Thematic | June 2016
Light Electricals
Change is in the air
Ankur Sharma
(Ankur.VSharma@MotilalOswal.com); +91 22 3982 5449
Amit Shah
(Amit.Shah@MotilalOswal.com); +91 22 3029 5126
Investors are advised to refer through important disclosures made at the last page of the Research Report.
Motilal Oswal research is available on www.motilaloswal.com/Institutional-Equities, Bloomberg, Thomson Reuters, Factset and S&P Capital.
 Motilal Oswal Financial Services
Capital Goods | Change is in the air
Contents
Summary .............................................................................................................................. 3
Infographic ........................................................................................................................... 4
Light Electricals to grow at 10% CAGR over FY16-19 ............................................................. 5
Premiumization trend visible across product categories ..................................................... 16
Multiple themes at play ...................................................................................................... 18
Fans – structural story intact............................................................................................... 24
Lighting – LED movement underway ................................................................................... 29
Different types of lamps – LEDs v/s CFLs v/s ICLs ................................................................ 34
Pumps – weak industrial capex may constrain growth........................................................ 36
Switchgear – safety paramount .......................................................................................... 39
Wires & Cables – revival in the offing ................................................................................. 42
Consumer Appliances – new entrants aplenty .................................................................... 45
Companies .......................................................................................................................... 48
CG Consumer Electricals: Geared for growth ................................................................. 49
Financials and Valuations .............................................................................................. 50
Havells India: Future-ready ............................................................................................ 53
Financials and valuations ............................................................................................... 55
June 2016
2
 Motilal Oswal Financial Services
Capital Goods | Change is in the air
Light Electricals
Change is in the air
Premiumization the key trend
Higher disposable incomes, increased availability of power, implementation of 7 Pay
Commission pay hikes, government impetus on low cost housing and faster shift to
the organized sector post GST implementation are the key growth drivers for Light
Electricals.
Premiumization trend is visible across product categories – there is a growing
preference towards aesthetics and energy efficiency.
Entry into new product categories, rising advertising spends, increasing distribution
reach and focus on energy efficiency are key themes to play.
Our top picks in the Light Electricals segment are Crompton Greaves Consumer
Electricals (CROMPTON; TP: INR165) and Havells India (HAVL; TP: INR425).
th
Light Electricals industry to grow at 10% CAGR over FY16-19:
We expect Appliances
(15% CAGR), Lighting (12% CAGR), Fans (12% CAGR) and Switches (11% CAGR) to be
the fastest growing segments over FY16-19. The key growth drivers are (a) rising
disposable income of Indian households, (b) improved power availability and
increased reach through the government’s rural electrification program, (c)
implementation of the 7
th
Pay Commission pay hikes for central government
employees, followed by hikes for state government and PSU employees, (d)
Government impetus on low cost housing and (e) shift of sales towards the
organized segment post GST implementation.
Premiumization trend visible across product categories:
There is a clear trend of
premiumization across product categories (Fans, Switches, Home and kitchen
appliances), as consumers focus on higher aesthetic value and energy efficient
products. The Indian consumer is increasingly focusing on the “cost of owning or life
cycle cost for the product” rather than looking at just the upfront costs for the
product. This has led to companies offering new variants that cater to these needs;
moreover, margins in premium products are higher than on standard products.
Change is in
the
air
Key themes – entry into new categories, higher advertising spends, increasing
distribution and focus on energy efficient products:
With the industry working on
an “asset light model”, there is a clear trend of players entering new product
categories. This is more so in Consumer Appliances, where most companies
completely outsource manufacturing and where there is no or little R&D
requirement and low capital investment. The key success factors in this segment are
(a) brand extension, (b) dealer incentives offered, (c) advertising spends, (d)
distribution reach, and (e) service centers for products.
Valuation and view:
Our top picks in the Light Electricals segment are Crompton
(Buy; TP: INR165) and Havells (Buy; TP: INR425). Key risks are delay in GST
implementation and slower than expected pickup in construction demand.
Click here for Video Link
June 2016
3
 Motilal Oswal Financial Services
Capital Goods | Change is in the air
Infographic
June 2016
4
 Motilal Oswal Financial Services
Capital Goods | Change is in the air
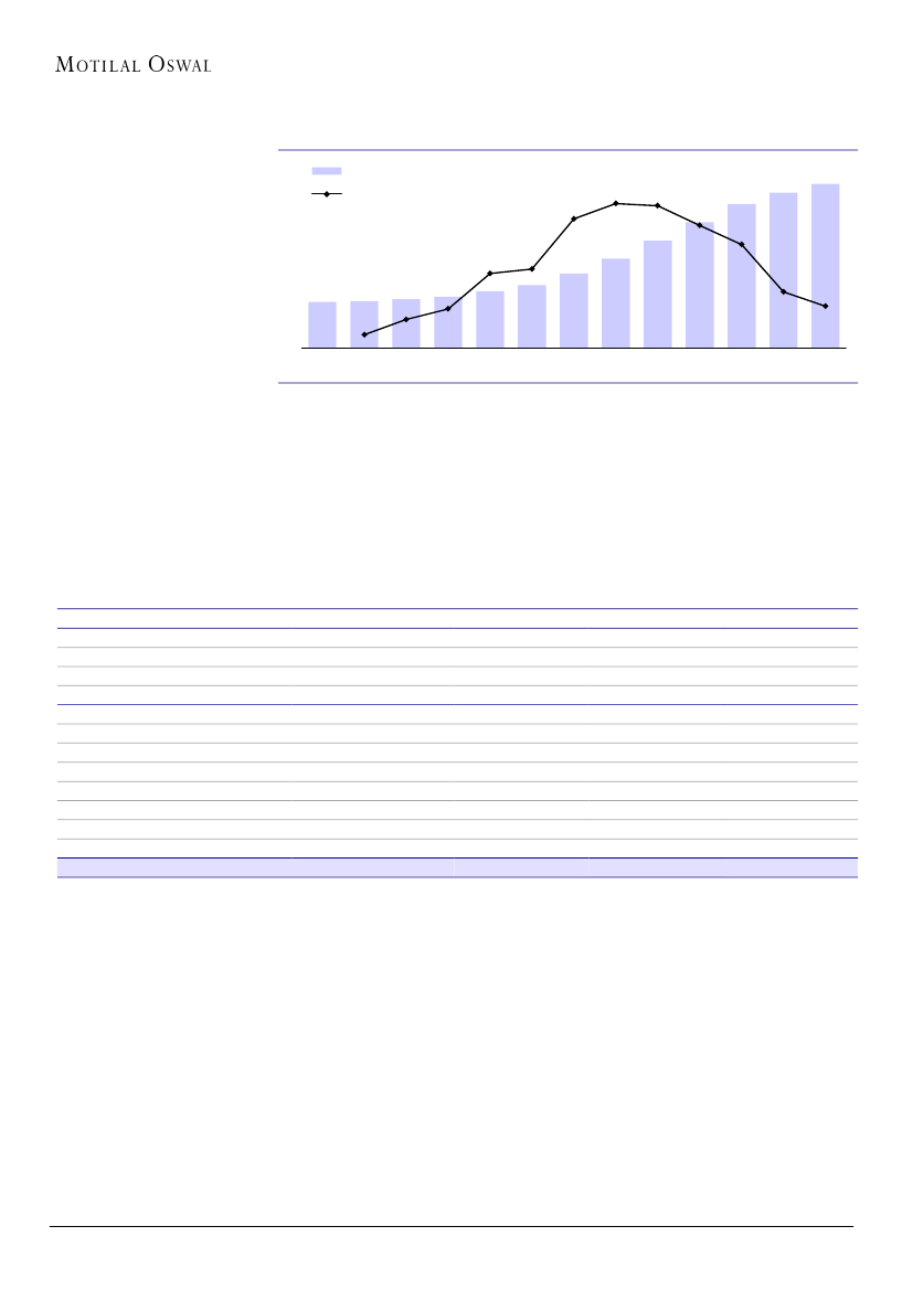
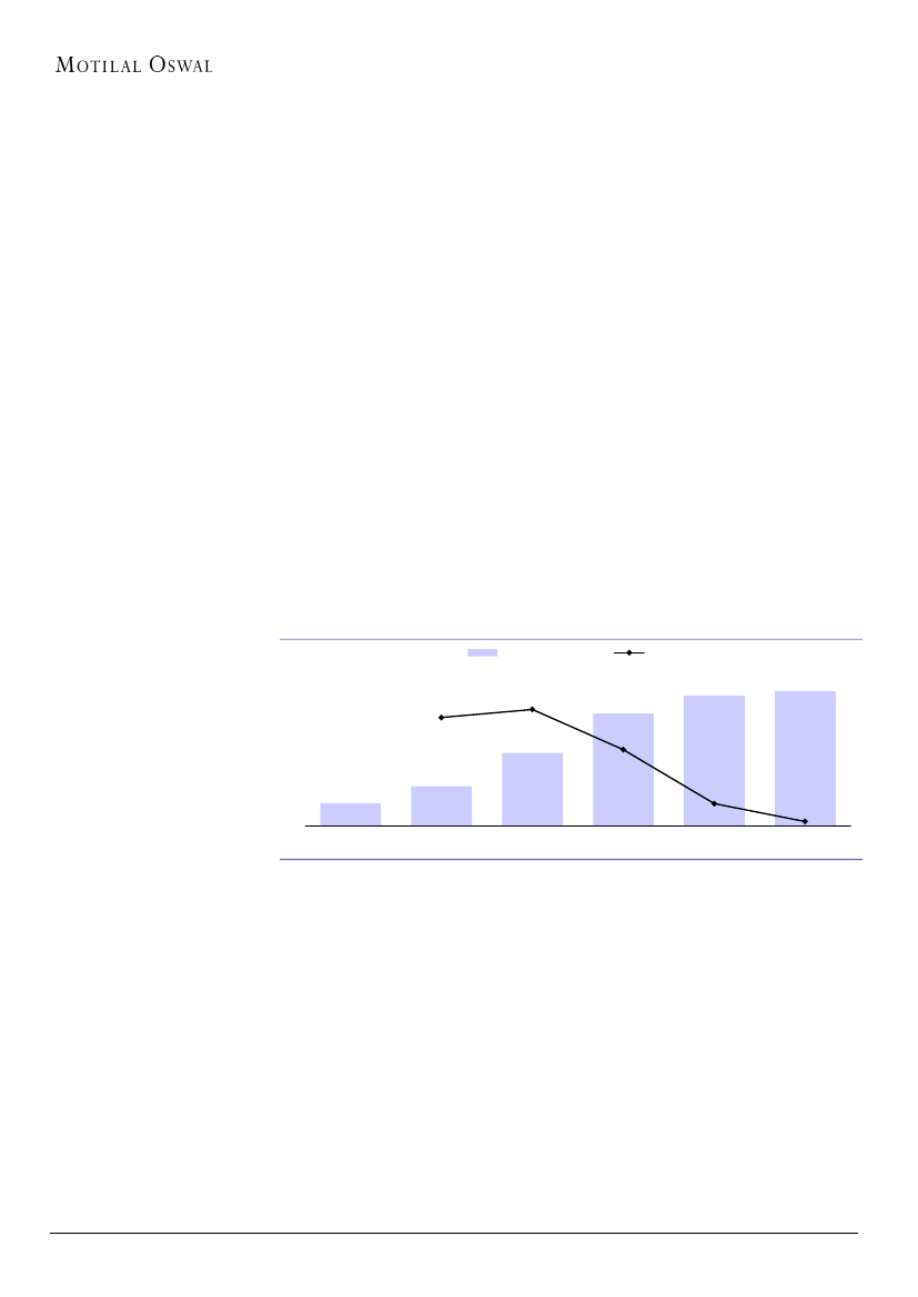
Light Electricals to grow at 10% CAGR over FY16-19
Multiple drivers falling into place
Over FY16-19, we expect Light Electricals to grow at 10% CAGR, with faster growth in
Appliances (15% CAGR), Lighting (12% CAGR), Fans (12% CAGR) and Switches (11%
CAGR).
The key growth drivers are (a) rising disposable income, (b) improved power
availability and increased reach through the government’s rural electrification
th
program, (c) implementation of the 7 Pay Commission wage hikes for central
government employees, followed by hikes for state government and PSU employees,
(d) government impetus on low cost housing and (e) shift of sales towards the
organized segment post GST implementation.
The Key Growth Drivers
Slowdown behind; expect growth to revive
The Indian Light Electricals market stood at INR685b as at the end of FY16, having
grown at a CAGR of 9% over FY11-16. Slowdown in construction activity had led to a
slowdown in the sale of Light Electricals as well during this period. Over FY16-19, we
expect Light Electricals to grow at 10% CAGR, with faster growth in Appliances (15%
CAGR), Lighting (12% CAGR), Fans (12% CAGR) and Switches (11% CAGR).
June 2016
5
 Motilal Oswal Financial Services
Capital Goods | Change is in the air
Exhibit 1: Segment-wise size of Indian Light Electricals market (INR b)
Description
Domestic Switchgear
LV Industrial Switchgear
Modular Switches
Domestic Wires and Cables(LT)
Industrial cables(HT)
Pumps
Lighting (incl. LED)
Luminaires
Consumer Appliances (Home/ Kitchen)
Fans
Total light electricals market size
FY11
14
28
12
60
100
66
59
24
41
35
439
FY12
16
30
14
63
100
72
67
43
45
38
488
FY13
17
30
15
65
100
76
72
50
50
45
519
FY14
18
34
16
72
100
80
79
56
55
48
558
FY15
18
38
17
80
120
85
98
62
65
53
636
FY16
20
38
20
80
120
92
122
68
65
60
685
FY17E FY18E FY19E
21
40
22
84
132
99
149
79
75
67
769
23
43
25
88
145
107
158
91
86
75
841
24
46
27
97
160
116
157
105
99
84
915
% of
Total
3
6
3
13
19
13
15
10
10
8
CAGR CAGR
(FY11- (FY16-
16E, %) 19, %)
7
7
6
7
11
11
6
7
4
10
7
8
16
9
24
15
9
15
11
12
9
10
Source: Industry, MOSL
Rising disposable income levels imply greater affordability
Rising income levels across urban and rural India imply greater affordability for
Electrical Products. With growing disposable income, the Indian consumer has
become more discerning in his choice and taste.
Low penetration of Light Electrical Products, especially in rural areas, should
drive growth. The household penetration of Fans, for instance, is 90% in urban
areas and 65% in rural areas. The penetration of home and kitchen ppliances is
much lower (see table below).
The household penetration
of Fans is 90% in urban
areas and 65% in rural
areas.
Exhibit 2: Low household penetration of home/kitchen appliances to drive growth
Description
Fans
Water Heaters
Mixer - Grinder
Induction cooktop
TV
Fridge
Air Cooler
Washing machine
Air Conditioner
% penetration
80
10
35
<5
77
33
8-10
13
3-4
Source: MOSL, Industry
Exhibit 3: Rising disposable income to drive growth in Light Electricals (per capita; INR)
Per capital income(Rs)
5%
4%
4%
3%
YoY Growth(%)
6%
7%
70,345
2012
72,868
2013
76,438
2014
78,627
2015
81,821
2016
86,975
2017
93,064
2018
Source: RBI, MOSL
June 2016
6
 Motilal Oswal Financial Services
Capital Goods | Change is in the air
Exhibit 4: Rural incomes have been rising helped by MNREGA implementation and MSP
increase
Rural wages/day
YoY growth(%)
18%
11%
71
83
100
20%
20%
17%
140
120
161
14%
173
183
10%
4%
55
FY06
5%
58
FY07
FY08
64
8%
6%
51
FY04
2%
52
FY05
FY09
FY10
FY11
FY12
FY13
FY14
FY15
FY16
Source: GOI, MOSL
A Light Electrical Product lasts for 3-15 years. There is an increasing tendency to
trade up, as these products are typically bought only once or twice over a
decade and are much cheaper relative to the cost of the house. This, along with
increasing consumer focus on aesthetics and energy efficiency, has also resulted
in a falling share of the unorganized segment (local players, Chinese imports)
and a shift to the organized segment over the last few years.
Exhibit 5: Value of electrical equipment used in a typical 1,000sf house
Description
Building Wires
Units
1 sq. mm
2.5 sq. mm
4 sq. mm
6 sq. mm
40A
4 way
40 A
Modular
1HP Equivalent
1200mm sweep
250mm sweep
With fittings
No. of units
7 coils
4 coils
2 coils
1 coil
14 nos.
1 nos.
1 nos.
70 nos.
1 nos.
5 nos.
1 nos.
