Initiating Coverage |20 December 2016
Sector: Consumer
Product
SH Kelkar
Adding flavor to fragrance
Chintan Modi
(Chintan.Modi@MotilalOswal.com); +9122 3982 5422
Niket Shah
(Niket.Shah@MotilalOswal.com); +91 22 3982 5426;
Chitvan Oza
(Chitvan.Oza@MotilalOswal.com); +91 22 3010 2415
Investors are advised to refer through important disclosures made at the last page of the Research Report.
Motilal Oswal research is available on www.motilaloswal.com/Institutional-Equities, Bloomberg, Thomson Reuters, Factset and S&P Capital.

SH Kelkar
Contents: SH Kelkar | Adding flavor to fragrance
Summary ................................................................................................... 3
Company overview..................................................................................... 5
Enjoys leadership in fragrance market with ~24% share .............................. 7
Acquisitions to aid growth in flavor business .............................................10
SHKL’s revenues to register 16% CAGR over FY16-19E ................................12
Margins to expand on strategic moves ......................................................17
SWOT Analysis ..........................................................................................20
Earnings to post 33% CAGR over FY16–19E ................................................21
Valuation and view ...................................................................................22
Bull & Bear case ........................................................................................24
Key risks....................................................................................................26
Management overview .............................................................................27
Industry overview .....................................................................................28
Financials and valuations...........................................................................31
20
December 2016
2

SH Kelkar
Initiating Coverage | Sector: Consumer Products
SH Kelkar
BSE Sensex
26,308
S&P CNX
8,082
CMP: INR282
TP: INR338 (20%)
Buy
Stock Info
Bloomberg
Equity Shares (m)
52-Week Range (INR)
1, 6, 12 Rel. Per (%)
M.Cap. (INR b)/ (USD b)
AvgVal. (INR m)
SH Kelkar (SHKL) is one of India’s largest fragrance & flavor (F&F) companies with a
market share of ~14% as of 2016. Its fragrance products are used as raw materials in
personal & fabric care, skin & hair care, fine fragrance and household products, while
flavor products are used in baked & dairy products, beverages and pharmaceuticals.
In October 2015, it raised INR2,100m via an IPO to repay its own debt (INR1,260m)
and subsidiary company debt (INR320m). The company derived 63% of its FY16
revenues from India and 37% from exports.
SHKL IN
144.6
354 / 201
-2/32/13
41.8/0.6
208
Adding flavor to fragrance
Market share and profitability improving; initiating with Buy
Financial Snapshot (INR b)
2016
2017E 2018E
Y/E Mar
Sales
9.3
10.4 12.3
EBITDA
1.5
1.8
2.3
NP
0.8
1.1
1.5
EPS (INR)
5.5
7.5
10.1
EPS Gr. (%)
4.2
34.8 35.7
BV/Sh. (INR)
52.7 57.8 64.6
RoE (%)
12.6 13.5 16.6
RoCE (%)
16.9 19.5 24.4
P/E (x)
50.8 37.7 27.8
P/BV (x)
5.3
4.9
4.4
Shareholding Pattern (%)
As on
Sep-16
Promoter
56.7
DII
1.7
Jun-16
56.7
2.2
FII
15.2
14.1
Others
26.4
27.0
FII Includes depository receipts
SH Kelkar
Adding flavor to fragrance
SHKL has established a strong presence in India’s fragrance market (share of ~24%
as of 2016), backed by its strong consumer insights, access to key raw materials,
R&D prowess and compliance to regulatory norms. It intends to tap opportunities
in new and nascent categories in India, such as men's grooming, fine fragrance,
fabric softener and deodorants.
SHKL is an emerging player in India’s INR18.8b flavor market (share of ~1.5% as of
2016). The market is dominated by small unorganized players, which provides a
huge opportunity for players like SHKL to grow via inorganic route. In line with
this, the company recently acquired two new companies. This not only helped
SHKL to increase its market share, but also provided access to a new client.
Strong relationships with fast-growing FMCG companies, high exposure to
emerging geographies (including India) and product innovation are the key for
the company’s growth going forward.
We expect EBITDA margin to improve from 16.7% in FY16 to 20.5% in FY19,
driven by (a) shift in composition of exports in favor of high-value-added items
and (b) shift in production base of the ingredients business from the high-cost
region of the Netherlands to the low-cost region of India. Over FY16-19E, we
expect revenue/PAT CAGR of 16%/33% and RoCE improvement from 17% to 28%.
We thus initiate coverage with a Buy rating and value the stock at 26x FY19E EPS.
Our price target of INR338 implies a 20% upside.
Established leadership in fragrance; targeting new categories
SHKL is India’s largest domestic fragrance producer with a market share of
~24%. SHKL has been operating in the country for more than 90 years, which
gives it an edge over MNC peers in terms of understanding and meeting
consumer needs. We believe (a) access to key raw materials and in-house
ingredient manufacturing, (b) strong R&D team of 80 people, (c) portfolio of
9,700 products and (d) compliance with regulatory norms will help the company
to maintain its leadership position in the industry. Besides this, SHKL is looking
to tap opportunities in new and nascent categories in India, like men’s
grooming, fine fragrance, fabric softener and deodorants.
+
91 22 3982 5422
Chintan.Modi@motilaloswal.com
Please click here for Video Link
20 December 2016
3

SH Kelkar
Stock Performance (1-year)
Emerging player in flavor business; acquisitions to aid growth
SHKL is an emerging player in the flavor market (entered this space in 2000) with
a share of ~1.5%. The Indian flavor market – estimated at ~INR18.8b (as of 2015)
– is dominated by many small players (which together account for ~42% share,
as against just 12% in case of fragrance). We view this as a huge opportunity for
SHKL as it intends to grow via the inorganic route. As the F&F industry is
characterized by high level of customer stickiness, we believe growing
inorganically is the quickest way to not only increase market share, but also gain
access to new clients. In line with this, SHKL recently acquired Hi-Tech
Technologies (HTT), thereby gaining access to one of the largest bakery and
confectionary players (Parle) in India and doubling its market share. It also
recently announced the acquisition of Gujarat Flavors Pvt. Ltd.
Relationship with fast-growing FMCG companies, product innovation
and entry into new categories are the key to growth
SHKL’s wallet share in domestic FMCG companies (such as GCPL, Dabur,
Britannia, Marico, Vadilal and Vinni) has been quite sizeable at ~40%. Listed
domestic FMCG names have exhibited robust growth over FY11-16 (average
CAGR of 16%), and are expected to continue performing well, especially with
demonetization and GST likely to adversely impact unorganized players. In view
of intensifying competition among FMCG companies, product innovation is
expected to gain traction. The company’s products, which are used as raw
materials by many FMCG companies, thus will be a critical component of
product success. SHKL derived 15-20% of its revenue from products launched in
past three years. This, along with its foray into new F&F categories, should help
the company record revenue CAGR FY16-19E of 16%, in our view.
Strategy shift in ingredients and exports businesses to drive margins
SHKL also sells ingredients, where it enjoys gross margin of 35-40%. However,
EBITDA margin of this business is subdued (below 5%) as it operates from a high-
cost facility in the Netherlands. The company thus intends to shift production to
its low-cost Vapi facility in India and also outsource production of low-value
items. This should drive EBITDA margin improvement to 15-20% in ingredients
over next three years. In exports, SHKL is focusing on replacing low-value items
with high-value items to reduce volatility in sales and margins. With ~15% of
low-value items already replaced and low capacity utilization levels of ~45%, we
expect SHKL’s EBITDA margin to expand from 16.7% in FY16 to 20.5% in FY19.
Valuation and view
We expect SHKL to surpass industry revenue growth due to ~40% wallet share in
fast-growing domestic FMCG companies and entry into new categories. It is also
expected to scale up its EBITDA margins to match with global peers (avg. 23%
margins in CY15) on the back of corrective measures in exports and ingredients
business. We expect SHKL to record 16% revenue CAGR, 33% PAT CAGR over
FY16–19E. This will lead to RoCE expanding from 17% in FY16 to 28% in FY19
alongwith strong FCF CAGR of 21% with a net cash balance sheet. The stock is
currently trading at a PE of 22x FY19EPS which is at premium of ~30% to MNC
peers and ~20% discount to leading front end domestic FMCG companies in
India. We ascribe a similar discount to target PE of domestic FMCG companies
and arrive at a multiple of 26x on FY19E EPS for SHKL. We initiate coverage with
a Buy rating and a price target of INR338, implying 20% upside.
20 December 2016
4

SH Kelkar
Company overview
Among the largest F&F entities
Established nearly 90 years ago by Mr S. H. Kelkar and Mr V. G. Vaze, SHKL is one of
India’s largest F&F companies (by revenue) with ~14% market share. It is the largest
domestic fragrance producer with ~24% market share, exporting products to 52
countries. In the flavor space, it is an emerging producer in India with ~1.5% market
share, exporting products to 15 countries. The company has four production
facilities – three in India and one in the Netherlands.
Exhibit 1: SHKL is an established player in fragrance
Fragrance
Flavours
Exhibit 2: SHKL has stronghold in domestic market
Exports
Domestic
6%
5%
7%
6%
53%
55%
57%
63%
94%
FY13
95%
FY14
93%
FY15
94%
FY16
47%
FY13
45%
FY14
43%
FY15
37%
FY16
Source: Company, MOSL
Source: Company, MOSL
Exhibit 3: SHKL’s market share in India improving
2013
2016 (est)
24.0%
20.5%
12.0%
14.0%
2.0%
Fragrance & Flavour
Fragrance
Flavour
1.5%
*Market share for 2016 are based on our estimates
Source: Company, MOSL
Fragrance business
SHKL’s products are used by leading companies engaged in personal care, hair care,
skin care & cosmetics, household products, fine fragrances and F&F blends. A
portion of the company’s ingredients is used by other F&F companies. SHKL caters
to more than 3,700 customers, including Godrej Consumer Products, Marico, Wipro,
HUL, VINI Cosmetics and J.K. Helen Curtis. The fragrance business contributed 94%
of SHKL’s revenues in FY16. The company’s manufacturing plants are located at
Raigad, Mumbai, Vapi and Barneveld (the Netherlands).
20 December 2016
5

