Eicher Motors’ (Eicher) FY16 annual report is for a period of 15
months and hence, not comparable with CY14 numbers. In FY16,
the company’s consolidated revenue grew by 43.6% (annualized)
to INR156.9b (15 months), while EBITDA margin expanded by
300bp to 16%. Earnings to cash flow conversion remained
strong, with the company generating its highest ever free cash
flow (FCF) of INR12.1b despite high capex of INR10.6b. RE’s
strong performance continued to drive FCF, while the
improvement in VECV’s FCF was driven mainly by acceptances
(~INR3.7b increase in FY16) which we consider as quasi debt.
RoCE continued to expand to 34% (CY14: 27%) on the back of
superior capital allocation, primarily to fund growth.
EICHER MOTORS
The
ART
of annual report analysis
Hi
ghest ever FCF reported at
INR12.1b despite high capex of
INR 10.6b driven by RE.
Subsidiaries (primarily VECV)
FCF at INR 2.5b is primarily led
by increase in acceptances by
INR3.7b.
ROCE rises to 34% on continued superior
capital allocation to fund growth
.
A
NNUAL
R
EPORT
T
HREADBARE
6 June 2016
Operating metrics continue to improve
Highest ever FCF driven by RE
During FY16, Eicher reported an annualized increase of 43.6%
in revenue to INR156.9b (15 months), as against INR87.4b in
CY14. Standalone annualized revenue increased by 63.3% to
INR61.9b (15 months), while VECV reported an annualized
increase of 31.5% in revenue to INR96.2b (15 months)
EBITDA margin increased from 13% in CY14 to 16% in FY16,
primarily on account of gross margin expansion of RE (400bp)
and operating leverage of VECV.
Stock Info
Bloomberg
CMP (INR)
Equity Shares (m)
52-Week Range (INR)
1,6,12 Rel. Perf.(%)
M.Cap. (INR b) / (USD b)
EIM IN
18,955
27.2
21,618/14,818
-12/10/9
515.6/7.7
Financial summary (INR b)
Y/E March
2016A*
2017E
2018E
Net Income
156.9
170.6
208.5
EBITDA
24.5
29.0
37.5
Net Profit
12.8
16.2
22.4
Adj. EPS (INR)
470.5
595.2
823.7
EPS Gr. (%)
65.8
58.1
38.4
BV/Sh. (INR)
1,276
1,724
2,373
RoE (%)
34.2
39.7
40.2
RoCE (%)
26.1
31.7
34.0
Payout (%)
0.5
0.7
0.8
Valuations
P/E (x)
40.3
31.8
23.0
P/BV (x)
14.9
11.0
8.0
EV/EBITDA (x)
23.9
19.7
14.9
Div. Yield (%)
0.5
0.7
0.8
E: MOSL Estimates (Analyst estimates); * 15 months
RoCE improves on account of superior capital allocation
Eicher generated its highest ever FCF of INR12.1b (CY14:
INR0.7b), despite a high capex of INR10.6b in FY16. The FCF
generation was driven primarily by improvement in RE’s
operations, while the improvement in VECV’s cash flow was
led mainly by higher acceptances which we consider as a
quasi-debt. After adjusting for the same, the FCF for FY16
stood at INR8b (CY14: -INR0.1b).
Over CY11-FY16, Eicher has generated 83% of funds from
operating activities. This has been utilized primarily for
enhancing its production capacities with 66% of the funds
been allocated for capex.
The superior capital allocation has led to an increase in RoCE
from 21% in CY11 to 34% in FY16 (annualized).
Continued investments for expanding business capabilities
Management has provided FY17 capex guidance of INR10b,
out of which INR6b is for RE and INR4b for VECV.
R&D investments have increased from INR0.3b in CY14 (1.1%
of revenue) to INR0.9b in FY16 (1.5% of revenue).
In FY16, managerial bandwidth in RE increased significantly,
with executives drawing annual salary of more than INR6m
increasing from 15 in CY14 to 46 in FY16, and addition of over
600 permanent employees(+47%).
As on
Promoter
DII
FII
Others
Shareholding pattern (%)
Mar-16
54.9
3.2
28.9
13.1
Note: FII Includes depository receipts
Dec-15
54.9
4.9
26.6
13.6
Mar-15
55.0
6.1
22.1
16.9
Auditor’s name
Deloitte Haskins & Sells
ART
will present a threadbare portrait of annual reports - statistical, strategic and structured. We believe
ART's
wide canvas - from accounting and auditing issues to
operating performance to management insights to governance matters - will help readers paint a clearer picture of the stock's investment worthiness.