10 nos.
INR/pc
1,355
3,205
4,730
7,115
410
3,500
2,835
12,000
1,600
1,750
450
INR
9,485
12,820
9,460
7,115
5,740
3,500
2,835
5,575
12,000
8,000
1,750
4,500
82,880
Source: Industry, MOSL
MCB
Distribution Box
Phase Selector
Switches, Sockets, Regulator
Motor
Fans
Ventilating Fan
Lights
Total
June 2016
7
 Motilal Oswal Financial Services
Capital Goods | Change is in the air
Exhibit 6: Average life of key Light Electrical Products
Description
Building Wires
Distribution Boards
Miniature Circuit Breakers(MCB’s)
Switches
Fans
GLS / CFL
Fluorescent Tube Lamps
Consumer Appliances
Average life
15+ years
15+ years
10+ years
10+ years
5-7 years
2-3 years
2 years
5-7 years
Source: MOSL, Industry
Customers also take into account the safety features associated with the
product while making the purchase decision. A case in point is the market for
Miniature Circuit Breakers, which is largely with the organized players. This is
primarily because of the
safety aspect.
The Light Electricals industry is closely linked to the fortunes of the Real Estate
sector. We see a mixed picture here – the Urban Commercial (Office) and Retail
Real Estate market has bottomed out and is on track for strong recovery.
However, the Residential market remains subdued due to low affordability,
developers’ reluctance to cut prices and constrained supply – this is especially
true for tier-1 cities (we define these as the top-7 cities). Low Cost Housing
would be driven by the government’s thrust towards “Housing for All by 2022”
via the Pradhan Mantri Awas Yojna.
The Commercial Real Estate market was in a deep slump in CY12 (sales down
27%) and was flat in CY13. Recovery in absorption set in from CY14 and picked
up pace from CY15, with office absorption at 38.1msf, higher than the previous
peak of 37msf in CY11.
Exhibit 8: Vacancy rates declining, with higher absorption
Vacancy (%)
17.0
32 33
29
8.0
6.0 5.0
9.0
18.0 18.0 17.2 18.5
16.9 16.0
15.0 14.0
Real Estate – mixed trends
Commercial Real estate has
picked up pace from CY15
with office absorption at
38.1msf, higher than
previous peak of 37msf in
CY11
Exhibit 7: Office space absorption and completion
Office Space - Absorption
43 41 41 44
33
23 23
22 23
32 33
20
31
37
27 27 30
38 36
32
30
Office Space - Completion
36
30
36
12.0
25
Source: Industry, MOSL
* we take top-7 cities in India
Source: Industry, MOSL
* we take top-7 cities in India
Even within Retail Real Estate, CY14 was the bottom, with absorption declining
69% to 1.6msf. However, CY15 has seen a sharp bounce, with 3.3msf sold; the
strong growth should continue over the next few years.
June 2016
8
 Motilal Oswal Financial Services
Capital Goods | Change is in the air
Exhibit 9: Retail space absorption and completion
Absorption(mn sq ft)
13.8
9.4
4.1
Completion(mn sq ft)
Exhibit 10: Vacancy rates have peaked out
Vacancy (%)
20
18
18
17
18
16
16
18
18
8.5
6.3 6.9
4.1
5.7
3.6
7.5 7.5
5.4
15
1.3
3.8 3.7 9.6 6.6 4.0 4.0 10.7 4.5 5.1 1.6 3.3 4.9 6.0 4.6
2.8
Source: Industry, MOSL
* we take top-7 cities in India
Source: Industry, MOSL
* we take top-7 cities in India
The Residential Real Estate market remains subdued. CY15 was another year of
decline – 0.16m units were sold against the peak of 0.2m units in FY12. We also
highlight that 0.45m units are lying unsold and at the current pace of sales
would take 3-4 years to be cleared out. New launches also declined to 0.2m
units in CY15 against the peak of 0.26m units in CY12.
Given the builders’ reluctance to cut prices, reduced affordability, high
inventory of unsold flats (0.56m as of December 2015) and the new clauses
introduced by the recent Real Estate Regulatory Act, there could be a lull in new
launches over the next 6-9months. However, CY16 should be the bottom for the
market – we expect a recovery in CY17 in both new launches and unit
absorption. This would be driven by continued rate cuts by the RBI, a recovery in
the general economy and quicker completion of ongoing projects as required
under the new Real Estate Act.
Expect a recovery in CY17
for Residential Real Estate
demand, both new
launches and unit
absorption driven by
continued rate cuts by the
RBI, a recovery in the
general economy and
quicker completion of
ongoing projects
Exhibit 11: Residential Real Estate to bottom out in CY16 (units)
Units launched
247,000
203,000
130,000
90,000
102,000
2008
101,000
2009
2010
2011
2012
2013
2014
184,000
167,000
198,000
193,386
165,840
157,798
Units sold
237,621
225,821
256,000
200,334
2015
Source: Industry, MOSL
* we take top-7 cities in India
Another key indicator of Housing growth is home loans by housing finance
companies, NBFCs and banks. These have grown at a CAGR of 19% over FY05-16.
The slowdown in Residential Real Estate is more specific to the top-7 cities;
smaller cities and towns have remained largely insulated.
June 2016
9
 Motilal Oswal Financial Services
Capital Goods | Change is in the air
Exhibit 12: Housing loans have grown at 19% CAGR over FY05-16
Housing loan O/S
41
6.2
22
16
17
7.2
YoY Growth(%)
9.9
8.4
11.5
25
1.7
2.4
3.0
3.4
13
3.8
12
2009
4.3
13
2010
5.1
19
18
16
2005
2006
2007
2008
2011
2012
2013
2014
2015
2016
Source: MOSL, Industry
“Pradhan Mantri Awas Yojna” aims to add 30m houses by FY19
In June 2015, the Union Cabinet approved the “Pradhan Mantri Awas Yojna” to
provide “Housing for All” by 2022. The aim was to construct 20m houses in urban
areas. The highlights of the scheme are:
On an average, central grant of INR0.1m/house would be available under the
slum rehabilitation program. The state government would have flexibility in
deploying this slum rehabilitation grant to any slum rehabilitation project taken
for development using land as a resource for providing houses to slum dwellers.
Under the credit-linked interest subsidy component, interest subsidy of 6.5% on
housing loans availed up to tenure of 15 years would be provided to
economically weaker section (EWS) / low income group categories, wherein the
subsidy payout on NPV basis would be ~INR0.23m/house.
Central assistance at the rate of INR0.15m/house for EWS category would be
provided under affordable housing in partnership and beneficiary-led individual
house construction or enhancement. State governments or housing boards can
take up affordable housing projects to avail the central government grant.
The scheme would cover the entire urban area consisting of 4,041 statutory
towns with initial focus on 500 class-I cities and it will be implemented in three
phases till April 2019.
Phase-I (April 2015 - March 2017) to cover 100 cities to be selected from
states/UTs as per their willingness
Phase-II (April 2017 - March 2019) to cover additional 200 cities
Phase-III (April 2019 - March 2022) to cover other remaining cities
As seen in the table below, ~0.7m EWS houses have been taken up for funding
across states with a total budgeted spend of INR100b as of May 2016.
“Pradhan Mantri Awas
Yojna” aims to provide
“Housing for All” by 2022
with target to construct
20m houses in urban areas.
June 2016
10
 Motilal Oswal Financial Services
Capital Goods | Change is in the air
Exhibit 13: Progress of Pradhan Mantri Awas Yojna as of May 2016 (INR in Crore)
Sr.
No.
Name of the State
No of Cities
considered
for funding
-
59
-
-
85
-
9
-
-
-
-
12
-
9
2
38
15
-
-
37
10
-
-
8
-
2
-
1
19
-
175
63
-
-
19
108
671
Project
Proposals
Considered
-
110
-
-
85
-
11
-
-
-
-
77
-
9
2
38
21
-
-
45
17
-
-
8
-
6
-
1
23
-
197
144
-
-
21
108
923
EWS
Houses
-
1,93,147
-
-
30,216
-
12,670
-
-
-
-
66,983
-
1,077
224
20,239
16,522
-
-
43,393
71,701
-
-
10,286
-
11,548
-
1,280
12,307
-
34,013
80,481
-
-
2,757
74,880
6,83,724
Central
Assistance
involved
-
2,897.21
-
-
453.24
-
190.05
-
-
-
-
853.62
-
16.16
3.36
303.59
247.83
-
-
644.12
1,063.74
-
-
154.29
-
143.22
-
12.80
184.61
-
510.20
1,207.22
-
-
41.36
1,123.20
10,049.77
Central
Assistance
Released
(projects)
-
334.95
-
-
79.89
-
76.02
-
-
-
-
318.05
-
6.46
-
121.43
-
-
-
208.44
-
-
-
8.18
-
33.29
-
-
37.53
-
40.50
261.76
-
-
13.76
88.85
1,629.11
Subsidy provided by the
state and central
governments under this
scheme has increased by
more than 70%; from
INR70,000, the allocation
has now gone up to
INR120,000.
1
A&N Island (UT)
2
Andhra Pradesh
3
Arunanchal Pradesh
4
Assam
5
Bihar
6
Chandigarh (UT)
7
Chhattisgarh
8
D&N Haveli (UT)
9
Daman & Diu (UT)
10
Delhi (UT)
11
Goa
12
Gujarat
13
Haryana
14
Himachal Pradesh
15
Jammu & Kashmir
16
Jharkhand
17
Karnataka
18
Kerala
19
Lakshdweep (UT)
20
Madhya Pradesh
21
Maharashtra
22
Manipur
23
Meghalaya
24
Mizoram
25
Nagaland
26
Orissa
27
Puducherry (UT)
28
Punjab
29
Rajasthan
30
Sikkim
31
TamilNadu
32
Telangana
33
Tripura
34
Uttar Pradesh
35
Uttrakhand
36
West Bengal
Grand Total
Source: Ministry of Housing and Urban Development
In March 2016, the Union Cabinet approved the “Pradhan Mantri Awas Yojna”
for rural areas. All the existing rural housing programs have devolved into this.
Highlights of the scheme:
Subsidy provided by the state and central governments under this scheme has
increased by more than 70%; from INR70,000, the allocation has now gone up to
INR120,000. In hilly and difficult areas, it has increased from INR75,000 to
INR130,000. Additionally, taking into account benefits of labor under MNREGA
(90 days) and INR12,000 under Swach Bharat Mission, the total benefit adds up
to INR150,000 for house construction. Bringing transparency in the selection of
beneficiaries, the data from the census conducted in 2011 will be used.
June 2016
11
 Motilal Oswal Financial Services
Capital Goods | Change is in the air
In the years from 1985 to 2015, around 35m houses have been constructed;
under the new program,
the government targets to construct 10m houses in
three years till FY19.
The central government will spend INR820b on rural housing till FY19; in
addition, the states will be spending over INR500b as their share. The annual
allocation from the central government will go up from INR100b to over
INR270b.
In our view, the infusion of resources of this magnitude will be a
game changer in the rural housing scene and the rural economy.
Our view:
If the government is able to construct 30m new houses under this
program, it would alone generate demand for ~60m new fans (assuming two
fans used in one house) or 20m fans per year over a three-year period to FY19.
To put this in perspective, the Indian Fan industry sells ~47m fans per year.
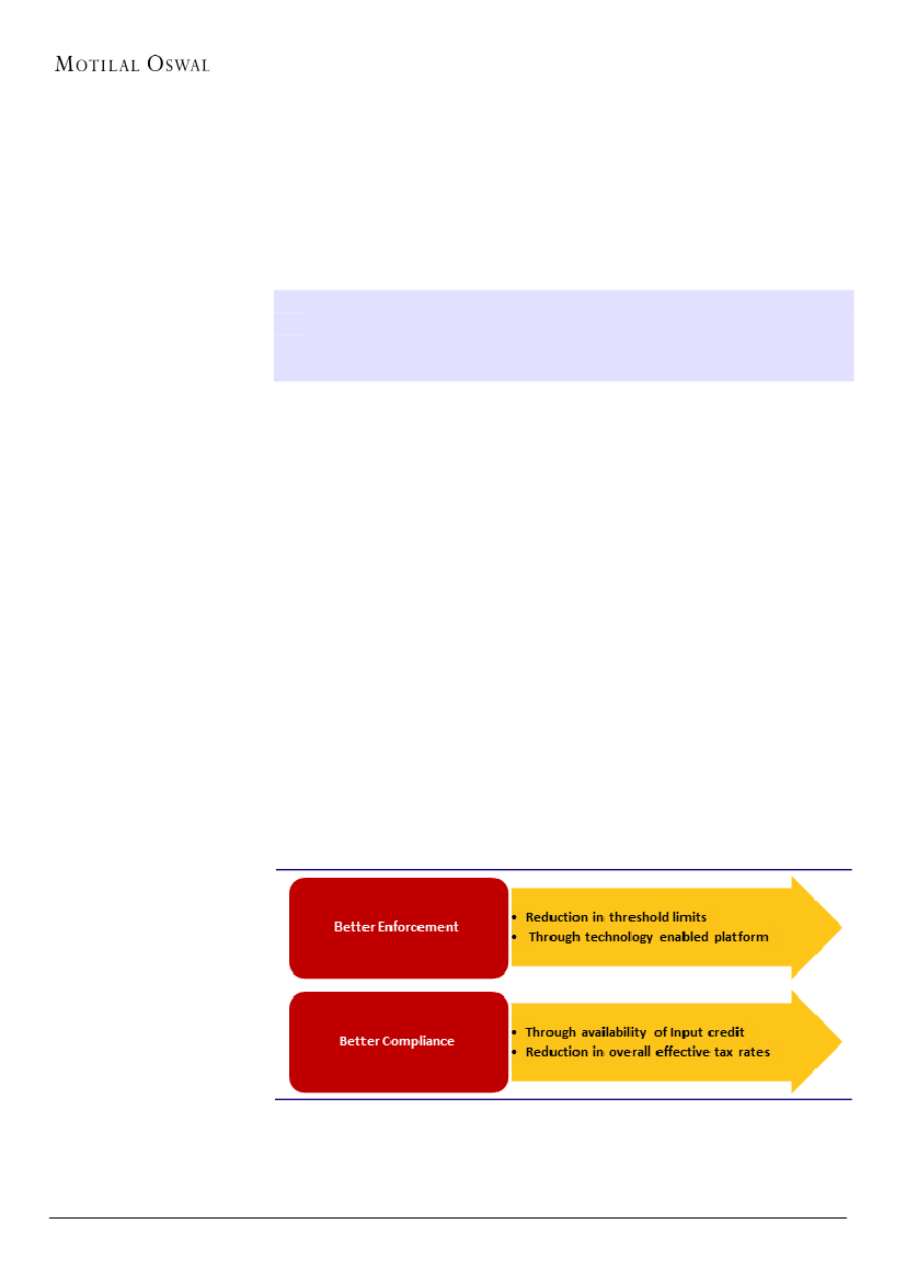
GST implementation to drive faster shift to organized segment
In FY15, the unorganized
segment constituted ~25%
of overall industry sales,
though down from ~40% in
FY10.
The Goods and Services Tax (GST) legislation was passed in the Lok Sabha (lower
house of Parliament) on May 6, 2015. The Government of India seems
committed to replace all indirect taxes levied on goods and services by the
center and the states with a common GST by April 2017. With GST
implementation, it is anticipated that the tax base will be comprehensive, as all
goods and services will be taxable, with minimum exemptions.
In India, there is significant presence of the unorganized segment in Light
Electricals. We estimate that in FY15, the unorganized segment constituted
~25% of overall industry sales, though down from ~40% in FY10.
GST implementation is expected to narrow the large indirect tax differential
between the organized and unorganized players. This would be achieved by
ensuring better compliance and enforcement by (a) reducing the threshold limit
for exemption from indirect taxes to INR1m under GST from INR15m under the
current excise duty regime, (b) tracking the flow of GST credit in the entire value
chain using technology platforms, (c) ensuring availability of seamless input
credit, and (d) reducing the overall effective tax rates.
Exhibit 14: Measures that will lead to shift of trade from unorganized to organized
segment
Source: Havells, Frost, Industry, MOSLe
June 2016
12
 Motilal Oswal Financial Services
Capital Goods | Change is in the air
Exhibit 15: Unorganized players as a % of overall category sales for Light Electricals
Description
Fans
Lighting
Pumps
Domestic Switchgear
Industrial Switchgear
Switches
FY10
40
60
45
20
30
50
FY15
25
40
30
<5
20-25
30
Source: Havells, Frost, Industry, MOSLe
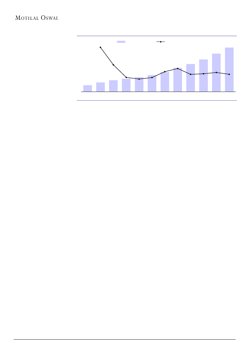
7th Pay Commission wage hike implementation to accelerate demand
growth over next two years
The government estimates
the impact of the Pay
Commission
recommendations at
INR1.02t for FY17.
