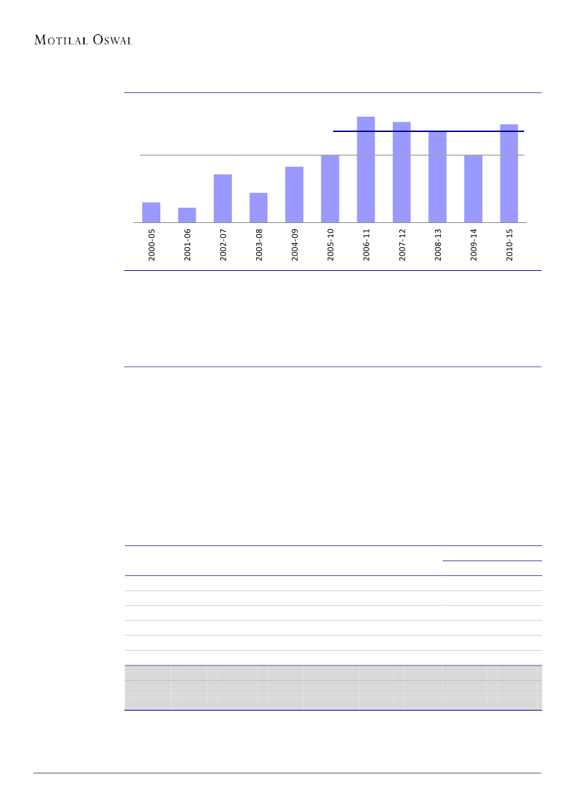
risk-adjusted returns, and most plausible in terms of associated probability. From 2000 to 2015,
across 5-year time windows,
Mid-to-Mega
stocks delivered median return of 46% with
relatively low risk as indicated by healthy portfolio RoE of 20% and reasonable P/E of 15-23x in
the year of purchase. Probability of
Mid-to-Mega
at 5-12% is also significantly higher than the
other 2 crossovers.
Exhibit 1
Mid-to-Mega portfolios – Performance profile
Period
2000-05
2001-06
2002-07
2003-08
2004-09
2005-10
2006-11
2007-12
2008-13
2009-14
2010-15
Median
Minimum
Maximum
No. of
stocks
17
12
12
12
11
9
11
13
19
20
24
12
9
24
Portfolio
Return *
55%
86%
82%
115%
53%
46%
32%
29%
30%
46%
33%
46%
29%
115%
Sensex
Return
5%
26%
30%
39%
12%
22%
12%
6%
4%
18%
10%
12%
4%
39%
Alpha over
Sensex
50%
60%
52%
76%
41%
24%
21%
24%
26%
28%
23%
28%
21%
76%
PAT
CAGR
35%
44%
83%
67%
31%
44%
49%
32%
26%
28%
20%
35%
20%
83%
Average
RoE
22%
27%
21%
24%
16%
21%
32%
31%
30%
26%
26%
26%
16%
32%
Year of Purchase
P/E
RoE
5
13%
3
15%
11
9%
6
8%
12
14%
15
20%
23
24%
22
29%
20
30%
15
26%
22
26%
15
20%
3
8%
23
30%
* Portfolio return considered here is median of stock returns
1.4 What it takes to achieve Mid-to-Mega
We believe the process to achieving
Mid-to-Mega
is captured in the acronym
MQGLP,
powered
by “industry leadership inside” (inspired by the phrase, Intel Inside).
MQGLP stands for
Mid-size
(of company),
Quality
(of business and management),
Growth
(in
earnings),
Longevity
(of both quality & growth) and
Price
(favorable valuation).
Industry leadership:
The most striking feature emerging from this study is the key role of
industry leadership in the pecking order of market cap ranks. Thus, currently, among the top
100 companies, as high as 88 are leaders in their respective industries. Even among the
companies that moved from Mid-to-Mega in recent years, about 70% are industry leaders.
1.5
Mid-to-Mega – A lollapalooza effect
“Lollapalooza effect” is a term popularized by Charlie Munger, partner of Warren Buffett in
Berkshire Hathaway. It stands for really big outcomes arising from multiple factors acting
together. We believe
Mid-to-Mega
is one such lollapalooza effect. Multiple factors – Size,
Quality, Growth, Longevity and Purchase Price – need to act together for a stock to raise its rank
from Mid to Mega. We believe applying the 6 steps mentioned in section 6.1 (page 24) is a good
starting point to increase the probability of the
Mid-to-Mega
lollapalooza.
We proceed to discuss the report in detail.
11 December 2015
6

20th Annual Wealth Creation Study (2010-2015)
2. Introduction
Defining Mega, Mid, Mini
The ultimate objective of all investors is to profit from a massive and rapid expansion in the
value of their stocks, i.e. higher stock price and market capitalization, without major issuances
of fresh equity. Further, investors – more so individuals rather than institutional investors –
prefer to buy small and midcap stocks and see them appreciate into large cap stocks.
In this report, we call large, mid and small cap stocks as
Mega, Mid
and
Mini.
There is no
standard definition of what constitutes Mega, Mid and Mini. The popular approach is to define
market cap ranges for these categories, e.g. stocks with market cap greater than US$ 5 billion
are Mega, those between US$ 1 billion and US$ 5 billion are Mid, and so on.
However, such absolute market cap ranges need to be adjusted for inflation and currency
across years. To overcome this, we choose a time-independent definition of the 3 categories:
Mega –
Top 100 stocks by market cap rank for any given year
Mid
Next 200 stocks by market cap rank
Mini –
All stocks below the top 300 ranks.
2.1 Why ranks?
In any journey, it is highly advantageous to have full clarity on the three key elements – (1) the
starting point, (2) the destination, and (3) the shortest path thereto. This study has convinced us
that market cap rank analysis offers investors – and even company managements – a clear
roadmap of the journey that lies ahead. Consider Exhibit 2 below.
Exhibit 2
Market Cap Ranks – Relevance and roadmap
INR b
GDP
Total Market Cap
Market Cap % of GDP
Top 100 stocks
% of Market Cap
The Mega stocks
Top stock
% of Market Cap
100th stock
% of Market Cap
The Aspirants
300th stock (Mid)
% of 100th stock
500th stock (Mini)
% of 100th stock
2000
19,725
7,389
37%
6,552
89%
2005
31,783
15,817
50%
12,767
81%
2010
63,501
59,336
93%
45,462
77%
2015
126,538
98,088
78%
74,216
76%
CAGR 00-15
13%
19%
18%
2020 Est
235,118
197,289
84%
147,967
75%
1,259
17.0%
8
0.1%
1,259
8.0%
24
0.2%
3,515
5.9%
104
0.2%
4,989
10%
5.1%
205
24%
0.2%
Mid-to-Mega
38
19%
14
7%
26%
9,864
5.0%
395
0.2%
1
15%
0.4
5%
5
19%
2
7%
22
21%
8
7%
79
20%
Mini-to-Mid
27%
28
7%
Assumptions for 2020 estimates:
2015-20 CAGR:
GDP 13%, Total market cap 15%
Market cap of top 100 stocks to be 75% of total market cap
Market cap of top stock at 5% of total market cap and 100th stock at 0.2% of total market cap
Market cap of 300th stock at 20% of 100th stock, and that of 500th stock at 7% of 100th stock
11 December 2015
7

20th Annual Wealth Creation Study (2010-2015)
Key insights from Exhibit 2:
The top 100 stocks are very relevant as they constitute over 75% of the total market cap.
There is high level of consistency in the relative market caps and ranks, e.g.
– Market cap of the top stock is settling around 5% of total market cap.
– Likewise, market cap of the 300th stock is consistently around 20% of the top 100th
stock and so on.
There is a clear market cap roadmap for investors and company managements, e.g.
– If the 300th company today (i.e. Mid) aspires to be in the Mega league by 2020, it will
need to raise its market cap from INR 38 billion to at least INR 395 billion in 5 years –
10x, CAGR of 58%.
– Likewise, if the 500th company today (i.e. Mini) aspires to be in the Mid league by 2020,
it will need to raise its market cap from INR 14 billion to at least INR 79 billion in 5 years
– 5.6x, CAGR of 41%.
Having defined the terms Mega, Mid and Mini, we proceed to address the fundamental
questions of
Mid-to-Mega:
What is
Mid-to-Mega
(Section 3)
Why
Mid-to-Mega
(Section 4)
What it takes to achieve
Mid-to-Mega
(Section 5) and
How to shortlist potential
Mid-to-Mega
stocks (Section 6).
3. What is Mid-to-Mega
A significant crossover
For the purposes of this report,
Mid-to-Mega
stands for a company’s stock crossing over from
the Mid (i.e. ranks 101 to 300) to the Mega category (i.e. top 100). This marks a significant
crossover for any company, both in terms of achieving critical mass and scale in its operations,
and recognition of the same by the stock markets.
Intuitively, such a crossover implies handsome returns for its investors. Further, shorter the
time taken for such
Mid-to-Mega
crossovers, higher the returns for investors. Hence, in this
report, we focus on
Mid-to-Mega
within a practical time window of 5 years from the year of
purchase.
Having defined
Mid-to-Mega,
we examine why this analysis and stock picking approach is
worthwhile. Before that, we briefly make a case for Mega companies.
3.1 Why Mega
Bedrock of India’s corporate sector:
The top 100 Mega companies form the bedrock of
India’s corporate sector and capital markets. Currently, they account for 75% of total
market cap and an even higher 88% of total corporate profits. 88 of the top 100 are
industry leaders i.e. No. 1, 2 or 3 in their respective businesses.
Mega companies are difficult to dislodge:
Data suggests that it is increasingly difficult to
dislodge Mega companies from their top 100 category. There is a steady decline in the
number of companies falling out of the top 100 league. Between 2000 and 2008, about 40
8
11 December 2015

20th Annual Wealth Creation Study (2010-2015)
companies used to drop out every 5 years. That number has now come down to less than
30 (Exhibit 3).
Exhibit 4 shows that earlier, new listings of large companies like Maruti, NTPC, TCS, etc
accounted for companies dropping out of the Mega category. However, more recently, the
Mega companies are being replaced by those which rise from the Mid category, making a
strong case for investing in potential
Mid-to-Mega
stocks.
Exhibit 3
The number of dropouts from the Mega category is falling …
41
33
42
42
No. of Mega dropouts
35
34
31
25
26
29
27
Exhibit 4
… and they are increasingly being replaced by Mid-to-Mega stocks
How the Mega dropouts are getting replaced
17
12
30
30
12
12
11
9
11
13
24
25
20
12
19
7
20
7
24
Mid-to-Mega
New listings
24
21
5
4. Why Mid-to-Mega
The most profitable-cum-plausible crossover
In this study, even as we focus on
Mid-to-Mega,
we have analyzed all 9 possible crossovers
within the 3 categories of stocks (Exhibit 5). Based on the analysis, we have a simple answer to
the question “Why Mid-to-Mega?” –
it is the most profitable-cum-plausible category crossover
for investors.
11 December 2015
9

20th Annual Wealth Creation Study (2010-2015)
Exhibit 5
Mini, Mid, Mega – 9 possible crossovers
Mega
MINI
Mid
Mini
Mega
MID
Mid
Mini
Move up from rank > 300 to less than 100
Move up from rank > 300 to 101-300
No change in category
Move up from rank 101-300 to less than 100
No change in category
Slip down from rank 101-300 to greater than 300
Mega
MEGA
Mid
Mini
No change in category
Slip down from rank < 100 to 101-300
Slip down from rank < 100 to greater than 300
Of the above mentioned 9 crossovers, only 3 are relevant to the buyers of stocks –
1. Mini-to-Mega
2. Mini-to-Mid and
3. Mid-to-Mega.
Of the 3, we believe
Mid-to-Mega is the most profitable-cum-plausible crossover, adjusted for
risk.
We derive this conclusion from three sources –
1. Performance profile of the
Mid-to-Mega
portfolios from 2000 through 2015
2. Stock-specific examples of
Mid-to-Mega
and
3. A 3x3 matrix capturing the crossover returns and associated probabilities.
4.1 Performance profile of Mid-to-Mega portfolios
Exhibit 6 captures the various performance metrics of
Mid-to-Mega
portfolios through the
years 2000 to 2015. Under each metric, the median value across the years is aspirational, and
yet within the realms of possibility.
A realistic reading of the table would be thus – in any given year, it should be possible to
construct a
Mid-to-Mega
portfolio of Indian equities with the following attributes:
Number of stocks
Portfolio RoE in the year of purchase
Portfolio P/E in year of purchase
Expected PAT CAGR over the next 5 years
Expected return CAGR over the next 5 years
Expected alpha over benchmark (Sensex)
:
:
:
:
:
:
9 to 12
20%
15x to 23x
20-35%
29-46%
21-28%
The healthy RoE and modest P/E in the year of purchase indicate lower risk to earn the high
expected return CAGR and alpha over benchmark.
11 December 2015
10

20th Annual Wealth Creation Study (2010-2015)
Exhibit 6
Mid-to-Mega portfolios – Performance profile
Period
2000-05
2001-06
2002-07
2003-08
2004-09
2005-10
2006-11
2007-12
2008-13
2009-14
2010-15
Median
Minimum
No. of
stocks
17
12
12
12
11
9
11
13
19
20
24
12
9
Portfolio
Return *
55%
86%
82%
115%
53%
46%
32%
29%
30%
46%
33%
46%
29%
Sensex
Return
5%
26%
30%
39%
12%
22%
12%
6%
4%
18%
10%
12%
4%
Alpha over
Sensex
50%
60%
52%
76%
41%
24%
21%
24%
26%
28%
23%
28%
21%
PAT
CAGR
35%
44%
83%
67%
31%
44%
49%
32%
26%
28%
20%
35%
20%
Average
RoE
22%
27%
21%
24%
16%
21%
32%
31%
30%
26%
26%
26%
16%
32%
Year of Purchase
P/E
5
3
11
6
12
15
23
22
20
15
22
15
3
23
RoE
13%
15%
9%
8%
14%
20%
24%
29%
30%
26%
26%
20%
8%
30%
Maximum
24
115%
39%
76%
83%
* Portfolio return considered here is median of stock returns
4.2 Stock specific examples of Mid-to-Mega
We found
Mid-to-Mega
to be time and sector agnostic. Thus, every 5-year window offered
Mid-to-Mega
opportunities across sectors.
We present below the rank improvement and stock performance trend of 6 companies with
varied business models, 2 each from 2010-15, 2005-10 and 2000-05. The finding is akin to
stating the obvious – all companies which crossed over from
Mid-to-Mega
have handsomely
outperformed the benchmark.
Exhibit 7
Example 1: Motherson Sumi (2010-15)
Motherson: Mkt Cap Rank Trend
69
100
126
174
136
1,000
48
800
600
400
200
0
Motherson Sumi
BSE Sensex
Stock Price Trend - Rebased to 100
11 December 2015
11

