Sector Update| 22 February 2016
Financials
Please refer our detailed report
dated 23 January 2016
PSU banks – No place to hide
Are valuations really cheap?
PSU banks (PSBs) reported one of their worst quarters in the last decade, with no
near-term visibility in operational improvement. Valuations have corrected
sharply, taking cues from near-term weak economic outlook. In this note, we
analyze the asset quality situation post RBI’s clean up exercise and its impact on
capital requirement. We also run the stress test to see the adjusted valuations,
taking into consideration the pile of stress loans on the balance sheets. Relatively
better asset quality position, relatively strong capitalization, management
continuity and focus on core operating parameters (even at the cost of growth)
keeps us positive on BOB, SBIN and INBK amongst our PSU bank coverage.
Banks clean up much more than RBI asset quality review (AQR)
Our back of the envelope calculations (exhibit 1) suggest that the RBI’s AQR covered
(including all three lists) ~3.5% of the system stressed loans. Contribution from
restructured loans was significantly higher at ~2.2% (0.9% relapse and 1.3% loans
requiring enhanced provisioning). New stress addition at the system level (from
non-stress recognized standard loans) was lower at 1.3% of loans. RBI AQR
contributed ~50% of the slippages for the quarter. Aggressive stress recognition
outside the RBI AQR surprised us. Banks have utilized the opportunity to clean up
aggressively and this is likely to continue in 4QFY16 as well.
RBI focus on balance sheet health – credit cost to remain elevated
Large part (50%+) of the NPA recognition in the RBI AQR happened via relapse from
RL, wherein the account status classification into NPA happened from date of
restructuring. Hence, most loans in this category moved to >2years NPA
classification (D1/D2), leading to higher NPA provisioning. Total provisioning
requirements on RBI AQR (including IRAC norms for ageing of NPA portfolio) would
be INR400b-450b (90%+ expected to be with PSBs), of which half would hit P&L in
FY16 and the rest in FY17 (exhibit 9). Significant pile-up of stress loans on the
balance sheet would keep credit cost elevated, with limited support from core PPoP
(higher non-interest bearing loans on balance sheet now). The RBI is also likely to
come out with the guideline for increasing provisions on 5:25 and SDR accounts,
which would further intensify pressure on credit cost.
Capitalization: Only three PSBs with CET1 >8.5%
Sharp rise in RWA (significant downgrade of loans), PBT losses/negligible profits and
build-up of DTA (banks used this to report PAT although DTA is deducted while
calculating CET1 capital) led to sharp drop in capitalization in 3QFY16 (most PSBs at
7-8.5% now). With the guidance of half of the stress recognition related to RBI AQR
to be taken in 4Q and dividend payout (expected in few cases though), stress on
capitalization is expected to continue. In our base case (CET1 at 9% v/s regulatory
Alpesh Mehta
(Alpesh.Mehta@MotilalOswal.com); +91 22 3982 5415
AS Venkata Krishnan
(A.Krishnan@MotilalOswal.com); +91 22 3010 2603 /
Dhaval Gada
(dhaval.gada@motilaloswal.com)
22 February 2016
Investors are advised to refer through important disclosures made at the last page of the Research Report.
Motilal Oswal research is available on
www.motilaloswal.com/Institutional-Equities,
Bloomberg, Thomson Reuters, Factset and S&P Capital.
1

requirement of 8%; 14% RWA CAGR), PSBs would require capital infusion of INR1.5t
by FY18. If one were to consider 50% PCR (after taking tax benefit) on all recognized
stress loans then the capital requirement would be INR2.4t (exhibit 25). Inability of
small PSBs and weak large PSBs to raise AT1 capital may aggravate the need for
equity capital requirement. RBI relaxations for recognition of capital in the form of
revaluation of assets and other strategic investments would, however, provide some
relief. SBIN (9.4% consolidated), BOB (~9%) and INBK (11%+) are well placed on
capitalization in our coverage universe.
Separating wheat from the chaff
On a fully adjusted basis (assuming haircuts on stress loans), most PSBs are still
trading at expensive valuations. Given our strategist’s call of cyclical improvement in
FY17/18, we are comfortable owning SBIN, BOB and INBK, taking into consideration
asset quality, capitalization, management continuity and focus on core operating
parameters (even at the cost of growth). Overall re-rating in PSBs could happen,
with (a) sharp pick-up in growth, leading to reduced risk on stress loan haircut
assumptions and increase in adjusted BV, (b) GoI taking action to address stress
loans in the balance sheet (bad bank, creation of stress assets fund, etc.), (c) clear
path for large capital requirements of PSBs.
Key risks
Prolonged economic recovery and delay in revival of capex cycle
Delay in much needed reforms for PSBs
Lack of clarity over addressing the capitalization issue of PSBs
Uniform recognition of loans in the next RBI AFI
Negative surprises from credit substitute book and international exposures of
banks
22 February 2016
2

Where do PSBs stand post RBI asset quality review?
SBIN, BOB and INBK well placed | Concerns remain on PNB and BOI
Based on our estimates, at the system level, total stressed loans identified under RBI
asset quality review (AQR) were INR2.5t-2.6t. However, of these, only INR800b-900b is
likely to be fresh stress addition coming on the balance sheet (exhibit 1).
System provisioning requirement related to AQR would be INR500b-600b – largely
equally divided between FY16 and FY17. PSU banks would account for 90%+ of this.
Excluding AQR (~50% of 3QFY16 slippages), slippages remained stable / increased QoQ
– banks have taken the opportunity to further clean up their balance sheets.
NSL on the balance sheet is higher than CET1 capital; the situation has deteriorated
further for mid-sized PSBs (several have reported losses).
We continue to prefer SBIN, BOB and INBK, which remain well placed, with better core
operating performance, adequate capitalization and supportive valuations.
Report link
Sensitivity of stress loans
and worst-case impairment
to net worth of corporate
lenders
RBI walked the talk – a concurrent audit changed the asset quality picture
While asset quality trends seemed to show initial signs of improvement at the end
of 2QFY16; Governor Rajan made one of the rarest comments ever heard from a RBI
governor,
“We hope to clean up banks’ balance sheets by March 2017”.
As we had
highlighted at the start of the earnings season (click
here),
4QFY16 would be one of
the toughest quarters for banks, with asset quality uncertainty at center stage post
the RBI asset quality review (AQR). Four out of nine PSU banks from our active
coverage universe reported pre-tax losses with three reporting net losses during
3QFY16.
Total quantum involved in
the first two lists of AQR
was ~INR1.5-1.6t and
~INR1tr of RL was
considered for enhanced
provisioning requirement.
Hence, AQR lists covered ~
INR2.5-2.6t of stressed
loans
RBI asset quality review identifies ~3.5% of system loans as stressed
Following banks’ quarterly earnings and the RBI’s monetary policy conference call,
clarity has emerged over the stressed loans involved in the RBI AQR. In our view, the
total amount involved in the first two lists, where accounts were required to be
classified as non-performing, was INR1.5t-1.6t (2-2.2% of system loans). However,
since the entire exercise was based as of FY15, ~25% of these loans were already
classified as NPA in 1HFY16 (part of which is relapse from RL). Further, quantum
involved in the enhanced provisioning requirement on the existing restructured
loans (10% additional in FY17) should be ~INR1t (1.4% of loans). Hence, overall
amount involved would be INR2.5t-2.6t (~3.5% of loans). Fresh stress addition not
classified as stress loan in any form would be INR800b-900b, in our view (~1.3%) –
the rest is largely from restructured loans followed by 5:25.
22 February 2016
3

