Detailed Report | 4 July 2016
Sector: Consumer
Colgate
Brand
R&D
Distribution
Secure moats, growth opportunity protected
Krishnan Sambamoorthy
(Krishnan.Sambamoorthy@MotilalOswal.com); +91 22 3982 5428
Gautam Duggad
(Gautam.Duggad@MotilalOswal.com); +912239825404 /
Vishal Punmiya
(Vishal.Punmiya@MotilalOswal.com)
Investors are advised to refer through important disclosures made at the last page of the Research Report.
Motilal Oswal research is available on www.motilaloswal.com/Institutional-Equities, Bloomberg, Thomson Reuters, Factset and S&P Capital.

Colgate
Contents
Summary ............................................................................................................. 3
Category growth potential .................................................................................... 5
Key moats ............................................................................................................ 6
Market share loss in the past three quarters ....................................................... 16
Colgate’s strong response ................................................................................... 17
Financials ........................................................................................................... 21
Financials and valuations .................................................................................... 27
4 July 2016
2

Colgate
Initiating Coverage | Sector: Consumer
Colgate
BSE Sensex
27,279
S&P CNX
8,371
CMP: INR925
TP: INR1,090 (+18%)
Upgrade to Buy
Motilal Oswal
values your support in
the Asiamoney Brokers Poll 2016 for
India Research, Sales and Trading team.
We
request your ballot.
Secure moats, growth opportunity protected
Fighting back by focusing on innovations, increasing ad spend and core
strengths
We are upgrading Colgate to Buy based on the following factors:
Strong potential for growth in the category.
Encouraging response to competitive intensity in the form of renewed focus on
new launches and advertising, which has already helped arrest market share
decline in the past two months after a period of subdued performance.
Management’s confidence on growth prospects in our recent meeting.
Colgate’s extremely strong moats on distribution, category development efforts,
brand strength, concentrated focus in oral care and demonstrated success of its
Indian R&D center.
Remarkable track record in tackling competition in oral care, both in India and
other emerging markets.
While recovery in sector demand is still some time away, and competitive
intensity is likely to remain high in FY17, likely good monsoon and government
schemes are expected to provide a fillip to demand. Colgate, with over a third of
its sales coming from rural India, is likely to be a major beneficiary. Colgate’s long-
term earnings growth potential remains high, return ratios best of breed, OCF and
FCF generation impressive, and the stock’s valuations appear reasonable post the
decline of 16% in its price from its peak levels. P/B is close to decadal lows, and
P/E is lower than both five-year average and MNC peer multiples.
Stock Info
Bloomberg
Equity Shares (m)
52-Week Range (INR)
1, 6, 12 Rel. Per (%)
M.Cap. (INR b)/ (USD b)
Avg Val ( INR m)
Free float (%)
CLGT IN
272.0
1,050/788
5/-12/-7
251.6/ 3.7
370
49.0
Financials Snapshot (INR b)
Y/E Mar
2016 2017E
Sales
41.3
45.7
EBITDA
9.3
10.6
Adj. PAT
6.0
6.5
Adj. EPS (INR)
22.0
23.8
EPS Gr. (%)
6.9
8.5
BV/Sh.(INR)
37.5
41.9
RoE (%)
66.8
60.1
RoCE (%)
65.9
58.9
P/E (x)
42.1
38.8
P/BV (x)
24.7
22.1
2018E
52.5
12.8
7.9
28.9
21.4
45.2
66.5
65.3
32.0
20.4
Category growth potential:
India’s oral care category per capita consumption
and premiumization are among the lowest even in comparison to that in the
other emerging markets. If India manages to achieve China’s current levels over
the next decade, its oral care market size (currently ~INR 76bn) will quadruple
from current levels, translating to potential 15% CAGR category growth for the
next decade.
Strength of moats compared to peers:
Colgate has the advantages of the
following moats: (1) By far the
best distribution reach in oral care
with over 5m
outlets (and in fact the second best across all FMCG products); this strength is
being consolidated with a significant increase in rural coverage over the past
few years; (2) Unmatched category development efforts in schools, a cumulative
reach of 125m school children and 5.5m people in villages, enabling it unlock
category growth potential; (3) The
most dominant brand
(more than 3x market
share of any other brand in oral care), as well as the most trusted brand (rated
no. 1 by Brand Equity in each of the past five years and the only brand in the
entire consumer space to be in the Top 3 in the last 15 years; (4)
benefits of
concentration of focus in oral care.
With 97% of sales for the company coming
from oral care, a category that it dominates, Colgate is able to channel its vast
cash flows into advertising and capacity expansion unlike peers for whom oral
care is at best 10% of sales. Colgate has by far the best A&P muscle in the
category with annual spend of over INR7b, enhancing brand moat.
3
4 July 2016

Colgate
Shareholding pattern (%)
Mar-16 Dec-15 Mar-15
Promoter
51.0
51.0
51.0
DII
18.3
6.1
5.0
FII
6.0
18.3
20.8
Others
24.7
24.6
23.2
FII Includes depository receipts
Colgate is able to spend an unrivalled amount of INR 12.6b between FY14-FY17E in
state-of-the-art facilities, thereby not only augmenting capacities and attaining large
scale benefits, but also gaining on ability to roll out higher quality and premium
products faster and on logistics costs as a result of being closer to suppliers and
large markets; and (5)
Significant contributions from its India R&D center,
one of
Colgate’s few global innovation centers, which has enabled successful roll out of
herbal/natural products.
Past track record highly encouraging:
Over the past 25 years, Colgate has emerged
even stronger during periods of heightened competitive activity. The industry has
witnessed various trends in the past, such as (1) Hindustan Lever (HUL) launching gel
toothpaste in the 1990s (2) Advent of lower-end players and herbal players, in the
last decade (3) Launches in the premium segment by Glaxo (4) Launch of Oral B
toothpaste by P&G and (5) Spike in HUL’s advertising activity. However, by
responding to these with new product launches, and aided by its distribution reach
and ad spend, Colgate has eventually been able to capitalize on all new trends and
increase its market share to multi-decade high levels as recently as June 2015.
Stock Performance (1-year)
Top-line growth levers:
Given category development potential, Colgate’s strong
moats, slew of new launches in the herbal as well as the much larger non-herbal
segment and recovery in the rural segment where Colgate has significantly
expanded its reach in the last few years, we believe the company is well poised not
only to arrest its recent market share decline, but also to resume market share gains
over the medium to long term.
Margin and return ratios:
We believe that continued category premiumization, a
reversal to mean A&P of 14-16% of sales in the medium term and strong operating
leverage after volume recovery sets in could add ~300bp to Colgate’s EBITDA margin
over the next three years. Colgate’s massive capex plan of around INR3b per year
over FY14-17 coincided with the recent slowdown in FMCG demand, resulting in a
loss of close to 150bp in other expenses to sales for the past two years. As demand
recovers and Colgate’s margins expand, there should be further improvement in its
return ratios and dividend payout levels, which are better in comparison to its peers,
but below the company’s historically high levels.
Upgrade to Buy:
After the 16% decline in the stock price from its peak, Colgate is
now trading at 32x FY18E EPS, a discount to both its MNC peers like HUL, Nestle and
PGHH as well as its own historical average 1-year forward multiples for the past five
years. On P/B, the stock is trading closer to a decadal low. After being taken by
surprise by Patanjali, we are encouraged by the strong response in the form of slew
of new launches and increased adspend, which has enabled market share gains in
the past two months after some losses in the preceding three quarters in what has
been otherwise a consistent uptrend in market share to multi-decade highs until
June 2015. With resumption of healthy earnings growth from FY18, and given best
of breed return ratios, likely increase in already impressive operating and free cash
flows as well as dividend payout going forward, we target 36x June 2018 multiple (in
line with average 1-year forward multiple for the past five years), giving us TP of INR
1,090 (INR 942 earlier) and potential upside of 18%, resulting in upgrade to
Buy.
4 July 2016
4