20th Annual Wealth Creation Study (2010-2015)
Exhibit 8
Example 2: IndusInd Bank (2010-15)
IndusInd Bank: Mkt Cap Rank Trend
46
77
92
130
65
60
600
500
400
300
200
100
0
Stock Price Trend - Rebased to 100
IndusInd Bank
BSE Sensex
Exhibit 9
Example 3: Exide Industries (2005-10)
Exide Industries: Mkt Cap Rank Trend
99
130
153
174
186
117
1,000
800
600
400
200
0
Exide Inds
BSE Sensex
Stock Price Trend - Rebased to 100
Exhibit 10
Example 4: Adani Enterprises (2005-10)
Adani Enterpse.: Mkt Cap Rank Trend
63
100
148
79
51
2,400
2,000
1,600
1,200
800
Stock Price Trend - Rebased to 100
Adani Ent.
BSE Sensex
239
400
0
11 December 2015
12

20th Annual Wealth Creation Study (2010-2015)
Exhibit 11
Example 5: Bharat Electronics (2000-05)
Bharat Elect.: Mkt Cap Rank Trend
63
52
53
56
1,600
1,200
800
112
133
400
0
Stock Price Trend - Rebased to 100
BEL
BSE Sensex
Exhibit 12
Example 6: Jindal Steel (2000-05)
Jindal Steel: Mkt Cap Rank Trend
97
117
172
151
197
81
1,000
800
600
400
200
0
Stock Price Trend - Rebased to 100
Jindal Steel
BSE Sensex
4.3 3x3 matrix of crossover returns and associated probabilities
Sections 4.1 and 4.2 prove why
Mid-to-Mega
is the most profitable crossover for investors.
Here, we make a case for why it is also the most plausible, based on probabilities of successful
crossovers.
We studied all 9 crossover possibilities in 3 time windows of 5 years – 2000-2005, 2005-2010
and 2010-2015. The findings for 2010-15 are detailed in Exhibit 13. An illustrative reading of the
3 buy-case crossovers is as follows –
Mini-to-Mega :
68% return; 3 stocks out of 1,908, i.e. low probability of 0.2%
Mini-to-Mid :
38% return; 64 stocks out of 1,908, i.e. again low probability of 3.4%
Mid-to-Mega
: 33% return; 24 stocks out of 200, i.e. higher probability of 12%.
11 December 2015
13

20th Annual Wealth Creation Study (2010-2015)
Exhibit 13
2010-15: Crossover findings
No. of
2010-15
stocks
return CAGR *
Mega
3
68%
MINI
Mid
64
38%
Mini
1,841
0%
Mega
24
33%
MID
Mid
88
9%
Mini
88
-19%
Mega
71
11%
MEGA
Mid
26
-13%
Mini
3
-32%
* median; ** Sensex CAGR over 2010-15 is 10%
From
To
Alpha over
Sensex **
58%
28%
-10%
23%
-1%
-29%
1%
-23%
-42%
Base of
stocks
1,908
1,908
1,908
200
200
200
100
100
100
Probability
0.2%
3.4%
96.5%
12.0%
44.0%
44.0%
71.0%
26.0%
3.0%
The above trends are broadly similar for the other 2 time windows as seen in Exhibit 14. Thus,
the probability of
Mid-to-Mega
is the highest among the 3 crossovers.
Exhibit 14
Mini, Mid, Mega crossovers – 2000-05, 2005-10, 2010-15
2000-05: Median return CAGR
Market return : 5%
158%
(1)
57%
(58)
19%
(1,039)
Mini
Total stocks
1,098
55%
(17)
21%
(90)
-3%
(93)
Mid
FROM
200
21%
(59)
-4%
(28)
-40%
(13)
Mega
100
Total stocks
Note: Figures in brackets indicate number of companies
2010-15: Median return CAGR
Market return : 10%
68%
(3)
38%
(64)
0%
(1,841)
Mini
Total stocks
1,908
33%
(24)
9%
(88)
-19%
(88)
Mid
FROM
200
11%
(71)
-13%
(26)
-32%
(3)
Mega
100
2005-10: Median return CAGR
Market return : 22%
76%
(2)
61%
(25)
11%
(1,465)
Mini
1,492
46%
(9)
24%
(89)
4%
(102)
Mid
FROM
200
27%
(66)
9%
(32)
-32%
(3)
Mega
100
Mega
Mega
Mega
TO
Mid
TO
Mid
TO
Mid
Mini
Mini
Mini
Based on the above findings, we draw up a matrix, which captures the returns and probability
of the same in each crossover (Exhibit 15).
Mid-to-Mega
may indeed have the highest probability among the 3 buy crossovers. However, in
absolute terms, probability of success is still very low at 5-12%. This implies significant effort is
required to achieve the high returns delivered by a successful
Mid-to-Mega
stock/portfolio.
To improve the chances of success, investors need to first understand what it takes to achieve
Mid-to-Mega.
This is the core of this study, and is detailed in the next section.
11 December 2015
14

20th Annual Wealth Creation Study (2010-2015)
Exhibit 15
Mini, Mid, Mega crossovers – Returns and probability matrix
Mega
Highest returns
Very low probability
Strong returns
Low-to-Medium probability
Market Performance
High probability
TO
Mid
Strong returns
Low probability
Market Performance
High probability
Underperformance
Medium probability
Mini
Underperformance
Very high probability
Underperformance
Medium probability
Massive capital loss
Low probability
Mini
Mid
FROM
Mega
5. What it takes to achieve Mid-to-Mega
MQGLP powered by “industry leadership inside”
We believe the process to achieving
Mid-to-Mega
is captured in the acronym
MQGLP,
powered
by “industry leadership inside” (inspired by the phrase, Intel Inside). MQGLP stands for
Mid-size
(of company),
Quality
(of business and management),
Growth
(in earnings),
Longevity
(of both
quality & growth) and
Price
(favorable valuation). We discuss each of these elements in the
following sections.
5.1 M – Mid-size
The starting point of the
Mid-to-Mega
journey is Mid-size of the company, defined herein as
market cap rank from 101 to 300. Companies in this category have already achieved certain size
and scale of operations, and are well known in the stock market. They typically have a fairly
long track record of published financial data, which allows for informed investment decision-
making.
11 December 2015
15

20th Annual Wealth Creation Study (2010-2015)
5.2 Q – Quality
There are two aspects to Q in MQGLP – (1) Quality of business and (2) Quality of management.
5.2.1 Quality of business
We discuss two issues under Quality of business – (1) Industry leadership and (2) Economic
Moat.
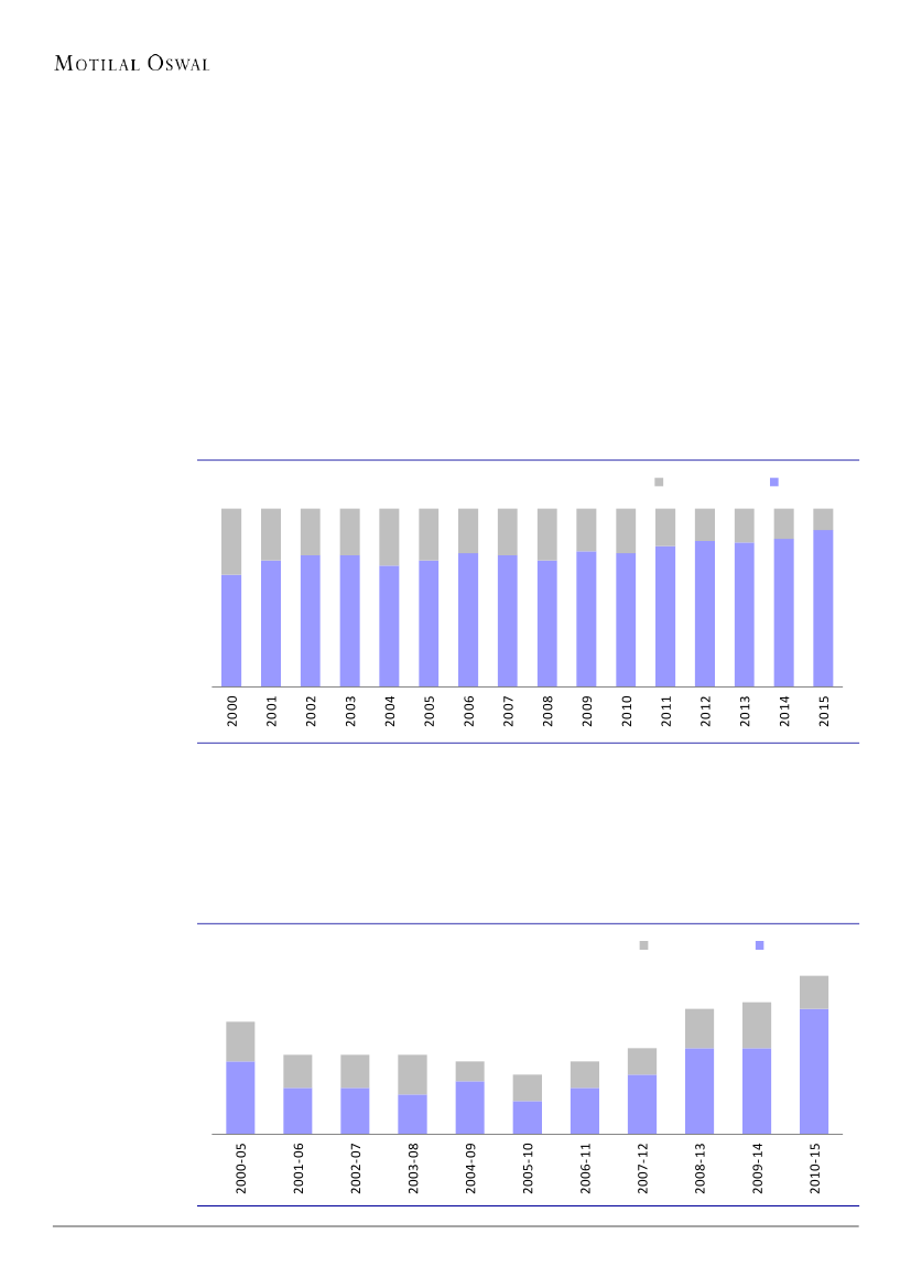
1. Industry leadership:
The most striking feature emerging from this study is the key role of
industry leadership in the pecking order of market cap ranks. Thus,
currently, among the
top 100 Mega companies, as high as 88 are leaders in their respective industries.
Further,
the number of leaders in the top 100 companies is continuously rising (Exhibit 16).
(Note: For the purposes of this report, industry leadership implies that a company is No. 1,
2 or 3 by revenue in its industry or market segment.)
Exhibit 16
Number of industry leaders in the top 100 market cap companies is continuously rising
Top 100 market cap companies - Industry leadership mix
37
29
26
26
32
29
25
26
29
24
25
Non-Leaders
21
18
19
Leaders
17
12
63
71
74
74
68
71
75
74
71
76
75
79
82
81
83
88
Equally interesting is that even among the companies that have moved from
Mid-to-Mega
in recent years, 70% are industry leaders, and this trend too is rising (Exhibit 17). The rising
trend of industry leadership statistically confirms the intuitive understanding that the larger
companies are increasingly becoming more relevant to the economy and the stock markets.
Exhibit 17
Number of industry leaders among Mid-to-Mega companies is also rising
Mid-to-Mega - Industry leadership mix
Non-Leaders
Leaders
5
6
5
11
7
5
7
6
6
3
8
4
5
4
7
4
9
13
13
6
7
19
11 December 2015
16

20th Annual Wealth Creation Study (2010-2015)
2. Economic Moat:
The concept of ‘Economic Moat’ has its roots in the traditional moat.
A moat is a deep, wide trench, usually filled with water, surrounding a castle or fortified
place. In many cases, the waters are also infested with sharks and crocodiles to further keep
enemies at bay, and the inhabitants safe.
Akin to the traditional moat, Economic Moat protects a company’s profits from being
attacked by competitive forces. Two key indicators to test whether a company enjoys
Economic Moat or not are:
(1) A distinct value proposition
that gives the company an edge over its competitors, and
(2) Return on Equity consistently higher than cost of equity
(in the Indian context, cost of
equity is 15%, which is the long-period return of benchmark equity indices).
73 of the top 100 Mega companies have 5-year average RoE higher than 15% (Exhibit 18).
This juxtaposed with the fact that 88 of the top 100 are industry leaders establishes
presence of strong moats, and partly explains why it is increasingly becoming difficult to
dislodge the Megas.
Exhibit 18
To read our Wealth
Creation Study on
Economic Moat, visit
www.motilaloswal.com
73 of the 100 Mega companies enjoy some version of Economic Moat
2010-15 Average RoE distribution of Mega 100 companies
26
20
16
11
13
14
< 10%
10-15%
15-20%
20-25%
25-30%
> 30%
5.2.2 Quality of management
The management of a company is the most important factor for its successful
Mid-to-Mega
journey. We believe there are 3 key aspects to quality of management:
1. Unquestionable integrity
2. Demonstrable competence and
3. Growth and profit mindset.
All of the above are subjective and non-quantifiable issues. Thus,
assessing quality of
management is a true art rather than science.
In Exhibit 19, we list some indicators which can
serve as a broad checklist for this process.
11 December 2015
17

20th Annual Wealth Creation Study (2010-2015)
Exhibit 19
Broad indicators to judge quality of management
Management Quality aspect
Indicators
1. Unquestionable integrity
Impeccable track record of corporate governance, fully
respecting the law of the land.
Concern for all stakeholders (and not only the majority
shareholders). Other stakeholders include customers,
employees, debt-holders, government, community, and minority
shareholders.
Paying full tax and a well-articulated dividend policy are key
favorable indicators of management integrity. Corporate empire-
building to the detriment of minority shareholders is a negative
indicator.
Excellence in strategic planning and execution.
The above should mainly reflect in the company enjoying a
sustainable competitive advantage over its peers, reflecting by
way of above-average return on capital (RoE, RoCE).
“Keeping the growth going” is yet another key indicator of
management competence.
Long-range profit outlook, i.e. ensuring sufficient resources go
into long-term issues like product development, brand building,
capacity creation/expansion, succession planning, etc.
Efficient capital allocation including decisions like organic or
inorganic growth, same-franchise or diversified growth, domestic
or overseas growth, etc.
Persisting with growth plans despite temporary setbacks.
2.
Demonstrable
competence
3.
Growth & profit mindset
Change in management/ownership:
All cases of change in management and/or ownership also
need to be closely examined as they hold potential to alter the fortunes of companies, e.g.
Induction of N Chandrasekaran as MD & CEO of TCS
Induction of Ramesh Sobti as MD & CEO of IndusInd Bank
Acquisition of United Breweries by Heineken
Acquisition of United Spirits by Diageo.
5.3 G – Growth
For long-term investing, Quality or Moat is a necessary condition, but not sufficient. There is
enough empirical evidence that long-period stock price returns are almost equal to long-period
earnings growth. High quality sans growth leads to what we call the
Quality Trap
(Exhibit 20)
i.e. typically healthy RoE, high free cash flow and high dividend payouts, which keeps valuations
high, but no earnings growth. Exhibit 21 captures some of the recent Quality Traps.
11 December 2015
18

