Detailed Report
| 13 January 2016
Sector: Healthcare
Sun Pharma
Ready to win, again!
Kumar Saurabh
(Kumar.Saurabh@MotilalOswal.com); +91 22 3982 5584
Amey Chalke
(amey.chalke@motilaloswal.com); +91 22 39825423

Sun Pharma
Contents: Ready to win, again!
Summary .........................................................................................................3
Multiple triggers provide legs to growth ........................................................... 4
Strong pipeline in the US provides gorwth visibility ........................................... 5
Speciality pharma focus sets SUNP apart from peers ......................................... 6
Ranbaxy integration ....................................................................................... 10
Halol warning letter: Early resolution critical ................................................... 14
Strong balance sheet with healthy free cash flow generation bodes well ......... 17
Story in charts – US segment........................................................................... 29
Story in charts – India ..................................................................................... 30
Story in Charts ................................................................................................ 31
Investors are advised to refer through important disclosures made at the last page of the Research Report.
Motilal Oswal research is available on
www.motilaloswal.com/Institutional-Equities,
Bloomberg, Thomson Reuters, Factset and S&P Capital.
13 January 2016
2

Detailed Report | Sector: Healthcare
Sun Pharma
Sun Pharma
Buy
BSE Sensex
24,854
S&P CNX
7,562
CMP: INR797
TP: INR975 (+22%)
Ready to win, again!
Positives outweigh negatives in medium term
Stock Info
Bloomberg
Equity Shares (m)
52-Week Range (INR)
1, 6, 12 Rel. Per (%)
M.Cap. (INR b)
M.Cap. (USD b)
Avg Val, INRm
Free float (%)
SUNP IN
2,406.6
1,201/706
6/-3/5
1,897.0
28.4
4571
45.3
After falling a record 33% from its peak, we believe most of the negatives are
already priced in and multiple catalysts provide valuation upside.
Recent acquisitions coupled with in-house expertise in complex generics segment
and robust balance sheet makes Sun Pharma the best play amongst Indian peers
on US specialty business.
We expect EPS to double by FY18—mainly due to RBXY integration benefits,
limited competition launches in the US and mid-teen growth in domestic market.
SUNP is one of our top picks in the Indian pharma space with TP of INR975.
EPS to double in three years, even after assuming Halol impact
Financial Snapshot (INR b)
Y/E Mar
2016E 2017E
Net Sales
281.2 336.0
EBITDA
79.6
110.7
PAT
45.0
68.6
EPS (INR)
18.7
28.5
Gr. (%)
-5.1
74.7
BV/Sh (INR)
119.1 144.7
RoE (%)
16.6
21.6
RoCE (%)
21.1
30.0
P/E (x)
42.6
27.9
P/BV (x)
6.7
5.5
2018E
361.6
128.9
93.8
39.0
19.4
176.7
24.3
31.1
20.4
4.5
Sun Pharma stock has fallen ~33%—steepest in the last 7 years— from its
peak in Apr-15. The fall more than compensates for the concerns related to
warning letter on Halol facility. Notably, observations in the warning letter
highlighted fewer observations than form 483 (validating that the
remediation plan is working to some extent).
Even after factoring the Halol impact, SUNP EPS is expected to double by
FY18 to INR39 (v/s INR20 in FY15)— primarily on the back of limited
competition for generic Gleevec, RBXY integration benefits, ramp-up of
specialty products (Keveyis/ Xenazine/ Xelpros/ Elepsia XR) and mid-teens
growth in India branded business.
Specialty pharma business is growing at almost double the pace of generics
business in the US (grew ~25% v/s 12% for generics over the last one year).
Given that generics growth is expected to fall going forward (due to new
competition and fewer big products going off patent), companies with focus
on specialty business will continue to deliver robust growth.
In-licensing of MK-3222 (Phase-3 biologics) and acquisition of InSite (niche
specialty pharma company focused on ophthalmics) demonstrate that SUNP
is transitioning into a specialty pharma company. Net cash balance sheet of
USD1.2bn, annual FCF generation of USD1b and track record of developing
complex generics make SUNP best play on specialty pharma business in
India.
Focus on specialty pharma business more than ever
Shareholding pattern (%)
As On
Sep-15 Jun-15 Sep-14
Promoter
54.7
54.7
63.7
DII
8.1
7.8
4.6
FII
27.6
23.8
22.8
Others
9.7
13.8
9.0
FII Includes depository receipts
Ready to win, again!
Sun Pharma
Multiple triggers, coupled with recent weakness, provide valuation
upside
Please click here for Video Link
Sun Pharma is one of our top picks in Indian pharma on the back of multiple
triggers (MK-3222 Phase-3 data, Gleevec launch, RBXY integration benefits
and Keveyis ramp-up), superior execution track record, high RoIC (30%) and
cash-rich balance sheet (USD1b net cash). We have increased our TP to
INR975 @25x FY18E P/E (@10% discount to historical average) v/s INR875
on the back of soft warning letter observations. We estimate EPS CAGR of
26% over FY15-18 despite hike in R&D and tax rate (tax rate @ 20% in FY18
v/s 14% in FY15).
13 January 2016
3

Sun Pharma
Stock Performance (1-year)
Multiple triggers provide legs to growth
Specialty drug launches, Ranbaxy benefits and consolidation of Indian branded
business remain the key growth triggers for the company.
We believe the recent pressure on stock price (down ~33% from its peak in April-15)
more than compensates for the concerns related to warning letter on Halol facility.
Given that Halol facility received zero approvals over the last 14 months (since
USFDA inspection in Sep-14) and corrective action plan started at the facility almost
a year back, we argue that it is already under quasi warning letter state.
Having said that, SUNP has multiple catalysts ahead—which could double the EPS in
three years (from ~INR20 in FY15 to INR39 by FY18, mainly due to following factors:
Niche launches like Gleevec (low competition expected even post exclusivity)
RBXY integration benefits (~USD300m EBITDA addition by FY18)
Ramp-up of specialty products—Keveyis/ Xenazine/ Xelpros/ Elepsia XR (to add
~ INR3.3 to FY18 EPS)
Mid-teens growth in India branded business (explains EPS addition of INR5 in
FY18)
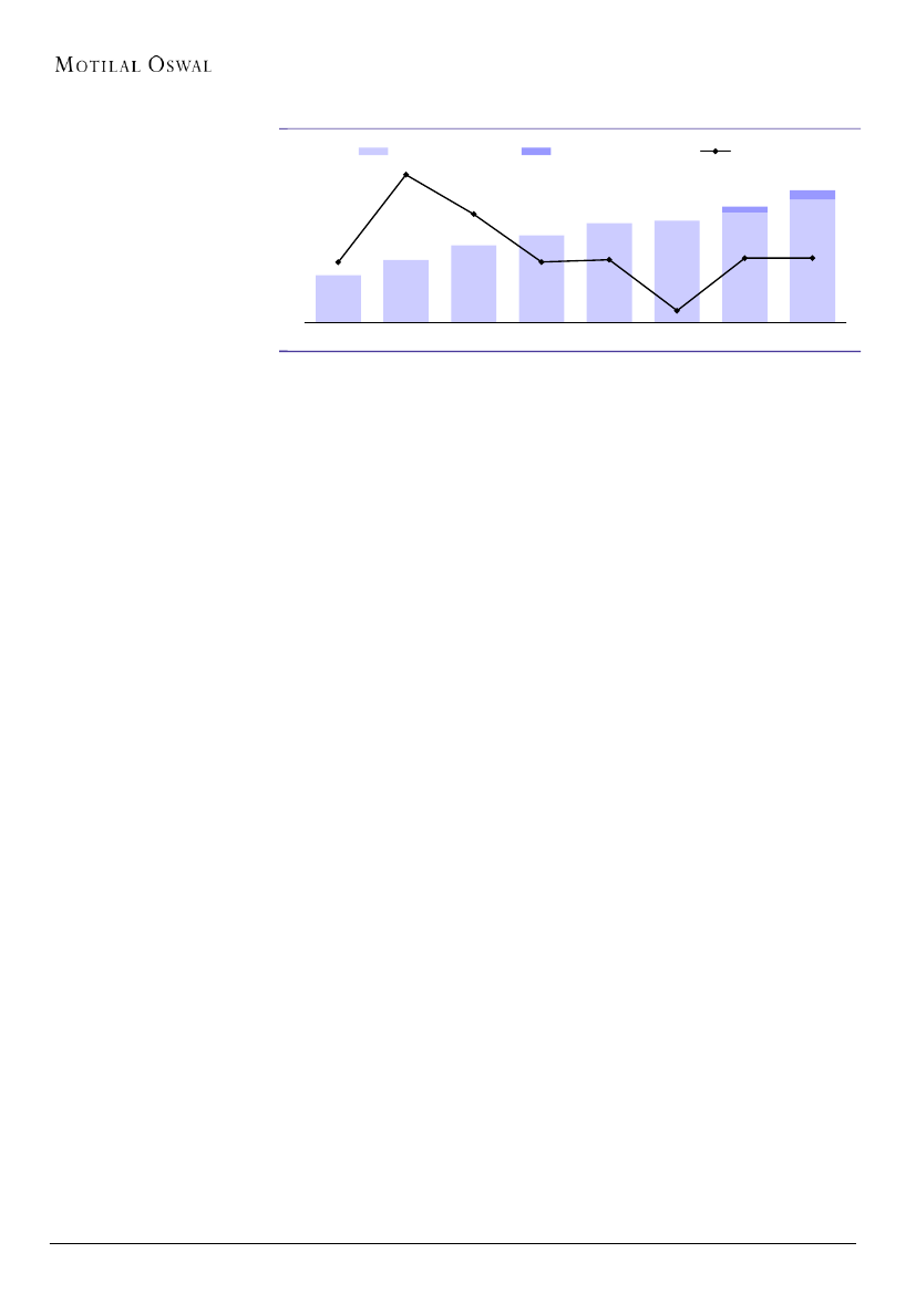
Exhibit 1: Sun Pharma EPS to almost double in three years to INR39 (FY18E)
3.1
39.0
6.9
20.0
1.6
3.8
2.1
3.4
5.0
Source: Company, MOSL
Exhibit 2: US and India to be the key contributors to sales growth (INR b)
41 %
25 %
34%
365
276
Source: Company, MOSL
13 January 2016
4

Sun Pharma
Strong pipeline in the US provides gorwth visibility
One of the largest pending ANDA fillings (154) and enhanced focus on complex generic
products would drive US business revenue to >USD2.6bn by FY18 (USD2.2bn
currently).
We believe leadership in chronic/specialty (>50% of portfolio) would help outpace
industry growth consistently.
Though the warning letter on Halol will push few key launches to FY18, upcoming
launches (including Gleevec FTF) and ramp-up of Xenazine will drive growth in near
term. Ramp-up of specialty business portfolio (Keveyis/Ximino) should start adding
meaningfully to US sales from FY17. We expect launch of Xelpros/ Elepsia XR and
injectable products to drive growth in FY18 and beyond.
Low competition for Gleevec and Xenazine for a prolonged period and faster-than-
expected ramp-up of Keveyis and Ximino could surprise investors positively. Besides,
positive MK-3222 Phase -3 data would be a key point to watch in near term.
Exhibit 3: Multiple triggers to drive US sales
Triggers
Near-term triggers
Gleevec
Xenazine
Medium term triggers
Ximino
Keveyis
Azasite
Xelpros
Elepsia XR
Long term triggers
MK-3222
Launch beyond FY18
Phase-3 data to come by early-2016
Source: Company, MOSL
Launched in 2QFY16
Launched in 3QFY16
Launched
Post resolution of Halol issue (FY18) Sales potential of USD50m
Post resolution of Halol issue (FY18) Sales potential of USD30m
505 (b) 2 product
Sales ramp-up should be gradual
To be launched in Feb'16
Launched in 2QFY16
USD125m of annual sales post
exclusivity
Sole generic player
Status
Comments
Exhibit 4: Path to FY18E US sales of USD2.64b
70
2250
80
125
70
200
155
2640
Source: Company, MOSL
13 January 2016
5