Colgate
Category growth potential
India’s oral care category per capita consumption and premiumization are
among the lowest even in comparison to that in the other emerging markets. If
India manages to achieve China’s current levels over the next decade, its oral
care market size (currently ~INR 76bn) will quadruple from current levels,
translating to potential 15% CAGR category growth for the next decade.
Exhibit 2: Market size to double if India’s ASP reaches
China’s levels
Average Selling Price ($) Per KG of Toothpaste
Exhibit 1: Market size to double if India’s PCC reaches
China’s levels
Brazil
692
USA
Philipines
China
India
Per capita consumption
- 2015 (gms/1000)
519
352
237
179
3x
1.9x
1.6x
x
10
Brazil
6
India
18
Brazil
USA
Philipines
China
India
USA
12
China
Source: Company, MOSL
Source: Company, MOSL
Number of Indians brushing twice a day even in urban areas is less than 20%. As
awareness of hygiene levels increases, per capita consumption could rise
significantly.
In India, premium segment is less than 20% of sales, despite strong growth in
recent years. Brazil, another BRIC peer, has witnessed a huge increase in
premiumization in oral care in the past decade from 18% to 41%.
Exhibit 3: Premium innovation drove market share growth in Brazil
Base Business
Premium
18.1
19.6
24.4
32.6
34.2
35.6
38.5
38.4
38.2
39.2
39.8
40.8
41.8
42.7
39.9
34.5
34.7
34.4
32.2
2010
32.2
2011
33.0
2012
32.2
2013
31.7
31.3
2004
2005
2006
2007
2008
2009
2014 2015B
Source: Company, MOSL
Given that realization in premium products is anywhere between 2x and 3.6x that of
the basic Colgate Dental Cream, India’s premiumization potential is high even if
India does not track Brazil’s scorching pace of premiumization over the next 10
years.
4 July 2016
5

Colgate
Key moats
The key moats for Colgate are
1) Distribution reach, particularly rural reach
Colgate has the
best distribution reach in the oral care category
with over 5m
outlets in India.
In fact, it is the second best distributed FMCG brand in the country
after HUL’s Lifebuoy.
Colgate is also much stronger than its peers in rural India.
Colgate’s expansion in
recent years has only widened the gap between itself and its peers in rural India.
Exhibit 4: Directly covered rural outlets have nearly doubled in 4 years
Rural India - Number of stores under direct coverage (mm)
1.3
1.0
0.8
1.1
1.4
2011
2012
2013
2014
2015
Source: Company, MOSL
Exhibit 5: Increase in rural distributor sales representatives
Rural India - Distributor Sales Reps
1372
1046
Exhibit 6: Large increase in number of villages covered
Rural India - Village Coverage ('000)
54
41
22
353
2012
2013
2014
Source: Company, MOSL
2012
2013
2014
Source: Company, MOSL
Exhibit 7: Rural distribution vans grew 3x over 2012-15
Rural distribution vans
3x
801
951
1,031
340
2012
2013
2014
2015
Source: Company, MOSL
4 July 2016
6

Colgate
Globally, Colgate has had experience in leading distribution increase and deriving
advantages from it, leading to strong sales growth and market share gains. In both
2014 and 2015, Colgate was chosen as the top brand in the world in the Kantar
Worldpanel brand Footprint report. Colgate globally is:
a. The leading beauty and wellness brand globally in terms of
Customer Reach
Points (CRP) with 67.7% reach (the rest of the top 10 reach only 25% on an
average).
b. Leader in addition of households last year (with 40m households added as
customers worldwide in CY15).
Exhibit 8: Distribution reach is a global advantage
Source: Kantar Worldpanel, Company, MOSL
Exhibit 9: Added 40m households globally in the last year itself
Source: Kantar Worldpanel, Company, MOSL
4 July 2016
7

Colgate
2)
Benefits of massive category development efforts
Colgate’s category development plans are unmatched not just in oral care, but
across all FMCG segments in India.
For many years now, Colgate has been at
the forefront of driving category growth, which enables it to take first-mover
advantage in a category with high growth potential.
Until FY15, the company’s Bright Smiles Bright Futures Program had reached a
total of 125m school children in nearly 300,000 schools across the country,
including 10m kids in nearly 30,000 schools in FY15 itself. In addition, the
company’s Oral Health Month Program, in association with dentists, reached
5.5m people in villages last year.
No other company in any Indian FMCG
category has category development efforts on schools and villages anywhere
even close to this scale.
With over 300m people in India not using modern oral care products, these
programs are an excellent way of conversion. For a lot of the potential
incremental customers, Colgate, because of such efforts, is the first and only
oral care brand that they are aware of. With the widest distribution in the
category, as discussed earlier, Colgate is also likely to be the only oral care brand
available in many areas as well.
Similar to the way Colgate has used its global distribution advantage compared
to peers, it has also been able to drive growth and market share gain through its
category development programs.
While India is a significant part of these efforts, it is by no means the only part.
As discussed earlier, in India, Colgate has cumulatively reached 125m school
children. The corresponding number is ~850m school children worldwide for the
parent and a crucial factor in its emerging market sales growth. Incrementally,
India with 10m school kids reached every year has been a fifth of the global
incremental reach of 50m every year.
Exhibit 10: Global category development program picking up pace
Source: Company, MOSL
4 July 2016
8

Colgate
Interestingly, while the incremental addition of children reached by the global
program was 50m each year earlier, this is now being considerably ramped up to
90m each year (to reach 1.3bn children cumulatively by 2020), with possibly
higher targets for India as well.
These global efforts on both category development as well as distribution have
meant that Colgate is far ahead of peers globally, with a 44% market share in
toothpastes compared to less than 14% for other players.
Over the last 20 years, Colgate’s share in the global toothpaste market has
increased from 31% to 45%, while that of P&G and Unilever has declined from
16-17% to 13%.
In emerging markets, Colgate’s share in toothpastes is even higher at ~50%, with
the second largest player being far behind at 10%.
Exhibit 11: Worldwide toothpaste market share (%)
43.7
31.0
Comp. 2
16.2
13.7
8.2
13.4
17.0
8.6
Comp. 1
Colgate
10.0
50.7
Source: Company, MOSL
8.9
1994
2015
Comp. 3
7.2
Exhibit 12: Toothpaste share - Emerging markets (%)
2015 YTD
Colgate
Comp. 1
Comp. 2
Comp. 3
Source: Company, MOSL
Exhibit 13: Market share in India has increased in the last 10 years
CP Toothpaste
48.8
25.1
49.4
24.6
52.2
22.8
12.9
53.3
52.7
23.3
14.8
Comp 1
54.5
56.1
56.8
Comp 2
57.2
55.7
22.6
13.7
23.8
13.9
22.8
13.4
21.7
13.4
19.8
14.0
19.4
15.5
11.9
12.2
Source: Company, MOSL
In India too, there has been a steep increase in market share for Colgate in
toothpastes over the last 10 years. Toothpaste is ~80% of the Indian oral care
market.
Colgate is also the market leader in India, with a consistently increasing share in
the other large component of the oral care market, toothbrushes (around 17%
of the oral care market).
4 July 2016
9

Colgate
Exhibit 14: Market share in toothbrush is 2.9x of the next competitor
CP Toothbrush
38.4
38.0
39.8
Comp 1
42.3
Comp 2
42.8
44.5
46.2
33.4
35.9
17.8
11.4
5.9
2008
11.9
6.4
2009
14.8
7.2
2010
18.8
18.4
18.4
17.8
15.7
10.9
YTD2016
7.2
2011
6.7
2012
7.5
2013
8.0
2014
9.4
2015
Source: Company, MOSL
Colgate is also the largest player globally in toothbrushes, both manual and
automatic.
3) Advantage of singular focus in a category where they have unmatched global
expertise.
Single category focus in oral care, a key area of strength both in India and
globally, gives Colgate benefits of concentration of ad spend and cash flows
which other players cannot match. This increases barriers to entry over other
players.
Colgate has by
far the best A&P
muscle in the category with an A&P spend of
over INR7bn and 17% as a percentage to sales, among the highest for any player
in any single category in Indian FMCG. Oral care forms 97% of Colgate’s total
sales unlike peers for whom the category is much lower in salience. For Dabur,
the segment is only ~10% of sales, while for HUL oral care is only ~6% of sales.
Exhibit 15: Only Glaxo Consumer in FMCG and Asian Paints among consumer peers can match Colgate’s single category A&P
Ad spends (INR b)
FY16
45
9
Asian
Paints
6
7
7
4
7
7
9
ITC
2
Jyothy
Labs
6
Marico -
S/L
5
Nestle
Britannia - Colgate Dabur - S/L Emami -
Godrej
GSK
Hind.
S/L
S/L
Consumer Consumer Unilever
- S/L
Source: Company, MOSL
4 July 2016
10