20th Annual Wealth Creation Study (2010-2015)
Exhibit 20
The Quality-Growth Matrix
GROWTH TRAPS
High
TRUE WEALTH CREATORS
Enduring
Multi-baggers
Transitory
Multi-baggers
GROWTH
WEALTH DESTROYERS
Low
QUALITY TRAPS
Underperformers
Permanent capital loss
Low
High
QUALITY
Matrix quadrants in brief:
1. Low-Quality-Low-Growth:
Such companies and their stocks are clearly avoidable.
2. Low-Quality-High-Growth:
Such companies may prove to be
Growth Traps.
The high growth in these
companies is most likely due to cyclical upturns, but gets mistaken for secular high growth. If bought
very cheap, such stocks may still end up as multi-baggers, but at best transitory.
3. High-Quality-Low-Growth:
Such companies may prove to be
Quality Traps.
The high quality in these
companies blinds investors to the possibility that these companies may not be able to grow their
earnings at a healthy pace due to low underlying base rate (e.g.
Castrol
in lubricants,
Colgate
in oral
care,
Hindustan Unilever
in soaps & detergents, etc). As a result, stock performance remains muted.
4. High-Quality-High-Growth:
These are the
Enduring Multi-baggers,
especially if bought at favorable
valuations.
Exhibit 21
Some recent Quality Traps
Company
Average RoE
Hero MotoCorp
51%
Wipro
25%
Hindustan Zinc
21%
ACC
19%
PAT CAGR
2%
9%
10%
-6%
2010-15
Price CAGR
Alpha *
6%
-4%
8%
-2%
6%
-4%
10%
0%
* 2010-15 Sensex CAGR is 10%
5.3.1 Importance of growth
Earnings growth is a conundrum – it is a very important determinant of stock prices, and yet,
very difficult to determine! Further, growth is uniquely specific to each company, and hence,
does not yield itself to standard frameworks. Our view is that while one may not be able to
precisely estimate growth, there are situations that favor occurrence of high earnings growth.
11 December 2015
19

20th Annual Wealth Creation Study (2010-2015)
5.3.2 High-growth situations
We analyzed the growth pattern of two sets of Mega companies – (1) those which clocked
FY10-15 sales CAGR of at least 20%, and (2) those which clocked FY10-15 PAT CAGR of at least
25%. This analysis helped us identify the following 8 high-growth situations:
1. Value Migration
2. Sustained industry tailwind
3. Small base with large opportunity
4. New large investment getting commissioned
5. Inorganic growth through M&A
6. Consolidation of competition
7. Operating & Financial leverage
8. Turnaround from loss to profit.
5.3.3 Value Migration
In his book
Value Migration,
author Adrian J Slywotzky says, “Value migrates from outmoded
business designs to new ones that are better able to satisfy customers' most important
priorities.” Value Migration results in a gradual yet major shift in how the current and future
profit pool in an industry is shared.
Value Migration is one of the most potent catalysts of the
Mid-to-Mega
journey, as it creates a
sizable and sustained business opportunity for its beneficiaries. It has two broad varieties –
1. Global Value Migration
e.g. value in IT and healthcare sectors migrating to India, global
manufacturing value migrating to China, etc.
2. Local Value Migration
e.g. value in telephony migrating from wired networks to wireless
networks; value in Indian banking migrating from public sector banks to private banks.
Exhibit 22
Examples of Value Migration
Sector/Company
IT Services
Pharmaceuticals
Banking
Telecom
e-tailing
Titan Industries
Hero MotoCorp
Interglobe Aviation (Indigo)
Value migration from
Developed world
Developed world
State-owned banks
Fixed line networks
Brick-and-mortar retailing
Unorganized jewelry market
Scooters
Full service airlines and railways
Value migration to
Low labor-cost countries
Low-cost chemistry countries
Private banks
Wireless networks
Online retailing
Organized jewelry retailing
Motorcycles
Low cost airlines
5.3.4 Sustained sector tailwind
A few sectors provide a sustained tailwind for all their constituent companies to clock high
growth over long periods of time e.g. banking, IT, pharma, autos, housing finance, feminine
hygiene, telecom services (both voice and data), etc.
5.3.5 Small base with large opportunity
Some companies have managed to launch a new or niche business with a huge opportunity.
Their own small starting base ensures sustained growth for several years to come e.g.
Bajaj Finance venturing into consumer finance
Page Industries in branded innerwear
11 December 2015
20

20th Annual Wealth Creation Study (2010-2015)
GRUH Finance in mortgages
Eicher Motors’ niche leisure bike business taking off
Symphony launching air coolers.
5.3.6 New large investment getting commissioned
Companies that commission new large investments are likely to reap benefits of the same for
the initial few years at least, e.g.
Cairn India’s oilfields in Rajasthan getting commissioned
Indian Oil Corporation expected to fully commission its 15 million ton refinery at Paradip by
end-FY16.
5.3.7 Inorganic growth through M&A
Successful mergers and acquisitions translate into high sales and earnings growth for the
acquiring company e.g.
Motherson Sumi acquiring several auto ancillary companies overseas
Tech Mahindra acquiring the beleaguered Satyam Computers
Ultratech acquiring several cement plants, the latest from Jaypee group.
5.3.8 Consolidation of competition
In rare cases, consolidation of competition ensures that incremental business growth accrues to
the remaining incumbents, e.g.
Marico acquired Nihar, a key competitor to its coconut oil brand Parachute. This lowered
the level of competition, and ensured high growth for the company.
In malted drinks, Nestle withdrew from India its global leading brand, Milo. This left the
marketplace wide open for incumbent GlaxoSmithKline Consumer’s brand, Horlicks.
5.3.9 Operating & Financial leverage
In specific situations, usually due to management action, companies manage high earnings
growth without significant revenue growth. This is mainly triggered by trimming fixed costs
(leading to operating leverage) or controlling interest cost (leading to financial leverage).
Operating Leverage example:
Bata’s CY08 to CY13 PAT CAGR was 28% on the back of only
16% CAGR in Sales. This was because employee cost over the period fell sharply from 17%
of Sales to 11% (Exhibit 23).
Operating-cum-Financial Leverage example:
Bharti Infratel’s FY11 to FY15 PAT CAGR was
35% on the back of only 8% CAGR in Sales. Higher EBITDA Margin apart, Interest cost to
Sales halved from 5% to 2.5% driving Financial leverage (Exhibit 24).
Exhibit 23
Bata: Operating leverage of lower employee costs
INR m
Sales
Expenditure
Employee cost
% of Sales
EBITDA
EBITDA Margin
Adjusted PAT
PAT Margin
11 December 2015
Exhibit 24
Bharti Infratel: Operating & Financial leverage
FY11
85.1
53.8
31.3
36.8%
4.3
5.1%
5.4
6.3%
FY15
116.7
66.6
50.0
42.9%
2.9
2.5%
17.7
15.2%
CAGR
8%
6%
12%
-10%
35%
CY08
9,870
8,977
1,701
17%
892
9.0%
606
6.1%
CY13 CAGR
20,652
16%
17,416
14%
2,234
6%
11%
3,236 29%
15.7%
2,047 28%
9.9%
INR b
Sales
Expenditure
EBITDA
EBITDA Margin
Interest cost
% of sales
Adjusted PAT
% of sales
21

20th Annual Wealth Creation Study (2010-2015)
5.3.10 Turnaround from loss to profit
In rare cases, again led by management action, companies manage a successful turnaround
from loss to profit, e.g. Tata Motors and more recently Gujarat Pipavav Port.
Exhibit 25
Tata Motors: Turnaround in JLR
Tata Motors PAT trend
(INR b)
91
21
141
103
146 140
Exhibit 26
Guj. Pipavav: New management led turnaround
Gujarat Pipavav PAT trend
(INR m)
4,322
1,756
19
15
579 741
-28
-452 -422 -696
-1,103
-509
5.4 L – Longevity
Apart from enjoying high quality of business and management and healthy rate of earnings
growth,
Mid-to-Mega
companies also need to sustain both quality and growth. Here, it may be
interesting to note that during the 10 years 2005 to 2015, 62 Mega companies maintained their
market cap rank within the top 100. Going further back, in the 20 years 1995 to 2015, 40
companies maintained their rank within the top 100.
In the context of longevity, competence of management is tested at two levels –
1. Extending CAP (i.e. Competitive Advantage Period); and
2. Delaying mean reversion of growth rate.
5.4.1 Extending CAP
Competitive advantage period (CAP) is the time during which a company generates returns on
investment that significantly exceed its cost of capital.
Economic laws suggest that if a
company earns supernormal return on its invested capital, it will attract competitors who will
accept lower returns, eventually driving down overall industry returns to economic cost of
capital, and sometimes even below it.
However, a company with a great business and great management sustains its superior rates of
return and keeps extending its CAP. This creates incremental excess return both for the
company and in turn for its equity investors. (The idea of CAP and its extension is depicted in
Exhibit 27.)
11 December 2015
22

20th Annual Wealth Creation Study (2010-2015)
Exhibit 27
Companies usually enjoy a certain CAP …
… but successful companies tend to extend it
5.4.2 Delaying mean reversion of growth rate
The other aspect of longevity is about delaying the mean reversion of growth rates. After the
initial hyper and high growth phases, rates tend to taper off to the mean rate (which is usually
the nominal GDP growth rate). This is due to both competition and also the company’s own
high-base effect. However, competent managements can delay such reversion to mean either
by (1) new streams of organic growth, and/or (2) inorganic growth via judicious, earnings-
accretive and value-enhancing acquisitions.
5.5 P – Price
Growth in stock price is a multiplicative function of growth in earnings and growth in valuation.
The
Mid-to-Mega
phenomenon ideally needs both these legs of growth to kick in. The G of
MQGLP addresses earnings growth whereas P (i.e. favorable Price of purchase) is designed to
address valuation growth.
The simplest way to improve the odds of valuation growth is by ensuring favorable valuation
at the time of purchase,
typically implying low P/E. However, in the
Mid-to-Mega
situation,
expecting to get stocks at very low P/Es is unreasonable, as they are well-known and widely
tracked by analysts and investors.
Further, in certain situations, low P/E may not be the sole determinant of favorable valuation
e.g. during bottom-of-cycle, earnings of cyclical stocks are depressed, leading to high P/Es;
likewise, where companies are expected to turn from loss to profit, current P/E cannot be
calculated.
The last 10 5-year windows suggest
Mid-to-Mega
portfolio P/E of 15x in the year of purchase.
However, in the last 5 periods, the purchase P/E of
Mid-to-Mega
portfolios has been higher at
20x (Exhibit 28).
11 December 2015
23

20th Annual Wealth Creation Study (2010-2015)
Exhibit 28
Mid-to-Mega portfolio P/E should ideally be around 20x
Mid-to-Mega: Portfolio P/E trend
5-year median: 20x
10-year median: 15x
11
5
7
3
12
15
23
22
22
15
20
Having studied the MQGLP elements of
Mid-to-Mega,
the next challenge is to apply them and
shortlist potential stocks.
6. How to shortlist potential Mid-to-Mega stocks
Backtesting the MQGLP lollapalooza
We backtested MQGLP to examine its efficacy in picking
Mid-to-Mega
stocks and/or delivering
superior portfolio returns. In this section, we present the findings of such backtesting, and in
the process, suggest a 6-step approach to shortlist stocks which hold the potential to
successfully complete the
Mid-to-Mega
journey.
6.1 Backtesting of MQGLP
We reproduce here the more recent performance profile of Mid-to-Mega portfolios.
Exhibit 29
Mid-to-Mega portfolios – Performance profile
Period
2005-10
2006-11
2007-12
2008-13
2009-14
2010-15
Median
Minimum
No. of
stocks
9
11
13
19
20
24
16
9
Portfolio
Return *
46%
32%
29%
30%
46%
33%
33%
29%
Sensex
Return
22%
12%
6%
4%
18%
10%
11%
4%
Alpha over
Sensex
24%
21%
24%
26%
28%
23%
24%
21%
PAT
CAGR
44%
49%
32%
26%
28%
20%
30%
20%
Average
RoE
21%
32%
31%
30%
26%
26%
28%
21%
32%
Year of Purchase
P/E
15
23
22
20
15
22
21
15
23
RoE
20%
24%
29%
30%
26%
26%
26%
20%
30%
Maximum
24
46%
22%
28%
49%
* Portfolio return considered here is median of stock returns
11 December 2015
24

20th Annual Wealth Creation Study (2010-2015)
We juxtapose findings from Exhibit 29 with our MQGLP formula to arrive at the following
backtesting approach –
1. Starting list:
Start with the 200 Mids (i.e. ranks 101 to 300) for the respective year (M of
MQGLP).
2. 20% RoE for Quality of business:
Filter these 200 stocks for year of purchase RoE of at least
20% (MQGLP’s Quality of business quantified in Exhibit 29 by minimum portfolio RoE of
20% in year of purchase).
3. Industry leaders:
From the above list, select industry leaders (complying with MQGLP’s
“industry leadership inside” phenomenon, discussed earlier). Further, we find that in cases
of Value Migration (e.g. IT, healthcare) and very high industry tailwind (e.g. mortgages),
even non-leaders scale up significantly. So, we include them along with industry leaders.
4. 20% PAT growth:
From the list arrived at post step 3, select companies with preceding
2-year PAT CAGR of 20%. (MQGLP’s Growth in earnings, quantified by minimum forward
PAT CAGR of 20% from Exhibit 29. The rationale here is that the growth momentum
expected ahead should already be visible in the recent past).
5. Seculars for Longevity:
Next, prefer seculars over cyclicals (MQGLP’s Longevity is best
exhibited by secular companies rather than cyclicals).
6. Favorable purchase price:
Finally, decide a suitable P/E for the stock based on a subjective
call on competence, integrity and growth mindset of the management. Still, as a thumb
rule, prefer P/Es below 25x, barring exceptional cases. (This corresponds to matching
MQGLP’s Quality of management in deciding favorable Purchase Price).
We consistently applied the above steps to Mids across rolling 5-year time windows from 2005
to 2015. Our findings are summarized in Exhibit 30. Barring 2005-10, the approach listed above
successfully achieved both objectives –
Significantly improving the probability of identifying
Mid-to-Mega
stocks; and
In the process, delivering handsome returns and alpha over benchmark.
Exhibit 30
MQGLP backtesting results
Years
No. of stocks
2005-10
7
2006-11
6
2007-12
9
2008-13
9
2009-14
15
2010-15
9
No. of MTMs
0
1
5
6
7
4
% of MTM
0%
17%
56%
67%
47%
44%
Portfolio return
26%
25%
29%
32%
39%
33%
Sensex
22%
12%
6%
4%
18%
10%
Alpha
4%
13%
24%
28%
20%
23%
Note:
MTM stands for Mid-to-Mega cases
In Exhibit 31, we detail the 2010-15 backtesting results of 2010-15 to reinforce efficacy of the
6-step process.
11 December 2015
25