Sun Pharma
Speciality pharma focus sets SUNP apart from peers
SUNP is well poised to become a significant player in the specialty pharma space over
the next few years.
In-licensing of MK-3222 (Phase-3 biologics) and acquisition of InSite demonstrate that
SUNP transitioning into a specialty pharma company.
Specialty pharma business is growing at almost double the pace of generics business
in the US (grew at ~25% v/s 12% growth for generics over the last one year). Given
that generics growth is expected to fall going forward (due to new competition and
fewer big products going off patent), companies with focus on specialty business will
continue to deliver robust growth.
Exhibit 5: Specialty pharma growth far ahead of traditional routes (US region)
% YoY Growth
25
12
12
14
Total market
Brands
Generics
Specialty
Source: Company, MOSL
SUNP is well poised to become a significant player in the specialty pharma space
over the next few years. The company has already established itself in the complex
generic space, having presence in almost all types of difficult-to-make product
technologies. Also, due to a series of acquisitions (products/companies), tie-ups and
development of own specialty product pipeline, the company has created an
interesting portfolio mix in the specialty segment—some of these products have
already been launched in the market and are likely to drive SUNP’s earnings in
medium to long term. We expect the share of revenue and earnings from
novel/proprietary products to increase meaningfully over the next 3-5 years.
Exhibit 6: Sun pharma present in almost all types of complex generics
SUNP
Respiratory
Dermatologicals
Complex injectables
Ophthalmics
Transdermals
Injectables
Control substances
Modified release
IR tabs
Traditional generics
In market
In market
In market
In market
In market
In pipeline
In pipeline
In market
In market
In market
In market
In market
In market
LPC
In pipeline
In market
In pipeline
In market
In pipeline
In market
In pipeline
In market
In market
In market
In pipeline
In market
In market
In market
In market
In pipeline
In market
In pipeline
In market
In market
In market
In market
In market
In market
In market
In market
In market
In market
DRRD
GNP
In pipeline
In market
In pipeline
In pipeline
In market
In pipeline
CDH
ARBP
Source: Company, MOSL
13 January 2016
6

Sun Pharma
In-licensing of MK-3222 (Phase-3 biologics) and acquisition of InSite (niche specialty
pharma company focused on ophthalmics) demonstrate that SUNP is already strides
to transition itself into a specialty pharma company. Net cash balance sheet of
USD1.2b, annual FCF generation of USD1b and track record of developing complex
generics makes SUNP the best play on specialty pharma business in India.
Exhibit 7: Strong specialty segment pipeline
Specialty products
In market
Keveyis
Absorica
Ximino
Levulan
Azasite
Besivance
In pipeline
MK-3222
Xelpros
Elepsia XR
Bromsite
Dexasite
Azasite plus
Company
Taro
Ranbaxy
Ranbaxy
Dusa
In-site
In-site
Merck
SPARC
SPARC
In-site
In-site
In-site
Therapy
Periodic paralysis
Derma
Derma
Derma
Ophthalmic
Ophthalmic
Psoriasis
Ophthalmic
CNS
Ophthalmic
Ophthalmic
Ophthalmic
1. Keveyis
Keveyis is the first product approved by the FDA for the treatment of primary
periodic paralysis, which is estimated to affect approximately 5,000 people in the US
(diagnosed patient pool of ~2,000).
Taro launched the product in October 2015 under orphan drug exclusivity, which is
given to the product that addresses the concerns of very small patient population
due to rarity of the disease. Taro will enjoy the exclusivity at least for the next seven
years (till FY22)—it has priced the product at USD4500/bottle, resulting in annual
treatment cost of USD108,000.
Though the market size for Keveyis in US market is >USD500m, the ramp-up would
be gradual due to the following:
a) Though the total patient pool is ~5,000, the number of diagnosed patients is
~2,000.
b) Also, as this is a branded product, creating awareness about the product will
take time.
We believe Taro is likely to reach to 400 patients by FY17 and 700 by FY18, resulting
in USD50m in FY17 and USD80b sales in FY18.
13 January 2016
7

Sun Pharma
Exhibit 8: Keveyis ramp-up to drive Taro sales
Taro sales (USD m)
32.2
13.1
23.6
13.2
13.7
885
2.6
FY16E
Keveyis sales (USD m)
Growth (%)
80
14.0
50
14.0
411
FY11
543
FY12
671
FY13
759
FY14
863
FY15
959
FY17E
1070
FY18E
2. Xenazine
It is used to treat the involuntary movements of Huntington’s disease. SUNP
received generic approval for the product in August 2015 and it is the only generic
product in the market since then.
Xenazine’s market size is USD300m (annual sales). It is a limited competition product
and currently Sun is the only generic player in this market. Peak annual sales
potential of this product should be at USD80m.
3. MK-3222 (
Tidrakizumab)
Tidrakizumab is likely to be the first NCE candidate from India for regulated markets.
Under the licensing agreement with Merck for this drug, Sun has the worldwide
rights to commercialize the drug for all indications.
Tildrakizumab is a monoclonal antibody for the treatment of immunologically
mediated inflammatory disorders. It was designed to block interleukin-23, a
cytokine that plays an important role in managing the immune system and
autoimmune diseases. It is currently being evaluated in Phase-3 registration trials
for the treatment of chronic plaque psoriasis, a skin ailment.
Time lines:
SUNP expects to receive data points for Phase-3 clinical studies by the
end of FY16 and is expected to file an NDA in the US by CY17. If everything goes
well, the product can be launched in the market by FY19.
Competition scenario:
The psoriasis biologics drug market can be divided into two
categories: Anti-TNFs and IL-based biologics. In 2014, anti-TNFs (Enbrel, Humira and
Remicade) together accounted for over 69% or USD2.9b of sales while IL-based
biologics (mainly Stelara) contributed the other 31% or USD1.4b of sales.
In the last few years, IL-based biologics have rapidly gained market share from anti-
TNFs. Moreover, the majority of the innovators are focusing on developing IL-based
biologics. Currently, five of the six biologics in Phase-III development are IL based.
Stelara, launched in 2009, has been successful in gaining market share because of
its favorable administration regime and sizeable proportion of patients who do not
13 January 2016
8

Sun Pharma
respond to TNF blockers. Currently, it has become a USD2.4b drug for J&J and has
been growing at 12-13% CAGR.
Exhibit 9: Existing products for psoriasis
Brand
Stelara
Enbrel
Humira
Remicade
Simponi
Mechanism
IL-12/23
TNF
TNF
TNF
TNF
Company
J&J
Amgen
Abbott
J&J
J&J
Market Size (USD m)
2,500
8,710
11,840
8,100
1,500
Exhibit 10: IL-based biologics under development
Pathway
IL 17
IL 17
IL 23
IL 23
IL 23
Name
Brodalumab
Ixekizumab
Tidrakizumab
BI 655066
Guselkumab
Status
Phase III
Phase II
Phase III
Phase II
Phase II
Innovator
Astrazeneca
Eli Lilly
Sun/Merck
Boehringer Ingelheim
J&J
InSite acquisition
In 1HFY16, SUNP acquired US-based ophthalmic specialty company InSite Vision for
USD48m. The acquisition would strengthen Sun Pharma’s branded ophthalmic
presence in the US.
Over the years, InSite has developed in-house drug delivery platforms DuraSite and
DuraSite2—which are capable of extending the duration of drug retention, thereby
resulting in lower dosing frequency and potentially enhanced efficacy.
The company has also launched two products (through partners) and three more
are in late-stage clinical programs. However, overall sales are still minuscule and
expected to ramp up going forward with greater traction in launched products and
new launches.
Exhibit 11: InSite- rich mix of branded ophthalmic products
Brand
Azasite 1%
Besivance 0.6%
Bromsite
Dexasite
Azasite Plus
ISV-101
Molecule
Azithromycin soln
Besifloxacin soln
Bromfenac
Dexamethasone
Azithromycin soln
N/A
Status
Launched
Launched
Filed
To be filed in CY17
Clinical trial PIII
Clinical trial PI/II
13 January 2016
9

Sun Pharma
Ranbaxy integration
Sun Pharma intends to achieve USD300m of annual synergy benefits from Ranbaxy
integration by FY18.
If Sun pharma is able to realize this upside, FY18 EBITDA margins would increase to 35-
36% in FY18.
As stated by the management, merger-related synergies are going to be back-ended
and would need a few one-time investments in initial years. However, the bulk of
these investments/one-time costs are already behind us.
Exhibit 12: Revenue mix (pre-merger)
RoW
12%
API &
others
5%
Exhibit 13: Revenue mix (post merger)
API &
others
4%
RoW
20%
India
23%
US
60%
US
51%
India
25%
Strong track record of turning around acquisitions
We derive comfort from Sun’s track record in turning around acquisitions. Over the
last 20 years, Sun has acquired 16 assets and achieved a successful turnaround in
businesses like Caraco, Taro and URL Pharma in record time. The company’s
historical payback period has been around 5-6 years for an acquisition.
Exhibit 14: Successful track record of turning around acquisitions
Source: Company
13 January 2016
10

Sun Pharma
#1.India business synergies would be much easier to realize
SUNP will find it easier and faster to lift Ranbaxy’s India operations with
complementary portfolios, similar regions of operations, greater headroom to cut
costs in supply chains, distribution and logistics.
Exhibit 15: Largest pharma company in India (India sales –USD m)
Sun +Ranbaxy - 8.9%
Abbott - 6.3%
Sun -5.6%
Cipla -5.0%
Zydus Cadila - 4.2%
Mankind - 3.5%
Lupin - 3.5%
Alkem - 3.5%
Glaxo - 3.3%
Ranbaxy - 3.3%
Pfizer - 3.0%
Macleods - 2.9%
Intas - 2.8%
525
519
518
496
495
451
434
415
630
743
839
939
1334
Post the Ranbaxy merger, SUNP has become the largest company in India. According
to AIOCD, the company holds ~9% market share in India (with leadership in 13
classes of doctors). Both these companies had complementary portfolios—Ranbaxy
was the market leader in OTC, derma and acute segments while Sun Pharma was a
larger player in high-growth chronic therapies. The merger has captured almost 80-
90% of therapies, barring therapies like Oncology (where it has a meager presence).
Going ahead, we believe SUNP will drive cost synergy in India business as it is likely
to save a lot of costs in supply chains, distribution and logistics due to strong
infrastructure.
Exhibit 16: Leadership in key therapy areas (No. 1 in 13 classes of doctors)
Source: Company
13 January 2016
11