Exhibit 1: In our view, overall amount involved in AQR could be INR2.5t-2.6t (~3.5% of
loans)
Stressed loan identified
INR2.5-2.6t
(~3.5% of loans)
Loans to be classified
as NPA
INR1.5-1.6t
(2-2.2% of loans)
Already classified as
of 1HFY16
(INR350-400b)
RL where enhanced
provisioning has been
prescribed
~INR1t (1.4% of loans)
Of the accounts to be
rd
classified as NPA-1/3 to
come from restructure
loans
Balance in 2HFY16
(INR1.1-1.2t)
Slippages in
3QFY16
(INR600-650b)
Slippages in
4QFY16
(INR500-550b)
Source: MOSL, Company
Banks used opportunity to clean up aggressively
Half of the fresh slippages in
3QFY16 led by AQR
In our coverage universe, ~50% of the slippages were driven by RBI asset quality
review. More importantly, for almost all banks, slippages either increased QoQ or
remained stable, highlighting the elevated level of stress in the balance sheet even
after using various tools (5:25 and SDR). Banks have also used the quarter to
aggressively clean up their balance sheets, as RBI AQR slippages have been either
equal to or higher than the previous quarter. Among the large PSBs, only SBIN
clearly specified the amount of provisions (INR43b or 56% of NPA provisions) driven
by RBI asset quality review.
Exhibit 2: About 50% of fresh slippages in 3QFY16 were related to RBI asset quality review
3QFY16 - AQR related slippages (% of total)
70.1 66.7 66.5
63.3 61.2
OBC, BOB, BOI used the
opportunity for aggressive
clean up. Ex RBI AQR, SBIN
slippages are as guided
56.2 54.2 52.8
50.5 47.9 47.1
43.3
35.7
26.8
15.7
Source: MOSL, Company
22 February 2016
4

Biggest negative surprises
were PNB, OBC and BOI in
terms of slippages ex AQR
Exhibit 3: Several banks have seen elevated levels of slippages ex AQR
2QFY16
72
63 63
59 62
3QFY16 (ex. AQR related)
Slippages (INR b)
54
26
24
22 22
22 21
19
15
6
10
5
6
PNB
BOI
SBIN
OBC
ICICIBC
CBK
UNBK
AXSB
INBK
Source: MOSL, Company
NSL (NNPA+OSRL) ratio now stands at 9%+, including 5:25 and SDR at ~11%
In absolute terms, NSL
increased just 7% QoQ
Absolute NNPA increased 40%+ QoQ for coverage PSBs and net stressed loans (NSL)
increased 7% QoQ to 9.1% of loans (+40bp QoQ). As expected, large proportion of
incremental stressed loans came from the restructured book, resulting in 11% QoQ
decline in OSRL (now 5.1% of loans v/s 5.8% in 2QFY16). Interestingly, INBK was the
only bank in our coverage that saw sequential decline in NSL. If one were to include
standard 5:25 and SDR accounts, net stress loans for the system would be 11.2%.
Exhibit 4: NSL ratio (%) at SBIN remains one of the lowest amongst PSU banks
2QFY16
14.0 14.8
12.8 13.5
8.6
3QFY16
10.1 10.0 10.1 10.6 9.9
9.1 9.4
8.8 9.1
8.7 9.1
6.1 6.4
Net stressed loans (NSL) = NNPA + OSRL
Source: MOSL, Company
Who is better placed based on available disclosures?
Difference between BV and
adjusted BV is 65-100%
under worst case scenario;
in case of PNB, BOI and
UNBK, it is 100%+
For our coverage universe, we have carried out bank-wise stress analysis based on
the available asset quality information (including pipeline/stress addition in
4QFY16). In the worst case scenario, taking entire stressed loan hit on a post-tax
basis (assuming tax break of 30% - hence, 70% of portfolio), difference between
reported BV and adjusted BV is at 65% for SBIN, BOB and INBK, whereas it is 80% for
CBK, 93% for OBC and more than 100% for PNB and UNBK.
Apart from lower CET1 ratio, higher hit on PNB and UNBK is on account of large
share of restructured loans (6.5% - 2x other large PSBs) and 5:25 (4.3% v/s ~1% for
other large PSBs), respectively. Based on the haircut assumptions under various
categories, we believe SBIN, BOB and INBK are well placed. Considering 5:25 largely
22 February 2016
5

towards operational projects, we are comfortable on UNBK; however, BV-dilutive
capital infusion (CET 1 at 7.9%) remains a concern.
Exhibit 5: If we assume 100% PCR on stressed loans, then gap between BV and ABV is highest in case of UNBK, PNB and BOI
INR Bn
NNPA (FY16)
OSRL (Ex SEB and AI)
5:25 (incl pipeline)
SDR (at 30% of rep)
SR
Total
% of loans
Post Tax (70% of total)
% of NW
BV
ABV
Difference
Price
PBV
PABV
SBIN
505
450
170
36
56
1,217
8.36
852
61.1
180
70
61.1
133
0.7
1.9
SBIN Cons
643
700
221
47
73
1,683
8.88
1,178
67.4
225
73
67.4
166
0.7
2.3
BOB
213
120
20
2
5
360
8.16
252
67.5
162
53
67.5
139
0.9
2.6
PNB
269
268
72
7
7
624
15.18
437
109.3
203
-19
109.3
78
0.4
-4.1
BOI
224
113
26
4
28
395
9.95
277
113.3
308
-41
113.3
81
0.3
-2.0
CBK
151
131
33
19
10
344
9.92
241
80.6
549
107
80.6
182
0.3
1.7
UNBK
113
79
116
8
5
322
11.98
225
109.4
299
-28
109.4
121
0.4
-4.3
OBC
83
62
12
9
8
174
11.09
122
92.6
439
32
92.6
88
0.2
2.7
INBK
45
49
15
4
13
126
9.07
88
66.9
274
91
66.9
88
0.3
1.0
Source: MOSL, Company
Exhibit 6: However, if we rationalize the LGDs on each category of stressed loans, then gap between BV and ABV is lowest in
case of SBIN and highest in case of BOI and PNB (worst case assumption)
INR Bn
NNPA (FY16)
OSRL (Ex SEB and AI)
5:25 (incl pipeline)
SDR
SR
Total
% of loans
Post Tax (70% of total)
% of NW
BV
ABV
Difference BV and ABV
Price
PBV
PABV
CET1 (Reported)
CET1 (adjusted)
ROA (FY17)
LGD
70
40
30
50
70
SBIN
354
180
51
18
39
642
4.41
449
32.2
180
122
32.2
133
0.74
1.09
9.60
6.51
0.60
SBIN Cons
450
280
66
23
51
871
4.59
609
34.9
225
147
34.9
166
0.74
1.13
9.60
6.25
0.60
BOB
149
48
6
1
4
208
4.71
145
38.9
162
99
38.9
139
0.86
1.41
9.00
5.50
0.49
PNB
188
107
22
4
5
326
7.93
228
57.1
203
87
57.1
78
0.38
0.89
8.12
3.48
0.43
BOI
157
45
8
2
20
231
5.83
162
66.3
308
104
66.3
81
0.26
0.78
7.00
2.36
0.05
CBK
106
52
10
10
7
184
5.32
129
43.2
549
312
43.2
182
0.33
0.58
8.03
4.56
0.38
UNBK
79
31
35
4
4
153
5.71
107
52.1
299
143
52.1
121
0.40
0.84
7.93
3.79
0.45
OBC
58
25
4
4
5
97
6.16
68
51.4
439
213
51.4
88
0.20
0.41
8.17
3.97
0.29
INBK
32
19
5
2
9
67
4.81
47
35.5
274
177
35.5
88
0.32
0.50
10.55
6.81
0.45
Source: MOSL, Company
Please note the key assumptions/facts for the above exercise
a) As most of the banks have not taken full AQR stress in this quarter, we have
included NNPA as of FY16 (our numbers for 4Q factor in AQR-related guidance).
b) We have included only standard (including 4Q pipeline) 5:25 loans, based on
disclosures given by banks. For SDR (including 4Q pipeline), considering the
22 February 2016
6

