SECTOR: FINANCIAL
City Union Bank
STOCK INFO.
BLOOMBERG
BSE Sensex : 23410
S&P CNX : 7110
CUBK:IN
REUTERS CODE
24 February 2016
Initiating Coverage
BUY
INR82
CTBK.NS
(INR CR)
Y/E MARCH
NII (INR Cr.)
PPP (INR Cr.)
NP (INR Cr.)
EPS (INR)
EPS Growth (%)
Adj BV/Share (INR)
P/E (x)
P/ABV (x)
RoE (%)
RoA (%)
Loan Book (INR Cr.)
NIM (%)
GNPA (%)
KEY FINANCIALS
FY16E
963
818
457
7.7
16
46
10.7
1.8
15.8
1.6
20,269
3.7
2.4
FY17E
1,114
941
525
8.8
15
53
9.3
1.6
16.0
1.6
23,471
3.8
2.4
FY18E
1,279
1,086
634
10.6
21
61
7.7
1.3
16.9
1.7
27,820
3.8
2.0
We recommend 'BUY' on City Union Bank for a target of INR
105 - valuing the company at P/B of 2.0x FY17E ABV.
INVESTMENT ARGUMENT:
Shares Outstanding (Cr)
Market Cap. (INR Cr)
Market Cap. (USD M)
3 yrs NII Growth to FY15 (%)
Past 3 yrs NP Growth (%)
Dividend Payout (%)
STOCK DATA
52-W High/Low Range (INR)
Major Shareholders (as of Dec'15)
Promoter
Non Promoter Corp Holding
Public & Others
Average Daily Turnover(6 months)
Volume
Value (INRcr)
1/6/12 Month Rel. Performance (%)
1/6/12 Month Abs. Performance (%)
59.7
4,892
741
17
12
17
Superior business model:
CUB stands out in comparison to other
small private banks owing to its higher and well-managed MSME
exposure of 55% (including traders) v/s 21% for small private banks.
Its strong regional presence (more than two-third branches in Tamil
Nadu) and existence for more than 110 years has helped it gain
immense knowledge and understanding on the way businesses are
run locally. Being witness to a number of business cycles during the
course of its existence has helped the bank manage asset quality risks
effectively while taking advantage of higher yields. CUB's low
exposure to corporates (6% of advances) is a huge relative positive in
the light of stress plaguing these segments where other private banks'
average exposure stands at 36%. Working capital loans having higher
yields constitute 65% of advances and 90% of the overall loan book is
on floating rate basis which reduces interest rate risk. Underpinned
by the above strengths and efficient cost management, CUB has been
able to maintain RoA at an impressive 1.5% even in the current
challenging environment.
Growth to recover as advances mix shifts in favor of fast growing
and underpenetrated MSME segment:
The advances growth has
declined from 27% CAGR over FY08-13 to 9% CAGR over FY13-
15 led by i) an overall slowdown in economic growth leading to a
conservative approach followed by the bank towards corporate loans,
ii) decline in gold prices led to CUB being vary of gold loans. Corporate
and gold loans declined by 47% and 27% respectively between FY13-
15. The share of corporate loan book has come down from 14% in
FY13 to 6% in 3QFY16 and that of gold loan book has come down
from 22% in FY13 to 10% in 3QFY16. Excluding these 2 sectors,
CUB's loan book has reported a healthy growth of 20% CAGR since
FY13. Growth is mainly being driven by MSME (55% mix), agri (5%
mix) and home loans (7% mix). We expect CUB's overall loan book /
profits to grow at a CAGR of 16%/17% respectively over FY15-18E.