The central government constitutes the Pay Commission every 10 years to
recommend revisions in pay scales for central government employees. Very
often, these recommendations are also adopted by the states after some
modifications. Recommendations of the 7
th
Pay Commission, which came into
effect from January 2016, are expected to impact 4.8m central government
employees and 5.5m pensioners.
The 7
th
Pay Commission has recommended a 24% increase in pay and
allowances for government employees. Pay would go up by 16%, allowances by
63% and pensions by 24%. It has also recommended an annual increment of 3%
for central government employees.
The government estimates the impact of the Pay Commission recommendations
at INR1.02t for FY17. Moreover, the state governments would also be revising
the salaries of their employees (~10m), followed by similar revisions by public
sector undertakings (PSUs).
The impact of the 6
th
Pay Commission was much bigger, as (a) it had
recommended a 36% pay hike, and (b) the hike was paid with arrears of two
years. The 6
th
Pay Commission was set up in July 2006 and its recommendations
were submitted in March 2008. 40% of the arrears were paid in 2009 and 60% in
2010 instead of the originally scheduled 2006.
Exhibit 16: 6
Pay Commission impact on pay and
allowances of central government employees
Pay and Allowances(INRb)
60
966
737
460
-4
31
7
12
12
11
928
993
YoY (%)
1,116
1,252
1,392
th
Exhibit 17: Pay and allowances as a percentage of the
government’s total expenditure
% of total expenditure
8.34
6.45
9.43
7.75
7.61
7.91
7.87
7.76
FY08
FY09
FY10
FY11
FY12
FY13
FY14
FY15
FY08
FY09
FY10
FY11
FY12
FY13
FY14
FY15
Source: MOSL, GOI
Source: MOSL, GOI
We expect the wage hikes recommended by the 7
th
Pay Commission to be paid
on current basis. Unlike the previous occasion, there wouldn’t be a significant
arrears portion. We believe the limited bounty would result in a
13
June 2016
 Motilal Oswal Financial Services
Capital Goods | Change is in the air
disproportionate benefit for smaller ticket items like Light Electricals and also
lead to increased premiumization of the same product.
Exhibit 18: CY09 and CY10 see increased lighting sales post
th
6 Pay commission pay out
9%
7%
1%
1,305
1,218
1,317
Lighting(Units m)
7%
7%
1%
1,384
-5%
1,492 1,418
18.0
FY07
20.8
FY08
YoY (%)
8%
5%
23.8
16.1
2.6
20.9
FY09
29.1
FY10
37.4
FY11
8.3
(3.1)
36.2
FY12
39.2
FY13
2.7
40.3
FY14
44.8
FY15
10
Exhibit 19: FY10 fan volumes see a spurt post the 6
Commission payout
Fans (mn units)
29.9
28.6
YoY Growth(%)
th
Pay
1,057
968
1,126
1,140
CY05 CY06 CY07 CY08 CY09 CY10 CY11 CY12 CY13 CY14
Source: MOSL, Industry
Source: MOSL, Industry
Exhibit 20: Breakdown of employees by rank
Senior
Management
position, 3%
Middle
management,
9%
Exhibit 21: Employee break up by age
1%
29%
Supervisory
and clerical
tasks, 89%
22%
20-30 years
30-40 years
40-50 years
50-60 years
Others
22%
26%
Source: 7 Pay Commission, MOSL
th
Source: 7 Pay Commission, MOSL
th
Exhibit 22: Break up of Central Government employees by area of residence
Metros, 18%
Others, 53%
Top 67 cities
(ex metros), 29%
Source: 7 Pay Commission , 2011 Census, MOSL
th
June 2016
14
 Motilal Oswal Financial Services
Capital Goods | Change is in the air
Increased pace of village electrification and improved power availability to
drive rural demand for Electricals
Rural electrification has been a challenge for successive central governments.
Given India’s federal structure, the states provide last-mile connectivity and
maintain infrastructure; the center provides policy and financial support.
With its aim of “Power for All”, the Government of India has put village
electrification at the top of its agenda. The Modi government launched the
“Deen Dayal Upadhyaya Gram Jyoti Yojana (DDUGJY)” to ensure rapid
electrification, feeder separation, and strengthening of rural distribution
infrastructure. The aim is to electrify the remaining 18,452 villages across India
by May 2018. (Note: A village is considered electrified if all the public places and
10% of households have electricity).
Exhibit 23: Villages electrified in India – 7,008 villages electrified in FY16
Villages electrified
556,633
512,513
482,864
560,552
572,414
577,629
584,637
FY02
FY07
FY12
FY13
FY14
FY15
FY16
Source: CEA, MOSL
In FY16, a record 7,008
villages were electrified
(target: 7,000 villages),
higher than the total
villages electrified in the
preceding three years.
In FY16, a record 7,008 villages were electrified (target: 7,000 villages), higher
than the total villages electrified in the preceding three years. A total 580k
villages (~98% of total villages) have been electrified and the aim is to complete
the electrification of all villages in FY17 itself, much before the deadline of May
2018 that the government has set for itself.
An increase in grid connected villages, and in turn, higher availability of power
for households would lead to higher demand for Light Electrical Products such
as Fans, Lights, Switches, etc.
June 2016
15
 Motilal Oswal Financial Services
Capital Goods | Change is in the air
Premiumization trend visible across product categories
Key drivers: Need for energy efficiency I Focus on aesthetics
In our view, the drive towards premiumization is because of two key critical factors:
(a) need for energy efficiency, and (b) focus on aesthetics.
Energy efficiency: “Life cycle cost versus cost of purchase”
Energy Efficiency Services
Limited (EESL) started a
pilot project in Andhra
Pradesh, where it intends to
distribute five-star-rated
fans normally priced
INR1,900 at INR995
As consumers realize the longer-term benefits of savings on “higher star”
products, they are more willing to pay higher upfront prices to take advantage
of the savings over the life of the product. The government’s initiative to drive
energy efficiency through increased use of LEDs and five-star-rated Pumps and
Fans has led to higher consumer awareness. A five-star-rated Fan costs
~INR1,900 (50W) against INR1,400-1,500 (75W) for a normal Fan. We estimate a
saving of INR300/year as a result of using the five-star-rated Fan versus the
normal Fan, which consumes 40% more power.
Energy Efficiency Services Limited (EESL) has recently started a pilot project in
Andhra Pradesh, where it intends to distribute five-star-rated fans normally
priced INR1,900 at INR995 – the reduction in price is possible due to bulk
purchases. Tenders have already been called for. The fans would be distributed
on an upfront payment of INR100 followed by 24 installments of INR50 each.
EESL is driving a similar movement in Lamps, where it targets to replace
Incandescent Lamps (ICLs) with Light-emitting Diodes (LEDs). In CY14, ~725m
ICLs were sold in India at an average price of INR10. Currently, the average price
of an LED Lamp in the market is INR220-250/unit while EESL is able to source
9W LED Lamps for INR80-85/unit. It distributes these to end consumers through
DISCOMs. We note that despite retail prices of LED Lamps being 3-4x the retail
prices of Compact Fluorescent Lamps (CFLs), there is a clear trend towards
buying more LED Lamps.
16
June 2016
 Motilal Oswal Financial Services
Capital Goods | Change is in the air
Despite Havells selling only through dealers, LED sales account for 45% of its
overall sales and this is expected to rise to 70-75% in the next 2-3 years. Havells
has not participated in EESL’s program for residential lighting, but is
participating in LED street lighting through its subsidiary, Promptec.
Units
hours
watts
Kilowatt-hour (kWh)
rupees
rupees
no of bulbs
rupees
rupees
rupees
ratio
ICL
1,500
60
0.06
0.36
18,000
33
10
330
18330
9.2
CFL
10,000
14
0.014
0.084
4,200
5
60
300
4500
2.2
LED
50,000
6
0.006
0.036
1,800
1
200
200
2000
1
Exhibit 24: Cost comparison – LED v/s CFL v/s ICL
Description
Life Span
Equivalent Wattage
Power consumed per hour
Cost of usage for one hour @Rs 6 per kWh
Cost of usage for 50,000 hours (A)
Bulbs needed for 50,000 hours of running
Bulb Cost
Cost of replacement(B)
Total 50,000 hour lighting cost (A+B)
Ratio of cost
Increasing consumer focus on aesthetics
Source: MOSLe, Industry
The Indian consumer is becoming increasingly discerning and trading up is
evident across product categories. Companies have begun launching products
with better aesthetics and additional features.
Exhibit 25: Premium products being offered across product categories
Product
Category
Fans
Premium
Products
Decorative Fans,
5 Star rated fans
Kids fans,
Under light fans
with remote
BLDC fans
Name of company
and model
Crompton:
Prudence, Harmoni, Kohinur, Obernon, Luster Eros, Titanis,
Nebula, Jupiter, Kanon Painted, Karissa, Triton, Twirl, SAIL, Radiance,Aura,
Diamnond, Embera
Bajaj:
Disney Range, Magnifique, Euro, Cruzair,
Havells:
Momenta, Opus, Ebony, Lumos , ES50, Florina, Veneto, Melania, Aureues, Avion, Cedar,
Dew,Florence
Orient:
New Breeze, Subaris, Adalia, Andrea, Valeria, Spectra, Arista, Curl, Jazz, Cristo, Cyril, Joan,
Avalon
Usha:
Barbie Glam, Daraemon, Chota Bheem, Fontana, E Series,Striker Galaxy
Khaitan:
Flamingao, Flair, Magnate, Vega, Newtec, Decora, Hunar, LA Vega, Hunar
Anchor:
Woods, Roma, Ave, Vision, Viola
Havells:
Euro II, Pearlz, Oro
Schneider Electric:
Livia, NEO, ZEN Cleo,
Legrand:
Myrius, Mylinc, Arteor
Usha:
Cold press Juicers,
Morphy Richard:
Deluxe Food processor
Havells:
Riso cooker, Insta Cook (induction cooktop)
Source: MOSL, Company
Switches
Aesthetic switches
Shock resistant
Multi-function and
premium
appliances
Kitchen
appliances
June 2016
17
 Motilal Oswal Financial Services
Capital Goods | Change is in the air
Multiple themes at play
New category entry I Rising ad spends I Focus on after sales and distribution
With the industry working on an “asset light model”, there is a clear trend of players
entering new product categories. This is more so in kitchen and home appliances.
To win in an environment of intense competition, companies are focusing more on
advertising, sales network and after sales services.
Entry into new categories by existing players as a brand extension
An interesting trend observed over the last few years is brand extension by
existing players into related product categories. This trend is more visible in
kitchen and home appliances, where most companies follow an outsourcing
model. The companies source products from China and only handle
marketing/distribution. With no or little R&D requirement and low capital
investment, this is an attractive business opportunity.
The success of entry into related categories depends on the existing brand
positioning and perception, dealer margins offered, advertising spend to build a
connect with the consumer, distribution reach (electronics dealers v/s hardware
dealers to sell Consumer Appliances) and service centers.
New product categories
Consumer Appliances, Switchgear, Lighting
Lighting, Switches, Fans
Lighting, Switchgears, Fans, Wires and cable
Lighting, Electric Appliances
Fans, Consumer Durables
Fans, Switchgears, Kitchen Appliances
Consumer Appliances, Air Cooler,
Consumer appliances, Coolers, Pumps
Fans, Switches, Lighting, Switchgears
Fans, Lighting, Switches
Source: MOSL, Industry, Company
Exhibit 26: Recent entries into new product categories by existing players
Company
Orient Electric
Finolex
Anchor
Eveready
Surya Roshni
V-Guard
Crompton Greaves
Havells
Luminous
Polycab
Core Product
Fans
Cables
Switches
Batteries
Lighting
Voltage Stabilizers, Inverters
Fans, Lighting, Pumps
Switchgear, Lighting, Fans
Invertors
Wires
The key reason behind entering related product categories is to get a higher
wallet share of the retail store and the customer while leveraging on existing
brand equity.
For most companies that have recently entered the Consumer Appliances
business, the challenge is to develop the appliance network since the existing
electricals dealer network is not suitable for distribution of appliances.
June 2016
18
 Motilal Oswal Financial Services
Capital Goods | Change is in the air
Exhibit 27: Company wise presences across electrical and kitchen appliances
Electric Appliances
Name of company
Havells
Crompton Greaves
Bajaj Electricals
Khaitan Electricals
Usha
Orient Electricals
Eveready
TTK Prestige
Philips
Panasonic
Inalsa
Sunflame
Fans
Y
Y
Y
Y
Y
Y
Y
Water Heaters
Y
Y
Y
Y
Y
Air Coolers
Y
Y
Y
Y
Y
Y
Irons
Y
Y
Y
Y
Y
Kitchen Appliances
Mixer Grinders
Y
Y
Y
Y
Y
Y
Toasters
Y
Y
Y
Y
Y
Y
Y
Y
Y
Y
Y
Y
Y
Y
Y
Y
Y
Y
Y
Y
Y
Y
Y
Y
Source: MOSL, Industry, Company
Exhibit 28: Asset turns for the industry high given the asset light business model
25.9
Bajaj
CG
Havells
V Guard
24.2
16.0
11.0
4.1
6.7
7.3
4.0
3.9
4.3
11.2
Surya Roshni
Average
14.5
FY14
FY15
Source: Company, MOSLe
Increasing advertising spends to gain market share in new product
categories
V Guard, has the highest
advertising spends led by
expanding from its
traditional base in South
India to other regions in
North, West and East India,.
A key differentiator in the Light Electricals segment is advertising spends to gain
consumer mind share and develop a “pull” factor for the company.
Our analysis of the advertising spends across key listed players in FY15 highlights
that advertising spends range between 0.7% and 4.1% of revenue. V Guard,
which is expanding from its traditional base in South India to other regions in
North, West and East India, has the highest advertising spends. It spent 4.3% of
its sales on advertising in FY16.
Exhibit 29: Advertising spends by company (% of sales)
Name of company
Bajaj Electricals
Crompton **
Havells
V Guard
Surya Roshni
FY15
1.3
2.5
3.4
4.1
0.7
FY14
1.6
2.7
2.5
4.2
0.3
FY13
1.3
2.7
3.1
4.5
1.2
FY12
1.3
2.2
3.1
4.2
0.6
FY11
2.2
1.7
2.5
3.8
1.3
Source: Company, MOSL, ** ad spend for entire Crompton Greaves, For Bajaj, we exclude the E&P
segment
June 2016
19
 Motilal Oswal Financial Services
Capital Goods | Change is in the air
Crompton has spent ~2% of its sales on advertising over the past six years.
However, this is set to change with the new management, which intends to
aggressively increase advertising spends to gain higher market share. This is
already evident from the number of television commercials (TVCs) Crompton
has been airing over the last few months, with a focus on Lighting, Fans and
Appliances. The management intends to bring advertising spends in line with
the competition.
Havells has deftly used advertising spends (3-3.5% of sales) to create a premium
positioning. This has enabled it to charge a premium on its products.
With most companies now eyeing market share in new product categories,
advertising campaigns are becoming more important.
R&D spends across key players remain low
The industry is based on
“outsource and assemble”
model and thus the R&D
spends, which stand at 0.3-
1% of sales across
companies.
Within the Consumer Appliances space, most companies use an outsourcing
model. They buy products from China and distribute these in India. Havells is
one of the few companies preferring to “insource”. It has set up factories in
India to manufacture Water Heaters and Kitchen Appliances, and will be
extending this to other product categories as well.
Even in the case of other product categories such as Fans, Pumps and Lighting,
the industry has an “outsource and assemble” model. Most components are
outsourced and assembled by the seller.
Exhibit 30: R&D spending by company
Name of company
Bajaj Electricals
Crompton Greaves
Havells
V Guard
FY15
1.0
0.8
0.5
0.3
FY14
0.3
0.7
0.5
0.4
FY13
0.4
0.6
0.4
0.3
FY12
0.4
0.6
0.2
0.2
FY11
0.3
0.8
0.3
0.2
FY10
0.3
0.6
0.3
0.3
Source: Company, MOSL
This “outsource and assemble” model is in turn reflected in the R&D spends,
which stand at 0.3-1% of sales across companies.