20th Annual Wealth Creation Study (2010-2015)
Exhibit 31
Mid-to-Mega: 6-step backtesting results – 2010-15
Stock
Backtesting criteria
2010 Mkt 2010 Company PAT CAGR Secular
Cap Rank RoE Status
08-10
Aurobindo Pharma
160
37
VM *
52%
Yes
MRF
278
20
Leader
21%
Yes
Pidilite Industries
150
35
Leader
26%
Yes
Mindtree
285
34
VM *
46%
Yes
CRISIL
233
41
Leader
39%
Yes
Torrent Pharma
176
31
VM *
30%
Yes
Bajaj Finserv
165
22
Leader
L to P
Yes
LIC Housing Finance
110
23
Leader
33%
Yes
Apollo Tyres
220
39
Leader
48%
Yes
Results
P/E PAT CAGR Price CAGR Mkt Cap Mid-to-
2010
10-15
10-15 Rank 2015 Mega
10
23%
45%
54
Yes
10
30%
42%
125
No
21
13%
39%
64
Yes
11
19%
35%
150
No
21
11%
34%
127
No
21
27%
34%
102
No
9
-26%
33%
89
Yes
12
15%
20%
90
Yes
6
12%
19%
175
No
Portfolio average
33%
Sensex
10%
Alpha
23%
* VM stands for Value Migration beneficiary
6.2 Mid-to-Mega – a lollapalooza effect
“Lollapalooza effect” is a term popularized by Charlie Munger, partner of Warren Buffett in
Berkshire Hathaway. It stands for really big outcomes arising from multiple factors acting
together.
We believe
Mid-to-Mega
is one such lollapalooza effect. Many of the multiple factors – Size,
Quality, Growth, Longevity and Purchase Price – need to act together for a stock to raise its rank
from Mid to Mega. We believe applying the 6 steps mentioned in section 6.1 is a good starting
point to increase the probability of the
Mid-to-Mega
lollapalooza.
“I’ve been searching for lollapalooza results all my life, so I’m very interested in models that
explain their occurrence … Really big effects, lollapalooza effects, will often come only from
large combinations of factors.”
– Charlie Munger
7. Mega-to-Mid
Lessons on how equity investing could go wrong
As a tailpiece to the
Mid-to-Mega
study, we also make a quick assessment of its converse –
Mega-to-Mid i.e. companies whose rank slipped from the top 100.
2005 through 2015, there are 161 cases of companies slipping from Mega-to-Mid category (the
number of companies is 112, implying some companies have slipped in more than one 5-year
time window.)
We analyzed the fundamental cause of Mega-to-Mid instances, which we present in Exhibits 32
and 33. The findings hold lessons which hold true in all cases of equity investing.
11 December 2015
26

20th Annual Wealth Creation Study (2010-2015)
Exhibit 32
Exhibit 33
Why Mega-to-Mid happens
Cause of Mega-to-Mid
No. of cases % of total
Cyclical downturns
57
35%
Management lapses *
46
29%
Reverse Value Migration
19
12%
Capital misallocation
13
8%
Fads
11
7%
Quality Trap
4
2%
Others
11
7%
TOTAL
161
100%
More non-leaders feature in Mega-to-Mid
Leadership mix
No. of cos.
Leaders
30
Non-leaders
82
Total
112
* Management lapses refer to lack of
competence and/or integrity and/or
growth mindset
7.1 Why Mega-to-Mid happens
We found 6 main causes of Mega-to-Mid during 2000 to 2015 -
1. Cyclical downturns:
Stocks from sectors like metals, capital goods, construction, and real
estate exited the top 100 market cap ranks during a cyclical downturn in their sales and
profits.
2. Management lapses:
In several cases, stocks’ exit from the Mega category was due to
management lapses in one or more of their key required traits – competence, integrity and
growth-cum-profit mindset.
3. Reverse Value Migration:
This was mainly true of public sector banks, which saw their
value migrate to private sector counterparts.
4. Capital misallocation:
This too is a form of management lapse, but merits separate
mention e.g. unsuccessful global acquisitions of companies have caused them to exit the
Mega category.
5. Fads:
Some companies enter into the top 100 ranks on the back of temporary investor fads
(e.g. in the mid-2000s, companies supposed to have huge land banks became fads). When
the fad fades away, these companies slip out of the Mega category.
6. Quality Trap:
As discussed earlier, some high-quality companies cease to grow their
earnings at least in line with that of the benchmark. As a result, over time, their market cap
ranks falls below the top 100.
7.2 Key takeaways from Mega-to-Mid
Cyclical downturns are the biggest cause of Mega-to-Mid.
This reinforces the fact that
cyclical stocks (commodities, capital goods, etc) do not yield themselves to a Buy-and-Hold
strategy. Investors who choose to invest in cyclical stocks need to exit them before the
cycle turns negative, even if it means selling a bit too soon.
Management holds the key not only for Mid-to-Mega but also Mega-to-Mid.
Exhibit 32
above confirms that Management issues are a major cause of Mega-to-Mid. Investors need
to be on the watch out for management’s lack of competence and/or integrity and/or
growth mindset and/or capital misallocation.
Importance of industry leadership is reinforced.
In
Mid-to-Mega,
2 in every 3 companies
are industry leaders. Exhibit 33 suggests it is almost the exact opposite in Mega-to-Mid
cases, with 4 in 5 companies being non-leaders.
The last point completes our case, and takes us back to what we started off saying –
Mid-to-Mega, the power of industry leadership in Wealth Creation.
11 December 2015
27

20th Annual Wealth Creation Study (2010-2015)
Market Outlook
11 December 2015
28

20th Annual Wealth Creation Study (2010-2015)
Market Outlook
A macro perspective
Corporate Profit to GDP
Aggregate profit of India Inc is stagnant at around INR 4 trillion over FY14-16 even as
nominal GDP continues to grow year after year.
As a result, Corporate Profit to GDP is continuously declining – from over 6% in FY10 and
FY11 to below 4% in FY16.
This looks to be the bottom, and next 3-5 years could see corporate profits rising to
significantly higher levels.
Exhibit 1
Corporate Profit to GDP seems bottoming out; expect significantly higher levels going forward
Corportate Profit to GDP (%)
6.2
7.3
7.8
6.5
5.5
6.2
Long-period average 5%
4.8
4.6
4.3
4.0
3.9
5.4
4.7
2.0
2.2
3.0
Sensex Earnings
Massive fall in commodity prices is impacting profits of Sensex’s constituent companies.
The worst may still not be over for commodities. Hence, expect few more quarters of weak
Sensex earnings, with recovery from FY17 onwards on the low base of FY16.
Exhibit 2
Sensex EPS dragged down by massive fall in commodity prices
Sensex EPS & growth trend
FY08-15:
7% CAGR
FY01-08:
21% CAGR
361
446
540
720
1,024
833
820
834
1,120 1,180
FY15-17E:
13% CAGR
1,435
1,329 1,354
1,718
216
236
272
11 December 2015
29

20th Annual Wealth Creation Study (2010-2015)
Interest Rates
Downward journey in interest rate cycle has started.
The room for further rate cuts in the next 1-2 years is high.
Interest rates should touch the bottom around 5% levels.
Exhibit 3
Downward journey in interest rates has started; expect rates to touch the bottom at 5% levels
10.0
8.0
7.8
6.0
10 Year G-Sec Yield (%)
4.0
Sensex Earnings Yield to Bond Yield
Buoyant market sentiment despite muted Sensex earnings growth has kept earnings to
bond yield at 0.8x, in line with the long-period average.
Falling interest rates should improve this ratio, triggering the next market rally.
Exhibit 4
Sensex Earnings Yield to Bond Yield at long-period average; lower interest rates should improve this
1.8
1.5
1.2
0.9
0.6
0.3
10 Year Avg: 0.79x
0.80
Sensex Earnings Yield to Bond Yield (%)
11 December 2015
30

20th Annual Wealth Creation Study (2010-2015)
Market Valuation
Market Cap to GDP at 70% is below the long-period average of 76%. This trend has lasted
for much of the last 5 years.
Likewise, Sensex P/E at 16x is also hovering around the long-period average of 16-17x.
Expect current level of valuation to last till promise of earnings growth emerges.
Exhibit 5
Market Cap to GDP has been below long-period average for much of the last 5 years
103
82
83
55
Market Cap to GDP (%)
95
88
Long-period average 76%
70
64
66
80
70
52
Exhibit 6
One-year forward Sensex P/E is at the long-period average given no earnings growth trigger
27
22
17
16
12
11
7
4,000
11,000
25
32,000
Sensex P/E (x)
10-year avg P/E: 16.5x
Sensex (RHS)
25,000
18,000
Market outlook
Bottoming out of commodities and meaningful pick-up in investment cycle should lay the
foundation for long-term recovery of corporate earnings.
Acceleration in earnings coupled with softening interest rates will likely usher in the next
round of market expansion, albeit a few quarters later.
11 December 2015
31

20th Annual Wealth Creation Study (2010-2015)
2010-15 Wealth
Creation Study:
Detailed findings
11 December 2015
32

20th Annual Wealth Creation Study (2010-2015)
#1
The Biggest Wealth Creators
TCS is the Biggest Wealth Creator for the third time in a row
TCS
has emerged as the biggest Wealth Creator for the period 2010-15, retaining the top
spot it held even in the previous two study periods (2009-14 and 2008-13).
ITC
and
HDFC Bank
have also retained their No.2 and No.3 position for the third year in
succession.
8 of the top 10 Wealth Creators are the same as of last year.
Hindustan Unilever
and
Axis
Bank
have entered the top 10 replacing
Wipro
and
ICICI Bank.
Exhibit 1
Top 10 Biggest Wealth Creators
Rank Company
1 TCS
2 ITC
3 HDFC Bank
4 Sun Pharma
5 Hind. Unilever
6 HDFC
7 HCL Tech
8 Tata Motors
9 Infosys
10 Axis Bank
Total of Top 10
Total of Top 100
Wealth Created
INR b % share
3,458
10
1,565
5
1,540
4
1,405
4
1,374
4
1,241
4
1,130
3
1,071
3
1,048
3
774
2
14,605
43
34,233 100
CAGR (%)
Price
PAT
27
23
20
18
21
29
42
27
30
15
19
22
41
42
29
40
11
15
19
25
24
24
25
19
P/E (x)
2015 2010
25
22
27
24
24
29
47
27
43
24
24
24
19
19
11
15
21
24
18
19
23
23
27
21
RoE (%)
2015 2010
39
38
31
29
17
14
17
17
109
81
19
18
30
20
25
32
24
27
17
15
25
25
20
20
Exhibit 2
TCS is the biggest Wealth Creator for the third year in a row
Top Wealth Creators over the years
(INR b)
TCS (3)
Reliance Industries (5)
3,077
2,556
ONGC (3)
Hindustan Unilever
1,247
(HUL) (4)
Wipro
HUL
Wipro
(2)
1,030 1,065
3,638
3,458
1,856
1,514
1,742
ITC
2284
1,678
1,187
91
73
262 341
377 383
245
Key Takeaway
Reliance Industries’ rapid change of fortune
As recent as 2011, Reliance Industries was the Biggest Wealth Creator for the 5th successive
year. Since then, there has been a rapid change of its fortune. The next 3 years, Reliance failed
to make it to the top 100 Wealth Creators list. This year, it actually in the list of top 10 Biggest
Wealth Destroyers. Goes to show that companies can ill afford to rest on their past glory.
11 December 2015
33

20th Annual Wealth Creation Study (2010-2015)
#2
The Fastest Wealth Creators
Ajanta Pharma is the Fastest Wealth Creator
Ajanta Pharma
has emerged as the Fastest Wealth Creator during 2010-15, with a stock
price rise of 50x over 5 years (119% CAGR).
Eicher Motors
and
Page Industries
are among the top 10 Fastest Wealth Creators for the
last 4 studies.
Every single stock of the top 10 Fastest Wealth Creators has seen a massive P/E re-rating on
the back of hyper earnings growth.
The base market cap of all these stocks in 2010 was less than INR 20 billion, including 5 of
them in single-digit billion.
Exhibit 3
Top 10 Fastest Wealth Creators
Rank Company
1
2
3
4
5
6
7
8
9
10
Ajanta Pharma
Symphony
Eicher Motors
P I Industries
Page Industries
Wockhardt
Bajaj Finance
GRUH Finance
Blue Dart Express
Amara Raja Batteries
Price Appn.
(x)
50
39
25
22
17
13
13
11
10
10
CAGR (%)
Price
PAT
119
56
108
26
90
49
85
42
77
38
68
L to P
68
59
62
24
59
16
59
20
Mkt Cap (INR b)
2015
2010
108
2
91
2
431
17
83
3
153
9
205
15
205
12
88
8
173
17
142
14
P/E (x)
2015
2010
35
6
78
6
70
21
34
7
78
22
51
N.A.
23
13
43
11
133
28
35
8
Exhibit 4
History of Fastest Wealth Creators (5-year Price multiplier, x)
837
665
223
30
7
23
75
66
69
50
75
136
182
54
28
50
24
28
27
50
Key Takeaway
Look for small, well-managed companies with a scalable opportunity
All the Fastest Wealth Creators were small when purchased (i.e. in 2010) and operating in a
large sector (e.g. pharmaceuticals, finance, autos) or scalable niche (air-coolers, branded
innerwear). Under a sound management, such companies are able to clock a scorching pace
of earnings growth. This in turn also drives up valuations, leading to a very high level of
sustained Wealth Creation.
11 December 2015
34

20th Annual Wealth Creation Study (2010-2015)
#3
The Most Consistent Wealth Creators
Titan is the Most Consistent Wealth Creator
Titan Industries
is the Most Consistent Wealth Creator over the 10-year period 2005-15,
by virtue of –
1. Appearing among top 100 Wealth Creators in each of the last 10 studies; and
2. Highest 10-year Price CAGR (43%), ahead of
Sun Pharma
(36%) and
Asian Paints
(35%).
8 of the top 10 Most Consistent Wealth Creators are consumer-facing companies, with
Bosch
and
Cummins India
the only exceptions.
Exhibit 5
Top 10 Most Consistent Wealth Creators
Rank
1
2
3
4
5
6
7
8
9
10
Company
Titan Company
Sun Pharma
Asian Paints
Kotak Mahindra
Dabur India
Bosch
Axis Bank
Cummins India
Nestle India
M&M
Appeared in 10-yr Price 10-yr PAT
WC Study (x) CAGR (%) CAGR (%)
10
43
44
10
36
28
10
35
23
10
34
34
10
31
21
10
29
13
10
28
36
10
27
18
10
27
17
10
25
17
P/E (x)
2015 2005
42
45
46
22
56
22
33
25
44
21
63
17
18
20
36
17
52
22
25
9
RoE (%)
2015 2005
29
14
25
41
33
30
15
11
36
46
16
35
18
19
25
18
46
77
11
29
Exhibit 6
Consumer-facing companies more likely to be Consistent Wealth Creators
Consistent Wealth Creators based on last 5 Studies
Consumer-facing
Non Consumer-facing
Consumer &
Healthcare
Asian Paints (5)
ITC (2)
Nestle (2)
Sun Pharma (5)
Dabut (1)
Titan (1)
Auto
Hero Moto (1)
M & M (3)
Financials
Axis Bank (3)
HDFC (3)
HDFC Bank (4)
Kotak Mah. (5)
ACC (2)
Ambuja (2)
Bosch (3)
Hind. Zinc (2)
Infosys (2)
ONGC (1)
Reliance (1)
Siemens (1)
Cummins (1)
NOTE:
Bracket indicates number of times appeared within top 10 in last 5 Wealth Creation Studies
Key Takeaway
Market is a voting machine in the short run, weighing machine in the long run
For the top 10 Most Consistent Wealth Creators, the correlation co-efficient between 10-year
PAT CAGR and 10-year Price CAGR is a high 0.7. Thus, even as the market is a voting machine
in the short run, in the long run it a weighing machine, closely measuring earnings growth.
11 December 2015
35

