Initiating Coverage |
4
July 2016
Sector: Technology
Zensar Technologies
Enabling Digital Transformation
Sagar Lele
(Sagar.Lele@MotilalOswal.com); +91 22 3982 5585
Ashish Chopra
(Ashish.Chopra@MotilalOswal.com); +91 22 3982 5424
Investors are advised to refer through important disclosures made at the last page of the Research Report.
Motilal Oswal research is available on www.motilaloswal.com/Institutional-Equities, Bloomberg, Thomson Reuters, Factset and S&P Capital.

Zensar Technologies
Zensar Technologies: Enabling Digital Transformation
Summary ............................................................................................................. 3
Story in charts ...................................................................................................... 5
Story in charts ...................................................................................................... 6
Shift in business model to Digital .......................................................................... 9
Restructuring well in progress............................................................................. 15
Execution of new strategy underway .................................................................. 17
Expect revival in performance............................................................................. 19
Initiating coverage with a Buy; TP of INR1,300..................................................... 23
Company description .......................................................................................... 28
Key management personnel ............................................................................... 29
Key risks ............................................................................................................. 31
Financials and Valuations ................................................................................... 32
4 July 2016
2

Zensar Technologies
BSE Sensex
27,145
S&P CNX
8,328
Zensar Technologies
Initiating Coverage | Sector: Technology
CMP: INR979
TP: INR1,300 (+35%)
Buy
Enabling Digital Transformation
Stock Info
Bloomberg
Equity Shares (m)
52-Week Range (INR)
1, 6, 12 Rel. Per (%)
M.Cap. (INR b)
M.Cap. (USD b)
Avg Val, INRm
Vol m
Free float (%)
ZENT IN
44.6
1,120/650
1/-14/49
44.4
0.7
76.7
0.1
52.2
Dual force of Digital prowess and IMS/Cloud expertise
Financial Snapshot (INR b)
Y/E Mar
2016 2017E 2018E
Net Sales
29.6 31.4 36.2
EBITDA
4.3
4.8
6.1
PAT
3.1
3.5
4.5
EPS (INR)
68.2 77.6 98.2
Gr. (%)
17.0 13.7 26.6
BV/Sh (INR)
314.4 373.8 448.3
RoE (%)
24.0 22.5 23.9
RoCE (%)
28.5 27.2 28.9
P /E (x)
14.4 12.2
9.7
P / BV (x)
3.1
2.5
2.1
Shareholding pattern (%)
As On
Mar-16 Dec-15
Promoter
47.8
47.9
DII
0.5
10.2
FII
14.1
4.5
Others
37.5
37.5
FII Includes depository receipts
Mar-15
47.7
0.5
13.0
38.8
Zensar (ZENT) is a technology services provider with a portfolio spread across
traditional to transformational solutions: Applications, Infrastructure, Digital and
Industry-specific solutions. It is part of the USD3b RPG Enterprises and USD40b
APAX portfolio of companies. ZENT has core strengths in Oracle implementations,
eCommerce enablement and IMS & Cloud.
Digital forms 27% of ZENT's revenues (v/s 10-15% for peers), with a prime focus
on Oracle ATG (a leading eCommerce enabling software product). YoY growth in
all areas of Digital was in the range of 21-37% YoY in FY16, which offers potential
for above-industry growth going forward.
Pruning of non-core businesses has weighed on growth over the past few years,
leading to organic revenue decline of 1.7% in FY14, growth of 4.2% in FY15 and a
fall of 0.7% in FY16. Restructuring efforts are nearing completion, with ROW
exposure down from 10% in FY13 to 5% in FY16, IMS maintenance revenue down
from 15% in FY13 to 8% in FY16, and a cap on product revenue.
The company has hired a new CEO, Sandeep Kishore (ex. Corporate VP and Global
Head of Life Sciences & Healthcare and Public Services at HCLT) and has since
made substantial progress in the implementation of its new strategy, which
narrows company’s focus on (1) Digital, (2) IMS, (3) Oracle and (4) Account mining.
In USD terms, we estimate 2% revenue growth in FY17 and 12% in FY18, a 240bp
EBITDA margin improvement over FY16-18E and 20% earnings CAGR over FY16-18.
With most issues behind, (as the thrust from new areas starts materializing), we
expect an improvement in CQGR from 1.1% in FY16 to 1.9% in FY17 and 3.4% in
FY18, and re-rating from the current levels of 9.7x FY18E earnings.
Enabling Digital Transformation
Zensar Technologies
Sagar.Lele@motilaloswal.com
Please click here for Video Link
+
91 22 3982 5585
Rapid shift in business model to Digital
Zensar has been shifting its focus from traditional IT services to Digital,
where the traction has been evidently moving the needle in its overall
performance. Contribution of Digital, as a % of revenue, has increased from
5% in FY14 to 27% in FY16, half of which was added because of the
acquisition of Professional Access. The company expects it to reach 30% in
FY17.
YoY growth in all areas of Digital (Big data & Analytics, Cloud, Design
Experience, Digital Marketing Services, Cyber Security) was in the range of
21-37% YoY in FY16. The high contribution of Digital to overall revenue
should further boost performance, in our view.
In Digital, the key focus area is eCommerce (enhanced through the
acquisition of Professional Access in Aug-14). The company derives 15% of
revenues (50% of Digital) from Oracle Commerce implementation, and the
balance from other Digital and cross-over services. This positioning puts
ZENT in a sweet spot, as (1) Oracle ATG has the highest market share (20%)
among eCommerce platforms for online retailers and (2) Professional Access
is among the top three Oracle ATG implementation specialists.
3
4 July 2016

Zensar Technologies
Stock Performance (1-year)
Restructured business aligned for growth
ZENT has been restructuring its business over the past few years by
implementing its 3x3x3 strategy, sharpening its focus on (1) Manufacturing,
Retail and Insurance; (2) the US, Europe and Africa; and (3) on service offerings
of Application Management, Infrastructure Management and Digital.
Significant cutting down of the flab over the past few quarters has led to: (1)
increased leadership bandwidth, (2) sharper targeting in the market, (3) lower
overhead costs proportionate to sales, and (4) lower focus on non/less-
profitable areas, which have helped improve overall margins in FY16. We expect
this to yield similar results going ahead.
Pruning of business and client-specific issues have led to subdued organic
revenue growth (-1.7% in FY14, 4.2% in FY15 and 7.0% in FY16), but has
improved the quality of revenues. Focus geographies now comprise 95% of
revenues. Contribution of IMS maintenance (non-core) has reduced to 8% of
revenue in FY16 from 15% in FY13, while the number of focus clients has
reduced from 75 in FY15 to 66 in FY16.
Time for growth engines to start delivering
With the flab cut post the leadership change (appointment of Sandeep Kishore
as CEO), ZENT has now redefined its growth strategy, which is based on the
following pillars.
[1] Digital:
To grow Digital to 30% of revenue in a year (from 27% currently).
[2] IMS:
To grow the IMS & Cloud business to 20% of total revenue in a year.
[3] Oracle:
The Oracle ecosystem currently contributes 33% of ZENT’s revenue and
should continue to be a focus area. ZENT is an Oracle Cloud Partner, and there is
a shift in focus to cloud and as-a-service models for both Oracle and ZENT.
[4] Account mining:
Identified 65 high-potential accounts for mining, where the
focus is on implementing dedicated sales, delivery and Digital teams.
Valuation and view0
Expect revival going forward:
On account of its ongoing restructuring, we
expect revenue growth of 2% in FY17 (1.9% CQGR v/s 1.1% in FY16). However,
with the implementation of its growth engines well in progress, we expect a
revival in revenue growth to 12% in FY18. Revenue growth pick-up, profitability
improvement in the IMS business and current investments should lead to 230bp
EBITDA margin expansion over FY16-18E. EBIT margins in the IMS business (18%
of revenue) can improve from 6% in FY16 to 14% in FY18, led by higher revenues
from ‘IMS and Cloud’ and the restructuring in the MVS business. This alone has
the potential to improve overall margins by 150bp. We expect an EPS CAGR of
20% over FY16-18.
Buy, 35% upside:
Discounting FY18 earnings by 13x – at a discount to peers such
as PSYS and MTCL (which have demonstrated consistency in performance and
potential in newer services) but at a premium to peers such as MPHL, KPIT and
NITEC (given strong positioning in Digital, potential improvement in
performance, and prospects of industry-leading growth); and at a premium to
historical median given improved performance, sharper positioning and defined
expertise – would lead to a target of INR1,300, implying a 35% upside.
Key risks:
Inability to rotate the ERP business to as-a-service, client-specific
issues, and near-term margin pressure on account of elevated investments.
4 July 2016
4

