India Strategy |
| October
please !
Update
Get on track
2016
Telecom
Battle Royale
Aliasgar Shakir
(Aliasgar.shakir@MotilalOswal.com); +91 22 6129 1565
Jay Gandhi
(Jay.Gandhi@MotilalOswal.com); +91 22 6129 1546
Investors are advised to refer through important disclosures made at the last page of the Research Report.
Motilal Oswal research is available on www.motilaloswal.com/Institutional-Equities, Bloomberg, Thomson Reuters, Factset and S&P Capital.

Telecom | Battle Royale
Contents: Battle Royale
Summary
........................................................................................................
3
Infographics
....................................................................................................
6
Global Comparison
.........................................................................................
9
RJio launches its much-awaited telecom services
......................................
11
Industry Landscape
..................................................................................
15-32
Telecom industry has not made money for last 9-10 years! Can this be reversed? .......15
Hints of FY03-08 Renaissance? Data could drive long-term asset monetization phase .17
India’s technology advancement gap shortens, extending investment period ..............19
Gross industry revenue to be driven by data business ...................................................20
Voice market to be on a downward spiral ......................................................................21
Data business – the flag bearer .......................................................................................24
The IUC could see a sharp revision - a major risk for top 3 telcos ..................................31
RJio - Throwing rationality to the wind
..................................................
33-42
High capacity but weak coverage ....................................................................................33
Three-pronged product offerings....................................................................................33
Positive and negatives of test outcomes.........................................................................34
Unlimited voice plan - Has RJio underestimated the cost overrun related to IUC? ........36
Data-focused revenue model dismantles traditional voice-led business models ...........36
Expect EBITDA breakeven by FY20; estimate DCF value of ~INR5/share ........................38
Spectrum Footprint
.................................................................................
43-50
RJio/Bharti dominate LTE spectrum holdings too ...........................................................43
An INR368b spectrum hole to be filled ...........................................................................44
Ecosystem development progressing well
..................................................
51
1800Mhz, 800Mhz and 2100Mhz most compatible for LTE upgrades............................51
India’s smartphone penetration low but growing fast ...................................................52
Data coverage needs to grow v/s other markets ............................................................58
Barriers to internet usage in India...................................................................................61
5mbps good enough for major data needs .....................................................................62
Company Section
.....................................................................................
65-88
Bharti Airtel .....................................................................................................................66
Idea Cellular ....................................................................................................................74
Bharti Infratel ..................................................................................................................81
October 2016
2

Telecom | Battle Royale
Telecom
Battle Royale
Data revenue pool to expand significantly
Indian telecom sector is set for a Battle Royale. In the last two decades, this
will be the third phase of competition and perhaps the fiercest one. In early
2000s, value migration from fixed to wireless services was a game-changing
event as voice revenues exploded despite intense competition. In FY07-08, the
incumbents were challenged by weak players, but it led to a disruption in
pricing, in turn impacting the return ratios significantly. Now, Reliance Jio’s
wireless services launch has set the stage for the third phase of the battle.
We expect this to be highly disruptive in the near term. It may be a battle of
survival, especially for uncompetitive marginal operators, as pricing strategies
and increased competitive intensity will enforce consolidation. The current
dynamic operating/regulatory environment and high investments – a scenario
similar to 2002 – would ultimately lead to select players surviving and owning
a pie of the expanded revenue pool in the longer term.
Over the next five years (FY17-22E), we expect revenue pool expansion, with
industry data growth of 32% more than offsetting voice revenue decline of 4%.
Over this period, we see RJio’s market share reaching 17%, with about 440bp
of that taken from the top three telcos and the rest from marginal operators.
Voice v/s data:
RJio’s wireless mobile services launch with free voice offering is
likely to lead to a major shift in the telecom market dynamics. Among RJio’s
announced plans/offering, we are surprised by the simplified unlimited voice
price plan with ARPU of INR149/28 days. In our view, this could potentially
change the course of the industry over the coming months. Although industry
voice ARPU of INR124/month (which contributes 75% of telecom sector
revenues) is below RJio’s INR149/month plan, it will be challenging for existing
operators to retain their mid-higher ARPU voice subscribers, who would find it
beneficial to go with RJio’s fixed monthly plan with free voice services.
Who wins, who loses:
Over next two years, we expect intense competition as
telcos battle to protect their market shares. We expect RJio’s ‘nothing to lose’
attitude to continue disrupting the market over next 6-8 quarters. As RJio’s
capacity utilization reaches 60% and market share increases to ~10%,
incremental investment will drive rationality in the market. We see RJio’s
market share reaching 9% by FY19E, with over 70% of that taken from marginal
players and the rest from the top three operators. As operators try to protect
their market shares, the voice/data price disruption should lead to 2% industry
revenue de-growth in FY17E (for the first time in over a decade) and low 4%
growth in FY18E, before growth rebounds to 9% in FY19E.
Market share:
RJio’s abundant network capacity and perishable product will
keep its pricing irrational over next 6-8 quarters. We expect RJio to attract 84m
subscribers (7% subscriber market share) by FY19E, and its high ARPU of
~INR250 to help it garner revenues of INR217b (10.1% revenue market share).
Profitability:
Given its high operating costs, we expect EBITDA to breakeven in
FY20E and generate 7.5% project IRR over the license period until FY30E. RJio’s
3
Structural change in telecom industry dynamics
Battle of survival
Telecom
RJio – EBITDA breakeven in FY20; Estimate DCF value of ~INR5/share
Al i asgar.shakir@MotilalOswal.com
+91 22 2261291565
Please click here for video
link
October 2016

Telecom | Battle Royale
stretched capital employed of INR1,500b compared to Bharti’s INR1,200b and
Idea’s INR700b would keep the return ratios under pressure. Under our DCF
model, we derive an equity value of INR5/share.
Battle of capacity and capital
The Indian telecom industry has become a battlefield for capturing market
shares with capacity and capital. We believe RJio’s high ARPU price plans should
improve overall industry ARPU. However, it will be a challenge for existing
operators to accommodate the heavy traffic even if they match RJio’s high-value
price plans. RJio’s heavy investment in spectrum/network and vacant cell sites
makes it challenging for existing operators to contest in a highly capital-
intensive industry. In our view, Bharti is the only other operator that can match
RJio’s capacity (spectrum and cell sites). Marginal operators, as well as Idea and
Vodafone remain the most vulnerable (in that order) to market share loss, given
their weak spectrum portfolio and network footprint.
Our view: Near-term freebies to impact telecom earnings; Bharti looks
promising over longer term
RJio’s free welcome offer should dilute voice and data traffic. Post the welcome
offer, RJio’s ARPU-centric price plan introduces an element of uncertainty to our
traditional price and volume driven model, and may weigh on Bharti and Idea’s
stock price. Following 6-8 quarters of disruption, the need for incremental
investment will drive rationality in the market. RJio’s high ARPU price plans
remain long-term positive for the industry. We continue believing that Bharti
should benefit over the long term from its network preparedness and strong
competitive positioning. Vodafone’s 4G execution capability in many European
countries and over USD7b recent equity investment should help it manage
competitive pressure. We believe Idea remains vulnerable given its weak
competitive footing.
Cut in estimates:
We cut Bharti’s consolidated revenue and EBITDA estimates
for FY17-19 by 6-9% and 7-12%, respectively. Similarly, Idea’s revenue and
EBITDA estimates for FY17-19 are lowered by 6-9% and 17-23%, respectively.
This is led by expectation of voice/data traffic dilution to RJio (which should
benefit from the second SIM phenomenon), even as telcos arrest the traffic shift
by lowering prices. We must admit that our estimates remain extremely fluid
and fragile, given the likely multiple rejig in strategy and offerings hereon.
Bharti – maintain Buy with TP of INR 410; Idea – maintain Sell with revised TP
of INR75:
We believe Bharti stands to benefit following the 6-8 quarters of
uncertain market scenario. We maintain our target price for Bharti at INR410
and retain Buy. On the other hand, Idea’s no. 3 position remains vulnerable due
to its weak competitive footing and stretched balance sheet. We have lowered
Idea’s TP to INR75, maintaining our Sell rating.
Bharti Infratel – key beneficiary in current scenario; Buy with revised TP of INR
435:
We expect the exits of marginal operators and the end of the ongoing
spectrum auction to improve market conditions and drive long-term sustainable
tenancy growth as serious operators will continue to expand. Concerns about
tenancy renewals should also be addressed over next six months. We expect
tenancy-led revenue CAGR FY16-19E of 8%. EBITDA should grow at 9% CAGR
over FY16-19E with tenancy driving 60bp margin improvement. We maintain our
Buy rating on Bharti Infratel on SOTP basis with a revised TP of INR435. Our DCF-
based valuation implies 11.5 EV/EBITDA on FY19E.
4
October 2016

Telecom | Battle Royale
India’s technology advancement gap shortens, extending investment period
Technology advancement gap between 2G and 3G
was 8-10 years, giving telecom companies
sufficient time to monetize their 2G investments.
India’s technology gap v/s developed nations reduces
Developed
Nations
90
91
…….
95
96
97
98
99
00
2G
1991-92
Time-Gap:
8- 10 years
1999-2002
2000
01
…….
06
07
08
09
10
11
12
3G
2002-04
Time-Gap:
8- 10 years
2011-12
2010
11
12
13
14
15
16
4G
2010-12
Time-Gap:
3 - 5 years
2014-16
India’s time gap for technology upgradation v/s developed nations reduced from 8-10 years (2G-3G)
to 3-5 years (4G). This has left little time to monetize 3G investments, thereby hurting return ratios.
October 2016
5

Telecom | Battle Royale
India’s top 3 telcos’ market cap changed by -9% in last 10 years
New
operators
launch telco
operations in
FY08-09
4G rollout
- 2014-16
3,200
2,400
1,600
800
0
3G rollout
Spectrum
Renewal
None of the telcos have created value for investors
Bharti Airtel
300.0
225.0
150.0
75.0
0.0
Spectrum
Renewal
New operators
launch telco
operations in
FY 08-09
Idea Cellular
Rel. Comm.
4G rollout:
2014-16
Idea:
Stretched
Balance Sheet/
Weak
Competitive
rooting
Bharti’s Africa
Acquisition
3G rollout
Bharti – reaped healthy gains during 2002-08; 2008-16 remained a drag
MARKET DARLING
1750
1400
1050
700
350
0
FY02
FY03
FY04
FY05
FY06
FY07
FY08
FY09
FY10
FY11
FY12
FY13
FY14
FY15
FY16
…….
MARKET PARIAH
RoCE (%)
RoE (%)
45.0
30.0
Market Cap (NR b)
-2G rollout
-RCOM Launch
New operators
launch telco 3G
operations in rollout
Africa
2008-09
Acquisition
4G rollout: 2014-16
Spectrum
renewals
15.0
0.0
-15.0
October 2016
6

Telecom | Battle Royale
Telecom industry snapshot: 2017 resembles 2002 period
2001-02
Voice
Network Coverage
New Operator
Launch
Pricing
Subscriber
penetration
Traffic growth
Usage/sub
Profit and ROCE
Five years
post 2002
2016-17
Data
Next five years…
(RCOM)
(RJIO)
2017 resembles 2002
– Can new operator
and price decline
trigger data traffic
led growth and
profitability?
RJio launches its much-awaited telecom services
Disruptive
conditions in the
near term, but
expect RJio to
expand market in
the long term
Bharti and RJio hold majority of current spectrum share
Avg. spectrum/circle (Mhz)
21%
20%
34.4
33.6
8%
7%
13.3
12.3
Bharti
Vodafone
Idea
Reliance Jio
Bharti
Vodafone
Idea
Reliance Jio
October 2016
7

Telecom | Battle Royale
RJio’s profitability – scenario analysis
FY19- 3 years from launch (INR b)
Subs
mkt sh.
7%
4%
9%
Data
revenues
216,670
104,109
385,661
Voice
Revenue
-
-
-
EBITDA
-29,100
-51,717
59,159
EBITDA
Margin
-13%
-50%
15%
Break
Even
4th year - FY20
6th year - FY22
2nd year - FY19
IRRs
7.5%
3%
16%
NPV/share
@ 11%
-160
-336
370
Base
Bear
Bull
Majority of RJio’s gross RMS coming from marginal players (%)
6.5
4.4
2.0
2.0
FY17 RJIO Gross
RMS
-0.3
Bharti
2.8
Vodafone
Idea
RCOM+MTS+Aircel
Others
17.3
FY22 RJIO Gross
RMS
October 2016
8

Telecom | Battle Royale
Telecom: Global Telecom Peer comparison
Company Name
China
China Mobile
Malaysia
Axiata Group Bhd
DiGi.Com Bhd
Maxis Bhd
Thailand
Advanced Info Service
Total Access Communication
Indonesia
XL Axiata Tbk PT
Indosat Tbk PT
Telekomunikasi Indonesia Perse
Taiwan
Far EasTone Telecommunications
Taiwan Mobile Co Ltd
Philippines
Globe Telecom Inc
South Korea
LG Uplus Corp
SK Telecom Co Ltd
Singapore
M1 Ltd/Singapore
StarHub Ltd
Australia
Telstra Corp Ltd
Hong Kong
SmarTone Telecommunications
Japan
NTT DOCOMO Inc
India
Bharti Airtel Ltd
Idea Cellular Ltd
Reliance Communications Ltd
October 2016
MCap
USD m
Revenue (USD m)
EBITDA Margin (%)
PAT (M)
PE (x)
EV/EBIDTA (x)
RoE (%)
CY15 CY16E CY17E CY18E CY15 CY16E CY17E CY18E CY15 CY16E CY17E CY18E CY15 CY16E CY17E CY18E CY15 CY16E CY17E CY18E CY15 CY16E CY17E CY18
37.1
38
43.1
51.4
46
31.8
35.9
42.7
49.8
25.5
27.5
37.9
20.8
27.4
29.5
29.1
40.4
14.8
31.1
35.2
36.4
32.7
35.6 36.6 36.9 17,27 16,22017,918 19,77 13.8 15.5
38.2 38.9 38.5
42.8 42.8 42.7
50.5 49.9 49.5
657
443
447
486
411
457
563
417
454
902
99
14
12.7
4.4
4.8
4.5
4.2
12
11.3 11.9 12.2
252,031 106,36 107,22 111,82 117,42
11,482 5,117 5,129 5,483 5,942
9,493 1,779 1,685 1,730 1,754
11,189 2,213 2,084 2,107 2,157
13,464 4,540 4,435 4,583 4,747
2,053 2,552 2,468 2,489 2,480
2,070 1,710 1,762 1,904 2,027
2,332 2,001 2,225 2,439 2,597
30,268 7,660 8,768 9,797 10,682
7,514 3,186 3,063 3,132 3,227
11,978 3,803 3,759 3,901 4,053
5,571
2,637 2,767 2,954 3,180
631 21.7 23
20
18
9.2
8
7.3 6.9 11.5 8.5 9.7 10.6
415 24.3 23.3 23.1 23.1 14.4 13.6 13.2 13.1 285.8 302.7 298.9 303.5
457 29.4 24.8 24.6 24.7 13.5 12.5 12.5 12.5 39.1 42.1 40.8 41.6
919 11.5 15.2 14.8 14.6
131 12.1 22.1 20.5 15.8
7.1
3.9
7
4
6.4
8.9
3.8
4.8
4.3
7.3
8.1
3.6
4.4
3.9
6.6
7.7
3.5
4.1
3.7
6
82.3 65.7 66.2 62.6
19.7 11.7 12.5 15.7
-0.2 2.9 5.8 7.7
-10 7.1 12.1 16.8
21.7 22.8 23.3 24
40.1 42.4 43.2 1,145 891
31 32.4 33.8 172
94
38.7 39.4 39.7 -2
30
89
128
0 62.6 21.5 14.2
43.2 43.2 42.9 -98
71
148 204
0
30 15.5 10.4
50.9 50.6 51.1 1,158 1,436 1,653 1,868 19.7 20.7 17.9 16
27.6 29 29.4
28.6 28.7 28.5
39
38.9 38.5
376
514
363
372
492
348
393
516
370
412 19.2 20.2 19.1 18.2 9.9 9.7
9
8.6 15.9 16.3 17.4 18.1
537 17.4 19.4 18.6 17.9 10.3 12.5 12.1 11.7 26.2 25.6 26.2 27.3
411 15.4 16.2 15.3 14.1
6.8
3.9
4.3
8.5
9.7
7.8
5.3
6.7
5.9
6
7.8
6.9
3.8
4.8
7.7
8.8
6.9
4.9
7
6.1
5
7.3
6.5
3.6
4.7
7.6
8.7
6.6
4.8
6.7
5.7
4.7
6.8
6.1
3.5
4.6
28.9 27.4 27.1 27.6
8.1
10.1
9.6
9.4
9.6
8.5
9.9
8.8
4,479 9,544 10,150 10,379 10,566
15,599 15,151 15,519 15,848 16,086
1,662
4,283
842
822
830
827
1,779 1,813 1,842 1,872
20.8 21.2 21.4 311 403 435 483 12.9 11.4 10.6 9.6
27
27
27 1,343 1,350 1,268 1,335 10.3 11.1 11.9 11.3
30.5 30.4 30.2
29.4 29.3 28.9
130
271
126
264
124
263
119 14.2 13.2 13.3 13.7
263 17.2 16.4 16.4 16.5
7.7 44.2 40.5 37.9 34.7
8.6 221.2 182.2 171.2 169
6.6
5
6.4
5.2
4.4
6.8
38.6 45.5
48
54
46,339 18,877 21,462 22,567 23,425
1,773
2,366 2,452 2,472 2,485
38.2 37.9 36.9 4,211 3,153 3,333 3,332 17.6 14.7 13.7 13.7
14.1 14.3 13.8
103
107
109
121 18.4 16.3
16
14.7
19.5 19.6 19.3 19.4
10.3 12.2 12.3 12.3
8.6
12.6
1.8
7.9
5.2
2
8.5
5.6
2.6
10.9
6
3.2
97,788 37,741 45,310 46,907 48,609
19,119 14,760 15,472 16,683 17,943
4,509 5,495 5,866 6,326 6,812
1,904 3,287 3,434 3,622 3,656
30.9 31.6 31.9 4,572 6,413 6,865 7,182 18.1 14.4 13.3 12.3
36 35.8 36.2
34.2 34 33.9
33 33.4 33.2
839
471
104
812
196
101
966 1,176 25.6 23.4 20 16.5
229 268 12.9 22.1 20.5 16.7
138 159 18.2 19.3 14.1 13.1
9

Telecom | Battle Royale
Exhibit 1: Telecom sector EV/EBDITA (x)
19.0
15.0
11.0
7.0
3.0
6.2
5.1
8.5
Telecom Sector EV/EBDITA (x)
16.5
LPA (x)
Exhibit 2: Telecom sector P/E (x)
60
45
30
15
0
11.3
25.8
20.2
Telecom Sector PE (x)
56.8
LPA (x)
Exhibit 3: Bharti Airtel EV/EBITDA (x)
EV/EBDITA (x)
28
22
16
10
4
8.8
5.6
5.8
Peak(x)
22.2
Avg(x)
Min(x)
Exhibit 4: Bharti Airtel P/E (x)
85
65
45
25
5
13.9
29.0
18.0
PE (x)
Peak(x)
Avg(x)
Min(x)
69.9
Exhibit 5: Idea Cellular EV/EBITDA (x)
EV/EBDITA(x)
20.0
16.0
12.0
8.0
4.0
16.9
8.4
5.7
Peak(x)
Avg(x)
Min(x)
Exhibit 6: Idea Cellular P/E (x)
PE (x)
70
55
40
6.4
25
10
15.0
29.4
39.4
Peak(x)
Avg(x)
Min(x)
61.1
Exhibit 7: Bharti Infratel EV/EBITDA (x)
EV/EBDITA (x)
19.0
15.0
11.0
7.0
3.0
9.0
4.6
8.7
15.3
Peak(x)
Avg(x)
Min(x)
Exhibit 8: Bharti Infratel P/E (x)
39
34
29
24
19
14
24.9
15.4
22.4
PE (x)
Peak(x)
Avg(x)
39.1
Min(x)
Source: Company, MOSL
Source: Company, MOSL
October 2016
10

Telecom | Battle Royale
RJio launches its much-awaited telecom services
RJio finally launched its wireless services on pan-India basis, nearly six years after
acquiring spectrum in May-10. While the commercial launch is scheduled after Dec-
16, Reliance announced free ‘Welcome Offer’ starting 5-Sept with its voice, data and
digital services. The company also disclosed information about plans/prices that it
would offer post the ‘Welcome Offer’ period.
Structural change in wireless space; battle of the big boys:
RJio’s big-bang launch
clearly indicates that it will not do business as an ordinary operator or play second
fiddle to any operator. RJio has changed the definition of aggressive pricing, with
free voice at INR149/28 days in a market that is 75% constituted by voice revenues.
This should dismantle voice customer segmentation above ARPU of INR149/28 days.
RJio’s price plans also indicate its belief and confidence in generating revenues from
the INR300b data industry, which is much lower than its capital investment of
INR1,500b. Overtime, RJio’s data offerings with minimum monthly outgo of over
INR400 will be ARPU-accretive for the industry. However, it will be a battle of
capacity and capital, with RJio’s free capacity and high data capability difficult to be
matched by other operators.
Mass-scale trial offering from 5-Sep; challenging four months for incumbents:
RJio’s ‘Welcome Offer’ starting 5-Sep till Dec-16 – wherein users will have access to
unlimited LTE data and national voice, video and messaging services free of cost – is
incomparable and unimaginable. We believe RJio’s welcome offer could shift
significant traffic away from incumbents (driven by the second SIM phenomenon or
JioFi). However, response to the commercial offerings post Dec-16 is the key
monitorable and could potentially alter the competitive dynamics in the telecom
industry.
Handset puzzle solved with low-ticket-size offering:
Out of the total smartphones
of about 300m, only 50-60m are LTE handsets which are used by less than 2% of the
active subscriber base. RJio’s LYF branded handsets will be available at prices
starting from INR2,999 and JioFi at INR1,999, which might still look attractive for
customers given the free services provided for four months under the welcome
offer. Post ‘Welcome Offer’, the VoLTE-led uptick could decelerate.
RJio’s INR149 plan – a game changer, could attract high-ARPU voice subscribers:
Nearly 75% of the telecom industry’s revenues are contributed by voice, with
average industry voice ARPU at INR124/month, which is below RJio’s 149/28 day
free voice plan. However, the INR149 price plan dismantles the ARPU-based
customer segmentation and seems attractive from the perspective of consumers
who incur more than INR149/28 days toward voice offerings. This, in our opinion,
could have a major impact on the voice business and force operators to rejig their
voice/data mix of offerings. The telecom industry will have to align to RJio’s data-
centric offering to recover revenue loss of voice business.
October 2016
11

Telecom | Battle Royale
Battle of capacity and capital; high-value data plans could be ARPU-accretive:
Post
the welcome offer, data price plans starting at ~INR400/28 days v/s Bharti/Idea’s
data ARPU at INR200/140 should be ARPU-accretive for the industry, with around
95-96% of subscribers comprising of prepaid users. However, RJio’s high-ARPU, high-
value price plan is a battle of capacity and capital. It will test existing operators’ data
capacity and will force high investments to accommodate incremental traffic
volumes. Telcos’ operating costs have limited link with incremental volumes. Thus,
an operator like Bharti having high capacity and capital could match RJio’s offering
over time, but the larger pack of operators having weak data network (including
Vodafone and Idea) would be unable to accommodate high data traffic.
RJio changes volume-pricing metrics to ARPU-sub metrics:
RJio’s current INR400-
499/28 days data plans could lead to a 30% decline for incumbents if we look
through the traditional lens of ARMBs. However, RJio’s INR400 plus ARPU price
plans could be volume accretive offsetting the price impact.
Free voice to cost INR54b annually for 100m subscriber base:
Assuming 400 MOU
(in line with Bharti) and 80% off-net calls for RJio’s 100m targeted subscribers, the
annual interconnect cost works out to be INR54b or ~INR50/sub/month cost. We
think this could be dealt in two ways. (1) The recent TRAI consultation paper to
eliminate IUC charge could lead to a hard-fought battle between telcos, and have a
decisive implication from RJio’s view. (2) With a cost of INR50/sub/month, RJio
could initially look at it as customer acquisition investment. Gradually, it can steer
up ARPUs to ~INR250 with on-net calls of ~50% to come closer to incumbents’ 10-
12% revenue.
Targeting 100m subscribers soon; we bake in 84m subscribers until FY19E,
reaching EBITDA breakeven by FY20E:
We expect RJio’s subscriber base to reach
84m by FY19E (84% of management’s 100m target with ARPU of INR251). With
these workings, it should be able to generate revenue of INR217b but remain loss
making at EBITDA level of INR29.8b. We expect RJio to breakeven in the third year
(FY20) at EBITDA level, with IRR of 7.5% and DCF-led equity value of INR5 at 11%
WACC and 2% terminal growth for FY17-30E.
Bharti, Vodafone’s price plans ~20-50% expensive v/s RJio
Free voice plan has changed pricing dynamics:
RJio’s free voice at INR149/28 days,
including 300MB of data, has targeted existing telcos’ largest revenue pool i.e. voice.
Average voice ARPU of INR140 and INR111 for Bharti and Vodafone, respectively, is
well below RJio’s price plan. However, its premium voice subscribers will now have a
good option at a fixed price plan.
Data plans until INR999 are at premium of 0-20%:
Eliminating voice consumption
and comparing RJio’s price plan purely on data subscription, Bharti and Vodafone’s
price plans are at about 20% premium at the peak. However, given RJio’s handset
requirements, other telcos could retain their subscribers with minor price plan
adjustments.
October 2016
12