A comparison of the “outsourced/traded” components across players reveals
that Havells has the fewest traded products. It focuses on “insourcing” products
to have a better control on quality and the supply chain. This has also resulted in
Havells having the highest gross margins in the industry (~42%). Bajaj Electric
has the least “insourcing” – it manufactures only ~3% of its products.
FY16
3%
50%
>90%
40%
Source: Company, MOSLe
Exhibit 31: In-house manufacturing of Electricals portfolio
Name of company
Bajaj Electricals
Crompton Greaves
Havells
V Guard
June 2016
20
 Motilal Oswal Financial Services
Capital Goods | Change is in the air
Exhibit 32: Higher in-house manufacturing results in higher gross margins
Name of company
Bajaj Electricals
Crompton Greaves
Havells
V Guard
FY16
30%
29%
42%
31%
Source: Company, MOSLe
Most companies operating in the Kitchen Appliances segment outsource
production to China and market these products through their
distribution/dealer network. Havells is among the few companies to have
“insourced” manufacturing of Water Heaters; it has also commissioned a new
plant to manufacture Kitchen Appliances.
Distribution reach: A key differentiator in Light Electricals industry
Bajaj Electricals has the
widest reach across
Consumer Electricals
companies whereas
Crompton has ~50% share
at each electrical outlet
selling its products
One of the key differentiators in the Light Electricals industry is distribution
reach and dealer touch points.
Bajaj Electricals has the widest reach across Consumer Electricals companies. It
has been in the Indian market for almost 80 years and also has a wide product
portfolio across Consumer Appliances (Induction Cookers, Irons, Water Heaters,
Mixers, Grinders, etc), Fans and Lighting.
FY16
500,000
+150,000
+100,000
30,000-
33,000
200,000
30,000
FY15
400,000
134,000
+100,000
25,000
200,000
3.2mn touch points for batteries
Other touch points
5,000 authorized dealers and
104 “Bajaj World” showrooms
60 Crompton “Exclusive” showrooms
375 Havells Galaxy stores
2000 channel partners
Exhibit 33: Retail touch points by player (number of units)
Name of company
Bajaj Electricals
Crompton Greaves
Havells
V Guard
Surya Roshni
Eveready
Source: Company, MOSL, ** Eveready touch points for electrical outlets only
Exhibit 34: Distributors by company
Name of company
Bajaj Electricals
Crompton Greaves
Havells
V Guard
Surya Roshni
Eveready
FY15
1,000
4,000
6,300
500
20,000
4,000
Source: Company, MOSLe
While having a high number of retail touch points is important, it is equally
important to have a high share of retail store sales. Crompton has ~50% share at
each electrical outlet selling its products – this implies that sales per store are
much higher than peers. However, with its entry into Consumer Appliances, it
needs to get its products into Home Appliance/Hardware stores, where it is a
recent entrant, having started this business only in FY11.
E-commerce as a channel to go to market has been gaining importance and
most companies have opted to have separate SKUs for the online and offline
platforms. This helps to reduce cannibalization of sales by aggressive
21
June 2016
 Motilal Oswal Financial Services
Capital Goods | Change is in the air
discounting by online stores. Companies such as Bajaj Electricals, Murphy
Richards and Philips also sell their products online through their own website.
Companies such as Havells and V Guard, however, push sales only through their
authorized distributors and dealers.
Exhibit 35: Product category-wise “Go to Market” channels
Name of company
Fans
Lighting
Switches
Pumps
Cable and Wires
Iron
Mixer/Grinder
Cookware
Water Heater
Electricals
Store
Y
Y
Y
N
Y
N
N
N
Y
Appliance
Store
N
N
N
N
N
Y
Y
Y
Y
Multi Brand
retail
Y
Y
Y
N
N
Y
Y
Y
Y
E Commerce
Y
Y
Y
Y
Y
Y
Y
Y
Source: MOSL, Industry
Attractive commissions and incentives necessary to gain and retain dealers
Crompton offer highest
dealer commissions and
incentives amongst the
peers
Given the intensely competitive environment in the Light Electricals sector,
dealer commissions and incentives are key to gaining acceptance at retail stores.
Crompton has been ahead of peers in offering dealer commissions and
incentives and this explains its high share in the retail stores where it is present.
Dealer incentives and commissions ensure that the distribution channel
continues to push the company’s products into the market.
While Crompton’s new management has been pushing up advertising spends as
it tries to garner greater consumer connect, we believe it could also raise dealer
commissions/incentives to increase its penetration.
FY15
1.2
1.4
0.8
1.0
1.1
FY14
0.8
1.8
0.7
1.0
0.9
FY13
0.6
2.0
0.8
0.9
1.2
FY12
0.6
1.6
0.7
0.6
1.0
FY11
0.4
2.6
0.8
4.2
0.8
Exhibit 36: Dealer commissions/incentives offered across players (% of sales)
Name of Company
Bajaj Electricals
Crompton
Havells
V Guard
Surya Roshni
Source: MOSL, Company, ** we have considered only the consumer business for the comparison
After sales service: Equally important, as Electricals can last for 5-7 years
After sales service is equally important in the case of Consumer Electricals, as
these products typically last for 7-10 years. This is more so in the case of
Consumer Appliances and Fans.
June 2016
22
 Motilal Oswal Financial Services
Capital Goods | Change is in the air
Exhibit 37: Service center strength of key players in the Light Electricals segment
Name of company
Bajaj Electricals
Crompton Greaves
Racold India
Phillips
V Guard
Murphy Richard
Nos.
400
+500
+100
+180
150
150
Source: Company, MOSL
Havells has a different model, where it has tied up with electricians (>0.15m all
over India), who repair the product at the consumer’s house, saving the
consumer the effort to go to a service center.
June 2016
23
 Motilal Oswal Financial Services
Capital Goods | Change is in the air
Fans – structural story intact
Medium term threat from government’s bulk tendering program
Industry shifting to premium fans with 40% of sale from these models vs. ~10-15% in
FY06; Havells market leader in this segment with a +25% share
Governments’ bulk procurement programme targets to replace 160m fans over FY16-
19e; save 30% power compared to normal fans
Fan sales to grow 12% CAGR in FY16-19e; premiumisation drives value
growth
The unorganized segment
(local and Chinese products)
contributes ~20-25% of
sales.
The Indian Fan market has grown at a CAGR of 11% in value terms to ~INR60b
over FY11-16. Of this, 6-7% growth has come from volumes and the balance
from price increases. In volume terms, ~50m Fans are sold in India, with the
organized market at 75%.
There is a shift towards Premium Fans, which now account for 40% of the
market against 10-15% in 2006. The Indian consumer’s increasing focus on
aesthetics and energy efficiency is driving the premiumization trend.
Key players in the organized market are Crompton, Orient Electricals, Usha
International, Khaitan, Bajaj Electricals, and Havells. The unorganized segment
(local and Chinese products) contributes ~20-25% of sales.
Exhibit 38: Growth in Indian Fan industry over FY11-19e
18%
Fans (INRm)
YoY (%)
13%
9%
10%
7%
45
48
53
60
67
12%
12%
12%
84
75
35
FY11
38
FY12
FY13
FY14
FY15
FY16
FY17e
FY18e
FY19e
The Bureau of Energy Efficiency (BEE) launched the voluntary standard labeling
program from 2009. This forced the industry to look at infusing technology and
rework marketing campaigns to highlight energy efficiency. Over 2009-12,
manufacturers imported motor testing lines, air delivery measurement systems
and computerized testing systems for motors to meet newly-defined
parameters in air delivery, fan speed and power input.
Orient introduced energy-efficient fans under its
Summer Crown
brand in 2009-
10 while Cromptom Greaves developed such fans in 2010-11. Bajaj unveiled
eight models (four each in the 4-star and 5-star categories) in 2011-12.
The Fan market also saw the emergence of the ‘children’ category, with Bajaj
and Havells being the market leaders in introducing child-focused models. Bajaj
entered the category by signing an exclusive tie-up in 2008-09, which allowed it
to unveil Fans with Disney characters. The company continued with new
launches in this category in 2010-11 and 2011-12.
24
June 2016
 Motilal Oswal Financial Services
Capital Goods | Change is in the air
Exhibit 39: Fans – share of unorganized segment has been falling
50%
Unorganized Sector(%)
30%
30%
25%
FY07
FY12
FY13
FY14
Another category that has gathered pace in the past few years is
Decorative/Premium Ceiling Fans. Havells took the lead in this category
(>INR2,500/unit) and enjoys over 25% share. Orient introduced its Remote-
controlled Premium Fans range in 2009-10. Crompton too launched a full range
of Premium Ceiling Fans. We highlight below the key models being offered
across players in the Premium, Decorative and Children categories.
Exhibit 40: Premium Ceiling Fans by key players in the industry
Product
Category
Premium
Products
Decorative
Fans,
5 Star rated
fans
Kids fans,
Under light
fans with
remote
BLDC fans
Name of company and model
Fans
Crompton
- Prudence, Harmoni, Kohinur, Obernon, Luster Eros, Titanis, Nebula, Jupiter, Kanon Painted, Karissa,
Triton, Twirl, SAIL, Radiance, Aura, Diamnond, Embera
Bajaj
- Disney Range, Magnifique, Euro, Cruzair,
Havells
-Momenta, Opus, Ebony, Lumos , ES50, Florina, Veneto, Melania, Aureues, Avion, Cedar, Dew,Florence
Orient
-New Breeze, Subaris, Adalia, Andrea, Valeria, Spectra, Arista, Curl, Jazz, Cristo, Cyril, Joan, Avalon
Usha
- Barbie Glam, Daraemon, Chota Bheem, Fontana, E Series,Striker Galaxy
Khaitan
- Flamingao, Flair, Magnate, Vega, Newtec, Decora, Hunar, LA Vega, Hunar
Premium Fans now account
for 40% of total Fan sales,
up from 10-15% in 2006.
Premium Fans now account for 40% of total Fan sales, up from 10-15% in 2006.
Companies are focusing more on Premium Fans, driven by shifting consumer
preference and higher margins in this category.
Crompton, which is present across the entry and mid segments, has ~30% of its
models in these segments. It has ~70% of its models in the premium and star-
rated segments. Havells is clearly positioned in the premium segment, with just
~13% of its models in the standard range.
Crompton, which offers 75 models of Ceiling Fans, has the biggest portfolio.
Usha, the second-largest player, has a portfolio of 62 models.
June 2016
25
 Motilal Oswal Financial Services
Capital Goods | Change is in the air
Exhibit 41: Ceiling Fan categorization by segment and player
Ceiling fans
Under light fans
Kids fans
Decorative fans
BEE 5 Star rated
Standard/Plain fans
Total no. of models
Crompton
18%
4%
40%
9%
30%
75
Havells
17%
6%
61%
4%
13%
54
Orient
22%
4%
47%
10%
18%
49
Usha
15%
13%
30%
29%
15%
62
Bajaj
8%
13%
48%
13%
18%
39
Source: Company websites, MOSL
Exhibit 42: Fans sold by type in India
Pedestral/Desk
fans, 20%
Ceiling fans, 70%
Fresh Air, 5%
Industrial, 2%
Cooler Fans, 2%
Source: Industry, MOSL
Crompton remains market leader by wide margin
Crompton remains the undisputed market leader in Fans, despite severe
competition from both domestic players and cheap Chinese imports. It has built
a reputation for offering reliable, durable and trouble-free Fans.
Exhibit 43: Market share in Fans (FY11-FY16E)
CG
31%
15%
14%
14%
26%
FY11
31%
15%
15%
15%
24%
FY12
Bajaj Elec
32%
15%
15%
14%
25%
FY13
Havells
Orient
26%
18%
15%
14%
27%
FY14
Others
25%
18%
15%
14%
28%
FY15
29%
17%
16%
11%
27%
FY16
Source: Industry, MOSL,
June 2016
26
 Motilal Oswal Financial Services
Capital Goods | Change is in the air
Exhibit 44: Market share in Fans (FY16)
Others, 29%
Crompton
Greaves, 27%
Orient fans, 17%
Bajaj Electricals,
11%
Havells, 16%
Source: Industry, MOSL
Focus on energy efficiency increasing; EESL takes lead by distributing BEE 5-
star-rated fans
EESL is able to procure 5-
star-rated Fans at INR1,100-
1,200/unit, though the
usual market price of
similar Fans is INR1,800-
1,900/unit.
Energy Efficiency Services Limited (EESL) is implementing the government’s
“National
Energy Efficient Fan”
program. It is procuring BEE 5-star-rated Fans
(50W) with a replacement warranty of 2.5 years and intends to replace 160m
Fans till FY19.
EESL is able to procure 5-star-rated Fans at INR1,100-1,200/unit, though the
usual market price of similar Fans is INR1,800-1,900/unit. The government has
put a cap of two fans per household under this program.
Usage of 50W BEE 5-star-rated Ceiling Fans distributed under the program
would reduce the average consumer’s electricity bills by INR700-730/year. The
cost of the Fans would be recovered in less than two years. These Fans are 30%
more energy efficient than the usual 75-80W Conventional Fans.
EESL has launched the scheme in Vijayawada, where it is providing two energy-
efficient Fans to each consumer at an equated monthly installment (EMI) of
INR60/fan. The EMI would be added to the consumers’ electricity bills for two
years. The consumer can also purchase the Fan by paying INR1,250 upfront.
Consumers can participate in the program by providing copies of the latest
electricity bill and residence proof at the designated distribution center.
EESL is procuring the Fans via bulk tendering from leading manufacturers such
as Crompton, Orient, Usha and Bajaj Electricals. The Fans are provided to
consumers through the state distribution company or EESL outlets.
June 2016
27
 Motilal Oswal Financial Services
Capital Goods | Change is in the air
Exhibit 45: Comparison – normal Ceiling Fan v/s BEE 5-star-rated Fan v/s BLDC motor Fan
Source: MOSL, Bijllee Bachao
Note: Super-efficient fans have BLDC motors
Major Fan manufacturers are launching Fans with brushless direct current
(BLDC) motors that use just 50% of the energy used by regular Fans. While BLDC
Fans consume 50% of the electricity consumed normal Fans, they also cost
~INR1,500 more. The typical payback for a BLDC Fan is ~1 year. Orient launched
BLDC Fans priced at INR4,800/unit last year. Others including Crompton are also
looking to launch Fans in this segment.
Our channel checks indicate that while a 5-star-rated Fan saves 35-40% power
cost, its air circulation is 200-210 cubic meters/minute against a standard Fan’s
230-240 cubic meters/minute.
June 2016
28
 Motilal Oswal Financial Services
Capital Goods | Change is in the air
Lighting – LED movement underway
Expect 13% CAGR over CY15-18, driven by strong jump in LED sales
Government’s UJALA programme drives switch of ICL/FTL’s to LEDs’
Governments’ bulk procurement programme targets to replace 770m ICL’s and 35m
streetlights by FY19
Lighting sales to grow 13% CAGR in FY16-19e; LEDs’ replace traditional
lamps
Mr Piyush Goyal aims to
replace 770m ICLs and 35m
street lights with LEDs by
FY19 under the
government’s demand-side
management initiatives.
The Prime Minister, Mr Narendra Modi launched the “National Program for LED-
based Home and Street Lighting” with the aim to replace incandescent lamps
(ICLs) with light-emitting diodes (LEDs) for residential and street lighting. The
original aim was to install LED lamps for household and street lighting in 100
cities by March 2016.
The Power Minister, Mr Piyush Goyal has said that the aim is to replace 770m
ICLs and 35m street lights with LEDs by FY19 under the government’s demand-
side management initiatives.
This program has recently been named as “UJALA” or “Unnat
Jyoti by
Affordable LEDs for All”.
UJALA
is successfully running across 12 states –
Rajasthan, Maharashtra, Karnataka, Kerala, Uttar Pradesh, Himachal Pradesh,
Delhi, Andhra Pradesh, Puducherry, Jharkhand, Bihar and Uttarakhand.
The LED market, which stood at INR5b in CY10, is expected to jump to INR115b
by CY17, driven by the government’s initiatives and would form 45-50% of the
overall lighting market v/s 6% in CY10 and 15-20% currently.
The Indian lighting market has grown at 17% CAGR over CY10-14 and is set to
grow at 13% CAGR over CY15-18, driven by a strong jump in LED sales.