significant overlap between OSRL and NNPA, we have taken only 30% of the
reported SDR (unless specific mention of standard SDR excluding RL by bank).
c) Net worth and loans are as of FY16.
d) CET1 reported as of 9MFY16
e) ROAs as of FY17
In the near term, NSL ratio expected to remain stable
NSL ratio is expected to
remain optically stable in
4QFY16
While we expect large part of incremental slippages in 4QFY16 to come from the
standard loan book, NSL ratio (%) may not increase, as part of the restructured loan
book exposed to SEBs is expected to get replaced by state government bonds (up to
50% by March 2016) under the ‘UDAY’ scheme (click
here for report).
Hence,
optically, NSL ratio may largely remain stable.
Exhibit 8: Excluding SEBs, outstanding restructured loans
now stand at ~4% of overall loans (3QFY16)
7.5
5.1
OSRL ex. SEB (%)
Exhibit 7: Relapse from restructured loans increased
significantly, partly led by RBI asset quality review
Relapse as % of opening OSRL
24.4
18.5
11.4
9.4
9.3
4.3
3.8
3.5
3.4
3.2
8.5
3.0
7.8
5.8
Note: Opening OSRL is as of 3QFY16
Source: MOSL, Company
Note: In case of OBC, we have excluded additional facility to
restructured accounts.
Source: MOSL, Company
RBI AQR related
provisioning is expected to
be ~INR310b in FY16 and
INR100b for FY17 (INR250b
if IRAC based provisioning
requirement considered for
slipped accounts)
Credit costs to remain elevated despite aggressive provisioning in FY16
Total credit cost on account of RBI AQR would be INR400b-450b, assuming (a)
additional provisioning on relapse from RL (1/3
rd
of the RBI list; hence, at ~INR0.5t)
at ~INR160b (assuming most of the loans moved to D1/D2 category; hence, average
additional provision of ~30%), (b) provisioning on standard loans (performing loans
on rule-based accounting) at ~INR150b (15% on INR1t), and (c) enhanced
provisioning on certain restructured loans – INR100b (10% of INR1t). Of the above,
INR300b-350b would be recognized in FY16 (INR210b-250b in 2HFY16).
Over and above the normal IRAC norms, headwinds on provisioning remain high for
FY17, led by (a) additional provisioning on restructured loans (RBI AQR) of INR100b,
(b) IRAC norms based enhanced provisions for slippage of RBI AQR (INR160b), and
(c) expected enhanced provisioning requirement on 5:25 and SDR (so far these are
at ~1% of loans) – ~INR100b (assuming 10% additional provisions).
22 February 2016
7

Exhibit 9: Overall credit costs involved on account of RBI AQR would be INR400b-450b
Overall credit costs
INR400-450b
additional provisioning
on relapse from RL
(INR160b)
Provisioning on standard
loans classified as NPA
(INR150b)
Enhanced provisioning
on certain RL
(INR100b)
Source: MOSL, Company
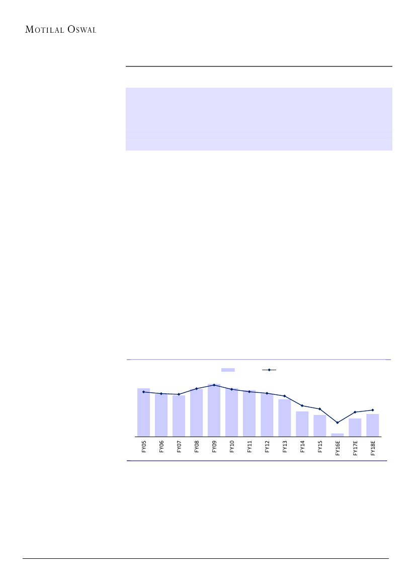
Exhibit 10: Credit costs to remain elevated in FY17
FY15
2.6
1.8
1.5
3.0
2.3
1.5
1.4
1.5
1.4 1.5 1.3
1.5
1.3
1.5
1.0
1.1
2.5
FY16E
FY17E
2.2
1.0
0.9
1.0
PNB
BOI
OBC
SBIN
UNBK
INBK
BOB
Source: MOSL, Company
Key risks to asset quality in FY17
Overall, we expect gross stress addition to be lower in FY17 but yet remain elevated.
However, two key risks remain, in our view (a) RBI asset quality review has been
largely based on local credit book, and hence, onus remains on banks to recognize
any stressed loans to Indian companies in the overseas and credit substitutes book
(click
here for RBI presentation on AQR insights);
(b) convergence of asset
classification across banks, as incremental funding sources dry down, resulting in
NPA recognition in bank books (which have kept them standard so far).
22 February 2016
8

Credit Cost > Core PPoP – trend reversal or one-off
Weak macros + Regulatory headwind = Below trend return ratios
Weak core PPoP profitability and elevated credit costs remain a drag on profitability.
We expect RoAs to remain below long-term average and RoEs to remain in single digit
for FY17. Significant capital infusion could elongate the drag for a long time.
For our coverage PSBs ex SBIN, loan growth as of 3QFY16 was a modest 2%; weak
capital position, muted corporate loan growth, focus on balance sheet clean-up and
higher risk aversion have been some of the key reasons.
RoAs would be lowest in
more than a decade; RoEs
to remain in single digits
PBT is expected to decline by 50%+ in FY16 for PSBs, led by losses from large PSBs
like BOB, BOI and moderate profits by PNB , OBC etc. ROAs would be the lowest in
more than a decade.
FY17 does not throw a very encouraging picture as of now due to (a) moderate
economic growth, and in turn, credit growth (growth issue partially compounded by
lower capitalization), (b) regulatory headwinds (MCLR implementation, lag impact of
RBI AQR, and expected higher provisioning requirement on 5:25 and SDR), (c) high
share of non-interest earning assets on the balance sheet (impacting RoA via NIMs
and credit cost), and (d) limited room to recognize trading gains (unless the RBI cuts
rates aggressively, which looks unlikely).
We expect modest improvement in RoAs on the back of margin improvement
(largely led by lower interest income reversals), moderate loan growth and lower
credit costs; RoEs are expected to remain in single digits as core PPoP remains
subdued and credit costs elevated. Further, reduction in leverage (due to capital
infusion) would weigh on RoE improvement.
Pressure on profitability to
continue; change in economic
outlook can lead to material
upgrade in estimates;
sensitivity of RoA to NIMs and
credit cost highest in the last
decade
Exhibit 11: We expect moderate improvement in return ratios in FY17…
1.1
1.2
RoE (%)
1.1
1.0
1.0
RoA (%)
0.9
0.6
19
17
17
19
21
19
19
17
15
0.5
0.2
11
10
3
8
10
0.5
0.5
1.0
0.9
0.9
Our RoE estimates don’t factor in expected capital infusion in PSBs
Source: MOSL, Company
22 February 2016
9

Exhibit 12: …led by double-digit core PPoP growth – albeit
on a lower base…
Core PPoP (INR b)
48
649
13
355
526
23
-4
0
625
627
664
6
-8
698
608
15
16
Core PPoP Growth YoY (%)
813
Exhibit 13: …and moderation in credit costs – yet remain
elevated
Credit costs (bps)
194
135
132
120
79
60 51 60 50
78
91
103 106 111
FY10
FY11
FY12
FY13
FY14
FY15 FY16E FY17E FY18E
Source: MOSL, Company
Source: MOSL, Company
Credit growth remains anemic for PSBs
‘RAM’ portfolio accounted
for 75% of incremental loan
growth in 3QFY16
While system loan growth has improved to ~11%, coverage PSU banks ex SBIN have
grown by just 2%. Focus on asset quality, deteriorating capital position
(losses/moderate profits, rise in RWA), higher risk aversion and growth via credit
substitutes book are some of the reasons. Incremental loan growth has largely been
led by Retail, Agri and MSME (‘RAM’) – 75% of incremental growth.
Exhibit 14: Overall PSU bank loans ex SBIN remain anemic (2% YoY as of 3QFY16)…
SBIN
16
12
18
19
18
17
18
16
17
14
13
10
7
12
9
7
11
7
7
5
2
13
PSB ex. SBIN
Source: MOSL, Company
For the first time, PSU
banks are likely to report
negative core margins (core
PPoP less credit costs)
Core profitability remains a cause of concern
For the first time, PSU banks are likely to report negative core margins (core PPoP
less credit costs). While credit costs have increased sharply in FY16, moderating core
profitability remains a cause of concern. Sharp moderation in margins led by high
interest income reversals and weak fee income growth has impacted core income
performance. While we expect some improvement in NIMs (largely led by lower
interest income reversals), core profitability would still remain subdued. Aggressive
write-offs helped by sharp fall in interest rates/provision of transfer of stress loans
to new entity or fund/aggressive recoveries from write-off accounts remains the
only hope as of now.
22 February 2016
10