Telecom | Battle Royale
Voice + data price plans until INR999 turn 11-50% expensive:
After adding average
voice ARPUs on price plans, Bharti/Vodafone’s offering turns out about 13%/11%
expensive for a high ARPU INR999 plan, ~30% for INR650 plan and 40-50% for
INR400-450 plans. Further, the low average of voice and data ARPU fails to explain
vulnerability of the INR400-500 voice consumer, who would be paying significantly
higher and may cut down the cost to zero with an unlimited voice offering
embedded in RJio’s data plans. This should hurt telcos and they may have to revise
their voice offering to arrest the churn and/or 2
nd
SIM-led traffic dilution.
RJio launches its much-awaited telecom services
Exhibit 9: Operator-wise tariff comparison
Reliance JIO
Monthly
Rental
149
499
999
1499
2499
3999
4999
Data Quota
(GB)
0.30
4
10
20
35
60
75
Price/GB
(INR)
497
125
100
75
71
67
67
Monthly
Rental
80
250
450
650
1000
2000
3999
4999
Airtel
Data Quota
(GB)
0.2
1
3
5
10
20
Revised offer to
be launched soon
Price/GB
(INR)
400
250
150
130
100
100
Monthly
Rental
100
250
450
650
999
1499
0
3999
4999
Vodafone
Data Quota
(GB)
0.3
1
3
5
10
15
0
40
60
Price/GB
(INR)
333
250
150
130
100
100
0
100
83
Source: Company, MOSL
October 2016
13

Telecom | Battle Royale
Exhibit 10: Bharti's tariff card @ 20-50% premium v/s RJio
Pack Type
4G/3G
4G/3G
4G/3G
4G/3G
4G/3G
MRP
(INR)
455
655
755
855
989
Data
Plan
3
5
6
7
10
RJIO
tariff
299
499
999
1499
2499
3999
4999
RJIO's
Data Plan
2
4
10
20
35
60
75
Equivalent
Bharti Plan
368
664
1129
2118
3602
6074
7558
Bharti's premium
/(discount) over
RJIO
23%
33%
13%
41%
44%
52%
51%
Source: MOSL, Company
Exhibit 11: Vodafone's tariff card @ 10-50% premium v/s RJio
Pack Type
4G/3G
4G/3G
4G/3G
4G/3G
4G/3G
MRP
(INR)
250
450
650
999
1499
3999
Data
Plan
1
3
5
10
15
40
RJIO
tariff
299
499
999
1499
2499
3999
4999
RJIO's
Data Plan
2
4
10
20
35
60
75
Equivalent
Vodafone's premium
Vodafone Plan /discount over RJIO
486
711
1110
2110
3610
6110
7609
63%
42%
11%
41%
44%
53%
52%
Source: MOSL, Company
Key announcements in AGM
India will be among top 10 post Jio launch in mobile internet accessibility v/s
155th rank now.
Jio currently covers 18,000 cities and 2 lakh villages, and will cover 90% of
India’s population by March 2017.
4G LTE devices now available starting INR 2,999. Jio has launched JioFi (personal
router) for INR1,999.
Jio customers will get complimentary (content) subscription worth INR15,000
for one year.
Jio will be launched through Aadhar-based sign-up. Customers can get
connection in 15 minutes.
Plans will begin from INR19/day. RIL will charge only for data usage and not
voice.
Customer should pay only for one service – voice or data. Jio customers will get
voice free.
Free data at night from 2-5am.
To offer million wifi hot spots to users across India.
25% more data to students.
VoLTE calls will not incur data charges from the price plans.
Free Jio service from 5-Sep to 31-Dec.
Capacity to take 1 million customers per day.
Fiber-to-home in select cities: speed-up to 1GB per second.
Target to reach 100m subscribers at the earliest (wants to create a world
record).
14
Tariff plans; Simplicity of plans to attract subscribers
Jio welcome offer
October 2016

Telecom | Battle Royale
Industry landscape
Investors in telecom have not made money for last 9-10 years! Can this be reversed?
After the golden period of 2002-08, the telecom industry has remained in
doldrums for the past 8-10 years. FY08-09 marked the entry of new telecom
operators, thereby increasing competitive intensity in the sector. 3G roll-out
gained steam in FY10-11, and the industry doled out an investment of over
INR1,000b. Bharti’s Africa operations acquisition in FY10-11 only increased
pressure on return ratios. FY12-15 marked the era of high regulatory
intervention, starting with license cancellation and highly priced spectrum
renewals, forcing the industry to cough up cumulative investment of over
INR1,200b in FY14-15 auctions. A slew of capital-intensive events and high-
competitive intensity in FY08-16 have reduced them to market pariahs.
RJio’s launch is further hurting the industry with irrational pricing. However, there are two key factors currently
in favor of the telecom industry in comparison to FY08-16. First, unlike the last eight years of high capex toward
spectrum renewals and fresh technology spectrum – 3G, large part of the investment phase has been concluded,
especially for the leader in the telecom industry i.e., Bharti. Going forward, incremental spectrum and network
investment should be largely demand-led, having limited impact on the balance sheet of a stronger player like
Bharti. On the contrary, marginal operators may consolidate, while Vodafone and Idea would have to accelerate
investment to catch up with Bharti and RJio, which will subsequently hurt their balance sheets.
Second, increase in competitive intensity with RJio launch has a stronger resemblance with the FY03 period
rather than FY08. Similar to data growth opportunity currently, in FY02, voice was at a nascent stage with huge
growth prospects. This is unlike the FY08 phase, when multiple new operators were competing in a relatively
matured voice market. We believe the next 1-2 years could be highly volatile, driven by operators’ quest for
market share. However, as RJio’s capacity stabilizes, the data opportunity could resemble voice’s high growth
phase of FY03-08.
October 2016
15

Telecom | Battle Royale
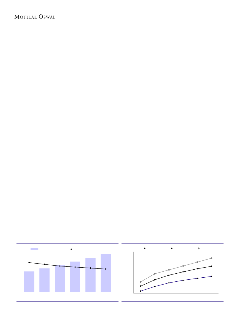
India’s top 3 telcos’ market cap changed by -9% in last 10 years
New
operators
launch telco
operations in
FY08-09
4G rollout
- 2012-15
3,200
2,400
1,600
800
0
3G rollout
Spectrum
Renewal
Change in market cap for top three telcos in India
Bharti Airtel
300.0
225.0
150.0
75.0
0.0
Spectrum
Renewal
New operators
launch telco
operations in
FY 08-09
Idea Cellular
Rel. Comm.
4G rollout:
2012-15
Bharti’s Africa
Acquisition
Idea:
Stretched
Balance Sheet/
Weak
Competitive
footing
3G rollout
Bharti - Reaped healthy gains during 2002-08; 2008-16 remained a drag
MARKET DARLING
1750
1400
1050
700
350
0
FY02
FY03
FY04
FY05
FY06
FY07
FY08
FY09
FY10
FY11
FY12
FY13
FY14
FY15
FY16
…….
MARKET PARIAH
RoCE (%)
RoE (%)
45.0
30.0
Market Cap (NR b)
-2G rollout
-RCOM Launch
New operators
launch telco 3G
operations in rollout
Africa
2008-09
Acquisition
4G rollout: 2012-15
Spectrum
renewals
15.0
0.0
-15.0
October 2016
16

Telecom | Battle Royale
Hints of FY03-08 Renaissance? Data could drive long-term asset
monetization phase
In the near term, RJio’s aggressive pricing is likely to create an unstable market
environment; however, we see strong growth opportunity over next five years.
Comparison of the current telecom industry situation with the 2002 period
reveals many similarities. The year 2002 was the initial phase for subscriber
penetration in the voice market, as against the current period where data is in
its initial phase. During 2002, the sector was burdened by heavy capex toward
network and license cost. Low voice traffic volume was further repressed by
concerns about the deep-pocketed new operator Reliance Communication’s
service launch.
Drawing resemblance from the 2002 period, the industry now has been heavily
burdened with high network and spectrum capex, low data subscriber base and
weak data traffic. Besides, it is fraught with the launch of Reliance Jio
Infocomm’s telecom services. In 2002, Reliance Communication’s launch
triggered a steep correction in voice pricing, which in turn led to elasticity
benefits driving steady subscriber penetration and traffic growth.
FY03-08 remained the best phase in the telecom market with improving return
ratios, supported healthy growth in market cap. Bharti clocked its near peak
market cap of INR1,568b in FY08.
With improving ecosystem – both smartphone and network, we believe the
launch of RJio could trigger industry data growth. Operators with healthy data
capacity should be able to benefit from data demand growth. We believe among
the current operators, Bharti is best placed to take advantage of steep data
growth with its wide data network and spectrum investments.
Post the knee-jerk reaction in the initial 2-4 quarters driven by RJio’s aggressive
launch, the industry should see data-led huge growth opportunity. As
incumbents follow suit, increase in data demand could drive healthy asset
monetization and RoCE improvements (in line with the previous period).
Telecom industry snapshot: 2017 resembles 2002 period
2001-02
Voice
Network Coverage
New Operator
Launch
Pricing
Subscriber
penetration
Traffic growth
Usage/sub
Profit and ROCE
Five years
Post 2002
2016-17
Data
Next five years…
(RCOM)
(RJIO)
2017 resembles 2002
– Can new operator
and price decline
trigger data traffic led
growth and
profitability?
October 2016
17

Telecom | Battle Royale
Exhibit 12: Bharti: Adj. PAT v/s capex
100
75
50
25
0
Adj. PAT
Capex
625
500
375
250
125
0
Exhibit 13: Idea: Adj. PAT v/s capex
40
30
20
10
0
-10
Adj. PAT
Capex
500
400
300
200
100
0
Source: Company, MOSL
Source: Company, MOSL
Exhibit 14: Net capex (INR b)
600
450
300
150
0
Bharti
Idea
Exhibit 15: Net capex (ex-spectrum) (INR b)
250
200
150
100
50
0
Bharti
Idea
Source: Company, MOSL
Source: Company, MOSL
Exhibit 16: Net capex/sales (%)
120.0
90.0
60.0
30.0
0.0
Bharti
Idea
Exhibit 17: Net capex (ex-spectrum)/sales (%)
100
75
50
25
0
Bharti
Idea
Source: Company, MOSL
Source: Company, MOSL
October 2016
18

Telecom | Battle Royale
India’s technology advancement gap shortens, extending
investment period
One of the key factors that has gone against the Indian telecom industry is the
country’s 4G technology migration, which started much sooner than the previous
technology advancements and thus hardly provided time to monetize 3G
investments. Historically, India has been about 8-10 years behind developed nations
like the US, UK and Europe in terms of technology advancement. This is evident
from the previous 2G/3G network rollouts, which happened about 8-10 years after
developed nations. However, 4G network rollout happened just after 3-5 years,
thereby reducing the technology transition gap.
In India, the technology advancement gap between 2G and 3G was 8-10 years,
giving telecom companies sufficient time to monetize their 2G investments.
However, the technology advancement gap between 3G and 4G reduced to just 3-5
years (~2010 for 3G; ~2014-15 for 4G), triggered by the threat of RJio launch. This
did not allow operators to monetize their 3G investments. The telecom industry
post the 4G network investment will be able to focus on asset monetization as
incremental investment hereon will be largely led by demand.
India’s technology advancement gap shortens, extending investment period
Technology advancement gap between 2G and 3G
was 8-10 years, giving telecom companies
sufficient time to monetize their 2G investments.
October 2016
19

Telecom | Battle Royale
India’s technology gap v/s developed nations reduces
Developed
Nations
90
91
…….
95
96
97
98
99
00
2G
1991-92
Time-Gap:
8 - 10 years
1999-2002
2000
01
…….
06
07
08
09
10
11
12
3G
2002-04
Time-Gap:
8 - 10 years
2011-12
2010
11
12
13
14
15
16
4G
2010-12
Time-Gap:
3 - 5 years
2014-16
India’s time gap for technology upgradation v/s developed nations reduced from 8-10 years (2G-3G)
to 3-5 years (4G). This has left little time to monetize 3G investments, thereby hurting return ratios.
Source: Evolution to LTE report, GSA, July 2016; www.telecompaper.com
Gross industry revenue to be driven by data business
We expect the telecom industry to undergo a complete overhaul with the advent of
RJio – the big boy. We outlay the sector’s growth and specific vertical – voice and
data, to gauge the dynamics of the industry as well as key gainers/losers.
The overall telecom industry grew at just 6% in FY16, after growing at over 10-12%
over the last five years, due to the maturing voice market with low traffic growth
and pricing pressure. Data market growth also decelerated to 35% in FY16, from the
highs of 57% in FY15. RJio’s low INR149/28 days ARPU voice offering should further
deteriorate the voice business as all telcos are likely to follow suit to maintain their
market shares.
We expect the telecom industry to de-grow for the first time in more than 10 years
by 2% in FY17E, as RJio’s free offering will hurt the overall industry. However, in
FY18E, it should recover with 4% growth. We expect gross revenue CAGR of 9% in
the following three years (i.e., FY18-21), with incumbents likely to see gross revenue
growth of 8%, while marginal players may see revenue decline of 4% during the
same period.
October 2016
20

Telecom | Battle Royale
Exhibit 18: Incremental analysis of wireless revenue (INR b)
15
1151
320
2743
1927
Exhibit 19: Voice v/s data revenue growth (%)
Voice Rev
31.8
Data Rev
32.3
1.1
FY16
Voice Rev
Wireless rev
Data Rev
Non-Voice
FY22
Non-Vas Wireless rev
Rev
Source: Company, MOSL
-3.9
FY17-22E
Source: Company, MOSL
FY14-17
Exhibit 20: Operator-wise gross revenue market share
trends (%)
Bharti
Reliance Jio
40.0
30.0
20.0
10.0
0.0
FY15
FY16 FY17E FY18E FY19E FY20E FY21E FY22E
Source: Company, MOSL
Vodafone
Rcom+MTS
Idea
Others
Exhibit 21: Operator-wise subscriber market share trends
(%)
Bharti
Reliance Jio
40.0
30.0
20.0
10.0
0.0
FY15
FY16 FY17E FY18E FY19E FY20E FY21E FY22E
Source: Company, MOSL
Vodafone
Rcom+MTS
Idea
Others
We estimate the industry voice business to de-grow at 4% CAGR over FY16-21E, led
by an 8% drop in voice ARPUs, partly offset by 4% industry subscriber growth.
Subscriber growth – which would take total base to 1.27b with addition of 237m
over FY16-21E (compared to 222m over FY11-16) – factors in the rise of second SIM
users, with consumers looking to test RJio network without taking the risk of
changing their primary service provider. Additionally, second SIM users of marginal
players like RCom, TTSL, Aircel and others may also look to switch to RJio.
Exhibit 22: India telecom: Wireless revenue split (INR b)
Voice Rev
18
337
1,493
Data Rev
19
368
1,428
Non-voice Non-VAS rev
26
515
1,369
35
758
Data rev as % of wireless rev
54
49
43
1,245
1,488
Voice market to be on a downward spiral
14
250
1,476
1,003
1,316
FY19E
1,265
FY20E
1,215
FY21E
1,174
FY22E
FY15
FY16
FY17
FY18E
Source: Company, MOSL
October 2016
21

Telecom | Battle Royale
Expect weak voice ARPU over next 2-3 years
The weak ARPU outlook is governed by cannibalization of voice as a higher
proportion of users may subscribe to data services. This should reduce MOUs. Weak
market conditions could also lead to subsequent voice price decline as operators
may try to arrest traffic decline and protect market shares.
Exhibit 23: Voice and data ARPU trends (INR)
212
217
Voice ARPU
197
Data ARPU
194
197
Blended ARPU
198
201
206
FY15
FY16
FY17E
FY18E
FY19E
FY20E
FY21E
FY22E
Source: Company, MOSL
Voice RPM pressure to continue
We believe that incumbent operators may focus on market share protection in a
weak market, thus leading to voice price decline. Subsequently, we expect voice
revenue decline of 2% for incumbents over FY16-21E, largely contributed by RPM
decline. Traffic growth should remain flat, with about 3-4% MOU decline, largely
offset by subscriber growth.
Market share dilution to be higher for marginal players, Idea
With the launch of RJio and its continued aggressive offerings, the key points to
observe are: (1) whether RJio will be successful in penetrating the market and
gaining market share and (2) whose market share would RJio take over the next five
years.
Exhibit 24: Incremental analysis of RJio’s gross rev market
share (%)
6.5
4.4
2.0
2.8
-0.3
2.0
17.3
2.7
0.3
0.2
0.2
3.0
Exhibit 25: Incremental analysis of RJio’s subscriber market
share (%)
3.9
10.4
Source: Company, MOSL
Source: Company, MOSL
October 2016
22

Telecom | Battle Royale
We believe that given the advancements by incumbent operators, the gap between
their network quality (especially, Bharti which has invested heavily in network and
spectrum) and RJio’s perceived network quality has reduced substantially. This may
leave only pricing as the key weapon for RJio.
The biggest impact would be felt by marginal players (sub-10% market share) like
RCom pack (RCom, Sistema, Aircel), Tata Tele, Uninor and the PSU pack
(BSNL/MTNL), which may not be able to compete on product/services as well as
pricing, given their weak spectrum portfolio, network footprint and technology
advancement. We think market share dilution will be higher for marginal players like
RCom, Tata Tele as well as PSU operators which do not offer superior technology
and coverage. Among other major operators, Idea could be affected the most given
its weaker 4G/3G data footprint, while Bharti should also see some dilution.
Our workings indicate that market shares of incumbent operators could drop by
440bp to 70.5%, while marginal players could see a market share drop of 10.9%-
12.2%. This should allow RJio to gain market share of about 17.3% by FY22E. Among
incumbents, Vodafone and Idea should see combined impact of 480bp. Our
workings indicate that with 17.3%, RJio may be close to Idea’s 17.4% market share
by FY22.
This addresses one of the key questions about the state of existing operators post
RJio launch – the industry can accommodate four large operators: the top two spots
are up for picking between Bharti and RJio, with Vodafone and Idea’s current state
of operations putting them at third and fourth positions, respectively.
Operator market share in voice segment
Unlike incumbent telcos’ voice contribution of 75%, RJio will offer voice free at a
fixed ARPU (combined with data). Given RJio’s focus on data offerings, we have
factored in nil voice revenue for the company. This is also due to the structure of the
telecom industry which is likely to constitute about two-third of voice revenues.
Exhibit 26: Operator-wise voice revenue (INR b)
Bharti
2,000
1,500
1,000
500
0
FY15 FY16E FY17E FY18E FY19E FY20E FY21E FY22E
Source: Company, MOSL
Rcom+MTS
Vodafone
Others
Idea
Reliance Jio
40.0
30.0
20.0
10.0
0.0
FY15 FY16 FY17E FY18E FY19E FY20E FY21E FY22E
Source: Company, MOSL
Exhibit 27: Operator-wise voice RMS (%)
Bharti
Reliance Jio
Vodafone
Rcom+MTS
Idea
Others
October 2016
23

Telecom | Battle Royale
Voice RMS – marginal players with low ARPU subs could be highly impacted
We have factored in nil voice revenue for RJio, given its focus on data with free voice
offering at fixed ARPU (combined with data). However, there are two factors that
may hurt the voice business: (1) RJio’s complementary voice service with data,
leading to a steep drain in the voice market and (2) cannibalization effect from data
usage further hurting the overall voice market situation and thus pushing it on a
downward spiral. We expect incumbent operators’ combined voice market share to
increase by 820bp (1.9% CAGR decline) over FY16-21E to 80%. Marginal players are
likely to see a drop of 820bp in their market share to 20% over FY16-21E. Marginal
players have a large base of second SIM users given their weak service quality and
price being the only value proposition. Thus, marginal players could be the most
vulnerable to RJio’s complementary voice services.
Data business – the flag bearer
The last few quarters have witnessed a deceleration in data revenue growth, posing
serious introspection on data market potential. We understand that data remains
the focal point of all the digital development, and believe data growth will be
triggered by:
1.
Pricing:
We think pricing will be key to data growth, triggered by RJio’s launch.
RJio’s over 30-40% lower average ARMB v/s peers indicates likely steep fall in
pricing in the industry. We think telcos have room to reduce price given two
factors: (1) price elasticity of demand from India’s low data usage/user as well
as low data penetration level. (2) Our workings indicate that data margins are
nearly double v/s voice margins, which offer room for price cuts.
2.
Handset ecosystem:
Over the last two years, smartphones as a share of total
handset market has grown from mid-teen in CY13 to 45% as of June-16 quarter,
with about 8m monthly shipments. However, smartphone shipment’s
proportion to total shipment is still low compared to China’s two-third as well as
that of other countries. With 4G/LTE ecosystem improvement, there were about
60-70m LTE devices (as of March), with monthly run-rate of 5m shipments.
Further, Reliance’s LyF branded low-ticket-size LTE handsets are driving growth.
3.
Need v/s availability – content development:
Telcos have been wary of
data price decline as they are unsure of the content and ecosystem
development, which can remain a chicken and egg story. RJio’s launch has
triggered price-led data volume expansion potential, which could be positive for
the industry in the long term.
Data subscriber base – huge growth opportunity
Low subscriber penetration and data usage/subscriber remain the key drivers of the
data market. With 322m data subscribers, about 31% of the total subscriber base
use data services. Again, out of this, only 132m (41% of total data subscribers) are
broadband subscribers, while the rest are 2G subscribers, including very infrequent
2G users, which may not be accounted by incumbents. The top telcos account for
two/thirds of 3G/4G subscribers.
October 2016
24

Telecom | Battle Royale
Exhibit 28: FY16: Internet subscriber split (m)
Broadband
subs (m),
132
non-
broadband
subs (m),
190
Exhibit 29: Operator-wise broadband subscribers (m)
Others,
29.3
Bharti, 36.6
Idea, 34.1
Vodafone,
32.3
Source: Company, MOSL
Source: Company, MOSL
Exhibit 30: Data/broadband subscriber trend
Data subscribers (m)
Broadband subscribers (m)
34%
38%
41%
28%
18%
220
20%
233
248
30%
283
31%
300
305
312
322
3QFY14
4QFY14
3QFY15
4QFY15
1QFY16
2QFY16
3QFY16
4QFY16
Source: Company, MOSL
Top 3 telcos account for ~71% of broadband subscribers
As per the TRAI’s 4QFY16 report, out of the total 132m broadband subscribers in
India, about 71% are accounted by the top three companies, in line with the overall
subscriber market share. Bharti leads with about 28% broadband market share,
while Vodafone and Idea together hold about 50%. Idea holds the second-largest
broadband market share with 34m subscribers. The remaining 22.1% is held by
marginal players like Tata Tele, RCom and BSNL, amongst others. A high proportion
of this includes CDMA-based dongles from Tata Tele and RCom operating at 800Mhz
spectrum. With limited incremental investment by RCom and Tata Tele, they would
be vulnerable to RJio’s broadband offering.
Exhibit 31: Operator-wise data subscriber trend (m)
Bharti
Vodafone
Idea
Others
37.9
26.1
18.7
19.4
19.4
27.9
21.3
22.1
21.4
32.1
24.5
23.8
23.9
27.6
25.9
28.1
27.4
35.5
38.9
30.5
4QFY15
1QFY16
2QFY16
3QFY16
4QFY16
Source: Company, MOSL
October 2016
25