Zensar Technologies
Story in charts
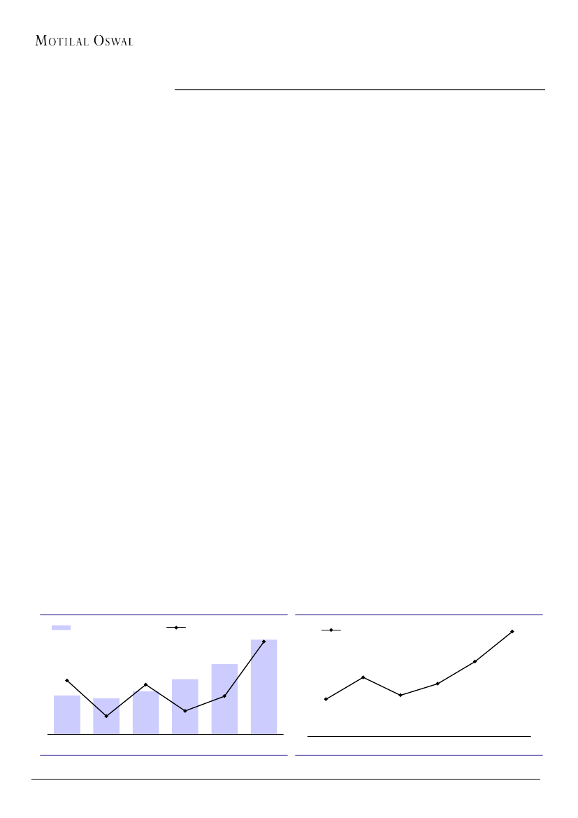
Exhibit 1: Expect organic revenue growth to pick up
Organic revenue (USDm)
Growth (YoY, %)
12.0
Exhibit 2: 3x3x3 strategy results in improved focus
4.9
4.2
2.0
(1.7)
(0.7)
399
FY15
427
FY16
462
FY17E
518
FY18E
Source: MOSL, Company
389
FY13
383
FY14
Source: MOSL, Company
Exhibit 3: Cutting down on non-core geographies…
US
10
9
9
Europe
6
9
10
Africa
6
8
10
ROW
5
8
10
Exhibit 4: …and non-profitable/scalable clients
USD1m+ clients
52
40
75
66
72
75
76
77
FY13
FY14
FY15
FY16
FY13
FY14
FY15
FY16
Source: MOSL, Company
Source: MOSL, Company
Exhibit 5: IMS: Reviving Services and reducing
Maintenance…
Maintenance
Services
2%
4%
Exhibit 6: …thus, correcting the IMS revenue mix
Maintenance
Services
-2%
54%
46%
61%
65%
-16%
-13%
-15%
-17%
-21%
3QFY16
4QFY16
46%
FY13
54%
39%
FY15
35%
FY16
1QFY16
2QFY16
FY14
Source: MOSL, Company
Source: MOSL, Company
4 July 2016
5

Zensar Technologies
Story in charts
Exhibit 7: Contribution of Digital to total revenue among the
highest in the industry
Digital revenue (USDm)
Digital (% of total revenue)
Exhibit 8: 21-37% YoY growth in all areas of Digital in FY16
FY16 Growth (YoY, %)
29
5
30
34
37
25
35
21
36%
27%
13%
2,154
TCS
14%
1,031
WPRO
256
MTCL
122
ZENT
30%
15%
12%
59
KPIT
104
PSYS
61
NITEC
Source: MOSL, Company
Source: MOSL, Company
Exhibit 9: Expect sharp improvement in profitability…
EBITDA margin (%)
15.4
14.7
13.7
13.9
14.4
16.7
Exhibit 10: …to the tune of 235bp over FY16-18E
EBITDA margin change (YoY, bp)
98
99
52
100
135
(81)
FY13
FY14
FY15
FY16
FY17E
FY18E
FY13
FY14
FY15
FY16
FY17E
FY18E
Source: MOSL, Company
Source: MOSL, Company
Exhibit 11: …as profitability in IMS improves, among other
reasons…
IMS revenue (INRb)
10.0
7.4
8.2
5.6
IMS PBIT margin (%)
Exhibit 12: …leading to 20% earnings CAGR over FY16-18E
Net profit (INRb)
36.1
26.6
17.0
10.0
11.4
2.4
FY14
2.6
FY15
3.1
FY16
13.7
3.5
FY17E
4.5
FY18E
Growth (YoY, %)
4.7
FY13
5.3
FY14
5.3
FY15
5.3
FY16
1.7
FY13
Source: MOSL, Company
Source: MOSL, Company
4 July 2016
6

Zensar Technologies
FOUR GROWTH ENGINES TO DRIVE OUTPERFORMANCE
DIGITAL
To grow to 30%
of revenue in a
year
Presence across
ecommerce
enablement,
Cross-Over and
Enterprise
Digital
Largest Oracle
Commerce
practice
globally
IMS & CLOUD
To grow to 20%
of revenue in a
year
Focus on the
areas of
[1] Hybrid IT,
[2] Net-gen
end-user
experience,
[3] Network
security and
[4] Unified IT
management
ORACLE
33% of revenue
currently from
the Oracle
ecosystem
Betting on
Oracle Cloud
SaaS and PaaS
solutions
CUSTOMER
APPROACH
Focus on 65
High-Potential
Accounts
Focus on deal
sizes of
USD10m+ TCV
Source: MOSL
ENCOURAGING PROGRESS IN EXECUTION
Carved out a team of 300+
people to focus on Digital
Launched CMO-led
solutions
Internalized Digital in the organization
Training all employees on Digital
technologies
250+ client-facing professionals trained
on Digital
DIGITAL
Industry experts hired in the
focus areas in Infrastructure
Management
Solutions in IMS & Cloud
launched
Laying focus on resurrection of
profitability in the MVS
business
Shift in focus to cloud and
as-a-service models for
both Oracle and ZENT
Paused on the goal to attain Platinum
partnership with Oracle
Instead focusing on the better-aligned
managed cloud partner program
IMS &
CLOUD
ORACLE
New team put in place for large
strategic deals
Starting to deal with third-party
outsourcing agents
Reallocated resources to high growth
accounts
Dedicated sales and
delivery team for 30
accounts
Mirroring this for the
rest of the accounts
CUSTOMER
FOCUS
Source: MOSL
4 July 2016
7

Zensar Technologies
ZENT’s DIGITAL SOLUTIONS STACK SPREADS OVER THE FOLLOWING AREAS
Big Data & analytics
B2C Commerce
Data wrangling, data science and
analytics & visualization in the
verticals of Retail, Insurance and
Manufacturing.
Implementation of omni-channel
experience; eCommerce, Mobile
Commerce, Data Analytics, UX, CX
(Oracle Commerce, SAP Hybris &
Magento).
Cloud
IoT/Industrial internet
Services of migration, integration
and development in the areas of
SaaS, IaaS, PaaS; focus on hybrid
application and infrastructure
Extensive domain expertise in
discrete manufacturing & SCM;
outcome-based delivery model
and a strong partner ecosystem
with proprietary frameworks.
Design experience
B2B Commerce
Customer journey mapping, UX,
CXM, augmented reality,
wearables, and delivering E2E
customer experience across
Customer acquisition to service;
implementation, integration &
development; focus on E2E
customer success (Oracle, SFDC,
SAP).
Digital marketing services
Cyber security
Business outcome driven
engagements across Web ops, Data
ops, Marketing ops, Social ops
(Adobe, Oracle, Marketo, SFDC,
Zensar’s proprietary compliance
and risk assessment tool; threat &
vulnerability management, DLP,
threat discovery & analytics
3x3x3 strategy results in improved focus
X
Manufacturing
Retail
X
Insurance
USA
X
X
Europe
X
X
Africa
Application
Management
4 July 2016
Infrastructure
Management
Digital Enterprise
8

Zensar Technologies
Shift in business model to Digital
Digital revenue increased from 5% in FY14 to 27% in FY16
Scaling up Digital business
ZENT has been shifting its business model from traditional IT services to Digital, by
realigning its focus on Digital transformation/enterprise. Traction in Digital has been
evidently moving the needle in its overall performance. Contribution of Digital, as a
% of revenue, has risen from 5% in FY14 to 27% in FY16, and the company expects it
to reach 30% in FY17. The contribution of Digital to total revenue is among the
highest in the industry, and thus could potentially help the company to record
industry-leading growth.
Exhibit 13: Leading the Digital shift among Tier-II
Digital revenue (USDm)
Digital (% of total revenue)
36%
27%
13%
2,154
TCS
14%
1,031
WPRO
256
MTCL
122
ZENT
30%
15%
12%
59
KPIT
104
PSYS
61
NITEC
Source: MOSL, Company
In Digital, ZENT’s key focus areas are eCommerce (enhanced through the acquisition
of Professional Access in Aug-14). The company derives 15% of revenues (50% of
Digital) from Oracle Commerce and Magento, with the balance coming from other
Digital and cross-over services.
ZENT’s Digital solutions stack spreads over the following areas:
[1] Big Data & analytics:
Data wrangling, data science and analytics & visualization
in the verticals of Retail, Insurance and Manufacturing.
[2] Cloud:
Services of migration, integration and development in the areas of SaaS,
IaaS, PaaS; focus on hybrid application and infrastructure clouds with cloud
architecture.
[3] Design experience:
Customer journey mapping, UX, CXM, augmented reality,
wearables, and delivering E2E customer experience across multiple channels and
devices.
[4] Digital marketing services:
Business outcome driven engagements across Web
ops, Data ops, Marketing ops, Social ops
(Adobe, Oracle, Marketo, SFDC, Sitecore).
4 July 2016
9

Zensar Technologies
[5] B2C Commerce:
Implementation of higher-performance omni-channel
experience; eCommerce, Mobile Commerce, Data Analytics, UX, CX
(Oracle
Commerce, SAP Hybris & Magento).
[6] IoT/Industrial internet:
Extensive domain expertise in discrete manufacturing
& SCM; proven solution framework with an outcome-based delivery model and a
strong partner ecosystem with respective proprietary frameworks.
[7] B2B Commerce:
Customer acquisition to service; implementation, integration &
development; focus on E2E customer success
(Oracle, SFDC, SAP).
[8] Cyber security:
Zensar’s proprietary compliance and risk assessment tool;
capability across GRC, SEIM, HIPPA, PCI DSS, threat & vulnerability management,
DLP, threat discovery & analytics.
Exhibit 14: In line with the shift in the industry spending mix (USD b)
Source: Company, Gartner, IDC
Boosting capability via acquisition of Professional Access
In August 2014, ZENT acquired Professional Access (PA), which is one of the largest
Oracle ATG and Endeca partners in the world (implementation and maintenance). It
is an Oracle Platinum partner with presence in the US, the UK, Latin America, Middle
East and Africa. The company works with several large and mid-sized retailers in
these geographies to build and implement their eCommerce strategies.
4 July 2016
10