Exhibit 15: PSU banks are likely to report negative core
margins for the first time
Core PPoP less Credit Costs
1.3 1.3 1.3
1.1
1.3
1.0
1.3 1.3
1.0
0.7
0.5
-0.1
0.4
0.5
Exhibit 16: Significant revival in core profitability unlikely in
FY17
Core PPoP % of average assets
1.9
1.7 1.6
1.6
1.5
1.6
1.5
2.0
1.7
1.4
1.3
1.2
1.1 1.2
Source: MOSL, Company
Source: MOSL, Company
Exhibit 17: FY17 PBV (x) v/s RoE (%) – INBK, UNBK SBIN and BOB remain attractive
13.0
11.5
10.0
8.5
7.0
5.5
4.0
0.1
0.2
0.3
0.4
0.5
0.6
0.7
0.8
FY17 P/BV (x)
Source: MOSL, Company
OBC
BOI
UNBK
INBK PNB
CBK
SBIN (C)
BOB
22 February 2016
11

Net stressed loans > CET1 capital for most banks
PSU banks would require USD20b+ of additional equity capital, in our view
CET1 ratio is lower than net stressed loans on the balance sheet for most PSBs.
CET1 capital requirement for PSU banks is expected at ~INR1.5t. While GoI has
commitment of INR700b (INR200b already infused) equity infusion, we believe this
may (at the most) be enough to take care of regulatory requirement but not of growth
capital requirement.
Net stress loans above CET1
capital – situation remains
worrisome; immediate
action is required
The capital ratios, especially the core equity component (CET1), for most mid-sized
PSBs are already alarmingly low on the back of the enormous quantum of stressed
asset additions that happened in 3QFY16 (leading to higher risk weightage and PBT
level losses, aggravating the situation further). Exhibit 18 captures the CET1 ratios
for select PSU banks vis-à-vis the position of their net stressed assets.
Exhibit 18: OBC, PNB and BOI remain the most vulnerable, given high stressed loans and
relatively weak capitalization
NSL / CET1 capital (%)
197
160
148
NSL incl. 5:25, SDR / CET1 capital (%)
183
146
161
120
144
171
117
113
135
100
122
69
95
OBC
PNB
BOI
CBK
UNBK
BOB
INBK
SBIN
Note: In case of OBC, we have excluded additional facility to restructured accounts. Also, some portion
of 5:25 refinancing and SDR could be on exposures already classified as NPA or OSRL
Source: MOSL, Company
Regulatory capital requirements – trending higher
Beginning FY14, the RBI had allowed Indian banks certain transitional arrangements
in their gradual migration to Basel-III, ostensibly to avoid aggravating any near-term
stress within the banking system. However, as a result of asset quality degradation
with repeated bouts of regulatory forbearance, stress in the banking system is even
more now than it was in the past. The clean-up exercise has brought forth the
situation of weak balance sheet and profitability. We model in FY17 Core PPoP
growth of ~16% for PSBs as a whole (earnings growth may not be meaningful as
some banks are likely to report losses in FY16); however, the situation of midcap
PSBs remains worrisome. Our estimates factor in moderate recovery in FY17.
SBIN and BOB would be in a position to generate capital with (a) better access to
AT1 and T2 capital, (b) financial investments available on the balance sheet (NSE,
UTIMF, etc), and (c) strategic investments (stake in insurance ventures). Further,
these banks have starting point of CET1 at 9%+. Considering their valuations and
weak balance sheet condition, small to mid-sized PSBs (also BOI) are dependent on
the GoI for additional capital requirement.
22 February 2016
12

Exhibit 19: Transitional arrangements for migration to Basel-III capital norms
Minimum capital ratios (% of RWAs)
Common Equity Tier 1 (CET1) (A)
Additional Tier I Capital (B)
Tier 1 (C=A+B)
Tier II Capital (D)
Total capital (E=C+D)
Capital conservation buffer (CCB)
(F)
Total capital (incl CCB) (G=E+F)
of the above CET 1 Capital (H=A+F)
Phase-in of all deductions from CET1
31-Mar-15
5.5
1.5
7.0
2.0
9.0
0.0
9.0
5.5
60%
31-Mar-16
5.5
1.5
7.0
2.0
9.0
0.625
9.625
6.125
80%
31-Mar-17
5.5
1.5
7.0
2.0
9.0
1.25
10.25
6.75
100%
31-Mar-18
5.5
1.5
7.0
2.0
9.0
1.875
10.875
7.375
100%
31-Mar-19
5.5
1.5
7.0
2.0
9.0
2.5
11.5
8.0
100%
Source: RBI, MOSL
D-SIB norms to additionally
impact SBIN
In addition to this, SBIN, by virtue of having been identified by the RBI as a Bucket-3
Domestic Systemically Important Bank (D-SIB), is required to provide an additional
60bp (0.60%) of its risk-weighted assets as CET1 in step increments of 15bp every
year beginning FY17.
Exhibit 20: Phase-in of additional CET1 for domestic systemically important banks (D-SIBs)
Additional CET1 for D-SIBs (% of RWAs)
State Bank of India (Bucket 3)
ICICI Bank (Bucket 1)
1-Apr-16
0.15
0.05
1-Apr-17
0.30
0.10
1-Apr-18
0.45
0.15
1-Apr-19
0.60
0.20
Source: RBI, MOSL
Base case capital requirement for PSBs at INR1.5t (USD21.5b)
At the time of “Indradanush” (click
here to access report),
GoI assessed the total
capital requirement for PSBs at INR1.8t, of which the banks themselves were
expected to raise INR1.1t from the market by diluting stake to 52% and the rest was
supposed to be provided by GoI. Of the committed INR700b, GoI has already infused
INR200b in FYTD16. In our view, GoI assumption on the growth would have been
more than 15% CAGR over FY15-19.
Our back of the envelope calculations, post aggressive clean-up done so far and
proposed in 4QFY16, suggest that total capital infusion required in PSBs (key
assumptions: 14% RWA CAGR FY16-18, 20% dividend payout and CET1 9% except in
case of SBIN, where we assume 9.5%) would be ~INR1.5t by FY18. Our existing
assumptions already factor in some relapse from RL. If one were to reach 50% PCR
on the total stress loans (including stock of 5:25 and SDR done so far), then capital
requirement would increase to ~INR2.4t (USD35b).
Exhibit 21: Additional USD14b required to be infused in PSBs by FY18 - key assumptions
Key assumptions - base case
CAGR in RWAs FY16-FY18 (%)
CET1 (%) - FY18
Dividend payout (%)
*Note: For SBIN, we have considered 9.5% CET1 ratio requirement.
Source: MOSL
14.0
9.0*
20.0
22 February 2016
13

Exhibit 22: Within our coverage universe, INBK would require the least amount of capital in the base case
INR Bn
SBIN
PNB
BOB
BOI
CBK
UNBK
OBC
INBK
ANDB
Total
Loans Market
Share
CET1 (%)
9MFY16 System PSBs
9.4
22.8
30.6
8.5
5.2
6.9
9.0
5.8
7.8
7.0
5.5
7.3
8.0
4.5
6.0
7.9
3.5
4.7
8.2
2.0
2.7
11.1
1.7
2.3
7.7
1.7
2.3
52.6
70.6
3QFY16
17,457
4,621
3,842
3,535
3,467
2,587
1,707
1,207
1,301
RWA
Internal accruals Add. infusion req. by
FY17
FY18
FY17
FY18
FY17
FY18
20,697 23,594 153.3
182.7
149
241
5,479 6,246
24.0
31.6
85
122
4,555 5,192
31.5
38.2
29
48
4,191 4,777
2.5
11.8
143
184
4,111 4,686
19.4
23.3
70
99
3,067 3,496
15.5
21.1
53
71
2,024 2,307
6.0
7.7
38
56
1,431 1,631
8.1
10.5
0
0
1,542 1,758
11.0
13.5
26
32
592
852
Add. Capital req for
50% PCR on stress
Total
loans #
Capital req
169
410
146
268
11
59
2
186
58
156
54
125
27
83
16
9
11
43
1,339
Source: MOSL, Company
# Note: For details, please refer to exhibit 25
Exhibit 23: Capital requirement doubles, assuming 50% PCR on total stress loans
INR bn
Coverage Universe
% of the system
Extrapolating based on share
Additional Capital Assumption*
Total Capital required
Announced in
Indradhunush
Balance requirement
Base case
852
71
1,207
250
1,457
500
957
Including 50% PCR req.
1,339
71
1,896
500
2,396
500
1,896
Source: MOSL, Company
Incremental CET1
requirement for the 9 PSBs
within our coverage
universe works out to
INR900b+
Coverage universe banks
account for ~53% market
share within the banking
system and ~70% of the
overall PSBs
Given that quite a few smaller-sized PSBs (outside our coverage universe) have
experienced sharper equity erosion and are in greater distress than their larger
cousins, their need for capital would be disproportionately higher than their market
share. We believe that the 9 PSBs within our coverage universe would account for
~60% of the incremental equity. Hence, the need for capital infusion by the
government is likely to be higher at about INR1.5t (translating to USD22b).
Exhibit 24: Assuming 50% PCR on total stressed loans, total capital requirement increases to USD35b
INR Bn
GNPA (INR Bn)
FY16
1,043
400
396
417
225
203
133
80
71
2,967
FY18 (A)
915
368
358
361
253
240
131
82
83
2,790
OSRL
350
135
120
60
65
40
32
25
45
Other stress loans
5:25
17
72
20
26
33
116
12
15
15
SDR
36
7
2
4
19
8
9
4
15
SR
56
7
5
28
10
5
8
13
5
Total Stress loans
Total (B) Gross (A+B) Provision {C} PCR (%)
459
1,374
446
32.4
221
590
86
14.6
147
504
237
47.0
118
479
236
49.4
127
380
108
28.4
170
409
127
31.0
61
192
57
29.8
57
139
46
33.3
80
163
66
40.5
1,439
4,229
1,409
33.3
Prov. req for Shortfall post
50% PCR (D) tax (D-C)*70%
687
295
252
239
190
205
96
69
81
2,114
169
146
11
2
58
54
27
16
11
494
SBIN
PNB
BOB
BOI
CBK
UNBK
OBC
INBK
ANDB
Total
Source: MOSL, Company
Note: We have assumed 50% of existing OSRL (considering 25% relapse every year in
next two years) and entire existing SDR (standard loans but not restructured) as
stress loans for calculation of 50% PCR.
22 February 2016
14