Sun Pharma
#2.Ranbaxy merger establishes presence in fast growing emerging markets
Among emerging markets, Russia, Latin America, Eastern Europe, South Africa and
select Asian countries are high-growth pharmaceutical markets. Though SUNP had a
presence in most of these markets, it was much smaller scale than Ranbaxy.
SUNP could drive greater operating leverage using Ranbaxy’s strong infrastructure
built over the last several years. Given that it was already present in these markets,
SUNP understands their dynamics and could generate significant synergies.
On the cost front, we expect SUNP to initially focus on controlling administrative
costs, generating procurement efficiencies and divestment of loss-making
businesses. Most of these synergies will be back-ended and likely to start reflecting
from 2HFY17.
#3.US synergies likely to take time
Ranbaxy’s ongoing regulatory issues with USFDA are likely to delay the synergies in
the US business. At present, only one of the five USFDA-approved units of Ranbaxy
is in compliance with USFDA. Over the past 4-5 years, it has received four import
alerts for its facilities due to non-compliance of good manufacturing practices (GMP)
set by USFDA.
We believe Mohali would be the first facility to come under USFDA compliance as
the severity level of issues is lower than other facilities. SUNP may think of divesting
some of the other facilities in case it finds capacities are in excess and requires
greater bandwidth and time to resolve all regulatory issues.
Ranbaxy was unable to file significant number of ANDAs over last few years due to
regulatory issues and, consequently, has less attractive products in its future
portfolio than Sun. Currently, Sun Pharma can file only from Ohm labs in the US. We
believe these ongoing constrains related to US market would lower synergies for
this geography. We could see some uptick in synergy after issue of non-complaint
plants is resolved.
Exhibit 17: Pending Ranbaxy filings
Brand
Nexium
Namenda
Tricor
Namenda XR
Xyrem
Oxycontin
Rapamune
Solodyn
Generic
Esomeprazole
Memantine
Fenofibrate
Memantine
Sodium Oxybate
Oxycodone
Sirolimus
Minocycline
Innovator sales (USD m)
2,272
1,800
1,500
140
750
3,150
200
400
Source: Company, MOSL
13 January 2016
12

Sun Pharma
Exhibit 18: USFDA-approved facilities and status
Company
Plant Locations
Dadra, India
Panoli, India
Karkhadi, India
Halol, India
Ahmednagar, India
Chattanooga, US
Caraco Cranbury, US
URL, Philadelphia
URL, Aurora IL, US
Taro, Brampton, Canada
Haifa Bay, Israel
Ohm Labs
Dewas, India
Toansa, India
Paonta Sahib, India
Mohali, India
Type
Formulations
API
API
Formulations
API
API
Formulations
Formulations
Formulations
Formulations
Formulations/API
Formulations
Formulations/API
API
Formulations
Formulations
Last Inspected
1/30/2015
6/14/2012
11/16/2013
9/16/2014
6/19/2015
N/A
8/27/2015
7/17/2015
N/A
2/28/2014
5/21/2015
3/19/2014
2/12/2008
1/11/2014
N/A
12/12/2012
US FDA action
Y
Y
Import Alert
Warning Letter
Y
Y
Y
Y
Y
Y
Import Alert
Import Alert
Import Alert
Import Alert
Source: Company, MOSL
Sun pharma (India)
Sun pharma (USA)
URL (USA)
Taro
Ranbaxy
13 January 2016
13

Sun Pharma
Halol warning letter: Early resolution critical
Expect resolution by 2HFY17
Though Halol received warning letter in Dec-15, it was already under quasi
warning letter state as it received zero approvals over the last 15 months (since
USFDA inspection in Sep-14). Though SUNP will have to augment corrective
measures to convince USFDA, we believe remedial measures taken over last few
months will expedite the resolution process. Management remains focused on
resolving issues at this facility instead of looking for site transfers for key
products.
Notably, the warning letter highlighted fewer observations than form 483
(validating that the remediation plan is working to some extent). Having said
that, since the facility has got Official Action Indicated (OAI) status, a re-
inspection will be required—which could lead to some delay before it gets
cleared by USFDA. Accordingly, we have built warning letter resolution at Halol
by 2HFY17.
Sun Pharma's Halol facility received multiple Form 483 observations from USFDA
post an inspection in September 2014. The inspection covered the Injectables
and oral solids units as well as the Quality Control (QC) laboratory at the site.
The injectables unit received 10 observations, oral solids unit four and QC lab
nine. The inspection was classified as OAI, indicating that significant
objectionable conditions or practices were found and regulatory action is
warranted to address the facility's lack of compliance.
Since the inspection, USFDA has not approved any product from this facility.
However, SPARC received one NDA approval in April’15; but was rescinded in
Aug’15.
We believe Halol is an important facility for Sun Pharma and continues to
contribute significant portion of revenue to the US business. Doxil, one of the
largest products for SUNP, can be made only at this facility. Overall, we estimate
Halol facility is generating 7-8% of total sales.
Date of
9/5/2014
12/6/2014
9/16/2014
3/6/2015
1/31/2015
11/27/2014
2/3/2011
11/12/2008
2/12/2008
3/7/2008
6/27/2013
11/16/2013
4/28/2010
7/31/2013
3/22/2013
9/24/2010
12/22/2010
Date of letter
12/23/2015
12/23/2015
12/17/2015
11/15/2015
11/15/2015
11/15/2015
6/21/2011
5/7/2009
9/16/2008
9/16/2008
9/9/2013
5/7/2014
8/25/2010
11/25/2013
7/18/2013
5/20/2011
5/20/2011
Time Gap (days) Resolution Time Gap (days)
474
Not closed
382
Not closed
457
Not closed
254
Not closed
288
Not closed
353
Not closed
138
7/11/2012
386
176
1/20/2010
258
217
Not closed
193
Not closed
74
Not closed
172
Not closed
119
9/19/2011
390
117
Not closed
118
Not closed
238
Not closed
149
6/4/2012
381
Source: Company, MOSL
Form 483 observations at Halol: Key facts
Exhibit 19: Past warning letters to Indian companies
Company
Cadila Healthcare
Cadila Healthcare
Sun Pharma
Dr. Reddy's
Dr. Reddy's
Dr. Reddy's
Cadila Healthcare
Lupin
Ranbaxy
Ranbaxy
Strides
Sun Pharma
Sun Pharma
Wockhardt
Wockhardt
Aurobindo
Aurobindo
Facility
Moraiya
Ahmedabad
Halol
Duvvada
Miryalguda
Srikakulam
Moraiya
Mandideep
Dewas
Paonta Sahib
Agila
Karkhadi
Cranbury
Chikalthana
Waluj
Unit III
Unit VI
Issue
Warning Letter
Warning Letter
Warning Letter
Warning Letter
Warning Letter
Warning Letter
Warning Letter
Warning Letter
Warning Letter
Warning Letter
Warning Letter
Warning Letter
Warning Letter
Warning Letter
Warning Letter
Warning Letter
Warning Letter
13 January 2016
14

Sun Pharma
Exhibit 20: Key observations have come down to 6 in warning letter vs 23 in Fom 483
Observations
1. Failed to follow appropriate written
procedures to prevent microbiological
contamination of drug products
purporting to be sterile.
Details
Guidance
1. Failed to perform adequate unidirectional
1. Include a risk assessment regarding practice
of rejecting media fill vials without a written
airflow studies.
2. Rejected vials during media fills without written
justification and acceptance limits. Also
justification or explanation
provide revised SOP on media fills.
1. Provide a summary of environmental data
1. The floors, walls, and ceilings in aseptic
and other facility maintenance since the
2. Failed to maintain floors, walls, and
processing area were not maintained as
inspection.
ceilings of smooth, hard surfaces that are smooth, hard surfaces that were easily cleaned.
2. Provide all microbial results from the
easily cleanable in aseptic processing
2. Failed to address environmental control in the
affected area and its immediately adjacent
areas
parenteral manufacturing area during the
rooms, and describe any adverse trends or
period of concern.
results at or above action levels.
1. Out-of-Specification (OOS) report documented
“other unknown impurities” in a 6-month
accelerated stability test of Injection
1. Provide formal investigation, including
manufactured for the European market; SUNP
quantitative results obtained and copies of
3. Failed to thoroughly investigate any
also manufactured this drug for distribution in
all raw data (e.g., laboratory notebooks;
unexplained discrepancy or failure of a
the U.S. market.
other records) from both the informal and
batch or any of its components
2. Failed to initiate an investigation for an
formal investigations.
extraneous peak identified during the analysis
of residue in cleaning validation report for
tablets.
1. Did not evaluate the accuracy of your dissolution
test method.
2. Method validation failed to evaluate the
4. Failed to establish and document the
capacity to separate unknown late-eluting
accuracy, sensitivity, specificity and
1. Provide revised test procedure and
peaks.
reproducibility of test methods
validation report.
3. The investigator observed that sterile gloves
employed by the firm
intended for use in the manufacture of sterile
products were partially immersed in some other
medium
5. Failed to routinely calibrate, inspect, or 1. Since 2005, SUNP has been using an un-
check according to a written program
validated and unqualified Agilent data
1. USFDA acknowledges the corrective actions
designed to assure proper performance
acquisition unit (DAU) to monitor the
and will verify them upon re-inspection.
and to maintain adequate written
temperature of the microbiological incubation
records.
rooms for media filled vials.
6. Failed to establish appropriate controls
1. Lacked audit trails or other sufficient controls to
over computers and related systems to
facilitate traceability of the individuals who
1. Provide retrospective review and risk
assure that changes in master
access each of the programmable logic
assessment of lots manufactured using
production and control records or other
controller (PLC) levels or Man-Machine
equipment with shared passwords.
records are instituted only by authorized
Interface (MMI) equipment.
personnel.
Source: MOSL, Company
Priorities post the warning letter:
The management has clearly notified that
bringing Halol facility under USFDA compliance remains the top priority; site transfer
of future approvals and existing products won’t be a priority. However, SUNP has
already site transferred Gleevec to US-based facility and received final approval for
the same; the company is expected to launch it in Feb’16.
Revenue exposure:
Halol facility contributed 7-9% (higher single digit) of overall
SUNP sales in FY15/16 and is unlikely to impact SUNP’s US sales in near term as it
can supply to US market. However, future approvals will be withheld for Halol
facility till it is in compliance with USFDA guidelines. Halol warning letter doesn’t
change SUNP’s FY16 revenue guidance.
Impact on Injectables:
Almost all pending approvals for injectable products are filed
from Halol facility. Even though SUNP acquired one more injectable facility in the US
(Pharmalucence), not all products could be shifted to that facility; so resolution of
Halol plant remains a key for SUNP.
15
13 January 2016

Sun Pharma
Other inspections:
The management also highlighted that most of the other US-
approved facilities of SUNP have been inspected by USFDA over the last 15 months
and they have not received any major observations.
SPARC approvals:
SUNP doesn’t expect to get product approvals for SPARC products
till the Halol facility is in compliance with USFDA guidelines. The company is also
unlikely to shift these products due to time-consuming and cumbersome procedures
for site transfers, which involve stability period and validation from new facility.
13 January 2016
16

Sun Pharma
Strong balance sheet with healthy free cash flow
generation bodes well
By FY18, Ranbaxy merger is expected to generate USD300m synergies; it is likely to
catapult EBITDA margin to 36%.
Strong free cash flow could be used to fund future acquisitions without straining the
balance sheet.
RoCEs are expected to increase 700bp to 32% in FY18E from 26% in FY15, driven by
improving asset churn and higher EBITDA margin.
Free cash flow generation to fund future growth
Sun Pharma has consistently generated strong free cash flow due to its product
mix and financial efficiency. Although we have seen negative free cash flow in
FY15 due to the Ranbaxy merger, Sun is likely to resume its positive uptrend as
Ranbaxy’s turnaround gains pace. We thus expect Sun to generate strong free
cash flow over the next three years.
Ability to generate free cash flow is very significant in pharmaceuticals as it
could be used to fund future acquisitions without straining the balance sheet.
Through strong free cash flow generation, Sun Pharma can make strategic
acquisitions in the specialty generics or innovation space.
Exhibit 21: Healthy free cash flows
86
32
105
12
-6
13
10
13
-39
FY10
FY11
FY12
FY13
FY14
FY15
FY16E
FY17E
FY18E
Source: Company, MOSL
Exhibit 22: Cash per share (INR/sh)
Cash/share
78.6
58.7
45.7
31.5
2.1
FY10
9.2
FY11
14.0
FY12
16.9
109.5
FY13
FY14
FY15
FY16E
FY17E
FY18E
Source: Company, MOSL
13 January 2016
17

