Initiating Coverage | 21 January 2016
Sector: Healthcare
Alkem
Potent mix of growth and sustainability
Kumar Saurabh
(Kumar.Saurabh@MotilalOswal.com); +91 22 3982 5584
Amey Chalke
(amey.chalke@motilaloswal.com); +91 22 39825423

Alkem Labs
Contents: Potent mix of growth and sustainability
Summary .........................................................................................................3
Alkem- robust combination of growth & sustainability ...................................... 5
India business to remain the cash cow .............................................................. 7
Clarity regarding domestic pricing policy bodes well ........................................ 13
US business- The jewel in the crown ............................................................... 15
Ex-US International business........................................................................... 20
Balance sheet and return ratios to improve..................................................... 21
Tale of two halves .......................................................................................... 24
Valuations and view ....................................................................................... 25
About Alkem Labs .......................................................................................... 28
Story in charts - India ...................................................................................... 29
Story in charts – US business........................................................................... 30
Story in charts ................................................................................................ 31
Annexure I - Alkem in acute therapies ............................................................. 32
Annexure II - Manufacturing capabilities ......................................................... 36
ANEXURE III – US Rx share for Alkem .............................................................. 37
Financials and valuations ................................................................................ 39
Financials and valuations (Consolidated) ......................................................... 40
Investors are advised to refer through important disclosures made at the last page of the Research Report.
Motilal Oswal research is available on www.motilaloswal.com/Institutional-Equities, Bloomberg, Thomson Reuters, Factset and S&P Capital.
21 January 2016
2

Initiating Coverage | Sector: Healthcare
Alkem Labs
Alkem Labs
Buy
BSE Sensex
23,962
S&P CNX
7,277
CMP: INR1,327
TP: INR1750 (+32%)
Potent mix of growth and sustainability
Stable business model + robust growth = attractive returns
Stock Info
Bloomberg
Equity Shares (m)
52-Week Range (INR)
1, 6, 12 Rel. Per (%)
M.Cap. (INR b)
M.Cap. (USD b)
Avg Val, INRm
Free float (%)
ALKEM IN
2,406.6
1,589/1281
-/-/-
158.7
2.37
2444
-
Financial Snapshot (INR b)
Y/E Mar
2016E 2017E
Net Sales
50.6
60.1
EBITDA
8.3
10.3
PAT
7.4
8.5
EPS (INR)
61.7
71.4
Gr. (%)
59.6
15.7
BV/Sh (INR)
305.4 362.4
RoE (%)
22.2
21.4
RoCE (%)
19.3
19.9
P/E (x)
21.5
18.6
P/BV (x)
4.3
3.7
2018E
71.7
13.0
10.5
87.5
22.5
430.2
22.1
21.7
15.2
3.1
We initiate coverage on Alkem (ALKEM IN) with Buy rating and target price of
INR1,750, implying upside potential of ~30%.
We believe being amongst the top-3 players in acute therapy in India (Ranks 1st in
anti-infectives) provides sustainability for ALKEM whereas growing presence in
the domestic chronic segment (growing at double the pace of industry at >30%)
coupled with robust US pipeline will help drive growth and profitability.
Domestic business will continue to be the key contributor for ALKEM, as it will
explain >70% of FY18E sales (v/s ~75% of current sales) and 85% of FY18E EBITDA
(v/s ~100% of current EBITDA).
ALKEM's US business is likely to more than double from ~USD106m in FY15 to
~USD225m by FY18, driven by a strong pipeline of ~45 pending ANDAs. Lower
base effect will continue to have a positive impact as US will still contribute ~22%
to sales- much lower than peers at ~40% and above.
Our target price of INR1,750 for ALKEM is based on 20x FY18E EPS (~10-15%
discount to peers).
We argue for a multiple re-rating given the leadership position in domestic
market, superior earnings growth profile (>30% EPS CAGR over FY15-18E),
improving return ratios (ROICs to improve to ~22% by FY18E from 16% in FY15)
and net cash balance sheet.
Domestic market to remain the cash cow
Alkem Labs
Potent mix of growth and
sustainability
Domestic business will continue to be the key contributor for ALKEM, as it
will explain >70% of FY18E sales (v/s ~75% of current sales) and 85% of
FY18E EBITDA (v/s ~100% of current EBITDA).
We believe market leadership position in key acute therapies will help
provide sustainability whereas expanding presence in high growth areas of
chronic segment will help drive growth.
ALKEM is one of the fastest growing pharma companies among domestic
peers (sales CAGR of ~14% in the last five years v/s industry average of
11.5%).
This is primarily on the back of its (1) market leadership position (ranks 7th,
with market share of 3.5% in the domestic market), (2) strong brand
franchise (5 of its brands among top-50), and (3) aggressive new product
introductions (launched ~80 brands annually in the last five years v/s peer
average of ~50).
Please click here for Video Link
Strong presence in acute segment (~90% of domestic sales) to provide
stability
We expect ALKEM to continue to outperform industry growth of ~10% in
the acute segment.
This will be driven by leadership status in key therapies (ranks no 1 in anti-
infectives, GI, Pain/ analgesics and Vitamin), bridging gaps in the product
portfolio and strong relationship with specialists (prescription coverage
of>70%).
3
21 January 2016

Alkem Labs
Expanding presence in Chronic segment to fuel growth
Chronic segment for ALKEM grew at ~33% CAGR over FY11-15 but still
contributes ~11% to domestic sales (vs industry average of >30%).
Chronic segment will continue to deliver robust growth on the back of low
base effect, focus on high growth therapies (cardio, derma, anti-diabetic,
etc) and specialized sales team (of ~1900).
We expect sales force productivity in the chronic segment to improve
considerably for ALKEM (currently at ~INR4.8m v/s company average of
INR5.0m) on the back of deeper therapy penetration, insignificant addition
to the team and investment in brand building. This will help fuel growth and
drive profitability due to better operating leverage.
US business sales to more than double by FY18E
US business for Alkem is expected to more than double by FY18E to
~USD225m vs ~USD106m in FY15. This will be driven by strong ANDA
pipeline of ~45 pending ANDAs.
Lower base effect will continue to have a positive impact as US will still
contribute ~22% to sales- much lower than peers at ~40% and above.
ALKEM’s US business has already crossed breakeven point in 1HFY16. Its
own frontend presence coupled with ramp-up of existing products and new
launches will help drive profitability (will explain more than 50% of margin
expansion).
Increase in ANDA filling rate to 12-15/year (v/s high single digit till last year)
on the back of higher R&D spend (~30% CAGR over FY15-18) and capacity
addition (Long Pharma acquisition) will help drive growth in the medium
term.
The acquisition of Long Pharma in the US will allow the company to gain
semi-solid, liquid and nasal formulation manufacturing capabilities. US-
based facilities will allow ALKEM to compete in the niche area of controlled
substances.
Valuations attractive; sticky profit provides comfort
Our target price of INR1,750 is based on 20x FY18E EPS (~10-15% discount
to peers).
We argue for a multiple re-rating given the superior earnings growth profile
(>30% EPS CAGR over FY15-18E), improving return ratios (RoICs to improve
to ~22% by FY18E from 16% in FY15) and net cash balance sheet.
Our sensitivity analysis
suggests that in bull case (assuming better margins,
lower tax rate etc) there is an upside of greater than 50% to CMP whereas
our bear case analysis suggests that stock has limited downside from current
levels.
Risks:
Successful US FDA inspection (which is already overdue) of the Daman
facility is critical (contributes ~60% to US sales) – clean track record provides
comfort. We have already taken aggressive estimates of tax rate (~15% for
FY18 v/s 8% for FY16) and other income (yield of ~8% in FY18 v/s ~14%
now). However, higher than expected negative movement could impact
PAT.
21 January 2016
4

Alkem Labs
Alkem- robust combination of growth & sustainability
Acute business provides sustainability; chronic and US to drive growth
We expect revenue to grow at a CAGR of 22% over FY15-18, driven by strong growth in
the domestic chronic and US businesses
Margin expansion of >350bp is likely over FY15-18, driven by MR productivity
improvement, better business mix and economies of scale.
We estimate EPS CAGR of >30% over FY15-18 despite assuming higher tax rate and
lower other income.
Strong pedigree coupled with market leadership status
Established in 1973, Alkem has more than 40 years of history in India. Currently the
3 generations of promoters are involved in building as well as growing the business
to new verticals/ geographies. The promoters started the business as a distributor in
East India and current has branded formulations presence across the country.
ALKEM is one of the fastest growing pharma companies among top-10 domestic
peers. It currently ranks as the 7th largest pharmaceutical company in India (top 3
acute player), with a market share of ~3.5%, based on domestic sales of
formulations (source: AIOCD).
Even though, at present, majority of sales (75%) is contributed by domestic
business, going ahead, we believe export (25% of sales) would be the key growth
driver for the company.
We believe being amongst the top-3 players in acute therapy in India (Ranks 1st in
anti-infectives) provides sustainability whereas growing presence in the domestic
chronic segment (growing at double the pace of industry at >30%) coupled with
robust US pipeline will help drive growth and profitability.
Exhibit 1: Business mix to improve …
India acute business (%)
US business (%)
10
3
5
7
6
7
11
7
8
11
13
8
68
India chronic business (%)
Ex-US export business (%)
8
17
8
67
7
17
9
66
7
19
10
64
7
22
11
61
16.9
20.2
25.0
31.3
37.9
50.6
60.1
71.7
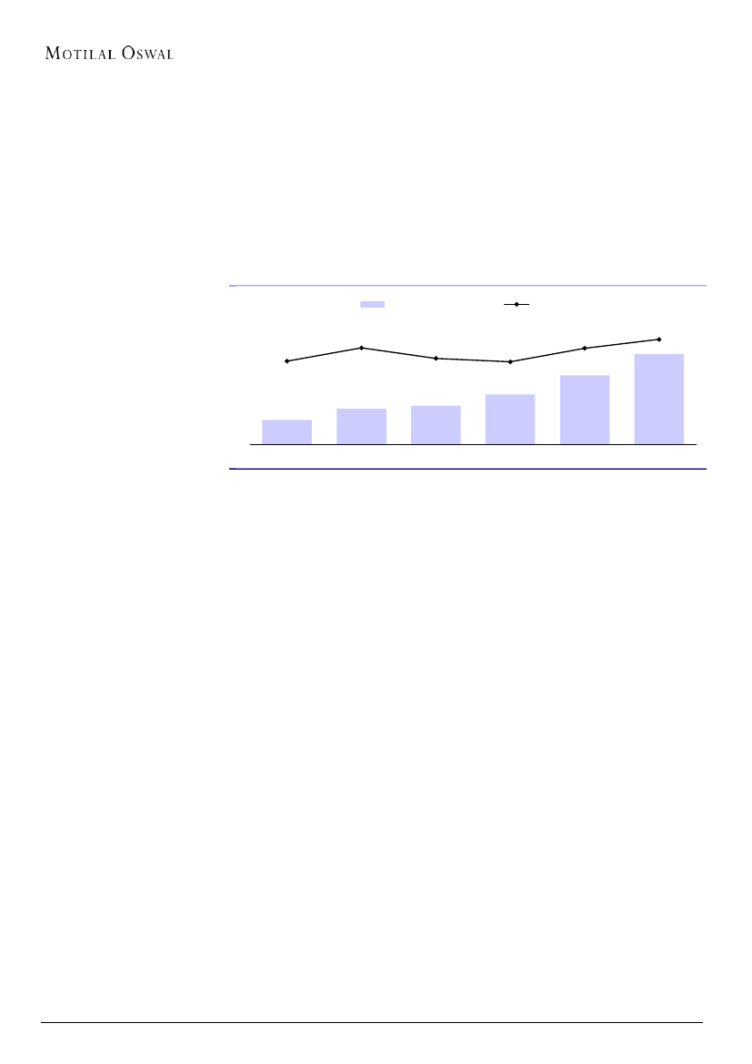
Exhibit 2: Revenues to grow at 24% CAGR
Revenue (INR b)
82
80
74
FY11
FY12
FY13
FY14
FY15
FY16E FY17E FY18E
Source: Company, MOSL
Source: Company, MOSL
21 January 2016
5