Sandeep Gupta
(S.Gupta@MotilalOswal.com); +91 22 3982 5544
Somil Shah
(Somil.Shah@MotilalOswal.com); +9122 3312 4975/
Mehul Parikh
(Mehul.Parikh@MotilalOswal.com); +9122 3010 2492
Investors are advised to refer through important disclosures made at the last page of the Research Report.
Motilal Oswal research is available on
www.motilaloswal.com/Institutional-Equities,
Bloomberg, Thomson Reuters, Factset and S&P Capital.

ART|
EICHER MOTORS FY16
ART #1
ACCOUNTING& KEY FINANCIAL INSIGHTS
Stellar performance continues
Stellar revenue growth of
43.6% led by standalone
performance
During FY16, Eicher changed its financial year ending from December to March.
Hence, the company’s financials for FY16 (for 15 months) are not comparable
with its CY14 numbers.
During FY16, revenue (annualized) increased by 43.6% to INR156.9b (CY14:
INR87.4b).
The significant increase in revenue was driven by standalone operations which
reported an annualized growth of 63.3%, with the number of motorcycles sold
increasing from 0.30m in CY14 to 0.50m in FY16.
VECV also showed material improvements with revenue increasing from
INR57.6b in CY14 to INR96.2b in FY16. The number of vehicles sold increased
from 40,783 in CY14 to 63,050 in FY16
EBITDA margin increased from 13% in CY14 to 16% in FY16, mainly on account
of gross margin expansion of the standalone business and operating leverage of
subsidiaries (primarily VECV).
The company received an industrial promotion subsidy of INR743m, 3.5% of
PBT, in FY16 (CY14: INR370m; 3.7% of PBT) recognized under ‘Other operating
income.’ The subsidy is recurring in nature and is towards the refund of sales tax
paid from MDEP and VECV’s bus body plant, which registered a growth of 63%
on an annualized basis.
Subsidiary (Derived)
FY16
CY14
(INR b)
57.1
39.6
17.5
8.7
5.0
3.8
1.7
2.1
0.1
2.0
(0.1)
1.9
0.5
1.4
FY16
Consolidated
CY14
FY16
Exhibit 1:
Robust operating performance continues (INR b)
Standalone
CY14
Particulars
(INR b)
Net Revenue (Operations) 30.3
Raw Materials Consumed 18.1
Gross Margin
12.2
Operating and
Administrative Expenses
3.3
Personnel Cost
1.6
EBITDA
7.3
Depreciation
0.5
EBIT
6.8
Financial Charges
0.0
EBT
6.8
Other Income
1.2
PBT
8.0
Tax
2.4
PAT
5.6
(% of
(% of
(INR b)
revenue)
revenue)
100
60
40
11
5
24
2
23
0
22
4
26
8
18
61.9
34.4
27.4
6.9
3.2
17.3
1.4
15.9
0.0
15.9
1.8
17.7
5.4
12.3
100
56
44
11
5
28
2
26
0
26
3
29
9
20
(% of
(% of
(% of
(% of
(INR b)
(INR b)
(INR b)
revenue)
revenue)
revenue)
revenue)
100
69
31
15
9
7
3
4
0
4
-0
3
1
3
95.0
66.8
28.2
13.7
7.4
7.2
3.1
4.0
0.1
4.0
(0.7)
3.3
1.1
2.2
100
70
30
87.4
57.7
29.7
100
66
34
156.9
101.2
55.7
100
65
35
14
12.0
14
20.6
13
8
6.6
8
10.6
7
8
11.1
13
24.5
16
3
2.2
3
4.5
3
4
8.9
10
20.0
13
0
0.1
0
0.1
0
4
8.9
10
19.9
13
-1
1.1
1
1.1
1
3
9.9
11
21.0
13
1
2.9
3
6.5
4
2
7.0
8
14.5
9
Source: Company Annual Report, MOSL
FY16
96.2
7.6
1.1
Source: Company Annual Report, MOSL
Exhibit 2:
VECV performance improved (INR b)
Particulars
Revenue
EBITDA
PAT
CY14
57.9
4.2
0.5
6 June 2016
2

ART|EICHER
MOTORS FY16
FCF improves materially despite high capex
FCF Improves significantly
despite higher capex
Operating cash flow generation remained robust with earnings to cash flow
conversion at 119%, driven by negative working capital requirement.
FCF post interest improved significantly to INR 12.1b (CY14: INR 0.7b) despite
high capex of INR10.6b (CY14:INR9.7b). While, RE’s contribution remained
substantial, the subsidiaries (primarily VECV) also showed improvement, driven
mainly by trade payables, including acceptances.
