Thematic | July 2016
Utilities
Power sector: At the peak of over capacity
Sanjay Jain
(SanjayJain@MotilalOswal.com); +91 22 3982 5412
Dhruv Muchhal
(Dhruv.Muchhal@MotilalOswal.com); +91 22 3027 8033

Utilities | At the peak of over capacity
Contents
Power sector at the peak of over capacity .......................................................................... 3
Info graphic......................................................................................................................... 6
Demand to grow at 6-7% CAGR over five years ................................................................... 7
Financial health of DISCOMs likely to improve ................................................................. 14
Unrealistic demand expectations created overcapacity .................................................... 22
DISCOMs have 41% more PPAs than FY20E peak load ...................................................... 28
Investment in transmission to continue............................................................................ 31
Identifying winners: Two CSPUs and three pvt. GENCOs ................................................... 36
Annexures I – Comparative financial analysis ................................................................... 42
Annexures II – Private generation capacity ....................................................................... 45
Annexures III – Capacities expected to be closed .............................................................. 46
Companies ........................................................................................................................ 48
NTPC ........................................................................................................................... 49
JSW Energy ................................................................................................................. 70
Powergrid ................................................................................................................... 99
Coal India ...................................................................................................................104
Price as on July 8 , 2016
th
Investors are advised to refer through important disclosures made at the last page of the Research Report.
Motilal Oswal research is available on
www.motilaloswal.com/Institutional-Equities,
Bloomberg, Thomson Reuters, Factset and S&P Capital.
July 2016
2

Utilities | At the peak of over capacity
Utilities
Power sector at the peak of over capacity
Identifying winners; PWGR, NTPC and JSW Energy are our picks
Indian consumption is expected to grow at 6-7% CAGR over five years
Motilal Oswal values your
support in the Asiamoney
Brokers Poll 2016 for India
Research, Sales and Trading
team. We
request your ballot.
India’s elasticity of electricity consumption with GDP growth is declining due to
low share of manufacturing in GDP.
Per capita consumption growth of electricity tends to peak at USD2000 per
capita GDP. India’s per capita GDP is already inching towards USD2000 mark.
India has perhaps missed the bus of accelerated electricity consumption growth
period.
Although India’s specific electricity consumption is low, yet per capita electricity
consumption is not low at current level of per capita GDP.
Energy efficiencies will partially offset demand drivers. UDAY will improve
sustainability of DISCOMs.
Four states are witnessing strong traction in demand, but they together are only
20% of country. But, the consumption growth is decelerating in rest of country
and dragging India’s growth rates.
We believe that India’s per capita consumption of electricity can increase at 5-
6% CAGR assuming that India is able to clock 7-8% GDP growth. Add to this the
population growth rates, India’s electricity consumption can grow at CAGR of 6-
7% over next 5 years.
Power sector at the peak
of over capacity
Utilities
Financial health of Discoms is likely to improve but, this may not be enough
to drive demand
MoP is doing all the right things to improve the financial health of DISCOMs, in
our view.
There are structural issues that will take longer to resolve. States with low share
of industry will find it more challenging to turn around. Access to low cost
energy will be equally important.
Data analysis suggests that there is no correlation between demand growth and
financial health of DISCOMs. Improved financial health of DISCOMs may not
necessarily derive demand.
Sanjay Jain
Unrealistic demand expectation created overcapacity; it may take 5-6 years
to rebalance the market
Dhruv Muchhal
Please click here for Video Link
All India conventional capacity has increased at CAGR of 11% to 259GW during
FY11-FY16 spurred by flurry of private investment expecting unrealistic demand
growth.
Conventional capacity addition is peaking, yet the capacity will grow at CAGR of
3.8% to 301GW during FY16-20E. Capacity addition will fall sharply post FY17E in
private sector, but it will pick up in central sector. It will take 5-6 years to
rebalance the market.
Any sign of tightness in market will revive another 20GW of projects where
more than 50% of budget is already spent.
3
July 2016

Utilities | At the peak of over capacity
All India conventional capacity PLF will bottom out in FY17E, but central sector
PLF will continue to decline until FY19E because of continued momentum in
capacity addition.
Private sector PLF will be improving from 52% in FY17E to 64% by FY20E as
capacity addition drops sharply post FY17E. State’s PLF will languish at 40%.
Share of RE in generation will increase from 4% to 7%. Coal will remain main
driver of generation growth but its dependence will keep reducing.
Discoms have signed 41% more PPAs than FY20E peak load; 21-28GW
stranded capacity will be vying for 4.7GW of PPAs
Indian power supply is very comfortable with 259GW of commissioned
conventional capacity as on 31st March 2016, while the peak load was only
153GW in FY16. States had 237GW available commissioned capacity with PPAs
i.e. 55% more than the peak demand. Approx. 21GW private commissioned
capacity was stranded without PPAs.
Rolling forward to FY20E, the conventional capacity will rise to 301GW after
deletion of 6-10GW old capacity, while peak load will increase to 194GW at
CAGR of 6%. States will have 273GW available commissioned capacity with PPAs
i.e. 41% more than the projected all India peak demand. Approx. 28GW private
commissioned capacity may still be stranded without PPAs if states don’t sign
more PPAs.
Despite a very comfortable situation at the country level, Gujarat, Andhra
Pradesh, Kerala, J&K and few smaller states may need to seek 4.7GWPPAs over
next 2-4 years to meet their long term requirements.
Investment in transmission will continue; RE, need for flexibility, arbitrage
in variable cost across country will be the drivers
Investment in RE capacities will keep driving demand for spinning capacities and
investment in transmission and sophisticated equipment to maintain quality of
electricity.
Demand centers and sources of energy are polarized. It makes more sense to
transmit electricity rather the transporting coal.
Over investment in long distance transmission is desirable to create flexibility in
Grid.
16.3 GW of stranded capacity will demand inter region transmission capacity
because they can sell power at lower rate than the variable cost of many
capacities in demand centers e.g. NR and SR.
Merchant power market will thrive but it is unlikely to be profitable for couple
of years.
Identifying winners: 2 CSPUs and 3 Pvt.; PWGR is top pick; Re-initiate on
JSW Energy with BUY
Post analysis of 50 private companies and 5 central PSUs, we have identified
two CPSUs and three private GENCOs as likely outperformer.
PWGR and NTPC are growing organically with visibility of next 3-5 years of capex
and are delivering double digit RoEs. PWGR is our top pick.
It is prudent to grow inorganically at the peak of over capacity. Among the 50
private companies, we have short listed three names that have strong both
4
July 2016

Utilities | At the peak of over capacity
balance sheet and free cash flows. JSW Energy, Tata Power and CESC meet the
criteria and are likely outperformer.
Businesses of Tata Power and CESC are complex as they have exposure to RE,
Distribution, coal mining, retail, cricket (IPL), information technology etc.
We re-initiate coverage on JSW Energy with BUY rating for its simple business
model, strong balance sheet, regionally diversified portfolio of assets and strong
negotiating power in M&A.
Exhibit 1: Sector valuation table
TP Up/(dw) MCAP
Rating CMP#
(INR) (INR)
% (USD M)
Buy
165 205
24 12,994
Buy
153 185
21 19,034
Buy
84
98
17 2,064
Buy
312 370
19 29,633
FY16E
11.5
12.3
8.5
22.6
EPS
FY17E
14.0
11.5
7.0
19.0
FY18E
16.3
13.7
8.0
23.0
P/E (x)
FY17E FY18E
11.8
10.1
13.3
11.2
12.0
10.5
16.4
13.5
P/B(x)
FY17E FY18E
1.7
1.5
1.4
1.3
1.5
1.3
5.6
5.4
RoE (%)
FY17E FY18E
15.7
16.1
10.8
12.2
12.9
13.4
34.8
40.6
Powergrid
NTPC
JSW Energy
Coal India
# as on July 8th, 2016
Source: MOSL, Company
July 2016
5

Utilities | At the peak of over capacity
Info graphic
July 2016
6

Utilities | At the peak of over capacity
Demand to grow at 6-7% CAGR over five years
Elasticity of consumption is declining w.r.t. GDP growth rates
India’s elasticity of electricity consumption w.r.t. GDP growth is declining due to a low
share of manufacturing in GDP.
Per capita consumption growth of electricity tends to peak at USD2,000 per capita
GDP. Thus, given that India’s per capita GDP is already inching toward the USD2,000
mark, we believe the country has perhaps missed the bus of accelerated electricity
consumption growth.
Although India’s specific electricity consumption is low, per capita electricity
consumption is not low at the current level of per capita GDP.
Energy efficiencies should partially offset demand drivers, in our view. UDAY is likely
to improve the sustainability of DISCOMs.
Four states are witnessing strong traction in demand; however, they together account
for only 20% of the country’s demand. Moreover, consumption growth is decelerating
in the rest of India, thereby dragging the country’s growth rates.
We believe India’s per capita consumption of electricity can increase at a 5-6% CAGR,
assuming that the country is able to clock 7-8% GDP growth. Also, given the
population growth rates, India’s electricity consumption can grow at a CAGR of 6-7%
over the next five years.
India’s elasticity of electricity of demand w.r.t. GDP growth is declining…
While most countries clock
elasticity of >1 during high
GDP growth phases, a
reverse trend is observed in
India.
Based on our analysis of historical data, we note that the per capita GDP growth rate
is the key driver of per capita electricity demand growth in a country. Indian
electricity demand growth has been disappointing for the last 20 years, despite
acceleration in the GDP growth rate. While per capita GDP CAGR has accelerated
from 3.3% over 1984-94 to 4.4% over 1994-2004 and to 6.2% over 2004-14, the
generation CAGR has dropped from 6.4% over 1984-94 to 3.9% over 1994-2004, and
then slightly increased to 4.8% over 2004-14. While most countries clock elasticity of
>1 during high GDP growth phases, a reverse trend is observed in India.
Exhibit 2: Elasticity of electricity demand growth and GDP growth rate
12%
10%
8%
6%
4%
2%
0%
-2%
0%
2%
4%
6%
8%
per capita GDP growth (10 year CAGR)
10%
Note: Three decades data for India (red), world, USA, Japan, S. Korea, Malaysia, China, Indonesia and
Thailand Source: MOSL, Company
July 2016
7

Utilities | At the peak of over capacity
Declining elasticity of
manufacturing in GDP
demand
due
to
low share
of
One of the key reasons for the declining elasticity of demand w.r.t. GDP growth is
that manufacturing has a very low share in India’s GDP, unlike most other fast-
growing nations which rely heavily on manufacturing to sustain their growth rates.
Exhibit 3: Share of manufacturing remains low in India, unlike most other countries (%)
45
40
35
30
25
20
15
10
5
World
China
India
S.Korea
Indonesia
Malaysia
Thailand
Source: MOSL
Per capita consumption growth of electricity tends to peak at USD2,000 per
capita GDP
We also note that demand for electricity tends to slow down in ensuing five years
after industrial activities peak and a country achieves certain per capita GDP. In fact,
the US and Japan are now witnessing a fall in per capita consumption of electricity
driven by efficiencies and peaking of industrial activities.
Electricity demand growth
starts to slow-down after
reaching a particular per
capita GDP
Exhibit 4: Per capital demand CAGR v/s per capita GDP
16
14
12
10
8
6
4
2
0
-2
-4
0
8
16
24
32
40
48
56
Source: MOSL
Per Capital GDP (USD 000)
A closer look at the data with lower per capita GDP also reveals a similar trend. Most
countries (e.g. Thailand, S. Korea, Malaysia and Indonesia) witnessed slower
demand growth in ensuing five years after they achieved USD2,000 per capita GDP.
China is the only outlier because the share of manufacturing in its GDP too is an
outlier. However, we note that China is witnessing slower demand growth after its
per capita GDP crossed the USD2,600 mark. India’s per capita GDP is not very far
from the USD2,000 mark.
July 2016
8

Utilities | At the peak of over capacity
India’s per capita GDP is not
very far from the USD2,000
mark. We thus believe that
India has perhaps missed
the bus of accelerated
demand growth period.
Exhibit 5: Growth rates slow down after a point
India
15
10
5
0
0
2,000
4,000
6,000
8,000
10,000
Source: MOSL
Per Capita GDP (USD)
Indonesia
S.Korea
China
Malaysia
Thailand
India’s per capita electricity consumption is not low at current level of per
capita GDP
It is often said that India’s absolute per capita consumption of electricity is very low
compared to developed countries or the world average. Although this implies that
the potential for growth is huge, India is struggling with the growth rates and its
trajectory of absolute per capita consumption is not very different from other
countries.
India is not an outlier.
Exhibit 6: Generation v/s GDP at 2014 prices
5,000
4,000
3,000
2,000
1,000
0
0
2,000
4,000
6,000
8,000
Per capita real GDP in 2014 USD prices
10,000
12,000
Source: MOSL
World
China
Vietnam
India
Indonesia
Thailand
Exhibit 7: Generation v/s GDP on purchasing power parity basis
5,000
4,000
3,000
2,000
1,000
0
0
4,000
8,000
Per Capita GDP -PPP (USD)
12,000
16,000
Source: MOSL
World
China
Indonesia
Thailand
Vietnam
India
July 2016
9

Utilities | At the peak of over capacity
After analyzing 30 years of historical data for major countries in the world, we
conclude that India is unlikely to witness a natural tailwind that can accelerate
demand growth. The drivers have to be found back home.
Initiatives to improve efficiencies will partly erode demand growth
Let us have a look at domestic factors. The Indian government’s focus on providing
“24x7” electricity to all is likely to boost demand from domestic and commercial
consumers at an accelerated rate. However, initiatives to improve energy
efficiencies will partly erode demand growth, in our view.
Emphasis on highly energy efficient LED lights can erode 20GW of potential
demand over time. Over 100m LED bulbs are already distributed under the
UJALA scheme. LED lights are 50-90% more energy efficient.
The MoP has recently launched a scheme to replace pumps used by farmers
with energy-efficient/solar pumps free of cost. These pumps offer convenience
as they can be operated remotely with mobile phones. They also help lessen
wastage of electricity, as well as reduce wear and tear of pumps, and
deterioration of soil. The cost of pumps will be funded from the savings of
subsidies given to farmers. Through this scheme, the government will also have
more accurate information about electricity consumption in farming, thereby
helping reduce power leakage and pilferage.
Under UDAY, states have committed to reduce T&D losses substantially, which
will plug pilferage and partially erode demand.
The biggest driver of demand is the industry, which is gradually getting less
dependent on DISCOMs. The tariff structure is inverted in India – bulk
consumers (like industry and offices) are charged the highest, while small
consumers are charged the least. The actual cost of delivery is high in retailing
than selling it to bulk consumers. Tariffs are so high for the industry that doing
business is becoming unviable. Most of the energy-intensive industries do not
depend on grid, but instead set up captive power plants.
Exhibit 8: Share of CPPs in electricity consumption by industries (%)
41
38
36
34
34
34
34
38
36
39
42
LED lights can erode 20GW
of potential demand.
If pilferages are plugged, we
can see some demand
erosion.
Industry reliance on CPP is
increasing…
FY05
FY06
FY07
FY08
FY09
FY10
FY11
FY12
FY13
FY14
FY15
Source: MOSL, CEA
July 2016
10

Utilities | At the peak of over capacity
Exhibit 9: Industrial Tariff (EUR/MWH)
88
99
122
84
89
117
74
83
145
91
99
92
95
81
50
49
45
34
33
78
81
83
81
Source: MOSL, CEA
Industry’s demand from grid has grown at a slower pace. After raising tariffs, some
of the states have seen the share of industry in the consumption basket decline.
Exhibit 10: Rajasthan raised industry rapidly during FY11-14
Avg Tariff (INR/kwh)
Industry tariff (INR/Kwh)
5.3
3.8
4.2
Exhibit 11: Industry’s share in consumption declined (%)
20
20
18
21
22
21
36
23
21
23
33
24
20
26
30
24
18
28
30
26
21
29
25
25
20
30
25
27
19
35
20
26
17
30
27
Others
Industry
Agri
AT&C
3.7
5.0
3.0
2.9
2.8
2.8
2.6
2.6
2.8
3.4
42
FY06 FY07 FY08 FY09 FY10 FY11 FY12 FY13 FY14
Source: MOSL, PFC
FY06 FY07 FY08 FY09 FY10 FY11 FY12 FY13 FY14
Source: MOSL, PFC
Exhibit 12: TN raised industry rapidly during FY11-14
Avg Tariff (INR/kwh)
Industry tariff (INR/Kwh)
10.5 10.3
7.0
4.4
4.3
2.8
4.3
4.2
2.8
4.4
4.8
Exhibit 13: Industry’s share in consumption declined (%)
33
33
33
35
35
29
18
19
31
Others
Industry
22
15
20
19
17
21
19
16
22
Agri
AT&C
43
43
43
31
19
33
18
16
34
17
16
32
19
14
36
13
19
2.8
2.9
2.8
1.9
3.7
4.8
5.2
17
FY06 FY07 FY08 FY09 FY10 FY11 FY12 FY13 FY14
Source: MOSL, PFC
FY06 FY07 FY08 FY09 FY10 FY11 FY12 FY13 FY14
Source: MOSL, PFC
Consumption growth accelerating in four states, but slowing in rest of India
As the supply of electricity is improving and the focus of state politics is shifting
toward development, we note that electricity consumption over the past four years
has started growing faster in only four states (Bihar, Chhattisgarh, MP and Gujarat),
which together account for only 20% of consumption. However, consumption in rest
of the country is slowing.
July 2016
11

Utilities | At the peak of over capacity
We need to watch UP more closely as it has the potential to make a mark in
consumption due to its (1) high population base and (2) 8.5% share in the country’s
consumption. There is lot of work being done to improve the transmission and
distribution infrastructure in the state, while supply of electricity is improving.
Specific consumption is low, which means it has the potential to grow faster as
supply improves.
Exhibit 14: Four states have seen acceleration in demand over the last four years
24
20
16
12
8
4
0
0
200
400
600
800
Per capita consumption (kWh)
1,000
1,200
1,400
1,600
UP
MP
Bihar
Chhattisgarh
Gujarat
Note: Size of bubble indicates population of the state
Source: MOSL, PFC
Exhibit 15: Four states growing faster, but rest are slowing
CAGR (%) over FY08-12
11.0
6.7
CAGR (%) over FY12-16
Exhibit 16: 80:20 rule applies
Fast growing 4 states
Rest of the country
5.4
5.2
80
79
20
Fast growing 4 states
Rest of the country
Source: MOSL, PFC, CEA
consumtption (%)
21
Population (%)
Source: MOSL, PFC, CEA
Therefore, we believe that there is no breakthrough trend that can change the
trajectory of India’s demand growth, despite measures undertaken under UDAY.
However, we strongly believe that UDAY will be able to improve the sustainability of
DISCOMs. In the absence of UDAY, consumption growth would have instead
decelerated.
India’s electricity consumption can grow at 6-7% CAGR
We believe that India’s per capita consumption of electricity could increase at a 5-
6% CAGR, assuming that the country is able to clock 7-8% GDP growth. Also, given
the population growth rate, we believe India’s electricity consumption could grow at
a CAGR of 6-7% over the next five years.
July 2016
12

Utilities | At the peak of over capacity
We expect consumption to
grow at a CAGR of 7% over
FY16-20E.
Exhibit 17: All India electricity consumption growth (%)
3
4
6
6
8
7
4
8
6
9
6
6
7
6
7
7
7
7
Source: MOSL
July 2016
13

Utilities | At the peak of over capacity
Financial health of DISCOMs likely to improve
But this may not be enough to drive demand
The MoP is taking the right steps to improve the financial health of DISCOMs, in our
view.
However, there are structural issues, which we believe will take longer to resolve.
States with a low share of industry will find it more challenging to turn around. Access
to low-cost energy will be equally important.
Our data analysis suggests that there is no correlation between demand growth and
financial health of DISCOMs, as improved financial health of the latter may not
necessarily drive demand.
MoP moving in the right direction
There is a clear roadmap for
debt reduction, AT&C loss
reduction, and timely tariff
revisions.
We see Mr. Piyush Goyal as a dynamic power minister. After engaging with various
stakeholders in about 1,000 meetings, the MoP has come out with a comprehensive
scheme called “UDAY” to clean up the malaise in the system. There is a clear
roadmap for debt reduction, AT&C loss reduction, and timely tariff revisions to
reduce the revenue gap (ARG) between average cost of supply (ACS) and average
revenue on subsidy received basis (ARR). The MoP is also undertaking steps to bring
about supply-side efficiencies, e.g. swapping of coal linkages to reduce
transportation costs, improving quality of coal and substituting imports by
improving domestic supply of coal. All of this will reduce ACS. There is a focus on
energy efficiency in consumption. LED bulbs are being promoted aggressively, which
we believe brings a two-fold advantage: saving of 93% energy in lighting, which in
turn (1) flattens of load curve and (2) reduces the pressure on grid. Among recent
initiatives, energy-efficient pumps are being promoted, which will have SIM cards so
that they can be operated remotely by farmers to save energy. Investment in
distribution is being pursued aggressively to reduce power leakage and theft, and to
provide 24x7 electricity. Round-the-clock electricity will reduce dependence on
diesel generators, and thus reduce oil imports and bring lucrative customers to grid.
Thus, we believe the MoP is moving in the right direction in terms of improving the
financial health of DISCOMs.
UDAY has right mix of carrots and sticks for it to succeed
DISCOM liabilities (INR4.8t) can shift to state – 50% in FY16 and 25% in FY17.
Rest 25% liabilities can be converted to state-guaranteed bonds – lower interest
rate (base +0.1%).
Incremental losses post FY17 will be taken over by states (5%/10%/25%/50% in
FY18/19/20/21).
States will issue non-SLR (including SDL) bonds, which will not be counted in the
states’ fiscal deficit for FY16 and FY17.
DISCOMs will be obligated to reduce AT&C losses from 22% to 15% and bridge
the gap between ACS and ARR.
Handholding
through additional grant under DDUGJY, IPDS, PSDF. Increased
supply of cheaper domestic coal, coal linkage rationalization, liberal coal swaps
from inefficient to efficient plants, coal price rationalization based on GCV,
supply of washed and crushed coal, and faster completion of transmission lines.
14
July 2016

Utilities | At the peak of over capacity
Sticks:
Non-performance will result in forfeiting of benefits under DDUGJY
(INR756b) and IPDS (INR326b). Banks will not be allowed to fund losses.
17 states are joining: expect 50% reduction in losses
17 states together account for 80% of all DISCOMs’ losses (after receiving
subsidies).
17 UDAY states accounted for 75% of INR4.3t debt in FY14.
There will be reduction in interest cost of INR219b.
Thus, the losses will reduce by 45% for these states
TN still remains outside UDAY, which accounts for 92% of losses for the
remaining states.
Key lies in execution of T&D investment by states; things have started to move
in the right direction.
Exhibit 18: Interest cost savings to reduce 45% losses for participating DISCOMs (INR b)
S.N.
1
2
3
4
5
6
7
8
9
10
1
2
3
4
5
6
7
MoU signed
Uttarakhand
Punjab
Gujarat
Bihar
Chattishgarh
Jharkhand
J&K
Haryana
Rajasthan
Uttar Pradhesh
Formally agreed to join
Goa
Himachal Pradesh
Maharashtra
Odisha
Karnataka
Andhra Pradesh
Madhya Pradesh
Total
Non-UDAY states
All States
Commercial loss
on subs recd basis
(397)
3
3
1
(3)
(6)
(15)
(24)
(31)
(156)
(167)
(90)
(0)
(1)
(3)
(3)
(5)
(14)
(64)
(487)
(154)
(641)
Debt
2,153
14
208
65
40
24
130
NM
302
786
584
1,070
1
64
240
56
114
286
310
3,223
4,300
Interest
cost
207
1
24
6
4
2
6
NM
26
86
52
76
0
6
29
3
11
18
10
284
Net loss
Int. Savings recasted
165
(231)
1
4
20
23
5
6
3
(0)
1
(5)
5
(10)
0
(24)
20
(11)
70
(87)
40
(127)
53
(37)
0
0
4
3
24
21
2
(2)
2
(4)
14
(0)
8
(56)
219
(268)
(154)
(422)
Source: MOSL, PFC
There are many structural issues which will take longer to resolve
We believe efforts of the MoP are likely to yield positive results in restoring the
financial health of DISCOMs. We need to watch out if that will drive demand for
electricity. There are certain structural issues with states which will take longer to
resolve. Over the past 10 years, we have seen the focus of discussions shifting from
shortage of capacity, to shortage of coal to shortage of funds as key impediments to
demand growth. But many structural issues are still less understood.
July 2016
15