Alkem Labs
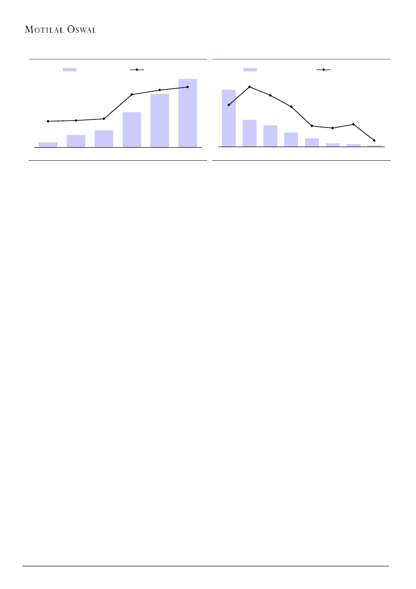
Exhibit 3: EBITDA margins to jump to 18% by FY18E
EBITDA (INR b)
17.0
18.6
14.5
13.1
14.3
EBITDA margin (%)
16.6
17.1
18.1
Exhibit 4: Earnings to grow at 31% CAGR
EPS (INR/sh)
24.7
2.9
FY11
3.8
FY12
3.6
FY13
4.1
FY14
5.4
FY15
8.4
10.3
13.0
34.0
32.1
36.4
38.7
61.7
71.4
87.5
FY16E FY17E FY18E
Source: Company, MOSL
Source: Company, MOSL
21 January 2016
6

Alkem Labs
India business to remain the cash cow
Leadership position in domestic market to continue
With 3.5% market share and INR33b secondary sales, ALKEM is the seventh largest
pharma company in India.
It is also one of the fastest growing companies in India for the last five years.
Popular brands, competitive pricing and vast distribution reach have been the key
growth drivers of ALKEM’s domestic business.
We expect ALKEM to deliver revenue CAGR of >20% over FY15-18 on the back of
Catchet and Indchemie acquisitions, robust growth in chronic segment and steady
performance in acute segment.
Dominant acute player
India business revenue for ALKEM grew at a CAGR of 18% over FY11-15. Historically,
it has been a dominant acute player in the Indian market, with leadership in anti-
infective, gastro and vitamins therapies. Till today, the acute-chronic mix is largely
skewed towards acute products (with ~90% sales coming from acute portfolio).
Currently, it markets 700+ brands in the Indian pharma market.
Exhibit 5: 7th largest company in India
8.8
6.3
Market size (INR b)
Market share (%)
11.5
4.2
40
3.5
33
3.5
33
3.5
33
3.3
32
3.0
29
2.9
28
Exhibit 6: 4 fastest within top 10 companies
18.9
% YoY growth (11-15)
15.3 14.6
13.5 13.2
12.1 10.9
10.5
6.5
1.7
th
5.0
84
59
47
Source: AIOCD, MOSL
Source: AIOCD, MOSL
Exhibit 7: Domestic sales (INR b) (CAGR growth)
India business (INR b)
Exhibit 8: Chronic segment contribution improving
India chronic business (%)
India acute business (%)
94
92
90
90
89
88
86
85
14.8
FY11
17.5
FY12
20.5
FY13
23.6
FY14
28.3
FY15
38.8
45.0
52.0
6
FY11
8
FY12
10
FY13
10
FY14
11
12
14
15
FY16E FY17E FY18E
Source: Company, MOSL
FY15 FY16E FY17E FY18E
Source: Company, MOSL
21 January 2016
7

Alkem Labs
Market leader in key acute therapies
As per AIOCD, ALKEM is ranked 1st in anti-infective therapy, with 9% market share.
Similarly, it is ranked third in both the gastro-intestinal (GI) and vitamins market,
with 4% market share in each. The company also has strong presence in the
pain/analgesic market, with more than 3% share.
ALKEM has been the market leader in acute segment for last five years. Despite high
base effect, it has consistently grown ahead of the market growth. Industry growth
for acute segment has been at ~10%CAGR between FY11-15 whereas ALKEM has
grown at ~12% for same period. This growth is primarily driven by new product
launches; brand loyalty, aggressive pricing strategy and vast distribution reach
across India.
Exhibit 9: Acute market grew at 10% CAGR over 2011-15
Acute market sales (INR m)
Despite being the market leader still outperforming the market growth
Exhibit 10: Alkem’s Acute portfolio grew 12%CAGR (11-15)
Alkem Acute sales (INR m)
499,053
2011
567,864
2012
606,484
2013
670,900
2014
766,083
2015
16,824
2011
19,362
2012
20,802
2013
23,908
2014
26,451
2015
Source: AIOCD, MOSL
Source: AIOCD, MOSL
Exhibit 11: Established player in key acute therapies
Therapy
Anti-infectives
Gastro intestinal
Vitamins
Pain / analgesics
Rank
1
3
3
10
Domestic
sales (INR m)
13048
5113
3554
2060
Market
share (%)
9.0%
4.6%
4.2%
3.1%
CAGR
(11-15)
9.7%
15.8%
18.2%
13.0%
Overall Therapy
market (INR m)
145333
110768
84989
65770
CAGR
(11-15)
6.9%
12.8%
12.3%
9.1%
Source: AIOCD, MOSL:
2: Launches in key acute therapies over last five years
46
43
42
34
Anti-Infectives
Pain / Analgesics
Gastro Intestinal
Vitamins
21 January 2016
8

Alkem Labs
Building presence in lucrative chronic segment
Industry growth in chronic segment stood at ~15% CAGR between FY11-15 vs ~10%
growth for Acute during same period. ALKEM is building upon its acute portfolio and
expanding its presence in high growth chronic segments. Sales in the chronic
segment have gone up by 33% CAGR over last 5 years. This was driven by lower base
effect, enhanced focus on high growth therapies including CNS, Derma, Respiratory
and Anti-diabetic and investment in building a specialized sales force.
Exhibit 13: Chronic market grew at 10% CAGR over 2011-15
Chronic market sales (INR m)
Exhibit 14: Alkem’s Chronic portfolio grew 33%CAGR
Alkem Chronic sales (INR m)
172019
2011
202043
2012
225981
2013
256565
2014
300911
2015
1012
2011
1612
2012
2245
2013
2782
2014
3227
2015
Source: AIOCD, MOSL
Source: AIOCD, MOSL
Superior performance in chronic therapies
Anti-Diabetic, Derma and Cardiac are three largest and fastest growing chronic
segments in India. Over last five years, ALKEM has reported 23%YoY growth in its
CNS portfolio as against 12%YoY growth in market for same period. Similarly, it has
also outperformed market growth in therapies like Derma, Cardiac and Anti-
Diabetic.
Exhibit 15: Superior growth in chronic therapies
Therapy
Neuro / cns
Derma
Respiratory
Cardiac
Anti diabetic
Gynaecological
Rank
11
15
23
31
28
19
Domestic sales
(INR m)
1361
1050
862
773
691
644
Market share
(%)
2.3%
1.8%
1.2%
0.6%
0.9%
1.4%
CAGR (11-15)
22.8%
30.1%
8.9%
37.0%
60.1%
3.6%
Overall Therapy
market (INR m)
58382
56953
74303
119095
77292
46822
CAGR (11-15)
12.2%
16.7%
11.2%
13.3%
21.3%
7.4%
Source: AIOCD, MOSL
Exhibit 16: Launches in key chronic therapies over last five years
45
44
29
27
16
13
7
Source: AIOCD, MOSL
21 January 2016
9

Alkem Labs
Investment in chronic business to help drive growth
Superior growth in chronic therapies is result of large number of launches in Cardiac,
Respiratory and Anti-Diabetic categories and significant initial investment went into
building specialized sales force of ~2000 MR in these therapies. We believe chronic
therapy growth will not only drive Alkem’s top line growth but it will also drive
profitability over long term.
Exhibit 17: MR productivity
No of MRs
MR Productivity (INR m/MR)
6
5
2
5850
Alkem
3900
Acute
1950
Chronic
Source: Company, MOSL
Diversified brand portfolio
ALKEM has a well-diversified portfolio, with no over-dependence on any single
brand (top-10 brands contribute 46% of domestic sales and top-25 brands
contribute ~66.5% of domestic sales). According to AIOCD, 14 of ALKEM’s brands
were among the top selling 300 pharmaceutical brands in India in the 12 month
period ended November 2015.
Exhibit 18: Top 10 brands contributes 46% of total domestic sales
Contribution (%)
66.5
56.9
46.1
31.2
7.6
Top 1 (%)
Top 5 (%)
Top 10 (%)
Top 15 (%)
Top 25 (%)
Top 50 (%)
Source: AIOCD, MOSL
79.3
21 January 2016
10

Alkem Labs
Exhibit 19: Alkem top 25 brands - contribute ~66.5% of total sales (MAT Nov-15)
BRAND
CLAVAM
TAXIM O
PAN
TAXIM
PAN D
XONE
GEMCAL
SUMO
ONDEM
A TO Z NS
ZOCEF
PIPZO
XONE XP
UPRISE D3
SWICH
HEMFER
ENZOFLAM
TAXIMAX
GLUCORYL M
SUMO L
SWICH XP
TAXIM AZ
ZOCEF CV
DONEP
GLUCORYL-MV
Nov -11
1,389
1,500
1,078
1,537
726
629
526
624
494
528
340
541
303
5
316
394
219
247
37
49
178
1
102
102
-
MAT sales (INR m)
Nov -12
Nov -13
1,697
1,699
1,284
1,571
881
778
593
673
580
588
389
426
391
154
351
385
248
262
67
127
211
51
125
125
2
1,948
1,618
1,330
1,496
996
803
585
689
606
603
455
428
383
274
385
377
275
260
138
163
197
112
145
151
57
Nov -14
2,189
1,641
1,593
1,633
1,295
843
773
761
682
669
546
591
458
375
461
393
333
293
228
205
197
177
167
174
137
Nov -15
2,304
1,855
1,836
1,725
1,519
907
858
809
804
753
656
656
563
516
498
402
358
308
279
257
229
226
201
201
197
Nov -12
22.2
13.3
19.1
2.2
21.5
23.6
12.8
7.9
17.4
11.4
14.3
(21.2)
29.0
3,109.9
11.0
(2.3)
13.2
5.8
79.4
156.8
18.6
5,998.6
22.1
22.6
% YoY growth
Nov -13
Nov -14
14.8
(4.8)
3.6
(4.8)
13.0
3.3
(1.2)
2.3
4.6
2.5
17.1
0.4
(2.2)
78.2
9.9
(1.9)
10.8
(0.9)
106.4
28.3
(7.0)
121.2
16.0
20.6
3,354.0
12.4
1.4
19.8
9.2
30.0
5.0
32.1
10.5
12.4
10.9
19.9
38.1
19.5
37.1
19.6
4.2
21.4
12.9
65.1
25.8
0.2
58.1
15.4
15.0
140.4
Nov -15
5.2
13.0
15.2
5.6
17.4
7.5
10.9
6.3
17.9
12.6
20.2
11.0
23.1
37.5
8.0
2.1
7.4
5.2
22.4
25.3
16.2
27.5
20.8
15.7
43.5
Strong marketing capability and sales force productivity improvement to
drive growth
ALKEM has a specialized team of over 5,856 sales representatives, which enables it
to market its products to 220,499 prescribers. Its sales representatives cover almost
70% of total prescribers in India.
Its domestic distribution network includes 40 sales depots, 55 clearing and
forwarding agents and approximately 7,025 stockists. Current sales productivity at
INR5m per sales representative is at par with industry average. However, there is
still significant scope in the system for ALKEM to increase productivity in the
medium term, with growing proportion of chronic portfolio. Of the 5,850 MRs,
~1/3rd are dedicated chronic MRs. Given that ALKEM is still new in the chronic
segment, there is scope for productivity improvement in this segment.
Exhibit 20: Alkem covers 70% of total prescribers in India
Uncovered
prescribers (%),
29.3
Covered
prescribers (%),
70.7
Source: Company, MOSL
21 January 2016
11

