Thematic | March 2016
Ind-AS
India integrating
Sandeep Gupta
(S.Gupta@MotilalOswal.com); +91 22 3982 5544
Somil Shah
(Somil.Shah@MotilalOswal.com); +9122 3312 4975
/ Mehul Parikh
(Mehul.Parikh@MotilalOswal.com); +9122 3010 2492

Ind AS | India integrating
Contents
India integrating ................................................................................................................... 3
India Inc migrates to global accounting regime ................................................................... 11
Ind-AS: Paradigm shift in financial reporting....................................................................... 14
Transition and first time adoption of Ind-AS ....................................................................... 35
Implications for sectors ...................................................................................................... 39
Banking and financial services ............................................................................................ 40
Telecom .............................................................................................................................. 45
Media ................................................................................................................................. 49
Automobiles ....................................................................................................................... 52
Consumer ........................................................................................................................... 58
Technology ......................................................................................................................... 63
Power ................................................................................................................................. 66
Healthcare .......................................................................................................................... 69
Metals & Mining ................................................................................................................. 73
Oil & Gas ............................................................................................................................. 77
Agriculture .......................................................................................................................... 81
Real Estate .......................................................................................................................... 84
Cement ............................................................................................................................... 86
Capital Goods ..................................................................................................................... 88
Opportunities and key challenges ....................................................................................... 91
Annexure 1: HUL’s draft IGAAP vs Ind-AS ........................................................................... 93
Annexure 2: Companies not following hedge accounting ................................................... 95
Annexure 3: Companies capitalising forex fluctuations....................................................... 96
Annexure 4: Impact of Ind-AS on financials ....................................................................... 97
Investors are advised to refer through important disclosures made at the last page of the Research Report.
March 2016
2
Motilal Oswal research is available on
www.motilaloswal.com/Institutional-Equities,
Bloomberg, Thomson Reuters, Factset and S&P Capital.

Ind AS | IndiaMarch 2016
Thematic | integrating
Ind-AS
India integrating
Adopting IFRS-converged financials – implications and challenges
India Inc. will adopt IFRS-converged financials (Ind-AS) in a phased manner over FY17-20,
with over 350 companies from the BSE500 migrating from FY17. Ind-AS, based on
‘substance over form’ and ‘fair valuation’, will bring material changes to the operating
metrics and return ratios of companies besides providing more disclosures. While some of
the changes on revenue recognition, fixed assets and business combination will have
sector-wide impact, the impact of changes in financial instruments, employee benefits and
consolidation will be more company-specific. Migration to Ind-AS will have material
implications for Banking, Telecom, Automobiles, Power, Media, IT and Consumer sectors.
Our analysis of BSE200 companies suggests material implications for many companies.
Principle-led differences to adversely impact near-term operating metrics
Ind-AS, based on the principles of “substance over form” and “fair valuation”, differs
materially from IGAAP, which is focused on “legal form” and “conservatism”. There
will be significant differences in the presentation of financials with respect
to revenue recognition, employee benefits, financial instruments, consolidation,
business combination, fixed assets and foreign currency fluctuation among
others. While Ind-AS will bring a more contemporary presentation of financials, it
will adversely impact the operating metrics of India Inc. in the near term.
Impact to be felt across sectors
India integrating
Ind-AS
S.Gupta@MotilalOswal.com
Please click here for Video Link
+91 22 3982 5544
Our analysis of the differences between the two GAAPs suggest material impact on
the operating metrics of (a) BFSI – earlier recognition of NPAs, fair valuation of
ESOPs, deferment in recognition of fee income, and routing actuarial losses/gains
through reserves, (b) Telecom – expensing forex gains/losses on loans and
consolidation of joint ventures, (c) FMCG and IT – fair-valuing ESOPs,
increased amortization post business combinations, and accrual-based recognition
of income on MF, (d) Autos – consolidation of JVs / treasury shares, classification of
take-or-pay contracts as deemed lease, (e) Power – arrangements with
government classified as service concession arrangements, (f) Media – fair-valuing
ESOPs, classifying redeemable preference shares as debt, and (g) All sectors – timing
and quality of revenue recognition.
India Inc. might circumvent few provisions, but earnings to be impacted
Our discussions with various accounting experts suggest that companies might
change arrangements to circumvent the applicability of certain provisions like
deemed lease. Similarly, high dividend paying companies might prefer to declare
high interim dividend, as final dividend declared but pending shareholder approval
will continue to form part of reserves, impacting RoEs. However, we believe these
changes are likely to have an adverse impact on earnings.
Note:
BSE-200 includes
only companies covered in
MOSL universe
March 2016
3

Ind AS | India integrating
Key implication on sectors
Sector
Banking
Telecom
Media
Automobile
Cons umer
Technology
Power
Healthcare
Metals
Oil & Gas
Real Estate
Agriculture
Cement
Capital Goods
Overall
●●●
●●●
●●
●●
●●
●●
●●
●●
●●
●●
●●
●●
First-time adoption could trigger clean-up and tax planning
Migrating to Ind-AS will require corporates to prepare an opening balance sheet on
the transition day, recognizing assets and liabilities in accordance with Ind-AS and
adjusting the difference on migration through reserves. This will imply material
change in the net worth of companies. We believe that investors need to be
watchful for the adjustments made – the migration might provide companies a
window to clean up their books. Further, the option to fair-value assets on first-time
adoption might offer MAT-paying companies an opportunity to increase their future
depreciation cost and lower book profits, which forms the basis for MAT payments.
Several challenges remain as we migrate
While India Inc. is set to migrate to the new regime, our discussions with various
experts suggest that challenges remain on (a) varying levels of corporate
preparedness, (b) high dependence on management estimates, which may vary and
lead to incomparable financials within peers, (c) impact of financial covenants on
loans availed, (d) lack of expertise on fair valuation, and (e) continuing anomalies of
including gains/losses on exchange fluctuations relating to intra-group transactions
in consolidated financials.
Impact:
Low
l
Medium
●●
l
High
●●●
Exhibit 1:
Major changes and their impact on key metrics
Key difference areas
Revenue
Multiple element
recognition
contracts
IGAAP
No specific requirement for
unbundling of services. Entire
revenue recognized upfront.
Ind-AS
Components of sale to be
unbundled and recognized
separately at the time of
performance
On transfer of risk and rewards On transfer of risk and rewards
and control
No specific guidelines. Generally Fee income is recognized over the
recognized on receipt
life of the loan/period of service.
Impact due to transition
Deferral of revenue and earnings
Recognition
Criteria
Fee income on (a)
loans extended ,
and (b) guarantee
services rendered
Service concession
No specific guidelines available Arrangements that satisfy certain
arrangements
under IGAAP for accounting of criteria will be accounted using
(SCA)
these arrangements.
SCA.
Employee
benefits
ESOPs
Deferral of revenue and earnings
Deferral of revenue recognition leading
to impact on margin and earnings
Long term
employee
benefit plans
Consolidation of
Consolidation
entity as subsidiary
Joint venture
Treasury shares
Business
Mergers and
Combination
Acquisitions
Optional to account for ESOP
cost on intrinsic basis or fair
valuation
Gains losses on change in
actuarial assumptions charged
to the income statement
Based on legal ownership
Accounted on proportionate
basis
Not mandatory to consolidate
Mandatory to account for ESOP
cost on fair valuation.
Revenue and profitability of companies
on construction activities will be
advanced. This will be compensated by
lower profits during the operation
phase.
Increase in employee costs.
Gains/losses on change in
Reduction in volatility of income
actuarial assumptions charged to statement.
the reserves.
Based on control
Certain entities may be consolidated/
unconsolidated
Decline in revenues and EBITDA.
However, earnings will be
unaffected.
Adjusted from equity on
consolidation
Decline in revenues and EBITDA.
However, earnings remain unaffected
Increase in EPS, Decline in net worth
and increase in the ROCE/ROE
Appropriate representation of assets/
liabilities. Goodwill will be carried at
much lower value. Depreciation &
Separate guidance for
Mandatory (a) fair valuation of
acquisition of business unit
assets and liabilities acquired on
(under As14) and acquisition of acquisition, (b) recognition of
March 2016
4

Ind AS | India integrating
Key difference areas
Financial
Instruments
Classification of
financial
instruments
Property
Plant and
Equipment
Others
As per substance of the
Preference dividend on redeemable
instrument - Perpetual Debenture preference shares - Finance cost ;
as Equity; and Redeemable
Interest on perpetual debenture -
preference shares as debt
adjusted in the equity
FCCB
Treated as debt. Premium on Split accounting followed. Interest Increase in finance cost
redemption is either charged to cost on liability portion to be
reserves or forms part of
provided through income
contingent liability
statement
Deep discount
Discount on issue / premium on Discount on issue / premium on Increase in finance cost
bond/ZCB
redemption charged through redemption charged through P&L
reserves
using effective interest rate
method
Investments
Investments classified as (a)
Investments carried at fair value Earnings on investments will smoothen
current: carried at lower of cost with gains in P&L or OCI as per the and be recognized over the holding
or market value, and (b) non- classification (a) HTM, (b) FVOCI, period. Increase in net worth will,
current: carried at cost less any or (c) FVTPL.
however, lead to decline in return
permanent diminution in value
ratios.
of asset
Derivatives
Optional either to follow hedge Derivative instruments are
Reduce volatility in income statements
accounting or MTM losses on required to be fair valued and the of companies currently not following
derivative contracts are charged gains and losses are recognized hedge accounting
through the income statement through the income statement
while the MTM gains are
unless the company adopts hedge
ignored
accounting
Bill discounting
Debtors derecognized and
Debtors are derecognized only if Increase in debt and debtors. Decline
shown as part of contingent
significant control and risk are
in ROCE.
liability even if risk is retained transferred
Loan Provisioning -
NPA recognition as per RBI
NPA recognition as per expected NPA recognition will get proponed
BFSI
guidelines which is more on
credit loss method
lines with the incurred loss
model
Take or pay
Recognized as a purchase
Considered as a deemed lease.
Balance sheet:
higher asset base and
contracts with
transaction.
debt.
P&L:
Higher depreciation and
suppliers
interest payment. EBITDA will improve.
RoCE:
will deteriorate.
Asset retirement
Companies recognize absolute Companies recognize present
Profitability in initial years will decline,
obligation
contractual obligation for ARO value of both contractual and
as base for amortization increases on
as part of asset cost
constructive obligation as part of recognition of constructive obligation.
asset cost.
Intangibles -
Life of intangibles is definite.
Intangibles like
Amortization expenses will reduce
amortization
trademarks/brands can have
indefinite useful life
Revaluation of
Selective revaluation of assets is Does not permit selective
Decline in earnings
assets
permitted. Depreciation on
revaluation of assets. While
revalued asset is charged
revaluation gains are adjusted in
through the reserves
reserves, depreciation on revalued
assets needs to be factored
through the income statement
Forex fluctuations
Optional either to expenses the Exchange fluctuation on
Reduces asset value and earnings
on long-term loans
exchange fluctuation on long
translation or settlement of the
term monetary assets/liabilities foreign currency monetary items
or to capitalize it in the B/S and to be recognized in the income
amortize it over the life of the statement
asset or a specified period.
IGAAP
shares (under AS14).
Assets/Liabilities acquired can
be recognized at book value or
fair market value depending on
methodology used. Goodwill
recognized under AS14 is
amortized while under AS21 is
only tested for impairment
As per legal form :Perpetual
Bonds as Debt ; Redeemable
preference shares as equity
Ind-AS
Impact due to transition
intangibles even when not
amortization cost will vary from
recorded in the books of seller.
current levels.
Excess of consideration paid over
net asset acquired is treated as
goodwill and tested for annual
impairment, while the deficit is
adjusted in reserves
March 2016
5

Ind AS | India integrating
Key difference areas
Deferred taxes
IGAAP
Ind-AS
Computed using the ‘income
Computed using the ‘balance
statement approach’
sheet approach’
Proposed dividend
Shown as an appropriation of To be shown as an appropriation
profits for the year in which it is of profits post getting declared
declared
and approved
Government grants
Amount collected from
Amount collected from the
- Deferral loans
customer is recognized as a loan customer is recognized as a loan,
on absolute value.
which is carried at the present
value (PV). The difference
between the PV and absolute
value is (a)treated as the finance
cost on one side, and (b) deferred
revenue income on the other
Impact due to transition
Deferred tax recognition may vary
Proposed dividend unless approved
continues to remain as part of reserves
Increase in EBITDA and finance cost,
while earnings may remain
unimpacted
Source: MOSL
Exhibit 2:
Key implications on operating metrics
Key implications
Consolidation of entities
Consolidation
Consolidation of JVs
Treasury shares elimination
Multiple element contracts
Revenue
Recognition
Employee
Benefits
Service concession agreements
Transfer of control
Goss v/s net revenue presentation
Actuarial gain / loss
Fair valuation of ESOPs
Redeemable preference shares / Perpetual
debentures
FCCBs
Financial
Instruments
Deep discount bonds / ZCBs
Investments – FMPs
Investments - Equity / Debt – fair valuation
Derivatives - hedges
Bill discounting
Loan provisioning
Business
Combination
Business combination - FV
Asset retirement obligation
Revaluation of assets
PPE
Intangibles - depreciation
Deemed lease - lessor
Deemed lease – lessee
Exchange fluctuation - on loans
Others
Companies having high dividend payouts
Government grants - deferred loans
Source: MOSL
Revenue
EBITDA
PAT
Net Worth
Debt
ROCE
ROE
March 2016
6

Ind AS | India integrating
Exhibit 3:
Key implications on major sectors
Key implications
Consolidation
Consolidation of entities
Consolidation of JVs
Treasury share elimination
Revenue
Recognition
Multiple element contracts
Service concession agreements
Fee income on
(a) loans extended, and
(b) guarantee services
Goss v/s net revenue presentation
Actuarial gain / loss
Fair valuation of ESOPs
Redeemable preference shares /
perpetual debentures
Investments - FMPs
Investments - Equity / Debt - fair
valuation
Derivatives - hedges
Deep discount bonds / ZCBs
Bill discounting
Business
Combination
PPE
Loan provisioning (NPA recognition)
Business combination - FV
Asset retirement obligation
Intangibles - depreciation
Deemed lease - lessor
Deemed lease - lessee
Others
Exchange fluctuation - on loans
Companies having high dividend
payouts
Source: MOSL
Automobile
IT
Power
Media
Telecom
FMCG
BFSI
Employee
Benefit
Financial
Instruments
March 2016
7

Ind AS | India integrating
Exhibit 4:
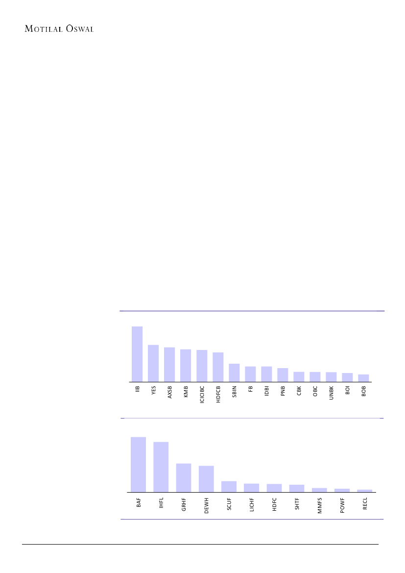
Material implications for many companies
Company
IndusInd Bank
Remarks
(a)
Fee recognition:
Will get deferred over period of loan / rendering service. IIB's FY15 fee
income stood at 2.3% of average assets.
(b)
NPA recognition:
Likely to be advanced. IIB’s 3QFY16 PCR stood at 34%.
(c)
Fair valuation of ESOPs:
To adversely impact earnings (FY15: 2.2% of PAT).
(a)
Fee recognition:
Will get deferred over period of loan / rendering service. YES’ FY15 fee
income stood at 1.6% of average assets.
(b)
NPA recognition:
Likely to be advanced. YES’ 3QFY16 PCR stood at ~33%.
(c)
Fair valuation of ESOPs:
To adversely impact earnings (FY15: 1.8% of PAT).
(a)
Fee recognition:
Will get deferred over period of loan / rendering service. SBI's FY15 fee
income stood at 0.8% of average assets.
(b)
NPA recognition:
Likely to be advanced. SBI’s 3QFY16 PCR stood at ~27%.
(c)
Actuarial gains/losses:
Will be routed through reserves and not impact earnings (FY15:
Loss of 11.9% of PBT).
(a)
Actuarial gains/losses:
Will be routed through reserves and not impact earnings (FY15:
Gain of 16.5% of PBT).
(b)
NPA recognition:
Likely to be advanced. BoB’s 3QFY16 PCR stood at ~31%.
(c)
Fee recognition:
Will get deferred over period of loan / rendering service. BoB’s FY15 fee
income stood at 0.3% of average assets.
(a)
Fee recognition:
Will get deferred over period of loan / rendering service. PNB's FY15
fee income stood at 0.6% of average assets.
(b)
NPA recognition:
Likely to be advanced. PNB’s 3QFY16 PCR stood at ~16%.
(c)
Actuarial gains/losses:
Will be routed through reserves and not impact earnings (FY15:
Loss of 55.6% of PBT).
(a)
Fee recognition:
Will get deferred over period of loan / rendering service. FY15 fee
income stood at 0.7% of average assets.
(b)
Redemption premium on ZCB:
Will impact earnings (7.8% of FY15 PAT). ZCBs
outstanding as at FY15 stood at INR2.1b.
(c)
Fair valuation of ESOPs:
To adversely impact earnings (FY15: 2% of PAT).
(a)
NPA recognition:
Likely to be advanced. SHTF has NNPA of 4.1% of N/W as at 3QFY16.
(b)
Securitization:
De-recognition of asset to become more stringent, leading to adverse
impact on CAR.
(a)
NPA recognition:
Likely to be advanced. MMFS has NNPA of 14.4% of N/W as at
3QFY16.
(a)
Consolidation of JVs:
Will impact revenue and EBITDA. JVs accounted for 54% of FY15
revenue.
(b)
Asset retirement obligation:
Amortization cost may increase in the initial period on
recognition of additional constructive obligations for decommissioning assets.
(a)
Redeemable preference shares:
Classification as debt will raise FY15 D/E to 0.6x (v/s 0x)
and adversely impact FY15 PAT by 5.7%.
(a)
Exchange fluctuation on long-term monetary items:
To be recognized in income
statement against the current practice of capitalizing to balance sheet. However, the
current practice may continue for existing loans.
(b)
Fair valuation of ESOPs:
To adversely impact earnings (FY15: ~19% of PAT).
(c)
Barter transactions:
Recognition will increase revenue and operating expenditure.
(a)
Consolidation of JVs:
Will impact revenue and EBITDA. JVs accounted for ~44% of FY15
revenue.
(b)
Fair valuation of ESOPs:
To adversely impact earnings (FY15: 6% of PAT).
Yes Bank
SBI
Bank of Baroda
Punjab National Bank
IndiaBulls
Housing Finance*
Shriram Transport
Mahindra Finance
Bharti Infratel
Zee Entertainment
Dish TV
TV18
March 2016
8

Ind AS | India integrating
Company
Ashok Leyland
Remarks
(a)
Consolidation of JVs:
Will impact revenue and EBITDA, since AL has significant
operations though JVs.
(b)
Revenue recognition:
Likely to be deferred. Revenue from sales, service and warranty to
be separately recognized on performing activities.
(c) (c)
PPE:
Deemed lease applicability may impact RoCE. Agreements with ancillaries can
be altered to circumvent applicability, but this might have cost implications.
(a)
Elimination of treasury shares:
Will increase EPS and return ratios. 8.3% of MM's capital
is held as treasury shares.
(b)
Consolidation of entities:
Might vary based on the new definition of control. Could
impact critical operating metrics.
(c)
Revenue recognition:
Likely to be deferred. Revenue from sales, service and warranty to
be separately recognized on performing activities.
(d)
Business combination:
Depreciation costs may rise on recognizing assets at fair value.
(e)
PPE:
Deemed lease applicability may impact RoCE. Agreements with ancillaries can be
altered to circumvent applicability, but this might have cost implications.
(a)
Business combination:
Depreciation costs may rise on recognizing assets at fair value.
(b)
Consolidation of JVs:
Will impact revenue and EBITDA. MSS has significant operations
through JVs.
(a)
Consolidation of JVs:
Will impact revenue and EBITDA. TTMT has significant JVs and step
JVs (Chery generating substantial revenues).
(b)
Revenue recognition:
Unbundling of multiple element arrangements will lead to
deferral of service revenue.
(c)
PPE:
Recognition of assets based on substance (ultimate risk) may lead to assets being
transferred to TTMT’s books. Can be circumvented by altering contracts, but this might
increase operating costs.
(a)
Actuarial gains/losses:
Volatility in employee cost to reduce on actuarial gains/losses
being charged through reserves. Actuarial loss was INR1.1b in FY15.
(b)
Elimination of treasury shares:
Will increase EPS and return ratios. 2.4% of capital is
held as treasury shares.
(c)
PPE:
Applicability of deemed lease might impact RoCE. Agreements with contract
manufacturers can be altered to circumvent applicability, but this might have cost
implications.
(a)
Fair valuation of ESOPs:
To adversely impact earnings (FY15: 5.5% of PAT).
(b)
PPE:
Deemed lease applicability may impact RoCE. Agreements with contract
manufacturers can be altered to circumvent applicability, but this might have cost
implications.
(c)
Financial instruments:
Fair valuation of investments to smoothen earnings and increase
net worth on transition, impacting return ratios. ITC's mutual fund investments stood at
~13% of net worth at the end of FY15.
(a)
Fair valuation of ESOPs:
To adversely impact earnings (FY15: 6.6% of PAT).
(a)
Elimination of treasury shares:
Will increase EPS and return ratios. 9.9% of capital is
held as treasury shares.
(b)
Business combination:
Depreciation costs may rise on recognizing assets at fair value.
(c)
Fair valuation of ESOPs:
Will adversely impact earnings (FY15: 1.5% of PAT).
(a)
Perpetual debentures:
To be classified as shareholders’ funds. Will reduce finance cost;
debt-equity to improve from 0.8x to 0.7x.
(b)
Exchange fluctuation:
To be recognized in income statement against the current
practice of capitalizing to balance sheet. However, the current practice may continue for
existing loans (FY15 capitalization ~INR69b; ~22% of PBT).
(c)
Fair valuation of investments:
To smoothen earnings; RIL has ~20% of its N/W
investments in mutual funds.
Mahindra & Mahindra
Motherson Sumi
Tata Motors
United Spirits
ITC
Jubilant Foodworks
Tech Mahindra
Reliance Industries
March 2016
9

Ind AS | India integrating
Company
JSW Steel
Remarks
(a)
Exchange fluctuation:
To be recognized in income statement against the current
practice of capitalizing to balance sheet. However, the current practice may continue for
existing loans.
(b)
Redeemable preference shares:
Classification as debt will raise FY15 D/E to 1.7x (v/s
1.6x) and adversely impact FY15 earnings by ~1%.
(a)
Actuarial gains/losses:
Volatility in employee cost to reduce on actuarial gains/losses
being charged through reserves. SAIL's FY15 actuarial loss: 36% of PBT.
(b)
Asset retirement obligation:
Amortization cost may increase in the initial period on
recognition of additional constructive obligations for decommissioning assets.
(a)
Exchange fluctuation:
To be recognized in income statement against the current
practice of capitalizing to balance sheet. However, the current practice may continue for
existing loans. (FY15 capitalization: INR1b; ~27% of PBT).
Source: MOSL
SAIL
Jindal Steel
*Notification for applicability of Ind-AS to HFC’s is yet to be announced
March 2016
10

Ind AS | India integrating
India Inc migrates to global accounting regime
IFRS the global accounting language
Globally, more than 140 countries follow IFRS (or IFRS converged) financial
statements. Among the large economies, only three – USA, Japan and India – do
not follow IFRS or its converged financials.
Exhibit 6:
IFRS adoption around the world
% of total
31%
14%
6%
23%
26%
100%
116
2
12
10
IFRS required for all or most
public companies
IFRS permitted for all or most
public companies
IFRS required for financial
institutions only
National standards (including in
process of moving to IFRS)
Source: PWC, MOSL
Exhibit 5:
140 countries globally follow IFRS
Region
Europe
Africa
Middle East
Asia and Oceania
America
Total
Number of
jurisdictions
43
19
9
32
37
140
Source: PWC, MOSL
India Inc. to adopt IFRS converged financials in phased manner
~350+ BSE-500 companies
will adopt these new
standards effective FY17
India made a commitment towards the convergence of Indian accounting
standards with IFRS at the G20 summit in 2009. In line with this, the Ministry of
Corporate Affairs (MCA) issued a roadmap for the implementation of Indian
Accounting Standards (Ind-AS) converged with International Financial Reporting
Standards (IFRS) beginning April 2011. However, this plan was suspended due to
unresolved tax and other issues.
While presenting the Union Budget 2014–15, the Honorable Minister for
Finance, Corporate Affairs and Information and Broadcasting proposed the
adoption of Ind-AS.
India is set to migrate to Ind-AS (the new accounting norm) in a phased manner,
with ~350+ BSE-500 companies adopting these new standards effective FY17.
Exhibit 7:
Road map for implementation of Ind-AS (Excl. BFSI)
Year of adoption
Comparative year
Companies covered
Listed companies
Unlisted companies
Group companies
Phase I
FY17
FY16
Companies with net worth
> = INR5b
Companies with net worth
> = INR5b
Phase II
FY18
FY17
Voluntary Adoption
FY16 or thereafter
FY15 or thereafter
Companies listed or in the process
of being listed
Any company can voluntarily adopt
Ind-AS
Companies having a net worth
> = INR2.5b
Applicable to holding, subsidiaries, JVs or associates of companies covered
above
st
Note: Net worth for the above has to be calculated as on 31 March 2014
Source: ICAI, MOSL
March 2016
11