SH Kelkar
Exhibit 4: Fragrances enhance value of several FMCG products
Source: Company, MOSL
Flavor business
The flavor business contributed ~6% of revenues in FY16. Its products are used as
raw materials in baked goods, dairy products, beverages, pharma and confectionary.
SHKL has over 400 customers under this segment, including Britannia, Vicco
Laboratories, Vadilal Industries and Ravi Foods. The company’s manufacturing plant
for flavors is located at Raigad, Maharashtra.
Exhibit 5: Flavors used in diverse products
Source: Company, MOSL
20 December 2016
6

SH Kelkar
Enjoys leadership in fragrance market with ~24% share
Tapping opportunities in new categories
SHKL is the largest domestic fragrance producer in India with a market share of ~24%.
Consumer insight and strong R&D capabilities are the key differentiating factors in the
F&F industry. SHKL's rich experience of over 90 years in India has provided it good
understanding of consumer insight and behavior, giving it an edge over MNC peers.
(a) Access to key raw materials, (b) strong R&D team of 80 people, (c) portfolio of
9,700 products and (d) compliance with regulatory norms are the additional strengths.
SHKL is also looking at tapping opportunities in new and nascent categories in India,
like men's grooming, fine fragrance, fabric softener and deodorants.
Largest domestic player in fragrance market
SHKL is the largest domestic fragrance producer in India with ~24% market share
and exporting products to 52 countries. The company’s stronghold in the fragrance
market is backed by its strong consumer insight, R&D prowess, access to key raw
materials, in-house manufacturing of ingredients and compliance to stringent
regulatory norms.
Exhibit 6: Fragrance market growing at 10% CAGR
Market size (INR b)
Growth (%)
11.0%
11.2%
9.5%
8.1%
Exhibit 7: Share of players in India fragrance market (2013)
Givaudan
26.0
IFF
Firmenich
SHKL
7.0
Symrise
Goldfield
Others
Source: Company, MOSL
20.5
21.2
9.5%
12.0
3.0
10.0
15.7
2011
16.9
2012
18.8
2013
20.9
2014
22.9
2015E
25.1
2016E
Source: Company, MOSL
Scores well on consumer insight v/s large MNC peers
R&D is the key driving force behind an F&F company. We believe consumer insight,
art and science are the pillars of the R&D function. SHKL has been operating in India
for more than 90 years and thus has relatively good understanding of consumer
insights/behavior when compared to MNCs. In case of art, it scores more or less in
line with multi-national firms. On the science part, MNCs have an upper hand with
their new cutting-edge technologies. To bridge this gap, SHKL has tied up with some
companies to benefit from new technology and be prepared to launch new products
depending on demand/market conditions. This has allowed SHKL to enjoy 40%
wallet share in domestic FMCG companies.
Strong R&D team to support product innovation
Changing consumer preferences necessitate higher level of innovations and product
launches in the FMCG industry. This, in turn, requires new and unique fragrances
from F&F players. According to a Nielsen report, new product launches by FMCG
entities in India and worldwide are generally in the range of ~10,000–20,000 per
year, signifying continued growth potential for F&F companies. Strong R&D
20 December 2016
7

SH Kelkar
capabilities are needed to introduce innovative products that meet dynamic
consumer preferences. In line with this, SHKL operates five creation and
development centers in India (Mumbai and Bangalore), Indonesia and the
Netherlands. The company has a dedicated team of 18 scientists, who have
developed 12 molecules over past three years and filed for three patents. Also, it
has a team of 12 perfumers, 2 flavorists, evaluators and application executives at
the creation and development centers. SHKL is the only company of Indian origin to
file patents under fragrance and novel aroma molecules. SHKL earmarked 3% of
revenues for R&D in FY15. SHKL continues to own the formulations and know-how
of developed products. These products, in addition to customer-centric projects, aid
in the continual enlargement and evolution of the company’s portfolio. Such
products and ingredients can be accessed for the development of newer products,
thereby optimizing the company’s future R&D expenses.
Exhibit 8: R&D center, Mumbai
Exhibit 9: Manufacturing center, Mulund, Mumbai
Source: Company, MOSL
Source: Company, MOSL
Enjoys access to key and rare raw materials
Given the nature of the F&F industry, quality and specifications of raw materials are
of prime importance, and ensuring availability is the key in the business. SHKL
utilizes more than 1,200 raw materials sourced from 52 countries. Due to the size
and scale of operations, coupled with several decades of experience, SHKL is able to
source raw materials in cost effective manner and thus ensure timely delivery. The
company sources 43% of the requirement from global suppliers. Moreover, SHKL
obtains 250 ingredients from its manufacturing plants at Vapi and Barneveld. For
some raw materials, the company maintains inventory of over a year, subject to
favorable pricing terms. The top 10 raw material suppliers account for 35% of its
requirements. Essential oils, synthetic products, essences, fruits, flower and wood
extracts, other plant substances, organic materials and aroma ingredients are
commonly used as raw materials in the manufacturing process. In the F&F industry,
there are no contractual/long-term agreements. Thus, the company has been
maintaining good relationships with its suppliers.
20 December 2016
8

SH Kelkar
Exhibit 10: SHKL to work on optimizing inventory
Inventory (INR m)
139
134
133
Inventory days
136
131
126
123
2,254
FY13
2,788
FY14
3,175
FY15
3,369
FY16
3,883
FY17E
4,401
FY18E
4,950
FY19E
Source: Company, MOSL
Compliance to stringent regulatory norms
High level of regulatory compliances, sensitive nature of final products and high
costs act as entry barriers for new entities in the fragrance space. Also, setting up of
manufacturing facilities requires various approvals, and regulatory agencies (India
and abroad) and clients regularly conduct checks to ensure compliance.
SHKL’s fragrance manufacturing plants in Mumbai and Raigad comply with the
International Fragrance Association (IFRA) regulations, while the flavor
manufacturing plant in Raigad is registered with the USFDA. Additionally, plants are
regularly audited by major client companies, such as Coca Cola and Hindustan
Unilever (HUL), to ensure high level of standards. SHKL is also compliant with the
norms required by the Food Safety and Standards Authority of India (FSSAI).
Tapping opportunities in new categories
SHKL is looking at tapping opportunities in new categories of growth, such as men's
grooming, fine fragrance, fabric softener and deodorants, where India is still at a
nascent stage compared with South-East Asian countries. According to Euromonitor,
the Indian men's grooming market is projected to touch sales of INR142b by 2020,
up from INR30b in 2010 and INR75b in 2015. Changing consumer lifestyle, increasing
disposable incomes in urban areas and growing image/appearance awareness
among men are driving growth in the men’s grooming market in India. According to
industry estimates, for India, penetration is low in the men’s fairness cream market
at 4% and in deodorants at 8%. According to market estimates, women’s deo
market stood at INR5.2b, while men’s deo market stood at INR12.6b and is growing
at high pace.
20 December 2016
9

SH Kelkar
Acquisitions to aid growth in flavor business
Dairy and beverages to be biggest categories; trend toward natural flavors
SHKL is an emerging player in India’s flavor market with a share of ~1.5%. It entered
the flavor market relatively late in the year 2000, as against the fragrance business
where it is present for more than 90 years.
India’s flavor market size is estimated at ~INR18.8b. This market is dominated by small
unorganized players (~42% share v/s just 12% in case of fragrance market). We view
this as a huge opportunity for SHKL as it intends to grow through the inorganic route.
SHKL recently acquired Hi-Tech Technologies (HTT). The acquisition has given the
company access to one of the largest bakery and confectionary players (Parle) in India
and also helped double its market share. It also recently announced the acquisition of
Gujarat Flavors Pvt. Ltd.
Additionally, we believe the dairy segment in India offers huge opportunity as only 3%
of milk is processed in India v/s global average of 28%. In beverages, the share of
carbonated drinks is gradually being replaced by non-carbonated drinks and flavored
tea/coffee. SHKL also intends to grow in the fine fragrance category by forging
partnerships with various luxury brands.
Large unorganized sector provides opportunity for growth
The flavor business was initiated in year 2000 by Mr Kedar Vaze. It entered the
flavor market relatively late in the year 2000, as against the fragrance business
where it is present for more than 90 years. The segment accounted for 6% of
revenues in FY16. F&F industry is characterized by consolidation and significant
M&As as such activities provide ready access to customers and strengthen
capabilities in certain segments. As customer stickiness is a key feature in this
business, inorganic growth is the only way to accelerate growth and reach
geographies that are difficult to access. India’s flavor market size is estimated at
~INR18.8b (as of 2015). This market is dominated by small unorganized players (42%
share, as against just 12% in case of the fragrance market). We view this as a huge
opportunity for SHKL as it intends to grow through the inorganic route.
Exhibit 11: Flavors market expanding at ~10% CAGR
Market size (INR b)
10.2%
10.4%
10.6%
42%
21%
12.7
2011
14.0
2012
15.5
2013
17.2
2014
18.8
2015E
20.6
2016E
10% 2% 6%
Growth (%)
19%
Givaudan
IFF
9.5%
9.5%
Firmenich
SHKL
Symrise
Others
Exhibit 12: Unorganized segment is ~42% of market
Source: Company, MOSL
Source: Company, MOSL
Recent acquisitions boosting flavor business
In line with its strategy (as articulated at the time of the IPO) to grow though the
inorganic route, SHKL announced the acquisition of HTT for a consideration of
INR251m. HTT is a Mumbai-based entity with pan-India operations spanning
20 December 2016
10