Colgate
Exhibit 16: …. and only Emami is slightly superior on a percentage to sales basis, but well below Colgate on absolute basis
Ad spends as a % of sales
17
12
6
8
2
Britannia - Colgate Dabur - S/L Emami -
Godrej
GSK
Hind.
S/L
S/L
Consumer Consumer Unilever
- S/L
ITC
Jyothy
Labs
Marico -
S/L
19
14
FY16
15
14
12
12
6
Asian
Paints
Nestle
Source: Company, MOSL
Consistently higher advertising ahead of peers creates higher awareness,
strengthens brand power and facilitates immense support for new launches.
Apart from the benefits of concentrated large advertising on oral care, unlike
peers, Colgate also has access to the war chest of OCF between INR5-6bn every
year to invest in the oral care business, unlike peers. Colgate has spent/will be
spending ~INR12.5bn between FY14-FY17 on first setting up state-of-the-art
toothpaste and toothbrush facilities at Sanand and Sri City in FY14 and FY15, and
subsequently expanding capacities substantially in both these centers in FY16
and FY17, also an indication of the parent’s confidence about the Indian entity’s
prospects.
These capital investments enable faster roll out of better quality and premium
products, attain logistical benefits due to being closer to suppliers as well as
customers unlike just the Baddi and Goa plants earlier. These investments will
also help enhance scale advantages even further compared to oral care peers
who cannot match such massive investments in a single category. With state-of-
the-art manufacturing, there is also potential to be a regional sourcing hub.
Exhibit 17: Healthy operating cash flows…
OCF (INR b)
7.2
5.2
6.0
5.5
3.6
2.9
3.0
3.0
Exhibit 18: …. enable to fund large capex plans
Capex (INR b)
FY14
FY15
FY16
FY17E
FY14
FY15
FY16
FY17E
Source: Company, MOSL
Source: Company, MOSL
Putting these investments by Colgate in perspective, over the period between
FY14-FY17, Hindustan Unilever, India’s largest FMCG company and the second
largest player in the oral care market, is likely to invest only ~INR16bn in
capacity expansion across all its categories and oral care is less than 10% of its
sales. Dabur is likely to invest only ~INR6bn as capital expansion over this period
across all its businesses, of which oral care is only ~10% of sales.
4 July 2016
11

Colgate
Another point to note is that Dabur and HUL’s total sales across are ~2x and ~8x
higher respectively on total sales compared to Colgate, but ongoing capacity
expansion investments are much lower on a proportionate basis.
These investments will go a long way placing Colgate in a sweet spot compared
to peers in taking advantage of the large growth opportunity in the sector as
highlighted earlier.
4) Brand strength
Colgate most dominant brand
at more than 3x any other brand in terms of
market share and importantly is consistently rated as the most trusted brand
across all FMCG products, according to Brand Equity Survey. In fact it is the only
brand in India to be consistently in the Top 3 for the last 15 years.
Exhibit 19: India’s most trusted brand
Source: Company, MOSL
This trust is an important factor in a large part of both existing customers as
well as incremental customers staying with the brand. Since Colgate is the
market leader as well as the biggest gainer of incremental customers
through the category development efforts, the brand trust acts as a strong
moat. Moreover, it has the advantage of being in the personal hygiene
segment, where there is a larger degree of loyalty compared to other FMCG
categories.
5) India R&D Centre – The success of
Indian R&D center
has enabled product
innovation. India is one of the few global technology centres for Colgate.
Unlike foods where products have to be customized to a large extent for
local tastes, MNCs in personal care generally roll out the same products
worldwide. Colgate has been an exception on that front and its Indian R&D
center has enabled strong roll out of innovative products for India
particularly in the herbal/ natural space even before the recent boom. This
enables them to participate actively in the ongoing herbal segment boom in
India. Colgate Active Salt and Colgate Active Salt Neem have over 7% market
share in toothpaste category, and over one-third share in herbal space, an
area perceived to be a relatively weak for Colgate. Within this, Active Salt
Neem launched just last year already has over 1% market share.
4 July 2016
12

Colgate
Exhibit 20: Recent herbal/natural segment launches in India
Source: Company, MOSL
In addition, the company also has access to innovations as a result of the parent
R&D spend of over USD 250m every year. Oral care is half of the parent sales.
Its competitors in oral care in India have no such advantages.
Other strengths
Colgate in India has the
widest portfolio
among its peers, which enables them
to have a share in all segments of the market and across price points. Colgate is
thus able to take advantage of all trends, unlike peers, all of whom have
portfolio gaps. These trends can be within the existing sub segments, but
Colgate as a result of its global and particularly emerging markets expertise in
oral care is able to anticipate or respond nimbly to possibilities of new sub
segments emerging in the category. Colgate Visible White, launched only three
years ago, is already among the largest oral care brands in India.
Colgate’s R&D support from the parent, the largest oral care player in the world,
enables Colgate India both in terms of access to new products and R&D. Colgate
therefore need not be the market leader in all sub-segments, but will have a
strong share in all pies, leading to overall market share increase.
4 July 2016
13

Colgate
Exhibit 21: Products across all price points
Source: Company, MOSL
What is often missed amid the recent FMCG and oral care segment slowdown
and ongoing competitive intensity is Colgate India’s fairly recent
track record of
double-digit or close to double-digit volume growth
for 20 successive
quarters up to 3QFY14. When demand recovers, Colgate with all its strengths
and incremental investments in the business will be a big gainer.
Toothpaste Volume Growth (%)
15
11
14
14 15 15 14
12 13 13
11 11
11 11
11
Exhibit 22: Volume growth consistently close to double-digits until recent sector slowdown
15 14
18
8
9
Source: Company, MOSL
Colgate India’s increasing importance to the parent’s plan for Oral care
Colgate India’s oral care sales (97% of total India sales) are 8.3% of the parent’s
sales in the oral care segment globally and its total sales are 4% of the parent’s
total sales. This makes the India oral care business highly influential in the global
scheme of things for the parent, which will strive to do everything in its power
to grow this business over the long term.
Exhibit 24: …as well as overall portfolio
Colgate India sales (USD m)
Colgate India sales as a % of Colgate global sales
4.0
3.7
3.3
3.4
577
2012
3.5
603
2013
647
2014
643
2015
Exhibit 23: Increase in salience of India oral care business in
parent’s oral care portfolio…
Colgate oral care sales (USD m)
Colgate India oral care as a % of Colgate global oral care sales
7.9
7.5
7.3
8.3
7.5
543
2011
560
2012
584
2013
628
2014
624
2015
559
2011
Source: Company, MOSL
Source: Company, MOSL
4 July 2016
14

Colgate
During our recent meeting with the MD and CFO of the India business, we were
enthused by the reiteration of their confidence on the business prospects. Some
takeaways from that meeting in relation to growth prospects were:
The company’s performance in each country is measured across a few key
metrics, such as volume growth, gross margin and market share. Achieving a YoY
improvement is crucial in every country and the company sets targets in
conjunction with regional teams. For developing and high growth economies,
the company sets goals which are higher than that for other countries.
Achieving volume growth is a key priority for the company. The management
believes that there is immense room for volume growth as penetration and
consumption led room is still very high in India.
The company’s volume growth will also be boosted by the occasional users of its
oral care products turning into regular users.
India’s infrastructure development will help the company reach more rural
markets as will its own expansion.
Rural expansion:
Colgate has expanded rapidly over the past few years. The
company will always continue to work on rural expansion.
Colgate aims to drive habit changes through kids who are seen as the change
agents in hygiene.
Pricing vs. disposable income:
Indian pricing is one of the lowest in the regions,
with the INR5 and INR10 price points being very crucial.
Oral care is the company’s bread and butter and the management will take all
measures required to drive growth in this category.
Colgate is carrying out test marketing in South India to understand the
consumer’s brushing habits (brushing twice a day). The company has divided
households into two sets - those where members brush their teeth twice a day
and where members brush once a day. The company is still monitoring the
results, which have been encouraging so far.
There is still significant room for growth in oral care. Personal care is not yet a
focus area for the company and its ad-spend for this category will be largely in-
store
4 July 2016
15