Alkem Labs
Exhibit 21: MR productivity is likely to improve with better product mix
9.3
7.4
6.4
India Sales (INR b)
MR productivity (INR m/MR)
5.5
5.5
4.9
4.8
4.8
4.3
4.2
3.1
2.5
11
IPCA
67
SUNP
24
GLXO
48
CIPLA
30
LPC
17
GNP
27
CDH
28
ALKEM
14
AVEN
18
DRRD
16
TRP
11
ALPM
Source: Company, MOSL
Fair mix of volume, price and new launches driving growth
Over the last five years, ALKEM has launched 405 products in the market in various
therapies. The highest number of products was launched in anti-infective therapy
(46), followed by respiratory (45), CNS (44) and pain/analgesic (43).
Exhibit 22: Aggressive launches over last five years driving growth
New product launches/ per year
81.0
74.4
71.4
60.2
54.4
34.0
23.4
Source: AIOCD, MOSL
Exhibit 23: Price increase has been key growth driver in 2015 for Alkem
17.6
5.3
2.5
9.8
Vol GR (%)
Price GR (%)
NP GR (%)
15.8
9.9
3.8
0.4
5.6
2.9
0.6
11.2
2.2
12.3
5.6
3.4
2012
2013
2014
2015
Source: AIOCD, MOSL
21 January 2016
12

Alkem Labs
Clarity regarding domestic pricing policy bodes well
Price control has been a key overhang on the sector over the last 2-3 years. In May-
13, 348 drugs came under price control due to which one time impact on industry
sales was at ~1.8% whereas due to higher exposure to acute segment (which got
impacted the most) one time impact on ALKEM’s revenue was at ~3.7%. Though, the
revision in drug list was supposed to happen every 5 years, NPPA was looking to
revise this drug list on a more frequent basis on the back of a clause (Para-19).
Industry bodies challenged this decision of NPPA and now clarity regarding this has
emerged. Based on the recent settlement between related parties, NPPA has
decided to revise the list every three years. Recently in Dec-15, it also added ~22
products to the list, resulting in 0.7% impact on industry and 0.8% impact ALKEM
sales.
Exhibit 24: Revenue impact on the back of NLEM price list
Market impact (%)
Alkem impact (%)
1.8
NLEM-13
3.7
0.7
New list
0.8
Source: AIOCD, MOSL
Exhibit 25: One time impact of new pricing policy for Indian pharma companies (May’13)
Company
Total
Cipla
Sun Pharma
GSK Pharma
Ranbaxy
Abbott
Zydus Cadila
Mankind
Alkem
Lupin
Macleods
Pfizer
Intas
Aristo
Sanofi India
Dr Reddy's
Annual sales
(INR m)
675030
34230
31570
31530
28270
26210
25490
23010
20270
20110
16650
16080
15860
15420
13990
13260
NLEM exposure
(INR m)
98060
7170
3360
8560
4200
4630
5390
3540
5270
2340
2660
1640
1950
2620
2440
2490
NLEM exposure
(%)
14.5
20.9
10.6
27.1
14.9
17.7
21.1
15.4
26.0
11.6
16.0
10.2
12.3
17.0
17.4
18.8
NLEM impact (INR
m)
12430
800
300
1800
820
310
620
40
760
160
260
330
150
360
470
420
% impact on
total sales
1.8
2.3
1.0
5.7
2.9
1.2
2.4
0.2
3.7
0.8
1.6
2.1
0.9
2.3
3.4
3.2
Source: AIOCD, MOSL
Methodology of NLEM pricing:
The government had issued a ceiling price for
every drug in the pricing list. This was set as the maximum allowed price for that
product in that particular year. The ceiling price was set on the basis of simple
average price (SAP) of all the brands with market share greater than 1% (based on
21 January 2016
13

Alkem Labs
value terms). Players were free to set any price for their products equal to or below
the ceiling price. Due to this methodology, the prices of NELM drugs fell 15- 20% in
that year, resulting in a huge impact for NLEM drug producing companies.
Frequent revision of list added uncertainty….
Though the NPPA-2013 policy
suggested revision of the NLEM list only after five years, NPPA used a provision
given under Para 19 clause, according to which it can add drugs in an emergency
scenario. This resulted in increased uncertainty about pricing scenario and had led
to price cuts in 49 products, primarily in cardiac and anti-diabetic therapies. Recent
Inclusion of 22 more formulation is also likely to result in 0.8% impact on Alkem
domestic sales.
….. Recent settlement provides clarity:
Post discussion with various pharma
companies and pharma bodies, NPPA has finally came to an agreement to change
the list once and keep it unchanged thereafter for at least the next three years. In
December 2015, NPPA expanded the original NLEM-2013 list to 372 drugs. It will
now review the list to update it as per new requirements and changes in market
dynamics only after three years. This provides clarity that no further pricing impact
will be felt on these companies for three years.
Exhibit 26: One time impact of new pricing policy for Indian pharma companies (December 2015)
Company
Total
Cipla
Sun Pharma
Glenmark
Ranbaxy
Novartis
Zydus Cadila
Emcure
Alkem
Lupin
Micro
Pfizer
Intas
Sanofi India
Dr Reddy's
Annual sales
951210
47410
52960
22520
31100
1247
36720
15560
29680
32910
17740
28660
26590
23690
21870
NLEM exposure
77840
7730
4630
2330
2520
810
3830
1660
3540
4760
2960
2000
290
2370
1910
NLEM exposure (%)
8.2
16.3
8.7
10.3
8.1
65.0
10.4
10.7
11.9
14.5
16.7
7.0
1.1
10.0
8.7
NLEM impact
6220
840
210
260
420
150
390
140
240
320
210
560
150
300
180
% impact on total
sales
0.7
1.8
0.4
1.2
1.4
12.0
1.1
0.9
0.8
1.0
1.2
2.0
0.6
1.3
0.8
Exhibit 27: NLEM exposure for Alkem over the years
NLEM products (%)
Non NLEM products (%)
74
75
77
80
81
26
2011
25
2012
23
2013
20
2014
19
2015
Source: AIOCD, MOSL
21 January 2016
14

Alkem Labs
US business- The jewel in the crown
Revenues expected to more than double by FY18E
US business accounted for 67% of ALKEM’s international sales and ~17% of its total
sales in FY15.
It has grown at a CAGR of 18% CAGR over FY11-15 and is expected to continue its
momentum for the next two years.
Till date, ALKEM has received 20 product approvals in the US and 45 ANDA filings are
still pending with US FDA.
We believe US would be a key growth driver for ALKEM, going forward.
US market remains a key focus area
Till date, ALKEM has augmented its presence in the US market through various
acquisitions. It established its front end in the US market though the acquisition of
Ascend Labs in July 2010. Later, it also acquired two manufacturing facilities in the
US – Norac Pharma (API unit) in December 2012 and Long Pharma (formulation unit)
in June 2015. Strategically, the US has become an important business for ALKEM,
with sales contribution rising from 2% in FY11 to 17% in FY15. In FY15, ALKEM
generated sales of >USD100m from the US. We believe US sales contribution will
increase to 22% in FY18, with 34% CAGR over FY15-18.
Rich pipeline to support the future growth
As of September 30, 2015, ALKEM has filed 69 ANDAs in the US, of which 21 have
been approved and 45 are pending with US FDA. These include 30 Para IVs and few
FTF filings. Most of these filings are in the areas of CVS, CNS and antibiotics. With
40+ pending filings and 40% of these filings older than two years, we believe ALKEM
can launch 7/8 products annually for the next three years in the US to support 34%
CAGR over FY15-18.
Exhibit 28: US sales
US sales (INR m)
150.6
127.8
13.5
56.5
53.2
37.9
31.6
33.6
5.9
15.7
2.8
FY11
FY12
FY13
FY14
FY15 FY16E FY17E FY18E
Source: Company, MOSL
7.4
YoY Growth (%)
Exhibit 29: US sales contribution
% of sales
17.1
17.4
19.2
21.6
0.5
FY11
1.2
FY12
1.9
FY13
4.2
FY14
6.5
FY15
8.9
11.7
FY16E FY17E FY18E
Source: Company, MOSL
Better than average sales/ ANDA for a new company
Compared with Torrent, Alembic and Glenmark, which are of comparable size in the
US, ALKEM has much better Sales/ANDA ratio at USD7.6m. We believe this can be
attributed to some of the key products it has launched in the US market – silver
sulfadiazine, ibuprofen, mycophenolate, methadone and nimodipine.
21 January 2016
15

Alkem Labs
Exhibit 30: Sales/ANDA improving…
US sales (USD m)
7.0
Sales/ANDA
7.5
7.9
9.9
3.5
3.5
3.8
14.2
12.1
9.5
4.9
70
FY14
106
FY15
135
FY16E
2249
SUNP
1062
DRRD
837
LPC
560
CDH
334
GNP
4.4
137
TRP
5.3
106
1.5
60
Exhibit 31: Better than average sales/ANDA for ALKEM
FY15 Sales (USD m)
Sales/ANDA
10
FY11
25
FY12
34
FY13
ALKEM ALPM
Source: Company, MOSL
Source: Company, MOSL
Key products for Alkem
Silver sulfadiazine (topical antibacterial)
This was the first product launched by ALKEM in the US as a contract
manufacturer. The partner has an NDA for the topical version, with USD50m
market size. We believe ALKEM has generated USD10m-15m sales from this
contract.
Ibuprofen – in-licensed (analgesic)
Ibuprofen is an in-licensed product for ALKEM. Though it is a crowded market, it
is dominated by only few players and ALKEM has acquired 30% market. Current
market size for Ibuprofen stands at USD50m per annum.
Mycophenolate mofetil suspension (immunosuppressant)
ALKEM is the only player in the suspension version of mycophenolate mofetil. It
has 60% market share and is likely to be generating USD15m annual sales from
this product.
Methadone (analgesic)
Methadone is an important product for ALKEM in the US, having 30% market
share and USD10m annual sales. There are only four other generic players in this
market.
Nimodipine (high blood pressure)
ALKEM launched this product in FY15. Though it is a partnered product, we
believe ALKEM is generating annual sales of USD9m-10m from Nimodipine.
21 January 2016
16

Alkem Labs
Exhibit 32: Recently launched product
Molecule
Amlodipine Besylate
Methadone Hydrochloride
(PN product)
Cefuroxime Axetil
Metformin Hydrochloride
Cephalexin
Gabapentin
Hydralazine Hydrochloride
Quetiapine Fumarate
Lamotrigine
Nimodipine (PN product)
Benzonatate (PN product)
Isonazid (PN product)
Mycophenolate Mofetil
Nebivolol Hydrochloride
Linezolid
Olanzapine
Indication
Blood pressure
Pain (controlled substance)
Bacterial infections
Diabetes
Anti-biotic
Control seizures (antiepileptic)
Blood pressure
Mood/ mental conditions
Control seizures (antiepileptic)
Treat bleeding (in brain)
Cough
Tuberculosis (TB) infections
Immuno-suppresant
Blood pressure
Anti-biotic
CNS
Time of approval
5/4/2009
11/25/2009
6/7/2010
11/1/2010
12/20/2010
12/17/2010
12/7/2012
2/12/2013
6/14/2013
4/7/2014
9/24/2014
10/29/2014
11/14/2014
6/24/2015
8/27/2015
10/23/2015
1
No Launch
8
11
Source: USFDA, MOSL
Number of players
36
5
10
30
7
12
10
13
15
5
8
Robust ANDA pipeline provides comfort for future growth
Of the 40+ pending ANDA filings with US FDA, 30 are para IV opportunities. We have
tracked nine para IV opportunities for ALKEM and most of these opportunities are
expected to fructify FY18/FY19 onwards. Some of the key products include Pradaxa,
Solodyn and Multaq. Most of these products are still going through litigation.
Exhibit 33: Known pending product approvals
Generic Name
Lanthanum Carbonate
Minocycline
Tapentadol hydrochloride
Fesoterodine Fumarate
Dabigatran
Dalfampridine
Dronedarone
hydrochloride
Esomeprazole
Aripiprazole
Brand name
Fosrenol
Solodyn
Nucynta ER
Toviaz
Pradaxa
Ampyra
Multaq
Nexium
Abilify
Therapy
Renal disease
Acne
Pain
GI
CVS
CNS
CVS
GI
CNS
Patent expiration
26-Oct-18
19-Feb-18
22-Sep-28
3-Jul-22
18-Feb-18
30-Jul-18
19-Jun-18
Expired
Expired
Para IV filing
13-Jan-11
6-Dec-12
26-Dec-13
24-Jun-13
15-Dec-14
11-Jul-14
19-Mar-14
Market Size (USD m)
125
300
236
800
348
500
1800
6000
Source: Company, MOSL
Enhanced focus of R&D to pay rich dividend
ALKEM intends to increase R&D initiatives to enhance differentiated product
portfolios in both the domestic and international markets and to add ANDA
filings in the US.
As part of the strategy, it will continue to focus on formulation development and
API research. Further, it has identified biosimilars as a long-term growth
opportunity and expects to make investments in development of products with
21 January 2016
17