Exhibit 46: India lighting industry growth (CY08-18E)
Lighting market(INRm)
YoY(%)
CY08
CY09
CY10
CY11
CY12
CY13
CY14
CY15E
CY16E
CY17E
CY18E
Source: Industry, MOSLe
Exhibit 47: Lighting market by source
Source type
GLS/FTL/CFL
LED
Others
% of total
70-75%
15-20%
10-15%
June 2016
29
 Motilal Oswal Financial Services
Capital Goods | Change is in the air
Switch from traditional lamps to LEDs to drive growth
Government targets to
replace~27m street lights in
India by FY19
Growth in the lighting industry would be driven by a sharp jump in LED sales.
The LED market, which stood at INR5b in CY10, is expected to jump to INR113b
by CY18, driven by the government’s initiatives. LEDs would form 45-50% of the
overall lighting market in CY18 v/s 6% in CY10 and 15-20% currently. We expect
the overall lighting market to grow at a CAGR of 13% over CY16-18 to INR262b.
Replacement of incandescent lamps (ICLs) and compact fluorescent lamps (CFLs)
with LEDs makes economic sense, as LEDs have a longer life
(50,000 hours v/s
10,000 hours for CFLs and 1,500 hours for ICLs),
are more energy efficient
(80-
100 lumens/watt v/s 50 lumens for CFLs and 13-15 lumens for ICLs),
and have a
payback period of 2-2.5 years vs. CFL’s.
The key driver of increased usage of LEDs over the next few years would be the
government’s push to replace street lighting
(via municipalities)
and residential
lighting
(via state DISCOMs)
to achieve energy efficiency and savings. There are
~27m street lights in India, which the government targets to replace by FY19. It
has banned the sale of 100W ICLs and intends to ban 60W and 40W ICLs by
CY17. This along with a further fall in LED prices
(already down to INR200 from
INR1,000-1,200 earlier)
would fuel a large scale switchover to LEDs. We also
expect commercial establishments
(retail outlets/offices/shops)
to increasingly
opt for LED down-lights instead of the less efficient FTLs and CFLs, especially as
the price gap between LED and CFL down-lights has narrowed significantly.
Exhibit 48: LED sales over CY13-18E
LED Sales(INR m)
76%
82%
61,799
19,250
33,950
54%
16%
3%
CY14A
CY15E
CY16E
CY17E
CY18E
95,023
YoY (%)
110,150
113,923
CY13A
Source: ELCOMMA, MOSLe
New players have entered the market (Eveready,
Syska LED, Oreva),
sensing the
large opportunity in LEDs over the next few years. As seen in the CFL segment,
we expect the industry to consolidate after the initial euphoria. With the
government’s thrust on replacing ICLs with CFLs, the number of CFL
manufacturers in India doubled from 30 in 2009 to 60 currently. These 60 CFL
manufacturers have a cumulative capacity of 1b units per year.
June 2016
30
 Motilal Oswal Financial Services
Capital Goods | Change is in the air
Exhibit 49: Cost comparison – ICL v/s CFL v/s LED
Description
Life Span
Wattage
Power consumed per hour
Cost of usage for one hour @Rs 6 per kWh
Cost of usage for 50,000 hours
Bulbs needed for 50,000 hours of running
Bulb Cost
Cost of replacement
Total 50000 hour lighting cost
Ratio of cost
Units
hours
watts
Kilowatt-hour (kWh)
rupees
rupees
no of bulbs
rupees
rupees
rupees
ratio
ICL
1,500
60
0.06
0.36
18000
33
10
330
18330
8.7
CFL
10,000
14
0.014
0.084
4200
5
120
600
4800
2.3
LED
50,000
6
0.006
0.036
1800
1
300
0
2100
1.0
Exhibit 50: LED usage by end market
Automobiles,
5%
Others,
10%
TV/
Mobile,
25%
General Lighting,
60%
Source: MOSL, Industry
The “UJALA” programme aims to replace ICLs with LEDs for residential and
street lighting. According to ELCOMA, 725m ICLs were sold in CY14 (780m in
CY13). Replacement of these ICLs with LEDs would help save 50b units of power
and INR25b in costs.
June 2016
31
 Motilal Oswal Financial Services
Capital Goods | Change is in the air
Exhibit 51: State-wise sale of ICLs
State
Andhra Pradesh
Assam
Bihar
Chhattisgarh
Delhi
Gujarat
Haryana
HP
J&K
Jharkhand
Karnataka
Kerala
Maharashtra
Manipur
Meghalaya
MP
Nagaland
Odisha
Punjab
Rajasthan
Tamil Nadu
Tripura
UP
Uttrakhand
WB
Other states
Total
M units
68
9
62
18
51
42
19
4
6
16
43
21
93
1
1
36
1
12
18
26
51
2
82
7
62
7
758
Source: EESL, ELCOMA
Energy Efficiency Services Limited (EESL) has also initiated the street light
replacement program in various municipal corporations across the country.
India has 27.5m streetlights, which could be replaced with LEDs at a total cost of
INR177b. Each fixture is likely to cost INR6,500 against the usual INR8,000 on
bulk procurement by EESL.
Market share by player
The top five players in the industry have a 51% share, with Philips being far
ahead of its peers.
To tap into the LED opportunity, new players have entered the market
(Eveready,
Syska LED, Oreva).
June 2016
32
 Motilal Oswal Financial Services
Capital Goods | Change is in the air
Exhibit 52: Market share in the Indian lighting industry
100%
75%
50%
25%
0%
FY11
FY12
FY13
FY14
FY15
FY16
Source: MOSL, Industry
Bajaj
Havells
CG
Surya
Phillips
Others
Exhibit 53: Market share in the Indian lighting market in FY16
Havells, 4%
Crompton, 6%
Bajaj
Electricals,
6%
Surya Roshni, 8%
Others, 52%
Philips, 25%
June 2016
33
 Motilal Oswal Financial Services
Capital Goods | Change is in the air
Different types of lamps – LEDs v/s CFLs v/s ICLs
LEDs are more efficient and environment friendly
How does an LED bulb really work?
A light-emitting diode (LED) is a sort of semiconductor. The movement of free
electrons across a diode releases energy in the form of a photon (basic unit of light).
An LED is heat sensitive; to ensure that heat moves away and does not damage the
semiconductor, an aluminum heat sink plate is used to move heat away. The heat
sink plate becomes part of the design of the bulb and from the heat sink plate, the
heat moves into the air surrounding the bulb.
Exhibit 54: LED bulb
The chip constitutes 30% of
the LED lamp’s cost.
An LED bulb has four key components:
1.
LED chip/module:
LED chips come in a wide range of performance standards.
High performance lamps use CREE or OSRAM brand chips. The chip usually
constitutes 30% of the lamp’s cost.
2.
LED driver:
The second key component is the power system, commonly referred
to as the driver. It is the limiting factor in the lamp’s longevity.
3.
Heat sink:
LEDs are temperature-sensitive; hence, a heat sink is required in an
LED bulb. Most products use an aluminum alloy heat sink for its cost efficiency.
4.
Printed circuit board:
The PCB connects the chip to the heat sink. The material
used for the PCB and its design are important. A PCB with low thermal
conductivity results in a hot lamp. Metal and ceramic core PCBs have good heat
transfer coefficient, but most manufacturers choose fiberglass to save money.
Working of an incandescent lamp
Conventional light bulbs have two metal contacts, which connect to the ends of
an electrical circuit. The metal contacts are attached to two stiff wires, which are
attached to a thin metal
filament.
As
electric current
flows from one contact to the
other through the filament, it gets heated. When heated to ~4,000 degree
Fahrenheit (2,200 degree Celsius), the bulb emits a good deal of light. However, only
10% of the energy is converted to light – the remaining goes into heat generation.
June 2016
34
 Motilal Oswal Financial Services
Capital Goods | Change is in the air
Exhibit 55: Incandescent bulb
Source: Industry,
Working of a compact fluorescent lamp (CFL)
Compact fluorescent lamps (CFLs) are designed to replace incandescent lamps
(ICLs). A CFL uses a tube, which is curved or folded to fit into the space of an ICL,
with a compact electronic ballast at the base. The tube contains argon and mercury
vapor. When electric current passes through the vaporous mixture, it excites the gas
molecules and produces ultraviolet light. The ultraviolet light, in turn, stimulates a
fluorescent coating painted on the inside of the tube. As this coating absorbs
energy, it emits visible light. CFLs are more energy efficient than ICLs
.
Exhibit 56: Compact fluorescent lamp
Source: Industry, MOSL
June 2016
35
 Motilal Oswal Financial Services
Capital Goods | Change is in the air
Pumps – weak industrial capex may constrain growth
Government promoting star-rated pumps; move towards energy efficiency
Weak industrial capex a dampener on pump sector growth – accounts for 54% of
industry sales
Governments’ bulk procurement programme targets to replace 20m grid connected
pumps with energy efficient pumps by FY19
Pump sales to grow 8% CAGR in FY16-19e; solar pumps a non starter
Industry growth to remain
subdued at 7-8% over the
next 2-3 years on weak
industrial capex (46% of the
end market)
There are over 800 players in the Indian Pumps industry, with most in the MSME
category. Centrifugal Pumps constitute 95% of the Pumps sold in the country.
The Indian Pumps industry has grown at 6% CAGR over FY11-15 to INR85b, with
2m pumps sold each year. Weak monsoons in the last two years led to a decline
in the sale of Agricultural Pumps (27% of market); with above average monsoon
expectations for FY17, we expect demand to pick up.
We expect the industry growth to remain subdued at 7-8% over the next 2-3
years on weak industrial capex (46% of the end market).
Exhibit 57: Indian Pumps market (INR m) and YoY growth (%)
Pumps(INRm)
8%
6%
6%
6%
8%
YoY(%)
8%
8%
8%
72
FY12
76
FY13
80
FY14
85
FY15
92
FY16
99
FY17e
107
FY18e
116
FY19e
Source: MOSL, Industry
The Industrial segment constitutes 46% of the Pumps sold in India. Pumps for
agricultural use account for 27% of the total Pumps sold.
Exhibit 58: End-market-wise usage of Pumps
Metal and
Mining, 4%
O&G, 8%
Power
Generation, 12%
Water and Waste
water, 17%
Building
Services, 19%
Source: Industry, MOSLe
Others, 13%
Agriculture, 27%
June 2016
36
 Motilal Oswal Financial Services
Capital Goods | Change is in the air
Our views on the key end markets for Pumps over the next few years:
Agriculture:
Demand is subdued following two years of weak monsoon. Hopes
of an above average monsoon in CY16 should provide a boost to Agricultural
Pumps. ABB and KSB Pumps are now targeting Solar Power Pump Sets (KSB
launched in July 2015). EESL wants to replace all existing 20m Agricultural
Pumps with Solar Pumps.
Oil & Gas:
Demand has been subdued in the last few years. However, with new
refineries likely to come up, demand should revive.
Power Generation:
Boiler Feed Pumps are used in power plants. Due to the
slump in power generation orders, the market is subdued. Supercritical Pumps
should witness growth, but these are imported.
Fertilizers:
New fertilizer plants
are being planned. This should boost demand for Pumps.
Water/Wastewater:
Increased government spending on urban infrastructure
and 100 smart cities, and the Namami Ganga Program should give a boost to the
industry.
Pulp/Steel:
We expect both these end markets to decline, though not much
from here.
Power consumption, reliability and service are key differentiating factors
Power costs constitute 70% of the running cost of a Pump. There is a clear
preference for higher star-rated Pumps, which consume less power.
The other key factors are reliability, service and zero downtime for the Pump.
Exhibit 59: Lifecycle costs for a Pump – power costs are the highest
Power costs, 70%
Pump, 15%
Maintaineince,
15%
Exhibit 60: Pump usage by type
Description
Residential/ Domestic pumps
Industrial
Pumps used for EPC projects
HP rating
0.25-20
2- 500
500HP and above
End market
Agriculture, Residential and Commercial buildings
Across industries - Cement, Steel, Oil & Gas
Power plants, Irrigation and Municipal projects
Market share by player
The Pumps market in India is fragmented, with only 56% of the market with the
organized players. The top-5 players control about 44% of the overall market.
Kirloskar Brothers is the market leader in this segment because of its market
leadership in supply of Agricultural Pumps.
June 2016
37
 Motilal Oswal Financial Services
Capital Goods | Change is in the air
Exhibit 61: Market share by player in the Indian Pumps industry
Kirloskar Brothers,
12%
CRI, 11%
Unorganized, 44%
Others,
5%
KSB Pumps, 8%
Crompton
Greaves, 7%
Grundfos, 4%
Texmo, 6%
WPIL, 3%
Government plan to replace inefficient pumps via EESL; big demand driver
for the industry
Energy Efficiency Services
Limited (EESL) intends to
replace 20m grid connected
pump sets with BEE star-
rated energy efficient
agricultural pumps.
EESL targets to replace ~7m
grid-connected pumps in
Maharashtra, Andhra
Pradesh, Karnataka and
Rajasthan in the next two
years.
Under the
National Energy Efficient Agriculture Pumps Program,
Energy
Efficiency Services Limited (EESL) intends to replace 20m grid connected pump
sets with BEE star-rated energy efficient agricultural pumps.
These pumps will
come enabled with smart control panels and SIM cards, giving farmers the
flexibility to remotely control them from their mobile phones.
This will result in energy savings for the DISCOMs, as farmers get electricity
either free or at a subsidized rate. EESL purchases these star-rated energy-
efficient pumps via the competitive bidding route.
EESL replaces the old pumps with new energy-efficient ones free of cost and
also undertakes their repair and maintenance during the project duration. The
DISCOMs save some energy, which is then multiplied with the prevailing power
rates to monetize the same. This is then shared between the DISCOMs and EESL.
EESL targets to replace ~7m grid-connected pumps in Maharashtra, Andhra
Pradesh, Karnataka and Rajasthan in the next two years. The total energy saved,
assuming most of the pumps replaced are 5HP pumps, is ~25%. The total energy
consumed in these four states through pumps is 60b units; hence, 15b units will
be saved. At the average power rate of INR4.5/unit, it implies annual savings of
INR60b. The cost of procurement of 7m pumps at INR30k/unit works out to
INR200b-230b, which EESL can recover in 2-3 years.
The eventual aim is to replace 10m diesel power pumps with solar power
pumps. However, the cost of one solar pump is INR300k, which makes this
currently unfeasible for EESL.
June 2016
38
 Motilal Oswal Financial Services
Capital Goods | Change is in the air
Switchgear – safety paramount
Share of unorganized segment declining
Weak industrial capex to weigh on industry growth
Increasing focus on safety, durability and reliability reducing share of unorganized
segment in this product category
LV Switchgear sales to grow 7% CAGR in FY16-19e
Switchgear is as an assembly of switching and interrupting devices, providing
control, metering, protection, and power regulating applications. Key
components include (a) switching and interrupting devices used for turning the
power on or off, (b) control devices used for checking and/or regulating the flow
of electric current, (c) metering devices used for measuring the flow of electric
current, and (d) protective devices used to protect power service from
interruption and prevent/limit damage to equipment.
Exhibit 62: MCB constitutes 23% of the market share
Types of LV switchgears
Air circuit breaker
MCCB
Change over switches
Contractors and Relays
MCB
Residual current devices
Distribution board
Application
These are circuit protection devices with air as the insulating medium
These are circuit protection devices, whose current carrying components, mechanisms, and trip circuits are
completely enclosed within a molded case of insulating material
These are meant to move a circuit from one set of connections to another
Contactor is a type of relay that can handle high power required to directly drive an electric motor and a relay is
an electrically operated switch, used where it is necessary to control a circuit by a low-power signal or where
several circuits must be controlled by one signal.
MCB is a small trip-switch operated by an overload and is used to protect an electric circuit, especially, in a
domestic circuit as an alternative to a fuse.
Residual Current devices monitor residual current and switch off the circuit quickly if it rises to a preset level and
can be broadly classified into earth leakage circuit breaker and residual current circuit breakers.
It is a component of an electricity supply system, which divides an electrical power feed into subsidiary circuits,
while providing a protective fuse or circuit breaker for each circuit in a common enclosure with a main switch.
Source: Industry Report, MOSL
Market overview and competitive intensity
Switchgear to have muted
growth at 7% CAGR over
FY16-19 to INR70b led by
sluggish industrial capex,
muted investment across
infrastructure power
utilities projects
As of FY16, the LV switchgear market (residential and industrial) stood at an
estimated INR56b. We expect the market to grow at 7% CAGR over FY16-19 to
INR70b. Muted growth in the segment is on account of factors like sluggish
industrial capex, muted investment cycle and slowdown in investments across
infrastructure power utilities projects.
In terms of region-wise demand, North India accounts for 34%, South India for
29%, West India for 26% and East India for 11%.