Ind AS | India integrating
Exhibit 8:
Road map for implementation of Ind-AS by BFSI
Year of Adoption
Comparative year
Companies covered
Banks & Insurance companies
NBFC
Phase I
FY19
FY18
Phase II
FY20
FY19
NA
(i) Listed / in process of being listed - All NBFCs
All Scheduled Banks & Insurance
companies
Companies with Networth >= INR5b
Group companies
(ii) Unlisted - Networth more than INR2.5b but less than
INR5.0b
Applicable to holding, subsidiaries, JVs or associates of companies covered above.
Source: MCA, MOSL
*Notification for applicability of Ind-AS to HFC’s is yet to be announced
Ind-AS is based on the
principles of (a) substance
over form, (b) fair valuation,
and (c) increased
disclosures
The new accounting standards are based on the principles of (a) substance over
form, (b) fair valuation, and (c) increased disclosures will bring more appropriate
presentation of the financial statements. However, they provide a lot of
discretion on the form of management’s estimates.
While India is converging with IFRS and not adopting IFRS, several carve-outs
have been created from IFRS to represent the financials of the companies in the
most apt manner. We summarize these below.
Exhibit 9:
Key carve-outs from IFRS
Mandatory carve-outs
•Law
overrides accounting standard;
however, under M&A, auditors' certificate required
•FCCBs - Embedded derivative to be treated as equity
•Gain
on bargain purchase in M&A
to be recognised in capital reserve
•Loan
with covenant breached
can continue to be non current if repayment is not demanded
Long term employee benefit
- GSEC rates to be used for discounting (except for foreign operations)
Lease rentals
- No straight-lining for escalation
Optional carve-outs
•Foreign
exchange fluctuations
on long term monetray items existing on first time adoption can continue
to be accounted as per IGAAPs
•Accounting
policies of JVs/ associates
can be different if adoption of parent's policy is impracticable
Source: MOSL
Return ratios and earnings differ under IFRS
Among the large cap companies in India, six report their financials both under
IGAAP and IFRS. A comparison of their FY15 financials under both GAAPs
highlights differences in revenues, EBITDA, PAT, net worth, and borrowings.
However, we note that India is amongst the first countries to early adopt the
new standard on revenue recognition from 1
st
April 2016, wherein the IFRS
mandates its application from annual periods beginning on or after 1
st
January
2017.
12
March 2016

Ind AS | India integrating
Exhibit 10:
Operating metrics varies under different GAAPs
Particulars
Total revenue
EBITDA
EBITDA (%)
PAT
Net Worth
Borrowings
Debt/Equity (x)
IGAAP
2,628
401
15.3%
140
563
736
1.3
Tata Motors
IFRS
2,625
381
14.5%
128
539
725
1.3
Diff.
0%
-5%
-1%
-9%
-4%
-1%
-
IGAAP
150
38
25.1%
23
99
43
0.4
Dr. Reddy
IFRS
148
33
22.6%
22
111
43
0.4
Diff.
-1%
-13%
-2%
-5%
11%
-
-
IGAAP
737
280
38.0%
(156)
539
778
1.4
Vedanta
IFRS
738
(291)
-39.4%
(128)
1,029
679
0.7
Diff.
0%
-204%
-77%
18%
91%
-13%
-54%
Source: MOSL, SEC filings
Exhibit 11:
Operating metrics varies under different GAAP
Particulars
Total revenue
EBITDA
EBITDA (%)
PAT
Net Worth
Borrowings
Debt/Equity (x)
IGAAP
946
245
25.9%
199
506
3
0.0
TCS
IFRS
927
247
26.6%
193
584
4
0.0
Diff.
-2%
1%
1%
-3%
13%
16%
-
IGAAP
533
149
27.9%
124
507
-
-
Infosys
IFRS
533
149
27.9%
122
548
-
-
Diff.
-
-
-
-2%
7%
-
-
IGAAP
470
103
21.9%
87
371
77
0.2
Wipro
IFRS
470
105
22.3%
87
410
79
0.2
Diff.
-
2%
0%
1%
10%
2%
-
Source: MOSL, SEC filings
Hindustan Unilever (HUVR) recently conducted an analyst conference to
highlight the changes in (a) the opening balance sheet, and (b) earnings for
1QFY16 on adoption of Ind-AS. It’s net worth as at April 1, 2015 and PAT for
1QFY16 are impacted by 65% and 0.8%, respectively on adoption of Ind-AS.
Exhibit 12:
Material Implication on HUL’s Net Worth on transition (INR m)
Particulars
Total revenue
EBITDA
EBITDA (%)
PAT
Net Worth*
Reclassified IGAAP
82,137.4
19,785.4
24.1%
10591.4
37,247.8
Ind-AS
85,570.0
19,928.9
23.3%
10680.3
61,564.4
Diff
4%
1%
-1%
1%
65%
* Draft Ind-AS Balance Sheet as on April 1, 2015
Source: Company, MOSL
Refer
Annexure 1
for detailed draft financial of HUL
In the following sections, we discuss the significant differences between the two
GAAPs, implications of transition and first-time adoption, and sector-wise
implications on adopting Ind-AS.
March 2016
13

Ind AS | India integrating
Ind-AS: Paradigm shift in financial reporting
Significant changes under the new standards
Our analysis highlights that significant differences lie in revenue recognition,
consolidation, financial instruments, employee benefits, business combinations,
property, plant and equipment, among others.
We believe that generally amongst this Revenue recognition, Business
combination and PPE will have a sectorial level impact while Financial
Instruments, Employee benefit cost and consolidation will have a more
company specific impact. We will now discuss each of these in detail :-
Exhibit 13:
Key differences between the two GAAPs
Source: MOSL
Consolidation: Based on new definition of control
Consolidated financials
mandatory if an entity has
one or more JV or associate
or subsidiary.
IGAAPs require the preparation of financial statements only when a company
has one or more subsidiaries. However, Ind-AS requires consolidated financials
to be prepared even when an entity has one or more joint ventures or
associates and no subsidiaries.
Further, Ind-AS differs materially from IGAAPs in preparation of consolidated
financial statements. The differences are primarily on account of three reasons.
March 2016
14

Ind AS | India integrating
Exhibit 14:
Consolidation under Ind AS may be materially different
What will be consolidated ?
Change in definition of control
Way in which to be consolidated?
Equity method v/s propotionate consolidation
Gain/losses recognition?
Implication on dilution of stake in subsidiary
Source: MOSL
Entities consolidated as
subsidiary under Ind-AS
may significantly vary from
that in IGAAP
Derecognition of treasury
shares will lead to a
reduction in the net worth
and increase in reported
EPS
Change in definition of control to determine subsidiaries:
Under the present
IGAAP, consolidation of an entity as subsidiary is based on (a) share of equity
held (over 50%), or (b) composition of board of directors. However, Ind-AS,
based on substance over form, broadens the definition to identify control and
includes (a) veto rights with minority shareholders, (b) potential voting rights, (c)
de-facto control, and (d) structured entities to identify subsidiaries. Thus, the
universe of entities that get consolidated under Ind AS and IGAAP may vary
significantly.
The change in definition of control leads to improved transparency, better
governance and appropriate presentation of financial statements, as:
Crossholdings created by certain companies to circumvent the definition of
subsidiary will now need to be consolidated.
Company having de-facto control over another company has to be
consolidated, irrespective of stake. This will be disadvantageous for
companies lacking transparency in reporting.
In case of an SPV, where there is a private equity or strategic investor
involved and has a say in the operations of the SPV, it may be concluded
that control over the SPV is shared. Therefore, the assets and liabilities of
that SPV may/may not be consolidated in the company's balance sheet.
This, in our opinion, will impact conglomerates, and companies in the
infrastructure and real estate sectors.
Treasury shares to be derecognized:
Ind AS does not recognize treasury shares
as financial assets and requires the same to be adjusted to the equity. Further,
no gains / losses are recognized on the purchase, sale, issue or cancellation of
the treasury shares. This will lead to a reduction in the net worth of companies
on the one hand and increase in reported EPS on the other.
Exhibit 15:
EPS rise on de-recognition of treasury shares
Company
M&M
Tech M
United Spirits
% Impact on N/W
-5.6%
-9.9%
-2.4%
EPS under IGAAP
53.1
27.5
NA
EPS under Ind-AS
58.4
30.7
NA
Source: Company Annual Report, MOSL
March 2016
15

Ind AS | India integrating
Equity method of
consolidating JV will lead to
material changes in revenue
and EBITDA while, PAT may
remain un-impacted.
Equity method v/s proportionate consolidation for joint ventures:
Ind AS
requires joint ventures to be consolidated using the equity method (as currently
done for associates) as against proportionate consolidation currently prescribed
by the IGAAPs.
This will bring in material changes in operating metrics like revenue/ EBITDA for
entities that operate through JVs. Valuations of companies currently valued on
EV/EBITDA basis may be impacted.
NCC
L&T
Tata Steel
SAIL
M&M
Asian Paints
Bharti Infratel
TV 18
Idea Cellular
ONGC
Cadila
Source: Company Annual Report, MOSL
Exhibit 16:
Companies having material operations through JVs
Bosch
Tata Motors
Cummins India
Motherson Sumi
Ashok Leyland
TCS
Gains/ Loss on partial stake
sale in a subsidiary without
loss of control is not
recognized
Implication of stake sale in subsidiary:
Ind-AS considers all providers of equity
capital as the entity’s shareholders, even if they are not shareholders in the
parent company. Accordingly, in case of change in the parent’s ownership
interest in a subsidiary without loss of control, the gain/loss on such transaction
is not recognized as profit or loss – it is considered as an equity transaction.
However, when the sale/disposal transaction results in a loss of control in the
investee subsidiary, the gain/loss is recognized in P&L, including the gain/loss
resulting from re-measurement of the retained interest, if any in that subsidiary.
Under IGAAP, gain/loss on sale/disposal of any interest in the subsidiary is
recognized in the income statement. This could result in a significant difference
in reported earnings of the entity on partial stake sale in a subsidiary.
March 2016
16

Ind AS | India integrating
Timing and nature of revenue recognition may vary
Difference in principles
leads to change in timing
and nature of revenue
recognition
The principles of revenue recognition under IGAAP and Ind-AS vary significantly.
While IGAAP follows a simplistic approach of transfer of risk and reward for a
definitive consideration with certainty of collection, the Ind-AS prescribes a
more comprehensive approach, which in addition to the above, includes (a)
transfer of control, and (b) fair valuation.
Exhibit 18:
Ind-AS: Additional criteria on transfer of control
and fair valuation
(a)
(b)
•Identify contract with c/m
•Identify separate performance obligation in
contract
•Determine the transaction price
•Allocate transaction price to separate performance
obligation
•Recognise revenue when the entity satisfies the
performance obligation
Source: MOSL
Exhibit 17:
IGAAP: Simple principles for revenue recognition
•Transfer of significant risk and rewards
(a)
•Certainty of consideration amount
(b)
(c)
(d)
(e)
Source: MOSL
•Certainty on collection of consideration
(c)
This difference in principles will lead to a variance in timing, extent and
presentation of revenue recognition under Ind AS v/s the current IGAAPs. The
instances of variances in revenue recognition can be broadly summarized under
the following seven categories.
Exhibit 19:
Revenue recognition under Ind-AS will vary under seven key categories
Multiple element contract
Service concession arrangements
Revenue recognition on transfer of control
Customer loyalty programmes
Extended credit
Discounts / incentive schemes and Right to return
Gross v/s net presentation
Source: MOSL
March 2016
17

Ind AS | India integrating
Recognition of revenues
and earnings may defer
under multiple element
contracts
Multiple element contracts:
Multiple element contracts are composite
contracts of related activities that (a) can be executed independently, and (b)
consideration is separately determined. Ind AS provides that that the related
revenues in multiple element contracts (like free warranty and service offered
along with sale of vehicle) should be unbundled and recognized separately at
the time of actual rendering of service. This is in divergence to the current GAAP
practice, where the entire revenue is recognized upfront.
This, in our view, will lead to a variation in the timing of recognition of revenues
and earnings for sectors like Autos, Media, Capital Goods, Telecom, etc.
Service concession arrangements:
In India, to promote private participation in
the development of public infrastructure, contracts are being awarded on a
build operate and transfer (BOT) basis, commonly known as service concession
arrangements (SCA).
The current IGAAPs do not provide any comprehensive guidelines on accounting
of SCA. Under IGAAP, companies currently recognize the asset constructed as a
fixed asset and depreciate it over the concession period, and recognize (a)
annuity payments received from the government, or (b) toll collection from
users as revenue. Operating and maintenance expenses are charged to income
statements as and when incurred.
However, under Ind AS, the entity will recognize revenue by splitting the
activities separately for (a) construction of assets, and (b) operation and
maintenance of assets.
For construction of the asset, the entity will determine the fair value of the
asset. Revenue and profitability during the construction phase will be
recognized on a POCM basis over the period of construction.
For operation and maintenance of the asset, the accounting treatment will vary
depending on whether the project is awarded on an annuity basis or on the
basis of rights for collecting toll revenues from users over a finite period.
Under annuity contracts, the entity recognizes a financial asset, while in the
latter, an intangible asset is recognized. At the time of revenue recognition on
construction activity the entity recognizes (a) financial asset – in case of annuity
projects, or (b) Intangibles in case of toll collection method. Accounting for both
is explained by an example below.
Accounting under annuity method
ABC Limited enters into a BOT agreement with NHAI to build a 100km
highway, against which ABC will receive fixed revenue (annuity) of INR5.4b
per year (of which INR0.4b can be ascribed towards operations and
managements) from NHAI for the next five years irrespective of the
vehicular traffic on the constructed highway. ABC is likely to incur total cost
of INR10b. Operation and maintenance (O&M) expense would be INR0.2b.
(Assumptions - Tax: 0%, IRR: ~17%, fair value of construction service after
first year: INR16b.)
Under SCA, revenues and
earnings on construction
and operating and
maintenance will be
recognized separately
March 2016
18

Ind AS | India integrating
Exhibit 20:
IGAAP: Fixed assets recognized during construction period at cost (INR b)
Particulars
Income statement
Annuity + O&M received
Operating cost
Depreciation
Profit
Balance Sheet
Fixed Assets
Reserves
Cash/(Borrowings)
Cash inflow/(outflow)
2016
-
-
-
-
10.0
-
(10.0)
(10.0)
2017
5.4
(0.2)
(2.0)
3.2
8.0
3.2
(4.8)
5.2
2018
5.4
(0.2)
(2.0)
3.2
6.0
6.4
0.4
5.2
2019
5.4
(0.2)
(2.0)
3.2
4.0
9.6
5.6
5.2
2020
5.4
(0.2)
(2.0)
3.2
2.0
12.8
10.8
5.2
2021
5.4
(0.2)
(2.0)
3.2
-
16.0
16.0
5.2
Total
27.0
(1.0)
(10.0)
16.0
16.0
Source: MOSL
Exhibit 21:
Ind-AS: Financial assets recognized during construction period at fair value (INR b)
Particulars
Income statement
Revenue
Interest income
Total income
Road construction cost
O&M cost
Profit
Annuity received from NHAI
Balance Sheet
Receivables from NHAI
Reserves
Cash/(Borrowings)
Cash inflow/(outflow)
2016
16.0
-
16.0
(10.0)
-
6.0
-
16.0
6.0
(10.0)
(10.0)
2017
0.4
2.7
3.1
-
(0.2)
2.9
5.0
12.8
8.9
5.7
5.2
2018
0.4
2.3
2.7
-
(0.2)
2.5
5.0
9.6
11.4
1.8
5.2
2019
0.4
1.9
2.3
-
(0.2)
2.1
5.0
6.4
13.5
7.1
5.2
2020
0.4
1.3
1.7
-
(0.2)
1.5
5.0
3.2
15.1
11.9
5.2
2021
0.4
0.7
1.1
-
(0.2)
0.9
5.0
-
16.0
16.0
5.2
Total
18.0
9.0
27.0
(10.0)
(1.0)
16.0
25.0
16.0
Source: MOSL
Accounting under right of toll collection
In the above illustration, if ABC had agreed to collect revenue in the form of
toll collection (assumed INR5.4b per year), there would be no guarantee of
minimum payment from NHAI and the revenue would be subject to
minimum variation in connection with vehicular traffic. In the books of ABC,
the receivables would be recognized as an intangible asset – “toll collection
rights” and would be amortized over the period of ‘right to collect toll’ on
the road.
Exhibit 22:
Ind-AS: Intangible assets recognized during construction period at fair value (INR b)
Particulars
Income statement
Revenue
Toll collected
Total income
Road construction cost
O&M cost
Amortization
Profit
Balance Sheet
Toll Collection Rights
Reserves
Cash/(Borrowings)
Cash inflow/(outflow)
2016
16.0
-
16.0
(10.0)
-
-
6.0
16.0
6.0
(10.0)
(10.0)
2017
2018
2019
2020
2021
Total
16.0
27.0
43.0
(10.0)
(1.0)
(16.0)
16.0
5.4
5.4
-
(0.2)
(3.2)
2.0
12.8
8.0
(4.8)
5.2
5.4
5.4
-
(0.2)
(3.2)
2.0
9.6
10.0
0.4
5.2
5.4
5.4
-
(0.2)
(3.2)
2.0
6.4
12.0
5.6
5.2
5.4
5.4
-
(0.2)
(3.2)
2.0
3.2
14.0
10.8
5.2
5.4
5.4
-
(0.2)
(3.2)
2.0
-
16.0
16.0
5.2
16.0
Source: MOSL
March 2016
19

Ind AS | India integrating
Upfront fee is recognized
over the period of
rendering service, leading
to satisfaction of
performance obligation
Under Ind-As, sales
incentives, discounts,
rebates will be netted off
from revenue
Revenue recognized on transfer of control:
Ind AS mandates revenue
recognition on satisfaction of performance obligation, which includes not only
transfer of significant risk and reward, but also the transfer of control. This will
lead to Change in timing of revenue and cost recognition of real estate
companies depending on the terms of the contracts as against the current
guidance on revenue recognition prescribes revenue recognition on POCM basis
subject to achievement of stringent threshold criteria.
Non-refundable upfront fees:
In certain contracts, companies charge a non-
refundable upfront fee at the commencement of the contract, wherein the fee
relates to an activity that the entity is required to undertake at or near contract
inception. The current IGAAPs do not prescribe any specific guidance on this.
Consequently, accounting of companies varies. However, under Ind-AS, to
assess the performance obligation, the entity needs to assess whether the fee
relates to transfer of a promised good or service. If the performance obligation
criteria in such a case are not met, the entity is required to defer the revenue
recognition of upfront fee and recognize it over the period of rendering service
or on delivery of goods, leading to satisfaction of performance obligation.
This would have an impact on companies in the BFSI and vacation ownership,
sectors.
Variable consideration – Discount/incentive schemes and right to return:
Companies may enter into contracts for sale of goods / rendering of services,
where the consideration is variable and dependent on certain future events.
These include contracts eligible for volume discounts, sales incentives, refund
rights rebates, penalties, sales returns, etc. The current IGAAPs do not provide
any specific guidance on the accounting of such contracts. Consequently, most
companies recognize the entire revenues upfront and recognize the expenses as
and when the contingency is resolved. However, under Ind-AS, the company
needs to estimate and provide for the variability in consideration at the
inception of the contract. This would imply:
All sales incentives, discounts, rebates (including cash discount) will be
netted off from revenue. This will lead to a decline in reported revenues of
the companies, which will be compensated by increase in EBITDA margins.
This will have an impact on sectors like Autos, Consumer, etc.
Timing of revenue recognition will have to factor in several aspects like right
of return, dispatch v/s delivery, etc. This will have an impact on companies
in Consumer and Pharmaceuticals sectors.
Customer loyalty programs:
Currently, there is no specific guideline for
accounting of loyalty or reward points offered by various companies.
Consequently, companies follow diverse practices of recognizing the entire sales
consideration upfront and either (a) expensing the cost of reward / loyalty
points when redeemed, or (b) estimating and recognizing a provision for this
periodically. However, Ind AS requires estimation and carving out of the fair
value of the reward/loyalty points from the initial sales consideration. The
revenue so estimated is deferred and recognized on redemption of such loyalty/
reward points.
This will have an impact on the revenue recognition of companies in Retail,
Airlines, Banking, and Hospitality sectors.
20
March 2016

Ind AS | India integrating
Extended credit:
Since Ind-AS is based on the fair value approach, it factors in
time value of money. It requires the revenues on sales made with a deferred
payment consideration to be recognized at fair value. The difference between
the fair value and total consideration is recognized as interest income over the
tenure of the receipt of the deferred consideration.
Gross v/s net presentation:
Revenue under Ind AS is to be recognized at gross
value of excise duty, considering the excise component as part of expenses
under “materials consumed”. This will have a material impact on the
presentation of revenue and costs of all manufacturing companies.
Exhibit 23:
Excise duty as a % of revenue
United Spirits
United Breweries
ITC
Castrol
Ramco Cement
Rel Com
Ambuja Cement
Ultratech
SAIL
ACC
Shree Cement
Supreme Ind
Grasim
Source: Capital Line, MOSL
Employee cost may vary on fair valuation
Employee costs under Ind-AS may vary from IGAAPs primarily on account of two
counts (a) share-based payments, and (b) long-term employee benefits.
Exhibit 24:
Employee cost recognition varies under Ind-AS
Share based payments
•Fair valuation of ESOPs
•ESOPs granted by the parent
Long term employee benefits
•Actuarial loss/ gain
Source: MOSL
Fair valuation of ESOPs to raise employee costs:
Employee stock options
(ESOPs) will be mandatorily accounted using the “fair value” approach in place
of the current options of using intrinsic value or fair value approach.
This will primarily have an impact on companies in the BFSI, Pharmaceuticals, IT,
and Consumer sectors, which offer significant ESOPs, generally accounted using
intrinsic approach.
March 2016
21

Ind AS | India integrating
Exhibit 25:
Fair valuation of ESOPs adversely impact FY15earnings
•CRISIL
•HDFC Bank
•INFO EDGE
•TV18
•ITC
•Oracle
•Indiabulls Real Estate
•ICICI Bank
•Lupin
•IDEA
•Biocon
•Tech M
11%
9%
6%
6%
6%
5%
4%
3%
2%
2%
2%
2%
Dish TV impact of 19% on PBT on account of lower profit base. Source: Company Annual Report, MOSL
Actuarial gains/losses on
long term employee
defined benefit plan to be
adjusted through reserves
ESOPs to subsidiaries employee in Parent companies to impact employee cost
of subsidiaries:
Many companies (usually MNCs) offer ESOPs to the senior
management of their subsidiaries. Under the current practice, cost of ESOPs
skirts the income statement of the subsidiary while it is recognized in the books
of the parent company. However, Ind-As requires the cost of ESOPs given by the
parent company to be recognized in the books of the parent. This we believe
will impact the earnings of the subsidiaries which are separately listed.
Reduction in P&L volatility on actuarial losses:
Ind AS mandates the actuarial
gains and losses on post-employment benefit plans and other long-term
employment plans to be adjusted through other comprehensive income. This is
in variance with the current practice under IGAAPs, where they are charged
through the income statement. We believe that this will lead to a reduction in
the volatility of employee cost charged to the income statement.
Exhibit 26:
Actuarial losses adversely impacted earnings in FY15
Company
SAIL
Federal Bank
United Breweries
OIL
Tata Power
GlaxoSmith C H L
Gillette India
Nestle India
BPCL
ICICI Bank
ONGC
NTPC
Coal India
Bank of Baroda
Gains/(losses) as % of PBT
-36%
-7%
-6%
-5%
-4%
-3%
-3%
-3%
-3%
-2%
-2%
-2%
3%
17%
Source: Company Annual Report, MOSL
March 2016
22