Alkem Labs
a focus on high-growth therapeutic areas such as oncology, autoimmune
disorders and osteoporosis.
ALKEM is also working towards developing capabilities and expertise in niche
areas with high entry barriers such as modified release products, transdermal
products and osmotic controlled release oral delivery systems.
Further, it also has an integrated clinical research organization facility where
bioequivalence/bioavailability studies for generic drugs are carried out in
relation to filings in various countries. This unit is audited by DCGI, USFDA, UK-
MHRA and other international regulatory agencies.
Exhibit 34: R&D expenses to increase going ahead
R&D expense (INR m)
4.3%
5.0%
4.5%
As % of sales
5.0%
5.5%
4.3%
1082
FY13
1570
FY14
1696
FY15
2175
FY16E
3006
FY17E
3914
FY18E
Source: Company, MOSL
Adding new capabilities
ALKEM has been manufacturing only oral solids for the US market. However,
through the acquisition of St Louis facility in the US, it has also built capabilities to
manufacture controlled substances, nasals, semi-solids, liquids and ointments for
the US market. These are niche product areas of low competition and high margins.
Launching products in a niche category will help ALKEM to raise its Average
Sales/ANDA ratio, going forward.
Manufacturing capabilities
ALKEM has 16 manufacturing facilities in India and the US (14 facilities at five
locations in India and two in the US). Of these, five facilities are US FDA approved –
three formulation plants (Daman, Baddi and St Louis) and two API units (California
and Ankleshwar). At present, the Daman facility accounts for 60% of US sales while
the remaining 40 of sales are from the Baddi facility.
In June 2015, ALKEM had added another US-approved facility in the US through the
inorganic route. Through this acquisition, it gained semi-solid, liquid and nasal
formulation capabilities. This will help it enter the niche control substances market.
The Baddi facility was recently inspected by US FDA and has also received EIR from
the regulatory authority. However, the Daman facility was last inspected in 3QFY14
and is likely to face another US FDA inspection in the near term.
21 January 2016
18

Alkem Labs
Exhibit 35: Daman followed by Baddi are key manufacturing facilities for US
US Business(~USD 106m)
Daman Facility
(60% of US sales)
Baddi Facility
(40% of US sales)
St. Louis, US
(Recently acquired)
1. Manufactures oral
solids
2. Last inspected in
3QFY14
1. Manufactures oral
solids
2. Last inspected in
2HFY15
1. Manufactures Semi-
solids, Liquid, Nasals
and control substances
Source: Company, MOSL
21 January 2016
19

Alkem Labs
Ex-US International business
Expanding presence in RoW markets
Internationally, ALKEM products are marketed in over 56 countries, mostly through its
own distribution network.
ALKEM is expanding its presence in Australia, Europe, South East Asia, Latin America,
Africa and CTS.
Over the last five years, its international business has grown at 17% CAGR, led by
superior growth in the Australia, Chile and Philippines business. Currently,
international business (ex-US) contributes 8% of total sales and we expect this
business to continue to grow at 17% CAGR over FY15-18.
Exhibit 36: Fast growing and established international operations
Kazakhstan
Offers branded generics catering to
polyclinics as well as hospitals
Portfolio consists of 17 brands
Philippines
Offers branded generics products
catering to diverse therapeutic
segment
Portfolio consists of 13 branded
generic
Chile
Sells more than 14 products
Developed a tender simulations
and pricing model, which enables
to evaluated and successfully
participate in institutional tenders
Australia
Portfolio
of ~100 products
including one recently launched
exclusive product
Acquired Pharmacor in 2009 to
enter Australian market
21 January 2016
20

Alkem Labs
Balance sheet and return ratios to improve
ALKEM has a strong balance sheet, with INR13b cash on books and 0.0x net debt to
equity ratio.
We expect it to generate INR12b-13b additional free cash flows over the next three
years.
With improved product and business mix, we expect EBITDA margin to expand from
14.4% in FY15 to 18.1% in FY18.
Other income is likely to decline and tax rates are going to increase with less
aggressive treasury operations and changes in tax exemptions.
Strengthening balance sheet
ALKEM has ~INR13b (USD200m) cash on books and a similar amount of debt. Most
of this debt is related to working capital and should decline. The company has
maintained adequate level of capex over the last few years and there are no
immediate big capex needs in the near term, as most of the facilities are still
underutilized. We expect free cash flows to improve, going ahead.
Exhibit 37: Capex needs to stay at INR2.5b per year
Capex (INR m)
2,481
2,335
1,354
276
-1,554
FY12 FY13
-890
2,500
2,250
2,250
9.6
1,203
1,004
(23.7)
(42.9)
1,897
1,928
1,832
4,634
5,867
Exhibit 38: Alkem to generate INR12b FCF over FY15-18E
Free Cashflows (INR m)
46.3
35.4
FCF/EBITDA (%)
45.1
21.9
45.1
FY11
FY12
FY13
FY14
FY15
FY16E FY17E FY18E
Source: Company, MOSL
FY11
FY14
FY15
FY16E FY17E FY18E
Source: Company, MOSL
RoCE to improve with better margins
Increasing contribution from chronic business and positive operating leverage in US
geography is likely to result in better margins over the next two years. It will also
improve return ratio from 18% in FY15 to 23.5% in FY18.
Exhibit 39: ROCE to improve to 22.1% in FY18E
RoE (%)
25.0
19.2
19.0
15.0
14.1
18.3
18.4
16.3
19.3
RoCE (%)
22.2
21.4
19.9
22.1
21.7
17.0
Exhibit 40: EBITDA margin to increase to 18.1%
EBITDA (INR b)
18.6
14.5
13.1
14.4
EBITDA margin (%)
16.5
17.1
18.1
2.9
FY12
FY13
FY14
FY15
FY16E
FY17E
FY18E
FY11
3.8
FY12
3.6
FY13
4.1
FY14
5.4
FY15
8.3
10.3
13.0
FY16E FY17E FY18E
Source: Company, MOSL
Source: Company, MOSL
21 January 2016
21

Alkem Labs
Working capital is likely to come down as new business mature
Working capital days at 118 days (for FY15) are on the higher side relative to other
established players. We believe this is mainly on account of aggressive marketing
and distribution strategy to grow in the US and India market. We expect working
capital days to come down to 106 in FY18.
Exhibit 41: Working capital days at 118 in FY15
Working Capital Days
137
120
118
113
108
144
140
Exhibit 42: Peer comparison
Working capital days (FY15)
133
106
118
78
37
103
81
79
71
FY11
FY12
FY13
FY14
FY15
FY16E FY17E FY18E
CIPLA
ARBP
GNP
ALKEM DRRD
SUNP
CDH
LPC
Investment yield to taper down with less aggressive treasury operations
Currently, ALKEM has INR6.9b in cash and INR4.1b in long-term bank deposits
(disclosed in other non-current assets) on books. Of the total long-term investments
of INR4b, ALKEM has invested INR1.8b in Avenue Venture Real Estate Fund.
However, real estate investment has declined from INR2.5b in FY14 and INR2.2b in
FY15. We expect this to taper down further, resulting in lower yields on cash and
investments over the next two years.
Exhibit 43: Other income to taper off
Other income (INR m)
12.4
9.6
7.5
10.2
11.6
% Yield
11.5
8.0
6.6
1,134
FY11
1,453
FY12
1,672
FY13
1,653
FY14
1,810
FY15
1,653
FY16E
1,441
FY17E
1,461
FY18E
Source: Company, MOSL
Tax rates to increase on decreasing tax benefits in future
Currently, ALKEM is enjoying tax benefits at four India-based plants – Baddi
(betalactum), Baddi, Sikkim Kumrek and Sikkim Samardurg (cephalsporin). As and
when these facilities exit tax benefits, overall tax rates will increase.
Baddi Betalactum Unit:
ALKEM set up a manufacturing unit in Baddi (industrial
undertaking), which commenced operations on 26 March 2012 (FY12). It is eligible
to claim deduction under section 80-IC from assessment year 2012-13 till
21 January 2016
22

Alkem Labs
assessment year 2016-17 at 100% of profits and gains derived from the said unit
being an industrial undertaking and from assessment year 2017- 18 to assessment
year 2021-22 at 30% of profits and gains derived from the unit.
Baddi Unit:
The company set up a manufacturing unit in Baddi (industrial
undertaking) and commenced operations on 19 May 2005 (FY06). It is eligible to
claim deduction under section 80-IC from assessment year 2006-07 till assessment
year 2010-11 at 100% of profits and gains derived from the said unit being an
industrial undertaking and from assessment year 2011-12 to assessment year 2015-
16 at 30% of profits and gains derived from the said unit.
Sikkim Kumrek Unit:
ALKEM set up a manufacturing unit in Kumrek, Sikkim
(industrial undertaking) and commenced operations on 8 August 2007 (FY08). It is
eligible to claim deduction under section 80-IE from assessment year 2008-09 till
assessment year 2017- 18 at 100% of profits and gains derived from the said unit
being an industrial undertaking.
Sikkim Samardung Cephalsporin Unit:
The company set up a manufacturing unit
in Samardung, Sikkim (industrial undertaking) and commenced operations on 18
October 2012 (FY13). It is eligible to claim deduction under section 80-IE from
assessment year 2013-14 till assessment year 2022-23 at 100% of profits and gains
derived from the said unit being an industrial undertaking.
Exhibit 44: Tax rates to increase on decreasing tax benefits in future
PBT (INR m)
10.7
6.4
4.5
-1.2
3,314
FY11
4,334
FY12
4,016
FY13
4,300
FY14
5,167
FY15
8,174
FY16E
9,887
FY17E
12,475
FY18E
Tax rates (%)
10.5
12.0
8.0
14.7
Source: Company, MOSL
21 January 2016
23

Alkem Labs
Tale of two halves
First half performance supported by several one-offs
ALKEM had reported stellar performance in 1HFY16, with 36% revenue growth,
20.6% EBITDA margin and 152% PAT growth. This was primarily driven by merger of
two promoter entities, lower R&D and some seasonality factor.
On 21
st
March 2015, ALKEM merged two entities – Indemichie and Catches that
added INR2b revenue in 1HFY16. Adjusted for this merger, revenue grew 25%YoY,
largely driven by seasonality factor in domestic business and higher sales from newly
launched products in the US. EBITDA margins were also abnormally high due to
lower R&D expenses at 3.3% of sales and better product mix during 1H. Tax rates at
4.6% of PBT were affected by higher deferred taxes during this period.
Exhibit 45: Summary of financials (1HFY16)
Revenue
EBITDA
EBITDA margin (%)
PBT
Tax rates (%)
PAT
1HFY16
25,701
4,604
17.9%
4,598
4.6%
4,313
1HFY15
18,890
1,838
9.7%
2,008
14.8%
1,712
%YoY
36.1
150.5
129.0
152.0
2HFY15
18,997
3,033
16.0%
3,159
7.8%
2,914
%QoQ
35.3
51.8
45.5
48.0
Source: Company, MOSL
Seasonality and higher R&D to lead to moderate 2HFY16
Though ALKEM reported excellent numbers in 1HFY16, we believe this was partially
driven by one-off factors. Adjusted for early book closure (10-15 days prior to year-
end) and some seasonality effect on large acute business, revenue growth in 2HFY16
is expected to decline to 22% YoY. Higher R&D and normalized product mix should
result in weaker EBITDA margin at 12% in 2HFY16.
Exhibit 46: Summary of financials (2HFY16E)
Revenue
EBITDA
EBITDA margin (%)
PBT
Tax rates (%)
PAT
2HFY16E
24,889
3,743
15.0%
3,576
5.9%
3,067
2HFY15
18,997
3,033
16.0%
3,159
7.8%
2,914
%YoY
31.0
23.4
13.2
5.3
1HFY16
25,701
4,604
17.9%
4,598
4.6%
4,313
%QoQ
(3.2)
(18.7)
(22.2)
(28.9)
Source: Company, MOSL
21 January 2016
24

