21 March 2016
Initiating Coverage | Sector: Insurance
Max Financial Services
High quality franchise at attractive valuations
Dhaval Gada
(Dhaval.Gada@MotilalOswal.com) +91 22 3982 5505
Alpesh Mehta
(Alpesh.Mehta@MotilalOswal.com) +91 22 3982 5415 \
AS Venkata Krishnan
(A.Krishnan@motilaloswal.com)
Investors are advised to refer through important disclosures made at the last page of the Research Report.
Motilal Oswal research is available on www.motilaloswal.com/Institutional-Equities, Bloomberg, Thomson Reuters, Factset and S&P Capital.

Max Financial Services
Contents
Summary ............................................................................................................. 3
Long-term growth story of life insurance industry intact........................................ 6
Strong distribution partnerships ........................................................................... 9
Revival of growth at agency channel remains critical ........................................... 12
Persistency curves show consistent improvement ............................................... 15
Key takeaways from ground reality check ........................................................... 18
SWOT analysis .................................................................................................... 19
Margins and RoEV to remain in high teens .......................................................... 20
Excess capital to drive inorganic growth pursuits................................................. 21
Valuations and View........................................................................................... 22
Financial and Valuations – Max Life Insurance..................................................... 24
21 March 2016
2

Max Financial Services
BSE Sensex
25,285
S&P CNX
7,704
Max Sector: Insurance
Initiating Coverage | Financial Services
CMP: INR329
TP: INR400 (+21%)
Buy
High quality franchise at attractive valuations
Stock Info
Bloomberg
Equity Shares (m)
52-Week Range (INR)
1, 6, 12 Rel. Per (%)
M.Cap. (INR b)
M.Cap. (USD b)
Avg Val, INRm
Free float (%)
Regulatory uncertainty behind; Bancassurance partnerships remain key
MAXF IN
267.0
466/303
-11/-20/3
87.8
1.3
186
59.6
We initiate coverage on Max Financial Services (MAX), the holding company of
Max Life Insurance (68% stake), with a Buy rating and a target price of INR400
(P/EV of 2.4x FY18E).
Max Life is India’s fourth largest private life insurer and the largest private player
in participating (par) business, based on AUM.
We like Max Life for four key reasons: (1) strong distribution network, (2)
improving operational performance, thereby reducing cost overruns, (3) healthy
new business margins (NBM) and return on embedded value (RoEV), and (4)
significant excess capital.
Financial Snapshot (INR b)
Y/E MARCH
FY16E FY17E
APE
21.0 24.0
NBAP
3.5
3.9
Closing EV
56.2 60.3
Statutory PAT
5.1
5.7
APE gr. YoY (%)
6.9
14.0
NBAP margin (%) 16.8 16.4
Oper. RoEV (%)
16.2 16.2
EV per sh. (INR)
211
226
P/EV (x)
2.3
2.1
FY18E
27.4
4.6
64.7
6.3
14.5
16.9
16.7
243
2.0
Best bancassurance arrangement among non-bank/NBFC promoted
insurers
In an industry that has significant proportion of bank/NBFC-led insurers that
depend on their promoters for new business premiums (NBP), Max Life stands
out for its strong partnerships with Axis Bank, Yes Bank and Lakshmi Vilas Bank.
Two of these banks feature among India’s five largest private sector banks and
among the top-5 contributors of individual NBP via the bancassurance channel.
Together, they contribute 50%+ of Max Life’s individual NBP. While
concentration risk is high currently, it should decline due to (a) new open
architecture framework (applicable from April 2016), where several banks have
expressed their desire to have arrangements with multiple insurers, (b)
increased focus on the direct channel (now accounts for ~12% of NBP v/s 2% in
FY11), and (c) potential acquisition of a bank-led insurer.
Shareholding pattern (%)
As On
Dec-15 Sep-15 Dec-14
Promoter
40.4
40.4
40.5
DII
50.4
25.0
24.4
FII
0.0
25.7
25.0
Others
9.2
8.9
10.1
FII Includes depository receipts
Max Financial Services
High quality franchise at
attractive valuations
Persistency curves improving – a key driver of lower cost overruns
Cost overruns for Max Life now stand at sub-2% v/s ~15% in FY11. Two key
drivers for such massive reduction are (a) strong cost control, with absolute
operating expense run-rate between INR12b-14b in FY12-16E v/s INR16.5b in
FY11, and (b) consistent improvement in persistency curve (refer exhibit 34)
over the last five years. While we do not have segmental persistency, we believe
the improvement is largely driven by stability in the ‘par’ portfolio, reflected in
the steady conservation ratio for the ‘par’ book and improving trends in the
non-par portfolio (refer exhibit 35). We expect the current trends on persistency
and operating expense growth to sustain. Max Life should break even on cost in
FY19, leading to further improvement in margins and return ratios.
Dhaval.Gada@MotilalOswal.com
Please click here for Video Link
+91 22 3982 5505
21 March 2016
3

Max Financial Services
Stock Performance (1-year)
Healthy NBM and RoEV; large part of regulatory overhang behind
While overall new business margins (NBM) remain low in India, Max Life boasts of
relatively strong NBM. Its NBM post cost overrun is 17-18%, making it one of the
top-3 among insurers that report individual NBM. With regulatory changes in the
areas of product, distribution and cost behind, commissions and taxation remain the
only area of ambiguity; negative outcome from these areas look less likely at this
point based on interactions with the regulator and industry participants. We expect
16-17% operating RoEV for FY16-18, improving to ~18% by FY20. Improvement of
operating RoEV beyond 18% will largely be a function of sustainable high teens
annual premium equivalent (APE) growth or positive surprise on margins.
Valuation and view
We like Max Life for its management quality, higher proportion of long-term savings
business, healthy operational efficiency, strong bancassurance tie-ups, robust return
ratios, and excess capital position. The overhang of contract renewal with Axis Bank
is now behind and management’s focus on building granularity in its distribution
network is encouraging. We value Max Life on appraisal value methodology, leading
to an enterprise value of ~INR154b (P/EV of 2.4x FY18E and P/NBAP of ~39x FY18E).
Adjusting for MAX’s 68% stake in Max Life and adding the INR1.5b cash with MAX,
we arrive at our target price of INR400/share. The stock currently trades at P/EV of
2x FY18E, implying 21% upside. Initiate with a
Buy
rating.
Key risks to our estimate
De-growth at agency and prolonged moderation in bancassurance channel;
however, initial trends in APE growth for 4QFY16 suggest return to normalcy
Higher corporate tax rate or negative outcome from final guidelines on
commission expenses; based on our interactions with the regulator and industry
participants, this looks less likely
Partnership of large insurers with Axis Bank or Yes Bank under open
architecture; Max Life’s tie-up with other large banks could reduce the impact
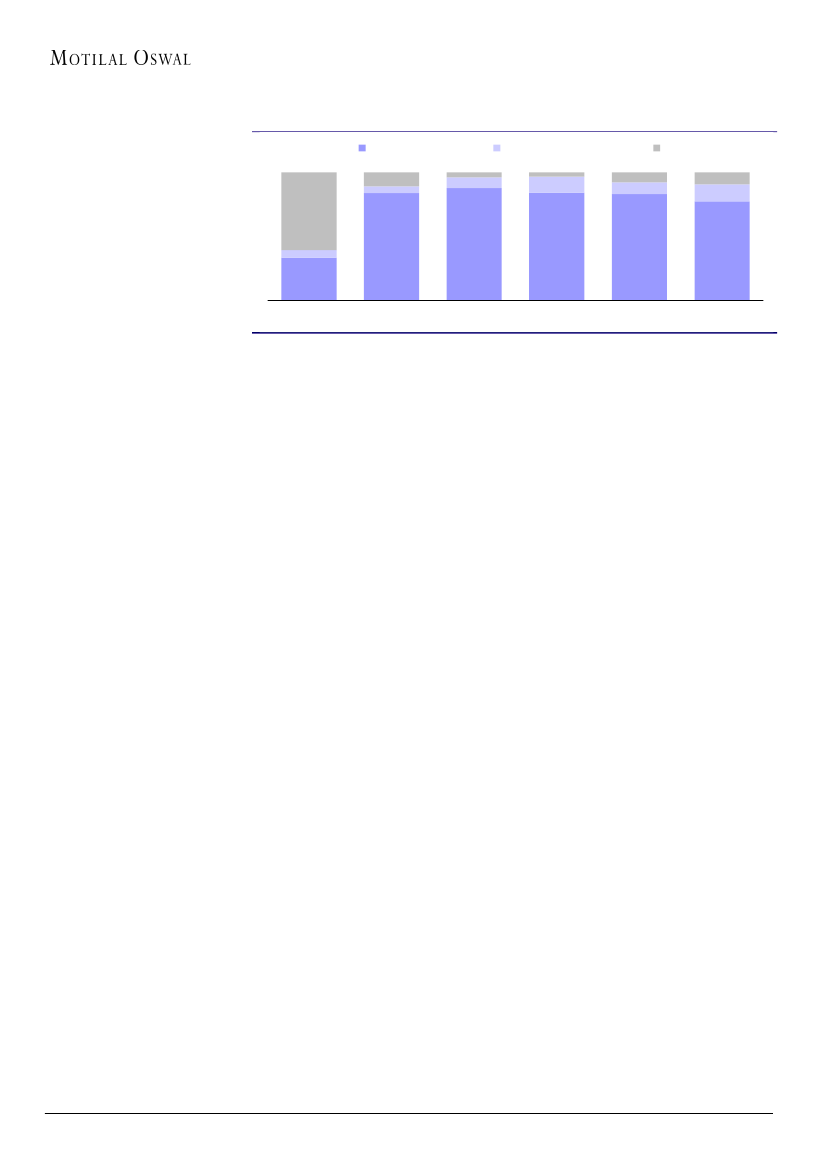
Exhibit 1: Our target price implies 2.4x FY18E P/EV; +21% upside from current levels
1.5
154.0
93.7
60.3
68% stake
104.7
106.2
INR 400 / share
implying 2.4x
FY18E P/EV
Note: We discount value of future new business by 13.4% cost of equity (Rf 7.6%, beta 1.05, market risk premium 5.5%). Our long term growth
assumption is 4.2%.
Source: MOSL, Company
21 March 2016
4