SH Kelkar
manufacturing and sales of flavors through its FSSA-licensed facility in Daman. The
acquisition strengthens SHKL’s capabilities in some segments and offers access to
HTT’s large customers in bakery and confectionary (via Parle). SHKL also acquired
GFPL recently at a total cost of INR145m plus working capital. The deal also includes
two brands, Three Birds and Wheel. The acquired company registered total revenue
INR105m in FY16, and EBITDA margins were in line with industry levels. We believe
the acquisition provides an impetus to growth in the flavor business.
Exhibit 13: Recent acquisitions by SHKL
Company Name
Hi Tech Technologies
Gujarat Flavours Pvt Ltd
Category
Flavor
Flavor
Revenue (INR m)
FY14
FY15
FY16
INR251m
96.9
161.4
230
INR145m plus net working capital 66.1
97.7
104.9
Source: Company, MOSL
Acquisition cost
Exhibit 14: Acquisitions driving flavours growth in FY17
Revenue
Growth %
85%
48%
12%
366
FY13
410
FY14
607
FY15
587
-3%
FY16
1088
FY17E
1415
FY18E
1710
FY19E
Exhibit 15: Market share has doubled post acquisition
Flavour market share
3.1%
30%
1.5%
21%
FY16
FY17
Source: Company, MOSL
Source: Company, MOSL
Dairy and beverages to be biggest categories; trend toward natural flavors
Flavors serve as raw materials for producers of baked goods, dairy products,
beverages, pharma and confectionary. The business is expected to register robust
growth due to increasing demand for ready-to-eat, fortified juices and milk product
categories. According to Givaudan’s (largest F&F company in world) ‘Vision 2020’
investor presentation, the trend is largely skewed toward more local and small
brands due to a shift in consumer preferences and expectations. For global F&F
players, 80% of the developments in their flavor business have been ascribed to
high-growth markets. The company sees dairy and beverages segments to be the
biggest categories of growth in India. In dairy segment, only 3% of milk is processed
in India v/s global average of 28%. In beverage segment, the share of carbonated is
gradually coming down, while non-carbonated and flavored tea and coffee
businesses are expected to grow at a significant pace.
Given that the industry trend is shifting toward natural from synthetic flavor, SHKL
plans to focus on this emerging category in India. It has thus developed 29-30
unique natural flavors, including ethnic flavors for the domestic flavor market. At
global level, 60% of the flavor market is dominated by natural flavor, while in India,
it is just 20%. Going ahead, SHKL will have a product range developed for this
market and will continue investing in natural products/flavors on an ongoing basis.
20 December 2016
11

SH Kelkar
SHKL’s revenues to register 16% CAGR over FY16-19E
Exposure to high-growth FMCG companies and geographies
SHKL's strong relationship with domestic FMCG companies like GCPL, Dabur, Britannia,
Marico, Vadilal and Vinni is demonstrated by their growing contribution to the
company’s revenues.
Listed domestic FMCG names have exhibited robust growth over FY11-16 (avg. CAGR
of 16%), and are expected to continue performing well, especially with
demonetization and GST likely to adversely impact unorganized players.
SHKL is well placed in terms of geographical exposure as it derives 84% of revenues
from India and EM (including Asia ex-Japan and MENA regions) which have high
growth potential.
In view of intensifying competition among FMCG companies, product innovation is
expected to gain traction. The company’s products, which are used as raw materials in
many FMCG companies, thus will be a critical component of product success. SHKL
derived 15-20% of its revenue from products launched in past three years.
This, along with its foray into new F&F categories, should help the company record
revenue CAGR FY16-19E of 16%, in our view.
High revenue contribution from domestic FMCG companies to drive
outperformance
SHKL has over the years focused on building strong relationships with domestic
FMCG companies like GCPL, Dabur, Britannia, Marico, Vadilal and Vinni. These FMCG
names have exhibited robust growth over FY11-16 (average CAGR of 16%), and are
expected to continue performing well, especially with demonetization and GST likely
to adversely impact unorganized players. This shall allow SHKL to outperform
industry growth as it has 40% wallet share in such domestic FMCG companies. SHKL,
however, has low contribution from global FMCG companies present in India, which
mostly source from multi-national F&F companies like Givaudan, IFF and Symrise
both globally and in India. However, SHKL is also stepping into MNC FMCG space,
and has HUL in its customer portfolio.
Exhibit 16: Domestic FMCG companies have exhibited robust growth profile
FY11-16 revenue CAGR %
20%
11%
12%
9%
13%
5%
14%
14%
22%
14%
Source: Company, MOSL
20 December 2016
12

SH Kelkar
Exhibit 17: More than 3,700 fragrance customers
Exhibit 18: Nearly 400 customers in flavor and still rising
Source: Company, MOSL
Source: Company, MOSL
Exhibit 19: Customer briefing process (a practice prevalent in MNC FMCG companies)
Source: Company, MOSL
SHKL derives 84% of revenue from emerging markets
The Indian F&F industry grew at 9.5%, outperforming global F&F industry growth of
4.8% over last five years. SHKL derives 84% of its revenue from India and EM
(including Asia ex-Japan and MENA regions), as against MNC peers which derive
~43% from developing countries. In 2013, the global F&F industry derived ~57% of
its revenue from North America and Western Europe, and 43% from the rest of the
world.
20 December 2016
13

SH Kelkar
Exhibit 20: Global F&F industry grew at 4.8% CAGR 2011-16
Market size (USD b)
10.0%
5.4%
7.3%
4.4%
4.6%
Growth (%)
Exhibit 21: Indian F&F industry grew at 9.5% CAGR 2011-16
Market size (INR b)
9.1%
10.7%
Growth (%)
11.0%
9.5%
21.8
-0.9%
22.0
2010
2011
5.0%
4.4%
22.9
2012
23.9
2013
25.2
2014
26.3
2015
27.5
2016
26
2010
28
2011
31
2012
34
2013
38
2014
42
2015
Source: Company, MOSL
Source: Company, MOSL
SHKL will focus on nine countries in the ASEAN and MENA regions with similar
demographics, income patterns and aspirations like India. Our interactions with top
global companies like IFF, Givaudan and Symrise suggest that they are placing a
greater focus on the emerging markets of Asia-Pacific, South America, Middle East
and Africa as urbanization and changing lifestyles there are expected to benefit
FMCG companies and their F&F suppliers.
Exhibit 22: SHKL revenue share geography-wise
16%
Exhibit 23: Indian F&F industry market share
Givaudan
India
other emerging
markets
Other markets
29
23
IFF
Firmenich
SHKL
14
Symrise
Goldfield
Others
Source: Company, MOSL
27%
57%
1
7
12
14
Source: Company, MOSL
Exhibit 24: Key extract from IFF Annual report
Exhibit 25: Key extract from Symrise Annual report
Source: IFF Annual report
Source: Symrise Annual report
F&F companies with exposure to emerging markets also have significant competitive
advantages. For example, in 2014, Givaudan SA generated approximately 46% of its
revenue from the developing markets of Asia, Eastern Europe and the Middle East,
while Symrise AG generated approximately ~45% of its sales from the emerging
markets of Asia, Latin America, Eastern Europe, Middle East and Africa. Realizing the
growth potential of emerging markets, many large F&F companies have been
20 December 2016
14

SH Kelkar
expanding their presence, production facilities, sales organization and product
offerings in emerging markets.
New product innovation to drive growth
SHKL expects the number of new product launches in next five years to be higher
than last five years. In the past 2-3 years, ~15-20% of SHKL’s growth has been
coming from newly launched products. Additionally, SHKL intends to focus on
premium category of products – it derives 80% of its revenues from top branded
business and 20% from lower-cost products. However, it has relatively low market
share in detergents and soaps as this space is dominated by MNCs which typically
buy from global F&F companies like Givaudan, IFF and Symrise.
In the fine fragrance category, SHKL has appointed an expert through which the
company will approach various luxury branded players and showcase its products in
showrooms. Such luxury branded players typically extend their brand into categories
like high-end perfumes, where SHKL intends to capitalize.
To deepen relationships by providing ancillary service
The company recently started providing logistic support to clients – this is not a
focus area for SHKL, but a tactical move to deepen relationship with clients. For
example, ITC buys fragrances from SHKL, which get delivered at a central location
and are then sent to its various production facilities. This increases logistic cost and
time for clients. Here, SHKL plays a role by directly supplying fragrances to its
various production facilities. Although it is an 8-10% EBITDA margin business (which
is lower than its current EBITDA margin), this approach helps the company to
strengthen relationship and customer stickiness. Over the long term, it also intends
to extend support on customized packaging by tying up with packaging companies.
The company also acquired 100% of share capital of Rasiklal Hemani Agencies at
book value – valued at INR282m as on 31st March 2016. Further, an amount of
INR50m was paid by way of goodwill. The payback of 2-3 years is expected through
cost optimization. This was in line with its aim to help consolidate the company’s
leadership position in Fragrance in India as it expands the marketing and sales team
to address growing requirements of customers and directly manage customer
relationships in the northern region.
High-margin branded small pack business showing good traction
SHKL manufactures 350 fragrance products at the Raigad plant, catering to over
1,000 customers (including traders, resellers and SMEs engaged in the production of
soaps, detergents and other homecare products in smaller towns and villages of
India). These products are sold in 25–500g packs under the ‘SHK’, ‘Keva’ and ‘Cobra’
brands. Branded small pack is a focus segment for SHKL with a dedicated sales team
(unlike MNC peers). Currently, this segment accounts for ~14% of the company’s
revenues, with Cobra itself contributing ~6%. In addition to the distribution network,
these products are available off-the-shelf at two outlets: one each in Mumbai and
Bangalore. Management plans to expand this category by enhancing offerings and
distribution network.
20 December 2016
15