Exhibit 25: BOB, SBIN and INBK are likely to have least amount of BV dilution on adjusted basis
M.Cap (INR Bn) Capital reqd (INR Bn) % Equity Dilution (Pre)
25%
Current higher Base case Adjusted Base case Adjusted
241
410
1,197
1,496
16
27
122
268
151
188
65
142
48
59
268
335
14
18
184
186
68
84
218
220
99
156
89
111
89
140
71
125
82
102
69
122
56
83
26
32
176
261
0
9
39
48
0
19
32
43
27
34
95
127
1,945
2,431
852
1,339
FY18 BV (INR)
Old Base case
268
257
235
180
190
185
330
177
625
433
354
270
483
243
311
311
216
138
Adjusted
251
153
184
176
386
241
211
277
126
% BV dilution
Base case Adjusted
4
6
23
35
3
4
46
47
31
38
24
32
50
56
0
11
36
41
Source: MOSL, Company
INR Bn
SBIN
PNB
BOB
BOI
CBK
UNBK
OBC
INBK
ANDB
Total
CMP
154
77
116
85
173
119
85
80
45
Running through the sensitivity for the capital required over FY16-18
As outlined in exhibit 26, our exercise assumes CET1 of 9% by FY18 as against the
regulatory minimum of 8% (CET1 + CCB from exhibit 19). The capital gap is most
sensitive to two key variables – CET1 and the risk-weighted asset (RWA) CAGR. We
present a sensitivity analysis of the required equity infusion around these variables.
Exhibit 26: Assuming 8% RWA growth and 9% CET1 ratio, USD12b equity infusion would be
required
CET 1 ratio
assumed at 9%
SBIN #
PNB
BOB
BOI
CBK
UNBK
OBC
INBK
ANDB
Total
8
180
211
11
142
113
93
62
0
27
838
10
256
230
26
156
127
103
69
0
32
999
RWA Growth YoY (%)
12
332
249
42
171
141
114
76
4
37
1,167
14
410
268
59
186
156
125
83
9
43
1,339
16
489
288
75
201
171
136
91
15
48
1,515
# Not: In case of SBIN, we assume 9.5% CET1 ratio (%)
Source: MOSL, Company
Although the minimum CET1 requirement (on an assumption of CET1 at 9% and 8%
CAGR in risk-weighted assets) in this sensitivity exercise works out to INR838b, it is
important to highlight that this quantum would barely cover the regulatory
minimum and does not offer a growth capital buffer. In such a scenario, the entire
incremental equity infusion is likely to go towards building loss-absorbing capacity
on the back book for PSBs with negative consequences for aggregate credit growth,
and hence, their inability to support GDP growth.
Assuming that the government is likely to take a progressive view on PSBs and their
role in supporting broader economic growth, we believe that a growth capital buffer
of 100bp+ is reasonable. Given the humongous cost that this places on the
exchequer, we believe that the government could also take the opportunity to push
22 February 2016
15

through larger reforms around the PSU bank holding company structure and
possible consolidation of some of the weakest PSBs.
Limited access to capital instruments beyond equity
Though there are multiple instruments that qualify for additional Tier-1 (AT1) status,
most PSBs have limited experience with such instruments. An indicative list of
issuances by the relatively larger PSBs suggests that while the larger PSBs have been
proactive in testing the AT1 market with a combined issuance of INR90b so far, the
requirement during FY17 will be over INR200b. Further, some banks have raised AT1
capital above RoE as well, making it an extremely expensive source of capital.
Exhibit 27: Additional Tier-1 (AT1) issuances by large PSBs
AT1 issuances by PSBs
BOI
IDBI
BOB
CBK
PNB
Issue date
8-Aug-14
17-Oct-14
9-Jan-15
4-Feb-15
13-Feb-15
Issue size (INR b)
25
25
10
15
15
Rate (%)
11.00
10.75
9.48
9.55
9.15
Spread over G-sec (bps)
217
218
148
163
172
Note: Above data is as of Mar-15 and hence, we have used it just as a directional indicator.
Source: SEBI, Rating agencies, Companies, MOSL
On the other hand, our workings suggest that mid-sized PSBs would also need to
raise AT1 to the tune of INR200b over the next couple of years, despite budgeting
for a relatively sluggish 12% RWA CAGR over FY15-18. Most of these mid-sized PSBs
have weak capitalization, low internal accruals and low valuations, which is
hampering their capital market support and resulting in a vicious cycle.
Exhibit 28: Additional Tier-1 (AT1) issuances by mid-sized PSBs
AT1 issuances by PSBs
ANDB
BOMH
VJYBK
IOB
CORP
OBC
DBNK
VJYBK
Issue date
26-Dec-14
12-Jan-15
2-Feb-15
4-Feb-15
9-Feb-15
10-Feb-15
18-Mar-15
27-Mar-15
Issue size (INR b)
5
10
1
5
5
5
4
4
Rate (%)
9.55
9.48
9.54
10.00
9.51
9.48
10.20
10.40
Spread over G-sec (bps)
141
152
174
213
160
130
226
247
Note: Above data is as of Mar-15 and hence, we have used it just as a directional indicator.
Source: SEBI, Rating agencies, Companies, MOSL
Given the combination of a weak outlook for internal accruals for mid-sized PSBs,
the need for fresh capital infusion assumes even greater significance. In this context,
the inability of such mid-sized PSBs to access capital markets, especially at such
depressed valuations, implies that all of their Tier-1 capital requirements will need
to be fulfilled by the government in the form of CET1.
22 February 2016
16

Top picks – SBIN, BOB and INBK
Healthy capitalization, lower NSL and focus on PPoP remain key drivers
Strong capital position with 9%+ CET1 ratio, relatively lower NSL ratio (~8%) and focus
on core PPoP growth (16-22% CAGR for FY16-18E) keeps us positive on SBIN, BOB and
INBK in the PSU banking space.
Focus on conserving capital with moderate risk weighted asset growth has been
positive for UNBK. However, higher share of 5:25 loans and relatively lower
capitalization (CET1 at ~8%) remains a risk.
While headline valuations remain attractive in case of BOI, CBK, OBC and PNB,
relatively high NSL ratio, weak capitalization and elevated credit costs is likely to keep
earnings/return ratios for longer. Hence, we remain Neutral on these names.
Exhibit 29: Net stressed loans (%) remain relatively low for SBIN, BOB and INBK
NNPA
15.0
1.8
6.5
6.5
PNB
4.3
2.9
4.2
UNBK
0.8
4.0
5.3
OBC
1.0
3.8
4.4
CBK
0.7
2.9
5.9
BOI
1.1
3.5
3.3
INBK
0.4
2.7
4.8
BOB
1.2
3.1
3.5
SBIN
11.8
10.6
OSRL
9.6
5:25
9.5
SDR
Total
8.1
8.0
8.0
Source: MOSL, Company
Exhibit 30: Robust capital position with limited dilution (%)
CET1 ratio (%)
11.1
9.4
9.0
8.5
8.2
Exhibit 31: Healthy core operating performance (CAGR, %)
Core PPoP CAGR (FY16-18E)
22.3
21.7
16.3
16.0
15.6
15.5
15.4
12.1
4.4
8.0
7.9
7.0
Source: MOSL, Company
Source: MOSL, Company
22 February 2016
17