Max Financial Services
Max Life: Story in charts
Exhibit 2: Strong bancassurance partnerships – Axis Bank
and Yes Bank account for ~12% of private sector individual
‘banca’ premiums, up from 9% in FY13 (%)
Max Life
SBI Life
37
4
24
18
17
1
FY10
30
3
20
21
21
4
FY11
ICICI Pru
Kotak OM
36
4
17
22
13
8
FY12
29
4
14
26
17
9
FY13
HDFC Life
Others
24
4
18
20
22
13
FY14
19
4
18
21
26
12
FY15
0.2
FY10
2.8
2.5
1.0
0.6
0.5
FY11
Exhibit 3: Individual NBP via banks to SA ratio (%) for Max
Life is 35% below HDFC Life and 90% below ICICI PruLife – an
indicator of the significant opportunity in ‘banca’ channel
Max Life
ICICI Pru Life
3.4
3.2
2.5
1.5
1.3
0.3
FY12
2.6
1.8
1.2
0.2
FY13
1.8
1.2
0.3
FY14
2.4
1.8
1.3
0.3
FY15
HDFC Life
SBI Life
Note: We do not have 9MFY16 data. Source: Company Data, MOSL
Note: We have adjusted for Yes Bank savings deposits from FY13.
Source: Company Data, MOSL
Exhibit 4: Improving operational efficiency – consistent
improvement in Max Life’s persistency experience (%)
80.0
70.0
60.0
50.0
40.0
30.0
20.0
13th
25th
37th
49th
61st
Month Month Month Month Month
FY10
FY11
FY12
FY13
FY14
FY15
Exhibit 5: Incremental portfolio mix shifting away from ‘par’
(%)
Linked
1
19
3
16
4
21
4
52
79
81
80
74
44
12
9
77
69
Participating
8
14
10
Non-participating
14
59
15
58
17
56
27
18
54
28
21
27
27
Source: Company Data, MOSL
Source: Company Data, MOSL
Exhibit 6: We expect lower margins from ULIP business to
be offset by higher margins on non-par portfolio, leading to
largely stable margins beyond FY16 (%)
Pre-cost over-runs
19.6
23.4
16.9
13.6
11.2
14.1 13.6 21.5
13.1 13.2
-1.2
4.4
Post-cost over-runs
18.5 17.5 17.5 17.5 17.5
16.8 16.4 16.9 17.5 17.5
Exhibit 7: Overall operating RoEV is expected to remain
stable at 16-18% for the next few years
Operating RoEV (%)
-5.0 -6.9
Note: Data pre FY15 is based on TEV methodology and post FY15
based on MCEV methodology. Decline in FY16E margins is largely on
account of interest rate hedge brought against non-par portfolio.
Source: Company Data, MOSL
Note: Data pre FY15 is based on TEV methodology and post FY15
based on MCEV methodology.
Source: Company Data, MOSL
21 March 2016
5

Max Financial Services
Long-term growth story of life insurance industry intact
Linked business back in flavor – key growth driver for private insurers
India’s long-term life insurance growth story remains intact. Insurance density and
penetration remain very low. Also, on sum-assured-to-GDP, India (~60%) remains
significantly behind developed markets (270% for the US).
In the last six years, the Indian life insurance industry has seen a slew of regulatory
changes in the areas of mis-selling, products, distribution, commissions and expense of
management. In absolute terms, individual new business premiums remain 30% below
FY10/11 levels (flat YoY in FY16E).
However, in case of private insurers, post the revised linked business guideline
(reduction in yields) in 2013 and improved economic / investor sentiment, new
business growth has stabilized and remains healthy (+13% YoY). This is also reflected
in higher share of linked business (44% of new business as of 1HFY16 v/s 29% in FY14).
Overall, we expect the share of non-participating (especially term insurance) and
linked business to increase for private insurers.
Exhibit 9: Supporting this thesis is the expected expansion in
working age population in India (m)
Exhibit 8: Traditional measures of insurance sector
development highlight significant long-term opportunity
9.0
7.2
5.4
Thailand
3.6
Malaysia
Spain
India
Brazil
1.8
China
Mexico
Indonesia
Germany
U.S
Canada
Australia
Japan
Korea
Italy
France
UK
739
691
639
585
0.0
0
1000
2000
3000
4000
2015
2020
2025
2030
Source: UN, MOSL
Premiums Per-capita (USD)
Source: Swiss Re Sigma, MOSL
Exhibit 10: India’s sum assured / GDP (%) remains
significantly below developed and some emerging markets
270
260
Exhibit 11: Over the last few years, while India’s household
savings (as % of GDP) have been trending lower…
Physical Savings (% of GDP)
Financial Savings (% of GDP)
226
166
149
106
96
60
Note: The above data for India does not capture the impact of
Pradhan Mantri Jeevan Jyoti Bima Yojana (PMJJBY).
Source: ICICI Prudential Life presentation, MOSL
Source: CSO, CMIE, MOSL
21 March 2016
6

Max Financial Services
Exhibit 12: …the share of life insurance within financial savings has largely stabilized post
linked business guideline changes in 2010
Deposits
8
44
7
47
9
58
8
46
12
51
14
47
14
46
16
42
13
46
Others
15
46
14
40
Life insurance
15
28
22
27
21
19
26
32
42
19
29
20
23
16
27
18
25
49
46
33
46
37
39
39
42
41
39
46
57
51
60
51
57
56
57
Source: CSO, CMIE, MOSL
Exhibit 13: Overall APE growth (%) has recovered since 2014, partially driven by strong
equity market performance
Industry APE growth back
on track
86
Private
Industry
Impacted by guideline
change in ULIPs which
had 80%+ share in
private insurers NBP
2
-5
-9
-2
-20
-24
Product re-filiing and
dicontinuation of
guranteed NAV
products
16
-3
-3
-10
31
17
1
-10
7
13
4
Source: IRDA, Life Insurance Council, MOSL
Exhibit 14: Individual APE growth has been trending in line with equity market
performance
Trend between private
sector individual APE
growth and equity market
performance remains high
40
20
0
-20
Private APE Growth YoY (%)
RHS, Nifty Performance YoY (%)
50
25
0
-25
Note: The above data is on three month rolling basis.
Source: Bloomberg, IRDA, Life Insurance Council, MOSL
21 March 2016
7