Utilities | At the peak of over capacity
Less industrialized states will find it more challenging to turn around
Increasing domestic and
agriculture tariff is the only
option, which is highly price
sensitive.
One of the key reasons behind the poor financial health of DISCOMs is the low share
of industry in the consumption basket, which are the key providers of cross subsidy.
Some states have raised industry tariff at such a pace that they have driven the
industry out of those states. In Tamil Nadu, the industry tariff is up 130%, while the
share of industry in the consumption basket has dropped from 31% in FY06 to 19%
in FY14. On the other hand, financially well-managed Maharashtra has maintained
the industry share in consumption at 31%, while Gujarat has increased the share of
industry from 29% in FY06 to 41% in FY14. Industry tariff was up 81% in
Maharashtra and just 51% in Gujarat during the same period. There is a similar story
across most of the loss-making states. This is not to say that high AT&C losses, low
tariff do not contribute to financial stress. What we are trying to say is that even
after achieving targeted AT&C losses, DISCOMs may not necessarily stop making
losses. Increasing tariff is going to help, but we need to be cognizant of the fact that
demand is highly price sensitive. Industry tariffs are already too high in most of the
states. A bulk consumer like Indian Railways is gradually substituting expensive
power from DISCOMs with cheaper power from private producers. Industry is
increasingly becoming dependent upon captive power for its survival. Some states
have already started working on reducing tariff for industry to save them from
extinction. Increasing domestic and agriculture tariff is the only option, which is
highly price sensitive. Therefore, the states with a low share of industry will find it
more challenging to turn around.
Exhibit 19: DISCOMs profitability and share of sales to industries
1.00
0.50
0.00
0
-0.50
-1.00
-1.50
-2.00
-2.50
-3.00
Low share of Industry
and lack of access to low
cost electricity
High share
of
Industry
Source: MOSL, PFC
Low share
of Industry
Delhi
West Bengal
Karnataka
Kerala
Maharashtra
Odisha
20
Haryana
25
30
Punjab
Andhra Pradesh
Chhattisgarh
35
Gujarat
5
10
15
Madhya Pradesh
Bihar
40
45
Uttar Pradesh
Tamil Nadu
J&K
Jharkhand
Rajasthan
Share of Industry (%)
July 2016
16

Utilities | At the peak of over capacity
On analyzing the data in Exhibit 19, we note that there are few states (e.g. Delhi,
Karnataka and West Bengal) which have a low share of industry, but are still
profitable. On detailed analysis of these three states, we note that there are state-
specific reasons.
Delhi is fully urban and is able to charge high rates to its customers.
Karnataka’s ACS is low because it has a high share of hydro power in the supply
basket.
West Bengal has been able to charge high rates to its customers, although ACS is
high. The combined share of AT&C loss and Agri is 35% in West Bengal, which is
among the lowest in India. Agriculture has just 3% share. West Bengal is among
the few states in India which charge a high INR3/kwh to agriculture.
Exhibit 20: Cost of supply (ACS), Revenue (ARR), and the revenue gap
Note: Size of the bubbles is representative of the state's relative electricity consumption. The numbers in the bubble indicate the Revenue Gap
(INR/kWh)
Source: MOSL, PFC
July 2016
17

Utilities | At the peak of over capacity
Exhibit 21: Combined AT&C loss and Agri consumption are better indicators of malaise
(%)
AT&C Loss
49
16
15
52
Agri
Energy Input (% of India)
53
40
18
1
16
24
39
11
35
3
32
14
0
14
19
34
40
25
22
18
28
27
53
57
30
50
28
22
43
41
25
16
38
16
22
38
13
25
40
25
15
35
21
14
46
49
42
Source: MOSL, PFC
Access to low-cost energy is equally important
Inflationary pressures
Improved domestic supply, better quality and swapping of linkage are helping
reduce variable cost for coal-based power plants. However, there are other
inflationary pressures that DISCOMs have to face. Environmental cess on coal has
increased dramatically over the past few years from nil to INR400/t. DISCOMs have
signed too many PPAs, as discussed later in the report. Fixed portion of ACS is
increasing because specific fixed cost of a new project is higher and average PLF is
declining due to over-commitment of PPAs/capacities. ACS has nearly doubled over
FY07-FY14 due to an increase in variable, fixed, transmission and distribution costs.
Exhibit 22: ACS has nearly doubled in seven years (INR/kWh)
Purchase
T&D cost
ACS
4.8
4.2
3.5
2.8
2.7
FY07
3.0
2.9
FY08
3.2
FY09
3.3
FY10
3.6
3.7
4.2
4.7
4.9
5.2
5.3
FY11
FY12
FY13
FY14
Source: MOSL, PFC
July 2016
18

Utilities | At the peak of over capacity
Exhibit 23: Cost of power varies from one state to another
all fuels (INR/kWh)
60
39 41
1
34
49
31 36 32
9
Share of own gen. (%)
65
39
24
42
42
16
44
53
37
23
Source: MOSL, PFC, CEA
Chhattisgarh and Karnataka get 50% of power below INR2/kwh and INR3/kwh.
Exhibit 24: Chhattisgarh power purchase cost-curve
Chhatisgarh - INR/kWh
4.47
2.67
3.01
3.01
Exhibit 25: Karnataka power purchase cost-curve
Karnataka - INR/kWh
4.15
3.72
4.56
2.02
1.00
0.54
upto 20%
21-50%
51-80%
81-90%
90-100%
upto 20%
21-50%
51-80%
81-90%
90-100%
Source: MOSL, CEA
Source: MOSL, CEA
While, Rajasthan and AP pay more than INR3/kwh for 80% of energy purchases.
Exhibit 26: Rajasthan power purchase cost-curve
Rajasthan - INR/kWh
3.82
4.06
4.49
3.42
2.33
Exhibit 27: Andhra Pradesh power purchase cost-curve
Andra - INR/kWh
3.83
4.44
4.67
3.18
1.71
upto 20%
21-50%
51-80%
81-90%
90-100%
Source: MOSL, PFC
upto 20%
21-50%
51-80%
81-90%
90-100%
Source: MOSL, PFC
No correlation between financial health of states and demand growth
The financial position of state power distribution companies (DISCOMs) is being
cited as a key impediment to demand growth. Analysis of state-wise demand
suggests that there is no correlation between demand growth and financials of
DISCOMs. Gujarat has the best financials, yet growth of energy input/purchased by
DISCOMs has been just 5% over FY06-FY14. Of the seven states that have the
July 2016
19

Utilities | At the peak of over capacity
Improved financial health of
DISCOMs may not
necessarily drive demand.
highest ARG, only Tamil Nadu and Jharkhand’s energy input (consumption) grew at
~4-5% CAGR over FY06-14. The other five states’ (Bihar, Haryana, MP, Rajasthan,
and UP) energy input/purchased grew at a CAGR of high ~8% over the same period.
In other words, the improved financial health of DISCOMs may not necessarily drive
demand. In fact, there is risk of demand erosion if these states return to financial
prudence.
Exhibit 28: DISCOM profitability v/s. demand growth
1.00
0.50
0.00
0.0
-0.50
-1.00
-1.50
-2.00
-2.50
-3.00
Raj.
Jharkhand
TN
2.0
4.0
-0.27 Punjab
6.0
Delhi
Kerala
Gujrat
Karnataka Mah.
Odisha 8.0
AP
Haryana
MP
HP 10.0
Uttrak.
12.0
UP
cagr of energy purchased by Discoms over FY06-14
Source: MOSL, PFC
Analysis of Rajasthan DISCOMs suggests that ACS will continue to rise
The balance sheet of DISCOMs is set to get a makeover as state governments take
over 75% of DISCOMs’ debt by the end of FY17. This will re-start the flow of credit to
them. The states are committing to reduce AT&C losses in a graded manner and
increase tariff more frequently to bridge the gap between ARR and ACS. We have
studied and tried to forecast ACS for Rajasthan DISCOMs. Our analysis suggest that
fixed cost will increase further because of (1) a decline in the average utilization of
committed capacities, (2) new capacities came at higher average capex, (3) average
cost of transmission infrastructure is now trending up and (4) the share of
renewable energy is increasing. Although an increase in domestic supply of coal is
deflationary for variable cost, there are inflationary pressures (e.g. increase in clean
environment cess from nil few years ago to INR400/t for FY17). Therefore,
increasing ARR is the only way for DISCOMs’ turnaround.
July 2016
20

Utilities | At the peak of over capacity
Will continue increasing due
to rising fixed cost of PPAs
Exhibit 29: ACS for Rajasthan will increase due to rising fixed cost of PPAs (INR/kWh)
FC Discom
4.9
3.0
1.1
4.8
2.8
1.3
4.9
2.9
1.3
FC PPA
VC PPA
5.0
2.8
1.5
5.1
2.8
1.6
5.2
2.8
1.7
Source: MOSL, ARRs
July 2016
21

Utilities | At the peak of over capacity
Unrealistic demand expectations created overcapacity
It may take 5-6 years to rebalance the market
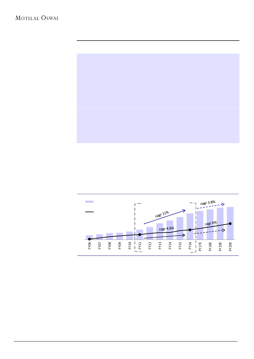
All India conventional capacity has increased at a CAGR of 11% to 259GW during FY11-
FY16, spurred by flurry of private investment amid expectation of unrealistic demand
growth.
Conventional capacity addition is peaking, yet the capacity should grow at a CAGR of
3.8% to 301GW during FY16-20E. Capacity addition will fall sharply post FY17E in the
private sector, but will pick up in the central sector. It will take 5-6 years to rebalance
the market.
Any sign of tightness in the market will revive another 20GW of projects, where more
than 50% of budget is already spent.
All India conventional capacity PLF will bottom out in FY17E, but central sector PLF will
continue declining until FY19E because of continued momentum in capacity addition.
Private sector PLF will improve from 52% in FY17E to 64% by FY20E as capacity
addition drops sharply after FY17. The state sector’s PLF will languish at 40%.
The share of RE in generation will increase from 4% to 7%. Coal will remain the main
driver of generation growth, but its dependence will keep reducing.
Unrealistic demand expectations created overcapacity
The Indian power sector has witnessed rapid capacity addition over the past five
years in anticipation of unrealistic high demand growth. Capacity grew at a CAGR of
11% over FY11-16, while peak load grew at a CAGR of only 4.6% over the same
period.
Last five years have seen a
period of rapid capacity
addition
Exhibit 30: Conventional capacity and peak load
Conv. Cap. (GW)
Peak load (GW)
155
118
93
122
153
Period of rapid
capacity addition
301
259
194
Source: MOSL, CEA
Capacity addition was driven by huge private sector investment. Doling out of
captive coal mines during 2007-2009 and a very attractive merchant power market
during 2009-2011 attracted huge investment by private developers. Many did not
care to even secure PPAs. Almost everyone kept some spare capacity for the
merchant market.
May take 5-6 years to rebalance the market
According to analysis of data provided by CEA on the broad status of projects and
based our interaction with industry, we note that capacity addition has peaked.
Private developers are hurrying to complete projects before 31 March 2017 in order
July 2016
22

Utilities | At the peak of over capacity
to retain tax benefits. Commissioning of projects by private players will dry post
FY17. However, capacity addition by the central sector, led by NTPC, will be high in
FY18 and FY19. We expect conventional capacity to increase by net 42GW to 301GW
in FY20 after counting the deletion of nearly 6GW largely by the state sector (see
Annex. III for details).
Conventional capacity
addition has peaked
Exhibit 31: Conventional capacity addition (GW)
Central
State
Pvt.
16
16
8
5
6
12
4
4
24
18
13
13
8
6
23
17
12
13
6
8
9
3
22
13
3
6
7
3
8
7
Source: MOSL, CEA
Conventional capacity addition growth will be slower at 3.8% over FY16-20E, while
peak load may grow at a CAGR of 6%. Furthermore, we expect renewable energy
(RE) capacity to increase by 41GW to 80GW by FY20. Thus, total installed capacity
will increase by 83GW to 381GW by FY20E on factoring reasonable conservatism.
It will take as long as 5-6
years for overcapacity to
correct
Exhibit 32: Conventional cap./peak load (x)
1.7
1.6
1.5
1.4
1.3
1.2
1.1
Source: MOSL, CEA
The Indian power sector is at the peak of overcapacity, as evident from Exhibit 32. If
peak load grows at a CAGR of 6%, it will take as long as 5-6 years for overcapacity to
correct. We are assuming that RE will not crowd out conventional capacity from
peak load. In reality, some amount of wind energy is indeed available during evening
peak load, but it cannot be relied upon.
There is a tendency of slower growth in peak load as the load curve tends to flatten
as per capita consumption increases. This is evident from the following regional
peak load charts. The load curve is steeper in the eastern region (ER), which is less
developed compared to the northern region (NR). Further, LED lights are reducing
peak load in the evenings. Therefore, we believe that it will take at least 5-6 years
for overcapacity to correct even if energy demand were to grow at a CAGR of 7-8%.
July 2016
23

Utilities | At the peak of over capacity
Further, we have identified 21GW of projects, which are held up either because of
shortage of funds or other issues. Of this, there is 10GW of capacity with revised
project cost of INR660b, which are stopped due to shortage of funds; INR400b is
already spent on them. Any sign of tightness in the market will improve the chances
of revival of these projects. Therefore, overcapacity may last for longer.
Exhibit 33: Load curve - Eastern Region at peak in FY15
GW
Exhibit 34: Load curve – Northern region at peak in FY15
GW
50
40
30
20
Conventional
Wind
Solar
Conventional
Wind
Solar
20
15
10
5
0
0
2
4
6
Time (hours)
10
0
0
2
4
6
Time (hours)
8
10 12 14 16 18 20 22 24
Source: MOSL, CEA
8 10 12 14 16 18 20 22 24
Source: MOSL, CEA
We expect generation to grow at 7% CAGR; private sector - key driver
Electricity generation has increased at a CAGR of 6.4% over FY11-16. Private sector
has been the key driver of this growth. Indian DISCOMs have an impressive system
of scheduling power from generating stations that have lower variable cost among
the contracted capacities.
Electricity generation by private generators increased at a CAGR of 25% over the
past five years. Most private producers secured PPAs at low rates through
competitively bid tenders. Private producers find preference in merit order
dispatch as they enjoy low variable cost due to economy of scale, lower
transportation costs and highly efficient new equipment. Private names will
continue to lead generation because their plants are located either closer to
ports or closer to coal mines. We are factoring in a 12% CAGR in private sector
generation over FY16-20E.
Private sector is key driver
of generation growth
Exhibit 35: Electricity generation (billion kWh)
State
Central
Private
RE
1,155
348
116
346 364 376 385 395 409 429 456 479 509
231 245 267 299 304 324
304 315 336 338 346 348 360 368 348 351 367 345 349 352 356 360
624
846
540
1,514
Source: MOSL, CEA
The state sector’s generation remains stagnant, despite capacity increasing by
25% to 100GW in FY16. As a result, PLF of the state sector declined from 53% in
FY11 to 41% in FY16. The state sector has been a major loser due to system
24
July 2016

Utilities | At the peak of over capacity
inefficiencies and the strategic disadvantage of having location away from the
source of energy. State GENCOs’ variable costs are elevated as they incur high
transportation cost for coal, and SHR (station heat rate) is high due to frequent
back-downs and poor maintenance. Only ~20% of coal based capacity has
variable cost less than INR2/kWh. As transmission-related bottlenecks are
addressed, high-variable-cost plants will find it difficult to get schedule. The
state sector is likely to remain laggard, in our view. We are factoring a 1% CAGR
in state sector generation over FY16-20E.
Only 12GW of 64GW of
state-owned coal capacity
has variable cost less than
INR2/kWh
Exhibit 36: Variable cost curve for state-owned coal capacities
Source: MOSL, State Gencos ARR (FY16-17)
The central sector too has been a laggard as generation grew at a CAGR of
3.4% v/s 6.4% for all India over FY11-16. Capacity increased at a CAGR of 7%
to 76GW over FY11-16. As a result, PLF declined from 73% in FY11 to 61% in
FY16. The MoP and the MoC (ministry of coal) have taken various initiatives
to improve the quality of coal and reduce transportation cost by swapping
of linkage, which should help reduce overall cost of coal transportation and
variable cost. We expect generation to grow at a CAGR of 5% over FY16-20,
which is better than the state sector but lower than all India generation
CAGR of 7% over the same period.
Exhibit 37: NTPC’s plants energy cost
Energy Charges (INR/kWh)
4.6
2.6 2.4 2.6 2.6
1.7 1.2 1.7 1.6 1.6 1.6
1.1 1.0
2.4 2.5
1.3 1.5 1.5 1.4 1.4
2.8 2.8 2.8
3.9 3.6
3.0 2.9 3.4
3.8 3.7
Source: NTPC's Tariff Petitions
The MoP is targeting aggressively to increase RE capacity to 175GW by 2022. We
are, however, conservatively factoring in RE capacity of 80GW by the end of
25
July 2016

Utilities | At the peak of over capacity
FY20E, which means an addition of 41GW in four years. This is achievable, in our
view, given the strong push by the MoP, falling cost of projects and competitive
tariffs.
We expect RE capacity and
generation to increase at a
CAGR of 20% over FY16-
20E.
Exhibit 38: Renewable energy capacity (GW)
68
80
4
6
8
10
12
16
18
25
28
29
36
39
46
57
Source: MOSL, CEA
All India PLF of conventional capacity will bottom out in FY17E at 50%. State
sector PLF will remain low at 40%, while central sector plants’ PLF will decline
further from 61% in FY16 to 55% in FY19E. Private sector’s PLF is at 52%, which
is expected to start improving rapidly after FY17.
Private sector PLF is at its
lowest point
Exhibit 39: Plant load factors (%)
PLF(%)
85
75
65
55
45
35
All India conventional
Central
State
61
Private
64
57
40
Source: MOSL, CEA
Coal will retain dominant
share in power generation,
while RE’s share will
increase 230bp to 7%
Exhibit 40: Power generation fuel-wise
Share (%)
100
80
60
40
20
0
72
70
69
69
71
69
68
68
73
75
77
78
78
78
77
77
Coal
Gas
Hydro
Nuclear
RE
Source: MOSL, CEA
In the past five years, all India generation increased by 325b kWh to 1155b kWh.
Coal was the key driver of generation growth. Coal contributed 102%, RE 9% and
July 2016
26

Utilities | At the peak of over capacity
nuclear 3% of the 325b kWh total growth in generation. Hydro contributed just
2%, while gas-based generation dragged 16% of total growth in generation.
Exhibit 41: Contribution (%) in generation growth (FY11-16)
Exhibit 42: Contribution (%) in generation growth (FY16-20)
14
16
7
100
(325b
kWh)
Hydro
Nuclear
RE
Gas
FY11-16
Source: MOSL, CEA
74
4
Coal
Hydro
Nuclear
RE
9
3
2
102
Coal
Source: MOSL, CEA
We expect electricity generation to increase at a CAGR of 7% over FY16-20E.
According to our estimates, RE will contribute 14% to growth, while hydro will
contribute 7%. Nuclear energy too will contribute nearly 4%. If there are
slippages in hydro generation (either due to water shortage or delay in new
projects), coal’s share will be correspondingly higher.
July 2016
27

Utilities | At the peak of over capacity
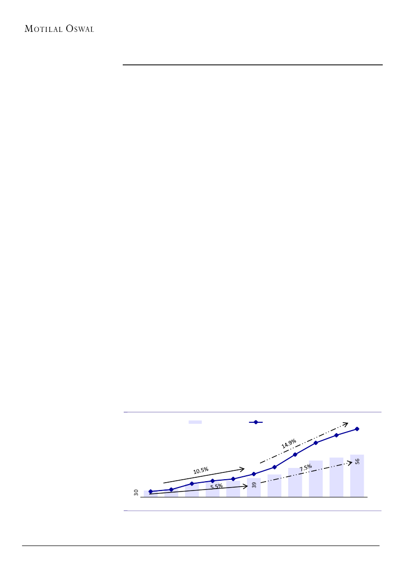
DISCOMs have 41% more PPAs than FY20E peak load
21-28GW capacities without PPAs, while demand may be just 4.7GW
Power supply in India is comfortable with 259GW of commissioned conventional
capacity as on 31 March 2016, while peak load was only 153GW in FY16. States had
237GW of available commissioned capacity with PPAs, i.e. 55% more than peak
demand. Approx. 21GW of private commissioned capacity was stranded without PPAs.
Rolling forward to FY20E, we believe conventional capacity will rise to 301GW after
the deletion of 6-10GW old capacity, while peak load will increase to 194GW at a
CAGR of 6%. States will have 273GW of available commissioned capacity with PPAs,
i.e. 41% more than the projected all-India peak demand. However, approx. 28GW of
private commissioned capacity may still be stranded without PPAs if states do not sign
more PPAs.
Despite a very comfortable situation at the country level, Gujarat, Andhra Pradesh,
Kerala, J&K and a few smaller states may need to seek 4.7GW PPAs over the next 2-4
years to meet their long-term requirements.
Exhibit 44: Cap. w/o PPA outstrips expected PPAs by FY20E
Capacities /PPAs(GW)
27.8
Exhibit 43: 41% more PPAs than FY20E peak load
Peak load (GW)
Avg. load (GW)
273
238
PPAs (GW)
+41%
194
161
129
4.7
+55%
153
FY16
FY20E
Source: MOSL
Expected PPAs
Cap. w/o PPA
Source: MOSL
States may seek 4.7GW of PPAs over the next 2-4 years
Gujarat, Andhra Pradesh,
Kerala and J&K may need to
enter into PPAs.
Although the PPA situation at the country level is very comfortable, yet some
states will need to sign PPAs to meet their average energy requirement as they
often plan in isolation for political reasons. Among the larger states, Gujarat,
Andhra Pradesh, Kerala and J&K may need to enter into PPAs to meet their
average energy requirement (Exhibit 45). Around 4.7GW of PPAs may come up
in the next 2-4 years from 11 states, despite surplus central sector unallocated
PPAs of 14GW by FY20. Our calculations for the requirement of PPA capacities
are based on an average PLF of 75% for average energy requirement and PLF of
80% for peak load requirement. If gas-based capacities become viable, Andhra
Pradesh and Gujarat too may not need new PPAs until FY20.
Karnataka, Kerala and Bihar’s PPA situation has been tight in FY16. These states
are expecting new capacities (they have signed PPAs, which will be
commissioned over the next few years), which should put them it a comfortable
position. Therefore, as of now, these states are managing their short-term
needs from the oversupplied merchant market.
Our analysis reveals that if each state were to plan from the point of view of
securing PPAs to meet their peak load requirement individually, 25 states may
28
July 2016

