Thematic Study | December 2016
21ST ANNUAL WEALTH CREATION STUDY
(2011-2016)
F
HIGHLIGHTS
CUSED INVESTING
Power of allocation in Wealth Creation
Stock allocation (how much to buy) is a powerful tool for portfolio
performance, but is under-researched vis-à-vis stock selection (what to buy)
Kelly's formula offers 3 insights for equity investing: (1) Look for asymmetric
payoff (2) Create edge (3) Bet big
Opportunities for big bets come seldom; Focused Investing is a sound strategy
to capitalize on them
Keys to successful Focused Investing are: (1) Clear portfolio goal (2) Superior
stock selection (3) Rational allocation (4) Active monitoring
Disciplined practice should lead to exceptional returns rather than
acceptable returns
"Bet seldom, and only when the odds are strongly in your favor, but when you do, bet
big, hold for the long term, and control your downside risk."
– From the book
Concentrated Investing,
by Allan C Benello, Michael Van Biema, Tobias E Carlisle
TOP 10 WEALTH CREATORS (2011-2016)
THE BIGGEST
Rank Company
1
2
3
4
5
6
7
8
9
10
Wealth
Created
(INR b)
2,637
1,475
1,266
1,197
1,169
948
819
760
742
682
THE FASTEST
Company
Ajanta Pharma
Welspun India
Eicher Motors
Kajaria Ceramics
Vakrangee Software
Bajaj Finance
P I Industries
Symphony
Amara Raja Batteries
Aurobindo Pharma
5-Year
Price
CAGR (%)
121
88
70
66
63
59
58
56
56
50
THE MOST CONSISTENT
Company
Appeared
in WC
Study (x)
10
10
10
10
10
10
10
10
10
10
10-Year
Price
CAGR (%)
30
26
25
23
22
21
20
20
17
17
TCS
HDFC Bank
Hindustan Unilever
ITC
Sun Pharma
Infosys
HCL Technologies
Kotak Mahindra Bank
Maruti Suzuki
HDFC
Asian Paints
Kotak Mahindra Bank
Sun Pharma
Titan Company
Bosch
HDFC Bank
Axis Bank
Dabur India
Nestle India
Cummins India
Raamdeo Agrawal
(Raamdeo@MotilalOswal.com) /
Shrinath Mithanthaya
(ShrinathM@MotilalOswal.com)
We thank Mr Dhruv Mehta (Dhruv.Mehta@dhruvmehta.in), Investment Consultant, for his invaluable contribution to this report.
4
Investors are advised to refer through important disclosures made at the end of the Research Report.
 Motilal Oswal Financial Services
21st Annual Wealth Creation Study (2011-2016)
Motilal Oswal 21st Annual Wealth Creation Study
Page
Wealth Creation Study: Objective, Concept & Methodology
....................... 1
Wealth Creation 2011-16: Findings Summary
............................................ 2-3
Theme 2017: Focused Investing
................................................................ 4-19
Wealth Creation 2011-16: Detailed Findings
......................................... 20-33
Appendix 1: MOSL 100 – Biggest Wealth Creators
................................ 34-35
Appendix 2: MOSL 100 – Fastest Wealth Creators
................................ 36-37
Appendix 3: MOSL 100 – Wealth Creators (alphabetical)
.......................... 38
Abbreviations and Terms used in this report
Description
Reference to years for India are financial year ending March, unless otherwise stated
Average
Compound Annual Growth Rate
Loss to Profit / Profit to Loss. In such cases, calculation of PAT CAGR is not possible
Indian Rupees in billion
In the case of aggregates, Price CAGR refers to Market Cap CAGR
Wealth Created
Increase in Market Capitalization over the last 5 years, duly adjusted for corporate
events such as fresh equity issuance, mergers, demergers, share buybacks, etc.
Note:
Capitaline database has been used for this study. Source of all exhibits is MOSL analysis, unless otherwise stated
Abbreviation / Term
2006, 2011, 2016, etc
Avg
CAGR
L to P / P to L
INR b
Price CAGR
WC
Wealth Created
 Motilal Oswal Financial Services
21st Annual Wealth Creation Study (2011-2016)
Wealth Creation Study
Objective
Objective, Concept & Methodology
The foundation of Wealth Creation is to buy businesses at a price substantially lower than their
"intrinsic value" or "expected value". The lower the market value compared to the intrinsic
value, the higher is the margin of safety. Every year for the past 21 years, we endeavor to cull
out the characteristics of businesses that create value for their shareholders.
As Phil Fisher says, "It
seems logical that even before thinking of buying any common stock, the
first step is to see how money has been most successfully made in the past."
Our Wealth
Creation studies are attempts to study the past as a guide to the future, and gain insights into
the various dynamics of stock market investing.
Concept & Methodology
Wealth Creation is the process by which a company enhances the market value of the capital
entrusted to it by its shareholders. It is a basic measure of success for any commercial venture.
For listed companies, we define Wealth Created as the difference in market capitalization over
a period of last five years, after adjusting for equity dilution.
We rank the top 100 companies in descending order of absolute Wealth Created,
subject to the
company's stock price at least outperforming the benchmark index (BSE Sensex in our case).
These top 100 Wealth Creators are also ranked according to speed (i.e. price CAGR during the
period under study).
We present the study highlights in pages 2-3. The detailed findings are presented in pages
20-33. Appendix 1 (pages 34-35) ranks the 100 Wealth Creators by size, and Appendix 2 (pages
36-37) ranks the same 100 Wealth Creators by speed.
A theme study titled “Focused
Investing – Power of allocation in Wealth Creation”
is featured
in pages 4-19.
9 December 2016
1
 Motilal Oswal Financial Services
21st Annual Wealth Creation Study (2011-2016)
Wealth Creation 2011-2016
Highlights
TCS is the Biggest Wealth Creator for the fourth time in a row
TCS
has emerged as the biggest Wealth Creator for the period 2011-16, retaining the top
spot it held even in the previous three study periods (2010-15, 2009-14 and 2008-13).
HDFC Bank
has inched up to No.2 after 3 years of remaining No.3.
Exhibit 1
Top 10 Biggest Wealth Creators
Rank Company
1 TCS
2 HDFC Bank
3 Hind. Unilever
4 ITC
5 Sun Pharma
6 Infosys
7 HCL Tech
8 Kotak Mahindra
9 Maruti Suzuki
10 H D F C
Total of Top 10
Total of Top 100
Wealth Created
INR b % share
2,637
9
1,475
5
1,266
4
1,197
4
1,169
4
948
3
819
3
760
3
742
3
682
2
11,695
41
28,436
100
CAGR (%)
Price
PAT
16
22
18
26
25
14
13
14
30
24
9
15
28
27
24
17
24
14
10
18
18
19
19
16
P/E (x)
2016 2011
21
26
21
27
46
30
28
28
38
26
20
27
21
20
36
21
25
16
17
23
24
25
22
19
RoE (%)
2016 2011
37
37
17
16
102
76
28
30
16
19
24
26
20
21
10
14
17
16
20
21
23
24
20
22
Ajanta Pharma is the Fastest Wealth Creator again
Ajanta Pharma
has emerged as the Fastest Wealth Creator for the second time in a row,
with 2011-16 stock price multiplier of 53x (121% CAGR).
Eicher Motors
is among the top 10 Fastest Wealth Creators for the last 5 studies.
Exhibit 2
Top 10 Fastest Wealth Creators
Rank Company
1
2
3
4
5
6
7
8
9
10
Ajanta Pharma
Welspun India
Eicher Motors
Kajaria Ceramics
Vakrangee
Bajaj Finance
P I Industries
Symphony
Amara Raja Batteries
Aurobindo Pharma
Price Appn.
(x)
53
23
14
13
11
10
10
9
9
8
CAGR (%)
Price
PAT
121
52
88
234
70
48
66
30
63
52
59
39
58
37
56
15
56
27
50
28
Mkt Cap (INR b)
2016
2011
124
2
100
4
520
36
76
6
105
8
373
26
78
7
83
9
150
16
436
57
P/E (x)
2016
2011
31
5
14
226
42
20
33
9
27
17
29
10
25
10
77
17
31
11
22
10
Asian Paints is the Most Consistent Wealth Creator
Asian Paints
is the Most Consistent Wealth Creator over 2006-16, by virtue of –
1. Appearing among top 100 Wealth Creators in each of the last 10 studies; and
2. Highest 10-year Price CAGR of 30%.
9 December 2016
2
 Motilal Oswal Financial Services
21st Annual Wealth Creation Study (2011-2016)
Exhibit 3
Top 10 Most Consistent Wealth Creators
Rank
1
2
3
4
5
6
7
8
9
10
Company
Asian Paints
Kotak Mahindra
Sun Pharma
Titan Company
Bosch
HDFC Bank
Axis Bank
Dabur India
Nestle India
Cummins India
Appeared in 10-yr Price 10-yr PAT
WC Study (x) CAGR (%) CAGR (%)
10
30
23
10
26
23
10
25
25
10
23
24
10
22
14
10
21
31
10
20
33
10
20
19
10
17
11
10
17
15
P/E (x)
2016 2006
48
29
36
20
38
30
44
45
53
27
21
28
13
20
36
32
63
29
32
26
RoE (%)
2016 2006
31
31
10
24
16
41
20
47
15
24
17
16
16
18
30
49
32
92
22
23
Consumer/Retail is the biggest Wealth Creating sector
Consumer/Retail
has emerged as India’s biggest Wealth Creating sector for the second
consecutive time, and the third time in the last four years.
WC Share of WC % CAGR 11-16 (%)
(INR b)
2016
2011
Price
PAT
6,364
22
8
21
15
4,995
18
24
20
19
4,960
17
14
16
20
4,093
14
5
20
10
3,705
13
4
25
18
1,266
4
1
20
3
670
2
14
21
26
513
2
7
16
11
394
1
3
17
19
289
1
15
7
7
203
1
3
9
18
984
3
3
21
17
28,436
100
100
19
16
P/E (x)
2016
2011
38
30
19
18
20
24
20
13
30
22
35
16
8
10
33
26
21
23
11
12
12
18
25
21
22
19
RoE (%)
2016
2011
31
32
16
19
28
29
19
32
18
18
9
14
27
14
17
18
13
10
16
17
14
12
19
19
20
22
Exhibit 4
Consumer/Retail is the top Wealth Creating sector
Sector
(No of companies)
Consumer/Retail (23)
Banking/Finance (14)
Technology (7)
Auto (15)
Healthcare (15)
Cement (5)
Oil & Gas (3)
Capital Goods (4)
Telecom & Media (2)
Metals / Mining (2)
Utility (1)
Others (9)
Total
Commodity collapse drives up Wealth Destruction
7 of the top 10 Wealth Destroyers are in the business of global commodities.
Exhibit 6
Top Wealth Destroying Sectors
Exhibit 5
Top Wealth Destroying companies
Company
Wealth Destroyed
Price
INR b
% Share CAGR (%)
Sector
Metals / Mining
Banking & Finance
Utilities
Capital Goods
Oil & Gas
Constn. / Real Est.
Technology
Chemicals & Fert.
Telecom
Others
Total
MMTC
NMDC
BHEL
ONGC
Jindal Steel
Vedanta
State Bank of India
NTPC
SAIL
Coal India
Total of above
Total Wealth Destroyed
889
735
730
645
592
570
542
529
524
348
6,104
15,146
6
5
5
4
4
4
4
3
3
2
40
100
-47
-19
-23
-6
-39
-21
-7
-8
-24
-3
Wealth
Destroyed
(INR b)
5,058
2,991
1,555
1,393
1,256
1,012
301
295
214
1,071
15,146
%
Share
33
20
10
9
8
7
2
2
1
7
100
For detailed findings, please see pages 20-33.
9 December 2016
3
 Motilal Oswal Financial Services
21st Annual Wealth Creation Study (2011-2016)
Theme 2017
9 December 2016
4
 Motilal Oswal Financial Services
21st Annual Wealth Creation Study (2011-2016)
Focused Investing
Power of allocation in Wealth Creation
“Bet seldom, and only when the odds are strongly in your favor, but when you do, bet big,
hold for the long term, and control your downside risk.”
— from the book
Concentrated Investing,
by Allan C Benello, Michael Van Biema, Tobias E Carlisle
1. Backdrop
20 studies on “What to buy”; first one on “How much to buy”
Two key aspects of equity investing are:
(1) What to buy
(i.e. stock selection), and
(2) How
much to buy
(i.e. stock allocation or weightage in a given portfolio). Almost all of the past 20
Annual Wealth Creation Studies have covered various aspects of what to buy. In this, the 21st
Study, we focus on how much to buy.
The simplistic example of a hypothetical portfolio presented below shows how stock allocation
can significantly influence investment performance. For the same set of stocks, 3 portfolios with
different allocations turn in total return ranging from as low as -8.5% to as high as +18.5%.