Sun Pharma
Ranbaxy synergies to drive margins
By FY18, Ranbaxy merger is expected to generate USD300m synergies due to
rationalization of assets, cost savings in supply chains and employee expenses. It is
likely to catapult EBITDA margin to 36%. Strong operating performance and free
cash flow generation is likely to drive 2.0x increase in Sun Pharma’s profits to
USD1.5b by FY18.
Exhibit 23: EBITDA margins to jump to 36%
EBITDA (INR b)
40
43
43
28
28
33
35
EBITDA Margin (%)
29
34
12
FY10
20
FY11
32
FY12
49
FY13
69
FY14
77
FY15
80
FY16E
111
FY17E
129
FY18E
Source: Company, MOSL
Industry-leading return ratios due to attractive business mix
Ranbaxy merger synergy is likely to be back-ended and benefits would reflect from
FY17/18. We believe the merger will also lead to significant improvement in return
ratios. RoCEs are expected to increase 700bp to 32% in FY18 from 26% in FY15,
driven by improving asset churn and higher EBITDA margin.
Exhibit 24: ROCE to increase to 32%
RoE (%)
30.4
23.6
18.6
18.2
21.0
24.0
25.6
25.6
31.5
31.5
25.7
21.5
16.6
21.1
21.6
24.3
RoCE (%)
30.0
31.1
FY10
FY11
FY12
FY13
FY14
FY15
FY16E
FY17E
FY18E
Source: Company, MOSL
13 January 2016
18

Sun Pharma
Valuation and view
SUNP has historically commanded 20-25% premium to Indian pharma peers. The
stock is currently trading at 28x FY17E and 20x FY18E P/E, which does not fully value
its rich US pipeline and stable, cash-generating domestic business. Consistent
outperformance in the domestic market, with market share gains and high
profitability, reflects management’s execution capability (and product selection
skills). Identification of value-accretive assets and integrating them successfully has
been one of the cornerstones of SUNP’s success.
We believe that the valuation premium is likely to be maintained on the back of:
High earnings visibility on a favorable base (forecast EPS CAGR of 26% over
FY15-18).
Sustained improvement in ROE, implying high capital efficiency. We expect ROE
to expand from 21% in FY15 to 25% by FY18.
Strong cash generation and healthy balance sheet. We expect SUNP to generate
INR254b free cash flows over FY16-18 and its cash surplus to reach INR250b+
(~50% of capital employed)
Our target price implies 24% upside
We assign a target P/E of 25x (~10% discount to historical average) to SUNP’s
base business EPS for FY18 and arrive at a target price of INR975, implying 24%
upside from current levels. Our target multiple is:
At 10% discount to historical average P/E band (one-year forward).
At 10% premium to average target P/E for peers, in line with the past average.
20% discount to the current trading multiple (FY16E P/E).
Key catalysts going forward
We have not factored any potential acquisition that SUNP can execute (net cash
surplus) as well as positive development of its novel molecule (Tildrakizumab,
in-licensed from Merck).
Execution of RBXY integration would be a key catalyst to watch out in future.
Higher-than-expected upside from niche molecules in the US (gGleevec, Ximino,
Keveyis, InSite products).
Risks to our thesis
Currency volatility:
SUNP derives more than 75% of its revenue (and profits)
from overseas business (largely the US) and, hence, is affected by currency
fluctuations at an operational level. As a prudent measure, though, the company
has hedged ~50% of its net exposure to the USD through forward covers (<12
months duration) in the past. Thus a reversal in the current trend (i.e., INR
appreciation) poses downside risk to forecasts.
Increased competition in niche products:
Taro accounts for 17% of SUNP’s
business and is currently benefitting from lack of enough competition in the US
derma market (and price hikes). We do not expect any new entrant for 4-5 years
at least due to developmental timeline, etc. However, a re-entry of some of the
approved players (2-3) could pose a risk to pricing in the US derma market—
thereby hurting SUNP (Taro).
13 January 2016
19

Sun Pharma
Exhibit 25: SUNP trades at 31x
60
48
36
24
12
Dec-10
PE (x)
Peak(x)
Avg(x)
Min(x)
53.9
28.3
17.3
Oct-11
Aug-12
Jun-13
Apr-14
Feb-15
Dec-15
Exhibit 26: Valuation Matrix
MCap
Name of Company
Large caps
Sun Pharma
Lupin
Dr. Reddy's Labs
Cipla
Aurobindo
Cadila Healthcare
Medium sized players
Divi's Labs
Glenmark Pharma
IPCA Labs
Torrent Pharma
Biocon
Alembic Pharma
MNCs
GSK Pharma
Sanofi India
4
2
52.6
49.2
64.2
40.3
53.7
25.1
43.1
21
40.7
27.9
52.1
19.8
39.6
15.9
31
13.7
23.1
13.3
26.6
14.3
35.3
20.3
45.2
21.2
6.9
32.9
4
1
4
2
5
1
35.1
48.9
34.3
43.1
25.8
44.5
27.3
27.3
46
23
22.1
26.7
22.2
20.6
22.6
19.1
18.5
22.7
17.6
15.8
15
14.7
15.9
18.4
26.5
25.1
19.9
27.3
13.8
31.2
21.4
18.1
24.6
10.3
12.1
14.5
17
10.8
14.3
15.1
10
16.5
13.5
10.5
10.3
11.8
8.2
13
26.3
15.8
12
25.7
12.3
36.3
28.8
17.9
8.2
34.6
12.5
41
30.1
17.9
15.2
31.5
13.5
34.3
32
18.6
19.7
33.2
14.2
32.4
25.8
45.7
31.8
43.3
17.5
34.2
27
12
8
8
7
6
42
32
23.1
44.3
30.5
26.6
42.3
32.6
19.1
26.3
24.1
20.5
24.3
20.5
18.8
24
18.6
21.3
20.3
16.6
15.8
17.9
14.7
14.8
23
24.8
17.8
23.5
20
24.7
21.7
24.9
13.8
15.9
16
19.3
15
14.9
13.6
13.9
12.6
18.3
12.2
12
11.3
10.7
9.9
13.1
21.5
30.4
19.9
13.7
4.6
-
16.6
24
20.1
17.1
19.5
-
21.6
30
17.4
16.3
23.9
-
24.3
28.5
17.6
19
-
-
26
24.4
13.4
35.2
27.5
21.7
INR b
FY15
P/E (x)
FY16E
FY17E
FY18E
FY15
EV/EBITDA (x)
FY16E
FY17E
FY18E
FY15
RoE (%)
FY16E
FY17E
EPS
CAGR,%
FY15-
FY18E
18E
Source: Company, MOSL
13 January 2016
20

Sun Pharma
Risk factors
Halol regulatory risk
Warning letter converting into import alert (low probability event, in our view):
Given that it has been 15 months since the time of USFDA inspection at Halol, we
believe probability of an import alert is low. A reading of warning letter observations
provides additional comfort (as the number of observations are few and USFDA did
not comment at any place that they are dissatisfied with remediation measures).
However, in case of an import alert, EPS cut could be in the 13-15% range.
Higher tax rates ahead
Over last several years, effective tax rates have been lower than 15% for the
company on the back of tax-related exemptions, restructuring and loss-making
subsidiaries. However, going ahead, absence of the exemptions and increasing
scrutiny on restructuring is likely to result in higher tax rates.
Exhibit 27: Tax rates (%)
Tax rates (%)
19.6
15.3
11.4
4.8
6.3
14.3
18.2
17.0
18.0
3.0
-0.8
FY07
FY08
3.7
FY09
FY10
FY11
FY12
FY13
FY14
FY15
FY16E FY17E FY18E
Source: Company, MOSL
In FY15, SUNP’s consolidated tax rate was low at 14.2% on the back of (a)
deferred tax credit of INR7.3b recognized, (b) low tax rates in certain
subsidiaries (Sun Pharma Global FZE—0%) and SPLL.
Deferred tax assets increased from INR11.9b in FY14 to INR18.5b in FY15; of this
increase, INR4.6b is on account of Taro Pharmaceuticals. DTA at Taro increased
from INR8.0b in FY14 to INR12.6b in FY15.
SUNP recognized MAT credit entitlement of INR7.5b, which was written off by
Ranbaxy in 3QFY15 on reassessment by the management that the combined
amalgamated entity will pay normal income tax during the specified period; we
believe this may reduce the future cash outflow.
The cash tax paid for FY15 stood at INR17.4b as against the tax expense of
INR9.1b. Advance tax paid stood at INR11.0b (FY14: INR5.7b).
Higher contingent liabilities due to increased income tax disputes
Contingent liabilities on a consolidated basis increased steeply from INR14.3b in
FY14 (8% of net worth) to INR33.9 in FY15 (13% of net worth).
13 January 2016
21

Sun Pharma
The increase is primarily on account of (a) income tax disputes, which accounted
for INR26.7b (FY14: NR12.1b); (b) DPEA demand toward unintended benefit of
INR3.2b in FY15.
The increase in tax dispute liabilities in FY15 is driven by subsidiaries—where it
increased from INR7.2b in FY14 to INR15.6b in FY15.
Exhibit 28: Higher contingent liabilities due to increased income tax disputes
Particulars
Income tax disputed liabilities
Excise duty disputed liabilities
Claims against the company not acknowledged as debts
Guarantees given by bankers on behalf of SUNP
Other demands
DPEA on account of demand through unintended benefit
Fine imposed for anti-competitive settlement agreement by EU
Other matters
Total
6.3
6.6
9.4
14.3
FY11
2.6
0.3
0.8
0.2
2.4
FY12
5.1
0.3
0.8
0.3
0
FY13
7.6
0.5
0.7
0.6
0.1
FY14
12.1
0.6
0.8
0.7
0.1
FY15
26.7
0.6
1
0.8
0.5
3.2
0.7
0.3
33.9
13 January 2016
22

Sun Pharma
Exhibit 29: Sun Pharma (ex RBXY & Taro) - key products Rx market share in US
Drug
TEMODAR
CYMBALTA
IMITREX Auto injector
PRANDIN
STALEVO
ASTELIN (NASAL)
DOXIL
COMTAN
NIASPAN
DOXYCYCLINE HYCLATE
DILTIAZEM HCL
RISEDRONATE SODIUM
DEXMETHYLPHENIDAT
E HCL
TETRABENAZINE
10/30/2015
5%
2%
28%
11%
49%
12%
61%
31%
8%
26%
9%
3%
0%
19%
11/6/2015
5%
2%
28%
12%
52%
12%
61%
32%
9%
26%
9%
3%
-
16%
11/13/2015
5%
2%
28%
10%
51%
12%
61%
32%
10%
26%
9%
3%
0%
17%
11/20/2015
5%
2%
28%
11%
51%
13%
61%
29%
11%
26%
10%
3%
0%
16%
11/27/2015
5%
2%
28%
11%
50%
14%
61%
31%
11%
26%
10%
4%
0%
18%
12/4/2015
3%
2%
18%
10%
51%
14%
54%
31%
12%
26%
10%
5%
0%
14%
12/11/2015
3%
2%
18%
10%
51%
15%
54%
32%
12%
26%
10%
4%
0%
15%
12/18/2015
5%
2%
18%
10%
51%
15%
54%
32%
13%
26%
10%
5%
0%
17%
12/25/2015
3%
2%
18%
10%
51%
16%
54%
31%
13%
26%
11%
5%
0%
18%
Mkt share
gain/loss -
WoW
(1.8%)
(0.0%)
-
(0.0%)
(0.4%)
0.2%
-
(1.2%)
(0.1%)
0.1%
0.1%
0.5%
0.1%
0.9%
Mkt share
gain/loss - 3
months
(1.9%)
0.1%
(25.4%)
(3.0%)
1.3%
3.5%
(7.7%)
(1.8%)
8.9%
0.4%
4.5%
2.9%
0.5%
(8.3%)
Mkt share
gain/loss -1
year
(3.2%)
(0.0%)
(37.8%)
(22.3%)
(8.3%)
2.2%
(23.5%)
(2.1%)
9.5%
9.4%
6.5%
5.1%
0.5%
17.7%
Source: Company, MOSL
13 January 2016
23