Utilities | At the peak of over capacity
need to sign 39GW of PPAs by FY20. However, this analysis may not hold true as
peak load demand can and is being met by power banking and from merchant
power market. Peak load for most states in the northern region (NR) is 42-80%
more than average load requirement. On the other hand, NR’s peak load is just
31% higher than average requirement. Therefore, power banking and short-
term PPAs can prove to be a cost-effective solution, in our view.
Exhibit 45: Conventional Power Projects with PPAs, Peak and Avg. load requirement – in MW
Region
Maharashtra
Uttar Pradesh
Tamil Nadu
Gujarat
Punjab
Rajasthan
Karnataka
Madhya Pradesh
Haryana
Telangana
West Bengal
Andhra Pradesh
Delhi
Orissa
Chhattisgarh
Kerala
Bihar
DVC
Jammu & Kashmir
Uttarakhand
Assam
Himachal Pradesh
Jharkhand
Dadra and Nagar
Goa
Puducherry
Meghalaya
Chandigarh
Tripura
Daman & Diu
Manipur
Nagaland
Arunachal Pradesh
Mizoram
Sikkim
State PPAs
Cen. Unalloc. PPA
Pvt PPAs
Pvt Gas PPAs
Without PPA
Adjustment
Grand Total
FY16 Load
Peak
Avg.
PPAs
20,973 16,755 28,364
16,988 12,484 18,368
14,217 11,373 15,497
14,495 12,004 17,716
10,852
6,329 12,198
10,961
7,727 12,986
10,196
7,391 10,239
10,902
6,299 13,736
9,113
5,646 10,621
6,854
4,708
9,501
7,905
5,342 10,183
7,381
6,119
8,020
5,846
3,253
8,541
4,341
3,263
5,373
3,932
2,406
6,912
3,974
2,734
4,037
3,735
2,825
2,928
2,814
2,199
6,694
2,544
1,809
2,446
2,034
1,470
2,606
1,491
965
1,184
1,488
1,012
2,419
1,151
857
2,129
740
622
280
583
463
352
368
290
330
400
223
462
342
190
113
300
148
601
307
242
48
168
84
149
140
81
100
139
73
141
102
57
73
109
55
182
177,885 127,500 215,526
7,958
2,750
5,000
21,280
6,725
259,238
U/C Cap.
FY20E load
with PPA
Peak
Avg.
PPAs
3,323 27,491 21,963 31,687
4,279 22,268 16,364 22,647
4,288 17,949 14,359 19,785
2,367 19,000 15,735 20,083
274 14,225
8,297 12,472
3,725 14,368 10,129 16,711
3,242 12,872
9,331 13,481
3,727 14,290
8,256 17,463
1,029 11,945
7,401 11,650
840
8,653
5,943 10,341
1,970 10,362
7,003 12,153
1,069
9,318
7,725
9,089
425
7,663
4,264
8,966
3,125
5,690
4,276
8,498
1,055
5,154
3,154
7,967
486
5,017
3,452
4,523
4,110
4,896
3,704
7,037
69
3,689
2,883
6,763
204
3,335
2,371
2,650
269
2,666
1,926
2,875
428
1,954
1,265
1,612
1,221
1,950
1,327
3,640
953
1,509
1,124
3,082
24
970
815
304
165
764
607
517
136
465
366
466
93
524
292
555
21
448
249
134
306
393
194
907
15
402
318
64
0
220
111
149
0
184
106
100
330
182
96
471
221
134
75
294
345
143
72
527
44,134 231,094 165,551 259,659
6,373
14,331
2,750
5,000
6,493
27,773
-8,598
57,000
300,915
FY20E reqd. PPA
Peak#
Avg.$
34,364 29,284
27,835 21,818
22,436 19,145
23,750 20,979
17,781 11,062
17,960 13,506
16,090 12,441
17,863 11,009
14,932
9,868
10,816
7,925
12,952
9,337
11,648 10,299
9,579
5,686
7,113
5,702
6,443
4,206
6,271
4,602
6,120
4,938
4,611
3,843
4,168
3,161
3,333
2,569
2,443
1,687
2,438
1,769
1,886
1,498
1,212
1,087
955
809
581
488
655
389
560
332
492
259
503
424
275
147
229
141
228
128
167
100
179
95
288,867 220,735
Surplus (deficit)
Peak
Avg.
-2,677 2,403
-5,187
829
-2,651
640
-3,667
-897
-5,309 1,410
-1,248 3,206
-2,609 1,040
-399 6,455
-3,282 1,782
-475 2,417
-799 2,816
-2,559 -1,211
-613 3,280
1,386 2,796
1,524 3,761
-1,748
-79
918 2,099
2,152 2,920
-1,519
-512
-458
306
-831
-75
1,202 1,871
1,196 1,583
-909
-783
-439
-292
-115
-22
-101
165
-426
-198
416
648
-439
-360
-126
2
-130
-42
243
343
126
193
348
432
-29,208 38,925
14,331 14,331
2,750 2,750
5,000 5,000
-8,598 -8,598
-15,724 52,408
Source: MOSL, CEA, Company Data
July 2016
29

Utilities | At the peak of over capacity
Exhibit 46: Central and state sectors will be key drivers of capacity addition with PPA
Central
Private
State
Grand Total
MW
24,101
4,807
15,226
44,134
Source: MOSL, Company, CEA
Exhibit 47: Private sector is likely to add ~4.8GW tied-up capacity
Ind bharath
JPVL
KSK
RKM
TRN
Pvt
Asian Genco
IL&FS
Grand Total
Project
Ind Barath
Prayagraj (Bara)
Akaltara
Uchpinda
TRN
Tidong-I
Teesta- III
Cuddalore
2017
350
1,122
350
390
50
1,020
600
2,812
1,945
50
2018
2019
Grand Total
350
1,122
925
350
390
50
1,020
600
4,807
925
Source: MOSL, Company, CEA
Regional analysis reveals that SR has only marginal surplus
Our region-wise analysis reveals that the northern region (NR), the western
region (WR) and the eastern region (ER) are well positioned to meet their
average load requirements. Even the southern region (SR) is comfortable with
marginal surplus PPAs of 2.4GW.
There are two states – Andhra Pradesh and
Kerala – that appear in a tight situation in SR. We can expect these two states
to sign some PPAs.
Andhra Pradesh is aggressively installing RE capacities, which
can help it to partly meet its energy requirements.
Region-wise peak load too appears manageable with unallocated central
capacity of 14GW and improved inter-region connectivity.
Exhibit 48: Electricity demand-supply balance by regions
Region
NR
WR
SR
ER
NER
Sum
All-India
FY16 Load
U/C Cap.
FY20E load
Peak
Avg.
PPAs with PPA
Peak
Avg.
54,474 41,681 70,297
11,447 71,404 54,636
48,640 39,947 67,409
10,675 63,757 52,362
40,445 34,006 47,623
10,061 49,161 41,334
18,076 14,019 27,488
10,573 23,694 18,376
2,573
1,692
2,709
1,378
3,373
2,217
164,208 131,344 215,526
44,134 211,389 168,924
153,366 128,879 237,959
44,134 193,621 161,351
PPAs
81,745
78,084
57,684
38,060
4,087
259,659
273,143
FY20E reqd. PPA
Peak# Avg.USD
89,255 72,847
79,696 69,816
61,451 55,112
29,617 24,501
4,216
2,956
264,236 225,232
242,026 217,824
Surplus (deficit)
Peak
Avg.
-7,511 8,897
-1,613 8,267
-3,767 2,572
8,443 13,560
-129 1,130
-4,577 34,427
31,117 55,319
Source: MOSL, CEA
July 2016
30

Utilities | At the peak of over capacity
Investment in transmission to continue
RE, need for flexibility and arbitrage in variable cost across the country will
be the drivers
Investment in RE capacities should keep driving demand for spinning capacities, while
investment in transmission and sophisticated equipment should help maintain quality
of electricity.
Demand centers and sources of energy are polarized. It makes more sense to transmit
electricity rather than transporting coal.
Over-investment in long -distance transmission is desirable to create flexibility in grid.
16.3GW of stranded capacity will demand inter-region transmission capacity because
these plants can sell power at a lower rate than the variable cost of many capacities in
demand centers, e.g. NR and SR.
The merchant power market will thrive, but is unlikely to be profitable for the next
few years.
Investment in RE will keep driving demand
The MoP is targeting aggressively to increase RE capacity to 175GW by 2022. We
are, however, conservatively factoring in RE capacity of 80GW by the end of
FY20, which implies addition of 41GW in four years.
This is achievable, in our view, given the strong push by the MoP, falling cost of
projects and competitive tariffs. Investment is transmission will be more driven
by the MoP’s RE capacity target of 175GW, because it takes longer to set up
transmission infrastructure compared to RE capacity addition.
Investment in RE capacities should keep driving demand for spinning capacities,
while investment in transmission and sophisticated equipment should help
maintain quality of electricity.
We expect RE capacity and
generation to increase at a
CAGR of 20% over FY16-
20E.
Exhibit 49: Renewable energy capacity (GW)
80
68
57
28
29
36
39
46
4
6
8
10
12
16
18
25
Source: MOSL, CEA
Centre of gravity of generation has shifted away from demand…
New investments in generation are closer to energy sources
WR was the key driver of capacity addition (43% of total addition) over FY05-
FY15, spurred by allocation of captive coal mines and success of three UMPPs of
4GW each. Peak demand, on the other hand, grew the most (32% of all India
growth) in SR. Very attractive merchant power rates during FY08-FY11
July 2016
31

Utilities | At the peak of over capacity
discouraged many of new capacities at pithead to get in long-term PPAs, leaving
them stranded for transmission capacities.
Economics driving additional need for transmission
Although the northern region is well invested in generation, it is now looking to
source cheaper power from WR at the cost of keeping its capacities idle. This
has created additional need for transmission for right reasons. It is always
cheaper to produce power close to mines/port and transmit power, compared
to transporting coal more than 1000km from mines/ports to the generation
capacities in NR. This has created an imbalance in generation capacities with
respect to demand centers, thereby creating transmission bottlenecks.
Exhibit 50: WR hogged 43% of cap. addition FY05-15
SR
21%
NE etc
1%
NR
25%
SR
32%
Exhibit 51: While demand grew most in SR over FY05-15
NE etc
2%
NR
24%
ER
10%
ER
16%
Source: MOSL, CEA
WR
26%
Source: MOSL, CEA
WR
43%
…due to uneven disposition of energy resources
New investments in generation have come close to coal mines in Odisha,
Chhattisgarh, MP and Jharkhand. Large hydro projects are located far off from
load centers in Sikkim and the north-eastern regions. UMPPs are either located
on coastline or closer to coal mines.
Coal mines are mostly in central and eastern part of India, while load is
distributed across NR, WR and SR.
July 2016
32

Utilities | At the peak of over capacity
Exhibit 52: Energy sources in India
Source: Company
Cost of power transmission is far cheaper than cost of transporting coal
Cost of transmission
declines, while cost of coal
transportation increases
over time
Economics of total cost of delivered power will decide the location of electricity
generation in future, due to plenty of redundancy in generation capacities.
Cost of transmitting electricity can be lowered with the help of technological
upgrade, e.g. higher MVA lines (800KV HVDC - lower system losses and can carry
larger amount of electricity on single line), while cost of transporting coal keeps
increasing because of higher cost of new rail infrastructure and general inflation.
As such, there are bottlenecks in the rail freighting infrastructure. Transmission
is much less labor-intensive compared to rail/road transport of coal.
July 2016
33

Utilities | At the peak of over capacity
Exhibit 53: High density of stranded IPP (red pointers) & CPP (green pointers) in proximity to coal fields (black pointers)
Source: MOSL
Over-investment in transmission is desirable to create flexibility in grid
Availability of fuel and
water is volatile.
Long distance HVDC transmission corridors are being built to connect the
power-surplus western region to the north and south regions. The NE-Agra
HVDC line has been commissioned recently, which provides a large connection
between NR and ER. Although this line is largely idle currently due to a delay in
the hydro project (Subhanshiri) in NE, it has provided much-needed flexibility in
the system. The Champa-Krukshetra HVDC line is expected to be commissioned
in June 2016, which will connect stranded capacities in WR to demand centers in
NR.
Over-investment in transmission is desirable for a country like India because the
sources of energy lie either in the central/eastern coal belt or hydro resources in
north (i.e. Himalayas), while demand centers are in the planes of north, west
and south. Cost of transporting coal is very high from coal belts to demand
centers in north, west or south of India because of long distances and
bottlenecks in rail infrastructure. For a coastal power plant in west or south, it is
often cheaper to import rather than sourcing it domestically from Coal India.
However, economics keep changing depending on coal prices. Also, there is
another angle of water shortage.
At times, some thermal power plants are
rendered idle due to water shortage. Therefore, it is prudent to overinvest in
inter-region transmission capacities to create the desired flexibility. Hence, we
34
July 2016

Utilities | At the peak of over capacity
believe that investment momentum in the transmission system will continue.
Power Grid is the key beneficiary.
Arbitrage in variable cost demands additional transmission infra
14GW of stranded capacity
without PPAs near coal
mines.
Stranded power capacities of 22-28GW may have to wait for 2-3 years for
securing PPAs. The MoP has come up with a good idea to capitalize on this – it
has started promoting the short-term power market. Coal is being made
available in a separate e-auction window for the power sector. At the same
time, states have been asked to come to the electronic platform for meeting
their short-term requirements. We believe the outlook for the short-term power
market in India is promising.
Many generating companies have high variable costs because of high
transportation costs, low operating efficiencies, coal pilferage and corruption.
Variable cost ranges as high as INR3-4/kwh. These plants do not get scheduled
in merit order dispatches. On the other hand, new efficient merchant power
plants are able to supply power at total cost as low as INR2.2/kwh. Clearly, there
is an arbitrage, and the future of the short-term market appears promising, in
our view. Availability of transmission infrastructure is the only bottleneck at
times. However, these issues are being addressed gradually.
There is nearly 14GW of stranded capacity without PPAs near coal mines in the
states of MP, Chhattisgarh, Odisha and Maharashtra. These capacities have low
variable cost and they sell to states like Delhi and Rajasthan (where variable cost
is high due to transportation of coal) or to states in the south that have to either
pay high transportation cost or import coal. Similarly, 2.2GW of hydro capacity
can supply to states in north India. Therefore, we believe demand for
investment in cross-country lines will continue.
U/C
3,270
990
1,200
1,080
855
244
535
76
2,368
2,020
150
total
14,143
5,626
3,024
1,315
4,178
2,125
1,418
631
76
6,505
3,170
945
1,092
980
120
198
5,000
27,773
Remarks
This power will have to be sold
outside of state because
cost of power is low and states
are over supplied
This power will have to be sold
outside of state
Exhibit 54: Stranded capacities w/o PPAs – in MW
Coal bearing states
Chhattisgarh
Madhya Pradesh
Odisha
Maharashtra
Hydro
Himachal Pradesh
Sikkim
Uttarakhand
Demand Centers
Andhra Pradesh
Gujarat
Tamil Nadu
Karnataka
Rajasthan
Uttar Pradesh
Private Gas
Total
Comm.
10,873
4,636
1,824
1,315
3,098
1,270
1,174
96
4,137
1,150
945
942
980
120
5,000
21,280
This capacity may eventually get
absorbed within state/region
198
6,493
Even this may demand transmission
Source: MOSL, CEA
July 2016
35

Utilities | At the peak of over capacity
Identifying winners: Two CSPUs and three pvt. GENCOs
PWGR is our top pick; re-initiating coverage on JSW Energy with BUY
After analyzing 50 private companies and five central PSUs, we have identified two
CPSUs and three private GENCOs as likely outperformers.
PWGR and NTPC are growing organically with capex visibility for the next 3-5 years,
and are delivering double-digit RoEs. PWGR is our top pick.
It is prudent to grow inorganically at the peak of overcapacity. Among the 50 private
companies, we have shortlisted three names that have strong balance sheets and free
cash flows. JSW Energy, Tata Power and CESC have balance sheet strength and FCF.
We re-initiate coverage on JSW Energy with a BUY rating for its simple business model,
strong balance sheet, regionally diversified portfolio of assets and strong negotiating
power in M&A.
Businesses of Tata Power and CESC are complex as they have exposure to RE,
distribution, coal mining, retail, cricket (IPL), information technology, etc.
GENCOs have attracted major chunk of private investment in the sector
The Indian power sector comprises generation companies (GENCOs), transmission
companies (TRANSCOs) and distribution companies (DISCOMs). Among the three
verticals, GENCOs have witnessed large private sector investment. PWGR dominates
with more than 90% share in the inter-state-inter-region (ISIR) transmission system.
There are few private sector TRASCOs, but they are much smaller in size and less
relevant. DISCOMs are largely state government entities, though there are a few
private franchises but largely in metropolitan cities like Mumbai, Delhi and Kolkata.
Most of them are engaged in generation as well. Therefore, we will focus our
discussion on GENCOs with the exception of PWGR.
Exhibit 55: RoE (%)
PSU
Power Grid
NTPC
SJVN
NHPC
Neyveli Lignite
Pvt. Sector
JSW Energy
Torrent Power
Tata Power
CESC
Reliance Power
Adani Power
KSK Energy
JP Power
Lanco Infratech
FY11
12
14
14
13
9
12
11
16
24
14
6
5
13
7
4
14
FY12
13
15
13
14
12
12
5
6
24
-6
5
5
-4
4
7
2
FY13
13
17
16
13
9
12
-1
18
6
1
9
6
-42
4
6
-21
FY14
11
14
14
13
5
10
-5
18
2
0
9
5
-4
-5
1
-67
FY15
12
14
12
17
9
11
-14
20
6
3
4
5
-21
-10
2
-132
FY16
11
15
12
13
8
7
4
16
12
6
7
7
7
-13
-4
2
Source: MOSL, Company
Central PSUs delivering consistent double-digit RoEs
PWGR is our top picks.
Among GENCOs, central PSUs have been able to deliver consistent double-digit RoEs
as they work on cost plus model. Revenue is approved by the regulator based on
regulations, which are revised every five years and are currently applicable for the
command period 2014-19. Among the five key listed names, PWGR, NTPC, Neyveli
36
July 2016

Utilities | At the peak of over capacity
Lignite and SJVN have been able to report double-digit RoEs. Capacity addition in
hydro has slowed down drastically due to environmental issues and opposition from
local residents. This has affected growth for SJVN and NHPC. The RoE of NHPC is
adversely affected because (1) projects have taken longer time to complete and (2)
the share of equity in projects is higher than the regulatory ceiling of 30%, which
yield lower debt return, i.e. negative EVA.
PWGR and NTPC have
reinvestment opportunities
because of their capex
visibility of the next 4-5
years.
Both PWGR and NTPC are well managed and have been able to consistently
generate double-digit RoEs, despite trimming of incentives under the revised
regulations for the command period 2014-19. PWGR’s RoE is superior to NTPC
because it takes shorter period of ~3 years to complete a transmission project,
compared to 5-6 years for coal-based power plants. IRR (internal rate of return) for
a project is superior if the execution period is shorter because equity invested
during the construction period does not earn RoE. Further, PWGR has higher
balance sheet leverage compared to NTPC. Although investment in private GENCOs
is drying up, both PWGR and NTPC have reinvestment opportunities because of
their capex visibility of the next 4-5 years. PWGR is our top pick because of superior
RoEs and lower execution risk. We also find NTPC attractive because capex has
picked up momentum, which will be followed by capitalization and earnings growth.
Exhibit 56: Central sector power capacity (GW)
Coal
Gas
Hydro
Nuclear
90
13
62
99
15
102
15
48
9
29
FY08
49
9
30
FY09
51
9
31
FY10
54
9
34
FY11
60
9
39
FY12
65
9
44
FY13
68
10
46
FY14
73
11
48
FY15
76
12
51
82
13
55
69
71
FY16 FY17E FY18E FY19E FY20E
Source: Company, MOSL
Organic growth is drying in private sector
Private sector capacity grew
at a CAGR of 29% over
FY09-FY17E.
The Indian power sector witnessed maximum tightness in supply during FY09, which
is evident from the ratio of conventional capacity to peak load (Exhibit 57).
Merchant power rates had shot through the roof. DISCOMs were buying power in
the short-term market at very high rates, ranging from INR6/kwh to INR10/kwh. This
was followed by a spurt in investment in the private sector.
July 2016
37

Utilities | At the peak of over capacity
Exhibit 57: Conventional capacity to Peak load (x)
1.7
1.6
1.5
1.4
1.3
1.2
1.1
Source: MOSL, CEA
Capacity in the private sector grew at a CAGR of 29% to 91GW over FY09-FY17E. This
was driven largely by coal-based projects, which grew at a hopping CAGR of 40% to
78GW over the same period.
Coal-based private
capacities grew at a 40%
CAGR.
Exhibit 58: Private sector power capacity (GW)
Coal
Gas
Hydro
70
83
91
95
96
97
10
4
11
4
10
4
11
5
12
5
15
7
21
13
29
20
45
35
57
46
58
69
78
80
81
82
Source: MOSL, CEA
Private capacity addition is also expected to remain strong in FY17E as companies
are rushing to complete projects before the exhaustion of tax benefits. Capacity
addition will fall off the cliff in the private sector post FY17E, essentially implying
that organic growth opportunities are drying up for the private sector. As a result,
we expect the overcapacity situation to start correcting gradually.
Nine relevant companies in the listed space
There are about 50 companies (Annexure II) that have undertaken total projects of
97GW (excluding stalled projects), which are either already commissioned or will be
commissioned by FY20E. Of these, nearly 28GW of capacity are without PPAs. There
are many players with large projects which have material operations in other sectors
(e.g. steel, construction). However, since power is not their core business and
majority of their capacities are without PPAs and debt laden, they are likely to exit
over time.
We have identified nine private companies with total capacities of 45GW in the
listed space which are pure play in the sector and worth focusing on. These
companies have nearly 4GW capacity under construction, while 19% of their
capacity is stranded without PPAs.
38
Nine companies control half
of private capacities.
July 2016

Utilities | At the peak of over capacity
Exhibit 59: Private Gencos capacity and their status
S.N. Companies
(MW)
9,034
5,845
4,440
10,044
2,438
3,280
2,700
3,272
4,320
45,373
Capacity
Thermal
Hydro
(MW)
(MW)
7,661
693
5,760
0
3,140
1,300
10,044
0
2,325
0
3,231
0
2,700
0
3,262
0
3,920
400
42,043
2,393
Renew.
(MW)
680
85
0
0
113
49
0
10
0
937
Status
Comm.
u/const.
(MW)
(MW)
9,034
0
5,845
0
4,440
0
10,044
0
2,438
0
3,280
0
1,350
1,350
2,072
1,200
2,880
1,440
41,383
3,990
Capacity w/o LT PPA
(MW)
270
0
1,360
2,235
490
1,402
1,350
523
1,173
8,803
%
3
0
31
22
20
43
50
16
27
19
1
2
3
4
5
6
7
8
9
Tata Power
RPower
JSW Energy
Adani
CESC
Torrent Power
Rattan India
KSK
Jai Prakash
Source: MOSL, Company, Bloomberg
Three likely winners: JSW Energy, Tata Power and CESC
Torrent’s business model is volatile because most of its capacity is gas-based and
nearly 43% is without PPAs. Gas prices remain highly volatile. Despite a fall in gas
prices, its cost of generation is still not competitive with coal-based power plants.
Gas supply is likely to remain short in India due to low domestic production. Torrent
has a franchisee business which is stable. Although its balance sheet is not
leveraged, the company’s value will remain volatile. This further narrows the
discussion to eight companies.
Exhibit 60: Private companies: Key financials and valuation ratios
S.N. Names
CMP#
Mkt
Net
Cap.
Net Debt*
O/S
EV*
EBITDA Net Debt
EV
Cap. Worth
INRm capex
INRm FY17E
/EBITDA
(INR) (INR b) (INR b) (MW) (INR b) /MW (INR b) (INR b) /MW (INR b)
(x)
(x)
73
198
150
9,034
360
40
0
559
62
83
4.3
6.7
52
146
209
5,845
289
49
0
435
74
52
5.5
8.3
84
137
85
4,440
169
38
0
306
69
44
3.8
6.9
29
98
74
10,044 483
48
0
580
58
61
7.9
9.5
609
81
63
2,438
116
48
0
197
81
33
3.5
6.0
12
35
50
2,700
147
55
20
202
75
12
12.3
16.8
31
13
26
3,272
226
69
40
279
85
25
9.0
11.1
6
17
76
4,320
253
58
30
300
69
22
11.5
13.6
P/BV
(x)
1.3
0.7
1.6
1.3
1.3
0.7
0.5
0.2
1
2
3
4
5
6
7
8
Tata Power#
Rpower#
JSW Energy
Adani#
CESC#
Rattan India#
KSK#
Jai Prakash#
* incl. o/s capex; # as on July 8th, 2016
Source: MOSL, Company, Bloomberg
Looking closely at the key financials of these eight companies, it is clear that there
are only three companies with good fundamentals and sound financials. JSW
Energy, Tata Power and CESC are likely to emerge as winners in the sector, in our
view. On the other hand, we believe RPower and Adani would barely sustain
themselves. Also, Rattan India, KSK and Jai Prakash are heavily debt laden and have
pending capex, open capacities, etc.
July 2016
39