The market for LV switchgears is highly competitive, with more than 40
participants operating. The market is dominated by MNCs with domestic
manufacturing capacities. Imports, particularly those from China and Korea, are
less prevalent in this industry.
Competition from unorganized market participants is restricted to a few
products like switching devices and distribution boards due to low technology
intensity. For the larger part of the market, the LV switchgear industry is
comprised of organized participants. L&T is the market leader, with 22% share.
June 2016
39
 Motilal Oswal Financial Services
Capital Goods | Change is in the air
Exhibit 63: Region-wise breakup of switchgear sales in India
West, 11%
North, 34%
East , 26%
South , 29%
Source: Industry, MOSL
L&T, Schneider Electric and ABB are the key players, with presence across all
Consumer segments. Siemens has a strong presence in the Industrial (and Power
Utilities) segment, whereas companies like Havells, Legrand and Anchor have a
presence primarily in the Residential and Commercial segments.
Market players catering to the Industrial segment have expanded their product
portfolio to include Modular Switchgear Devices, increasing their reach to
capture the Residential market. Further, manufacturers of Wires & Cables
continue to enter the market for Modular Switchgear Devices.
Exhibit 65: 55% of the demand is generated from Retail
segment
Utilities, 17
Exhibit 64: MCB constitutes 23% share of the overall
Switchgear market
RCD, 4
DB, 8
Cos, 2
MPCB, 2
MCB, 23
SD, 6
Retail , 55
Industrial,
28
MCCB, 20
ACB, 15
C&R, 20
Source: Industry Report, MOSL
Source: Industry Report, MOSL
Exhibit 66: Industry to grow at 6% CAGR over FY15-19
Industry Revenue (INR b)
10.6
7.7
3.6
2.2
46
2012
47
2013
52
2014
56
2015
58
2016
61.5
65.3
70.2
6.2
7.5
Growth YoY (%)
Exhibit 67: Market share by player in the switchgear market
Indoasian, 4
C&S
Others, 5
electric, 4
HPL, 5
BCH
Electric, 2
Schneider,
18
Siemens, 11
Source: Industry Report, MOSL
L&T, 22
6.0
Havells, 9
Legrand, 10
ABB, 10
2017e 2018e 2019e
Source: Industry Report, MOSL
June 2016
40
 Motilal Oswal Financial Services
Capital Goods | Change is in the air
Key growth drivers for Switchgear industry
55% of LV Switchgear
demand comes from the
Retail segment (primarily
Residential and Commercial
projects).
Revival of Industrial segment:
Growth in the LV Switchgear segment depends
primarily on revival of the Industrial segment, which accounts for 28% of LV
Switchgear demand. Government initiatives to address issues plaguing Industry
and Infrastructure should benefit Manufacturing. Additionally, focus on
initiatives such as ‘Make in India’ is likely to further propel Manufacturing and
Industrial segment growth, whetting demand for LV Switchgear.
Growth in Residential segment:
55% of LV Switchgear demand comes from the
Retail segment (primarily Residential and Commercial projects). Over the last
few years demand from this segment has remained muted due to weak demand
for Residential and Commercial projects on weak economic activity. However,
recent initiatives – allowing 100% foreign investment in Real Estate, tax benefits
for foreign investors, focus on establishment of smart cities – should contribute
to higher growth in the Residential segment over the next decade. Further,
increasing urban population and growing household income are among the
major factors that influence demand for Residential Real Estate. Moreover,
increasing construction in tier-II and tier-III cities and increasing awareness
among end users for protective devices are expected to have a positive impact
on the LV Switchgear market over the medium to long term.
T&D reforms and augmentation of Power Generation capacity:
The
government is planning significant investment in Power Distribution to increase
access to reliable power supply and reduce AT&C losses through schemes such
as
Deendayal Upadhyaya Gram Jyoti Yojana
and
Restructured Accelerated
Power Development and Reform Program.
Modernization of the existing
network will also boost demand for LV Switchgear. Besides, additional
generation capacity will increase the requirement for evacuation devices for
additional power, driving demand for LV Switchgear.
Increased demand from Renewable Energy segment:
Government incentives,
favorable foreign investment policy and vast untapped potential will drive
Renewable Energy generation in India. The government plans an installed
capacity of 175GW for Renewable Energy by 2022, up from the current installed
base of 26GW. As a result, demand for LV Switchgear, especially for MCCB and
MCB products, is expected to increase significantly.
June 2016
41
 Motilal Oswal Financial Services
Capital Goods | Change is in the air
Wires & Cables – revival in the offing
Hardening of copper prices to buoy sales growth
FY16 industry sales hit by sharp decline in copper prices which offset the strong
volume growth
Growth to be driven by revival in demand from Real Estate segment
Wire and Cable sales to grow 8% CAGR in FY16-19e
The Electrical Wires & Cables market in India is estimated at INR200b (FY16), of
which Low Tension Wires & Cables constitute ~40% (INR80b). Unorganized and
regional market players account for ~30% of the Low Tension Electrical Wires &
Cables market.
The Retail segment – primarily Domestic Electrical Wires – is the major end user
segment, where building strong brands and distribution reach is essential. The
Retail segment primarily caters to electrical contractors and builders, who
execute electrical projects across Residential and Commercial segments.
Exhibit 68: Electrical Wires & Cables market at INR200b
LT cables , 40%
HT Cables, 60%
Source: MOSL, Company
Growth to be driven by revival in demand from Real Estate segment
Low Tension Electrical
Wires & Cables market to
grow at a CAGR of 5% and
reach INR100b by FY19.
We expect the Low Tension Electrical Wires & Cables market to grow at a CAGR
of 5% and reach INR100b by FY19.
The Low Tension Electrical Wires & Cables market in India is primarily driven by
growth of the end-user segments – Residential/Commercial Real Estate,
Industries, Utilities and Infrastructure.
The Low Tension Electrical Wires & Cables market has been witnessing subdued
growth over the last few years due to unfavorable market sentiment, muted
investments, and weak macroeconomic environment. These trends have
especially impacted the growth of Industry-driven Power Cables.
Though the Residential and Commercial segments have witnessed flat growth,
increased awareness for safety and reliability has prompted healthy demand for
Domestic Electrical Wires, especially Copper Wires.
To kickstart revival in capex activity, the government has initiated programs like
Make in India and Smart Cities, and is increasing infrastructure spending.
Growth is likely to be moderate in the next two years, post which it should
improve, with fresh investments and better macroeconomic performance.
June 2016
42
 Motilal Oswal Financial Services
Capital Goods | Change is in the air
Exhibit 69: Domestic Wires & Cables industry FY12-19 (INR m)
Domestic Wires and Cables
11%
63
5%
3%
FY12
FY13
FY14
FY15
0%
FY16
FY17e
FY18e
FY19e
65
72
11%
80
80
84
5%
88
5%
YoY Growth(%)
97
10%
Source: MOSL, Industry
Market share by players
The Wires & Cables market in India is quite concentrated, with ~71% of the
market with organized players. The top-5 players control ~61% of the market.
Polycab is the market leader in the Wires & Cables segment, with 24% market
share. Havells stands third, with 12% market share.
Exhibit 70: Polycab is the market leader, with 24% share
The Wires & Cables market
in India is quite
concentrated, with ~71% of
the market with organized
players. The top-5 players
control ~61% of the market.
Unorganised, 29
Polycab, 24
RR kabel, 5
Other organised,
10
KEI, 6
Finolex cables,
14
Havells, 12
Source: Industry Report,MOSL
Key drivers and triggers
Revival of Industrial segment:
The government’s focus on “Make in India” and
increasing “ease of doing business” is likely to propel Manufacturing / Industrial
growth.
Growth in Residential segment:
Real Estate plays an important role in the
Indian economy. With various reforms such as allowing 100% FDI, tax benefits
for foreign investors, smart cities, and Atal Mission for Rejuvenation and Urban
Transformation, the segment is likely to grow at ~30% over the next decade. The
revised National Electrical Code, which emphasizes use of certified Copper
Electric Wires, will ensure strong demand for Electrical Wires & Cables.
T&D reforms and augmentation of Power Generation capacity:
To provide
access to reliable power supply and to reduce technical and commercial losses,
the government intends to increase investments at the Distribution level
through schemes such as
Deendayal Upadhyaya Gram Jyoti Yojana
and
Restructured Accelerated Power Development and Reform Program.
In addition,
under the 13
th
Five-year Plan, the government intends to add ~100GW to meet
43
June 2016
 Motilal Oswal Financial Services
Capital Goods | Change is in the air
the ever-growing demand for power. This will require evacuation of power
through additional investment in T&D infrastructure.
Increased demand from Renewable Energy segment:
Power generation from
renewable sources is rising, with the share of Renewable Energy in India’s total
energy mix rising from 7.8% in FY08 to 12.3% in FY15. Government incentives,
favorable foreign investment policy, and vast untapped potential will drive
Renewable Energy generation in India over the next few years.
June 2016
44
 Motilal Oswal Financial Services
Capital Goods | Change is in the air
Consumer Appliances – new entrants aplenty
Distribution a challenge
Slew of new players have entered the home and kitchen appliances segment over last
few year
Building distribution network key challenge for new entrants
Low penetration to drive growth in coming years
Consumer appliances sales to grow 15% CAGR in FY16-19e
A clear trend in Consumer Appliances is increasing number of new entrants over
the past few years. These players intend to use their existing brand strength to
increase presence in this segment. Since most companies outsource
manufacturing to Chinese vendors, entering this category is relatively easy.
With no or little R&D requirement and low capital investment, Consumer
Appliances offers an attractive market for Light Electricals players.
Exhibit 71: Consumer Appliances market growth FY11-16
Consumer Appliances Sales(INRm)
50
10%
YoY (%)
55
10%
65
18%
65
41
45
10%
0%
FY11
FY12
FY13
FY14
FY15
FY16
Source: Company, MOSLe
Exhibit 72: Recently entered product categories by player
Company
Orient Electric
Finolex
Anchor
Eveready
Surya Roshni
V-Guard
Crompton Greaves
Havells
Luminous
Polycab
Core Product
Fans
Cables
Switches
Batteries
Lighting
Voltage Stabilizers, Inverters
Fans, Lighting, Pumps
Switchgear, Lighting, Fans
Invertors
Wires
New product categories
Consumer Appliances, Switchgear, Lighting
Lighting, Switches, Fans
Lighting, Switchgears, Fans, Wires and cable
Lighting, Consumer Appliances
Fans, Consumer Durables
Fans, Switchgears, Kitchen Appliances
Consumer Appliances, Air Cooler,
Consumer appliances, Coolers, Pumps
Fans, Switches, Lighting, Switchgears
Fans, Lighting, Switches
Source: MOSL, Industry, Company
Building distribution network key challenge for new entrants
For most companies that have recently entered the Consumer Appliances
business, the challenge is to develop the appliance network since their existing
electricals dealer network is not suited for the same.
June 2016
45
 Motilal Oswal Financial Services
Capital Goods | Change is in the air
Exhibit 73: Dealer-wise sale of products
Product category
Fans
Lighting
Switches
Pumps
Cable and Wires
Iron
Mixer/Grinder
Cookware
Water Heater
Electricals
Store
Y
Y
Y
N
Y
N
N
N
Y
Appliance
Store
Y
Y
N
Y
N
N
N
N
N
Multi Brand
retail
Y
Y
Y
N
N
Y
Y
Y
Y
E
Commerce
Y
Y
Y
Y
Y
Y
Y
Y
Source: MOSL, Industry
1. We estimate the industry would grow 15% CAGR over FY16-19e. Low
penetration rates compared to other product categories, rising disposable
income and focus on aesthetics would drive this growth.
Exhibit 74: Low penetration of home/kitchen appliances to drive growth
Description
Fans
Water Heaters
Mixer - Grinder
Induction cooktop
TV
Fridge
Air Cooler
Washing machine
Air Conditioner
% penetration
80%
10%
35%
<2-3%
77%
33%
8-10%
13%
3-4%
Source: MOSL, Industry
Competitive intensity is high – Bajaj the undisputed market leader
Bajaj Electricals is the clear market leader in Consumer Appliances. It has been
present in this market for over 75 years and has an extensive distribution reach.
We highlight that this is an extremely competitive market, with a large number
of players, both Indian and multi-national.
Exhibit 75: Market share of players in Consumer Appliances segment (%)
100%
75%
50%
25%
0%
FY12
FY13
FY14
FY15
FY16
CG
Orient
Bajaj
Havells
Murphy
Others
June 2016
46
 Motilal Oswal Financial Services
Capital Goods | Change is in the air
Exhibit 76: Company wise presences across electrical and kitchen appliances
Electric Appliances
Name of company
Havells
Crompton Greaves
Bajaj Electricals
Khaitan Electricals
Usha
Orient Electricals
Eveready
TTK Prestige
Philips
Panasonic
Inalsa
Sunflame
Fans
Y
Y
Y
Y
Y
Y
Y
Water Heaters
Y
Y
Y
Y
Y
Air Coolers
Y
Y
Y
Y
Y
Y
Irons
Y
Y
Y
Y
Y
Kitchen Appliances
Mixer Grinders
Y
Y
Y
Y
Y
Y
Y
Y
Y
Y
Y
Toasters
Y
Y
Y
Y
Y
Y
Y
Y
Y
Y
Y
Y
Y
Y
Y
Y
Y
Y
Y
Within water heaters (INR14-15b market), the market leader is Racold India with
a ~25% market share. Crompton, Havells and Bajaj Electricals have 10-11% share
in this market. With just 10% penetration in this category, there is immense
scope for growth of this segment over the coming years.
The Induction cooktop (INR15b market size), the market leader is TTK Prestige
followed by Bajaj Electricals.
June 2016
47
 Motilal Oswal Financial Services
Capital Goods | Change is in the air
Companies
BSE Sensex: 26,867
Companies
CG Electricals
S&P CNX: 8,239
June 2016
49
Havells India
53
June 2016
48
 Motilal Oswal Financial Services
CG Consumer Electricals
BSE SENSEX
26,867
S&P CNX
8,239
June 2016
Capital Goods | Change is in the air
Initiating Coverage
Sector:
Capital Goods
CMP: INR134
TP: INR165 (+23%)
Buy
Geared for growth
Set for strong innings over next few years
Stock Info
Bloomberg
Equity Shares (m)
52-Week Range (INR)
M.Cap. (INR b)
M.Cap. (USD b)
Avg Val ( INR m)
Free float (%)
CGCEL IN
626.8
150/126
84.0
1.2
429
65.6
With its experienced management team, strong product portfolio, established
brand and wide distribution network, we believe CROMPTON is well placed to
capture growth opportunities in the light electricals industry.
Strategy in place for sustainable growth in the core business portfolio and
penetrating into new business segments.
Quality growth with robust free cash flow generation of INR3-4b annually should
ensure valuation premium.
Financials Snapshot (INR b)
Y/E MAR
2016 2017E 2018E
Net Sales
18.1
41.2
47.3
EBITDA
2.1
4.7
5.8
Adj PAT
1.1
2.7
3.4
EPS (INR)
1.9
4.3
5.5
EPS Gr. (%)
(70.3) 123.9
29.1
BV/Sh. (INR)
3.6
5.9
8.7
RoE (%)
52.1
89.5
75.4
RoCE (%)
28.1
34.5
39.7
Payout (%)
-
40.0
40.0
Valuations
P/E (x)
70.5
31.5
24.4
P/BV (x)
36.7
22.9
15.4
EV/EBITDA (x)
42.8
18.9
14.9
Div Yield (%)
-
1.3
1.6
Shareholding pattern (%)
As On
Promoter
Public
Others
Stock Performance (1-year)
Crompton Gr. Con
Sensex Rebased
May-16
34.4
65.6
8.0
Well positioned to take advantage of upcoming opportunities:
The light
electricals industry is poised for robust double-digit growth over the coming few
years, and we believe that CROMPTON is well positioned to take advantage of
the upcoming opportunities. The company has an experienced management
team, a strong product portfolio (market leader in key product categories), an
established brand (leading Fan brand) and a wide distribution network
(150,000+ touch points). This, coupled with the new five-dimensional strategy
(developing a robust and wide product portfolio, creating brand excellence, an
effective go-to-market approach, and developing robust operational and
organizational excellence) devised by new management, should ensure higher-
than-industry growth for the company, in our view.
Strategy in place for sustainable growth in core business portfolio and
penetrating into new business segments:
CROMPTON aims to sustain and grow
the “core” segments of fans and pumps, while the lighting and appliances
segments should record disproportionate growth over the coming few years, in
our view. It’s strategy for the next few years, which aims at: a) sales growth to
be at levels higher than the industry by gaining market share, b) profit growth
to be in line or higher than sales growth and c) cash flow to be more than 100%
of profit. The new management team has been with the company for over six
months now, and the implementation of this strategy is already underway.