Alkem Labs
Valuations and view
Over the last 10 years, ALKEM has outperformed most of the Indian pharma
companies in the domestic market, driven by consistent launches in acute therapies
like anti-infective, pain/analgesic and vitamins, while growing its presence in high
growth chronic therapies like CNS, cardiac, derma and anti-diabetic. Besides India
segment, ALKEM has also launched 20 products in the US market and has 40
pending approvals. On the back of improved presence in chronic business and
significant positive leverage from US segment, we expect ALKEM’s earnings to grow
at 33% CAGR over the next three years. This will be supported by 22% revenue CAGR
and 420bp margin expansion over FY15-18. Our target price of INR1,750 discounts
ALKEM’s FY18E EPS at 20x, which is:
At 10% discount to sector average.
Implies a PEG of 0.64x (FY15-18E EPS CAGR of 31%)
At CMP, ALKEM is trading at 22x FY16E, 19x FY17E and 15x FY18E EPS, which is 30%
discount to sector average, which is unjustified in our view. We argue for P/E re-
rating for ALKEM due to:
Strong EPS outlook - 31% CAGR backed by 22% revenue CAGR
Improvement in RoCE from 16.3% now to 22.1% by FY18E
Strong free cash flow generation of INR12b over FY16-18E
Deleveraging of balance sheet, as we expect net D/E to improve to -0.2x by
FY18E (v/s 0.0x now).
Key catalysts to drive stock’s performance over the medium term:
Improvement in US profitability (25% of sales) led by niche product launches.
Greater traction in chronic portfolio.
M&A opportunities in domestic and US market.
Risks to our investment thesis:
Addition to NLEM list in domestic markets.
Daman formulations facility is due for US FDA inspection in near term (accounts
for ~60% of US revenue).
Incremental competition in existing key products in US business.
Exhibit 47: Our TP of INR1,750 is based on 20x FY18E PER (10% discount to sector avg)
FY18E EPS
87.5
Target multiples
20.0
Target Price
1,750
% Upside
32
Source: Company, MOSL
21 January 2016
25

Alkem Labs
Exhibit 48: Valuation Matrix
MCap
Name of Company
Sun Pharma
Lupin
Dr. Reddy's Labs
Cipla
Aurobindo
Cadila Healthcare
Divi's Labs
Glenmark Pharma
Torrent Pharma
Alkem
Alembic Pharma
IPCA Labs
Biocon
GSK Pharma
Sanofi India
INR b
27
12
8
8
7
6
5
4
4
2
2
1
1
4
2
FY15
41.4
31.7
22.0
42.2
28.9
25.8
33.0
44.9
39.2
34.4
39.5
32.0
24.0
50.4
48.7
P/E (x)
FY16E
41.7
32.2
18.2
25.1
22.8
19.9
25.7
25.1
21.0
21.5
23.7
42.9
20.6
61.4
39.9
FY17E
23.9
20.3
17.9
22.9
17.6
20.7
20.9
18.9
17.4
18.6
20.1
21.1
17.2
51.4
24.9
FY18E
20.1
16.5
15.1
17.1
13.9
14.3
16.6
14.5
13.3
15.2
16.4
14.0
14.8
41.3
20.8
FY15
23.0
24.8
17.8
23.5
20.0
24.7
26.5
25.1
27.3
30.1
31.2
19.9
13.8
40.7
27.9
EV/EBITDA (x)
FY16E
21.7
24.9
13.8
15.9
16.0
19.3
21.4
18.1
10.3
19.5
14.5
24.6
12.1
52.1
19.8
FY17E
15.0
14.9
13.6
13.9
12.6
18.3
17.0
10.8
15.1
15.5
16.5
14.3
10.0
39.6
15.9
FY18E
12.2
12.0
11.3
10.7
9.9
13.1
13.5
10.5
11.8
11.9
13.0
10.3
8.2
31.0
13.7
FY15
21.5
30.4
19.9
13.7
36.4
30.8
26.3
15.8
25.7
18.4
36.3
12.0
12.3
23.1
13.3
RoE (%)
FY16E
16.6
24.0
20.1
17.1
33.7
31.2
28.8
17.9
34.6
22.2
41.0
8.2
12.5
26.6
14.3
FY17E
21.6
30.0
17.4
16.3
32.0
25.2
30.1
17.9
31.5
21.4
34.3
15.2
13.5
35.3
20.3
FY18E
24.3
28.5
17.6
19.0
30.1
29.5
32.0
18.6
33.2
22.1
32.4
19.7
14.2
45.2
21.2
EPS
CAGR,%
FY15-
18E
26.0
24.4
13.4
35.2
27.5
21.7
25.8
45.7
43.3
31.2
34.2
31.8
17.5
6.9
32.9
Exhibit 49: Healthcare sector P/E trades at 22x for last five years
34
26
18
10
22.0
Healthcare Sector PE (x)
LPA (x)
Source: Company, MOSL
Sensitivity analysis indicates favorable risk/reward
Our sensitivity analysis suggests that in the bull case, there could be an upside of
over 50% to CMP, and in the bear case, there is limited downside.
Bull case assumption shows >50% upside
No change in Sales growth against base case scenario.
EBITDA margins at 19.0%, 100bps higher than base case.
Moderate tax rates at 14% and similar cash yield at 10% (10% in base case).
Bear case assumption suggests limited downside
Lower sales growth driven by 13% growth in India and slower than expected
pick up in US business.
EBITDA margins at 16.5%, 150bps lower than base case.
Higher tax rates at 20% and lower yield on cash at 7% (v/s 10% in base case).
21 January 2016
26

Alkem Labs
Exhibit 50: Sensitivity analysis
Revenue
EBITDA
EBITDA margin (%)
PBT
Tax rate (%)
PAT
EPS
Multiple
Target Price
% return
Bear Case
66,716
11,035
16.5
10,239
20.0
8,006
67.0
20.0
1,339
0.7%
Base Case
71,688
13,004
18.1
12,475
15.0
10,456
87.5
20.0
1,750
31.5%
Bull Case
71,688
13,649
19.0
13,455
14.0
11,386
95.2
22.0
2,095
57.5%
21 January 2016
27

Alkem Labs
About Alkem Labs
Alkem is a leading Indian pharmaceutical company, with global operations. It is
engaged in the development, manufacture and sale of pharmaceutical products.
Currently, it is the fifth largest pharmaceutical company in India in terms of domestic
sales, with five products in top 50 brands.
Established in 1973, Alkem produces branded generics, generic drugs and
nutraceutical OTC products, which it markets in India and 55 other countries. Though
at present, majority of its sales (75%) is contributed by domestic business, going
ahead, we believe exports (25% of sales) will be the key growth driver.
Changing business mix
Alkem has historically been a focused domestic formulations player along with
presence in APIs. Its marquee products like Clavam, Taxim, A to Z and Pan/Pan D are
households brands in India. Over the years, the company has gradually increased its
presence in export formulation markets like US, Australia, Europe and emerging
markets. Today Alkem has sales presence in more than 50 countries.
Exhibit 51: Business mix (FY11)
US
(%), 3
India
(Specia
lty) (%)
Non-
US
export
(%)
Exhibit 52: Business mix (FY15)
US (%),
17
Non-
US
export
(%), 8
Exhibit 53: Business mix (FY18E)
Non-
US
export
(%), 7
US (%),
22
India
(Acute)
(%)
India
(Specia
lty)
(%), 8
India
(Acute)
(%), 67
India
(Specia
lty)
(%), 11
India
(Acute)
(%), 61
Source: Company, MOSL
Strong management team at the helm
Samprada Singh (Chairman emeritus)
is one of the co-founders of the company.
He has an overall experience of 42 years and holds bachelors in commerce from
Patna university.
Basudeo Narain Singh (Executive chairman)
is also one of the co-founders of
the company. He has over 40 years of experience in the Indian pharmaceutical
industry. He holds a Master’s degree in political science from Patna.
Sandeep Singh (Joint Managing director)
has been associated with the company
for over 10 years and joined the board of Alkem in 2013. He is graduated as
bachelor in commerce from University of Mumbai.
Mr. Prabhat Agrawal
is working as chief executive officer of the company. He
holds CA and CFA degrees and also pursued his M.B.A. from Indian School of
Business in Hyderabad. He has been associated with the Company since
October, 2014. Prior to joining Alkem he was associated with Hero Honda
Motors Limited, A. F. Ferguson and Company, Aditya Birla Group, Frigoglass
India Private Limited and Metalfrio Solutions S.A.
21 January 2016
28

Alkem Labs
Story in charts - India
Exhibit 54: India business to grow at 23% CAGR (FY15-18E)
India business (INR b)
YoY growth (%)
37.4
Exhibit 55: Chronic contribution to increase
India chronic business (%)
India acute business (%)
18.6
16.8
15.3
19.7
15.8
15.7
94
92
90
90
89
88
86
85
14.8
FY11
17.5
FY12
20.5
FY13
23.6
FY14
28.3
FY15
38.8
45.0
52.0
6
FY11
8
FY12
10
FY13
10
FY14
11
12
14
15
FY16E FY17E FY18E
Source: Company, MOSL
FY15 FY16E FY17E FY18E
Source: AIOCD, MOSL
Exhibit 56: NLEM contribution decreases to 19% of sales
NLEM products (%)
Non NLEM products (%)
Exhibit 57: Diversified portfolio
Contribution (%)
66.5
79.3
74
75
77
80
81
31.2
7.6
46.1
56.9
26
2011
25
2012
23
2013
20
2014
19
2015
Source: AIOCD, MOSL
Source: AIOCD, MOSL
Exhibit 58: 7 largest company in India
8.8
6.3
Market size (INR b)
5.0
Market share (%)
th
Exhibit 59: Highest number launches per year
New product launches/ per year
81.0
74.4
71.4
60.2
4.2
40
3.5
33
3.5
33
3.5
33
3.3
32
3.0
29
2.9
28
54.4
34.0
23.4
84
59
47
Source: AIOCD, MOSL
Source: AIOCD, MOSL
21 January 2016
29

Alkem Labs
Story in charts – US business
Exhibit 60: Revenues to grow at 34% CAGR over FY15-18E
US sales (INR m)
150.6
56.5
127.8
53.2
37.9
8.9
33.6
2.8
0.5
FY11
1.2
FY12
1.9
FY13
4.2
FY14
6.5
FY15
11.7
15.7
FY11
FY12
FY13
FY14
FY15
FY16E FY17E FY18E
Source: Company, MOSL
FY16E FY17E FY18E
Source: Company, MOSL
7.4
YoY Growth (%)
Exhibit 61: US business to contribute 22% of sales in FY18E
% of sales
17.1
13.5
17.4
19.2
21.6
31.6
5.9
Exhibit 62: Sales/ANDA improved with new approvals
US sales (USD m)
7.0
3.5
3.5
3.8
Sales/ANDA
7.5
7.9
Exhibit 63: Sales/ANDA peer comparison
FY15 Sales (USD m)
14.2
12.1
9.9
9.5
7.6
4.9
4.4
137
TRP
106
1.5
60
Sales/ANDA
10
FY11
25
FY12
34
FY13
70
FY14
106
FY15
135
FY16E
2249
SUNP
1062
DRRD
837
LPC
560
CDH
334
GNP
ALKEM ALPM
Source: Company, MOSL
Source: Company, MOSL
Exhibit 64: R&D expense to increase with niche filings
R&D expense (INR m)
5.0%
4.3%
4.5%
4.3%
As % of sales
5.0%
5.5%
1082
FY13
1570
FY14
1696
FY15
2175
FY16E
3006
FY17E
3914
FY18E
Source: Company, MOSL
21 January 2016
30