Utilities | At the peak of over capacity
Exhibit 61: Private companies: Key financials and valuation ratios
20
JSWE
CESC
(substaintial
assets other
than GENCO)
Tata Power
12
Adani
KSK
RPower
JPVL
Rattan
4
30
45
Net Debt / MW - INR m
60
Source: MOSL, Company, Bloomberg
JSW Energy is simple and best among the lot
Overcapacity in the sector is at its peak level, which will take another 5-6 years to
correct, in our view. Therefore, we believe it is prudent to grow inorganically rather
than investing in new projects. In our view, companies with low financial leverage
and robust free cash flows are better placed to grow inorganically given the
immense opportunities. We believe JSW, Tata and CESC fit the matrix. CESC has
chosen to grow its business in distribution by acquiring two circles in Rajasthan. Tata
Power has acquired the renewal energy business of Welspun Group. JSW Energy has
recently acquired and integrated hydro assets of JP and signed MoUs to acquire
more assets. JSW Energy has the lowest net debt/EBITDA, significant free cash flows
(post interest), management with risk appetite, and strong negotiating power.
Exhibit 62: JSWE has one of the lowest financial leverage
Net Debt / EBITDA - x
10.1
4.3
5.5
7.4
7.9
10.6
44
25
20
20
20
8
0
-4
-6
Exhibit 63: JSWE has strong free cash flows as well – INR b
FCF (post-interest)
Interest
assumed @ 11%
3.5
3.8
Source: MOSL, Company, Bloomberg
Source: MOSL, Company, Bloomberg
Although JSW Energy has 31% of its capacities without long-term PPAs, it has been
able to secure short-term PPAs for its merchant plant in Karnataka, benefiting from
the short-term regional tightness. Assets without PPAs will become more valuable
over the next 3-4 years as the market rebalances, in our view.
We re-initiate our
July 2016
40

Utilities | At the peak of over capacity
coverage on JSW Energy with a BUY rating for its simple business model, strong
balance sheet, regionally diversified portfolio of assets and strong negotiating
power in M&A.
Exhibit 64: Sector valuation table
TP Up/(dw) MCAP
Rating CMP#
(INR) (INR)
% (USD M)
Buy
165 205
24 12,994
Buy
153 185
21 19,034
Buy
84
98
17 2,064
Buy
312 370
19 29,633
FY16E
11.5
12.3
8.5
22.6
EPS
FY17E
14.0
11.5
7.0
19.0
FY18E
16.3
13.7
8.0
23.0
P/E (x)
FY17E FY18E
11.8
10.1
13.3
11.2
12.0
10.5
16.4
13.5
P/B(x)
FY17E FY18E
1.7
1.5
1.4
1.3
1.5
1.3
5.6
5.4
RoE (%)
FY17E FY18E
15.7
16.1
10.8
12.2
12.9
13.4
34.8
40.6
Powergrid
NTPC
JSW Energy
Coal India
# as on July 8th, 2016
Source: MOSL, Company
July 2016
41

Utilities | At the peak of over capacity
Annexures I – Comparative financial analysis
Exhibit 65: RoIC (%)
PSU
Power Grid
NTPC
SJVN
NHPC
Neyveli Lignite
Pvt. Sector
JSW Energy
Torrent Power
Tata Power
CESC
Reliance Power
Adani Power
KSK Energy
JP Power
Lanco Infratech
FY11
12
8
16
16
12
10
15
22
17
26
6
3
21
13
11
12
FY12
13
8
16
17
14
12
10
7
21
16
8
6
5
7
14
6
FY13
12
8
16
14
10
12
8
11
10
11
9
11
-1
8
10
5
FY14
12
8
14
17
7
13
7
11
7
9
9
9
5
3
9
1
FY15
12
8
11
19
9
14
7
13
9
10
6
6
5
1
9
2
FY16
10
9
13
11
8
9
8
11
11
11
8
7
9
5
7
5
Source: MOSL, Company
Exhibit 66: RoCE (%)
PSU
Power Grid
NTPC
SJVN
NHPC
Neyveli Lignite
Pvt. Sector
JSW Energy
Torrent Power
Tata Power
CESC
Reliance Power
Adani Power
KSK Energy
JP Power
Lanco Infratech
FY11
9
7
8
12
7
9
8
9
17
8
7
5
4
5
4
8
FY12
9
6
9
13
8
8
6
6
16
5
6
4
2
5
6
4
FY13
8
7
10
11
6
8
5
11
6
7
7
4
-1
5
6
4
FY14
8
6
9
10
5
9
6
13
5
7
7
4
8
3
5
2
FY15
9
6
7
15
7
6
7
14
8
8
6
4
7
3
6
2
FY16
8
7
7
12
7
6
9
13
12
8
10
8
12
6
6
6
Source: MOSL, Company
Exhibit 67: Net Debt / EBITDA (x)
PSU
Power Grid
NTPC
SJVN
NHPC
Neyveli Lignite
Pvt. Sector
JSW Energy
Torrent Power
Tata Power
CESC
Reliance Power
Adani Power
KSK Energy
JP Power
Lanco Infratech
FY11
2
5
2
0
3
1
10
6
1
4
4
24
15
10
17
8
FY12
2
6
2
0
2
1
12
8
2
6
5
22
27
14
11
17
FY13
3
6
2
0
3
2
13
4
5
5
6
13
42
15
11
13
FY14
3
6
3
0
4
1
12
3
6
5
7
14
9
27
13
24
FY15
3
6
5
0
3
2
12
2
4
5
7
11
9
35
11
23
FY16
3
6
5
-1
2
2
7
4
2
4
4
6
6
12
9
18
Source: MOSL, Company
July 2016
42

Utilities | At the peak of over capacity
Exhibit 68: Net Debt – INR b
PSU
Power Grid
NTPC
SJVN
NHPC
Neyveli Lignite
Pvt. Sector
JSW Energy
Torrent Power
Tata Power
CESC
Reliance Power
Adani Power
KSK Energy
JP Power
Lanco Infratech
Total
FY11
751
370
252
-3
125
7
957
92
26
214
29
54
232
57
111
142
1,708
FY12
974
509
325
-1
118
24
1,550
112
48
297
44
137
354
95
165
298
2,525
FY13
1,216
663
397
-3
124
35
1,912
110
69
347
82
227
401
121
221
334
3,128
FY14
1,584
786
628
0
147
23
2,120
103
79
351
107
274
433
143
269
361
3,703
FY15
1,954
928
861
-2
136
30
2,269
88
76
372
132
296
439
169
314
384
4,223
FY16
2,184
1,016
1,011
-12
128
40
2,347
151
75
375
116
289
516
186
223
417
4,531
Source: MOSL, Company
Exhibit 69: Net Debt / MW - INR m
PSU
Power Grid
NTPC
SJVN
NHPC
Neyveli Lignite
Pvt. Sector
JSW Energy
Torrent Power
Tata Power
CESC
Reliance Power
Adani Power
KSK Energy
JP Power
Lanco Infratech
FY11
11
8
-2
33
3
50
53
16
24
24
117
61
65
43
FY12
12
10
-1
31
9
68
43
28
33
36
110
77
102
97
90
FY13
13
11
-2
31
13
72
35
41
38
67
89
67
136
101
71
FY14
14
17
0
30
8
69
33
38
39
87
61
60
97
117
91
FY15
14
22
-1
28
9
59
28
23
41
72
50
49
82
87
98
FY16
14
25
-6
26
9
64
34
23
42
48
49
51
90
100
138
Source: MOSL, Company
Exhibit 70: EV/MW – INR m
PSU
Power Grid
NTPC
SJVN
NHPC
Neyveli Lignite
Pvt. Sector
JSW Energy
Torrent Power
Tata Power
CESC
Reliance Power
Adani Power
KSK Energy
JP Power
Lanco Infratech
FY11
76
60
59
116
66
106
121
88
48
55
242
107
117
72
FY12
65
50
53
96
61
129
82
85
60
58
375
109
127
160
103
FY13
60
45
50
91
53
101
64
79
64
94
157
84
156
135
76
FY14
55
FY15
55
FY16
56
43
52
52
57
51
54
74
72
80
46
45
37
95
83
82
64
90
60
59
47
49
61
62
59
139
116
80
104
76
75
80
65
61
117
94
96
135
95
114
95
101
142
Source: MOSL, Company
July 2016
43

Utilities | At the peak of over capacity
Exhibit 71: EV/EBITDA (x)
PSU
Power Grid
NTPC
SJVN
NHPC
Neyveli Lignite
Pvt. Sector
JSW Energy
Torrent Power
Tata Power
CESC
Reliance Power
Adani Power
KSK Energy
JP Power
Lanco Infratech
FY11
11.4
12
15
5
10
14
35
13
8
9
9
183
32
18
31
13
FY12
9.1
12
12
5
7
10
23
15
6
10
7
75
38
18
18
20
FY13
8.2
11
9
5
9
7
17
7
10
8
9
23
52
17
15
14
FY14
8.0
10
8
5
9
6
16
6
9
8
10
25
12
32
15
25
FY15
8.4
11
12
4
7
8
15
8
7
8
11
18
11
40
12
23
FY16
7.9
9
11
5
8
6
9
6
5
6
7
9
7
13
10
19
Source: MOSL, Company
Exhibit 72: P/E (x)
PSU
Power Grid
NTPC
SJVN
NHPC
Neyveli Lignite
Pvt. Sector
JSW Energy
Torrent Power
Tata Power
CESC
Reliance Power
Adani Power
KSK Energy
JP Power
Lanco Infratech
FY11
14.3
17.7
17.5
10.1
12.6
13.4
24.0
14.0
11.2
10.3
14.0
48.1
30.6
18.7
54.4
14.5
FY12
10.9
15.3
14.4
7.6
7.1
10.2
14.3
30.3
7.6
11.1
37.9
-50.7
15.7
26.7
35.4
FY13
8.9
11.6
9.3
7.4
8.4
7.6
9.3
8.2
16.9
6.9
17.1
-4.2
10.7
21.4
-2.3
FY15
FY16
9.7
10.3
15.1
11.9
12.0
10.5
6.0
8.5
7.8
9.3
7.4
11.4
13.8
14.8
14.1
9.2
21.3
9.6
46.9
15.1
10.9
26.8
15.7
19.2
15.4
11.6
-71.2
-10.5
19.1
-15.4
-6.9
-2.8
88.8
17.8
-10.8
-0.7
-0.6
66.7
Source: MOSL, Company
FY14
1.0
1.6
1.2
1.0
0.7
0.7
1.2
1.5
0.7
1.6
1.1
1.0
2.1
1.0
0.7
1.2
FY15
1.2
2.0
1.5
1.0
0.7
0.8
0.9
2.6
1.2
1.3
1.3
0.8
2.4
0.8
0.5
-3.0
FY16
1.1
1.7
1.2
1.1
0.9
0.8
0.6
1.3
1.1
1.1
1.2
0.8
1.3
0.5
0.4
-1.9
FY14
9.9
12.4
8.8
7.8
12.9
7.4
10.2
8.6
41.2
Exhibit 73: P/BV (x)
PSU
Power Grid
NTPC
SJVN
NHPC
Neyveli Lignite
Pvt. Sector
JSW Energy
Torrent Power
Tata Power
CESC
Reliance Power
Adani Power
KSK Energy
JP Power
Lanco Infratech
FY11
1.7
2.2
2.3
1.3
1.2
1.6
2.0
2.1
2.5
1.6
0.8
2.2
3.9
1.5
1.7
2.1
FY12
1.4
2.1
1.8
1.0
0.8
1.2
1.5
1.8
1.7
1.9
0.6
1.9
2.5
0.8
2.0
0.9
FY13
1.2
1.9
1.5
0.9
0.8
0.9
1.2
1.4
1.1
1.9
0.6
0.9
2.3
0.6
1.2
0.7
Source: MOSL, Company
July 2016
44

Utilities | At the peak of over capacity
Annexures II – Private generation capacity
Exhibit 74: Promoter group wise private generation capacity ownership (incl. under-
construction projects) along with the share of capacity without-PPA
Group
Adani Power
Tata Power
Lanco
Rpower
Vedanta
JSW Energy
JPVL
Essar
Jindal Power
GMR
KSK Energy
RattanIndia
CESC
Bajaj Energy
GVK
L&T
RKM
Abhijeet
Sembcorp
East Coast Energy Pvt. LTD.
CLP India
Nagarjuna
SKS
Athena
JITPL
Asian Genco
Coastal
DB
IL&FS
MB Power
Thapar
Monnet
Hinduja
Ind bharath
Meenakshi
Pvt
Aryan
TRN
Madhucon
Adhunik
Rinfra
GIPCL
S Kumar
Torrent
Himagiri
Vandana
Gati
Patel Engg
LNJ Bhilwara
PIL and NSL
Total
MW
11,040
6,792
6,336
5,760
4,980
4,440
4,320
4,200
3,400
3,300
2,940
2,700
2,485
2,430
1,720
1,499
1,440
1,326
1,320
1,320
1,320
1,320
1,200
1,200
1,200
1,200
1,200
1,200
1,200
1,200
1,200
1,050
1,040
1,000
1,000
887
625
600
600
540
500
500
400
400
300
270
161
144
86
44
MW
2,235
270
2,956
0
0
1,360
1,173
1,655
2,440
1,322
523
1,350
490
0
0
99
180
540
250
0
0
1,320
250
606
622
180
0
0
0
380
775
181
0
425
1,000
479
90
210
600
0
0
250
0
0
0
243
16
144
0
0
w/o PPA
(%)
20
4
47
0
0
31
27
39
72
40
18
50
20
0
0
7
13
41
19
0
0
100
21
51
52
15
0
0
0
32
65
17
0
43
100
54
14
35
100
0
0
50
0
0
0
90
10
100
0
0
Source: MOSL, Company, CEA
July 2016
45

Utilities | At the peak of over capacity
Annexures III – Capacities expected to be closed
Exhibit 75: State gencos capacity retirement year-wise – in MW
Plant
Amarkantak
State
M.P
FY 17
240
FY20
FY21
FY22
Comments
- U 1 and 2 have already been decommissioned and are to be retired
- PLF of 46.6
- A supercritical unit is proposed to replace the retired units
- Proposal has been submitted for retirement and replacement
- High heat rates and the units proposed to be retired are 50 years old non-
reheat units
- Lower efficiency
- PLF of 44
- NTPC has taken over the plant
- 315 MW capacity is already under the process of being phased out and 130
MW will be phased out after revival of U7 and U9 which is under way
- U5 is a 38 years old non-reheat unit and hence is to be phased out to set up a
supercritical unit
- U 1 to U4 and U6 (270 MW) have already been retired
- U3 to U6 (244 MW) have already been retired, U8 has been non-operational
since 2006.
- U1 & 2 (50 MW) to be phased out after COD of U7&8 of Anpara unit (500
MW) - Are 48 years old
- PLF of 35
- Proposal has already been submitted for approval of UP government
- U1-4 are 48 years old and U5-8 are 37 years old with very high heat rates
- Enivronmental clearance for new 800 MW capacity has been granted in July
2015 subject to retirement of these units by end of 2019
- Over 45 years old with very high heat rate
- Low PLF of 32%
- Has a low PLF of 36 and the govt. has suggested lower R&M spending for 4
units (840 MW) proposed for R&M.
- Is a potential site for replacement with supercritical units
- High heat rate and low PLF of 25
- However LE and R&M has been carried out in 2007 (U1 & 2) and 2012 (U3 &
4) and the state wishes to continue operating the plant
Source: MOSL, Company, ARRs
Korba East II
CHH
200
Patratu
Harduaganj*
Jharkhand
U.P
445
60
Obra
U.P
194
Kothagudam Telangana
Ramagund.
Ropar
Bhatinda
Telangana
Punjab
Punjab
720
62.5
1260
440
July 2016
46

Utilities | At the peak of over capacity
Exhibit 76: Conditional capacity retirements by state gencos
Plant
State
Capacity Capacity
to be
to be
retired added
(in MW) (in MW)
830
660
Condition
Comments
- Has already retired 5*62.5 MW units and U 6 to U 9 have high heat rates
- Comprehensive R&M has not been approved
Satpura
M.P
On JV with NTPC
Panki
U.P
210
Chandrap.
Santaldih
Parli
Jharkhand
WB
MAH
390
440
420
- U3 & 4 are non-reheat units and no R&M works are proposed for these units
- Environmental clearance of supercritical unit was subject to retirement of U3
On COD of
660
&4
supercritical unit
- Have already decommissioned two units of 32 MW capacity each
- NIT for supercritical unit floated
- Has already retired U4 to U6 (390 MW) and retiring U1 to U3 (390 MW) is
On setting up 2
1320
necessary to set up the supercritical units for which primary studies have
660 MW units
been carried out
- The units have been decommissioned and the dismantling work has begun
- Has been under economic shutdown and had a PLF of 18
On commissioning - Units have to be shutdown due to nonavailability of water
of 250 MW unit - The 250 MW unit would be commissioned in FY17 depending on the rainfall
and availability of water
- U3 to U5 were declared retired since April 2014 and are under shut down
and U1 and U2 decommissioned in 2010 and 2011 respectively
Source: MOSL, Company, ARRs
Durgapur
WB
220
July 2016
47

Utilities | At the peak of over capacity
Companies
BSE Sensex: 27,127
Companies
NTPC
S&P CNX: 8,323
July 2016
48
JSW Energy
70
Power Grid Corporation
99
Coal India
104
July 2016
48

July 2016
Utilities | At the peak of over capacity
Update
| Sector:
Utilities
NTPC
BSE SENSEX
27,127
S&P CNX
8,323
CMP: INR153
TP: INR185(+21%)
Buy
Earnings growth picking up along with capitalization
RoE to start improving from FY18E and drive rerating of stock
Stock Info
Bloomberg
Equity Shares (m)
52-Week Range (INR)
1, 6, 12 Rel. Per (%)
M.Cap. (INR b)
M.Cap. (USD b)
Avg Val ( INRm)
Free float (%)
NTPC IN
8,245.5
158/107
3/1/17
1,264.4
18.8
632
30.0
Financials Snapshot (INR b)
Y/E MAR
2016 2017E 2018E
Net Sales
787.1 825.4 965.8
EBITDA
191.6 221.3 288.9
PAT
101.5
95.1 112.9
EPS (INR)
12.3
11.5
13.7
Gr. (%)
15.7
-6.3
18.8
BV/Sh (INR)
104.7 109.0 115.5
RoE (%)
12.1
10.8
12.2
RoCE (%)
7.3
6.3
7.4
P/E (x)
12.5
13.3
11.2
P/BV (x)
1.5
1.4
1.3
Shareholding pattern (%)
As On
Promoter
DII
FII
Others
Mar-16 Dec-15 Mar-15
70.0
75.0
75.0
17.0
13.2
12.3
10.8
9.6
10.3
2.3
2.3
2.4
FII Includes depository receipts
Stock Performance (1-year)
NTPC
Sensex - Rebased
160
145
130
115
100
INR1.7t capitalization over five years:
NTPC is in the midst of a major capacity
expansion. The commercial capacity of NTPCsa (regulated standalone business)
is expected to grow at an accelerated five-year CAGR of 7.5% (FY16-FY21) to
56GW, as compared to 5.5% CAGR over the last five years (FY11-FY16).
Regulated equity, a key earnings driver, will grow at an even higher CAGR of
14.9% to INR829b as the specific capex for new capacities is higher. Further,
the capacity of JVs will increase by 4.7GW to 10.7GW, while solar capacity will
increase by 4GW. Thus, we expect total capitalization of INR1.7t over the
period.
PLF to decline, but some plants to earn incentives:
Despite assuming an
accelerated five-year CAGR of 6% in power generation (FY16-FY21) (as against
2% CAGR over FY11-FY16), the PLF of NTPCsa will decline from 74% in FY16 to
64% in FY21E. Some of its pit-head plants will continue to earn PLF incentives
despite the decline in overall PLF of the company and the country.
Working capital incentives to continue:
Under the new regulations for 2014-
19, most of the incentives have been squeezed out. The share of interest
income in earnings will also decline. NTPCsa will continue to earn working
capital incentives, as it is able to source capital at a much lower cost than the
normative rate as well as manage its working capital more efficiently.
We see merit in NTPC’s stand on GCV:
According to our calculations, NTPCsa is
not deriving any benefit from measurement of GCV. Hence, it is unlikely to lose
on the RoE front if it shifts to a “as received on wagon basis” from “as received
on crusher basis” as directed by the regulator. We see merit in NTPC’s position
to measure GCV at crusher. Coal India and the Ministry of Coal & Power are
making efforts to address the issue and the results are already evident in the
decline in specific coal consumption.
Earnings CAGR of 10% over five years:
As a result, we expect the NTPC group’s
consolidated (NTPCgrp) EPS to grow at a slower pace than regulated equity,
but achieve a healthy five-year CAGR of ~10% over (FY16-FY21) to
INR19.5/share in FY21E.
Book value will grow at a CAGR of 6.0% to INR140.3/share and RoE will
improve by 230bp to 14.4% in FY21E, as the share of equity invested in CWIP
declines. This is likely to result in a rerating of the stock’s P/BV multiple.
Dividend yield is likely to remain healthy at ~5%. We expect the stock to deliver
12-15% annual return (inclusive of dividends) over the next five years.
Strong business model; Reiterate Buy:
NTPC has one of the best business
models in Indian power sector. Its revenue is guaranteed by government under
PPA. Most of its plants are located close to mines and operate efficiently.
Regulators are highly dependent on inputs from NTPC for laying down norms.
We value the stock at INR185/share based on 1.5xFY18E book value.
Buy.
July 2016
49

Utilities | At the peak of over capacity
Capitalization momentum picking up
Regulated equity to grow at five-year CAGR of 15%
Commercial capacity of regulated business to grow at five-year CAGR of
7.5% over FY16-21E
The project work on most of the 23GW capacities has picked up, which is also
reflected in the amount of capex and commissioning of capacities. The installed
capacity of NTPC consolidated or Group (NTPCgrp) increased by 2.2GW to 46.6GW
during FY16. NTPCgrp’s commercial capacity increased by 2GW to 45.1GW. Barring a
few, most projects are running on schedule.
Exhibit 77: Commercial capacity addition schedule - MW
NTPCsa
Northern Region
Unchahar- IV
Tanda II
Koldam
TapobanVishnu.
Western Region
Vindhyachal V
Mouda II
Lara
Solapur
Gadarwara
Eastern Region
Barh-II Bihar
Barh I
N. Karanpura
Bongaigaon
Darlipalli
Southern Region
Kudgi
Solar
NTPCjv
Meja Urja Nigam
Nabinagar, BRBCL
Nabinagar NPGCPL
Kanti,Bihar
NTPCgrp
390
1,960 3,400
7,980
7,470 3,120 3,620
25,590
Source: MOSL, Company
FY16 FY17
1,960 2,760
800
FY18
5,250
FY19 FY20 FY21
6,150 3,120 3,620
1,680
660
500
660
660
520
3,060
FY16-21
20,900
2,340
CEA's estimate for CoD
18-Apr
U1 -Nov 18, U2 - May 19, no revision
800
500
500
660
660
2,120
660
800
660
1,820
1,320
250
500
800
1600
1,600
250
640
250
800
800
510
2,730
1,320
750
660
750 1,000 15,00
1,320
800
2,400
U1 -Jul 16, U2 - Mar 17, U3-Jun 17; U1&2 behind
schedule
We expect 4GW against target of 10GW
U1 -Jun 17, U2-Dec 17, advanced by one month
U1 -Apr 16, U2-Apr 17, U3-Aug 17, U4 Nov 17, delayed
by 5-6 months
U1 -Aug 17, U2-Feb 18, U3-Aug 18, advanced by 2
months
U3 195MW-Sep15, U4 195MW - May 16, actual CoD
delayed
5,840
30 Oct 2015 actual
U1 -Oct 16, U2 - Apr 17, no revision
U1 -Feb 17, U2 - Aug 17, no revision
U1 -Apr 17, U2 -Oct 17, no revision
U1 -Aug 17, U2 -Feb 18, no revision
6,310
U1 -Nov 14 actual, U2 - Feb 16
U1 -July 17, U2 - Jan 18, U3-July 18; delayed by 3 months
U1 -Dec 18, U2 - Apr 19, U3-Aug 19; no revision
U1 -Apr 16, U2 - June 17, U3-Aug 17; delayed by 4
months
U1 -Apr18, U2 - Aug 18; no revision
660
660
250
800
660
1,600
660 1,460 2,120
660
660 1,320
4,010
4,690
1,320
We expect NTPCsa (standalone) to add 16.9GW of conventional and 4GW of solar
capacity, while the joint ventures (NTPCjv) will add another 4.7GW of conventional
commercial capacity over the next five years. NTPCgrp’s commercial capacity will
increase by ~26GW to 71GW by end of FY21.
With the pickup in project activities, the capex momentum has already increased.
Capitalization will start picking up in FY17 with the commercial capacity addition of
2.5GW (Mauda, Bongaigaon and Kudgi). The 660MW Mauda and 250MW
July 2016
50