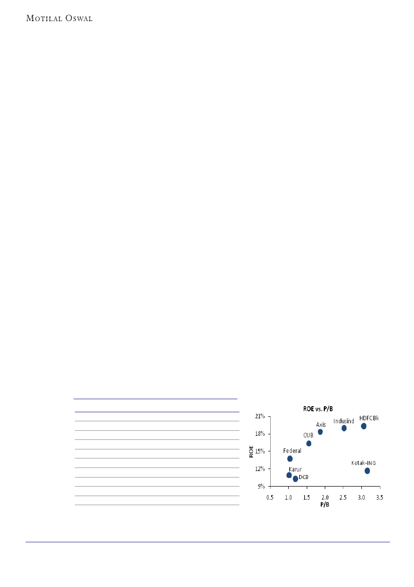
Valuations and View:
Strong track record of healthy advances
growth, stable margins, coupled with healthy asset quality over the
last many years makes CUB our preferred choice over many PSU &
old generation private banks. CAR of 15% would enable growth without
any dilution over the next three years. We recommend 'Buy' on the
stock with a price target of INR 105 based on 2.0x FY17E ABV
(20% discount to large private banks).
78/106
0.0
47.3
52.7
499303
4.41
9/1/5
6/-14/-14
Maximum Buy Price: INR88
Jehan Bhadha
(jehan.bhadha@motilaloswal.com); Tel:+912233124915

City Union Bank
Credit quality superior to most banks:
We draw comfort from the fact that 99% of total loans are
secured. Secured lending, lower exposure to stressed sectors and strong relationship with borrowers will
support the bank in improving its asset quality. Additionally, the bank strictly follows the basic lending
principles like lower ticket size (INR 1-5cr), higher exposure to working capital loans (65% of advances)
and higher collaterals (100-125% of outstanding advance). With gross and net NPAs at 2.4% and 1.5%
respectively they are much better than PSU banks and small private banks.
Possibility of acquisition:
Although the management has indicated no possibility of the bank being
acquired in the near future, we believe it still remains a prominent possibility considering bank's superior
geographic presence in southern India and specialized lending expertise. Although we are not building in
any such possibility in our estimates, we would remain positive on this aspect.
Superior profitability:
CUB has consistently generated RoAs of about 1.5%, which is much higher than
any other regional bank. The underpinning factors behind CUB's superior profitability have been a well-
managed substantial MSME exposure (key reason for higher portfolio yield and NIM) and better cost
efficiency. CUB also has a historical track-record of generating 20%+ RoE, which is a feat achieved only
by a few banks. Even after the capital raising in FY15, the bank has been operating at 15-16% RoE,
which is healthy considering that Tier-1 capital adequacy ratio has been maintained at a strong 15%.
CONCERNS
Higher regional concentration is a risk:
CUB like other regional banks has higher exposure towards
specific geography i.e. 'Tamil Nadu'. 73% of business is being generated out of the state of TN by the
bank. Any major change in the state policies or swing in regional growth environment can immediately
affect our earnings estimates for the bank. About 90% of its business comes from branches located in
South India.
BACKGROUND
Incorporated in 1904, City Union Bank (CUB) is among the smaller-sized banks in the private sector
focusing on the MSME space and operates a network of 491 branches. With about 2/3rds of its branches
located in Tamil Nadu the bank's business is largely skewed towards south India (90% of branches).
CUB has about 40% of its branches in urban areas and the balance 60% in semi-urban and rural areas.
Its decades of experience in a single geographical region has helped it gain immense knowledge and
understanding on the way local businesses are run. It has withstood a number of business cycles during
the course of its existence. This rich experience has empowered CUB to profitably grow in the MSME
segment.