20th Annual Wealth Creation Study (2010-2015)
#4
Wealth Creators Index (Wealthex) v/s BSE Sensex
Superior earnings and price performance over benchmark
We compare the performance of Wealthex (top 100 Wealth Creators index) with the BSE
Sensex on 3 parameters - (1) market performance, (2) earnings growth and (3) valuation.
Market performance:
Over 2010-15, Wealth Creating companies have delivered point-to-
point return CAGR of 25% v/s 10% for the BSE Sensex. March 2015 over March 2010,
Wealthex is up 210% whereas the Sensex is up 60% i.e. 150% outperformance over 5 years.
Earnings growth:
Wealthex clocked 5-year earnings CAGR of 19% v/s 10% for BSE Sensex.
Further, YoY earnings growth for Wealthex is higher for every year except 2012.
Valuation:
Wealthex P/E has seen a marginal re-rating vis-à-vis the Sensex. Thus, the 15pp
outperformance of Wealthex is explained largely by the 9pp higher earnings growth.
Exhibit 7
Wealthex v/s Sensex: Superior market performance on the back of higher earnings growth
Mar-10
BSE SENSEX
YoY (%)
Wealthex - based to Sensex
YoY (%)
Sensex EPS (Rs)
YoY (%)
Wealthex EPS (Rs)
YoY (%)
Sensex PE (x)
Wealthex PE (x)
17,528
17,528
834
839
21
21
Mar-11
19,445
11
22,362
28
1,024
23
1,248
49
19
18
Mar-12
17,404
-10
24,104
8
1,120
9
1,295
4
16
19
Mar-13
18,836
8
29,234
21
1,180
5
1,543
19
16
19
Mar-14
22,386
19
36,682
25
1,329
13
1,794
16
17
20
Mar-15
5 Year
CAGR (%)
27,957
10
25
54,275
25
48
1,353
10
2
2,044
19
14
21
0
27
5
Exhibit 8
Wealthex invariably outperforms benchmark indices handsomely
350
300
250
200
150
100
50
Wealth Creators Mkt Cap - Rebased
Sensex - Rebased
150% Outperformance
Key Takeaway
Markets are slave to earnings growth
For both the Wealth Creators and the Sensex, market performance is closely tracking earnings
growth, reconfirming the key takeaway in the previous section. In other words –
Superior earnings growth = Superior Wealth Creation
11 December 2015
36

20th Annual Wealth Creation Study (2010-2015)
#5
Wealth Creation: Sectoral analysis
Consumer/Retail is the highest ever Wealth Creating sector
After losing its top spot to Technology sector during 2009-14,
Consumer/Retail
has
re-emerged as India’s biggest Wealth Creating sector over 2010-2015.
The Wealth Created by the
Consumer/Retail
sector between 2010 and 2015 was INR 7.5
trillion, the highest ever by any sector.
Ironically, the sector’s 2010-15 PAT CAGR at 16% was lower than the Universe average of
19%. However, the sector has seen a massive P/E re-rating, from 28x in 2010 to 44x in 2015,
reflecting the market’s flight to relatively safe seculars rather than uncertain cyclicals.
Exhibit 9
Consumer/Retail is the top Wealth Creating sector, led by P/E rerating (flight to safety)
Sector
(No of companies)
Consumer/Retail (25)
Financials (17)
Technology (6)
Auto (14)
Healthcare (14)
Cement (5)
Capital Goods (5)
Telecom/Media (2)
Oil & Gas (3)
Others (9)
Total
WC Share of WC % CAGR 10-15, %
(INR B)
2015
2010
Price
PAT
7,519
22
7
28
16
6,712
20
15
23
21
6,170
18
10
23
23
4,914
14
5
29
21
4,481
13
4
31
29
1,337
4
2
21
-2
681
2
10
19
8
613
2
3
24
21
580
2
17
22
15
1,226
4
28
23
18
34,233
100
100
25
19
P/E, x
2015
2010
44
28
21
20
23
22
23
17
33
30
32
11
51
31
24
21
13
10
33
27
27
21
ROE, %
2015
2010
28
29
16
14
30
30
20
25
21
17
11
24
19
24
16
10
17
12
19
19
20
20
Exhibit 10
Consumer/Retail: All-time high in Wealth Creation
7,103
5,826
4,949
3,891
2,723
1,839
2,126
5,194
4,456
3,672
7,519
Oil &
Gas
2005
Oil &
Gas
2006
Oil &
Gas
2007
Oil &
Gas
2008
Oil &
Gas
2009
Metals/
Mining
2010
Finan-
cials
2011
Finan- Consumer Techno- Consumer
cials
& Retail
logy
& Retail
2012
2013
2014
2015
Key Takeaway
Value Migration is increasingly becoming the key driver of rapid Wealth Creation
Three of the top 5 Wealth Creating sectors – Financials, Technology and Healthcare – are
beneficiaries of Value Migration i.e. flow of value from outmoded business designs to new
business designs. In Financials, value is migrating from public sector banks to private banks. In
Technology and Healthcare, value is migrating from developed world to emerging markets.
11 December 2015
37

20th Annual Wealth Creation Study (2010-2015)
#6
Wealth Creation: Ownership – Private v/s PSU
PSUs’ decade of decline: Wealth Creation hits rock bottom
PSUs’ (public sector undertakings) Wealth Creation performance during 2010-15 is a virtual
repeat of the previous study (2009-14):
– The number of PSUs in the top 100 Wealth Creators is at an all-time low of only 5.
– The Wealth Created by these 5 PSUs is also at an all-time low of just 2% of total, from as
high as 51% over 2000-05, signaling near-total value migration to the private sector.
The 5 Wealth Creating PSUs are
BPCL, HPCL, Petronet LNG, Concor
and
LIC Housing.
Even these 5 companies on average are weaker than their private counterparts on all key
metrics – 5-year Sales CAGR, PAT CAGR, Average RoE and Price CAGR.
Exhibit 11
PSUs’ woes continue
49
51
36
25
35
27
No. of PSUs
% of Wealth Created
30
27
20
9
11
28
30
26
18
25
16
22
24
20
2
5
2
5
Exhibit 12
The PSU Wealth Creators are weaker than
2010-2015
PSU
Private
5
95
2
98
their private counterparts on every single parameter
Exhibit 13
3 of the 5 PSU Wealth Creators are
from Oil & Gas (BPCL, HPCL and Petronet LNG)
Oil & Gas
69%
No. of Wealth Creators in Top 100
Share of Wealth Created (%)
5-year Sales CAGR (%)
5-year PAT CAGR (%)
5-year Price CAGR (%)
P/E - 2010 (x)
P/E - 2015 (x)
RoE - 2010 (%)
RoE - 2015 (%)
15
14
19
12
15
14
17
19
20
26
21
27
20
20
Others
16%
Financials
15%
Key Takeaway
Entrepreneurship – the differentiator between private sector and PSUs
The key differentiator between private sector and PSUs is the spirit of entrepreneurship of
business owners and professional managers i.e. a strong focus on profit and profitability.
There appear to be only two solutions to end PSUs’ woes – (1) aggressive professionalization
and/or (2) active disinvestment / privatization.
11 December 2015
38

20th Annual Wealth Creation Study (2010-2015)
#7
Wealth Creation: Age & Size (market cap)
Catch ’em young! …
The youngest companies (1-20 years) have created the most wealth (40% of total) and also
the fastest (Price CAGR of 27%).
This is on the back of highest PAT growth (25% CAGR), accompanied with the highest delta
in RoE (20% in 2015 v/s 16% in 2010).
Exhibit 14
Youngest companies have created more wealth and at a faster pace
2010 Age
Range
No. of
Cos.
WC
(INR b)
% Share
of WC
CAGR (%)
Price
PAT
PE (x)
2015
2010
RoE (%)
2015
2010
1-20
21-40
41-60
Above 61
Total
31
35
16
18
100
13,846
10,130
3,433
6,824
34,233
40
30
10
20
100
27
25
26
23
25
25
17
17
15
19
26
29
31
24
27
24
21
21
17
21
20
20
18
22
20
16
21
15
29
20
… and small!
38 out of 100 Wealth Creators had market cap of less than INR 50b in 2010.
These companies have clocked the highest Price CAGR of 45% (v/s average 25%).
This is on the back of highest PAT CAGR of 28% (v/s average 19%).
Between 2010 and 2015, small caps also saw the highest P/E re-rating – from 23x in 2010 to
42x in 2015.
Exhibit 15
Small caps continue to create big wealth!
45
PAT CAGR (%)
Price CAGR (%)
28
29
31
24
Avg Price
CAGR: 25%
21
22
18
15
Avg PAT
CAGR: 19%
7
1-50
50-100
100-150
150-200
>200
2010 Market Cap Range (INR b)
Key Takeaway
Small is big in Wealth Creation!
Small companies enjoy the low-base effect, and are able to clock PAT growth significantly
higher than their larger counterparts. They are also relatively unknown to begin with. Once
their growth story gets recognized, their valuations also get re-rated, leading to rapid pace of
Wealth Creation.
11 December 2015
39

20th Annual Wealth Creation Study (2010-2015)
#8
Wealth Creation: Earnings growth & Market Cap
Earnings growth is non-negotiable for Wealth Creation
Year after year, our study re-confirms the near-direct correlation between pace of Wealth
Creation and earnings growth.
Over 2010-15, Price CAGR was progressively higher with higher PAT CAGR.
Exhibit 16
Higher the earnings growth, higher the Price CAGR
37
Average Price CAGR: 25%
24
19
26
<10
10-20
20-30
2010-2015 PAT CAGR Range (%)
>30
Small is big for Wealth Creation
Data for 2010-15 suggest a near-perfect inverse relation between size and speed of Wealth
Creation i.e. smaller the market cap, faster is the Wealth Created.
Exhibit 17
Near-perfect inverse relation between size and pace of Wealth Creation (i.e. Price CAGR)
45
31
Avg Price CAGR: 25%
24
22
29
Up to 50
50-100
100-150
150-200
2010 Market Cap Range (INR b)
>200
Key Takeaway
Small cap or large cap?
Our Wealth Creation studies consistently suggest merit of investing in mid- and small caps. At
the same time, however, they are prone to high mortality, whereas large caps stand for
stability of returns, albeit somewhat lower than their smaller counterparts. Portfolios with a
healthy mix of the two should be an ideal strategy for investors.
11 December 2015
40

20th Annual Wealth Creation Study (2010-2015)
#9
Wealth Creation: Valuation parameters analysis
Low valuation, high returns
The general rule of low valuation, high returns held true in 2010-15.
Every study invariably suggests that the highest return is generated when payback ratio is
less than 1x.
(Payback is a proprietary ratio of Motilal Oswal, defined as current market cap divided by
estimated profits over the next five years. For 2010, we calculate this ratio based on the
actual profits reported over the next five years).
Exhibit 18
Payback ratio less than 1x remains a sure shot formula for multi-baggers
Range
No. of
WC
% Share
CAGR (%)
PE (x)
in 2010
Cos.
(INR b)
of WC
Price
PAT
2015
2010
P/E
RoE (%)
2015
2010
Loss-making
<10
10-20
20-30
> 30
Total
Price / Book
4
12
33
35
16
100
862
1,579
9,883
18,884
3,026
34,233
3
5
29
55
9
100
35
28
28
24
24
25
L to L
1
21
20
25
19
NA
25
20
28
41
27
NA
8
15
24
43
21
-7
13
19
23
20
20
-21
21
21
20
17
20
<2
2-3
3-4
4-5
>5
Total
Price / Sales
11
22
16
12
39
100
2,188
4,233
5,613
7,194
15,006
34,233
6
12
16
21
44
100
31
20
31
28
24
25
17
15
18
25
20
19
21
19
28
27
31
27
12
16
17
25
26
21
16
15
17
18
30
20
12
15
20
18
32
20
<1
1-2
2-3
3-4
>4
Total
Payback ratio
20
21
23
11
25
100
4,200
5,552
6,549
4,297
13,634
34,233
12
16
19
13
40
100
36
29
28
21
23
25
32
16
14
22
19
19
19
26
36
23
28
27
16
15
20
24
24
21
20
16
21
18
23
20
14
20
27
13
24
20
<1
1-2
2-3
>3
Total
21
28
34
17
100
4,863
10,364
15,397
3,610
34,233
14
30
45
11
100
38
28
23
21
25
34
18
18
8
19
20
24
28
52
27
17
16
23
30
21
22
20
20
20
20
18
22
18
27
20
11 December 2015
41

20th Annual Wealth Creation Study (2010-2015)
#10
Wealth Destruction: Companies & Sectors
The Commodity Collapse
The total Wealth Destroyed during 2010-15 is INR 14.6 trillion, 43% of the total Wealth
Created by top 100 companies. This is a significant jump from the previous 5-year period.
8 of the top 10 Wealth Destroying companies are engaged in global commodity business.
The only exceptions are
BHEL
and
NTPC.
6 of the top 10 Wealth Destroyers are PSUs. Of these, 5 –
MMTC, SAIL, NMDC, BHEL
and
NTPC
– are in the top 10 list for the third consecutive year.
Exhibit 19
Global commodity companies top Wealth Destroyers list
Company
Wealth Destroyed
INR b
% Share
1,522
820
758
651
593
505
492
435
427
293
6,494
14,654
10
6
5
4
4
3
3
3
3
2
44
100
Price
CAGR (%)
-50
-5
-23
-15
-13
-26
-7
-35
-17
-13
The usual suspects at the sector level too
Sector
Metals / Mining
Utilities
Constn / Real Estate
Capital Goods
Oil & Gas
Banking & Finance
Telecom
Technology
Textiles
Chemicals & Fertilizers
Others
Total
Wealth
Destroyed
(INR b)
3,866
1,905
1,371
1,165
1,106
873
466
442
322
210
2,927
14,654
%
Share
26
13
9
8
8
6
3
3
2
1
20
100
Exhibit 20
MMTC
Reliance Industries
SAIL
NMDC
BHEL
Jindal Steel
NTPC
Hindustan Copper
Vedanta
Tata Steel
Total of Above
Total Wealth Destroyed
Exhibit 21
Level of Wealth Destruction up during 2010-15
Wealth destroyed (INR B)
% of Wealth Created by top 100 Wealth Creators
93
43
18
1
2,586
124
1
142
0
59
1,704
2
650
15
3,254
33
14
43
5,425
17,140
4,185
14,654
Key Takeaway
The roller-coaster ride of cyclicals
From 2005 to 2010, 5-7 cyclicals invariably featured in the top 10 biggest Wealth Creators.
.
Things have turned the full cycle in the last 5 years, with a similar number featuring among
the top Wealth Destroyers. However, if all the government’s measures to kick-start the
economy go through, the cycle may turn positive yet again and cyclicals may regain their lost
glory. Investors need to decide whether they wish to ride this roller-coaster or stay away.
11 December 2015
42

20th Annual Wealth Creation Study (2010-2015)
Space for Notes
11 December 2015
43