Max Financial Services
Exhibit 15: Share of linked business for private insurers back to 40%+ of NBP (%)
Linked
14
17
31
59
86
83
65
71
62
56
Traditional
69
41
35
FY13
29
FY14
38
FY15
44
1HFY16
FY09
FY10
FY11
FY12
Note: This includes individual and group business.
Source: ICICI Prudential Life, IRDA, Life Insurance Council, MOSL
We expect the private sector to continue gaining market share v/s LIC (52:48 as of
9MFY16 v/s 49:51 in FY15). Given the overhang on participating (par) business, led
by expense of management guideline and evolving agency model, we expect
incremental growth to be driven by linked and non-par business.
Exhibit 16: We expect private sector individual NBP to post 14.5% CAGR over FY16-20E…
99.7
Private - Individual APE (INR b)
85.6
266
143
269
1.1
288
7.1
259
296
341
Growth YoY (%)
392
We expect 14-15%
individual APE growth for
private sector
230
175
178
1.9
172
-3.4
200
16.0
227
13.5
-20.0 -23.9
14.0
14.5
15.0
15.0
Source: IRDA, Life Insurance Council, MOSL
Exhibit 17: …and share of private insurers to sustain above 50% (individual APE basis, %)
Expect private insurers to
sustain 50%+ market share
on individual APE basis
Private
43
48
LIC
48
46
44
42
40
66
64
50
54
63
62
62
51
34
36
50
57
52
46
37
38
38
49
52
54
56
58
60
Source: IRDA, Life Insurance Council, MOSL
21 March 2016
8

Max Financial Services
Strong distribution partnerships
Best possible bancassurance tie-ups in place; however, at sizable cost
In line with other large private sector peers, Max Life relies significantly on the
bancassurance channel (50%+ of individual NBP). Its tie-ups with Axis Bank and Yes
Bank have been a key driver of individual premium growth (together, these two banks
account for ~12% of private sector individual NBP via banks).
Over the past few quarters, growth from the bancassurance channel has moderated
(1% YoY in 9MFY16 v/s 26% in FY15), led by slowdown at Axis Bank. However, a revival
is now well on track (20%+ APE growth in Jan/Feb-16), led by increased focus on
improving cross-sell ratios with the use of digitization and big data.
Moderate growth in agency channel remains a key area of concern (currently accounts
for 30%+ of individual NBP); absolute NBP from the agency channel has remained flat
for four years, largely in line with the growth in agent workforce.
While in the near term, healthy premium growth from bancassurance and direct
channel is likely to support overall performance, stability and granularity within the
portfolio remain key for sustainability of growth. In our view, subdued growth at the
agency channel has also been a key driver of muted growth in long-term savings
(participating) business. The ‘par’ business has been flat over the last three years and
the share of ‘par’ business has declined from 80% in FY12 to 59% in FY15.
We expect Max Life to broadly sustain its current market share within private insurers
(~8.9% in 9MFY16 v/s ~10% in FY15 on APE basis). For FY16, we expect 7% APE growth,
improving to ~13.5% in FY17 and to ~15% thereafter (FY18-20E).
Overall industry’s dependence on bancassurance remains significant
For LIC, 95%+ of individual new business growth comes from the agency channel.
But private insurers have significant dependence on bancassurance partners (47% of
NBP in FY15 v/s 25% in FY10). In FY15, bancassurance partners contributed 70% of
the growth in private insurers’ individual NBP. In our view, the top-5 banks (SBIN,
HDFCB, ICICIBC, AXSB and KMB) account for 80-85% of premiums.
Exhibit 18: Over the years, private insurers’ dependence on
bancassurance partners has been increasing (individual
premium break-up, %)
Agency
18
17
21
19
24
21
24
25
Bancassurance
20
33
17
39
Others
17
43
16
44
17
47
40%
66
60
55
51
47
44
40
40
36
0%
-40%
FY08
Source: IRDA, MOSL
FY09
FY10
FY11
FY12
FY13
FY14
FY15
Source: IRDA, MOSL
120%
80%
Exhibit 19: More importantly, banks have been the key
driver of individual NBP for private insurers, contributing
~70% of incremental growth in FY15 (%)
Individual Agents YoY (%)
Bancassuarance YoY (%)
21 March 2016
9

Max Financial Services
Max Life gets 50%+ of new business premium via bancassurance
In line with its peers, Max Life also has significant dependence on bancassurance
partners (50%+ of individual premiums). However, unlike the top three private
insurers, Max Life is not promoted by a bank/NBFC. Hence, the arrangement with
Axis Bank remains critical. The recently announced 5% stake allotment to Axis Bank
at face value is likely to ensure 4-5 years of stability in the partnership. Yes Bank’s
contract comes for renewal in 2018 and should get renegotiated.
Exhibit 20: In our view, Max Life has one of the best possible bancassurance arrangements in the current landscape
Banks
SBIN
PNB
CBK
BOB
BOI
CBOI
UNBK
SNDB
IOB
ALBK
Top 10 PSU Banks
Status
Promoter
Promoter
Promoter
Promoter
Promoter
Banca tie-up
Promoter
Banca tie-up
Banca tie-up
Banca tie-up
Insurer
SBI Life
PNB MetLife
Canara HSBC OBC
India First
Star Union Dai-ichi
LIC
Star Union Dai-ichi
LIC
LIC
LIC
Banks
ICICIBC
HDFCB
AXSB
KMB
FB
JKBK
SIB
IIB
KTK
YES
Top 10 Private Banks
Status
Promoter
Banca tie-up #
Banca tie-up
Promoter
Promoter
Promoter
Banca tie-up
Banca tie-up
Banca tie-up
Banca tie-up
Insurer
ICICI Pru Life
HDFC Life
Max Life
Kotak OM
IDBI Federal
PNB MetLife
LIC
Tata AIA
PNB MetLife
Max Life
Note: The above banks have been sorted based on branch network. # HDFC Ltd is the promoter of HDFC Bank and HDFC Life.
Source: RBI, Company, MOSL
Exhibit 21: Five banks account for 70%+ of individual NBP via banks
Max Life
30
3
20
21
21
4
FY11
ICICI Pru
HDFC Life
SBI Life
29
4
14
26
17
9
FY13
Kotak OM
24
4
18
20
22
13
FY14
Others
19
4
18
21
26
12
FY15
37
4
24
18
17
1
FY10
36
4
17
22
13
8
FY12
Source: IRDA, Company, MOSL
Exhibit 22: Max Life is relatively more reliant on
bancassurance channel v/s private sector average
Banks
21
Individual Agents
20
13
7
37
Direct
10
7
35
Corporate Agents
9
8
31
6
10
28
Others
4
12
32
Exhibit 23: Over the last few quarters, Max Life has seen
significant slowdown from Axis Bank’s network, which has
impacted its overall performance
62
Individual Agents
Banks
3
2
19
29
26
1
70
54
9
40
FY12
48
FY13
51
56
52
-39
FY14
FY15
9MFY16
FY12
FY13
FY14
-7
3
4
4
FY10
22
FY11
FY15
9MFY16
Note: The above data is based on individual NBP.
Source: Company Data, MOSL
Note: The above data is based on individual NBP.
Source: Company Data, MOSL
21 March 2016
10