Alkem Labs
Story in charts
Exhibit 65: Revenues to grow at 24% CAGR
Revenue (INR b)
Exhibit 66: Business mix to improve by FY18E
India acute business (%)
US business (%)
10
3
5
82
7
6
7
80
11
7
8
74
11
13
8
68
India chronic business (%)
Ex-US export business (%)
8
17
8
67
7
17
9
66
7
19
10
64
7
22
11
61
16.9
FY11
20.2
FY12
25.0
FY13
31.3
FY14
37.9
50.6
60.1
71.7
FY11
FY12
FY13
FY14
FY15 FY16E FY17E FY18E
Source: Company, MOSL
FY15 FY16E FY17E FY18E
Source: Company, MOSL
Exhibit 67: EBITDA margins to increase to 18%
EBITDA (INR b)
17.0
18.6
14.5
13.1
14.4
EBITDA margin (%)
16.5
17.1
18.1
Exhibit 68: EPS to grow at 31% CAGR
EPS (INR/sh)
2.9
FY11
3.8
FY12
3.6
FY13
4.1
FY14
5.4
8.3
10.3
13.0
24.7
FY11
34.0
FY12
32.1
FY13
36.4
FY14
38.7
61.7
71.4
87.5
FY15 FY16E FY17E FY18E
Source: Company, MOSL
FY15 FY16E FY17E FY18E
Source: Company, MOSL
Exhibit 69: To accumulate INR12b FCF over FY15-18E
Free Cashflows (INR m)
46.3
9.6
(23.7)
276
-890 -1,554
FY12 FY13
35.4
FCF/EBITDA (%)
45.1
21.9
45.1
Exhibit 70: Return ratios to improve …
RoE (%)
25.0
19.2
19.0
18.3
18.4
16.3
19.3
RoCE (%)
22.2
21.4
19.9
22.1
21.7
(42.9)
1,897 1,928 1,832 4,634 5,867
15.0
14.1
FY11
FY14
FY15 FY16E FY17E FY18E
Source: Company, MOSL
FY12
FY13
FY14
FY15
FY16E
FY17E
FY18E
Source: Company, MOSL
21 January 2016
31

Alkem Labs
Annexure I - Alkem in acute therapies
Top four therapies accounts for 80% of sales
ALKEM has close to 80% exposure to top four therapies – anti-infective, GI, vitamins
and pain/analgesics. Anti-infective alone contributes 44% of total domestic sales,
while GI, vitamins and pain/analgesics account for 17%, 12% and 7% of sales,
respectively.
Exhibit 71: Majority of the sales come from acute therapies
Top 4 therapies (%)
16
18
20
Rest of the portfolio (%)
20
20
84
82
80
80
80
2011
2012
2013
2014
2015
Source: AIOCD, MOSL
Anti-Infective therapy
Anti-infective is the largest therapeutic area in the Indian pharma industry, with
INR145b sales and 15% market share. Over the past 10 years, ALKEM has
maintained its market leadership in this therapy on the back of several popular and
affordable brands and massive distribution reach across the country. As per the
latest AIOCD data, ALKEM has achieved 9% market share, with seven INR500m+
brands in its anti-infective portfolio. Over the last three years, the company has
outperformed the anti-infective market despite being the largest player in this
therapy.
Exhibit 72: Anti-infective segment- consistently outperforming industry growth
Alkem growth (%)
1st
1st
Market growth (%)
1st
Rank
1st
11.6
2012
12.3
4.5
2013 (0.3)
12.2
2014
7.1
10.6
2015
8.9
Clavam/ Taxim-O features in top-10 list
ALKEM’s largest brand,
Clavam
recorded INR2.3b sales in MAT November 2015
period, despite coming under the NLEM list post 2013. Its
Taxim
franchise generates
INR4.5b annual sales, with 8 brands under the franchise. The company also has
21 January 2016
32

Alkem Labs
three more cephalosporin brands, with INR500m plus annual sales, representing a
robust anti-infective brand portfolio.
Exhibit 73: Alkem’s leading brand in Anti-infective
Exhibit 74: Taxim & Taxim-O amounts to INR3.6b sales
Exhibit 75: Clavam largest brand for Alkem
Clavam (INR m)
22.2
14.8
YoY growth (%)
Exhibit 76: Taxim O expected cross INR2b over next year
Taxim O
13.3
YoY growth (%)
13.0
12.4
5.2
-4.8
1500
1699
1618
1.4
1389
1697
1948
2189
2304
1641
1855
MAT Nov'11 MAT Nov'12 MAT Nov'13 MAT Nov'14 MAT Nov'15
MAT Nov'11 MAT Nov'12 MAT Nov'13 MAT Nov'14 MAT Nov'15
Exhibit 77: Taxim 3rd largest brand for Alkem
Taxim
YoY growth (%)
9.2
5.6
2.2
Exhibit 78: Expected to become INR1b brand
Xone
23.6
YoY growth (%)
-4.8
1537
1571
1496
1633
1725
629
778
3.3
803
5.0
843
7.5
907
MAT Nov'11 MAT Nov'12 MAT Nov'13 MAT Nov'14 MAT Nov'15
MAT Nov'11 MAT Nov'12 MAT Nov'13 MAT Nov'14 MAT Nov'15
Gastro-intestinal therapy
Gastro-intestinal (GI) is one of the largest acute therapies in the Indian pharma
market, with INR110b sales and 11.6% market share. ALKEM is ranked 3
rd
in this
therapy, followed by Abbott and Sun pharma. It has achieved 8% market share, with
INR5.3b annual sales of all GI products.
PAN, PAN D
and
Ondem
are some of
ALKEM’s popular brands used to treat stomach and acid reflux problems. With
21 January 2016
33

Alkem Labs
INR1.8b sales,
PAN
is the largest product in the pantoprazole category, followed by
PAN D,
with INR1.4b annual sales.
Exhibit 79: GI segment- Alkem ranks 3rd in this segment
Alkem growth (%)
5
5
4
3
Market growth (%)
Rank
20.4
2012
16.9
8.2
2013
5.8
20.2
2014
12.4
14.9
2015
16.4
Exhibit 80: Largest product in Pantoprazole category
Exhibit 81: ONDEM recorded INR800m annual sales
Exhibit 82: PAN is one of the fastest growing brand for
Alkem
PAN (INR m)
19.1
YoY growth (%)
19.8
15.2
1836
3.6
1078
1284
1330
1593
Exhibit 83: PAN D has crossed INR1.5b mark this year
PAN D
YoY growth (%)
30.0
21.5
17.4
13.0
726
881
996
1295
1519
MAT Nov'11 MAT Nov'12 MAT Nov'13 MAT Nov'14 MAT Nov'15
MAT Nov'11 MAT Nov'12 MAT Nov'13 MAT Nov'14 MAT Nov'15
Nutraceuticals
The nutraceuticals market has grown at a CAGR of 12% over the last five years,
whereas ALKEM’s nutraceuticals portfolio has consistently outperformed the
market, with 18% CAGR. Currently, ALKEM is ranked third in the nutraceuticals
market, with 4% share. Over the years, the company has manufactured all types of
nutrient tablets – single vitamin, multivitamin, and calcium and protein
supplements. Its popular brands include –
GEMCAL, A to Z
and
UPRISE D3.
21 January 2016
34

Alkem Labs
Exhibit 84: Alkem has improved its ranking from 6th in 2012 to 3rd in 2015 in Vitamins
Alkem growth (%)
7
6
Market growth (%)
Rank
3
3
24.4
2012
18.5
12.2
2013
7.1
22.0
2014
12.1
14.7
2015
11.6
Exhibit 85: Calcium supplement from Alkem
Exhibit 86: Multi-Vitamin A to Z tablets
Exhibit 87: INR0.8b brand for Alkem
A to Z
11.8
YoY growth (%)
11.0
11.7
Exhibit 88: Gemcal expected to cross INR1b sales in 2016
Gemcal
YoY growth (%)
30.1
11.7
663
-2.1
713
797
607
678
863
10.5
954
642
2.3
562
628
MAT Nov'11 MAT Nov'12 MAT Nov'13 MAT Nov'14 MAT Nov'15
MAT Nov'11 MAT Nov'12 MAT Nov'13 MAT Nov'14 MAT Nov'15
21 January 2016
35

Alkem Labs
Annexure II - Manufacturing capabilities
Exhibit 89: Manufacturing capabilities
Facility
Kumrek - Sikkim
Samardung - Sikkim
Baddi -
Immunosuppress
ant
Baddi –
Cephalosporin
Baddi –
General block
Baddi – ß –lactam
Daman – Amaliya
(C Block)
Daman - Amaliya
(G Block)
Daman– ß –lactam
Daman– Kachigam
Ankaleshwar
Mandwa
Daman-Somnath
(Indchemie)
Daman-Amaliya
(Indchemie)
Baddi-Beta lactum
(Indchemie)
Sikkim-Kumrek
(Indchemie)
Baddi (Cachet)
California, US
St. Louis, US
Owned
Owned
Owned
Owned
Owned
Leased
ld
Owned
Owned
Leased
Owned
Leased
Owned
Owned
Owned
11,930
N/A.
3,997
26,478
1,880
5,108
11,988
4,422
11,500
33,000
75,000
11,484
21,789
Owned
Leased
Leased
Owned
Built-up Area Year
of Est.
(sq. ft.)
19,274
12,441
27, 502
2007
2012
2007
Capabilities
Tab, Inj and Syr
Tab, Inj and Syr
Tab, Cap and Syr
Utilization
Certifications
(%)
60-70
58-65
10-20
WHO-GMP
WHO-GMP
USFDA, UK- MHRA, TGA
Market focus
India
India
Global markets
2005
2005
2012
2002
2000
2004
1998
2001
1992
Tab, Inj, Cap and Syr
Tab, Cap
Tab, Inj, Cap and Syr
Tab, Cap and Syr
Tab/ Cap
Tab, Inj, Cap and Syr
Tab, Inj, Cap and Syr
APIs
APIs
15-20
40-50
30-40
30-35
60-65
15-25
N/A
N/A
N/A
50-55
95-98
95-98
60-65
85-90
N/A
N/A
RoW
USFDA, UK-MHRA, TGA
WHO-GMP
India
USFDA, UK-MHRA, TGA,
United States
MCC
India, USFDA, MHRA, TGA,
United States
MCC, WHO
India, TGA, MCC
Global
Indian-GMP
India, USFDA, TGA
Indian GMP
ISO 22000:2005
WHO-GMP,
WHO-GMP,
WHO-GMP,
WHO-GMP, RoW
US FDA
US FDA
India
Captive API plant
f th US
India
India
India
India
India
Global
United States
United States
Acquired
Cap & Jelly candy
in 2015
Acquired in
Soft Gel
2015
Acquired
Tablets
in 2015
Acquired
in 2015
Acquired
in 2015
2012
2015
Tablet, Cap
Liquid, Tablet, Cap,
Power, Sachet
APIs
Liquid, Nasal, Semi-solid,
solid
21 January 2016
36