Exhibit 1
Portfolios with the same stocks can turn in widely different returns based on allocation
Stock
Return
Stock 1
50%
Stock 2
40%
Stock 3
30%
Stock 4
20%
Stock 5
10%
Stock 6
0%
Stock 7
-10%
Stock 8
-20%
Stock 9
-30%
Stock 10 -40%
Portfolio Total
Portfolio A
10%
10%
10%
10%
10%
10%
10%
10%
10%
10%
100%
Allocation
Portfolio B
20%
15%
15%
10%
10%
10%
5%
5%
5%
5%
100%
Portfolio C
5%
5%
5%
5%
10%
10%
10%
15%
15%
20%
100%
Portfolio-level Return
Portfolio A Portfolio B Portfolio C
5.0%
10.0%
2.5%
4.0%
6.0%
2.0%
3.0%
4.5%
1.5%
2.0%
2.0%
1.0%
1.0%
1.0%
1.0%
0.0%
0.0%
0.0%
-1.0%
-0.5%
-1.0%
-2.0%
-1.0%
-3.0%
-3.0%
-1.5%
-4.5%
-4.0%
-2.0%
-8.0%
5.0%
18.5%
-8.5%
Despite the above phenomenon, we are surprised to discover how little literature there is on
this critical aspect of investing. Academicians tend to believe that stock allocation, even more
than stock selection, borders on art rather than science, and hence, it depends to a great extent
on the temperament and style of individual investment practitioners. Investment practitioners,
in general, seem prone to allocate stocks more by intuition and emotion than reason.
In this study, we offer some insights on allocation, and suggest a rational approach for the
same. In the following sections –
We first analyze the only semblance of a framework for allocation –
Kelly’s formula
– and
derive from it insights for equity investing.
9 December 2016
5
 Motilal Oswal Financial Services
21st Annual Wealth Creation Study (2011-2016)
Next, we suggest that the power of allocation is best exploited through
Focused Investing,
which essentially involves placing sizable bets on 15-20 stocks to generate exceptional
(rather than acceptable) returns over the long term.
Finally, we discuss the
4 keys to successful Focused Investing,
incorporating a framework
each for –
1. What to buy – QGLP
(Quality, Growth, Longevity at favorable Price), and
2. How much to buy – CAP
(Confidence-Adjusted Payoff).
2. Kelly’s formula – insights for equity investing
Look for asymmetric payoff, Create edge, Bet big
In the mid-1950s, John Larry Kelly Jr, a scientist with Bell Labs, developed a formula for an
optimal bet size on a wager with given payoffs (i.e. odds) and win-loss probabilities. The
formula is as under:
f = (bp – q) ÷ b
where:
f
is the fraction of the current bankroll to wager,
b
is the net odds (expressed as rupees to be won for every rupee bet) or win-loss ratio,
p
is the probability of winning, and
q
is the probability of losing.
Betting this fraction repeatedly maximizes the long-term growth of the bankroll.
Example:
You are offered a 100-rupee bet that every time a coin is tossed and you call
heads or tails correctly, you will win 200 rupees. You have set aside 1,000 rupees
for a series of bets. What should be your betting strategy?
Here, b (odds) = 200 ÷ 100 = 2. Given a fair coin, the chances of correctly calling
heads or tails is 1-in-2 i.e. 50%. Thus, p (probability of win) is 50% and q
(probability of loss) is 50%. With this, the Kelly fraction works out to 25% as under:
f = (2 x 0.5 – 0.5) ÷ 2 = 25%
Thus, you will bet 25% of 1,000, i.e. 250 rupees in your first bet. The subsequent
bet size is dependent on the outcome of your first bet:
If you win, your bankroll grows to 1,200 rupees, and your next bet size should
be 25% of 1,200, i.e. 300 rupees.
If you lose, your bankroll falls to 900 rupees, and your next bet size should be
25% of 900, i.e. 225 rupees.
For a long enough series of bets, this strategy will maximize the growth in your
bankroll.
9 December 2016
6
 Motilal Oswal Financial Services
21st Annual Wealth Creation Study (2011-2016)
2.1 Kelly’s for equities: The meaning is more relevant than the math
Equity investing is starkly different from gambling in several ways.
Odds/Payoff and Win-loss probabilities:
In gambling, both the odds/payoff and the win-
loss probabilities are a given. In many situations, payoff is 1:1 and win-loss probability is
0.5:0.5. In cases like roulette where the payoff is higher, the probability of win is that much
lower. Net-net, win or loss is purely an outcome of luck.
In contrast, in equity investing, neither payoff nor probability is fixed. Stock prices are
known, but every investor has to individually estimate upside-downside and associated
probabilities. Investors with superior knowledge, skills and processes can identify favorable
payoff with favorable probabilities to win big.
Exhibit 2
Process-Outcome matrix: In equity investing, having a good process reduces the role of luck
Good
Good luck
Deserved success
OUTCOME
Bad
Logical outcome
Bad luck
Bad
PROCESS
Good
Role of time:
In gambling, the outcome of one’s bet – win or loss – is instantaneous. In
equities, there is significant time-gap before it can be decided whether the bet was a win or
a loss.
Nature of bets:
In gambling, bets are sequential. The outcome of one bet can influence the
strategy for the next bet. In equities, investors need to make simultaneous bets on multiple
stocks.
Given these differences, the mathematical relevance of Kelly is not very high in equities. And
yet, two variants of the Kelly’s formula offer meaningful insights for equity investing.
2.1.1 Insight #1: Look for asymmetric payoff
One variant of Kelly’s formula can be obtained with a suitable modification of b, i.e. odds. In
gambling, odds are typically quoted as b:1, i.e. b rupees to be won for every 1 rupee bet. In
9 December 2016
7
 Motilal Oswal Financial Services
21st Annual Wealth Creation Study (2011-2016)
gambling, if one loses, the loss is always 100% of the amount wagered. Such is not the case in
equities, where even if there is a loss, it is rarely 100% (except in case of bankruptcy).
Thus, for equities, it is better to interpret b as upside-downside ratio, say, U/D. Substituting
b = U/D in Kelly’s formula, we get:
f = (U/D x p – q) ÷ (U/D)
This simplifies to:
f = (Up – Dq) ÷ U
where:
f
is the fraction of the current bankroll to invest in a stock,
U
is the possible Upside in the stock,
p
is the probability of such Upside,
D
is the possible Downside in the stock, and
q
is the probability of such Downside.
This variant clearly identifies the factors that should influence stock selection and allocation –
Upside, Downside and the probabilities of both. The most favorable situation investors should
look for is: Asymmetric payoff (high-upside-low-downside) coupled with high probability of win.
2.1.2 Insight #2: Create edge
Yet another variant of Kelly is by author William Poundstone in his book,
Fortune’s Formula
f = edge / odds
where:
f
is the fraction of the current bankroll to invest in a stock,
edge
= bp – q or Up – Dq, i.e. the expected value of the financial proposition, and
odds
= b or U, i.e. the amount expected to win if one wins.
This variant can be interpreted both mathematically and non-mathematically. Mathematically, f
is positive only when the numerator (edge or expected value) is greater than zero, i.e. no edge,
no bet. In non-mathematical terms, edge may be defined as knowing something that others
don’t. So, here again: no edge, no bet.
As markets are fairly efficient, equity investors can expect to make big money only if they create
an edge over the market. There are two sources of edge: (1) Information advantage, and (2)
Analytical advantage. In modern-day markets, investors are unlikely to enjoy any significant
information advantage. Hence, the main source of creating an edge is analytical advantage. This
primarily includes time-tested frameworks/processes for analyzing various aspects of business
and valuation – nature of industry, competitive landscape, size of opportunity, quality of
management, channel checks, earnings forecasts, peer valuation, etc.
2.1.3 Insight #3: Bet big
Whenever investors get an edge in asymmetric payoff situations, the Kelly message is clear: bet
big.
Such opportunities for big bets come seldom; hence the need for Focused Investing.
9 December 2016
8
 Motilal Oswal Financial Services
21st Annual Wealth Creation Study (2011-2016)
Exhibit 3
The payoff-edge decision matrix
High
Speculative Bet
Bet Big
PAYOFF
Low
No Bet
Bet Low
No
EDGE
Yes
3. What is Focused Investing?
The golden mean of Diversified and Concentrated Investing
An extremely important aspect of investing is risk-return tradeoff. There are two contrasting
investment styles around this: (1) Diversified investing, and (2) Concentrated investing.
3.1 Diversified investing
The underlying strategy in diversified investing is to hold a fairly large number of stocks across
many sectors so that unexpected adversity in any stock or sector does not unduly hurt overall
portfolio performance.
In the active version of diversified investing, portfolio managers constantly buy and sell stocks,
attempting to outperform the broader market, measured by benchmark indices such as Nifty
50, BSE Sensex, Nifty 500, etc. This involves a high level of transaction and management costs,
leading to the emergence of an alternative approach – Index Investing – in the mid-1980s. Here,
portfolio managers follow a relatively passive buy-and-hold strategy of the very stocks that
constitute the benchmark indices. The core idea is to perform better than the actively managed
funds by keeping costs very low.
The net result of both versions of diversified investing is the same –
modest returns,
typically
hovering around the market average. Thus, the fully power of equity to deliver exponential
returns remains unharnessed.
9 December 2016
9
 Motilal Oswal Financial Services
21st Annual Wealth Creation Study (2011-2016)
Exhibit 4
Annual Return for Monte Carlo simulation portfolios in S&P Equal Weight Index (1999 to
2014): Higher the number of stocks, lower the standard deviation, and also lower the maximum return
Returns %
Stocks in portfolio
All
10
15
20
25
30
50
100
250 Stocks
Average
12.0
12.1
12.1
12.1
12.1
12.2
12.2
12.2
12.2
Minimum
3.7
5.4
5.3
5.9
7.5
8.1
10.1
10.7
12.2
Maximum
21.3
20.0
18.7
17.2
17.3
15.8
14.8
13.5
12.2
Std Deviation
2.7
2.2
1.9
1.7
1.5
1.2
0.8
0.4
0.0
Source:
Adapted from the book
Concentrated Investing,
by Allan C Benello, Michael Van Biema and
Tobias Carlisle
3.2 Concentrated investing
Propagated by a handful of investors like John Keynes, Warren Buffett, Charlie Munger and Phil
Fisher, Concentrated Investing essentially involves choosing a handful of stocks (typically not
more than 10) that are expected to produce above-average returns, allocating a bulk of the
portfolio to these stocks, and holding them for the long term across market cycles and
fluctuations.
Concentrated investors believe that their in-depth knowledge of the businesses they buy into
truly reduces the risk of owning them. In his book,
Common Stocks, Uncommon Profits,
Phil
Fisher writes, “buying a company without sufficient knowledge of it may be even more
dangerous than having inadequate diversification.” Buffett’s words in this regard are,
“Diversification serves as a protection against ignorance. It you want to make sure that nothing
bad happens to you relative to the market, you should own everything. There is nothing wrong
with that. It’s a perfectly sound approach for somebody who doesn’t know how to analyze
businesses.”
Concentrated investors indeed tend to outperform the market significantly over the long term,
but with relatively high year-to-year volatility.
suggests some level of annual volatility …
Buffett Partnerships) is impeccable
%
Return S&P 500
Alpha
%
Return
Dow
Alpha
1962
30.1
-7.6
37.7
1957
9.3
-8.4
17.7
1963
71.7
20.6
51.1
1958
32.2
38.5
-6.3
1964
49.7
18.7
31.0
1959
20.9
20.0
0.9
1965
8.4
14.2
-5.8
1960
18.6
-6.2
24.8
1966
12.4
-15.8
28.2
1961
35.9
22.4
13.5
1967
56.2
19.0
37.2
1962
11.9
-7.6
19.5
1968
40.4
7.7
32.7
1963
30.5
20.6
9.9
1969
28.3
-11.6
39.9
1964
22.3
18.7
3.6
1970
-0.1
8.7
-8.8
1965
36.9
14.2
22.7
1971
25.4
9.8
15.6
1966
16.8
-15.6
32.4
1972
8.3
18.2
-9.9
1967
28.4
19.0
9.4
1973
-31.9
-13.1
-18.8
1968
45.6
7.7
37.9
1974
-31.5
-23.1
-8.4
CAGR
25.3
4.9
20.4
1975
73.2
44.4
28.8
Source: Buffett’s letters to partners
CAGR
19.8
4.9
14.9
Source: Adapted from the book, Concentrated Investing
Exhibit 5
Charlie Munger’s performance
Exhibit 6
… but Buffett’s performance (under
9 December 2016
10
 Motilal Oswal Financial Services
21st Annual Wealth Creation Study (2011-2016)
3.3 Diversified v/s Concentrated Investing and the nature of capital
The nature of capital being managed seems to be a key determinant as to which of the two
styles of investing will be practiced. Public money, largely in the form of open-ended mutual
funds, tends to be managed based on a Diversified Investing strategy, whereas Concentrated
Investing seems better suited for private / close-ended source of capital.
The obvious reason is that public money tends to be fickle and guided more by short-term
performance. An open-ended mutual fund with a poor short-term performance faces the very
real prospect of a run on its assets. This, in turn, makes such portfolio managers averse to short-
term volatility that typically accompanies concentrated stock positions – they settle for safer
but lower returns, instead.
3.4 Focused Investing: The golden mean
We posit Focused Investing as the golden mean of the above two investment styles. Compared
to 50+ stocks under Diversified Investing and 10 or fewer stocks under Concentrated Investing,
we recommend a focused portfolio of 15-20 stocks. This offers the best of both worlds –
adequate risk diversification and meaningful return magnification.
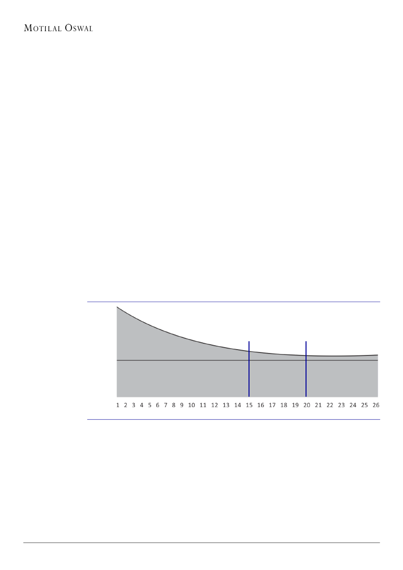
On the risk front, several studies have established that company-specific risks are sufficiently
diversified by owning 15-20 stocks across sectors (depicted in Exhibit 6). Additional prudent
allocation norms (e.g. not having more than 10% under any single stock) can further reduce
volatility of performance.