20th Annual Wealth Creation Study (2010-2015)
Appendix 1: MOSL 100: Biggest Wealth Creators (2010-2015)
Rank
1
2
3
4
5
6
7
8
9
10
11
12
13
14
15
16
17
18
19
20
21
22
23
24
25
26
27
28
29
30
31
32
33
34
35
36
37
38
39
40
41
42
43
44
45
46
47
48
49
50
Rank
Company
TCS
ITC
HDFC Bank
Sun Pharma
Hindustan Unilever
HDFC
HCL Technologies
Tata Motors
Infosys
Axis Bank
Lupin
ICICI Bank
Maruti Suzuki
Bosch
Kotak Mahindra Bank
Asian Paints
UltraTech Cement
Eicher Motors
Nestle India
M&M
Motherson Sumi
Idea Cellular
BPCL
Dr Reddy's Labs
Tech Mahindra
IndusInd Bank
United Spirits
Dabur India
Adani Ports
Aurobindo Pharma
Cipla
Shree Cement
Bajaj Auto
Titan Company
Godrej Consumer
Pidilite Industries
Cadila Healthcare
Bharat Forge
Siemens
Yes Bank
Britannia Industries
Grasim Industries
Zee Entertainment
Ambuja Cements
United Breweries
GSK Consumer
Wockhardt
Bajaj Finance
Colgate-Palmolive
Emami
Company
Wealth Created
INR b
Share (%)
3,458
10.1
1,565
4.6
1,540
4.5
1,405
4.1
1,374
4.0
1,241
3.6
1,130
3.3
1,071
3.1
1,048
3.1
774
2.3
757
2.2
730
2.1
691
2.0
646
1.9
628
1.8
580
1.7
505
1.5
413
1.2
411
1.2
411
1.2
404
1.2
403
1.2
396
1.2
377
1.1
365
1.1
364
1.1
338
1.0
327
1.0
312
0.9
301
0.9
300
0.9
295
0.9
293
0.9
266
0.8
263
0.8
250
0.7
244
0.7
239
0.7
234
0.7
222
0.6
221
0.6
212
0.6
211
0.6
210
0.6
208
0.6
202
0.6
190
0.6
182
0.5
182
0.5
181
0.5
Wealth Created
INR b
Share (%)
CAGR (2010-15, %)
Price
PAT
Sales
27
23
26
20
18
15
21
29
26
42
27
47
30
15
13
19
22
14
41
42
25
29
40
23
11
15
19
19
25
25
44
29
22
11
21
13
21
8
11
40
18
20
29
18
24
32
11
17
20
14
28
90
49
24
21
13
14
17
5
20
56
29
39
23
27
21
26
24
15
22
46
16
24
30
37
39
39
29
23
Loss
8
27
16
18
14
28
33
45
23
28
16
2
16
36
-9
12
15
14
13
34
27
20
32
22
32
39
13
17
26
18
19
38
LP
18
13
-3
3
26
33
37
46
46
16
5
-11
10
21
9
17
16
4
7
39
24
16
33
20
18
68
LP
0
68
59
44
24
5
15
37
23
17
CAGR (2010-15, %)
Price
PAT
Sales
RoE (%)
2015
2010
39
38
31
29
17
14
17
17
109
81
19
18
30
20
25
32
24
27
17
15
27
27
14
9
16
22
18
17
14
16
29
49
11
24
24
8
42
113
12
24
26
21
14
8
21
12
24
9
21
24
17
16
-256
-1
32
54
21
20
31
31
11
18
8
37
27
59
26
34
21
36
23
31
27
31
22
-4
14
25
17
15
55
36
8
25
28
17
15
19
14
11
28
26
12
-
19
8
73
131
39
27
RoE (%)
2015
2010
P/E (x)
2015
2010
25
22
27
24
24
29
47
27
43
24
24
24
19
19
11
15
21
24
18
19
38
21
15
23
29
16
60
26
33
20
56
23
38
13
70
21
56
39
24
13
52
19
21
23
12
11
25
61
23
15
26
20
-32
-731
44
27
28
47
23
9
48
25
88
12
19
18
43
33
39
24
60
21
31
22
39
-89
82
35
17
18
38
37
19
8
34
18
27
15
102
51
45
27
51
-2
23
13
49
21
47
28
P/E (x)
2015
2010
44
11 December 2015

20th Annual Wealth Creation Study (2010-2015)
Appendix 1: MOSL 100: Biggest Wealth Creators (2010-2015) … continued
Rank
51
52
53
54
55
56
57
58
59
60
61
62
63
64
65
66
67
68
69
70
71
72
73
74
75
76
77
78
79
80
81
82
83
84
85
86
87
88
89
90
91
92
93
94
95
96
97
98
99
100
Rank
Company
Marico
P & G Hygiene
Bajaj Finserv
Blue Dart Express
Havells India
Castrol India
Torrent Pharma
Sundaram Finance
Divi's Labs
Page Industries
Cummins India
Glenmark Pharma
Container Corpn
Apollo Hospitals
GSK Pharma
MRF
Shriram Transport
UPL
Ashok Leyland
LIC Housing Finance
Amara Raja Batteries
Berger Paints
ACC
HPCL
Gillette India
CRISIL
TVS Motor
Ajanta Pharma
Aditya Birla Nuvo
Bayer Crop Science
Mahindra Finance
WABCO India
Shriram City Union
SPARC
Symphony
Piramal Enterprises
Mindtree
Hexaware Tech
Kansai Nerolac
GRUH Finance
AIA Engineering
Supreme Industries
P I Industries
Bajaj Holdings
Jubilant Foodworks
Alstom T&D India
Whirlpool India
Petronet LNG
Info Edge (India)
Godrej Industries
TOTAL
Company
Wealth Created
INR b
Share (%)
181
0.5
169
0.5
163
0.5
156
0.5
153
0.4
152
0.4
151
0.4
148
0.4
148
0.4
144
0.4
142
0.4
141
0.4
139
0.4
138
0.4
138
0.4
136
0.4
134
0.4
131
0.4
130
0.4
130
0.4
128
0.4
124
0.4
115
0.3
112
0.3
111
0.3
107
0.3
106
0.3
106
0.3
102
0.3
101
0.3
95
0.3
95
0.3
94
0.3
94
0.3
89
0.3
86
0.3
86
0.2
84
0.2
82
0.2
80
0.2
80
0.2
79
0.2
78
0.2
78
0.2
77
0.2
73
0.2
73
0.2
72
0.2
70
0.2
68
0.2
34,233
100
Wealth Created
INR b
Share (%)
CAGR (2010-15, %)
Price
PAT
Sales
29
20
17
29
14
21
33
-26
-27
59
16
20
38
41
11
22
4
7
34
27
20
52
16
16
21
20
27
77
38
35
19
12
9
24
8
22
13
6
11
30
20
21
14
-1
11
42
29
19
16
3
15
24
17
18
21
-21
16
20
15
26
59
20
24
48
17
18
10
-6
7
15
0
14
28
3
17
31
11
18
45
58
18
119
56
29
13
56
11
39
25
18
28
21
31
52
9
18
35
24
27
38
Loss
35
108
26
25
15
43
7
35
20
22
56
19
20
27
11
16
62
24
28
26
20
18
50
16
16
85
42
29
16
-9
6
36
27
34
14
-9
1
36
8
9
18
17
30
31
-14
25
20
15
22
25
19
18
CAGR (2010-15, %)
Price
PAT
Sales
RoE (%)
2015
2010
31
35
28
34
5
21
42
14
21
17
96
77
30
28
15
18
24
22
51
40
27
28
16
14
14
18
11
8
25
28
20
18
11
23
20
18
4
18
18
20
24
31
21
20
14
27
11
12
21
24
32
37
27
5
37
18
11
3
19
23
15
20
14
29
14
19
-40
-153
38
43
24
29
27
32
25
16
17
21
29
26
21
19
27
38
27
32
15
25
17
28
9
22
23
73
16
18
2
14
12
12
20
20
RoE (%)
2015
2010
P/E (x)
2015
2010
44
29
68
36
176
9
133
28
49
52
49
22
26
20
29
8
28
26
78
22
31
23
45
22
29
22
56
33
61
30
18
12
25
14
17
12
156
18
16
12
35
8
55
17
25
11
15
7
99
34
54
24
38
58
35
6
15
61
32
20
16
10
89
17
23
11
-295
-96
78
6
5
18
20
11
29
7
43
21
43
11
27
22
28
8
34
7
17
5
87
61
123
38
44
14
15
14
419
46
29
22
27
21
P/E (x)
2015
2010
45
11 December 2015

20th Annual Wealth Creation Study (2010-2015)
Appendix 2: MOSL 100: Fastest Wealth Creators (2010-2015)
Rank Company
2010-15 Price
CAGR (%) Times (x)
1
Ajanta Pharma
119
50.5
2
Symphony
108
39.0
3
Eicher Motors
90
24.6
4
P I Industries
85
21.7
5
Page Industries
77
17.2
6
Wockhardt
68
13.4
7
Bajaj Finance
68
13.2
8
GRUH Finance
62
11.1
9
Blue Dart Express
59
10.2
10 Amara Raja Batteries
59
10.2
11 Motherson Sumi
56
9.3
12 Hexaware Tech
56
9.2
13 WABCO India
52
8.2
14 Sundaram Finance
52
8.1
15 Supreme Industries
50
7.7
16 Berger Paints
48
7.1
17 Britannia Industries
46
6.7
18 TVS Motor
45
6.4
19 Aurobindo Pharma
45
6.4
20 Lupin
44
6.2
21 Sun Pharma
42
5.7
22 MRF
42
5.7
23 HCL Technologies
41
5.5
24 Bosch
40
5.3
25 Pidilite Industries
39
5.3
26 United Breweries
39
5.2
27 IndusInd Bank
39
5.2
28 Bayer Crop Science
39
5.1
29 Havells India
38
5.1
30 Bharat Forge
38
5.0
31 SPARC
38
5.0
32 Emami
37
4.9
33 Jubilant Foodworks
36
4.7
34 Shree Cement
36
4.7
35 Whirlpool India
36
4.6
36 Mindtree
35
4.4
37 Shri.City Union.
35
4.4
38 Torrent Pharma
34
4.3
39 Titan Company
34
4.3
40 Bajaj Finserv
33
4.2
41 GSK Consumer
33
4.2
42 Godrej Consumer
32
4.0
43 Asian Paints
32
4.0
44 Info Edge (India)
31
3.9
45 CRISIL
31
3.9
46 Apollo Hospitals
30
3.7
47 Hindustan Unilever
30
3.7
48 Tata Motors
29
3.6
49 P & G Hygiene
29
3.6
50 Marico
29
3.6
Rank Company
2010-15 Price
CAGR (%) Times (x)
11 December 2015
CAGR 10-15 (%)
PAT
Sales
56
29
26
25
49
24
42
29
38
35
LP
0
59
44
24
28
16
20
20
24
29
39
19
20
9
18
16
16
16
16
17
18
46
16
58
18
23
28
29
22
27
47
29
19
42
25
18
20
13
17
24
16
39
29
25
18
41
11
LP
18
Loss
35
23
17
27
34
-9
12
8
9
20
22
24
27
27
20
27
20
-26
-27
20
18
22
32
11
17
-14
25
11
18
20
21
15
13
40
23
14
21
20
17
CAGR 10-15 (%)
PAT
Sales
Wealth Created
INR b Share (%)
106
0
89
0
413
1
78
0
144
0
190
1
182
1
80
0
156
0
128
0
404
1
84
0
95
0
148
0
79
0
124
0
221
1
106
0
301
1
757
2
1,405
4
136
0
1,130
3
646
2
250
1
208
1
364
1
101
0
153
0
239
1
94
0
181
1
77
0
295
1
73
0
86
0
94
0
151
0
266
1
163
0
202
1
263
1
580
2
70
0
107
0
138
0
1,374
4
1,071
3
169
0
181
1
Wealth Created
INR b Share (%)
RoE (%)
2015 2010
37
18
38
43
24
8
27
32
51
40
12
-
19
8
29
26
42
14
24
31
26
21
25
16
14
29
15
18
27
38
21
20
55
36
27
5
31
31
27
27
17
17
20
18
30
20
18
17
23
31
14
11
17
16
19
23
21
17
22
-4
-40
-153
39
27
17
28
8
37
23
73
27
32
14
19
30
28
26
34
5
21
28
26
21
36
29
49
2
14
32
37
11
8
109
81
25
32
28
34
31
35
RoE (%)
2015 2010
P/E (x)
2015
2010
35
6
78
6
70
21
34
7
78
22
51
-2
23
13
43
11
133
28
35
8
52
19
29
7
89
17
29
8
28
8
55
17
38
37
38
58
23
9
38
21
47
27
18
12
19
19
60
26
60
21
102
51
26
20
32
20
49
52
39
-89
-295
-96
47
28
87
61
88
12
44
14
20
11
23
11
26
20
43
33
176
9
45
27
39
24
56
23
419
46
54
24
56
33
43
24
11
15
68
36
44
29
P/E (x)
2015
2010
46

20th Annual Wealth Creation Study (2010-2015)
Appendix 2: MOSL 100: Fastest Wealth Creators (2010-2015) … continued
Rank Company
2010-15 Price
CAGR (%) Times (x)
51 Kotak Mahindra Bank
29
3.5
52 Mahindra Finance
28
3.4
53 Gillette India
28
3.4
54 Dabur India
27
3.3
55 Kansai Nerolac
27
3.3
56 TCS
27
3.3
57 Yes Bank
26
3.2
58 Cadila Healthcare
26
3.2
59 B P C L
26
3.1
60 AIA Engineering
26
3.1
61 Colgate-Palmolive
24
3.0
62 UPL
24
3.0
63 Glenmark Pharma
24
3.0
64 Tech Mahindra
24
2.9
65 Idea Cellular
23
2.8
66 United Spirits
23
2.8
67 Castrol India
22
2.7
68 Dr Reddy's Labs
22
2.7
69 HDFC Bank
21
2.6
70 Divi's Labs
21
2.6
71 Ashok Leyland
21
2.6
72 Maruti Suzuki
21
2.6
73 Nestle India
21
2.6
74 Zee Entertainment
21
2.5
75 LIC Housing Finance
20
2.5
76 UltraTech Cement
20
2.5
77 ITC
20
2.5
78 Godrej Industries
20
2.5
79 H D F C
19
2.4
80 Axis Bank
19
2.4
81 Cummins India
19
2.4
82 Petronet LNG
18
2.3
83 M & M
17
2.2
84 Bajaj Holdings
16
2.1
85 Ambuja Cements
16
2.1
86 Shriram Transport
16
2.1
87 Cipla
16
2.1
88 Piramal Enterprises
15
2.1
89 H P C L
15
2.0
90 Bajaj Auto
15
2.0
91 Adani Ports
14
1.9
92 GSK Pharma
14
1.9
93 Alstom T&D India
14
1.9
94 Siemens
13
1.9
95 Aditya Birla Nuvo
13
1.8
96 Container Corpn
13
1.8
97 Grasim Industries
5
1.3
98 Infosys
11
1.7
99 ICICI Bank
11
1.7
100 ACC
10
1.6
TOTAL
25
3.1
Rank Company
2010-15 Price
CAGR (%) Times (x)
11 December 2015
CAGR (10-15, %)
PAT
Sales
18
24
21
31
3
17
16
18
11
16
23
26
33
37
18
19
24
15
20
18
5
15
17
18
8
22
30
37
27
21
Loss
8
4
7
46
16
29
26
20
27
-21
16
8
11
13
14
9
17
15
26
14
28
18
15
15
22
22
14
25
25
12
9
17
30
5
20
-9
6
4
7
3
15
2
16
43
7
0
14
14
13
28
33
-1
11
-9
1
-3
3
56
11
6
11
-11
10
15
19
21
13
-6
7
19
18
CAGR (10-15, %)
PAT
Sales
Wealth Created
INR b Share (%)
628
2
95
0
111
0
327
1
82
0
3,458
10
222
1
244
1
396
1
80
0
182
1
131
0
141
0
365
1
403
1
338
1
152
0
377
1
1,540
4
148
0
130
0
691
2
411
1
211
1
130
0
505
1
1,565
5
68
0
1,241
4
774
2
142
0
72
0
411
1
78
0
210
1
134
0
300
1
86
0
112
0
293
1
312
1
138
0
73
0
234
1
102
0
139
0
212
1
1,048
3
730
2
115
0
34,233
100
Wealth Created
INR b Share (%)
RoE (%)
2015 2010
14
16
15
20
21
24
32
54
17
21
39
38
17
15
27
31
21
12
21
19
73
131
20
18
16
14
21
24
14
8
-256
-1
96
77
24
9
17
14
24
22
4
18
16
22
42
113
28
17
18
20
11
24
31
29
12
12
19
18
17
15
27
28
16
18
12
24
15
25
15
19
11
23
11
18
24
29
11
12
27
59
21
20
25
28
9
22
14
25
11
3
14
18
8
25
24
27
14
9
14
27
20
20
RoE (%)
2015 2010
P/E (x)
2015
2010
33
20
16
10
99
34
44
27
43
21
25
22
17
18
31
22
12
11
27
22
49
21
17
12
45
22
23
15
21
23
-32
-731
49
22
25
61
24
29
28
26
156
18
29
16
56
39
34
18
16
12
38
13
27
24
29
22
24
24
18
19
31
23
15
14
24
13
17
5
27
15
25
14
48
25
5
18
15
7
19
18
28
47
61
30
123
38
82
35
15
61
29
22
19
8
21
24
15
23
25
11
27
21
P/E (x)
2015
2010
47