Sun Pharma
Exhibit 30: Sun Pharma - Price trend for key products in the US
Drug
TEMODAR
% Change MoM
CYMBALTA
% Change MoM
IMITREX Auto injector
% Change MoM
PRANDIN
% Change MoM
STALEVO
% Change MoM
ASTELIN (NASAL)
% Change MoM
DOXIL
% Change MoM
COMTAN
% Change MoM
NIASPAN
% Change MoM
DOXYCYCLINE HYCLATE
% Change MoM
DILTIAZEM HCL
% Change MoM
RISEDRONATE SODIUM
% Change WoW
DEXMETHYLPHENIDATE HCL
% Change WoW
TETRABENAZINE
% Change WoW
3/31/2015
2291
9.6%
94
-54.4%
102
-2.1%
545
2.8%
627
-0.2%
109
3.2%
116
-0.0%
613
0.0%
215
-2.4%
136
-1.2%
171
2.4%
338.31
-
0.00
-
0.00
-
4/30/2015
2081
-9.2%
63
-32.4%
100
-2.3%
546
0.3%
644
2.7%
110
1.7%
116
-0.2%
610
-0.5%
221
2.9%
140
2.4%
176
3.2%
290.12
-14.2%
0.00
-
0.00
-
5/29/2015
2510
20.6%
65
3.2%
101
1.1%
544
-0.4%
642
-0.3%
107
-2.7%
116
-0.1%
616
1.0%
238
7.8%
144
3.2%
189
7.0%
295.87
2.0%
0.00
-
0.00
-
6/30/2015
2472
-1.5%
65
-0.3%
100
-0.9%
548
0.8%
658
2.6%
108
0.8%
116
-0.1%
603
-2.1%
239
0.4%
149
3.7%
198
5.2%
291.86
-1.4%
0.00
-
0.00
-
7/31/2015
2920
18.1%
63
-3.1%
99
-1.0%
428
-22.0%
639
-3.0%
109
0.3%
116
0.4%
612
1.4%
237
-1.2%
153
2.4%
211
6.3%
283.44
-2.9%
0.00
-
0.00
-
8/31/2015
3082
5.6%
59
-5.8%
100
0.8%
361
-15.6%
657
2.8%
108
-0.3%
116
0.0%
594
-2.9%
236
-0.1%
154
0.7%
217
2.8%
278.51
-1.7%
0.00
-
0.00
-
9/30/2015
1949
-36.8%
58
-3.1%
101
1.4%
357
-1.1%
642
-2.2%
108
-0.7%
116
0.0%
611
3.0%
251
6.2%
151
-2.0%
211
-2.6%
276.45
-0.7%
0.00
-
10862.25
-
10/30/2015
2334
19.8%
58
0.2%
103
1.7%
325
-8.9%
666
3.7%
107
-0.3%
116
-0.0%
607
-0.7%
285
13.7%
149
-1.1%
178
-15.8%
298.79
8.1%
0.00
-
9818.51
-9.6%
11/30/2015
2531
8.4%
56
-2.6%
106
3.0%
317
-2.5%
666
-0.0%
108
0.6%
116
-0.0%
616
1.4%
301
5.6%
149
-0.0%
155
-13.1%
286.24
-4.2%
21.35
-
10180.68
3.7%
Price gain/loss Price gain/loss
- 3 months
-1 year
(17.9%)
(24.9%)
(5.4%)
6.2%
(12.2%)
1.4%
(0.4%)
(0.1%)
3.7%
27.4%
(3.1%)
(28.7%)
2.8%
-
-
-
Source: Company, MOSL
(72.8%)
20.8%
12.3%
5.7%
4.4%
(0.4%)
6.8%
-
4.8%
88.5%
13 January 2016
24

Sun Pharma
Exhibit 31: Taro - key products Rx market share in US
Drug
VANOS (External)
PHENYTOIN SODIUM
EXTENDED
KETOCONAZOLE
WESTCORT CREAM
TOPICORT
CARBAMAZEPINE XR
WESTCORT OINTMENT
VERDESO (DESONIDE) CREAM
MYTREX
(NYSTATIN/TRIAMCINOLONE
CLOMIPRAMINE HCL
DOVONEX (CALCIPOTRIENE)
WARFARIN SODIUM
MALATHION
LAMICTAL
CLOTRIMAZOLE
BETAMETHASONE
DESONIDE OINTMENT
CLOBETASOL CREAM
CLOBETASOL OINTMENT
CARBAMAZEPINE
ENALAPRIL MALEATE
ECONAZOLE NITRATE CREAM
DIFLORASONE DIACETATE
10/30/2015
33%
32%
35%
52%
59%
43%
100%
41%
54%
27%
41%
37%
100%
5%
19%
36%
28%
20%
34%
18%
23%
100%
11/6/2015
34%
32%
35%
52%
58%
43%
100%
41%
54%
28%
41%
37%
100%
6%
19%
37%
27%
20%
33%
18%
22%
100%
11/13/2015
34%
33%
35%
50%
60%
42%
100%
39%
53%
28%
43%
36%
100%
7%
19%
35%
27%
19%
34%
18%
22%
100%
11/20/2015
34%
32%
35%
51%
57%
40%
100%
41%
53%
29%
44%
36%
100%
7%
19%
35%
27%
19%
33%
19%
23%
100%
11/27/2015
35%
31%
34%
53%
60%
39%
100%
41%
52%
27%
41%
36%
100%
7%
19%
36%
28%
21%
33%
19%
23%
100%
12/4/2015
34%
32%
35%
51%
58%
39%
100%
40%
52%
26%
41%
35%
100%
7%
19%
36%
28%
19%
33%
19%
22%
100%
12/11/2015
34%
32%
34%
51%
59%
38%
100%
41%
52%
29%
42%
36%
100%
6%
19%
36%
27%
20%
34%
19%
22%
100%
12/18/2015
34%
32%
34%
51%
58%
39%
100%
40%
52%
29%
42%
36%
100%
6%
19%
34%
28%
21%
33%
19%
22%
100%
12/25/2015
34%
31%
35%
53%
60%
38%
100%
42%
51%
28%
39%
37%
100%
7%
19%
36%
28%
21%
33%
19%
21%
100%
Mkt share
gain/loss -
WoW
0.3%
(0.2%)
0.2%
1.2%
1.2%
(1.3%)
0.1%
2.2%
(0.7%)
(1.4%)
(2.8%)
0.4%
0.1%
0.3%
0.2%
1.6%
(0.1%)
0.7%
0.3%
0.0%
(0.4%)
(0.2%)
Mkt share
gain/loss - 3
months
0.5%
(1.0%)
(1.2%)
0.3%
0.7%
(5.3%)
0.0%
1.9%
(7.5%)
(0.3%)
1.1%
(1.2%)
(0.1%)
2.0%
(0.7%)
0.3%
0.4%
1.5%
(0.7%)
1.0%
(5.7%)
(0.2%)
Mkt share
gain/loss -1
year
(4.0%)
(7.8%)
(1.8%)
(4.4%)
(4.0%)
(1.7%)
0.0%
(3.5%)
(13.5%)
(3.6%)
(24.0%)
(8.6%)
(0.1%)
1.6%
(3.0%)
(3.1%)
(2.3%)
(9.1%)
(10.6%)
18.3%
(1.8%)
2.6%
Source: Company, MOSL
13 January 2016
25

Sun Pharma
Exhibit 32: Taro - Price trend for key products in the US – Sustenance of recent price hikes in few products is key
Drug
VANOS (External)
% Change MoM
PHENYTOIN SODIUM EXTENDED
% Change MoM
WESTCORT CREAM
% Change MoM
TOPICORT
% Change MoM
CARBAMAZEPINE XR
% Change MoM
WESTCORT OINTMENT
% Change MoM
VERDESO (DESONIDE) CREAM
% Change MoM
MYTREX
% Change MoM
DOVONEX (CALCIPOTRIENE)
% Change MoM
WARFARIN SODIUM
% Change MoM
MALATHION
% Change MoM
CLOTRIMAZOLE BETAMETHASONE
% Change MoM
DESONIDE OINTMENT
% Change MoM
CLOBETASOL CREAM
% Change MoM
CLOBETASOL OINTMENT
% Change MoM
CARBAMAZEPINE
% Change MoM
ENALAPRIL MALEATE
% Change MoM
ECONAZOLE NITRATE CREAM
% Change MoM
DIFLORASONE DIACETATE
% Change MoM
3/31/2015
146
0.4%
71
-1.2%
177
0.3%
279
-1.4%
212
-0.6%
199
-1.1%
186
0.1%
186
-0.1%
502
-1.2%
35
0.2%
242
-0.2%
71
-0.0%
162
-1.2%
330
-1.4%
270
-1.9%
156
-0.2%
161
126.5%
263
2.2%
324
-0.2%
4/30/2015
147
0.2%
71
0.2%
174
-1.6%
269
-3.7%
211
-0.3%
197
-0.6%
185
-0.1%
186
0.2%
503
0.3%
34
-2.3%
245
1.2%
71
0.2%
163
0.8%
340
2.9%
288
6.6%
156
0.0%
153
-5.1%
267
1.2%
320
-1.2%
5/29/2015
151
2.8%
72
1.1%
176
1.1%
294
9.4%
213
0.8%
199
0.9%
189
2.2%
189
1.4%
515
2.3%
33
-3.5%
246
0.3%
72
2.4%
164
0.7%
335
-1.4%
328
13.8%
159
1.9%
148
-3.0%
273
2.4%
412
28.5%
6/30/2015
152
0.5%
72
0.7%
176
-0.3%
392
33.2%
217
1.7%
201
0.8%
188
-0.8%
188
-0.6%
501
-2.8%
32
-3.3%
245
-0.1%
73
0.2%
165
0.4%
329
-1.8%
338
3.3%
157
-1.5%
148
-0.1%
275
0.8%
723
75.7%
7/31/2015
149
-1.7%
72
-0.4%
175
-0.1%
392
0.2%
217
0.2%
199
-0.9%
185
-1.4%
188
-0.2%
506
1.1%
31
-1.8%
246
0.3%
71
-1.6%
166
0.8%
337
2.6%
333
-1.7%
157
-0.0%
148
-0.4%
265
-3.9%
725
0.3%
8/31/2015
149
0.2%
72
0.3%
176
0.2%
397
1.3%
263
21.2%
201
1.0%
190
2.4%
188
0.5%
502
-0.8%
31
0.3%
276
12.3%
71
-0.3%
169
1.4%
353
4.6%
325
-2.3%
156
-0.3%
147
-0.2%
267
0.7%
733
1.1%
9/30/2015
153
2.2%
72
-0.8%
176
0.4%
401
0.8%
277
5.3%
202
0.5%
188
-0.9%
189
0.4%
501
-0.2%
31
0.3%
280
1.4%
71
-0.4%
166
-1.7%
358
1.5%
321
-1.3%
158
1.1%
145
-1.8%
264
-1.0%
725
-1.1%
10/30/2015
152
-0.6%
72
0.6%
176
-0.2%
411
2.6%
282
2.0%
201
-0.5%
186
-0.9%
188
-0.7%
517
3.1%
31
-0.1%
283
0.9%
70
-0.6%
165
-0.1%
362
1.0%
320
-0.4%
159
0.5%
142
-1.7%
268
1.5%
738
1.8%
11/30/2015
155
2.1%
73
0.8%
176
0.1%
414
0.6%
282
-0.3%
200
-0.2%
187
0.4%
188
-0.1%
508
-1.6%
32
1.1%
280
-0.9%
70
-0.3%
165
-0.4%
365
0.9%
326
2.0%
159
0.3%
142
-0.1%
278
3.8%
748
1.3%
Price gain/loss - Price gain/loss -
3 months
1 year
3.8%
7.8%
-
0.6%
(1.5%)
-
0.3%
(1.8%)
-
4.1%
47.7%
7.0%
(0.3%)
(1.4%)
(0.4%)
1.3%
1.2%
1.3%
(1.4%)
(2.2%)
3.4%
0.3%
1.9%
(3.6%)
4.3%
1.9%
29.6%
(0.4%)
1.0%
0.2%
1.1%
(9.8%)
-
16.7%
(0.4%)
(2.3%)
7.6%
8.6%
0.8%
68.2%
9.3%
134.9%
Source: Company, MOSL
13 January 2016
26