Ind AS | India integrating
Financial instruments: Classification and measurement undergoes change
Financial instruments are contracts that give rise to both (a) a financial asset on
one entity, and (b) a financial liability or equity instruments of another entity.
There exist significant differences in the treatment of financial instruments
between Ind AS and IGAAP at various stages, which can be summarized as
below:
Exhibit 27:
Accounting differences at all stages of financial instruments under both GAAPs
Classification
Measurement and impairment
Derecognition
Source: MOSL
Considering preference
dividend on NCPS as finance
cost will adversely impact
reported earnings
Classification of financial instruments change as substance gains importance
over legal form:
Ind AS prescribes that financial instruments should be classified
in accordance with the substance of the contractual agreement, rather than its
legal form (as is the current practice). This may lead to reclassification of
financial instruments.
Non-convertible preference shares (NCPS) to be classified as debt
and the
corresponding cost to be recognized as finance cost. This will lead to (a)
decline in the earnings of companies having preferential shares, as the
preferential dividend paid as an appropriation of profit will now be classified
as finance cost, and (b) increase in the debt-equity.
Exhibit 28:
Earnings decline considering NCPS as debt
Company
Zee Entertainment
JSW Steel
Note: Only companies with significant impacts are highlighted
% impact on PAT
-5.7%
-0.2%
Source: Company, MOSL
Perpetual debentures / compulsorily convertible debentures
to be
classified as equity with finance cost accounted in statement of equity.
Embedded derivatives to be accounted separately
if the economic
characteristics of the derivative are not closely related to the economic
characteristics of host contracts. This will particularly apply to optionally
convertible instruments, where the derivatives would be recognized
separately and the instrument (debt) would be accounted separately.
Fair valuation principle to impact measurement of financial instruments
IGAAP follows conservatism principle and recognizes the financial instruments at
historical costs while the Ind-AS following fair valuation principle measures financial
instruments using the time value of money. This will lead to material difference in
the measurement and impairment of financial instrument under the two GAAPs
March 2016
23

Ind AS | India integrating
Measurement/impairment of financial instruments
Investments
• Equity: Fair valued with gains either in P&L or OCI
• Debt : Carried at amortized cost or fair valued with gains
either in P&L or in OCI
Derivatives :
Fair valued with MTM in P&L or treated as per
hedge accounting
Loans and receivables :
Impairment as per expected credit
loss model
Net worth boost on Fair Value of investments:
Ind-AS requires recognition of
financial investments at fair value. This is in divergence with the current
practice, where investments are classified as current and long term. Current
investments are valued at cost or market price, whichever is lower and long-
term investments are carried at cost less permanent diminution in the value of
investment. Fair valuation of investments is likely to boost the net worth of
companies and adversely impact return ratios. Investments can be categorized
as (a) debt, or (b) equity.
Exhibit 29:
Fair Value based measurement & recognition of Investments in Ind-AS
Classification
Instrument type
Amortized cost
Debt
FVTOCI (Debt )
Debt
FVTPL
All (Debt, Equity,
Derivative)
Fair Value
Charged to P&L
NA
FVTOCI(Equity)
Equity
Fair Value
Added to initial
recognition
amount
Transferred to OCI
Balance sheet Measurement
Transaction Cost - Initial recognition
Transaction cost - Subsequent accounting
Amortized cost
Added to initial
recognition amount
Amortized through
P&L using EIR*
NA
P&L using EIR*
P&L
P&L
P&L
Fair Value
Added to initial
recognition amount
Trf to OCI and
amortized in P&L
using EIR*
OCI
P&L using EIR*
P&L
P&L
Gain/ Loss and
Amount parked in
OCI are transferred
to P&L
Recognition on fair value (Gain/ Loss)
Interest and Dividend
Impairment losses
Forex Gain / Loss
Gain / Loss on sale or de-recognition
P&L
NA
NA
NA
NA
OCI
Dividend in P&L
OCI
OCI
OCI recycling is
not allowed
Source: MOSL
Fair valuation of debt instrument to smoothen earnings:
Ind-AS requires the
fair valuation of debt instrument at the time of preparation of financial
statements. The debt instruments are classified into three categories
(depending on the business model test), which will determine the accounting for
difference in the fair value since the last measurement:
(a) Solely for the purpose of principal and interest (SPPI): Here, the financial
instruments are a carried at amortized cost and the gains are recognized in
the income statement.
24
March 2016

Ind AS | India integrating
(b) Either SPPI or sale: Here, the instruments are fair valued and MTM is
recognized through other comprehensive income (OCI). The gains so
accumulated are transferred to the P&L on sale/ maturity of the instrument.
(c) Residual: Here, the instruments are fair valued and the MTM is charged
through the income statement.
This, in our view, will lead to a significant smoothening of profit recognition of
instruments like FMPs, where entire gains are currently recognized on maturity.
Exhibit 30:
Companies with significant investments in Mutual Fund Units (% of net worth)
More Than 50%
Tata Communication
Bajaj auto
26-50%
Just Dial
Vedanta
MCX
Maruti
Info Edge
Idea
Voltas
Emami
Bharti Infra
20-25%
CRISIL
Britania
Asian paints
Eicher
Thermax
AIA Engg
Indiabulls Housing Fin
Hero Moto Corp
MphasiS
Tata Motors
Grasim Inds
Indian hotels
Dr Reddy's Labs
MRF
Divi's Lab.
Mindtree
Ambuja Cem.
UltraTech Cem
Reliance Inds.
Source: Capital Line, MOSL
Equity instruments fair valuation to boost net worth:
Equity instruments under
Ind AS are required to be fair valued, with change in fair valuation adjusted in
OCI or P&L. The MTM changes on fair valuation are charged to OCI, if (a) the
instrument is classified as not held for trading and, (b) the company has
exercised an option for accumulating the fair valuation changes through OCI. In
all other cases, the change in fair valuation is adjusted through the P&L. We
highlight that equity investments are in subsidiaries, JVs and associates, which
as per the option provided under Ind-AS, can be carried at cost or accounted at
fair value with MTM gains / losses adjusted through OCI while preparing the
standalone financial statements.
Derivatives – fair valuation will lead to low volatility in income statement:
Under Ind-AS, all derivative instruments are required to be fair valued and the
gains and losses are recognized through the income statement unless the
company adopts hedge accounting. This is in variance with the current
accounting practice wherein companies are either required to follow hedge
accounting (AS30) or only the MTM losses on derivative contracts are charged
through the income statement while the MTM gains are ignored. This will
reduce volatility in income statements of companies currently not following
hedge accounting, as the MTM gains will be recognized, offsetting the adverse
impact of the underlying.
25
March 2016

Ind AS | India integrating
Refer
Annexure 2
for companies currently not following hedge accounting
Early recognition of impairment losses on loans extended using expected
credit loss model:
Ind-AS prescribes the recognition of impairment losses using
the ‘expected credit losses’ (ECL) model. Our discussions with experts suggest
that this will lead to earlier recognition of impairment loss vis-à-vis the incurred
loss model traditionally used. The ECL model contains a ‘three stage’ approach
based on the change in credit quality of financial assets since initial recognition:
Stage 1:
Includes financial instruments that have not had significant increase
in credit risk since initial recognition or those having low credit risk on the
reporting date. For these assets, 12-month expected credit losses (resulting
from default events possible within 12 months) are recognized and interest
revenue is calculated on the gross carrying amount of the asset.
Stage 2:
Includes financial instruments that have had a significant increase
in credit risk since initial recognition but where there is no objective
evidence of impairment. For these assets, lifetime ECLs are recognized, but
interest revenue is still calculated on the gross carrying amount of the asset.
Expected credit losses are the weighted average credit losses with the
probability of default (PD) as the weight.
Stage 3:
Includes financial assets where there is objective evidence of
impairment on the reporting date. For these assets, lifetime ECLs are
recognized and interest revenue is calculated on the net carrying amount
(that is, net of credit allowance).
Further, for trade receivables, Ind-AS mandates the use of lifetime ECL
model.
This in our view will adversely impact the BFSI sector where the credit loss
provisioning will get preponed.
Ind-AS will lead to early
recognition of NPA
provisioning
Business combination: Fair valuation mandatory
IGAAPs currently provide for separate guidance on (a) acquisition of business
unit or group of assets (under AS14), and (b) acquisition of shares of company
(under AS21). Ind AS, on the other hand, prescribes a consistent guidance for
accounting of all business combinations. Further, accounting for business
combinations under Ind AS significantly varies with the current IGAAPs primarily
on four counts:
March 2016
26

Ind AS | India integrating
Exhibit 31:
Business combination: Differs under Ind-AS and IGAAPs
Transaction costs
Goodwill on
acqusition
Recognition of
assets/liabilities
acquired
Recognition of
additional
intangibles
Source: MOSL
Exhibit 32:
Business combination: Differs under Ind-AS and IGAAPs
Accounting standard
Method of accounting
Applicability
Recognition of assets /
liabilities
intangible recognition
(other than in Books )
Consideration paid - Net
assets recognized
Goodwill treatment
Overall amortization /
depreciation cost
Transaction cost
Pooling of Interest
IGAAP
AS14
Purchase
AS21
Consolidation
Acquisition of shares in a
company
Ind-AS
Ind-AS103
Business combination
Acquisition of any business
Acquisition of business unit /
Acquisition of business
group of assets + satisfying
unit / group of assets
requisite condition
Book value
No
Adjusted in reserves
NA
Low
Capitalized
Optional - Book value or
Book value
fair value
Rarely as no guidance
available
Goodwill
Amortized over 5 years
High
Capitalized
No
Goodwill on consolidation
Tested for impairment
Low
Capitalized
Fair value
Mandatory - at fair value
Goodwill
Tested for impairment
Medium
Expensed
Source: MOSL
Mandatory fair valuation of assets/liabilities acquired:
Ind AS requires
mandatory use of fair value approach (except in acquisition of companies under
the common control) for recognition of assets/ liabilities acquired under M&A
transactions.
However, under IGAAP, M&A transactions using AS14 are accounted either
using (a) pooling of interest method (when some conditions are satisfied) using
book value and no recognition of goodwill, or (b) by purchase method, wherein
the company has an option to recognize assets/liabilities either at book value or
fair value. While, under AS21 the net assets are recorded at book value while
the difference between book value and consideration paid is recorded as
goodwill on consolidation.
Recognition of intangibles acquired:
Ind AS prescribes guidance for
identification and recognition of intangible assets such as brands, trademarks,
customer relationships, etc, which are not provided by the current IGAAPs.
Consequently, companies will be required to recognize and disclose the
valuation of intangibles acquired on acquisition.
March 2016
27

Ind AS | India integrating
Case study:
In FY09, when Tata Motors acquired JLR, it recognized brand value
and trade (intangibles) of INR51.6b, with indefinite life under its IFRS financials.
However, it did not recognize such intangibles under IGAAP financials.
Higher amortization costs
expected for companies are
growing via inorganic
acquisitions.
Amortization charge to increase on lower recognition of goodwill:
Currently, IGAAPs mandate the goodwill recognized under acquisitions (AS14)to
be amortized over a period of five years unless a higher tenure can be justified;
while, goodwill on consolidation under AS21 is only tested for impairment.
Consequently, under the current practice corporates prefer to structure M&A
deal as acquisition of company under AS21. Ind-AS, on the other hand requires
goodwill to be only tested annually for impairment.
Ind As on the other hand only requires the goodwill to be annually checked for
impairment. However, since the goodwill recognized under Ind AS is generally
lower than that recognized under consolidation (AS21) the amortization charge
(primarily due to fair valuation of assets). This, in our view, may lead to an
overall increase in amortization/depreciation charge for the companies.
Expensing transaction cost of M&A:
Cost incurred on mergers and
amalgamation is required to be charged through income statement under Ind-
AS against the current practice of capitalizing it.
These changes will particularly impact sectors like Pharmaceuticals, IT,
Automobiles and Consumer, where companies are growing via inorganic
acquisitions.
Property, plant and equipment, intangibles: Material changes here!
Accounting of property, plant and equipment under Ind AS has various
departures from the current IGAAPs. These differences will impact not only the
net worth of companies but also the quantum and quality of earnings. The
differences are primarily on account of (a) capitalization of expenses, (b)
depreciation / amortization of the asset, and (c) lease accounting.
Exhibit 33:
Areas on differences in PPE under the GAAPs
Capitalisation of expenses
•Exchange fluctuation
•Borrowing cost
•Asset Retirement obligation
•Revalued assets
•Intangibles
Depreciation & Amortisation
Lease accounting
•Deemed Lease
Source: MOSL
No capitalization of exchange fluctuation:
Following the amendments made in
AS11, several companies have opted to capitalize the exchange fluctuation on
long-term monetary assets/liabilities either in (a) the value of assets, or (b)
foreign currency monetary item translation difference account (FCMITDA),
which is then amortized through the income statement either over the life of
28
March 2016

Ind AS | India integrating
the loan/asset or till FY20, whichever is earlier. Ind AS requires the exchange
fluctuation to be expensed and does not permit capitalization except as an
adjustment in the borrowing cost.
However, transition provision permits the companies currently following
amended AS11 to continue the capitalization on existing loans.
This is likely to affect companies in the Automobiles, Telecom and Metals sector
which currently rely of forex borrowing and capitalize exchange fluctuation in
the balance sheet.
Refer
Annexure 3
for list of companies following amended AS11
Capitalization of borrowing cost may increase:
Currently, several companies
capitalize borrowing costs of specific loans, but exclude borrowing costs on
many general borrowings (for example, working capital loans). Under Ind-AS, in
the absence of sufficient specific borrowings, all general borrowings need to be
considered for the purpose of capitalization. Our discussions with various
experts indicate that this would result in additional amounts being capitalized.
This, in our view, will impact sectors like Telecom, Metals & Mining and Power
which have high assets under capitalization.
Capitalization of asset retirement obligation may increase:
Asset retirement
obligations (AROs) should factor both constructive and contractual obligations
on present value basis against the erstwhile practice of IGAAPs, where the AROs
are factored only for constructive obligations. This would negatively impact the
profitability of companies, as they would be required to make higher
provisioning on account of constructive obligations partially mitigated by
discounting of obligations to present value.
This, in our view, will impact sectors like Metals, Telecom, Power and Oil & Gas.
Depreciation of revalued assets to impact earnings:
Ind AS does not permit
selective revaluation of assets but prescribes for the entire class of assets.
Further, while revaluation gains are adjusted in reserves, depreciation on
revalued assets needs to be factored through the income statement as against
the current IGAAP practice of charging through revaluation reserves. We do not
expect companies to opt revaluation of assets under Ind-AS.
Amortization costs to be lower on intangibles with indefinite life:
Under Ind-
AS,
intangibles
like trademarks/brands can have indefinite useful life and may
not be amortized but need to be periodically tested for impairment. This is in
variance with the current IGAAPs, where the intangibles are generally amortized
over a period not exceeding ten years. We believe that this may lead to lower
amortization of intangibles for companies, and hence, lead to higher earnings.
This may impact companies in the Pharmaceuticals, Consumer and Agriculture
sector, where acquisitions may lead to recognition of brands and trademarks,
which may have indefinite useful life.
Depreciation on revalued
assets needs to be factored
through the income
statement
Exhibit 34:
Companies with significant intangibles currently amortized
Company
Torrent Pharma.
Pfizer
% of FY15 Net Worth
71%
17%
Source: Capital Line, MOSL
March 2016
29

Ind AS | India integrating
Deemed lease may have material impact on debt and return profile of
corporates:
While Ind-AS and IGAAP are consistent in accounting of lease, they
differ significantly in identifying transactions that need to be classified as lease.
Ind-AS is based on ‘substance over form’ and looks beyond the legal form (as
used by IGAAP) to identify arrangements that are in the nature of lease.
Ind-AS prescribes the fulfillment of the following conditions for any transaction
to be classified as a deemed lease:
Requires the use of specific asset, and
Convey to the counterparty right to use the asset while it takes significant
proportion of the output/utility of the asset as evidenced by any of the
following:
(i) The purchaser has the right or ability to operate the asset or direct
others to operate the asset in the manner it determines, or
(ii) The purchaser has the right and the ability to control the physical access
to the underlying asset, or
(iii) The price that the purchaser pays for the output is neither contractually
fixed per unit nor is the current market price per unit.
The arrangements that may fall under the scope of deemed lease will include (a)
outsourcing arrangements, (b) take-or-pay contracts, (c) arrangements in the
Telecom industry, in which the supplier of network capacity enters into contract
to provide purchasers with the right to capacity, etc.
Under deemed lease, the assets so determined to qualify for deemed lease will
be transferred from the books of the seller of goods to the books of the
purchaser of goods at fair value. Further, the payments received from the
purchaser of goods will be accounted for as (a) payments towards operations for
manufacturing of goods/services, and (b) payments towards financial lease,
which will be further broken down as (i) repayment of financial liability, and (ii)
payment of interest.
Exhibit 36:
Books of seller – Ind-AS
Revenue
recognition
•Profit on sale of assets
•Operations and maintenance
•Interest on Financial lease
•Operations and maintence
costs
•Repayment of financial lease
Exhibit 35:
Books of seller – IGAAPs
Revenue
recognition
•Sale of goods
Payment Received
•Recognised towards receipt
from debtors
Payments received
Assets
•Tangibles assets-
depreciated periodically
Source: MOSL
Assets
•Financial assets - Receivable
from financial lease
Source: MOSL
March 2016
30

Ind AS | India integrating
Exhibit 37:
Books of purchaser - IGAAPs
Asset
•No assets
Exhibit 38:
Books of purchaser – Ind-AS
Assets
•Tangiable assets
Liabilities
•No liabilites
Liabilities
•Lease obligation
•Depeciation of intangibles
•Operating/ Mfg cost
•Lease rentals
•Operating and Mfg costs
Source: MOSL
Expenses
•Purchase price of goods
Expenses
Payments
•Purchase of goods
Source: MOSL
Payments
Example: XYZ Limited (power producer) enters into an agreement in 2016 with
ABC Limited (power purchaser) to sell all the units of power produced at a
specified plant at a rate of INR500m p.a (of which INR100m is towards annual
operating expenses) for four years. Further, the construction of plant will cost
INR1,000m and operating cost of power generation and other operating
expenses are INR60m per year.
Assumptions – interest rate: 10%, depreciation method: straight line, Fair Value
of assets: INR1268m.
Exhibit 39:
Allocation of lease payments (INR m)
Year
2016
2017
2018
2019
2020
Opening
balance
1,268
994
694
364
Total payment
(Int. + Principal)
400
400
400
400
Interest
126
100
70
36
Principal
274
300
330
364
Closing balance
1,268
994
694
364
-
Source: MOSL
Exhibit 40:
Financials of ABC Limited (Lessee; INR m)
Particulars
Income Statement
Operating expense
Depreciation
Interest
Net income/(loss)
Balance Sheet
Fixed assets (gross)
Accumulated depreciation
Fixed assets (net)
Lease obligation
Cash flow from financing activities
2016
100
317
126
(543)
1,268
317
951
994
(500)
2017
100
317
100
(517)
1,268
634
634
694
(500)
2018
100
317
70
(487)
1,268
951
317
364
(500)
2019
100
317
36
(453)
1,268
1,268
-
-
(500)
(2,000)
Source: MOSL
Total
400
1,268
332
(2,000)
March 2016
31

Ind AS | India integrating
Exhibit 41:
Financials of XYZ Limited (Lessor; INR m)
Particulars
Income Statement
Income from operating activities
Interest income
Gain on sale of asset
Operating expense
Net income /(loss)
Balance Sheet
Lease receivable
Cash flow
Cash flow from operations
Cash flow from investing activities
Total cash flow
2016
100
126
268
(60)
434
994
440
(1,000)
(560)
2017
100
100
(60)
140
694
440
-
440
2018
100
70
(60)
110
364
440
-
440
2019
100
36
(60)
76
-
440
-
440
1,760
(1,000)
760
Source: MOSL
Total
400
332
268
(240)
760
Will era of high RoCE be behind for few sectors impacted by deemed lease?
Companies may redraft
arrangements to
circumvent deemed lease
provision. However,
sourcing cost may rise.
Automobiles, Pharmaceuticals, Consumer, and Power Purchasers enjoyed high
RoCE, as they operated with asset-light models, where manufacturing was
outsourced, with take-or-pay contracts. With the introduction of Ind-AS, such
contracts may qualify for deemed lease. This will entail recognition of additional
tangible assets and financial liabilities in the books of the purchaser, adversely
impacting return ratios.
While the companies in these sectors will try to modify agreements to skirt the
definition of deemed lease, we believe that (a) this might be difficult, where the
government is a counterparty, and (b) even when the arrangements are entered
into with other companies, there might be an increase in cost implications, as
demand risk will legally shift to the seller under the new arrangements.
Other differences
Foreign exchange fluctuations
Ind-AS requires the exchange fluctuation on
translation or settlement of the foreign currency monetary items to be
recognized in the income statement. However, in the current IGAAPs, an option
has been provided to companies to capitalize the exchange fluctuation on long
term monetary assets to the carrying cost of fixed assets / reserves as the case
may be and amortize it over the life of the asset or a specified period.
It may, however, be read along with the carve-outs proposed, where the
companies have been given an option to continue their existing accounting
policy of long term monetary asset/liability that existed on the date of migration
(end of FY16 for Phase I companies).
Deferred taxation –
Under Ind AS, deferred taxes are computed using balance
sheet approach for temporary differences between the carrying amount of an
asset or liability in the statement of financial position and its tax base. Under
IGAAP, taxes are computed using profit/loss statement approach for timing
differences in respect of recognition of items of profit or loss for the purposes of
financial reporting and for income taxes.
This will lead to recognition of (a) deferred tax on unrealized inter-company
profit eliminated on consolidation, and (b) deferred tax on undistributed profits
of subsidiaries and associates.
March 2016
32

Ind AS | India integrating
Proposed dividend –
Under the current practice, the liability for dividend
payments is recognized in the period in which it is declared. However, under Ind
AS, it is recognized when approved by the shareholders. This, in our view, will
have a positive impact on the net worth of entities paying high dividends on the
one hand, while it dampens return ratios on the other.
Government grants
Ind AS prescribes for accounting for government grants as
follows, which is different from the current IGAAPs:
(a) Below market rate loan:
Benefit of government loans with below market
rate of interest should be accounted for as government grant, measured as
the difference between the initial carrying amount of the loan and fair value
of the loan on initial recognition. The value of this benefit is then recognized
on a systematic basis over the periods in which the entity recognizes as
expenses the related costs for which the grants are intended to
compensate. Under the current IGAAPs, no benefits are separately
recognized.
(b) Grants of non-monetary assets:
Benefit of government grants of non-
monetary assets have to be accounted at fair value. Under the current
practice, the same is recorded at acquisition cost.
(c) Grants related to fixed assets:
These are to be treated as deferred income,
which is recognized in the income statement on a systematic basis over the
useful life of the asset. This is in variance with the current practice, wherein
the grants value is reduced from the carrying value of the asset.
(d) Grants in the nature of promoters’ contribution:
Under Ind AS, these are
recognized as income over the period on a systematic basis to match the
related cost that it intends to compensate. Under IGAAPs, it is recognized as
part of capital reversal.
Barter transactions –
When goods or services are exchanged for obligations of
similar value other than money, the exchange is regarded as barter. Currently,
there is no specific guidance under IGAAP to record barter transactions.
However, under Ind AS, such transactions are to be recorded at fair value
adjusted by any sum or cash transferred. This will lead to higher recognition of
revenues and operating expenditure while earnings remain un-impacted.
Extraordinary items
Disclosure of items as extraordinary items, either on the
face of profit/loss statement or in notes is prohibited under Ind AS. However, to
provide investors with greater clarity on the recurring nature of
incomes/expenses, the management at its own discretion can exhibit such
extraordinary items in Management Discussion & Analysis in the annual report.
Extensive disclosure requirements – a boon for investors
Ind-AS comes with a lot of additional disclosures in line with global standards. Not
only will this help enhance transparency but will also provide vital information to
various stakeholders.
Segmental disclosures made more robust:
Ind-AS requires segmental
information to be provided on how the chief operating decision-maker (CODM)
evaluates financial information for allocating resources and assessing
performance. This may require certain companies to change segment
disclosures consistent with the internal reporting.
March 2016
33

Ind AS | India integrating
Related party definition broadened:
The definition of what constitutes a
“related party” has been broadened under Ind-AS to include increased number
of relationships. Post-employment benefits too have been included as benefits
to employees.
Detailed disclosures on management estimates:
Ind-AS requires a company to
disclose the judgments and estimates that the management has made in the
process of applying the company’s accounting policies and that have significant
effect on the amounts recognized in the financial statements.
Risk assumptions to be spelt out:
Ind-AS also requires disclosure of key
assumptions about the future that can result in a situation of risk, which may
require adjustments to carrying amount of assets and liabilities (within the next
financial year).
Focus on detailed discourse on capital management:
Currently, there are no
disclosure requirements with regards to capital management. However, Ind-AS
requires disclosures that would enable users of the financial statements to
evaluate the company’s objectives, policies and processes for managing capital.
EPS:
IGAAP mandates disclosure of standalone EPS (earnings per share).
However, Ind-AS mandates EPS disclosure of consolidated profits too.
Reconciliation of Income taxes to be made available:
Ind-AS will also require
extensive disclosures in the area of income taxes. This includes a reconciliation
of effective tax expense with the actual tax expense, deferred tax assets not
recognized on losses, movement in deferred tax assets and liabilities balances,
etc.
Contingent Assets
to be disclosed along with contingent liability.
Transition disclosures:
Extensive disclosures are required to explain the
transition to the shareholders for every change in estimate, accounting policy,
reclassification or recognition/de-recognition of assets and liabilities, qualitative
description of factors that constitute goodwill, and pro-forma revenues and
profit and loss of the combined company as if the acquisition was done at the
beginning of the reporting period.
Reconciliation of Networth:
The first time adopter needs to provide a
reconciliation statement of impact of adopting Ind-AS on
Equity – as at the transition date and at the end of comparable year, and
Profits – of the comparative period.
March 2016
34