After adjusting for acceptances, which we consider as quasi debt, the FCF of
subsidiaries (primarily VECV) improved YoY, but still remained negative at
INR1.1b.
Adjusted for acceptances consolidated FCF stood at INR8.0b (CY14: -0.1b)
Exhibit 3:
Earnings to cash conversion remains strong
108%
122%
119%
119%
97%
Strong operating cash flows
drive earnings to cash flow
conversion
Source: Company Annual Report, MOSL
Exhibit 4:
Free cash flow improvement driven mainly by RE (INR b)
Particulars
PBT
Add/Less: Non-Operating adjustments
Add/Less: Non-cash adjustments
Less: Direct Taxes Paid
Oper. Profit Bef. Working Capital Changes
Inventories
Trade Receivables
Loans and Advances
Other Current Assets
Trade Payables
Current Liabilities and Provisions
CFO
Less: Financial Cost
Free Cash Flow from Operations post Inter.
Less: Capital Expenditure
Reported Free Cash Flow post interest
Adjustments:
Acceptances
Bill Discounted
Adjusted Free Cash Flow post interest
Standalone
CY14
FY16
8.0
17.7
(1.1)
0.5
(2.3)
5.1
(0.6)
0.0
(0.3)
-
1.7
0.9
6.9
(0.0)
6.8
(3.7)
3.1
(0.3)
-
2.8
(1.7)
1.4
(5.2)
12.2
(1.0)
(0.4)
(0.0)
-
2.5
1.3
14.6
(0.0)
14.6
(5.0)
9.6
(0.5)
-
9.1
Subsidiary (derived)
CY14
FY16
1.9
3.3
0.2
1.7
(0.6)
3.3
(0.6)
(0.5)
(0.7)
(0.3)
1.5
0.9
3.6
(0.1)
3.5
(6.0)
(2.4)
(0.4)
(0.1)
(3.0)
0.8
3.2
(1.2)
6.1
(2.7)
(2.4)
(0.8)
0.4
7.4
0.1
8.2
(0.1)
8.1
(5.6)
2.5
Consolidated
CY14
FY16
9.9
21.0
(0.9)
(0.9)
2.2
4.5
(2.8)
(6.3)
8.5
(1.2)
(0.5)
(1.0)
(0.3)
3.2
1.8
10.5
(0.1)
10.4
(9.7)
0.7
18.3
(3.7)
(2.7)
(0.8)
0.4
10.0
1.4
22.8
(0.1)
22.7
(10.6)
12.1
(3.7)
(0.7)
(4.2)
0.1
(0.1)
0.1
(1.1)
(0.1)
8.0
Source: Company Annual Report, MOSL
6 June 2016
3

ART|EICHER
MOTORS FY16
Rising acceptances of VECV drives improvement in cash conversion cycle
Cash conversion cycle (CCC) improved from negative 30 days in CY14 to
negative 36 days in FY16, primarily on account of an increase in payables at the
subsidiaries level.
Increase in payables in subsidiaries (primarily VECV) was on account of higher
acceptances which we consider as quasi debt.
Acceptances increased from INR3.5b in CY14 to INR7.5b in FY16. After adjusting
for the same, the cash conversion cycle remained flattish at a negative 12 days
(CY14: negative 11 days)
Exhibit 6:
Acceptance led improvement in Subsidiaries’ CCC (days)
Particulars
CY12
Inventory Days
34
Receivable Days
27
Payable Days
62
Advance from Customers
3
Reported Cash Conversion Cycle -4
Bill Discounted
1
Acceptances
17
Adj. Cash conversion cycle
14
CY13
36
34
75
3
-8
1
18
11
CY14 FY16*
34
36
34
32
77
86
4
4
-13
-22
1
1
19
27
7
6
Exhibit 5:
Standalone CCC remains negative (days)
Particulars
Inventory Days
Receivable Days
Payable Days
Advance from Customers
Reported Cash Conversion Cycle
Bill Discounted
Acceptances
Adj .Cash conversion cycle)
CY12
29
2
68
15
-52
-
15
-37
CY13
34
2
78
16
-58
-
16
-42
CY14 FY16*
32
31
1
2