Quality growth with robust annual free cash flow generation of INR3.2/4.5b in
FY17/18:
According to management, CROMPTON’s intent is to generate cash
flow of at least 100% of profits. This strategy should ensure quality growth for
the company. We expect CROMPTON to record free cash flow generation of
INR3.2/4.5b annually for FY17/18E respectively, led by strong operational cash
flow generation of INR 3.5/4.8b in FY17/FY18E and muted capex requirement of
INR400-500m.
Initiating coverage with BUY:
Given the company’s strong product portfolio,
established brand, market leadership position, wide distribution network and
robust ROCE profile (35%/40% in FY17/18). We expect CROMPTON to register
earnings CAGR of 29% over FY17-18E. We initiate coverage on the stock with a
BUY rating, and value CROMPTON at 30x its FY18E EPS of INR5.5 at a target
price of INR165.
148
143
138
133
128
June 2016
49
 Motilal Oswal Financial Services
Capital Goods | Change is in the air
Operating Matrix
Exhibit 77: Operating martix
Description
Segmental Rev. (INR m)
Fans
Lighting
Pumps
Appliances
YoY Growth (%)
Fans
Lighting
Pumps
Appliances
Net Sales
Growth (%)
RM Costs (%)
Contribution Margins (%)
EBITDA margin (%)
Net Working Capital (Days)
Net Cash / (Debt), INR M
FY12
9,122
6,667
5,019
1,211
0%
17%
-4%
0%
22,018
10%
FY13
11,138
7,689
5,869
2,120
22%
15%
17%
75%
26,816
22%
FY14
12,848
9,010
5,790
1,817
15%
17%
-1%
-14%
29,465
10%
FY15
14,782
9,836
6,585
2,010
15%
9%
14%
11%
32,327
10%
FY16
16,112
10,525
7,112
2,171
9%
7%
8%
10%
18,117
-44%
70.1%
29.9%
11.6%
FY17E
18,529
12,103
7,965
2,605
15%
15%
12%
20%
41,203
15%
69.7%
30.3%
11.3%
FY18E
21,309
13,919
8,921
3,126
15%
15%
12%
20%
47,274
15%
69.5%
30.5%
12.2%
FY19E
24,505
16,006
9,992
3,751
15%
15%
12%
20%
54,254
15%
69.5%
30.5%
12.6%
100.0% 100.0% 100.0% 100.0%
12.3% 10.7% 11.8% 12.8%
0.0
-
0.0
-
81.0
-
0.0
-7.5
-7.5
-11.5
-11.5
- (5,600) (4,269) (1,987)
(212)
E: MOSL Estimates
June 2016
50
 Motilal Oswal Financial Services
Capital Goods | Change is in the air
Financials and Valuations
Income Statement
Y/E March
Total Revenues
Change (%)
Raw Materials
Staff Cost
Other Expenses
EBITDA
% of Total Revenues
Depreciation
Other Income
Interest
PBT
Tax
Rate (%)
Adjusted PAT
Extra-ordinary Income (net)
Reported PAT
Change (%)
Adj. Consolidated PAT
Change (%)
FY16
18,117
-
12,702
1,005
2,315
2,095
11.6
63
2
318
1,716
525
30.6
1,191
-139
1,052
-96.7
1,052
-96.7
FY17E
41,203
127.4
28,724
2,432
5,377
4,670
11.3
136
19
630
3,923
1,255
32.0
2,668
0
2,668
153.6
2,668
153.6
FY18E
47,274
14.7
32,862
2,727
5,897
5,788
12.2
149
25
525
5,140
1,696
33.0
3,444
0
3,444
29.1
3,444
29.1
(INR Million)
FY19E
54,254
14.8
37,714
3,190
6,516
6,834
12.6
167
51
420
6,299
2,079
33.0
4,220
0
4,220
22.5
4,220
22.5
Balance Sheet
Y/E March
Share Capital
Reserves
Net Worth
Loans
Deferred Tax Liability
Capital Employed
Gross Fixed Assets
Less: Depreciation
Net Fixed Assets
Capital WIP
Goodwill
Curr. Assets
Inventory
Debtors
Cash & Bank Balance
Loans & Advances
Other Assets
Current Liab. & Prov.
Current Liabilities
Provisions
Net Current Assets
Application of Funds
E: MOSL Estimates
FY16
1,254
1,034
2,287
6,500
-43
8,744
2,030
1,244
787
0
7,794
7,907
2,100
4,165
900
734
7
7,742
7,317
425
164
8,745
FY17E
1,254
2,421
3,674
5,500
-43
9,131
2,330
1,380
951
0
7,794
9,280
2,412
4,784
1,231
844
8
8,894
8,405
488
386
9,131
FY18E
1,254
4,211
5,465
4,500
-43
9,922
2,630
1,528
1,102
0
7,794
11,230
2,767
4,971
2,514
968
9
10,204
9,644
560
1,026
9,922
(INR Million)
FY19E
1,254
5,900
7,153
3,500
-43
10,610
2,930
1,695
1,235
0
7,794
13,291
3,176
5,705
3,288
1,111
11
11,711
11,068
643
1,580
10,610
June 2016
51
 Motilal Oswal Financial Services
Capital Goods | Change is in the air
Financials and Valuations
Ratios
Y/E March
Basic (INR)
Adj EPS
Cash EPS
Book Value
DPS
Payout (incl. Div. Tax.)
Valuation (x)
P/E
Cash P/E
EV/EBITDA
EV/Sales
Price/Book Value
Dividend Yield (%)
Profitability Ratios (%)
RoE
RoCE
Turnover Ratios
Debtors (Days)
Inventory (Days)
Creditors. (Days)
Asset Turnover (x)
Leverage Ratio
Debt/Equity (x)
FY16
1.9
2.0
3.6
0.0
0.0
FY17E
4.3
4.5
5.9
1.7
40.0
FY18E
5.5
5.7
8.7
2.2
40.0
(INR Million)
FY19E
6.7
7.0
11.4
3.4
50.0
70.5
67.0
42.8
4.9
36.7
-
31.5
30.0
18.9
2.1
22.9
1.3
24.4
23.4
14.9
1.8
15.4
1.6
19.9
19.1
12.3
1.6
11.7
2.5
52.1
28.1
89.5
34.5
75.4
39.7
66.9
43.7
42
21
68
2.1
42
21
68
4.5
38
21
68
4.8
38
21
68
5.1
2.8
1.5
0.8
0.5
Cash Flow Statement
Y/E March
PBT before EO Items
Depreciation
Interest
Direct Taxes Paid
(Inc)/Dec in WC
CF from Operations
EO Income
CF from Oper. Incl. EO Items
(Inc)/Dec in FA
Free Cash Flow
Investment & Others
CF from Investments
(Inc)/Dec in Networth
(Inc)/Dec in Debt
Interest Paid
Dividend Paid
Others
CF from Fin. Activity
Inc/Dec of Cash
Add: Beginning Balance
Closing Balance
E: MOSL Estimates
FY16
1,716
63
318
-525
(229)
1,342
0
1,342
(1)
1,342
0
-1
(18)
-316
-318
0
210
(442)
900
1
900
FY17E
3,923
136
630
-1,255
108
3,542
0
3,542
(300)
3,242
0
-300
0
-1,000
-630
-1,280
(2,910)
331
900
1,231
FY18E
5,140
149
525
-1,696
643
4,760
0
4,760
(300)
4,460
0
-300
0
-1,000
-525
-1,653
(3,178)
1,282
1,231
2,514
(INR Million)
FY19E
6,299
167
420
-2,079
220
5,027
0
5,027
(300)
4,727
0
-300
0
-1,000
-420
-2,532
(3,952)
775
2,514
3,288
June 2016
52
 Motilal Oswal Financial Services
Havells India
BSE SENSEX
26,867
S&P CNX
8,239
Capital Goods | Change is in the air
Update
| Sector:
Capital Goods
June 2016
CMP: INR365
TP: INR425 (+17%)
Buy
Future-ready
Consistent introduction of booster products to drive growth
Stock Info
Bloomberg
Equity Shares (m)
M.Cap. (INR b)/(USD b)
52-Week Range (INR)
1, 6, 12 Rel. Per (%)
Avg Val (INR m)
Free float (%)
HAVL IN
623.9
224.6/3.3
378/233
-7/15/29
443
38.4
Consistently launching new products at regular intervals:
Over the last few years,
HAVL has consistently added new segments / product lines, which have become
~INR5b revenue categories. Its new product portfolios (i) Appliances (FY15;
INR2b), (ii)
Reo
(INR1b), (iii) Pumps (INR0.2b), and (iv) Air Coolers have the
potential to generate annual revenue of INR5b+. Consistent introduction of
booster categories would support long-term growth. New launches are likely to
contribute INR10b in three years. Standard revenue would expand from INR2b in
FY15 to INR10b in FY20 and Promtech revenue from INR350m to INR2.5b.
Expanding channel reach, cementing relationships with dealers:
HAVL is India’s
number-1 Consumer brand, but does not dominate any business segment (except
MCBs). It is attempting to capture an increasing pie of dealers’ sales through
product diversification, brand extensions, and product innovation. ‘Sampark 2015’
is an engagement program with retailers, which also aims at providing market
intelligence. ‘Sampark Plus’ is a program to connect with 150k electricians for
servicing. HAVL is pursuing the shop-in-shop concept, where host retailers
designate a separate space to the
Havells
brand. With the launch of
Reo
switches,
HAVL is expanding its distribution network to tier-2/3 towns, which it intends to
leverage for most products.
Galaxy
stores contribute ~INR8.5b to revenue (20%+
of Consumer sales), and HAVL has ramped up from 270 outlets to 375 outlets in
FY16.
Reinforcing premium positioning to address ‘lifestyle’ changes:
HAVL has
attempted to remain at the forefront of the evolution led by the lifestyle changes
of the Indian consumer, whose aspirations and demands have shifted from basic
electrical products to more evolved lifestyle products. In Automation Solutions,
HAVL is working on adopting several innovations, including among others (a)
Bluetooth-enabled Switches, Fans and Home Appliances, (b) Home Automation
Solutions, (c) Smart Street Lights, and (d) Automatic Transfer Switches. HAVL has
also introduced a mobile application, ‘M-Connect’ with an augmented reality
feature that enables customers to visualize products at the place of installation. Its
premium positioning reflects in its higher share in the Premium and Super-
premium categories. While its market share in the overall Fans segment is 15%, its
share in Premium/Super-premium Fans is 23-27%.
Valuation and view:
We maintain
Buy,
with a price target of INR425 (33x FY18E
EPS of INR12.9). We believe that the premium valuations are justified, given (i) its
demonstrated track record of accelerating growth through new launches, (ii)
robust dividend payout, and (iii) impressive consolidated return ratios.
Financials Snapshot (INR b)
Y/E MAR
2016 2017E 2018E
Net Sales
77.1
63.3
74.5
EBITDA
8.0
9.0
11.3
Adj PAT
4.8
6.5
8.0
Adj EPS (INR)
7.7
10.4
12.9
EPS Gr. (%)
-6.6
34.9
23.7
BV/Sh(INR)
41.0
45.5
51.4
RoE (%)
18.8
22.9
25.1
RoCE (%)
20.4
22.8
25.9
P/E (x)
47.3
35.0
28.3
P/BV (x)
8.9
8.0
7.1
Shareholding pattern (%)
As On
Promoter
Public
Public
Others
Mar-16 Dec-15 May-16
61.6
4.2
25.6
8.6
61.6
4.1
25.1
9.1
61.6
2.6
26.0
9.8
Stock Performance (1-year)
Havells India
Sensex - Rebased
400
350
300
250
200
June 2016
53
 Motilal Oswal Financial Services
Capital Goods | Change is in the air
Havells: Operating metrics
INR M
Havells Standalone
Revenues
Swtichgear
Cables and wire
Consumer Durables
Lighting and Fixtures
Others
Total
Revenue Growth (% YoY)
Swtichgear
Cables and wire
Consumer Durables
Lighting and Fixtures
Total
EBIT Margin (%)
Swtichgear
Cables and wire
Consumer Durables
Lighting and Fixtures
Standalone EBIT (%)
Consolidated EPS (INR/sh)
Standalone
Sylvania
Total
FY14
FY15
FY16
FY17E
FY18E
FY19E
12,192
19,264
8,534
7,207
-
47,197
13.1
13.8
8.1
8.3
11.7
36.5
11.0
27.0
24.8
13.1
8.2
0.5
8.7
12,790
21,904
10,283
7,410
-
52,387
4.9
13.7
20.5
2.8
11.0
36.5
12.1
25.1
26.6
12.5
7.7
0.5
8.3
12,861
22,081
11,411
8,017
-
54,369
0.6
0.8
11.0
8.2
3.8
39.2
14.2
25.2
24.1
13.2
8.2
-0.5
7.7
14,147
24,730
13,922
9,019
-
61,818
10.0
12.0
22.0
12.5
13.7
37.3
12.8
26.0
27.0
14.6
16,976
28,687
16,706
10,642
-
73,012
20.0
16.0
20.0
18.0
18.1
37.5
12.8
26.0
27.5
15.7
20,372
33,277
20,047
12,558
-
86,254
20.0
16.0
20.0
18.0
18.1
37.5
12.8
26.0
27.5
15.8
10.5
12.9
15.3
0.0
0.0
0.0
10.4
12.9
15.2
Source: Company, MOSL
June 2016
54
 Motilal Oswal Financial Services
Capital Goods | Change is in the air
Financials and valuations
Income Statement (Consolidated)
Y/E March
Net Sales
Change (%)
Raw Materials
Staff Cost
Other Expenses
EBITDA
% of Net Sales
Depreciation
Interest
Other Income
PBT
Tax
Rate (%)
Extra-ordinary Inc.(net)
Reported PAT
Change (%)
Adjusted PAT
Change (%)
2013
72,478
11.2
41,628
9,054
15,051
6,745
9.3
1,097
1,232
279
4,695
824
17.5
1,944
5,816
57.2
4,290
0.9
2014
81,858
12.9
46,398
10,869
17,167
7,425
9.1
1,155
741
413
5,941
1,478
24.9
0
4,463
-23.3
5,410
26.1
2015
85,694
4.7
48,292
11,875
18,316
7,211
8.4
1,387
640
504
5,689
1,836
32.3
0
3,853
-13.7
5,159
-4.6
2016
77,142
-10.0
43,832
8,595
16,713
8,002
10.4
1,267
449
863
7,149
2,300
32.2
7,240
12,089
213.7
4,821
-6.6
2017E
63,298
-17.9
37,272
4,565
12,414
9,047
14.3
1,231
50
1,147
8,914
2,490
27.9
0
6,504
-46.2
6,504
34.9
(INR Million)
2018E
74,492
17.7
44,241
4,721
14,190
11,339
15.2
1,340
25
1,400
11,374
3,408
30.0
0
8,046
23.7
8,046
23.7
2019E
87,734
17.8
52,120
5,516
16,491
13,607
15.5
1,411
25
1,400
13,571
4,067
30.0
0
9,504
18.1
9,504
18.1
Balance Sheet (Consolidated)
Y/E March
Share Capital
Reserves
Net Worth
Loans
Deffered Tax Liability
Minority Interest
Capital Employed
Gross Fixed Assets
Less: Depreciation
Net Fixed Assets
Capital WIP
Goodwill
Curr. Assets
Inventory
Debtors
Cash & Bank Balance
Loans & Advances
Other Current Assets
Current Liab. & Prov.