Alkem Labs
ANEXURE III – US Rx share for Alkem
Exhibit 90: Alkem - key products Rx market share in US
Drug
Benzonatate
Gabapentin
Amlodipine besylate
Ibuprofen
Quetiapine fumarate
Ondansetron hcl
Mycophenolate mofetil
Temazepam
Metformin hcl -SR
Triamcinolone acetonide
Methadone hcl
Cephalexin
Silver sulfadiazine
Metformin hcl
Urea
Alendronate sodium
10/30/2015
76%
12%
4%
15%
2%
2%
63%
15%
3%
19%
32%
2%
37%
0%
1%
0%
11/6/2015
73%
11%
4%
14%
2%
3%
64%
15%
3%
19%
34%
2%
37%
0%
1%
0%
11/13/2015
70%
11%
4%
14%
2%
3%
63%
15%
3%
19%
34%
2%
36%
0%
1%
0%
11/20/2015
69%
11%
4%
14%
2%
3%
68%
15%
3%
20%
34%
2%
37%
0%
1%
0%
11/27/2015
68%
11%
4%
14%
2%
3%
63%
15%
3%
19%
34%
2%
37%
0%
1%
0%
12/4/2015
67%
11%
4%
14%
2%
3%
64%
13%
3%
19%
35%
2%
38%
0%
1%
0%
12/11/2015
68%
11%
4%
14%
2%
3%
64%
12%
3%
19%
34%
2%
37%
0%
1%
0%
12/18/2015
67%
11%
4%
14%
2%
3%
68%
9%
3%
19%
34%
2%
37%
0%
1%
0%
12/25/2015
67%
12%
3%
14%
2%
3%
62%
8%
3%
19%
34%
2%
36%
0%
1%
0%
Mkt share
Mkt share
Mkt share
gain/loss - gain/loss - 3 gain/loss -1
WoW
months
year
(0.9%)
(9.5%)
(0.1%)
0.2%
(2.1%)
4.8%
(0.2%)
(0.2%)
0.2%
(0.1%)
(0.8%)
(1.1%)
0.1%
0.3%
1.4%
0.2%
0.5%
0.8%
(5.7%)
(0.9%)
25.9%
(0.8%)
(7.3%)
(6.6%)
0.0%
1.4%
2.2%
0.2%
0.7%
(0.2%)
0.0%
4.1%
20.1%
0.2%
(0.3%)
0.1%
(0.6%)
(0.8%)
(2.0%)
(0.1%)
0.0%
(1.4%)
(0.1%)
(0.2%)
(1.2%)
0.0%
(0.0%)
(0.3%)
Source: Bloomberg, MOSL
21 January 2016
37

Alkem Labs
Exhibit 91: Alkem – Price change in key products for US market
Drug
Benzonatate
% Change mom
Gabapentin
% Change mom
Amlodipine besylate
% Change mom
Ibuprofen
% Change mom
Quetiapine fumarate
% Change mom
Ondansetron hcl
% Change mom
Mycophenolate mofetil
% Change mom
Temazepam
% Change mom
Metformin hcl
% Change mom
Triamcinolone acetonide
% Change mom
Methadone hcl
% Change mom
Urea
% Change wow
Alendronate sodium
% Change wow
10/30/2015
101
-1.5%
113
1.6%
103.53
0.0%
36
0.0%
449
-2.0%
737
5.7%
1356.61
-4.8%
54
1.4%
82
-2.5%
16
-2.4%
20
-0.8%
2.59
-14.1%
94.06
3.2%
11/6/2015
101
0.2%
119
5.4%
103.93
0.4%
37
1.3%
415
-7.4%
747
1.4%
1324.32
-2.4%
54
-1.3%
81
-1.4%
16
-1.2%
20
-0.0%
2.29
-11.8%
90.09
-4.2%
11/13/2015
104
3.0%
124
4.2%
103.79
-0.1%
38
2.4%
412
-0.8%
805
7.7%
1382.90
4.4%
54
0.9%
82
1.5%
16
-0.5%
20
0.1%
2.20
-3.8%
92.02
2.1%
11/20/2015
107
2.8%
125
0.2%
104.55
0.7%
37
-1.2%
412
-0.0%
832
3.3%
1353.92
-2.1%
54
-0.4%
83
0.5%
16
-1.6%
20
-0.6%
3.56
61.9%
91.67
-0.4%
11/27/2015
108
1.4%
125
0.4%
99.93
-4.4%
37
-0.4%
407
-1.2%
853
2.6%
1379.77
1.9%
53
-2.2%
82
-0.7%
16
-0.4%
20
-0.8%
2.15
-39.5%
92.64
1.1%
12/4/2015
105
-3.4%
125
0.2%
99.18
-0.8%
37
0.4%
405
-0.4%
854
0.1%
1421.80
3.0%
54
1.4%
83
1.2%
16
0.1%
19
-2.8%
2.79
29.3%
92.84
0.2%
12/11/2015
101
-3.7%
128
2.4%
100.04
0.9%
37
-0.5%
408
0.7%
828
-3.0%
1395.31
-1.9%
54
1.6%
82
-1.6%
16
0.4%
19
-0.8%
2.01
-27.9%
93.58
0.8%
12/18/2015
100
-0.4%
127
-0.9%
100.17
0.1%
37
0.2%
404
-1.1%
798
-3.6%
1385.93
-0.7%
55
1.2%
82
0.1%
16
0.7%
19
1.5%
1.66
-17.3%
95.36
1.9%
12/25/2015
99
-1.2%
126
-1.0%
99.85
-0.3%
37
0.6%
398
-1.3%
756
-5.3%
1371.17
-1.1%
53
-3.1%
81
-1.4%
16
1.3%
19
-0.6%
2.21
32.9%
91.72
-3.8%
Mkt share
gain/loss -
WoW
(5.2%)
0.5%
0.5%
0.2%
(1.7%)
(11.5%)
(2.1%)
(0.4%)
(2.9%)
2.5%
0.0%
(20.8%)
(1.2%)
Mkt share
gain/loss - 3
months
(2.3%)
12.7%
(0.3%)
(78.7%)
2.4%
(12.2%)
9.4%
3.5%
(1.9%)
(3.9%)
(3.4%)
(2.4%)
-
-
Source: Bloomberg, MOSL
21 January 2016
38

Alkem Labs
Financials and valuations
Consolidated - Income Statement
Y/E March
Total Income from Operations
EBITDA
Margin (%)
Depreciation
EBIT
Int. and Finance Charges
Other Income
PBT bef. EO Exp.
EO Items
PBT after EO Exp.
Current Tax
Deferred Tax
Tax Rate (%)
Less: Mionrity Interest
Reported PAT
Adjusted PAT
Change (%)
Margin (%)
FY11
16,908
2,866
17.0
274
2,592
412
1,134
3,314
0
3,314
328
28
10.7
2
2,956
2,956
NA
17.5
FY12
20,156
3,752
18.6
290
3,462
581
1,453
4,334
0
4,334
172
104
6.4
-7
4,065
4,065
37.5
20.2
FY13
24,952
3,625
14.5
398
3,227
882
1,672
4,016
0
4,016
42
137
4.5
-2
3,838
3,838
-5.6
15.4
FY14
31,260
4,100
13.1
523
3,578
931
1,653
4,300
0
4,300
25
-79
-1.2
0
4,353
4,353
13.4
13.9
FY15
37,887
5,445
14.4
703
4,742
811
1,810
5,741
-574
5,167
85
457
10.5
0
4,625
5,139
18.1
13.6
FY16E
50,591
8,347
16.5
1,043
7,305
784
1,653
8,174
0
8,174
654
0
8.0
140
7,380
7,380
43.6
14.6
(INR Million)
FY17E
60,119
10,280
17.1
1,182
9,099
653
1,441
9,887
0
9,887
1,186
0
12.0
161
8,539
8,539
15.7
14.2
FY18E
71,688
13,004
18.1
1,337
11,667
653
1,461
12,475
0
12,475
1,834
0
14.7
185
10,456
10,456
22.5
14.6
Consolidated - Balance Sheet
Y/E March
Equity Share Capital
Total Reserves
Net Worth
Minority Interest
Deferred Tax Liabilities
Total Loans
Capital Employed
Net Fixed Assets
Goodwill on Consolidation
Capital WIP
Total Investments
Curr. Assets, Loans&Adv.
Inventory
Account Receivables
Cash and Bank Balance
Loans and Advances
Curr. Liability & Prov.
Account Payables
Other Current Liabilities
Provisions
Net Current Assets
Deferred Tax assets
Appl. of Funds
E: MOSL Estimates
FY11
120
14,217
14,337
18
253
9,094
23,702
4,885
2,042
0
538
21,052
2,509
1,710
9,898
6,935
4,816
1,677
881
2,258
16,237
0
23,702
FY12
120
18,081
18,201
2
362
10,048
28,612
6,741
2,451
0
3,227
22,239
3,849
2,466
5,138
10,785
6,050
2,760
862
2,428
16,189
4
28,612
FY13
120
21,654
21,773
0
506
15,485
37,765
8,964
1,758
0
4,776
27,202
5,540
3,182
9,955
8,526
4,955
2,876
1,173
906
22,247
20
37,765
FY14
120
25,730
25,850
0
781
11,284
37,915
9,797
1,903
0
5,880
25,414
6,203
3,669
2,063
13,478
5,251
3,057
1,267
926
20,163
172
37,915
FY15
239
29,752
29,991
857
1,256
13,059
45,162
11,429
3,421
0
4,808
33,008
7,842
5,271
7,908
11,987
7,796
4,619
1,667
1,510
25,212
292
45,162
FY16E
239
36,266
36,505
857
1,256
13,059
51,676
11,637
3,421
1,250
4,808
41,161
10,211
7,038
9,603
14,308
10,892
6,015
2,225
2,652
30,269
292
51,676
(INR Million)
FY17E
239
43,085
43,324
857
1,256
13,059
58,495
12,580
3,421
1,375
4,808
49,605
12,048
8,364
13,144
16,050
13,585
7,096
2,645
3,845
36,020
292
58,495
FY18E
239
51,187
51,426
857
1,256
13,059
66,597
13,468
3,421
1,400
4,808
59,602
14,186
9,973
17,280
18,164
16,393
8,355
3,153
4,885
43,209
292
66,597
21 January 2016
39

Alkem Labs
Financials and valuations (Consolidated)
Ratios
Y/E March
Basic (INR)
EPS
Cash EPS
BV/Share
DPS
Payout (%)
Valuation (x)
P/E
Cash P/E
P/BV
EV/Sales
EV/EBITDA
Dividend Yield (%)
FCF per share
Return Ratios (%)
RoE
RoCE
Working Capital Ratios
Inventory (Days)
Debtor (Days)
Creditor (Days)
Working Cap. Turnover (Days)
Leverage Ratio (x)
Current Ratio
Interest Cover Ratio
Debt/Equity
FY11
24.7
27.0
120
1.5
7.1
FY12
34.0
36.4
152
2.0
6.8
FY13
32.1
35.4
182
2.0
7.2
FY14
36.4
40.8
216
2.0
6.4
36.4
32.5
6.1
5.4
40.9
0.2
15.9
18.3
14.1
72
41
36
120
4.8
3.8
0.4
FY15
38.7
48.9
251
4.0
12.3
34.3
27.2
5.3
4.3
30.1
0.3
16.1
18.4
16.3
76
49
45
118
4.2
5.8
0.4
FY16E
61.7
70.5
305
6.1
11.7
21.5
18.8
4.3
3.2
19.4
0.5
15.3
22.2
19.3
74
49
43
113
3.8
9.3
0.4
FY17E
71.4
81.3
362
12.1
20.1
18.6
16.3
3.7
2.6
15.4
0.9
38.8
21.4
19.9
73
49
43
108
3.7
13.9
0.3
FY18E
87.5
98.6
430
16.6
22.5
15.2
13.5
3.1
2.2
11.9
1.3
49.1
22.1
21.7
72
49
43
106
3.6
17.9
0.3
0.1
2.3
41.2
31.8
54
36
36
37
4.4
6.3
0.6
0.2
-7.4
25.0
19.0
70
43
50
78
3.7
6.0
0.6
0.2
-13.0
19.2
15.0
81
45
42
137
5.5
3.7
0.7
Consolidated - Cash Flow Statement
Y/E March
OP/(Loss) before Tax
Depreciation
Interest & Finance Charges
Direct Taxes Paid
(Inc)/Dec in WC
CF from Operations
Others
CF from Operating incl EO
(Inc)/Dec in FA
Free Cash Flow
(Pur)/Sale of Investments
Others
CF from Investments
Issue of Shares
Inc/(Dec) in Debt
Interest Paid
Dividend Paid
Others
CF from Fin. Activity
Inc/Dec of Cash
Opening Balance
Closing Balance
FY11
3,314
274
-567
-666
-992
1,363
116
1,479
-1,203
276
-323
1,956
430
0
8,201
-412
0
0
7,789
9,698
200
9,898
FY12
4,334
290
-629
-966
-1,448
1,581
10
1,591
-2,481
-890
-2,612
-1,147
-6,240
0
646
-547
-209
-1
-111
-4,760
9,898
5,138
FY13
4,016
398
-730
-1,102
-1,827
754
26
780
-2,335
-1,554
-281
3,095
480
0
4,870
-797
-517
0
3,556
4,816
5,138
9,955
FY14
4,300
523
-555
-1,111
-364
2,793
107
2,900
-1,004
1,897
25
-3,814
-4,792
0
-4,732
-914
-319
-35
-6,000
-7,892
9,955
2,063
FY15
5,142
703
-1,196
-1,056
-963
2,630
652
3,281
-1,354
1,928
1,028
3,406
3,081
0
871
-793
-567
-29
-518
5,845
2,063
7,908
FY16E
8,174
1,043
-869
-654
-3,362
4,332
0
4,332
-2,500
1,832
0
1,653
-847
0
0
-784
-866
-140
-1,789
1,695
7,908
9,603
FY17E
9,887
1,182
-788
-1,186
-2,210
6,884
0
6,884
-2,250
4,634
0
1,441
-809
0
0
-653
-1,720
-161
-2,534
3,541
9,603
13,144
(INR Million)
FY18E
12,475
1,337
-808
-1,834
-3,053
8,117
0
8,117
-2,250
5,867
0
1,461
-789
0
0
-653
-2,354
-185
-3,192
4,136
13,144
17,280
21 January 2016
40