SH Kelkar
Exhibit 26: SHKL’s small pack business brands
Source: Company, MOSL
20 December 2016
16

SH Kelkar
Margins to
expand
on strategic moves
Shift of strategy in ingredients and exports businesses
SHKL’s gross margin in the ingredients business stands at 35-40%. However, EBITDA
margin of the business is subdued as it operates from the high-cost facility in the
Netherlands.
Thus, it intends to shift production to the Vapi facility in India and also outsource
production of low-value items. This is expected to drive EBITDA margin improvement
to ~20% in the ingredients business over next three years.
On exports front, the company has focused on high-value items. The transition to
replace 15% of low-value item sales with high-value items is now complete.
SHKL invested INR1.8b over FY07-15 to expand capacities for future growth. The
current capacity utilization rate stands at ~45%. We expect improving utilization to
provide operating leverage benefits.
Consequently, we expect overall EBITDA margin to improve from 16.7% in FY16 to
20.5% in FY19.
Shift of strategy in ingredients business
The company conducts research and manufacturing activity of ingredients at the
Netherlands facility through its subsidiary PFW Ingredients Ltd. This activity is very
critical for the company as it forms the backbone of the F&F business. Total
ingredients sales from the Netherlands facility stood at ~INR1.7b (FY16).
SHKL’s gross margin in the ingredients business currently stands at 35-40%.
However, EBITDA margin of the business is subdued as it operates from the high-
cost facility in the Netherlands. Strategically, SHKL intends to shift production to its
Vapi facility and continue with just R&D in the Netherlands. SHKL will also focus on
requirements for in-house consumption with incremental R&D spends. Additionally,
it intends to outsource production of low-value items, and retain production of high-
value and confidential items. SHKL has also build sufficient capacity at the Vapi
(2,064mtpa) facility. By shifting production to India (Vapi) and strategically focusing
on producing high-value items, the company intends to improve its EBITDA margins
to 15% in the near term, and gradually take it to 20% levels.
Exhibit 27: PFW revenue growth profile
Revenue(in Euro '000)
25,039
Growth(%)
Exhibit 28: Subdued EBITDA margins in PFW ingredients
EBITDA( in Euro '000)
2.2%
Margin(%)
24,551
-2%
FY15
FY16
Source: Company, MOSL
540
FY15
1.0%
241
FY16
Source: Company, MOSL
20 December 2016
17

SH Kelkar
Expect turnaround in exports business
In terms of exports, SHKL has presence in over 52 countries globally. It intends focus
on nine countries in the ASEAN and MENA regions with demographics, income
patterns and aspirations similar to India. SHKL primarily focuses on countries where
demand is growing and economic situation is continuing to hold normal.
Exhibit 29: Presence across globe with major contribution from EMs
Source: Company
The exports business of fragrance has been underperforming as the company’s
exports were not performing well in some regions of Africa (e.g. South Africa and
Nigeria) due to currency devaluation. In these regions, SHKL has lost share to other
products or strategically discontinued the business . On the exports front, SHKL has
taken a conscious call to continue focusing on the premium area of the business – it
has replaced 15% of low-value item sales with high-value items. As the transition is
now complete, we believe the company is set for growth and improvement in
margins.
Increasing utilization to provide operating leverage benefits
SHKL’s usually focuses on a particular product and benefits as the product gains
traction through its lifecycle. Accordingly, the company builds capacities once in 15-
20 years and front-ends the investment cycle. SHKL invested INR1.8b over FY07-
FY15 to build capacity of 20,000mtpa. The company’s current capacity utilization
stands at ~45%. In our opinion, it would undertake initiatives to increase capacity,
considering the multiple levers in place. Given that there are no capex requirements
for next 3–5 years – with the exception of maintenance capex (~INR150-200m) – we
expect operating leverage benefits to play out. SHKL has one work shift, which can
be raised to three during peak times. Management highlights peak utilization levels
could lead to revenues of 3x the current figure.
20 December 2016
18

SH Kelkar
Exhibit 30: Capacity details of SHKL (FY16)
Installed Capacity(MTPA)
Utilisation(%)
85%
48%
30%
10,342
1,164
1,650
Netherlands -
Ingredients
38%
2,064
Vapi - Ingredients
43%
4,599
Mumbai -
Fragrance
Raigad - Fragrance Raigad - Flavour
Source: Company, MOSL
20 December 2016
19

SH Kelkar
SWOT Analysis
Quality of identifying
trends and being
localized
24% share of Indian
FMCG industry (40%
of domestic FMCG)
Customer stickiness
with 80%
repeatability
Revenues from fast-
growing emerging
markets constitutes
84% of revenues
Low access to global
FMCG giants
Lack of resources and
muscle power
compared to MNC
peers in terms of
technology.
High inventory days
India’s F&F market
pegged at INR46b
(fragrance INR25b and
flavors INR21b),
growing at CAGR of 10%
over 2011-16.
Tapping the high value
and margin fine
fragrances market
Growing FMCG industry
Increasing consumer
spends
Increased aggression by
global peers like
Givaudan, IFF and
Symrise
Slowdown in FMCG
sector
Failure of final FMCG
product
20 December 2016
20

SH Kelkar
Earnings to post 33% CAGR over FY16–19E
Higher utilization, operating leverage to boost PAT
We believe SHKL will deliver revenue CAGR of 16% over FY16-19E led by sizeable
revenue contribution from fast-growing FMCG companies, high exposure to
emerging geographies (including India) and product innovation. We expect EBITDA
margin to improve from 16.7% in FY16 to 20.5% in FY19, driven by (a) shift
composition of the exports business in favor of high-value items and (b) shift of
ingredients production base to a low-cost location in India.
Exhibit 31: Revenues to post 16% CAGR over FY16–19E
Revenues (INR m)
16.9%
14.3%
9.7%
10.9%
Growth (%)
18.0%
12.1%
Exhibit 32: EBITDA to register CAGR of 24% over FY16–19E
EBITDA (INR m)
Margins (%)
17.3%
19.1%
20.5%
16.6%
17.7%
18.0%
14.1%
16.7%
6,662
FY13
7,614
FY14
8,355
FY15
9,266
FY16
10,386 12,257 14,294
FY17E
FY18E
FY19E
1,180
FY13
1,370
FY14
1,178
FY15
1,549
FY16
1,797
FY17E
2,341
FY18E
2,930
FY19E
Source: Company, MOSL
Source: Company, MOSL
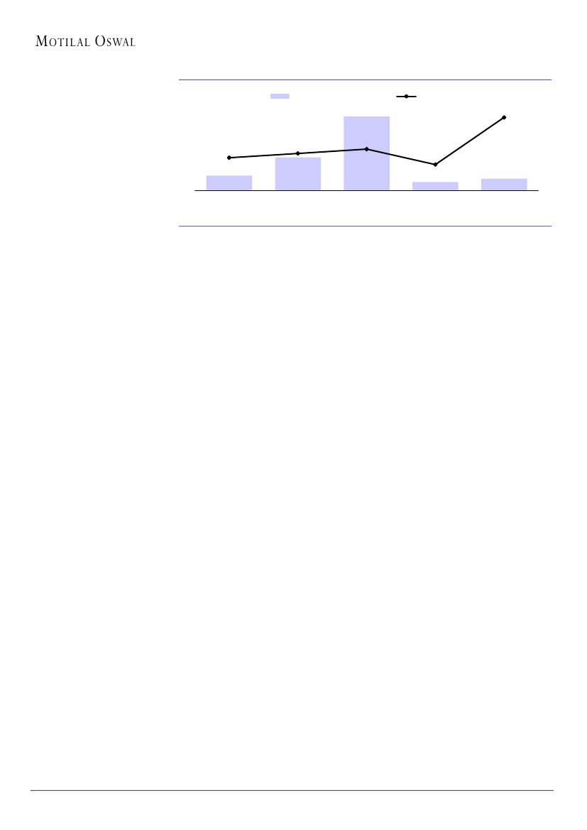
Exhibit 33: PAT to record CAGR of 33% over FY16–19E
53%
25%
704
-11%
631
FY13
791
FY14
FY15
802
FY16
1,081
FY17E
1,467
FY18E
1,883
FY19E
14%
PAT (INR m)
Growth (%)
35%
36%
Exhibit 34: Net working capital days to gradually improve
Net Working capital (Days)
172
174
171
167
167
163
28%
170
FY13
FY14
FY15
FY16
FY17E
FY18E
FY19E
Source: Company, MOSL
Source: Company, MOSL
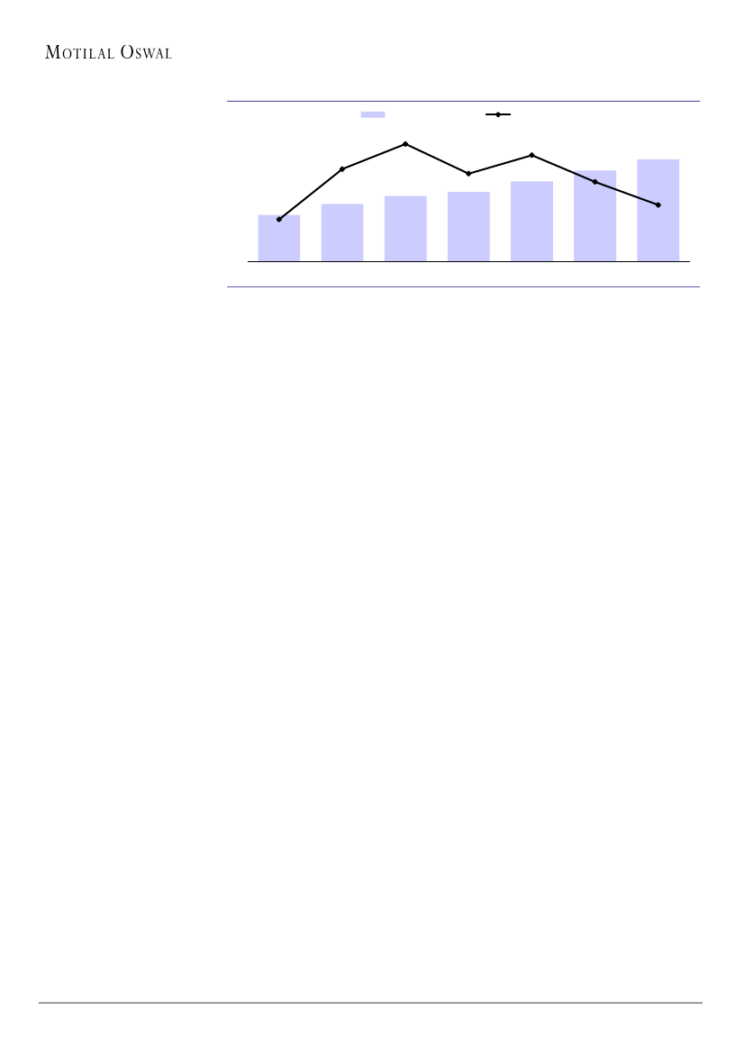
Exhibit 35: RoCE to improve to 28% by FY19E
RoCE (%)
24.4
16.7
19.2
15.6
16.9
19.5
28.3
Exhibit 36: FCF to grow at CAGR of 21% over FY16-19E
Free cash flow (INR m)
687
785
626
353
399
1,120
FY13
FY14
FY15
FY16
FY17E
FY18E
FY19E
FY13
FY14
-65
FY15
FY16
FY17E
FY18E
FY19E
Source: Company, MOSL
Source: Company, MOSL
20 December 2016
21