75
75
15
15
-57
-57
-
-
15
15
-42
-42
*Calculated on the basis on annualized financials
Source: Company Annual Report, MOSL
*Calculated on the basis on annualized financials
Source: Company Annual Report, MOSL
Exhibit 7:
Consolidated CCC: Improvement led by subsidiaries acceptances (days)
Particulars
Inventory Days
Receivable Days
Payable Days
Advance from Customers
Reported Cash Conversion Cycle
Bill Discounted
Acceptances
Adj. Cash conversion cycle
CY12
33
23
63
5
-12
1
17
6
CY13
36
26
76
6
-20
1
18
-1
CY14
33
22
77
8
-30
1
18
-11
FY16*
34
20
82
8
-36
1
23
-12
Increase in acceptances
leads to improvement in
cash conversion cycle
*Calculated on the basis on annualized financials
Source: Company Annual Report, MOSL
Exhibit 8:
Acceptances continue to rise (INR b)
Acceptances
7.7
2.4
2.3
2.8
3.5
Source: Company Annual Report, MOSL
6 June 2016
4

ART|EICHER
MOTORS FY16
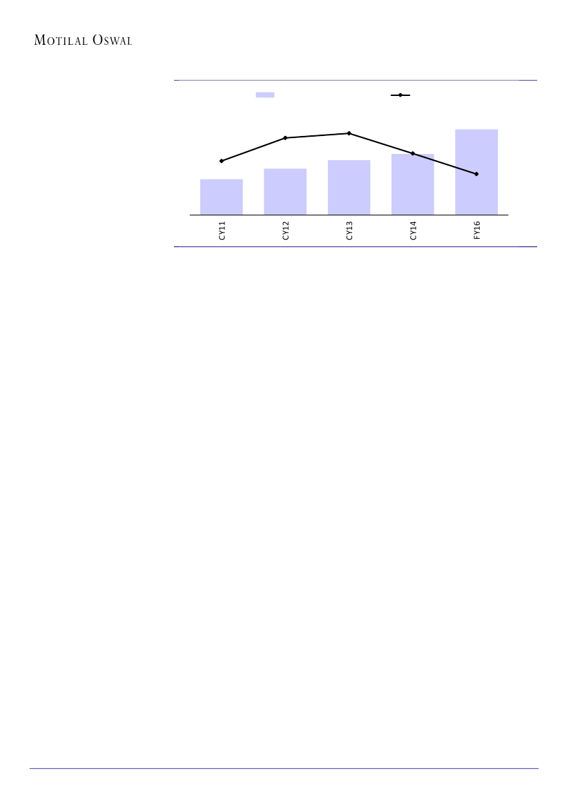
Capital allocation: Focused on funding future growth
Over CY11 to FY16, Eicher generated 83% of funds from operating activities,
while other income contributed 6%.
The funds were utilized primarily for capex purpose (~66%), while 16% was used
for dividend payouts.
Superior capital allocation led to Eicher’s RoCE improving consistently from 21%
in CY11 to 34% FY16.
Exhibit 10:
Application of funds: CY11-FY16
Exhibit 9:
Sources of funds: CY11-FY16
11%
6%
CFO
Cash
Others
83%
17%
16%
1%
Capex
Investments
66%
Dividend
Others
Source: Company Annual Report, MOSL
Source: Company Annual Report, MOSL
Exhibit 11:
Cash from operations the primary source of funds (INR b)
Sources of Funds
CFO
Cash
Others
Total
%
83%
11%
6%
100%
Total
49.5
6.5
4.0
60.0
CY11
4.0
0.5
1.1
5.6
CY12
5.0
3.9
1.1
9.9
CY13
7.2
1.2
0.7
9.1
CY14
10.5
3.3
0.7
14.5
FY16
22.8
(2.4)
0.4
20.9
Source: Company Annual Report, MOSL
Exhibit 12:
Capital allocation primarily for funding capex (INR b)
Application of Funds
Capex
Investments
Dividend
Others
Total
%
66%
17%
16%
1%
100%
Total
39.4
10.5
9.7
0.4
60.0
CY11
4.2
0.2
0.6
0.6
5.6
CY12
CY13
CY14
FY16
7.8
7.1
9.7
10.6
1.0
1.6
3.1
4.6
0.9
1.0
1.3
5.9
0.2
(0.5)
0.4
(0.2)
9.9
9.1
14.5
20.9
Source: Company Annual Report, MOSL L
Exhibit 13:
ROCE continues to rise (INR b)
Capital Employed
ROCE
27%
21%
20%
20%
34%
Exhibit 14:
Revenue and earnings continue to rise (INR b)
Revenue
PAT
88.5
58.3
65.3
69.1
126.4
15.3
17.9
21.4
25.7
35.5
3.1
3.2
3.9
6.2
10.2
Source: Company Annual Report, MOSL
*FY16 figures are adjusted for 12 months
Source: Company Annual Report, MOSL
5
6 June 2016

ART|EICHER
MOTORS FY16
Significant increase in cash and investments
Improved FCF generation led to an increase in the cash and investments to
INR22.1b (CY14: INR14.2b)
Yield on investments declined during the year to 5% (CY14: 7%), which we
believe was primarily on account of a benign interest rate regime and higher
investment in mutual funds.