Creditors
Other Liabilities
Provisions
Net Current Assets
Misc. Expenses
Application of Funds
E: MOSL Estimates
June 2016
2013
624
13,797
14,420
9,785
480
1
25,102
30,054
18,503
11,551
249
3,694
29,468
13,184
8,623
4,736
2,052
874
19,860
9,026
8,761
2,073
9,608
0
25,102
2014
624
16,036
16,660
10,506
517
1
27,687
32,075
20,451
11,624
444
4,380
36,929
14,934
10,005
8,819
2,114
1,057
25,690
9,988
12,684
3,018
11,239
0
27,687
2015
622
17,557
18,180
4,191
434
1
22,808
30,298
18,469
11,829
383
3,581
32,519
13,663
6,232
7,775
1,723
3,127
25,504
8,338
13,645
3,521
7,015
0
22,808
2016
625
24,954
25,579
1,297
744
84
27,704
28,272
17,486
10,786
214
204
27,636
8,371
2,594
14,652
1,656
363
13,710
5,203
4,277
4,230
13,926
0
27,704
2017E
625
27,805
28,430
500
0
84
29,014
19,341
7,053
12,288
316
204
31,025
8,438
1,965
17,688
1,798
1,137
14,818
5,094
5,116
4,609
16,206
0
29,014
(INR Million)
2018E
625
31,468
32,092
500
0
84
32,677
20,341
8,393
11,948
372
204
37,351
9,310
2,285
22,589
1,940
1,227
17,198
6,183
5,572
5,444
20,153
0
32,677
2019E
625
36,588
37,213
500
0
84
37,797
21,341
9,804
11,536
439
204
44,595
10,942
2,664
27,571
2,097
1,321
18,977
7,272
6,038
5,668
25,618
0
37,797
55
 Motilal Oswal Financial Services
Capital Goods | Change is in the air
Financials and valuations
Ratios
Y/E March
Basic (INR)
Adjusted EPS
Growth (%)
Cash EPS
Book Value
DPS
Payout (incl. Div. Tax.)
Valuation (x)
P/Sales
P/E (standalone)
P/E (consolidated)
Cash P/E
EV/EBITDA
EV/Sales
Price/Book Value
Dividend Yield (%)
Profitability Ratios (%)
RoE
RoCE
RoIC
Turnover Ratios
Debtors (Days)
Inventory (Days)
Creditors. (Days)
Asset Turnover (x)
Leverage Ratio
Debt/Equity (x)
2013
9.3
6.9
0.9
8.6
23.1
1.5
28.3
3.1
53.1
53.1
42.3
11.8
1.1
15.8
0.4
29.7
21.9
31.8
43
66
45
2.9
0.7
2014
7.2
8.7
26.1
10.5
26.7
3.0
49.1
2.8
42.1
42.1
34.7
12.4
1.1
13.7
0.8
32.5
19.2
31.3
45
67
45
3.0
0.6
2015
6.2
8.3
-4.7
10.5
29.1
2.9
57.6
2.7
44.2
44.2
34.8
21.6
1.8
12.5
0.8
28.4
17.0
31.4
27
58
36
3.8
0.2
2016
19.4
7.7
-6.6
9.7
41.0
4.0
60.3
3.0
47.3
47.3
37.4
26.5
2.7
8.9
1.1
18.8
20.4
43.3
12
40
25
2.8
0.1
2017E
10.4
10.4
34.9
12.4
45.5
5.0
56.2
3.6
35.0
35.0
29.5
23.3
3.3
8.0
1.4
22.9
22.8
54.0
11
49
29
2.2
0.0
2018E
12.9
12.9
23.7
15.0
51.4
6.0
54.5
3.1
28.3
28.3
24.3
18.2
2.8
7.1
1.6
25.1
25.9
68.9
11
46
30
2.3
0.0
2019E
15.2
15.2
18.1
17.5
59.6
6.0
46.1
1.3
24.0
24.0
20.9
14.8
2.3
6.1
1.6
25.5
27.0
89.5
11
46
30
2.3
0.0
Cash Flow Statement
Y/E March
PBT before EO Items
Add : Depreciation
Interest
Less : Direct Taxes Paid
(Inc)/Dec in WC
CF from Operations
EO Income
CF from Oper. incl. EO Items
(Inc)/Dec in FA
Free Cash Flow
(Pur)/Sale of Investments
CF from Investments
(Inc)/Dec in Net Worth
(Inc)/Dec in Debt
Less : Interest Paid
Dividend Paid
CF from Fin. Activity
Inc/Dec of Cash
Add: Beginning Balance
Closing Balance
E: MOSL Estimates
2013
4,695
1,097
1,644
824
-1,868
4,744
1,944
6,688
-1,950
4,738
0
-2,020
67
-10
1,232
1,095
-2,270
2,399
2,336
4,735
2014
5,941
1,155
741
1,891
2,453
8,399
0
8,399
-1,424
6,975
0
-2,109
3
722
741
2,190
-2,206
4,084
4,736
8,820
2015
5,689
1,387
639
1,836
3,180
9,058
0
9,058
-1,531
7,528
0
-732
-198
-6,315
640
2,219
-9,372
-1,045
8,819
7,774
2016
7,148
1,267
447
2,300
-33
6,530
7,240
13,770
-54
13,716
-2,575
748
-1,458
-2,895
365
2,922
-7,640
6,878
7,775
14,653
2017E
8,914
1,231
130
2,490
755
8,540
0
8,540
-2,836
5,704
2,575
-261
-744
-797
50
3,653
-5,243
3,036
14,652
17,688
(INR Million)
2018E
11,374
1,340
105
3,408
955
10,366
0
10,366
-1,056
9,310
0
-1,056
0
0
25
4,383
-4,408
4,901
17,688
22,589
2019E
13,571
1,411
25
4,067
-484
10,456
0
10,456
-1,066
9,390
0
-1,066
0
0
25
4,383
-4,408
4,981
22,589
27,571
June 2016
56
 Motilal Oswal Financial Services
THEMATIC GALLERY
SECTOR UPDATES
SECTOR UPDATES
SECTOR UPDATES
 Motilal Oswal Financial Services
Disclosures
This document has been prepared by Motilal Oswal Securities Limited (hereinafter referred to as Most) to provide information about the company (ies) and/sector(s), if any,
Capital Goods
and may be distributed by it and/or its
covered in the report
| Change is in the air
affiliated company(ies). This report is for personal information of the selected recipient/s and does not construe to be any investment, legal or taxation advice to you. This research report does not constitute an offer, invitation or
inducement to invest in securities or other investments and Motilal Oswal Securities Limited (hereinafter referred as MOSt) is not soliciting any action based upon it. This report is not for public distribution and has been furnished to
you solely for your general information and should not be reproduced or redistributed to any other person in any form. This report does not constitute a personal recommendation or take into account the particular investment
objectives, financial situations, or needs of individual clients. Before acting on any advice or recommendation in this material, investors should consider whether it is suitable for their particular circumstances and, if necessary, seek
professional advice. The price and value of the investments referred to in this material and the income from them may go down as well as up, and investors may realize losses on any investments. Past performance is not a guide for
future performance, future returns are not guaranteed and a loss of original capital may occur.
MOSt and its affiliates are a full-service, integrated investment banking, investment management, brokerage and financing group. We and our affiliates have investment banking and other business relationships with a some
companies covered by our Research Department. Our research professionals may provide input into our investment banking and other business selection processes. Investors should assume that MOSt and/or its affiliates are
seeking or will seek investment banking or other business from the company or companies that are the subject of this material and that the research professionals who were involved in preparing this material may educate investors
on investments in such business . The research professionals responsible for the preparation of this document may interact with trading desk personnel, sales personnel and other parties for the purpose of gathering, applying and
interpreting information. Our research professionals are paid on twin parameters of performance & profitability of MOSt.
MOSt generally prohibits its analysts, persons reporting to analysts, and members of their households from maintaining a financial interest in the securities or derivatives of any companies that the analysts cover. Additionally, MOSt
generally prohibits its analysts and persons reporting to analysts from serving as an officer, director, or advisory board member of any companies that the analysts cover. Our salespeople, traders, and other professionals or affiliates
may provide oral or written market commentary or trading strategies to our clients that reflect opinions that are contrary to the opinions expressed herein, and our proprietary trading and investing businesses may make investment
decisions that are inconsistent with the recommendations expressed herein. In reviewing these materials, you should be aware that any or all of the foregoing among other things, may give rise to real or potential conflicts of interest.
MOSt and its affiliated company(ies), their directors and employees and their relatives may; (a) from time to time, have a long or short position in, act as principal in, and buy or sell the securities or derivatives thereof of companies
mentioned herein. (b) be engaged in any other transaction involving such securities and earn brokerage or other compensation or act as a market maker in the financial instruments of the company(ies) discussed herein or act as an
advisor or lender/borrower to such company(ies) or may have any other potential conflict of interests with respect to any recommendation and other related information and opinions.; however the same shall have no bearing
whatsoever on the specific recommendations made by the analyst(s), as the recommendations made by the analyst(s) are completely independent of the views of the affiliates of MOSt even though there might exist an inherent
conflict of interest in some of the stocks mentioned in the research report Reports based on technical and derivative analysis center on studying charts company's price movement, outstanding positions and trading volume, as
opposed to focusing on a company's fundamentals and, as such, may not match with a report on a company's fundamental analysis. In addition MOST has different business segments / Divisions with independent research
separated by Chinese walls catering to different set of customers having various objectives, risk profiles, investment horizon, etc, and therefore may at times have different contrary views on stocks sectors and markets.
Unauthorized disclosure, use, dissemination or copying (either whole or partial) of this information, is prohibited. The person accessing this information specifically agrees to exempt MOSt or any of its affiliates or employees from,
any and all responsibility/liability arising from such misuse and agrees not to hold MOSt or any of its affiliates or employees responsible for any such misuse and further agrees to hold MOSt or any of its affiliates or employees free
and harmless from all losses, costs, damages, expenses that may be suffered by the person accessing this information due to any errors and delays. The information contained herein is based on publicly available data or other
sources believed to be reliable. Any statements contained in this report attributed to a third party represent MOSt’s interpretation of the data, information and/or opinions provided by that third party either publicly or through a
subscription service, and such use and interpretation have not been reviewed by the third party. This Report is not intended to be a complete statement or summary of the securities, markets or developments referred to in the
document. While we would endeavor to update the information herein on reasonable basis, MOSt and/or its affiliates are under no obligation to update the information. Also there may be regulatory, compliance, or other reasons that
may prevent MOSt and/or its affiliates from doing so. MOSt or any of its affiliates or employees shall not be in any way responsible and liable for any loss or damage that may arise to any person from any inadvertent error in the
information contained in this report. MOSt or any of its affiliates or employees do not provide, at any time, any express or implied warranty of any kind, regarding any matter pertaining to this report, including without limitation the
implied warranties of merchantability, fitness for a particular purpose, and non-infringement. The recipients of this report should rely on their own investigations.
This report is intended for distribution to institutional investors. Recipients who are not institutional investors should seek advice of their independent financial advisor prior to taking any investment decision based on this report or for
any necessary explanation of its contents.
Most and it’s associates may have managed or co-managed public offering of securities, may have received compensation for investment banking or merchant banking or brokerage services, may have received any compensation
for products or services other than investment banking or merchant banking or brokerage services from the subject company in the past 12 months.
Most and it’s associates have not received any compensation or other benefits from the subject company or third party in connection with the research report.
Subject Company may have been a client of Most or its associates during twelve months preceding the date of distribution of the research report
MOSt and/or its affiliates and/or employees may have interests/positions, financial or otherwise of over 1 % at the end of the month immediately preceding the date of publication of the research in the securities mentioned in this
report. To enhance transparency, MOSt has incorporated a Disclosure of Interest Statement in this document. This should, however, not be treated as endorsement of the views expressed in the report.
Motilal Oswal Securities Limited is registered as a Research Analyst under SEBI (Research Analyst) Regulations, 2014. SEBI Reg. No. INH000000412
Pending Regulatory inspections against Motilal Oswal Securities Limited:
SEBI pursuant to a complaint from client Shri C.R. Mohanraj alleging unauthorized trading, issued a letter dated 29th April 2014 to MOSL notifying appointment of an Adjudicating Officer as per SEBI regulations to hold inquiry and
adjudge violation of SEBI Regulations; MOSL replied to the Show Cause Notice whereby SEBI granted us an opportunity of Inspection of Documents. Since all the documents requested by us were not covered we have requested to
SEBI vide our letter dated June 23, 2015 to provide pending list of documents for inspection.
List of associate companies of Motilal Oswal Securities Limited -Click
here to access detailed report
Analyst Certification
The views expressed in this research report accurately reflect the personal views of the analyst(s) about the subject securities or issues, and no part of the compensation of the research analyst(s) was, is, or will be directly or
indirectly related to the specific recommendations and views expressed by research analyst(s) in this report. The research analysts, strategists, or research associates principally responsible for preparation of MOSt research receive
compensation based upon various factors, including quality of research, investor client feedback, stock picking, competitive factors and firm revenues
Disclosure of Interest Statement
Analyst ownership of the stock
Served as an officer, director or employee
Companies where there is interest LTD
No
No
A graph of daily closing prices of securities is available at www.nseindia.com and http://economictimes.indiatimes.com/markets/stocks/stock-quotes
Regional Disclosures (outside India)
This report is not directed or intended for distribution to or use by any person or entity resident in a state, country or any jurisdiction, where such distribution, publication, availability or use would be contrary to law, regulation or which
would subject MOSt & its group companies to registration or licensing requirements within such jurisdictions.
For Hong Kong:
This report is distributed in Hong Kong by Motilal Oswal capital Markets (Hong Kong) Private Limited, a licensed corporation (CE AYY-301) licensed and regulated by the Hong Kong Securities and Futures
Commission (SFC) pursuant to the Securities and Futures Ordinance (Chapter 571 of the Laws of Hong Kong) “SFO”. As per SEBI (Research Analyst Regulations) 2014 Motilal Oswal Securities (SEBI Reg No. INH000000412) has
an agreement with Motilal Oswal capital Markets (Hong Kong) Private Limited for distribution of research report in Kong Kong. This report is intended for distribution only to “Professional Investors” as defined in Part I of Schedule 1 to
SFO. Any investment or investment activity to which this document relates is only available to professional investor and will be engaged only with professional investors.” Nothing here is an offer or solicitation of these securities,
products and services in any jurisdiction where their offer or sale is not qualified or exempt from registration. The Indian Analyst(s) who compile this report is/are not located in Hong Kong & are not conducting Research Analysis in
Hong Kong.
For U.S
Motilal Oswal Securities Limited (MOSL) is not a registered broker - dealer under the U.S. Securities Exchange Act of 1934, as amended (the"1934 act") and under applicable state laws in the United States. In addition MOSL is not a
registered investment adviser under the U.S. Investment Advisers Act of 1940, as amended (the "Advisers Act" and together with the 1934 Act, the "Acts), and under applicable state laws in the United States. Accordingly, in the
absence of specific exemption under the Acts, any brokerage and investment services provided by MOSL, including the products and services described herein are not available to or intended for U.S. persons.
This report is intended for distribution only to "Major Institutional Investors" as defined by Rule 15a-6(b)(4) of the Exchange Act and interpretations thereof by SEC (henceforth referred to as "major institutional investors"). This
document must not be acted on or relied on by persons who are not major institutional investors. Any investment or investment activity to which this document relates is only available to major institutional investors and will be
engaged in only with major institutional investors. In reliance on the exemption from registration provided by Rule 15a-6 of the U.S. Securities Exchange Act of 1934, as amended (the "Exchange Act") and interpretations thereof by
the U.S. Securities and Exchange Commission ("SEC") in order to conduct business with Institutional Investors based in the U.S., MOSL has entered into a chaperoning agreement with a U.S. registered broker-dealer, Motilal Oswal
Securities International Private Limited. ("MOSIPL"). Any business interaction pursuant to this report will have to be executed within the provisions of this chaperoning agreement.
The Research Analysts contributing to the report may not be registered /qualified as research analyst with FINRA. Such research analyst may not be associated persons of the U.S. registered broker-dealer, MOSIPL, and therefore,
may not be subject to NASD rule 2711 and NYSE Rule 472 restrictions on communication with a subject company, public appearances and trading securities held by a research analyst account.
For Singapore
Motilal Oswal Capital Markets Singapore Pte Limited is acting as an exempt financial advisor under section 23(1)(f) of the Financial Advisers Act(FAA) read with regulation 17(1)(d) of the Financial Advisors Regulations and is a
subsidiary of Motilal Oswal Securities Limited in India. This research is distributed in Singapore by Motilal Oswal Capital Markets Singapore Pte Limited and it is only directed in Singapore to accredited investors, as defined in the
Financial Advisers Regulations and the Securities and Futures Act (Chapter 289), as amended from time to time.
In respect of any matter arising from or in connection with the research you could contact the following representatives of Motilal Oswal Capital Markets Singapore Pte Limited:
Varun Kumar
Varun.kumar@motilaloswal.com
Contact : (+65) 68189232
Office Address:21 (Suite 31),16 Collyer Quay,Singapore 04931
Kadambari Balachandran
kadambari.balachandran@motilaloswal.com
(+65) 68189233 / 65249115
June 2016
Motilal Oswal Tower, Level 9, Sayani Road, Prabhadevi, Mumbai 400 025
Phone: +91 22 3982 5500 E-mail: reports@motilaloswal.com
Motilal Oswal Securities Ltd
58