SH Kelkar
Valuation and view
Initiating with Buy
SHKL offers fragrances and flavors to FMCG companies and thus plays a crucial role
in the success of their products. We thus believe that it is in a sweet spot in the
FMCG value chain.
Revenue growth to outperform MNC peers
The Indian F&F industry grew at 9.5%, outperforming global F&F industry growth of
4.8% over last five years. SHKL derives 84% of its revenue from India and EM
(including Asia ex-Japan and MENA regions), as against MNC peers which derive
~45% from emerging countries. Over the years, SHKL has focused on building strong
relationships with domestic FMCG companies like GCPL, Dabur, Britannia, Marico,
Vadilal and Vinni. FMCG names have exhibited robust growth over FY11-16 (average
CAGR of 16%), and are expected to continue performing well, especially with
demonetization and GST likely to adversely impact unorganized players. SHKL’s
wallet share in domestic FMCG companies has been quite sizeable at 40%. The
company is now also focusing on growing in flavor through the inorganic route.
Cumulatively, we expect SHKL to register 16% revenue CAGR over FY16-19E with
higher growth of 18.5% in FY18 and 18% in FY19.
EBITDA margin to catch up with global levels
Global players like Givaudan, IFF and Symrise enjoy EBITDA margins in the range of
21-25%. Global leader Givaudan has the highest EBITDA margin of ~25%. Our
interactions with SHKL and other global players suggest that 23-24% EBITDA margins
are achievable in F&F industry. SHKL also enjoys ~23% EBITDA margin in the
domestic fragrance business. However, volatility in exports and lower margins in the
ingredients business (sub-5%) have been a drag. Thus, its blended level EBITDA
margin was 16.7% in FY16. The company is taking corrective measures in exports
and the ingredients business (discussed earlier), which should allow it to expand
margins gradually. We believe it can achieve 20.5% EBITDA margins by FY19.
Exhibit 37: EBITDA margin profile of peer companies
EBITDA margins %
Givaudan SA
International Flavors & Fragrance
Symrise AG
SHKL
CY11
20.9
20
19.5
18.3
CY12
22.1
20.3
20.4
17.7
CY13
23.9
22.1
20.6
18
CY14
CY15
24.2
24.6
22.4
22.9
22
21.1
14.1
16.7
Source: Company, MOSL
SHKL is also working to gradually reduce its net working capital days. In FY12, its net
working capital days stood at 195 and inventory days at 148. Typically, inventory
days are high in the F&F industry as companies usually stock rare raw materials and
also buy raw materials in large quantities at attractive prices considering volatility in
prices.
Exhibit 38: Working capital days profile of peer companies
Net working capital days
Givaudan SA
International Flavors & Fragrance
Symrise AG
SHKL
CY11
144
133
142
195
CY12
131
138
136
170
CY13
CY14
CY15
117
122
125
134
129
131
138
141
133
172
176
167
Source: Company, MOSL
20 December 2016
22

SH Kelkar
Exhibit 39: SHKL to work on optimizing inventory
Inventory (INR m)
139
134
123
2,254
FY13
2,788
FY14
3,175
FY15
3,369
FY16
3,883
FY17E
4,401
FY18E
133
Inventory days
136
131
126
4,950
FY19E
Source: Company, MOSL
As capex is now behind us with low utilization levels at 45%, we expect FCF
generation to double from INR626m in FY16 to INR1,119m in FY19. With asset
turnover ratio improvement and margin expansion, we expect RoCE to improve
from 17% in FY16 to 28% in FY19. We expect SHKL to record CAGR of 16% and 33%
in revenues and PAT, respectively, over FY16–19E.
Given its outperformance v/s peer companies, significant scope for growth in
margins and no major capex requirement (capacity utilization is low at 45%), we
believe valuation premium to peers is justified. The stock is currently trading at a PE
of 22x FY19EPS which is at premium of ~30% to MNC peers and ~20% discount to
leading front end domestic FMCG companies in India. We ascribe a similar discount
to target PE of domestic FMCG companies and arrive at a multiple of 26x on FY19E
EPS for SHKL. We initiate coverage with a Buy rating and a price target of INR338
(20% upside).
Exhibit 40: Peer comparison with MNC peers
Company Name
PE
EV/EBITDA
RoE %
EV/Sales
Sales CAGR
PAT CAGR
FY16-18E
FY16-18E
FY17E FY18E FY17E FY18E FY17E FY18E FY17E FY18E
Givaudan SA
22
20
15
14
21
21
3
3
13
15
International Flavors & Fragrance
20
18
13
12
26
25
3
3
13
17
Symrise AG
23
21
13
13
17
17
3
3
11
14
SH Kelkar Ltd*
38
28
23
17
14
17
4
3
15
35
*MOSL estimates and Bloomberg estimates for MNC peers; Note: For Givaudan, IFF and Symrise the period FY17 and FY18 refers to CY16 and
CY17 and further estimates are not available
Exhibit 41: Peer comparison with domestic FMCG peers
EV/EBITDA
Company Name
FY18E
FY19E
FY18E
FY19E
Dabur
31
27
27
23
Brittania Industries
32
27
21
18
Marico
33
29
23
20
GCPL
32
27
24
21
SHKL*
28
22
17
14
*MOSL estimates and Bloomberg estimates for domestic FMCG peers
PE
RoE %
FY18E
FY19E
29
28
42
40
37
39
23
23
17
19
Exhibit 42: Assumption
Fragrance (INR m)
Growth %
Flavour (INR m)
Growth %
FY13
6285
366
FY14
7204
14.6
410
11.8
FY15
7763
7.8
607
48.2
FY16
8642
11.3
587
-3.3
FY17E
FY18E
FY19E
9298
10842
12584
7.6
16.6
16.1
1088
1415
1710
85.3
30.1
20.8
Source: Company, MOSL
20 December 2016
23