Key takeaways from RBI’s presentation and Governor’s comments on AQR
Speech by RBI Governor on 11-Feb-2016
1) Over time, a number of large projects in the economy have run into difficulty.
Reasons include poor project evaluation, extensive project delays, poor
monitoring and cost overruns, and the effects of global overcapacity on prices
and imports.
2) There are two polar approaches to loan stress a) to apply band aids to keep the
loan current, and hope that time and growth will set the project back on track b)
to do deep surgery by putting the stressed project back on track after taking
some write downs. To do deep surgery such as restructuring or writing down
loans, the bank has to classify the asset as a Non Performing Asset (NPA).
3) One can postpone the day of reckoning with regulatory forbearance. But unless
conditions in the industry improve suddenly and dramatically, the bank balance
sheets present a distorted picture of health, and the eventual hole becomes
bigger.
4) Under RBI AQR for the loans that are of concern, the banks are attempting to
regularize the loans that can be put back on track, and are classifying those that
cannot for deeper surgery – and taking provisions in accordance with the degree
of extant stress in the loan. Banks will also make provisions for loans that have
weaknesses.
Our intent is to have clean and fully provisioned bank balance
sheets by March 2017.
5) Why not do everything in one go rather than over a period of six quarters?
Precisely because a number of these loans can be regularized, or stabilized
when weak but regular, through the right collective actions.
6) Sometimes, an NPA classification, even while permitting deeper surgery,
prompts risk aversion on the part of bank boards and they stop lending even
when the project is viable. We need to overcome this view.
7) The end game is clear to everyone and bounded. We do not envisage a
sequence of AQRs.
8) Our teams are working with the banks to ensure that they are all broadly on the
same page in terms of recognition and provisioning, even though each one has
flexibility on individual cases. This means that December 2015 quarter results
can be compared across banks to get a rough sense of the task each bank has to
accomplish. Some banks have expressed an intent to moves faster, so as to put
the problem behind them, and we have not held them back.
9) We have not put out any of our final estimates because we believe it is a moving
target, with more bank action, promoter response, and growth diminishing the
eventual cost. It is important to recall that underlying many of these stressed
loans is an economically viable productive asset, not ghost townships.
10) The Government has been fully involved and supportive. We have mapped out a
variety of scenarios on possible outcomes. The Finance Minister has indicated
he will support the public sector banks with capital infusions as needed. Our
estimate is that the Government support that has been indicated will suffice.
11) Our various scenarios also show private sector banks will not want for
regulatory capital as a result of this exercise.
22 February 2016
18

12) Finally, the RBI is also working on identifying currently non-recognizable capital
that is already on bank balance sheets, such as undervalued assets. The RBI
could allow some of these to count as capital as per Basel norms, provided a
bank meets minimum common equity standards.
13) Our projections are that any breach of minimum core capital requirements by a
small minority of public sector banks, in the absence of any recapitalization, will
be small. A few others will need a top up of their capital to ensure they have a
reasonable buffer over and above minimum capital.
14) What the Government has already explicitly committed is, in our view, enough
to take care of all reasonable scenarios, and the Government has committed to
stand behind its banks to whatever extent needed.
15) While the profitability of some banks may be impaired in the short run, the
system, once cleaned, will be able to support economic growth in a sustainable
and profitable way. The economic assets of our public sector banks, such as the
trust they are held in by the population, their knowledgeable employees, their
location and reach, and the low-cost funding they have access to, can then be
fully realized.
16) The stressed balance sheet of public sector banks is occupying management
attention and holding them back, and the only way for them to supply the
economy’s need for credit, which is essential for higher economic growth, is to
clean up.
17) The silver lining message in the slower credit growth is that banks have not been
lending indiscriminately in an attempt to reduce the size of stressed assets in an
expanded overall balance sheet, and this bodes well for future slippages.
18) The question of what comes first, clean up or growth, I think the answer is
unambiguously “Clean up!” Indeed, this is the lesson from every other country
that has faced financial stress.
19) Where there is evidence of malfeasance by the promoter, it is extremely
important that the full force of the law is brought against him, even while banks
make every effort to put the project, and the workers who depend on it, back on
track.
20) The Government is taking direct action to clear bottlenecks and revive stalled
stressed projects, and intends to support them with equity infusion through the
National Investment and Infrastructure Fund. Private well-funded players are
looking to buy assets, and in recent weeks we have seen some promoters sell
assets to raise money to pay banks or infuse in projects. All this activity bodes
well for the success of the cleanup.
22 February 2016
19

Key takeaways from RBI’s presentation and Governor’s comments on AQR
Presentation by RBI Dy. Governor on asset quality and insights on AQR
1) Outstanding stress loans in the system at 11.3% however, magnitude of the
problem higher at state owned banks (14% stress loans) v/s private banks (4.6%)
and foreign banks (3.4%). Higher stress loans leading to higher risk aversion on
PSBs side
2) Apart from external factors beyond banks control some of the reasons at bank
end a) Governance deficit, Poor credit appraisal, weak risk management, All
debt-no equity b) Infra financing particularly highways- ‘gold plated’ contracts,
Power – Faulty FSAs, Pass through arrangement, termination payments c)
Chasing quick growth d) Pretend and extend are some of the reasons leading to
higher stress loans at PSBs end
3) Other factors leading to higher stress loans in the system are a) Complex web-
hold co, step down entities b) High leverage c) Overseas acquisitions d) Un-
hedged exposures e) siphoning, diversion and so on
4) Insights from RBI AQR: a) DP manipulations, EPBG abuse, funding satellite
entities, devolved L/Cs late adjustments, b) Round tripping- last week to first
week – INR0.5b to INR5b c) Short term O/D to repay then O/D paid by fresh
sanctions, d) Sale of assets within groups inflated and same lenders financing
the new borrowers, e) CDR ..equity upfront/security creation/personal
guarantees missing f) Interchanges between NFB to FB, g) DCCO – not
achieved/cosmetic/very small capacity h) Restructuring- incomplete TEV study
5) RBI’s suggestions: a) Improve credit origination / administration standards - Not
ownership but governance issue b) (Re) Defining risk appetite at banks c) Early
cleansing better- IFRS beckons d) Bankruptcy framework - SDR subsumed e)
Strengthening ARCs (capital an issue) f) Handholding support to SMEs – make
TReDS compulsory for PSUs/Large corporates/ Govt. Depts g) Capital planning
(exercising all possibilities) h) Borrowers should ‘cooperate’ in their own long
term interest i) Retail Loan - guard against adverse selection
RBI spells out details on the potential stress loan – Monetary policy on February 2,
2016
RBI post monetary policy conference call and media interaction spelled out some
details about the Asset Quality Review (AQR) actions undertaken. The central bank
refrained from quantifying the stress loans / provisioning impact, however,
mentioned that quarterly results that are being reported/to be reported by banks
are post consultations with RBI and gives the true picture on extent of stress. As per
RBI, GOI would provide capital to PSU banks (if required) and whereas, private banks
are adequately capitalized even in the stressed scenario. Asset classification still
remains on the rule based accounting (uniform classification of account may not be
the case across system due to account behavior/security/ring fencing of the
exposure etc.). In our view, exercise can potentially lead to 2-3% of the additional
stress loans (our inference from call as well based on our working) at the system
however, credit cost will remain high for next 6-8 quarters due to additional
provisions for SDR, 5:25, higher relapse from RL (some may move to D1 category)
and un recognized stress from AQR.
22 February 2016
20

