Initiating Coverage | 28 April 2017
Sector: Utilities
Tata Power
Mundra
SED
Struggling for RoE
Dhruv Muchhal
(Dhruv.Muchhal@MotilalOswal.com); +91 22 6129 1549
Sanjay Jain
(SanjayJain@MotilalOswal.com); +91 22 6129 1523
Investors are advised to refer through important disclosures made at the last page of the Research Report.
Motilal Oswal research is available on www.motilaloswal.com/Institutional-Equities, Bloomberg, Thomson Reuters, Factset and S&P Capital.

Tata Power
Contents | Tata Power: Struggling for RoE
Summary ............................................................................................................. 3
Company Overview .............................................................................................. 6
Distribution business growth is slowing… .............................................................. 8
Mundra – Court denies tariff relief ...................................................................... 15
Coal – tide has turned......................................................................................... 18
Overseas generation – will now start delivering .................................................. 21
RE – driving growth ............................................................................................ 22
RoE improving but hardly covers cost of equity ................................................... 25
Risks .................................................................................................................. 29
Bulls and Bears ................................................................................................... 30
Financials and Valuations ................................................................................... 31
28 April 2017
2

Tata Power
Initiating Coverage | Sector: Utilities
Tata Power
Sell
BSE Sensex
29,918
S&P CNX
9,304
CMP: INR84
TP: INR69 (-18%)
Leading supplier struggling for RoE accretive growth
Initiating with Sell
Stock Info
Bloomberg
Equity Shares (m)
52-Week Range (INR)
1, 6, 12 Rel. Per (%)
M.Cap. (INR b)
M.Cap. (USD b)
Avg Val, INRm
Free float (%)
TPWR IN
2,705
91 / 67
-7/0/5
227.2
3.4
403
67.0
Financial Snapshot (INR b)
Y/E Mar
2017E 2018E 2019E
Sales
315.1 341.6 358.7
EBITDA
57.5 67.1 69.5
NP
15.6 18.2 18.9
EPS (INR)
5.8
6.7
7.0
EPS Gr. (%)
35.1 16.9
3.9
BV/Sh. (INR )
58.0 63.1 68.6
RoE (%)
10.8 11.1 10.6
RoCE (%)
5.9
6.1
6.1
P/E (x)
14.6 12.5 12.0
P/BV (x)
1.4
1.3
1.2
Shareholding pattern (%)
As On
Mar-17 Dec-16 Mar-16
Promoter
33
33
33
DII
23.5
24
24.5
FII
27.3
26.5
26.2
Others
16.2
16.5
16.3
FII Includes depository receipts
Tata Power (TPWR) is a leading private sector power supplier, with capacity of
10,477MW (71% thermal, ~7% hydro, ~10% wind, 9% solar and 3% waste heat
recovery), largely in India. It is also engaged in electricity distribution in
Mumbai/Delhi, and has stakes in coal mining assets in Indonesia and certain
overseas power generation assets. It has consolidated its position in renewable
energy (RE) – a key driver of growth – with the acquisition of Welspun’s assets.
The company’s earnings would get a boost on sharp increase in thermal coal
prices and inorganic growth. However, RoE will still hover at ~11% over next three
years, which is lower than its cost of equity.
Regulated business, which earns superior RoE, has many challenges and lacks
material growth. The strategic engineering division has tailwinds in the form of
high growth from defense opportunity, but it contributes just 1-2% of EBITDA.
The recent Supreme Court (SC) order has dashed the hope of compensatory tariff
(CT) for CGPL Mundra, leading to losses. The declining structure of capacity charge
and rising O&M costs would remain drags.
Coal prices are strong on supply-side discipline, which is a silver lining because of
its net long position in mining assets in Indonesia.
RE is expected to drive capex and growth. However, it is unlikely to boost RoE due
to high competition.
Coal prices and interest rates are the key sources of earnings volatility, which
drives up cost of equity.
At CMP, the stock trades at ~1.3x FY19E P/BV. Valuations are rich because TPWR’s
RoE is less than its cost of equity and growth is not RoE-accretive. We value the
stock at 1x FY19E P/BV, with a target price of INR69/share. Initiating with Sell.
Regulated business: Many challenges stalling growth
TPWR’s electricity distribution business in Mumbai and Delhi (51% holding),
which represented ~70% of its regulated equity in FY16, is coming under
pressure due to:
Declining capitalization (from ~INR7b p.a. to ~INR4b) on network roll-out
issues in Mumbai
Stricter operating norms impacting ~200-300bp on RoE
Disallowance of capex in Delhi pending physical verification
Declining regulatory asset base in Delhi (releases working capital but
reduces earnings)
Moreover, PPAs for generation capacity in Mumbai (Trombay), which represent
~50% of Mumbai business regulated equity, are expiring in 2018 and may not be
extended due to high cost of generation. Maithon power will see boost to
earnings on securing PPA for its last 150MW capacity. We expect PAT of
regulated business to growth at a modest ~5% CAGR over FY16-19E.
Tata Power
Struggling for growth
+
91 22 3027 8033
Dhruv.Muchhal@motilaloswal.com
Please click here for Video Link
28 April 2017
3