Utilities | At the peak of over capacity
Bongaigaon capacities have already been commissioned during FY16, while the
800MW Kudgi capacity is in the advanced stages of commissioning.
Capitalization to accelerate
in FY18 and FY19
Exhibit 78: Standalone capex momentum picks up
INR b
Capex
Capitalization
454
272
198
108
46
FY10
111
51
FY11
131
77
FY12
163
FY13
95
FY14
83
FY15
88
FY16
FY17
FY18
FY19
FY20
FY21
189
192
314
248
305
229
462
287
158
252
185
Source: MOSL, Company
Capitalization will see a spike in FY18 and FY19 when almost every project under
construction will add at least one unit to commercial capacity. We expect an
addition of ~5GW each to the commercial capacity. NTPCjv are expected to add
another 2.7GW in FY18 and 1.3GW in FY19.
Higher specific capex for
new projects to drive a
regulated equity growth of
~15% over FY16-21E as
against a capacity growth of
7.5% over the same period
Exhibit 79: Commercialized capacity and regulated equity (NTPCsa)
80
75
70
65
60
55
50
45
40
35
30
25
Capacity (GW)
Regulated Equity (INR b)
829
900
800
700
600
414
254
FY11
FY12
FY13
FY14
FY15
FY16
FY17
FY18
FY19
FY20
FY21
500
400
300
200
Source: MOSL, Company
Commercial capacity is expected to grow at an accelerated five-year CAGR of 7.5%
over FY16-FY21 to 56GW as compared to a five-year CAGR of 5.5% over FY11-FY16
for the standalone business. Regulated equity, a key earnings driver, will grow at an
even higher CAGR of 14.9% to INR829b as the specific capex for new capacities is
higher. The average specific capex for new capacity addition will be INR81m/MW in
FY16-FY21 as compared to INR59m/MW in FY11-FY16.
July 2016
51

Utilities | At the peak of over capacity
Incentives reduced under new regulations
Working capital incentives to continue, but marginal incentives for PLF and
thermal efficiencies
NTPCsa operates under a regulated environment and its revenue is approved by the CERC
(Central Electricity Regulated Commission) as per the regulations for that command
period. These regulations are reviewed every five years and ensure a defined return of
15.5% (+0.5% for early completion) on equity invested in projects and a number of
incentives for operational and financial efficiencies. NTPC sells its entire power through
PPAs (power purchase agreements) to state Discoms. Its revenue is secured through
tripartite agreement with the RBI being the third party.
NTPC had been earning handsome incentives under the old regulations for 2009-14.
Tax incentives discontinued – approximately 2-3% knocked off PAT
The actual tax rate was lower than the normative tax rate of 33.9%. The revenue
was calculated based on a marginal tax rate of 33.9%, while the actual tax rate
was lower due to various tax benefits arising from capex.
According to our calculations, NTPCsa earned approximately INR13b over FY10-
FY14 i.e. an average of INR2.5b per annum. This comprises nearly 2-3% of its
profit.
Tax incentives have now been discontinued under the new regulations for 2014-
19 and actual tax is charged to the customer.
Operating norms tightened – approximately 6-10% knocked off PAT
NTPCsa has been earning revenue based on the normative station heat rate
(SHR) and normative auxiliary consumption, while it has been operating at a
significantly better rate, which allowed it to earn additional revenue.
According to our compilation of station-wise data of normative SHR and
calculated SHR, NTPCsa was saving nearly 70kcal in SHR. This amounted to
additional earnings of INR9b-12b per annum until FY14.
Under the new regulations, the normative rates have been tightened by
~50kcal. Thus, the SHR savings have been reduced to ~17kcal. As a result, the
SHR-based incentive has reduced to INR3b-4b. Further, 40% of these reduced
savings are now shared with the beneficiary as compared to nil earlier. Thus,
NTPCsa will earn only ~INR2b incentives on a post-tax basis.
Additionally, the actual auxiliary consumption was lower than the normative
rates. As a result, NTPCsa was earning additional small incentives of ~INR200m.
The norms related to this have also been tightened.
July 2016
52

Utilities | At the peak of over capacity
Exhibit 80: Station heat rate and incentives (pre-tax basis)
Actual (Kcal)
Normative (Kcal)
Savings (INR b) RHS
14
11
8
5
2
FY11
FY12
FY13
FY14
FY15
FY16
FY17
FY18
FY19
FY20
FY21
Source: MOSL, Company
SHR norms tightened
by Rs50 kcal
2,500
2,450
2,400
2,350
2,300
The norms for secondary fuel oil consumption have been tightened from
1ml/kwh to 0.5ml/kwh and it has moved from annual fixed charges to variable
charges.
NTPCsa’s actual consumption hovers at around 0.4ml/kwh, allowing it to earn
additional incentives of nearly INR5b-8b.
One minor relief here is the reduction in sharing of incentives with the
beneficiary from 50% to 40%.
Normative rates halved, but
sharing reduced from 50%
to 40%
Exhibit 81: Savings in oil consumption (pre-tax basis)
Actual (ml/kwh)
1.00
0.75
0.50
0.25
0.00
FY11
FY12
FY13
FY14
FY15
FY16
FY17
FY18
FY19
FY20
FY21
Normative (ml/kwh)
Savings (INR b) RHS
10.0
7.5
5.0
2.5
0.0
Source: MOSL, Company
According to our calculations, the incentives from SHR, oil and Aux.
consumption contributed 8-12% to the PAT until FY14. These incentives are now
estimated to be less than 2%.
July 2016
53

Utilities | At the peak of over capacity
Exhibit 82: PAF / PLF incentive (post-tax basis) in INRb
Regulation (FY10-14): PAF based
8
6
6
Regulations (FY15-19): Incentives are based
on PLF, which is declining
3
FY21
Approximately 6-8%
knocked off PAT due to new
regulations
6
6
2
FY10
FY11
FY12
FY13
FY14
FY15
2
FY16
2
FY17
2
FY18
2
FY19
2
FY20
Source: MOSL, Company
Under the new regulations, the PAF-based incentives have been done away
with. Instead, the incentives are now linked to PLF, which is now dependent
upon scheduling by Discoms and it is beyond the control of NTPCsa if its variable
cost is high.
NTPCsa has increased its capacities at a CAGR of 5.5% over the last five years,
though generation has grown at a CAGR of only 2%. As a result, NTPCsa’s PLF
has declined from 86% in FY11 to 74% in FY16. Despite assuming a faster CAGR
of 6% in demand, NTPCsa’s PLF will decline further to 65% as capacity addition
will grow at a faster CAGR of 7.5% over the next five years.
All India PLF has also been on a declining trend due to capacity addition
outpacing demand growth.
Exhibit 83: Sales and PLF
Sales (b kwh)
320
PLF (%) on RHS
100
74
85
65
70
55
40
25
10
FY11
FY12
FY13
FY14
FY15
FY16
FY17
FY18
FY19
FY20
FY21
Source: MOSL, Company
PLF to decline further
300
280
260
240
220
200
86
Despite the decline in NTPCsa’s PLF, some of its plants and units continue to
achieve a PLF of above 90%. These plants are pithead-based and have been
operating at very high operating efficiencies. Therefore, we expect NTPCsa to
continue earning PLF-linked incentives, which however are likely to be much
lower.
July 2016
54

Utilities | At the peak of over capacity
Exhibit 84: Fuel-wise share of capacities
Dominance of coal-based
plants to continue
Coal
Gas
Hydro
Solar
87
88
89
89
89
87
88
88
87
86
84
FY11
FY12
FY13
FY14
FY15
FY16
FY17
FY18
FY19
FY20
FY21
Source: MOSL, Company
Exhibit 85: NTPC’s coal-based plant PLFs FY16 (%)
Source: MOSL, Company
NTPCsa earns incentives mostly on its coal-based power plants which will
continue to dominate the overall capacity, as there are virtually no new
investments in new gas and hydro projects. However, the share of coal
capacities will decline marginally due to solar plants.
Gas-based power plants run on a low PLF due to shortage of domestic gas and
high cost of imports. Hence, these plants do not earn incentives.
Discoms have a prudent system of scheduling power purchases, which is based
on merit order. Power plants are scheduled in such a way that the overall
variable cost for a Discom is minimized. In such a situation, NTPCsa’s pithead
plants are at an advantage as the variable cost of power generation comprises
the cost of coal and transportation. The cost of coal is similar for all players as
they all source coal from Coal India, but the key difference lies in transportation
costs. Pithead power plants are at a distinct advantage and still operate at a PLF
of above 85% despite the huge overcapacity in the country.
July 2016
55

Utilities | At the peak of over capacity
Exhibit 86: Distance of coal-based power plants from coal mines (share %)
Share of pithead plants
to decline
>1000kms
600-1000
kms
<600 kms
70
70
69
70
69
68
63
56
50
51
53
Pit Head
Source: MOSL, Company
Exhibit 87: Generation based incentive on PLF >85% - INR m
Source: MOSL, Company
Working capital a key source of incentives
As per aggregation of data from tariff order, NTPCsa’s actual total debt is lower
than the normative debt (excluding working capital), indicating that the
company has been funding its entire working capital from equity.
Exhibit 88: Normative debt as per tariff orders and actual debt
(Normative - actual debt) in INR b
Increasing capex will force
NTPCsa to fund its working
capital through borrowings
40
20
0
-20
-40
-60
-80
FY11
FY12
FY13
FY14
FY15
FY16
FY17
FY18
FY19
FY20
FY21
Source: MOSL, Company
Normative working capital interest, charged to revenue, is based on short term
bank lending rates and normative days for inventory of fuel, debtors, and
spares.
July 2016
56

Utilities | At the peak of over capacity
NTPCsa enjoys a dual advantage as its actual working capital is lower than the
normative and its cost of funding is much lower than the normatively allowed
short term bank lending rates.
During FY15, there was an increase in the actual working capital, resulting in
lower working capital incentives. We expect working capital to normalize
(reduce) and incentives to increase.
Exhibit 89: Working capital incentives (post-tax) – INR b
120
100
80
60
40
20
0
FY11
FY12
FY13
FY14
FY15
FY16
FY17
FY18
FY19
FY20
FY21
Actual WC
Normative WC
Incentive from WC savings (RHS)
12
10
8
6
4
2
0
Source: MOSL, Company
NTPCsa also earns from
equity funding of working
capital
Capital structure was leveraged by issuing bonus debenture towards the end of
FY15. We believe that NTPCsa will have to resort to borrowings in order to fund
its working capital which will pull down its core earnings.
Regulated equity now the key earnings driver
Regulated equity contributed only 40-45% of NTPC’s earnings until FY14. NTPC
earned handsome incentives under the liberal structure of the previous regulations
for 2009-14 and also recorded a high other income from surplus funds on its balance
sheet. However, the normative parameters have now been tightened under the new
regulations for 2014-19, resulting in most of the incentives being squeezed out.
Exhibit 90: NTPC’s PAT distribution (%)
100
With incentives getting
squeezed, regulated equity
becomes the key earnings
driver
80
60
40
20
0
46
52
43
46
49
24
23
28
34
18
17
15
13
8
5
4
5
WC etc.
PAF/PLF
Thermal eff.
65
75
77
83
87
88
88
Oth. income
Tax
Reg. Equity
FY10 FY11 FY12 FY13 FY14 FY15 FY16 FY17 FY18 FY19 FY20 FY21
Source: MOSL, Company
July 2016
57

Utilities | At the peak of over capacity
GCV: As received at crusher or at incoming wagon
We are not factoring any GCV gains in our estimates
The 2014-19 CERC regulations changed the norms for determining GCV of coal from
an ‘as fired’ basis to ‘as received’ basis. NTPC and a few other power plants are
contesting the change in the High Court. The norms were refined to fix
accountability for GCV losses incurred between “as billed” and “as fired.” While
there is undoubtedly a big gap between the two, the gap arises because coal starts
to lose GCV as soon as it comes into contact with air i.e. immediately after over
burden removal. Mined coal remains in inventories of mines for 3-4 weeks, remains
for a couple of weeks in rail transit, and for 3-4 weeks in inventories of power
plants. Further, there are issues of grade slippages. As per compilation of data in the
following table, the gap ranges from ~1000kcal/kg for a pithead plant to
1,875kcal/kg for Tanda.
Exhibit 91: NTPC’s gap between GCV ‘as billed’ and ‘as fired’ coal
gap with as billed
4,488
4,725
4,096
4,151
4,808
4,973
3,917
As fired
4,663
4,704
4,790
5,022
5,354
954
968
1,008
1,029
1,084
1,215
1,318
1,327
1,371
1,496
1,584
1,875
** Pithead plants
Source: Form15 (Jan-Mar 2014) in tariff petitions
Coal India making concerted
efforts to improve the
quality of coal
In the last two years, Coal India and the Ministry of Power have undertaken a
number of initiatives to address this issue. There is a joint sampling to accurately
measure the GCV of coal. Coal India has also begun supplying 100% crushed coal.
Both the Ministry of Power and Coal India have committed to the states in the
agreement under UDAY that there will re-grading of coal mines, while pricing of coal
will move to a GCV basis and Coal India will supply 100% crushed coal to address the
quality issues. The results of these efforts are reflected in the trends in average
specific consumption of coal at power plants.
July 2016
58

Utilities | At the peak of over capacity
Exhibit 92: Specific consumption of coal in power generation
declining, implying part benefit of GCV improvement
0.71
0.69
0.67
0.72
0.71
0.69
0.69
0.66
0.65
Exhibit 93: Specific cons. In FY16 improved despite fall in
share of imported coal in total mix
Share of imports (%)
16.2
17.2
14.8
13.8
10.8
7.8
0.0
0.0
0.0
Source: MOSL, Company
Source: MOSL, Company
NTPC’s stand is reasonable,
in our view
As a result of the regulation NTPC has also moved its billing to “as received basis”
but at secondary crusher. There is still a dispute regarding the point of sampling. The
CERC and the High Court want the coal sample for measuring GCV to be picked up
from incoming wagons. NTPC has claimed that it is unsafe to collect samples from
wagons due to overhead electric traction. There is also additional demurrage as a
result of a slower turnaround. Further, there will be high volatility in GCV
measurements as coal is not homogeneous. Hence, it is desirable to blend and crush
before taking measurements.
We believe that NTPC is just a processor of coal. According to our analysis of its
earnings and operational data, NTPC is not under reporting GCV of coal. It must also
be kept in mind that the design station heat rates are based on coal “as fired basis.”
No equipment supplier will take responsibility for loss of GCV in storage.
We are currently not building any gains/losses on account of the changed
regulations as, in-line with the CERC, we believe that the losses are minimal. In any
case, if they turn out to be significant, but under normative conditions, we believe
(as per the Statement of Reason given by CERC on the 2014-19 regulations), it would
be adequately factored by the CERC in its tariff computation unless they are
particularly on account of NTPC.
We believe NTPC is not
under reporting GCV of coal
We are not factoring
GCV gains in our estimates
July 2016
59

Utilities | At the peak of over capacity
Joint ventures to add 4.7GW
Turnaround expected by FY18
NTPC has four subsidiaries and a number of joint ventures. A few of its subsidiaries
are into trading and distribution of power. Most of the JVs are profitable, barring a
few. Ratnagiri Gas operates a 1,967MW gas-based power plant in Maharashtra and
reported a loss of INR4b in FY15 due to high gas prices. Together, NTPCjv reported a
PAT of INR4.3b in FY14 and a loss after tax of INR3b in FY15.
Exhibit 94: Financials and subsidiaries of JVs
Name of the Company
share
(%)
NTPC Electric Supply Company Ltd.
NTPC Vidyut Vyapar Nigam
Kanti Bijlee Utpadan Nigam
Bhartiya Rail Bijlee Company
Minority interest
JVs Major
Ratnagiri Gas & Power Private Ltd
NTPC-SAIL Power Company Private
NTPC-Tamilnadu Energy Company
Aravali Power Company Private
Meja Urja Nigam Private
Nabinagar Power Generating Company
JVs
Utility Powertech
NTPC - Alstom Power Services Private
NTPC - BHEL Power Projects
National High Power Test Laboratory
Transformers & Electricals Kerala
Energy Efficiency Services
CIL NTPC Urja
Anushakti Vidyut Nigam
Overseas
Trincomalee Power Company, Sri Lanka
Bangladesh -India Friendship Power Company
Winding up
NTPC-SCCL Global Ventures Private (Withdrawn)
BF - NTPC Energy Systems (withdrawn)
National Power Exchange (winding up)
International Coal Ventures (withdrawing)
Pan-Asian Renewables (winding up)
100
100
65
74
FY14
Asset
Rev.
Cash
flow
share
(%)
Asset
NW
FY15
Rev.
Cash Attrib.
flow
PAT
-1,486
13
-2,902
436
343
112
863
0
60
-257 -4,052
-201 1,137
-178
-434
36
899
58
0
176
-25
41
-69
33
-65
12
-
-
-14
31
-
-
0
1
-4
116
13
8
-147
26
7,311
591 -1,364
12,244 35,323 1,146
31,118 1,622
132
43,007
0
-72
100 6,449
418
236
100 11,662 2,059 38,880
65 38,279 8,843 4,605
74 52,375 11,720
0
8,879
29
50
50
50
50
50
50
50
50
22
45
25
50
49
50
50
50
49
17
0
50
29,688 2,621
525
16,710 8,212 8,115
47,127 12,433 9,864
49,076 16,438 22,257
18,973 5,400
-
20,553 5,105
-
1,307
625
3,760
507
598
789
0
0
78
405
1
29
11
23
3
272
113
663
234
383
287
2,954
349
2,963
-
590
176
-
-
3
-
-
-
1
-
0
33
50
50
50
50
50
50
50
50
20
45
25
50
49
50
50
50
49
17
14
50
40,836 7,283 -1,982
17,079 8,835
151
45,947 7,550
59
48,885 17,492
-4
9,262
0
276
9,846
0
-59
1,091
405
2,304
214
734
318
0
0
60
71
1
29
12
34
6
2,505
176
429
0
758
84
0
0
6
0
0
0
1
0
0
105
-1
316
-49
35
14
0
0
5
44
0
0
-1
-6
4
51
320
1
25
11
23
2
-2
-2
-4
Source: MOSL, Company
The JVs had a combined commercial capacity of 6GW by end of FY16. It is likely that
Ratnagiri Gas’ losses would reduce due to a fall in gas prices and the JV with TNEB to
return to profitability as the third 500MW unit at Vallur stabilizes with a higher PLF.
However, we are not factoring the expected turnaround in our estimates.
NTPCjv to begin adding to commercial capacities from start of FY17
Nearly 640MW (390MW Kanti + 250MW Nabinagar) of capacity was
commissioned during FY16 and is expected to be commercialized in FY17. This
July 2016
60

Utilities | At the peak of over capacity
will add INR19b (share of NTPCjv) to the gross block and INR871m to the bottom
line of NTPCgrp.
2.7GW of capacities are expected to be commercialized during FY18. The
1,320MW Meja Urja project’s CEA’s expected date of CoD has been advanced by
one month in the recent CEA’s broad status report for January. This will add
INR129b (share of NTPCjv) to the gross block and INR6b to the bottom line of
NTPCgrp.
1,320MW i.e. the second and third units of Nabinagar JV are expected to be
commercialized in FY19. The state government of Bihar has shown active
interest in the project. In last 3-4 months, the CEA’s expected date of CoD has
been advanced by two months. This will add INR67b (share of NTPCjv) to the
gross block and INR3.1b to the bottom line of NTPCgrp.
Exhibit 95: Commercial capacity addition estimates
NTPCjv
Meja Urja Nigam
Nabinagar, BRBCL
Nabinagar NPGCPL
Kanti,Bihar
FY17
FY18
640 2,730
1,320
250
750
660
390
FY19
1,320
FY16-21
4,690
CEA's estimate for CoD
U1 -Jun 17, U2-Dec 17, advanced by one month
U1 -Apr 16, U2-Apr 17, U3-Aug 17, U4 Nov 17, delayed by 5-6
months
U1 -Aug 17, U2-Feb 18, U3-Aug 18, advanced by 2 months
U3 195MW-Sep15, U4 195MW - May 16, actual CoD delayed
Source: MOSL, Company
1,320
We expect NTPCjv to turnaround by FY18E on the back of CoD of 3.4GW
projects during F17E and FY18E.
Exhibit 97: Capitalization to pick up
7.0
3.9
Exhibit 96: JVs to turnaround in FY18
PAT (INR b)
4.3
-3.0
FY14
FY15
-3.0
FY16
-2.1
FY17
FY18
FY19
Source: MOSL, Company
Source: MOSL, Company
July 2016
61

Utilities | At the peak of over capacity
Project commissioning to drive earnings and RoE
INR1.7t of capitalization ahead; Reiterate BUY
NTPC is in the midst of a major capacity expansion. The commercial capacity of
NTPCsa (regulated standalone business) is expected to grow at an accelerated
five-year CAGR of 7.5% (FY16-FY21) to 56GW, as compared to 5.5% CAGR over
the last five years (FY11-FY16). Regulated equity, a key earnings driver, will grow
at an even higher CAGR of 14.9% to INR829b as the specific capex for new
capacities is higher. Further, the capacity of JVs will increase by 4.7GW to
10.7GW, while solar capacity will increase by 4GW. Thus, we expect total
capitalization of INR1.7t over the period.
Despite assuming an accelerated five-year CAGR of 6% in power generation
(FY16-FY21) (as against 2% CAGR over FY11-FY16), the PLF of NTPCsa will decline
from 74% in FY16 to 64% in FY21E.
Under the new regulations for 2014-19, most of the incentives have been
squeezed out. The share of interest income in earnings will also decline. NTPCsa
will continue to earn working capital incentives, as it is able to source capital at
a much lower cost than the normative rate as well as manage its working capital
more efficiently. Some of its pit-head plants will continue to earn PLF incentives
despite the decline in overall PLF of the company and the country.
According to our calculations, NTPCsa is not deriving any benefit from
measurement of GCV. Hence, it is unlikely to lose on the RoE front if it shifts to a
“as received on wagon basis” from “as received on crusher basis” as directed by
the regulator. We see merit in NTPC’s position to measure GCV at crusher.
As a result, we expect the NTPC group’s consolidated (NTPCgrp) EPS to grow at a
slower pace than regulated equity, but achieve a healthy five-year CAGR of 10%
over (FY16-FY21) to INR19.5/share in FY21E.
Book value will grow at a CAGR of 6% to INR140.3/share and RoE will improve
by 230bp to 14.4% in FY21E, as the share of equity invested in CWIP declines.
This is likely to result in a rerating of the stock’s P/BV multiple.
Dividend yield is likely to remain healthy at ~5%. We expect the stock to deliver
12-15% annual return (inclusive of dividends) over the next five years.
We value the stock at INR185/share based on 1.5xFY18E book value. We
reiterate
Buy.
Exhibit 98: Regulated equity and conventional generation capacity growth
Regulated equity to grow at
CAGR of 15%
80
75
70
65
60
55
50
45
40
35
30
25
Capacity (GW)
Regulated Equity (INR b)
829
900
800
700
600
414
254
FY11
FY12
FY13
FY14
FY15
FY16
FY17
FY18
FY19
FY20
FY21
500
400
300
200
Source: MOSL, Company
July 2016
62

Utilities | At the peak of over capacity
Share of cash and
equivalents to decline and
impact share of interest
income in PAT
Exhibit 99: Application of equity
Working Capital etc
Cash & equiv.
Investments (non-
current)
30% of adj. CWIP
Reg. Equity
Source: MOSL, Company
NTPCsa EPS to grow at a
slightly slower CAGR of
~12% due to declining share
of Other income
Exhibit 100: NTPCsa EPS (INR/share) will grow at CAGR of ~12% over FY16-21E
14.8
16.7
18.2
9.9
7.7
10.7
11.2
10.6
10.6
10.5
11.4
12.8
FY10
FY11
FY12
FY13
FY14
FY15
FY16
FY17
FY18
FY19
FY20
FY21
Source: MOSL, Company
NTPCsa RoE to improve
along with decline in share
of CWIP
Exhibit 101: NTPCsa RoE
RoE (%)
13.0
9.8
12.4
12.0
10.7
11.5
12.6
13.5
13.8
10.5
10.4
10.3
FY10
FY11
FY12
FY13
FY14
FY15
FY16
FY17
FY18
FY19
FY20
FY21
Source: MOSL, Company
Dividend yield remains
attractive (assuming payout
of
~45-55%)
Exhibit 102: NTPCgrp DPS (INR/share) and yield
DPS
15.0
8.0
6.2
FY20
8.5
6.6
FY21
Div. Yield (%)
5.8
4.5
FY14
11.6
6.0
4.7
6.0
4.7
FY17
6.0
4.7
FY18
7.5
5.8
FY19
FY15
FY16
Source: MOSL, Company
July 2016
63