Telecom | Battle Royale
Exhibit 32: BHARTI:
sub trend
Data/broadband
Exhibit 33: VODAFONE:
Data/broadband sub
Data subscribers (m)
Broadband subs as % of internet subs
41
30
13
46
Exhibit 34: IDEA: Data/broadband sub
trend
Data subscribers (m)
Broadband subs as % of internet subs
55
52
43
29
Data subscribers (m)
Broadband subs as % of internet subs
61
42
29
62
35.6
FY14
46.4
FY15
58.2
FY16
58.9
1QFY17
52
FY14
64
FY15
67.5
FY16
69.7
1QFY17
25.3
FY14
33.4
FY15
44.0
FY16
49.1
1QFY17
Source: Company, MOSL
Source: Company, MOSL
Source: Company, MOSL
Data market to reach 49% of overall wireless space over FY16-21E
We expect data subscriber growth and data ARPUs to drive overall data growth.
Data subscriber base should grow at a 23% CAGR over FY16-21E to 911m. Gross data
ARPU stands at INR93 (calculated on data subscribers), which should grow at a 5%
CAGR over FY16-21E to INR120. We expect the overall data market to grow at a 30%
CAGR over FY16-21E, led by subscriber growth and volume-led higher data ARPU.
Exhibit 35: Operator-wise data revenue (INR b)
Bharti
2000
1500
1000
500
0
FY15 FY16 FY17E FY18E FY19E FY20E FY21E FY22E
Source: Company, MOSL
Vodafone
Idea
Reliance Jio
Others
40.0
30.0
20.0
10.0
0.0
FY15
FY16 FY17E FY18E FY19E FY20E FY21E FY22E
Source: Company, MOSL
Exhibit 36: Operator-wise data revenue market share (%)
Bharti
Reliance Jio
Vodafone
Others
Idea
Exhibit 37: Data subscribers and gross data ARPU trends
Data subscribers (m)
Gross Data ARPU (INR)
104
112
120
130
71
81
93
85
93
283
FY14
283
FY15
322
FY16
395
FY17E
526
686
811
911
997
FY18E
FY19E
FY20E
FY21E
FY22E
Source: Company, MOSL
October 2016
26

Telecom | Battle Royale
Data pricing
Data pricing is expected to come down drastically. We believe this should drive
price-led volume elasticity, improving data ARPU as well as subscriber growth. We
expect Bharti/Vodafone/Idea’s pricing to drop by 48%/74%/50% over FY16-FY21E,
reaching a base of INR0.12-15/MB from the current base of INR0.21-22/MB.
However, cumulative data volume growth of 2-5x (led by subscriber growth as well
as usage/subscriber growth) should increase data market size.
Exhibit 38: Operator-wise data ARMB (paise)
35.5
30.0
27.2
26.3
23.2
17.9
14.3
24.0
24.2
19.2
13.5
14.3
FY18E
19.7
16.0
17.7
14.5
12.7
12.6
FY19E
Bharti
Vodafone
Idea
Reliance Jio
16.3
12.1
11.8
13.8
15.5
11.6
11.1
13.1
14.7
11.2
10.4
12.4
FY15
FY16
FY17E
FY20E
FY21E
FY22E
Source: Company, MOSL
Data usage/subscriber has strong propensity to grow
The shift from 2G to 3G and then 3G to 4G could lead to average 2-4x increase in
data usage. Apart from higher data subscriber penetration, data consumption/user
can be a strong growth driver. Developed countries have witnessed an increase in
data consumption of about 2-4x due to technology upgrades from 2G to 3G and
then to 4G. Better speed experience and wider content access at higher speed allow
higher growth. Higher proportion of online SD/HD video streaming as well as online
games triggers higher consumption. Additionally, it allows more data usage due to
faster connectivity.
Operators are increasingly bundling video/audio streaming apps with their tariff
offers, usually focused on 4G data and LTE capable devices to drive data usage.
Overall, data consumption by video is expected to rise to almost three-quarters of
total usage in 2019 in Western Europe, up from 56% in 2014.
Exhibit 39: 4G stimulating data demand, average monthly
usage (GB)
3.7
3G
4G
Exhibit 40: Average data usage for Europe as of September
2015
Average data usage for Europe
4G
1.6
1
1.5
0.9
1.8
0.7
1.6
3G
UK
Germany
Netherlands
Spain
Source: Vodafone Presentation (Q1FY17)
Source: Vodafone Presentation (Q1FY17)
October 2016
27

Telecom | Battle Royale
This can be a strong growth lever of data volumes as subscribers switch from 2G to
3G. This is also evident in India’s case – Vodafone and Idea have seen 3G/4G usage
at about 2x of 2G usage, thus allowing average data consumption/user to grow at
about 10-12% annually over the last five years.
Exhibit 41: Vodafone India and Idea’s data usage up on
3G/4G (mb)
2g
875
641
454
200
463
444
Avg
3g,4g
889
904
674
Exhibit 42: Avg. data/user/month (MB)
Avg data usage/sub/month
899
Vodafone
Idea
Bharti
Vodafone
Idea
Reliance
Source: Vodafone 1QFY17 Company financials
Source: 1QFY17 Company financials
With over 50% of industry data subscribers on 2G (FY16 data subscribers: 322m),
there is strong potential for data traffic to grow. Most of incremental smartphones
shipped are 3G/4G and this ecosystem development will support data
usage/subscriber growth.
RJio launch should be positive in long run, triggering data traffic growth
Growing handset ecosystem, improving local content coupled with RJio-led industry
data price decline should trigger data growth, which has slowed over the last 4-5
quarters to just 20% (1QFY17 annualized). Industry participants, especially Bharti,
should benefit from the launch of RJio over the next 4-5 years. However, this could
be with a lag of two quarters. The next 2-3 quarters may impact peers led by the
steep data price decline and voice cannibalization. With a lag of about six months,
we expect incumbents to start seeing price elasticity benefits as data volume growth
from existing and new users may start accelerating. However, RJio’s high data
offering will test existing operators’ capacity to accommodate heavy data traffic.
Over the next five years (i.e. FY16-21E), we expect the data industry to grow at a
28% CAGR.
Exhibit 43: Operator-wise data traffic trends (b MBs)
5000
3750
2500
1250
0
FY15
FY16
FY17E
FY18E
FY19E
FY20E
FY21E
FY22E
Source: Company, MOSL
Bharti
Vodafone
Idea
Reliance Jio
October 2016
28

Telecom | Battle Royale
Operator market share in data segment
We believe RJio should lead data growth, implying data market share loss of
incumbents. However, given that overall data revenue is expected to continue
growing at an accelerated pace, incumbents should see healthy data revenue
growth despite market share loss. Our workings indicate that RJio should command
about 33.6% revenue market share and 9.4% of overall subscriber base over the
next five years. We expect incumbents to achieve a 20% CAGR over FY16-21E with
24.2pp market share loss to 60.4%. Our workings have factored in all of RJio’s
revenue within data, given its data-centric price plans. Marginal players may see
steeper revenue impact from RJio launch, given their weak data offering, as well as
low network and spectrum footprint. We expect marginal players’ revenues to grow
6% over FY16-21E, with a market share loss of 950bp to a meager 6%.
Exhibit 44: Operator-wise data revenue market share (%)
40.0
30.0
20.0
10.0
0.0
FY15
FY16
FY17E
FY18E
FY19E
FY20E
FY21E
FY22E
Source: Company, MOSL
Bharti
Vodafone
Idea
Reliance Jio
Others
Strong case for ARPU increase led by data usage/user
By FY21E, Bharti and RJio should have higher data ARPU of INR178 and INR290,
respectively, with flat ARPU for Bharti and RJio’s ARPU base growing from INR210.
RJio’s ARPU is significantly higher as we have allocated entire revenue toward data,
unlike other operators. Bharti and RJio’s ARPU is ahead of industry ARPU of INR112
in FY21E. This is due to two factors. (1) Better consumer profile with a higher share
of 3G/4G subscriber base consuming over 1GB data/month will increase overall
demand. (2) We think Bharti and RJio’s better spectrum portfolio and wider data
network should allow them to accommodate more data traffic. Thus, it can test
price elasticity gains of data volume growth to increase data absorption unlike other
smaller operators that could be stuck with network capacity utilizations.
Exhibit 45: Operator-wise data ARPU (INR)
375
300
225
150
75
0
FY15
FY16
FY17E
FY18E
FY19E
FY20E
FY21E
FY22E
Source: Company, MOSL
October 2016
29
Bharti
Vodafone
Idea
Reliance Jio

Telecom | Battle Royale
Data margin at ~2x of voice margin and strong price elasticity
While the risk of significant erosion in data yield remains high post the launch of
RJio, data margin at prevalent pricing is at about ~2x of voice margin, assuming
constant voice revenues. This indicates three things.
First, even as the proportion of data revenues increases, it may provide support, as
witnessed in the case of both Bharti and Idea’s consistent improvement in wireless
margins over the last 3-4 years.
Second, this also reduces the impact of steep data rate decline on overall margin
over the long term as data and voice businesses stabilize.
Third, high data margin allows operators to test data price elasticity in a market
which has less than 10% 3G/4G data subscriber penetration. Also, average data
usage per subscriber at sub-1GB is far below global 3G/4G data consumption of over
1.5GB, thus increasing the potential for data volume growth.
Some of the key factors that allow data margin to hover at about ~2x of voice
margin are as follows:
Access cost:
One of the key factors that reduces variable data cost is that there is
limited access cost attached with data volumes. Typically, the voice segment incurs
access cost of about 17-18% as per interconnect regulation. On the contrary, there is
no regulatory interconnect cost on the data business. Our workings have assumed
2% data access cost to factor the 3G ICR arrangement between telcos to seek data
coverage in circles where they do not hold own 3G network. With the ramp-up of
own network, this may reduce.
Low network cost:
Incumbent operators leverage their existing voice network
significantly to implement the data network.
1. Nearly 80% of the 3G sites are on existing 2G sites, which incur incremental site
operating cost of only 20% charged as loading while offering equivalent
incremental capacity compared to the existing site. This reduces both passive
rental as well as energy cost of the sites significantly. So any revenue over and
above 20% of the existing site revenue directly flows to the bottom line.
2. Technology developments like Single RAN and carrier aggregation multiply
capacity on the existing site without adding any incremental operating cost on
the same. Thus, high data consumption pockets which already have high density
voice coverage could be utilized to upgrade the network and data capacity with
limited incremental network cost, thus allowing high capacity utilization levels
and margin. Further, 3G/4G should provide higher capacity and garner higher
volumes without any steep cost increase.
Low SUC:
Bharti holds 2300Mhz spectrum across 10 circles, which is charged only
1% spectrum usage charge compared to 5% on existing spectrum. This provides
steep regulatory cost savings. Our discussions with TRAI and DOT indicate that there
is little way to bifurcate revenues among multiple frequencies charged at different
SUC rates. Further holding 20Mhz of 2300mhz spectrum should provide huge
capacity to offer data services, thus reducing SUC costs.
October 2016
30

Telecom | Battle Royale
Operating leverage:
The data segment can leverage the large sales and distribution
network, which is already established by incumbents. This allows benefits in terms
of employee, distribution and marketing costs. However, with free voice announced
by RJio, reducing voice ARPU could put pressure on overall margins in the near term.
Exhibit 46: Voice v/s data margin bifurcation (incl. 2G data revenue also, while sites are
only 3G/4G)
Revenue (INR)
BTS (nos)
Average Sub (mn)
Traffic (min b)
Realization (INR)
Revenue/BTS (INR)
Opex per BTS
Interconnect (INRmn)
License fee & SUC (INRmn)
Network (INRmn)
Cost/BTS/month (INR)
SG&A + Employee
cost/sub INR
as a % of revenue
Total opex
(INRmn)
EBITDA (INRmn)
EBITDA margin (%)
Total
359,772
159775.5
166
Voice
261,461
119600
166
785,975
0.32
182,178
45,169
17%
31,114
12%
64,584
25%
45,000
41,834
251
16%
182,701
78,760
30%
Data
69163
40175.5
44
297,920
0.23
143,461
1,308
2%
6,916
10%
10,595
15%
21,977
6,916
157
10%
25,736
43,427
63%
Non voice Non data
29,148
159,776
166
187,645
46,477
13%
41,508
12%
84,275
23%
43,955
50332
302
14%
222,591
137,181
38%
15,202
-
0%
3,478
12%
9,095
31%
4,744
1,581.49
10
5%
14,154
14,994
51%
Source: Company, MOSL
TRAI’s August 2016 consultation paper to review IUC is an indication of possible
reduction in IUC, which will be vigorously challenged by large telcos – the IUC charge
revision in FY15, which is yet sub judice, is a case in point. However, there are two
things to observe.
IUC a declining trend, both in India and globally:
Since it was established, IUC has
been reduced four times from the highs of INR0.50/min to INR0.14/min, indicating
its downward trend. Globally too, IUC has reduced over 50% in many developed
markets like Australia, UK, and other European countries. TRAI’s recent consultation
paper to review IUC is a possible indication towards IUC reduction.
TRAI exploring zero IUC charge:
Globally, despite the prominence of IP calling and
voice becoming less relevant, nowhere has IUC been reduced to zero. TRAI, in its
consultation paper, has hinted that IUC could be charged on BAK (Bill and Keep)
model, implying zero charge, led by two factors – (a) potential growth of VoLTE/IP-
based calling, which has increased the variability in estimating costs, and (2) need
for support deployment of efficient network technologies.
Will IUC be reduced or cut to zero?
While there is a possibility of further IUC
reduction, given its inclination to promote IP-based calling, TRAI may not cut it to
zero due to the steep operational impact for majority of the operators. TRAI’s
observation during previous IUC workings in 2011 indicated that any steep changes
in IUC could be in 3-year phases to avoid any knee jerk impact.
October 2016
31
The IUC could see a sharp revision - a major risk for top 3 telcos

Telecom | Battle Royale
Can RJio sustain free voice calling?:
We see IUC reduction as a potential risk over
the next 1-2 years for the incumbent large telcos due to its high on net calls
termination.
If the current heat over IUC discussion derails, RJio’s strategy to provide free voice
may not be sustainable over the long term.
October 2016
32

Telecom | Battle Royale
RJio- Throwing rationality to the wind
RJio to become the world’s first telecom operator to have full IP-based LTE network
with no fallback on 2G/3G network, allowing it to offer full-fledged high-speed 4G
services without any legacy network backlog.
RJio’s current holdings in 800Mhz/1800Mhz/2300Mhz give it enough capacity to
handle impeding data explosion. In terms of coverage, the existing spectrum holding
along with a cell site base of ~90k is still less than Bharti’s 157k/75k 3G/33k 4G sites
and may not be sufficient for pan-India coverage.
RJio’s significant delay in commercial launch has waded the 4G novelty factor.
Subscribers will now rate RJio on quality of speed.
Our 84m subscriber estimates by FY20 indicate a breakeven in the third full year of
operations and 7.5% project IRRs.
High capacity but weak coverage
RJio is the first operator in the world to have full IP-based LTE network with no
fallback on2G-3G network. This allows the company to offer full-fledged high-speed
4G network with no legacy network backlog. However, RJio’s network launch with
just about ~90,000 cell sites combined with 2300-1800-800Mhz spectrum may not
be sufficient for a pan-India footprint. This compares with incumbents like Bharti
operating with over 1,50,000 2G and 75,000 3G cells over and above the 4G sites.
Our channel check indicates that RJio continues to add more sites, but the first
phase will not have substantially higher quantum of sites. Further, many pockets
(which are currently voice-only regions) may not be viable for 4G operations, and
given RJio’s pure 4G-based network, it could have a patchy network. This could
make it difficult for RJio to penetrate in smaller towns in the country.
Exhibit 47: Top 4 operator-wise cell sites
2G sites
3G+4G sites
214
121
140
Exhibit 48: Top 5 operator-wise fiber portfolio
Fiber Portfolio ('000 R-km)
250
190
Bharti
Idea
Vodafone
RJIO
Bharti
Idea
Vodafone
RJIO
RCOM
Source: Company, MOSL
Source: Company, MOSL
Distribution channel
SIM card distributor and retailer mapping is largely over with about 2.5 lakh mom
and pop stores, in comparison to 4 lakh SIM distributors and 8 lakh recharge
voucher sellers. Currently, SIMs are provided only through Reliance Retail outlets.
The rest of distribution, including modern retail as well as mom and pop store,
should start in 15-20 days.
October 2016
33

Telecom | Battle Royale
Three-pronged product offerings
For VoLTE device users:
A VoLTE device user can use RJio’s both data and voice
services seamlessly on any smartphone.
LTE device users
(subscribers who may not own a VoLTE handset but have an LTE
device and may not be willing to change handset):
LTE device users would be able to use RJio’s 4G data, but may not be able to use
VoLTE directly through the handset. Earlier this was understood as a big concern,
making RJio subscribers depend on existing service providers to make voice calls.
With the launch of Jio Join services, RJio subscribers can now seamlessly make voice
calls by downloading the Jio Join application, which allows it to call any mobile
number.
Non-LTE device users (consumers
with non-LTE handset who may want to
experience RJio without the hassle of changing device):
The subscriber can buy a JioFi device – a portable WiFi device and connect the
phone to the WiFi device for data usage. For voice calling, s/he can download Jio
Join application and connect the app to the JioFi device. This would allow the user to
make voice calls to any subscriber (RJio and others) using JioFi SIM number.
Additionally, the user can also receive calls from any other user with the same JioFi
number. JioFi at one point of time can be connected with only one Jio Join
application.
Product
Handset launch:
Currently, 13 handsets are launched across four umbrella brands
(Flame, Wind, Water and Earth) with prices starting from INR4,000-19,000. Every 15
days, a new handset is launched. RJio should have about 25-30 Jio handsets by Dec-
16. Incremental handsets will be launched in the premium range. JioFi device is
priced at INR1,999.
JioFi is like any portable WiFi device offered by incumbent telcos. The key advantage
for RJio is that unlike other telcos, data can only be accessed on LTE handsets, which
are witnessing increasing penetration from the current low levels. Thus, this product
helps addressing the non-LTE device user market.
Jio Join application, available on play store, is conceptually an extremely novel
product, which (unlike other IP-based voice-calling products like WhatsApp – only
app based calling) allows subscribers to make and receive calls from any subscriber
(RJio or non-RJio user) using the RJio SIM no. For an LTE user, the Jio Join application
can be linked to the RJio SIM in the phone, while for a non-LTE user, the Jio Join app
can be linked to the JioFi device. This allows subscribers to both make and receive
calls through Jio Join specific number without using VoLTE handset but retaining RJio
SIM no.
October 2016
34

Telecom | Battle Royale
Positive and Negatives of Test Outcomes
Positives
Addresses low VoLTE/LTE penetration rate:
Both JioFi and Jio Join could allow RJio
to address the key concern of VoLTE/LTE's low penetration for data as well as voice
usage.
Second SIM phenomenon:
Many non-VoLTE/LTE subscribers, who may use RJio
service purely for data use, could possibly also use it for voice calling through the Jio
Join app.
Battery life:
JioFi has an average six-hour battery life.
Negatives
Service lag; HD voice calling, not a big difference:
The product has many glitches in
terms of voice lag (nearly 2-5 seconds), far inferior than normal IP-based voice
calling. Marketed as HD voice calling, we actually found RJio voice calling subnormal
and patchy.
Weak product knowledge of front-end channel:
Our experience with RJio retail was
not very great, with none of the executive having complete detail on the product
and service, especially on the Jio Join and JioFi's integration and number
compatibility.
Ordinary speed results:
Our speed test results (across multiple locations of Mumbai)
provided sharp speed variations from 6mbps to 25 mbps (average 12-14 mbps) and
2-4mbps indoor speed. Incumbents like Bharti and Vodafone offer nearly 70-80% of
RJio's outdoor speeds and far higher indoor speed. This could be attributed to RJio’s
1800Mhz/2300Mhz led rollout. Incremental rollout on 800Mhz could solve this
issue.
Distribution reach
1.
2.
3.
Reliance Jio has 1,071 Reliance centers across the country, with 35 centers in
Mumbai. These will be selling both handsets and wireless services.
Distribution of handsets and services are separate. Wireless services will be
provided via about 4,000 distributors (4x of Reliance centers), while handsets
will be available via 400 distributers (40% of Reliance centers).
RJio's handset distribution is better than the bigger handset sellers like Samsung
due to its wide Jio center reach and distributors, which has led them to reach 8-
9% share of smartphone market in just few quarters. However, risk of huge
inventory loss on reducing smartphone prices makes this segment vulnerable.
October 2016
35

Telecom | Battle Royale
Unlimited voice plan - Has RJio underestimated the cost overrun
related to IUC?
Unlimited voice could significantly increase RJio’s MOU and payout:
RJio’s
unlimited voice offering could result in a steep increase in its minutes of use (MOU).
We expect its INR149 price plan (pseudo voice plan) offering unlimited voice usage
to garner higher traction among low ARPU (average revenue per user of below
INR150) voice subscribers, largely impacting marginal players. Subsequently, the
current average MOU of 300-400 could cross 600-800 (implying 20-25 minutes of
voice daily), due to high elasticity on low ARPU voice subscribers.
In the developed market, MOU are at 200-300 and do not change substantially with
change in pricing. In countries where 3g/4g subscription has reached above 50% of
overall subscribers, voice offerings are embedded in high ARPU price plans (like RJio
price plans), making it difficult to segregate voice and data to gauge the pricing, but
perceived value is largely for data. However, India could see a different scenario,
since 3g/4g subscription is low, with a large voice-only market pool.
Global MOU may not be a correct reference
Assuming 90% on-net calls, since RJio is a new operator, at INR0.14/min termination
charge, at about 400 MOU, the IUC cost/subscriber could work out to be INR50.
However, if MOU goes up to 600-800, the IUC cost/subscriber could reach INR75-
100. This works out to be a high 35-45% of our estimated INR225 ARPU, leaving little
room for profit. For incumbents, access cost is 8-10% of revenue, about one-fourth
RJio’s cost.
RJio’s IUC charge/subscriber/month could range from INR50 to INR100 (20-
50% of estimated ARPU)
Smaller operators may see steeper impact
While RJio’s free voice could also hurt existing operators, due to the absence of
ARPU-based subscriber segmentation, the impact on operators could be difficult to
gauge. However, since high ARPU subscribers are sticky and quality conscious, the
impact could be higher for small operators that hold single-digit market share.
Can RJio sustain free voice calling
We see IUC reduction as a potential risk over the next 1-2 years for the incumbent
large telcos due to its high on net calls termination. If the current heat over IUC
discussion derails, RJio’s strategy to provide free voice may not be sustainable over
the long term.
October 2016
36