20th Annual Wealth Creation Study (2010-2015)
Appendix 3: MOSL 100: Alphabetical order
WC Rank
Company
ACC
Adani Ports
Aditya Birla Nuvo
AIA Engineering
Ajanta Pharma
Alstom T&D India
Amara Raja Batteries
Ambuja Cements
Apollo Hospitals
Ashok Leyland
Asian Paints
Aurobindo Pharma
Axis Bank
BPCL
Bajaj Auto
Bajaj Finance
Bajaj Finserv
Bajaj Holdings
Bayer Crop Science
Berger Paints
Bharat Forge
Blue Dart Express
Bosch
Britannia Industries
Cadila Healthcare
Castrol India
Cipla
Colgate-Palmolive
Container Corpn
CRISIL
Cummins India
Dabur India
Divi's Labs
Dr Reddy's Labs
Eicher Motors
Emami
Gillette India
GSK Pharma
GSK Consumer
Glenmark Pharma
Godrej Consumer
Godrej Industries
Grasim Industries
GRUH Finance
HDFC
HPCL
Havells India
HCL Technologies
HDFC Bank
Hexaware Tech
Biggest Fastest
73
29
79
91
78
96
71
44
64
69
16
30
10
23
33
48
53
94
80
72
38
54
14
41
37
56
31
49
63
76
61
28
59
24
18
50
75
65
46
62
35
100
42
90
6
74
55
7
3
88
100
91
95
60
1
93
10
85
46
71
43
19
80
59
90
7
40
84
28
16
30
9
24
17
58
67
87
61
96
45
81
54
70
68
3
32
53
92
41
63
42
78
97
8
79
89
29
23
69
12
Wealth Created
Price
Price
INR b
CAGR % Mult. (x)
115
10
1.6
312
14
1.9
102
13
1.8
80
26
3.1
106
119
50.5
73
14
1.9
128
59
10.2
210
16
2.1
138
30
3.7
130
21
2.6
580
32
4.0
301
45
6.4
774
19
2.4
396
26
3.1
293
15
2.0
182
68
13.2
163
33
4.2
78
16
2.1
101
39
5.1
124
48
7.1
239
38
5.0
156
59
10.2
646
40
5.3
221
46
6.7
244
26
3.2
152
22
2.7
300
16
2.1
182
24
3.0
139
13
1.8
107
31
3.9
142
19
2.4
327
27
3.3
148
21
2.6
377
22
2.7
413
90
24.6
181
37
4.9
111
28
3.4
138
14
1.9
202
33
4.2
141
24
3.0
263
32
4.0
68
20
2.5
212
5
1.3
80
62
11.1
1241
19
2.4
112
15
2.0
153
38
5.1
1130
41
5.5
1540
21
2.6
84
56
9.2
WC Rank
Company
Hindustan Unilever
ICICI Bank
Idea Cellular
IndusInd Bank
Info Edge (India)
Infosys
ITC
Jubilant Foodworks
Kansai Nerolac
Kotak Mahindra
LIC Housing Finance
Lupin
M&M
Mahindra Finance
Marico
Maruti Suzuki
Mindtree
Motherson Sumi
MRF
Nestle India
P & G Hygiene
P I Industries
Page Industries
Petronet LNG
Pidilite Industries
Piramal Enterprises
Shree Cement
Shriram City Union
Shriram Transport
Siemens
SPARC
Sun Pharma
Sundaram Finance
Supreme Industries
Symphony
Tata Motors
TCS
Tech Mahindra
Titan Company
Torrent Pharma
TVS Motor
UltraTech Cement
United Breweries
United Spirits
UPL
WABCO India
Whirlpool India
Wockhardt
Yes Bank
Zee Entertainment
Biggest Fastest
5
12
22
26
99
9
2
95
89
15
70
11
20
81
51
13
87
21
66
19
52
93
60
98
36
86
32
83
67
39
84
4
58
92
85
8
1
25
34
57
77
17
45
27
68
82
97
47
40
43
47
99
65
27
44
98
77
33
55
51
75
20
83
52
50
72
36
11
22
73
49
4
5
82
25
88
34
37
86
94
31
21
14
15
2
48
56
64
39
38
18
76
26
66
62
13
35
6
57
74
Wealth Created
Price
Price
INR b
CAGR % Mult. (x)
1374
30
3.7
730
11
1.7
403
23
2.8
364
39
5.2
70
31
3.9
1048
11
1.7
1565
20
2.5
77
36
4.7
82
27
3.3
628
29
3.5
130
20
2.5
757
44
6.2
411
17
2.2
95
28
3.4
181
29
3.6
691
21
2.6
86
35
4.4
404
56
9.3
136
42
5.7
411
21
2.6
169
29
3.6
78
85
21.7
144
77
17.2
72
18
2.3
250
39
5.3
86
15
2.1
295
36
4.7
94
35
4.4
134
16
2.1
234
13
1.9
94
38
5.0
1405
42
5.7
148
52
8.1
79
50
7.7
89
108
39.0
1071
29
3.6
3458
27
3.3
365
24
2.9
266
34
4.3
151
34
4.3
106
45
6.4
505
20
2.5
208
39
5.2
338
23
2.8
131
24
3.0
95
52
8.2
73
36
4.6
190
68
13.4
222
26
3.2
211
21
2.5
11 December 2015
48

Over the last 20 years, the Motilal Oswal Annual Wealth Creation
Study has covered several aspects of Wealth Creation.
In the pages that follow, we present at a glance, the highlights
and insights gleaned from these 20 Wealth Creation Studies.

Motilal Oswal Annual Wealth Creation Studies
Highlights & Insights
STUDY 1: 1991-1996
Essence
Wealth creating companies
have substantially high RoE
(Return on Equity) and RoCE
(Return on Capital Employed).
There is also a high correlation
between RoE and P/E.
Highlights & Insights
Right judgment of long-term sustainability,
prosperity of business, and responsible
management play a crucial role in identifying
wealth creators.
Wealth creation occurs when a great
management runs a great business. But if an
outsider were to buy into such great
businesses through the stock market, he/she
must enter at the right price to earn
substantial appreciation.
Aspects of Wealth
Creation
STUDY 2: 1992-1997
Good Businesses
Which Get Better
Essence
For sustained wealth creation,
“The principle one must bear
in mind while identifying a right business is that
the business economics must
not only be distinctly superior but should get
better with time.”
Highlights & Insights
RoE is a product of three key ratios: (1) Net
Profit to Sales (PAT Margin); (2) Sales to
Assets (Asset Turnover); and (3) Asset to
Equity (Gearing).
Wealth creators tend to exhibit rising PAT
margin, stable asset turnover and a falling
gearing (i.e. funding expansions through
internal accruals).
RoCE of wealth creators tends to be
substantially higher than the prevailing
coupon rate.
STUDY 3: 1993-1998
Competitive Strengths of
Wealth Creators
Essence
Successful equity investing is: (1) Identifying the
right business (2) Which is run by a competent
management; and (3) Is acquired at a price which
is at a huge discount to its underlying value.
Highlights & Insights
Widespread usage of IT in the years to come
and India's competitive advantage in this
sector would provide exciting opportunities.
With global integration, businesses such as
pharma will benefit significantly from an
improvement in their business economics.
Earnings power is the
prime source of wealth
creation. Arithmetically,
Price/Book (Mkt Cap/NW)
= RoE (PAT/NW) x P/E
(Mkt Cap/PAT).
Essence
High earnings growth firms with high RoE, bought
at a reasonable PEG (PE/Earnings Growth ratio),
create maximum wealth.
Highlights & Insights
Earnings growth and earning power are the
key drivers to wealth creation.
The value of any company depends primarily
on three factors: (1) Current profit,
(2) Current capital employed, (3) Future
growth in profits and profitability
Consistency, profitability and sustainability
are the key drivers to the
valuation of growth.
One valuation ratio which
captures growth is PEG
(P/E to Earnings growth).
How to Value Growth
STUDY 4: 1994-1999
(ii)

Motilal Oswal Annual Wealth Creation Studies
Highlights & Insights
STUDY 5: 1995-2000
Essence
A high-growth business, run by
an outstanding management,
and purchased with a five-year
payback outlook of <1, has a
good chance of being a big
winner.
Highlights & Insights
Key characteristics of multi-baggers:
Growth story where the business has a
tailwind
Huge opportunity size
Great business economics i.e. favourable
competitive landscape leading to high RoE
Outstanding management (Management
should have a long-range profit outlook. It has
to have unquestionable integrity.)
Significant re-rating potential
Characteristics of
Multi-Baggers
STUDY 6: 1996-2001
Components of Value
Essence
There are five Forces of
Wealth Creation – Return on
Capital Employed, Capital
Employed, Growth in Capital
Employed, Cost of Capital and
Margin of Safety.
Highlights & Insights
Value of a share is the present value of future
free cash flows, and is given by the formula:
C x (RoC – G)/(R – G)
where C: Capital Employed; RoC: Return on
Capital; G: Growth in Capital Employed; R:
Cost of Capital
The above four factors combined with Margin
of Safety, together make up what we call the
Five Forces of Wealth Creation.
STUDY 7: 1997-2002
Value of Stock
Essence
“At all times, in all markets in all parts of the
world, the tiniest change in interest rates changes
the value of every financial asset”
– Warren Buffett
Highlights & Insights
Investing means laying out money today to
receive more money in real terms tomorrow
i.e. after taking inflation into account.
Value of bonds or equities is always related to
the risk-free rate that government securities
offer. Therefore, if the interest rate on
government securities rises,
the prices of all other securities
must adjust downward and
vice-versa.
Essence
Multi-baggers could be of two types: transitory
and enduring. Only good quality managements
running a good business can deliver enduring
multi-baggers.
Highlights & Insights
Multi-baggers are super stocks that multiply
in value over a period of time.
Enduring multi-baggers are those companies,
whose wealth creation is long lasting.
Transitory multi-baggers are typically cyclicals
and fad companies with
questionable quality of
management.
The key factors behind
creation of multi-baggers
are: (1) Quality of business,
(2) Quality of management,
and (3) Huge margin of
safety in the purchase
price.
(iii)
Transitory vs Enduring
Wealth Creators
STUDY 8: 1998-2003

Motilal Oswal Annual Wealth Creation Studies
Highlights & Insights
STUDY 9: 1999-2004
Essence
Commodity prices, profits and
stocks rise sharply in the
‘squeeze’ phase of the cycle.
But no squeeze is permanent,
and prices plummet when it
ends. So, the way to make money in commodities
and commodity stocks is to ‘sell too soon’.
Highlights & Insights
A commodity cycle goes through five phases:
Gloom:
low capacity utilisation, low prices
and low profits (even losses)
Recovery:
moderate capacity utilisation,
gradual price escalation, steadily rising profits
Squeeze:
near-100% utilisation, supply
squeeze, sharp price hikes, exponential profits
Euphoria:
Fresh capacity surge in excess of
incremental demand, prices dropping off
Glut:
Excess supply, plunge in product
prices, profits disappear.
Business Cycles in
Commodity Stocks
STUDY 10: 2000-2005
Price & Value
Essence
For consistent wealth creation
over very long periods, look for
leaders in non-cyclical
businesses that deliver high
returns on net worth.
Highlights & Insights
The 10th Study introduced a new concept –
Most Consistent Wealth Creators.
The key observations of the top 10 most
consistent wealth creators were –
1. Nine out of top 10 companies were
consumer-facing companies
2. All businesses were non-cyclical in
character
3. All companies were leaders in their
respective business segments
4. The companies were highly profitable in
terms of return on net worth.
STUDY 11: 2001-2006
Terms of Trade
Essence
Favorable terms of trade are an important
characteristic of a wealth creating company.
When terms of trade change from adverse to
favorable, the impact on the speed of wealth
creation can be significant.
Highlights & Insights
Terms of trade may be defined as ‘the
relationship between debtors and creditors’,
and measured as the ratio of debtors to
creditors (in percentage terms).
A company enjoys favorable terms of trade if
its debtors are lower than its creditors.
Favorable or unfavorable
terms of trade depends on
bargaining power with
suppliers and customers.
Companies with strong
brands and/or dominant
market position enjoy high
bargaining power.
(iv)
Essence
India's NTD (next trillion dollar of GDP) journey
will see distinctly buoyant corporate profits, and
significant boom in savings and investment.
Highlights & Insights
For 25 years from 1977, India’s nominal GDP
(US$ terms) grew at 6.2% CAGR to US$ 0.5
trillion in 2002. However, in next 5 years,
India’s GDP doubled to US$ 1 trillion by 2007.
Going forward, for every 5-7 years, India will
add its next trillion dollar (NTD) of GDP. This
linear GDP growth will translate into
exponential opportunity for
several businesses.
Boom in savings and
investment on the back of
rising GDP and per capita
GDP spells excellent
growth for sectors like
financial services, capital
goods, cement and steel.
Next Trillion Dollar Opportunity
STUDY 12: 2002-2007