Ind AS | India integrating
Transition and first time adoption of Ind-AS
Road map for first time adoption
Transitioning to Ind-AS will be a mammoth task, as it will require companies to
(a) Prepare an opening balance sheet using Ind-AS principles,
(b) Prepare a comparative financial statement using Ind-AS, and
(c) Give adequate disclosures on reconciliation of profit and net worth on first
time adoption
For an entity transiting to Ind-AS from FY17, the timelines will be as follows:
Exhibit 42:
Timelines for preparation of financials under Ind-AS in Phase I
Source: MOSL
Preparing an opening balance sheet
An entity is required to make the opening Ind-AS balance sheet on the date of
transition as an initiating measure to adopt Ind-AS. The entity shall follow the
following process for preparation of first time balance sheet; the difference
arising shall be adjusted through reserves.
March 2016
35

Ind AS | India integrating
Exhibit 43:
Process of preparing an opening balance sheet
Recognize all assets and liabilities whose recognition is required by Ind-AS
Not recognize items as assets or liabilities if Ind-AS does not permit such recognition
Reclassify items recognized in accordance with previous GAAP as one type of asset, liability or component of
equity, but are a different type of asset, liability or component of equity in accordance with Ind-AS
Apply Ind-AS in measuring all recognized assets and liabilities
Source: MOSL
Ind-AS provides certain exemptions from retrospective applicability of
provisions for preparation of opening balance sheet. While some of these are
mandatory, others are optional. The significant exemptions are illustrated
below:
Exhibit 44:
Exemptions on first time adoption
* Management estimates
* De-recognition of financials
assets & liabilities
* Hedge accounting
* Non-controlling interest
* Classification & measurement
of financial assets
* Embedded derivatives
* Impairment of financial assets
* Property, plant, equipment,
intangibles
* Long term foreign currency
monetary items
* Non-current assets held for sale
& discounted operations
* Service concession
agreements
* Business combination
Source: MOSL
Mandatory exemptions
Management estimates:
Estimates made by the management under IGAAP
should not be changed by using subsequent information at the Ind-AS transition
date (i.e. not to use any hindsight). These estimates should be changed only if
there is an error, or the estimates were not required under IGAAP but are now
required under Ind-AS.
De-recognition of financial asset / liability:
If non-derivative financial assets or
non-derivative financial liabilities are de-recognized in accordance with previous
GAAP as a result of a transaction that occurred before the date of transition to
Ind-AS, the entity shall not recognize those assets and liabilities in accordance
with Ind-AS unless they qualify for recognition as a result of a later transaction
or event.
Hedge accounting:
All derivatives are required to be carried at fair value
through profit and loss account unless they meet the hedge accounting
March 2016
36

Ind AS | India integrating
requirements under Ind-AS. Retrospectively designating derivatives and
qualifying instruments as hedges is not permitted.
Non-controlling interest:
Ind-AS provides that on transition the non-controlling
interest (NCI) cannot have a deficit balance unless it pertains to a business
combination considered retrospectively while applying first time adoption.
Classification and measurement of financial assets:
The classification and
measurement of financial assets will be made considering whether the
conditions specified under the standard are met based on facts and
circumstances existing at the date of Ind-AS transition.
Impairment of financial assets:
The transition provision provides operational
simplification to apply for impairment requirement. On first time adoption, it is
required to approximate the credit risk on initial recognition of financial
instrument. The entity will use this credit risk so determined at the date of
transition for determining whether a 12-month ECL or a lifetime ECL should be
used. If the entity is unable to determine whether there is increase in significant
credit risk, then lifetime ECL is used.
Optional exemptions
MAT paying may fair Value
assets on first time
adoption to benefit from
lower tax outflow
Companies permitted to
account for fluctuation on
existing loans as per their
current policy. However, on
new loans forex losses are
charged to P&L.
Property, plant and equipment:
Entities have been given an additional option to
use IGAAP carrying values of PPE and intangibles as on the transition date as
deemed cost under Ind-AS. Further, for lease arrangements, transitional relief
has been given to use transition date facts and circumstances to assess the
classification of each element as a financial or an operating lease.
We believe MAT-paying companies might opt to fair value the PPE at first time
adoption, as the upward revaluation of assets will lead to higher depreciation
and lower book profits. This in turn will lead to lower outflow of MAT.
Foreign exchange difference on long-term monetary items:
Entities under
IGAAP had a one-time option to capitalize exchange fluctuation on long term
monetary items to the carrying cost of fixed assets or to reserves and then
depreciate / amortize over a period of time as specified or charge it to income
statement. Under the transition provision, an exemption has been provided to
account for the exchange fluctuations on long term monetary assets/liabilities
that existed till the date of migration (FY16-end for Phase I) to account for
exchange differences arising from translation of long-term foreign currency
monetary items recognized in the financial statements as per previous GAAP.
However, the exchange difference on long-term monetary items accounted for
the first time after implementation of Ind-AS has to be routed through income
statement only.
Non-current assets held for sale; discontinued operations:
On first-time
adoption, an entity can measure such assets at the lower of carrying value and
fair value less cost to sell (at the date of transition) and recognize the difference
directly in retained earnings.
Service concession agreement:
Ind-AS provides optional relief from
retrospective application of the policy adopted for amortization of intangible
assets arising from service concession arrangements related to toll roads
recognized in the financial statements in previous financial reporting period as
per IGAAP.
37
March 2016

Ind AS | India integrating
Business combination:
A company has the following three options in relation to
the business combination transactions before the transition date:
Exhibit 45:
Options to account for business combinations
Restate all past business combinations done after a fix date, prior to
transition date, or
Not to restate business combinations before the transition date, or
Restate all past business combinations before the transition date
Source: MOSL
Comparative financials
After transition to Ind-AS, companies are required to present comparative
information as previously reported under IGAAP. Hence, three Balance sheets
would be presented at the end of the first year of transition.
Opening balance sheet
under Ind-AS
3 Balance sheets to
be presented
IGAAP reclassified balance
sheet for the comparative
period
Period-end balance sheet
under Ind-AS
Source: MOSL
Exhibit 46:
Three balance sheets to be prepared on first time presentation
Disclosure requirements
Extensive disclosures are required to explain the transition to the shareholders
for every change in estimate, accounting policy, reclassification or
recognition/de-recognition of assets and liabilities.
Further, companies are required to present the profit and loss account, cash
flow statement and notes to accounts for the current transition period under
Ind-AS and comparatives as previously reported under IGAAP reclassified in
prescribed Ind-AS format.
First time adoption may facilitate cleaning up of balance sheet for a few
We believe that the first time adoption of Ind-AS will lead to material changes in
the net worth of entities, as assets and liabilities will be reassessed for
recognition and measured as per Ind-AS with the differences being adjusted
directly in the reserves. We believe that this may be used by companies for
cleaning up the balance sheet.
38
March 2016

Ind AS | India integrating
Implications for sectors
As India Inc. transitions to Ind-AS, it is likely to witness many changes in financial
reporting. While it is difficult to quantify the impact or even gauge its direction in
several instances in the absence of adequate disclosures, we have tried to identify
the BSE200 companies likely to be impacted materially. We have classified the
impact in three categories (high, medium and low) based on the FY15 financials
reported by the respective companies.
Exhibit 47:
Implication of Ind-AS on various sectors
Sector
Overall
Revenue
Recognition
Financial
Instruments
Employee
benefit
Consolidation
PPE
Business
Combination
Others
Banking
Telecom
Media
Automobile
Cons umer
Technology
Power
Healthcare
Metals
Oil & Gas
Real Estate
Agriculture
Cement
Capital
Goods
●●●
●●●
●●
●●
●●
●●
●●
●●
●●
●●
●●
●●
●●
●●●
●●
●●
●●
●●
●●
●●
●●
●●
●●
Source: MOSL
●●
●●●
●●
●●●
●●
●●
●●
●●
●●
Impact: Low
●l
Medium
●●l
High
●●●
Our analysis of the differences between the two GAAPs suggests material impact on
the operating metrics of:
(a)
BFSI
– earlier recognition of NPAs, fair valuation of ESOPs, deferment in
recognition of fee income, and routing actuarial losses/gains through reserves,
(b)
Telecom
– expensing forex gains/losses on loans and consolidation of joint
ventures,
(c)
FMCG and IT
– fair-valuing ESOPs, increased amortization post business
combinations and accrual-based recognition of income on MF,
(d)
Auto
– consolidation of JVs / treasury shares, classification of take-or-pay
contracts as deemed lease,
(e)
Power
– arrangements with government classified as service concession
arrangements,
(f)
Media
– fair-valuing ESOPs, classifying redeemable preference shares as debt,
and
(g)
All sectors
– timing and quality of revenue recognition.
We now discuss the sector-wise implications of migration to Ind-AS and highlight
the companies we believe will be materially impacted.
March 2016
39

Ind AS | India integrating
Banking and financial services
Exhibit 48:
Snapshot
Area
Revenue Recognition
Fee income on (a) loans
extended , and (b)
guarantee services
rendered
Investment income
IGAAP
IND AS
Impact due to Ind-AS
No specific guidelines.
Generally recognized on
receipt
Instruments classified as (a)
HTM: carried at amortized
cost ; (b) AFS/ HFT: with
MTM losses in P&L and gains
being ignored till realized
Fee income is recognized
over the life of the
loan/period of service.
Instruments classified as (a)
HTM: carried at amortized
cost; (b) FVTOCI: With MTM
gains / Losses in reserve and
(c ) FVTPL: with MTM gains /
losses in P&L.
Deferral of revenue
recognition leading to impact
on margin and earnings.
This will lead to a reduction
in the volatility of treasury
income reported by the
banks and will also lead to an
increase in the net worth (in
a falling rate scenario) with
consequent decline in ROE's
NPA recognition will get
proponed
Financial instruments
NPA recognition
NPA recognition as per RBI
guidelines which is more on
lines with the incurred loss
model
Discount on issue / premium
on redemption charged
through reserves
Preference dividend is shown
as appropriation to profits
NPA recognition as per
expected credit loss method
Borrowing cost on deep
discount bond/ redemption
premium payable on
maturity
Preference dividend on
redeemable preference
shares
Employee benefits
ESOPs
Charged through Income
statement on EIM method
Redeemable Preference
shares are treated as debt
while preference dividend as
finance cost
Mandatory to account for
ESOPs cost on fair valuation
Gains/ losses on change in
actuarial assumptions
charged to the reserves
Decrease in NII
Decrease in NII
Long term employee
benefit plans
Optional to account for ESOP
cost on intrinsic basis or fair
valuation
Gains/ losses on change in
actuarial assumptions
charged to the income
statement
No specific guidelines.
Companies follow different
approaches. However,
generally recognized on
accrual basis
Increase in the employee
costs.
Reduction in volatility of
Income statement.
Others
Loan origination expenses
Transaction costs on loan
origination expenses is
amortized over the life of the
loan.
Deferral of cost recognition
Source: MOSL
Notification for applicability of
Ind-AS to HFC’s is yet to be
announced
We highlight below the principles that may affect BFSI companies due to the
transition to Ind-AS. We believe the impact of these provisions will be felt across
the sector and that it is difficult to detail the impact on individual companies
due to limited public information on Ind-AS implementation.
Revenue recognition
Fee income on
loans
and guarantees to be deferred:
Banks derive significant
proportion of their earnings through fees. In the absence specific guidelines,
different banks follow different methods to recognize fee income. Ind-AS
requires fee income (a) on guarantees to be recognized over the period
rendering of service, and (b) on loan origination to be recognized over the
March 2016
40

Ind AS | India integrating
Deferral of fee income to
impact private sector banks
tenure of the loan on the basis of effective interest yield method. This will lead
to a time deferment in recognition of revenues. Further, loan origination costs
(DSA payments), which are charged to income statement on actuarial basis, will
be amortized over the life of the loan.
Private
sector
banks
derive higher proportion of their profitability through fee
income than state-owned banks. The impact of deferment of fee income will be
higher on private sector banks. Further, the impact will be offset by
amortization of loan origination expenses (higher in retail loans), which are
currently being expensed.
Among private sector banks HDFC bank, Axis bank, Kotak Mahindra bank and
ICICI bank have higher exposure to retail loans.
HDFC Bank
derives most of its
fee income from liabilities and has significant DSA payouts on retail loans. We
believe it will be positively impacted.
Axis Bank
currently recognizes fee income
on guarantees over the tenure; hence, it will see minimal impact. Other private
sector banks have fee income of 1.3-2.3% of average assets. They are likely to be
impacted on deferral of fee income, though the impact is difficult to ascertain
due to limited disclosures on the composition of fee income.
NBFCs are usually more focused on retail loans and have high loan originating
expenses, which partially offset fee income. For Bajaj Finance, the average
tenure of the loan is low – deferment of fee income may not have a material
impact. Among the HFCs, the impact on IndiaBulls Housing Finance might be
higher, given its higher exposure to corporate loans.
Private sector banks derive substantial portion
Exhibit 49:
Private banks derive significant proportion of income from fees (% of avg
assets)
2.3%
Private Banks derive
significant portion of their
income via fees
1.6% 1.4%
1.4% 1.3%
1.2%
0.8% 0.7% 0.7%
0.6%
0.4% 0.4% 0.4% 0.4% 0.3%
Exhibit 50:
Fee income for NBFCs relatively low
0.8%
0.7%
0.4%
0.4%
0.2%
0.1%
0.1%
0.1%
0.1%
0.1%
0.0%
Source: Company Annual Report, MOSL
March 2016
41

Ind AS | India integrating
Volatility in recognition of
investment income to
increase
Higher
volatility
in recognition of investment income:
Banks have investments
in government bonds and treasury notes. Treasury incomes for banks have been
lumpy, primarily due to AFS and HFT investments, wherein MTM losses are
charged to the income statement while gains are ignored until realized. Recoup
of only provisions (MTM for price going above cost does not take place in a
falling interest rate scenario) happens. However, Ind-AS requires all investments
(excluding HTM) to be marked to market at the end of each financial period,
with gains / losses being recognized in the income statement / OCI as per the
classification. We believe this will increase the volatility in recognition of
treasury income and net worth.
Currently, private sector banks hold investment books with lower time duration.
They will face limited volatility in income and reserves on interest rate changes.
State-owned banks’ investment books are of higher duration; they will face
higher volatility in treasury income and reserves.
Financial instruments
NPA recognition – more judgmental and likely to happen earlier:
Currently,
banks follow the incurred credit loss method for NPA recognition, in line with
RBI guidelines. They make (a) general provisions on their entire loan portfolio at
rates specified by the RBI from time to time, and (b) specific provisions on the
basis of days overdue. Under Ind-AS, loan loss provisioning will be in the form of
expected credit loss method, which is more stringent than the incurred credit
loss method. Under the new norms, provisioning will not just be based on
predetermined rates. Banks will be required to evaluate all significant exposures
individually and all smaller exposures collectively to determine the change in
risk profile and evaluate the need for and quantum of impairment.
It is difficult to quantify the increase in provisions due to migration to the
expected credit loss model, as a lot is left to management discretion.
Directionally, companies with lower PCR (on overall stress loans) will suffer
higher adverse impact than peers.
Among other NBFCs, companies in different asset financing follow different
norms for recognizing NPAs. Directionally, companies with high NNPA as % of
net worth – Mahindra finance, Shriram Transport, REC, PFC – will be impacted
more.
State-owned banks have a
relatively lower PCR
Exhibit 51:
PCR lower for state-owned banks
64%
55%
34% 34%
31% 31% 31% 33%
21%
16% 17% 18%
24% 25% 27%
Source: Company, MOSL
March 2016
42

Ind AS | India integrating
Exhibit 52:
NBFCs: NNPA as a % of net worth
14.4%
5.9%
2.9%
3.9%
4.1%
BAF
POWF
RECL
SHTF
MMFS
Source: Company, MOSL
NII to be impacted on factoring discount on issue / redemption premium
payable as interest cost:
Few NBFCs issue deep discount / low coupon bonds
redeemable at a premium. Currently, the discount and redemption premium are
charged directly through reserves. Ind-AS requires the discount/ premium
payable on such bonds to be charged off as an interest cost, impacting NII.
Exhibit 53:
NBFCs: Interest cost on ZCCB to impact earnings
Company
HDFC
Indiabulls Housing Finance
Dewan Housing Finance
ZCCBs (INR m)
6440
2100
3118.9
PAT Impact
3.4%
7.8%
5.8%
Source: Company, MOSL
NII lower on classifying redeemable preference shares as debt:
Few NBFCs
issue redeemable preference shares (banks do not issue these any longer),
which are currently treated as AT1 for banks and T2 capital for NBFCs. The
redemption premium payable is treated as an appropriation to profit. However,
Ind-AS requires classification of such preference shares as debt and the dividend
payable as finance cost. This will lead to higher interest cost and lower NII.
Employee benefits
Fair valuation of ESOPs to impact earnings:
Most private sector banks grant
ESOPs to employees. Generally, companies have opted to account for ESOP cost
using intrinsic cost method. Ind-AS requires mandatory use of fair valuation
method, which is likely to increase employee cost.
Exhibit 54:
Fair valuation of ESOPs to impact earnings
Companies
HDFC bank
Federal Bank
ICICI Bank
Indusind Bank
Yes Bank
% of PAT
8.9
2.5
2.5
2.2
1.8
Company Annual Report, MOSL
March 2016
43

Ind AS | India integrating
Actuarial loss-led volatility in employee cost to reduce:
State-owned banks
have significant long-term employee benefit schemes. Currently, the actuarial
losses/gains on these schemes are charged through the income statement,
which leads to volatility in earnings. Ind-AS requires the actuarial losses to be
charged to reserves and will help to contain the volatility in earnings.
% of PBT Loss/(gain)
56%
12%
7%
2%
-17%
25%
35%
14%
23%
Company Annual Report, MOSL
Exhibit 55:
Defined benefit plan to be routed through reserves
Companies
Punjab National Bank
State bank of India
Federal Bank
ICICI Bank
Bank of Baroda
IDBI
Union Bank
Bank of India
Oriental Bank
Rating: Major impact due to NPA recognition and fee income
Revenue
Recognition
Financial
Instruments
Employee
benefit
expenses
Companies
Overall
HDFC Bank
Axis Bank
ICICI Bank
Indusind bank
Yes bank
Kotak Mahindra Bank
Federal Bank
State Bank of India
Bank of Baroda
Punjab National Bank
IDBI Bank
Canara Bank
Union Bank
Bank of India
Oriental Bank
HDFC
Bajaj Finance
Indiabulls housing finance
LIC Housing Finance
Power Finance Corporation
Rural Elec Corporation
Shriram Transport
Mahindra finance
Gruh finance
Dewan Housing Finance
●●
●●
●●
●●●
●●●
●●
●●●
●●●
●●●
●●●
●●●
●●●
●●●
●●●
●●●
●●
●●
●●●
●●●
●●●
●●●
●●●
●●●
●●
●●●
●●●
●●
●●●
●●●
●●
●●●
●●●
●●●
●●●
●●●
●●
●●
●●
●●
●●
●●●
●●●
●●
●●●
●●●
●●●
●●●
●●
●●●
●●
●●
●●●
●●●
●●●
●●●
●●●
●●●
●●●
●●●
●●●
●●●
●●●
●●●
●●●
●●●
Impact:
Low
l
Medium
●●
l
High
●●●
* For the purpose of our analysis we have considered the standalone financials of all banks (except SBI)
March 2016
Source: MOSL
44

Ind AS | India integrating
Telecom
Exhibit 56:
Snapshot
Area
Consolidation
Joint venture
IGAAP
Ind-AS
Impact due to Ind-AS
Consolidation on proportion-
nate basis.
Consolidated as per
equity method.
Decline in revenues and EBITDA.
However, earnings remain
unaffected. Also, leverage profile of
companies may change.
Reduces asset value and earnings
Others
Capitalization of exchange
fluctuation
Property, plant & equipment
Asset retirement
obligation (ARO)
Can be capitalized to value of
asset
Companies recognize absolute
contractual obligation for ARO
as part of asset cost.
To be charged to income
statement
Companies recognize
present value of both
contractual and
constructive obligation
as part of asset cost.
Profitability in initial years will
decline, as base for amortization
increases on recognition of
constructive obligation. However,
this will be partially compensated,
as obligations are recognized at
present value rather than absolute
value.
Increase in employee costs.
Employee benefits
ESOPs
Option to account for ESOP
cost on intrinsic basis or fair
valuation.
No specific requirement on
unbundling of services.
Mandatory to account
for ESOP cost on fair
valuation.
Composite sale of
handsets, sim-card,
packages, etc to be
unbundled and
recognized separately.
Prescribes specific
guidance to recognize
the transactions at fair
value.
Revenue recognition
Multiple element contracts
Revenue recognition may get
deferred.
Infrastructure sharing
agreements
(barter transactions)
Financial Instruments
Derivatives
In the absence of specific
guidelines, companies
generally do not record these
in the financial statements.
Revenue and operational
expenditure will be higher.
However, it will have no impact on
earnings.
Reduce volatility in income
statements of companies currently
not following hedge accounting
Optional either to follow hedge
accounting or MTM losses on
derivative contracts are
charged through the income
statement while the MTM
gains are ignored
Derivative instruments
are required to be fair
valued and the gains and
losses are recognized
through the income
statement unless the
company adopts hedge
accounting
Source: MOSL
Consolidation
JV consolidation under new norms to impact operating earnings:
Bharti Airtel,
Idea Cellular, Bharti Infratel and Vodafone have a JV (Indus Towers), which
contributes substantial revenues to the consolidated financials of these
companies. Ind-AS requires JVs to be consolidated by equity method (as
currently done for associates) as against the IGAAP-prescribed proportionate
consolidation. This will bring material changes in operating metrics like revenue
/ EBITDA and debt profile, while earnings may remain unimpacted. However, as
45
March 2016

Ind AS | India integrating
Bharti Airtel consolidates JVs using equity method, no impact is expected on its
financials.
Exhibit 57:
Significant operation from JV’s
Particulars
Bharti Infratel
Idea Cellular
% of Revenue
54%
8%
% of EBITDA
52%
10%
Source: Company Annual Report, MOSL
Others: Foreign exchange fluctuation
RCom & Idea Celluar
currently follow amended
AS11, likely to see impact
on earnings
Exchange fluctuation on long-term monetary assets/liabilities to impact
earnings:
Oil companies have exposure to long-term foreign currency monetary
items. Ind-AS requires the exchange fluctuation on translation or settlement of
the foreign currency monetary items to be recognized in the income statement.
The current IGAAPs, however, provide an option to capitalize the exchange
fluctuation to the carrying cost of fixed assets / reserves as the case may be and
amortize it over the life of the asset or the specified period. This change will
increase the volatility of earnings of companies currently following the option of
capitalizing exchange fluctuation. It may, however, be noted that under the
optional exception provided on first-time adoption, the companies are
permitted to continue their existing accounting policy of long-term monetary
assets/liabilities.
Expensing foreign exchange fluctuation recognized through income statement
would adversely impacted FY15 PBT of (a) RCom (FY15: ~69%) (b) Idea Cellular
(~2%).
Property, plant and equipment
Recognition of constructive Asset retirement obligations (ARO) to impact
earnings:
Telecom companies have asset retirement obligations (AROs) for the
infrastructure they lay for rendering services. They usually account for the
contractual obligation for the AROs either by (a) charging it on recurring basis to
the income statement, or (b) capitalizing the end obligation to the value of asset
and amortizing it over the period. However, Ind-AS requires companies to
capitalize both “constructive” and “contractual” obligations on present value
basis and then amortize it over the life of the asset. In our view, this will
negatively impact the profitability of companies in the telecom sector in the
initial part due to high amortization on recognition of constructive obligation.
However, it will be partially mitigated by discounting of obligation to present
value.
Overall, we expect this to have a low impact on the sector. The impact on Bharti
Infratel, which has significant revenue from infrastructure lay-down business, is
likely to be higher.
Exhibit 58:
Companies having significant infrastructure rental revenue
Particulars
Bharti Infratel
Idea Cellular
FY15
61%
8%
Source: Company Annual Report, MOSL
March 2016
46