Tata Power
Stock Performance (1-year)
Mundra: Aggressive bid and coal prices driving losses; SC denies CT
Aggressive bidding for the CGPL Mundra 4,000MW UMPP and the change in
Indonesian law for supply of coal are driving fuel cost under-recoveries of
~INR14-15b in FY18/19E (INR0.51/0.53 kWh), assuming USD60/t free on board
(FOB) price for 5,400kcal/kg Indonesia coal.
The Supreme Court has denied compensatory tariff for the under-recoveries,
citing that the UMPP tender did not restrict sourcing of coal from any particular
country. Hence, the change in Indonesian law does not invoke force majeure.
We estimate Mundra EBITDA at ~INR6b in FY18/19E, which will decline
gradually as O&M cost increases on aging & inflation and capacity charge
declines as per the structure of the PPA. CGPL Mundra accounts for ~25% of the
group’s total capital employed.
Strong coal prices – only silver lining
TWGR has 30% stake in coal mining assets in Indonesia with its share of 18mt in coal
production assuming the sale of Arutmin. After adjusting for its requirement for
CGPL sale of Arutmin, it will have net long position of 8mt. Hence, coal prices are the
key driver of consolidated earnings.
Declining thermal coal price over last few years was one of the key reasons for
weak earnings at TPWR. As coal business EBITDA declined from ~INR19b in FY11
to ~INR13 in FY16, TPWR’s consolidated PAT fell from ~INR20b to ~INR11b over
the same period.
International coal prices have recovered due to the closure of high-cost mines
across the world and production management by China. We estimate Indonesia
5,400kCal coal to average ~USD60/t in FY18/19E, up from ~USD46/t in FY16.
Resultantly, EBITDA of coal mines would almost double to ~INR25b by FY19E.
We will factor in the sale of Arutim in our model only after the transaction is
executed due to repeated delays in past.
RE is the only growth driver; will it drive RoE accretion?
The company has consolidated its position in RE with the acquisition of Welspun’s
assets. RE is the key driver of growth for TPWR. With the acquisition of Welspun’s RE
assets, TPWR’s scale at ~2.3GW capacity, one of the largest in India, gives it a
competitive edge in sourcing credit, in our view.
We estimate 400MW of annual RE capacity addition and PAT to increase from
INR0.2b in FY16 (~2% of consol. PAT) to INR3.5b by FY20E (~18% of consol. PAT).
Rapidly declining cost of solar panel and the lack of alternative investment
opportunities have attracted hordes of investors and heated up competition.
Equity IRR is generally lower at ~12% v/s distribution business’ ~15%. This barely
covers cost of equity. Therefore, we are not sure if the reinvestment will drive
RoE accretion.
RoE improving, but hardly covers cost of equity
TPWR’s consolidated adjusted PAT is expected to increase by ~64% from
~INR11b in FY16 to ~INR19b in FY19E, led by a sharp increase in thermal coal
prices and Welspun acquisition. Despite the jump in earnings, RoEs would
remain modest at ~10.5-11% over FY17-20E. Superior RoE business of
28 April 2017
4