Exhibit 7
15-20 stocks from across sectors are sufficient to near-fully diversify company-specific risks
Total
Risk
Company-specific risk
Focused
Investing
Systematic / Market risk
No. of stocks
On the return front, having only 15-20 businesses allows meaningful allocations in high-
conviction stock ideas, magnifying overall portfolio return. An interesting 2012 study in the US
showed that portfolios consisting of only the high-conviction bets of fund managers
outperformed the very fund from which they were derived, and that too without significantly
higher risk/volatility.
9 December 2016
11
 Motilal Oswal Financial Services
21st Annual Wealth Creation Study (2011-2016)
Exhibit 8
Portfolios of high-conviction stocks outperformed
the very portfolios from which they were carved out
Portfolios
Return % *
Std Dev. %
Top 5
10.8
26.3
Top 10
9.4
23.4
Top 15
8.7
21.8
Top 20
8.1
20.7
Top 25
7.8
19.8
Top 30
7.4
19.1
All Funds
6.3
19.5
Own Index
5.1
20.0
* 1999 to 2009
Source: Working paper
Diversification versus Concentration … and the Winner is?
(Yeung et al 2012)
3.5 Diversified v/s Focused Investing – The Indian scenario
The Indian mutual fund industry has about 286 schemes actively managing INR 4 trillion in
assets. Diversified investing is clearly the dominant style. A high 56% of the schemes and an
even higher 86% of assets are under portfolios with 41+ stocks. In contrast, only 13% of the
schemes and 3% of the assets are under portfolios of 25 stocks or fewer.
Exhibit 9
Only 36 Focused portfolios ….
Exhibit 10
… managing INR 139 billion
No. of mutual fund schemes - Total 286
Up to 25 stocks
13%
41+ stocks
56%
26-40 stocks
31%
AUM - Total INR 4 trillion
41+ stocks
84%
Up to 25 stocks
3%
26-40 stocks
13%
Source: Based on mutual fund data from ICRA Online
4. Four keys to successful Focused Investing
Portfolio goal, Selection, Allocation, Monitoring & Improvement
We believe there are 4 keys to successful Focused Investing:
1. Clear portfolio goal,
2. Superior stock selection,
3. Rational allocation, and
4. Active monitoring and improvement.
We discuss these below, incorporating a framework each for –
What to buy – QGLP
(Quality, Growth, Longevity at favorable Price), and
How much to buy – CAP
(Confidence-Adjusted Payoff).
9 December 2016
12
 Motilal Oswal Financial Services
21st Annual Wealth Creation Study (2011-2016)
4.1 Clear portfolio goal
We believe setting a simple, clear and measurable portfolio goal should be the starting point of
any investing process. A portfolio goal can be expressed in terms of absolute performance or
relative to a suitable benchmark. For Focused Investing, an absolute performance goal is
preferred. The portfolio goal will serve as a useful guidepost for both stock selection and stock
allocation.
4.2 Superior stock selection – QGLP
Having decided on the portfolio goal, the next step is superior stock selection. In Focused
Investing, this is of utmost importance, as in a portfolio of 15-20 stocks, average allocation in
each stock is meaningful enough to influence portfolio performance. So, investors are better off
using a time-tested investment philosophy / process of stock selection. The end objective is to –
Find asymmetric payoff (i.e. high upside potential with low downside risk),
Create edge (i.e. have an information and/or analytical advantage over the market),
Meet portfolio goal, and
Diversify risk (i.e. select stocks from different sectors, not highly correlated to each other).
For most selections, we recommend a philosophy captured by the acronym
QGLP
Q
– Quality of business and Quality of management,
G
– Growth in earnings,
L
– Longevity of Quality & Growth, and
P
– favorable Price of purchase.
4.2.1 Q = Quality of business x Quality of management
Expressing Quality as a product implies that if either Quality of Business or Quality of
Management is zero, overall Q ends up as zero.
Exhibit 11
Key indicators of Q
Quality of Business
Preferably secular business
Large profit pool
Size of opportunity
Competitive landscape
– Monopoly, Oligopoly
– Dominant market share
Niche / Strategic opportunity
Favorable demand-supply
(especially in case of commodities)
RoE and RoCE
Operating cash flow and Free cash flow
Quality of Management
Unquestionable integrity
– Impeccable corporate governance
– Concern for all stakeholders
– Preferably paying full tax and
a well-articulated dividend policy
Demonstrable competence
– Excellence in strategy & execution
– Sustaining competitive advantage
Growth mindset
– Long-range profit outlook
– Efficient capital allocation
Clearing the Quality filter significantly lowers risk of permanent capital loss.
9 December 2016
13
 Motilal Oswal Financial Services
21st Annual Wealth Creation Study (2011-2016)
4.2.2 G = Growth in earnings
Growth in earnings is a key driver of value in a stock. However, growth is unique to each
company, and hence, does not yield itself to any standard frameworks. Certain favorable high-
growth situations include –
Exponential opportunity in discretionary expenditure amidst linear growth in GDP
Value Migration (from outdated business models to new ones, e.g. wired telephony to
wireless)
Sustained industry tailwind
Small base with large opportunity
New large investment getting commissioned
Inorganic growth through M&A
Consolidation of competition
Operating & Financial leverage
Turnaround from loss to profit
4.2.3 L = Longevity of Quality & Growth
As Focused Investing is essentially a buy-and-hold strategy, selected stocks should ideally
sustain their quality and growth for a long time into the future.
4.2.4 P = Price (favorable)
A thorough analysis of Q-G-L will likely give investors an edge in terms of understanding the
company’s business, management and its earnings growth prospects. However, it is valuation
analysis that will finally help investors determine whether the stock meets the portfolio goal,
and decide whether it merits selection.
4.3 Rational allocation – CAP
Having selected 15-20 stocks, most of which meet the portfolio goal, the next step is rational
allocation of the same in a portfolio. The governing principles here are –
Bet big when odds are strongly in favor, and at the same time,
Increase the certainty of achieving the portfolio goal.
To achieve both these objectives, we suggest the framework
CAP (Confidence-Adjusted
Payoff).
This framework draws inspiration from the allocation methodology pursued by Warren
Buffett in managing the investment portfolio at Buffett Partnerships during the 1960s. He says,
“The question always is, ‘How much do I put in number one (ranked by expectation of relative
performance) and how much do I put in number eight?’" (see Annexure for a fuller extract from
his 1966 letter to partners on diversification and allocation).
The steps for CAP-based allocation are:
Rank all the selected stocks in descending order of their expected 3 or 5-year upside.
To this upside, apply a Confidence factor range from 0 to 100%. The main idea behind the
Confidence factor is to deflate the expected upside for risks that may not have been
explicitly captured in the upside calculations. (Note: If the Confidence factor is very low,
perhaps the very selection may need to be questioned.)
For each stock, arrive at Confidence-Adjusted Payoff (CAP) i.e. Upside x Confidence factor.
Rank the stocks in descending order of CAP, and align the final allocation.
9 December 2016
14
 Motilal Oswal Financial Services
21st Annual Wealth Creation Study (2011-2016)
The more accurate the assessment of CAP, the higher will be the portfolio performance based
on this allocation, rather than any other (e.g. equal weight).
Additional norms could include –
not having any stock with allocation more than 10% of the portfolio value
not having any stock with allocation less than 3% of the portfolio value
not having more than 5% equity of any company
4.4 Active monitoring & improvement
Having constructed the portfolio, the next step is active monitoring and improvement. This is
very important, as odds on stocks change frequently due to change in underlying fundamentals,
or stock price, or both.
Monitoring and improvement includes several things such as –
estimating quarterly and annual earnings for companies in the portfolio and reviewing the
actuals vis-à-vis estimates to ascertain whether the original investment thesis is on track
staying updated on the latest developments in the company and sector, including periodic
interaction with company management
maintaining corroborative evidence on the company wherever possible, e.g. via interactions
with competitors, dealers, customers, suppliers, ex-employees, etc
watching out for irrational stock price movements, up or down, and an appropriate action
plan for such cases
constant search for investment ideas that may be superior to the ones currently held.
4.5 Common mistakes of allocation
The three common mistakes of allocation to be avoided are: (1) over-allocation, (2) under-
allocation, and (3) overstaying with winners and losers. These mistakes can be associated with
common psychological/behavioral biases as shown below.
Exhibit 12
Allocation mistakes can be traced to psychological/behavioral biases
Allocation mistake
Under-allocation
Over-allocation
Associated biases
Risk aversion:
People prefer to avoid or minimize uncertainty,
even at the cost of lower payoff.
Overconfidence bias:
People in general overestimate their
knowledge and skills.
Confirmation bias:
People tend to search for and interpret
information in a way that confirms one's pre-existing beliefs or
hypotheses, while disregarding contrary information and
alternative possibilities.
Both these biases combined are a potent recipe for over-allocation.
Ownership bias:
Simply stated, this is the tendency to
overvalue what you own simply because you own it.
Loss aversion:
People feel twice as bad about losing money as
they feel about winning it. This causes investors to hold on to
bad choices far too long, hoping that things will eventually
improve and the loss will be avoided.
Overstaying with winners
Overstaying with losers
9 December 2016
15
 Motilal Oswal Financial Services
21st Annual Wealth Creation Study (2011-2016)
5. Summary & conclusions
Adopt Focused Investing for exceptional rather than acceptable returns
In closing, we highlight the following points from the theme study –
The prime focus of most investors is stock selection. In this, the power of stock allocation to
enhance portfolio performance remains untapped.
Kelly’s formula offers a semblance of a framework for portfolio sizing. However, it is suited
for gambling situations where payoffs and probabilities are a given. For equity investing, the
takeaways from analyzing Kelly are –
1. Look for stocks with asymmetric payoff i.e. high upside potential with low downside risk
2. Create edge i.e. have an information and/or analytical advantage over the market
3. When both (1) and (2) coincide, bet big.
As stocks markets are fairly efficient, opportunities for such big bets come seldom. Focused
investing is a sound strategy to capitalize on these opportunities. By investing in 15-20
stocks with strongly favorable odds, investors can enjoy the golden mean of risk
diversification and return magnification.
We believe there are 4 keys to successful Focused Investing:
1.
2.
3.
4.
Clear portfolio goal, which sets a guidepost for both stock selection and allocation
Superior stock selection based on a time-tested investment philosophy or process
Rational allocation
Active monitoring and improvement.
Disciplined practice of the above should lead to exceptional returns rather than acceptable
returns.
9 December 2016
16
 Motilal Oswal Financial Services
21st Annual Wealth Creation Study (2011-2016)
ANNEXURE: Warren Buffett on diversification and allocation
(extract from letter dated 20 January 1966 to partners in Buffett Partnership Limited;
key sections are highlighted in bold by us)
Diversification
Last year in commenting on the inability of the overwhelming majority of investment managers
to achieve performance superior to that of pure chance, I ascribed it primarily to the product of:
"(1) group decisions - my perhaps jaundiced view is that it is close to impossible for outstanding
investment management to come from a group of any size with all parties really participating in
decisions; (2) a desire to conform to the policies and (to an extent) the portfolios of other large
well-regarded organizations; (3) an institutional framework whereby average is "safe" and the
personal rewards for independent action are in no way commensurate with the general risk
attached to such action; (4) an adherence to certain diversification practices which are
irrational; and finally and importantly, (5) inertia.”
This year in the material which went out in November, I specifically called your attention to a
new Ground Rule reading,
“7.
We diversify substantially less than most investment
operations. We might invest up to 40% of our net worth in a single security under conditions
coupling an extremely high probability that our facts and reasoning are correct with a very
low probability that anything could drastically change the underlying value of the
investment.”
We are obviously following a policy regarding diversification which differs markedly from that of
practically all public investment operations. Frankly, there is nothing I would like better than to
have 50 different investment opportunities, all of which have a mathematical expectation (this
term reflects the range of all possible relative performances, including negative ones, adjusted
for the probability of each - no yawning, please) of achieving performance surpassing the Dow
by, say, 15 percentage points per annum. If the 50 individual expectations were not
intercorelated (what happens to one is associated with what happens to the other) I could put
2% of our capital into each one and sit back with a very high degree of certainty that our overall
results would be very close to such a 15 percentage point advantage.
It doesn't work that way.
We have to work extremely hard to find just a very few attractive investment situations. Such a
situation by definition is one where my expectation (defined as above) of performance is
at least 10 percentage points per annum superior to the Dow.
Among the few we do find, the
expectations vary substantially. The question always is, “How much do I put in number one
(ranked by expectation of relative performance) and how much do I put in number eight?" This
depends to a great degree on the wideness of the spread between the mathematical
expectation of number one versus number eight. It also depends upon the probability that
number one could turn in a really poor relative performance.
Two securities could have equal
mathematical expectations, but one might have .05 chance of performing 15 percentage
points or more worse than the Dow, and the second might have only .01 chance of such
performance. The wider range of expectation in the first case reduces the desirability of
heavy concentration in it.