SH Kelkar
Bull & Bear case
Bull case
Our bull case assumptions have positive impact on sales growth and operating
margins. We assume higher capacity utilization on account of strong traction in
the fragrance and flavor segments. Additionally, we assume that prices of
critical raw materials to decrease for FY18 and FY19.
We had assumed 380bp EBITDA margin improvement over FY16-19E in the base
case. However, due to a decline in raw material prices in our bull case
assumptions and operating leverage benefits, we are assuming 550bp YoY
improvement over FY16-19E and 8% higher sales CAGR over the base case.
In the bull case, we are assuming that the company will not pass on the benefit
of lower raw material prices and thus enjoy higher margins. We also estimate
that the company will be able to aggressively acquire new companies in the
flavor business, and exports will turnaround quicker than expected.
There is an increase of 10%/22%/32% in FY17E/FY18E/FY19E EPS over the base
case to INR8.2/INR12.3/INR17.2.
Assuming the 28x target multiple in bull case (vs 26x in base case), we get a bull
case target price of INR481 (upside of 71% to CMP) based on FY19 EPS (v/s base
case target price of INR338, upside of 20%).
Exhibit 43: Bull case scenario
Sales (INR m)
Sales growth (%)
EBITDA (INR m)
EBITDA Margin (%)
EBITDA growth (%)
PAT (INR m)
PAT Margin (%)
PAT growth (%)
EPS (INR)
Target multiple (x)
Target price (INR)
Upside/downside (%)
FY17E
11,004
18.8
1,959
17.8
26.5
1,191
10.8
48.5
8.2
FY18E
13,788
25.3
2,813
20.4
43.6
1,786
13.0
49.9
12.3
FY19E
17,214
24.9
3,822
22.2
35.9
2,485
14.4
39.2
17.2
28
481
71
Source: MOSL
Bear case
Our bear case assumptions mainly have negative impact on both sales growth
and operating margins for FY18 and FY19.
We are assuming EBITDA margin decline of 170bp over FY16-19E in the bear
case and sales decline of 9%/19% in FY18E/FY19E over our base case.
In our bear case, we assume that the company loses out on market share in the
fragrance business, and its exports business does not turnaround and continues
to remain a laggard. Additionally, we assume that the company is unable to pass
on the increase in raw material prices, and the benefits of operating leverage
will also get delayed.
This will lead to decrease of 3%/27%/42% in FY17E/FY18E/FY19E EPS over the
base case to INR7.2/INR7.4/INR7.5.
20 December 2016
24

SH Kelkar
Assuming the 24x target multiple in bear case (vs 26x in base case), we get a
bear case target price of INR180 (downside of 36% to CMP) based on FY19 EPS
(v/s base case target price of INR338, upside of 20%).
Exhibit 44: Bear case scenario
Sales (INR m)
Sales growth (%)
EBITDA (INR m)
EBITDA Margin (%)
EBITDA growth (%)
PAT (INR m)
PAT Margin (%)
PAT growth (%)
EPS (INR)
Target multiple (x)
Target price (INR)
Upside/downside (%)
FY17E
10,404
12.3
1,748
16.8
12.9
1,046
10.1
30.4
7.2
FY18E
11,129
7.0
1,758
15.8
0.6
1,075
9.7
2.8
7.4
FY19E
11,635
4.5
1,745
15.0
-0.8
1,088
9.3
1.2
7.5
24
180
-36
Source: MOSL
20 December 2016
25

SH Kelkar
Key risks
Increasing competition from international peers
Large international players – Givaudan, IFF, Firmenich and Symrise – collectively
command a 58% share in Indian F&F market. Aggressive expansion initiatives by
these players could dent SHKL’s prospects.
Dependence on success of FMCG products
SHKL’s progress is largely dependent on performance of FMCG products in which
the company’s flavors and fragrances are used as raw materials. Any slowdown in
sales of such FMCG products would have an adverse impact on SHKL.
Concentrated sourcing of raw materials
The top 10 suppliers constituted 35% of SHKL’s raw material requirements.
Accordingly, sourcing of materials may be impacted in case of any negative event at
the supplier end.
Foreign exchange risk
SHKL’s overseas sales and a portion of raw material expenditures are in foreign
currency, mostly USD, Euro and Yen. SHKL’s received 37% of its revenue from
exports and overseas sales in FY16. Thus, the company is highly exposed to the risk
of fluctuation in foreign exchange rates.
20 December 2016
26

SH Kelkar
Management overview
Mr. Ramesh Vinayak Vaze, Promoter and Managing Director
Ramesh Vaze, aged 74, is the Managing Director. He holds a Bachelor of Science
degree from Mumbai University and has been with the company for more than 40
years. He is also a trustee of the Kelkar Education Trust. He has been Managing
Director since August 2010.
Mr. Kedar Ramesh Vaze, WTD and Group CEO
Kedar Vaze, aged 41, is a Wholetime Director (WTD) and Group Chief Executive
Officer. He holds a Master of Science degree in Organic Chemistry from the Indian
Institute of Technology, Mumbai. He also received a Certificate of Participation in
the Stanford Executive Program from the Graduate School of Business, Stanford
University. He has been with SHKL for over 19 years and has been a board director
since 2010. Mr. Vaze took over as Group CEO in October 2014, prior to which he
held different positions within the company such as CTO and COO, responsible for
all three business segments: Fragrance, Flavors and Ingredients.
Mr. B. Ramkrishnan, Director, Strategy
Mr. Ramkrishnan took over as Director, Strategy, in October 2014. He is responsible
for the company’s long-term strategy development, M&A, and equity/debt raising
activities. Previously, he was Group CEO, responsible for SHKL’s business across
geographies. Mr. Ramkrishnan has been with the company since 2010 and has three
decades of experience. Prior to SHKL, he was CEO at Privi Organics and also headed
Givaudan’s Flavor business. He holds a degree in Chemical Engineering.
Mr. Tapas Majumdar, VP and Group CFO
Mr. Majumdar has been Group CFO since 2012. He has 30 years of experience and is
a qualified CA, CS. He is also a certified public accountant (CPA) from the American
Institute of Certified Public Accountants (Delaware). Prior to joining our Company,
he worked with organizations like A. F. Ferguson & Co., Indian Aluminium Company
Limited, Hindustan Unilever Limited, GlaxoSmithKline and Dubai Aluminium
Company Limited etc.
20 December 2016
27

SH Kelkar
Industry overview
Global F&F industry estimated at USD28b
The global F&F industry is valued at USD28b, with an almost equal split between
fragrance and flavor. The industry has grown at a CAGR of 4.7% by 2016 to reach
USD27.5b. In CY13, the global F&F industry derived ~57% of revenues from North
America and Western Europe, while rest of the world contributed ~43%.
Exhibit 45: Global F&F industry posted CAGR of 4.8% over CY11–16
Market size (USD b)
10.0%
5.0%
21.8
-0.9%
2011
5.4%
Growth (%)
4.4%
4.4%
4.6%
22.0
2010
22.9
2012
23.9
2013
25.2
2014
26.3
2015
27.5
2016
Source: Company, MOSL
While the global F&F industry is highly fragmented with several players, there is
increased consolidation among larger companies. In CY13, the top 12 F&F
companies held approximately 83% (64% in CY00) of the global F&F industry. Of
these, the top four – Givaudan SA, Firmenich, International Flavors and Fragrances,
Inc. (IFF) and Symrise AG – individually accounted for more than 10% share, and
collectively constituted 54%. The remaining 8 companies had individual market
share of 1–10%, and 26% collectively. Regional companies comprised the remaining.
Exhibit 46: Givaudan – leader in the global market (18% share)
Givaudan, 18%
Others, 46%
IFF, 12%
Firmenich, 12%
Symrise, 12%
Source: Company, MOSL
Indian F&F industry valued at INR46b
F&F products are key components in diverse FMCG products. The Indian F&F
industry’s total market size was estimated at INR46b (INR25b – fragrance, INR21b –
flavor) in terms of value. Fragrance market and flavor market both registered CAGR
of 10% CY11–16. Imports and exports rose 15.1% (to INR3.9b) and 17.2% (to
INR4.9b), respectively, in CY14.
20 December 2016
28

SH Kelkar
Exhibit 47: Indian F&F market registered CAGR of 10% over CY11–16
Market size (INR b)
9.1%
7.3%
10.7%
Growth (%)
11.0%
9.5%
9.5%
26.5
2010
28.4
2011
31.0
2012
34.3
2013
38.1
2014
41.7
2015
45.6
2016
Source: Company, MOSL
Exhibit 48: Indian fragrance industry grew at CAGR 10%...
Market size (INR b)
Growth (%)
11.0%
11.2%
9.5%
9.5%
8.1%
Exhibit 49: …while flavor industry rose 10% over CY11–16
Market size (INR b)
10.2%
10.4%
10.6%
Growth (%)
9.5%
9.5%
15.7
2011
16.9
2012
18.8
2013
20.9
2014
22.9
2015E
25.1
2016E
12.7
2011
14.0
2012
15.5
2013
17.2
2014
18.8
2015E
20.6
2016E
Source: Company, MOSL
Source: Company, MOSL
More than 1,000 companies, ranging from MNCs and large Indian industrial houses
to small-scale units and local manufacturers, operate in the Indian F&F industry.
Large domestic industrial houses with several decades of experience are fewer in
number. In CY13, the top five companies operating in the Indian F&F industry –
Givaudan SA, Firmenich, IFF, SHKL and Symrise SA – collectively held a market share
of ~70%. Major players are able to sustain competition by leveraging on their
resources and R&D facilities to produce high-quality customized products,
particularly for quality-conscious multinational customers.
Exhibit 50: Givaudan – largest player in Indian F&F market with 23% share (CY13)
Others, 29%
Givaudan, 23%
Goldfield, 1%
Symrise, 7%
SHKL, 12%
IFF, 14%
Firmenich, 14%
Source: Company, MOSL
20 December 2016
29

SH Kelkar
Exhibit 51: SHKL’s share in fragrance market (20.5%) in 2013
Goldfield,
3.0%
Symrise,
10.0%
IFF, 7.0%
SHKL,
20.5%
Firmenich,
21.2%
SHKL, 2%
Source: Company, MOSL
Others,
12.0%
Givaudan,
26.0%
Exhibit 52: SHKL’s share in flavor market (2%) in 2013
Givaudan,
19%
Others,
42%
Symrise,
10%
IFF, 21%
Firmenich,
6%
Source: Company, MOSL
20 December 2016
30