Sun Pharma
Exhibit 33: Ranbaxy - key products Rx market share in US – sustenance of TRx volume post recent price hikes in branded Derma portfolio is key
Drug
LIPITOR
MONODOX
CADUET
ABSORICA
DIOVAN
VALTREX
FENOFIBRATE
SIMVASTATIN
PLAQUENIL
(HYDROXY)
LORATADINE
HALOG
CLINDAMYCIN
KENALOG
CALCITRIOL
DIOVAN
EURAX
RIOMET
ULTRAVET
EXELDERM
10/30/2015
0%
1%
6%
16%
38%
21%
31%
0.0%
4%
6%
100%
72%
37%
3%
38%
100%
100%
0%
100%
11/6/2015
0%
1%
7%
16%
39%
21%
31%
0.0%
4%
6%
100%
73%
37%
3%
39%
100%
100%
0%
100%
11/13/2015
0%
1%
6%
17%
40%
21%
31%
0.0%
4%
6%
100%
74%
37%
3%
40%
100%
100%
1%
100%
11/20/2015
0%
1%
6%
16%
41%
21%
32%
0.0%
4%
6%
100%
75%
41%
3%
41%
100%
100%
0%
100%
11/27/2015
0%
1%
6%
17%
42%
22%
31%
0.0%
4%
7%
100%
76%
44%
3%
42%
100%
100%
1%
100%
12/4/2015
0%
1%
6%
17%
42%
22%
32%
0.0%
4%
7%
100%
74%
31%
3%
42%
100%
100%
1%
100%
12/11/2015
0%
1%
6%
17%
43%
22%
31%
0.0%
4%
6%
100%
74%
29%
3%
43%
100%
100%
1%
100%
12/18/2015
0%
1%
5%
17%
43%
22%
32%
0.0%
4%
7%
100%
74%
29%
3%
43%
100%
100%
0%
100%
12/25/2015
0%
1%
5%
17%
42%
22%
31%
0.0%
5%
7%
100%
75%
30%
3%
42%
100%
100%
0%
100%
Mkt share
gain/loss -
WoW
0.0%
0.1%
(0.2%)
0.1%
(0.3%)
(0.1%)
(0.6%)
(0.0%)
0.3%
0.1%
(0.2%)
0.8%
0.3%
(0.2%)
(0.3%)
-
-
(0.1%)
-
Mkt share
gain/loss - 3
months
(0.1%)
(0.1%)
(3.4%)
(0.0%)
0.8%
0.3%
(0.5%)
(0.0%)
(0.1%)
0.2%
(0.2%)
1.9%
(9.2%)
(1.1%)
0.8%
-
-
(0.2%)
-
Mkt share
gain/loss -1
year
(0.3%)
0.3%
(27.9%)
(1.6%)
9.5%
(8.9%)
(2.1%)
(0.0%)
(30.5%)
(0.9%)
(0.2%)
4.2%
(70.3%)
(3.6%)
9.5%
-
-
(0.4%)
-
Source: Company, MOSL
13 January 2016
27

Sun Pharma
Exhibit 34: Ranbaxy - Price trend for key products in the US
Drug
LIPITOR
% Change MoM
MONODOX
% Change MoM
CADUET
% Change MoM
ABSORICA
% Change MoM
DIOVAN
% Change MoM
VALTREX
% Change MoM
FENOFIBRATE
% Change MoM
SIMVASTATIN
% Change MoM
PLAQUENIL (HYDROXY)
% Change MoM
LORATADINE
% Change MoM
HALOG
% Change MoM
CLINDAMYCIN
% Change MoM
KENALOG
% Change MoM
CALCITRIOL
% Change MoM
DIOVAN
% Change WoW
EURAX
% Change WoW
RIOMET
% Change WoW
ULTRAVET
% Change WoW
EXELDERM
% Change WoW
13 January 2016
3/31/2015
178.36
0.4%
200.38
-19.0%
366.36
-4.3%
1540.34
0.9%
239.57
-1.2%
255.35
0.4%
104.91
-0.6%
174.66
-0.8%
83.56
0.9%
4.08
0.0%
468.48
0.4%
82.82
0.4%
383.95
2.9%
46.66
-4.1%
239.57
-1.2%
194.82
5.5%
233.09
-3.7%
437.61
-4.0%
189.84
-6.5%
4/30/2015
180.87
1.4%
182.99
-8.7%
372.57
1.7%
1546.56
0.4%
241.64
0.9%
256.48
0.4%
105.98
1.0%
172.38
-1.3%
80.15
-4.1%
4.13
1.1%
471.74
0.7%
82.80
-0.0%
383.18
-0.2%
47.89
2.6%
241.64
0.9%
189.55
-2.7%
237.86
2.0%
495.75
13.3%
201.99
6.4%
5/29/2015
179.70
-0.6%
169.24
-7.5%
377.19
1.2%
1728.93
11.8%
245.01
1.4%
260.86
1.7%
106.23
0.2%
173.29
0.5%
243.59
203.9%
4.24
2.6%
1027.26
117.8%
83.84
1.3%
679.45
77.3%
46.61
-2.7%
245.01
1.4%
183.67
-3.1%
227.45
-4.4%
485.99
-2.0%
198.65
-1.7%
6/30/2015
179.28
-0.2%
153.85
-9.1%
366.22
-2.9%
1752.16
1.3%
247.46
1.0%
262.69
0.7%
106.86
0.6%
171.47
-1.1%
241.36
-0.9%
4.21
-0.7%
1247.65
21.5%
84.03
0.2%
765.53
12.7%
46.70
0.2%
247.46
1.0%
481.88
162.4%
412.70
81.4%
775.96
59.7%
350.76
76.6%
7/31/2015
180.70
0.8%
161.76
5.1%
358.03
-2.2%
1735.76
-0.9%
247.98
0.2%
263.25
0.2%
108.21
1.3%
169.57
-1.1%
226.22
-6.3%
4.20
-0.1%
1222.64
-2.0%
84.86
1.0%
768.21
0.4%
46.65
-0.1%
247.98
0.2%
567.56
17.8%
465.08
12.7%
921.50
18.8%
423.71
20.8%
8/31/2015
180.75
0.0%
188.98
16.8%
376.99
5.3%
1725.22
-0.6%
249.99
0.8%
265.59
0.9%
107.69
-0.5%
174.99
3.2%
221.22
-2.2%
4.18
-0.6%
1224.76
0.2%
83.62
-1.5%
764.95
-0.4%
45.25
-3.0%
249.99
0.8%
549.88
-3.1%
458.14
-1.5%
1020.32
10.7%
399.92
-5.6%
9/30/2015
179.46
-0.7%
214.45
13.5%
374.88
-0.6%
1717.56
-0.4%
250.81
0.3%
265.98
0.1%
108.10
0.4%
167.13
-4.5%
220.27
-0.4%
4.17
-0.3%
1255.79
2.5%
82.64
-1.2%
761.82
-0.4%
45.24
-0.0%
250.81
0.3%
547.17
-0.5%
471.90
3.0%
939.70
-7.9%
397.73
-0.5%
10/30/2015
177.31
-1.2%
210.85
-1.7%
369.68
-1.4%
1720.28
0.2%
252.28
0.6%
264.56
-0.5%
108.85
0.7%
176.77
5.8%
211.56
-4.0%
4.15
-0.5%
1250.08
-0.5%
83.00
0.4%
757.44
-0.6%
46.25
2.2%
252.28
0.6%
536.75
-1.9%
466.61
-1.1%
897.21
-4.5%
413.71
4.0%
11/30/2015
179.79
1.4%
197.91
-6.1%
381.61
3.2%
1724.85
0.3%
254.87
1.0%
263.12
-0.5%
108.35
-0.5%
165.96
-6.1%
208.32
-1.5%
4.14
-0.1%
1268.37
1.5%
82.48
-0.6%
755.28
-0.3%
45.81
-0.9%
254.87
1.0%
546.22
1.8%
466.74
0.0%
830.42
-7.4%
397.90
-3.8%
Price gain/loss Price
- 3 months gain/loss -1
(0.5%)
1.4%
4.7%
1.2%
(0.0%)
2.0%
(0.9%)
0.6%
(5.2%)
(5.8%)
(0.9%)
3.6%
(1.4%)
(1.3%)
1.2%
2.0%
(0.7%)
1.9%
(18.6%)
(0.5%)
(71.0%)
(0.5%)
13.3%
0.5%
2.5%
1.9%
(5.9%)
150.2%
(0.2%)
165.7%
0.1%
-
98.5%
(9.0%)
0.5%
1.4%
(71.0%)
(0.5%)
13.3%
Source: Company, MOSL
28

Sun Pharma
Story in charts – US segment
Exhibit 35: Revenue to grow at 8% CAGR over FY15-18E
US Sales (USD m)
110.8
47.5
55.0
Growth YoY (%)
Exhibit 36: US sales per product improving with better mix
Revenues (USD m)
Rev per product (USDm/product)
9.9
42.9
39.3
2167
-3.6
19.1
-2.4
2518
2.3
234
FY09
2.8
494
FY10
3.8
729
FY11
5.2
1,130
FY12
7.1
494
FY11
729
FY12
1130
FY13
1615
FY14
2249
FY15
2581
1,615
FY13
2,249
FY14
FY16E FY17E FY18E
Exhibit 37: ANDAs Filed and Approved
ANDA filed
ANDA pending
597
377
207
123
152
397
147
449
478
599
Exhibit 38: 445 ANDA Approvals by Therapeutic Area
106
98
61
40
34
30
20
13
13
30
138
134
158
154
FY10
FY11
FY12
FY13
FY14
FY15
YTD
Exhibit 39: Pending ANDA approvals
269
220
168 165 159 160 154
120 120
98
87
Exhibit 40: ANDA approvals for last 7 years
30
25
62
68
ANDA approvals per year
27
20
22
14
8
Exhibit 41: US sales break-up (FY15)
Others, 9.5
Exhibit 42: US sales break-up (FY18)
Others,
11.8
Sun
Pharma,
23.6
Ranbaxy,
27.6
Taro, 39.4
Sun
Pharma,
29.5
Taro, 40.7
Ranbaxy,
18.0
Source: Company, MOSL
Source: Company, MOSL
13 January 2016
29