9 December 2016
17
 Motilal Oswal Financial Services
21st Annual Wealth Creation Study (2011-2016)
The above may make the whole operation sound very precise. It isn't. Nevertheless, our
business is that of ascertaining facts and then applying experience and reason to such facts to
reach expectations. Imprecise and emotionally influenced as our attempts may be, that is what
the business is all about. The results of many years of decision-making in securities will
demonstrate how well you are doing on making such calculations – whether you consciously
realize you are making the calculations or not. I believe the investor operates at a distinct
advantage when he is aware of what path his thought process is following.
There is one thing of which I can assure you.
If good performance of the fund is even a minor
objective, any portfolio encompassing one hundred stocks (whether the manager is handling
one thousand dollars or one billion dollars) is not being operated logically. The addition of the
one hundredth stock simply can't reduce the potential variance in portfolio performance
sufficiently to compensate for the negative effect its inclusion has on the overall portfolio
expectation.
Anyone owning such numbers of securities after presumably studying their investment merit
(and I don't care how prestigious their labels) is following what I call the
Noah School of
Investing - two of everything.
Such investors should be piloting arks. While Noah may have
been acting in accord with certain time-tested biological principles, the investors have left the
track regarding mathematical principles. (I only made it through plane geometry, but with one
exception, I have carefully screened out the mathematicians from our Partnership.)
Of course, the fact that someone else is behaving illogically in owning one hundred securities
doesn't prove our case. While they may be wrong in overdiversifying, we have to affirmatively
reason through a proper diversification policy in terms of our objectives.
The optimum portfolio depends on the various expectations of choices available and the degree
of variance in performance which is tolerable. The greater the number of selections, the less
will be the average year-to-year variation in actual versus expected results. Also, the lower will
be the expected results, assuming different choices have different expectations of performance.
I am willing to give up quite a bit in terms of leveling of year-to-year results (remember when I
talk of “results,” I am talking of performance relative to the Dow) in order to achieve better
overall long-term performance. Simply stated, this means
I am willing to concentrate quite
heavily in what I believe to be the best investment opportunities recognizing very well that
this may cause an occasional very sour year - one somewhat more sour, probably, than if I
had diversified more.
While this means our results will bounce around more, I think it also
means that our long-term margin of superiority should be greater.
9 December 2016
18
 Motilal Oswal Financial Services
21st Annual Wealth Creation Study (2011-2016)
Space for Notes
9 December 2016
19
 Motilal Oswal Financial Services
21st Annual Wealth Creation Study (2011-2016)
2011-16 Wealth
Creation Study:
Detailed findings
9 December 2016
20
 Motilal Oswal Financial Services
21st Annual Wealth Creation Study (2011-2016)
#1
Trend in Wealth Creation
INR28.4 trillion Wealth Created during 2011-16
The top 100 Wealth Creators created INR 28.4 trillion of wealth during 2011-16.
This is the third highest ever quantum of Wealth Created.
Pace of Wealth Creation is highly correlated to market returns. During 2011-16, pace of
Wealth Creation was relatively slower at 18% CAGR given muted market CAGR of 5%.
Exhibit 1
During 2011-16, Wealth Created is high despite muted market performance
Wealth Created Trend
(INR trillion)
26.5
22.1
14.3
16.3
9.7
16.2
18.4
29.4
34.2
28.4
25.4
Exhibit 2
2011-16 pace of Wealth Creation lower in line with market conditions
(39%)
(26%)
36%
(30%)
40%
49%
Pace of Wealth Creation
(Figures in brackets is Sensex CAGR)
(18%)
(22%)
(12%)
19%
26%
(12%)
17%
(6%)
19%
(4%)
17%
33%
(10%)
25%
(5%)
18%
Key Takeaway
Forget markets, think stocks
The above data proves that Wealth Creation happens in all kinds of market conditions. So,
investors are better off focusing on which stocks to invest in, rather than timing the markets.
9 December 2016
21
 Motilal Oswal Financial Services
21st Annual Wealth Creation Study (2011-2016)
#2
The Biggest Wealth Creators
TCS is the Biggest Wealth Creator for the fourth time in a row
TCS
has emerged as the biggest Wealth Creator for the period 2011-16, retaining the top
spot it held even in the previous three study periods (2010-15, 2009-14 and 2008-13).
HDFC Bank
has inched up to No.2 after 3 years of remaining No.3.
Hindustan Unilever
and
ITC
both clocked PAT CAGR of 14%. However, the former has
pushed back ITC to No.4 on the back of massive 50% stock rerating from 30x to 46x.
8 of the top 10 Wealth Creators are the same as of last year.
Kotak Mahindra Bank
and
Maruti Suzuki
have entered the top 10 displacing
Axis Bank
and
Tata Motors.
Exhibit 3
Top 10 Biggest Wealth Creators
Rank Company
1 TCS
2 HDFC Bank
3 Hind. Unilever
4 ITC
5 Sun Pharma
6 Infosys
7 HCL Tech
8 Kotak Mahindra
9 Maruti Suzuki
10 H D F C
Total of Top 10
Total of Top 100
Wealth Created
INR b % share
2,637
9
1,475
5
1,266
4
1,197
4
1,169
4
948
3
819
3
760
3
742
3
682
2
11,695
41
28,436
100
CAGR (%)
Price
PAT
16
22
18
26
25
14
13
14
30
24
9
15
28
27
24
17
24
14
10
18
18
19
19
16
P/E (x)
2016 2011
21
26
21
27
46
30
28
28
38
26
20
27
21
20
36
21
25
16
17
23
24
25
22
19
RoE (%)
2016 2011
37
37
17
16
102
76
28
30
16
19
24
26
20
21
10
14
17
16
20
21
23
24
20
22
Exhibit 4
TCS is the biggest Wealth Creator for the fourth year in a row
Top Wealth Creators over the years
(INR b)
TCS (4)
Reliance Industries (5)
3,077
2,556
Hindustan Unilever
Wipro
1,247
(HUL) (4)
HUL
ONGC (3)
3,638
3,458
2,284
1,187
ITC
2,637
1,856
1,678
Wipro
1,065
(2)
1,030
1,514
1,742
91 73
262 341
377
383 245
Key Takeaway
HDFC Bank persistently rising up the charts
HDFC Bank is climbing up the rank charts purely led by earnings growth. In fact, during 2011-
16, its P/E actually fell from 27x to 21x. In the last 3 studies, TCS’s Wealth Created has fallen
from INR 3.6 trillion to INR 2.6 trillion. In contrast, HDFC Bank’s Wealth Created is up from
INR 1.3 trillion to INR 1.5 trillion.
9 December 2016
22
 Motilal Oswal Financial Services
21st Annual Wealth Creation Study (2011-2016)
#3
The Fastest Wealth Creators
Ajanta Pharma is the Fastest Wealth Creator again
Ajanta Pharma
has emerged as the Fastest Wealth Creator for the second time in a row,
with 2011-16 stock price multiplier of 53x (121% CAGR).
Eicher Motors
is among the top 10 Fastest Wealth Creators for the last 5 studies.
Except
Welspun
which is virtually a turnaround case, all the other 9 Fastest Wealth Creators
have seen massive P/E re-rating on the back of hyper earnings growth.
The base 2011 market cap of 7 stocks was less than INR 20 billion, including 6 of them in
single-digit billion.
Exhibit 5
Top 10 Fastest Wealth Creators (2011-16)
Rank Company
1
2
3
4
5
6
7
8
9
10
Ajanta Pharma
Welspun India
Eicher Motors
Kajaria Ceramics
Vakrangee
Bajaj Finance
P I Industries
Symphony
Amara Raja Batteries
Aurobindo Pharma
Price Appn.
(x)
53
23
14
13
11
10
10
9
9
8
CAGR (%)
Price
PAT
121
52
88
234
70
48
66
30
63
52
59
39
58
37
56
15
56
27
50
28
Mkt Cap (INR b)
2016
2011
124
2
100
4
520
36
76
6
105
8
373
26
78
7
83
9
150
16
436
57
P/E (x)
2016
2011
31
5
14
226
42
20
33
9
27
17
29
10
25
10
77
17
31
11
22
10
Exhibit 6
History of Fastest Wealth Creators (5-year Price multiplier, x)
837
665
223
136
30
75
7
23
66 69 50 75
182
54
50
50
53
28
24 28 27
Key Takeaway
Small size + Scalability + Sound management = Superior Wealth Creation
All the Fastest Wealth Creators were small in the base year (i.e. 2011) and operating in a large
sector (e.g. pharmaceuticals, finance, autos) or scalable niche (air-coolers, ceramic tiles).
Under a sound management, such companies are able to clock a scorching pace of earnings
growth. This in turn also drives up valuations, leading to superior Wealth Creation.
9 December 2016
23
 Motilal Oswal Financial Services
21st Annual Wealth Creation Study (2011-2016)
#4
The Most Consistent Wealth Creators
Asian Paints is the Most Consistent Wealth Creator
Asian Paints
is the Most Consistent Wealth Creator over the 10-year period 2006-16,
by virtue of –
3. Appearing among top 100 Wealth Creators in each of the last 10 studies; and
4. Highest 10-year Price CAGR of 30%.
8 of the top 10 Most Consistent Wealth Creators are consumer-facing companies, with
Bosch
and
Cummins India
the only exceptions.
Exhibit 7
Top 10 Most Consistent Wealth Creators
Rank
1
2
3
4
5
6
7
8
9
10
Company
Asian Paints
Kotak Mahindra
Sun Pharma
Titan Company
Bosch
HDFC Bank
Axis Bank
Dabur India
Nestle India
Cummins India
Appeared in 10-yr Price 10-yr PAT
WC Study (x) CAGR (%) CAGR (%)
10
30
23
10
26
23
10
25
25
10
23
24
10
22
14
10
21
31
10
20
33
10
20
19
10
17
11
10
17
15
P/E (x)
2016 2006
48
29
36
20
38
30
44
45
53
27
21
28
13
20
36
32
63
29
32
26
RoE (%)
2016 2006
31
31
10
24
16
41
20
47
15
24
17
16
16
18
30
49
32
92
22
23
Exhibit 8
Consumer-facing companies more likely to be Consistent Wealth Creators
Consistent Wealth Creators based on last 5 Studies
Consumer-facing
Non Consumer-facing
Consumer &
Healthcare
Asian Paints (5)
ITC (2)
Nestle (3)
Sun Pharma (5)
Dabur (2)
Titan (2)
Auto
Hero Moto (1)
M & M (3)
Financials
Axis Bank (4)
HDFC (2)
HDFC Bank (4)
Kotak Mah. (5)
ACC (1)
Cummins (2)
Siemens (1)
Ambuja (1)
Bosch (4)
Hind. Zinc (2)
Infosys (1)
NOTE:
Bracket indicates number of times appeared within top 10 in last 5 Wealth Creation Studies
Key Takeaway
Strong discretionary brand = Consistent Wealth Creation
Strong brands in basic goods (e.g. Colgate) fail to feature among Consistent Wealth Creators
given the missing element of growth. In contrast, discretionary brands like Asian Paints enjoy
steady growth, translating to Consistent Wealth Creation, fairly agnostic to purchase price.
9 December 2016
24
 Motilal Oswal Financial Services
21st Annual Wealth Creation Study (2011-2016)
#5
Wealth Creators Index (Wealthex) v/s BSE Sensex
Superior earnings and price performance over benchmark
We compare Wealthex (top 100 Wealth Creators Market Cap index) with the BSE Sensex on 3
parameters - (1) market performance, (2) earnings growth and (3) valuation.
Market performance:
Over 2011-16, Wealth Creating companies have delivered return
CAGR of 19% v/s 5% for the BSE Sensex. March 2016 over March 2011, Wealthex is up 140%
whereas the Sensex is up 30% i.e. 110% outperformance over 5 years.
Earnings growth:
Wealthex clocked 5-year earnings CAGR of 13% v/s 5% for BSE Sensex.
Further, YoY earnings growth for Wealthex is higher for every year except 2011.
Valuation:
Wealthex P/E has seen a marginal re-rating vis-à-vis the Sensex. Thus, the 14pp
outperformance of Wealthex is explained largely by the 8pp higher earnings CAGR.
Exhibit 9
Wealthex v/s Sensex: Superior market performance on the back of higher earnings growth
Mar-11
BSE Sensex
YoY (%)
Wealthex - based to Sensex
YoY (%)
Sensex EPS (INR)
YoY (%)
Wealthex EPS (INR)
YoY (%)
Sensex PE (x)
Wealthex PE (x)
19,445
19,445
1,024
1,120
19
17
Mar-12
17,404
-10
21,323
10
1,120
9
1,147
2
16
19
Mar-13
18,836
8
25,455
19
1,181
5
1,376
20
16
19
Mar-14
22,386
19
31,956
26
1,337
13
1,580
15
17
20
Mar-15
27,957
25
47,123
47
1,356
1
1,840
16
21
26
Mar-16
5 Year
CAGR (%)
25,342
5
-9
46,573
19
-1
1,330
5
-2
2,084
13
13
19
0
22
5
Exhibit 10
Wealthex invariably outperforms benchmark indices handsomely
300
250
200
Wealthex - Rebased
Sensex - Rebased
110% Outperformance
150
100
50
Key Takeaway
“What not to buy” is as important as “What to buy”
Of the 30 Sensex stocks in 2011, as many as 18 underperformed over the next 5 years, down
an average 12% CAGR. If an investor had avoided these and only bought the remaining 12, the
average return CAGR would be 14%, handsomely higher than the Sensex’s 5%.