Colgate
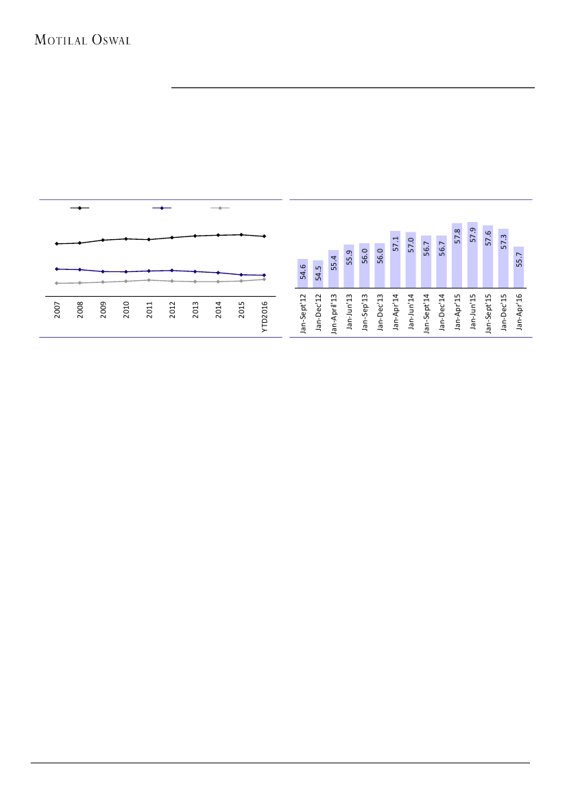
Market share loss in the past three quarters
Colgate India has reported market share decline for three quarters in a row from
September 2015 onwards. The company has effectively lost market share of 220bp
YoY over this period, of which the last reported period January-April 2016 itself
reported a 160bp decline sequentially.
Exhibit 25: Marginal market share losses recently check
long-term uptrend for the time being
CP Toothpaste
Comp 1
Comp 2
53.3 52.7 54.5 56.1 56.8 57.2 55.7
48.8 49.4 52.2
25.1 24.6 22.8 22.6 23.3 23.8 22.8 21.7
19.8 19.4
11.9
12.2 12.9
13.7 14.8 13.9 13.4
13.4 14.0
15.5
Exhibit 26: Colgate has lost 220bp market share over the
last three reported periods
Toothpaste Market Share (%)
Source: Company, MOSL
Source: Company, MOSL
The loss in market share has largely been due to
a. The ongoing herbal wave led by Patanjali, a recent entrant into the category.
b. Wider availability of Patanjali’s products, including its oral care products, in
modern retail stores like Big Bazaar, D-Mart, Reliance Fresh and Star Bazaar
among others, a process that started in October 2015.
4 July 2016
16

Colgate
Colgate’s strong response
What is noteworthy is that after being initially taken by surprise at Patanjali’s fast-
paced growth, Colgate’s management has responded quickly by launching new
products at a faster pace, both in herbal and non-herbal segment, and increasing its
A&P to sales in the last quarter.
Exhibit 27: New launches in recent times
Source: Company, MOSL
Exhibit 28: A&P to sales increased sharply in 4QY16
Ad Spend (%)
21 20
17
10 11
11 11
8
13
10
18
18
19
20
18
15
20
16 16
18
8.5
Source: Company, MOSL
In our recent meeting with the management:
We were informed that Colgate gained a market share of 70bp in toothpaste in
April 2016 (after a slip in February and March), followed by an additional gain of
10bp in May 2016, thereby arresting the decline in its market share in 4QFY16.
The management sounded far more confident than they appeared to be at the
company’s recent earnings call.
4 July 2016
17

Colgate
While it may still be too early to call out a recovery or stability in Colgate’s market
share for the near term, the company’s strong response to the new challenger is
highly encouraging, and it has been able to not just limit the damage, but also gain
market share in the last two months by 70bp and 10bp respectively.
Some other noteworthy factors about the market share trend
Colgate’s market share was at multi-decade high levels in June 2015 before
declining marginally.
The company’s market share had been increasingly steadily year after year,
indicating its growing dominance over its existing peers in the category.
The decline in Colgate’s market share for three quarters in a row from
September 2015 was mainly due to the start of the increasing availability of
Patanjali’s products across modern retail channels during that period,
a process
that is now complete.
Based on market share data for the past two months April and May, Colgate has
not only managed to arrest incremental loss of market share but also grow
market share and recover some of the losses in the preceding quarters.
Patanjali reaches only 200,000 outlets in terms of its reach in the traditional
retail front, which is 90% of the market in India for oral care as well as other
FMCG categories. Patanjali also has capacity and logistical challenges in meeting
demand from small retailers. While it is working to improve all of these issues,
we believe that its threat to mount the next phase of serious challenge to
Colgate in traditional retail where Colgate has access to 5m outlets is many
years away. By that time Colgate would not only be better prepared but also be
able to strengthen its moats further.
Colgate has also been able to participate in and benefit from the increased
salience of the herbal segment in toothpaste (which we reckon is now 19% of
the toothpaste market). Active Salt, Active Salt Neem and Colgate Herbal have a
share of about 7% of the toothpaste market, translating into a market share of
~37% for Colgate in the herbal space, which is healthy considering that the
company is often perceived as being weak in this segment. Historically, Colgate
tends to be an active participant in most trends in oral care even if it may not be
the market leader in that segment.
Herbal toothpaste still only ~19% of toothpaste segment. Colgate is relatively far
more dominant in the other sub segments, which are over 80% of the market
and also have huge growth potential.
For Colgate, the pace of new launches has picked up both in the herbal and non-
herbal categories.
4 July 2016
18

Colgate
Exhibit 29: Range of new launches across categories over last three years
Source: Company, MOSL
Comments from recent meeting with the India business MD and CFO on
competition and innovation
There will always be competition for Colgate and its rivals will continue to make
noise. The management aims outshout the competition.
The naturals space always existed, but has been expanded by
Vicco, Himalaya,
Dabur
and more recently,
Patanjali.
The sensitive segment had been the talk of the town 12-18 months ago, but
Ayurveda/naturals is now in the limelight.
There exists a misperception in the market that Colgate does not have a
presence in the herbal/naturals toothpaste space. Actually, the company has a
broad toothpaste portfolio with a presence across all sub-segments – strong
teeth, freshness, natural, herbal, whitening, sensitive as well as low unit packs.
Colgate is witnessing heightened innovation activities. Recently, the company
launched
Colgate Pain Out and Colgate Sensitive with Clove,
which are aimed at
providing quick relief from tooth pain and lasting relief from tooth sensitivity,
along with the goodness of an age-old home remedy, respectively.
The company can easily drive volume through promotions, but does not want to
do so.
One of the key competitors has lost significant market share in toothbrushes.
Colgate is not disregarding the possibility of P&G making a comeback in
toothpastes after failure of ‘Oral-B’ launch three years ago.
Past track record of response to competition extremely encouraging
In the early 90s, Colgate encountered competition from HUL’s new product,
Close up toothpaste
in the gel segment. The new
Close up
toothpaste did gain
market share in the initial years, though Colgate responded with Colgate Max
Fresh which gradually helped the company regain its lost market share in
toothpaste. As it stands today, Max Fresh is gaining market share in the top
three gel toothpaste consuming states and is the leader in Maharashtra, which
is the largest gel toothpaste market.
During the early part of the last decade, a slowdown in consumption as a result
of poor monsoons had led to the emergence of price warriors, such as Ajanta,
Amar and Anchor, who gained market share. Colgate responded by increasing
focus on its low own price brand, Colgate Cibaca which had been acquired in the
previous decade. Colgate leveraged on its fast expanding distribution reach,
19
4 July 2016