Exhibit 15:
Yield on cash and investments declines (INR b)
Mutual Funds
8%
9%
6%
11.9
1
5.1
8.0
6.4
6.8
8.3
7%
3.5
10.7
5.8
5%
16.3
Cash
Others
Yield
*FY16 figures are adjusted for 12 months
Source: Company Annual Report, MOSL
Increasing investments in capacity, products and people
Enhancing production
capacity, product
capabilities and managerial
bandwidth for future
growth
During FY16, Eicher took several steps to make investments towards increasing
its production capabilities and R&D, diversifying its reach, and in its people to
increase managerial bandwidth for planning its future growth.
R&D investment on a standalone basis increased from INR0.3b in CY14 to
INR0.9b in FY16, marking an annualized growth of 140%.
Increasing its production capacities, out of which INR6b will be in RE and INR4b
in VECV.
Eicher has inducted senior executives with the total number of employees
drawing a salary more than INR0.5m/month increasing to 48 (CY14: 15), out of
which 23 personnel joined the company during the year.
During FY16, Eicher expanded its global footprint by adding two international
stores in Bangkok and Jakarta. The company’s stores outside India increased
from 10 in CY14 to 12 in FY16.
Exhibit 17:
R&D as % of revenue
Royal Enfield
2.4%
0.6%
0.2%
0.3
0.9
2.0%
1.2%
0.3%
1.9%
1.4%
0.4%
Hero
Bajaj
Exhibit 16:
R&D investments witness an increase (INR b)
Research & Development Cost
Revenue
61.9
1.7%
1.1%
0.5%
1.5%
30.3
6.7
0.2
10.5
0.2
17.0
0.3
Note : For standalone entity; Source: Company Annual Report, MOSL
Source: Company Annual Report, MOSL
6 June 2016
6

ART|EICHER
MOTORS FY16
Exhibit 18:
Increasing managerial bandwidth (no. of employees)
Salary more than 5 lakh p.m.(Full Year)
Salary more than 5 lakh p.m.(Part of Year)
23
23*
11
4
Note : net of 2 employee’s who left during the year Source: Company Annual Report, MOSL
Polaris JV becomes operational
During FY16, the Polaris JV became operational. Eicher’s share of revenue for
the 15-month period stood at INR109.1m, though the JV incurred losses at the
EBIDTA level of INR289.1m and loss after tax of INR405.1m in FY16.
Exhibit 19:
Polaris JV incurs losses (INR m)
Particulars
Revenue
EBITDA
PAT
Note : Represents Eicher’s share in JV
CY14
FY16
9.6
109.1
(47.1)
(289.1)
(50.4)
(405.1)
Source: Company Annual Report, MOSL
Contingent liability declines
Contingent liabilities declined to INR3.3b in FY16 from INR4b in CY14, due to
resolution of matters related to excise duty and income tax. However,
contingent liability on matters related to sales tax increased marginally to
INR1.8b (CY14: INR1.7b).
Exhibit 21:
Contingent liability (INR b)
% to Net Worth
16%
10%
4.0
3.3
Particulars
CY11
Excise duty matters
0.6
Sales tax matters
0.2
Service tax matters
0.3
Income tax matters
0.3
Claims not acknowledged as debts 0.1
Bills discounted
0.0
Total
1.5
CY12
0.6
0.2
0.7
0.2
0.1
0.2
2.0
CY13 CY14 FY16
0.6 0.7 0.2
0.2 1.7 1.8
0.7 1.0 1.0
0.3 0.3 0.0
0.1 0.1 0.1
0.1 0.3 0.2
2.1 4.0 3.3
Exhibit 20:
Contingent liability (INR b)
Contingent liabilities (INR b)
10%
1.5
11%
2.0
10%
2.1
Note : For standalone entity; Source: Company Annual Report, MOSL
Source: Company Annual Report, MOSL
6 June 2016
7

ART|EICHER
MOTORS FY16
ART #2
GOVERNANCE MATTERS
Payment of brand fees to promoter company increases
Brand fees paid to Eicher Goodearth Pvt Ltd (promoter company) increased
from INR269m in CY14 to INR505m in FY16.