Max Financial Services
Equity offerings to bancassurance partner in some sense an ESOP
Banks’ bargaining power to
remain high unless growth
from agency channel
recovers on a sustainable
basis
The recent equity offering to Axis Bank has raised some concerns over the
bargaining power of Max Life and sustainability of the business model. We believe
that given the industry dynamics for private insurers, bargaining power with banks’
is likely to remain high, unless growth from the agency channel recovers in a big way
(sustained double-digit growth) – not part of our base case.
Alternatively, strong growth in the direct channel and increased tie-ups with other
banks, small finance banks and payment banks could provide some granularity to
sourcing of new business over the medium term. Till then, we believe equity
offerings to large bancassurance partners like Axis Bank would be necessary to
provide a level of stability to the overall business model.
While we do not know the financial targets (if any) built into the Axis Bank equity
offering, given the long-standing relationship, we expect strong performance to
continue over the next few years. In exhibit 24, we highlight that Axis Bank and Yes
Bank together have individual NBP/SA ratio of 1.3% v/s 2.4% for ICICI Bank and 1.8%
for HDFC Bank. Hence, the growth opportunity remains significantly higher within
the existing base plus the strong SA deposit growth, which is likely to sustain.
Exhibit 24: Axis Bank and Yes Bank have significant potential within the existing network
(individual NBP / SA deposits, %)
Significant opportunity in
existing bancassurance
network
Max Life
3.4
2.8
2.5
1.0
0.6
0.5
0.2
FY10
FY11
3.2
HDFC Life
2.5
1.5
1.3
0.3
FY12
ICICI Pru Life
2.6
1.8
1.2
0.2
FY13
1.8
1.2
0.3
FY14
SBI Life
2.4
1.8
1.3
0.3
FY15
Note: We have added Yes Bank’s SA deposits in the denominator from FY13.
Source: MOSL, Company
21 March 2016
11

Max Financial Services
Revival of growth at agency channel remains critical
In absolute terms, individual NBP via agency is down 40% since FY10
One of the reasons we like Max Life is its market leadership in the ‘par’ business
amongst private insurers; stability in the ‘par’ business is one of key reasons for
consistent improvement in persistency and overall operational efficiency.
We believe muted growth from the agency channel has partly resulted in weak growth
in the participating business, which has been Max Life’s key strength area post the
ULIP guideline changes in 2010. Share of ‘par’ business has declined from 80% in FY12
to ~60% currently.
While we expect overall APE growth of 14-15% over FY17-20, this largely factors in mid
to high single-digit growth in agency channel and similar growth in ‘par’ business. Any
positive surprise in agency channel growth could lead to higher premium growth and
better performance in ‘par’ business.
Agency channel remains key for sustained growth and improving
granularity in sourcing
Over the past five years, the life insurance industry has seen significant reduction in
the number of agents. For Max Life, growth in the agency channel has remained
muted over the last four years, in line with growth in the agent workforce. We
believe double-digit growth in agency channel remains key for overall revival and
medium-term business stability. The management has taken several initiatives – one
being the introduction of new work system (NWS) project in 2013 – to boost growth
via agency channel.
Given the high cost structure involved in the agency model, we see limited catalysts
in the near term for double digit growth. We expect single digit growth in the
agency channel over FY16-18E.
Exhibit 25: Number of agents has largely remained
unchanged for four years
Number of agents
90,000
72,000
54,000
36,000
18,000
0
-14%
-40%
-19%
0%
20%
0%
-15%
-7%
12.3
FY10
Source: Company Data, MOSL
10.4
FY11
6.4
129%
-7%
Growth YoY (%)
Exhibit 26: This has also been reflected in moderate agency
new business premium growth
Individual Agency NBP (INR b)
Growth YoY (%)
9%
3%
-39%
FY12
5.9
FY13
6.5
FY14
6.7
FY15
Source: Company Data, MOSL
Higher proportion of growth from agency channel will help propel growth in
participating business (slightly more complex, and hence, is driven mainly by agency
channel) and reduce reliance on bancassurance partnerships, thereby lowering
dilution and concentration risks.
21 March 2016
12

Max Financial Services
Exhibit 27: Overall we expect 14-15% APE growth (%) over
FY16-20E
Max Life (INR b)
17
9
-1
-13
0
11
Growth YoY (%)
14
14
15
15
Exhibit 28: However, we expect Max Life’s market share to
remain largely stable (%, private players)
10.3
8.6 8.5
7.5
5.4 5.4
4.1
5.9
4.9
5.5
9.8
8.8
9.3 9.3 9.3
7
36.3
27.4 31.6
21.0 24.0
15.8 17.2 15.1 15.1 17.7 19.7
4.5
Source: Swiss Re Sigma, MOSL
Source: IRDA, Life Insurance Council, MOSL
Moderation in participating business likely to continue
‘Par’ business growth
continues to struggle
Post 2010, Max Life increased its focus on long-term savings products. Given the
nature and complexity of participating products, individual agencies remain the key
sales driver. However, unlike other large banks, sale of ‘par’ products remained high
via the Axis Bank channel. Higher growth via the bancassurance channel was offset
by growth moderation in the individual agency channel.
Exhibit 29: Significant focus on long-term savings products post 2010 (individual APE mix,
%)
Linked
1
19
3
16
4
21
4
52
79
81
80
74
44
12
FY08
FY09
FY10
FY11
FY12
9
FY13
77
69
59
58
56
54
Participating
8
14
10
Non-participating
14
15
17
18
21
FY14
27
FY15
27
FY16E
27
FY17E
28
FY18E
Source: MOSL, Company
Exhibit 30: However, since 2012, APE growth (%) in
participating products has remained muted…
% of Individual APE (%)
166
APE Growth YoY (%)
Exhibit 31: …partly driven by subdued growth in agency
channel
Individual Agency NBP Growth YoY (%)
Individual PAR Growth YoY (%)
150
100
Driven by Axis Bank
1
30
34
-3
52
FY11
80
FY12
77
FY13
6
-5
59
FY15
50
0
16
FY09
21
FY10
69
FY14
-50
FY11
FY12
FY13
FY14
FY15
Source: Company, MOSL
Source: Company, MOSL
21 March 2016
13

Max Financial Services
Exhibit 32: Overall bancassurance commissions for ‘par’ business increased significantly
post 2010
Incremental growth from
non-par and ULIP segments
61
6
33
FY10
FY11
FY12
FY13
FY14
FY15
84
88
84
83
77
Participating
11
5
4
9
Non-participating
3
13
8
9
Linked
9
13
Note: While overall commissions may not be true reflection of NBP; directionally, it is a good indicator,
in our view.
Source: MOSL, Company
Incremental growth is largely driven by non-par and linked business – partly led by
improved investor sentiment and market performance over the past 18-24 months.
While margins on linked business remain relatively low (impacted by RIY guidelines);
premium volumes remain high. In case of non-par products, while margins remain
high (2-3x of ‘par’ business based on management interactions), interest rate risk
remains significant.
21 March 2016
14

Max Financial Services
Persistency curves show consistent improvement
Expect Max Life to break even on cost post FY18
Since FY09, Max Life has seen consistent improvement in its persistency curve; this in
our view is a key differentiator on underwriting practices and quality of the back book.
While we do not have segmental data on persistency, we consider conservation ratio
as a proxy to analyze the drivers of improved persistency. Exhibit 35 highlights the
stability of ‘par’ book conservation ratio over the past six years and at the same time
significant improvement in conservation ratio of non-par portfolio.
Absolute operating expenses have remained largely stable at INR12-13b in FY12-16E
v/s INR16.5b in FY11; we expect this cost control trend to continue led by increasing
focus on technology and better productivity.
Direct channel now accounts for 12% of overall NBP v/s 2% in FY11. Strong focus on
digitization along with increasing share of non-par and term insurance should help
sustain 20%+ growth via direct channel.
Overall, strong cost control along with steady performance on persistency is likely to
result in zero cost overruns post FY18.
th
Exhibit 33: Max Life has one of the best 13 month persistency (%)
FY14
82 81
72
79
76 77
76 77
72 74
73
62
FY15
69
68
60 62
57
62
60 58
Note The above data is standardized based on revised IRDA guidelines.
Source: MOSL, Company
Exhibit 34: More importantly, Max Life has seen consistent improvement in its persistency
experience (%)…
900-1800bp improvement
in 3-5 year persistency
80.0
70.0
60.0
50.0
40.0
30.0
20.0
13th Month
25th Month
37th Month
42.0
32.0
49th Month
68.0
77.0
FY10
60.0
49.0
32.0
FY11
FY12
FY13
FY14
23.0
61st Month
FY15
Source: MOSL, Company
21 March 2016
15