Telecom | Battle Royale
Data-focused revenue model dismantles traditional voice-led
business models
RJio’s pure IP-based network holds 90,000 cell sites. The company’s focus remains
the data market, which has low penetration and improving ecosystem. Thus, we
believe there is huge growth opportunity. The current industry revenue is composed
of 25% revenues from data and 75% from voice, given most operators are primarily
voice-offering companies. In the case of RJio, we have factored in complete
revenues from data offerings, as it has mentioned that voice remains free and there
is no voice-only plan. RJio product offering would be high-speed data, with voice as
an additional offering. This sets RJio apart from any other traditional telecom
company globally. We expect RJio to offer about INR232 ARPU.
High data consumption to drive overall ARPU
RJio being a new entrant should likely drive traffic growth due to two factors. First,
with empty capacity in the beginning, it would drive price elasticity of demand to
increase traffic volume. Second, being a 4G operator which drives data usage/user
by about 2-3x should further augment data consumption. We expect RJio’s data
usage/user at about 1.5GB, which is double compared to incumbent operators’
average data usage/user. Subsequently, we expect overall ARPU at INR210,
marginally better than Bharti’s INR193 and higher than other telcos on account of its
4G offerings.
Expect aggressive pricing to target market share
The previous instance of new operator launch in 2008-09 indicates that telcos
remain aggressive until they reach close to 60-70% capacity utilization as they
prioritize volume over profitability to monetize perishable traffic volumes. We
believe this may force RJio to remain irrational on pricing until it reaches about 60-
70% capacity utilization. With pan-India launch, our base-case factors in 11%
subscriber market share over the first five years of operations by FY21, driven by
free voice and data ARMB of below INR0.15/MB. This is currently at about 30-40%
discount to data pricing of INR0.20-22/MB offered by incumbent operators. Free
voice offering at INR149/28 days (minimum plan) will be the major game changer,
dismantling the telcos’ subscriber segmentation above INR149 ARPU.
Exhibit 49: Favorable data demand elasticity, with 50%
pricing discount
Data usage/user
0.14
0.13
0.13
Data tariffs (INR/MB)
0.12
Exhibit 50: Expect high market share focus with free
capacity
16%
12%
8%
4%
Base case
Bear case
Bull Case
0.12
0.11
1,500
FY17E
1,725
FY18E
1,984
FY19E
2,222
FY20E
2,488
FY21E
2,787
FY22E
0%
FY17E
FY18E
FY19E
FY20E
FY21E
FY22E
Source: Company, MOSL
Source: Company, MOSL
October 2016
37

Telecom | Battle Royale
With data being the only proposition, RJio should garner 100% revenue from data,
unlike just 25% by other telcos. We believe RJio would remain a data provider
garnering about INR210 data ARPU with about 1.5GB usage, i.e. nearly double data
usage/user compared to current usage. Voice offered on VOLTE network may not be
its mainstay, with weak network and low value proposition.
Expect EBITDA breakeven by FY20; estimate DCF value of
~INR5/share
Our base case expects RJio to turn EBITDA breakeven in its third full year of
operation as it would leverage its fixed cost, led by network cost, subscriber
acquisition/servicing cost and employee cost.
Exhibit 51: Base-case EBITDA breakeven in three years
300
200
100
0
-100
FY17E
FY18E
FY19E
FY20E
FY21E
FY22E
Source: Company, MOSL
Base Case
Bear Case
Bull Case
High investment may lead to IRRs at 7.5% below WACC, with negative
project NPV
RJio’s total investment of about INR1,500b in the last five years even before the
launch of operations is a major drag on profitability. We believe this will be the
biggest dent on its returns. Our base-case suggests project IRR of about 7.5%,
factoring in 30% steady-state margin by FY24, led by 10% subscriber market share.
We have factored in INR232 ARPU, growing at 8% CAGR over the next six years,
better than the industry leader Bharti’s ARPU of INR203
Our post tax project NPV at 11% WACC works out to be INR -160/share. This is due
to high investment which has led to 7.5% IRRs. Our DCF-based valuation at 11%
WACC and 2% terminal growth offers equity value/share of INR5.
1.
Scenario analysis
FY19- 3 years from launch (INR b)
Subs mkt
share
Base
Bear
Bull
7%
4%
9%
Data
revenues
216,670
104,109
385,661
Voice
Revenue
-
-
-
EBITDA
-29,100
-51,717
59,159
EBITDA
Margin
-13%
-50%
15%
Break Even
3rd year - FY20
5th year - FY22
2nd year - FY19
IRRs
7.5%
3%
16%
NPV/share @
11%
-160
-336
370
Source: Company, MOSL
October 2016
38

Telecom | Battle Royale
2.
Base-case scenario
Period
Subs mkt Share
Subs base
Voice Revenue
Voice ARPU
Voice RPM
MOU
Voice Traffic
Data Revenue
Data ARPU
Data RPM
Data Usage.user
Data traffic
Total Revenue
Network Cost share
Spectrum and license costs
Access and Roaming Charge
Employee Expenses
Selling and admin costs
Ad exp
EBITDA Margin
NPV @11%
Per Share NPV
IRR
3 years
7.0%
84
-
-
-
331
285,768
216,670
251
0.13
1,984
1,713,960
216,670
49%
11%
17%
9%
19%
8%
-13%
Base Case
5 years
9.5%
120
-
-
-
365
485,716
386,018
290
0.12
2,488
3,314,570
386,018
40%
11%
14%
6%
14%
5%
10%
10 years
13.6%
186
-
-
-
407
881,424
824,811
380
0.10
3,752
8,136,286
824,811
32%
11%
9%
5%
10%
3%
29%
End of license period 14 years
15.1%
212
-
-
-
411
1,029,975
1,116,369
445
0.10
4,561
11,442,044
1,116,369
33%
11%
8%
5%
10%
3%
30%
-518,064
-160
7.5%
Source: Company, MOSL
RJio – a substitute to existing marginal operators due to second SIM
phenomena
As RJio’s key proposition is data services, customers are likely to choose it as a
second service provider (second SIM phenomena) in the initial period of launch,
driven by three key issues:
1.
Current ecosystem of VoLTE handset.
2.
Risk of network volatility.
3.
Risk to change mobile number until MNP gets activated
Challenges RJio likely to face in the market:
1.
Low penetration of VoLTE handsets in the system:
Current user base of LTE
handsets remains weak at about 60-70m; maybe even smaller for VoLTE.
Considering the magnitude of launch, the subscriber base requirement remains
high in order to recover the heavy investment (twice the size of Idea’s current
balance sheet size and about 1.5x the size of Bharti). RJio’s own handset sales
have caught steam with it being third-fastest handset seller on a monthly basis.
However, in comparison to total subscriber base and monthly subscriber
addition requirement, it remains weak. We feel over time (after about eight
quarters), this concern should fade as majority of new handsets (introduced at
USD ~50-100 average selling price) will be VoLTE-enabled, but it will be a
challenge to convert the existing subscriber base. Further, non-VoLTE handsets
may allow voice calling through Jio Join, but it may not be seamless. With most
RJio customers likely to be data consumers, this could be addressed.
October 2016
39

Telecom | Battle Royale
2.
3.
Peer network gap:
RJio’s delay in launch over the last five years has allowed
incumbents, especially Bharti, to bridge large portion of the gap between
technologies. Bharti offers 4G in most of the metro and Tier I towns. Thus, there
is little reason to switch, except for the price factor.
Technology:
Majority of the developed countries, where operators upgraded to
4G, saw a steep migration of the ecosystem toward 4G-enabled audio/video
content, which forced operators to their upgrade network in order to normalize
consumer data experience. On the contrary, India’s content library can largely
be serviced with 3-5mbps speed, thus leaving little value of speed upgrades over
that base. Thus, in India, many cities and towns may be comfortable with 3G
speeds, provided there is a well-covered network.
RJio to reach 84m+ subscriber base by FY19 with subscriber share of ~7%:
Our base case suggests RJio should reach ~84m subscriber base with a subscriber
market share of ~7% by FY19. It would garner over 70% of the share from RCOM,
MTS, Aircel and other marginal players. The revenue market share loss of Top 3
telcos is 5.5pp over FY17-22E, largely led by the growing second SIM phenomena in
India. The market share impact on marginal players is expected to be 10.5pp.
Exhibit 52: Base case: Subscriber base (m)
200
150
100
50
0
FY17E
FY18E
FY19E
FY20E
FY21E
FY22E
Source: Company, MOSL
60
30
0.0
FY17E
FY18E
FY19E
FY20E
FY21E
FY22E
Source: Company, MOSL
84
102
120
Base case
Bull case
Bear case
Exhibit 53: Base case: Subscriber market share (%)
16.0
12.0
134
8.0
4.0
5.2
2.7
7.0
8.2
9.4
10.4
Base case
Bull case
Bear case
Marginal operators, Idea and Vodafone should be impacted:
While the large second SIM phenomena is expected to keep subscriber share loss to
the minimum for the top three telcos, the impact on gross RMS is starker. Bharti is
likely to lose 130bp, while Vodafone/Idea should lose 210bp gross market share
over FY17-22E. ~10.5% of the 18.1% expected gross RMS of RJio in FY22E is expected
to come from RCOM, MTS, Aircel and other marginal operators. This is because
RJio’s aggressive pricing strategy is expected to ensure supremacy in the second SIM
market – the Holy Grail for marginal players.
RJio’s pre-operational capital investments stretched at INR1.5t:
With over 2x of Idea’s capital employed and inching closer to that of Bharti’s, RJio’s
pre-operations capital investments stands tall at INR1.5t.
October 2016
40

Telecom | Battle Royale
Exhibit 54: Capital employed: RJio 2x of Idea’s pre-operations (INR b)
1595
1500
717
Bharti India
Idea
RJIO
Source: Company, MOSL
RJio: FY20 to mark EBITDA breakeven; return ratios to follow suit
Our base case builds EBITDA break-even in FY20 (FY21E EBITDA: ~INR37b). RoCE is
expected to hit positive territory in FY22 as we expect RJio to take ~5 years to
recoup its colossal pre-operational capital investments.
Exhibit 55: RJio: FY20 to mark EBITDA break-even; return ratios to follow suit
5.0
0.0
-5.0
-10.0
-15.0
-20.0
FY17E
FY18E
FY19E
FY20E
FY21E
FY22E
Source: Company, MOSL
RoCE (%)
EBITDA (INR b)
100.0
50.0
0.0
-50.0
-100.0
October 2016
41

Telecom | Battle Royale
Exhibit 56: Abridged Profit & Loss statement (INR m)
Abridged P&L
Data ARPU (INR/month)
Data Traffic (m MB)
Data Usage/sub/month (MB)
Data revenue (INR b)
Data RMS (%)
Total subscribers
ARPU (INR/month)
Total traffic (m MB)
Total revenue (INR m)
Gross RMS (%)
Tower Rental Cost
% of Sales
Spectrum and license costs
% of Sales
Access and Roaming Charge
% of Sales
Employee Expenses
% of Sales
Subscriber acquisition/servicing and admin costs
% of Sales
Ad exp
% of Sales
Total Expenditure
Consol EBITDA
EBITDA margin (%)
FY17E
215
67,500
1500
9675
3.0
30
215
81000
9675
0.5
10125
105
1064
11
2475
26
4125
43
9113
94
5000
52
31902
-22227
-229.7
FY18E
232
931,500
1725
125388
29.4
60
232
1101600
125388
6.9
73585.2
59
13793
11
22750
18
17820
14
33510
27
24000
19
185458
-60070
-47.9
FY19E
251
1,713,960
1984
216670
33.2
84
251
1999728
216670
10.9
106602
49
23834
11
36339
17
19246
9
41750
19
18000
8
245770
-29100
-13.4
FY20E
270
2,479,529
2222
300856
34.6
102
270
2867102
300856
13.9
130577
43
33094
11
46712
16
21825
7
46622
15
18000
6
296830
4026
1.3
FY21E
290
3,314,570
2488
386018
35.5
120
290
3800286
386018
16.6
154448
40
42462
11
55321
14
24042
6
52309
14
18000
5
346581
39437
10.2
FY22E
312
4,254,116
2787
475532
36.5
134
312
4827419
475532
19.0
181162
38
52309
11
57668
12
26485
6
57478
12
19440
4
394541
80991
17.0
Source: Company, MOSL
October 2016
42

Telecom | Battle Royale
Spectrum foot-print
RJio/Bharti dominate LTE spectrum holdings too
Bharti/RJio hold lion’s share in 4G LTE spectrum
Bharti/RJio together (21%/28%) hold ~49% of the current LTE spectrum pool. Their
4G spectrum holding is over 6x that of Vodafone/Idea. However, Bharti’s holdings
(212Mhz) in the 1,800Mhz band, which is globally more prominently used for 4G
(courtesy its more evolved infrastructure and device ecosystem), is almost double
that of RJio. We believe RJio’s spectrum sharing/trading deals with RCOM are
expected to cushion the shortfall. We believe RJio would prefer owning more
spectrums in the 1,800Mhz band to reduce dependence on RCOM.
Vodafone/Idea hold meager 8% share in current LTE spectrum pool
Vodafone and Idea have remained laggards in terms of 4G/LTE spectrum acquisition
with a meager 8% share. The no. 2 and 3 telcos will have to significantly increase
their 4G holdings to participate meaningfully in the imminent data explosion.
Exhibit 57: Operator-wise 3G/4G spectrum holdings (Mhz) and share (%)
Bharti
Vodafone
Idea
Reliance Jio
Others
3G
210
158
119
-
469
4G/LTE
552
145
60
739
1,117
3G (% share)
22.0
16.5
12.4
-
49.1
4G/LTE (% share)
21.1
5.6
2.3
28.3
42.7
Source: TRAI ,MOSL
LTE spectrum holdings well balanced across category circles
Bharti/RJio with ~20%/26% share in the 2825Mhz LTE spectrum pool are well
covered in most of the relevant circles to offer 4G services. RJio holds
28%/25%/26%/26% in Metros/A-circles/B-circles/C-circles. Bharti holds 23% in
metros and 19% each in A circles/B circles/C circles.
Exhibit 58: Operator/category-wise 3G/4G spectrum holdings (MHz)
Metro
3G
4G/LTE
28
89
38
24
10
-
-
111
54
163
130
387
A' Circle
3G
4G/LTE
48
132
37
38
39
25
-
166
94
270
218
631
B' Circle
3G
4G/LTE
59
184
67
43
60
25
-
260
165
422
351
934
C' Circle
3G
4G/LTE
76
147
15
40
10
10
-
202
157
263
258
662
Total
3G
4G/LTE
210
552
158
145
119
60
-
739
469
1,117
956
2,614
Bharti
Vodafone
Idea
Reliance Jio
Others
Total
Exhibit 59: Category-wise share in 3G/4G spectrum
Metro
3G
4G/LTE
22%
23%
29%
6%
8%
0%
0%
29%
41%
42%
A' Circle
3G
4G/LTE
22%
21%
17%
6%
18%
4%
0%
26%
43%
43%
B' Circle
3G
4G/LTE
17%
20%
19%
5%
17%
3%
0%
28%
47%
45%
C' Circle
3G
4G/LTE
29%
22%
6%
6%
4%
2%
0%
31%
61%
40%
Total
3G
4G/LTE
22%
21%
16%
6%
12%
2%
0%
28%
49%
43%
Source: TRAI, MOSL
Bharti
Vodafone
Idea
Reliance Jio
Others
October 2016
43

Telecom | Battle Royale
INR368b spectrum hole to be filled
Idea/Vodafone could be most active in upcoming auction
Idea needs to spend about INR151b at reserve price, while Vodafone and RJio
require INR85b and INR99b in the forthcoming 2016 auction. Bharti’s need-based
investment could be the least at INR31b.
For the top-3 telcos in the ecosystem, we
have assumed minimum requirement of 10Mhz in each circle in the
900Mhz/1800Mhz/2100Mhz bands for 3G and 4G coverage, and an additional 5Mhz
for voice. For RJio, we assume minimum 10Mhz of own spectrum (excluding RCom)
in the 800-1800Mhz band, which can be used for both voice and data. 2300Mhz is
excluded, given its usage as capacity band. Any telco falling short of this yardstick is
expected to acquire spectrum in the respective circles in the forthcoming 2016
auctions.
Bharti
We expect Bharti to spend ~INR25.4b, two-thirds of which is expected to go
toward acquiring 1,800Mhz, largely in Maharashtra to augment its 4G offering.
1.
Maharashtra – a bone of contention; competition to remain high:
Bharti, with
its relatively superior holdings, still has a few spectrum holes to fill. Bharti holds
18.5% gross RMS in Maharashtra, which is a large circle in terms of revenue
contribution, operates 4G on 2300mhz as its current 8.2Mhz holding in the
1,800Mhz band is not sufficient to service subscribers’ voice + data needs in the
circle. We believe
this circle might see increased bidding, considering Vodafone
and Reliance Jio too might eye at least a 5Mhz block each to fill their spectrum
holes in Maharashtra
(Maharashtra has 13.4Mhz to offer at a reserve price of
INR3.18b per Mhz).
No 3G in Kerala, but bidding intensity expected to be low
in the circle:
Bharti does not offer 3G services in Kerala, where it holds ~14.9%
gross RMS. But we believe the geography is not expected to see increased
bidding from competitors. Sufficient availability of the 2,100Mhz band, with
major operators (Vodafone/Idea/Reliance Jio) being adequately covered for 3G
services in Kerala, should allow Bharti to secure 3G services at reserve price.
Vodafone
Multiple spectrum holes to require INR85b spectrum outlay
1.
Five 10-15% market share circles have no 3G-4G services:
Vodafone’s lower
markets like AP, MP, HP and J&K (~10% gross RMS each) and Bihar (RMS is
14.4%) are expected to be focus areas, with 9% revenue contribution but no 3G
or 4G services. Vodafone would be forced to acquire spectrum to protect its
turf. However, any increase in reserve prices due to a bidding war in any of
these circles could further increase its spectrum spend.
2.
No 4G in Maharashtra:
Vodafone holds a meager 1Mhz spectrum in the
1,800Mhz band and no 2,300Mhz band spectrum in Maharashtra. Vodafone
holds 26% market share in a large market like Maharashtra where both Bharti
and Reliance Jio also need spectrum. Maharashtra has 13.4Mhz to offer at a
reserve price of INR3.18b per Mhz. This should push Maharashtra’s reserve price
in the event of intense bidding by Vodafone to acquire 1800Mhz spectrum.
3.
No 4G in high market share circles like TN, Haryana, UP West, Rajasthan, WB
and North-East:
Vodafone enjoys 20%+ gross RMS in TN, Haryana, UP West,
Rajasthan, 36.7% in West Bengal, and 16.6% in North-East. However, its lack of
spectrum holdings in the 1,800Mhz band is expected to have a bearing on its 4G
October 2016
44

Telecom | Battle Royale
footprint in these circles, and consequently, its bidding decisions for these
circles. Vodafone does not have enough 1,800Mhz spectrum holdings to offer
both voice and 4G services in North-East too.
Idea
INR151b spectrum requirement – spectrum insufficient in 16/22 circles for either
3G or 4G, or both; Idea needs the maximum quantum of spectrum in the
forthcoming auctions
1.
No 3G or 4G in Rajasthan, Bihar, Mumbai, West Bengal:
Idea holds 10% plus
market share in all these circles (together contributing 13%), but does not have
either 3G or 4G, which may force Idea to participate. Mumbai is a large market
and cannot be ignored. Since 1800Mhz spectrum is limited in Mumbai (only
4.8Mhz), it may lead to intense bidding, thus increasing the risk of high
acquisition cost or non-availability.
2.
No 4G in high market share circles like Gujarat, UP West, UP East and HP:
Being high market share circles, Idea may be interested to hold 4G spectrum to
compete and protect market share against Bharti and RJio, promoting advance
technology. Also UP (E) has only 5.4Mhz of 1,800Mhz spectrum available, which
could be critical from future requirement perspective.
3.
No 4G in Delhi and Kolkata:
Idea holds 12% and 8% market share in Delhi and
Kolkata, respectively. Kolkata is a large market, where only 4Mhz of 1,800Mhz
spectrum is available, which makes it critical for future requirement.
4.
No 3G in TN, Orissa and North East, but could see limited bidding:
There is a
possibility that few of Idea’s circles like TN, Orissa and North East (with low
market share and having 4G) may not see interest from Idea, which could save
about INR19.7b from our INR 151b expectation. However, this could be more
than offset by any increase in reserve price from the current levels.
Reliance Jio
INR99b investment to smoothen coverage gaps without RCom dependence
1.
No owned spectrum in 800-1800Mhz band in Punjab and UP (W):
With no
owned spectrum in 800-1800Mhz band, both Punjab and UP (W) may be high
priority for RJio. We expect INR17b for about 10 Mhz spectrum requirements.
2.
RJio’s owned holdings in 800 MHz + 1800 MHz band < 10Mhz in 12/22 circles:
RJio’s owned spectrum in 12/22 Indian circles is less than 10Mhz. There is no
compulsion to bid for spectrum in these bands, considering RJio has 2300Mhz
for capacity as well as spectrum sharing/trading deals with RCom. Given
Reliance’s philosophy of seeking strong competitive position, if it explores
independence from RCom’s spectrum and its own 2,300Mhz band for 4G
services, it may bid for the 1,800Mhz band in the 11 circles, incurring about
INR82b investment.
October 2016
45

Telecom | Battle Royale
Exhibit 60: Bharti’s spectrum investments requirement (INR m)
Bharti
Circles
Delhi
Mumbai
Kolkata
MH
Gujarat
AP
Karnataka
Tamil Nadu
Kerala
Punjab
Haryana
UP W
UP E
Rajasthan
MP
WB
HP
Bihar
Orissa
Assam
NE
J&K
Total
650
16,550
14,650
0
0
0
8,850
15,900
5,800
1800mhz
2100mhz
2300mhz
2500mhz
Total
0
0
5,800
15,900
0
0
0
0
8,850
0
0
0
0
0
0
0
0
0
0
0
0
650
31,200
Source: dot; MOSL, Company
October 2016
46

Telecom | Battle Royale
Exhibit 61: Vodafone’s spectrum investments requirement (INR m)
Vodafone
Circles
Delhi
Mumbai
Kolkata
MH
Gujarat
AP
Karnataka
Tamil Nadu
Kerala
Punjab
Haryana
UP W
UP E
Rajasthan
MP
WB
HP
Bihar
Orissa
Assam
NE
J&K
Total
2,000
550
650
53,010
550
32,050
0
0
4,550
3,818
2,300
800
3,100
1,000
4,300
1,900
6,150
4,800
3,850
4,550
10,692
13,600
15,900
1800mhz
2100mhz
2300mhz
2500mhz
Total
0
0
0
15,900
0
24,292
0
0
0
8,400
0
4,800
0
4,550
9,968
2,300
1,800
7,400
1,900
2,000
550
1,200
85,060
Source: dot; MOSL, Company
October 2016
47

Telecom | Battle Royale
Exhibit 62: Idea’s spectrum investments requirement (INR m)
Idea
Circles
Delhi
Mumbai
Kolkata
MH
Gujarat
AP
Karnataka
Tamil Nadu
Kerala
Punjab
Haryana
UP W
UP E
Rajasthan
MP
WB
HP
Bihar
Orissa
Assam
NE
J&K
Total
650
76,064
75,350
0
0
2,000
2,300
800
3,100
4,300
1,900
2,300
600
2,600
4,800
5,750
4,550
7,000
16,400
17,200
11,900
1800mhz
19,950
14,304
5,960
23,050
2100mhz
2300mhz
2500mhz
Total
19,950
37,354
5,960
0
11,900
0
16,400
17,200
0
0
0
4,800
5,750
11,550
0
4,900
800
7,400
1,900
4,300
600
650
151,414
Source: dot; MOSL, Company
October 2016
48

Telecom | Battle Royale
Exhibit 63: Reliance Jio’s spectrum investments requirement (INR m)
Reliance Jio
Circles
Delhi
Mumbai
Kolkata
MH
Gujarat
AP
Karnataka
Tamil Nadu
Kerala
Punjab
Haryana
UP W
UP E
Rajasthan
MP
WB
HP
Bihar
Orissa
Assam
NE
J&K
Total
650
99,322
0
0
0
3,100
2,300
9,000
1,660
7,700
2,350
9,600
5,750
15,900
11,900
10,692
7,770
800 Mhz
900 Mhz
1800mhz
19,950
2100mhz
2300mhz
2500mhz
Total
19,950
0
0
15,900
11,900
10,692
7,770
0
1,660
7,700
2,350
9,600
5,750
0
0
2,300
0
3,100
0
0
0
650
99,322
Source: dot; MOSL, Company
October 2016
49