Exhibit 22:
Related party transactions (INR m)
Particulars
Brand fees
Rent paid
Total
PBT
Related party expenses as a % of PBT (%)
CY11
207
2
209
6,602
3.2%
CY12
253
29
282
5,997
4.7%
CY13
245
93
338
6,706
5.0%
CY14
FY16
269
505
106
144
376
650
9,926
20,985
3.8%
3.1%
Source: Company, MOSL
Directors regular in attending board meetings
Eicher’s board comprises of six directors, out of which five are independent
directors.
Out of the five independent directors, three – Mr S Sandilya, Mr Priya Brat and
Mr M J Subbaiah – have been on the board for over 10 years and Mr Prateek
Jalan has been on the board for over eight years. The Companies Act 2013
mandates compulsory rotation of independent directors after 10 years,
prospectively from the date of implementation of the statute.
Eicher is regular in calling board meetings as per the prescribed laws. In FY16, a
total of six board meetings were held and each director attended at least five
board meetings.
Managerial remuneration paid was INR84.9m (0.4% of PBT) in FY16, as
compared to INR60.5m (0.6% of PBT) in CY14.
Exhibit 23:
Regular attendance at board meetings
Type
Name of the Director
Mr S Sandilya
Mr Siddhartha Lal
Mr Priya Brat
Mr M J Subbaiah
Mr Prateek Jalan
Ms Manvi Sinha
Non-Executive & Independent Director
Managing Director
Non-Executive & Independent Director
Non-Executive & Independent Director
Non-Executive & Independent Director
Non-Executive & Independent Director
No. of board No. of board
meetings
meetings
held
attended
6
5
6
5
6
5
6
5
6
6
6
6
Source: Company, MOSL
6 June 2016
8

ART|EICHER
MOTORS FY16
Exhibit 24:
Managerial remuneration (INR m)
Managerial remuneration
0.8%
0.5%
0.8%
0.6%
0.4%
% of PBT
35.3
45.8
54.3
60.5
84.9
Source: Company, MOSL
6 June 2016
9

Disclosures
This document has been prepared by MotilalOswal Securities Limited (hereinafter referred to as Most) to provide information about the company (ies) and/sector(s), if any, covered in the report and may be distributed by it and/or its
ART|EICHER
MOTORS FY16
affiliated company(ies). This report is for personal information of the selected recipient/s and does not construe to be any investment, legal or taxation advice to you. This research report does not constitute an offer, invitation or
inducement to invest in securities or other investments and MotilalOswal Securities Limited (hereinafter referred as MOSt) is not soliciting any action based upon it. This report is not for public distribution and has been furnished to you
solely for your general information and should not be reproduced or redistributed to any other person in any form. This report does not constitute a personal recommendation or take into account the particular investment objectives,
financial situations, or needs of individual clients. Before acting on any advice or recommendation in this material, investors should consider whether it is suitable for their particular circumstances and, if necessary, seek professional
advice. The price and value of the investments referred to in this material and the income from them may go down as well as up, and investors may realize losses on any investments. Past performance is not a guide for future
performance, future returns are not guaranteed and a loss of original capital may occur.
MOSt and its affiliates are a full-service, integrated investment banking, investment management, brokerage and financing group. We and our affiliates have investment banking and other business relationships with a some
companies covered by our Research Department. Our research professionals may provide input into our investment banking and other business selection processes. Investors should assume that MOSt and/or its affiliates are
seeking or will seek investment banking or other business from the company or companies that are the subject of this material and that the research professionals who were involved in preparing this material may educate investors
on investments in such business . The research professionals responsible for the preparation of this document may interact with trading desk personnel, sales personnel and other parties for the purpose of gathering, applying and
interpreting information. Our research professionals are paid on twin parameters of performance & profitability of MOSt.
MOSt generally prohibits its analysts, persons reporting to analysts, and members of their households from maintaining a financial interest in the securities or derivatives of any companies that the analysts cover. Additionally, MOSt
generally prohibits its analysts and persons reporting to analysts from serving as an officer, director, or advisory board member of any companies that the analysts cover. Our salespeople, traders, and other professionals or affiliates
may provide oral or written market commentary or trading strategies to our clients that reflect opinions that are contrary to the opinions expressed herein, and our proprietary trading and investing businesses may make investment
decisions that are inconsistent with the recommendations expressed herein. In reviewing these materials, you should be aware that any or all of the foregoing among other things, may give rise to real or potential conflicts of interest.