Colgate
focused on advertising and started its unparalleled efforts to develop the
category. These smaller brands have now been almost totally wiped out and
Colgate Cibaca is currently the dominant market leader in the lower price
segment.
In response to the earlier shift in preference for herbal in the last decade,
Colgate developed Colgate Herbal, Colgate Active Salt and Colgate Active Salt
Neem through its local R&D efforts. These products have a combined share of
7% of the overall toothpaste market, thus allowing Colgate to participate in the
previous herbal wave as well as in the current one. At 4% of global sales,
herbal/natural space is a category that the parent is also familiar with.
In response to the launch of Sensodyne by Glaxo, Colgate has launched a slew of
new premium products, such as Colgate Sensitive, Colgate Sensitive Pro Relief,
Colgate Visible White and more recently, Colgate Pain Out (which incidentally is
also an herbal product with clove). While Sensodyne is the leader in the
premium segment, Colgate is not far behind with its retinue of above brands.
In response to P&G’s launch of Oral B toothpaste in July 2013, and HUL’s
unprecedented advertising for Pepsodent on national television and print
media, directly claiming that Pepsodent was better than Colgate dental cream,
Colgate sharply increased its ad spend and quickened the pace of new product
launches. As a result, Colgate’s market share actually increased to multi-decade
high levels, while Oral B toothpaste had to exit the market, and Pepsodent’s
market share continued to decline.
Ad spends (INR b)
Ad spends as a % of sales
19.2
17.9
17.4
Exhibit 30: Colgate raises its A&P levels in response to P&G and HUL in FY14
14.7
3.0
FY10
15.2
3.5
FY11
15.3
4.1
FY12
15.4
4.9
FY13
6.9
FY14
7.1
FY15
7.2
FY16
Source: Company, MOSL
Colgate has always responded to any trend in a particular sub-segment in oral
care, thus ensuring its active participation in that segment despite not always
being the market leader in that space. This, along with its dominant position in
the other sub-segments, ensures a continuous improvement in Colgate’s overall
market share.
4 July 2016
20

Colgate
Financials
Top-line growth
Given all its above-mentioned strengths and a slew of new launches in the herbal as
well as the much larger non-herbal segment, we believe Colgate is well poised not
only to arrest its recent market share decline, but also to resume market share gains
over the medium to long term.
With the rural segment slowing down over the past few quarters after two
consecutive poor monsoons, Colgate has not been able to reap the benefits of its
rural expansion. With likely above-normal monsoon this year, rural demand could
potentially recover in 2HFY17. The government schemes like Direct Benefit Transfers
to boost rural demand in the last budget as well as implementation of the One Rank
One Pension (OROP) scheme and 7
th
Pay Commission Scheme are also likely to boost
demand.
Colgate is also much stronger than its peers in rural India,
and once the rural
market recovers, it will be difficult for peers to match the company’s growth
momentum. Colgate’s
expansion in recent years has only widened the gap
between itself and its peers in rural India, and once rural recovery resumes, the
company’s market share will also begin to gain momentum.
However, while we expect potential recovery in 2HFY17 due to the factors
mentioned above, we are still not expecting any sharp recovery for the full year
FY17, assuming the same pace of sales growth as has been the case in the preceding
two years. It needs to be noted that FY16 gross sales growth was also ~10%, but
appears to be lower because of the one-off impact of excise benefits at its Baddi
plant coming off during that year.
Exhibit 31: Volume growth to recover in FY18 and FY19
Volume growth (%)
Exhibit 32: ….as will be the case with sales growth
Sales (INR b)
18.2% 17.5%
13.2%
14.9%
11.6%
4.5%
10.6%
14.9%
13.4%
Sales growth (%)
FY11
FY12
FY13
FY14
FY15
FY16 FY17E FY18E FY19E
Source: Company, MOSL
FY11
FY12
FY13
FY14
FY15
FY16 FY17E FY18E FY19E
Source: Company, MOSL
Margin levers
Colgate’s other expenses to sales has been impacted by almost 140bp due to its
massive capacity expansion, which has come amid a slowdown in demand. Its
large rural expansion plans in the past few years have also impacted costs, but
have not yet shown impact on sales due to rural slowdown due to poor
monsoon in FY15 and FY16.
21
4 July 2016

Colgate
Between FY14-17E, Colgate has invested over INR12b (~INR3b each year) for
first setting up a state-of-the-art toothpaste and toothbrush manufacturing
facility in Sanand and Sri City, respectively, and subsequently undertaking
further massive capacity expansion. The new facilities and their expansion will
result in strong realization and logistical benefits for Colgate over the long term.
With the resumption in sales growth momentum from 2HFY17, we expect the
company to recover some of these cost increases.
Being state-of-the-art facilities, these plants can also act as an export hub
(exports formed less than 1.5% of Colgate’s total sales in FY15) for the company.
These massive investments also indicate Colgate’s confidence in the long-term
growth potential of the Indian oral care market.
Exhibit 33: There will be savings on other expenses to sales going forward
Other expenses (INR b)
18.0
17.0
16.2
15.5
3.6
FY11
4.4
FY12
5.2
FY13
6.1
FY14
7.2
FY15
7.4
FY16
8.1
FY17E
9.2
FY18E
10.3
FY19E
16.3
Other expenses as a % of sales
17.9
17.7
17.5
17.2
Source: Company, MOSL
Continuing category premiumization has also resulted in further gross margin
expansion for Colgate, a process that continued even during the slowdown and
likely to continue going forward.
Exhibit 34: Premiumization-driven gross margin expansion to continue
Gross Margin (%)
62.4
58.7
59.6
58.2
57.8
63.4
63.7
64.1
64.3
FY11
FY12
FY13
FY14
FY15
FY16
FY17E
FY18E
FY19E
Source: Company, MOSL
Colgate’s A&P to sales continues to be higher than the long-term average due to
its current low sales growth, though we expect it to normalize in the range of
14-16% once the sales momentum resumes. In absolute terms, we are still
assuming double-digit increase in A&P but these expenses decline on a
percentage to sales basis due to higher sales growth. At 16.7% in FY19, we are
still assuming higher A&P to sales compared to the long-term average.
22
4 July 2016

Colgate
Exhibit 35: A&P to sales currently higher than long-term average of 14-16%
Ad spends as a % of sales
Source: Company, MOSL
All this together could result in an improvement of 280bp in the company’s margins
over the next three years.
Exhibit 36: After a tepid FY17, EBITDA growth will be strong
in FY18 and FY19…
EBITDA (INR b)
22.2
13.6
16.2
10.4
1.8
EBITDA growth (%)
20.6
Exhibit 37: …led by 280bp EBITDA margin increase between
FY16-FY19E
EBITDA margin (%)
24.3
25.1
23.1
17.4
23.0
21.7
21.0
18.9
FY11
FY12
FY13
FY14
FY15
20.8
22.3
11.4
5.2
5.3
5.9
6.8
FY11 FY12 FY13 FY14 FY15 FY16 FY17E FY18E FY19E
Source: Company, MOSL
6.7
8.3
9.6
10.6 12.8 15.1
FY16 FY17E FY18E FY19E
Source: Company, MOSL
Exhibit 38: …leading to healthy PAT growth as well
PAT (INR m)
PAT growth (%)
21.4%
10.9% 11.3%
13.9%
6.9%
8.5%
19.1%
Exhibit 39: …and causing gradual recovery in gross FATR
Fixed Asset t/o (x)
4.3
4.6
3.6
3.1
2.6
2.4
2.6
2.9
3.8
-0.3%
-1.2%
FY11 FY12 FY13 FY14 FY15 FY16 FY17E FY18E FY19E
Source: Company, MOSL
Source: Company, MOSL
FY11 FY12 FY13 FY14 FY15 FY16 FY17E FY18E FY19E
Fixed asset turns, RoCE and payout levels
There has been a decline in Colgate’s fixed asset turns due to the
unprecedented capex investment amid a period of slowdown in demand.
The company’s massive investments in fixed assets have meant that its payout
had declined in recent years.
4 July 2016
23

Colgate
Exhibit 40: High capex during the period of slowdown in
demand had pulled down fixed asset turns…
Capex (INR b)
3.6
2.9 3.0 3.0
1.0 1.0
74
73
74
Exhibit 41: …and also led to decline in payout levels in
recent years, with lower capex, payout set to rise again
Dividend Payout (%)
74
61
70
70
70
0.7
1.1
0.2 0.2 0.2
-0.3
0.5
0.9 0.9
46
FY11 FY12 FY13 FY14 FY15 FY16 FY17E FY18E FY19E
Source: Company, MOSL
Source: Company, MOSL
Colgate’s RoE and RoCE are still among the best in comparison to its FMCG
peers, but had come down from their earlier high levels and will gradually
recover in FY18 and FY19 after hitting a trough in FY17.
Exhibit 43: …and RoCE both of which will recover
RoCE (%)
119
113
112
94
83
66
59
65
Exhibit 42: Capex intensity led to decline in RoE…
RoE (%)
113
109
107
90
82
67
66
73
60
71
FY11 FY12 FY13 FY14 FY15 FY16 FY17E FY18E FY19E
Source: Company, MOSL
FY11 FY12 FY13 FY14 FY15 FY16 FY17E FY18E FY19E
Source: Company, MOSL
Despite continued healthy operating cash flows, free cash flows, while still
significantly in the positive, had suffered during the period of high capex. We expect
nearly 2x increase in OCF between FY16 and FY19 and nearly 4x increase in free cash
flow levels over this period to reach INR9.2bn in FY19.
Exhibit 44: OCF generation remains healthy; FCF to follow suit once capex intensity abates
OCF (INR b)
FCF (INR b)
8.9
5.8
4.1
3.6
FY11
3.3
4.9
2.4
FY12
FY13
1.6
FY14
3.1
FY15
2.5
FY16
FY17E
FY18E
FY19E
Source: Company, MOSL
4.2
5.2
6.0
7.2
5.5
7.9
10.2
9.2
4 July 2016
24