Ind AS | India integrating
Employee benefits
Fair Valuation of ESOPs to impact earnings:
Few telecom companies offer
ESOPs, which are accounted using the intrinsic value method. Ind-AS will require
fair valuation of ESOPs, which may lead to higher employee costs.
Idea Cellular’s PAT to be adversely impacted by 1.7% for FY15.
Revenue recognition
Revenue recognition on “Multiple element contracts” to be deferred:
Telecom
companies sometimes enter into sales arrangements wherein a sim card,
voice/data packages, and value-added services (VAS) are sold with the handsets.
Under the current practice, the companies recognize the entire revenues
upfront and do not ascribe any revenues towards the services that will be
rendered subsequently. Ind-AS requires the revenues to be unbundled and
recognized separately – revenue from sale of handset to be recognized on date
of sale and revenues on services to be systematically distributed over the period
of rendering the services. In India, the practice of selling composite deals is low,
and hence, this change is likely to have low impact on the companies.
Mandatory revenue & cost recognition for infrastructure sharing agreements:
Many telecom companies enter into infrastructure sharing agreements on
barter basis, where services are provided on reciprocal basis and no cash
transactions are involved. Under the current practice, in the absence of any
specific guidance, the companies generally do not record such transactions.
However, Ind-AS mandates the recognition of such transactions. This will lead to
higher recognition of revenue and operational expenditure, though earnings
may remain unchanged.
Financial instruments
Earnings volatility to reduce for companies not following hedge accounting:
Indian telecom companies have significant exposure to foreign currency
borrowings. To hedge the exchange fluctuation risk, they enter into various
derivative contracts. Under Ind-AS, all derivative instruments are required to be
fair valued and the gains and losses are recognized through the income
statement unless the company adopts hedge accounting. Under the current
accounting practice, companies are either required to follow hedge accounting
(AS 30) or only the MTM losses on derivative contracts are charged through the
income statement (while the MTM gains are ignored). This change will reduce
the volatility in the income statement of companies currently not following
hedge accounting. Idea does not follow hedge accounting and has derivatives
outstanding of INR35.8b (16% of FY15 Networth).
March 2016
47

Ind AS | India integrating
Rating: Consolidation likely to have significant impact on Telecom companies
Revenue
Recognition
Company
Overall
Financial
Instruments
Employee
cost
Consolidation
PPE
Others
●●●
Impact:
Low
l
Medium
●●
l
High
●●●
Bharti Infratel
Idea Cellular
Reliance
Communication
Tata Communication
●●●
●●
●●●
●●
●●
●●●
Source: MOSL
Bharti Airtel
presently reports consolidated financial statements in accordance
with IFRS. Hence, we believe the transition to Ind-AS will not have any
meaningful impact on its financials.
March 2016
48

Ind AS | India integrating
Media
Exhibit 59:
Snapshot
Area
Financial instruments
Derivatives
IGAAP
Ind-AS
Impact due to Ind-AS
Reduce volatility in income
statements of companies
currently not following hedge
accounting
Increase in finance cost leading
to decline in reported EPS.
Debt/Equity to rise.
Increase in the employee costs.
Optional either to follow hedge
accounting or MTM losses on
derivative contracts are charged
through the income statement
while the MTM gains are ignored
Forms part of share holders’
funds.
Derivative instruments are required
to be fair valued and the gains and
losses are recognized through the
income statement unless the
company adopts hedge accounting
Classified as debt. Dividend on
preference shares is treated as a
finance cost.
Mandatory to account for ESOP
cost on fair valuation.
To be charged to income
statement
Consolidated as per equity
method
Redeemable
preference shares
Employee benefits
ESOPs
Others
Exchange fluctuation
Consolidation
Joint venture
Option to account for ESOP cost
on intrinsic basis or fair valuation.
Can be capitalized to value
of asset
Consolidated on proportionate
basis
Reduces asset value and
earnings
Decline in revenues and
EBITDA. However, earnings
remain unaffected. Also,
leverage profile of companies
may change
Deferment of revenue.
Revenue recognition
Bonus/free advertising
slots
Entire revenues are recognized on
initial broadcast. No separate
revenues booked for bonus/free
slots.
Not recorded.
Revenue to be apportioned
between initial and bonus/free
slots and recognized separately
on broadcast.
Revenues and costs recognized at
fair value.
Barter transactions
Revenue and operational
expenditure to be higher.
However, earnings not
impacted.
Source: MOSL
Financial instruments
Zee’s D/E to rise from 0x to
0.6x on classification of
redeemable pref shares as
debt
Finance cost to increase on classification of redeemable preference shares as
debt:
Under Ind-AS, preference shares (redeemable and non-convertible) are to
be classified as debt. This reclassification also leads to preference dividend
(which is currently shown as appropriation to profit) being expensed as finance
cost. This will lead to a decline in reported EPS on the one side and increase in
debt/equity on the other.
Zee Entertainment had INR20.2b of 6% redeemable preference shares
outstanding as at FY15 end. Expensing the preference dividend as finance cost
would lead to a 5.7% decline in FY15 earnings. Debt/Equity will increase from 0x
to 0.6x. The adjusted FY15 RoE increases to 23.5% v/s 17.6%.
Employee benefits
Fair valuation of ESOPs to impact earnings:
Some media companies have
granted ESOPs. Generally, they have opted to account for ESOP cost using
intrinsic cost method. Ind-AS requires mandatory use of the fair valuation
method, which is likely to increase employee cost. We believe this is likely to
49
March 2016

Ind AS | India integrating
have a negative impact on the earnings of Dish TV and TV18. However, we note
that the impact on Dish TV appears significant, since the company has recently
turned profitable with low PAT. The impact on its EBITDA is -0.1%.
Exhibit 60:
Impact on earnings upon fair valuation of ESOPs
Particulars
Dish TV
TV18 Broadcast
% impact on PAT
-19%
-6%
Source: Company Annual Report , MOSL
Others: Foreign exchange fluctuation
Exchange fluctuation on long-term monetary assets/liabilities to impact
earnings:
Media companies have exposure to long-term foreign currency
monetary items. Ind-AS requires the exchange fluctuation on translation or
settlement of the foreign currency monetary items to be recognized in the
income statement. The current IGAAPs, however, provide an option to capitalize
the exchange fluctuation to the carrying cost of fixed assets / reserves as the
case may be and amortize it over the life of the asset or the specified period.
This change will increase the volatility of earnings of companies currently
following the option of capitalizing exchange fluctuation. It may, however, be
noted that under the optional exception provided on first-time adoption, the
companies are permitted to continue their existing accounting policy of long-
term monetary assets/liabilities.
Dish TV has opted to follow amended AS 11, wherein it capitalizes the exchange
fluctuation on long-term monetary assets/ liabilities in the value of assets. Ind-
AS requires the exchange fluctuation to be expensed. During FY15, it capitalized
foreign exchange loss of INR4.1b to the value of assets.
Consolidation
JV consolidation under new norms to impact operating earnings:
Ind-AS requires JVs to be consolidated by equity method (as currently done for
associates) as against the IGAAP-prescribed proportionate consolidation. This
will bring material changes in operating metrics like revenue / EBITDA and debt
profile, while earnings may remain unchanged.
TV18 has 9 JVs, which together contribute 44% of its total consolidated revenue.
Revenue recognition
Revenue recognition for bonus/free slots may lead to deferment:
Several
broadcasters guarantee minimum viewership to their customers while selling
adverting slots. For shortfalls in agreed conditions, customers are compensated
with bonus/free slots. Currently, the entire revenue is booked at the time of
initial advertisement broadcast. However, under Ind-AS, revenue (and cost if
any) need to be split between initial and bonus slots and recognized over the
period of broadcast. This may lead to deferment in revenue recognition.
However, we believe this will have an insignificant impact for Zee
Entertainment, Sun TV and TV18.
Revenues and costs
to increase for pay TV broadcasters and distributors:
Pay
TV distributors and broadcasters enter into barter arrangements. Broadcasters
50
March 2016

Ind AS | India integrating
offer free placement and advertisement services in lieu of lower content cost.
Under the current IGAAPs, such transactions are recorded on net basis. Ind-AS,
however, mandates recognition of such transactions on gross basis. This will
lead to an increase in the revenue and operational expenditure for both parties.
However, there will be no impact on earnings.
Rating: Employee benefit & financial instruments to have impact on Entertainment companies
Revenue
Recognition
Company
Overall
Financial
Instruments
Employee
Benefit
Consolidation
Others
Zee Entertainment
Dish TV
TV18 Broadcast
●●●
●●●
●●●
●●●
●●●
●●●
Source: MOSL
●●●
Impact:
Low
l
Medium
●●
l
High
●●●
March 2016
51

Ind-AS | India integrating
Automobiles
Exhibit 61:
Snapshot
Area
Consolidation
Entities to be
consolidated
Joint venture
IGAAP
IND AS
Impact due to Ind AS
Based on legal
ownership
Accounted on Proportionate
basis
Not consolidated
Based on control
Accounted on equity method
Certain entities may be
consolidated/ unconsolidated
Decline in revenues and EBITDA.
However, earnings remain
unaffected
Increase in EPS, Decline in net
worth and increase in the
ROCE/ROE
OEM:
Asset base will reduce,
operating expenses will increase
on fair valuing goods purchased
which will be offset by recognizing
revenues from lease rentals.
OEM: Balance sheet:
Higher asset
base and debt.
P&L:
Higher
depreciation and interest
payment and lower component
cost. EBITDA will improve while
ROCE will deteriorate
Auto Ancillary:
Lower operating
income , and higher interest
income
Earnings on investments will
smoothen and recognized over
the holding period. Increase in net
worth will however lead to decline
in the return ratios
Reduce volatility in income
statements of companies
currently not following hedge
accounting
Treasury Shares
Adjusted from equity on
consolidation
PPE
Assets given to auto
ancillaries
No guidance available and
hence not accounted.
Considered as a deemed sale.
Take or pay contracts
with ancillaries
Recognized as a sales/
purchase transaction
Considered as a deemed lease
Financial Instruments
Investments
Investment classified between
(a) current : carried at lower of
cost or market value and (b)
non-current: Carried at cost
less any permanent diminution
in value of asset
Investments carried at fair value
with gains in P&L or OCI as per
the classification (a) HTM,
(b)FVOCI or (c) FVTPL
Derivatives
Optional either to follow hedge
accounting or MTM losses on
derivative contracts are
charged through the income
statement while the MTM gains
are ignored
Debtors derecognised and
shown as part of contingent
liability if risk is retained
Derivative instruments are
required to be fair valued and the
gains and losses are recognized
through the income statement
unless the company adopts hedge
accounting
Debtors are derecognised only if
significant control and risk are
transferred
Mandatory (a) fair valuation of
assets and liabilities acquired on
acquisition, (b) recognition of
intangibles even when not
recorded in the books of seller.
Excess of consideration paid over
net asset acquired is treated as
goodwill and tested for annual
impairment, while the deficit is
adjusted in reserves
Receivable discounting
Increase in debt and debtors.
Decline in ROCE.
Business Combination
Mergers and Acquisitions
Separate guidance for
acquisition of business unit
(under As14) and acquisition of
shares (under AS14).
Assets/Liabilities acquired can
be recognized at book value or
fair market value depending on
methodology used. Goodwill
recognized under AS14 is
amortized while under AS21 is
only tested for impairment
Can be capitalized to value of
asset
Appropriate representation of
assets/ liabilities. Goodwill will be
carried at lower value.
Depreciation & amortization cost
will vary from current levels.
Others
Capitalization of exchange
fluctuation
To be charged to income
statement
Reduces asset value and earnings
March 2016
52

Ind AS | India integrating
Area
IGAAP
IND AS
Revenue Recognition
Sale of vehicle along with
No specific requirement for
Revenue for sale of vehicle,
free service and
unbundling of services. Entire
services, warranties etc to be
warranties
revenue recognized upfront.
unbundled and recognized
separately at the time of
performance
Discounts/ incentives
Expensed in P&L account
Revenues recognized net of
incentives/ discounts
Impact due to Ind AS
Deferral of revenue and earnings
Reduction in revenue, increase in
operating margins while earnings
remain un-impacted
Consolidation
Consolidation of JVs to have limited impact:
Some Auto companies operate
through joint ventures (JVs). Ind-AS requires the JVs to be consolidated by using
equity method (as currently done for associates) against the IGAAP-prescribed
proportionate consolidation. This will impact operating metrics like revenue /
EBITDA while earnings remain un-impacted.
Companies having substantial
JVs:
Ashok Leyland, Motherson Sumi, Tata
Motors, M&M, Bosch
Treasury share elimination to boost EPS and return ratios:
Ind-AS does not
recognize treasury shares as financial assets and requires their adjustment from
equity. Further, no gains / losses are recognized on the purchase, sale, issue or
cancellation of treasury shares. This will lead to a reduction in net worth on the
one hand and increase in reported EPS on the other.
M&M
has 8.3% of shares held by M&M Benefit Trust. Under Ind-AS, its EPS will
increase and net worth will reduce, resulting in a boost to return ratios.
Exhibit 63:
…Net worth decline will boost ROE’s (FY15)
Particulars
EPS
Reported net Worth
Less: Carrying value of M&M Benefit trust
53.1
Adjusted Net Worth
INR m
258,564
-14,598
243,966
Source: Company Annual Report, MOSL
5.6%
%
Exhibit 62:
EPS increases on treasury share elimination…
Particulars
Shares held as at FY15
Less: Shares in ESOP Trust
Reported Number of Shares
Less:
M&M Benefit trust
Less:
Employee Welfare Trust
Adjusted Shareholding and EPS
No of shares
('000)
621,092
-29,700
591,392
-51,835
-2,031
537,526
58.4
Source: Company Annual Report, MOSL
Entities consolidated under Ind-AS may vary:
Conglomerates usually have
complex organization structures. With the change in the definition of control to
determine subsidiaries under Ind AS the universe on entities getting
consolidated may vary significantly then under the IGAAP. This may bring
changes in the critical operating metrics for the company.
Companies to be impacted:
M&M
March 2016
53

Ind AS | India integrating
Plant, property and equipment
Take or pay contracts with auto ancillaries may qualify as deemed lease:
OEMs
and auto ancillaries enter into long-term take-or-pay contracts for supply of
components, usually covering the life of the plants. Under Ind-AS, such contracts
that fulfill certain criteria might qualify as deemed lease (refer
page 28 for
details).
Consequently, there will be downward pressure on OEMs’ RoCE due to
recognition of additional assets. We believe OEMs have significant bargaining
power and will try to modify agreements to skirt the definition of deemed lease.
However, there may be cost implications, as under the new arrangements,
demand risk will legally shift to the auto ancillaries.
We believe amongst the automobile sector such arrangements are more
prevalent in four wheelers. Consequently, on a relative basis Maruti will have
higher impact.
Free transfer of PPE by OEM to ancillary treated as deemed sale:
OEMs
generally transfer assets (molds, dies, etc used to manufacture components) to
suppliers without consideration. In return, they receive auto components at
concessional rates. Under Ind-AS, such transactions will fall under the category
of barter
(refer page 28 for details).
This will lead to higher revenues for OEMs
in the year of sale of PPE (property, plant and equipment) and higher
component cost and lower depreciation in subsequent years. For auto
ancillaries, it will lead to recognition of PPE at fair value, with corresponding
notional debt in the year of transfer, with higher (a) revenue from sale of
component, (b) interest cost, and (c) depreciation in the subsequent years.
Financial instruments
Fair valuation
of investments to smoothen earnings while RoEs decline:
Being
cash rich, auto companies deploy money in investments. As explained on
page
23, Ind-AS
requires recognition of all investments at fair value, with MTM gains
recognized in P&L or OCI as per the classification. In the current practice, gains
are only booked when realized. We believe that this will lead to smoothening of
earnings for the companies over the medium term while return ratios will be
adversely impacted on transition.
Exhibit 64:
Smoothening of earning for companies with higher Mutual fund exposure, FY15
Particulars
Bajaj Auto
Maruti Suzuki
Eicher Motors
Hero Motocorp
Bosch
MRF
Bharat Forge
M&M
% of NW
56
53
42
38
30
24
13
7
Source: Capital line, MOSL
Offloading of discounted
receivable not permitted
Receivables may remain in books even after discounting:
Several Auto
companies use discounting / factoring arrangements for receivables. Under
IGAAPs, receivables post discounting/ factoring are de-recognized and form part
of contingent liabilities. However, de-recognition norms of financial assets under
Ind-AS are stringent
(refer page 23 for details).
This may lead to some of the
54
March 2016

Ind AS | India integrating
debtors factoring arrangements where risk and rewards or control are retained
not to qualify for de-recognition. Consequently, companies will continue to
recognize debtors in their books while the money received from the banks will
be treated as debt. This might lead to increase in capital employed and debtor
days, impacting RoCE.
Exhibit 65:
Receivable discounting to impact ROCE, working capital cycle
Particulars
Bharat Forge
TVS Motor Co.
Tata Motors
Eicher Motors
% of Net Worth
25%
11.3%
1.3%
1.1%
Source: Capital line, MOSL
Earnings volatility to reduce for companies not following hedge accounting:
To
hedge exchange fluctuation risk, companies enter into various derivatives
contracts. Under Ind-AS, all derivative instruments are required to be fair valued
and the gains and losses are recognized through the income statement unless
the company adopts hedge accounting. This is in variance with the current
accounting practice, where the companies are either required to follow hedge
accounting (AS 30) or only the MTM losses on derivative contracts are charged
through the income statement while the MTM gains are ignored. This change
will reduce volatility in the income statements of companies currently not
following hedge accounting
Companies to be
impacted: MRF
Business combination
In the recent past, we have seen Indian automobile companies adopting the
inorganic route to accelerate their growth. We believe that the following
companies have been acquisitive in the recent past: Motherson Sumi, Apollo
tyres, Bharat Forge, M&M.
Others: Foreign exchange fluctuation
Exchange fluctuation on long-term monetary assets/ liabilities to impact
earnings:
Automobile companies have exposure to long-term foreign currency
monetary items. Ind-AS requires the exchange fluctuation on translation or
settlement of the foreign currency monetary items to be recognized in the
income statement. This is in variance with the current IGAAPs, which provide an
option to the companies either (a) expense (b) capitalize, the exchange
fluctuation to the carrying cost of fixed assets / reserves as the case may be and
amortize it over the life of the asset or specified period. This will lead to increase
in volatility of earnings of companies that currently capitalize the exchange
fluctuation. It should, however, be noted that under the optional exception
provided on first-time adoption, the companies are permitted to continue their
existing accounting policy for exchange fluctuation on long-term monetary
asset/ liability that existed on the date of migration.
Companies currently following amended AS 11:
Tata Motors, M&M, Hero
Moto, Bharat Forge.
55
March 2016

Ind AS | India integrating
Revenue recognition
Revenue recognition to be deferred:
Auto companies usually bundle
arrangements such as service support, maintenance, warranty, insurance, etc
with vehicle sales. IGAAPs permit these to be recognized at the time of initial
sale of vehicle. However, Ind-AS requires unbundling of these multiple element
arrangements and recognizing revenues of each activity separately. This will
lead to deferral – service revenue will be recognized over the period of
rendering the service. We believe the impact of this on OEMs will be low.
Revenue representation on gross basis to optically impact margins:
Currently,
companies report revenues net of indirect tax levies. Ind-AS will require
reporting of revenue on gross basis, with indirect tax being recognized as an
expense. This will lead to an optical reduction in operating margins while
absolute EBITDA remains un-impacted.
Exhibit 66:
Impact due to presentation change of excise
Company
MRF
Maruti Suzuki
Exide Inds.
Apollo Tyres
TVS Motor Co.
Eicher Motors
Hero Motocorp
Ashok Leyland
M&M
Bajaj Auto
Bharat Forge
Motherson Sumi
Tata Motors
10%
9%
8%
7%
7%
7%
6%
6%
5%
4%
2%
2%
1%
Excise (% sales)
Impact on sales
11%
10%
8%
8%
7%
7%
6%
6%
5%
4%
2%
2%
1%
Source: Capital line, MOSL
Netting incentives / discounts from revenue to optically boost margins:
Automobile companies offer discounts and incentives to their dealers on
achieving certain targets. Ind-AS requires such revenues to be recognized and
reported net of these discounts and incentives instead of the current practice of
showing these as expenses. This will lead to lower revenue and higher operating
margins while absolute EBITDA remains unaltered.
March 2016
56

Ind AS | India integrating
Rating: Ind-AS likely to have a significant impact on Auto sector
Revenue
Recognition
Companies
Overall
Financial
Instruments
Consolidation
Business
Combination
PPE
Others
Amara Raja Batt.
Apollo Tyres
Ashok Leyland
Bajaj Auto
Bharat Forge
Bosch
Eicher Motors
Exide Inds.
Hero Motocorp
M&M
Maruti Suzuki
Motherson Sumi
MRF
Tata Motors
TVS Motor Co.
●●●
●●
●●●
●●
●●
●●
●●●
●●
●●●
●●
●●●
●●
●●
●●●
●●
●●
●●
●●
Source: MOSL
●●
●●
●●●
●●●
●●
●●
●●
●●●
Impact:
Low
l
Medium
●●
l
High
●●●
March 2016
57

Ind AS | India integrating
Consumer
Exhibit 67:
Snapshot
Area
Financial instruments
Investments
IGAAP
Ind-AS
Investments carried at fair
value with gains in P&L or OCI
as per the classification (a)
HTM, (b) FVOCI, or (c) FVTPL.
Impact due to Ind-AS
Investments classified as (a)
current: carried at lower of cost
or market value, and (b) non-
current:
carried at cost less any
permanent diminution in value
of asset.
Recognized as Debt
Premium on redemption is
either charged to reserves or
forms part of contingent
liability
Debtors derecognized and
shown as part of contingent
liability if risk is retained
Not consolidated.
Earnings on investments will
smoothen and be recognized
over the holding period.
Increase in net worth will,
however, lead to decline in
return ratios.
FCCB
Split accounting followed.
Increase in finance cost
Interest cost on liability portion
to be provided through income
statement
Debtors are derecognized only
if significant control and risk
are transferred
Adjusted from equity on
consolidation.
Discounting of receivables
Increase in debt and debtors.
Decline in ROCE.
Increase in EPS, decline in net
worth, and increase in
RoCE/RoE.
Increase in employee costs.
Treasury shares
Employee benefits
ESOPs
PPE
Take or pay contracts with
suppliers
Optional to account for ESOP
cost on intrinsic basis or fair
valuation.
Recognized as a purchase
transaction.
Mandatory to account for
ESOP cost on fair valuation.
Considered as a deemed lease
on satisfaction of few
conditions.
Balance sheet:
higher asset
base and debt.
P&L:
Lower RM input cost
Higher depreciation & interest
payment. EBITDA will improve.
RoCE will deteriorate.
Appropriate representation of
assets/ liabilities. Goodwill will
be carried at lower value.
Depreciation & amortization
cost will vary from current
levels.
Business combination
Mergers and Acquisitions
Separate guidance for
acquisition of business unit
(under As14) and acquisition
of shares (under AS14).
Assets/Liabilities acquired can
be recognized at book value
or fair market value
depending on methodology
used. Goodwill recognized
under AS14 is amortized while
under AS21 is only tested for
impairment
Consolidated on proportionate
basis
Not consolidated.
Mandatory (a) fair valuation of
assets and liabilities acquired
on acquisition, (b) recognition
of intangibles even when not
recorded in the books of seller.
Excess of consideration paid
over net asset acquired is
treated as goodwill and tested
for annual impairment, while
the deficit is adjusted in
reserves
Consolidation
Joint venture
Consolidated as per equity
method.
Adjusted from equity on
consolidation.
Treasury shares
Decline in revenue and EBITDA.
However, earnings remain
unaffected.
Increase in EPS, decline in net
worth, and increase in
RoCE/RoE.
Reduction in revenue, increase
in operating margins. Earnings
to remain unimpacted.
Source: MOSL
Revenue recognition
Discounts / incentives
Expensed in P&L account.
Revenues recognized net of
incentives / discounts.
March 2016
58

Ind AS | India integrating
Financial instruments
Fair valuation of investments to smoothen earnings while RoEs decline:
Consumer companies deploy money in investments. As explained on
page 23,
Ind-AS
requires all investments to be recognized at fair value, with MTM gains
recognized in P&L or OCI as per the classification. Under the current practice,
gains are only booked when realized. We believe that this will lead to
smoothening of earnings for the companies over the medium term while the
return ratios will be adversely impacted on transition.
Exhibit 68:
High exposure to Mutual Fund will boost
Companies
Emami
Britannia Inds.
Asian Paints
Pidilite Inds.
Marico
ITC
Jubilant Food.
Kansai Nerolac
Berger Paints
% of net Worth
40%
39%
31%
15%
13%
13%
12%
11%
11%
Source: Capital Line, MOSL
Discounting of receivables:
Several consumer companies use discounting/
factoring arrangements for receivables. Under IGAAPs, receivables post
discounting/ factoring are de-recognized and form part of contingent liabilities.
However, de-recognition norms of financial assets under Ind-AS are quite
stringent (refer page 23 for details). This may lead to some of the debtors
factoring arrangements where risk and rewards or control are retained may not
qualify for de-recognition. Consequently, the companies will continue to
recognize debtors in their books while the money received from banks will be
treated as debt. This may lead to increase in capital employed and debtor days,
adversely impacting RoCEs. Bills discounted by
United Spirits
stood at
4.5%
of
FY15 net worth.
Employee benefit
Fair valuation of ESOPs to impact earnings:
Some consumer companies grant
ESOPs to employees. Generally, companies have opted to account for ESOP cost
using intrinsic cost method. Ind-AS mandates the use of fair valuation method,
which is likely to increase employee cost.
Impact on companies: Jubilant Food (6.6% of FY15 PAT), ITC (5.5% of FY15 PAT)
and GCPL (1.3% of FY15 PAT).
March 2016
59