Loan Book mix shifts in favor of MSME (Figs. in %)
FY13 FY14
MSME
Traders
Agri (ex-gold)
Home
Comm. Realty
Gold
Corporate
Others
Total
26
18
2
5
5
22
14
7
100
30
18
6
5
5
18
8
8
100
74
FY15 FY16E FY17E FY18E
34
18
5
6
5
14
6
11
100
80
37
18
5
7
5
10
6
12
100
85
41
17
5
9
4
7
5
12
100
88
43
16
5
10
3
5
5
13
100
90
Ex. Gold & Corp 64
* Actual MSME exposure stands at 55% including traders
24 February 2016
2

City Union Bank
IVRCL: Financials and Valuation
Financials and valuation
Income Statement
Y/E March
Interest Income
Interest Expenses
Net Interest Income
Change (%)
Non Interest Income
Net Income
Change (%)
Operating Expenses
Pre Provision Profits
Change (%)
Provisions (excl tax)
PBT
Tax
Tax Rate (%)
Profit After Tax
Change (%)
FY14
2,546
1,787
759
22%
280
1,039
16%
458
581
11%
167
414
67
16%
347
8%
FY15
2,699
1,891
807
6%
404
1,211
17%
519
693
19%
172
521
126
24%
395
14%
FY16E
2,941
1,977
963
19%
411
1,374
13%
556
818
18%
218
601
144
24%
457
16%
FY17E
3,246
2,132
1,114
16%
456
1,570
14%
629
941
15%
241
700
175
25%
525
15%
(INR Cr)
FY18E
3,688
2,409
1,279
15%
519
1,798
15%
713
1,086
15%
241
845
211
25%
634
21%
Balance Sheet
Y/E MARCH
Equity Share Capital
Reserves & Surplus
Net Worth
Borrowings
Other Liabilities
Deff Tax Liabilities
Total Liabilities
Cash & Bank balances
Investments
Loans
Net Fixed Assets
Deff Tax Asset
Total Assets
FY14
54
1,971
2,025
22,322
647
-
24,994
2,180
5,954
16,097
764
-
24,994
FY15
60
2,636
2,696
24,244
932
-
27,871
2,537
6,365
17,966
1,004
-
27,871
FY16E
60
3,007
3,066
26,794
1,165
-
31,025
2,837
6,815
20,269
1,104
-
31,025
FY17E
60
3,431
3,491
30,029
1,456
-
34,977
3,087
7,215
23,471
1,204
-
34,977
(INR Cr)
FY18E
60
3,943
4,003
34,152
1,820
-
39,975
3,287
7,565
27,820
1,304
-
39,975
Asset Quality
GNPA
NNPA
GNPA Ratio
NNPA Ratio
PCR
E: MOSL Estimates
293.1
197.3
1.8%
1.2%
62%
335.8
232.8
1.9%
1.3%
58%
485.8
307.8
2.4%
1.5%
61%
565.8
347.8
2.4%
1.5%
63%
(%)
565.8
347.8
2.0%
1.3%
65%
24 February 2016
3

City Union Bank
IVRCL: Financials and Valuation
Financials and valuation
Ratios
Y/E March
Spreads Analysis (%)
Avg. Yield on loans
Avg. Cost of Borrowings
Spread
Net Interest Margin
Profitability Ratios (%)
RoE
RoA
Cost to Income
CAR
Valuation
Adj. Book Value Per Share (Rs)
Change (%)
Price-BV (x)
EPS (INR)
Change (%)
Price-Earnings (x)
Dividend Per Share (Rs)
Dividend Yield (%)
E: MOSL Estimates
FY14
10.6%
7.4%
3.2%
3.5%
FY15
10.2%
7.1%
3.0%
3.4%
FY16E
10.0%
6.8%
3.2%
3.7%
FY17E
9.8%
6.6%
3.2%
3.8%
FY18E
9.8%
6.6%
3.2%
3.8%
18.9%
1.4%
44.1%
15.4%
16.4%
1.5%
42.8%
16.7%
15.8%
1.6%
40.5%
14.7%
16.0%
1.6%
40.1%
13.1%
16.9%
1.7%
39.6%
11.6%
33.7
3%
6.4
-6%
1.0
41.3
23%
6.6
4%
1.1
1.3%
46.2
12%
1.8
7.7
16%
10.7
1.2
1.5%
52.7
14%
1.6
8.8
15%
9.3
1.4
1.7%
61.3
16%
1.3
10.6
21%
7.7
1.7
2.1%
24 February 2016
4

City Union Bank
Disclaimer: This document has been prepared by Motilal Oswal Securities Limited (hereinafter referred to as Most) to provide information about the company(ies)
and/sector(s), if any, covered in the report and may be distributed by it and/or its affiliated company(ies). This report is for personal information of the selected
recipient/s and does not construe to be any investment, legal or taxation advice to you. This research report does not constitute an offer, invitation or inducement
to invest in securities or other investments and Motilal Oswal Securities Limited (hereinafter referred as MOSt) is not soliciting any action based upon it. This report
is not for public distribution and has been furnished to you solely for your general information and should not be reproduced or redistributed to any other person
in any form. This report does not constitute a personal recommendation or take into account the particular investment objectives, financial situations, or needs
of individual clients. Before acting on any advice or recommendation in this material, investors should consider whether it is suitable for their particular