Max Financial Services
Exhibit 35: …In our view, this is largely driven by stable conservation ratio in the
participating portfolio (%)
In last six years, par
conservation ratio has
remained largely stable –
moving in 400bp range
Par
90
86
83
86
80
Non-par
87
79
60
39
FY09
50
FY10
45
FY11
FY12
FY13
FY14
FY15
Linked
83
74
72
84
84
73
86
82
74
80
Note: We do not have segmental persistency ratios. However, in our view, conservation ratio is a good
proxy to understand the trend, as the book is recent and maturity / claims experience is low. Also, the
proportion of new business to total premiums is significant (~30%).
Source: MOSL, Company
Exhibit 36: Absolute operating expenses are likely to remain stable at INR13b-14b in FY16-
18E led by increasing focus on technology and better productivity
Total operating expenses (INR m)
2.3
-3.5
-5.4
-18.4
16.1
FY10
16.5
FY11
13.5
FY12
12.7
FY13
12.2
FY14
12.7
FY15
13.1
FY16E
13.6
FY17E
14.1
FY18E
-3.9
4.1
Growth YoY (%)
2.5
4.0
4.0
Source: MOSL, Company
Exhibit 37: Other operating expense remain key driver of cost control
Employee expenses YoY (%)
7
0
-1
-8
-16
-19
FY10
FY11
FY12
FY13
FY14
FY15
-10
-11
-1
0
Other opex YoY (%)
6
9
Source: MOSL, Company
21 March 2016
16

Max Financial Services
Exhibit 38: After SBI Life, Max Life has the best agent
productivity amongst the large private insurers
Average Agent Productivity (INR '000)
205
130
92
84
73
56
26
23
Exhibit 39: Also, branch productivity is one of the highest
amongst large private insurers
Average Branch Productivity (INR mn)
22
13
11
9
Source: Company Data, MOSL
Source: Company Data, MOSL
Direct business gaining traction – 30%+ CAGR over FY10-15
Over the last few years, Max Life has seen significant increase in direct insurance
channel (12% of individual NBP in 9MFY16 v/s 3% in 2010). With increased focus on
technology and non-par term insurance business, we expect the strong traction to
continue, leading to meaningful cost savings in coming years.
Exhibit 40: Share of direct channel in overall individual NBP has increased to 12% in
9MFY16 v/s 2% in FY11 and 10% in FY15
Direct Channel (% of individual NBP)
12
10
7
3
FY10
7
8
2
FY11
FY12
FY13
FY14
FY15
9MFY16
Source: MOSL, Company
Exhibit 41: Overall we expect no acquisition cost overruns post FY18
Improving persistency
curves likely to lead to
lower cost overruns
5,000
4,000
3,000
2,000
1,000
0
Acquisition cost over-run (INR m)
RHS, as % of APE (%)
25
20
15
10
5
0
Source: MOSL, Company
21 March 2016
17

Max Financial Services
Key takeaways from ground reality check
Thrust on training and development of agents, R&R remains high
We undertook a ground reality check by meeting Max Life employees at branches,
holding one-on-one meetings with agents, and through telephonic interactions with
outstation agents.
Key themes from our ground reality check
Significant thrust on training and development of agents:
One common theme
across our interactions was significant thrust on training. Max Life provides a
seven-day training program before the person takes the IRDA examination for
license. Further, the agency development manager also undergoes a six-month
training process, where emphasis is on product understanding, sales and
consumer psychology, and on agency recruitment and development.
Focus on “Sachchi
Advice”;
persistency a key indicator in reward and
recognition (R&R) of agents:
Several agents alluded to the “Sachchi
Advice”
(which means true advice) tag line while making their marketing pitch. Further,
many agents also focused on maintaining high persistency to qualify and get
invited to various functions and events by Max Life that recognizes top
performing individuals.
Fresh KYC even for Axis Bank customers:
While leads are generated by the
bancassurance partner, customers do not have a KYC waiver and fresh KYC
remains essential to complete the sales process. However, some of the other
best practices from the industry did not feature in our survey. For instance,
HDFC Life follows a process of multiple repeat calls to customers to ensure no
mis-selling has been undertaken.
An impression that Max Life has one of the best after sales service:
Most of the
respondents highlighted that Max Life has a simple and quick claims settlement
process. Some highlights were: (a) beneficiary has a choice to get the claims
with the help of their agents or by directly going to a Max Life branch, (b) once
all paper work is done, claims are given within 7 to 10 days. If the 10-day time
frame is not met, the beneficiary is also paid a 3.5% penalty fee.
21 March 2016
18

Max Financial Services
SWOT analysis
Strength
•Largest private player in participating business
•Strong bancassurance partnerships (contributes 50%+ of individual NBP)
•Healthy capital position (solvency capital 400%+)
•Robust margin profile (17-18% NBAP post cost)
•High concentration risk in distribution (~40% of individual NBP via Axis Bank)
Weakness
•New bancassurance partnerships led by open architecture framework (average 1:1 mapping
currently v/s 1:3 allowed by the regulator)
•Changes in cost structure of individual agency model
•Digital selling; increasing share of direct channel (currently 12% of individual NBP v/s 9% for system
from direct and referrals)
•Heavy dependence on bancassurance; granularity in sourcing of business remains key (agency
business ~30% of individual NBP)
•Declining reliance on participating products which has been a key driver of stability and success
(~55% of individual NBP currently)
Source: MOSL
Opportunity
Threats
21 March 2016
19

Max Financial Services
Margins and RoEV to remain in high teens
High margin non-par portfolio remains the key driver
We believe the revised draft proposal of ‘expense of management’ guideline is likely
to have negligible impact on the ‘par’ business.
Increased focus on non-par business (currently ~14% of NBP and expected to be 18-
20% over the next few years) is likely to be the key margin booster. Margins in the
non-par business are 2-3x the margins in the ‘par’ business. Declining interest rates
remain a key risk in this line of business.
Overall, we expect NBAP margins pre cost overruns (including proposed interest rate
hedge for non-par portfolio) to stabilize around 18% v/s ~20% in 1HFY16 and ~23% in
FY15. Post cost overruns, margins are expected at 17-18% v/s ~21.5% in FY15.
We expect operating RoEV to remain 16-18% range (~9% contribution from ‘unwind’
and 7-9% post cost NBAP contribution). Improvement of RoEV beyond 18% will largely
be a function of strong growth especially from agency channel or positive surprise on
margins, which looks unlikely in the current environment.
Exhibit 43: … with operating RoEV stabilizing around 16-18%
Operating RoEV (%)
Exhibit 42: Margins to stabilize around 17-18%...
Pre-cost over-runs
19.6
23.4
16.9
13.6
11.2
14.1 13.6 21.5
13.1 13.2
-1.2
4.4
Post-cost over-runs
18.5 17.5 17.5 17.5 17.5
16.8 16.4 16.9 17.5 17.5
-5.0 -6.9
Note: Decline in FY16E margins is largely on account of interest rate
hedge brought against non-par portfolio.
Source: Company Data, MOSL
Note: Data pre FY15 is based on TEV methodology and post FY15
based on MCEV methodology.
Source: Company Data, MOSL
Exhibit 44: Contribution of NBAP in RoEV is expected to increase to 8% by FY18E
Post overruns NBAP contribution (%)
5.4
-0.7
-6.1
-4.8
2.1
6.2
9.6
6.8
8.5
9.1
7.0
7.7
Source: MOSL, Company
21 March 2016
20