Utilities | At the peak of over capacity
Book value to grow at
CAGR of 6%
Exhibit 103: NTPCgrp BV and RoE
140
130
120
110
100
90
FY14
FY15
FY16
FY17
FY18
FY19
FY20
FY21
106
100
105
11
14
BV (INR/sh.)
RoE (%), RHS
20
18
16
14
12
10
Source: MOSL, Company
July 2016
64

Utilities | At the peak of over capacity
Annexure
Exhibit 104: NTPC approved fixed and variable cost unit-wise (FY15)
Fixed charges (INR/kWh)
Energy Charges (INR/kWh)
5.5
3.9
3.6
NTPC avg. (INR/kWh)
5.9
4.6
8.2
3.8
6.2
3.7
3.1
1.7
2.9
2.6
3.4
2.8 3.9
3.0
1.6
1.6
1.0
2.6 2.4 2.6
4.5
1.4 1.4 2.8 2.8
2.5 1.3
1.6
2.4
1.7 1.6
1.5 1.5
2.5
1.2
1.1
1.4 0.6 0.9 0.8 1.3 1.6 0.6 1.7 0.6 0.9 1.9 0.9 0.8 1.5 1.4 0.9 1.0 1.4 0.9 1.8 1.0 1.9 1.1 1.3 1.0 1.4 1.1 1.7
1.8
3.2
2.5 2.4 2.9
3.5 3.1
2.9 2.9
2.7 3.1
2.3 2.3
3.7 3.7 4.1
4.8
4.8 4.5
4.3
3.6 3.8 3.7
Source: MOSL, Company
Exhibit 105: Regulated Equity (as per tariff orders) – INR b
Coal-based
Singrauli
Rihand
Unchahar
Tanda
Korba
Vindyachal
Sipat
Mauda
Ramagundam
Simhadri
Farakka
Kalagaon
Talcher Kaniha
Talcher
Dadri
Badarpur
Barh
Bonglagaon
Muzaffarpur
Gas-based
Anta
Auraiya
Kawas
Dadri
Jhanor Gandhar
Kayamkulam CCPP
Faridabad
Total
FY10
196
6
21
11
3
9
20
12
0
16
10
16
24
28
4
15
1
0
0
0
44
3
4
8
9
12
4
5
240
FY11
212
6
21
11
3
15
20
12
0
16
10
16
26
28
4
22
1
0
0
0
44
3
4
8
9
12
4
5
256
FY12
235
6
21
11
3
16
20
24
0
16
18
16
27
28
4
23
1
0
0
0
45
3
4
8
9
12
4
5
279
FY13
282
6
21
11
3
16
27
38
9
16
25
23
28
28
4
23
2
0
0
0
45
3
4
8
9
13
4
5
327
FY14
FY15
301
343
6
7
21
35
11
12
3
4
16
17
34
42
39
40
16
18
16
16
26
27
24
23
28
27
28
29
4
5
23
24
2
1
0
16
0
0
0
0
46
43
3
3
5
5
9
9
9
4
13
13
4
4
5
5
347
386
Source: MOSL, Company
July 2016
65

Utilities | At the peak of over capacity
Exhibit 106: Normative Debt (as per tariff orders) – INR b
Coal-based
Singrauli
Rihand
Unchahar
Tanda
Korba
Vindyachal
Sipat
Mauda
Ramagundam
Simhadri
Farakka
Kalagaon
Talcher Kaniha
Talcher
Dadri
Badarpur
Barh
Bonglagaon
Muzaffarpur
Gas-based
Anta
Auraiya
Kawas
Dadri
Jhanor Gandhar
Kayamkulam CCPP
Faridabad
Total
FY10
159
1
13
7
2
1
24
25
0
7
19
0
31
13
1
14
0
0
0
0
7
3
0
0
0
0
2
2
166
FY11
177
1
12
6
2
15
21
24
0
6
18
0
31
11
1
30
0
0
0
0
7
2
0
0
0
1
1
2
184
FY12
207
1
10
5
2
15
18
48
0
5
32
0
30
9
1
29
0
0
0
0
8
2
0
2
0
3
0
1
215
FY13
290
2
9
4
2
15
32
75
21
4
46
15
29
6
1
28
1
0
0
0
9
2
1
3
0
3
0
1
299
FY14
332
1
38
3
2
14
46
71
37
3
44
15
26
4
1
26
1
0
0
0
10
2
2
3
0
3
0
1
342
FY15
346
2
35
3
1
13
46
67
38
3
41
14
23
2
0
24
0
34
0
0
12
1
3
4
0
3
0
0
358
Source: MOSL, Company
July 2016
66

Utilities | At the peak of over capacity
Exhibit 107: Fixed charge incl. WC and O&M – INR b
Coal-based
Singrauli
Rihand
Unchahar
Tanda
Korba
Vindyachal
Sipat
Mauda
Ramagundam
Simhadri
Farakka
Kalagaon
Talcher Kaniha
Talcher
Dadri
Badarpur
Barh
Bonglagaon
Muzaffarpur
Gas-based
Anta
Auraiya
Kawas
Dadri
Jhanor Gandhar
Kayamkulam CCPP
Faridabad
Total
FY10
136
6
12
7
3
7
18
8
0
11
7
8
16
17
3
10
4
0
0
0
22
2
2
4
5
4
3
3
158
FY11
154
6
12
7
3
12
18
9
0
11
7
8
17
17
3
20
4
0
0
0
23
2
2
4
5
5
3
3
176
FY12
166
7
12
7
3
13
18
17
0
11
13
9
17
17
4
16
4
0
0
0
23
2
2
4
5
5
3
3
190
FY13
204
7
12
7
3
13
24
28
7
12
19
15
18
17
4
16
4
0
0
0
24
2
3
4
5
5
2
2
228
FY14
221
8
12
7
3
14
29
28
14
12
19
15
18
17
4
16
4
0
0
0
25
2
3
5
5
5
2
2
246
FY15
238
8
22
8
3
14
29
28
13
12
19
15
18
17
4
16
4
10
0
0
23
2
3
4
3
5
3
2
261
Source: MOSL, Company
Exhibit 108: Operating heat-rate (kCal/kg)
FY10
Coal-based
Singrauli
Rihand
Unchahar
Tanda
Korba
Vindyachal
Sipat
Mauda
Ramagundam
Simhadri
Farakka
Kalagaon
Talcher Kaniha
Talcher
Dadri
Badarpur
Barh
Bonglagaon
Muzaffarpur
2,393
2,347
2,387
2,728
2,369
2,375
2,360
0
2,372
2,351
2,415
2,372
2,356
2,867
2,500
2,773
0
0
0
FY11
2,393
2,347
2,383
2,727
2,375
2,372
2,347
0
2,371
2,348
2,407
2,378
2,357
2,859
2,285
2,750
0
0
0
FY12
2,393
2,346
2,403
2,732
2,381
2,372
2,349
0
2,371
2,348
2,400
2,390
2,353
2,851
2,483
2,750
0
0
0
FY13
2,393
2,350
2,417
2,770
2,383
2,370
2,340
0
2,371
2,364
2,399
2,405
2,360
2,843
2,481
2,749
0
0
0
FY14E
FY15E
2,390
2,392
2,357
2,357
2,405
2,408
2,759
2,754
2,384
2,378
2,380
2,376
2,343
2,343
0
2,369
2,370
2,371
2,365
2,357
2,403
2,401
2,398
2,371
2,385
2,366
2,823
2,839
2,481
2,429
2,755
2,751
0
2,262
0
0
0
0
Source: MOSL, Company
July 2016
67

Utilities | At the peak of over capacity
Financials and Valuations
Income Statement
Y/E Mar
Net Sales
Change (%)
EBITDA
EBITDA Margin (%)
Depreciation
EBIT
Interest
Other Income
Extraordinary items
PBT
Tax
Tax Rate (%)
Min. Int. & Assoc. Share
Reported PAT
Adjusted PAT
Change (%)
2011
550,627
18.7
119,729
21.7
24,857
94,872
14,210
23,447
16,387
120,496
29,470
24.5
0
91,026
80,192
-1.0
2012
620,522
12.7
137,263
22.1
27,917
109,346
17,116
27,897
3,136
123,262
31,024
25.2
0
92,237
90,969
13.4
2013
657,370
5.9
170,672
26.0
33,968
136,704
19,244
31,188
17,138
165,786
39,592
23.9
0
126,194
109,726
20.6
2014
789,506
20.1
197,106
25.0
47,700
149,406
32,031
27,601
-119
144,858
30,824
21.3
0
114,034
91,496
-16.6
2015
806,220
2.1
171,941
21.3
55,646
116,295
35,704
20,789
3,292
104,672
4,638
4.4
0
100,034
87,706
-4.1
2016
787,055
-2.4
191,632
24.3
61,534
130,098
41,513
12,341
0
100,926
-589
-0.6
0
101,514
101,514
15.7
2017E
825,365
4.9
221,275
26.8
66,382
154,893
49,983
15,317
0
120,226
25,125
20.9
0
95,101
95,101
-6.3
(INR Million)
2018E
965,827
17.0
288,860
29.9
85,215
203,645
73,001
11,046
0
141,691
28,752
20.3
0
112,939
112,939
18.8
Balance Sheet
Y/E Mar
Share Capital
Reserves
Net Worth
Debt
Deferred Tax
Total Capital Employed
Gross Fixed Assets
Less: Acc Depreciation
Net Fixed Assets
Capital WIP
Investments
Current Assets
Inventory
Debtors
Cash & Bank
Loans & Adv, Others
Curr Liabs & Provns
Curr. Liabilities
Provisions
Net Current Assets
Total Assets
2011
82,455
596,468
678,923
431,877
6,030
1,116,829
727,552
335,192
392,360
354,953
105,328
404,748
36,391
14,350
179,973
174,034
140,560
140,560
0
264,188
1,116,829
2012
82,455
650,457
732,912
502,789
6,369
1,242,070
818,283
365,719
452,564
418,279
95,839
441,626
37,029
58,325
177,643
168,630
166,237
166,237
0
275,389
1,242,070
2013
82,455
721,421
803,875
581,461
9,153
1,394,489
1,032,457
403,096
629,361
371,094
91,376
519,333
40,572
53,650
184,902
240,210
216,676
216,676
0
302,657
1,394,489
2014
82,455
790,843
873,297
814,549
12,393
1,707,044
1,313,937
471,858
842,080
538,250
16,635
603,487
59,885
67,257
186,876
289,470
293,408
293,408
0
310,080
1,707,044
2015
82,455
738,485
820,940
1,022,520
12,656
1,864,995
1,443,608
525,077
918,530
675,547
141
601,543
79,725
92,499
161,390
267,929
330,766
330,766
0
270,777
1,864,995
2016
82,455
780,753
863,208
1,149,537
12,656
2,034,280
1,531,162
586,611
944,550
859,623
141
563,365
67,307
89,682
138,447
267,929
333,399
333,399
0
229,966
2,034,280
2017E
82,455
816,487
898,941
1,299,585
12,656
2,220,062
1,797,658
652,994
1,144,664
906,947
141
498,422
61,336
80,258
88,899
267,929
330,112
330,112
0
168,310
2,220,062
(INR Million)
2018E
82,455
870,058
952,513
1,432,885
12,656
2,406,933
2,380,374
738,208
1,642,166
628,922
141
478,411
67,333
91,794
51,355
267,929
342,707
342,707
0
135,704
2,406,933
July 2016
68

Utilities | At the peak of over capacity
Financials and Valuations
Ratios
Y/E Mar
Basic (INR)
EPS
Cash EPS
Book Value
DPS
Payout (incl. Div. Tax.)
Valuation(x)
P/E
Cash P/E
Price / Book Value
EV/Sales
EV/EBITDA
Dividend Yield (%)
Profitability Ratios (%)
RoE
RoCE
RoIC
Turnover Ratios (%)
Asset Turnover (x)
Debtors (No. of Days)
Inventory (No. of Days)
Leverage Ratios (%)
Net Debt/Equity (x)
2011
9.7
14.1
82.3
3.8
34.4
13.9
10.9
1.9
2.8
14.0
2.5
9.8
7.7
15.9
1.5
10
31
0.4
2012
11.0
14.6
88.9
4.0
35.8
13.7
10.5
1.7
2.6
11.8
2.6
12.4
8.7
15.9
1.5
34
28
0.4
2013
13.3
19.4
97.5
5.8
37.6
10.0
7.9
1.6
2.5
10.7
3.7
12.0
8.8
16.0
1.2
30
30
0.5
2014
11.1
19.6
105.9
5.8
41.6
11.1
7.8
1.4
2.4
10.6
3.7
10.9
8.2
13.7
1.1
31
37
0.7
2015
10.6
18.9
99.6
5.8
47.4
12.6
8.1
1.5
2.6
11.9
3.7
10.0
6.0
11.2
0.9
42
46
1.0
2016
12.3
19.8
104.7
6.0
48.7
12.5
7.8
1.5
2.9
11.9
3.9
12.1
7.3
12.7
0.8
42
41
1.2
2017E
11.5
19.6
109.0
6.0
52.0
13.3
7.8
1.4
3.0
11.2
3.9
10.8
6.3
10.8
0.8
35
37
1.3
2018E
13.7
24.0
115.5
6.0
43.8
11.2
6.4
1.3
2.7
9.2
3.9
12.2
7.4
11.0
0.7
35
36
1.4
Cash Flow Statement
Y/E Mar
Adjusted EBITDA
Non cash opr. exp (inc)
(Inc)/Dec in Wkg. Cap.
Tax Paid
Other operating activities
CF from Op. Activity
(Inc)/Dec in FA & CWIP
Free cash flows
(Pur)/Sale of Invt
Others
CF from Inv. Activity
Inc/(Dec) in Net Worth
Inc / (Dec) in Debt
Interest Paid
Divd Paid (incl Tax) & Others
CF from Fin. Activity
Inc/(Dec) in Cash
Add: Opening Balance
Closing Balance
2011
108,335
68,026
-24,655
-29,544
-11,312
110,850
-110,855
-5
34,199
-1,215
-77,872
0
50,473
-30,998
-36,511
-17,036
15,943
164,030
179,973
2012
134,446
56,429
-23,494
-17,607
-11,109
138,666
-130,577
8,089
18,039
234
-112,304
0
52,135
-39,693
-41,133
-28,691
-2,330
179,973
177,643
2013
155,792
62,983
-5,971
-28,956
-28,896
154,952
-162,912
-7,960
16,225
6,519
-140,169
0
72,624
-39,461
-40,688
-7,524
7,259
177,643
184,902
2014
178,937
45,263
-13,109
-26,867
-18,917
165,308
-189,485
-24,176
16,225
37,017
-136,243
0
93,854
-62,429
-58,516
-27,091
1,975
184,902
186,876
2015
179,139
16,355
-11,694
-20,100
-16,242
147,459
-191,772
-44,314
16,391
17,182
-158,200
0
205,811
-72,371
-148,185
-14,745
-25,486
186,876
161,390
2016
191,632
12,451
17,868
589
-12,341
210,198
-271,630
-61,432
0
12,352
-259,278
0
127,017
-41,513
-59,367
26,137
-22,943
161,390
138,447
2017E
221,275
15,317
12,108
-25,125
-15,317
208,258
-313,821
-105,563
0
15,317
-298,504
0
150,048
-49,983
-59,367
40,698
-49,548
138,447
88,899
(INR Million)
2018E
288,860
11,046
-4,938
-28,752
-11,046
255,170
-304,691
-49,521
0
11,046
-293,645
0
133,299
-73,001
-59,367
931
-37,544
88,899
51,355
July 2016
69

July 2016
Utilities | At the peak of over capacity
Update
| Sector:
Utilities
JSW Energy
Buy
BSE SENSEX
27,127
S&P CNX
8,323
CMP: INR84
TP: INR98 (+17%)
Lowest leverage at peak of overcapacity in the sector
Stock Info
Bloomberg
Equity Shares (m)
52-Week Range (INR)
1, 6, 12 Rel. Per (%)
M.Cap. (INR b)
M.Cap. (USD b)
Avg. Val (INR m)/Vol m
Free float (%)
Reinstating coverage with BUY and TP of INR98
JSW IN
1,640.1
106/59
18/-8/-13
138.3
2.1
218.6 / 2.5
25.0
Financials Snapshot (INR b)
Y/E MAR
2016 2017E 2018E
Net Sales
99.7 101.0 101.7
EBITDA
41.4
42.5
42.0
PAT
14.0
11.5
13.1
EPS (INR)
7.6
7.0
8.0
Gr. (%)
-10.0
-8.0
14.1
BV/Sh (INR)
52.0
56.8
62.4
RoE (%)
15.5
12.9
13.4
RoCE (%)
12.5
11.0
11.3
P/E (x)
9.2
12.1
10.6
P/BV (x)
1.3
1.5
1.3
Shareholding pattern (%)
As On
Promoter
DII
FII
Others
Mar-16 Dec-15 Mar-15
75.0
75.0
75.0
11.8
12.0
6.2
9.0
8.9
7.2
4.2
4.1
11.5
FII Includes depository receipts
Stock Performance (1-year)
JSW Energy
Sensex - Rebased
120
100
80
60
Two-thirds of capacity contracted under PPAs, providing sufficient cash flows to
service consolidated debt
JSW Energy’s (JSWE) 2,777MW of capacity is contracted under long-term (LT)
PPAs. Another 200MW of LT PPA is expected from Punjab for its hydro assets,
which will increase the share of LT PPAs to 67%.
LT PPAs have a set of structured and fairly predictable cash flows. In the first
10 years, annual EBITDA is expected to be ~INR20-25b (~60% of consolidated
EBITDA), which we believe is sufficient to service debt.
Open capacity is well diversified, only 10% capacity is vulnerable
JSWE has benefited in the short-term (ST) market from tight supply in the
southern region (SR). With improving inter-region transmission, JSWE is
reducing its exposure to the ST market as premiums are coming off in SR.
Only 33% capacity is now exposed to the ST market, but majority of it is in the
critically balanced market of Karnataka in SR. Expected PPAs from this state
are likely to help tide over the next three difficult years, after which the
market is expected to find balance. Only 10% of its capacity is vulnerable
being exposed to the oversupplied western region (WR).
Merchant power market will thrive, but rates will be capped at INR3/kWh
Despite oversupply, the merchant market will thrive as there is an arbitrage
between high variable cost of contracted capacities and cost of new stranded
plants. Merchant rates will be capped at INR3/kWh, in our view.
We are factoring in INR2.75/kWh for non-SR and INR4.3/kWh for SR.
High capital efficiency and strong free cash flows
JSWE is one of the few companies in the sector that has built a strong set of
assets at low cost. JSWE is generating strong operating cash flows.
JSWE’s balance sheet and return ratios are the best among private names.
With capex now behind, free cash flows have turned positive.
Inorganic growth opportunities plenty, patience is the key
At the peak of overcapacity, organic growth still does not make sense.
But inorganic growth opportunities are plenty amid financially stressed
competition. Patience is the key, in our view.
Reinstating coverage with BUY with TP of INR98
Strong free cash flows and lowest financial leverage amid financially stressed
competition provide strong negotiating power to JSWE for inorganic growth at
the peak of overcapacity. JSWE has been able to consistently generate double-
digit RoEs due to low cost of its projects.
SOTP of EV is INR279b, which will decline gradually if not reinvested. Since net
debt is declining at a faster rate, equity value will continue increasing. We
value JSWE at INR98/share based on FY18E SOTP. We reinstate coverage with
a BUY rating.
70
July 2016

Utilities | At the peak of over capacity
63-67% of capacity contracted under PPAs
This provides sufficient cash flows to service consolidated debt
63% or 2,777MW of JSWE’s generation capacity is contracted under long-term PPAs.
Another 200MW of PPA is expected from Punjab for its Karcham Wangtoo hydro
assets, which will increase the share of LT PPAs to 67%.
LT PPAs have a set of structured and fairly predictable cash flows. In the ensuing 10
years, annual EBITDA is expected to be ~INR20-25b (i.e. ~60% of consolidated EBITDA),
which we believe is sufficient to service consolidated debt.
~63% or 2,777MW of JSWE’s generation capacity is contracted under long-term
PPAs. Another 200MW of PPA is expected from Punjab once the tariff is approved
for its Karcham Wangtoo hydro power plant, which was acquired from Jai Prakash
Power (JPVL) in FY16. If the Punjab PPA is finalized, the share of PPAs will increase to
67% of total capacity.
Exhibit 109: Portfolio of diversified assets
S.N. Asset
1
2
3
4
5
Vijaynagar
Ratnagiri
RajWest
Baspa-II
K. Wangtoo
Location
State Region
K'taka
SR
Maha.
WR
Raj.
NR
HP
NR
HP
NR
Fuel
Imp. coal
Imp. coal
Lignite
Hydro
Hydro
Capacity
LT PPAs (MW)
Open
PLF (%)
(MW) free PPA Total (MW) FY15 FY16 FY17E FY18E
860
-
-
-
860 97.4 89.7 90.0
90.0
1,200
-
773
773
427 72.7 79.8 85.0
85.0
1,080
-
1,080 1,080
-
77.7 76.3 85.0
85.0
300
36
264
300
-
47.7 49.7 50.0
50.0
1,000
120 504
624
376 48.4 54.0 50.0
50.0
4,440
156 2,621 2,777 1,663 73.8 56.2 68.3
68.3
FY19E
90.0
85.0
85.0
50.0
50.0
68.3
FY20E
90.0
85.0
85.0
50.0
50.0
68.3
Source: MOSL, Company
Contracted capacities have a set of structured and fairly predictable cash flows. In
the ensuing 10 years, annual EBITDA is expected to be ~INR20-25b (~60% of
consolidated EBITDA), which is enough to service debt of the company, in our view.
Exhibit 110: Break-up of operating cash flows through contracted capacities – INR b
Rajwest 1,080mw
Baspa-II 300mw
Karcham Wangtoo 700mw
JSW Steel 473mw
Maharashtra 300mw
24 25 25 25 24 23 23
22
3 3 3 3 3 3 3 3
8 9 10 10 10 9 9 9
3 1 1 1 1 1 1 1
10 10 10 9 9 9 9 8
20 20 20 20 19 20 19 19
18
3 2 2 2 2 2 2 2 1
7 7 8 8 8 8 8 8 8
1 1 1 1 2 2 2 2 2
8 8 8 7 7 7 7 7 8
18
1
8
2
8
16 16 15
1 1 0
8 8 8
2 2 2
5 5 5
15
0 9
9
0
2 9
5
0
9
0
9
0
9 10 10
0 0 0
9 10 10
0 0 0
11
0
11
0
11 11 12
0 0 0
11 11 12
0
0
0
Source: MOSL, Company
July 2016
71

Utilities | At the peak of over capacity
Exhibit 111: EBITDA – INR b
Contracted capacity EBITDA
41
17
42
18
Other-than contracted capacity EBITDA
42
17
41
17
35
11
24
25
25
25
24
FY16
FY17E
FY18E
FY19E
FY20E
Source: MOSL, Company
Earnings from contracted capacities are fairly predictable and secured, and thus
provide a strong base for future growth opportunities and help absorb earnings
volatility from its merchant power capacities. Cash flows from contracted
arrangements are sufficient to meet the group’s annual interest obligation of
~INR13-15b and normative debt repayment of ~INR7-8b. A strong balance sheet and
steady operating cash flows have enabled JSWE to secure better terms with lenders
(such as interest rate reduction and elongated debt repayment). JSWE’s strong
balance sheet (~2.0x debt-to-equity in FY16) compared to its stressed peers
provides room for inorganic growth.
We discuss the individual long-term contracts below:
Raj West (Barmar)
Entire 1,080MW capacity is contracted with the state of Rajasthan.
Fuel (lignite) is sourced through captive mines (49% owned), while costs are
pass-through.
Returns are determined based on the Rajasthan State Regulatory Commission
norms, which are broadly in line with norms set by the Central Electricity
Regulatory Commission.
JSWE has claimed project cost of INR69b, but the regulator has approved only
INR59b. JSWE has petitioned against the disallowance. If approved, it could lead
to an upside to our estimates.
Approved equity (at approved project cost) is INR14.8, representing 25% of
project cost. The plant was commissioned in a phased manner beginning FY2010
and was fully complete by FY2014.
In FY15/16, the plant operated at PLF of ~76-77%, lower than the normative 80%,
due to shortage of lignite. JSWE has ramped up production at the captive mines,
which should help in increasing PLF to 85%.
Raj West is expected to generate annual operating cash flows of ~INR 9-10b over the
next five years. The long-term cash flow profile (typical for a regulated project) will
decline due to normative debt repayments.
July 2016
72