circumstances and, if necessary, seek professional advice. The price and value of the investments referred to in this material and the income from them may go
down as well as up, and investors may realize losses on any investments. Past performance is not a guide for future performance, future returns are not
guaranteed and a loss of original capital may occur.
MOSt and its affiliates are a full-service, integrated investment banking, investment management, brokerage and financing group. We and our affiliates have
investment banking and other business relationships with a some companies covered by our Research Department. Our research professionals may provide input
into our investment banking and other business selection processes. Investors should assume that MOSt and/or its affiliates are seeking or will seek investment
banking or other business from the company or companies that are the subject of this material and that the research professionals who were involved in preparing
this material may educate investors on investments in such business . The research professionals responsible for the preparation of this document may interact
with trading desk personnel, sales personnel and other parties for the purpose of gathering, applying and interpreting information. Our research professionals
are paid on twin parameters of performance & profitability of MOSt
MOSt generally prohibits its analysts, persons reporting to analysts, and members of their households from maintaining a financial interest in the securities or
derivatives of any companies that the analysts cover. Additionally, MOSt generally prohibits its analysts and persons reporting to analysts from serving as an officer,
director, or advisory board member of any companies that the analysts cover. Our salespeople, traders, and other professionals or affiliates may provide oral or
written market commentary or trading strategies to our clients that reflect opinions that are contrary to the opinions expressed herein, and our proprietary trading
and investing businesses may make investment decisions that are inconsistent with the recommendations expressed herein. In reviewing these materials, you
should be aware that any or all of the foregoing among other things, may give rise to real or potential conflicts of interest. MOSt and its affiliated company(ies),
their directors and employees and their relatives may; (a) from time to time, have a long or short position in, act as principal in, and buy or sell the securities or
derivatives thereof of companies mentioned herein. (b) be engaged in any other transaction involving such securities and earn brokerage or other compensation
or act as a market maker in the financial instruments of the company(ies) discussed herein or act as an advisor or lender/borrower to such company(ies) or may
have any other potential conflict of interests with respect to any recommendation and other related information and opinions.; however the same shall have no
bearing whatsoever on the specific recommendations made by the analyst(s), as the recommendations made by the analyst(s) are completely independent of the
views of the affiliates of MOSt even though there might exist an inherent conflict of interest in some of the stocks mentioned in the research report
Reports based on technical and derivative analysis center on studying charts company's price movement, outstanding positions and trading volume, as opposed
to focusing on a company's fundamentals and, as such, may not match with a report on a company's fundamental analysis. In addition MOST has different
business segments / Divisions with independent research separated by Chinese walls catering to different set of customers having various objectives, risk profiles,
investment horizon, etc, and therefore may at times have different contrary views on stocks sectors and markets.