REPORT GALLERY
RECENT INITIATING COVERAGE REPORTS

Disclosures
This document has been prepared by Motilal Oswal Securities Limited (hereinafter referred to as Most) to provide information about the company(ies) and/sector(s), if any, covered in the report and may be distributed by it and/or its
Alkem Labs
affiliated company(ies). This report is for personal information of the selected recipient/s and does not construe to be any investment, legal or taxation advice to you. This research report does not constitute an offer, invitation or
inducement to invest in securities or other investments and Motilal Oswal Securities Limited (hereinafter referred as MOSt) is not soliciting any action based upon it. This report is not for public distribution and has been furnished to
you solely for your general information and should not be reproduced or redistributed to any other person in any form. This report does not constitute a personal recommendation or take into account the particular investment
objectives, financial situations, or needs of individual clients. Before acting on any advice or recommendation in this material, investors should consider whether it is suitable for their particular circumstances and, if necessary, seek
professional advice. The price and value of the investments referred to in this material and the income from them may go down as well as up, and investors may realize losses on any investments. Past performance is not a guide for
future performance, future returns are not guaranteed and a loss of original capital may occur.
MOSt and its affiliates are a full-service, integrated investment banking, investment management, brokerage and financing group. We and our affiliates have investment banking and other business relationships with a some
companies covered by our Research Department. Our research professionals may provide input into our investment banking and other business selection processes. Investors should assume that MOSt and/or its affiliates are
seeking or will seek investment banking or other business from the company or companies that are the subject of this material and that the research professionals who were involved in preparing this material may educate investors
on investments in such business. The research professionals responsible for the preparation of this document may interact with trading desk personnel, sales personnel and other parties for the purpose of gathering, applying and
interpreting information. Our research professionals are paid on the profitability of MOSt which may include earnings from investment banking and other business.
MOSt generally prohibits its analysts, persons reporting to analysts, and members of their households from maintaining a financial interest in the securities or derivatives of any companies that the analysts cover. Additionally, MOSt
generally prohibits its analysts and persons reporting to analysts from serving as an officer, director, or advisory board member of any companies that the analysts cover. Our salespeople, traders, and other professionals or affiliates
may provide oral or written market commentary or trading strategies to our clients that reflect opinions that are contrary to the opinions expressed herein, and our proprietary trading and investing businesses may make investment
decisions that are inconsistent with the recommendations expressed herein. In reviewing these materials, you should be aware that any or all of the foregoing among other things, may give rise to real or potential conflicts of interest.
MOSt and its affiliated company(ies), their directors and employees and their relatives may; (a) from time to time, have a long or short position in, act as principal in, and buy or sell the securities or derivatives thereof of companies
mentioned herein. (b) be engaged in any other transaction involving such securities and earn brokerage or other compensation or act as a market maker in the financial instruments of the company(ies) discussed herein or act as an
advisor or lender/borrower to such company(ies) or may have any other potential conflict of interests with respect to any recommendation and other related information and opinions.; however the same shall have no bearing
whatsoever on the specific recommendations made by the analyst(s), as the recommendations made by the analyst(s) are completely independent of the views of the affiliates of MOSt even though there might exist an inherent
conflict of interest in some of the stocks mentioned in the research report
Reports based on technical and derivative analysis center on studying charts company's price movement, outstanding positions and trading volume, as opposed to focusing on a company's fundamentals and, as such, may not match
with a report on a company's fundamental analysis. In addition MOST has different business segments / Divisions with independent research separated by Chinese walls catering to different set of customers having various
objectives, risk profiles, investment horizon, etc, and therefore may at times have different contrary views on stocks sectors and markets.
Unauthorized disclosure, use, dissemination or copying (either whole or partial) of this information, is prohibited. The person accessing this information specifically agrees to exempt MOSt or any of its affiliates or employees from, any
and all responsibility/liability arising from such misuse and agrees not to hold MOSt or any of its affiliates or employees responsible for any such misuse and further agrees to hold MOSt or any of its affiliates or employees free and
harmless from all losses, costs, damages, expenses that may be suffered by the person accessing this information due to any errors and delays. The information contained herein is based on publicly available data or other sources
believed to be reliable. Any statements contained in this report attributed to a third party represent MOSt’s interpretation of the data, information and/or opinions provided by that third party either publicly or through a subscription
service, and such use and interpretation have not been reviewed by the third party. This Report is not intended to be a complete statement or summary of the securities, markets or developments referred to in the document. While we
would endeavor to update the information herein on reasonable basis, MOSt and/or its affiliates are under no obligation to update the information. Also there may be regulatory, compliance, or other reasons that may prevent MOSt
and/or its affiliates from doing so. MOSt or any of its affiliates or employees shall not be in any way responsible and liable for any loss or damage that may arise to any person from any inadvertent error in the information contained in
this report. MOSt or any of its affiliates or employees do not provide, at any time, any express or implied warranty of any kind, regarding any matter pertaining to this report, including without limitation the implied warranties of
merchantability, fitness for a particular purpose, and non-infringement. The recipients of this report should rely on their own investigations.
This report is intended for distribution to institutional investors. Recipients who are not institutional investors should seek advice of their independent financial advisor prior to taking any investment decision based on this report or for
any necessary explanation of its contents.
Most and it’s associates may have managed or co-managed public offering of securities, may have received compensation for investment banking or merchant banking or brokerage services, may have received any compensation for
products or services other than investment banking or merchant banking or brokerage services from the subject company in the past 12 months.
Most and it’s associates have not received any compensation or other benefits from the subject company or third party in connection with the research report.
Subject Company may have been a client of Most or its associates during twelve months preceding the date of distribution of the research report
MOSt and/or its affiliates and/or employees may have interests/positions, financial or otherwise of over 1 % at the end of the month immediately preceding the date of publication of the research in the securities mentioned in this
report. To enhance transparency, MOSt has incorporated a Disclosure of Interest Statement in this document. This should, however, not be treated as endorsement of the views expressed in the report.
Motilal Oswal Securities Limited is registered as a Research Analyst under SEBI (Research Analyst) Regulations, 2014. SEBI Reg. No. INH000000412
There are no material disciplinary action that been taken by any regulatory authority impacting equity research analysis activities
Analyst Certification
The views expressed in this research report accurately reflect the personal views of the analyst(s) about the subject securities or issues, and no part of the compensation of the research analyst(s) was, is, or will be directly or
indirectly related to the specific recommendations and views expressed by research analyst(s) in this report. The research analysts, strategists, or research associates principally responsible for preparation of MOSt research receive
compensation based upon various factors, including quality of research, investor client feedback, stock picking, competitive factors and firm revenues
Disclosure of Interest Statement
Analyst ownership of the stock
Served as an officer, director or employee
ALKEM LABS
No
No
A graph of daily closing prices of securities is available at www.nseindia.com and http://economictimes.indiatimes.com/markets/stocks/stock-quotes
Regional Disclosures (outside India)
For U.S.
This report is not directed or intended for distribution to or use by any person or entity resident in a state, country or any jurisdiction, where such distribution, publication, availability or use would be contrary to law, regulation or which
would subject MOSt & its group companies to registration or licensing requirements within such jurisdictions.
Motilal Oswal Securities Limited (MOSL) is not a registered broker - dealer under the U.S. Securities Exchange Act of 1934, as amended (the"1934 act") and under applicable state laws in the United States. In addition MOSL is not a
registered investment adviser under the U.S. Investment Advisers Act of 1940, as amended (the "Advisers Act" and together with the 1934 Act, the "Acts), and under applicable state laws in the United States. Accordingly, in the
absence of specific exemption under the Acts, any brokerage and investment services provided by MOSL, including the products and services described herein are not available to or intended for U.S. persons.
This report is intended for distribution only to "Major Institutional Investors" as defined by Rule 15a-6(b)(4) of the Exchange Act and interpretations thereof by SEC (henceforth referred to as "major institutional investors"). This
document must not be acted on or relied on by persons who are not major institutional investors. Any investment or investment activity to which this document relates is only available to major institutional investors and will be
engaged in only with major institutional investors. In reliance on the exemption from registration provided by Rule 15a-6 of the U.S. Securities Exchange Act of 1934, as amended (the "Exchange Act") and interpretations thereof by
the U.S. Securities and Exchange Commission ("SEC") in order to conduct business with Institutional Investors based in the U.S., MOSL has entered into a chaperoning agreement with a U.S. registered broker-dealer, Motilal Oswal
Securities International Private Limited. ("MOSIPL"). Any business interaction pursuant to this report will have to be executed within the provisions of this chaperoning agreement.
The Research Analysts contributing to the report may not be registered /qualified as research analyst with FINRA. Such research analyst may not be associated persons of the U.S. registered broker-dealer, MOSIPL, and therefore,
may not be subject to NASD rule 2711 and NYSE Rule 472 restrictions on communication with a subject company, public appearances and trading securities held by a research analyst account.
For Hong Kong:
This report is distributed in Hong Kong by Motilal Oswal capital Markets (Hong Kong) Private Limited, a licensed corporation (CE AYY-301) licensed and regulated by the Hong Kong Securities and Futures Commission (SFC)
pursuant to the Securities and Futures Ordinance (Chapter 571 of the Laws of Hong Kong) “SFO”. As per SEBI (Research Analyst Regulations) 2014 Motilal Oswal Securities (SEBI Reg No. INH000000412) has an agreement with
Motilal Oswal capital Markets (Hong Kong) Private Limited for distribution of research report in Kong Kong. This report is intended for distribution only to “Professional Investors” as defined in Part I of Schedule 1 to SFO. Any
investment or investment activity to which this document relates is only available to professional investor and will be engaged only with professional investors.”
Nothing here is an offer or solicitation of these securities, products and services in any jurisdiction where their offer or sale is not qualified or exempt from registration. The Indian Analyst(s) who compile this report is/are not located in
Hong Kong & are not conducting Research Analysis in Hong Kong.
Motilal Oswal Capital Markets Singapore Pte Limited is acting as an exempt financial advisor under section 23(1)(f) of the Financial Advisers Act(FAA) read with regulation 17(1)(d) of the Financial Advisors Regulations and is a
subsidiary of Motilal Oswal Securities Limited in India. This research is distributed in Singapore by Motilal Oswal Capital Markets Singapore Pte Limited and it is only directed in Singapore to accredited investors, as defined in the
Financial Advisers Regulations and the Securities and Futures Act (Chapter 289), as amended from time to time.
In respect of any matter arising from or in connection with the research you could contact the following representatives of Motilal Oswal Capital Markets Singapore Pte Limited:
Kadambari Balachandran
Email : kadambari.balachandran@motilaloswal.com
Contact : (+65) 68189233 / 65249115
Office Address : 21 (Suite 31),16 Collyer Quay,Singapore 04931
For Singapore
21 January 2016
Motilal Oswal Tower, Level 9, Sayani Road, Prabhadevi, Mumbai 400 025
Phone: +91 22 3982 5500 E-mail: reports@motilaloswal.com
Motilal Oswal Securities Ltd
42