Zensar Technologies
Exhibit 15: Revenue break-up of PA (by service line and vertical; % of revenue)
Others, 0.3
BFS and Others, 3.9
public
sector, 5.2
Maintenanc
e&
support,
46.1
Implement
ation, 53.7
Retail and
telecom,
90.8
Source: MOSL, Company
The acquisition puts ZENT in a sweet spot as:
Oracle ATG has the highest market share (20%) among eCommerce platforms
for online retailers.
PA is among the top three Oracle ATG implementation specialists.
Betting on success of Oracle ATG
Oracle ATG has the highest market share (20%) among eCommerce platforms for
online retailers. The other dominant players in the market are IBM WebSphere and
SAP Hybris. In-house software accounts for the majority of the market (~40%). Other
players in the market with a lower share include Digital River, Magento, Elastic Path,
Apttus and CloudCraze.
Some of the largest retailers using the Oracle Commerce platform are Neiman
Marcus, Walgreens, Macy’s, Express, CVS, Kohl’s, Blue Nile, American Eagle,
OfficeMax and Chico’s.
4 July 2016
11

Zensar Technologies
Exhibit 16: Oracle – A leader in Gartner's Magic Quadrant for Digital commerce platforms
Source: Gartner
Digital commerce platforms facilitate transactions over the web. They support
the creation and continuing development of online relationships with
consumers across multiple channels, including mobile, direct and indirect sales,
digital and call center.
Digital commerce platforms enable organizations to build B2B, B2C or B2B-to-
consumer (B2B2C) commerce sites and support a continuum of business
objectives, from generation of incremental revenue to enabling
transformational business change.
Oracle is a leader based on its Oracle Commerce product, which combines ATG
and Endeca capabilities. Oracle Commerce can be implemented on-premises or
hosted by Oracle or a third party. The product supports both B2C and B2B
business models, and has several global, multi-language and multi-site
implementations. In mid-2015, Oracle released a multitenant SaaS commerce
platform called Oracle Commerce Cloud.
4 July 2016
12

Zensar Technologies
Strengths and weaknesses assessed by Gartner
STRENGTHS
Core capabilities and advanced features:
Oracle Commerce has a strong set of
native features, including support for digital products, data-rich products
requiring customer information, and an in-store sales clienteling solution. This
functionality can also take advantage of a wide ecosystem of Oracle Customer
Experience (CX) products, including Oracle Marketing Cloud, Sales Cloud, Service
Cloud, CPQ Cloud and other Oracle enterprise applications. Oracle is also in the
process of productizing integrations between Oracle Commerce and other CX
applications.
Search and complex commerce capabilities:
On-site search continues to grow in
importance, and the integration of ATG and Endeca capabilities in Oracle
Commerce 11 is a differentiator. Oracle Commerce has strong capabilities in
support of complex product lines and organizational hierarchies in B2B
operations; it enables personalization of a storefront by both B2C and B2B users,
and supports multiple selling channels in both B2C and B2B operations.
Multisite, global functionality:
Oracle Commerce provides a scalable, flexible
and globally deployable digital commerce platform. Reference customers
commended its ability to easily generate multiple storefronts, deploy globally
and handle the sale of complex products.
CAUTIONS
OM and multichannel capabilities:
Oracle Commerce does not come with
prebuilt integration with Oracle's Order Management module. So clients
expecting to integrate this module with Oracle Commerce are required to
devote some development resources to this task. Oracle Commerce also lacks
some native functionality for multichannel commerce: enabling buying online
with pickup or return in a store requires integration with an OM or DOM
application, such as Oracle Order Management, or with a third-party OM
system.
WCM functionality: Oracle Commerce's WCM capabilities are not competitive
compared to those of best-of-breed WCM products. However, Oracle has added
base-level WCM features which should address segments of the market that do
not require best-of-breed WCM capability.
Evolving cloud roadmap: Oracle is placing strong emphasis on shifting products
to the cloud. With the release of Oracle Commerce Cloud, on-premises-only
customers should check that the Oracle Commerce roadmap does not focus on
the development of Commerce Cloud, which is currently not suitable for most
enterprise-level customers.
Source: Gartner
Among the top implementation partners for Oracle ATG
There is limited competition in Oracle ATG implementation with only around 10
companies globally, including Accenture, Cognizant and EPAM. Other players are
significantly smaller in size, employing between 100 and 500 people. PA is the only
Oracle Platinum partner in Oracle ATG implementation.
4 July 2016
13

Zensar Technologies
PARADE launch
ZENT recently launched PARADE (Professional Access Rapid Application Deployment
Environment), a preconfigured accelerator for deploying Oracle Commerce. It is
designed to deploy the Oracle Commerce suite, including the Oracle Commerce
platform, Oracle Guided Search and Oracle Experience Manager.
PARADE comes with all standard eCommerce capabilities, including shopping cart,
stream-lined checkout process, along with industry-leading search and guided
navigation from Endeca. The solution offers powerful tools for multi-site
management, merchandising and promotions with an extensive focus on customer
experience and personalization. Processes for PARADE-based implementations are
tailored to accelerate the overall deployment while bringing most granular level of
visibility and transparency at each step.
Scaling up Digital business
While eCommerce implementation comprises 50% of ZENT’s Digital revenue, the
balance comes from other Digital and cross-over services. The company’s
perspective on Digital is divided into two parts:
Enterprise Digital
– (1) Digital agility (front-end), (2) cross-over of Digital and
IT/business processes (cloud and hybrid infra/IT) and (3) stability of the core systems
(ADM, back-end systems with APIs built in).
CMO-led Digital solutions
– ZENT launched CMO-centric services on April 1, 2016. It
sees a massive opportunity in tapping CMO budgets, with solutions around
marketing analytics, digital analytics, content and creative solutions.
The company has seen strong growth across services in Digital, and is poised for
further acceleration in FY17 given the progress it has made in building and launching
new solutions over the current year. In FY16, the entire solution stack for ZENT grew
by above 20% YoY, which was much higher than the total company growth rate of
5%. Given the 27% contribution of Digital to overall revenue, organic growth has the
potential to accelerate further.
Exhibit 17: Strong growth across Digital solution stack
FY16 Growth (YoY, %)
29
30
34
37
25
35
21
5
Company
Big data &
analytics
Cloud
Design
Digital
B2C
B2B
experience marketing Commerce Commerce
services
Cyber
security
Source: MOSL, Company
4 July 2016
14

Zensar Technologies
Restructuring well in progress
Solid pruning of business over the past three years
ZENT has been actively making efforts to restructure its operations over the past
three years. A major exercise carried out to aid this process was cutting down of the
excess flab and hence sharpening its focus on selected verticals, geographies and
service offerings.
3x3x3 strategy
The premise of the 3x3x3 strategy was to sharpen its focus on (1) the
Manufacturing, Retail and Insurance segments, (2) on geographies of the US, Europe
and Africa and (3) the service offerings of Application Management, Infrastructure
Management and Digital. This would, in turn, result in (1) increased leadership
bandwidth, (2) sharper targeting in the market, (3) lower overhead costs
proportionate to sales and (4) lower focus on non/less-profitable areas, thereby
improving overall margins.
Exhibit 18: 3x3x3 strategy
Source: Company, MOSL
Improved vertical focus
In line with its strategy, ZENT sharpened its focus on the verticals of Manufacturing,
Retail and Insurance. Accordingly, several of the company’s customers in the areas
of government, healthcare and utilities were churned out. During FY13-FY16, this
resulted in a reduction in business to the tune of USD30m, which was 8% on the
revenue base in FY13.
Exhibit 19: Vertical focus
Manufacturing
5
22
6
67
5
23
8
64
Retail
Financial Services
4
21
15
60
Emerging
6
19
22
54
FY13
FY14
FY15
FY16
Source: Company, MOSL
4 July 2016
15

Zensar Technologies
ROW down to 5% in FY16, from 10% in FY13
Similarly, ZENT realigned its focus on the geographies of the US, Europe and Africa.
It was operational in several other countries across the globe, but the business there
was sub-scale. Additional investments were necessary to sustain/grow the business
in these geographies, which would imply a cost increase that was disproportionate
to revenue. Accordingly, revenue from ROW declined to 5% in FY16, from 10% in
FY13.
Exhibit 20: Geographical focus
US
10
9
9
6
9
10
Europe
Africa
6
8
10
ROW
5
8
10
72
75
76
77
FY13
FY14
FY15
FY16
Source: Company, MOSL
Products down to 6% in FY16, from 11% in FY13
ZENT has been de-focusing from the products business in infrastructure
management. The company intends to include the products bit only where it is
integral to the services portfolio of the organization. Revenue from Products has
gradually inched lower to 6% of total revenue in FY16 from 11% in FY13.
Moreover, the company’s focus is on IMS & Cloud, which would mean the Services
business in infrastructure management would grow.
However, the focus in the MVS business would be on profitability improvement and
not top-line growth. The reduction in Maintenance revenue contribution to 8% in
FY16 from 15% in FY13 reflects the change in effort within the Services business.
Exhibit 21: Putting a cap on Product revenue
Product revenue (INRm)
12.3%
11.2%
Composition (% of total revenue)
10.0%
7.1%
5.9%
3.8%
432
FY11
2,193
FY12
2,373
FY13
2,307
FY14
1,872
FY15
1,756
FY16
Source: Company, MOSL
4 July 2016
16