Telecom | Battle Royale
Exhibit 64: Gross Revenue Market Share (%)
Circles
Delhi
Mumbai
Kolkata
MH
Gujarat
AP
Karnataka
Tamil Nadu
Kerala
Punjab
Haryana
UP W
UP E
Rajasthan
MP
WB
HP
Bihar
Orissa
Assam
NE
J&K
Bharti
34.1%
23.8%
26.6%
18.5%
16.3%
41.0%
48.4%
33.2%
14.9%
30.6%
17.8%
21.0%
28.3%
46.1%
23.1%
32.6%
44.9%
46.3%
41.5%
36.8%
47.7%
40.4%
Vodafone
27.3%
33.4%
33.6%
26.0%
37.8%
10.3%
13.9%
23.6%
22.6%
18.0%
27.7%
22.2%
28.7%
22.0%
9.7%
36.7%
9.9%
14.4%
17.3%
21.7%
16.6%
9.6%
Idea
12.0%
10.3%
7.6%
33.1%
22.8%
24.7%
11.4%
6.2%
41.9%
30.6%
27.1%
31.7%
14.1%
14.5%
41.8%
9.4%
13.3%
14.5%
5.8%
5.3%
4.6%
Reliance Jio
0.0%
0.0%
0.0%
0.0%
0.0%
0.0%
0.0%
0.0%
0.0%
0.0%
0.0%
0.0%
0.0%
0.0%
0.0%
0.0%
0.0%
0.0%
0.0%
0.0%
0.0%
7.1%
0.0%
Source: dot; MOSL, Company
Not present in circles
4g LTE
3g
Both
For Reliance Jio not present in circles (excluding 2300mhz
Min 10Mhz of owned
Min 5Mhz of owned
Exhibit 65: Total spectrum investments required (INR m)
Bharti
Vodafone
Idea
RJio
Total
31,200
85,060
151,414
99,322
366,996
Source: dot; MOSL, Company
11%
31%
54%
36%
October 2016
50

Telecom | Battle Royale
Ecosystem development progressing well
1800Mhz, 800Mhz and 2100Mhz most compatible for LTE
upgrades
The most widely used spectrum for LTE network deployments continues to be
1,800MHz (3GPP band 3), which is used in 246 commercially launched networks in
110 countries to represent over 47% of LTE network deployments. The next most
popular band for LTE systems is 2.6 GHz (band 7) used in 121 networks. 800MHz
(band 20) is by far the next most popular spectrum choice, being used by 119 LTE
operators.
For 4G network rollout, while 1,800Mhz and 800Mhz have remained the most
common bands for coverage, 2,600Mhz and 2,100Mhz are widely used capacity
spectrum globally. 2,100Mhz is also the third most preferred spectrum band globally
due to its device compatibility with 3G services. This makes 1,800Mhz, 800Mhz and
2100Mhz amongst the key spectrums in India. 2100Mhz, which is currently used for
3G, could be a vital spectrum due to the potential transition to 4G. Thus, operators
may look to acquire 210Mhz due to its current 3G as well as future 4Gcapability.
Exhibit 66: Globally preferred LTE networks
Rank
1st
2nd
3rd
th
4
Spectrum
1800 MHZ
2600GHZ
800MHZ/700mhz
2100mhz
1700mhz/1900mhz/2500MHZ
/2300MHZ/
Countries
UK, France, Italy, Japan
Germany, Italy
UK, France, Germany, Italy, US, Japan,
US, Japan,
US, Japan, China, India
Source: GSMA, August 2016
Exhibit 67: Band-wise Device Ecosystem
LTE FDD
1800 Mhz band 3
2600 Mhz band 7
2100 Mhz band 1
800 Mhz band 20
800/1800/2600 tri-band
AWS band 4
850 Mhz band 5
900 Mhz band 8
1900 Mhz band 2
700 Mhz band 17
700 Mhz band 13
APT700 band 28
700 Mhz band 12
1900 Mhz band 25
No. of compatible Devices
3,227
2,993
2,613
1,809
1,710
1,365
1,334
1,253
1,159
1,123
607
372
281
271
Source: Evolution to LTE report, GSA,July 2016
Volte Global Deployment
While VoLTE is only used by RJio presently in India, it has started seeing good
traction globally. 82 operators in 43 countries have commercially launched VoLTE-
October 2016
51

Telecom | Battle Royale
HD voice service, and additional 146 operators are investing in VoLTE in 68
countries. We believe that differentiation between voice and data will fade in the
long term as connectivity will be on IP. However, India may be far away from the
transition period, given the priority toward data investments and no material value
adds with VoLTE. The only reason for the shift could be that it would allow telcos to
free spectrum assigned for GSM-led voice and use it for data.
Exhibit 68: Country-wise number of operators using Volte
Region
Oceania
Europe
Asia
North America
Middle East
Africa
Total
No of countries
1
17
13
2
5
5
43
No of Operators
3
18
32
9
7
4
73
Source: Status of the LTE Ecosystem, June’16
India’s smartphone penetration low, but growing fast
India’s smartphone penetration is about 28%, compared to other regions where
4G/3G remains highly penetrated. Developed markets have smartphone penetration
of over 60%. This has been a key deterrant to 3G/4G data absorbtion. While India’s
overall data penetration is about 31%, nearly 60% are using 2G data, which does not
require a smartphone. Smartphone-led 3G/4G penetration can more than double
data consumption per user.
October 2016
52

Telecom | Battle Royale
Exhibit 69: Smartphones and Data Usage
Particulars
Active Subs (VLR)
Data subscribers (mn)
growth
as a % of smartphone
3G,4G base (mn)
growth
as a % of smartphones
as a % total users
as a % data users
Smartphone Base(mn)
growth
as a % of active subs
Smartphone shipment (mn)
as a % of total handset
growth
Monthly Smartphone shipments(mn)
growth
Total handset shipment (mn)
growth
Increase in base(mn)
Replacement(mn)
% of shipment
as a % of smartphone
183.4
0.9
4.5%
11.2
6%
28.94
44
52.0%
6.3%
15.2
7%
36%
1.3
36%
221.6
21%
15.06
0.14
1%
49%
5%
18%
83
88.6%
10.9%
41.99
17%
176%
3.5
176%
247
11%
39
2.99
7%
0%
325%
CY 11
644.86
CY 12
700.07
143.2
CY13
761.55
219.92
54%
265%
40.27
CY14
824.37
248.06
13%
158%
70.42
75%
45%
9%
28%
157
89.4%
19.1%
77.1
30%
84%
6.4
84%
257
4%
74
3
4%
2%
CY15
899.86
311.7
26%
130%
120
70%
50%
13%
38%
239
52.0%
26.6%
97.11
39%
26%
8.1
26%
249
-3%
82
15
16%
6%
Q1,CY 16
925.81
322.21
3%
125%
132.77
11%
51%
14%
41%
259
8.3%
28.0%
23.5
44%
-76%
7.8
-3%
54
-78%
19.8
4
16%
1%
Source: CMR,TRAI,CISCO,MOSL
October 2016
53

Telecom | Battle Royale
Exhibit 70: Smartphone penetration in countries
India
Turkey
Europe
Greece
Portugal
Netherlands
Spain
UK
Italy
Germany
63%
61%
60%
59%
35%
34%
32%
49%
61%
59%
70%
70%
77%
28%
27%
Q1 16/17
65%
64%
61%
58%
2015
2014
19%
46%
52%
63%
64%
60%
72%
71%
68%
50%
52%
Source:Vodafone Presentation (Q1FY17), MOSL
Higher proportion of smartphone shipments should accelerate penetration
While smartphone sales as a proportion of feature phone increased from single-digit
in FY11 to about 39% in CY15, and is likely to be about 52% in CY16, we think the
smartphone base has reached a critical mass. This change should accelerate
smartphone penetration as larger share of replacement will be toward
smartphones.
Handset replacement cycle is about 18-24 months. If we assume feature phone
subscribers move to smartphones, in ideal situation, smartphone penetration should
accelerate. However, feature phone proportion of total handset shipments
remained high over the years, indicating that feature phones were the 1
st
choice of
replacements.
October 2016
54

Telecom | Battle Royale
Exhibit 71: Handset shipments and smartphone share (%)
Total Handset(mn)
smartphone share
52.0%
221.6
247
17.0%
6.1%
2011
6.9%
2012
2013
2014
2015
257
30.0%
249
120
H1 2016
2016E
252
39.0%
43.5%
183.4
Source: Source:CMR,India Emerging Smartphone Brands, June 2016
Reducing average selling price of smartphones aiding growth
Average selling price of smartphones continues to reduce, enabling faster transition
from feature phones to smartphones. This is indicative of the large base of about
162 brands with 468 models sold in CY15, thus intensifying competition. Emerging
brands’ (launched FY13 onwards) share in total handsets grew from 3% in CY13 to
16% in CY15, and is estimated at 25% in CY16. These wider SKUs at lower range,
emerging brands has further accelerated smartphone absorption rate.
In CY15 and YTD CY16, 21 and 7 new brands were launched, respectively. The
prominent emerging brands include RJio’s JYF, and LeEco.
Exhibit 72: Prominent emerging brands launched since CY13
Brands
Gionee
Panasonic
Maxx
DatawInd
Xiaomi
OnePlus
Oppo
Vivo
Asus
InFocus
LYF
Qiku
Meizu
Year of Launch
CY13
CY13
CY13
CY13
CY14
CY14
CY14
CY14
CY14
CY15
CY15
CY15
CY15
Source: Company, MOSL
October 2016
55

Telecom | Battle Royale
Exhibit 73: Average selling price of smartphones
CY2016E
CY2015
Exhibit 74: Emerging smartphones by price bracket
71%
78%
2013
2015
81%
75%
21% 19%
4% 3%
4% 0%
6%
7%
13%
18%
Above Rs. 20,000
Rs. 10,000-20,000 Less than Rs. 10,000
Source: CMR, India Emerging Smartphone Brands, June 2016
Source: CMR, India High End Smart phone Market, June 2016
Exhibit 75: Emerging brands share increasing smartphone
sales
Emerging Brands
Established Brands
Exhibit 76: Indian smartphone market share by vendor
28.6%
26.6%
2015
Q1,2016
36.3%
29.3%
97%
91%
84%
75%
14.3%
11.4%
12.6% 9.6%
9.2%
8.2%
7.1% 6.8%
3%
2013
9%
2014
16%
2015
25%
2016E
Source: IDC, May 2016
Source:CMR,India Emerging Smartphone Brands, June 2016
LTE devices making inroads
LTE devices are the first choice of smartphones as handset makers are widening the
SKUs for LTE models. Also, telcos promoting 4G subscription are pushing consumers
to adopt LTE-enabled handsets to upgrade services. Nearly 50m handsets are LTE-
enabled in India. As of Q1CY16, about 63% of total smartphones sold are LTE-
enabled, growing from 33% in CY15. This trend is likely to continue as we expect
majority of new devices over the next few years to be LTE-enabled, supporting 4G
ecosystem development. Among handset makers, Samsung, Lenovo and RJio’s
recently launched LYF are driving LTE device uptick with wider models.
October 2016
56

Telecom | Battle Royale
Exhibit 77: Share of LTE-enabled smartphones growing
(m pieces)
Lte smartphones
Non-LTE smartphones
Feature phone
Exhibit 78: LTE devices market leaders in India (H1 2016)
Others
42%
Micromax
9%
LYF
8%
152
68
65
32
2015
19
33
H1 2016
Source:CMR Report,June 2016
Samsung
41%
Source:CMR Report,Sept 2016
Over 50% of smartphone users not shifted to 3G/4G
While smartphone penetration is yet to reach a sizeable base, nearly 50% of
smartphone users i.e ~130m active VLRs (14% of VLR users) remain non-3G/4G
users. We think this offers a reasonable base of subscribers for telcos to improve
data absorption. Our discussion with management has indicated that this non-usage
of 3G/4G data could be due to low relevance of data for smartphone users. While
content development could play a role in increasing data consumption, we think
India’s ARPU-centric subscribers could be attracted toward higher data usage
through price elasticity of demand.
Exhibit 79: 2G and mobile broadband subscriber base (m)
2G subscriber base
36.6
22.3
37.4
32.3
23.9
30.5
3G+4G subscriber base
Bharti
Vodafone
Idea
Source: MOSL
Exhibit 80: Large portion of India yet to be covered with 3G/4G (%)
2015
~95
>95
2021
~90
~55
~45
~15
GSM/EDGE
WCDMA/HSPA
LTE
Source: Ericsson Mobility Report, June 2016
October 2016
57

Telecom | Battle Royale
Data coverage needs to grow v/s other markets
According to Ericsson Mobility Report, 3G technology covered around 55% of India’s
population in 2015. This is expected to increase to around 90% in 2021. LTE
technology coverage, which was just about 15% in 2015, is expected to increase to
45% in 2021. We observe that 3G/4G coverage need not be across the entire circle,
but has to be covered in targeted pockets of high-data consumption. Even within
metros and tier 1 cities, prime locations need wider coverage v/s other areas. Thus,
overall population coverage may remain low, but larger high-consuming pockets
could provide higher data traffic growth. Yet we note that, compared to other
markets where data penetration is high, India’s data coverage remains low.
Exhibit 81: Large portion of territory covered by broadband, but remains unsubscribed
Not covered by mobile broadband(3G or 4G)
Covered but do not subscribe to mobile broadband
Subscribe to Mobile Broadband
21%
53%
27%
13%
77%
10%
21%
71%
8%
10%
70%
20%
10%
69%
21%
45%
43%
12%
7%
67%
26%
20%
65%
15%
24%
62%
14%
10%
59%
31%
30%
47%
23%
8%
46%
46%
21%
36%
43%
2%
32%
66%
Source:GSMA, Connected Society, 2016
In India, 45% of the population is not covered by 3G/4G. Out of the 1.01b
subscribers, 55% are covered but only 12% have subscribed for 3G/4G data.
Furthermore, about 19% of subscribers are covered by 3G but use 2G data. This
shows that there is huge potential for growth in 3G/4G data.
This is a concern shared by most of the Asian countries which have high data
coverage but low data penetration rate. Thailand and China are the two countries
which have higher proportion of data subscribers compared to the category of
subscribers which are covered but not subscribed.
The issue of non-subscription to data services in India could be attributed to lack of
relevance of online content as well as pricing. While pricing needs to come down
drastically to improve demand elasticity, we think RJio-triggered price decline could
support data growth.
Also, the increase of local content and educating consumers about the relevance of
data usage should improve the penetration rate.
October 2016
58

Telecom | Battle Royale
Exhibit 82: Ecosystem upgrading towards LTE
Source: Ericsson Mobility Report, June 2016
The LTE technology started gaining traction in 2015. As per Ericsson report, mobile
broadband usage is set to increase dramatically with smartphone subscriptions and
increase in mobile traffic (smartphone subscriptions and mobile traffic are expected
to rise 4-fold and 15-fold between 2015 and 2021 to reach 810m and 4.5 ExaBytes
(EB) per month, respectively).
Exhibit 83: Operator-wise 2G/mobile broadband sites in India (1QFY17)
2G sites
Mobile broadband sites
68,500
48,825
97,714
Bharti
134,000
71,170
127,835
12,265
63,929
Vodafone
Idea
Rcom
Source: MOSL
Mobile internet, voice and text and non-mobile subscribers in Asia
20% of the population in India does not own a mobile. Out of the rest 80%, only 31%
use data services (2G, 3G and 4G). Even within this, 19% are 2G subscribers. The
remaining 55% of the population use mobiles for only voice and text services. This
offers huge potential to tap subscribers, subject to ecosystem development. While
Japan and South Korea are model states with 70-80% data subscriber base out of
the total population, even China (which started 3G just a year before India) has
reached a substantially high rate of 62% data subscription.
October 2016
59

Telecom | Battle Royale
Exhibit 84: Technology usage-wise global population split
Mobile Internet
10% 8%
Voice and text only
Non Mobile
21%
22% 28%
22% 20%
11% 20% 26% 27%
31% 34%
38%
47% 45%
6%
56% 58% 62%
11% 18%
38%
26%
44%
17%
33% 31%
55%
24% 27%
79%
72% 68%
16%
23% 19%
62% 60%
46% 45% 41%
36% 35% 34%
25% 29% 28% 27% 20% 20%
Source:GSMA, Connected Society, 2016
Exhibit 85: Content ecosystem: Smartphone is used while commuting
Source:EY,Future of Digital Content Consumption in Inida, Jan 2016
As evident from the chart, people mostly use smartphones while travelling and
during lunch, largely for browsing, social networking and watching online videos.
Smartphones are least used for downloading content. On the contrary, desktop
(which is largely used at workplaces) is used for downloading multiple files apart
from browsing. This indicates that more than speed, customers prefer good network
quality – most of the content can be accessed at less than 5mpbs speed, leaving
little value for higher speed. However, speed or network variation could lead to
inaccessibility, leading to bad consumer experience.
October 2016
60

Telecom | Battle Royale
Barriers to internet usage in India
GSMA Intelligence consumer survey 2015 (study of common barriers for usage of
internet) indicated that the lack of awareness and locally relevant content remained
the key factor for lower usage of data in India. China was the only country in the
survey where the key barrier for not using data was lack of digital skills. Surprisingly,
none of the countries mentioned lack of network coverage as a major hindrance.
Exhibit 86: Coverage remains the least important reason for data’s non usage
Barrier
China
India
Indonesia
Philippines
Thailand
Vietnam
Asia
Lack of awareness and Lack of digital literacy and
locally relevant content
skills
Affordability Barrier
30%
89%
11%
80%
21%
23%
75%
10%
46%
51%
27%
13%
88%
23%
22%
80%
20%
24%
72%
24%
25%
Lack of network
coverage
0%
3%
2%
8%
1%
0%
3%
Security and
trust barrier
2%
4%
3%
1%
2%
1%
2%
Other
15%
9%
12%
22%
3%
12%
12%
High perceived Barrier
Low perceived Barrier
Source: GSMA
Lack of local content availability
The content and services provided on the internet do not reflect cultural and
linguistic diversity of the world. For example, more than 50% of websites worldwide
are in English, 2% are in Mandarin and less than 0.1% in Hindi. Readers’ preference
for websites in local language was high, especially in China and India. Also, most of
the content surfed in Asia is for entertainment purpose. This creates a
misconception among non-users that internet is only for entertainment purpose and
they fail to realize other utilities that internet can provide.
October 2016
61

Telecom | Battle Royale
Exhibit 87: Most commonly spoken Asian languages v/s % of websites worldwide in
language
speaker in survey countries
Chinese, Mandarin
Hindi
English
Indonesian
Bengali
Japanese
Telugu
Marathi
Tamil
Chinese,Wu
Vietnamese
Thai
Filipino
Urdu
Kannada
Chinese,Yue
Gujarati
Chinese, Huizhou
0.5%
3%
3%
3%
3%
3%
3%
2%
0.6%
2%
0.3%
2%
2%
2%
2%
2%
2%
Source: GSMA Intelligence Consumer Survey 2015
7%
2.0%
10%
14%
54.0%
website in language worldwide
35%
5mbps good enough for major data needs
One of the key factors promoted by telcos while promoting data services is the
speed they offer. In reality, majority of the content requires much lesser speed but
seamless connectivity. Most of the developed countries’ data connectivity moved
from 3G to 4G after nearly 8-10 years of data consumption on 3G. During this phase,
the content matured over time to high-quality HD and ultra HD, which required
higher data speed. Subsequently, telcos migrated to better technologies like LTE-
based 4G services.
Contrastingly in India, even before 3G penetration increased, the fear of RJio’s 4G
launch pushed all operators to migrate to 4G. In reality, India’s local content (apart
from You Tube videos) is far from maturing to HD and Ultra HD content as nearly
90% of content (including audio/video streaming) can be comfortably streamed on
3-5mbps of stable speed. The key deterrent apart from pricing is the quality of
network, which does not allow seamless data connectivity for high-data-consuming
content like audio/video streaming.
October 2016
62

Telecom | Battle Royale
Exhibit 88: Speed requirement for video streaming
0.5 Mbps – minimum Internet speed for streaming
1.5 Mbps – recommended Internet speed for streaming
3.0 Mbps – recommended Internet speed for Standard Definition (480) streaming
5.0 Mbps – recommended Internet speed for High Definition (1080) streaming
25 Mbps – recommended Internet speed for Ultra High Definition (4K) streaming
Source: Netflix
Average global 4G speed above 25-30mbps
We conducted speed test across multiple geographies to understand 4G network
speed. Typically, we observed speeds on average are significantly higher in outdoor
locations at about 35-40mbps, while indoor areas, basement tunnel or city outskirts
have about 50% lower speed at about 15-20mbps, in line with India. Average 4G
data speed in those geographies was nearly 2-3x higher than India’s 4G speed, with
minimum data speed at upward of 15mbps. Also, speed variations there were
relatively low, allowing seamless access to high-quality content like video streaming
even while commuting. On the other hand, static locations in India have good data
connectivity especially in larger cities, but while commuting, connectivity remains
abysmal in comparison to other countries.
October 2016
63

Telecom | Battle Royale
Exhibit 89: Average global 4G speeds (Indoor and Outdoor)
Moscow, Russia
Moscow, Russia
Moscow , Russia
Moscow, Russia
Al Ahmadi, Kuwait
Kuwait City, Kuwait
Dar es Salaam, Tanzania
Dar es Salaam, Tanzania
Dubai
Sydney, Australia
Sydney, Australia
Singapore
Hartford, Connecticut, United States
New Jersey, USA
New York, USA
New York, USA
Mumbai, India
56.92Mbps
20.62Mbps
34.19Mbps
19.38Mbps
99.48Mbps
53.07Mbps
3.87 Mbps
2.72Mbps
24.81 Mbps
10.16Mbps
29.8 Mbps
23.24Mbps
18.67Mbps
21.7Mbps
17.7Mbps
16.36Mbps
4.29Mbps
Outdoor - Prime locations
Indoors
Outdoor - Prime locations
Indoors
Outdoor - Prime locations
Outdoor - Prime locations
Outdoors
Outdoors
Outdoor
Indoor
Indoor
Outdoor
Indoors
Outdoor
Outdoor
Outdoor
Source: Company, MOSL
October 2016
64

Telecom | Battle Royale
Companies
BSE Sensex: 28,243
S&P CNX: 8,738
October 2016
Companies
Bharti Airtel
Idea Cellular
Bharti Infratel
67
75
82
rd
Prices as of 3 October 2016
October 2016
66

Bharti Airtel
BSE Sensex
28,243
S&P CNX
8,738
Update | Sector: Telecom
Telecom | Battle Royale
CMP: INR319
TP: INR410 (+30%)
Buy
Well invested to survive this turbulence
Stock Info
Bloomberg
Equity Shares (m)
M.Cap.(INR b)/(USD b)
52-Week Range (INR)
1, 6, 12 Rel. Per (%)
Avg Val. (INR m)
Free float (%)
BHARTI IN
3,997.4
1,263/18.9
385 / 282
-7/-16/-10
1,307
33.3
Ahead of the technology curve, which keeps it in good stead:
Bharti’s early 4G
launch and wide data coverage remain its key strengths. The company’s staggered
4G launch since 2012 (perceived to be ahead of ecosystem development) has helped
it gain a first-mover advantage. Bharti has since then tested the network to
eliminate network glitches. In the battle of network capacity, it is clearly well placed
in the data market.
Highest spectrum in the industry:
Bharti’s overall spectrum of 762Mhz is the
highest in the industry, even ahead of RJio. In addition, it has about 108,000
broadband towers, i.e. 68% coverage v/s its 2G sites. This is nearly 18,000 more
than RJio and about 1.5-2x higher than Vodafone and Idea, providing it
wherewithal to compete in a capital-intensive spectrum starved market.
3G/4G across all circles with 68% coverage:
Bharti has commercially started
broadband services across 22 circles with a deep 68% coverage: 3G in 21 circles
and 4G in 22 circles.
2G fall back in addition to broadband coverage:
Bharti’s 2G fall back option also
allows it to offer seamless voice calling to about 69% of voice-only subscribers.
These sites are in addition to the broadband sites that match RJio’s cell sites.
High FCF generation; well-capitalized balance sheet:
Bharti’s consolidated annual
operating cash flow of over INR330b holds it in a very good stead. Even after
deducting overall capex of INR200b, it would hold strong FCF of ~INR130b and be
Estimate change
sufficiently capitalized for INR85b of annual interest cost. Debt including deferred
TP change
payment stands at INR960b as of Q1FY17, but its net debt to EBITDA at 2.4x remains
Rating change
comfortable. With majority of its spectrum investment completed, Bharti has
limited spectrum-related capex, putting it in a better position v/s peers like
Shareholding pattern %
As on
Jun-13 Mar-13 Jun-12
Vodafone, Idea and other marginal players.
Promoter
Dom. Inst
Foreign
Others
43.6
8.2
43.1
5.2
45.8
8.6
40.3
5.4
45.7
39.9
Financials & Valuation (INR Billion)
Y/E Mar
2016 2017E 2018E
Net Sales
965.3 971.4 1,013.2
EBITDA
339.8 354.6 364.0
NP
49.1 52.7 45.6
EPS (INR)
12.3 13.2 11.4
EPS Gr. (%)
78.4
-5.6
-7.1
BV/Sh. (INR) 164.2 174.2 183.0
RoE (%)
7.7
7.8
6.4
RoCE (%)
6.2
6.2
5.7
DivPayout(%) 17.0 20.5 22.6
Valuations
P/E (x)
26.0 24.2 28.0
P/BV (x)
1.9
1.8
1.7
EV/EBITDA(x)
6.4
6.1
5.8
Div. Yield (%)
0.7
0.7
0.7
Stock Performance (1-year)
Africa – FCF positive foray, INR -90/share value factors in downside:
With the
announcement of sale of businesses in two African countries as well as tower sale,
6.0
management clearly appears to check losses in Africa with a mandate to turn FCF
positive. Our channel checks with African operators and market participants indicate
that Bharti is exploring options to either exit or consolidate with another operator in
circles where it does not expect to turn profitable. Bharti has turned FCF (EBITDA
minus capex) positive with INR640m as of 1QFY17. We expect 50bp margin
contraction in Africa until 4QFY18, valuing it at INR -90/share equity value, thus
largely factoring in the negative.
Bharti holds 27% of broadband data subscribers; growing LTE handset base more
favorable for RJio:
Bharti had about 27% broadband subscriber market share
(35.5m) in a total broadband market of 132m (as of 4QFY16). This broadband
8.4
October 2016
67