Max Financial Services
Excess capital to drive inorganic growth pursuits
We expect management to strengthen bancassurance partnerships
Capital position on both regulatory and economic basis remains healthy; while we do
not have break-down of adjusted net asset value (ANAV); Max has a good cash
conversion of value in force (VIF) into ANAV based on our indicative analysis –
reflection of portfolio duration and cash profitability.
On regulatory requirement, Max has INR14-15b of excess capital along with an option
to raise sub-debts incase needed; hence, capital position remains very comfortable for
meeting double digit growth projections over next 4-5 years.
Over the next couple of years, we expect several PSU banks to sell stake in non-core
ventures (including insurance). Based on past management commentary, part of the
excess capital will be used to acquire an insurer with strong bancassurance tie-up.
Exhibit 45: Regulatory capital position remains comfortable
for meeting double digit growth projections over next 4-5
years
Regulatory solvency ratio (%)
534
365
520
Exhibit 46: While we do not have break-down of ANAV; we
expect large portion to be free surplus
ANAV (INR b)
17.1
19.0
19.3
21.2
20.9
485
435
402
8.8
11.4
Source: MOSL, Company
Source: MOSL, Company
Exhibit 47: Cash conversion of VIF into ANAV is probably very fast
In our view, cash conversion
of VIF into ANAV is fast – a
positive indicator
INR m
Indicator I
Closing ANAV
Add: Dividends
Less: Opening ANAV
Difference (A)
Unwind (B)
Indicative cash
conversion (%) – (A/B)
Indicator II
Opening VIF
Add: New business margin
Less: Closing VIF
Difference
FY11
11,410
0
8,800
2,610
3,360
78
FY12
17,110
0
11,410
5,700
4,190
136
FY13
18,980
3,020
17,110
4,890
3,920
125
FY14
19,310
3,090
18,980
3,420
3,790
90
FY15
21,150
4,060
19,450
5,760
4,000
144
1HFY16
20,930
2,200
21,150
1,980
2,520
79
18,430
-200
20,750
-2,520
20,750
660
19,730
1,680
19,730
1,980
18,580
3,130
18,580
2,340
20,220
700
24,560
4,230
31,170
-2,380
31,170
1,380
32,690
-140
Source: MOSL, Company
21 March 2016
21

Max Financial Services
Valuations and View
Strong capital position, healthy APE growth, stable margins and RoEV
Long term opportunity in India’s life insurance sector remain attractive; overall the
past couple of years, new business growth has recovered with cost control and
profitability remaining key focus area for most insurers. Outlook on regulatory
environment remains positive with all major areas (product, distribution and
expenses) already seeing guideline changes. Interestingly, the last couple of regulatory
developments (i.e. proposed bank broker model and expense of management) have
ended up being more accommodative for the industry v/s and severe negative impact
seen previously. Hence, we remain positive on the sector.
We prefer MAX for its management quality, higher proportion of long-term savings
business, healthy operational efficiency, strong bancassurance tie-ups, robust return
ratios, and excess capital position. The overhang of contract renewal with Axis Bank is
now behind and management’s focus on building granularity in its distribution
network is encouraging.
We value Max Life on appraisal value basis. We assume cost of equity at 13.4% and
terminal growth rate at 4%, resulting in overall appraisal value of ~INR154b (P/EV of
2.4x FY18E and P/NBAP of ~39x FY18E). Adjusting for MAX’s 68% stake in Max Life and
adding the INR1.5b cash with MAX, we arrive at our target price of INR400/share. The
stock currently trades at P/EV of 2x FY18E, implying 21% upside. In addition, dividend
yield of 2.5-3% remains attractive.
We do not ascribe any holding company discount to MAX, as Max Life is the only
major business owned and substantial portion of the dividend income received from
Max Life is likely to flow through to MAX shareholders.
Key risks to our estimate
De-growth at agency and prolonged moderation in bancassurance channel;
however, initial trends in APE growth for 4QFY16 suggest return to normalcy
Higher corporate tax rate or negative outcome from final guidelines on
commission expenses; based on our interactions with the regulator and industry
participants, this looks less likely
Partnership of large insurers with Axis Bank or Yes Bank under open
architecture; Max Life’s tie-up with other large banks could reduce the impact
Exhibit 48: Our target price implies 2.4x FY18E P/EV; +21% upside from current levels
1.5
154.0
93.7
60.3
68% stake
104.7
106.2
INR 400 / share
implying 2.4x
FY18E P/EV
Note: We discount value of future new business by 13.4% cost of equity (Rf 7.6%, beta 1.05, market risk premium 5.5%). Our long term growth
assumption is 4.2%.
Source: MOSL, Company
21 March 2016
22

Max Financial Services
Exhibit 49: Max Life embedded value projections
Traditional Embedded Value
(INR m)
Opening Embedded Value
Net Asset Value
Value of in-force business
Unwind
% of opening EV
Value of new business
(pre cost over-runs)
Acquisition cost over-run
Value of new business
(post cost over-runs)
Growth YoY (%)
Operating variance
Operating Profit
Growth YoY (%)
Non-operating variance
Net capital movement
Capital Infusion
Dividend
Closing Embedded Value
Net Asset Value
Value of in-force business
Embedded Value
pre-capital movement
Growth YoY (%)
APE
Growth YoY (%)
New business margins (%)
Pre-cost over-runs
Post-cost over-runs
Cost over-runs
Operating RoEV (%)
Non-Operating RoEV (%)
RoEV (%)
FY09
13,160
3,620
9,540
1,900
14.4
3,120
-3,920
-800
-3,830
1,190
FY10
22,840
7,670
15,170
2,610
11.4
2,670
-3,770
-1,100
37.5
-2,550
2,730
129.4
-250
1,910
1,910
0
27,230
8,800
18,430
25,320
10.9
15,840
-0.7
FY11
27,230
8,800
18,430
3,360
12.3
2,350
-2,550
-200
-81.8
-1,760
3,950
44.7
980
0
0
0
32,160
11,410
20,750
32,160
18.1
17,240
8.8
FY12
32,160
11,410
20,750
4,190
13.0
1,680
-1,020
660
-430.0
-1,950
3,920
-0.8
760
0
0
0
36,840
17,110
19,730
36,840
14.6
15,060
-12.6
FY13
36,840
17,110
19,730
3,920
10.6
2,130
-150
1,980
200.0
-2,080
3,970
1.3
-230
-3,020
0
-3,020
37,560
18,980
18,580
40,580
10.2
15,130
0.5
FY14
37,560
18,980
18,580
3,790
10.1
2,400
-60
2,340
18.2
-340
5,850
47.4
-790
-3,090
0
-3,090
39,530
19,310
20,220
42,620
13.5
17,690
16.9
FY15
44,010
19,450
24,560
4,000
9.1
4,600
-370
4,230
80.8
1,230
9,830
68.0
2,540
-4,060
0
-4,060
52,320
21,150
31,170
56,380
28.1
19,670
11.2
FY16E
52,320
21,150
31,170
4,944
9.5
3,891
-350
3,541
-16.3
-350
8,485
24.3
-250
-4,400
0
-4400
56,155
FY17E
56,155
MCEV
FY18E
60,261
FY19E
64,700
FY20E
69,678
5,166
9.2
4,189
-250
3,939
11.3
-250
9,106
7.3
0
-5,000
0
-5000
60,261
5,393
9.0
4,796
-150
4,646
17.9
-150
10,039
10.2
0
-5,600
0
-5600
64,700
5,661
8.8
5,517
0
5,517
18.8
0
11,178
11.3
0
-6,200
0
-6200
69,678
5,992
8.6
6,343
0
6,343
15.0
0
12,336
10.4
0
-6,800
0
-6800
75,213
990
7,500
7,500
0
22,840
7,670
15,170
15,340
16.6
15,950
62,755
19.9
21,031
6.9
65,261
16.2
23,967
14.0
70,300
16.7
27,435
14.5
75,878
17.3
31,561
15.0
82,013
17.7
36,289
15.0
19.6
-5.0
24.6
9.0
7.5
16.6
16.9
-6.9
23.8
12.0
-1.1
10.9
13.6
-1.2
14.8
14.5
3.6
18.1
11.2
4.4
6.8
12.2
2.4
14.6
14.1
13.1
1.0
10.8
-0.6
10.2
13.6
13.2
0.3
15.6
-2.1
13.5
23.4
21.5
1.9
22.3
5.8
28.1
18.5
16.8
1.7
16.2
-0.5
15.7
17.5
16.4
1.0
16.2
0.0
16.2
17.5
16.9
0.5
16.7
0.0
16.7
17.5
17.5
0.0
17.3
0.0
17.3
17.5
17.5
0.0
17.7
0.0
17.7
Source: MOSL, Company
21 March 2016
23