Zensar Technologies
Execution of new strategy underway
With the clean-up almost done, it’s time to execute
From sorting to growing – a WIP
Given the sharpened focus of the company as well as the streamlining of operations
to ensure profitable growth, the company witnessed a reduction in business across
verticals, geographies and service lines. Sandeep Kishore’s appointment came in at
the fag end of this restructuring exercise. With the flab cut-off, ZENT has now
defined its growth strategy post the leadership change (appointment of Sandeep
Kishore as CEO). The growth strategy is now based on the following pillars.
Digital:
The aim is to grow Digital to 30% of revenue in 12 months (from 27%
currently). Around 50% of Digital revenue comes from Oracle Commerce and
Magento. The balance comes from other Digital and cross-over services. The
company’s perspective on Digital is broken into two parts:
Enterprise Digital
– [1] Digital agility (front-end), [2] cross-over of Digital and
IT/business processes (cloud and hybrid infra/IT) and [3] stability of the core
systems (ADM, back-end systems with APIs built in).
CMO-led Digital solutions
– ZENT launched CMO-centric services on April 1,
2016. It sees a massive opportunity in tapping CMO budgets with solutions
around marketing analytics, digital analytics, content and creative solutions.
Execution progress:
Launched CMO-led solutions on April 1, 2016. The company is in the process of
developing a new set of propositions which can be taken to existing clients.
Carved out a team of 300+ people from all over the company to increase the
focus on Digital.
Internalizing Digital in the organization by focusing on making all of ZENT’s
processes digital. The company has launched six apps for internal use over the
past 90 days.
Training all employees on digital technologies; have made it compulsory for new
hires to go through a two-week training program.
250+ client-facing professionals were also put through an intense three-day
training to align sales to offerings and customer needs.
Strategic deals:
ZENT will be focusing on deal sizes with TCV of USD10m+ using its
differentiation in automation frameworks, multi-service focus and digital prowess.
Execution progress:
Changes have been made to the sales incentive plan in line with the new
strategic focus.
A new team has been put in place to focus on large strategic deals. The team is
bringing in expertise around bidding, pricing and structuring of large deals.
Initiatives to deal with third-party outsourcing agents are being undertaken for
increased participation in large deals.
4 July 2016
17

Zensar Technologies
Infrastructure business:
ZENT’s infrastructure business comprises of (1) MVS
and (2) IMS & Cloud, which are run separately as focused businesses. The
company intends to grow its IMS & Cloud business to 15% of total revenue over
the next 12 months. The key focus areas in this business are:
(1) Hybrid IT:
Automated and orchestrated provisioning and management of public,
private and on-premise infrastructure. ZENT’s focus is on an integrated platform
across technologies and hosting models that will enable it to target the G-1000.
(2) Next-gen end-user experience:
Focusing on predictive analytics and mobility;
ZENT combined Aternity, Nano Heal, Lakeside and Service Now to build a predictive
end-user management solution, which spans over user interface and backend
systems.
(3) Network security:
Design, implement and manage comprehensive IT security
frameworks.
(4) Unified IT management:
Driven by automation, orchestration and analytics.
Execution progress:
Industry experts hired in each of the focus areas of ZENT.
All solutions in the focus areas in IMS and Cloud are now up and running.
Focus on resurrection of profitability in the MVS business; increased focus on
direct clients and revamping of the product mix.
Oracle:
The Oracle ecosystem contributes 33% of ZENT’s revenue and will
continue to be a focus area. ZENT is an Oracle Cloud Partner, and there is a shift
in the focus to cloud and as-a-service models for both Oracle and ZENT. The
partnership with Oracle has been strengthened after the acquisition of PA,
which is one of the largest partners globally for Oracle Commerce.
Farming:
Identified 65 high potential accounts for mining, where ZENT has been
rated highly in account delivery. There have been changes in the organization
structure to achieve improved results from farming efforts. ZENT is adopting a
three-in-a-box approach to aid this process, by hitting accounts through its
sales, delivery and practice expertise.
Execution progress:
Cut down in the number of strategic accounts to half, thus sharpening focus on
mining.
Reconstituted the team to make the organization more nimble; relocated
resources to high-growth accounts.
30 of the strategic accounts have dedicated sales and delivery teams. The
company is in the process of mirroring this for the rest of its key accounts.
4 July 2016
18

Zensar Technologies
Expect revival in performance
Led by revenue growth acceleration and margin expansion
Expect revenues to continue growing
Due to its restructuring exercise over the past three years, organic revenue growth
has remained subdued and subpar relative to peers. However, organic revenue
growth has been inching up as a result of the reduction of the non-core businesses
and the increasing focus on high-growth areas. The business undergoing pruning has
now reduced to lower single digits, reflecting the dominance of growth areas in
overall portfolio.
We expect this upward trajectory to continue through FY18. Although this implies
7% revenue CAGR over FY16-18E, which is lower compared to the industry, it
signifies a substantial improvement compared to the 5.6% revenue CAGR over FY14-
16; which is more evident from the improvement in CQGR from 1.1% in FY16 to
1.9% in FY17E and 3.4% in FY18E.
Exhibit 22: Upward trajectory in revenue likely to continue
Organic revenue (USDm)
Growth (YoY, %)
12.0
4.9
4.2
2.0
(1.7)
(0.7)
399
FY15
427
FY16
462
FY17E
518
FY18E
389
FY13
383
FY14
Source: Company, MOSL
Our confidence stems from the following:
(1) The
portfolio
of revenues for ZENT has been set right after three years of
restructuring. Its 3x3x3 strategy has been well executed and most of the pain is now
behind. Although some consolidation is still expected in the portfolio, this should
only improve the revenue growth momentum.
(2)
Digital
accounts for 27% of ZENT’s total revenues, which is higher compared to
the industry average. Among mid-cap peers, MTCL (36%) and PSYS (30%) fare better
than ZENT in terms of their exposure to Digital. Both these companies have
demonstrated strong growth in Digital, as well as in their overall performance driven
by an outperformance of this segment. Given the fact that all sub-segments in
Digital for ZENT grew by 21-37% YoY in FY16, the potential for additional impetus to
overall revenue growth appears high, in our view.
4 July 2016
19

Zensar Technologies
Exhibit 23: Healthy growth in Professional Access since acquisition
Revenue - Professional Access (USDm)
15.3
12.6
6.5
12.0
12.5
14.7
14.6
2QFY15
3QFY15
4QFY15
1QFY16
2QFY16
3QFY16
4QFY16
Source: Company, MOSL
(3) In Infrastructure Management, ZENT’s focus is on IMS & Cloud, which is run
separately as a business. The company intends to grow its IMS & Cloud business to
15% of total revenues over the next 12 months. It has already put a large deals team
in place for this area, and any incremental addition here would positively impact
both revenue growth and profitability.
For mid-sized companies like ZENT, which has an IMS business of USD70m per
annum, scaling up in IMS does not have a large negative impact on existing revenues
or pricing pressure in renewal deals and hence easier rotation to newer areas.
ZENT’s focus in the IMS space is on the areas of hybrid IT, next-gen end-user
experience, network security and unified IT management. The focus on newer areas,
combined with management’s rich IMS background and the creation of sales/large
deals teams, should bode well for ZENT going forward.
Exhibit 24: De-focus on products and emphasis on IMS & Cloud resulting in change
Maintenance
Services
2%
4%
-2%
-16%
-13%
-15%
-17%
-21%
3QFY16
4QFY16
Source: Company, MOSL
1QFY16
2QFY16
(4)
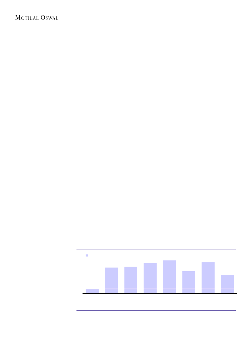
Renewed client focus
at ZENT has led to consolidation of accounts with revenues
above USD1m to 66 in FY16, from 75 in FY15. The company has relooked at the way
these accounts are mined, and has allotted dedicated resources to get deeper into
them. This is likely to translate into a sharper focus and stronger growth from
existing accounts going forward.
The impact of this move was witnessed in FY16, when revenue growth was strong
across top client buckets. This has higher probability of maintenance/getting better
given the increased focus.
4 July 2016
20

Zensar Technologies
Exhibit 25: Strong growth across top client buckets in FY16
FY16 revenue growth (YoY, %)
28%
27%
8%
-3%
5%
Top 5
Top 6-10
Top 11-20
Non Top 20
Overall company
Source: Company, MOSL
Significant levers for margin expansion
ZENT has been able to maintain EBITDA margins in the 13-15% range over FY13-16,
despite the organic revenue growth pressure. This has been a function of the
improved mix of business.
In FY16, several investments were made to aid strategy execution. These
investments ranged from building capabilities, launching of new solutions,
completing the service breadth in strategic areas, hiring of new sales personnel,
increased account managers, and addition of the large deals team, among others.
Despite these investments, margins expanded by 50bp YoY in FY16.
Going ahead, we expect margins to be driven by:
[1] Continued improvement in the
portfolio mix,
and full impact of a better revenue
composition.
[2]
Investments
made in FY16 should start bearing fruit in FY17/18 and lead to
benefit on profitability.
[3]
IMS
margins are likely to improve significantly due to the dual focus of the
company: profitability resurrection in Products, and revenue growth in IMS & Cloud.
EBIT margins in the IMS business (24% of revenue) could improve from 6% in FY16
to 12-14% in FY18. This alone has the potential to improve overall margins by
150bp.
Exhibit 26: Expect further margin expansion…
EBITDA margin (%)
15.4
14.7
13.7
13.9
14.4
16.7
98
99
52
Exhibit 27: …with the help of multiple available levers
EBITDA margin change (YoY, bp)
100
135
(81)
FY13
FY14
FY15
FY16
FY17E
FY18E
FY13
FY14
FY15
FY16
FY17E
FY18E
Source: MOSL, Company
Source: MOSL, Company
4 July 2016
21

Zensar Technologies
Exhibit 28: Focus on Products profitability and scaling up of
Services in IMS to be major drivers
IMS revenue (INRb)
10.0
7.4
8.2
5.6
80%
79%
IMS PBIT margin (%)
82%
81%
Exhibit 29: Portfolio mix and scale economies to give more
leverage than traditional levers
Utilization (%)
4.7
FY13
5.3
FY14
5.3
FY15
5.3
FY16
FY13
FY14
FY15
FY16
Source: MOSL, Company
Source: MOSL, Company
4 July 2016
22