Ind AS | India integrating
Property, plant and equipment
Deemed Leases to put pressure on return ratios or margins? :
Contract
manufacturing is common practice, where consumer companies outsource part
of their product manufacturing to vendors. Under Ind-AS, such arrangement
could fall under the definition of deemed lease subject to fulfillment of certain
condition
(refer page 28 for details).
This may put pressure on return ratios of
consumer companies due to recognition of additional assets. We believe that
consumer companies will try to modify agreements to skirt the definition of
deemed lease. However, there may be cost implications, as under the new
arrangements, the demand risk will legally shift to the vendors.
We believe amongst BSE 200 companies, Nestle, Britannia, United Spirits and
United Breweries have material outsourcing arrangements and hence may be
impacted more versus the peers
Exhibit 69:
Fair valuation of ESOPs to impact earnings
Company
Jubilant Food
ITC
Godrej Consumer
% of FY15 PAT
6.6
5.5
1.3
Source: Company Annual Report , MOSL
Actuarial loss-led volatility in employee cost to reduce:
Some consumer
companies offer long-term employee benefit schemes. Currently, the actuarial
losses/gains on these schemes are charged through the income statement,
which leads to volatility in earnings. Ind-AS requires the actuarial losses/gains to
be charged to reserves and will help to contain the volatility.
Exhibit 70:
Actuarial loss impacted earnings in FY15
Company
United Breweries
GlaxoSmith C H L
Gillette India
Nestle India
Titan Company
P & G Hygiene
United Spirits
*Note: Actuarial loss of INR1.1b
% of FY15 PBT
6.2
3.2
3.1
3.1
1.5
1.4
NM*
Source Company Annual Report , MOSL
Business combination
We believe that the following companies have been acquisitive in the recent
past: GCPL, Dabur.
March 2016
60

Ind AS | India integrating
Consolidation
JV consolidation will have limited impact:
Companies in the consumer space
have small operations through JVs. Ind-AS requires the JVs to be consolidated by
using equity method (as currently done for associates) as against the IGAAP-
prescribed proportionate consolidation. This will impact operating metrics like
revenue / EBITDA, while earnings will remain unchanged.
Asian Paints
derives
4.4% of its revenues from JVs.
Treasury share elimination to boost EPS and return ratios:
IND As does not
recognize treasury shares as financial assets and hence requires their adjusted
from equity. Further, no gains / losses are recognized on the purchase, sale,
issue or cancellation of the treasury shares. This will lead to a reduction in the
Net worth of companies on one hand and increase in the reported EPS on the
other.
United spirits
has 2.4% of shares held by benefit trust resulting in an increase in
EPS and reduction of Net worth resulting in a boost to return ratios.
Exhibit 71:
Treasury share elimination will put pressure on Net worth & boost ROE’s (FY15)
Particulars
Reported net Worth
Less: Carrying value benefit trust
Adjusted Net Worth
INR m
6,595
(1,238)
5,357
Source: Company annual Report, MOSL
18.8%
%
Revenue recognition
Netting incentives / discounts from revenue to optically boost margins:
Consumer companies offer discounts and incentives schemes. Ind-AS requires
the revenues to be recognized and reported net of these discounts and
incentives instead of the current practice of showing these as expenses. This
change will lead to lower revenue and higher operating margins, while absolute
EBITDA remains unaltered.
However, grossing up of excise will put pressure on margins:
Consumer
companies (especially cigarettes and alcoholic beverages) pay significant
amount of excise duty. Ind-AS requires presenting sales at gross value and
expensing excise duty as an operating cost. This will lead to an increase in
revenues and decline in operating margins, while operating profits remain
unimpacted.
Exhibit 72:
Gross-up of excise duty to optically put pressure on margins (FY15)
Company
United Spirits
United Breweries
ITC
Excise (% of sales)
58.3%
43.1%
26.9%
Source: Capital line, MOSL
March 2016
61

Ind AS | India integrating
Rating: Impact on consumers due to employee benefit expense recognition
Financial
Instruments
Companies
Overall
Consolidation
Business
Combination
Employee benefit
expenses
PPE
Hind. Unilever
Nestle India
Dabur India
Godrej Consumer
Britannia Inds.
Marico
GlaxoSmith C H L
Emami
ColgatePalm.
P & G Hygiene
Gillette India
Asian Paints
Berger Paints
United Spirits
United Breweries
ITC
Titan Company
Pidilite Inds.
Jubilant Food.
Tata Global
●●
●●
●●
●●
●●
●●
●●
●●●
●●●
●●●
●●●
●●●
●●
●●
●●●
●●●
●●●
●●
●●
●●
●●
●●
●●
●●
●●
●●
●●
Impact:
Low
l
Medium
●●
l
High
●●●
Source: MOSL
March 2016
62

Ind AS | India integrating
Technology
Exhibit 73:
Snapshot
Area
Financial instruments
Investments
IGAAP
Ind-AS
Impact due to Ind-AS
Investments classified as (a)
current: carried at lower of cost
or market value, and (b) non-
current: carried at cost less
permanent diminution in value
of asset.
Investments carried at fair value
with gains in P&L or OCI as per
the classification (a) HTM, (b)
FVOCI or (c) FVTPL.
Earnings on investments will
smoothen and be recognized
over the holding period.
Increase in net worth will,
however, lead to decline in
return ratios.
Reduce volatility in income
statements of companies
currently not following hedge
accounting
Derivatives
Optional either to follow hedge
accounting or MTM losses on
derivative contracts are charged
through the income statement
while the MTM gains are ignored
Derivative instruments are
required to be fair valued and the
gains and losses are recognized
through the income statement
unless the company adopts hedge
accounting
Consolidation using equity
method.
Adjusted from equity on
consolidation
Consolidation
Joint Venture
Consolidation on proportionate
basis.
Not consolidated
Revenues and EBITDA will
decline. However, earnings will
be unaffected.
Increase in EPS, Decline in net
worth and increase in the
ROCE/ROE
Impact on migration to Ind AS
Appropriate representation of
assets/ liabilities. Goodwill will
be carried at much lower value.
Depreciation & amortization
cost will vary from current
levels.
Treasury Shares
Business combination
Mergers and Acquisitions
Separate guidance for
acquisition of business unit
(under As14) and acquisition of
shares (under AS14).
Assets/Liabilities acquired can be
recognized at book value or fair
market value depending on
methodology used. Goodwill
recognized under AS14 is
amortized while under AS21 is
only tested for impairment
Optional to account for ESOP
cost on intrinsic basis or fair
valuation.
Mandatory (a) fair valuation of
assets and liabilities acquired on
acquisition, (b) recognition of
intangibles even when not
recorded in the books of seller.
Excess of consideration paid over
net asset acquired is treated as
goodwill and tested for annual
impairment, while the deficit is
adjusted in reserves
Employee benefits
ESOPs
Mandatory to account for ESOP
cost on fair valuation.
Gains/losses on change in
actuarial assumptions charged to
the reserves.
Increase in employee costs.
Long term employee
benefit plans
Gains losses on change in
actuarial assumptions charged to
the income statement.
Reduction in volatility of
income statement.
Source: MOSL
Financial instruments
Fair valuation of
investments
to smoothen earnings while RoEs decline:
Being
cash rich, IT companies deploy money in investments. As explained
on page 23,
Ind-AS requires all investments to be recognized at fair value, with MTM gains
recognized in P&L or OCI as per the classification. In the current practice, gains
are only booked when realized. We believe this will lead to smoothening of
earnings over the medium term while the return ratios will be adversely
impacted on transition.
63
March 2016

Ind AS | India integrating
Exhibit 74:
High exposure to Mutual Fund will boost Net Worth on transition (FY15)
Particulars
MphasiS
Mindtree
Hexaware Tech.
% of net Worth
26%
23%
14%
Source: Capital line, MOSL
Reduced volatility
for companies not
following hedge
accounting
Earnings volatility to reduce for companies not following hedge accounting:
Indian IT companies have significant exposure to foreign exchange receivable
from exports. To hedge the exchange fluctuation risk, they enter into various
derivatives contracts. Under Ind-AS, all derivative instruments are required to be
fair valued and the gains/losses are recognized through the income statement
unless the company adopts hedge accounting. Under the current accounting
practice, companies are required to either follow hedge accounting (AS 30) or
only the MTM losses on derivative contracts are charged through the income
statement while the MTM gains are ignored. This change will reduce volatility in
the income statements of companies currently not following hedge accounting.
Companies not following hedge accounting:
Oracle, Tata Elxsi
Consolidation
JV consolidation will have limited impact:
Some IT companies have small
operations through joint ventures (JVs). Ind-AS requires the JVs to be
consolidated by using equity method (as currently done for associates) as
against the IGAAP-prescribed proportionate consolidation. This will impact
operating metrics like revenue / EBITDA, while earnings will be unaffected.
Companies operating though JVs: TCS
(3% of revenue).
Treasury share elimination to boost EPS and return ratios:
Ind AS does not
recognize treasury shares as financial assets and hence requires their adjusted
from equity. Further, no gains/losses are recognized on the purchase, sale, issue
or cancellation of the treasury shares. This will lead to a reduction in the Net
Worth of companies on one hand and increase in the reported EPS on the other.
TechM
has 9.9% of shares held by benefit trust resulting in an increase in EPS
and reduction of Net Worth which will boost return ratios.
Exhibit 76:
…Net worth decline will boost ROE’s (FY15)
Particulars
INR m
%
Reported net Worth
122,486
Less: Carrying value of Benefit trust
12,071
9.9%
Adjusted Net Worth
110,415
Source: Company Annual Report, MOSL
Exhibit 75:
EPS increases on treasury share elimination…
Particulars
Reported Number of Shares
Less: Shares in TML Benefit trust
Adjusted Shareholding and EPS
No of shares
('000)
960,827
(96,000)
864,827
EPS
27.5
30.7
Business combination
In the recent past, we have seen Indian IT companies adopting the inorganic
route to accelerate their growth. We believe that the amortization cost under
IND AS will rise for more acquisitive companies
refer page 26
for details.
In
last year:
Infosys, Wipro, TechM
and
Mindtree
have done four acquisitions
each.
64
March 2016

Ind AS | India integrating
Employee benefits
Fair valuation of ESOPs to impact earnings:
Some IT companies in India grant
ESOPs to their employees. Generally, the companies have opted to account for
ESOPs using intrinsic cost method. Ind-AS requires mandatory use of fair
valuation method, which is likely to increase employee cost.
Impact on companies: Oracle
(5.4% of FY15 PAT);
TechM
(1.5% of FY15 PAT)
Reduced volatility in earnings on change in actuarial assumption
:
Currently,
the actuarial losses/gains on these long term employee benefit scheme are
charged through the income statement which leads to volatility in the earnings.
Ind-AS, requires the actuarial gain/loss to be charged to the reserves. This will
help to contain the volatility in the earnings.
Actuarial loss of
Tata Elxsi
was 1.5% of FY15 PBT.
Rating: Acquisitive nature of IT companies may be the major area impacted by Ind-AS
Financial
Instruments
Companies
Overall
Consolidation
Business
Combination
Employee benefit
expenses
TCS
Infosys
Wipro
Tech Mahindra
Oracle Fin.Serv.
Mindtree
MphasiS
Hexaware Tech.
Tata Elxsi
●●●
●●●
●●
●●
●●
●●
●●●
●●●
Source: MOSL
Impact:
Low
l
Medium
●●
l
High
●●●
March 2016
65

Ind AS | India integrating
Power
Exhibit 77:
Snapshot
Area
Revenue recognition
BOT arrangements
IGAAP
Ind-AS
Impact due to Ind-AS
No specific guidelines
available under IGAAP for
accounting of these
arrangements.
Arrangements that satisfy
certain criteria will be
accounted using service
concession arrangements.
Revenue and profitability of
companies on construction
activities will be advanced.
This will be compensated by
lower profits during the
operation phase.
Earnings on investments
will smoothen and be
recognized over the holding
period. Increase in net
worth will, however, lead to
decline in return ratios.
Reduction in volatility of
income statement.
Financial instruments
Investments
Investments classified as (a)
current: carried at lower of
cost or market value, and
(b) non-current: carried at
cost less any permanent
diminution in value of asset.
Gains/losses on change in
actuarial assumptions
charged to income
statement.
Treated as sales/service
contracts.
Investments carried at fair
value, with gains in P&L or
OCI as per the classification
(a) HTM, (b) FVOCI, or (c)
FVTPL.
Employee cost
Long-term employee benefit
plans
Gains/losses on change in
actuarial assumptions
charged to the reserves.
PPE
PPA arrangements
Arrangements satisfying
certain criteria will qualify
as deemed lease.
For power producers, it will
lead to a declining trend in
profits. For power
purchasers, it will lead to an
increasing trend in profits.
RoCEs for power purchasers
will decline initially due to
recognition of power assets.
Profitability in the initial
years will decline, as the
base for amortization
increases on recognition of
constructive obligation.
However, this will be
partially compensated on
recognizing the obligation
at present value rather than
absolute value.
Source: MOSL
Decommissioning costs
Recognizes absolute
contractual obligation for
decommissioning as a part
of asset cost.
Recognizes present value of
both contractual and
constructive obligations as
part of asset cost.
Revenue recognition
Revenue and earnings to be advanced on BOT arrangements:
Under Ind-AS,
certain BOT projects awarded can qualify for accounting under service
concession arrangements if they meet certain conditions (Refer
page 17 for
details).
Under the service concession arrangements, revenue and profitability
on the construction of the asset will be recognized upfront during the
construction phase, which will be compensated by lower profitability during the
operation and maintenance phase.
66
March 2016

Ind AS | India integrating
Property, plant and equipment
PPA arrangements may get accounted as deemed lease:
Under Ind-AS, the PPA
arrangements that fulfill certain criteria will be treated as finance lease
(Refer
page 28 for details).
Consequently, for power producers, fixed assets will be de-
recognized from the books, with the recognition of the financial assets at fair
value. The power producers will earn interest on financial assets and revenue
from operation and maintenance of plants. Profitability and return ratios will be
on a declining trend. However, for power purchasers, the asset will be
recognized with a corresponding financial liability. The earnings for the power
purchasers will be on an increasing trend. However, return ratios will be
subdued due to recognition of the asset.
In absence of adequate details on PPA’s it is difficult for us to highlight which
PPA’s may qualify for SCA or deemed lease. However, directionally we believe it
will have a higher impact on companies which have higher capacities signed
towards PPA’s.
Exhibit 78:
Power companies with significant PPA’s
Companies
NTPC
Power Grid Corp
NHPC Ltd
Tata Power Co.
JSW Energy
CESC
% of capacity
100%
100%
100%
100%
>50%
100%
Source: Company, MOSL
Profitability to be impacted on recognition of constructive decommissioning
cost:
Power projects usually have decommissioning cost, attributable at the
time of abandonment of the project. Ind-AS requires constructive liability in
addition to contractual liability (as required currently) for decommissioning of
the asset to be factored in the cost of the asset and depreciated over its
estimated life. In the initial stage of the project, this is likely to increase
depreciation cost and consequently be an earnings dampener. However, this
will partially be compensated on recognition of the liability at present value
rather than absolute value.
NTPC, Tata Power and JSW Energy have captive mines. However, the impact on
their financials would be low.
Financial instruments
Fair valuation of investments to smoothen earnings while RoEs decline:
Power
companies deploy money in investments. As explained on
page 23, Ind-AS
requires all investments to be recognized at fair value, with MTM gains
recognized in P&L or OCI as per the classification. Under the current practice,
the gains are only booked when realized. We believe that this will lead to
smoothening of earnings over the medium term while the return ratios will be
adversely impacted on transition.
March 2016
67

Ind AS | India integrating
Exhibit 79:
Companies with significant investment in Mutual Fund
Companies
JSW Energy
% of Net Worth
18%
Source: Capital Line, MOSL
Employee benefits
Actuarial loss-led volatility in employee cost to reduce:
Public sector
undertakings have significant long-term employee benefit schemes. Currently,
the actuarial losses/gains on these schemes are charged through the income
statement, which leads to volatility in earnings. Ind-AS requires actuarial losses
to be charged to reserves and will help contain the volatility in earnings.
% of PBT
4%
2%
Source: Company Annual Report, MOSL
Exhibit 80:
Actuarial loss in few power companies
Companies
Tata Power
NTPC
Others
Exchange fluctuation on long-term monetary assets / liabilities to impact
earnings:
Power companies have exposure to long-term foreign currency
monetary items. Ind-AS requires the exchange fluctuation on translation or
settlement of the foreign currency monetary items to be recognized in the
income statement. This is in variance with the current IGAAPs, which provide an
option to capitalize the exchange fluctuation to the carrying cost of fixed assets
/ reserves as the case may be and amortize it over the life of the asset or
specified period. This will lead to increase in volatility of earnings of companies
that currently capitalize the exchange fluctuation. It should, however, be noted
that under the optional exception provided on first-time adoption, the
companies are permitted to continue their existing accounting policy of long-
term monetary asset/ liability.
Companies currently following amended AS 11:
Power Grid
Rating agreements to have significant impact on power companies: Service concession agreements to
have significant impact on power companies
Revenue
Recognition
Financial
Instruments
Employee benefit
expenses
PPE
Others
Companies
Overall
NTPC
Power Grid
NHPC
Tata Power
JSW Energy
CESC
●●
●●
●●
●●
●●
●●
●●
●●
●●
●●
●●
●●
●●
Source: MOSL
Impact:
Low
l
Medium
●●
l
High
●●●
March 2016
68

Ind AS | India integrating
Healthcare
Exhibit 81:
Snapshot
Area
PPE
Intangibles
Outsourcing arrangements
Financial instruments
Investments
IGAAP
Ind-AS
Impact due to Ind-AS
Life of intangibles is definite
No guidance
Life of intang ibles can be
indefinite.
Amortization expenses will be
lower.
Put pressure on return ratios
Considered as a deemed lease.
Investments classified as (a)
current: carried at lower of
cost or market value, and (b)
non-current: carried at cost
less any permanent
diminution in value of asset.
Optional either to follow
hedge accounting or MTM
losses on derivative contracts
are charged through the
income statement while the
MTM gains are ignored
Debtors derecognised and
shown as part of contingent
liability if risk is retained
Forms part of share holders’
funds.
Investments carried at fair
value, with gains in P&L or OCI
as per the classification (a)
HTM, (b) FVOCI, or (c) FVTPL.
Earnings on investments will
smoothen and be recognized
over the holding period.
Increase in net worth will,
however, leads to decline in
return ratios.
Reduce volatility in income
statements of companies
currently not following hedge
accounting
Derivatives
Derivative instruments are
required to be fair valued and
the gains and losses are
recognized through the
income statement unless the
company adopts hedge
accounting
Receivable discounting
Debtors are derecognised only
if significant control and risk
are transferred
Classified as debt. Dividend on
preference shares is treated as
a finance cost.
To be charged to income
statement
Mandatory to account for
ESOP cost on fair valuation.
Increase in debt and debtors.
Decline in ROCE.
Increase in finance cost
leading to decline in reported
EPS. Debt/Equity to rise.
Reduces asset value and
earnings
Increase in employee costs.
Redeemable preference shares
Others
Capitalization of exchange
fluctuation
Employee benefits
ESOPs
Can be capitalized to value of
asset
Optional to account for ESOP
cost on intrinsic basis or fair
valuation.
Consolidation
Joint venture
Consolidated on proportionate
basis.
Consolidated using equity
method.
Business combination
Mergers and Acquisitions
Decline in revenue and
EBITDA. However, earnings
remain unaffected.
Appropriate representation of
assets/ liabilities. Goodwill will
be carried at lower value.
Depreciation & amortization
cost will vary from current
levels.
Separate guidance for
acquisition of business unit
(under As14) and acquisition
of shares (under AS14).
Assets/Liabilities acquired can
be recognized at book value or
fair market value depending
on methodology used.
Goodwill recognized under
AS14 is amortized while under
AS21 is only tested for
impairment
Mandatory (a) fair valuation
of assets and liabilities
acquired on acquisition, (b)
recognition of intangibles even
when not recorded in the
books of seller. Excess of
consideration paid over net
asset acquired is treated as
goodwill and tested for annual
impairment, while the deficit
is adjusted in reserves
Source: MOSL
March 2016
69

Ind AS | India integrating
Property, plant and equipment
Deemed Leases to put pressure on return ratios or margins? :
Contract
manufacturing is a common practice in the pharmaceuticals industry. MNCs like
GSK
and
Pfizer
outsource part of their Indian drug manufacturing to CRAMs
companies like
Divi’s Lab
and
Biocon.
Under Ind-AS, such arrangements could
fall under the definition of deemed lease, subject to fulfillment of certain
conditions
(refer page 28 for details).
This may put pressure on the return ratios
of the MNCs due to recognition of additional assets and financial liabilities.
Pharma companies could try to modify agreements to skirt the definition of
deemed lease. However, there may be cost implications.
Increased life of intangibles to boost profits:
Pharma companies have
significant intangible assets (excluding goodwill), primarily comprising of Brands,
Patents trademarks etc. Under the current rebuttable presumption, these are
amortized over a period not exceeding 10 years. However, under Ind-AS, there
is no such rebuttable presumption and intangibles are permitted to have an
indefinite economic life. We believe this will result in lower amortization
expenses.
% of Net Worth
71%
17%
6%
4%
Source: Capital Line, MOSL
Exhibit 82:
High intangibles may lead to lower amortization
Company
Torrent Pharma.
Pfizer
Aurobindo Pharma
Strides Shasun
Financial instruments
Fair valuation of investments to smoothen earnings while RoEs decline
:
Being cash rich, pharma companies deploy money in investments. As explained
on
page 23, Ind-AS
requires all investments to be recognized at fair value, with
MTM gains recognized in P&L or OCI as per the classification. Under the current
practice, gains are only booked when realized. We believe this change will
smoothen earnings for the companies over the medium term while the return
ratios will be adversely impacted on transition.
Exhibit 83:
Significant investment in Mutual fund units
Companies
Strides Shasun
Dr Reddy's Labs
Divi's Lab.
Lupin
Torrent Pharma.
% of NW
38%
21%
21%
19%
11%
Source: Capital line, MOSL
Earnings volatility to reduce for companies not following hedge accounting:
Indian pharma companies have significant exposure to foreign exchange
receivable from exports. To hedge exchange fluctuation risk, they enter into
various derivatives contracts. Under Ind-AS, all derivative instruments are
required to be fair valued and the gains and losses are recognized through the
income statement unless the company adopts hedge accounting. This is in
variance with the current accounting practice, where the companies are either
required to follow hedge accounting (AS 30) or only the MTM losses on
70
March 2016

Ind AS | India integrating
Reduced volatility for
companies not following
hedge accounting
derivative contracts are charged through the income statement while the MTM
gains are ignored. This change will reduce volatility in the income statements of
companies currently not following hedge accounting.
Companies to be impacted:
Sun Pharma, Cipla, Piramal Enterprise, Biocon,
Jubiliant Life.
Discounting of receivables:
Some pharma companies use discounting/ factoring
arrangements for receivables. Under IGAAPs, receivables post discounting/
factoring are de-recognized and form part of contingent liabilities. However, de-
recognition norms of financial assets under Ind-AS are quite stringent
(refer
page 23 for details).
This may lead to some of the debtors factoring
arrangements where risk and rewards or control are retained may not qualify
for de-recognition. Consequently, the companies will continue to recognize
debtors in their books while the money received from the banks will be treated
as debt. This might lead to increase in capital employed and debtor days,
adversely impacting RoCEs.
Impact on companies:
IPCA Labs discounted receivables of 8% of net worth
during FY15.
Dividend on redeemable preference shares to impact earnings:
Under Ind-AS,
preference shares (redeemable and non-convertible) are to be classified as debt
in place of equity. This re-classification will lead to preference dividend
(currently shown as appropriation from profit) being expensed as finance cost,
in turn leading to a decline in reported EPS and an increase in debt/equity.
Impact on company:
Wockhardt has INR2.38b of 0.01% Non-Convertible
Cumulative Redeemable Preference Shares outstanding, redeemable at a
premium of 20% along with cumulative dividend in FY19. Premium on these
preference shares will have to be expensed in the P&L at FV over the term of the
preference share Shares
Exchange fluctuation on long-term monetary assets/ liabilities to impact
earnings:
Pharma companies have exposure to long-term foreign currency
monetary items. Ind-AS requires the exchange fluctuation on translation or
settlement of the foreign currency monetary items to be recognized in the
income statement. This is in variance with the current IGAAPs, which provide an
option to the companies either (a) expense (b) capitalize, the exchange
fluctuation to the carrying cost of fixed assets / reserves as the case may be and
amortize it over the life of the asset or specified period. This will lead to increase
in volatility of earnings of companies that currently capitalize the exchange
fluctuation. It should, however, be noted that under the optional exception
provided on first-time adoption, the companies are permitted to continue their
existing accounting policy for exchange fluctuation on long-term monetary
asset/ liability that existed on the date of migration.
Companies currently following amended AS 11:
Biocon
Redeemable preference
shares to be classified as
debt
Others: Foreign exchange fluctuation
Employee benefits
Fair valuation of ESOPs to impact earnings:
Pharma companies offer ESOPs to
employees. They usually account for ESOPs cost using the intrinsic cost method.
71
March 2016