Sun Pharma
Story in charts – India
Exhibit 43: India sales to grow at 13% CAGR over FY15-18E
India sales (INR b)
82%
Growth YoY (%)
Gynaecology
4%
Others
18%
CNS
18%
CVS
17%
GI
11%
Exhibit 44: Diversified therapy mix
30%
24
FY11
22%
29
FY12
2%
30
FY13
24%
37
FY14
67
FY15
8%
73
16%
85
15%
98
FY16E FY17E FY18E
Source: Company, MOSL
Vitamins
5%
Pain/
Analgesic
7%
Anti Diabetic
8%
Anti Infective
12%
Source: AIOCD, MOSL
Exhibit 45: Monthly growth (%)
IPM - YoY growth (%)
18
1312
11
21
15
Sun Pharma - YoY growth (%)
24
1819
17
15
12
17
12
13
11 1012
Exhibit 46: Top 10 Indian companies
8.9
6.3
5.0
4.2
3.5
3.5
3.5
3.3
31
3.0
28
2.8
26
Annual sales (INR b)
Market share (%)
12
7 6
17
13 14
83
58
46
39
33
32
32
Source: AIOCD, MOSL
Source: AIOCD, MOSL
Exhibit 47: Chronic segment driving overall growth
Chronic Mix (%)
Chronic growth (%)
56
16
13
44
11
16
44
11
17
44
12
19
44
13
19
46
11
19
46
10
20
Acute growth (%)
Exhibit 48: Volumes growth (%) key driver for India business
7.8
4.0
Vol GR
Source: AIOCD, MOSL
Price GR
2.7
NP GR
Source: AIOCD, MOSL
13 January 2016
30

Sun Pharma
Story in Charts
Exhibit 49: Revenue to grow at 10% CAGR
Formulations (INR b)
API (INR b)
16
34
Exhibit 50: EBITDA margins to jump to 35%
EBITDA (INR b)
40
43
43
28
28
33
35
EBITDA Margin (%)
11
8
106
8
154
265
12
14
29
6
34
5
53
6
75
272
324
349
12
20
32
49
69
77
80
111
129
FY10 FY11 FY12 FY13 FY14 FY15 FY16E FY17E FY18E
FY10 FY11 FY12 FY13 FY14 FY15 FY16E FY17E FY18E
Exhibit 51: Ranbaxy synergies to drive margins
Gross Margin (%)
76.0
80.8
81.5
82.6
EBITDA Margin (%)
75.3
76.2
77.2
78.0
Exhibit 52: R&D expense to increase to 9% of sales
R&D expense (INR b)
6
7
% of sales
8
8
9
72.6
5
34
34
40
43
43
28
28
33
35
2
FY10
FY11
FY12
FY13
FY14
FY15 FY16E FY17E FY18E
FY10
5
5
5
3
FY11
4
FY12
6
FY13
10
FY14
18
21
27
31
FY15 FY16E FY17E FY18E
Exhibit 53: Cash rich balance sheet
Cash and Equivalents (INR b)
0.34
0.26
0.15
0.04
22
FY11
0.02
34
FY12
0.02
41
FY13
76
FY14
110
141
0.16
0.10
189
263
D/E (x)
Exhibit 54: Fixed asset turnover (x)
Gross assets (INR b)
2.5
2.1
2.2
2.0
2.2
Fixed asset turnover (x)
1.9
1.7
21
39
47
2.0
56
64
130
142
154
166
FY15 FY16E FY17E FY18E
FY10 FY11 FY12 FY13 FY14 FY15 FY16E FY17E FY18E
Exhibit 55: EPS to grow at 26%CAGR
Exhibit 56: Leading return ratios
RoE (%)
30.4
23.6
21.0
24.0
25.6
31.5
25.6
31.5
21.5
25.7
21.1
16.6
21.6
24.3
RoCE (%)
30.0
31.1
6
8
11
12
13
19
19
33
39
FY11
FY12
FY13
FY14
FY15
FY16E FY17E FY18E
Source: Company, MOSL
FY10 FY11 FY12 FY13 FY14 FY15 FY16E FY17E FY18E
Source: Company, MOSL
13 January 2016
31

Sun Pharma
Financials and Valuations
Income Statement
Y/E Mar
Net Sales
Change (%)
EBITDA
EBITDA Margin (%)
Depreciation
EBIT
Interest
Other Income
Extraordinary items
PBT
Tax
Tax Rate (%)
Min. Int. & Assoc. Share
Reported PAT
Adjusted PAT
Change (%)
2011
57,214
42.8
19,566
34.2
2,049
17,518
739
3,611
-32
20,357
1,286
6.3
913
18,158
18,158
34.4
2011
1,036
93,798
94,833
3,717
-3,652
103,370
39,128
16,794
22,334
2,355
22,297
61,146
14,895
11,049
22,046
13,156
15,361
10,078
5,283
45,785
103,371
2012
80,098
40.0
31,947
39.9
2,912
29,035
282
4,856
-11
33,598
3,826
11.4
3,855
25,917
25,917
42.7
2012
1,036
120,628
121,663
2,739
-5,199
130,820
46,542
20,406
26,136
3,447
22,129
90,681
20,870
19,261
33,672
16,878
24,950
14,410
10,541
65,730
130,820
2013
112,388
40.3
49,063
43.7
3,362
45,701
443
3,727
-5,836
43,148
8,456
19.6
4,863
29,830
29,830
15.1
2013
1,036
148,862
149,897
2,072
-7,122
161,197
56,026
24,421
31,604
5,626
24,116
113,420
25,778
27,108
40,587
19,948
38,439
15,752
22,687
74,981
161,198
2014
160,044
42.4
69,257
43.3
4,092
65,165
442
6,282
-25,174
45,831
7,022
15.3
7,375
31,434
31,434
5.4
2014
2,071
183,178
185,249
24,982
-9,110
220,333
63,886
28,904
34,982
8,415
27,860
177,393
31,230
22,004
75,902
48,257
61,509
15,887
45,622
115,884
220,333
2015
273,742
71.0
78,075
28.5
11,947
66,128
5,790
6,069
-2,378
64,029
9,147
14.3
9,488
45,394
47,415
50.8
2015
2,406
253,826
256,232
77,827
-17,516
345,203
130,369
60,617
69,752
20,386
27,163
297,403
56,680
53,123
109,980
77,619
126,574
59,198
67,376
170,828
345,203
2016E
283,958
3.7
80,678
28.4
10,750
69,928
5,000
7,050
-6,852
65,126
11,876
18.2
10,049
43,201
43,906
-7.4
2016E
2,406
282,202
284,608
64,585
-17,516
370,386
175,369
71,314
104,055
22,425
27,163
297,131
55,873
52,289
108,773
80,196
137,461
59,979
77,483
159,670
370,385
2017E
336,883
18.6
111,238
33.0
11,750
99,488
3,000
10,950
0
107,438
19,231
17.9
10,850
77,357
68,563
56.2
2017E
2,406
342,669
345,075
47,308
-17,516
424,426
187,369
83,493
103,876
24,667
27,163
368,412
63,029
57,385
157,308
90,689
156,766
67,661
89,105
211,646
424,425
(INR Million)
2018E
365,387
8.5
130,931
35.8
12,500
118,431
2,000
13,450
0
129,881
26,048
20.1
12,300
91,534
91,534
33.5
2018E
2,406
417,313
419,719
34,795
-17,516
498,857
199,369
96,452
102,917
27,134
27,163
457,835
65,949
62,227
230,771
98,887
173,266
70,795
102,471
284,569
498,856
Balance Sheet
Y/E Mar
Share Capital
Reserves
Net Worth
Debt
Deferred Tax
Total Capital Employed
Gross Fixed Assets
Less: Acc Depreciation
Net Fixed Assets
Capital WIP
Investments
Current Assets
Inventory
Debtors
Cash & Bank
Loans & Adv, Others
Curr Liabs & Provns
Curr. Liabilities
Provisions
Net Current Assets
Total Assets
(INR Million)
13 January 2016
32

Sun Pharma
Financials and valuations
Ratios
Y/E Mar
Basic (INR)
EPS
Cash EPS
Book Value
DPS
Payout (incl. Div. Tax.)
Valuation(x)
P/E
Cash P/E
Price / Book Value
EV/Sales
EV/EBITDA
Dividend Yield (%)
Profitability Ratios (%)
RoE
RoCE
Turnover Ratios (%)
Asset Turnover (x)
Debtors (No. of Days)
Inventory (No. of Days)
Creditors (No. of Days)
Net Debt/Equity (x)
2011
5.6
8.4
39.4
1.5
22.1
0.0
0.0
0.0
0.0
0.0
0.0
21.0
23.6
0.6
70.5
95.0
97.7
-0.2
2011
19,566
3,578
-286
-4,048
0
18,811
-16,500
2,311
9,367
0
-7,134
8,225
2,006
-739
-4,213
5,280
16,957
5,089
22,046
2012
7.6
12.0
50.6
1.8
17.2
74.0
66.5
15.8
23.3
58.4
0.2
23.9
30.4
0.7
87.8
95.1
109.2
-0.2
2012
31,947
4,845
-8,319
-5,373
0
23,099
-10,585
12,515
169
0
-10,416
5,318
-978
-282
-5,115
-1,058
11,626
22,046
33,672
2013
10.8
13.8
62.3
2.2
17.5
55.1
57.8
12.8
16.5
37.8
0.3
22.0
31.5
0.8
88.0
83.7
90.8
-0.2
2013
49,063
-2,109
-2,336
-10,379
0
34,239
-22,501
11,737
-1,987
0
-24,488
4,334
-668
-443
-6,058
-2,835
6,915
33,672
40,587
2014
14.5
14.8
77.0
2.6
18.7
36.3
54.0
10.4
11.5
26.5
0.3
18.8
25.6
0.8
50.2
71.2
63.9
-0.2
2014
69,257
-18,892
-5,589
-9,010
0
35,767
-18,580
17,187
-3,745
0
-22,324
6,674
22,910
-442
-7,270
21,872
35,315
40,587
75,902
2015
22.0
23.8
106.5
4.3
21.8
40.4
33.4
7.5
6.8
24.1
0.5
21.5
25.7
1.0
70.8
75.6
110.4
-0.1
2015
78,075
3,691
-20,865
-17,553
0
43,348
-82,570
-39,223
698
0
-81,872
37,513
52,845
-5,790
-11,964
72,605
34,080
75,902
109,982
2016E
18.7
22.4
118.3
5.0
26.4
42.6
34.4
6.7
6.4
22.8
0.6
16.2
20.5
0.8
67.2
71.8
107.7
-0.1
2016E
80,678
198
9,952
-11,876
0
78,951
-47,091
31,860
0
0
-47,091
-750
-13,242
-5,000
-14,075
-33,067
-1,207
109,980
108,774
2017E
28.5
37.0
143.4
6.0
19.1
27.9
21.2
5.5
5.2
15.8
0.8
21.8
29.8
0.8
62.2
68.3
109.4
-0.3
2017E
111,238
10,950
-3,442
-19,231
0
99,515
-13,813
85,701
0
0
-13,813
0
-17,276
-3,000
-16,890
-37,166
48,535
108,773
157,308
2018E
39.0
43.2
174.4
6.0
16.3
20.4
18.0
4.5
4.6
12.9
0.8
23.9
31.1
0.8
62.2
65.9
110.2
-0.4
2018E
130,931
13,450
540
-26,048
0
118,874
-14,008
104,866
0
0
-14,008
0
-12,513
-2,000
-16,890
-31,403
73,463
157,308
230,771
Cash Flow Statement
Y/E Mar
Adjusted EBITDA
Non cash opr. exp (inc)
(Inc)/Dec in Wkg. Cap.
Tax Paid
Other operating activities
CF from Op. Activity
(Inc)/Dec in FA & CWIP
Free cash flows
(Pur)/Sale of Invt
Others
CF from Inv. Activity
Inc/(Dec) in Net Worth
Inc / (Dec) in Debt
Interest Paid
Divd Paid (incl Tax) & Others
CF from Fin. Activity
Inc/(Dec) in Cash
Add: Opening Balance
Closing Balance
(INR Million)
13 January 2016
33