Zensar Technologies
Initiating coverage with a Buy; TP of INR1,300
Valuations driven by rebound in growth and positioning in Digital
Execution for next leg of growth is in progress:
Post the leadership change at
ZENT, execution has become fast-tracked, with several steps taken toward
realigning the organization with its growth engines. In line with this, several
services/solutions have been launched, sales function has been augmented and
there is a renewed focus on client mining and large deals. These initiatives are
currently in the investment mode and likely to start adding to growth along with
Digital and IMS.
Digital; the key trigger:
Digital accounts for 27% of ZENT’s revenue and has been
seeing growth of 21-37% YoY. Half of Digital is constituted by eCommerce
implementation, where capabilities have increased post ZENT’s acquisition of
Professional Access, which in FY16 grew by 25% YoY. The rest of Digital revenue
comes from other Digital and cross-over services. Moreover, with increased
emphasis on Enterprise Digital and CMO-led solutions, Digital will only get a
further boost from current levels.
Re-constitution to continue for the better:
ZENT had earlier laid focus on
achieving the Diamond partnership with Oracle. However, elevation from
Platinum partnership is a function of the work around Oracle’s installed base,
and not cloud services. Oracle has a managed cloud partner program, on which
ZENT has turned its attention as this better aligns with changing market
dynamics, Oracle’s strategy and ZENT’s focus areas. Moreover, the realignment
of focus in infrastructure management toward IMS & Cloud too marks a step in
this direction.
Expect rebound in revenue growth:
On account of ongoing restructuring, we
expect revenue growth of 2% in FY17. However, with the implementation of
growth engines well in progress, we expect a revival in revenue growth to 12%
in FY18.
Margin comfort for FY17-18E:
Revenue growth pick-up, profitability
improvement in the IMS business, and current investments should lead to a
230bp EBITDA margin expansion over FY16-18E. EBIT margins in the IMS
business (18% of revenue) can improve from 6% in FY16 to 14% in FY18, led by
higher revenues from ‘IMS and Cloud’ and the restructuring in the MVS
business. This alone has the potential to improve overall margins by 150bp. We
expect an EPS CAGR of 20% over FY16-18.
Exhibit 31: …coupled with margin expansion
12.0
EBITDA margin (%)
15.4
16.7
Growth (YoY, %)
Exhibit 30: Revenue growth expected to continue
Organic revenue (USDm)
4.9
4.2
2.0
(1.7)
(0.7)
399
FY15
427
FY16
462
FY17E
518
FY18E
FY13
13.7
14.7
13.9
14.4
389
FY13
383
FY14
FY14
FY15
FY16
FY17E
FY18E
Source: MOSL, Company
Source: MOSL, Company
4 July 2016
23

Zensar Technologies
Value ZENT at INR1300 per share
ZENT warrants a premium:
We believe ZENT warrants a premium to its peers
considering: (1) its positioning in Digital, especially in eCommerce
implementation, (2) potential growth driven by Digital and IMS, and (3) a
healthier portfolio mix and a sharpened focus driving improved performance
relative to the past three years.
Premium to historical P/E justified, given:
(1) a pick-up in revenue and earnings
CAGR over FY16-18E, (2) focus on Digital and IMS & Cloud leading to
differentiated positioning v/s being a me-too player earlier, and (3) focused
approach opposed to chasing of growth in multiple dimensions earlier.
We value ZENT at 13x forward EPS to arrive at a fair value of INR1300 per
share (35% upside),
at a 10% discount to peers such as PSYS and MTCL (which
have demonstrated consistency in performance in the past and have developed
strong capabilities in newer services), 30% discount to INFO, but at a 20%
premium to peers such as MPHL, KPIT and NITEC, given strong competitive
positioning, well-defined niche and a strategy to drive the next leg of growth.
Exhibit 32: Valuations attractive, given revenue growth
revival
16.0
13.5
11.0
8.5
6.0
0%
5%
10%
15%
20%
25%
Source: MOSL, Company, Bloomberg
NITEC
MPHL
HEXW
MTCL
KPIT
CYL
PSYS
Exhibit 33: Valuations attractive, given earnings CAGR
16.0
13.5
11.0
8.5
6.0
0%
5%
10%
15%
20%
25%
Source: MOSL, Company, Bloomberg
HEXW
MPHL
KPIT
NITEC
MTCL
PSYS
CYL
ZENT
ZENT
Exhibit 34: Currently at lower valuations for strong performance
CMP
(INR)
TCS
INFO
WPRO
HCLT
TECHM
MPHL
HEXW
PSYS
KPIT
MTCL
NITEC
CYL
ZENT
2,500
1,172
558
731
506
568
229
690
157
674
515
485
980
Reco.
Neutral
Buy
Neutral
Buy
Neutral
Neutral
Neutral
Neutral
Neutral
Neutral
Neutral
Buy
Buy
Revenue
TP
CAGR
(INR)
(FY16-18E)
2,650
1,350
600
900
550
520
230
775
180
750
560
550
1,300
11%
13%
10%
31%
11%
6%
9%
21%
7%
15%
9%
12%
7%
EBITDA
Earnings
EV/
margin
PE
PE
CAGR
EBITDA
expansion
(FY17E) (FY18E)
(FY16-18E)
(FY17E)
(FY16-18E,bp)
(116)
12%
18.5
16.1
14.2
36
14%
17.5
15.3
11.3
(12)
7%
15.4
13.5
9.7
(225)
24%
13.3
11.9
9.0
54
11%
13.8
11.8
8.3
174
11%
15.1
13.4
8.3
(131)
6%
17.5
15.6
12.1
(99)
18%
16.3
13.4
9.4
81
11%
9.9
8.6
5.7
82
18%
16.1
13.4
11.4
(86)
11%
9.9
9.1
4.8
101
19%
13.7
11.5
9.0
235
20%
12.6
10.0
7.7
EV/
EBITDA
(FY18E)
12.1
9.4
7.9
7.5
6.9
6.7
10.3
7.4
4.5
9.1
4.1
7.1
5.7
Dividend Dividend
yield
yield
(FY17E) (FY18E)
1.8
2.1
2.5
2.5
2.4
2.4
2.4
2.5
1.6
1.6
7.5
4.5
4.0
4.2
1.7
1.7
1.1
1.1
1.6
1.6
2.3
2.3
2.2
2.6
1.6
2.1
Source: MOSL, Company
4 July 2016
24

Zensar Technologies
Scenario analysis – Upside potential outweighs downside risk
Exhibit 35: Scenario analysis suggest >60% upside in bull case v/s 6% downside in bear case
Bear case
FY17
FY18
453
498
0
10
30,799
34,887
4,582
5,417
14.9
15.5
84
153
4,666
5,570
1,396
1,760
3,270
3,810
72
84
11
925
-6
Base case
FY17
FY18
462
518
2.0
12.0
31,414
36,232
4,831
6,062
15.4
16.7
84
153
4,914
6,214
1,396
1,760
3,518
4,454
78
98
13
1,300
35
Bull case
FY17
FY18
471
537
4
14
32,030
37,601
5,086
6,704
15.9
17.8
84
153
5,169
6,856
1,396
1,760
3,773
5,096
83
112
14
1,575
61
Source: Company, MOSL
Revenues (USDm)
Revenue growth (%)
Revenues (INRm)
EBITDA
EBITDA margin (%)
Dep/int/other income
PBT
Tax/minority interest
PAT
EPS
Target PE (x)
Target price (INR)
Potential return (%)
Bull case suggests >60% upside from current levels
Our sensitivity analysis suggests that in the bull case, ZENT could generate EPS of
~INR112 (v/s INR98 in base case). Valuing ARBP at 14x forward earnings (in line with
peers like MTCL and PSYS v/s 13x in base case – 10% discount to peers) yields a fair
value of INR1,575 (v/s TP of INR1,300), implying upside of >60% from CMP.
Faster than expected growth in Digital:
The current traction in Professional
Access (25% YoY growth in FY16) and faster growth in Other Digital Services,
given the recent launch of solutions by ZENT could lead to higher growth in
Digital (27% of total revenue) and move the needle in terms of overall
performance, leading to higher than anticipated growth over FY16-18E.
Strong execution of account mining/large deals:
Now that ZENT has identified
65 high-potential accounts, it has started changing the approach towards mining
these customers. It is in the process of deploying dedicated sales and delivery
teams for these accounts (and Digital evangelists in some cases). This process
could lead to strong growth in top accounts that leads to improved overall
performance on the revenue growth front. Similarly, its focus on large deals
could result in some big wins, which can be a game-changer over the next two
years.
Valuation multiples in line with peers rather than at discount:
In our base case,
we have assumed target multiple of ~13x (10% discount to peers like MTCL and
PSYS). MTCL and PSYS have been commanding higher multiples amongst mid-
cap peers on account of their presence in new-age services, and the fact that
this expertise has led to outperformance to industry, and holds the potential for
it to continue going forward. The successful execution of the laid-out strategy
can result in earnings CAGR of 28% over FY16-18E, which would result in a
convergence of the valuation gap that currently exists.
4 July 2016
25

Zensar Technologies
Bear case analysis indicates limited downside from current levels
Our bear case sensitivity analysis shows that ZENT could generate EPS of ~INR84 (v/s
INR98 in base case). Valuing ZENT at 11x forward earnings (30% discount to peers
like MTCL and PSYS and in line with MPHL/NITEC v/s 13x in base case) yields a fair
value of INR925 (v/s TP of INR1,300), implying downside of 6% from CMP.
Slower ramp-up in growth engines:
ZENT is currently making investments to
enable the successful execution of its strategy. In the process, it has launched
several solutions, beefed up teams, added capabilities, etc. If the bearing-of-
fruit of these investments takes longer than anticipated, revenue growth may
remain subdued for longer than we currently estimate.
Clean-up overpowers growth engines:
While the company is focusing on 65
accounts for mining, it is simultaneously cutting out low-yield customers. If the
letting-go of business is more than the growth stemming out of the strategy
measures undertaken, revenue growth could lag.
Valuation multiples discount to broaden to 30% discount to peers:
In this case,
we have assumed target multiple at 11x v/s 13x in the base case. This multiple,
we have witnessed for peers with sub-par revenue growth, margin pressures
and a recovery lifecycle.
Exhibit 37: …reflecting improving business mix
4.0
3.0
2.0
8.6
11.6
1.0
0.0
1.5
1.6
1.6
2.5
P/B (x)
5 Yrs Avg(x)
15 Yrs Avg(x)
10 Yrs Avg(x)
Exhibit 36: Premium to historic valuations…
40
30
20
10
0
P/E (x)
5 Yrs Avg(x)
15 Yrs Avg(x)
10 Yrs Avg(x)
7.2
6.2
Source: MOSL, Company, Bloomberg
Source: MOSL, Company, Bloomberg
Exhibit 38: Return ratios better than most peers
RoE (FY17E)
RoE (FY18E)
Exhibit 39: Dividend payout ratio of 20%
Dividend payout ratio (%)
Dividend yield (%)
20% 21%
19% 20% 18% 18%
18%
2.1
1.6
12%
1.3
1.2
1.1
0.7 0.8
0.4
12%
9%
0.5
0.3
Source: MOSL, Company
Source: MOSL, Company
4 July 2016
26