MOSt and its affiliated company(ies), their directors and employees and their relatives may; (a) from time to time, have a long or short position in, act as principal in, and buy or sell the securities or derivatives thereof of companies
mentioned herein. (b) be engaged in any other transaction involving such securities and earn brokerage or other compensation or act as a market maker in the financial instruments of the company(ies) discussed herein or act as an
advisor or lender/borrower to such company(ies) or may have any other potential conflict of interests with respect to any recommendation and other related information and opinions.; however the same shall have no bearing
whatsoever on the specific recommendations made by the analyst(s), as the recommendations made by the analyst(s) are completely independent of the views of the affiliates of MOSt even though there might exist an inherent
conflict of interest in some of the stocks mentioned in the research report Reports based on technical and derivative analysis center on studying charts company's price movement, outstanding positions and trading volume, as
opposed to focusing on a company's fundamentals and, as such, may not match with a report on a company's fundamental analysis. In addition MOST has different business segments / Divisions with independent research
separated by Chinese walls catering to different set of customers having various objectives, risk profiles, investment horizon, etc, and therefore may at times have different contrary views on stocks sectors and markets.
Unauthorized disclosure, use, dissemination or copying (either whole or partial) of this information, is prohibited. The person accessing this information specifically agrees to exempt MOSt or any of its affiliates or employees from,
any and all responsibility/liability arising from such misuse and agrees not to hold MOSt or any of its affiliates or employees responsible for any such misuse and further agrees to hold MOSt or any of its affiliates or employees free
and harmless from all losses, costs, damages, expenses that may be suffered by the person accessing this information due to any errors and delays. The information contained herein is based on publicly available data or other
sources believed to be reliable. Any statements contained in this report attributed to a third party represent MOSt’s interpretation of the data, information and/or opinions provided by that third party either publicly or through a
subscription service, and such use and interpretation have not been reviewed by the third party. This Report is not intended to be a complete statement or summary of the securities, markets or developments referred to in the
document. While we would endeavor to update the information herein on reasonable basis, MOSt and/or its affiliates are under no obligation to update the information. Also there may be regulatory, compliance, or other reasons that
may prevent MOSt and/or its affiliates from doing so. MOSt or any of its affiliates or employees shall not be in any way responsible and liable for any loss or damage that may arise to any person from any inadvertent error in the
information contained in this report. MOSt or any of its affiliates or employees do not provide, at any time, any express or implied warranty of any kind, regarding any matter pertaining to this report, including without limitation the
implied warranties of merchantability, fitness for a particular purpose, and non-infringement. The recipients of this report should rely on their own investigations.
This report is intended for distribution to institutional investors. Recipients who are not institutional investors should seek advice of their independent financial advisor prior to taking any investment decision based on this report or for
any necessary explanation of its contents.
Most and it’s associates may have managed or co-managed public offering of securities, may have received compensation for investment banking or merchant banking or brokerage services, may have received any compensation
for products or services other than investment banking or merchant banking or brokerage services from the subject company in the past 12 months.
Most and it’s associates have not received any compensation or other benefits from the subject company or third party in connection with the research report.
Subject Company may have been a client of Most or its associates during twelve months preceding the date of distribution of the research report
MOSt and/or its affiliates and/or employees may have interests/positions, financial or otherwise of over 1 % at the end of the month immediately preceding the date of publication of the research in the securities mentioned in this
report. To enhance transparency, MOSt has incorporated a Disclosure of Interest Statement in this document. This should, however, not be treated as endorsement of the views expressed in the report.
MotilalOswal Securities Limited is registered as a Research Analyst under SEBI (Research Analyst) Regulations, 2014. SEBI Reg. No. INH000000412
Pending Regulatory inspections against MotilalOswal Securities Limited:
SEBI pursuant to a complaint from client Shri C.R. Mohanraj alleging unauthorized trading, issued a letter dated 29th April 2014 to MOSL notifying appointment of an Adjudicating Officer as per SEBI regulations to hold inquiry and
adjudge violation of SEBI Regulations; MOSL replied to the Show Cause Notice whereby SEBI granted us an opportunity of Inspection of Documents. Since all the documents requested by us were not covered we have requested to
SEBI vide our letter dated June 23, 2015 to provide pending list of documents for inspection.