Sun Pharma
NOTES
13 January 2016
34

SUN PHARMA GALLERY
SUN PHARMA
OTHER COMPANIES
SECTOR UPDATES

Disclosures
This document has been prepared by Motilal Oswal Securities Limited (hereinafter referred to as Most) to provide information about the company(ies) and/sector(s), if any, covered in the report and may be distributed by it and/or its
Sun Pharma
affiliated company(ies). This report is for personal information of the selected recipient/s and does not construe to be any investment, legal or taxation advice to you. This research report does not constitute an offer, invitation or
inducement to invest in securities or other investments and Motilal Oswal Securities Limited (hereinafter referred as MOSt) is not soliciting any action based upon it. This report is not for public distribution and has been furnished to
you solely for your general information and should not be reproduced or redistributed to any other person in any form. This report does not constitute a personal recommendation or take into account the particular investment
objectives, financial situations, or needs of individual clients. Before acting on any advice or recommendation in this material, investors should consider whether it is suitable for their particular circumstances and, if necessary, seek
professional advice. The price and value of the investments referred to in this material and the income from them may go down as well as up, and investors may realize losses on any investments. Past performance is not a guide for
future performance, future returns are not guaranteed and a loss of original capital may occur.
MOSt and its affiliates are a full-service, integrated investment banking, investment management, brokerage and financing group. We and our affiliates have investment banking and other business relationships with a some
companies covered by our Research Department. Our research professionals may provide input into our investment banking and other business selection processes. Investors should assume that MOSt and/or its affiliates are
seeking or will seek investment banking or other business from the company or companies that are the subject of this material and that the research professionals who were involved in preparing this material may educate investors
on investments in such business. The research professionals responsible for the preparation of this document may interact with trading desk personnel, sales personnel and other parties for the purpose of gathering, applying and
interpreting information. Our research professionals are paid on the profitability of MOSt which may include earnings from investment banking and other business.
MOSt generally prohibits its analysts, persons reporting to analysts, and members of their households from maintaining a financial interest in the securities or derivatives of any companies that the analysts cover. Additionally, MOSt
generally prohibits its analysts and persons reporting to analysts from serving as an officer, director, or advisory board member of any companies that the analysts cover. Our salespeople, traders, and other professionals or affiliates
may provide oral or written market commentary or trading strategies to our clients that reflect opinions that are contrary to the opinions expressed herein, and our proprietary trading and investing businesses may make investment
decisions that are inconsistent with the recommendations expressed herein. In reviewing these materials, you should be aware that any or all of the foregoing among other things, may give rise to real or potential conflicts of interest.
MOSt and its affiliated company(ies), their directors and employees and their relatives may; (a) from time to time, have a long or short position in, act as principal in, and buy or sell the securities or derivatives thereof of companies
mentioned herein. (b) be engaged in any other transaction involving such securities and earn brokerage or other compensation or act as a market maker in the financial instruments of the company(ies) discussed herein or act as an
advisor or lender/borrower to such company(ies) or may have any other potential conflict of interests with respect to any recommendation and other related information and opinions.; however the same shall have no bearing
whatsoever on the specific recommendations made by the analyst(s), as the recommendations made by the analyst(s) are completely independent of the views of the affiliates of MOSt even though there might exist an inherent
conflict of interest in some of the stocks mentioned in the research report
Reports based on technical and derivative analysis center on studying charts company's price movement, outstanding positions and trading volume, as opposed to focusing on a company's fundamentals and, as such, may not match
with a report on a company's fundamental analysis. In addition MOST has different business segments / Divisions with independent research separated by Chinese walls catering to different set of customers having various
objectives, risk profiles, investment horizon, etc, and therefore may at times have different contrary views on stocks sectors and markets.
Unauthorized disclosure, use, dissemination or copying (either whole or partial) of this information, is prohibited. The person accessing this information specifically agrees to exempt MOSt or any of its affiliates or employees from, any
and all responsibility/liability arising from such misuse and agrees not to hold MOSt or any of its affiliates or employees responsible for any such misuse and further agrees to hold MOSt or any of its affiliates or employees free and
harmless from all losses, costs, damages, expenses that may be suffered by the person accessing this information due to any errors and delays. The information contained herein is based on publicly available data or other sources
believed to be reliable. Any statements contained in this report attributed to a third party represent MOSt’s interpretation of the data, information and/or opinions provided by that third party either publicly or through a subscription
service, and such use and interpretation have not been reviewed by the third party. This Report is not intended to be a complete statement or summary of the securities, markets or developments referred to in the document. While we
would endeavor to update the information herein on reasonable basis, MOSt and/or its affiliates are under no obligation to update the information. Also there may be regulatory, compliance, or other reasons that may prevent MOSt
and/or its affiliates from doing so. MOSt or any of its affiliates or employees shall not be in any way responsible and liable for any loss or damage that may arise to any person from any inadvertent error in the information contained in
this report. MOSt or any of its affiliates or employees do not provide, at any time, any express or implied warranty of any kind, regarding any matter pertaining to this report, including without limitation the implied warranties of
merchantability, fitness for a particular purpose, and non-infringement. The recipients of this report should rely on their own investigations.
This report is intended for distribution to institutional investors. Recipients who are not institutional investors should seek advice of their independent financial advisor prior to taking any investment decision based on this report or for
any necessary explanation of its contents.
Most and it’s associates may have managed or co-managed public offering of securities, may have received compensation for investment banking or merchant banking or brokerage services, may have received any compensation for
products or services other than investment banking or merchant banking or brokerage services from the subject company in the past 12 months.
Most and it’s associates have not received any compensation or other benefits from the subject company or third party in connection with the research report.
Subject Company may have been a client of Most or its associates during twelve months preceding the date of distribution of the research report
MOSt and/or its affiliates and/or employees may have interests/positions, financial or otherwise of over 1 % at the end of the month immediately preceding the date of publication of the research in the securities mentioned in this
report. To enhance transparency, MOSt has incorporated a Disclosure of Interest Statement in this document. This should, however, not be treated as endorsement of the views expressed in the report.
Motilal Oswal Securities Limited is registered as a Research Analyst under SEBI (Research Analyst) Regulations, 2014. SEBI Reg. No. INH000000412
There are no material disciplinary action that been taken by any regulatory authority impacting equity research analysis activities
Analyst Certification
The views expressed in this research report accurately reflect the personal views of the analyst(s) about the subject securities or issues, and no part of the compensation of the research analyst(s) was, is, or will be directly or
indirectly related to the specific recommendations and views expressed by research analyst(s) in this report. The research analysts, strategists, or research associates principally responsible for preparation of MOSt research receive
compensation based upon various factors, including quality of research, investor client feedback, stock picking, competitive factors and firm revenues
Disclosure of Interest Statement
Analyst ownership of the stock
Served as an officer, director or employee
SUN PHARMACEUTICAL IN
No
No
A graph of daily closing prices of securities is available at www.nseindia.com and http://economictimes.indiatimes.com/markets/stocks/stock-quotes
Regional Disclosures (outside India)
For U.S.
This report is not directed or intended for distribution to or use by any person or entity resident in a state, country or any jurisdiction, where such distribution, publication, availability or use would be contrary to law, regulation or which
would subject MOSt & its group companies to registration or licensing requirements within such jurisdictions.
Motilal Oswal Securities Limited (MOSL) is not a registered broker - dealer under the U.S. Securities Exchange Act of 1934, as amended (the"1934 act") and under applicable state laws in the United States. In addition MOSL is not a
registered investment adviser under the U.S. Investment Advisers Act of 1940, as amended (the "Advisers Act" and together with the 1934 Act, the "Acts), and under applicable state laws in the United States. Accordingly, in the
absence of specific exemption under the Acts, any brokerage and investment services provided by MOSL, including the products and services described herein are not available to or intended for U.S. persons.
This report is intended for distribution only to "Major Institutional Investors" as defined by Rule 15a-6(b)(4) of the Exchange Act and interpretations thereof by SEC (henceforth referred to as "major institutional investors"). This
document must not be acted on or relied on by persons who are not major institutional investors. Any investment or investment activity to which this document relates is only available to major institutional investors and will be
engaged in only with major institutional investors. In reliance on the exemption from registration provided by Rule 15a-6 of the U.S. Securities Exchange Act of 1934, as amended (the "Exchange Act") and interpretations thereof by
the U.S. Securities and Exchange Commission ("SEC") in order to conduct business with Institutional Investors based in the U.S., MOSL has entered into a chaperoning agreement with a U.S. registered broker-dealer, Motilal Oswal
Securities International Private Limited. ("MOSIPL"). Any business interaction pursuant to this report will have to be executed within the provisions of this chaperoning agreement.
The Research Analysts contributing to the report may not be registered /qualified as research analyst with FINRA. Such research analyst may not be associated persons of the U.S. registered broker-dealer, MOSIPL, and therefore,
may not be subject to NASD rule 2711 and NYSE Rule 472 restrictions on communication with a subject company, public appearances and trading securities held by a research analyst account.
For Hong Kong:
This report is distributed in Hong Kong by Motilal Oswal capital Markets (Hong Kong) Private Limited, a licensed corporation (CE AYY-301) licensed and regulated by the Hong Kong Securities and Futures Commission (SFC)
pursuant to the Securities and Futures Ordinance (Chapter 571 of the Laws of Hong Kong) “SFO”. As per SEBI (Research Analyst Regulations) 2014 Motilal Oswal Securities (SEBI Reg No. INH000000412) has an agreement with
Motilal Oswal capital Markets (Hong Kong) Private Limited for distribution of research report in Kong Kong. This report is intended for distribution only to “Professional Investors” as defined in Part I of Schedule 1 to SFO. Any
investment or investment activity to which this document relates is only available to professional investor and will be engaged only with professional investors.”
Nothing here is an offer or solicitation of these securities, products and services in any jurisdiction where their offer or sale is not qualified or exempt from registration. The Indian Analyst(s) who compile this report is/are not located in
Hong Kong & are not conducting Research Analysis in Hong Kong.
For Singapore
Motilal Oswal Capital Markets Singapore Pte Limited is acting as an exempt financial advisor under section 23(1)(f) of the Financial Advisers Act(FAA) read with regulation 17(1)(d) of the Financial Advisors Regulations and is a
subsidiary of Motilal Oswal Securities Limited in India. This research is distributed in Singapore by Motilal Oswal Capital Markets Singapore Pte Limited and it is only directed in Singapore to accredited investors, as defined in the
Financial Advisers Regulations and the Securities and Futures Act (Chapter 289), as amended from time to time.
In respect of any matter arising from or in connection with the research you could contact the following representatives of Motilal Oswal Capital Markets Singapore Pte Limited:
Kadambari Balachandran
Email : kadambari.balachandran@motilaloswal.com
Contact : (+65) 68189233 / 65249115
Office Address : 21 (Suite 31),16 Collyer Quay,Singapore 04931
13 January 2016
Motilal Oswal Tower, Level 9, Sayani Road, Prabhadevi, Mumbai 400 025
Phone: +91 22 3982 5500 E-mail: reports@motilaloswal.com
Motilal Oswal Securities Ltd
36