Zensar Technologies
High composition of Digital:
Digital
constitutes to 27% of ZENT’s revenue,
v/s 10-15% for peers. Higher proportion
of revenue from Digital enables ZENT to
potentially outperform peers.
Well-defined niche in Digital:
Post the
acquisition of PA, ZENT has gained
capability in eCommerce enablement,
for a product that has 20% market share.
This bodes well given the high-growth of
enterprise spend on eCommerce.
Strong partnership with Oracle:
ZENT
gets 33% of its revenue from the Oracle
ecosystem. The relationship has only
strengthened post the PA acquisition.
ZENT has been focusing on the managed
cloud partnership with Oracle, which
focuses on SaaS/cloud-based solutions
instead of legacy implementation.
Leadership:
Several initiatives have been
taken up since the leadership change.
The new CEO has made the organization
more nimble, and laid the foundation for
successful execution of strategy. Clarity
of vision and strong execution bode well
for organizational performance.
Portfolio composition:
In the past,
ZENT has been spread out in terms of
its presence in verticals and
geographies, resulting in a lack of a
focused approach. Although it has been
executing a clean-up exercise, it still
carries the baggage of some non-core
verticals and geographies.
Yield on customers:
The lack of a
focused approach on customer
acquisition led to multiple customers
that are low on profitability and aren’t
scalable, resulting in a drag on overall
scalability of the organization.
Infrastructure Management business:
ZENT’s IM business is comprised of
Services, Maintenance and Products.
Maintenance and Products have been
weighing on profitability of the
business, despite a much lower
quantum compared to three years ago.
Profitability resurrection and presence
in non-focus areas has been leading to
subdued overall performance and
consumption of bandwidth in multiple
areas.
Expansion of Digital services:
Of the
USD122m Digital practice of ZENT,
50% is comprised of PA. The rest
comes from Other Digital Services and
Cross-Over Services. The company has
recently launched solutions in the
areas of IoT, data analytics, and front-
end capabilities aimed at tapping the
CMO budget. This opens up a whole
new area of spend for ZENT.
Large deals:
ZENT has set up a new
team for large deals (USD10m+). It has
also started engaging with third-party
outsourcing agents, enabling an
opportunity to scale up significantly.
IMS & Cloud:
ZENT’s focus in the areas
of IMS & Cloud is well aligned with
changing industry dynamics. The CEO’s
rich experience in IM, and efforts to
reorganize the company to tap this
space lead to opening of new doors.
Customer focus:
The company’s focus
on increasing wallet share within
existing customers and tapping other
areas of spend have the potential to
drive growth in a more focused and
organized manner.
Cloud migration in ERP:
ZENT has a
sizeable
exposure
to
legacy
implementation and maintenance.
These areas have been under pressure
because of pricing and cloud migration.
The shift poses a threat to ZENT’s
existing revenue, if it isn’t able to
rotate its business with agility.
Client concentration:
ZENT gets 37% of
its total revenue from its Top-5
customers. Any issues in the customer
could result in lower spend,
consequently impacting the overall
performance of ZENT.
Costs overshooting revenue in the
near-term:
The company is currently in
an investment-mode as it gets ready to
capitalize on new opportunities. This
requires investments in the form of
people, capabilities, solutions and
reorganization. Investments may lead
to margin pressures if revenue growth
follows with a lag.
4 July 2016
27

Zensar Technologies
Company description
Zensar (Bloomberg: ZENT) is a provider of technology services and has a solutions
portfolio spread across Traditional to Transformational - Applications, Infrastructure,
Digital and Industry-specific solutions. It is part of the USD3b RPG Enterprises and
USD40b APAX portfolio of companies. Digital forms 27% of ZENT’s revenue and
comprises of Oracle Commerce & Magento, as well as other Digital and cross-over
services.
Exhibit 40: Revenue composition by services and verticals
IMS -
Services,
16%
Financial
services,
19%
Emerging,
6%
IMS -
Maintenanc
e, 8%
Application
Manageme
nt Services,
76%
Retail and
consumer
services,
22%
Manufactur
ing, 54%
Source: MOSL, Company
4 July 2016
28

Zensar Technologies
Key management personnel
Mr Sandeep Kishore, CEO & MD
Prior to Zensar, Sandeep was Corporate Vice President and Global Head of Life
Sciences & Healthcare and Public Services at HCL Technologies. He was responsible
for a USD1.1b business. He has over 25 years of experience in the IT industry,
spanning across IT, Engineering and Business Process Outsourcing.
Mr Nitin Parab, Chief Executive – Enterprise Transformation Services
Whilst based in US for almost 2 decades, Nitin has deep experience in managing
operations (Business Development, Marketing, Solution Design, Service Delivery,
Technology Practices, Alliances and Partnerships) in several countries across all
continents.
Mr Pinaki Kar, Chief Executive – Infrastructure Management Services
Pinaki Kar joined Zensar as the Infrastructure Business Unit Head. In his last role,
Pinaki was CEO & President of Wipro Infocossing. His responsibilities included
transformation of the business to a higher growth path, incubating Cloud
Computing, expanding into Europe and APAC, synergizing with Wipro’s Global
Infrastructure Services business.
Mr S Balasubramaniam, Chief Financial Officer
With over 28 years of experience in finance and commercial functions, S.
Balasubramaniam is the Chief Financial Officer of Zensar. He joined Zensar in 2005.
Mr Syed Azfar Hussain, Global HR Head
Azfar has over 21 years of experience in Human Resources at global, regional,
country, business and site levels in organizations such as Alcan, Hewlett Packard,
Deloitte & Touche, and Flextronics.
Mr Ajay Bhandari, Chief Corporate Development Officer
Ajay has been associated with ERP Implementation, Funds & Investments
Management, and Corporate Finance for over 17 years. He began his career at
Zensar as a senior consultant in the year 1999 and is now responsible for all
Strategy, Marketing and Quality functions.
Mr Krishna Ramaswami, Delivery Head, Digital Enterprise Services
Krishna heads the India operations as well as Digital Enterprise at Zensar. With over
25 years’ experience, he has successfully run the Healthcare vertical. Krishna has
also been responsible for the Infrastructure Management business globally.
Mr Harish Gala, Global Head, Enterprise Application Services
Harish Gala is the Global Head of Enterprise Applications and Zensar’s Hyderabad
Center. He has over 25 years of experience in Management Consulting and IT
services (enterprise applications and ERP) and driven ERP enabled transformation
engagements across diverse industry sectors for transnational clients.
4 July 2016
29

Zensar Technologies
Ms Prameela Kalive, Global Head, Custom Application Services
Prameela has been with Zensar Technologies for over 15 years now and has led
multiple portfolios ranging from Software Delivery, Global Strategy and Marketing
to Global HR and managing Emerging Markets. She now Heads Zensar’s India (Pune)
operations in addition to heading the Strategic Services Organization and multiple
other global business enabling portfolios.
Mr Chakri Vaddi, Head, Enterprise Business, US
Chakri is Senior Vice President and Head of the Enterprise Transformation Services
business for Zensar in US and in this role he is responsible for Manufacturing, Retail,
Insurance and Banking Industry vertical businesses. His responsibilities include end
to end P&L management, Strategy, Business Development, Marketing, Service
Delivery, Alliances and Partnerships.
Mr Chaitanya (Chai) Rajebahadur, Head, Enterprise Business, Europe
Chai is an experienced business leader with significant success in the Industry having
built a strong base in Manufacturing, Retail, CPG, Telecom, Media, Banking &
Financial services and Logistics & Transportation. He has experience in managing
business in Europe, US, India, Middle East, Singapore and Australia with over 21
years of experience in the IT Outsourcing Industry.
Mr Deepanjan Banerjee, Head, Client Assurance Services
Deepanjan has been with Zensar since 1998 where he has, over the years,
successfully juggled multiple roles – from delivery to consulting to sales.
Mr Krishna Kumar, Delivery Head, Digital Commerce Services
KK heads the Retail Practice and Deliveries globally. In the 14 years that he has been
with Zensar, P. Krishna Kumar has worked in various capacities and across various
geographies - as delivery center head, practice head and onsite engagement
manager. His work experience has been mainly across manufacturing, supply chain
and retail.
Mr Mohan Hastak, Head, Strategic Business Function, Custom Application
Solutions
Mohan is head of the Financial Services and Insurance vertical at Zensar
Technologies. He has over 30 years’ experience in the Information Technology
sector, and has largely concentrated on the Insurance vertical over the past 15
years.
Mr Harish Lala, Head, Enterprise Business, Africa
Harish was involved in setting up Zensar’s Africa operations with its starting base in
South Africa and since then has been working with many Blue Chip companies
across Banking, Insurance, Retail and Mining across Africa by helping them
implement transformational business solutions using technology as enabler.
4 July 2016
30