Colgate
Comments from recent management meet with the India business CEO and CFO
on GST impact .
The implementation of GST will help create an efficient distribution system, but
could also add to near-term costs.
GST will aid in consolidation of warehouses. Colgate will invest the benefits from
GST into improving its business infrastructure.
Exhibit 45: Exhibit 45: Valuation matrix of coverage universe (Colgate appears to be wrong)
Company
Consumer
Asian Paints
Britannia
Colgate
Dabur*
Emami*
Godrej Cons.
GSK Consumer
Hind. Unilever
ITC
Jyothy Labs
Marico*
Nestle
Page Industries
Pidilite Inds.
P&G Hygiene
Radico Khaitan
United Spirits
Reco
Price Mkt Cap
EPS Growth YoY (%)
FY17E
15.8
21.6
8.5
15.5
15.5
22.3
9.7
11.7
13.4
-6.7
14.6
-10.7
25.0
13.9
12.0
14.7
88.9
FY18E
11.3
15.2
21.4
13.8
19.5
15.1
14.7
13.9
14.3
12.4
16.6
18.4
31.3
17.4
19.7
21.0
49.9
FY16
54.1
41.4
42.1
43.6
46.3
48.2
37.1
47.6
20.5
34.4
48.6
54.3
66.1
48.5
49.1
14.3
118.3
P/E (x)
FY17E
46.7
34.0
38.8
37.7
40.1
39.4
33.8
42.7
18.1
36.8
42.4
60.8
52.9
42.6
43.8
12.5
62.6
FY18E
41.9
29.5
32.0
33.1
33.5
34.3
29.5
37.4
15.9
32.8
36.4
51.3
40.3
36.3
36.6
10.3
41.8
EV/EBITDA (x)
FY16
36.1
28.2
26.7
35.2
38.9
36.7
27.3
33.1
13.0
26.4
32.2
38.2
41.3
30.5
32.7
10.1
44.8
FY17E
31.2
23.5
23.4
30.3
32.0
29.2
24.5
29.7
11.6
23.5
28.5
34.6
33.5
26.0
28.1
8.7
33.8
FY18E
27.9
19.4
19.2
26.8
26.8
26.1
20.5
26.1
10.3
20.8
24.3
28.8
25.9
22.1
22.7
7.5
25.2
RoE (%) Div. (%)
FY16
34.4
54.6
66.8
33.6
39.9
23.9
29.9
112.5
30.9
19.2
36.2
40.9
46.9
29.9
31.2
9.3
25.8
FY16
1.0
0.9
1.1
0.8
0.7
0.6
1.1
1.9
3.1
1.3
1.2
0.7
0.6
0.6
1.0
1.0
0.0
(INR) (USD M) FY16
Neutral 1,002 14,273
Buy
Buy
Neutral
Buy
Buy
Neutral
Buy
Buy
Neutral
Buy
Buy
Buy
Buy
Buy
2,804 4,992
925 3,736
311 8,114
1,155 3,890
6,057 3,781
898 28,845
252 45,219
300
806
267 5,120
14,060 2,328
720 5,478
6,259 3,016
93
182
2,568 5,540
25.0
41.9
6.9
17.5
16.7
26.1
17.7
6.1
2.5
24.2
23.7
-7.3
21.0
46.6
19.8
-2.6
LP
Neutral 1,622 8,197
Neutral 6,507 9,314
Note: For Nestle FY16 means CY15
Source: MOSL, Company
Exhibit 46: P/E (x) ratio has slipped substantially in the past
year
50
P/E (x)
5 Yrs Avg(x)
15 Yrs Avg(x)
10 Yrs Avg(x)
Exhibit 47: P/B (x) is among the lowest levels witnessed in
the past decade
45.0
36.0
P/B (x)
5 Yrs Avg(x)
28.1
15 Yrs Avg(x)
10 Yrs Avg(x)
40
35.8
28.8
26.3
9.0
0.0
35.0
27.0
18.0
26.5
20.8
23.2
30
20
10
Source: Company, MOSL
Source: Company, MOSL
After the fall in the stock price of over 16% from its peak of INR 1,099 in April 2015,
Colgate, on a P/E basis, is trading at a discount to MNC FMCG peers like HUL, PGHH
and Nestle and in line with most domestic peers, despite stronger earnings growth
potential in the long term and best of breed return ratios compared to peers.
4 July 2016
25

Colgate
The stock is trading at close to 10-year low on a P/B basis and a discount to its 5-
year average PE of 36x. With earnings prospects likely to witness a strong uptick
from FY18, and given Colgate’s stronger moats compared to peers, best of breed
return ratios as well as strong free cash flow generation going forward, we target
36x June 2018 EPS (in line with 5 year average 1 year forward P/E), which gives us a
target price of INR 1,090, 18% upside to the CMP. Dividend yield is also likely to
increase to close to 2.6% by FY19.
Since listing in 1978, Colgate India has recorded a CAGR of 26% in returns to
shareholders. With the category growth potential and Colgate’s strong position in
the category, we expect healthy shareholder returns going forward as well.
Exhibit 48: Valuation versus EPS growth over 15 years
EPS Growth (%)
PE (x)
37.7
30.4
7.5
6.9
FY02 FY03 FY04 FY05 FY06 FY07 FY08 FY09 FY10 FY11 FY12 FY13 FY14 FY15 FY16
Source: Company, MOSL
4 July 2016
26

Colgate
Financials and valuations
Income Statement
Y/E March
Net Sales
Change (%)
COGS
Gross Profit
Gross Margin (%)
Operating expenses
Other Operating Income
EBITDA
Change (%)
Margin (%)
Depreciation
Int. and Fin. Charges
Financial Other Income
Profit before Taxes
Change (%)
Margin (%)
Tax
Deferred Tax
Tax Rate (%)
Adjusted PAT
Change (%)
Margin (%)
Non-rec. (Exp)/Income
Reported PAT
2013
30,841
17.5
12,502
18,339
57.8
12,568
897
6,668
13.6
21.0
437
0
399
6,630
12.7
21.5
1,766
-103
25.1
4,967
11.3
16.1
0
4,967
2014
35,449
14.9
14,020
21,429
59.6
15,128
484
6,785
1.8
18.9
508
0
358
6,636
0.1
18.7
1,683
47
26.1
4,906
-1.2
13.8
492
5,399
2015
39,548
11.6
14,677
24,871
62.4
16,920
340
8,290
22.2
20.8
750
0
264
7,804
17.6
19.7
2,009
205
28.4
5,590
13.9
14.1
0
5,590
2016
41,322
4.5
14,953
26,369
63.4
17,377
301
9,293
12.1
22.3
1,114
0
416
8,595
10.1
20.8
2,620
0
30.5
5,975
6.9
14.5
-210
5,765
2017E
45,712
10.6
16,356
29,356
63.7
19,074
350
10,633
14.4
23.1
1,317
0
361
9,676
12.6
21.2
3,193
0
33.0
6,483
8.5
14.2
0
6,483
2018E
52,529
14.9
18,628
33,902
64.1
21,426
351
12,827
20.6
24.3
1,450
0
463
11,840
22.4
22.5
3,966
0
33.5
7,873
21.4
15.0
0
7,873
(INR Million)
2019E
59,568
13.4
21,032
38,536
64.3
23,840
361
15,058
17.4
25.1
1,525
0
567
14,100
19.1
23.7
4,724
0
33.5
9,377
19.1
15.7
0
9,377
Balance Sheet
Y/E March
Share Capital
Reserves
Net Worth
Deferred Liability
Capital Employed
Gross Block
Less: Accum. Depn.
Net Fixed Assets
Capital WIP
Investments
Curr. Assets, L&A
Inventory
Account Receivables
Cash & Bank
Others
Curr. Liab. and Prov.
Account Payables
Other Liabilities
Provisions
Net Current Assets
Application of Funds
E: MOSL Estimates
2013
272
4,624
4,896
-224
4,671
6,735
-3,929
2,807
1,020
471
8,546
1,853
812
4,288
1,593
8,172
4,666
2,510
995
374
4,671
2014
272
5,727
5,999
-178
5,821
9,927
-4,368
5,559
1,415
371
7,364
2,257
547
2,870
1,690
8,889
5,100
2,837
952
-1,525
5,821
2015
272
7,431
7,703
26
7,729
12,829
-5,013
7,816
1,412
371
7,420
2,522
696
2,545
1,657
9,290
5,144
2,874
1,272
-1,870
7,729
2016
272
9,923
10,195
217
10,412
15,829
-6,374
9,455
1,412
301
9,164
2,927
1,014
2,883
2,340
9,920
5,519
3,016
1,385
-756
10,411
2017E
272
11,114
11,386
217
11,603
18,829
-7,691
11,138
1,412
301
9,459
3,343
1,127
2,521
2,467
10,707
6,044
3,167
1,495
-1,247
11,603
2018E
272
12,035
12,307
217
12,524
19,829
-9,141
10,688
1,412
301
12,057
3,721
1,295
4,397
2,644
11,934
6,885
3,325
1,724
123
12,524
(INR Million)
2019E
272
13,232
13,504
217
13,721
20,829
-10,665
10,163
1,412
301
15,059
4,194
1,469
6,574
2,822
13,214
7,772
3,492
1,950
1,845
13,721
4 July 2016
27