Unauthorized disclosure, use, dissemination or copying (either whole or partial) of this information, is prohibited. The person accessing this information
specifically agrees to exempt MOSt or any of its affiliates or employees from, any and all responsibility/liability arising from such misuse and agrees not to hold MOSt
or any of its affiliates or employees responsible for any such misuse and further agrees to hold MOSt or any of its affiliates or employees free and harmless from
all losses, costs, damages, expenses that may be suffered by the person accessing this information due to any errors and delays. The information contained herein
is based on publicly available data or other sources believed to be reliable. Any statements contained in this report attributed to a third party represent MOSt's
interpretation of the data, information and/or opinions provided by that third party either publicly or through a subscription service, and such use and
interpretation have not been reviewed by the third party. This Report is not intended to be a complete statement or summary of the securities, markets or
developments referred to in the document. While we would endeavor to update the information herein on reasonable basis, MOSt and/or its affiliates are under
no obligation to update the information. Also there may be regulatory, compliance, or other reasons that may prevent MOSt and/or its affiliates from doing so.
MOSt or any of its affiliates or employees shall not be in any way responsible and liable for any loss or damage that may arise to any person from any inadvertent
error in the information contained in this report. MOSt or any of its affiliates or employees do not provide, at any time, any express or implied warranty of any kind,
regarding any matter pertaining to this report, including without limitation the implied warranties of merchantability, fitness for a particular purpose, and non-
infringement. The recipients of this report should rely on their own investigations.
This report is intended for distribution to institutional investors. Recipients who are not institutional investors should seek advice of their independent financial
advisor prior to taking any investment decision based on this report or for any necessary explanation of its contents.
Most and it's associates may have managed or co-managed public offering of securities, may have received compensation for investment banking or merchant
banking or brokerage services, may have received any compensation for products or services other than investment banking or merchant banking or brokerage
services from the subject company in the past 12 months.
Most and it's associates have not received any compensation or other benefits from the subject company or third party in connection with the research report.
Subject Company may have been a client of Most or its associates during twelve months preceding the date of distribution of the research report
MOSt and/or its affiliates and/or employees may have interests/positions, financial or otherwise of over 1 % at the end of the month immediately preceding the
date of publication of the research in the securities mentioned in this report. To enhance transparency, MOSt has incorporated a Disclosure of Interest Statement
in this document. This should, however, not be treated as endorsement of the views expressed in the report.
Motilal Oswal Securities Limited is under the process of seeking registration under SEBI (Research Analyst) Regulations, 2014.
There are no material disciplinary action that been taken by any regulatory authority impacting equity research analysis activities
Motilal Oswal Securities Limited is registered as a Research Analyst under SEBI (Research Analyst) Regulations, 2014. SEBI Reg. No. INH000000412
A graph of daily closing g prices of securities is available at www.nseindia.com and http://economictimes.indiatimes.com/markets/stocks/stock-quotes.
Analyst Certification
The views expressed in this research report accurately reflect the personal views of the analyst(s) about the subject securities or issues, and no part of the
compensation of the research analyst(s) was, is, or will be directly or indirectly related to the specific recommendations and views expressed by research analyst(s)
in this report. The research analysts, strategists, or research associates principally responsible for preparation of MOSt research receive compensation based upon
various factors, including quality of research, investor client feedback, stock picking, competitive factors and firm revenues
Disclosure of Interest Statement
1.Analyst ownership of the stocks mentioned above
2.Served as an officer, director or employee
City Union Bank
No
No
Regional Disclosures (outside India)
This report is not directed or intended for distribution to or use by any person or entity resident in a state, country or any jurisdiction, where such
distribution, publication, availability or use would be contrary to law, regulation or which would subject MOSt & its group companies to registration or
licensing requirements within such jurisdictions.
Motilal Oswal Securities Ltd
Motilal Oswal Tower, Level 6, Sayani Road, Prabhadevi, Mumbai 400 025
Phone: (91-22) 30894200 Fax: (91-22) 22885038. E-mail: info@motilaloswal.com