9 December 2016
25
 Motilal Oswal Financial Services
21st Annual Wealth Creation Study (2011-2016)
#6
Wealth Creation: Sector analysis
Consumer/Retail is the biggest Wealth Creating sector again
Consumer/Retail
has emerged as India’s biggest Wealth Creating sector for the second
consecutive time, and the third time in the last four years.
Deep cyclicals (Metals/Mining,
Oil & Gas, Capital Goods)
have significantly lost out to
secular and quasi-secular sectors.
Wealth Creation was highly concentrated
– top 5 sectors accounted for 74% of Wealth
Creators and 85% of Wealth Created.
Exhibit 11
Consumer/Retail is the top Wealth Creating sector
Sector
(No of companies)
Consumer/Retail (23)
Banking/Finance (14)
Technology (7)
Auto (15)
Healthcare (15)
Cement (5)
Oil & Gas (3)
Capital Goods (4)
Telecom & Media (2)
Metals / Mining (2)
Utility (1)
Others (9)
Total
WC Share of WC % CAGR 11-16 (%)
(INR b)
2016
2011
Price
PAT
6,364
22
8
21
15
4,995
18
24
20
19
4,960
17
14
16
20
4,093
14
5
20
10
3,705
13
4
25
18
1,266
4
1
20
3
670
2
14
21
26
513
2
7
16
11
394
1
3
17
19
289
1
15
7
7
203
1
3
9
18
984
3
3
21
17
28,436
100
100
19
16
P/E (x)
2016
2011
38
30
19
18
20
24
20
13
30
22
35
16
8
10
33
26
21
23
11
12
12
18
25
21
22
19
RoE (%)
2016
2011
31
32
16
19
28
29
19
32
18
18
9
14
27
14
17
18
13
10
16
17
14
12
19
19
20
22
Exhibit 12
Consumer/Retail: Biggest Wealth Creator for the second consecutive time (INR b)
7,103
5,826
4,949
3,891
2,723
2,126
5,194
3,672
7,586
6,364
4,456
Oil &
Gas
2006
Oil &
Gas
2007
Oil &
Gas
2008
Oil &
Gas
2009
Metals/
Mining
2010
Finan-
cials
2011
Finan- Consumer Techno- Consumer Consumer
cials
& Retail
logy
& Retail & Retail
2012
2013
2014
2015
2016
Key Takeaway
Value Migration is increasingly becoming the key driver of rapid Wealth Creation
Three of the top 5 Wealth Creating sectors – Financials, Technology and Healthcare – are
beneficiaries of Value Migration i.e. flow of value from outmoded business designs to new
business designs. In Financials, value is migrating from public sector banks to private banks. In
Technology and Healthcare, value is migrating from developed world to emerging markets.
9 December 2016
26
 Motilal Oswal Financial Services
21st Annual Wealth Creation Study (2011-2016)
#7
Wealth Creation: Ownership – Private v/s PSU
PSUs remain insignificant in Wealth Creation
PSUs’ (public sector undertakings) Wealth Creation performance continues to be dismal
during 2011-16:
– The number of PSUs in the top 100 Wealth Creators is only 7.
– Wealth Created by these 7 PSUs is 4%, marginally higher than the previous two studies.
The 7 Wealth Creating PSUs are
BPCL, HPCL, Petronet LNG, Concor, LIC Housing, Bharat
Electronics
and
Power Grid Corporation.
Average Price CAGR of PSU Wealth Creators is 15% v/s 19% for private sector counterparts.
Exhibit 13
PSUs remain insignificant in Wealth Creation
51
36
25
35
27
No. of PSUs
% Wealth Created
30
27
20
9
5
2
5
2
7
4
30
26
18
25
16
22
24
20
11
Exhibit 14
Robust PAT CAGR of 20% is the key
driver of Wealth Creation for the 7 PSUs
Exhibit 15
3 of the 7 PSU Wealth Creators are
from Oil & Gas (BPCL, HPCL, Petronet LNG)
Capital
Goods
13%
Utilities
16%
No. of Wealth Creators in Top 100
Share of Wealth Created (%)
5-year Sales CAGR (%)
5-year PAT CAGR (%)
5-year Price CAGR (%)
P/E - 2011 (x)
P/E - 2016 (x)
RoE - 2011 (%)
RoE - 2016 (%)
2011-2016
PSU
Private
7
93
4
96
7
18
20
16
15
19
13
20
11
24
14
23
20
20
Others
7%
Financials
10%
Oil & Gas
54%
Key Takeaway
Can industrial recovery and government focus lead to mean reversion for PSUs?
Fortunes of many PSUs hinge on performance of the economy, especially the industrial sector
– Coal India, BHEL, SBI, SAIL, etc. Measures to boost industrial recovery – “Make in India”, rate
cuts – bode well for the fortunes of such PSUs. Further, the government too is focused on
reviving PSUs e.g. merger of SBI associate banks. These, coupled with low valuations of PSUs,
hold the potential to trigger mean reversion in Wealth Creation by PSUs.
9 December 2016
27
 Motilal Oswal Financial Services
21st Annual Wealth Creation Study (2011-2016)
#8
Wealth Creation: Market Cap Rank Analysis
In our 2015 Wealth Creation Study, we called large, mid and small cap stocks as
Mega, Mid
and
Mini,
defined as under:
Mega –
Top 100 stocks by market cap rank for any given year
Mid
Next 200 stocks by market cap rank
Mini –
All stocks below the top 300 ranks.
Market cap ranks of companies change constantly. Over time, companies also cross over from
one category to another. For the period 2011-16, the market cap crossover matrix stands as
under –
Exhibit 16
2011-16: Market cap crossovers: No. of companies and average returns
FROM (in 2011)
Mini
Mid
Mega
New
Demerger
TOTAL
TO (in 2016)
Mega
Avg Return
0
26
31%
71
8%
3
0
100
Mid
Avg Return
67
39%
88
9%
25
-16%
19
1
200
Mini
Avg Return
2,479
1%
84
-20%
2
-32%
711
2
3,278
Delisted,
Demerger, etc
397
2
2
2
-3
400
TOTAL
Avg Return
2,943
2%
200
0%
100
1%
735
0
3,978
9 December 2016
28
 Motilal Oswal Financial Services
21st Annual Wealth Creation Study (2011-2016)
We analyzed the 3 positive crossovers –
1. Mini-to-Mega
2. Mini-to-Mid and
3. Mid-to-Mega.
8.1 Mini-to-Mega: No companies
During 2011-16, there was no company which moved from Mini to Mega.
8.2 Mini-to-Mid: 67 companies, 39% average Price CAGR
During 2011-16, 67 companies crossed over from Mini to Mid category, generating an
average return CAGR of 39%, v/s 5% for the Sensex.
Of these 67 Mini-to-Mid stocks, 15 feature in our list of 100 Biggest Wealth Creators.
7 of the top 10 fastest Wealth Creators are featured in the list.
Exhibit 17
Mini-to-Mid (2011-16): 15 of 67 Mini-to-Mid stocks feature among top 100 Wealth Creators
Mkt Cap Rank
2016
2011
Ajanta Pharma
127
910
Welspun India
153
728
Kajaria Ceramics
190
606
Vakrangee
148
520
P I Inds
186
567
Symphony
175
510
Amara Raja
113
386
Page Industries
122
359
GRUH Finance
172
436
Mindtree
144
388
WABCO India
132
338
Blue Dart Express
117
304
Supreme Inds
160
351
Cholamandalam Inv
139
327
Abbott India
152
355
* 2011-16 Wealth Creation Rank
Price
CAGR %
121
88
66
63
58
56
56
50
46
46
43
43
38
33
28
WC Rank
Biggest Fastest
68
1
81
2
100
4
83
5
99
7
95
8
59
9
72
11
94
13
84
14
78
16
69
17
92
23
90
27
98
36
PAT
CAGR %
52
234
30
52
37
15
27
32
22
42
9
15
3
49
34
P/E (x)
2016
2011
31
5
14
226
33
9
27
17
25
10
77
14
31
11
58
31
36
14
18
15
60
15
75
29
42
12
19
27
39
29
8.3 Mid-to-Mega: 26 companies, 31% average Price CAGR
During 2011-16, 26 companies crossed over from Mid to Mega (listed on next page).
All the 26 made it to this year’s list of 100 Biggest Wealth Creators.
The Mid-to-Mega portfolio delivered average return CAGR of 31% over 2011-16 v/s 5% for
Sensex.
9 December 2016
29
 Motilal Oswal Financial Services
21st Annual Wealth Creation Study (2011-2016)
Exhibit 18
Mid-to-Mega (2011-16): 26 companies, 31% average Price CAGR v/s 5% for Sensex
Eicher Motors
Bajaj Finance
Aurobindo Pharma
Britannia Inds
Shree Cement
Rajesh Exports
Torrent Pharma
Havells India
Motherson Sumi
Pidilite Inds
Ashok Leyland
Marico
Emami
P & G Hygiene
Bajaj Finserv
UPL
Divi's Labs
Tech Mahindra
Apollo Hospitals
Glenmark Pharma
Yes Bank
GlaxoSmith. Cons.
Bharat Forge
LIC Housing
Petronet LNG
Castrol India
Average
* 2011-16 Wealth Creation Rank
Mkt Cap Rank
2016
2011
36
222
49
282
43
166
59
188
44
139
99
244
83
177
94
181
55
126
65
135
64
136
60
122
89
157
92
162
72
134
90
146
77
116
40
123
98
161
86
133
51
103
79
109
93
128
80
104
96
114
97
102
Price
CAGR %
70
59
50
48
43
42
36
34
33
32
31
28
28
28
27
26
24
23
23
23
23
22
20
17
16
11
31
WC Rank *
Biggest Fastest
13
3
23
6
19
10
25
12
21
18
50
19
43
24
48
25
28
26
35
29
34
31
36
37
51
38
54
39
42
42
52
44
44
53
32
56
70
57
57
58
37
59
46
60
67
62
61
69
80
71
91
85
PAT
CAGR %
48
39
28
46
16
34
46
15
27
20
11
23
12
23
13
19
21
26
11
10
28
18
18
12
7
5
22
P/E (x)
2016
2011
42
19
29
10
22
10
40
37
96
34
17
13
13
18
33
15
28
22
41
25
30
12
44
34
52
27
48
42
15
8
15
13
23
21
15
9
58
32
31
17
14
15
37
33
31
28
15
11
22
15
35
23
25
17
Key Takeaway
Mid category: A good place to hunt for Wealth Creators
The Mid-to-Mega portfolio of 26 stocks has handsomely outperformed the benchmark. The
high success rate of 13% (26 of 200) makes the Mid category a good place to hunt for Wealth
Creators.
9 December 2016
30
 Motilal Oswal Financial Services
21st Annual Wealth Creation Study (2011-2016)
#9
Wealth Creation: Valuation parameters analysis
Payback ratio < 1 offers distinctly superior returns
The general rule of low valuation, high returns held true in 2011-16.
Every study invariably suggests that the highest return is generated when payback ratio is
less than 1x. Seven of the top 10 fastest Wealth Creators had payback ratio of less than 1x
in the base year 2011.
(Payback is a proprietary ratio of Motilal Oswal, defined as current market cap divided by
estimated profits over the next five years. For 2011, we calculate this ratio based on the
actual profits reported over the next five years).
Exhibit 19
Payback ratio less than 1x remains a sure shot formula for multi-baggers
Range
No. of
WC
% Share
CAGR (%)
RoE (%)
in 2011
Cos.
(INR b)
of WC
Price
PAT
2016
2011
P/E
<10
10-20
20-30
> 30
Total
Price / Book
<2
2-3
3-4
4-5
>5
Total
Price / Sales
<1
1-2
2-3
3-4
>4
Total
Payback ratio
<1
1-2
2-3
>3
Total
13
33
38
16
100
2,047
7,055
16,923
2,410
28,436
7
25
60
8
100
23
18
19
21
19
12
14
18
16
16
19
18
21
21
20
32
19
22
22
22
15
18
17
10
40
100
2,197
4,603
3,810
5,003
12,822
28,436
8
16
13
18
45
100
22
22
19
22
17
19
18
15
10
23
15
16
17
17
14
19
28
20
13
18
23
19
34
22
22
17
17
19
25
100
4,228
3,140
3,985
5,926
11,156
28,436
15
11
14
21
39
100
25
23
23
19
16
19
16
14
16
16
16
16
20
16
19
19
21
20
22
18
22
24
22
22
14
26
29
31
100
1,956
5,706
12,718
8,056
28,436
7
20
45
28
100
39
21
19
16
19
19
17
17
11
16
20
19
19
23
20
24
22
20
25
22
9 December 2016
31
 Motilal Oswal Financial Services
21st Annual Wealth Creation Study (2011-2016)
#10
Those who missed the list
The big who didn’t beat the market
During 2011-16, the Sensex return CAGR was 5.4%.
5 companies –
Wipro, Indian Oil, Larsen & Toubro, ICICI Bank, Siemens
– created enough
wealth to qualify among the 100 biggest, but failed to make it to the final list as their stock
price return was lower than the Sensex.
They made way for 5 others to join the list –
Wockhardt, Ramco Cement, Abbott India,
P I Industries
and
Kajaria Ceramics.
Exhibit 20
Those who missed the list …
Exhibit 21
… and those who made it
Wipro
IOCL
L&T
ICICI Bank
Siemens
WC *
(INR b)
234
144
114
86
78
Price
Potential
CAGR (%) Size Rank **
3.3
33
3.3
57
2.0
76
1.2
90
4.5
96
Wockhardt
Ramco Cem.
Abbott India
P I Inds
Kajaria Cera.