Colgate
Financials and valuations
Ratios
Y/E March
Basic (INR)
EPS
Cash EPS
BV/Share
DPS
Payout %
Valuation (x)
P/E
Cash P/E
EV/Sales
EV/EBITDA
P/BV
Dividend Yield (%)
Return Ratios (%)
RoE
RoCE
RoIC
Working Capital Ratios
Debtor (Days)
Asset Turnover (x)
Leverage Ratio
Debt/Equity (x)
2013
18.3
19.9
18.0
13.5
73.6
2014
18.0
19.9
22.1
13.4
74.5
2015
20.6
23.3
28.3
12.5
60.6
2016
22.0
26.1
37.5
9.9
46.0
2017E
23.8
28.7
41.9
16.7
70.0
2018E
28.9
34.3
45.2
20.3
70.0
2019E
34.5
40.1
49.6
24.1
70.0
45.0
39.7
6.3
30.0
32.7
1.3
42.1
35.5
6.0
26.7
24.7
1.1
38.8
32.3
5.4
23.4
22.1
1.8
32.0
27.0
4.7
19.2
20.4
2.2
26.8
23.1
4.1
16.3
18.6
2.6
107.4
111.6
-820.9
9
9.7
90.1
93.5
16,067.6
5
8.8
81.6
82.5
236.5
6
6.7
66.8
65.9
123.4
8
4.8
60.1
58.9
94.7
8
4.6
66.5
65.3
109.8
8
4.9
72.7
71.5
151.9
8
5.0
0.0
0.0
0.0
0.0
0.0
0.0
0.0
Cash Flow Statement
Y/E March
OP/(loss) before Tax
Int./Div. Received
Interest Paid
Direct Taxes Paid
(Incr)/Decr in WC
CF from Operations
(Incr)/Decr in FA
Free Cash Flow
(Pur)/Sale of Investments
CF from Invest.
Change in Equity
(Incr)/Decr in Debt
Dividend Paid
Others
CF from Fin. Activity
Incr/Decr of Cash
Add: Opening Balance
Closing Balance
E: MOSL Estimates
2013
6,668
-399
0
-1,766
1,339
5,842
-930
4,913
0
-930
-149
0
-4,276
702
-3,723
1,190
3,098
4,288
2014
6,785
-358
0
-1,683
480
5,224
-3,587
1,637
100
-3,487
-75
0
-4,221
1,140
-3,156
-1,418
4,288
2,870
2015
8,290
-264
0
-2,009
20
6,037
-2,898
3,139
0
-2,898
-38
0
-3,848
422
-3,464
-325
2,870
2,545
2016
9,293
-416
0
-2,620
-775
5,483
-3,000
2,483
70
-2,930
-129
0
-3,145
1,059
-2,215
338
2,545
2,883
2017E
10,633
-361
0
-3,193
129
7,208
-3,000
4,208
0
-3,000
0
0
-5,292
722
-4,570
-362
2,883
2,521
2018E
12,827
-463
0
-3,966
506
8,903
-1,000
7,903
0
-1,000
-526
0
-6,426
925
-6,028
1,876
2,521
4,397
(INR Million)
2019E
15,058
-567
0
-4,724
455
10,223
-1,000
9,223
0
-1,000
-526
0
-7,653
1,134
-7,046
2,177
4,397
6,574
4 July 2016
28