Ind AS | India integrating
Ind-AS requires mandatory use of the fair valuation method, which is likely to
increase employee cost.
Impact on companies: Lupin
(1.9% of FY15 PAT);
Biocon
(1.7% of FY15 PAT)
JV consolidation will have limited impact:
Some pharma companies operate
through joint ventures (JVs). Ind-AS requires the JVs to be consolidated using
equity method (as currently done for associates) as against proportionate
consolidation currently prescribed by the IGAAPs. This will impact operating
metrics like revenue / EBITDA while earnings will remain unchanged.
Companies having substantial
JVs: Cadila
In the recent past, we have seen Indian pharma companies adopting the
inorganic route to accelerate growth. We believe that the amortization cost
under IND AS will rise for more acquisitive companies
refer page 26
for details.
Consolidation
Business combination
Rating: Acquisitive nature of pharma companies may be the major area impacted by Ind-AS
Financial
Instruments
Companies
Overall
Consolidation
Employee
benefit
expenses
PPE
Business
Combination
Others
Aurobindo Pharma
Biocon
Cadila Health.
Cipla
Divi's Lab.
Dr Reddy's Labs
Glaxosmit Pharma
Ipca Labs.
Jubilant Life
Lupin
Pfizer
Piramal Enterp.
Strides Shasun
Sun Pharma
Torrent Pharma.
Wockhardt
●●●
●●
●●
●●
●●
●●●
●●
●●
●●
●●
●●
●●●
●●
●●●
Source: MOSL
Impact:
Low
l
Medium
●●
l
High
●●●
Glenmark presently reports consolidated financial statements in accordance
with IFRS principles. Hence, we believe the transition to Ind-AS would only have
negligible impact on its financials.
March 2016
72

Ind AS | India integrating
Metals & Mining
Exhibit 84:
Snapshot
Area
Financial Instruments
Derivatives
IGAAP
Ind-AS
Impact due to Ind-AS
Reduce volatility in income
statements of companies currently
not following hedge accounting
Optional either to follow hedge
accounting or MTM losses on
derivative contracts are
charged through the income
statement while the MTM
gains are ignored
Classified as capital
Derivative instruments are
required to be fair valued and
the gains and losses are
recognized through the income
statement unless the company
adopts hedge accounting
Classified as debt. Dividend on
preference shares is treated as
a finance cost
Redeemable preference
shares
Perpetual debentures
Increase in finance cost leading to
decline in reported EPS; while,
Debt/Equity rise
Reduces Debt/Equity, reduces
interest cost hence earnings positive
Earnings on investments will
smoothen and be recognized over
the holding period. Increase in net
worth will, however, lead to decline
in the return ratios.
Classified as debt
Classified as capital, interest on
debentures is treated as
dividend
Investments carried at fair
value with gains in P&L or OCI
as per the classification (a)
HTM, (b) FVOCI or (c) FVTPL.
Investments
Investments classified as (a)
current: carried at lower of
cost or market value, and (b)
non-current: carried at cost
less any permanent diminution
in value of asset
Can be capitalized to value of
asset
Gains/ losses on change in
actuarial assumptions charged
to the income statement
Companies recognize absolute
contractual obligation for ARO
as a part of asset cost.
Others
Capitalization of
exchange fluctuation
Employee Cost
Long term employee
benefit plans
To be charged to income
statement
Gains/ losses on change in
actuarial assumptions charged
to the reserves
Companies recognize present
value of both contractual and
constructive obligation as a
part of asset cost
Reduces asset value and earnings
Reduction in volatility of Income
statement.
Property, Plant & Equipment
Asset retirement
obligation
Profitability in the initial years will
decline as the base for amortization
increases on recognition of
constructive obligation. However, this
will be partially compensated, as
obligations are recognized at present
value rather than absolute value.
Increase in revenue and operating
cost while earnings remain
unaffected.
Source: MOSL
Revenue recognition
Gross v/s net revenue
recognition
Revenue showed as net of
excise duty.
Revenue to be shown as gross
of excise duty and excise is
treated as an operating
expense
Financial instruments
JSW Steel’s Debt/Equity to
rise upon reclassification of
redeemable preference
shares as debt
Finance cost to increase on classifying redeemable preference shares as debt:
Under Ind-AS, preference shares (redeemable and non-convertible) are to be
classified as debt in place of equity. This reclassification also leads to preference
dividend (which is currently shown as appropriation to profit) to be expensed as
a finance cost. This will lead to a decline in the reported EPS on the one side and
increase in Debt/Equity on the other.
JSW Steel has preference shares of INR2.8b and shift to Ind-AS will result in its
earnings declining 0.2% and Debt/Equity increasing from 1.6x to 1.7x. However,
there will be no significant impact on adjusted RoE.
73
March 2016

Ind AS | India integrating
Exhibit 85:
JSW Steel - impact of reclassification of Preference shares as debt (INR b)
Particulars
Equity
Debt
Debt/Equity
PBT
IGAAP
230.5
379.9
1.6x
25.9
Ind-AS
227.8
382.7
1.7x
25.6
Source: Company Annual Report, MOSL
Tata Steel’s Debt/Equity
reduces upon
reclassification of perpetual
debentures as
shareholder’s fund
Classifying perpetual debentures as capital to reduce finance cost:
Perpetual
debentures do not have any fixed maturity; hence give the security of equity to
the issuer. Since Ind-AS relies on the concept of “substance over legal form”,
thereby classifying perpetual debentures as equity in place of debt.
Consequently interest cost being reclassified as dividend and reduction in
Debt/Equity.
Tata Steel has issued perpetual debentures of INR22.8b which will be
reclassified as capital in place of borrowings.
Exhibit 86:
Tata Steel – impact of reclassification of Perpetual debentures (INR b)
Particulars
Capital
Debt
Debt/Equity
PBT (Before exceptional items)
IGAAP
313.5
805.9
2.6x
25.4
Ind-AS
336.2
783.2
2.3x
28.1
Source: Company Annual Report, MOSL
Fair valuation of investments to smoothen earnings while RoEs decline:
Some
companies deploy money in investments. As explained on
page 23, Ind-AS
requires all investments to be recognized at fair value, with MTM gains
recognized in P&L or OCI as per the classification. Under the current practice,
gains are only booked when realized. We believe this change will lead to
smoothening of earnings over the medium term while the return ratios will be
adversely impacted on transition.
Exhibit 87:
Significant investments in Mutual Funds
Particulars
Hindalco
% of Networth
11%
Source: Company Annual Report, MOSL
Others: Foreign exchange fluctuation
Exchange fluctuation on
long-term
monetary assets/liabilities to impact
earnings:
Oil companies have exposure to long-term foreign currency monetary
items. Ind-AS requires the exchange fluctuation on translation or settlement of
the foreign currency monetary items to be recognized in the income statement.
The current IGAAPs, however, provide an option to capitalize the exchange
fluctuation to the carrying cost of fixed assets / reserves as the case may be and
amortize it over the life of the asset or the specified period. This change will
increase the volatility of earnings of companies currently following the option of
capitalizing exchange fluctuation. It may, however, be noted that under the
optional exception provided on first-time adoption, the companies are
March 2016
74

Ind AS | India integrating
permitted to continue their existing accounting policy of long-term monetary
assets/liabilities.
Among the companies in the metals sector, Jindal Steel, JSW Steel and Tata
Steel currently follow amended AS 11. The impact on Vedanta will be relatively
lower than others as its foreign currency borrowings are low.
Employee benefits
SAIL to see significant
impact of change in
actuarial assumptions
Reduced volatility in earnings on change in actuarial assumption
:
Most
companies in the metals and mining sector offer significant long-term employee
benefit schemes. Currently, the actuarial losses/gains on these schemes are
charged through the income statement, which leads to volatility in earnings.
Ind-AS requires the actuarial gains/losses to be charged to reserves. This will
help to contain the volatility in the earnings.
Exhibit 88:
Actuarial gains/(losses) impact earnings
Particulars
SAIL
Cairn India
Note: PBT of all companies before exceptional items
% of PBT
-36%
3%
Source: Company Annual Report, MOSL
Property, plant and equipment
Recognition of constructive Asset retirement obligations (ARO) to impact
earnings:
Mining companies have asset retirement obligations (AROs) for the
infrastructure they lay for rendering services. They usually account for the
contractual obligation for the AROs either by (a) charging it on recurring basis to
the income statement, or (b) capitalizing the end obligation to the value of asset
and amortizing it over the period. However, Ind-AS requires companies to
capitalize both “constructive” and “contractual” obligations on present value
basis and then amortize it over the life of the asset. In our view, this will
negatively impact the profitability of companies in the telecom sector in the
initial part due to high amortization on recognition of constructive obligation.
However, it will be partially mitigated by discounting of obligation to present
value.
The impact on NMDC, Hindustan Zinc, and Coal India, which have significant
mining operations, will be medium, while the impact on Tata Steel, SAIL,
Hindalco, and Nalco will be low.
Revenue recognition
Grossing up of excise will lead to optical reduction in margins:
Currently,
revenues are presented as net of excise duty. Ind-AS requires presenting
revenues as gross of excise while excise duty is recognized as an operating cost.
Consequently, revenues and operating expenses will rise, while EBITDA remains
unimpacted.
March 2016
75

Ind AS | India integrating
Exhibit 89:
Impact due to presentation change of Excise
Company
SAIL
Coal India
JSW Steel
Hindustan Zinc
Jindal Steel
NALCO
Vedanta
Tata Steel
Hindalco Inds.
Excise (% sales)
11%
8%
8%
8%
6%
6%
5%
3%
2%
Impact on sales
12%
9%
9%
9%
7%
7%
5%
3%
2%
Source: Capital Line, MOSL
Rating: Exchange capitalization to have significant impact on metal companies
Financial
Instruments
Company
Overall
Employee benefit
expenses
PPE
Others
Coal India
Hind. Zinc
NMDC
JSW Steel
Tata Steel
Vedanta
SAIL
Hindalco Inds.
Natl. Aluminium
Jindal Steel
●●
●●
●●
●●●
●●●
●●●
●●●
●●
●●
●●
●●●
●●●
●●●
●●●
Source: MOSL
Impact:
Low
l
Medium
●●
l
High
●●●
March 2016
76

Ind AS | India integrating
Oil & Gas
Exhibit 90:
Snapshot
Area
Financial instruments
Perpetual debentures
IGAAP
Ind-AS
Impact due to Ind-AS
Treated as borrowings.
Treated as equity.
Reduces debt/equity and
i creases earn ngs since interest
on debentures gets reclassified
as preference dividend.
Reduce volatility in income
statements of companies
currently not following hedge
accounting
Derivatives
Optional either to follow
hedge accounting or MTM
losses on derivative contracts
are charged through the
income statement while the
MTM gains are ignored
Investments classified as (a)
current: carried at lower of
cost or market value, and (b)
non-current: carried at cost
less any permanent
diminution in value of asset
Can be capitalized to value of
asset
Derivative instruments are
required to be fair valued and
the gains and losses are
recognized through the
income statement unless the
company adopts hedge
accounting
Investments carried at fair
value with gains in P&L or OCI
as per the classification (a)
HTM, (b) FVOCI or (c) FVTPL.
Investments
Earnings on investments will
smoothen and be recognized
over the holding period.
Increase in net worth will,
however, lead to decline in the
return ratios.
Reduces asset value and
earnings
Reduction in volatility of income
statement.
Others
Capitalization of exchange
fluctuation
Employee cost
Long term employee benefit
plans
Property, plant & equipment
Asset retirement obligation
To be charged to income
statement
Gains losses on change in
actuarial assumptions charged
to the income statement.
Companies recognize absolute
contractual obligation for ARO
as a part of asset cost.
Gains/losses on change in
actuarial assumptions charged
to the reserves.
Companies recognize present
value of both contractual and
constructive obligation as a
part of asset cost
Profitability in the initial years
will decline as the base for
amortization increases on
recognition of constructive
obligation. However, this will be
partially compensated, as
obligations are recognized at
present value rather than
absolute value.
Increase in revenue and
operating cost while earnings
remain unaffected.
Source: MOSL
Revenue recognition
Gross v/s net revenue
recognition
Revenue showed as net of
excise duty.
Revenue to be shown as gross
of excise duty and excise is
treated as an operating
expense
Financial instruments
RIL & Cairn India have
significant investments in
Mutual Funds
Fair valuation of investments to smoothen earnings while RoEs decline:
Some
oil companies deploy money in investments. As explained on
page 23, Ind-AS
requires all investments to be recognized at fair value, with MTM gains
recognized in P&L or OCI as per the classification. Under the current practice,
gains are only booked when realized. We believe this will lead to smoothening
of earnings over the medium term while the return ratios will be adversely
impacted on transition.
March 2016
77

Ind AS | India integrating
Exhibit 91:
Companies with significant investments in Mutual Fund
Particulars
Reliance Industries
Cairn India
as % of net worth
20%
15%
Source: Capital Line, MOSL
RIL’s Debt/Equity to reduce
on account reclassification
of perpetual debentures
Classifying perpetual debentures as capital to reduce finance cost:
Perpetual
debentures do not have any fixed maturity; hence give the security of equity to
the issuer. Since Ind-AS relies on the concept of “substance over legal form”,
thereby classifying perpetual debentures as equity in place of debt.
Consequently interest cost being reclassified as dividend and reduction in
Debt/Equity.
Reliance Industries has issued perpetual debentures of INR50.0b which will be
classified as equity under Ind-AS. Consequently leading to higher earnings by
INR2.9b since interest on debentures will be classified as dividend and reduction
in Debt/Equity from 0.8x to 0.7x.
Exhibit 92:
RIL – impact of reclassification of Perpetual debentures as shareholders’ fund (INR b)
Particulars
IGAAP
Ind-AS
Capital
Loan Funds
Debt/Equity
PBT
2,184.8
1,682.5
0.8x
311.1
2,234.8
1,632.5
0.7x
314.1
Source: Company Annual Report , MOSL
Earnings volatility to reduce for companies not following hedge accounting:
Companies in the oil & gas sector have significant exposure to foreign exchange
payable on borrowings. To hedge the exchange fluctuation risk, they enter into
various derivative contracts. Under Ind-AS, all derivative instruments are
required to be fair valued and the gains and losses recognized through the
income statement unless the company adopts hedge accounting. Under the
current accounting practice, companies are either required to follow hedge
accounting (AS 30) or only the MTM losses on derivative contracts are charged
through the income statement while the MTM gains are ignored. This will
reduce volatility in the income statement of companies currently not following
hedge accounting. HPCL and Castrol currently do not follow hedge accounting.
HPCL which has higher exposure to hedges will be impacted more than Castrol.
Others: Foreign exchange fluctuation
Exchange fluctuation on long-term monetary assets/liabilities to impact
earnings:
Oil companies have exposure to long-term foreign currency monetary
items. Ind-AS requires the exchange fluctuation on translation or settlement of
the foreign currency monetary items to be recognized in the income statement.
The current IGAAPs, however, provide an option to capitalize the exchange
fluctuation to the carrying cost of fixed assets / reserves as the case may be and
amortize it over the life of the asset or the specified period. This change will
increase the volatility of earnings of companies currently following the option of
capitalizing exchange fluctuation. It may, however, be noted that under the
optional exception provided on first-time adoption, the companies are
78
March 2016

Ind AS | India integrating
permitted to continue their existing accounting policy of long-term monetary
assets/liabilities.
Reliance Industries currently capitalizes the amount of foreign exchange
fluctuation to the carrying value of asset.
Employee benefits
Reduced volatility in earnings on change in actuarial assumption:
Public sector
companies in the oil & gas sector offer significant long-term employee benefit
schemes. Currently, the actuarial losses/gains on these schemes are charged
through the income statement, which leads to volatility in earnings. Ind-AS
requires the actuarial gains/losses to be charged to reserves. This will help to
contain the volatility in the earnings.
Public sector oil & gas
companies to have
significant impact of change
in actuarial assumptions
Exhibit 93:
Companies with significant actuarial gain/(loss) as % of PBT
Particulars
Oil India
BPCL
ONGC
-5%
-3%
Actuarial gain/(loss) % to PBT
-2%
Source: Company Annual Report, MOSL
Property, plant and equipment
Recognition of constructive
ARO may impact Cairn
India, ONGC & OIL
Recognition of constructive Asset retirement obligations (ARO) to impact
earnings:
Oil exploration companies have asset retirement obligations (AROs)
for the infrastructure they lay for rendering services. They usually account for
the contractual obligation for the AROs either by (a) charging it on recurring
basis to the income statement, or (b) capitalizing the end obligation to the value
of asset and amortizing it over the period. However, Ind-AS requires companies
to capitalize both “constructive” and “contractual” obligations on present value
basis and then amortize it over the life of the asset. In our view, this will
negatively impact the profitability of companies in the telecom sector in the
initial part due to high amortization on recognition of constructive obligation.
However, it will be partially mitigated by discounting of obligation to present
value.
We believe the impact on Cairn India, ONGC and Oil India due to this change will
be low.
Revenue recognition
Excise grossing up to
optically reduce margins
Grossing up of excise will lead to optical reduction in margins:
Currently,
revenues are presented as net of excise duty. Ind-AS requires presenting
revenues as gross of excise while excise duty is recognized as an operating cost.
Consequently, revenue and operating expenses will rise while the EBITDA
remains unimpacted.
We believe HPCL, BPCL, IOCL and Indraprastha Gas will be significantly
impacted, while Reliance Industries will be moderately impacted.
March 2016
79

Ind AS | India integrating
Exhibit 94:
Excise as % of total revenue
Company
IOCL
BPCL
HPCL
Reliance Inds.
ONGC
GAIL (India)
Excise (% of sales)
7%
6%
6%
3%
3%
1%
Impact
8%
7%
6%
3%
3%
2%
Source: Capital Line, MOSL
Consolidation
Jointly controlled assets will
have no impact from
change in accounting of JVs
Jointly controlled Assets may not have any impact:
Ind-AS requires Joint
Ventures to be consolidated by using equity method (as currently done for
associates) as against the proportionate consolidation currently prescribed by
the IGAAPs. This will impact the operating metrics like revenue/ EBITDA for the
entities while the earnings will remain same. However if companies have
entered into agreements to jointly control the assets in place of creating an SPV,
there would be no impact on accounting of revenue from such assets.
Cairn India
has Jointly Controlled Assets with
ONGC
for Barmer assets which
contribute significant proportion of operating revenue and profitability. We
highlight that JCAs will continue to account for revenue and expenses on a
proportionate basis as is being done presently and will have no impact from
change in accounting of Joint Ventures.
Rating: Financial instruments & forex capitalization to have material impact on Oil & Gas companies
Financial
Instruments
Company
Overall
Employee
benefits
Consolidation
PPE
Business
Combination
Others
ONGC
Cairn India
Oil India
Reliance Industries
HPCL
BPCL
Castrol
●●
●●●
●●●
●●
●●
●●
●●●
●●
●●●
Source: MOSL
Impact:
Low
l
Medium
●●
l
High
●●●
March 2016
80

Ind AS | India integrating
Agriculture
Exhibit 95:
Snapshot
Area
Consolidation
Joint venture
IGAAP
Ind-AS
Impact due to Ind-AS
Consolidated on proportionate
basis
Consolidation as per Equity
method
Financial Instruments
FCCB
Decline in revenues and
EBITDA. However, earnings
remain unaffected. Also,
leverage profile of companies
may change
Increase in finance cost
Treated as debt. Premium on
redemption is either charged
to reserves or forms part of
contingent liability
Split accounting followed.
Interest cost on liability portion
to be provided through income
statement
Derivative instruments are
required to be fair valued and
the gains and losses are
recognized through the income
statement unless the company
adopts hedge accounting
To be charged to income
statement
Revenue to be shown as gross
of excise duty and excise is
treated as an operating
expense
Derivatives
Others
Capitalization of exchange
fluctuation
Revenue recognition
Gross v/s net revenue
recognition
Optional either to follow hedge
accounting or MTM losses on
derivative contracts are
charged through the income
statement while the MTM
gains are ignored
Can be capitalized to value of
asset
Revenue showed as net of
excise duty.
Reduce volatility in income
statements of companies
currently not following hedge
accounting
Reduces asset value and
earnings
Increase in revenue and
operating cost while earnings
remain unaffected.
Source: MOSL
Consolidation
JV consolidation under new norms to impact operating earnings:
Ind-AS requires JVs to be consolidated by equity method (as currently done for
associates) as against the IGAAP-prescribed proportionate consolidation. This
will bring material changes in operating metrics like revenue / EBITDA and debt
profile, while earnings may remain unchanged.
Tata Chemicals has 5 JVs, which contributes 4% of its consolidated revenue.
Financial Instruments
UPL and Tata Chemicals
may see reduced volatility
in earnings on account of
hedges
Earnings volatility to reduce for companies not following hedge accounting:
Several agriculture allied companies have significant foreign exchange
borrowings. To hedge the exchange fluctuation risk they enter into various
derivatives contracts. Under Ind-AS, all derivative instruments are required to be
fair valued and the gains and losses recognized through the income statement
unless the company adopts hedge accounting. This is in variance with the
current accounting practice, wherein the companies are either required to
follow hedge accounting (AS30) or only the MTM losses on derivative contracts
are charged through the income statement while the MTM gains are ignored.
This change will reduce the volatility in the income statements of companies
currently not following hedge accounting.
March 2016
81

Ind AS | India integrating
Among the agriculture allied companies that do not follow hedge accounting,
the impact will be high on UPL (FY15: ~171% of NW) and low on Tata Chemicals
(FY15: ~22% of NW).
Redemption premium on FCCBs to increase finance cost:
Several Indian
companies raise funds for operations through FCCBs. Under IGAAP, the FCCBs
are usually accounted at face value and interest expense is recognized as per the
stated coupon rate, if any. Certain companies amortize premium payable on
redemption over the period of FCCBs, while others treat the same as a
contingent liability. The redemption premium is charged to the securities
premium account, bypassing the impact on income statement. Ind-AS treats
FCCBs as compounded financial statement; hence, split accounting is followed.
The company will have to recognize (a) the issuer’s obligation to pay interest,
and potentially, to redeem the bond in cash (financial liability), and (b) the right
to call for shares of the issuer – put option available to the debenture-holder
(equity) separately. This will lead to increase in finance cost of the company.
Jain Irrigation may see
increase in finance cost
upon redemption of FCCBs
Exhibit 96:
Finance cost of Jain irrigation to rise on account of FCCBs
Company
Jain Irrigation
Year
of issue
FY 13
Maturity
period
Sep-17
Issuing
currency
USD
Issue
size ($m)
50
FCCB
outstanding
(INR m)
3129.5
Conversion
Price (INR)
115
Redemption
premium
Provided till date
(INR m)
190.6
Source: Company Annual Report, MOSL
Others: Foreign exchange fluctuation
Exchange fluctuation on
long-term monetary items
may have high impact on
Tata Chemicals
Exchange fluctuation on long-term monetary assets/liabilities to impact
earnings:
Agriculture allied companies have exposure to long-term foreign
currency monetary items. Ind-AS requires the exchange fluctuation on
translation or settlement of the foreign currency monetary items to be
recognized in the income statement. The current IGAAPs, however, provide an
option to capitalize the exchange fluctuation to the carrying cost of fixed assets
/ reserves as the case may be and amortize it over the life of the asset or the
specified period. This change will increase the volatility of earnings of companies
currently following the option of capitalizing exchange fluctuation. It may,
however, be noted that under the optional exception provided on first-time
adoption, the companies are permitted to continue their existing accounting
policy of long-term monetary assets/liabilities.
During FY15, Tata Chemicals capitalized foreign exchange loss of ~14% of PBT
while PI Industries capitalized foreign exchange loss of ~1% of PBT.
Revenue Recognition
Grossing up of excise will lead to optical reduction in margins:
Currently,
revenues are presented as net of excise duty. Ind-AS requires presenting
revenues as gross of excise while excise duty is recognized as an operating cost.
Consequently, revenue and operating expenses will rise while EBITDA remains
unaffected.
March 2016
82

Ind AS | India integrating
Exhibit 97:
Impact due to presentation change of excise (FY15)
Company
Bayer Crop Sci.
P I Inds.
Jain Irrigation
Tata Chemicals
Godrej Inds.
Excise (% of sales)
9%
4%
2%
2%
1%
Impact
10%
4%
2%
2%
1%
Source: Capital Line, MOSL
Rating: Classification of financial instruments to impact Agri companies
Company
Overall
Financial
Instruments
Consolidation
Others
UPL
Tata Chemicals
Jain Irrigation
●●
●●●
●●●
●●
●●●
Source: MOSL
●●●
Impact:
Low
l
Medium
●●
l
High
●●●
March 2016
83