List of associate companies of MotilalOswal Securities Limited -Click
here to access detailed report
Analyst Certification
The views expressed in this research report accurately reflect the personal views of the analyst(s) about the subject securities or issues, and no part of the compensation of the research analyst(s) was, is, or will be directly or
indirectly related to the specific recommendations and views expressed by research analyst(s) in this report. The research analysts, strategists, or research associates principally responsible for preparation of MOSt research receive
compensation based upon various factors, including quality of research, investor client feedback, stock picking, competitive factors and firm revenues
Disclosure of Interest Statement
Analyst ownership of the stock
Served as an officer, director or employee
EICHER MOTORS
No
No
A graph of daily closing prices of securities is available at www.nseindia.com and http://economictimes.indiatimes.com/markets/stocks/stock-quotes
Regional Disclosures (outside India)
This report is not directed or intended for distribution to or use by any person or entity resident in a state, country or any jurisdiction, where such distribution, publication, availability or use would be contrary to law, regulation or which
would subject MOSt& its group companies to registration or licensing requirements within such jurisdictions.
For Hong Kong:This
report is distributed in Hong Kong by MotilalOswal capital Markets (Hong Kong) Private Limited, a licensed corporation (CE AYY-301) licensed and regulated by the Hong Kong Securities and Futures
Commission (SFC) pursuant to the Securities and Futures Ordinance (Chapter 571 of the Laws of Hong Kong) “SFO”. As per SEBI (Research Analyst Regulations) 2014 MotilalOswal Securities (SEBI Reg No. INH000000412) has an
agreement with MotilalOswal capital Markets (Hong Kong) Private Limited for distribution of research report in Kong Kong. This report is intended for distribution only to “Professional Investors” as defined in Part I of Schedule 1 to
SFO. Any investment or investment activity to which this document relates is only available to professional investor and will be engaged only with professional investors.” Nothing here is an offer or solicitation of these securities,
products and services in any jurisdiction where their offer or sale is not qualified or exempt from registration. The Indian Analyst(s) who compile this report is/are not located in Hong Kong & are not conducting Research Analysis in
Hong Kong.
For U.S
MotilalOswal Securities Limited (MOSL) is not a registered broker - dealer under the U.S. Securities Exchange Act of 1934, as amended (the"1934 act") and under applicable state laws in the United States. In addition MOSL is not a
registered investment adviser under the U.S. Investment Advisers Act of 1940, as amended (the "Advisers Act" and together with the 1934 Act, the "Acts), and under applicable state laws in the United States. Accordingly, in the
absence of specific exemption under the Acts, any brokerage and investment services provided by MOSL, including the products and services described herein are not available to or intended for U.S. persons.
This report is intended for distribution only to "Major Institutional Investors" as defined by Rule 15a-6(b)(4) of the Exchange Act and interpretations thereof by SEC (henceforth referred to as "major institutional investors"). This
document must not be acted on or relied on by persons who are not major institutional investors. Any investment or investment activity to which this document relates is only available to major institutional investors and will be
engaged in only with major institutional investors. In reliance on the exemption from registration provided by Rule 15a-6 of the U.S. Securities Exchange Act of 1934, as amended (the "Exchange Act") and interpretations thereof by
the U.S. Securities and Exchange Commission ("SEC") in order to conduct business with Institutional Investors based in the U.S., MOSL has entered into a chaperoning agreement with a U.S. registered broker-dealer, MotilalOswal
Securities International Private Limited. ("MOSIPL"). Any business interaction pursuant to this report will have to be executed within the provisions of this chaperoning agreement.
The Research Analysts contributing to the report may not be registered /qualified as research analyst with FINRA. Such research analyst may not be associated persons of the U.S. registered broker-dealer, MOSIPL, and therefore,
may not be subject to NASD rule 2711 and NYSE Rule 472 restrictions on communication with a subject company, public appearances and trading securities held by a research analyst account.
For Singapore
MotilalOswal Capital Markets Singapore Pte Limited is acting as an exempt financial advisor under section 23(1)(f) of the Financial Advisers Act(FAA) read with regulation 17(1)(d) of the Financial Advisors Regulations and is a
subsidiary of MotilalOswal Securities Limited in India. This research is distributed in Singapore by MotilalOswal Capital Markets Singapore Pte Limited and it is only directed in Singapore to accredited investors, as defined in the
Financial Advisers Regulations and the Securities and Futures Act (Chapter 289), as amended from time to time.
In respect of any matter arising from or in connection with the research you could contact the following representatives of MotilalOswal Capital Markets Singapore Pte Limited:
Varun Kumar
Varun.kumar@motilaloswal.com
Contact : (+65) 68189232
Office Address:21 (Suite 31),16 CollyerQuay,Singapore 04931
KadambariBalachandran
kadambari.balachandran@motilaloswal.com
(+65) 68189233 / 65249115
6 June 2016
MotilalOswal Tower, Level 9, Sayani Road, Prabhadevi, Mumbai 400 025
Phone: +91 22 3982 5500 E-mail: reports@motilaloswal.com
MotilalOswal Securities Ltd
10