Motilal Oswal Annual Wealth Creation Studies
Highlights & Insights
STUDY 13: 2003-2008
Great, Good, Gruesome
STUDY 14: 2004-2009
Essence
Proper insight into Great, Good
and Gruesome companies is
critical for long-term wealth
creation. Gruesome companies
are best avoided.
Highlights & Insights
A
Great
company has an enduring moat (i.e.
long-term competitive advantage) that
protects excellent returns on capital. Great
companies are fountains of dividend.
Good
companies are fountains of earnings.
They grow at healthy rates, but need
significant capital infusion from time to time
to sustain growth.
Gruesome
companies are bottomless pits of
capital consumption.’
Buy ‘Good’ companies at great (bargain)
price or buy ‘Great’ companies at
good (reasonable) price.
Winner Categories &
Category Winners
Essence
1. Winner Categories = India's
NTD opportunity + Scalability
2. Category Winners = Winner
Categories + Entry Barriers +
Great Management
3. Winning Investments = Category Winners +
Reasonable Valuation
Highlights & Insights
Winner Categories are sectors, which are
expected to grow at least 1.5 times the
nominal rate of GDP growth.
Category Winners are companies within these
Winner Categories, which enjoy (1) Entry
barriers (i.e. long-term competitive
advantage) and (2) Great management.
Winning Investments are made when
Category Winner stocks are bought at
reasonable (but not necessarily cheap)
valuations.
STUDY 15: 2005-2010
UU Investing: Wealth Creation
from the unknown & unknowable
Essence
A stock's journey from UU (Unknown &
Unknowable) to KK (Known & Knowable) is
marked by high earnings growth and sharp
rerating, leading to rapid wealth creation.
Highlights & Insights
In many cases, the stock market presents
investors with a different dimension of
uncertainty, bordering on the world of
ignorance or unknown and unknowable (UU).
The key success principles of UU investing
are: (1) Asymmetric payoffs
(i.e. limited absolute
downside, unlimited upside)
(2) Complementary (i.e.
special investing) skills, and
(3) Portfolio approach (even if
one UU idea clicks, the
portfolio performance is
good).
(v)
Essence
Blue chips are fountains of dividend, and offer as
much, if not more, investment growth potential
than companies with far less brand recall, but
with far less risk as well.
Highlights & Insights
Six criteria help shortlist Blue Chips:
(1) 20 years of uninterrupted dividends; (2)
Dividends raised in at least 5 of last 12 years;
(3) Earnings growth in at least 7 of last 12
years; (4) 12-year Avg RoE of at least 15%;
(5) At least 5 million shares,
and (6) Owned by at least
80 institutional investors.
The two signals to buy into
Blue Chips: (1) Dividend
yield higher than 10-year
median and PE lower than
10-year median, and (2)
Dividend yield >3%.
Blue Chip Investing: Wealth
Creation through dividends
STUDY 16: 2006-2011

Motilal Oswal Annual Wealth Creation Studies
Highlights & Insights
STUDY 17: 2007-2012
Essence
"Great companies are like
wonderful castles, surrounded
by deep, dangerous moats.”
Warren Buffett
Highlights & Insights
Economic Moat protects a company's profits
from the onslaught of multiple business
forces, primarily competition.
The strength of a company’s Economic Moat
is determined by the: (1) Industry structure,
and (2) Its own strategy.
A company's Economic Moat needs to
ultimately reflect by way of Return on Equity
(RoE) superior to peers in a sustained way (i.e.
at least 7 of 10 years). Economic Moat
Companies tend to significantly outperform
the market, and also peer companies
without moats.
Economic Moat:
Fountainhead of
Wealth Creation
STUDY 18: 2008-2013
Uncommon Profits:
Emergence & Endurance
Essence
Uncommon profits in
companies (Value Creators)
leads to uncommon wealth
creation in stock markets.
Successful emergence of value creators is very
rare; a strong corporate-parent in a non-cyclical
business significantly increases the probability.
Highlights & Insights
Uncommon Profitability (% terms) = RoE >
Cost of Equity (15% in Indian context).
Emergence is a company’s first entry into the
potential Uncommon Profit zone. Its next
challenge is Endurance i.e. sustaining RoE
above 15% for a long period of time.
Successful emergence is rare. Hence the need
to consider investing in Enduring Value
Creators, which also outperform markets over
the long term.
STUDY 19: 2009-2014
100x: The power of growth in
Wealth Creation
Essence
100x stocks are few. Finding them requires vision
to see, courage to buy, and the patience to hold.
Highlights & Insights:
‘100x’ refers to stock prices rising 100-fold
over time i.e. ‘100-baggers’.
In India, benchmark indices tend to go 100x in
30 years (17% CAGR). Smart investors should
target to achieve 100x in less time, say, 20
years (26% CAGR).
100x is the alchemy of five elements forming
the acronym SQGLP – Size
(small, relatively unknown
company), with high Quality
(of business and
management), Growth (in
earnings), Longevity (of
quality & growth) and
favourable Price.
Essence
Most mega companies are industry leaders. Mid-
size companies which demonstrate this trait are
potential Wealth Creators.
Highlights & Insights
Value Migration is increasingly becoming the
key driver of rapid Wealth Creation.
Industry leadership is a necessary pre-
requisite to be a megacorp.
Market cap rank is a powerful tool to assess a
company's current standing and the roadmap
ahead.
Mid-to-Mega marks a big
change in ranks, driven by
the lollapalooza effect of
MQGLP (Mid-size, Quality,
Growth, Longevity and
Price).
Mid-to-Mega: Power of industry
leadership in Wealth Creation
STUDY 20: 2010-2015
(vi)

20th Annual Wealth Creation Study (2010-2015)
Space for Notes

20th Annual Wealth Creation Study (2010-2015)
Space for Notes

This document has been prepared by Motilal Oswal Securities Limited (hereinafter referred to as MOSt) to provide information about the company(ies) and/sector(s), if any, covered in the wealth creation study (“Study”) and may be
distributed by it and/or its affiliated company(ies). This Study is for personal information of the selected recipient/s and is not intended and does not constitute any investment, legal or taxation advice. This Study does not constitute an
offer, invitation or inducement to invest in securities or other investments and MOSt is not soliciting any action based upon it. This Study is not for public distribution and has been furnished to you solely for your general information
and should not be reproduced or redistributed to any other person in any form. This Study does not constitute a personal recommendation or take into account the particular investment objectives, financial situations, or needs of
individual clients. Investors should consider whether it is suitable for their particular circumstances and, if necessary, seek professional advice as the Study does not constitute advice and does not provide a basis for any investment
decision. The price and value of the investments referred to in this material and the income from them may go down as well as up, and investors may realize losses on any investments. Past performance is not a guide for future
performance, future returns are not guaranteed and a loss of original capital may occur.
MOSt and its affiliates are a full-service, integrated investment banking, investment management, brokerage and financing group. We and our affiliates have investment banking and other business relationships with a some
companies covered by our Research Department. Our research professionals may provide input into our investment banking and other business selection processes. Investors should assume that MOSt and/or its affiliates are
seeking or will seek investment banking or other business from the company or companies that are the subject of this material and that the research professionals who were involved in preparing this material may educate investors
on investments in such business . The research professionals responsible for the preparation of this document may interact with trading desk personnel, sales personnel and other parties for the purpose of gathering, applying and
interpreting information. Our research professionals are paid on the profitability of MOSt which may include earnings from investment banking and other business.
MOSt generally prohibits its analysts, persons reporting to analysts, and members of their households from maintaining a financial interest in the securities or derivatives of any companies that the analysts cover. Additionally, MOSt
generally prohibits its analysts and persons reporting to analysts from serving as an officer, director, or advisory board member of any companies that the analysts cover. Our salespeople, traders, and other professionals or affiliates
may provide oral or written market commentary or trading strategies to our clients that reflect opinions taking into account individual client’s needs that may not be consistent with the analysis contained herein, and our proprietary
trading and investing businesses may make investment decisions that may be inconsistent with the analysis contained herein. In reviewing these materials, you should be aware that any or all of the foregoing among other things,
may give rise to real or potential conflicts of interest. MOSt and its affiliated company(ies), their directors and employees and their relatives may; (a) from time to time, have a long or short position in, act as principal in, and buy or sell
the securities or derivatives thereof of companies mentioned herein. (b) be engaged in any other transaction involving such securities and earn brokerage or other compensation or act as a market maker in the financial instruments of
the company(ies) discussed herein or act as an advisor or lender/borrower to such company(ies) or may have any other potential conflict of interests with respect to any recommendation and other related information and opinions.;
however the same shall have no bearing whatsoever on the specific recommendations made by the analyst(s), as the recommendations made by the analyst(s) are completely independent of the views of the affiliates of MOSt even
though there might exist an inherent conflict of interest in some of the stocks mentioned in the Study.
Reports based on technical and derivative analysis center on studying charts company's price movement, outstanding positions and trading volume, as opposed to focusing on a company's fundamentals and, as such, may not match
with a report on a company's fundamental analysis. In addition MOST has different business segments / Divisions with independent research separated by Chinese walls catering to different set of customers having various
objectives, risk profiles, investment horizon, etc, and therefore may at times have different contrary views on stocks sectors and markets.
Unauthorized disclosure, use, dissemination or copying (either whole or partial) of this information, is prohibited. The person accessing this information specifically agrees to exempt MOSt or any of its affiliates or employees from, any
and all responsibility/liability arising from such misuse and agrees not to hold MOSt or any of its affiliates or employees responsible for any such misuse and further agrees to hold MOSt or any of its affiliates or employees free and
harmless from all losses, costs, damages, expenses that may be suffered by the person accessing this information due to any errors and delays. The information contained herein is based on publicly available data or other sources
believed to be reliable. Any statements contained in this Study attributed to a third party represent MOSt’s interpretation of the data, information and/or opinions provided by that third party either publicly or through a subscription
service, and such use and interpretation have not been reviewed by the third party. This Study is not intended to be a complete statement or summary of the securities, markets or developments referred to in the document. While we
would endeavor to update the information herein on reasonable basis, MOSt and/or its affiliates are under no obligation to update the information. Also there may be regulatory, compliance, or other reasons that may prevent MOSt
and/or its affiliates from doing so. MOSt or any of its affiliates or employees shall not be in any way responsible and liable for any loss or damage that may arise to any person from any inadvertent error in the information contained in
this Study. MOSt or any of its affiliates or employees do not provide, at any time, any express or implied warranty of any kind, regarding any matter pertaining to this Study, including without limitation the implied warranties of
merchantability, fitness for a particular purpose, and non-infringement. The recipients of this Study should rely on their own investigations.
This Study is intended for distribution to institutional investors. Recipients who are not institutional investors should seek advice of their independent financial advisor prior to taking any investment decision based on the Study as the
Study does not constitute any investment advice and does not provide a basis for any investment decision.
Most and it’s associates may have managed or co-managed public offering of securities, may have received compensation for investment banking or merchant banking or brokerage services, may have received any compensation for
products or services other than investment banking or merchant banking or brokerage services from the subject company in the past 12 months.
Most and it’s associates have not received any compensation or other benefits from the subject company or third party in connection with the research report.
Subject Company may have been a client of Most or its associates during twelve months preceding the date of distribution of the research report
MOSt and/or its affiliates and/or employees may have interests/positions, financial or otherwise of over 1 % at the end of the month immediately preceding the date of publication of the research in the securities mentioned in this
report. To enhance transparency, MOSt has incorporated a Disclosure of Interest Statement in this document. This should, however, not be treated as endorsement of the views expressed in the report.
Motilal Oswal Securities Limited is registered as a Research Analyst under SEBI (Research Analysts) Regulations, 2014. SEBI Reg. No. INH000000412
There are no material disciplinary action that been taken by any regulatory authority impacting equity research analysis activities
Disclosures
Analyst Certification
The views expressed in this Study accurately reflect the personal views of the analyst(s) about the subject securities or issues, and no part of the compensation of the research analyst(s) was, is, or will be directly or indirectly related
to the specific recommendations and views expressed by research analyst(s) in this report. The research analysts, strategists, or research associates principally responsible for preparation of MOSt Study receive compensation based
upon various factors, including quality of research, investor client feedback, stock picking, competitive factors and firm revenues
Disclosure of Interest Statement
Analyst ownership of the stock
Served as an officer, director or employee
A graph of daily closing prices of securities is available at www.nseindia.com
Companies where there is interest
No
No
Regional Disclosures (outside India)
For U.S.
This Study is not directed or intended for distribution to or use by any person or entity resident in a state, country or any jurisdiction, where such distribution, publication, availability or use would be contrary to law, regulation or which
would subject MOSt & its group companies to registration or licensing requirements within such jurisdictions.
Motilal Oswal Securities Limited (MOSL) is not a registered broker - dealer under the U.S. Securities Exchange Act of 1934, as amended (the"1934 act") and under applicable state laws in the United States. In addition MOSL is not a
registered investment adviser under the U.S. Investment Advisers Act of 1940, as amended (the "Advisers Act" and together with the 1934 Act, the "Acts), and under applicable state laws in the United States. Accordingly, in the
absence of specific exemption under the Acts, any brokerage and investment services provided by MOSL, including the products and services described herein are not available to or intended for U.S. persons.
This Study is intended for distribution only to "Major Institutional Investors" as defined by Rule 15a-6(b)(4) of the Exchange Act and interpretations thereof by SEC (henceforth referred to as "major institutional investors"). This
document must not be acted on or relied on by persons who are not major institutional investors. Any investment or investment activity to which this document relates is only available to major institutional investors and will be
engaged in only with major institutional investors. In reliance on the exemption from registration provided by Rule 15a-6 of the U.S. Securities Exchange Act of 1934, as amended (the "Exchange Act") and interpretations thereof by
the U.S. Securities and Exchange Commission ("SEC") in order to conduct business with Institutional Investors based in the U.S., MOSL has entered into a chaperoning agreement with a U.S. registered broker-dealer, Motilal Oswal
Securities International Private Limited. ("MOSIPL"). Any business interaction pursuant to this Study will have to be executed within the provisions of this chaperoning agreement.
The Research Analysts contributing to the Study may not be registered /qualified as research analyst with FINRA. Such research analyst may not be associated persons of the U.S. registered broker-dealer, MOSIPL, and therefore,
may not be subject to NASD rule 2711 and NYSE Rule 472 restrictions on communication with a subject company, public appearances and trading securities held by a research analyst account.
Motilal Oswal Capital Markets Singapore Pte Limited is acting as an exempt financial advisor under section 23(1)(f) of the Financial Advisers Act(FAA) read with regulation 17(1)(d) of the Financial Advisors Regulations and is a
subsidiary of Motilal Oswal Securities Limited in India. This research is distributed in Singapore by Motilal Oswal Capital Markets Singapore Pte Limited and it is only directed in Singapore to accredited investors, as defined in the
Financial Advisers Regulations and the Securities and Futures Act (Chapter 289), as amended from time to time.
In respect of any matter arising from or in connection with the research you could contact the following representatives of Motilal Oswal Capital Markets Singapore Pte Limited:
Kadambari Balachandran
Email : kadambari.balachandran@motilaloswal.com
Contact : (+65) 68189233 / 65249115
Office Address : 21 (Suite 31),16 Collyer Quay,Singapore 04931
For Singapore
Motilal Oswal Tower, Level 9, Sayani Road, Prabhadevi, Mumbai 400 025
Phone: +91 22 3982 5500 E-mail: reports@motilaloswal.com
Motilal Oswal Securities Ltd