WC *
(INR b)
72
71
70
70
69
Price
CAGR (%)
25
32
28
58
66
Size
Rank
96
97
98
99
100
* - Wealth Created; ** Size rank had the stock outperformed the benchmark
The fast who didn’t make it big
The 100th biggest Wealth Creator created Wealth of INR 69 billion. Over a 100 more
companies beat the benchmark return CAGR 5.4% but created absolute wealth less than
INR 69 billion.
The table below lists the top 20 among them.
Exhibit 22
The fast who didn’t make it big
Solar Industries
J K Cements
Balkrishna Inds
Fag Bearings
Dalmia Bharat
Finolex Industries
Persistent Systems
SRF
SPARC
Hexaware Tech
Arvind
Bajaj Corp
Honeywell Auto
Force Motors
ICRA
Thomas Cook (I)
Aegis Logistics
Sundram Fasteners
Entertain. Network
Capital First
9 December 2016
Price
CAGR (%)
43
37
36
36
34
33
33
33
33
32
32
31
31
29
29
29
27
27
25
25
Price
Appreciation (x)
5.9
4.8
4.7
4.6
4.3
4.2
4.2
4.1
4.1
4.1
4.0
3.9
3.8
3.6
3.6
3.6
3.4
3.3
3.1
3.1
Wealth Created
(INR b)
52
37
49
50
49
34
47
57
54
62
54
42
56
27
28
40
23
25
25
25
32
 Motilal Oswal Financial Services
21st Annual Wealth Creation Study (2011-2016)
#11
Wealth Destruction: Companies & Sectors
The Commodity Collapse Continues
The total Wealth Destroyed during 2011-16 is INR 15 trillion, 53% of the total Wealth
Created by top 100 companies.
7 of the top 10 Wealth Destroyers are in the business of global commodities.
The broader theme of Wealth Destruction is
cyclical downturn.
Metals / Mining is the
biggest Wealth Destroying sector as was the case last year. This is followed by Banking &
Finance, which mainly includes state-owned banks at the wrong end of the NPA cycle.
Capital Goods and Construction / Real Estate also corroborate the cyclical downturn theme.
Exhibit 23
Global commodity companies top Wealth Destroyers list
Company
Wealth Destroyed
Price
INR b
% Share CAGR (%)
MMTC
NMDC
BHEL
ONGC
Jindal Steel
Vedanta
State Bank of India
NTPC
SAIL
Coal India
Total of above
Total Wealth Destroyed
889
735
730
645
592
570
542
529
524
348
6,104
15,146
6
5
5
4
4
4
4
3
3
2
40
100
-47
-19
-23
-6
-39
-21
-7
-8
-24
-3
The usual suspects at the sector level too
Wealth
%
Sector
Destroyed
Share
(INR b)
Metals / Mining
5,058
33
Banking & Finance
2,991
20
Utilities
1,555
10
Capital Goods
1,393
9
Oil & Gas
1,256
8
Constn. / Real Est.
1,012
7
Technology
301
2
Chemicals & Fert.
295
2
Telecom
214
1
Others
1,071
7
Total
15,146
100
Exhibit 24
Exhibit 25
Level of Wealth Destruction continues to climb
Wealth destroyed (INR b)
% of Wealth Created by top 100 Wealth Creators
53
93
43
18
1
2,586
124
1
142
0
59
1,704
2
650
3,254
15
33
14
43
5,425
17,140
4,185
14,654 15,146
Key Takeaway
Cyclicals – When to Sell as important as When to Buy
Investing in secular stocks and investing in cyclical stocks are best treated as two distinct
.
investment styles. In both cases, When to Buy is important. However, when investing in
cyclical stocks, When to Sell is as important if not more. Failure to sell at the peak of the cycle
will most likely lead to a prolonged period of underperformance.
9 December 2016
33
 Motilal Oswal Financial Services
21st Annual Wealth Creation Study (2011-2016)
Appendix 1: MOSL 100: Biggest Wealth Creators (2011-2016)
Rank
1
2
3
4
5
6
7
8
9
10
11
12
13
14
15
16
17
18
19
20
21
22
23
24
25
26
27
28
29
30
31
32
33
34
35
36
37
38
39
40
41
42
43
44
45
46
47
48
49
50
Rank
Company
TCS
HDFC Bank
Hind. Unilever
ITC
Sun Pharma
Infosys
HCL Technologies
Kotak Mahindra Bank
Maruti Suzuki
HDFC
Asian Paints
UltraTech Cement
Eicher Motors
Lupin
Bosch
BPCL
Axis Bank
IndusInd Bank
Aurobindo Pharma
Tata Motors
Shree Cement
Godrej Consumer
Bajaj Finance
M&M
Britannia Inds
Bajaj Auto
Hero MotoCorp
Motherson Sumi
Dabur India
Zee Entertainment
Dr Reddy's Labs
Tech Mahindra
Adani Ports
Ashok Leyland
Pidilite Inds
Marico
Yes Bank
United Spirits
Power Grid Corpn
Nestle India
Hindustan Zinc
Bajaj Finserv
Torrent Pharma
Divi's Labs
Cadila Healthcare
GlaxoSmithkline Cons.
Bharat Electronics
Havells India
Cipla
Rajesh Exports
Company
Wealth Created
INR b
Share (%)
2,637
9.3
1,475
5.2
1,266
4.5
1,197
4.2
1,169
4.1
948
3.3
819
2.9
760
2.7
742
2.6
682
2.4
591
2.1
574
2.0
484
1.7
480
1.7
443
1.6
428
1.5
401
1.4
380
1.3
379
1.3
365
1.3
360
1.3
346
1.2
322
1.1
321
1.1
277
1.0
274
1.0
271
1.0
270
0.9
268
0.9
264
0.9
239
0.8
237
0.8
231
0.8
228
0.8
227
0.8
226
0.8
223
0.8
205
0.7
203
0.7
202
0.7
194
0.7
186
0.7
178
0.6
172
0.6
162
0.6
160
0.6
158
0.6
155
0.5
154
0.5
151
0.5
Wealth Created
INR b
Share (%)
CAGR (2011-16, %)
Price
PAT
Sales
16
22
24
18
26
26
25
14
11
13
14
12
30
24
38
9
15
18
28
27
14
24
17
28
24
14
10
10
18
16
28
16
16
23
10
13
70
48
29
29
21
20
25
8
10
24
35
4
10
20
22
30
32
26
50
28
26
9
7
18
43
16
10
30
19
19
59
39
39
12
2
16
48
46
13
11
5
7
13
10
8
33
27
36
21
17
16
26
11
14
13
10
7
23
26
39
13
25
29
31
11
13
32
20
15
28
23
14
23
28
27
19
-10
5
6
18
20
9
2
6
6
10
7
27
13
42
36
46
25
24
21
23
15
16
16
22
18
13
17
10
6
34
15
7
10
8
17
42
34
52
CAGR (2011-16, %)
Price
PAT
Sales
RoE (%)
2016
2011
37
37
17
16
102
76
28
30
16
19
24
26
20
21
10
14
17
16
20
21
31
38
10
13
36
14
21
26
15
21
29
12
16
18
13
15
28
23
16
48
7
11
22
28
17
18
11
20
45
37
27
58
37
62
30
24
30
40
25
20
13
24
22
29
22
22
26
24
27
28
34
28
18
19
18
13
14
12
32
96
21
22
14
27
53
26
26
24
28
33
28
31
15
17
24
47
12
15
22
16
RoE (%)
2016
2011
P/E (x)
2016
2011
21
26
21
27
46
30
28
28
38
26
20
27
21
20
36
21
25
16
17
23
48
29
40
23
42
20
29
21
53
24
8
12
13
17
25
21
22
10
9
7
96
34
41
25
29
10
24
15
40
37
20
15
20
17
28
22
36
30
35
19
33
28
15
9
18
30
30
12
41
25
44
34
14
15
115
26
12
18
63
43
10
12
15
8
13
18
23
21
21
23
37
32
21
15
33
15
28
26
17
13
P/E (x)
2016
2011
34
9 December 2016
 Motilal Oswal Financial Services
21st Annual Wealth Creation Study (2011-2016)
Appendix 1: MOSL 100: Biggest Wealth Creators (2011-2016) … continued
Rank
51
52
53
54
55
56
57
58
59
60
61
62
63
64
65
66
67
68
69
70
71
72
73
74
75
76
77
78
79
80
81
82
83
84
85
86
87
88
89
90
91
92
93
94
95
96
97
98
99
100
Rank
Company
Emami
UPL
HPCL
P & G Hygiene
Glaxosmith. Pharma
Berger Paints
Glenmark Pharma
MRF
Amara Raja Batteries
Ambuja Cement
LIC Housing Finance
Titan Company
Oracle Financial
Idea Cellular
Grasim Inds
TVS Motor
Bharat Forge
Ajanta Pharma
Blue Dart Express
Apollo Hospitals
Sundaram Finance
Page Industries
Colgate-Palmolive
Piramal Enterprises
Bayer Crop Science
Kansai Nerolac
ABB
WABCO India
Cummins India
Petronet LNG
Welspun India
JSW Steel
Vakrangee
Mindtree
United Breweries
Gillette India
CRISIL
Container Corpn.
3M India
Cholamandalam Inv.
Castrol India
Supreme Inds
Bajaj Holdings
GRUH Finance
Symphony
Wockhardt
Ramco Cement
Abbott India
P I Inds
Kajaria Ceramics
TOTAL
Company
Wealth Created
INR b
Share (%)
151
0.5
145
0.5
145
0.5
145
0.5
145
0.5
139
0.5
138
0.5
136
0.5
134
0.5
133
0.5
132
0.5
132
0.5
131
0.5
130
0.5
127
0.4
125
0.4
124
0.4
122
0.4
120
0.4
119
0.4
118
0.4
117
0.4
114
0.4
107
0.4
107
0.4
104
0.4
102
0.4
99
0.3
98
0.3
97
0.3
96
0.3
95
0.3
94
0.3
94
0.3
91
0.3
86
0.3
85
0.3
84
0.3
84
0.3
81
0.3
79
0.3
75
0.3
74
0.3
74
0.3
74
0.3
72
0.3
71
0.3
70
0.2
70
0.2
69
0.2
28,436
100.0
Wealth Created
INR b
Share (%)
CAGR (2011-16, %)
Price
PAT
Sales
28
12
16
26
19
18
17
21
6
28
23
20
13
-8
5
41
19
15
23
10
21
44
46
22
56
27
22
10
-10
5
17
12
21
12
10
12
12
1
6
10
24
18
9
0
11
40
23
12
20
18
8
121
52
28
43
15
17
23
11
18
40
9
16
50
32
29
15
8
13
20
28
32
33
18
12
26
20
13
10
36
5
43
9
16
11
4
5
16
7
16
88
234
23
7
-2
12
63
52
29
46
42
25
11
15
11
20
20
14
23
11
17
9
-2
10
26
15
12
33
49
28
11
5
3
38
3
4
13
-1
-12
46
22
29
56
15
9
25
-14
4
32
21
7
28
34
20
58
37
24
66
30
20
19
16
15
CAGR (2011-16, %)
Price
PAT
Sales
RoE (%)
2016
2011
29
33
20
15
29
14
28
25
22
30
24
21
24
22
34
21
23
23
7
17
18
23
20
42
32
21
10
7
9
15
25
19
18
15
35
22
47
17
9
10
14
22
46
47
59
105
7
2
17
20
21
20
10
3
19
33
22
33
13
23
35
0
7
11
26
14
25
13
14
14
25
14
32
41
10
18
20
18
16
7
108
89
17
35
15
31
29
29
34
41
8
322
18
12
23
20
27
32
25
28
20
22
RoE (%)
2016
2011
P/E (x)
2016
2011
52
27
15
13
5
6
48
39
86
31
47
21
31
17
7
8
31
11
50
19
15
11
44
39
25
15
16
25
16
10
41
22
31
28
31
5
75
25
58
32
24
7
58
31
38
28
19
26
44
27
32
26
89
257
60
15
32
23
22
15
14
226
20
12
27
17
18
15
73
83
68
66
47
27
31
18
60
38
19
27
30
22
42
10
7
4
36
14
77
17
36
6
17
12
39
30
25
10
33
9
22
19
P/E (x)
2016
2011
35
9 December 2016
 Motilal Oswal Financial Services
21st Annual Wealth Creation Study (2011-2016)
Appendix 2: MOSL 100: Fastest Wealth Creators (2011-2016)
Rank Company
2011-16 Price
CAGR (%) Times (x)