Zensar Technologies
Key risks
Client concentration
ZENT, like other mid-cap peers, has high client concentration, with top five clients
contributing 37% of revenues and top 10 contributing 45%. A good example of
client-specific dynamics affecting the overall performance was in 4QFY15, when
ZENT had to give an exceptional discount to a client, which affected both revenue
and profitability. The extent of the discount was USD5m, which translated to a 4.3%
negative impact on a sequential basis. Client-specific issues, spend changes,
requirements and challenges have the potential to impact its overall revenue
growth given the high concentration.
Dependency on Oracle
ZENT is a Platinum partner for Oracle, and the ecosystem contributes 33% of its total
revenue. This partnership has further strengthened post the acquisition of
Professional Access, which is an implementation partner for Oracle’s eCommerce
platforms. Any hindrance to the success of Oracle’s products in the market would
reflect in the flow of business to ZENT.
Pressure of reinvestment eroding margins
ZENT’s foray into Digital and efforts to realign business to growth engines require
investments in capabilities, people, sales teams, reorganization and solutions. This
could result in near-term margin pressure as revenue would follow investments
made.
4 July 2016
31

Zensar Technologies
Financials and Valuations
Income Statement
Y/E March
Profit & Loss
Sales
Change (%)
Cost of Services
SG&A Expenses
EBITDA
% of Net Sales
Depreciation
Interest
Other Income
Forex
PBT
Tax
Rate (%)
Minority Interest
PAT
Extraordinary
Net Income
Change (%)
Balance Sheet
Y/E March
Share Capital
Reserves
Net Worth
Minority Interest
Loan
Capital Employed
Applications
Gross Block
Less : Depreciation
Net Block
CWIP
Other LT Assets
Curr. Assets
Current Investments
Inventories
Debtors
Cash & Bank Balance
Loans & Advances
Other Current Assets
Current Liab. & Prov
Current Liabilities
Other liabilites
Provisions
Net Current Assets
Application of Funds
E: MOSL Estimates
FY11
11,383
19.5
7,906
1,948
1,529
13.4
294
39
305
0
1,502
184
12.3
0
1,318
0
1,318
3.3
FY12
17,825
56.6
12,337
3,224
2,263
12.7
333
93
527
0
2,364
777
32.9
0
1,587
0
1,587
20.4
FY13
21,145
18.6
14,809
3,444
2,892
13.7
332
100
332
-187
2,606
861
33.0
0
1,745
0
1,745
10.0
FY14
23,156
9.5
15,957
3,803
3,396
14.7
383
109
290
205
3,399
1,023
30.1
0
2,375
0
2,375
36.1
FY15
26,277
13.5
18,329
4,307
3,641
13.9
415
112
364
181
3,659
1,013
27.7
-1
2,646
0
2,646
11.4
FY16
29,643
12.8
20,366
5,015
4,262
14.4
454
106
181
407
4,289
1,169
27.3
-26
3,094
0
3,094
17.0
(INR Million)
FY17E
FY18E
31,414
6.0
21,400
5,183
4,831
15.4
471
159
411
303
4,914
1,376
28.0
-20
3,518
0
3,518
13.7
36,232
15.3
24,284
5,886
6,062
16.7
543
129
603
223
6,214
1,740
28.0
-20
4,454
0
4,454
26.6
FY11
433
4,027
4,460
-
2,392
6,852
5,480
-2,007
3,473
50
744
5,558
246
836
1,876
1,100
916
584
2,973
997
1,682
294
2,585
6,852
FY12
434
5,325
5,759
-
2,755
8,514
6,045
-2,269
3,776
27
583
7,869
468
950
2,911
1,745
1,142
654
3,741
1,337
1,884
521
4,128
8,514
FY13
436
6,853
7,289
-
2,353
9,642
6,341
-2,372
3,969
25
545
8,035
417
1,049
3,354
1,420
856
937
2,931
1,059
1,556
315
5,104
9,642
FY14
438
9,017
9,455
11
2,032
11,498
6,503
-2,287
4,215
21
608
10,015
1,478
1,288
3,581
1,458
817
1,392
3,361
1,507
1,385
468
6,654
11,498
FY15
443
11,127
11,570
12
1,396
12,977
8,201
-2,728
5,474
14
617
11,240
931
1,226
4,539
1,960
880
1,704
4,368
1,305
2,426
637
6,872
12,977
FY16
446
13,812
14,258
39
1,878
16,175
8,889
-3,182
5,706
17
517
13,989
1,016
1,259
5,427
2,823
1,072
2,392
4,054
1,643
2,118
293
9,935
16,175
(INR Million)
FY17E
FY18E
446
446
16,506
19,887
16,952
20,333
39
39
1,628
1,378
18,619
21,750
9,289
-3,653
5,635
13
619
17,815
1,116
1,205
5,752
6,072
1,136
2,535
5,462
2,185
2,913
364
12,352
18,619
9,739
-4,197
5,542
9
721
21,678
1,216
1,290
6,634
8,311
1,310
2,918
6,199
2,480
3,306
413
15,479
21,750
4 July 2016
32

Zensar Technologies
Financials and Valuations
Ratios
Y/E March
Basic (INR)
EPS
Cash EPS
Book Value
DPS
Payout %
Valuation (x)
P/E
Cash P/E
EV/EBITDA
EV/Sales
Price/Book Value
Dividend Yield (%)
Profitability Ratios (%)
RoE
RoCE
RoIC
Turnover Ratios
Debtors (Days)
Fixed Asset Turnover (x)
E: MOSL Estimates
(INR Million)
FY17E
FY18E
77.6
158.5
373.8
15.5
20.0
98.2
210.0
448.3
20.2
20.6
FY11
30.5
31.2
103.3
3.5
11.5
FY12
36.6
51.0
132.7
7.0
19.1
FY13
40.2
42.3
167.9
8.0
20.0
FY14
54.7
67.7
217.9
10.1
18.4
FY15
61.0
66.6
266.6
11.2
18.4
FY16
68.2
84.6
314.4
12.0
17.6
17.9
14.5
12.2
1.8
4.5
1.0
16.1
14.7
11.2
1.5
3.7
1.1
14.4
11.6
9.9
1.4
3.1
1.2
12.2
6.0
7.7
1.2
2.5
1.6
9.7
4.5
5.7
1.0
2.1
2.1
34.0
23.4
39.7
31.1
26.2
22.1
26.7
30.3
24.4
28.4
30.8
25.8
25.2
28.6
25.1
24.0
28.5
24.7
22.5
27.2
26.4
23.9
28.9
33.6
79
3.3
73
4.7
74
5.3
78
5.5
86
4.8
96
5.2
96
5.6
96
6.5
Cash Flow Statement
Y/E March
CF from Operations
Cash for Working Capital
Net Operating CF
Net Purchase of FA
Free Cash Flow
Net Purchase of Invest.
Net Cash from Invest.
Proc. from equity issues
Proceeds from LTB/STB
Dividend Payments
Cash Flow from Fin.
Exchange difference
Net Cash Flow
Opening Cash Bal.
Add: Net Cash
Closing Cash Bal.
E: MOSL Estimates
FY11
1,014
392
1,406
-272
1,134
-3,129
-3,401
11
1,886
-138
1,759
36
-200
1,299
-200
1,100
FY12
2,281
-546
1,735
-263
1,472
-190
-452
10
-320
-329
-640
6
649
1,096
649
1,745
FY13
2,212
-1,152
1,060
-334
726
87
-247
16
-776
-379
-1,139
8
-318
1,739
-318
1,420
FY14
2,720
-625
2,094
-323
1,771
-961
-1,284
59
-422
-411
-774
10
46
1,413
46
1,458
FY15
2,823
382
3,206
-372
2,834
-1,448
-1,819
62
-395
-542
-874
0
512
1,448
512
1,960
FY16
3,805
-1,218
2,587
-423
2,164
1
-422
42
-375
-969
-1,302
0
863
1,960
863
2,823
(INR Million)
FY17E
FY18E
4,148
5,127
831
-887
4,980
4,239
-396
-446
4,584
3,793
-102
-102
-498
-548
0
0
-409
-379
-824
-1,073
-1,233
-1,452
0
0
3,248
2,239
2,823
6,072
3,248
2,239
6,072
8,311
4 July 2016
33