Colgate
COLGATE GALLERY
4 July 2016
30

Disclosures
Colgate
This document has been prepared by Motilal Oswal Securities Limited (hereinafter referred to as Most) to provide information about the company (ies) and/sector(s), if any, covered in the report and may be distributed by it and/or its
affiliated company(ies). This report is for personal information of the selected recipient/s and does not construe to be any investment, legal or taxation advice to you. This research report does not constitute an offer, invitation or
inducement to invest in securities or other investments and Motilal Oswal Securities Limited (hereinafter referred as MOSt) is not soliciting any action based upon it. This report is not for public distribution and has been furnished to
you solely for your general information and should not be reproduced or redistributed to any other person in any form. This report does not constitute a personal recommendation or take into account the particular investment
objectives, financial situations, or needs of individual clients. Before acting on any advice or recommendation in this material, investors should consider whether it is suitable for their particular circumstances and, if necessary, seek
professional advice. The price and value of the investments referred to in this material and the income from them may go down as well as up, and investors may realize losses on any investments. Past performance is not a guide for
future performance, future returns are not guaranteed and a loss of original capital may occur.
MOSt and its affiliates are a full-service, integrated investment banking, investment management, brokerage and financing group. We and our affiliates have investment banking and other business relationships with a some
companies covered by our Research Department. Our research professionals may provide input into our investment banking and other business selection processes. Investors should assume that MOSt and/or its affiliates are
seeking or will seek investment banking or other business from the company or companies that are the subject of this material and that the research professionals who were involved in preparing this material may educate investors
on investments in such business . The research professionals responsible for the preparation of this document may interact with trading desk personnel, sales personnel and other parties for the purpose of gathering, applying and
interpreting information. Our research professionals are paid on twin parameters of performance & profitability of MOSt.
MOSt generally prohibits its analysts, persons reporting to analysts, and members of their households from maintaining a financial interest in the securities or derivatives of any companies that the analysts cover. Additionally, MOSt
generally prohibits its analysts and persons reporting to analysts from serving as an officer, director, or advisory board member of any companies that the analysts cover. Our salespeople, traders, and other professionals or affiliates
may provide oral or written market commentary or trading strategies to our clients that reflect opinions that are contrary to the opinions expressed herein, and our proprietary trading and investing businesses may make investment
decisions that are inconsistent with the recommendations expressed herein. In reviewing these materials, you should be aware that any or all of the foregoing among other things, may give rise to real or potential conflicts of interest.
MOSt and its affiliated company(ies), their directors and employees and their relatives may; (a) from time to time, have a long or short position in, act as principal in, and buy or sell the securities or derivatives thereof of companies
mentioned herein. (b) be engaged in any other transaction involving such securities and earn brokerage or other compensation or act as a market maker in the financial instruments of the company(ies) discussed herein or act as an
advisor or lender/borrower to such company(ies) or may have any other potential conflict of interests with respect to any recommendation and other related information and opinions.; however the same shall have no bearing
whatsoever on the specific recommendations made by the analyst(s), as the recommendations made by the analyst(s) are completely independent of the views of the affiliates of MOSt even though there might exist an inherent
conflict of interest in some of the stocks mentioned in the research report Reports based on technical and derivative analysis center on studying charts company's price movement, outstanding positions and trading volume, as
opposed to focusing on a company's fundamentals and, as such, may not match with a report on a company's fundamental analysis. In addition MOST has different business segments / Divisions with independent research
separated by Chinese walls catering to different set of customers having various objectives, risk profiles, investment horizon, etc, and therefore may at times have different contrary views on stocks sectors and markets.
Unauthorized disclosure, use, dissemination or copying (either whole or partial) of this information, is prohibited. The person accessing this information specifically agrees to exempt MOSt or any of its affiliates or employees from,
any and all responsibility/liability arising from such misuse and agrees not to hold MOSt or any of its affiliates or employees responsible for any such misuse and further agrees to hold MOSt or any of its affiliates or employees free
and harmless from all losses, costs, damages, expenses that may be suffered by the person accessing this information due to any errors and delays. The information contained herein is based on publicly available data or other
sources believed to be reliable. Any statements contained in this report attributed to a third party represent MOSt’s interpretation of the data, information and/or opinions provided by that third party either publicly or through a
subscription service, and such use and interpretation have not been reviewed by the third party. This Report is not intended to be a complete statement or summary of the securities, markets or developments referred to in the
document. While we would endeavor to update the information herein on reasonable basis, MOSt and/or its affiliates are under no obligation to update the information. Also there may be regulatory, compliance, or other reasons that
may prevent MOSt and/or its affiliates from doing so. MOSt or any of its affiliates or employees shall not be in any way responsible and liable for any loss or damage that may arise to any person from any inadvertent error in the
information contained in this report. MOSt or any of its affiliates or employees do not provide, at any time, any express or implied warranty of any kind, regarding any matter pertaining to this report, including without limitation the
implied warranties of merchantability, fitness for a particular purpose, and non-infringement. The recipients of this report should rely on their own investigations.
This report is intended for distribution to institutional investors. Recipients who are not institutional investors should seek advice of their independent financial advisor prior to taking any investment decision based on this report or for
any necessary explanation of its contents.
Most and it’s associates may have managed or co-managed public offering of securities, may have received compensation for investment banking or merchant banking or brokerage services, may have received any compensation
for products or services other than investment banking or merchant banking or brokerage services from the subject company in the past 12 months.
Most and it’s associates have not received any compensation or other benefits from the subject company or third party in connection with the research report.
Subject Company may have been a client of Most or its associates during twelve months preceding the date of distribution of the research report
MOSt and/or its affiliates and/or employees may have interests/positions, financial or otherwise of over 1 % at the end of the month immediately preceding the date of publication of the research in the securities mentioned in this
report. To enhance transparency, MOSt has incorporated a Disclosure of Interest Statement in this document. This should, however, not be treated as endorsement of the views expressed in the report.
Motilal Oswal Securities Limited is registered as a Research Analyst under SEBI (Research Analyst) Regulations, 2014. SEBI Reg. No. INH000000412
Pending Regulatory inspections against Motilal Oswal Securities Limited:
SEBI pursuant to a complaint from client Shri C.R. Mohanraj alleging unauthorized trading, issued a letter dated 29th April 2014 to MOSL notifying appointment of an Adjudicating Officer as per SEBI regulations to hold inquiry and
adjudge violation of SEBI Regulations; MOSL replied to the Show Cause Notice whereby SEBI granted us an opportunity of Inspection of Documents. Since all the documents requested by us were not covered we have requested to
SEBI vide our letter dated June 23, 2015 to provide pending list of documents for inspection.
List of associate companies of Motilal Oswal Securities Limited -Click
here to access detailed report
Analyst Certification
The views expressed in this research report accurately reflect the personal views of the analyst(s) about the subject securities or issues, and no part of the compensation of the research analyst(s) was, is, or will be directly or
indirectly related to the specific recommendations and views expressed by research analyst(s) in this report. The research analysts, strategists, or research associates principally responsible for preparation of MOSt research receive
compensation based upon various factors, including quality of research, investor client feedback, stock picking, competitive factors and firm revenues
Disclosure of Interest Statement
Analyst ownership of the stock
Served as an officer, director or employee
COLGATE PALMOLIVE
No
No
A graph of daily closing prices of securities is available at www.nseindia.com and http://economictimes.indiatimes.com/markets/stocks/stock-quotes
Regional Disclosures (outside India)
This report is not directed or intended for distribution to or use by any person or entity resident in a state, country or any jurisdiction, where such distribution, publication, availability or use would be contrary to law, regulation or which
would subject MOSt& its group companies to registration or licensing requirements within such jurisdictions.
For Hong Kong:This
report is distributed in Hong Kong by Motilal Oswal capital Markets (Hong Kong) Private Limited, a licensed corporation (CE AYY-301) licensed and regulated by the Hong Kong Securities and Futures
Commission (SFC) pursuant to the Securities and Futures Ordinance (Chapter 571 of the Laws of Hong Kong) “SFO”. As per SEBI (Research Analyst Regulations) 2014 Motilal Oswal Securities (SEBI Reg No. INH000000412) has
an agreement with Motilal Oswal capital Markets (Hong Kong) Private Limited for distribution of research report in Kong Kong. This report is intended for distribution only to “Professional Investors” as defined in Part I of Schedule 1 to
SFO. Any investment or investment activity to which this document relates is only available to professional investor and will be engaged only with professional investors.” Nothing here is an offer or solicitation of these securities,
products and services in any jurisdiction where their offer or sale is not qualified or exempt from registration. The Indian Analyst(s) who compile this report is/are not located in Hong Kong & are not conducting Research Analysis in
Hong Kong.
For U.S
Motilal Oswal Securities Limited (MOSL) is not a registered broker - dealer under the U.S. Securities Exchange Act of 1934, as amended (the"1934 act") and under applicable state laws in the United States. In addition MOSL is not a
registered investment adviser under the U.S. Investment Advisers Act of 1940, as amended (the "Advisers Act" and together with the 1934 Act, the "Acts), and under applicable state laws in the United States. Accordingly, in the
absence of specific exemption under the Acts, any brokerage and investment services provided by MOSL, including the products and services described herein are not available to or intended for U.S. persons.
This report is intended for distribution only to "Major Institutional Investors" as defined by Rule 15a-6(b)(4) of the Exchange Act and interpretations thereof by SEC (henceforth referred to as "major institutional investors"). This
document must not be acted on or relied on by persons who are not major institutional investors. Any investment or investment activity to which this document relates is only available to major institutional investors and will be
engaged in only with major institutional investors. In reliance on the exemption from registration provided by Rule 15a-6 of the U.S. Securities Exchange Act of 1934, as amended (the "Exchange Act") and interpretations thereof by
the U.S. Securities and Exchange Commission ("SEC") in order to conduct business with Institutional Investors based in the U.S., MOSL has entered into a chaperoning agreement with a U.S. registered broker-dealer, Motilal Oswal
Securities International Private Limited. ("MOSIPL"). Any business interaction pursuant to this report will have to be executed within the provisions of this chaperoning agreement.
The Research Analysts contributing to the report may not be registered /qualified as research analyst with FINRA. Such research analyst may not be associated persons of the U.S. registered broker-dealer, MOSIPL, and therefore,
may not be subject to NASD rule 2711 and NYSE Rule 472 restrictions on communication with a subject company, public appearances and trading securities held by a research analyst account.
For Singapore
Motilal Oswal Capital Markets Singapore Pte Limited is acting as an exempt financial advisor under section 23(1)(f) of the Financial Advisers Act(FAA) read with regulation 17(1)(d) of the Financial Advisors Regulations and is a
subsidiary of Motilal Oswal Securities Limited in India. This research is distributed in Singapore by Motilal Oswal Capital Markets Singapore Pte Limited and it is only directed in Singapore to accredited investors, as defined in the
Financial Advisers Regulations and the Securities and Futures Act (Chapter 289), as amended from time to time.
In respect of any matter arising from or in connection with the research you could contact the following representatives of Motilal Oswal Capital Markets Singapore Pte Limited:
Varun Kumar
Varun.kumar@motilaloswal.com
Contact : (+65) 68189232
Office Address:21 (Suite 31),16 CollyerQuay,Singapore 04931
Kadambari Balachandran
kadambari.balachandran@motilaloswal.com
(+65) 68189233 / 65249115
4 July 2016
Motilal Oswal Tower, Level 9, Sayani Road, Prabhadevi, Mumbai 400 025
Phone: +91 22 3982 5500 E-mail: reports@motilaloswal.com
Motilal Oswal Securities Ltd
31