Telecom | Battle Royale
subscriber base is minuscule at 14% of total active subscribers (60% of data overall
subscriber base). We think these subscribers as well as incremental growth will be
vulnerable in the near term, given RJio’s free voice and data services until Dec-16
and low-priced 4G data services. With only about 50m LTE handsets in the industry,
the pool remains small, but high proportion of LTE-based smartphone shipment
could expand the market and threaten Bharti’s data growth.
Competitive pricing to hurt earnings:
RJio’s four-month free voice and data offering
could have a strong impact on subscriber churn as well as voice and data traffic
market share. Bharti’s price plans are about 20-50% higher v/s RJio’s price plans.
Also, RJio’s voice price plan at INR149/28 days is above Bharti’s voice ARPU of INR
139, but could attract many high ARPU voice subscribers. We believe this is just the
beginning and there could be multiple pricing-led new offerings in the market across
telcos, which could change the course of the business trajectory. We have revised
down our India wireless revenue estimate by 6-9% over FY17-19E. Subsequently, our
consolidated revenue and EBITDA estimates are revised down 6-9% and 7-12%,
respectively, over FY17-19E. Our estimates remain fluid as we foresee multiple
reactions by telcos to protect their market shares.
Stock factors in uncertain competitive environment:
We maintain our TP of
INR410/share despite the earnings cut, valuing the company on FY19E EBITDA. We
believe, Bharti’s strong competitive position should allow it to hold in good stead.
The stock is trading at 5.8x consolidated FY18E EBITDA. Our SOTP values: 1) India
wireless at 6x EV/EBITDA FY18E, 2) Tower business is valued at 20% discount to
Bharti Infratel’s fair value, 3.) Africa is valued at 3x EV/EBITDA FY19E. Pressure on
earnings and market share should continue to keep the stock under pressure over
the next 6-9 months, even as we believe Bharti is competitively positioned in the
telecom market.
Exhibit 90: Bharti Airtel: SOTP-based on FY19
EBITDA
(INR b)
320
52
Owner-
ship
100%
72%
90%
Proportionate EBITDA
(INR b)
320
46
EV/
EBITDA
6
3
Fair Value
(INR b)
1939
488
139
918
3485
Value/
Share
485
122
35
230
412
India SA business (excl. towers)
Tower business (15% discount to fair value)
Africa business
Less net debt
Total Value
Shares o/s (b)
CMP (INR)
Upside (%)
4.0
319
29.2
Source: Company, MOSL
October 2016
68

Telecom | Battle Royale
Story in Charts
Exhibit 91: Bharti: India mobile KPIs
Mobile ARPU (INR)
Mobile RPM (p)
52.9
Mobile MoU (mins)
28.4 29.7
Exhibit 92: Bharti India: YoY mobile traffic growth (%)
Bharti India: YoY mobile traffic growth (%)
49.9
44.2 43.6 42.5 44.5 47.5 47.1 46.2 46.7
12.2
8.6
6.7
4.9
8.4
4.5
2.3
1.9
FY10 FY11 FY12 FY13 FY14 FY15 FY16 FY17E FY18E FY19E
Source: Company, MOSL
Source: Company, MOSL
Exhibit 93: Bharti India: Mobile RPM trend (incl. data)
YoY RPM (%)
0.53
Mobile RPM (INR)
Exhibit 94: Bharti India: Mobile data traffic
Data traffic (b MB)
621
YoY growth (%)
1,644
1,039
287
91
FY15
FY16 FY17E FY18E FY19E
Source: Company, MOSL
498
73
682
37
52
58
0.50
0.44 0.44 0.43 0.44 0.47 0.47 0.46 0.47
5
7
1 7
-16
-1
-2
-1
-2
-17
10
FY12
Source: Company, MOSL
151
72
109
FY13
FY14
Exhibit 95: Bharti India: Data revenue contribution and
ARMB
Data revenue per MB (p)
Data revenue (% of wireless)
37
31
41
1
FY12
FY13
FY14
FY15
5
29
10
22
15
27
24
19
16
14
23
28
Exhibit 96: Bharti India: Mobile churn rate per month (%)
8.8 8.5
5.9
3.2 3.2 3.2
3.3 3.5 3.4 3.3
2.8
2.7 2.4 2.7 3.1 2.7 2.5
FY16 FY17E FY18E FY19E
Source: Company, MOSL
Source: Company, MOSL
October 2016
69

Telecom | Battle Royale
Story in Charts
Exhibit 97: Bharti v/s Idea: YoY India mobile traffic growth
(%)
Bharti QoQ growth
50.0
40.0
30.0
20.0
10.0
0.0
-10.0
Idea QoQ growth
40.1
Exhibit 98: India mobile revenue and EBITDA margin
India mobile revenue
EBITDA margin (%)
37.9 36.5 36.5
33.9 33.1
33.9 35.3
30.2 32.3
504
544
331
363
403
419
449
556
574
625
FY10 FY11 FY12 FY13 FY14 FY15 FY16 FY17E FY18E FY19E
Source: Company, MOSL
Source: Company, MOSL
Exhibit 99: Africa revenue and EBITDA margin
Africa mobile revenue
26.5
21.9
26.2
26.1
EBITDA margin (%)
Exhibit 100: Bharti: Mobile cell site base and quarterly
additions
Cellsites ('000)
11.5 11.4
12.9
10.0
7.8
7.6
154
164
4.6
105
116
121
134
5.0
139
8.3
172
5.9
178
Sites added ('000)
22.7
21.1
22.0
21.8
21.9
131
198
240
272
269
251
218
217
235
147
FY11 FY12 FY13 FY14 FY15 FY16 FY17E FY18E FY19E
Source: Company, MOSL
FY10 FY11 FY12 FY13 FY14 FY15 FY16 FY17E FY18E FY19E
Source: Company, MOSL
Exhibit 101: Consolidated net debt and net debt/EBITDA
Net Debt (INR b)
3.0
2.9
2.6
Net Debt/EBITDA (x)
2.7
2.2
928
2.5
2.3
2.3
1.7
841
615
0.0 24
FY10
FY11
675
609
638
690
919
696
FY12
FY13
FY14
FY15
FY16
FY17E
FY18E
FY19E
Source: Company, MOSL
October 2016
70

Telecom | Battle Royale
Exhibit 102: Key assumptions and value drivers
Mobile segment
Mobile - India
Subs (m)
YoY (%)
Total voice traffic (b min)
YoY%
Total data traffic (b MB)
YoY%
Average Rev Per User (INR/month)
YoY%
Minutes of Use/Sub/Month
YoY%
Mobile RPM (INR)
YoY%
Voice revenue per min (p)
YoY%
Data revenue per MB (p)
YoY%
Voice revenue (INR b)
YoY %
Data revenue (INR b)
YoY %
Data revenue as % of total revenue
Mobile - Africa
Subs (m)
YoY (%)
Netadds per month (m)
ARPU (USD/month)
YoY (%)
EBITDA margin (%)
21.9
44
22
0.7
7.3
53
20
0.7
7.1
-3
26.5
64
20
0.9
6.3
-11
26.2
69
9
0.5
5.6
-11
26.1
76
10
0.6
5.0
-10
22.7
81
6
0.4
4.0
-21
21.1
72
-11
-0.7
3.6
-11
22.0
78
8
0.5
3.6
1
21.8
84
8
0.5
3.6
0
21.9
1
303
5
331
9
4
201.1
-17.2
455
-1
0.442
-16.5
38.3
-19
187.8
-7
431
-5
0.436
-1
37.3
-3
41.0
162
27
792
30
181
12
889
12
10
188
4
965
9
72
621
185.1
-1
436
1
0.425
-2
35.3
-5
31.0
-24
341
3
22
445
5
206
9
1030
7
151
109
193.9
5
436
0
0.445
5
36.8
4
29.0
-6
379
11
44
95
10
226
10
1081
5
287
91
198.1
2
417
-4
0.475
7
37.4
2
27.2
-6
404
7
78
79
15
251
11
1171
8
498
73
192.9
-3
409
-2
0.471
-1
34.1
-9
24.2
-11
400
-1
120
54
22
267
6
1225
5
682
37
181.9
-6
394
-4
0.462
-2
33.0
-3
19.1
-21
404
1
130
8
23
280
5
1252
2
1039
52
178.2
-2
382
-3
0.467
1
31.3
-5
15.8
-17
392
-3
164
26
28
289
3
1276
2
1644
58
186.6
5
374
-2
0.499
7
29.5
-6
14.2
-10
376
-4
234
43
37
FY11
FY12
FY13
FY14
FY15
FY16
FY17E
FY18E
FY19E
Source: Company, MOSL
October 2016
71

Telecom | Battle Royale
Exhibit 103: Business Mix
Revenue (INR b)
Mobile
Telemedia
Enterprise
Passive Infrastructure
Others (incl South Asia)
Africa
Total revenue
Eliminations and others
Consolidated revenue
YoY%
EBITDA (INR b)
Mobile
Telemedia
Enterprise
Passive Infrastructure
Others (incl South Asia)
Africa
Total EBITDA
Eliminations and others
Consolidated EBITDA
YoY%
Capex (INR b)
Consolidated capex
YoY%
Capex/Sales (%)
277
123
46.5
150
-46
21.0
130
-13
16.9
175
34
20.4
210
20
22.8
490
134
50.9
201
-59
20.7
201
0
19.9
201
0
18.3
127
16
10
0
(10)
29
172
-2
170
20.5
137
16
8
0
(9)
53
204
-4
201
17.8
130
15
9
0
(12)
63
205
-5
200
-0.2
158
15
14
0
2
71
259
-6
254
26.8
194
18
14
0
5
61
292
-5
287
13.0
219
11
30
0
8
53
321
-7
314
9.4
243
12
35
29
10
48
378
-9
368
17.4
235
13
40
31
12
47
378
-9
368
0.1
256
14
45
33
14
52
413
-10
402
9.3
FY11
363
36
41
86
10
131
668
-73
595
FY12
403
37
45
95
16
198
794
-80
715
20
FY13
431
36
53
50
32
240
842
-73
769
8
FY14
467
39
63
51
41
272
934
-77
857
11
FY15
520
44
67
54
43
269
998
-77
920
7
FY16
561
25
97
56
49
251
1039
-76
963
5
FY17E
572
28
112
60
55
218
1044
-73
970
1
FY18E
591
30
126
63
60
217
1088
-77
1011
4
FY19E
644
33
142
67
66
235
1186
-85
1101
13
Source: Company, MOSL
October 2016
72

Telecom | Battle Royale
Financials and valuations
Consolidated - Income Statement
Y/E March
Total Income from Operations
Change (%)
Total Expenditure
% of Sales
EBITDA
Margin (%)
Depreciation
EBIT
Int. and Finance Charges
Other Income
PBT bef. EO Exp.
EO Items
PBT after EO Exp.
Total Tax
Tax Rate (%)
Minority Interest
Reported PAT
Adjusted PAT
Change (%)
Margin (%)
FY13
769,045
7.6
536,891
69.8
232,154
30.2
148,147
84,007
40,084
423
44,346
0
44,346
25,183
56.8
-88
19,251
19,251
-54.8
2.5
FY14
857,461
11.5
580,865
67.7
276,596
32.3
156,496
120,100
48,381
6,385
78,104
538
78,642
48,449
61.6
2,467
27,726
27,519
43.0
3.2
FY15
920,394
7.3
608,118
66.1
312,276
33.9
155,311
156,965
48,463
6,588
115,090
-7,960
107,130
54,047
50.4
1,248
51,835
55,779
102.7
6.1
FY16
965,321
4.9
625,477
64.8
339,844
35.2
174,498
165,346
69,135
10,513
106,724
21,741
128,465
59,533
46.3
8,163
60,769
49,103
-12.0
5.1
FY17E
971,377
0.6
616,741
63.5
354,637
36.5
204,651
149,986
69,778
11,137
91,345
-3,536
87,809
32,375
36.9
5,012
50,422
52,655
7.2
5.4
FY18E
1,013,235
4.3
649,191
64.1
364,044
35.9
226,784
137,259
70,717
11,137
77,679
0
77,679
27,531
35.4
4,534
45,614
45,614
-13.4
4.5
(INR Million)
FY19E
1,105,149
9.1
701,592
63.5
403,557
36.5
248,613
154,945
66,997
11,137
99,085
0
99,085
33,799
34.1
5,566
59,719
59,719
30.9
5.4
Consolidated - Balance Sheet
Y/E March
Equity Share Capital
Total Reserves
Net Worth
Minority Interest
Total Loans
Deferred Tax Liabilities
Capital Employed
Net Fixed Assets
Total Investments
Curr. Assets, Loans&Adv.
Inventory
Account Receivables
Cash and Bank Balance
Loans and Advances
Curr. Liability & Prov.
Account Payables
Provisions
Net Current Assets
Appl. of Funds
E: MOSL Estimates
FY13
18,988
484,229
503,217
40,886
667,363
-45,935
1,165,531
1,286,663
77,098
170,001
1,109
67,824
16,078
84,990
368,231
356,719
11,512
-198,230
1,165,531
FY14
19,987
577,573
597,560
42,102
758,958
-45,777
1,352,843
1,406,145
155,308
207,692
1,422
62,441
49,808
94,021
416,302
404,533
11,769
-208,610
1,352,843
FY15
19,987
599,577
619,564
48,525
806,839
-44,392
1,430,536
1,501,440
170,357
226,519
1,339
67,252
11,719
146,209
467,781
459,472
8,309
-241,262
1,430,535
FY16
19,987
636,314
656,301
51,984
950,430
-32,382
1,626,333
1,817,263
114,498
270,173
1,692
73,106
37,087
158,289
575,601
565,925
9,676
-305,427
1,626,333
FY17E
19,987
676,409
696,396
56,996
988,365
-32,382
1,709,376
1,813,829
114,498
290,200
1,358
70,605
85,050
133,187
509,151
500,729
8,422
-218,951
1,709,375
FY18E
19,987
711,696
731,683
61,530
961,773
-32,382
1,722,605
1,788,261
114,498
371,768
1,823
68,195
138,664
163,087
551,923
541,467
10,456
-180,154
1,722,604
(INR Million)
FY19E
19,987
761,088
781,075
67,096
932,522
-32,382
1,748,312
1,740,865
114,498
484,518
1,647
83,196
255,952
143,723
591,569
581,434
10,134
-107,051
1,748,312
October 2016
73

Telecom | Battle Royale
Financials and valuations
Ratios
Y/E March
Basic (INR)
EPS
Cash EPS
BV/Share
DPS
Payout (%)
Valuation (x)
P/E
Cash P/E
P/BV
EV/Sales
EV/EBITDA
Dividend Yield (%)
Return Ratios (%)
RoE
RoCE
RoIC
Working Capital Ratios
Asset Turnover (x)
Debtor (Days)
Leverage Ratio (x)
Net Debt/Equity
FY13
4.8
41.9
125.9
0.9
22.9
FY14
6.9
46.0
149.5
1.8
30.2
FY15
14.0
52.8
155.0
2.2
19.9
22.9
6.0
2.1
2.2
6.6
0.7
3.8
3.1
3.3
0.7
32
1.1
5.0
3.8
4.2
0.6
27
0.9
9.2
5.8
6.5
0.6
27
1.0
FY16
12.3
55.9
164.2
2.2
17.0
26.0
5.7
1.9
2.3
6.4
0.7
7.7
6.2
6.5
0.6
28
1.2
FY17E
13.2
64.4
174.2
2.2
20.5
24.2
5.0
1.8
2.2
6.1
0.7
7.8
6.2
6.3
0.6
27
1.1
FY18E
11.4
68.1
183.0
2.2
22.6
28.0
4.7
1.7
2.1
5.8
0.7
6.4
5.7
5.9
0.6
25
1.0
FY19E
14.9
77.1
195.4
2.2
17.3
21.4
4.1
1.6
1.8
4.8
0.7
7.9
6.4
7.2
0.6
27
0.7
Consolidated - Cash Flow Statement
Y/E March
OP/(Loss) before Tax
Depreciation
Interest & Finance Charges
Direct Taxes Paid
(Inc)/Dec in WC
CF from Operations
Others
CF from Operating incl EO
(Inc)/Dec in FA
Free Cash Flow
(Pur)/Sale of Investments
Others
CF from Investments
Issue of Shares
Inc/(Dec) in Debt
Interest Paid
Dividend Paid
Others
CF from Fin. Activity
Inc/Dec of Cash
Opening Balance
Closing Balance
E: MOSL Estimates
FY13
47,853
148,148
45,187
-31,294
19,634
229,528
-1,829
227,699
-130,063
97,636
-56,568
-130
-186,761
-579
-24,026
-34,339
-5,538
17,203
-47,279
-6,341
7,652
16,078
FY14
78,643
156,496
58,788
-35,039
17,533
276,421
-14,095
262,326
-174,659
87,667
-36,886
-38,188
-249,733
67,956
14,252
-37,620
-6,735
-12,182
25,671
38,264
1,311
49,808
FY15
107,130
155,311
73,252
-46,111
-1,639
287,943
-11,925
276,018
-209,786
66,232
-11,649
954
-220,481
0
-72,451
-33,887
-21,399
31,210
-96,527
-40,990
39,575
11,719
FY16
128,465
174,498
85,461
-59,533
-41,273
287,618
46,224
333,843
-490,321
-156,479
55,860
0
-434,462
0
143,591
-85,461
-10,327
78,184
125,987
25,368
11,719
37,087
FY17E
87,809
204,651
87,345
-32,375
-38,513
308,917
0
308,917
-201,217
107,701
0
0
-201,217
0
37,935
-87,345
-10,327
0
-59,737
47,963
37,087
85,050
FY18E
77,679
226,784
83,865
-27,531
14,817
375,615
0
375,615
-201,217
174,398
0
0
-201,217
0
-26,592
-83,865
-10,327
0
-120,784
53,614
85,050
138,664
(INR Million)
FY19E
99,085
248,613
80,145
-33,799
44,185
438,228
0
438,228
-201,217
237,012
0
0
-201,217
0
-29,251
-80,145
-10,327
0
-119,723
117,288
138,664
255,952
October 2016
74

Update | Sector: Telecom
Telecom | Battle Royale
Idea Cellular
BSE Sensex
28,243
S&P CNX
8,738
CMP: INR81
TP: INR75 (-6%)
Sell
Head I loose, tail you win
Stock Info
Bloomberg
Equity Shares (m)
M.Cap.(INR b)/(USD b)
52-Week Range (INR)
1, 6, 12 Rel. Per (%)
Avg Val. (INR m)
Free float (%)
IDEA IN
3,600.5
288/4.3
160/ 79
-15/-36/-51
776
57.8
Behind the investment curve:
Idea’s
broadband investment has been marred by its
weak spectrum portfolio. Idea holds overall 271Mhz spectrum (12.3Mhz/circle),
which is about one-third the size of Bharti. Idea’s expectation of low consumer
response for 4G and ecosystem concerns put it behind the investment curve.
Network cost:
Idea’s (3G+4G) broadband sites stand at 71,000, about 50% lower
than Bharti and 25% lower than RJio. Our concern stems from the fact that Idea
does not have 3G or 4G in nearly 5 circles, and has 4G network in only 10 circles,
leaving gap in multiple high revenue share circles. This makes Idea highly vulnerable
to competition.
Spectrum investment:
Idea remains in a precarious situation: if it spends heavily to
fill spectrum gap, it would incur heavy capex, and if it does not spend, then it will
further deteriorate its competitive footing in the telecom market. Idea should
require about ~INR151b if it plans to fill all 3G/4G gaps with minimum of 5Mhz
contiguous spectrum at reserve price.
Weak balance sheet, high leverage further cause of concern:
Idea’s balance sheet
grew nearly 2.4x in the last three years – FY13-16E, but it has not yet fulfilled its
investment requirements. With a weak network footprint and its spectrum
investment in the upcoming auction, capital employed is likely to go up by about
20% and debt should go up by about 35% to INR 550-600b, leading to net debt to
EBITDA of over 5x. It will further require network rollout investment, which may
increase the already high capex of INR70b. A faster-than-expected technology
transition from 3G to 4G has hurt Idea the most in the telecom sector. We think Idea
will have to dilute equity for incremental investment given its high leverage position.
Weak competitive footing:
Idea’s lack of 4G/3G coverage leaves it in a weak
competitive footing, especially in some of the large circles and high market share
circles. Even if Idea invests heavily to fill the network gap with Bharti and RJio, we
think it still is about 6-8 quarters behind the market. In a highly competitive market,
this could lead to Idea losing both subscriber and revenue market share, thus
hampering its future earnings potential. Idea should likely face difficulty in dealing
with RJio’s capacity-led competition as it offers high-value, high-ARPU price plans.
Earnings vulnerable given RJio-led competition:
We have cut our revenue estimates
by about 6-9% over FY17-19E and subsequently our EBITDA estimates are revised
down 17-23% over FY17-19E. This is due to pricing and traffic issues in both voice
and data businesses, given RJio’s free voice and high-value data offerings. Our
estimates remain fluid as we expect the environment to remain extremely volatile
due to high competitive intensity.
Revising down TP to INR75; maintaining Sell:
We continue to maintain our negative
stance and reduce our TP to INR75, led by earnings cut. Idea’s weak competitive
footing and stretched balance sheet expose it to various market risks.
Financials & Valuation (INR Billion)
Y/E Mar
2016 2017E 2018E
Net Sales
359.8 360.9 371.2
EBITDA
127.8 107.9 108.2
NP
29.1
-3.4
-6.5
EPS (INR)
8.1
-1.0
-1.8
EPS Gr. (%)
48.1 -110.8 -122.1
BV/Sh. (INR)
71.6
70.6
68.8
RoE (%)
11.9
-1.3
-2.6
RoCE (%)
6.8
2.6
2.0
Payout (%)
8.9
6.4
6.8
Valuations
P/E (x)
10.0 -84.9 -45.2
P/BV (x)
1.1
1.1
1.2
EV/EBITDA(x)
5.5
6.6
6.4
Div. Yield (%)
0.7
-0.1
-0.1
Estimate change
TP change
Rating change
Shareholding pattern %
As on
Jun-13 Mar-13 Jun-12
Promoter
43.6
45.8
45.7
Dom. Inst
Foreign
Others
8.2
43.1
5.2
8.6
40.3
5.4
8.4
39.9
6.0
Stock Performance (1-year)
October 2016
75