1
Ajanta Pharma
121
52.8
2
Welspun India
88
23.3
3
Eicher Motors
70
14.4
4
Kajaria Ceramics
66
12.6
5
Vakrangee
63
11.3
6
Bajaj Finance
59
10.2
7
P I Inds
58
9.7
8
Symphony
56
9.3
9
Amara Raja Batteries
56
9.3
10 Aurobindo Pharma
50
7.6
11 Page Industries
50
7.5
12 Britannia Inds
48
7.2
13 GRUH Finance
46
6.6
14 Mindtree
46
6.6
15 MRF
44
6.1
16 WABCO India
43
6.0
17 Blue Dart Express
43
6.0
18 Shree Cement
43
6.0
19 Rajesh Exports
42
5.7
20 Berger Paints
41
5.6
21 Sundaram Finance
40
5.4
22 TVS Motor
40
5.4
23 Supreme Inds
38
5.1
24 Torrent Pharma
36
4.6
25 Havells India
34
4.3
26 Motherson Sumi
33
4.2
27 Cholamandalam Inv.
33
4.1
28 Bayer Crop Science
33
4.1
29 Pidilite Inds
32
4.0
30 Ramco Cement
32
3.9
31 Ashok Leyland
31
3.8
32 Godrej Consumer
30
3.8
33 Sun Pharma
30
3.7
34 IndusInd Bank
30
3.7
35 Lupin
29
3.6
36 Abbott India
28
3.5
37 Marico
28
3.5
38 Emami
28
3.5
39 P & G Hygiene
28
3.5
40 Asian Paints
28
3.4
41 HCL Technologies
28
3.4
42 Bajaj Finserv
27
3.3
43 3M India
26
3.2
44 UPL
26
3.2
45 Kansai Nerolac
26
3.2
46 Zee Entertainment
26
3.1
47 Bosch
25
3.1
48 Hind. Unilever
25
3.1
49 Wockhardt
25
3.0
50 Kotak Mahindra
24
3.0
Rank Company
2011-16 Price
CAGR (%) Times (x)
9 December 2016
CAGR 11-16 (%)
PAT
Sales
52
28
234
23
48
29
30
20
52
29
39
39
37
24
15
9
27
22
28
26
32
29
46
13
22
29
42
25
46
22
9
16
15
17
16
10
34
52
19
15
9
16
23
12
3
4
46
25
15
7
27
36
49
28
18
12
20
15
21
7
11
13
19
19
24
38
32
26
21
20
34
20
23
14
12
16
23
20
16
16
27
14
13
42
15
12
19
18
20
13
11
14
8
10
14
11
-14
4
17
28
CAGR 11-16 (%)
PAT
Sales
Wealth Created
INR b Share (%)
122
0.4
96
0.3
484
1.7
69
0.2
94
0.3
322
1.1
70
0.2
74
0.3
134
0.5
379
1.3
117
0.4
277
1.0
74
0.3
94
0.3
136
0.5
99
0.3
120
0.4
360
1.3
151
0.5
139
0.5
118
0.4
125
0.4
75
0.3
178
0.6
155
0.5
270
0.9
81
0.3
107
0.4
227
0.8
71
0.3
228
0.8
346
1.2
1,169
4.1
380
1.3
480
1.7
70
0.2
226
0.8
151
0.5
145
0.5
591
2.1
819
2.9
186
0.7
84
0.3
145
0.5
104
0.4
264
0.9
443
1.6
1,266
4.5
72
0.3
760
2.7
Wealth Created
INR b Share (%)
RoE (%)
2016 2011
35
22
35
0
36
14
25
28
26
14
17
18
27
32
34
41
23
23
28
23
46
47
45
37
29
29
25
13
34
21
19
33
47
17
7
11
22
16
24
21
14
22
25
19
17
35
53
26
24
47
30
24
16
7
17
20
27
28
18
12
26
24
22
28
16
19
13
15
21
26
23
20
34
28
29
33
28
25
31
38
20
21
14
27
20
18
20
15
21
20
25
20
15
21
102
76
8
322
10
14
RoE (%)
2016 2011
P/E (x)
2016
2011
31
5
14
226
42
20
33
9
27
17
29
10
25
10
77
17
31
11
22
10
58
31
40
37
36
14
18
15
7
8
60
15
75
25
96
34
17
13
47
21
24
7
41
22
42
10
13
18
33
15
28
22
19
27
44
27
41
25
17
12
30
12
41
25
38
26
25
21
29
21
39
30
44
34
52
27
48
39
48
29
21
20
15
8
60
38
15
13
32
26
35
19
53
24
46
30
36
6
36
21
P/E (x)
2016
2011
36
 Motilal Oswal Financial Services
21st Annual Wealth Creation Study (2011-2016)
Appendix 2: MOSL 100: Fastest Wealth Creators (2011-2016) … continued
Rank Company
2011-16 Price
CAGR (%) Times (x)
51 B P C L
24
2.9
52 Maruti Suzuki
24
2.9
53 Divi's Labs
24
2.9
54 CRISIL
23
2.9
55 UltraTech Cement
23
2.8
56 Tech Mahindra
23
2.8
57 Apollo Hospitals
23
2.8
58 Glenmark Pharma
23
2.8
59 Yes Bank
23
2.8
60 GlaxoSmithkline Cons
22
2.7
61 Dabur India
21
2.6
62 Bharat Forge
20
2.5
63 Gillette India
20
2.5
64 Piramal Enterprises
20
2.5
65 United Spirits
19
2.4
66 HDFC Bank
18
2.3
67 H P C L
17
2.2
68 Bharat Electron
17
2.2
69 LIC Housing Finance
17
2.2
70 TCS
16
2.1
71 Petronet LNG
16
2.1
72 Colgate-Palmolive
15
2.0
73 Cadila Healthcare
15
2.0
74 Hero MotoCorp
13
1.9
75 Dr Reddy's Labs
13
1.9
76 Bajaj Holdings
13
1.8
77 Adani Ports
13
1.8
78 Glaxosmith. Pharma
13
1.8
79 ITC
13
1.8
80 Titan Company
12
1.8
81 Oracle Financial
12
1.8
82 M & M
12
1.7
83 Cummins India
11
1.7
84 United Breweries
11
1.7
85 Castrol India
11
1.7
86 Bajaj Auto
11
1.6
87 Idea Cellular
10
1.6
88 A B B
10
1.6
89 Cipla
10
1.6
90 Axis Bank
10
1.6
91 H D F C
10
1.6
92 Ambuja Cement
10
1.6
93 Nestle India
9
1.6
94 Tata Motors
9
1.6
95 Grasim Inds
9
1.6
96 Container Corpn
9
1.5
97 Infosys
9
1.5
98 JSW Steel
7
1.4
99 Power Grid Corpn
6
1.4
100 Hindustan Zinc
6
1.3
TOTAL
19
2.4
Rank Company
2011-16 Price
CAGR (%) Times (x)
9 December 2016
CAGR (11-16, %)
PAT
Sales
35
4
14
10
21
23
11
17
10
13
26
39
11
18
10
21
28
27
18
13
17
16
18
8
20
14
28
32
-10
5
26
26
21
6
10
6
12
21
22
24
7
16
8
13
16
16
10
8
10
7
-1
-12
25
29
-8
5
14
12
10
12
1
6
2
16
4
5
15
11
5
3
5
7
24
18
36
5
8
17
20
22
18
16
-10
5
2
6
7
18
0
11
-2
10
15
18
-2
12
18
20
10
7
16
15
CAGR (11-16, %)
PAT
Sales
Wealth Created
INR b Share (%)
428
1.5
742
2.6
172
0.6
85
0.3
574
2.0
237
0.8
119
0.4
138
0.5
223
0.8
160
0.6
268
0.9
124
0.4
86
0.3
107
0.4
205
0.7
1,475
5.2
145
0.5
158
0.6
132
0.5
2,637
9.3
97
0.3
114
0.4
162
0.6
271
1.0
239
0.8
74
0.3
231
0.8
145
0.5
1,197
4.2
132
0.5
131
0.5
321
1.1
98
0.3
91
0.3
79
0.3
274
1.0
130
0.5
102
0.4
154
0.5
401
1.4
682
2.4
133
0.5
202
0.7
365
1.3
127
0.4
84
0.3
948
3.3
95
0.3
203
0.7
194
0.7
28,436
100.0
Wealth Created
INR b Share (%)
RoE (%)
2016 2011
29
12
17
16
26
24
32
41
10
13
22
29
9
10
24
22
18
19
28
31
30
40
18
15
25
14
7
2
18
13
17
16
29
14
15
17
18
23
37
37
13
23
59
105
28
33
37
62
13
24
15
31
22
22
22
30
28
30
20
42
32
21
11
20
22
33
14
14
108
89
27
58
10
7
10
3
12
15
16
18
20
21
7
17
32
96
16
48
9
15
10
18
24
26
7
11
14
12
21
22
20
22
RoE (%)
2016 2011
P/E (x)
2016
2011
8
12
25
16
23
21
47
27
40
23
15
9
58
32
31
17
14
15
37
32
36
30
31
28
68
66
19
26
115
26
21
27
5
6
21
15
15
11
21
26
22
15
38
28
21
23
20
17
33
28
7
4
18
30
86
31
28
28
44
39
25
15
24
15
32
23
73
83
30
22
20
15
16
25
89
257
28
26
13
17
17
23
50
19
63
43
9
7
16
10
31
18
20
27
20
12
12
18
10
12
22
19
P/E (x)
2016
2011
37
 Motilal Oswal Financial Services
21st Annual Wealth Creation Study (2011-2016)
Appendix 3: MOSL 100: Alphabetical order
WC Rank
Company
3M India
ABB
Abbott India
Adani Ports
Ajanta Pharma
Amara Raja Batteries
Ambuja Cement
Apollo Hospitals
Ashok Leyland
Asian Paints
Aurobindo Pharma
Axis Bank
BPCL
Bajaj Auto
Bajaj Fin.
Bajaj Finserv
Bajaj Holdings
Bayer Crop Science
Berger Paints
Bharat Electron
Bharat Forge
Blue Dart Express
Bosch
Britannia Inds
Cadila Healthcare
Castrol India
Cholamandalam Inv.
Cipla
Colgate-Palmolive
Container Corpn
CRISIL
Cummins India
Dabur India
Divi's Labs
Dr Reddy's Labs
Eicher Motors
Emami
Gillette India
Glaxosmith. Pharma
GlaxoSmithh. Cons.
Glenmark Pharma
Godrej Consumer
Grasim Inds
GRUH Finance
HDFC
HPCL
Havells India
HCL Technologies
HDFC Bank
Hero MotoCorp
9 December 2016
Biggest Fastest
89
77
98
33
68
59
60
70
34
11
19
17
16
26
23
42
93
75
56
47
67
69
15
25
45
91
90
49
73
88
87
79
29
44
31
13
51
86
55
46
57
22
65
94
10
53
48
7
2
27
43
88
36
77
1
9
92
57
31
40
10
90
51
86
6
42
76
28
20
68
62
17
47
12
73
85
27
89
72
96
54
83
61
53
75
3
38
63
78
60
58
32
95
13
91
67
25
41
66
74
Wealth Created
Price
Price
INR b
CAGR % Mult. (x)
84
26
3.2
102
10
1.6
70
28
3.5
231
13
1.8
122
121
52.8
134
56
9.3
133
10
1.6
119
23
2.8
228
31
3.8
591
28
3.4
379
50
7.6
401
10
1.6
428
24
2.9
274
11
1.6
322
59
10.2
186
27
3.3
74
13
1.8
107
33
4.1
139
41
5.6
158
17
2.2
124
20
2.5
120
43
6.0
443
25
3.1
277
48
7.2
162
15
2.0
79
11
1.7
81
33
4.1
154
10
1.6
114
15
2.0
84
9
1.5
85
23
2.9
98
11
1.7
268
21
2.6
172
24
2.9
239
13
1.9
484
70
14.4
151
28
3.5
86
20
2.5
145
13
1.8
160
22
2.7
138
23
2.8
346
30
3.8
127
9
1.6
74
46
6.6
682
10
1.6
145
17
2.2
155
34
4.3
819
28
3.4
1,475
18
2.3
271
13
1.9
WC Rank
Company
Hind. Unilever
Hindustan Zinc
Idea Cellular
IndusInd Bank
Infosys
ITC
JSW Steel
Kajaria Ceramics
Kansai Nerolac
Kotak Mahindra
LIC Housing Finance
Lupin
M&M
Marico
Maruti Suzuki
Mindtree
Motherson Sumi
MRF
Nestle India
Oracle Financial
P & G Hygiene
P I Inds
Page Industries
Petronet LNG
Pidilite Inds
Piramal Enterprises
Power Grid Corpn
Rajesh Exports
Shree Cement
Sun Pharma
Sundaram Finance
Supreme Inds
Symphony
Tata Motors
TCS
Tech Mahindra
The Ramco Cement
Titan Company
Torrent Pharma
TVS Motor
UltraTech Cement
United Breweries
United Spirits
UPL
Vakrangee
WABCO India
Welspun India
Wockhardt
Yes Bank
Zee Entertainment
Biggest Fastest
3
41
64
18
6
4
82
100
76
8
61
14
24
36
9
84
28
58
40
63
54
99
72
80
35
74
39
50
21
5
71
92
95
20
1
32
97
62
43
66
12
85
38
52
83
78
81
96
37
30
48
100
87
34
97
79
98
4
45
50
69
35
82
37
52
14
26
15
93
81
39
7
11
71
29
64
99
19
18
33
21
23
8
94
70
56
30
80
24
22
55
84
65
44
5
16
2
49
59
46
Wealth Created
Price
Price
INR b
CAGR % Mult. (x)
1,266
25
3.1
194
6
1.3
130
10
1.6
380
30
3.7
948
9
1.5
1,197
13
1.8
95
7
1.4
69
66
12.6
104
26
3.2
760
24
3.0
132
17
2.2
480
29
3.6
321
12
1.7
226
28
3.5
742
24
2.9
94
46
6.6
270
33
4.2
136
44
6.1
202
9
1.6
131
12
1.8
145
28
3.5
70
58
9.7
117
50
7.5
97
16
2.1
227
32
4.0
107
20
2.5
203
6
1.4
151
42
5.7
360
43
6.0
1,169
30
3.7
118
40
5.4
75
38
5.1
74
56
9.3
365
9
1.6
2,637
16
2.1
237
23
2.8
71
32
3.9
132
12
1.8
178
36
4.6
125
40
5.4
574
23
2.8
91
11
1.7
205
19
2.4
145
26
3.2
94
63
11.3
99
43
6.0
96
88
23.3
72
25
3.0
223
23
2.8
264
26
3.1
38
 Motilal Oswal Financial Services
21st Annual Wealth Creation Study (2011-2016)
Space for Notes
9 December 2016
39
 Motilal Oswal Financial Services
21st Annual Wealth Creation Study (2011-2016)
Space for Notes
9 December 2016
40
 Motilal Oswal Financial Services
Disclosures
With margin fears allayed at
HCLT,
the stock has already seen an uptick; triggers to
with a some
MOSt and its affiliates are a full-service, integrated investment banking, investment management, brokerage and financing group. We and our affiliates have investment banking and other business relationships
further
companies covered by our Research Department. Our research professionals may provide input into our investment banking and other business selection processes. Investors should assume that MOSt and/or its affiliates are
upside lie in sustained
this material
growth delivery after an impressive 1Q performance.