Ind AS | India integrating
Real Estate
Exhibit 98:
Snapshot
Area
Revenue recogn tion
R cognition criteria
IGAAP
Ind-AS
Impact due to Ind-AS
On transfer of risk and
rewards
No specific guidance.
Generally, companies
recognize entire
consideration as revenue
from sales and the
outstanding payments are
shown as receivables.
Money invested by PE
investor is considered sale
of equity to minority
shareholder
Based on legal ownership.
On transfer of control
Timing of revenue and
profitability recognition may
change.
(a) Lower recognition of
operating revenues, (b) higher
recognition of interest
income, and (c) delay in
recognition of earnings.
Deferred payment condition
Revenues for sale are
recognized on present value
(PV) basis. The difference
between absolute value and PV
is recognized as interest income
over the period of extended
credit.
Equity/preference share
investment by PE with put
option treated as debt.
Financial instruments
Put option given to PE investors
Increase in leverage profile of
companies.
Consolidation
Consolidation of SPV
Based on control.
Certain entities may be
consolidated/ unconsolidated.
Source: MOSL
Revenue recognition
Revenue and profitability recognition may get delayed:
Under the current
practice, revenue for a pre-sales property transaction is recognized on the basis
transfer of risk and rewards – revenue is recognized on POCM basis on meeting
certain norms laid out in ICAI’s guidance note. However, under IND-AS, revenue
recognition is additionally based on transfer of control. For revenue to be
recognized on POCM basis, the developer’s performance should not create an
asset with alternative use and the developer should have enforceable right to
payment for work completed till date. Consequently, under Ind-AS, revenue
recognition can happen on POCM bais or on completed contract basis. Under
completed contract basis, revenue and profit recognition could be lumpy and
delayed.
Extended payment terms may lead to delayed recognition of earnings: As it is
based on fair value approach, Ind-AS factors in time value of money. It requires
revenues on sales made with deferred payment consideration to be recognized
at fair value. The difference between the fair value and total consideration is
recognized as interest income over the tenure of the receipt of the deferred
consideration. This will lead to (a) lower recognition of operating revenues, (b)
higher recognition of interest income, and (c) delay in the recognition of
earnings.
We believe in the current scenario all the developers are offering deferred
credit schemes to generate sales and hence the quality of earnings will change.
March 2016
84

Ind AS | India integrating
Financial instruments
Change in leverage profile on classification of PE investments with put option
as debt:
Real estate companies raise funds from PE investors by issuing them
equity / preference shares with a put option. Under IGAAPs, such investors are
treated as minority shareholders or as preference shareholders depending on
the arrangement. Under Ind-AS, such financial instruments with a put option
can be classified as debt, leading to change in the leverage profile of the
companies.
Consolidation of JV/subsidiaries
Consolidation of entities may be materially different than under IGAAPs.
Real
estate developers operate through various SPVs and subsidiaries. Ind-AS
requires consolidation of all entities under a company’s significant control as
subsidiaries. The universe of entities being consolidated under Ind-AS may
materially differ from that under IGAAP
(refer page 14 for details).
This may
lead to change in the revenue, earnings (due to elimination of transactions with
subsidiaries) and debt profile of companies.
Rating: Revenue recognition likely to impact real estate companies
Companies
Overall
Revenue
Recognition
Financial
Instruments
Consolidation
DLF
HDIL
Indbull Realestate
Impact:
Low
l
Medium
●●
l
High
●●●
●●
●●
●●
●●
●●
●●
Source: MOSL
March 2016
85

Ind AS | India integrating
Cement
Exhibit 99:
Snapshot
Area
Others
Government grants
Sales tax deferred loans
IGAAP
Ind-AS
Impact due to I d-AS
Increase in EBITDA and
finance cost, while earnings
may remain unimpacted.
Amount collected from
customer is recognized as a
loan on absolute value.
Financial instruments
Investments
Amount collected from the
customer is recognized as a
loan, which is carried at the
present value (PV). The
difference between the PV and
absolute value is (a)treated as
the finance cost on one side,
and (b) deferred revenue
income on the other
Investments carried at fair
value with gains in P&L or OCI
as per the classification (a)
HTM, (b) FVOCI or (c) FVTPL.
Investments classified as (a)
current: carried at lower of
cost or market value, and (b)
non-current: carried at cost
less permanent diminution in
value of asset.
Earnings on investments will
smoothen and be recognized
over the holding period.
Increase in net worth will,
however, lead to decline in
return ratios.
Source: MOSL
Others – Government grants
EBITDA and finance cost to rise on accounting of VAT/sales tax deferred loans:
Cement companies that have set up plants in notified areas and are eligible for
sales tax deferral loans wherein companies collect VAT/ sales tax from
customers but pay to the government after a few years without any interest.
Under the current practice, the amount so collected is accounted as an interest-
free loan. However, Ind-AS requires such loans to be recognized at the present
value of future cash flows, The difference between PV and nominal value is
recognized as deferred revenue grant on one hand and interest cost on the
other hand and are recognized over the period of the loan. This would lead to an
increase in other operating revenue on the one hand and finance cost on the
other.
Ramco
has sale tax deferral loan of INR3.9b (14% of FY15 net worth)
Revenue recognition on gross basis to optically impact margins:
Currently,
cement companies report revenues net of indirect tax levies. Ind-AS will require
gross reporting of revenue with indirect tax being recognized as an expense.
This will lead to an optical reduction in operating margins, while absolute
EBITDA remains unimpacted.
Exhibit 100:
Impact on sales due to change in presentation of excise (FY15)
Company
The Ramco Cement
Ambuja Cem.
UltraTech Cem.
ACC
Shree Cement
Excise (% of sales)
12.8%
11.2%
11.2%
10.5%
10.1%
Impact on sales
15%
13%
13%
12%
11%
Source: Capital line, MOSL
March 2016
86

Ind AS | India integrating
Financial instruments
Fair valuation of investments to smoothen earnings while RoEs decline:
Some
cement companies deploy surplus money in investments. As explained
on page
23, Ind-AS
requires all investments to be recognized at fair value, with MTM
gains recognized in P&L or OCI as per the classification. Under the current
practice, gains are only booked when realized. We believe this change will
smoothen earnings over the medium term while the return ratios will be
adversely impacted on transition.
Companies with significant
investments in MF units
– Ultra Tech – 23% of Net
worth, Ambuja – 21% of Net worth
Rating: Impact of Ind-AS on Cement companies
Financial Instruments
Companies
Overall
Others
UltraTech Cem.
Ambuja Cem.
The Ramco Cement
Impact:
Low
l
Medium
●●
l
High
●●●
●●
●●
●●
●●
Source: MOSL
March 2016
87

Ind AS | India integrating
Capital Goods
Exhibit 101:
Snapshot
Area
Financial instruments
Investments
IGAAP
Ind-AS
Impact due to Ind-AS
Investments classified as (a)
current: carried at lower of cost
or market value, and (b) non-
current: carried at cost less
permanent diminution in value
of asset
Recognized as debt
Premium on redemption is
either charged to reserves or
forms part of contingent liability
Can be capitalized to value of
asset
Investments carried at fair
value, with gains in P&L or
OCI as per the classification
(a) HTM, (b) FVOCI or (c)
FVTPL
Split accounting followed.
Interest cost on liability
portion to be provided
through income statement
To be charged to income
statement
Mandatory if there is any
subsidiary, JV or associate
Earnings on investments will
smoothen and be recognized over
the holding period. Increase in net
worth will, however, lead to decline
in return ratios.
Increase in finance cost
FCCB
Others
Capitalization of
exchange fluctuation
Consolidation
Preparation of
consolidated financial
statements
Entities to be
consolidated
Employee benefits
ESOPs by parent
Revenue recognition
Agreements for
equipment
sale, installation and
maintenance services
Discounts / incentives
Reduces asset value and earnings
Mandatory only when they have
one or more subsidiaries.
It will present a more comprehensive
and contemporary position of
financial statements.
Certain entities may be consolidated/
unconsolidated
Increase in employee costs.
Based on legal ownership
Based on control
Not accounted.
Mandatory to account for
ESOP cost on fair valuation.
No specific requirement for
unbundling of services. Entire
revenue is recognized on sale of
equipment.
Expensed in P&L account.
Revenue for each
component of agreement
to be recognized separately.
Revenues recognized net
of incentives / discounts.
Deferral of revenue and earnings.
Reduction in revenue, increase in
operating margins. Earnings will
remain un-impacted.
Source: MOSL
Financial instruments
Redemption premium payable on FCCB’s to increase finance cost:
FCCB are
recognized as compound financial instruments wherein proceeds are split into
debt and equity component. The borrowing cost on debt component will be
charged through the income statement as against the erstwhile practice of
adjusting it through reserves. Refer
page 23
for details
Suzlon
has FCCB worth INR22.4b outstanding as at FY15.
Fair valuation of investments to smoothen earnings while RoEs decline:
Auto
companies deploy money in investments. As explained on
page 23, Ind-AS
requires all investments to be recognized at fair value, with MTM gains
recognized in P&L or OCI as per the classification. Under the current practice,
gains are only booked when realized. We believe this will lead to smoothening
of earnings for the companies over the medium term while the return ratios will
be adversely impacted on transition.
Thermax
has invested 38% of its net worth
in MF units.
88
March 2016

Ind AS | India integrating
Others: Foreign exchange fluctuation
Exchange fluctuation on long term monetary assets/ liabilities to impact
earnings:
Suzlon has availed foreign currency borrowings and currently
capitalises forex fluctuations in the balance sheet as per the provisions of
amended AS 11. Ind-AS requires exchange fluctuations on all new loans availed
to be expensed through the income statement.
Refer page 32 for details.
Consolidation
Consolidation of JVs in absence of subsidiaries:
Under IGAAP, consolidation is
necessary only when there is a subsidiary. However, Ind-AS requires
consolidated financial statements even when there are no subsidiaries but there
are associates or JVs. Currently,
Cummins India
does not have subsidiaries and
does not present consolidated financials. Under Ind-AS, consolidation of JVs will
be required.
Cummins has four JVs generating ~4% of standalone revenue.
Entities consolidated by conglomerates may vary:
Conglomerates usually have
complex organization structures. With the change in the definition of control to
determine subsidiaries under Ind AS the universe on entities getting
consolidated may vary significantly then under the IGAAP. This may bring
changes in the critical operating metrics for the company.
Companies to be
impacted: L&T
Employee stock option
Employee cost to increase to factor ESOP offered by parent:
Stock options are
provided to employees of Alstom India by its parent Alstom France and thus no
cost is booked by the Indian entity. Ind-AS will require ESOP cost on fair
valuation of these ESOP to be recognized as an expense by the Indian entity.
Revenue recognition
Revenue on corporate contracts to be recognized separately:
Capital goods
companies usually enter into composite contracts for sale, installation and
maintenance of equipment. IGAAPs permit the entire revenues to be recognized
at the time of initial sale. However, Ind-AS requires unbundling of these multiple
element arrangements and recognition of the revenues of each activity
separately. This will lead to deferring and recognizing the service revenue over
the period of rendering the service.
Netting incentives / discounts from revenue to optically boost margins:
Light
electrical goods companies offer discounts and incentives to dealers on
achieving certain targets. Ind-AS requires the revenues to be recognized and
reported net of these discounts and incentives instead of the current practice of
showing these as expenses. This will lead to lower revenue and higher operating
margins while absolute EBITDA remains unaltered.
Revenue representation on gross basis to optically impact margins:
Currently,
revenues for companies are reported net of indirect tax levies. Ind-AS requires
gross reporting of revenue, with indirect tax recognized as an expense. This will
lead to an optical reduction in operating margins, while absolute EBITDA
remains unimpacted.
March 2016
89

Ind AS | India integrating
Exhibit 102:
Impact due to presentation change of excise (FY15)
Company
Cummins India
Alstom T&D India
ABB
Havells India
Siemens
BHEL
Thermax
Crompton Greaves
Excise (% of sales)
9%
6%
6%
3%
3%
3%
3%
3%
Impact on sales
10%
6%
6%
4%
3%
3%
3%
3%
Source: Capital line, MOSL
Note:
L&T has several BOT projects in the power and road space. However, in the
absence of any specific guidance in IGAAPs, it had adopted the accounting of BOT
contracts as per IFRS, which is in line with Ind-AS. Consequently, there will be no
impact on migrating to Ind-AS on that count.
Rating: Impact of Ind-AS on Capital Good companies
Financial
Instruments
Companies
Overall
Consolidation
Employee benefit
expenses
Others
Cummins India
Alstom T&D India
Thermax
Suzlon Energy
L&T
●●
●●
●●●
●●
●●●
●●
●●●
Source: MOSL
Impact:
Low
l
Medium
●●
l
High
●●●
March 2016
90

Ind AS | India integrating
Opportunities and key challenges
New financials to present a more contemporary picture
More appropriate representation:
Ind-AS, based on the principles of (a)
substance over form, and (b) fair valuation will present a more contemporary
picture of the state of affairs for India Inc. as against IGAAPs, which are based on
the principle of conservatism.
Increased transparency:
Further, the new standards lay more stringent norms
for detailed disclosures, which will help enhance the transparency and
governance standards.
Facilitate comparability:
Ind-AS will present a more comparable picture of the
peer set, as it addresses various areas where the current IGAAPs do not offer
any specific guidance, and hence, corporates follow different policies, which
makes their financials incomparable.
Appealing to foreign investors:
While Ind-AS is not the same as IFRS, it will bring
the accounting standards in India much closer to international standards that
investors are familiar with and have confidence in, and in turn, should improve
the appeal of Indian companies to foreign investors.
Few anomalies remain, however
Exchange fluctuations on intra-group transactions:
One of the few things that
the new accounting standards do not address is the recognition of exchange
differences on intra-group balances. We highlight that while the intra-group
balances are eliminated on consolidation, the exchange difference continues to
be recognized in the income statement. This is because the monetary items
represent a commitment to convert one currency to another and expose the
reporting currency to a gain or loss through currency fluctuation.
Example:
An Indian entity has a USD receivable from its US subsidiary. The
Indian entity translates the USD receivable to INR at the year-end exchange rate
and recognizes exchange difference as income or expenses in profit or loss. In
the consolidated financial statement, the intra-group balances are eliminated.
However, the exchange gain / loss continue to be recognized in profit and loss,
which gets balanced off by translation reserves.
Several challenges as we migrate
Corporate preparedness:
A February 2016 survey by “PWC India” highlighted
that ~39% of the corporates surveyed are yet to prepare for the implementation
of Ind-AS.
First time adoption:
Though first time adoption of Ind-AS is an opportunity for
all entities to align their accounting policies to best practices, it is also offers
room for cleaning up of books, the interpretation of which is a challenge for
investors.
Extensive disclosures:
These are required to explain the transition to the
shareholders for every change in estimate, accounting policy, reclassification or
recognition/de-recognition of assets and liabilities. However, companies will
have to decide how much to disclose so as to meet the regulatory requirements
at the same time maintain a competitive edge.
91
March 2016

Ind AS | India integrating
Financial covenants:
“Key performance indicators” and ratios used by
businesses to measure performance are also closely tied to the financial
covenants a company may have in its contracts. A complete review of and
modification to contracts containing financial covenants might be required.
Valuations:
Due to financial rejig under Ind-AS, the financials will undergo a
tangible shift, impacting revenue, EBITDA, earnings and net worth, as the case
may be. Hence, the matrices and multiples on which companies are being
valued may be required to be revisited.
Dividend distribution policies:
Companies may need to review and, if necessary,
amend dividend distribution policies in light of their changed financial situation
after applying Ind-AS.
Income tax:
The current attempt is to delink accounting profit with computation
of taxable income. The government has proposed new tax accounting standards
(ICDS)
for computation of taxable income of businesses. Hence, transition to
IND-AS will not have significant impact on computation of taxable income
except for computation of minimum alternate tax (MAT).
Management estimates:
A lot of accounting in Ind-AS is based on management
estimates. It would be challenging in initial periods to maintain accuracy and
consistency in estimates.
Fair value:
Use of fair value approach will bring in a lot of volatility in
accounting. Also, we believe that since this concept is new to India, there is lack
of knowledge and technical expertise to determine fair value.
Regulatory capital:
For companies operating in a regulated environment (for
example insurance companies, banks, etc) and where the Ind-AS financial
statements will be the basis for regulatory reporting, conversion to Ind-AS might
have an impact on regulatory capital. This might require additional capital and,
where regulated subsidiaries are involved, restrict distribution to the parent.
March 2016
92

Ind AS | India integrating
Annexure 1: HUL’s draft IGAAP vs Ind-AS
Exhibit 103:
HUL’s draft Ind AS balance sheet as on April 1, 2015 (INR m)
INR m
Equity and Liabilities
Equity
Equity Share Capital
Other Equity
Non-current liabilities
Financial Liabilities - Others
Long-Term provisions
Other non-current liabilities
Current liabilities
Financial Liabilities
Trade payables
Other financial liabilities
Other current liabilities
Short-Term Provisions
Liabilities for current tax
Total Equity and Liabilities
Assets
Non-Current Assets
Property, Plant and equipment
Capital work in progress
Intangible assets
Financial assets
Non-current investments
Long-term loans and advances
Others
Deferred tax assets
Other non-current assets
Current Assets
Inventories
Financial assets
Current investments
Trade Receivables
Cash and cash equivalent
Short term loans and advances
Others
Assets for current tax (net)
Other current assets
Non-current assets classified as held for sale
Total Assets
Reclassified IGAAP IND-AS Adjustment
IND-AS
2,163.5
35,084.3
180.5
8,285.9
1,520.7
-
24,316.6
-
(3,652.6)
(189.2)
2,163.5
59,400.9
180.5
4,633.3
1,331.5
52,523.0
2,063.1
7,783.0
25,391.4
1,345.2
136,340.6
-
17.4
-
(23,508.4)
-
(3,016.2)
52,523.0
2,080.5
7,783.0
1,883.0
1,345.2
133,324.4
24,355.0
4,790.1
220.3
6,541.1
1,797.7
1,422.4
1,959.6
90.0
26,026.8
43,860.9
7,829.4
7,207.3
2,881.9
943.9
2,524.6
3,795.8
93.8
136,340.6
-
-
-
(3,500.0)
-
-
(478.3)
-
-
938.7
-
6.0
-
17.4
-
-
-
(3,016.2)
24,355.0
4,790.1
220.3
3,041.1
1,797.7
1,422.4
1,481.3
90.0
26,026.8
44,799.6
7,829.4
7,213.3
2,881.9
961.3
2,524.6
3,795.8
93.8
133,324.4
Source: Company, MOSL
March 2016
93

Ind AS | India integrating
Exhibit 104:
Hindustan Unilever’s draft Ind-AS 1QFY15 restated P&L (INR m)
Reclassified
IND-AS
IGAAP
Adjustment
81,051.3
3,289.1
1,086.1
143.5
82,137.4
3,432.6
5,845.7
-
-
(55.8)
63.4
-
(2,556.6)
3,296.7
135.9
-
135.9
-
(47.0)
88.9
IND-AS
84,340.4
1,229.6
85,570.0
34,223.5
10,222.4
419.7
3,579.2
64.1
749.3
20,775.5
70,033.7
15,536.3
97.6
15,633.9
(4,914.9)
(38.7)
10,680.3
Revenue from Operations
Other Income
Total Revenue
EXPENSES
Cost of Raw Materials Consumed
28,377.8
Purchases of stock-in-trade
10,222.4
Changes in Inventories of Finished Goods, Work-in-Process
and Stock-in-Trade
419.7
Employee Benefits Expense
3,635.0
Finance Costs
0.7
Depreciation and Amortization Expense
749.3
Other Expenses
23,332.1
Total Expenses
66,737.0
Profit before Tax & Exceptional Items
15,400.4
Exceptional Items
97.6
Profit before Tax
15,498.0
Tax Expense:
Current Tax Expense
(4,914.9)
Deferred Tax (net)
8.3
Profit for the year
10,591.4
Other comprehensive Income
Items that will not be reclassified to P&L
Re-measurement of net defined benefit plans
Income tax relating to items that will not be classified to P&L
Re-measurement of net defined benefit plans (tax)
Items that will be reclassified to P&L
Debt instruments through OCI
-
Income tax relating to items that will be classified to P&L
Debt instruments through OCI (tax)
-
Other Comprehensive income for the period
-
Total Comprehensive income for the period
10,591.4
-9.7
3.4
-6.3
82.6
(9.7)
3.4
-6.3
10,674.0
Source: Company, MOSL
March 2016
94

Ind AS | India integrating
Annexure 2: Companies not following hedge accounting
Exhibit 105:
Companies not following hedge accounting
ABB
ACC
Adani Enterp.
Adani Ports
Adani Power
Ajanta Pharma
Alembic Pharma
Alstom T&D India
Amara Raja Batt.
Ambuja Cem.
Asian Paints
Aurobindo Pharma
BPCL
Bayer Crop Sci.
Bharat Electron
Bharti Airtel
Bharti Infra.
Biocon
Blue Dart Exp.
Bosch
Britannia Inds.
Cipla
Colgate-Palm.
Container Corpn.
Cummins India
Dish TV
Divi's Lab.
DLF
Emami
Engineers India
Exide Inds.
Gillette India
Glaxosmit Pharma
GlaxoSmith C H L
Glenmark Pharma.
GMR Infra.
Multi Comm. Exc.
Natco Pharma
NCC
NHPC Ltd
ONGC
Oil India
Oracle Fin.Serv.
P & G Hygiene
Petronet LNG
Pfizer
Pidilite Inds.
Piramal Enterp.
Power Grid Corpn
Rajesh Exports
Rel. Comm.
Reliance Infra.
Reliance Power
Shree Cement
SPARC
Sun Pharma.Inds.
Sun TV Network
Supreme Inds.
Suzlon Energy
Tata Chemicals
Tata Comm
Tata Elxsi
Tata Power Co.
Tata Steel
The Ramco Cement
Torrent Power
TV18 Broadcast
United Breweries
United Spirits
UPL
Wockhardt
Zee Entertainment
Source: Company Annual Report, MOSL
March 2016
95

Ind AS | India integrating
Annexure 3: Companies capitalising forex fluctuations
Exhibit 106:
Companies capitalising forex fluctuations
Adani Ports
Adani Power
Arvind Ltd
Bharat Forge
Biocon
Century Textiles
CRISIL
Dish TV
Jindal Steel
JP Associates
Jubilant Life
Larsen & Toubro
Lupin
M&M
Nestle India
NHPC Ltd
Oil India
P I Inds.
Page Industries
Tata Motors
Tata Steel
Vedanta
Source: Company Annual Report, MOSL
DLF
Emami
GMR Infra.
HDIL
Hero Motocorp
Idea Cellular
Indian Hotels
IRB Infra. Devl.
JSW Energy
JSW Steel
Pidilite Inds.
Rel. Comm.
Reliance Infra.
Reliance Power
SAIL
SRF
Suzlon Energy
Tata Chemicals
Torrent Power
United Breweries
March 2016
96

Ind AS | India integrating
Annexure 4: Impact of Ind-AS on financials
IMPACT OF IND AS
On earnings
• Timing of revenue recognition
• Revenues on multiples component
contracts should be recognized
separately and at the time of actual
rendering of service
•Service revenue to be recognized by
percentage completion method
•Joint Ventures will be consolidated by
equity method only and hence
impacting EBITDA
•Timing of income recognition on
financial instruments
•Stock options to be accounted at fair
value
•Fund raising cost to be recognized
through the income statements
•Forex fluctuations to be charged
through income statement only
•Dividend on redeemable preference
share to be recognized as interest cost
•Actuarial gain/loss on valuation of
future employee benefit expense should
be recognized through OCI
•Depreciation on revalued assets to be
charged to income statement
•Intangibles can have an indefinate
useful life
•Transaction cost on M&A to be charged
to income statement
On Balance sheet
•Reclassification of financial instruments
- Convertible bond as equity and
redeemable pref. share as debt
•Accounting for M&As using fair value
approach
•Long term provisions to be carried on
present value
•Deferred tax to be recognized using
Balance sheet approach
•Asset retirement obligation should
factor for both constructive and
contractual obligation on present value
basis
•Treasury shares to be presented as a
reduction from equity.
•Trust dealing with ESOPs needs to be
consolidated
•Investments to be recognized at fair
value only
•Mandatory use of G-sec yields to
determine the actuarial liabilities
On presentation of financial statements
•Revenue to be reported on gross basis
net of incenitves and discounts
•Indirect taxes paid to form part of cost
line items
•Financial instruments to be carried at
fair value/ amortised cost
•No income / expenses can be classified
as extraordinary
•Financial statements to be restated
retrospectively for prior period errors
•Extensive disclosures on segments are
required
•Extensive disclosure on income tax and
tax rate reconcilliation
•Contingent assets to be disclosed if
economic benefit is probable
March 2016
97