Telecom | Battle Royale
Story in Charts
Exhibit 104: Idea: Subscriber and revenue market share (%)
Subscriber market share (%)
Gross revenue market share (%)
19.3 18.9 18.3
17.5 18.8
15.1 16.2
16.3 16.9 16.9 16.9 16.9
14.1 15.0
Exhibit 105: Idea: ARPU and RPM trajectory
Monthly ARPU
Voice RPM (p)
50.0
44.4
Mobile RPM (p)
11.4
13.2 14.4
12.4
47.5
42.4 42.7 41.7 44.4 45.5 44.9 45.8 45.7
10.9 11.0
37.0 37.0 35.4 37.2 35.6
32.4 33.2 32.0 30.3
201 167 160 158 169 177 177 164 160 162
Source: Company, MOSL
Source: Company, MOSL
Exhibit 106: Voice traffic and YoY growth
Voice traffic (b minutes)
41.2
47.9
453
25.0
532
17.4
588
683
786
Exhibit 107: Monthly churn (%)
YoY growth
775
799
816
Monthly churn (%)
245
363
10.5
16.3 15.0
-1.4
3.1
2.1
Source: Company, MOSL
Source: Company, MOSL
Exhibit 108: Data revenue (% of total Idea revenue)
Data revenue (% of total)
31.2
19.6
14.6
5.4
8.9
20.1
23.5
Exhibit 109: 3G subscriber base ramp-up
3G subscribers (m)
3G subs (% of total)
13.1
9.2
5.3
14.5
7.2
22.9
FY13
FY14
FY15
FY16
FY17E
FY18E
FY19E
FY14
FY15
FY16
Source: Company, MOSL
Source: Company, MOSL
October 2016
76

Telecom | Battle Royale
Story in Charts
Exhibit 110: Data traffic and YoY growth
Data traffic (b MB)
112
117
73
298
398
34
FY15
FY16
FY17E
50
FY18E
59
599
YoY growth
32.3
953
29.1
Exhibit 111: IDEA: Data revenue per MB (p)
Data revenue per MB (p)
26.3
23.2
17.9
14.3
12.7
37
FY13
79
FY14
173
FY19E
FY13
FY14
FY15
FY16
FY17E
FY18E
FY19E
Source: Company, MOSL
Source: Company, MOSL
Exhibit 112: Revenue and EBITDA margin trends
Revenue (INR b)
EBITDA margin (%)
Exhibit 113: EBITDA per minute (p)
EBITDA per minute (p)
15.2 15.5
13.1 12.8 14.0
13.6
10.1 10.9 10.7
13.5
FY10 FY11 FY12 FY13 FY14 FY15 FY16 FY17E FY18E FY19E
Source: Company, MOSL
Source: Company, MOSL
Exhibit 114: 2G cell site additions
2G cell site additions
82,203
Exhibit 115: Net debt and net debt/EBITDA
Net debt (INR b)
2.8
1.8
Net debt/EBITDA (x)
3.7 3.6
3.1
3.0
1.3
2.6
2.3
2.5
21,957
35,000
7,481 9,522 6,992
14,644
7,541
14,466
17,500
FY10 FY11 FY12 FY13 FY14 FY15 FY16 FY17E FY18E FY19E
Source: Company, MOSL
Source: Company, MOSL
October 2016
77

Telecom | Battle Royale
Exhibit 116: Segmental break-up
1QFY14 2QFY14 3QFY14 4QFY14 1QFY15 2QFY15 3QFY15 4QFY15 1QFY16 2QFY16 3QFY16 4QFY16 1QFY17
Consolidated revenue break-up (INR b)
Established service areas*
62.0
59.9
62.8
66.7
71.5
71.4
75.5
79.0
82.5
81.0
84.1
88.1
88.1
New service areas*
3.4
3.3
3.3
3.7
4.0
4.2
4.6
5.2
5.4
5.8
6.0
6.7
6.8
Idea standalone
65.4
63.2
66.1
70.4
75.6
75.7
80.1
84.2
88.0
86.8
90.1
94.8
94.9
Proportionate revenue - Indus
5.6
5.6
5.6
5.7
5.9
6.0
6.1
6.2
6.2
6.4
6.5
6.7
0.0
Eliminations
-5.6
-5.5
-5.6
-5.7
-5.8
-6.0
-6.1
-6.1
-6.2
-6.3
-6.4
-6.6
0.0
Consolidated revenue
65.4
63.2
66.1
70.4
75.6
75.7
80.2
84.2
88.0
86.9
90.1
94.8
94.9
Consolidated EBITDA break-up (INR b)
Established service areas*
19.8
18.7
19.7
21.6
24.4
24.2
26.7
29.6
31.3
29.5
30.3
34.4
31.9
New service areas*
-1.3
-1.3
-1.6
-1.7
-1.7
-1.8
-1.9
-1.7
-1.7
-1.8
-1.8
-1.2
-1.1
Idea standalone
18.4
17.4
18.1
19.9
22.7
22.4
24.9
27.8
29.6
27.8
28.5
33.2
30.7
Proportionate EBITDA - Indus
2.3
2.3
2.4
2.4
2.4
2.5
2.7
2.8
2.7
2.8
2.8
3.0
2.9
Consolidated EBITDA
20.8
19.7
20.6
22.3
25.1
24.9
27.5
30.6
32.3
30.6
31.3
36.2
33.6
EBITDA margin (%)
Established service areas*
31.9
31.2
31.4
32.3
34.1
33.9
35.4
37.4
37.9
36.5
36.0
39.0
36.2
New service areas*
-38.8 -38.0 -47.5 -45.2 -42.7 -42.4 -40.8 -33.8 -31.1 -30.8 -29.6 -17.5 -16.7
Idea standalone
28.2
27.6
27.4
28.2
30.0
29.6
31.0
33.1
33.7
32.0
31.6
35.0
32.4
Implied margin - Indus
41.4
40.9
42.9
42.2
41.7
42.0
43.7
45.5
42.9
43.8
43.0
44.4
Consolidated EBITDA margin
31.8
31.2
31.1
31.7
33.2
32.9
34.3
36.4
36.7
35.2
34.7
38.1
35.4
Source: Company, MOSL
Exhibit 117: IDEA: SOTP Valuation
Methodology
Consol EBITDA
Less Net debt
Total Value
Shares o/s (b)
CMP (INR)
Upside (%)
FY19 EV/EBITDA
Driver
121
Multiple Fair Value (INRb) Value/sh (INR)
5.5
657
386
271
3.6
81
-7.0
Source: Company, MOSL
183
107
75
October 2016
78

Telecom | Battle Royale
Exhibit 118: Key assumptions
FY13
Subscribers (m)
YoY%
Average subscribers (m)
YoY%
Data subscribers (m)
YoY%
Average Rev Per User (INR/month)
YoY%
Minutes of Use/Sub/Month
YoY%
Data usage/data sub/month (mb)
YoY%
Voice traffic (m min)
YoY%
Data traffic (m MB)
YoY%
Voice revenue per min (p)
YoY%
Data revenue per MB (p)
YoY%
Voice revenue (INR m)
YoY%
Data revenue (INR m)
YoY%
Data revenue as % of total revenue
Non Data VAS revenue (INR m)
Capex (INR m)
Capex / Sales (%)
5.4
21,038
57,145
25.8
8.9
19,082
44,388
17.0
14.6
22,232
43,222
13.9
19.6
29,148
402,629
113.9
19.0
25,901
70,000
20.0
21.3
23,293
70,000
19.7
28.5
19,595
70,000
18.8
12,059
23,105
45,404
69,163
66,371
75,580
106,493
188,382
218,808
243,676
255,135
257,538
255,839
246,934
32.3
29.1
26.3
23.2
18.3
14.4
12.8
35.4
37.2
35.6
32.4
33.2
32.0
30.3
37,380
79,382
172,531
297,920
363,617
523,647
833,426
531,534
588,272
684,216
787,075
775,098
798,757
815,800
119
257
490
641
631
711
832
378
381
388
394
359
349
341
158
169
177
177
162
155
156
26
25
33
44
52
71
96
117
129
147
166
180
191
200
122
FY14
136
FY15
158
FY16
175
FY17E
185
FY18E
196
FY19E
203
Source: Company, MOSL
October 2016
79

Telecom | Battle Royale
Financials and valuations
Consolidated - Income Statement
Y/E March
Total Income from Operations
Change (%)
Total Expenditure
% of Sales
EBITDA
Margin (%)
Depreciation
EBIT
Int. and Finance Charges
PBT bef. EO Exp.
Share of profits of associates
PBT after EO Exp.
Total Tax
Tax Rate (%)
Reported PAT
Adjusted PAT
Change (%)
Margin (%)
FY13
224,577
14.9
164,531
73.3
60,045
26.7
34,778
25,268
9,495
15,773
0
15,773
5,664
35.9
10,109
10,109
39.8
4.5
FY14
265,189
18.1
181,852
68.6
83,337
31.4
45,194
38,143
7,700
30,443
0
30,443
10,765
35.4
19,678
19,678
94.7
7.4
FY15
315,709
19.1
207,592
65.8
108,117
34.2
53,036
55,081
5,755
49,325
0
49,325
17,396
35.3
31,929
31,929
62.3
10.1
FY16
359,772
14.0
231,932
64.5
127,840
35.5
65,466
62,374
16,993
45,382
0
45,382
16,239
35.8
29,143
29,143
-8.7
8.1
FY17E
360,940
0.3
253,081
70.1
107,859
29.9
80,736
27,123
36,628
-9,505
4,266
-5,238
-1,804
34.4
-3,434
-3,434
-111.8
-1.0
FY18E
371,174
2.8
262,983
70.9
108,191
29.1
87,876
20,315
34,777
-14,462
4,618
-9,844
-3,390
34.4
-6,454
-6,454
87.9
-1.7
(INR Million)
FY19E
394,006
6.2
273,410
69.4
120,596
30.6
93,767
26,829
33,297
-6,468
0
-6,468
-506
7.8
-5,962
-5,962
-7.6
-1.5
Consolidated - Balance Sheet
Y/E March
Equity Share Capital
Total Reserves
Net Worth
Total Loans
Deferred Tax Liabilities
Capital Employed
Gross Block
Less: Accum. Deprn.
Net Fixed Assets
Goodwill on Consolidation
Capital WIP
Total Investments
Curr. Assets, Loans&Adv.
Inventory
Account Receivables
Cash and Bank Balance
Loans and Advances
Curr. Liability & Prov.
Account Payables
Provisions
Net Current Assets
Appl. of Funds
E: MOSL Estimates
FY13
33,143
111,073
144,217
140,438
11,180
295,834
467,357
175,818
291,539
61
8,811
10,280
53,092
726
9,601
1,429
41,336
67,949
64,719
3,230
-14,857
295,834
FY14
33,196
132,073
165,269
206,350
18,133
389,752
516,970
221,012
295,958
61
114,194
2,155
53,206
683
8,006
1,881
42,636
75,823
68,960
6,863
-22,617
389,751
FY15
35,978
194,314
230,292
268,591
19,015
517,898
618,207
262,871
355,336
61
51,405
115,267
82,598
710
9,789
15,537
56,562
86,769
78,013
8,756
-4,171
517,898
FY16
36,005
221,670
257,675
415,031
30,714
703,420
1,011,254
328,336
682,918
61
60,986
13,728
68,807
1,065
11,776
7,818
48,148
123,081
112,331
10,750
-54,273
703,420
FY17E
36,005
218,236
254,241
429,694
30,714
714,649
1,081,254
409,072
672,182
61
60,986
13,728
71,592
910
9,953
13,400
47,329
103,900
95,081
8,819
-32,308
714,649
FY18E
36,005
211,782
247,787
403,231
30,714
681,732
1,151,254
496,948
654,306
61
60,986
13,728
72,018
1,020
12,393
3,572
55,035
119,367
108,062
11,306
-47,349
681,732
(INR Million)
FY19E
36,005
205,820
241,825
374,122
30,714
646,661
1,221,254
590,715
630,540
61
60,986
13,728
58,997
1,029
11,329
-7,104
53,743
117,650
107,592
10,059
-58,654
646,661
October 2016
80

Telecom | Battle Royale
Financials and valuations
Ratios
Y/E March
Basic (INR)
EPS
Cash EPS
BV/Share
DPS
Payout (%)
Valuation (x)
P/E
Cash P/E
P/BV
EV/Sales
EV/EBITDA
Dividend Yield (%)
Return Ratios (%)
RoE
RoCE
RoIC
Working Capital Ratios
Fixed Asset Turnover (x)
Asset Turnover (x)
Inventory (Days)
Debtor (Days)
Leverage Ratio (x)
Net Debt/Equity
FY13
2.8
12.5
40.1
0.3
11.5
FY14
5.5
18.0
45.9
0.4
7.9
FY15
8.9
23.6
64.0
0.6
8.1
9.1
3.4
1.3
1.7
5.0
0.8
7.4
5.9
6.0
0.5
0.8
1
16
0.9
12.7
7.5
9.0
0.5
0.7
1
11
1.2
16.1
8.2
11.7
0.5
0.6
1
11
0.6
FY16
8.1
26.3
71.6
0.6
8.9
10.0
3.1
1.1
1.9
5.5
0.7
11.9
6.8
8.4
0.4
0.5
1
12
1.5
FY17E
-1.0
21.5
70.6
-0.1
6.4
-84.9
3.8
1.1
2.0
6.6
-0.1
-1.3
2.6
2.9
0.3
0.5
1
10
1.6
FY18E
-1.8
22.6
68.8
-0.1
6.8
-45.2
3.6
1.2
1.9
6.4
-0.1
-2.6
2.0
2.2
0.3
0.5
1
12
1.6
FY19E
-1.7
24.4
67.2
-0.1
7.5
-48.9
3.3
1.2
1.7
5.6
-0.1
-2.4
3.9
4.2
0.3
0.6
1
10
1.5
Consolidated - Cash Flow Statement
Y/E March
OP/(Loss) before Tax
Depreciation
Interest & Finance Charges
Direct Taxes Paid
(Inc)/Dec in WC
CF from Operations
Others
CF from Operating incl EO
(Inc)/Dec in FA
Free Cash Flow
(Pur)/Sale of Investments
Others
CF from Investments
Issue of Shares
Inc/(Dec) in Debt
Interest Paid
Dividend Paid
CF from Fin. Activity
Inc/Dec of Cash
Opening Balance
Closing Balance
E: MOSL Estimates
FY13
10,109
34,778
9,963
-4,110
6,096
56,836
6,135
62,971
-34,766
28,205
0
657
-34,109
248
-10,368
-9,283
-250
-19,653
9,209
1,521
1,429
FY14
19,678
45,194
8,564
-6,384
5,354
72,406
9,786
82,192
-36,448
45,744
0
-29,194
-65,642
263
-15,936
-7,682
-1,306
-24,661
-8,111
10,729
1,881
FY15
31,929
53,036
9,337
-11,043
5,540
88,800
15,379
104,179
-41,576
62,603
0
-15,680
-57,256
37,374
52,355
-6,656
-2,792
80,280
127,202
3,543
15,537
FY16
29,143
65,466
16,993
0
42,384
153,985
11,699
165,684
-402,629
-236,944
101,539
0
-301,090
-1,760
146,440
-16,993
0
127,687
-7,718
15,537
7,818
FY17E
-3,434
80,736
36,628
0
-16,384
97,546
0
97,546
-70,000
27,546
0
0
-70,000
0
14,663
-36,628
0
-21,965
5,581
7,819
13,400
FY18E
-6,454
87,876
34,777
0
5,212
121,412
0
121,412
-70,000
51,412
0
0
-70,000
0
-26,463
-34,777
0
-61,240
-9,828
13,400
3,572
(INR Million)
FY19E
-5,962
93,767
33,297
0
629
121,731
0
121,731
-70,000
51,731
0
0
-70,000
0
-29,109
-33,297
0
-62,406
-10,676
3,572
-7,104
October 2016
81

Update | Sector: Telecom
Telecom | Battle Royale
Bharti Infratel
BSE Sensex
28,243
S&P CNX
8,738
CMP: INR363
TP: INR435 (+20%)
Buy
More they invest, more he wins
Stock Info
Bloomberg
Equity Shares (m)
M.Cap.(INR b)/(USD b)
52-Week Range (INR)
1, 6, 12 Rel. Per (%)
Avg Val (INR m)
Free float
Financials & Valuation (INR b)
Y/E MAR
2016 2017E 2018E
144.2
63.9
23.7
12.5
5.4
103.7
12.5
14.5
36.1
29.1
3.5
10.0
1.1
Net Sales
123.3 132.4
EBITDA
54.1 58.1
NP
22.5 26.7
EPS (INR)
11.8 14.1
EPS Gr. (%)
48.1 33.9
BV/Sh. (INR)
96.7 95.8
RoE (%)
12.7 14.6
RoCE (%)
11.2 13.0
Payout (%)
39.0 32.0
Valuations
P/E (x)
30.6 25.8
P/BV (x)
3.8
3.8
EV/EBITDA (x) 12.3 11.4
Div. Yield (%)
1.1
1.1
Estimate change
TP change
Rating change
Shareholding pattern %
As on
Jun-13 Mar-13 Jun-12
Promoter
43.6
45.8
45.7
Dom. Inst
Foreign
Others
8.2
43.1
5.2
8.6
40.3
5.4
8.4
39.9
6.0
BHIN IN
1,896.7
704/10.5
437/ 302
10/-14/-4
843
28.3
Stock Performance (1-year)
Data to drive tenancy and pricing growth over 2-3 years:
Bharti Infratel
continues to remain the key beneficiary of high data-led investments in the
telecom market. With about 55% data coverage v/s voice coverage, the
aggressive network rollout may continue over the next 2-3 years. Further, RJio’s
launch may intensify data traffic, which may have a two-pronged effect. It would
(1) cramp existing sites, leading to higher density network rollout, and (2)
accelerate data network rollout to match peers’ competitive position. We
expect annual tenancy adds to accelerate to 14,400 in FY18, after moderate
growth of ~11,000 in FY17E due to the exits and spectrum phase.
Exits, spectrum auction and possible pricing pressure to hurt near-term
growth:
The ripple effect of the volatile telecom market is seen in the tower
industry. Videocon’s exit hurt tenancy in 1QFY17 (~1,400 tenancy adds v/s
quarterly run-rate of 2,500). This, along with the shrinking footprint through
merger/acquisition of RCOM, Aircel and Shyam Sistema as well as the lack of
visibility on Telenor India and Tata Tele, could lead to a continued decline in
tenancy over the next 2-3 quarters. Nearly 15% of tenancy is contributed by
operators excluding the top three telcos (Bharti, Idea and Vodafone). Over the
long term, this could benefit the tower industry as unutilized/underutilized
spectrum could be resourcefully deployed, thereby increasing tenancy.
However, we remain cautious on near-term tenancy growth, given (1) operators
are reassessing their network rollout strategy by analyzing the industry and own
spectrum position in the run up to the upcoming auction starting 30-September
and (2) ongoing data/voice pricing war in the telecom market with RJio’s service
launch, which could potentially squeeze cash flow and hurt already highly
levered balance sheets of telcos.
New MSA rates resolve renewal-led pricing risks, albeit we would watch
progress over two quarters.
We see management’s proactive action toward renewals positively. Tenancy
rental improvement over the next five years will be curtailed, given the
company’s new MSA proposals to freeze tenancy rates for 90% of existing
tenancies (until FY22E or before). This is done to bridge the tenancy rate gap for
tenants whose rental rates are already higher than new rack rates. However,
this has two key positives: (1) this will reduce uncertainty of ~20% renewals
coming up in FY18 and ~70% in FY22, which were previously expected to
demand lower renewal rates. This is because they were paying discriminatorily
higher tenancy rates compared to new tenants, on an inconsistent legacy
structure which did not factor in inflation adjustments in new tenants’ pricing,
keeping them abnormally lower; and (2) management has indicated quarterly
impact of INR450m for the rental freeze which is factored in Q1FY17 rental
pricing, removing uncertainty about the impact of rental freeze. We would like
to track the renewals over the next 2-3 quarters to evaluate the acceptance of
Bharti Infratel’s new MSA agreement.
82
October 2016

Telecom | Battle Royale
EBITDA CAGR of 9% over FY16-19E:
We expect 8% revenue CAGR over FY16-
19E, led by 6% tenancy growth combined with 2% rental increase. With
improving tenancy, ex-energy EBITDA margin is likely to improve 140bp over
FY16-19E to 67.1%. This should lead to overall EBITDA margin improvement of
about 60bp, with ~9% EBITDA growth to INR69.9b. Volatility on account of
mark-to-market on investments makes it difficult to estimate interest income
and thus PBT. However, the recent INR20b stock buyback should reduce share
count by 2.5%.
Attractively priced at 10.4x FY18E EBITDA:
Our SOTP values standalone and
Indus on DCF with 10.2% WACC and 4% terminal growth at (combined
enterprise value of INR380b) net equity value/share of INR435. At CMP, the
stock is attractively priced at EV/EBITDA of 11.7x/10.3x on FY17/FY18E. The
stock has been under pressure (-17% YTD) due to tenancy concerns on account
of exits and renewal-led pricing risks. We expect tenancy to improve post the
upcoming auctions, and capex-led tenancy to accelerate on account of high data
growth.
October 2016
83

Telecom | Battle Royale
Story in Charts
Exhibit 119: Continued momentum in tenancy demand
Towers (000's)
Average Sharing Factor
1.90 1.96 2.06 2.16
Co-locations (000's)
2.22 2.29 2.38
Exhibit 120: Sharing revenue per operator per month (INR)
Sharing revenue per operator per month (INR)
1.85
FY12
FY13
FY14
FY15
FY16 FY17E FY18E FY19E
Source: Company, MOSL
FY10 FY11 FY12 FY13 FY14 FY15 FY16 FY17E FY18E FY19E
Source: Company, MOSL
Exhibit 121: EBITDA margin (%)
EBITDA margin (%)
Exhibit 122: Net co-location additions
Net Co-location additions
FY10 FY11 FY12 FY13 FY14 FY15 FY16 FY17E FY18E FY19E
Source: Company, MOSL
FY11 FY12 FY13 FY14 FY15 FY16 FY17E FY18E FY19E
Source: Company, MOSL
Exhibit 123: Tower portfolio break-up (000s)
Infratel Standalone
Indus share
Exhibit 124: Co-locations break-up (000s)
Infratel Standalone
Indus share
43
31
46
46
47
47
49
50
52
53
54
75
84
58
90
60
93
98
106
113
119
128
136
33
33
35
36
37
38
40
41
43
50
64
69
76
82
87
93
99
FY10 FY11 FY12 FY13 FY14 FY15 FY16 FY17E FY18E FY19E
Source: Company, MOSL
FY10 FY11 FY12 FY13 FY14 FY15 FY16 FY17E FY18E FY19E
Source: Company, MOSL
October 2016
84

Telecom | Battle Royale
Story in Charts
Exhibit 125: Average sharing factor (x)
Consolidated
3.00
2.50
2.00
1.50
1.00
0.50
-
Infratel Standalone
Indus
2.46
2.22 2.28 2.36
2.13
1.97 2.02
1.79 1.90
1.73
Exhibit 126: Sharing revenue per operator (INR 000s/month)
Infratel Standalone
Indus
38.1 37.0 36.9 37.0 37.1 36.9 37.0 37.7 38.6 39.3
33.3 33.9 34.6
30.6 31.5 31.5 31.7 32.1 32.7
28.4
Source: Company, MOSL
Source: Company, MOSL
Exhibit 127: Segment-wise revenue growth (%)
Rental
22
21
11
15
5 15
Enery and other reimbursements
Aggregate
Exhibit 128: Standalone v/s industry EBITDA margin (%)
Consolidated
50.0
40.0
30.0
Indus*
Infratel Standalone
45.0 45.7 46.3 46.6
41.5 44.4
38.2 38.1 39.4 39.2
18
9
9
3
9
5
8
7
8
9
6
8
6
7 9
10
9 9
9
9
20.0
10.0
0.0
0
FY11 FY12 FY13 FY14 FY15 FY16 FY17E FY18E FY19E
Source: Company, MOSL
Source: Company, MOSL
Exhibit 129: Net Capex intensity expected to gradually
increase
Net Capex (INR b)
55.5
Net Capes/Sales (%)
Exhibit 130: Return ratios (%)
RoE
RoCE
12.7
14.6
12.5 12.9
11.4
28.5
16.1 15.7
12.4 15.5 15.4 14.1 12.9 12.0
39
24
15
16
13
18
19
19
19
19
2.1
3.1
4.0
4.7
5.3
5.7
6.3
6.6
8.6
8.6
11.1 11.2
13.0 14.5 14.7
Source: Company, MOSL
Source: Company, MOSL
October 2016
85