Utilities | At the peak of over capacity
Exhibit 112: Raj West annual operating cash flow stream – INR m
Rajwest (1,080mw)
Source: MOSL, Company
Baspa-II
300MW of hydro capacity is fully contracted to Himachal Pradesh. Free power is
12% of the plant capacity. The plant was commissioned in 2003.
Revenues are regulated under the Himachal Pradesh Electricity Regulatory
Commission norms.
Approved project cost is INR16.3b and normative equity is INR4.9b.
Normative debt (including approved costs of ~INR100-120m related to debt
restructuring) was fully repaid in FY16. Annual normative depreciation is
INR702m, but due to the reversal of advance depreciation (as debt becomes
nil), net normative depreciation charge is nil. This will reduce operating cash
flows in FY17E.
Baspa-II’s annual operating cash flow generation is estimated to decline from
~INR2.7b in FY16E to INR1.4b in FY17E.
Exhibit 113: Baspa-II operating cash flow stream – INR m
Baspa-II (300mw)
Source: MOSL, Company
Karcham Wangtoo
The project capacity is 1,000MW (design 1,091MW) with 504MW under long-
term PPA. 120MW is supplied as free power to Himachal Pradesh, which will
increase to 180MW from FY24. It has long-term open access of 880MW.
Tariff is determined as per the CERC norms. However, the project cost is yet to
be approved. Hence, billing is being done on a provisional basis.
JSWE is in discussion with the state of Punjab for the off-take of 200MW under
long-term contract. This is expected to be concluded once the CERC finalizes the
July 2016
73

Utilities | At the peak of over capacity
tariff. Management expects it to be done by 1HFY17. We are factoring in
Punjab’s 200MW PPA in our numbers – 50% in FY17E and 100% from FY18E.
For the remaining 180/120MW, JSWE is participating in other long-term PPA
bids. In the meantime, it is selling power in the merchant market.
We estimate the contracted capacity of 700MW (beginning FY18) to generate
annual operating cash flows of ~INR8.8-10b over the next five years. Contracted
cash flow is estimated to increase in FY17-18E as more capacity gets under PPA (viz.
Punjab). Cash flows will then fall gradually as the decline in normative interest cost
will be partly offset by the increase in O&M (escalation of 6.64%). After debt
repayment, operating cash flows would see a rising trend as the actual increase in
O&M cost estimate of 5% p.a. lags the normative 6.64%.
Exhibit 114: Karcham Wangtoo contracted capacity operating cash flow stream – INR m
Karcham Wangtoo (700mw)
Source: MOSL, Company
Ratnagiri
The project capacity is 1200MW. There is a PPA of 473MW with JSW Steel and
300MW with the state of Maharashtra. Remaining 427MW capacity is exposed
to the merchant market.
The plant is located at a port in Maharashtra and operates on imported coal.
JSW Steel PPA (473MW):
Fixed charge is determined as per the CERC regulation,
while variable cost is pass-through. Annual operating cash flow generation is
estimated at INR3.3-2.9b over the next five years.
Cash flows will likely have a declining
trajectory due to falling normative debt.
July 2016
74

Utilities | At the peak of over capacity
Exhibit 115: Operating cash flow stream from JSW Steel PPA (INR m)
JSW Steel (473mw)
Source: MOSL, Company
Maharashtra PPA (300MW):
The PPA was awarded after competitive bidding.
Capacity charge includes a stream of pre-defined non-escalable unit charge and
escalable unit charge (linked to inflation). Fuel cost is adjusted for a change in the
benchmark coal index,
but on base value that was set when bid in FY10
. Transportation
and fuel costs are non-escalable. The operating cash flow profile is volatile due to
the structure of capacity charge.
Exhibit 116: Maharashtra PPA capacity operating cash flow stream – INR m
Maharashtra (300mw)
Source: MOSL, Company
July 2016
75

Utilities | At the peak of over capacity
Open capacity is well diversified
Only 10% capacity is vulnerable
JSWE has benefited in the ST market from tight supply in the southern region (SR).
With improving inter-region transmission, JSWE is reducing its exposure to
ST/merchant market as premiums are coming off in SR.
Only 33% of the capacity is now exposed to the ST market, but majority of it is in the
critically balanced market of Karnataka in SR. Expected PPA from the state will help
tide over the next three difficult years, after which the market is expected to find
balance.
Only 10% of its capacity is vulnerable due to its exposure to the oversupplied western
region.
JSWE has benefited from its exposure to the ST market in the tight southern region,
despite being dependent on imported coal. With improving inter-region
transmission capacities, regional premiums are coming off. JSWE too has been
gradually reducing its exposure to the ST market, but 33% or ~1,463MW capacity is
still exposed to the short-term power market. This is spread over three regions and
is well diversified. Only 10% capacity is exposed to the vulnerability of the merchant
market because of being in the oversupplied western region.
860MW Vijanagar plant is located in SR - critically balanced if not tight. This unit
is likely to secure ST PPA for three years from Karnataka at decent realizations,
while short-term opportunities in Andhra and Telengana are drying up.
176MW of hydro capacity is very competitive in the ST market. As hydro
projects are difficult to build and costs are high, the MoP is working toward
making these projects more attractive. Recently, hydro projects have been
exempted from competitive bidding. There is a move to bring large hydro
projects into the ambit of renewal energy (RE). Hydro projects with open
capacities will become more valuable with time.
427MW Ratnagiri capacity is most vulnerable as it is situated in the oversupplied
WR. But its location on the western side of the state offers some advantage
because there are transmission bottlenecks between east and west
Maharashtra.
Exhibit 117: Open to short-term market
S.N. Asset
1 Vijaynagar
2 Ratnagiri
3 K. Wangtoo
Location
State
Region
K'taka
SR
Maha.
HP
WR
NR
Fuel
coal
import
coal
import
Hydro
Open
(MW)
860
427
176
1,463
Remarks
Tight supply in the region
expecting 3 year PPA from K'taka
Over supplied market
headwind for few years
Hydro is likely to be next RE
Source: MOSL, Company
JSWE has benefited from its merchant portfolio in SR
India has been an oversupplied merchant power market for the past few years.
However, JSWE has benefited from its exposure to the merchant market. Its
merchant market portfolio’s significant positioning in southern India has come to its
July 2016
76

Utilities | At the peak of over capacity
advantage. Prior to the acquisition of JPVL’s hydro assets in FY16, 67% of its
merchant power capacity was in south. However, post the acquisition, it has come
down to 59%. The advantage for the merchant power market in south is evident
from the premium in day-ahead rates in south compared to the western region.
Southern region merchant
day-ahead rates have
trended at a premium to
other regions amid
constraints in transmission.
Premium, however, has
come off recently.
Exhibit 118: Southern region rates have been at a premium to the western region
S1 rates (INR /kWh)
7.0
5.5
4.0
2.5
1.0
W1 rates (INR/kWh)
Source: MOSL, Company
JSWE has benefited from its
position in the supply-short
southern region. Under its
bilateral arrangement for
sales in south, it has
secured a realization of
more than INR5/kWh.
Exhibit 119: Vijaynagar’s realization on inter-state bilateral sales – INR/kWh
6.6
6.2
5.6
5.4
5.6 5.6 5.6 5.6 5.6
5.5 5.6
5.7 5.7 5.6
5.9 6.0 5.9 5.9
Vijaynagar realn. on inter-state bilateral sales - INR/kWh
6.1
6.2
6.1 6.1
6.0
5.9
Source: MOSL, Company
But premium is easing in SR due to improving inter-region transmission
The two key constraints – lack of transmission network and delayed new capacity
starts – driving the premium in south over the past few years are gradually starting
to ease. Transmission grid capacity to south has increased from ~3GW a year back to
~5.9GW due to the commissioning of ancillary lines connecting Raichur-Sholapur.
The grid network is likely to expand further. Starting FY18, various transmission
projects are likely to get commissioned and are estimated to increase grid
connectivity to south to ~18GW by FY20.
Various new generation capacities have also been added to the grid over the past
few years, and the trend would continue over the next few years as per our
demand-supply model. 8.2GW of coal-based power generation capacity was
commissioned in the southern region in FY15/16, and additional ~9GW is expected
over the next few years.
July 2016
77

Utilities | At the peak of over capacity
With the commissioning of
ancillary grid lines
connecting the Raichur-
Sholapur line, export
capacity between WR and
SR has increased from
~3,000MW a year ago to
~5,900MW.
Exhibit 120: Export volumes from WR to SR transmission grid
HVDC Bhadrawati (Chandrapur)
Sholapur - Raichur
Kolhapur-Kudgi
Exports from WR to SR (in MU)
Source: MOSL, Company
Exhibit 121: Coal-based generation capacity commissioned/to be in Southern India
6,690
Capacity - in MW
6,160
3,600
1,560
2,100
760
FY15
FY16
FY17
FY18
FY19
Tentative
Source: MOSL, Company
The two major short/bilateral market purchasing states – Andhra Pradesh and
Telangana – are expected to significantly reduce short-term/open market power
purchases. In FY16, JSWE’s Vijaynagar plant sold ~50% of its volumes to these two
states at a lucrative ex-bus realization estimated to be at +INR 5.0/kWh. We
estimate AP’s electricity balance would turn from a deficit of ~3.4b kWh in FY16 to a
surplus of ~4.2b kWh in FY18. Telangana (in its ARRs) is expecting to reduce short-
term power purchase from ~26% of its total energy requirement in FY16 to just
~12% in FY17. Post FY17, we estimate both these states to be in a power surplus
position with the start of new capacities, PPAs and RE addition as the key drivers.
JSWE too has been gradually reducing its exposure to ST market
JSWE’s share of ST/merchant market volumes has declined over the years due to the
ramp-up of the Raj West power plant and the acquisition of hydro assets of JP which
had lower merchant exposure (180MW of 1,300MW). The merchant market
volumes share has declined from ~64% in FY12 to ~40% in FY16, and is estimated to
fall to ~37% in FY18.
July 2016
78

Utilities | At the peak of over capacity
JSWE’s merchant exposure
has declined.
Exhibit 122: Share of merchant/ST volumes
64
53
51
Merchant vols. share %
47
44
39
37
37
37
FY12
FY13
FY14
FY15
FY16
FY17E
FY18E
FY19E
FY20E
Source: MOSL, Company
Karnataka is processing 1,000MW ST bids
JSWE is well placed for
750MW ST PPA, given it is
the only open IPP capacity
in the state.
What could come as a silver lining to JSWE is the increase in deficit in Karnataka due
to a sharp fall in hydro generation, while there are delays in new projects. According
to our calculations, Karnataka’s electricity deficit is expected to increase from ~1b
kWh in FY15 to ~5b KWh in FY16, and is unlikely to decline meaningfully in FY17E.
Karnataka has called for 1,000MW of ST/medium-term PPAs in order to fill this gap.
According to media reports, JSWE has emerged as an L2 bidder for supplying
750MW at a realization of INR4.38/kWh. Supplies under this PPA are expected to
start from July 2016. We believe JSWE is well positioned for this PPA as:
It is the only open-IPP capacity in the state that can offer large volumes. This
helps as it saves inter-state transmission cost (of ~INR0.3-0.5/kWh) as against
other open capacities that are based mostly in Andhra Pradesh.
The southern power supply market is still relatively well balanced. The southern
region’s peak requirement is ~43-50GW (assuming 7% growth over FY16).
Untied private-IPP supply, adjusting for upcoming bilateral/PPA in Andhra
Pradesh and KA, would be ~5-7% of the peak requirement, which is not
significant.
Besides Karnataka, our estimates suggest AP and Telangana would still remain
buyers in the short-term market, but to a limited extent.
Exhibit 123: Southern region peak demand and untied capacity
(In MW)
Southern region peak demand
Untied capacities in south
NCC
Meenakshi
Simhapuri
JSW
Ind Bharath
Thermal Powertech
Less:
PPA to Andhra
KA's upcoming PPA
Untied % of peak
FY16
40,445
2,310
300
600
860
300
250
FY17E
43,276
3,330
1,320
1,000
600
860
300
250
FY18E
46,305
2,430
1,320
1,000
600
860
300
250
-900
-1,000
5
FY19E
49,547
3,430
1,320
1,000
600
860
300
250
-900
7
FY20E
53,015
3,430
1,320
1,000
600
860
300
250
-900
6
Source: MOSL, Company
Remark
7% growth
6
-1,000
8
July 2016
79

Utilities | At the peak of over capacity
Based on recent similar bids in the southern region, we believe JSWE can secure a
price of ~INR4.0-4.5/kWh (we build in INR4.3/kWh, media reports suggest
INR4.38/kWh). In March 2016, Thermal Powertech, based in Andhra Pradesh, was
supplying power at ~INR5/kWh to Karnataka under a short-term contract.
Exhibit 124: Recent Case1 bids in southern India
State
Tamil Nadu
Tamil Nadu
Kerala
Kerala
Kerala
Kerala
Kerala
Andhra Pradesh
Andhra Pradesh
Andhra Pradesh
Andhra Pradesh
Andhra Pradesh
Year
FY14
FY14
FY15
FY15
FY15
FY15
FY15
FY16
FY16
FY16
FY16
FY16
Supplier
DB Power
Jindal Power Ltd
Jindal Power
Jhabua Power
Balco
Jindal India - Thermal
Jindal Power
East Coast Energy Ltd
NCC Power Projects
Korba West Avantha
MB Power Ltd
Jindal India Thermal Ltd
Capacity
Levelized tariff
(MW)
(INR/kWh)
200
4.91
400
4.95
200
3.60
115
4.15
115
4.29
200
4.39
150
4.29
488
4.27
500
4.35
540
4.49
374
4.69
400
4.83
Source: MOSL, Company
JSWE’s Karnataka ST PPA could be timely to tide over difficult three years
The Karnataka three-year ST PPA is very timely to fill the gap created by the end of
ST PPA with AP in June 2016 and should help tide over the next difficult three years
when the sector is at the peak of overcapacity. Improving inter-region transmission
connectivity is having an adverse impact on merchant rates of power. Although the
merchant power market is expected to remain well supplied for the foreseeable
future, things would definitely start improving by FY20E as new capacity addition
slows.
Demand and supply in Telangana, Andhra and Karnataka
Telangana: Market purchases to halve in near term; deficit signs again in FY19
Telangana, under its ARR filings, is estimating short-term market purchase of
electricity to almost halve in FY17 on the back of new capacity starts. From ~14b
kWh or ~26% of its electricity requirement in FY16, it estimates short-term
purchases to decline to ~7b kWh or ~12% of electricity requirement in FY17. Our
supply-demand model for Telangana also corroborates this trend – a deficit of ~14%
in FY16 declining to ~4% in FY17. Commissioning of Singareni 1,200MW (recently
signed 570MW PPA with Thermal Powertech) and upcoming solar capacities are
driving improved near-term availability.
Over the longer term, Telangana may turn into deficit only if demand grows by ~17%
in FY18 and ~19% in FY20, as projected in ARR filings by Telangana. Industries and
particularly government’s pet project Lift Irrigation Scheme (LIS) are expected to be
the major drivers of this optimism. LIS is estimated to represent ~33% of
incremental demand in FY18 and ~72% in FY19. More encouragingly, unlike
agriculture which is free, LIS is estimated to fetch realization of > INR5/kWh. Our
discussions with Telangana DISCOM officials suggest that the government is working
July 2016
80

Utilities | At the peak of over capacity
very actively on LIS. This was also corroborated by our discussions with a few steel
companies that have seen major pipeline order flows from Telangana.
If demand, as estimated in ARR filings, materializes, we believe Telangana would see
its electricity deficit rising to ~9% in FY19. We, however, base our estimate on 7%
demand growth assumption. As per our demand-supply model, Telangana would be
in a surplus of ~15% in FY19. Our supply assumptions are based on bottom-up
forecast of upcoming capacity and normalized PLFs, rather than the state
government’s upcoming project pipeline.
Exhibit 125: Surplus (deficit) as per ARR
(Deficit)/Surplus - in MU
% of state's demand (def.)/sur.
-2
-7
-3,628
-14
-6,942
FY16
FY17E
FY18E
-6,679
FY19E
-1,161
-9
-14
-6,942
FY16
Exhibit 126: Surplus (deficit) estimate at 7% p.a. growth
(Deficit)/Surplus - in MU
% of state's demand (def.)/sur.
6,200
-4
-2,131
FY17E
FY18E
FY19E
11
9,175
15
Source: MOSL, Company
Source: MOSL, Company
Exhibit 127: Telangana’s electricity demand-supply balance
Available supply - in MU
Demand (as per ARRs) - in MU
growth (%)
Share of incremental demand (%)
Domestic
Commercial
Industrial
Agriculture
LIS
Others
(Deficit)/Surplus - in MU
% of state's demand (def.)/sur.
Demand (MOSL) - in MU
growth (%)
(Deficit)/Surplus - in MU
% of state's demand (def.)/sur.
FY15
44,294
46,273
FY16
42,790
49,732
7.5
FY17E
51,082
54,710
10.0
22
6
30
9
26
7
-3,628
-7
53,213
7.0
-2,131
-4
FY18E
63,138
64,299
17.5
14
2
37
6
33
7
-1,161
-2
56,938
7.0
6,200
11
FY19E
70,099
76,778
19.4
7
2
12
5
72
2
-6,679
-9
60,924
7.0
9,175
15
Remarks
Bottom-up analysis of upcoming supply
Can be at risk
Pet project of Telangana government
-1,980
-4
46,273
-1,980
-4
-6,942
-14
49,732
7.5
-6,942
-14
Avg. demand growth of ~7%
Source: MOSL, Company
Although it is too early to say if demand growth as estimated under ARRs or LIS
would materialize, we believe demand could get some push because of elections
that are due in the state in FY19. The government, being in its first term, is expected
to push for delivery of its poll commitments. Some signs are already visible in LIS.
July 2016
81

Utilities | At the peak of over capacity
Andhra Pradesh: Backing of 2,400MW PPAs, new capacities to drive surplus
Andhra Pradesh was estimating about 12% of electricity demand to be met from
short-term purchases in 2HFY16, which has come down to just ~1% in FY17. After
our recent interactions with AP’s Transco officials, we see the likelihood of AP
turning into a net seller in the short-term power exchange market. AP is benefiting
from the extension of KSK’s medium-term PPA from 216MW to 400MW, and the
start of Hinduja’s 1,050MW and Thermal Powertech’s 231MW coal-based capacities.
Gas-based supplies are also expected to increase due to the central government’s E-
RLNG scheme. Our demand-supply model for AP estimates a net deficit (or short-
term market purchase) of ~5.3bu in FY16, which would balance out in FY17.
Exhibit 128: AP expects short-term power purchases to be insignificant in FY17E
Short-term purchase % of total mix
12
1
Source: MOSL, AP ARRs
Over the long term, we estimate AP to be in a significant electricity surplus position.
Based on 14% electricity demand growth in FY17 (as per ARR, which could be at risk)
and 7% thereafter (our view), we expect a surplus of ~7.5b kWh or ~11% of its
electricity demand. Under our bottom-up supply model, we estimate ~3.8GW of
renewable capacity to be added by FY19E (though the target is much higher, as per
our interactions with AP Transco officials). We also assume ~1,000MW of long-term
PPAs will be signed. AP has already concluded bids for 2,400MW long-term PPA. Of
the 2,400MW, ~900MW is offered by south-based plants, for which there are no
transmission constraints. We estimate ~1,000MW of supplies to come from these
PPAs beginning FY18. Our checks with Transco officials highlighted that actual
acceptance of bids may be lower than 2400MW because of a jump in renewable
capacity addition.
AP has not provided long-term electricity demand forecast in its ARR, unlike
Telangana. But as per ‘Power for All’, it estimates electricity demand to increase to
~82b kWh by FY19 (as against our base case estimate of ~66bu). The document
assumes ~10b kWh of demand to come from load relief and ~5b kWh from an
increase in supply to the agriculture sector from 7 hours currently to 9 hours. We
are more hopeful of the agriculture demand potential due to an increase in the
number of hours of supply, based on our interactions with AP’s Transco officials.
Even if we were to consider the whole of ~5b kWh (incremental agriculture demand)
in our forecast for AP, there will still be in a surplus of ~2.5b kWh.
July 2016
82

Utilities | At the peak of over capacity
On the other hand, if ‘Power for All’ demand estimates were to materialize, we
would be looking at electricity deficit of ~9b kWh or ~11% of AP’s demand.
Exhibit 129: Andhra Pradesh electricity supply-demand balance
FY15
Available - in MU
Demand (as per PFA) - in MU
growth (%)
(deficit)/Surplus - in MU
% of state's demand (def.)/sur.
Demand (MOSL) - in MU
growth (%)
(deficit)/Surplus - in MU
% of state's demand (def.)/sur.
FY16
45,144
50,444
FY17E
54,096
68,563
35.9
-14,467
-21
57,506
14.0
-3,410
-6
FY18E
65,788
75,201
9.7
-9,413
-13
61,532
7.0
4,256
7
FY19E
73,341
82,392
9.6
-9,051
-11
65,839
7.0
7,503
11
Source: MOSL, Company
14% growth in FY17 is based on ARR filings.
Remarks
Bottom-up analysis of upcoming supply
Demand as per Power For All. FY17E sharp
increase is on factoring of load relief
-5,300
-11
50,444
-5,300
-11
Exhibit 130: Surplus (deficit) under base-case estimates
(deficit)/Surplus - in MU
% of state's demand (def.)/sur.
7
4,256
-5,300
-3,410
-6
-11
FY16
FY17E
FY18E
FY19E
7,503
11
Exhibit 131: Surplus (deficit) as per “Power for All”
(deficit)/Surplus - in MU
% of state's demand (def.)/sur.
-5,300
-14,467
-9,413
-9,051
-11
-13
-21
FY17E
-11
FY16
FY18E
FY19E
Source: MOSL, AP’s ARRs, AP’s Power for All
Source: MOSL, Company, AP’s Power for All
Karnataka: Can be a silver lining for JSWE
Karnataka’s electricity deficit (or short-term market purchase requirement) surged
from ~1.1b kWh in FY15 to ~5.1b kWh in FY16 (or ~8% of its electricity demand).
Karnataka’s ~25% of power capacity is hydro based, which had suffered in FY16 as
deficient monsoon led to a sharp fall in plant PLFs. Hydro power’s PLF dropped to
23% in FY16 from 41% in FY15. In addition, deficit in FY16 was partly constrained
due to below-average electricity demand growth of just 2% (based on CEA’s data).
Karnataka’s deficit situation is not likely to improve meaningfully in FY17. In the ARR
filings, Karnataka is estimating electricity demand of ~68b kWh in FY17, while our
supply model suggests available supply of ~64b kWh, leading to a deficit of ~4.6b
kWh or ~7% of its electricity demand. Our supply model assumes 30% PLF for hydro
capacities, up from 25% in FY16, which can surprise negatively considering low
reservoir water levels, unless off-course monsoon is extremely good. We also
assume some benefit from the start of Bellary U-3 (700MW) and Yeramarus
(800MW) thermal coal-based capacities. However, these supplies could also be at
some risk in the near term due to low water availability at these plants and
transmission constraints.
July 2016
83

Utilities | At the peak of over capacity
Post FY17, we estimate the supply situation for the state to improve on new
capacities (and considering demand forecast made by KA’s DISCOM, which assumes
5-6% demand growth), but still remain critically balanced in FY18. Start of Kudgi
(1,200MW), Yeramarus U-2 (800MW) and renewable capacities would drive
improved supply.
Exhibit 132: Karnataka’s electricity demand-supply
balance…
Available - in mu
Demand - in mu
Exhibit 133: ..and deficit – in Kwh (mu)
(deficit)/surplus
FY15
FY16
FY17
FY18
FY19
FY15
FY16
FY17
FY18
FY19
Source: MOSL, KA’s ARR filings, Power For All
Source: MOSL, Company, KA’s ARR filings, Power For All
Exhibit 134: Karnataka’s hydro capacity PLFs (%)
Karnataka hydro capacity PLFs (%)
Exhibit 135: Sales to KA from Vijaynagar (% of total)
Vijaynagar sales to Karnataka (% of total) impled
57 56 55
52
29
22
56
42
35
69
49 51
59
49
44
Source: MOSL, Company
Source: MOSL, Company
July 2016
84