SH Kelkar
Financials and valuations
Consolidated - Income Statement
Y/E March
Total Income from Operations
Change (%)
EBITDA
Margin (%)
Depreciation
EBIT
Int. and Finance Charges
Other Income
PBT bef. EO Exp.
EO Items
PBT after EO Exp.
Current Tax
Deferred Tax
Tax Rate (%)
Less: Minority Interest
Reported PAT
Adjusted PAT
Change (%)
Margin (%)
FY12
5,700
24.0
1,044
18.3
173
871
278
40
633
0
633
222
-33
29.9
32
412
412
-10.0
7.2
FY13
6,662
16.9
1,180
17.7
173
1,007
218
15
805
-23
782
250
-7
31.0
-76
616
631
53.3
9.5
FY14
7,614
14.3
1,370
18.0
188
1,183
175
78
1,085
0
1,085
328
-33
27.1
0
791
791
25.3
10.4
FY15
8,355
9.7
1,178
14.1
293
885
185
246
945
0
945
286
-45
25.5
0
704
704
-11.0
8.4
FY16
9,266
10.9
1,549
16.7
294
1,255
144
96
1,206
0
1,206
449
-45
33.5
0
802
802
13.9
8.7
FY17E
10,386
12.1
1,797
17.3
205
1,591
68
115
1,638
0
1,638
557
0
34.0
0
1,081
1,081
34.8
10.4
(INR Million)
FY18E
12,257
18.0
2,341
19.1
221
2,120
35
138
2,223
0
2,223
756
0
34.0
0
1,467
1,467
35.7
12.0
FY19E
14,294
16.6
2,930
20.5
232
2,699
11
165
2,853
0
2,853
970
0
34.0
0
1,883
1,883
28.3
13.2
Consolidated - Balance Sheet
Y/E March
Equity Share Capital
Total Reserves
Net Worth
Deferred Tax Liabilities
Total Loans
Capital Employed
Gross Block
Less: Accum. Deprn.
Net Fixed Assets
Goodwill on Consolidation
Capital WIP
Total Investments
Curr. Assets, Loans&Adv.
Inventory
Account Receivables
Cash and Bank Balance
Loans and Advances
Curr. Liability & Prov.
Account Payables
Other Current Liabilities
Provisions
Net Current Assets
Appl. of Funds
E: MOSL Estimates
FY12
52
2,640
3,713
12
2,307
6,031
3,451
2,099
1,352
709
278
334
4,383
2,316
1,307
237
523
1,024
497
426
102
3,359
6,031
FY13
120
4,077
4,720
6
1,518
6,244
3,655
2,259
1,395
707
432
410
4,760
2,254
1,719
332
456
1,461
757
592
112
3,299
6,244
FY14
132
4,669
4,810
-19
2,111
6,902
4,233
2,548
1,686
828
503
2
5,573
2,788
1,794
415
576
1,689
879
527
283
3,885
6,902
FY15
1,323
3,682
5,097
-50
2,427
7,474
4,573
2,612
1,961
776
105
0
6,502
3,175
1,945
759
622
1,870
977
553
340
4,632
7,474
FY16
1,446
6,182
7,628
-91
855
8,392
4,914
3,026
1,889
793
181
345
7,285
3,369
2,339
822
754
2,101
1,292
600
209
5,184
8,392
FY17E
1,446
6,911
8,357
-91
655
8,921
5,357
3,231
2,126
793
334
345
7,988
3,883
2,589
671
845
2,664
1,412
672
580
5,324
8,921
(INR Million)
FY18E
1,446
7,901
9,347
-91
123
9,379
5,699
3,452
2,247
793
142
345
9,003
4,401
3,056
549
997
3,151
1,630
793
728
5,852
9,379
FY19E
1,446
9,171
10,617
-91
123
10,649
5,887
3,684
2,203
793
103
345
10,887
4,950
3,564
1,210
1,163
3,683
1,868
925
890
7,204
10,649
20 December 2016
31

SH Kelkar
Financials and valuations
Ratios
Y/E March
Basic (INR)
EPS
Cash EPS
BV/Share
DPS
Payout (%)
Valuation (x)
P/E
Cash P/E
P/BV
EV/Sales
EV/EBITDA
Dividend Yield (%)
FCF per share
Return Ratios (%)
RoE
RoCE
Working Capital Ratios
Asset Turnover (x)
Inventory (Days)
Debtor (Days)
Creditor (Days)
Leverage Ratio (x)
Debt/Equity
FY12
3.1
4.0
28.1
0.0
1.1
FY13
4.8
5.9
35.7
0.6
15.6
FY14
6.0
7.4
36.4
1.1
22.2
47.1
38.1
7.8
5.1
28.5
0.4
-0.5
16.6
19.2
1.1
134
81
42
0.4
FY15
5.3
7.5
38.5
1.1
25.6
53.0
37.4
7.3
4.7
33.1
0.4
3.0
14.2
15.6
1.1
139
80
43
0.5
FY16
5.5
7.6
52.7
1.5
32.6
50.8
37.2
5.3
4.4
26.4
0.5
4.3
12.6
16.9
1.1
133
85
51
0.1
FY17E
7.5
8.9
57.8
2.0
32.6
37.7
31.7
4.9
3.9
22.7
0.7
2.4
13.5
19.5
1.2
136
84
50
0.1
FY18E
10.1
11.7
64.6
2.7
32.6
27.8
24.2
4.4
3.3
17.2
1.0
5.4
16.6
24.4
1.3
131
84
49
0.0
FY19E
13.0
14.6
73.4
3.5
32.6
21.7
19.3
3.8
2.8
13.5
1.2
7.7
18.9
28.3
1.3
126
84
48
0.0
0.0
4.1
12.6
16.0
0.9
148
79
32
0.6
0.2
5.2
15.0
16.7
1.1
123
88
41
0.3
Consolidated - Cash Flow Statement
Y/E March
OP/(Loss) before Tax
Depreciation
Interest & Finance Charges
Direct Taxes Paid
(Inc)/Dec in WC
CF from Operations
Others
CF from Operating incl EO
(Inc)/Dec in FA
Free Cash Flow
(Pur)/Sale of Investments
Others
CF from Investments
Issue of Shares
Inc/(Dec) in Debt
Interest Paid
Dividend Paid
Others
CF from Fin. Activity
Inc/Dec of Cash
Opening Balance
Closing Balance
E: MOSL Estimates
FY12
630
173
246
-204
-122
724
9
733
-190
543
-187
11
-366
0
-216
-253
-101
-3
-573
-206
443
237
FY13
785
173
201
-259
103
1,005
26
1,031
-344
687
0
14
-330
10
-259
-210
-114
-34
-607
94
237
332
FY14
1,088
188
146
-343
-729
350
-29
321
-386
-65
0
-211
-597
0
527
-161
0
-6
360
84
332
415
FY15
945
293
175
-285
-375
753
-136
617
-219
399
3
17
-199
-38
322
-183
-176
0
-75
344
415
759
FY16
1,206
294
130
-394
-374
863
1
864
-238
626
4
-331
-565
1,956
-1,589
-162
-441
0
-236
63
759
822
FY17E
1,638
205
-47
-557
-291
948
0
948
-595
353
0
115
-480
0
-200
-68
-352
0
-620
-152
822
671
(INR Million)
FY18E
2,223
221
-103
-756
-650
935
0
935
-150
785
0
138
-12
0
-532
-35
-478
0
-1,045
-122
671
549
FY19E
2,853
232
-154
-970
-691
1,270
0
1,270
-150
1,120
0
165
15
0
0
-11
-613
0
-624
661
549
1,210
20 December 2016
32