Telecom | Battle Royale
Exhibit 131: Bharti Infratel: SOTP Valuation
Value (INR b) Value (INR/sh) Implied FY19 EV/Tower (INR m) Implied FY19 EV/EBITDA (x)
Standalone (Mar-18)
Indus (Mar-18)
Indus value (42%)
Indus value post holdco discount of 20%
Total Enterprise value
Net Debt
Shares o/s (b)
Fair value
CMP (INR)
Upside
412
969
407
326
737
-64
2
801
224
526
177
400
-35
435
363
20%
Source: Company, MOSL
10
8
6
8
12
11
9
10.6
11.5
Exhibit 132: BHIN: P/E band chart
PE (x)
39
34
29
24
19
14
24.9
15.4
22.4
Peak(x)
Avg(x)
39.1
Min(x)
Exhibit 133: BHIN: Relative P/E v/s Sensex
100
80
60
40
20
0
40.8
29.9
Bharti Infratel PE Relative to Sensex PE (%)
LPA (%)
Source: Company, MOSL
Source: Company, MOSL
October 2016
86

Telecom | Battle Royale
Exhibit 134: Bharti Infratel - A Snapshot
FY11
Towers (000s)
Consolidated
YoY (%)
Net additions
-Infratel Standalone
-Indus
Co-locations (000s)
Consolidated
78
6.1
4.5
2.2
5.5
142
FY12
79
0.8
0.6
0.4
0.6
150
5.5
7.8
2.5
12.6
1.85
1.79
1.90
33.7
-3.0
36.9
31.5
60.7
9
26.1
78
33.9
15
15.5
41.8
95
11
42
120
34
11
36
36
35
13
37.4
0.45
FY13
82
3.8
3.0
2.0
2.5
157
4.5
6.7
3.4
7.8
1.90
1.81
1.97
33.7
0.1
37.0
31.5
63.8
5
27.4
82
38.9
15
17.2
49.6
103
9
45
132
38
13
37
39
38
8
37.0
0.47
FY14
83
1.6
1.3
0.8
1.2
167
6.8
10.6
5.6
12.0
1.96
1.87
2.02
33.9
0.6
37.1
31.7
65.8
3
29.6
86
42.5
9
20.4
52.3
108
5
50
139
41
7
38
41
44
16
40.6
0.53
FY15
86
3.0
2.5
1.3
2.9
182
9.0
15.1
6.7
20.0
2.06
1.98
2.13
34.1
0.5
36.9
32.1
71.3
8
32.1
94
45.4
7
21.8
55.8
117
8
54
150
42
3
36
41
50
14
42.9
0.59
FY16
89
3.4
2.9
1.3
3.9
195
7.0
12.7
5.8
16.5
2.16
2.08
2.22
34.5
1.2
37.0
32.7
77.9
9
35.0
103
45.2
0
21.0
57.7
123
6
56
160
43
2
35
41
54
8
43.9
0.62
FY17E
92
3.1
2.8
1.5
3.1
206
5.6
10.9
5.0
14.1
2.22
2.15
2.28
35.1
1.8
37.7
33.3
84.5
8
38.1
111
47.9
6
21.6
63.3
132
7
60
174
46
7
35
42
58
7
43.9
0.64
FY18E
94
3.0
2.7
1.5
3.0
220
7.0
14.4
6.0
20.0
2.29
2.20
2.36
35.9
2.2
38.6
33.9
91.8
9
41.5
120
52.5
10
23.8
68.4
144
9
65
188
50
9
34
45
64
10
44.3
0.69
FY19E
97
2.9
2.7
1.5
3.0
235
6.5
14.4
6.0
20.0
2.38
2.27
2.46
36.6
1.9
39.3
34.6
99.8
9
45.0
131
57.2
9
25.9
74.5
157
9
71
205
54
9
35
47
70
9
44.5
0.73
YoY (%)
13.8
Net additions
17.3
-Infratel Standalone
7.6
-Indus
23.0
Average sharing factor (x)
Consolidated
1.75
-Infratel Standalone
1.70
-Indus
1.79
Sharing revenue per operator (INR '000/month)
Consolidated
34.7
YoY (%)
1.6
-Infratel Standalone
37.0
-Indus
Revenue break-up (INR b)
Rental revenue
YoY (%)
-Bharti Infratel standalone
-Indus
Energy and other reimbursements
YoY (%)
-Bharti Infratel standalone
-Indus
Total revenue
YoY (%)
-Bharti Infratel standalone
-Indus
Power and fuel cost (INR b)
YoY (%)
% of revenue
Power and fuel cost per tower (INR
'000/month)
EBITDA (INR b)
YoY (%)
EBITDA margin (%)
EBITDA per tower (INR m)
30.6
55.6
22
23.9
70
29.5
18
13.9
37.1
85
21
38
107
30
19
35
33
31
29
36.8
0.41
Source: Company, MOSL
October 2016
87

Telecom | Battle Royale
Financials and valuations
Consolidated - Income Statement
Y/E March
Total Income from Operations
Change (%)
Power and fuel
Rent
Employee benefits expenses
Other Expenses
Total Expenditure
% of Sales
EBITDA
Margin (%)
Depreciation
EBIT
Int. and Finance Charges
Other Income
PBT bef. EO Exp.
EO Items
PBT after EO Exp.
Total Tax
Tax Rate (%)
Reported PAT
Adjusted PAT
Change (%)
Margin (%)
FY13
102,720
8.7
38,016
10,876
3,341
12,437
64,670
63.0
38,050
37.0
22,199
15,851
3,945
3,379
15,285
22
15,307
5,282
34.5
10,025
10,011
33.3
9.7
FY14
108,267
5.4
40,612
8,886
3,670
11,098
64,266
59.4
44,001
40.6
21,259
22,742
3,997
4,487
23,232
0
23,232
8,053
34.7
15,179
15,179
51.6
14.0
FY15
116,683
7.8
41,950
9,460
3,997
11,235
66,642
57.1
50,041
42.9
21,847
28,194
2,902
5,223
30,515
0
30,515
10,591
34.7
19,924
19,924
31.3
17.1
FY16
123,314
5.7
42,598
10,322
4,279
12,007
69,206
56.1
54,108
43.9
22,236
31,872
-1,847
2,048
35,767
0
35,767
13,292
37.2
22,475
22,475
12.8
18.2
FY17E
132,369
7.3
45,715
11,233
4,707
12,577
74,231
56.1
58,138
43.9
22,619
35,518
-2,281
1,108
38,907
0
38,907
12,221
31.4
26,687
26,687
18.7
20.2
FY18E
144,244
9.0
49,721
12,207
5,248
13,136
80,312
55.7
63,932
44.3
23,792
40,140
8,056
3,793
35,878
0
35,878
12,198
34.0
23,679
23,679
-11.3
16.4
(INR Million)
FY19E
156,975
8.8
54,296
13,300
5,685
13,834
87,115
55.5
69,861
44.5
25,330
44,531
8,130
3,793
40,193
0
40,193
13,666
34.0
26,528
26,528
12.0
16.9
Consolidated - Balance Sheet
Y/E March
Equity Share Capital
Total Reserves
Net Worth
Total Loans
Deferred Tax Liabilities
Capital Employed
Net Fixed Assets
Capital WIP
Total Investments
Curr. Assets, Loans&Adv.
Account Receivables
Cash and Bank Balance
Loans and Advances
Curr. Liability & Prov.
Account Payables
Other Current Liabilities
Provisions
Net Current Assets
Appl. of Funds
E: MOSL Estimates
FY13
18,887
153,038
171,925
32,296
7,610
211,831
163,239
1,723
38,911
73,057
8,554
1,267
63,236
65,099
7,106
42,090
15,903
7,958
211,831
FY14
18,893
161,489
180,382
26,836
11,249
218,467
153,205
1,527
74,803
56,821
3,075
1,655
52,091
67,889
1,894
45,422
20,573
-11,068
218,467
FY15
18,938
151,262
170,200
17,131
12,247
199,578
148,121
2,260
58,822
62,344
3,532
9,120
49,692
71,969
1,342
43,694
26,933
-9,625
199,578
FY16
18,967
164,512
183,479
10,767
12,249
206,495
144,868
2,245
38,811
83,265
1,916
31,916
49,433
62,694
959
41,139
20,596
20,571
206,495
FY17E
18,496
163,124
181,621
10,767
12,249
204,637
140,974
2,245
38,811
88,509
2,160
35,744
50,605
65,902
1,055
43,783
21,064
22,607
204,637
FY18E
18,496
178,259
196,755
10,767
12,249
219,771
135,844
2,245
38,811
112,155
2,473
57,174
52,508
69,283
1,177
46,180
21,926
42,871
219,771
(INR Million)
FY19E
18,496
196,242
214,738
10,767
12,249
237,754
129,339
2,245
38,811
140,189
2,812
83,251
54,126
72,830
1,310
48,787
22,734
67,359
237,754
October 2016
88

Telecom | Battle Royale
Financials and valuations
Ratios
Y/E March
Basic (INR)
EPS
Cash EPS
BV/Share
DPS
Payout (%)
Valuation (x)
P/E
Cash P/E
P/BV
EV/Sales
EV/EBITDA
Dividend Yield (%)
FCF per share
Return Ratios (%)
RoE
RoCE
RoIC
Working Capital Ratios
Fixed Asset Turnover (x)
Asset Turnover (x)
Inventory (Days)
Debtor (Days)
Creditor (Days)
Leverage Ratio (x)
Net Debt/Equity
FY13
5.3
17.0
90.6
4.0
87.4
FY14
8.0
19.2
95.1
4.0
57.7
FY15
10.5
22.0
89.7
4.0
44.0
34.6
16.5
4.0
6.0
13.9
1.1
12.1
11.4
11.1
13.6
0.8
0.6
0
11
4
-0.3
FY15
30,515
21,847
2,946
-8,420
-517
46,371
-5,338
41,033
-18,144
22,889
17,588
17
-539
490
-7,601
-3,010
-21,755
-31876
8,618
1,640
9,120
FY16
11.8
23.6
96.7
4.0
39.0
30.6
15.4
3.8
5.4
12.3
1.1
7.4
12.7
11.2
15.2
0.9
0.6
0
6
3
-0.3
FY16
35,767
22,236
-1,847
-13,292
-7,400
35,464
-2,508
32,956
-18,968
13,988
20,011
10,883
11,926
29
-6,364
1,847
-8,763
-13252
31,631
285
31,916
FY17E
14.1
26.0
95.8
3.9
32.0
25.8
14.0
3.8
5.0
11.4
1.1
14.8
14.6
13.0
18.6
0.9
0.6
0
6
3
-0.4
FY17E
38,907
22,619
-2,281
-12,221
1,792
48,817
-2,048
46,769
-18,725
28,044
0
10,883
-7,842
-20,000
0
2,281
-8,545
-26,264
12,663
23,081
35,744
FY18E
12.5
25.0
103.7
3.9
36.1
29.1
14.5
3.5
4.5
10.0
1.1
19.0
12.5
14.5
21.2
1.1
0.7
0
6
3
-0.4
FY18E
35,878
23,792
8,056
-12,198
1,165
56,692
-2,048
54,644
-18,662
35,982
0
10,883
-7,779
0
0
-8,056
-8,545
-16,601
30,265
26,909
57,174
FY19E
14.0
27.3
113.2
3.9
32.2
26.0
13.3
3.2
3.9
8.8
1.1
21.5
12.9
14.7
25.0
1.2
0.7
0
7
3
-0.5
1.1
10.7
6.3
6.6
6.0
0.6
0.5
0
30
25
0.0
FY13
15,307
22,199
3,717
-3,722
3,463
40,964
-4,452
36,512
-16,173
20,339
-34,795
-6,976
-57,944
31,543
124
-3,715
-5,721
22231
799
468
1,267
1.1
13.1
8.6
8.6
9.6
0.7
0.5
0
10
6
-0.3
FY14
23,232
21,259
3,864
-4,345
-194
43,816
-5,646
38,170
-13,389
24,781
-35,977
25,904
-23,462
57
-4,254
-3,805
-7,003
-15005
-297
598
1,655
Consolidated - Cash Flow Statement
Y/E March
OP/(Loss) before Tax
Depreciation
Interest & Finance Charges
Direct Taxes Paid
(Inc)/Dec in WC
CF from Operations
Others
CF from Operating incl EO
(Inc)/Dec in FA
Free Cash Flow
(Pur)/Sale of Investments
Others
CF from Investments
Issue of Shares
Inc/(Dec) in Debt
Interest Paid
Dividend Paid
CF from Fin. Activity
Inc/Dec of Cash
Opening Balance
Closing Balance
E: MOSL Estimates
October 2016
(INR Million)
FY19E
40,193
25,330
8,130
-13,666
1,590
61,578
-2,048
59,530
-18,825
40,705
0
10,883
-7,942
0
0
-8,130
-8,545
-16,675
34,913
48,339
83,251
89

THEMATIC GALLERY
SECTOR RESEARCH
SECTOR RESEARCH
SECTOR RESEARCH

Disclosures
This document has been prepared by Motilal Oswal Securities Limited (hereinafter referred to as Most) to provide information about the company (ies) and/sector(s), if any, covered in the report and may be distributed by it and/or its
Telecom | Battle Royale
affiliated company(ies). This report is for personal information of the selected recipient/s and does not construe to be any investment, legal or taxation advice to you. This research report does not constitute an offer, invitation or
inducement to invest in securities or other investments and Motilal Oswal Securities Limited (hereinafter referred as MOSt) is not soliciting any action based upon it. This report is not for public distribution and has been furnished to
you solely for your general information and should not be reproduced or redistributed to any other person in any form. This report does not constitute a personal recommendation or take into account the particular investment
objectives, financial situations, or needs of individual clients. Before acting on any advice or recommendation in this material, investors should consider whether it is suitable for their particular circumstances and, if necessary, seek
professional advice. The price and value of the investments referred to in this material and the income from them may go down as well as up, and investors may realize losses on any investments. Past performance is not a guide for
future performance, future returns are not guaranteed and a loss of original capital may occur.
MOSt and its affiliates are a full-service, integrated investment banking, investment management, brokerage and financing group. We and our affiliates have investment banking and other business relationships with a some
companies covered by our Research Department. Our research professionals may provide input into our investment banking and other business selection processes. Investors should assume that MOSt and/or its affiliates are
seeking or will seek investment banking or other business from the company or companies that are the subject of this material and that the research professionals who were involved in preparing this material may educate investors
on investments in such business . The research professionals responsible for the preparation of this document may interact with trading desk personnel, sales personnel and other parties for the purpose of gathering, applying and
interpreting information. Our research professionals are paid on twin parameters of performance & profitability of MOSt.
MOSt generally prohibits its analysts, persons reporting to analysts, and members of their households from maintaining a financial interest in the securities or derivatives of any companies that the analysts cover. Additionally, MOSt
generally prohibits its analysts and persons reporting to analysts from serving as an officer, director, or advisory board member of any companies that the analysts cover. Our salespeople, traders, and other professionals or affiliates
may provide oral or written market commentary or trading strategies to our clients that reflect opinions that are contrary to the opinions expressed herein, and our proprietary trading and investing businesses may make investment
decisions that are inconsistent with the recommendations expressed herein. In reviewing these materials, you should be aware that any or all of the foregoingamong other things, may give rise to real or potential conflicts of interest.
MOSt and its affiliated company(ies), their directors and employees and their relatives may; (a) from time to time, have a long or short position in, act as principal in, and buy or sell the securities or derivatives thereof of companies
mentioned herein. (b) be engaged in any other transaction involving such securities and earn brokerage or other compensation or act as a market maker in the financial instruments of the company(ies) discussed herein or act as an
advisor or lender/borrower to such company(ies) or may have any other potential conflict of interests with respect to any recommendation and other related information and opinions.; however the same shall have no bearing
whatsoever on the specific recommendations made by the analyst(s), as the recommendations made by the analyst(s) are completely independent of the views of the affiliates of MOSt even though there might exist an inherent
conflict of interest in some of the stocks mentioned in the research report Reports based on technical and derivative analysis center on studying charts company's price movement, outstanding positions and trading volume, as
opposed to focusing on a company's fundamentals and, as such, may not match with a report on a company's fundamental analysis. In addition MOST has different business segments / Divisions with independent research
separated by Chinese walls catering to different set of customers having various objectives, risk profiles, investment horizon, etc, and therefore may at times have different contrary views on stocks sectors and markets.
Unauthorized disclosure, use, dissemination or copying (either whole or partial) of this information, is prohibited. The person accessing this information specifically agrees to exempt MOSt or any of its affiliates or employees from,
any and all responsibility/liability arising from such misuse and agrees not to hold MOSt or any of its affiliates or employees responsible for any such misuse and further agrees to hold MOSt or any of its affiliates or employees free
and harmless from all losses, costs, damages, expenses that may be suffered by the person accessing this information due to any errors and delays. The information contained herein is based on publicly available data or other
sources believed to be reliable. Any statements contained in this report attributed to a third party represent MOSt’s interpretation of the data, information and/or opinions provided by that third party either publicly or through a
subscription service, and such use and interpretation have not been reviewed by the third party. This Report is not intended to be a complete statement or summary of the securities, markets or developments referred to in the
document. While we would endeavor to update the information herein on reasonable basis, MOSt and/or its affiliates are under no obligation to update the information. Also there may be regulatory, compliance, or other reasons that
may prevent MOSt and/or its affiliates from doing so. MOSt or any of its affiliates or employees shall not be in any way responsible and liable for any loss or damage that may arise to any person from any inadvertent error in the
information contained in this report. MOSt or any of its affiliates or employees do not provide, at any time, any express or implied warranty of any kind, regarding any matter pertaining to this report, including without limitation the
implied warranties of merchantability, fitness for a particular purpose, and non-infringement. The recipients of this report should rely on their own investigations.
This report is intended for distribution to institutional investors. Recipients who are not institutional investors should seek advice of their independent financial advisor prior to taking any investment decision based on this report or for
any necessary explanation of its contents.
Most and it’s associates may have managed or co-managed public offering of securities, may have received compensation for investment banking or merchant banking or brokerage services, may have received any compensation
for products or services other than investment banking or merchant banking or brokerage services from the subject company in the past 12 months.
Most and it’s associates have not received any compensation or other benefits from the subject company or third party in connection with the research report.
Subject Company may have been a client of Most or its associates during twelve months preceding the date of distribution of the research report
MOSt and/or its affiliates and/or employees may have interests/positions, financial or otherwise of over 1 % at the end of the month immediately preceding the date of publication of the research in the securities mentioned in this
report. To enhance transparency, MOSt has incorporated a Disclosure of Interest Statement in this document. This should, however, not be treated as endorsement of the views expressed in the report.
Motilal Oswal Securities Limited is registered as a Research Analyst under SEBI (Research Analyst) Regulations, 2014. SEBI Reg. No. INH000000412
Pending Regulatory inspections against Motilal Oswal Securities Limited:
SEBI pursuant to a complaint from client Shri C.R. Mohanraj alleging unauthorized trading, issued a letter dated 29th April 2014 to MOSL notifying appointment of an Adjudicating Officer as per SEBI regulations to hold inquiry and
adjudge violation of SEBI Regulations; MOSL replied to the Show Cause Notice whereby SEBI granted us an opportunity of Inspection of Documents. Since all the documents requested by us were not covered we have requested to
SEBI vide our letter dated June 23, 2015 to provide pending list of documents for inspection.
List of associate companies of Motilal Oswal Securities Limited -Click
here to access detailed report
Analyst Certification
The views expressed in this research report accurately reflect the personal views of the analyst(s) about the subject securities or issues, and no part of the compensation of the research analyst(s) was, is, or will be directly or
indirectly related to the specific recommendations and views expressed by research analyst(s) in this report. The research analysts, strategists, or research associates principally responsible for preparation of MOSt research receive
compensation based upon various factors, including quality of research, investor client feedback, stock picking, competitive factors and firm revenues
Disclosure of Interest Statement
Analyst ownership of the stock
Served as an officer, director or employee
Companies where there is interest
No
No
A graph of daily closing prices of securities is available at www.nseindia.com and http://economictimes.indiatimes.com/markets/stocks/stock-quotes
Regional Disclosures (outside India)
This report is not directed or intended for distribution to or use by any person or entity resident in a state, country or any jurisdiction, where such distribution, publication, availability or use would be contrary to law, regulation or which
would subject MOSt& its group companies to registration or licensing requirements within such jurisdictions.
For Hong Kong:
This report is distributed in Hong Kong by Motilal Oswal capital Markets (Hong Kong) Private Limited, a licensed corporation (CE AYY-301) licensed and regulated by the Hong Kong Securities and Futures
Commission (SFC) pursuant to the Securities and Futures Ordinance (Chapter 571 of the Laws of Hong Kong) “SFO”. As per SEBI (Research Analyst Regulations) 2014 Motilal Oswal Securities (SEBI Reg No. INH000000412) has
an agreement with Motilal Oswal capital Markets (Hong Kong) Private Limited for distribution of research report in Kong Kong. This report is intended for distribution only to “Professional Investors” as defined in Part I of Schedule 1 to
SFO. Any investment or investment activity to which this document relates is only available to professional investor and will be engaged only with professional investors.” Nothing here is an offer or solicitation of these securities,
products and services in any jurisdiction where their offer or sale is not qualified or exempt from registration. The Indian Analyst(s) who compile this report is/are not located in Hong Kong & are not conducting Research Analysis in
Hong Kong.
For U.S
Motilal Oswal Securities Limited (MOSL) is not a registered broker - dealer under the U.S. Securities Exchange Act of 1934, as amended (the"1934 act") and under applicable state laws in the United States. In addition MOSL is not a
registered investment adviser under the U.S. Investment Advisers Act of 1940, as amended (the "Advisers Act" and together with the 1934 Act, the "Acts), and under applicable state laws in the United States. Accordingly, in the
absence of specific exemption under the Acts, any brokerage and investment services provided by MOSL, including the products and services described herein are not available to or intended for U.S. persons.
This report is intended for distribution only to "Major Institutional Investors" as defined by Rule 15a-6(b)(4) of the Exchange Act and interpretations thereof by SEC (henceforth referred to as "major institutional investors"). This
document must not be acted on or relied on by persons who are not major institutional investors. Any investment or investment activity to which this document relates is only available to major institutional investors and will be
engaged in only with major institutional investors. In reliance on the exemption from registration provided by Rule 15a-6 of the U.S. Securities Exchange Act of 1934, as amended (the "Exchange Act") and interpretations thereof by
the U.S. Securities and Exchange Commission ("SEC") in order to conduct business with Institutional Investors based in the U.S., MOSL has entered into a chaperoning agreement with a U.S. registered broker-dealer, Motilal Oswal
Securities International Private Limited. ("MOSIPL"). Any business interaction pursuant to this report will have to be executed within the provisions of this chaperoning agreement.
The Research Analysts contributing to the report may not be registered /qualified as research analyst with FINRA. Such research analyst may not be associated persons of the U.S. registered broker-dealer, MOSIPL, and therefore,
may not be subject to NASD rule 2711 and NYSE Rule 472 restrictions on communication with a subject company, public appearances and trading securities held by a research analyst account.
For Singapore
Motilal Oswal Capital Markets Singapore Pte Limited is acting as an exempt financial advisor under section 23(1)(f) of the Financial Advisers Act(FAA) read with regulation 17(1)(d) of the Financial Advisors Regulations and is a
subsidiary of Motilal Oswal Securities Limited in India. This research is distributed in Singapore by Motilal Oswal Capital Markets Singapore Pte Limited and it is only directed in Singapore to accredited investors, as defined in the
Financial Advisers Regulations and the Securities and Futures Act (Chapter 289), as amended from time to time.
In respect of any matter arising from or in connection with the research you could contact the following representatives of Motilal Oswal Capital Markets Singapore Pte Limited:
Varun Kumar
Varun.kumar@motilaloswal.com
Contact : (+65) 68189232
Office Address:21 (Suite 31),16 CollyerQuay,Singapore 04931
KadambariBalachandran
kadambari.balachandran@motilaloswal.com
(+65) 68189233 / 65249115
October 2016
Motilal Oswal Tower, Level 9, Sayani Road, Prabhadevi, Mumbai 400 025
Phone: +91 22 3982 5500 E-mail: reports@motilaloswal.com
Motilal Oswal Securities Ltd
92