Sector Update| Financials
Exhibit 32: Financials: Valuation metrics
66
ICICIBC*
HDFCB
AXSB
KMB*
YES
IIB
DCBB
FB
JKBK
SIB
Private Aggregate
SBIN (cons)*
PNB
BOI
BOB
CBK
UNBK
OBC
INBK
CRPBK
ANDB
IDBI
DBNK
Public Aggregate
HDFC*
LICHF
DEWH
IHFL
GRHF
REPCO
RECL
POWF
SHTF
MMFS
BAF
MUTH
SKSM
NBFC Aggregate
Rating
Buy
Buy
Buy
Neutral
Buy
Buy
Under Review
Neutral
Neutral
Buy
Buy
Neutral
Neutral
Buy
Neutral
Buy
Neutral
Buy
Neutral
Buy
Neutral
Neutral
Buy
Buy
Buy
Buy
Buy
Buy
Neutral
Neutral
Buy
Buy
Buy
Buy
Buy
CMP
Mcap
EPS (INR)
FY16
22.2
58.9
40.0
24.7
75.9
49.8
6.9
4.7
18.0
3.1
23.8
15.3
9.3
17.0
44.7
28.2
25.0
21.1
18.7
22.8
5.6
10.0
39
42
32
68
8
33
57
42
73
13
303
24
34
P/E (x)
BV (INR)
P/BV (x)
FY17
0.71
2.58
1.37
2.70
1.54
2.17
0.98
0.88
0.40
0.50
1.80
0.57
0.32
0.24
0.73
0.27
0.33
0.17
0.27
0.19
0.22
0.40
0.20
0.48
2.50
1.67
0.64
1.73
6.93
2.74
0.41
0.44
1.42
1.68
3.11
1.05
2.82
1.69
RoA (%)
FY16
1.39
1.88
1.68
1.38
1.82
1.98
0.93
0.83
1.02
0.58
0.60
0.43
0.10
0.49
0.38
0.45
0.29
0.45
0.57
0.62
0.28
0.38
2.41
1.54
1.25
3.85
1.98
2.16
2.45
2.07
2.21
1.94
3.02
2.92
5.25
FY17
1.44
1.86
1.68
1.54
1.84
2.01
0.85
0.87
1.07
0.61
0.63
0.51
0.19
0.52
0.41
0.54
0.33
0.51
0.59
0.65
0.31
0.53
2.40
1.45
1.30
3.69
2.26
2.10
2.17
1.85
2.40
2.24
2.84
3.18
5.46
RoE (%)
FY16
13.4
19.2
17.0
13.9
21.2
15.8
10.8
9.5
12.4
10.3
10.0
7.3
2.7
10.1
7.9
9.1
5.6
7.5
12.9
12.2
4.2
8.0
21.9
21.2
16.9
23.6
27.8
19.7
17.6
14.1
15.1
11.8
20.3
16.5
27.5
FY17
14.4
19.8
17.6
14.8
22.1
17.3
10.8
10.7
13.5
11.4
11.1
8.9
5.4
11.3
8.9
11.3
6.8
9.1
13.4
13.6
4.9
11.6
22.0
20.2
18.6
25.7
33.2
21.0
16.0
13.2
16.5
13.5
21.0
18.9
28.8
(INR) (USD b)
198
17.4
991
37.6
397
14.3
640
17.7
713
4.5
846
7.6
74
0.3
49
1.3
67
0.5
17
0.3
101.5
165
19.4
76
2.3
87
1.0
139
4.9
168
1.4
116
1.2
82
0.4
85
0.6
33
0.1
47
0.4
57
1.6
28
0.2
33.5
1,058
25.3
424
3.2
151
0.7
582
3.8
243
1.3
597
0.6
159
2.4
151
3.0
838
2.9
218
1.9
6,008
4.8
186
1.1
498
1.0
52.9
FY17 FY16
26.7 5.8
70.9 16.8
47.7 9.9
31.3 25.9
94.0 9.4
62.8 17.0
7.7 10.7
5.7 10.4
21.6 3.7
3.7
5.5
13.8
28.4 6.5
20.1 4.9
19.5 9.4
20.7 8.2
53.6 3.8
38.4 4.1
32.2 3.3
27.4 4.0
21.6 1.8
27.9 2.1
6.9 10.2
15.6 2.8
6.7
44
15.9
47
10.1
40
4.7
82
8.6
11
29.3
42
18.2
59
2.8
43
3.6
92
11.4
17
16.4
372 19.9
31
7.6
46
14.5
12.0
FY17 FY16 FY17 FY16
4.4 147 166 0.88
14.0 330 385 3.00
8.3 250 290 1.59
20.5 206 237 3.10
7.6 388 463 1.84
13.5 336 390 2.52
9.6
68
75
1.09
8.6
52
56
0.96
3.1 152 168 0.44
4.6
31
34
0.55
11.4
2.06
5.4 244 268 0.63
3.8 217 235 0.35
4.5 350 366 0.25
6.8 175 190 0.80
3.1 584 625 0.29
3.0 323 354 0.36
2.6 458 483 0.18
3.1 290 311 0.29
1.5 152 169 0.22
1.7 196 216 0.24
8.3 137 142 0.42
1.8 128 141 0.22
5.4
0.52
12.2 186 212 3.28
8.9 216 254 1.97
3.8 203 234 0.74
7.1 302 336 1.93
23.1 28
35
8.60
14.2 181 218 3.30
2.7 345 391 0.46
3.5 310 341 0.49
9.1 516 588 1.63
12.9 118 130 1.85
16.1 1,620 1,932 3.71
5.9 156 176 1.19
10.9 142 177 3.51
10.7
1.89
*Multiples adj. for value of key ventures/Investments; For ICICI Bank and HDFC Ltd BV is adjusted for investments in subsidiaries
Source: Company, MOSL
22 February 2016
21