Utilities | At the peak of over capacity
Merchant power market will thrive
But rates will be capped at INR3/kWh
Despite oversupply, the merchant market will thrive as there is an arbitrage between
high variable cost of contracted capacities and total cost of new stranded power
plants.
We expect merchant rates to be capped at INR 3/kWh. We are factoring in rates of INR
2.75/kWh for non-SR and INR 4.3/kWh for SR capacities of JSWE.
As discussed earlier in the sector report, the Indian power sector is at the peak of
overcapacity. It will take 5-6 years for the market to re-balance. DISCOMs have
signed 41% more PPAs than FY20E peak load. Therefore, LT PPAs will be few over
the next 3-4 years. According to our calculations, 28GW of capacity will remain
stranded without PPAs. Therefore, the short-term market will remain oversupplied
for at least three years, in our view.
It will take 5-6 years for the
market to re-balance…
Exhibit 136: Conventional cap./peak load (x)
1.7
1.6
1.5
1.4
1.3
1.2
1.1
Source: MOSL, CEA
…yet the merchant market
will thrive…
Although DISCOMs are comfortable with available capacities and PPAs, they will
keep buying in the merchant market for reducing costs. There is an arbitrage
between variable cost of existing capacities (high for many GENCOs) and many
open/stranded capacities that are able to generate power at very low cost because
of the proximity to mines, improved domestic coal supply and operating efficiencies.
We find that state-owned generating stations typically fall at the higher end of the
contracted supply cost curve. Their variable cost, adjusted for transmission cost, sets
the cap for merchant power rates, in our view.
…but rates will be capped at
INR3/kWh, in our view
At variable cost of more than INR3/kWh, the generation potential of state-owned
companies was ~90b kWh (or 9-10% of India’s electricity generation) in FY16E.
Therefore, we believe INR3/kWh will likely be the cap for around 2-3 years.
July 2016
85

Utilities | At the peak of over capacity
Exhibit 137: Variable cost curve for state-owned coal capacities
5.00
4.00
3.00
2.00
1.00
0.00
> INR 3/kwh VC gen.
potential is ~90bu or 10%
VC - INR/kWh
Source: MOSL, State GENCOS ARR
We are factoring in realization of INR2.75/kWh in WR
We are factoring in INR2.75/kWh realization for JSWE’s merchant market sales in
regions other than SR. As mentioned above, merchant power prices would have to
be competitive enough to incentivize state DISCOMs to substitute their contracted
capacity volumes with merchant power. For JSWE’s SR merchant sales, we estimate
realization of INR 4.3/kWh on the back of KA’s three-year ST PPAs.
July 2016
86

Utilities | At the peak of over capacity
High capital efficiency and strong free cash flows
Inorganic growth opportunities plenty, patience is the key
JSWE is one of few companies in the sector that has built a strong set of assets at low
cost. JSWE is generating strong operating cash flows. As a result, its balance sheet and
return ratios are the best among private names.
With capex behind now, free cash flows have turned positive. At the peak of
overcapacity, organic growth still does not make sense, but inorganic growth
opportunities are plenty. Patience is the key, in our view.
Strong operating cash flows
JSWE has been generating strong operating cash flows, which have grown from
INR5b in FY09 to INR36b in FY16. Since hydro assets acquired from JPVL were
consolidated in 2HFY16, the benefit in operating cash flow was partial in FY16.
Therefore, operating cash flows are likely to see a jump in FY17E.
Exhibit 138: Operating cash flows
Opr. cash flows after WC change (INR b)
49
34
20
5
FY09
8
9
17
23
36
38
37
33
FY10
FY11
FY12
FY13
FY14
FY15
FY16
FY17E FY18E FY19E FY20E
Source: MOSL, Company
Assets have been installed/acquired at low cost and operated efficiently
JSWE has set up projects at low cost. First 260MW capacity was set up in FY2001 at
INR43m/MW, while the brown field expansion of 600MW came at much lower
capex of INR33m/MW in FY10. Next capacity expansion of 1200MW at green field
site of Ratnagiri came at INR46m/MW in FY12. Finally, 1080MW Raj West green field
site came at specific capex of INR66m/MW. The specific capex has been slightly
higher at Raj West to accommodate the CFBC boiler in order to use lignite from
captive mines. Even the recent acquisition of the hydro asset has been at attractive
valuation of INR70m/MW in FY16. JSWE has been able to grow its business both
organically and inorganically and at attractive project cost.
July 2016
87

Utilities | At the peak of over capacity
Exhibit 139: Efficient capital allocation and project execution
Source: Company
Exhibit 140: Efficiently run operating assets
Source: Company
July 2016
88

Utilities | At the peak of over capacity
Strong return ratios and free cash flow generation
This has helped in reporting
attractive return ratios and
generating healthy free
cash flows.
Exhibit 141: Return on equity
RoE (%)
22
24
16
6
18
18
20
16
13
13
13
10
FY09
FY10
FY11
FY12
FY13
FY14
FY15
FY16
FY17E FY18E FY19E FY20E
Source: MOSL
Exhibit 142: Capex has tapered
39
Capex (INR b)
36
27
19
10
5
FY14
7
1
FY15
FY16
Exhibit 143: Free cash flow generation is growing
FCF post interest and capex (INR b)
32
7
-22
-5
-1
16
21
22
23
21
-35
-30
FY09
FY10
FY11
FY12
FY13
Source: Company, MOSL
Source: Company, MOSL
Financial leverage is declining sharply with strong free cash flows. Both debt-to-
equity and debt-to-EBITDA ratios are likely to decline sharply, despite the INR92b
acquisition in FY16.
Exhibit 144: Financial leverage
7.8
5.3
5.8
3.9
3.2
4.1
2.4
1.2
FY15
2.0
FY16
3.3
2.9
1.2
FY18E
Net Debt/Equity
Net Debt/EBITDA
2.4
0.9
FY19E
2.3
0.7
FY20E
1.3
FY10
1.6
FY11
2.0
FY12
1.8
FY13
1.6
FY14
1.5
FY17E
Source: MOSL
JSWE turned FCF positive in FY14 as it was able to spot stress in the sector early and
pull out of organic growth at the right time. Thereafter, FCF has been growing
despite pressure in the merchant market. This has helped JSWE in making attractive
acquisitions and allocating capital efficiently. Acquisition of hydro assets has fueled
July 2016
89

Utilities | At the peak of over capacity
growth in both FY16 and FY17. At the peak of overcapacity, organic growth still does
not make sense, although there are multiple brown field growth options at the
existing sites. Since government policies are turning favorable for hydro projects,
JSWE has started working on the 240MW Kutehar project at capex of INR29b.
Exhibit 145: Inorganic growth and potential
92
1300MW Hydro acquired (INR b)
79
56
58
53
M&A Potential at D/E of 1.5x (INR b)
FY16
FY17E
FY18E
FY19E
FY20E
Source: MOSL
JSWE has the potential to acquire assets worth INR60-67b, i.e. approximately 1GW
each year if it leverages FCF at a D/E ratio of 1.5x. Re-investment is necessary to
prevent the RoE from declining.
JSWE stands out in the private sector
What stands out unique for JSWE is that it is one of the few companies in the Indian
power sector (except for public sector companies) that is generating strong stream
of cash flows. For many groups, investment in power is non-core.
Exhibit 146: Least financial leverage in the sector
Net Debt / EBITDA - x
10.1
7.4
3.5
3.8
4.3
5.5
7.9
10.6
44
27
20
20
20
8
0
-4
-6
Exhibit 147: FCF generation among the top in the sector
FCF (post-interest)
Interest
assumed @ 11%
CESC
JSW
Tata Rpower KSK
Adani
JP
Rattan
Source: Company, MOSL
Source: Company, MOSL
Acquisition opportunities plenty, but patience needed
With 28GW of stranded capacities and under recoveries in many large-size projects,
the sector is under financial stress. Most developers are optimistic that demand
growth will accelerate following the balance sheet restructuring of DISCOMs under
UDAY, which will prompt states to invite bids for PPAs. However, the wait is only
getting longer.
According to our calculations, DISCOMs have signed more than sufficient PPAs to
cover their demand growth requirements over the next 4-5 years. Therefore, we
July 2016
90

Utilities | At the peak of over capacity
believe there will be paucity of PPAs for at least the next 2-3 years. This will increase
financial stress on the balance sheets of many companies and force them to sell
assets. Therefore, we believe a patient player like JSWE stands to benefit from its
strong negotiating power.
JSWE is already in negotiation for multiple assets and has signed MoUs for three of
them (i.e. 500MW Bina plant from JPVL, 1050MW thermal power plant from
Monnet, and 1000MW power plant from Jindal Power). These negotiations are
getting dragged due to the lack of agreement on valuations. We believe patience is
needed to get the right valuation.
JP’s 500MW Bina Power Plant
JSWE is reportedly in talks with JPVL for the acquisition of its 500MW Bina Power
Plant in Madhya Pradesh. The plant has signed long-term PPA for 350MW with the
state of Madhya Pradesh – 325MW is supplied under regulated return as per MP
tariff norms and the remaining 25MW is at variable cost (5% of the plant capacity of
500MW). The remaining capacity of 150MW is without any PPA.
Our view
The long-term PPA (for 325MW) earns normative pre-tax equity return of
INR1,327m p.a (for 65% capacity). The last approved variable cost was INR2.7/kWh.
While 325MW PPA is a strong point of this asset, open capacity of 150MW in the
most oversupplied western region is a negative.
JSPL’s 1,000MW Tamnar power plant
JSWE has entered into an agreement with Jindal Steel and Power (JSPL) to acquire
the 1,000MW power plant in Tamnar. The deal is structured such that if the plant is
able to secure a PPA and coal linkage before May 2018, the transaction value will be
INR65b. Otherwise, the asset will be valued at INR40b. JSPL will have to complete
regulatory formalities by May 2018 for the deal to go through.
Our view
JSWE is seeking minimum RoE of ~15% under the PPA. Assuming a 15% regulated
equity return for the remaining theoretical asset life of ~15 years, discounted at cost
of equity of 12% (pre-tax WACC of 11.9%), the value of the asset is ~INR 68b, close
to what JSWE has agreed to pay.
If there is no PPA by May 2018, the transaction value is INR40b. Although merchant
power rates will remain subdued for the next 3-4 years due to overcapacity, we
believe market volumes will thrive. Since this asset is located close to coal mines in
Chhattisgarh, it will still be able to generate EBITDA of INR0.4-0.6/kwh and sell
power generated. This implies annual operating cash flows of INR3-5b. We believe
that capacities without PPAs will demand better valuation after 3-4 years as the
market starts to balance.
July 2016
91

Utilities | At the peak of over capacity
Monnet’s 1,050mw Odisha power plant
The power plant is located in the coal-belt area of Angul, Odisha. The plant is further
at least two years into completion. Capital spent (as per CEC report) was INR53b as
of December 2014, post which limited activities have happened. The project has
PPAs with West Bengal for 400MW and Odisha for 269MW. Remaining 200MW PPA
is with PTC and 181MW capacity is open/untied. The deal is currently undergoing
due-diligence process.
Our view
We believe the major bottleneck in the deal finalization is its value. Both equity and
debt provides would have to likely take a cut in light of escalation in project cost due
to delays.
July 2016
92

Utilities | At the peak of over capacity
Reinstating coverage with BUY and TP of INR98
Strong FCF, double-digit RoE, lowest leverage at peak of overcapacity
SOTP of EV is INR279b, which will decline gradually if FCF is not reinvested. Since net
debt is declining at a faster rate, equity value will continue increasing. We value JSWE
at INR98/share based on FY18E SOTP.
Strong free cash flows and lowest financial leverage amid financially stressed
competition provide strong negotiating power to JSWE for inorganic growth at the
peak of overcapacity.
JSWE has been able to consistently generate double-digit RoEs due to low cost of
projects. We reinstate coverage with a BUY rating.
JSWE has a well-diversified set of power assets spread across three high-demand
regions. Two-thirds of capacity is secured through PPAs, while the remaining is
competitive in the merchant market. Only 10% of capacity is vulnerable due to its
exposure to the oversupplied western region.
Nearly two-thirds of capacity is committed through long-term PPAs, which
provides sufficient cash flows to meet interest and debt repayment obligations.
DCF value of cash flows (FY19E onwards) is INR171b. This value decreases
gradually with time due to the reducing average life of PPAs.
Merchant capacity of Karcham Wangtoo is very valuable because of low
operating cost and a high likelihood of securing PPAs. The Ministry of Power has
recently come out with a favorable policy for hydro projects. New hydro
projects are 50-60% more expensive than the project cost of Karcham Wangtoo.
We are valuing Ratnagiri’s 427MW open capacity at INR50m/MW. Although this
capacity is currently vulnerable, it will be more valuable after 3-4 years as the
market balances, in our view. This project has an advantage of being near the
port and water surplus region.
Exhibit 148: JSW Energy: SOTP-based valuation
NPV of PPAs
Merchant capacity
Vijaynagar
Ratnagiri
Karcham Wangtoo
JSW Power Trading
Jaigarh Power Transco
Barmer Mining
JSW Steel
Total value
Less: Net Debt
Equity Value
No. of shares (m)
Value per share (INR/sh)
MW INR/MW
2,777
64
860
427
180
60
50
75
FY17E
177,291
51,600
21,350
13,495
700
5,919
94
10,156
280,604
140,061
140,543
1,640
86
FY18E
171,615
51,600
23,485
13,201
700
5,919
94
13,307
279,922
119,997
159,925
1,640
98
FY19E
166,054
51,600
24,424
12,917
700
5,919
94
14,638
276,347
98,891
177,455
1,640
108
FY20E
160,538
51,600
25,401
12,641
700
5,919
94
16,102
272,996
79,942
193,053
1,640
118
FY21E
155,068
51,600
26,417
12,375
700
5,919
94
17,712
269,885
61,872
208,013
1,640
127
INR million
Remarks
DCF, 12% RoE, debt:equity 75:25
will be more valuable in 3-4years
1x invested equity
6x FY15 EV/EBITDA
1x FY15 net worth
Current market price
Source: MOSL, Company, MOSL
July 2016
93

Utilities | At the peak of over capacity
SOTP of EV is INR279b, which will decline gradually if FCF is not reinvested. Since
net debt is declining at a faster rate, equity value will continue increasing. We
value JSWE at INR98/share based on FY18E SOTP.
Strong free cash flows and lowest financial leverage amid financially stressed
competition provide strong negotiating power to JSWE for inorganic growth at
the peak of overcapacity. JSWE has been able to consistently generate double-
digit RoEs due to strong operating cash flows and low cost of projects. We
reinstate coverage with a BUY rating.
Equity value is increasing,
despite falling EV, due to a
faster decline in net debt.
Exhibit 149: Equity Value and Net Debt (INR b)
281
140
Equity value
280
120
Net Debt
276
99
273
80
141
FY17E
160
177
193
FY18E
FY19E
FY20E
Source: MOSL
July 2016
94

Utilities | At the peak of over capacity
Operating assets
…and organic growth opportunities
Exhibit 150: Diversified set of power assets
Source: Company
Exhibit 151: Organic growth opportunity
Source: Company
July 2016
95

Utilities | At the peak of over capacity
Story in Charts
Exhibit 152: Contracted capacity drives ~60% of EBITDA;
steady and predictable
JSWE group EBITDA
Other-than contracted capacity EBITDA
41
17
24
FY16
42
18
42
17
25
FY18E
41
17
25
FY19E
35
11
24
FY20E
Source: MOSL, Company
Exhibit 153: JSWE has reduced its exposure to merchant
power market
Merchant vols. share %
64
53
51
44
46
39
37
37
37
25
FY17E
Source: MOSL, Company
Exhibit 154: Karnataka’s electricity supply position critically
balanced; JSWE well-placed to secure KA’s 3 year PPA
Deficit/(surplus)
in b kWh
AP
Telangana
6.2
2.6
KA
7.5
9.2
5.4
Exhibit 155: One of the healthiest returns in the private
generation sector; low cost capacity a key advantage
RoCE post-tax (%)
13.9
12.8
11.4
11.2
11.1
12.8
11.0
9.7
12.5
11.0
11.3
11.3
10.4
ROIC post-tax (%)
4.3
-5.3
-6.9
FY16
-5.0
-3.4
-2.1
-4.6
FY18
FY19
10.2
FY17
Source: MOSL, Company
Source: MOSL, Company
Exhibit 156: Growing and healthy FCF generation provides
firepower for acquisition
FCF (pre-interest) - INR b
48
27
18
1
7
35
37
36
32
Exhibit 157: One of the most comfortable balance sheets in
the Indian power sector
Net debt/equity (x)
2.50
2.00
1.50
1.00
0.50
0.00
3.2
1.56
3.3
2.4
1.50
0.88
Net debt/EBITDA (x) - rhs
5.0
4.0
3.0
2.0
1.0
0.0
Source: MOSL, Company
Source: MOSL, Company
July 2016
96

Utilities | At the peak of over capacity
Financials and Valuations
Income Statement
Y/E Mar
Net Sales
Change (%)
EBITDA
EBITDA Margin (%)
Depreciation
EBIT
Interest
Other Income
Extraordinary items
PBT
Tax
Tax Rate (%)
Min. Int. & Assoc. Share
Reported PAT
Adjusted PAT
Change (%)
2011
43,021
82.7
15,718
36.5
2,668
13,050
4,325
1,255
0
9,979
1,562
15.6
-1
8,418
8,418
12.9
2012
61,188
42.2
14,478
23.7
5,033
9,444
7,172
1,466
-1,613
2,125
419
19.7
6
1,701
1,701
-79.8
2013
89,343
46.0
27,932
31.3
6,615
21,317
9,628
2,134
-1,966
11,857
2,733
23.1
-29
9,037
9,037
431.4
2014
87,054
-2.6
32,514
37.3
8,100
24,415
12,059
2,022
-3,777
10,600
2,836
26.8
51
7,547
7,547
-16.5
2015
93,802
7.8
36,234
38.6
7,898
28,337
11,375
2,301
-342
18,921
5,150
27.2
86
13,495
13,495
78.8
2016
99,689
6.3
41,446
41.6
9,502
31,944
15,032
2,100
1,500
20,513
6,051
29.5
133
13,955
13,955
3.4
2017E
101,015
1.3
42,483
42.1
10,616
31,867
16,745
960
0
16,082
4,342
27.0
86
11,465
11,465
-17.8
(INR Million)
2018E
101,677
0.7
42,041
41.3
10,656
31,385
14,695
1,609
0
18,299
4,941
27.0
86
13,083
13,083
14.1
Balance Sheet
Y/E Mar
Share Capital
Reserves
Net Worth
Debt
Deferred Tax
Total Capital Employed
Gross Fixed Assets
Less: Acc Depreciation
Net Fixed Assets
Capital WIP
Investments
Current Assets
Inventory
Debtors
Cash & Bank
Loans & Adv, Others
Curr Liabs & Provns
Curr. Liabilities
Provisions
Net Current Assets
Total Assets
2011
16,401
40,364
56,765
103,785
1,562
162,835
73,982
9,767
64,214
70,518
2,389
38,756
5,348
7,645
12,231
13,533
13,213
10,917
2,296
25,543
162,835
2012
16,401
40,600
57,001
121,112
1,292
179,904
124,268
14,818
109,450
36,702
2,871
43,671
7,658
10,640
8,786
16,587
13,084
11,336
1,748
30,588
179,904
2013
16,401
45,637
62,038
120,726
1,524
184,740
160,288
21,335
138,953
9,772
2,714
52,062
4,415
18,487
10,825
18,334
19,041
14,837
4,204
33,021
184,740
2014
16,401
49,311
65,712
114,643
1,933
182,791
166,247
30,006
136,241
6,146
2,535
47,416
4,158
11,976
12,016
19,266
9,653
5,449
4,204
37,763
182,791
2015
16,401
58,780
75,180
105,127
2,930
183,784
169,858
38,047
131,810
4,536
2,327
55,430
5,483
11,723
17,376
20,849
10,416
6,062
4,353
45,014
183,784
2016
16,401
68,958
85,358
173,365
4,383
263,657
262,307
47,304
215,003
7,265
1,932
56,344
6,494
28,381
4,701
16,767
17,717
13,322
4,394
38,627
263,657
2017E
16,401
76,676
93,077
153,365
5,348
252,426
263,307
57,920
205,387
7,265
1,932
52,765
6,089
16,605
13,304
16,767
15,752
11,358
4,394
37,012
252,426
(INR Million)
2018E
16,401
86,013
102,413
133,365
6,446
242,946
264,307
68,576
195,731
7,265
1,932
52,977
6,128
16,714
13,367
16,767
15,789
11,394
4,394
37,188
242,946
July 2016
97

Utilities | At the peak of over capacity
Financials and Valuations
Ratios
Y/E Mar
Basic (INR)
EPS
Cash EPS
Book Value
DPS
Payout (incl. Div. Tax.)
Valuation(x)
P/E
Cash P/E
Price / Book Value
EV/EBITDA
Dividend Yield (%)
Profitability Ratios (%)
RoE
RoCE
Turnover Ratios (%)
Asset Turnover (x)
Debtors (No. of Days)
Inventory (No. of Days)
Leverage Ratios (%)
Net Debt/Equity (x)
2011
5.1
6.8
34.6
1.0
19.5
14.0
10.6
2.1
13.3
1.4
16.1
8.7
2012
2.0
5.1
34.8
0.5
24.8
30.3
12.0
1.8
14.7
0.8
5.8
6.1
2013
6.7
10.7
37.8
2.0
29.8
8.2
5.1
1.4
7.1
3.7
18.5
11.4
2014
6.9
11.8
40.1
2.0
29.0
8.6
5.0
1.5
6.1
3.4
17.7
12.8
2015
8.4
13.3
45.8
2.0
23.7
14.1
9.0
2.6
7.8
1.7
19.6
13.9
2016
7.6
13.4
52.0
2.0
26.3
9.2
5.2
1.3
6.8
2.9
15.5
12.5
2017E
7.0
13.5
56.8
2.0
28.6
12.1
6.3
1.5
6.6
2.4
12.9
11.0
2018E
8.0
14.5
62.4
2.0
25.1
10.6
5.8
1.3
6.1
2.4
13.4
11.3
0.3
64.9
45.4
1.6
0.3
63.5
45.7
2.0
0.5
75.5
18.0
1.8
0.5
50.2
17.4
1.5
0.5
45.6
21.3
1.2
0.4
103.9
23.8
2.0
0.4
60.0
22.0
1.5
0.4
60.0
22.0
1.2
Cash Flow Statement
Y/E Mar
Adjusted EBITDA
Non cash opr. exp (inc)
(Inc)/Dec in Wkg. Cap.
Tax Paid
Other operating activities
CF from Op. Activity
(Inc)/Dec in FA & CWIP
Free cash flows
(Pur)/Sale of Invt
Others
CF from Inv. Activity
Inc/(Dec) in Net Worth
Inc / (Dec) in Debt
Interest Paid
Divd Paid (incl Tax) & Others
CF from Fin. Activity
Inc/(Dec) in Cash
Add: Opening Balance
Closing Balance
2011
15,718
637
-4,467
-2,995
0
8,892
-27,341
-18,449
0
621
-26,720
0
17,591
-4,071
-1,802
11,718
-6,110
18,341
12,231
2012
14,478
312
6,323
-826
0
20,287
-18,833
1,454
0
632
-18,200
0
3,571
-7,196
-1,906
-5,532
-3,445
12,231
8,786
2013
27,932
-1,185
-6,874
-2,627
0
17,246
-9,783
7,464
0
1,420
-8,363
0
3,819
-9,710
-953
-6,844
2,040
8,786
10,825
2014
32,514
-2,341
-4,894
-2,588
0
22,691
-4,940
17,751
0
2,030
-2,910
0
-2,701
-12,052
-3,838
-18,591
1,191
10,825
12,016
2015
36,234
861
1,322
-4,489
0
33,929
-6,772
27,156
0
1,475
-5,297
0
-8,124
-11,328
-3,820
-23,272
5,359
12,016
17,376
2016
41,446
2,080
-4,855
-2,998
0
35,673
-693
34,981
0
-31,674
-32,366
0
3,003
-15,036
-3,948
-15,982
-12,675
17,376
4,701
2017E
42,483
0
10,217
-3,377
0
49,323
-1,000
48,323
0
960
-40
0
-20,000
-16,745
-3,936
-40,681
8,603
4,701
13,304
(INR Million)
2018E
42,041
0
-112
-3,843
0
38,086
-1,000
37,086
0
1,609
609
0
-20,000
-14,695
-3,936
-38,631
64
13,304
13,367
July 2016
98