Max Financial Services
Financial and Valuations – Max Life Insurance
INR m
Policyholder Account
Premiums earned (Net)
Income from Investments
Contribution from SH
Other income
Total (A)
Commission
Operating expenses
Benefits paid (net)
Change in valuation of policy liabilities
Other expenses
Total expenses and provisions (B)
Surplus / (deficit) (C)=(A)-(B)
Provision for taxation
Surplus / (deficit) after tax
Shareholder Account
Transfer to Shareholders’ account
Income From Investments
Other income
Total income
Operating expenses
Contribution to the Revenue Account
Provisions (other than taxation)
Profit / (Loss) before tax
Provision for Taxation
Profit / (Loss) after tax
Total Dividend
FY11
57,362
9,908
118
24
67,413
5,399
14,404
13,049
31,020
32
63,905
3,508
0
3,508
FY12
63,208
3,034
94
18
66,354
5,804
12,542
17,815
23,949
19
60,130
6,224
0
6,224
FY13
65,703
12,994
12
102
78,811
6,140
12,288
26,069
27,999
38
72,536
6,275
0
6,275
FY14
72,118
21,622
131
177
94,048
6,828
12,038
29,837
39,090
630
88,423
5,625
0
5,625
FY15
81,051
41,057
441
146
122,695
7,486
12,419
35,323
61,139
629
116,996
5,699
0
5,699
FY16E
90,001
25,002
6
147
115,156
8,052
12,246
37,107
50,581
716
108,702
6,454
0
6,454
FY17E
100,759
36,848
0
154
137,761
8,881
12,847
41,271
66,131
738
129,868
7,893
0
7,893
FY18E
113,357
43,852
0
163
157,371
9,887
13,478
47,296
76,660
820
148,141
9,231
0
9,231
3,299
856
0
4,154
2,095
118
0
1,941
0
1,941
0
4,112
1,500
144
5,756
1,064
94
0
4,598
0
4,598
0
3,023
2,193
0
5,216
450
12
0
4,754
0
4,754
3,020
2,944
2,415
0
5,359
198
131
0
5,031
519
4,511
3,090
2,835
2,706
0
5,541
325
441
0
4,776
672
4,104
4,060
3,887
2,387
0
6,274
395
6
0
5,872
634
5,239
4,400
4,582
2,482
0
7,064
482
0
0
6,583
779
5,804
5,000
5,348
2,509
0
7,857
571
0
0
7,286
873
6,413
5,600
21 March 2016
24

Max Financial Services
Financial and Valuations – Max Life Insurance
Balance Sheet
Liabilities
Share Capital
Reserves and Surplus
Networth
Policyholders Funds
Other liabilities
Total Liabilities
Assets
Investments
Shareholders’ Investments
Policyholders’ Investments
Assets held to cover linked liabilities
Loans
Fixed assets
Net current assets
Misc. Expenses
Debit balance in P&L
Total Assets
FY11
18,410
2,151
20,561
122,733
1,568
144,862
FY12
19,447
2,581
22,028
146,898
4,264
173,190
FY13
19,447
2,034
21,481
174,684
6,814
202,980
FY14
19,447
1,823
21,270
217,135
10,197
248,601
FY15
19,188
952
20,141
279,846
13,691
313,678
FY16E
19,188
766
19,954
333,114
16,249
369,317
FY17E
19,188
995
20,183
399,663
19,961
439,807
FY18E
19,188
1,248
20,436
476,882
24,333
521,651
13,199
36,470
88,696
116
1,402
-4,072
756
8,296
144,862
21,882
51,612
98,657
159
1,199
-4,720
703
3,698
173,190
27,111
72,921
104,547
296
1,257
-5,845
0
2,693
202,980
27,751
106,102
113,304
417
1,180
-1,369
0
1,217
248,601
26,227
151,980
133,996
592
1,188
-304
0
0
313,678
27,272
194,376
145,378
740
1,247
304
0
0
369,317
27,575
250,628
159,049
925
1,310
322
0
0
439,807
28,379
315,108
175,291
1,156
1,375
341
0
0
521,651
Note:
We have currently not published accounts for Max Financial Services since it is just a holding company.
21 March 2016
25