seeking or will seek investment banking or other business from the company or companies that are the subject of
organic
and that the research professionals who were involved in preparing this material may educate investors
on investments in such business . The research professionals responsible for the preparation of this document may interact with trading desk personnel, sales personnel and other parties for the purpose of gathering, applying and
WPRO’s
higher P/E
of MOSt.
interpreting information. Our research professionals are paid on twin
parameters of performance & profitability
than HCLT, TECHM amid growth/margin weakness poses a
MOSt generally prohibits its analysts, persons reporting to analysts, and members of their households from maintaining a financial interest in the securities or derivatives of any companies that the analysts cover. Additionally, MOSt
generally prohibits its analysts and persons reporting to analysts from serving as an officer, director, or advisory board member of any companies that the analysts cover. Our salespeople, traders, and other professionals or affiliates
may provide oral or written market commentary or trading strategies to our clients that reflect opinions that are contrary to the opinions expressed herein, and our proprietary trading and investing businesses may make investment
decisions that are inconsistent with the recommendations expressed herein. In reviewing these materials, you should be aware that any or all of the foregoingamong other things, may give rise to real or potential conflicts of interest.
MOSt and its affiliated company(ies), their directors and employees and their relatives may; (a) from time to time, have a long or short position in, act as principal in, and buy or sell the securities or derivatives thereof of companies
Exhibit 9:
mentioned herein. (b) be engaged in any other transaction involving such securities and earn brokerage or other compensation or act as a market maker in the financial instruments of the company(ies) discussed herein or act as an
Mkt cap
TP (INR) Upside
EPS (INR)
P/E (x)
FY16-18E CAGR
no bearing
advisor
Company
or lender/borrower to such company(ies) or
Rating
any other potential conflict of interests with respect to any recommendation and other related information
RoE
opinions.; however the same shall have
(%)
may have
and
(%)
whatsoever on the specific recommendations made by the analyst(s), as the recommendations made by the analyst(s) are completely independent of the views of the affiliates of MOSt even though there might exist an inherent
(USD
mentioned in the research report Reports based on technical and derivative analysis center on studying charts company's
FY17E FY18E
(%)
FY17E FY18E FY17E FY18E
EPS
conflict of interest in some of the stocks
b)
price movement, outstanding
USD rev.
trading volume, as
positions and
opposed to focusing on a company's fundamentals and, as such, may not match with a report on a company's fundamental analysis. In addition MOST
17.3
has different business segments / Divisions with independent
11.5
TCS
77.2
Neutral
2,650
-0.2
134.0
153.1
19.8
33.6
32.7
10.8
research
separated by Chinese walls catering to different set of customers having various objectives, risk profiles, investment horizon, etc, and therefore may at times have different contrary views on stocks sectors and markets.
Sector Update | Technology
This document has been prepared by Motilal Oswal Securities Limited (hereinafter referred to as Most) to provide information about the company (ies) and/sector(s), if any, covered in the report and may be distributed by it and/or its
affiliated company(ies). This report is for personal information of the selected recipient/s and does not construe to be any investment, legal or taxation advice to you. This research report does not constitute an offer, invitation or
inducement to invest in securities or other investments and Motilal Oswal Securities Limited (hereinafter referred as MOSt) is not soliciting any action based upon it. This report is not for public distribution and has been furnished to
you solely for your general information and should not be reproduced or redistributed to any other person in any form. This report does not constitute a personal recommendation or take into account the particular investment
objectives, financial situations, or needs of individual clients. Before acting on any advice or recommendation in this material, investors should consider whether it is suitable for their particular circumstances and, if necessary, seek
professional advice. The price and value of the investments referred to in this material and the income from them may go down as well as up, and investors may realize losses on any investments. Past performance is not a guide for
future performance, future returns are not guaranteed and a loss of original capital may occur.
NOTES
risk.
Comparative valuations
Unauthorized disclosure, use, dissemination or copying (either whole or partial) of this information, is prohibited. The person accessing this information specifically agrees to exempt MOSt or any of its affiliates or employees from,
any and all responsibility/liability arising from such misuse and agrees not to hold
570
or any of its affiliates or employees responsible for any such misuse and further agrees to hold MOSt or any of its affiliates
7.3
MOSt
or employees free
Wipro
19.9
Neutral
4.0
34.9
40.6
15.7
13.5
17.9
18.9
6.0
and harmless from all losses, costs, damages, expenses that may be suffered by the person accessing this information due to any errors and delays. The information contained herein is based on publicly available data or other
HCL Tech
17.2
Buy
950 15.0
56.3
62.8
14.7
26.3
25.1
11.4
8.3
sources believed to be reliable. Any statements contained in this report attributed to a third party represent MOSt’s interpretation of the data, information
13.2
opinions provided by that third party either publicly or through a
and/or
subscription service, and such use and interpretation have not been reviewed by the third party. This Report is not intended to be a complete statement or summary of the securities, markets or developments referred to in the
TechM
7.2
Neutral
550 10.7
33.8
41.3
14.7
12.0
19.8
17.6
9.6
8.5
document. While we would endeavor to update the information herein on reasonable basis, MOSt and/or its affiliates are under no obligation to update the information. Also there may be regulatory, compliance, or other reasons that
may prevent MOSt and/or its affiliates from doing so. MOSt or any of its affiliates or employees shall not be in any way responsible and liable for any loss or damage that may arise
Bloomberg, Company, MOSL
the
Source:
to any person from any inadvertent error in
information contained in this report. MOSt or any of its affiliates or employees do not provide, at any time, any express or implied warranty of any kind, regarding any matter pertaining to this report, including without limitation the
implied warranties of merchantability, fitness for a particular purpose, and non-infringement. The recipients of this report should rely on their own investigations.
This report is intended for distribution to institutional investors. Recipients who are not institutional investors should seek advice of their independent financial advisor prior to taking any investment decision based on this report or for
any necessary explanation of its contents.
Most and it’s associates may have managed or co-managed public offering of securities, may have received compensation for investment banking or merchant banking or brokerage services, may have received any compensation
for products or services other than investment banking or merchant banking or brokerage services from the subject company in the past 12 months.
Most and it’s associates have not received any compensation or other benefits from the subject company or third party in connection with the research report.
Subject Company may have been a client of Most or its associates during twelve months preceding the date of distribution of the research report
MOSt and/or its affiliates and/or employees may have interests/positions, financial or otherwise of over 1 % at the end of the month immediately preceding the date of publication of the research in the securities mentioned in this
report. To enhance transparency, MOSt has incorporated a Disclosure of Interest Statement in this document. This should, however, not be treated as endorsement of the views expressed in the report.
Motilal Oswal Securities Limited is registered as a Research Analyst under SEBI (Research Analyst) Regulations, 2014. SEBI Reg. No. INH000000412
Pending Regulatory inspections against Motilal Oswal Securities Limited:
SEBI pursuant to a complaint from client Shri C.R. Mohanraj alleging unauthorized trading, issued a letter dated 29th April 2014 to MOSL notifying appointment of an Adjudicating Officer as per SEBI regulations to hold inquiry and
adjudge violation of SEBI Regulations; MOSL replied to the Show Cause Notice whereby SEBI granted us an opportunity of Inspection of Documents. Since all the documents requested by us were not covered we have requested to
SEBI vide our letter dated June 23, 2015 to provide pending list of documents for inspection.
List of associate companies of Motilal Oswal Securities Limited -Click
here to access detailed report
Infosys
36.6
Buy
1,320
21.7
62.8
73.2
17.3
14.8
23.2
24.1
11.2 11.3
Analyst Certification
The views expressed in this research report accurately reflect the personal views of the analyst(s) about the subject securities or issues, and no part of the compensation of the research analyst(s) was, is, or will be directly or
indirectly related to the specific recommendations and views expressed by research analyst(s) in this report. The research analysts, strategists, or research associates principally responsible for preparation of MOSt research receive
compensation based upon various factors, including quality of research, investor client feedback, stock picking, competitive factors and firm revenues
Disclosure of Interest Statement
Analyst ownership of the stock
Served as an officer, director or employee
Companies where there is interest
No
No
A graph of daily closing prices of securities is available at www.nseindia.com and http://economictimes.indiatimes.com/markets/stocks/stock-quotes
Regional Disclosures (outside India)
This report is not directed or intended for distribution to or use by any person or entity resident in a state, country or any jurisdiction, where such distribution, publication, availability or use would be contrary to law, regulation or which
would subject MOSt& its group companies to registration or licensing requirements within such jurisdictions.
For Hong Kong:
This report is distributed in Hong Kong by Motilal Oswal capital Markets (Hong Kong) Private Limited, a licensed corporation (CE AYY-301) licensed and regulated by the Hong Kong Securities and Futures
Commission (SFC) pursuant to the Securities and Futures Ordinance (Chapter 571 of the Laws of Hong Kong) “SFO”. As per SEBI (Research Analyst Regulations) 2014 Motilal Oswal Securities (SEBI Reg No. INH000000412) has
an agreement with Motilal Oswal capital Markets (Hong Kong) Private Limited for distribution of research report in Kong Kong. This report is intended for distribution only to “Professional Investors” as defined in Part I of Schedule 1 to
SFO. Any investment or investment activity to which this document relates is only available to professional investor and will be engaged only with professional investors.” Nothing here is an offer or solicitation of these securities,
products and services in any jurisdiction where their offer or sale is not qualified or exempt from registration. The Indian Analyst(s) who compile this report is/are not located in Hong Kong & are not conducting Research Analysis in
Hong Kong.
For U.S
Motilal Oswal Securities Limited (MOSL) is not a registered broker - dealer under the U.S. Securities Exchange Act of 1934, as amended (the"1934 act") and under applicable state laws in the United States. In addition MOSL is not a
registered investment adviser under the U.S. Investment Advisers Act of 1940, as amended (the "Advisers Act" and together with the 1934 Act, the "Acts), and under applicable state laws in the United States. Accordingly, in the
absence of specific exemption under the Acts, any brokerage and investment services provided by MOSL, including the products and services described herein are not available to or intended for U.S. persons.
This report is intended for distribution only to "Major Institutional Investors" as defined by Rule 15a-6(b)(4) of the Exchange Act and interpretations thereof by SEC (henceforth referred to as "major institutional investors"). This
document must not be acted on or relied on by persons who are not major institutional investors. Any investment or investment activity to which this document relates is only available to major institutional investors and will be
engaged in only with major institutional investors. In reliance on the exemption from registration provided by Rule 15a-6 of the U.S. Securities Exchange Act of 1934, as amended (the "Exchange Act") and interpretations thereof by
the U.S. Securities and Exchange Commission ("SEC") in order to conduct business with Institutional Investors based in the U.S., MOSL has entered into a chaperoning agreement with a U.S. registered broker-dealer, Motilal Oswal
Securities International Private Limited. ("MOSIPL"). Any business interaction pursuant to this report will have to be executed within the provisions of this chaperoning agreement.
The Research Analysts contributing to the report may not be registered /qualified as research analyst with FINRA. Such research analyst may not be associated persons of the U.S. registered broker-dealer, MOSIPL, and therefore,
may not be subject to NASD rule 2711 and NYSE Rule 472 restrictions on communication with a subject company, public appearances and trading securities held by a research analyst account.
For Singapore
Motilal Oswal Capital Markets Singapore Pte Limited is acting as an exempt financial advisor under section 23(1)(f) of the Financial Advisers Act(FAA) read with regulation 17(1)(d) of the Financial Advisors Regulations and is a
subsidiary of Motilal Oswal Securities Limited in India. This research is distributed in Singapore by Motilal Oswal Capital Markets Singapore Pte Limited and it is only directed in Singapore to accredited investors, as defined in the
Financial Advisers Regulations and the Securities and Futures Act (Chapter 289), as amended from time to time.
In respect of any matter arising from or in connection with the research you could contact the following representatives of Motilal Oswal Capital Markets Singapore Pte Limited:
Varun Kumar
Varun.kumar@motilaloswal.com
Contact : (+65) 68189232
Office Address:21 (Suite 31),16 CollyerQuay,Singapore 04931
Motilal Oswal Securities Ltd
8
Motilal Oswal Tower, Level 9, Sayani Road, Prabhadevi, Mumbai 400 025
Investors are advised to refer through
+91 22 3982 5500 E-mail: reports@motilaloswal.com
last page of the Research Report.
Phone:
important disclosures made at the
7 December 2016
Motilal Oswal research is available on
www.motilaloswal.com/Institutional-Equities,
Bloomberg, Thomson Reuters, Factset and S&P Capital.
 Motilal Oswal Financial Services
Motilal Oswal Wealth Creation Study Gallery