REPORT GALLERY
RECENT INITIATING COVERAGE REPORTS

Disclosures
This document has been prepared by Motilal Oswal Securities Limited (hereinafter referred to as Most) to provide information about the company (ies) and/sector(s), if any, covered in the report and may be distributed by it and/or
SH Kelkar
its affiliated company(ies). This report is for personal information of the selected recipient/s and does not construe to be any investment, legal or taxation advice to you. This research report does not constitute an offer, invitation or
inducement to invest in securities or other investments and Motilal Oswal Securities Limited (hereinafter referred as MOSt) is not soliciting any action based upon it. This report is not for public distribution and has been furnished to
you solely for your general information and should not be reproduced or redistributed to any other person in any form. This report does not constitute a personal recommendation or take into account the particular investment
objectives, financial situations, or needs of individual clients. Before acting on any advice or recommendation in this material, investors should consider whether it is suitable for their particular circumstances and, if necessary, seek
professional advice. The price and value of the investments referred to in this material and the income from them may go down as well as up, and investors may realize losses on any investments. Past performance is not a guide
for future performance, future returns are not guaranteed and a loss of original capital may occur.
MOSt and its affiliates are a full-service, integrated investment banking, investment management, brokerage and financing group. We and our affiliates have investment banking and other business relationships with a some
companies covered by our Research Department. Our research professionals may provide input into our investment banking and other business selection processes. Investors should assume that MOSt and/or its affiliates are
seeking or will seek investment banking or other business from the company or companies that are the subject of this material and that the research professionals who were involved in preparing this material may educate
investors on investments in such business . The research professionals responsible for the preparation of this document may interact with trading desk personnel, sales personnel and other parties for the purpose of gathering,
applying and interpreting information. Our research professionals are paid on twin parameters of performance & profitability of MOSt.
MOSt generally prohibits its analysts, persons reporting to analysts, and members of their households from maintaining a financial interest in the securities or derivatives of any companies that the analysts cover. Additionally,
MOSt generally prohibits its analysts and persons reporting to analysts from serving as an officer, director, or advisory board member of any companies that the analysts cover. Our salespeople, traders, and other professionals or
affiliates may provide oral or written market commentary or trading strategies to our clients that reflect opinions that are contrary to the opinions expressed herein, and our proprietary trading and investing businesses may make
investment decisions that are inconsistent with the recommendations expressed herein. In reviewing these materials, you should be aware that any or all of the foregoing among other things, may give rise to real or potential
conflicts of interest. MOSt and its affiliated company(ies), their directors and employees and their relatives may; (a) from time to time, have a long or short position in, act as principal in, and buy or sell the securities or derivatives
thereof of companies mentioned herein. (b) be engaged in any other transaction involving such securities and earn brokerage or other compensation or act as a market maker in the financial instruments of the company(ies)
discussed herein or act as an advisor or lender/borrower to such company(ies) or may have any other potential conflict of interests with respect to any recommendation and other related information and opinions.; however the
same shall have no bearing whatsoever on the specific recommendations made by the analyst(s), as the recommendations made by the analyst(s) are completely independent of the views of the affiliates of MOSt even though
there might exist an inherent conflict of interest in some of the stocks mentioned in the research report
Reports based on technical and derivative analysis center on studying charts company's price movement, outstanding positions and trading volume, as opposed to focusing on a company's fundamentals and, as such, may not
match with a report on a company's fundamental analysis. In addition MOST has different business segments / Divisions with independent research separated by Chinese walls catering to different set of customers having various
objectives, risk profiles, investment horizon, etc, and therefore may at times have different contrary views on stocks sectors and markets.
Unauthorized disclosure, use, dissemination or copying (either whole or partial) of this information, is prohibited. The person accessing this information specifically agrees to exempt MOSt or any of its affiliates or employees from,
any and all responsibility/liability arising from such misuse and agrees not to hold MOSt or any of its affiliates or employees responsible for any such misuse and further agrees to hold MOSt or any of its affiliates or employees free
and harmless from all losses, costs, damages, expenses that may be suffered by the person accessing this information due to any errors and delays. The information contained herein is based on publicly available data or other
sources believed to be reliable. Any statements contained in this report attributed to a third party represent MOSt’s interpretation of the data, information and/or opinions provided by that third party either publicly or through a
subscription service, and such use and interpretation have not been reviewed by the third party. This Report is not intended to be a complete statement or summary of the securities, markets or developments referred to in the
document. While we would endeavor to update the information herein on reasonable basis, MOSt and/or its affiliates are under no obligation to update the information. Also there may be regulatory, compliance, or other reasons
that may prevent MOSt and/or its affiliates from doing so. MOSt or any of its affiliates or employees shall not be in any way responsible and liable for any loss or damage that may arise to any person from any inadvertent error in
the information contained in this report. MOSt or any of its affiliates or employees do not provide, at any time, any express or implied warranty of any kind, regarding any matter pertaining to this report, including without limitation
the implied warranties of merchantability, fitness for a particular purpose, and non-infringement. The recipients of this report should rely on their own investigations.
This report is intended for distribution to institutional investors. Recipients who are not institutional investors should seek advice of their independent financial advisor prior to taking any investment decision based on this report or
for any necessary explanation of its contents.
Most and it’s associates may have managed or co-managed public offering of securities, may have received compensation for investment banking or merchant banking or brokerage services, may have received any compensation
for products or services other than investment banking or merchant banking or brokerage services from the subject company in the past 12 months.
Most and it’s associates have not received any compensation or other benefits from the subject company or third party in connection with the research report.
Subject Company may have been a client of Most or its associates during twelve months preceding the date of distribution of the research report
MOSt and/or its affiliates and/or employees may have interests/positions, financial or otherwise of over 1 % at the end of the month immediately preceding the date of publication of the research in the securities mentioned in this
report. To enhance transparency, MOSt has incorporated a Disclosure of Interest Statement in this document. This should, however, not be treated as endorsement of the views expressed in the report.
Motilal Oswal Securities Limited is registered as a Research Analyst under SEBI (Research Analyst) Regulations, 2014. SEBI Reg. No. INH000000412
Pending Regulatory inspections against Motilal Oswal Securities Limited:
SEBI pursuant to a complaint from client Shri C.R. Mohanraj alleging unauthorized trading, issued a letter dated 29th April 2014 to MOSL notifying appointment of an Adjudicating Officer as per SEBI regulations to hold inquiry and
adjudge violation of SEBI Regulations; MOSL replied to the Show Cause Notice whereby SEBI granted us an opportunity of Inspection of Documents. Since all the documents requested by us were not covered we have requested
to SEBI vide our letter dated June 23, 2015 to provide pending list of documents for inspection.
List of associate companies of Motilal Oswal Securities Limited -
Click here to access detailed report
Analyst Certification
The views expressed in this research report accurately reflect the personal views of the analyst(s) about the subject securities or issues, and no part of the compensation of the research analyst(s) was, is, or will be directly or
indirectly related to the specific recommendations and views expressed by research analyst(s) in this report. The research analysts, strategists, or research associates principally responsible for preparation of MOSt research
receive compensation based upon various factors, including quality of research, investor client feedback, stock picking, competitive factors and firm revenues
Disclosure of Interest Statement
Analyst ownership of the stock
Served as an officer, director or employee -
SH KELKAR
No
No
A graph of daily closing prices of securities is available at www.nseindia.com and http://economictimes.indiatimes.com/markets/stocks/stock-quotes
Regional Disclosures (outside India)
This report is not directed or intended for distribution to or use by any person or entity resident in a state, country or any jurisdiction, where such distribution, publication, availability or use would be contrary to law, regulation or
which would subject MOSt & its group companies to registration or licensing requirements within such jurisdictions.
For Hong Kong:
This report is distributed in Hong Kong by Motilal Oswal capital Markets (Hong Kong) Private Limited, a licensed corporation (CE AYY-301) licensed and regulated by the Hong Kong Securities and Futures
Commission (SFC) pursuant to the Securities and Futures Ordinance (Chapter 571 of the Laws of Hong Kong) “SFO”. As per SEBI (Research Analyst Regulations) 2014 Motilal Oswal Securities (SEBI Reg No. INH000000412)
has an agreement with Motilal Oswal capital Markets (Hong Kong) Private Limited for distribution of research report in Kong Kong. This report is intended for distribution only to “Professional Investors” as defined in Part I of
Schedule 1 to SFO. Any investment or investment activity to which this document relates is only available to professional investor and will be engaged only with professional investors.” Nothing here is an offer or solicitation of
these securities, products and services in any jurisdiction where their offer or sale is not qualified or exempt from registration. The Indian Analyst(s) who compile this report is/are not located in Hong Kong & are not conducting
Research Analysis in Hong Kong.
For U.S.
Motilal Oswal Securities Limited (MOSL) is not a registered broker - dealer under the U.S. Securities Exchange Act of 1934, as amended (the"1934 act") and under applicable state laws in the United States. In addition MOSL is
not a registered investment adviser under the U.S. Investment Advisers Act of 1940, as amended (the "Advisers Act" and together with the 1934 Act, the "Acts), and under applicable state laws in the United States. Accordingly, in
the absence of specific exemption under the Acts, any brokerage and investment services provided by MOSL, including the products and services described herein are not available to or intended for U.S. persons.
This report is intended for distribution only to "Major Institutional Investors" as defined by Rule 15a-6(b)(4) of the Exchange Act and interpretations thereof by SEC (henceforth referred to as "major institutional investors"). This
document must not be acted on or relied on by persons who are not major institutional investors. Any investment or investment activity to which this document relates is only available to major institutional investors and will be
engaged in only with major institutional investors. In reliance on the exemption from registration provided by Rule 15a-6 of the U.S. Securities Exchange Act of 1934, as amended (the "Exchange Act") and interpretations thereof by
the U.S. Securities and Exchange Commission ("SEC") in order to conduct business with Institutional Investors based in the U.S., MOSL has entered into a chaperoning agreement with a U.S. registered broker-dealer, Motilal
Oswal Securities International Private Limited. ("MOSIPL"). Any business interaction pursuant to this report will have to be executed within the provisions of this chaperoning agreement.
The Research Analysts contributing to the report may not be registered /qualified as research analyst with FINRA. Such research analyst may not be associated persons of the U.S. registered broker-dealer, MOSIPL, and
therefore, may not be subject to NASD rule 2711 and NYSE Rule 472 restrictions on communication with a subject company, public appearances and trading securities held by a research analyst account.
For Singapore
Motilal Oswal Capital Markets Singapore Pte Limited is acting as an exempt financial advisor under section 23(1)(f) of the Financial Advisers Act(FAA) read with regulation 17(1)(d) of the Financial Advisors Regulations and is a
subsidiary of Motilal Oswal Securities Limited in India. This research is distributed in Singapore by Motilal Oswal Capital Markets Singapore Pte Limited and it is only directed in Singapore to accredited investors, as defined in the
Financial Advisers Regulations and the Securities and Futures Act (Chapter 289), as amended from time to time.
In respect of any matter arising from or in connection with the research you could contact the following representatives of Motilal Oswal Capital Markets Singapore Pte Limited:
Varun Kumar
Varun.kumar@motilaloswal.com
Contact : (+65) 68189232
Office Address:21 (Suite 31),16 Collyer Quay,Singapore 04931
20 December 2016
Motilal Oswal Securities Ltd
Motilal Oswal Tower, Level 9, Sayani Road, Prabhadevi, Mumbai 400 025
Phone: +91 22 3982 5500 E-mail: reports@motilaloswal.com
34