REPORT GALLERY
RECENT INITIATING COVERAGE REPORTS

Max Financial Services
NOTES
21 March 2016
27

This document has been prepared by Motilal Oswal Securities Limited (hereinafter referred to as Most) to provide information about the company(ies) and/sector(s), if any, covered in the
Max
and may be distributed by it and/or its
report
Financial Services
affiliated company(ies). This report is for personal information of the selected recipient/s and does not construe to be any investment, legal or taxation advice to you. This research report does not constitute an offer, invitation or
inducement to invest in securities or other investments and Motilal Oswal Securities Limited (hereinafter referred as MOSt) is not soliciting any action based upon it. This report is not for public distribution and has been furnished to
you solely for your general information and should not be reproduced or redistributed to any other person in any form. This report does not constitute a personal recommendation or take into account the particular investment
objectives, financial situations, or needs of individual clients. Before acting on any advice or recommendation in this material, investors should consider whether it is suitable for their particular circumstances and, if necessary, seek
professional advice. The price and value of the investments referred to in this material and the income from them may go down as well as up, and investors may realize losses on any investments. Past performance is not a guide for
future performance, future returns are not guaranteed and a loss of original capital may occur.
MOSt and its affiliates are a full-service, integrated investment banking, investment management, brokerage and financing group. We and our affiliates have investment banking and other business relationships with a some
companies covered by our Research Department. Our research professionals may provide input into our investment banking and other business selection processes. Investors should assume that MOSt and/or its affiliates are
seeking or will seek investment banking or other business from the company or companies that are the subject of this material and that the research professionals who were involved in preparing this material may educate investors
on investments in such business . The research professionals responsible for the preparation of this document may interact with trading desk personnel, sales personnel and other parties for the purpose of gathering, applying and
interpreting information. Our research professionals are paid on twin parameters of performance & profitability of MOSt.
MOSt generally prohibits its analysts, persons reporting to analysts, and members of their households from maintaining a financial interest in the securities or derivatives of any companies that the analysts cover. Additionally, MOSt
generally prohibits its analysts and persons reporting to analysts from serving as an officer, director, or advisory board member of any companies that the analysts cover. Our salespeople, traders, and other professionals or affiliates
may provide oral or written market commentary or trading strategies to our clients that reflect opinions that are contrary to the opinions expressed herein, and our proprietary trading and investing businesses may make investment
decisions that are inconsistent with the recommendations expressed herein. In reviewing these materials, you should be aware that any or all of the foregoing among other things, may give rise to real or potential conflicts of interest.
MOSt and its affiliated company(ies), their directors and employees and their relatives may; (a) from time to time, have a long or short position in, act as principal in, and buy or sell the securities or derivatives thereof of companies
mentioned herein. (b) be engaged in any other transaction involving such securities and earn brokerage or other compensation or act as a market maker in the financial instruments of the company(ies) discussed herein or act as an
advisor or lender/borrower to such company(ies) or may have any other potential conflict of interests with respect to any recommendation and other related information and opinions.; however the same shall have no bearing
whatsoever on the specific recommendations made by the analyst(s), as the recommendations made by the analyst(s) are completely independent of the views of the affiliates of MOSt even though there might exist an inherent
conflict of interest in some of the stocks mentioned in the research report .Reports based on technical and derivative analysis center on studying charts company's price movement, outstanding positions and trading volume, as
opposed to focusing on a company's fundamentals and, as such, may not match with a report on a company's fundamental analysis. In addition MOST has different business segments / Divisions with independent research
separated by Chinese walls catering to different set of customers having various objectives, risk profiles, investment horizon, etc, and therefore may at times have different contrary views on stocks sectors and markets.
Unauthorized disclosure, use, dissemination or copying (either whole or partial) of this information, is prohibited. The person accessing this information specifically agrees to exempt MOSt or any of its affiliates or employees from,
any and all responsibility/liability arising from such misuse and agrees not to hold MOSt or any of its affiliates or employees responsible for any such misuse and further agrees to hold MOSt or any of its affiliates or employees free
and harmless from all losses, costs, damages, expenses that may be suffered by the person accessing this information due to any errors and delays. The information contained herein is based on publicly available data or other
sources believed to be reliable. Any statements contained in this report attributed to a third party represent MOSt’s interpretation of the data, information and/or opinions provided by that third party either publicly or through a
subscription service, and such use and interpretation have not been reviewed by the third party. This Report is not intended to be a complete statement or summary of the securities, markets or developments referred to in the
document. While we would endeavor to update the information herein on reasonable basis, MOSt and/or its affiliates are under no obligation to update the information. Also there may be regulatory, compliance, or other reasons that
may prevent MOSt and/or its affiliates from doing so. MOSt or any of its affiliates or employees shall not be in any way responsible and liable for any loss or damage that may arise to any person from any inadvertent error in the
information contained in this report. MOSt or any of its affiliates or employees do not provide, at any time, any express or implied warranty of any kind, regarding any matter pertaining to this report, including without limitation the
implied warranties of merchantability, fitness for a particular purpose, and non-infringement. The recipients of this report should rely on their own investigations.
This report is intended for distribution to institutional investors. Recipients who are not institutional investors should seek advice of their independent financial advisor prior to taking any investment decision based on this report or for
any necessary explanation of its contents.
Most and it’s associates may have managed or co-managed public offering of securities, may have received compensation for investment banking or merchant banking or brokerage services, may have received any compensation
for products or services other than investment banking or merchant banking or brokerage services from the subject company in the past 12 months.
Most and it’s associates have not received any compensation or other benefits from the subject company or third party in connection with the research report.
Subject Company may have been a client of Most or its associates during twelve months preceding the date of distribution of the research report
MOSt and/or its affiliates and/or employees may have interests/positions, financial or otherwise of over 1 % at the end of the month immediately preceding the date of publication of the research in the securities mentioned in this
report. To enhance transparency, MOSt has incorporated a Disclosure of Interest Statement in this document. This should, however, not be treated as endorsement of the views expressed in the report.
Motilal Oswal Securities Limited is registered as a Research Analyst under SEBI (Research Analyst) Regulations, 2014. SEBI Reg. No. INH000000412
There are no material disciplinary action that been taken by any regulatory authority impacting equity research analysis activities
Disclosures
Analyst Certification
The views expressed in this research report accurately reflect the personal views of the analyst(s) about the subject securities or issues, and no part of the compensation of the research analyst(s) was, is, or will be directly or
indirectly related to the specific recommendations and views expressed by research analyst(s) in this report. The research analysts, strategists, or research associates principally responsible for preparation of MOSt research receive
compensation based upon various factors, including quality of research, investor client feedback, stock picking, competitive factors and firm revenues
Disclosure of Interest Statement
Analyst ownership of the stock
Served as an officer, director or employee
MAX FINANCIAL SERVICES
No
No
A graph of daily closing prices of securities is available at www.nseindia.com and http://economictimes.indiatimes.com/markets/stocks/stock-quotes
Regional Disclosures (outside India)
For U.S.
This report is not directed or intended for distribution to or use by any person or entity resident in a state, country or any jurisdiction, where such distribution, publication, availability or use would be contrary to law, regulation or which
would subject MOSt & its group companies to registration or licensing requirements within such jurisdictions.
Motilal Oswal Securities Limited (MOSL) is not a registered broker - dealer under the U.S. Securities Exchange Act of 1934, as amended (the"1934 act") and under applicable state laws in the United States. In addition MOSL is not a
registered investment adviser under the U.S. Investment Advisers Act of 1940, as amended (the "Advisers Act" and together with the 1934 Act, the "Acts), and under applicable state laws in the United States. Accordingly, in the
absence of specific exemption under the Acts, any brokerage and investment services provided by MOSL, including the products and services described herein are not available to or intended for U.S. persons.
This report is intended for distribution only to "Major Institutional Investors" as defined by Rule 15a-6(b)(4) of the Exchange Act and interpretations thereof by SEC (henceforth referred to as "major institutional investors"). This
document must not be acted on or relied on by persons who are not major institutional investors. Any investment or investment activity to which this document relates is only available to major institutional investors and will be
engaged in only with major institutional investors. In reliance on the exemption from registration provided by Rule 15a-6 of the U.S. Securities Exchange Act of 1934, as amended (the "Exchange Act") and interpretations thereof by
the U.S. Securities and Exchange Commission ("SEC") in order to conduct business with Institutional Investors based in the U.S., MOSL has entered into a chaperoning agreement with a U.S. registered broker-dealer, Motilal Oswal
Securities International Private Limited. ("MOSIPL"). Any business interaction pursuant to this report will have to be executed within the provisions of this chaperoning agreement.
The Research Analysts contributing to the report may not be registered /qualified as research analyst with FINRA. Such research analyst may not be associated persons of the U.S. registered broker-dealer, MOSIPL, and therefore,
may not be subject to NASD rule 2711 and NYSE Rule 472 restrictions on communication with a subject company, public appearances and trading securities held by a research analyst account.
For Hong Kong:
This report is distributed in Hong Kong by Motilal Oswal capital Markets (Hong Kong) Private Limited, a licensed corporation (CE AYY-301) licensed and regulated by the Hong Kong Securities and Futures Commission (SFC)
pursuant to the Securities and Futures Ordinance (Chapter 571 of the Laws of Hong Kong) “SFO”. As per SEBI (Research Analyst Regulations) 2014 Motilal Oswal Securities (SEBI Reg No. INH000000412) has an agreement with
Motilal Oswal capital Markets (Hong Kong) Private Limited for distribution of research report in Kong Kong. This report is intended for distribution only to “Professional Investors” as defined in Part I of Schedule 1 to SFO. Any
investment or investment activity to which this document relates is only available to professional investor and will be engaged only with professional investors.” Nothing here is an offer or solicitation of these securities, products and
services in any jurisdiction where their offer or sale is not qualified or exempt from registration. The Indian Analyst(s) who compile this report is/are not located in Hong Kong & are not conducting Research Analysis in Hong Kong.
For Singapore
Motilal Oswal Capital Markets Singapore Pte Limited is acting as an exempt financial advisor under section 23(1)(f) of the Financial Advisers Act(FAA) read with regulation 17(1)(d) of the Financial Advisors Regulations and is a
subsidiary of Motilal Oswal Securities Limited in India. This research is distributed in Singapore by Motilal Oswal Capital Markets Singapore Pte Limited and it is only directed in Singapore to accredited investors, as defined in the
Financial Advisers Regulations and the Securities and Futures Act (Chapter 289), as amended from time to time.
In respect of any matter arising from or in connection with the research you could contact the following representatives of Motilal Oswal Capital Markets Singapore Pte Limited:
Kadambari Balachandran
Email : kadambari.balachandran@motilaloswal.com
Contact : (+65) 68189233 / 65249115
Office Address : 21 (Suite 31),16 Collyer Quay,Singapore 04931
Motilal Oswal Tower, Level 9, Sayani Road, Prabhadevi, Mumbai 400 025
Phone: +91 22 3982 5500 E-mail: reports@motilaloswal.com
Motilal Oswal Securities Ltd
21 March 2016
28