REPORT GALLERY
RECENT INITIATING COVERAGE REPORTS

Zensar Technologies
NOTES
4 July 2016
35

Disclosures
Zensar
be distributed by it and/or
This document has been prepared by Motilal Oswal Securities Limited (hereinafter referred to as Most) to provide information about the company (ies) and/sector(s), if any, covered in the report and may
Technologies
its
affiliated company(ies). This report is for personal information of the selected recipient/s and does not construe to be any investment, legal or taxation advice to you. This research report does not constitute an offer, invitation or
inducement to invest in securities or other investments and Motilal Oswal Securities Limited (hereinafter referred as MOSt) is not soliciting any action based upon it. This report is not for public distribution and has been furnished to
you solely for your general information and should not be reproduced or redistributed to any other person in any form. This report does not constitute a personal recommendation or take into account the particular investment
objectives, financial situations, or needs of individual clients. Before acting on any advice or recommendation in this material, investors should consider whether it is suitable for their particular circumstances and, if necessary, seek
professional advice. The price and value of the investments referred to in this material and the income from them may go down as well as up, and investors may realize losses on any investments. Past performance is not a guide for
future performance, future returns are not guaranteed and a loss of original capital may occur.
MOSt and its affiliates are a full-service, integrated investment banking, investment management, brokerage and financing group. We and our affiliates have investment banking and other business relationships with a some
companies covered by our Research Department. Our research professionals may provide input into our investment banking and other business selection processes. Investors should assume that MOSt and/or its affiliates are
seeking or will seek investment banking or other business from the company or companies that are the subject of this material and that the research professionals who were involved in preparing this material may educate investors
on investments in such business . The research professionals responsible for the preparation of this document may interact with trading desk personnel, sales personnel and other parties for the purpose of gathering, applying and
interpreting information. Our research professionals are paid on twin parameters of performance & profitability of MOSt.
MOSt generally prohibits its analysts, persons reporting to analysts, and members of their households from maintaining a financial interest in the securities or derivatives of any companies that the analysts cover. Additionally, MOSt
generally prohibits its analysts and persons reporting to analysts from serving as an officer, director, or advisory board member of any companies that the analysts cover. Our salespeople, traders, and other professionals or affiliates
may provide oral or written market commentary or trading strategies to our clients that reflect opinions that are contrary to the opinions expressed herein, and our proprietary trading and investing businesses may make investment
decisions that are inconsistent with the recommendations expressed herein. In reviewing these materials, you should be aware that any or all of the foregoing among other things, may give rise to real or potential conflicts of interest.
MOSt and its affiliated company(ies), their directors and employees and their relatives may; (a) from time to time, have a long or short position in, act as principal in, and buy or sell the securities or derivatives thereof of companies
mentioned herein. (b) be engaged in any other transaction involving such securities and earn brokerage or other compensation or act as a market maker in the financial instruments of the company(ies) discussed herein or act as an
advisor or lender/borrower to such company(ies) or may have any other potential conflict of interests with respect to any recommendation and other related information and opinions.; however the same shall have no bearing
whatsoever on the specific recommendations made by the analyst(s), as the recommendations made by the analyst(s) are completely independent of the views of the affiliates of MOSt even though there might exist an inherent
conflict of interest in some of the stocks mentioned in the research report Reports based on technical and derivative analysis center on studying charts company's price movement, outstanding positions and trading volume, as
opposed to focusing on a company's fundamentals and, as such, may not match with a report on a company's fundamental analysis. In addition MOST has different business segments / Divisions with independent research
separated by Chinese walls catering to different set of customers having various objectives, risk profiles, investment horizon, etc, and therefore may at times have different contrary views on stocks sectors and markets.
Unauthorized disclosure, use, dissemination or copying (either whole or partial) of this information, is prohibited. The person accessing this information specifically agrees to exempt MOSt or any of its affiliates or employees from,
any and all responsibility/liability arising from such misuse and agrees not to hold MOSt or any of its affiliates or employees responsible for any such misuse and further agrees to hold MOSt or any of its affiliates or employees free
and harmless from all losses, costs, damages, expenses that may be suffered by the person accessing this information due to any errors and delays. The information contained herein is based on publicly available data or other
sources believed to be reliable. Any statements contained in this report attributed to a third party represent MOSt’s interpretation of the data, information and/or opinions provided by that third party either publicly or through a
subscription service, and such use and interpretation have not been reviewed by the third party. This Report is not intended to be a complete statement or summary of the securities, markets or developments referred to in the
document. While we would endeavor to update the information herein on reasonable basis, MOSt and/or its affiliates are under no obligation to update the information. Also there may be regulatory, compliance, or other reasons that
may prevent MOSt and/or its affiliates from doing so. MOSt or any of its affiliates or employees shall not be in any way responsible and liable for any loss or damage that may arise to any person from any inadvertent error in the
information contained in this report. MOSt or any of its affiliates or employees do not provide, at any time, any express or implied warranty of any kind, regarding any matter pertaining to this report, including without limitation the
implied warranties of merchantability, fitness for a particular purpose, and non-infringement. The recipients of this report should rely on their own investigations.
This report is intended for distribution to institutional investors. Recipients who are not institutional investors should seek advice of their independent financial advisor prior to taking any investment decision based on this report or for
any necessary explanation of its contents.
Most and it’s associates may have managed or co-managed public offering of securities, may have received compensation for investment banking or merchant banking or brokerage services, may have received any compensation
for products or services other than investment banking or merchant banking or brokerage services from the subject company in the past 12 months.
Most and it’s associates have not received any compensation or other benefits from the subject company or third party in connection with the research report.
Subject Company may have been a client of Most or its associates during twelve months preceding the date of distribution of the research report
MOSt and/or its affiliates and/or employees may have interests/positions, financial or otherwise of over 1 % at the end of the month immediately preceding the date of publication of the research in the securities mentioned in this
report. To enhance transparency, MOSt has incorporated a Disclosure of Interest Statement in this document. This should, however, not be treated as endorsement of the views expressed in the report.
Motilal Oswal Securities Limited is registered as a Research Analyst under SEBI (Research Analyst) Regulations, 2014. SEBI Reg. No. INH000000412
Pending Regulatory inspections against Motilal Oswal Securities Limited:
SEBI pursuant to a complaint from client Shri C.R. Mohanraj alleging unauthorized trading, issued a letter dated 29th April 2014 to MOSL notifying appointment of an Adjudicating Officer as per SEBI regulations to hold inquiry and
adjudge violation of SEBI Regulations; MOSL replied to the Show Cause Notice whereby SEBI granted us an opportunity of Inspection of Documents. Since all the documents requested by us were not covered we have requested to
SEBI vide our letter dated June 23, 2015 to provide pending list of documents for inspection.
List of associate companies of Motilal Oswal Securities Limited -Click
here to access detailed report
Analyst Certification
The views expressed in this research report accurately reflect the personal views of the analyst(s) about the subject securities or issues, and no part of the compensation of the research analyst(s) was, is, or will be directly or
indirectly related to the specific recommendations and views expressed by research analyst(s) in this report. The research analysts, strategists, or research associates principally responsible for preparation of MOSt research receive
compensation based upon various factors, including quality of research, investor client feedback, stock picking, competitive factors and firm revenues
Disclosure of Interest Statement
Analyst ownership of the stock
Served as an officer, director or employee
ZENSAR TECHNOLOGIES
No
No
A graph of daily closing prices of securities is available at www.nseindia.com and http://economictimes.indiatimes.com/markets/stocks/stock-quotes
Regional Disclosures (outside India)
This report is not directed or intended for distribution to or use by any person or entity resident in a state, country or any jurisdiction, where such distribution, publication, availability or use would be contrary to law, regulation or which
would subject MOSt & its group companies to registration or licensing requirements within such jurisdictions.
For Hong Kong:
This report is distributed in Hong Kong by Motilal Oswal capital Markets (Hong Kong) Private Limited, a licensed corporation (CE AYY-301) licensed and regulated by the Hong Kong Securities and Futures
Commission (SFC) pursuant to the Securities and Futures Ordinance (Chapter 571 of the Laws of Hong Kong) “SFO”. As per SEBI (Research Analyst Regulations) 2014 Motilal Oswal Securities (SEBI Reg No. INH000000412) has
an agreement with Motilal Oswal capital Markets (Hong Kong) Private Limited for distribution of research report in Kong Kong. This report is intended for distribution only to “Professional Investors” as defined in Part I of Schedule 1 to
SFO. Any investment or investment activity to which this document relates is only available to professional investor and will be engaged only with professional investors.” Nothing here is an offer or solicitation of these securities,
products and services in any jurisdiction where their offer or sale is not qualified or exempt from registration. The Indian Analyst(s) who compile this report is/are not located in Hong Kong & are not conducting Research Analysis in
Hong Kong.
Motilal Oswal Securities Limited (MOSL) is not a registered broker - dealer under the U.S. Securities Exchange Act of 1934, as amended (the"1934 act") and under applicable state laws in the United States. In addition MOSL is not a
registered investment adviser under the U.S. Investment Advisers Act of 1940, as amended (the "Advisers Act" and together with the 1934 Act, the "Acts), and under applicable state laws in the United States. Accordingly, in the
absence of specific exemption under the Acts, any brokerage and investment services provided by MOSL, including the products and services described herein are not available to or intended for U.S. persons.
This report is intended for distribution only to "Major Institutional Investors" as defined by Rule 15a-6(b)(4) of the Exchange Act and interpretations thereof by SEC (henceforth referred to as "major institutional investors"). This
document must not be acted on or relied on by persons who are not major institutional investors. Any investment or investment activity to which this document relates is only available to major institutional investors and will be
engaged in only with major institutional investors. In reliance on the exemption from registration provided by Rule 15a-6 of the U.S. Securities Exchange Act of 1934, as amended (the "Exchange Act") and interpretations thereof by
the U.S. Securities and Exchange Commission ("SEC") in order to conduct business with Institutional Investors based in the U.S., MOSL has entered into a chaperoning agreement with a U.S. registered broker-dealer, Motilal Oswal
Securities International Private Limited. ("MOSIPL"). Any business interaction pursuant to this report will have to be executed within the provisions of this chaperoning agreement.
The Research Analysts contributing to the report may not be registered /qualified as research analyst with FINRA. Such research analyst may not be associated persons of the U.S. registered broker-dealer, MOSIPL, and therefore,
may not be subject to NASD rule 2711 and NYSE Rule 472 restrictions on communication with a subject company, public appearances and trading securities held by a research analyst account.
For Singapore
Motilal Oswal Capital Markets Singapore Pte Limited is acting as an exempt financial advisor under section 23(1)(f) of the Financial Advisers Act(FAA) read with regulation 17(1)(d) of the Financial Advisors Regulations and is a
subsidiary of Motilal Oswal Securities Limited in India. This research is distributed in Singapore by Motilal Oswal Capital Markets Singapore Pte Limited and it is only directed in Singapore to accredited investors, as defined in the
Financial Advisers Regulations and the Securities and Futures Act (Chapter 289), as amended from time to time.
In respect of any matter arising from or in connection with the research you could contact the following representatives of Motilal Oswal Capital Markets Singapore Pte Limited:
Varun Kumar
Varun.kumar@motilaloswal.com
Contact : (+65) 68189232
Office Address:21 (Suite 31),16 Collyer Quay,Singapore 04931
Kadambari Balachandran
kadambari.balachandran@motilaloswal.com
(+65) 68189233 / 65249115
For U.S
4 July 2016
Motilal Oswal Tower, Level 9, Sayani Road, Prabhadevi, Mumbai 400 025
Phone: +91 22 3982 5500 E-mail: reports@motilaloswal.com
Motilal Oswal Securities Ltd
36