This document has been prepared by Motilal Oswal Securities Limited (hereinafter referred to as Most) to provide information about the company(ies) and/sector(s), if any, covered in the report and may be distributed by it and/or its
affiliated company(ies). This report is for personal information of the selected recipient/s and does not construe to be any investment, legal or taxation advice to you. This research report does not constitute an offer, invitation or
inducement to invest in securities or other investments and Motilal Oswal Securities Limited (hereinafter referred as MOSt) is not soliciting any action based upon it. This report is not for public distribution and has been furnished to
you solely for your general information and should not be reproduced or redistributed to any other person in any form. This report does not constitute a personal recommendation or take into account the particular investment
objectives, financial situations, or needs of individual clients. Before acting on any advice or recommendation in this material, investors should consider whether it is suitable for their particular circumstances and, if necessary, seek
professional advice. The price and value of the investments referred to in this material and the income from them may go down as well as up, and investors may realize losses on any investments. Past performance is not a guide for
future performance, future returns are not guaranteed and a loss of original capital may occur.
MOSt and its affiliates are a full-service, integrated investment banking, investment management, brokerage and financing group. We and our affiliates have investment banking and other business relationships with a some
companies covered by our Research Department. Our research professionals may provide input into our investment banking and other business selection processes. Investors should assume that MOSt and/or its affiliates are
seeking or will seek investment banking or other business from the company or companies that are the subject of this material and that the research professionals who were involved in preparing this material may educate investors
on investments in such business. The research professionals responsible for the preparation of this document may interact with trading desk personnel, sales personnel and other parties for the purpose of gathering, applying and
interpreting information. Our research professionals are paid on the profitability of MOSt which may include earnings from investment banking and other business.
MOSt generally prohibits its analysts, persons reporting to analysts, and members of their households from maintaining a financial interest in the securities or derivatives of any companies that the analysts cover. Additionally, MOSt
generally prohibits its analysts and persons reporting to analysts from serving as an officer, director, or advisory board member of any companies that the analysts cover. Our salespeople, traders, and other professionals or affiliates
may provide oral or written market commentary or trading strategies to our clients that reflect opinions that are contrary to the opinions expressed herein, and our proprietary trading and investing businesses may make investment
decisions that are inconsistent with the recommendations expressed herein. In reviewing these materials, you should be aware that any or all of the foregoing among other things, may give rise to real or potential conflicts of interest.
MOSt and its affiliated company(ies), their directors and employees and their relatives may; (a) from time to time, have a long or short position in, act as principal in, and buy or sell the securities or derivatives thereof of companies
mentioned herein. (b) be engaged in any other transaction involving such securities and earn brokerage or other compensation or act as a market maker in the financial instruments of the company(ies) discussed herein or act as an
advisor or lender/borrower to such company(ies) or may have any other potential conflict of interests with respect to any recommendation and other related information and opinions.; however the same shall have no bearing
whatsoever on the specific recommendations made by the analyst(s), as the recommendations made by the analyst(s) are completely independent of the views of the affiliates of MOSt even though there might exist an inherent
conflict of interest in some of the stocks mentioned in the research report
Reports based on technical and derivative analysis center on studying charts company's price movement, outstanding positions and trading volume, as opposed to focusing on a company's fundamentals and, as such, may not match
with a report on a company's fundamental analysis. In addition MOST has different business segments / Divisions with independent research separated by Chinese walls catering to different set of customers having various
objectives, risk profiles, investment horizon, etc, and therefore may at times have different contrary views on stocks sectors and markets.
Unauthorized disclosure, use, dissemination or copying (either whole or partial) of this information, is prohibited. The person accessing this information specifically agrees to exempt MOSt or any of its affiliates or employees from, any
and all responsibility/liability arising from such misuse and agrees not to hold MOSt or any of its affiliates or employees responsible for any such misuse and further agrees to hold MOSt or any of its affiliates or employees free and
harmless from all losses, costs, damages, expenses that may be suffered by the person accessing this information due to any errors and delays. The information contained herein is based on publicly available data or other sources
believed to be reliable. Any statements contained in this report attributed to a third party represent MOSt’s interpretation of the data, information and/or opinions provided by that third party either publicly or through a subscription
service, and such use and interpretation have not been reviewed by the third party. This Report is not intended to be a complete statement or summary of the securities, markets or developments referred to in the document. While we
would endeavor to update the information herein on reasonable basis, MOSt and/or its affiliates are under no obligation to update the information. Also there may be regulatory, compliance, or other reasons that may prevent MOSt
and/or its affiliates from doing so. MOSt or any of its affiliates or employees shall not be in any way responsible and liable for any loss or damage that may arise to any person from any inadvertent error in the information contained in
this report. MOSt or any of its affiliates or employees do not provide, at any time, any express or implied warranty of any kind, regarding any matter pertaining to this report, including without limitation the implied warranties of
merchantability, fitness for a particular purpose, and non-infringement. The recipients of this report should rely on their own investigations.
This report is intended for distribution to institutional investors. Recipients who are not institutional investors should seek advice of their independent financial advisor prior to taking any investment decision based on this report or for
any necessary explanation of its contents.
Most and it’s associates may have managed or co-managed public offering of securities, may have received compensation for investment banking or merchant banking or brokerage services, may have received any compensation for
products or services other than investment banking or merchant banking or brokerage services from the subject company in the past 12 months.
Most and it’s associates have not received any compensation or other benefits from the subject company or third party in connection with the research report.
Subject Company may have been a client of Most or its associates during twelve months preceding the date of distribution of the research report
MOSt and/or its affiliates and/or employees may have interests/positions, financial or otherwise of over 1 % at the end of the month immediately preceding the date of publication of the research in the securities mentioned in this
report. To enhance transparency, MOSt has incorporated a Disclosure of Interest Statement in this document. This should, however, not be treated as endorsement of the views expressed in the report.
Motilal Oswal Securities Limited is registered as a Research Analyst under SEBI (Research Analyst) Regulations, 2014. SEBI Reg. No. INH000000412
There are no material disciplinary action that been taken by any regulatory authority impacting equity research analysis activities
Disclosures
Analyst Certification
The views expressed in this research report accurately reflect the personal views of the analyst(s) about the subject securities or issues, and no part of the compensation of the research analyst(s) was, is, or will be directly or
indirectly related to the specific recommendations and views expressed by research analyst(s) in this report. The research analysts, strategists, or research associates principally responsible for preparation of MOSt research receive
compensation based upon various factors, including quality of research, investor client feedback, stock picking, competitive factors and firm revenues
Disclosure of Interest Statement
Analyst ownership of the stock
Served as an officer, director or employee
Companies where there is interest
No
No
A graph of daily closing prices of securities is available at www.nseindia.com and http://economictimes.indiatimes.com/markets/stocks/stock-quotes
Regional Disclosures (outside India)
For U.S.
This report is not directed or intended for distribution to or use by any person or entity resident in a state, country or any jurisdiction, where such distribution, publication, availability or use would be contrary to law, regulation or which
would subject MOSt & its group companies to registration or licensing requirements within such jurisdictions.
Motilal Oswal Securities Limited (MOSL) is not a registered broker - dealer under the U.S. Securities Exchange Act of 1934, as amended (the"1934 act") and under applicable state laws in the United States. In addition MOSL is not a
registered investment adviser under the U.S. Investment Advisers Act of 1940, as amended (the "Advisers Act" and together with the 1934 Act, the "Acts), and under applicable state laws in the United States. Accordingly, in the
absence of specific exemption under the Acts, any brokerage and investment services provided by MOSL, including the products and services described herein are not available to or intended for U.S. persons.
This report is intended for distribution only to "Major Institutional Investors" as defined by Rule 15a-6(b)(4) of the Exchange Act and interpretations thereof by SEC (henceforth referred to as "major institutional investors"). This
document must not be acted on or relied on by persons who are not major institutional investors. Any investment or investment activity to which this document relates is only available to major institutional investors and will be
engaged in only with major institutional investors. In reliance on the exemption from registration provided by Rule 15a-6 of the U.S. Securities Exchange Act of 1934, as amended (the "Exchange Act") and interpretations thereof by
the U.S. Securities and Exchange Commission ("SEC") in order to conduct business with Institutional Investors based in the U.S., MOSL has entered into a chaperoning agreement with a U.S. registered broker-dealer, Motilal Oswal
Securities International Private Limited. ("MOSIPL"). Any business interaction pursuant to this report will have to be executed within the provisions of this chaperoning agreement.
The Research Analysts contributing to the report may not be registered /qualified as research analyst with FINRA. Such research analyst may not be associated persons of the U.S. registered broker-dealer, MOSIPL, and therefore,
may not be subject to NASD rule 2711 and NYSE Rule 472 restrictions on communication with a subject company, public appearances and trading securities held by a research analyst account.
For Hong Kong:
This report is distributed in Hong Kong by Motilal Oswal capital Markets (Hong Kong) Private Limited, a licensed corporation (CE AYY-301) licensed and regulated by the Hong Kong Securities and Futures Commission (SFC)
pursuant to the Securities and Futures Ordinance (Chapter 571 of the Laws of Hong Kong) “SFO”. As per SEBI (Research Analyst Regulations) 2014 Motilal Oswal Securities (SEBI Reg No. INH000000412) has an agreement with
Motilal Oswal capital Markets (Hong Kong) Private Limited for distribution of research report in Kong Kong. This report is intended for distribution only to “Professional Investors” as defined in Part I of Schedule 1 to SFO. Any
investment or investment activity to which this document relates is only available to professional investor and will be engaged only with professional investors.”
Nothing here is an offer or solicitation of these securities, products and services in any jurisdiction where their offer or sale is not qualified or exempt from registration. The Indian Analyst(s) who compile this report is/are not located in
Hong Kong & are not conducting Research Analysis in Hong Kong.
Motilal Oswal Capital Markets Singapore Pte Limited is acting as an exempt financial advisor under section 23(1)(f) of the Financial Advisers Act(FAA) read with regulation 17(1)(d) of the Financial Advisors Regulations and is a
subsidiary of Motilal Oswal Securities Limited in India. This research is distributed in Singapore by Motilal Oswal Capital Markets Singapore Pte Limited and it is only directed in Singapore to accredited investors, as defined in the
Financial Advisers Regulations and the Securities and Futures Act (Chapter 289), as amended from time to time.
In respect of any matter arising from or in connection with the research you could contact the following representatives of Motilal Oswal Capital Markets Singapore Pte Limited:
Kadambari Balachandran
Email : kadambari.balachandran@motilaloswal.com
Contact : (+65) 68189233 / 65249115
Office Address : 21 (Suite 31),16 Collyer Quay,Singapore 04931
For Singapore
22 February 2016
Motilal Oswal Tower, Level 9, Sayani Road, Prabhadevi, Mumbai 400 025
Phone: +91 22 3982 5500 E-mail: reports@motilaloswal.com
Motilal Oswal Securities Ltd
22