Tata Power
distribution is facing challenges. Growth in RE business is unlikely to be RoE
accretive.
Net debt to equity ratio is expected to decline from ~2.7x to 2.1x over FY17-20E.
The dilution in TPWR’s RoE (on declining leverage) will be compensated by new
investment in the superior-RoE distribution business, keeping RoE stable at
~11%.
Coal business would represent ~23-25% of TWPR’s consolidated EBITDA (under
old accounting standards) over FY17-20E. Such heavy reliance on volatile coal
prices has its risk on the deleveraging trajectory, increasing cost of equity.
Value at 1x FY19E P/BV on low RoE and growth; Initiating with Sell
At current CMP, TPWR is trading at FY19E rich P/BV of 1.2x in view of its RoE
hovering at ~11% for next 2-3 years, as against cost of equity of ~12%. There are
limited growth opportunities that can boost RoE. Therefore, we believe the
stock is expensive. NTPC also trades at similar valuations, but its RoE is expected
to increase, led by a strong pipeline of high-RoE projects.
FCF (pre-interest) to enterprise value yield (cash return to the business) is at just
~6%, as against ~10% for peers.
We value the stock at 1x FY19E P/BV, implying a target price of INR69/share.
With 18% downside, we initiate with
Sell.
The pending sale of (i) stake in the Arutmin coal mine (INR27b), (ii) quoted
investments (~INR12b) and (iii) 1.65% stake in Tata Sons would be key toward
value unlocking.
Key risks:
Higher-than-estimated coal prices, resolution of capital under-
recovery issue in Delhi, and the sale of non-core assets.
28 April 2017
5

Tata Power
Company Overview
Tata Power (TPWR) is leading private sector power supplier with 10,477MW
capacity (71% thermal, ~7% hydro, ~10% wind, 9% solar and 3% waste heat
recovery) largely in India. It is also engaged in the electricity distribution in
Mumbai/Delhi, and has stakes in coal mining assets in Indonesia and certain
overseas power generation assets. It has consolidated its position in RE (renewable
energy) with acquisition of Welspun’s assets. RE is the key driver of growth for
TPWR.
Exhibit 1: A diversified play on Indian power sector
Source: Company
Exhibit 2: Attri. Revenue by businesses (FY18E) - %
Distribution
Generation
Coal
25%
Trans.
1%
IEL
2%
Others
RE
-9%
4%
Mumbai
(S/A)
21%
Delhi
16%
Exhibit 3: Capital employed by business (FY18E) - %
Distribution
Generation
Coal &
Others
20%
Trading
1%
RE
19%
Trans.
1%
Mundra
24%
Source: MOSL, Company
Mumbai
(S/A)
21%
Delhi
6%
Maithon
6%
Mundra
16%
Source: MOSL, Company
IEL Maithon
2%
6%
28 April 2017
6

Tata Power
Standalone (Mumbai
distribution) and coal
business were the key
contributors to PAT in FY18.
Exhibit 4: Adj. attributable PAT by businesses (FY18) – INR b
15.9
0.8
(3.1)
18.2
5.6
2.6
1.7
0.6
2.1
0.2
*Standalone ex-related party other income
Source: MOSL, Company
Exhibit 5: 10,477MW capacity spread over India and Africa
Source: Company
Exhibit 6: Generation assets by fuel
Solar
9%
Wind
10%
Hydro
7%
Thermal
71%
Source: MOSL, Company
WHR/FG
3%
Exhibit 7: Generation assets by nature of revenue
Merchant
2%
Competitiv
ely bid
42%
Regulated/
Feed-in
56%
Source: MOSL, Company
28 April 2017
7

Tata Power
Distribution business growth is slowing…
…due to regulatory uncertainty and stricter norms
Regulated equity of Mumbai and Delhi electricity distribution business (including
integrated generation) accounts for ~70% of TPWR’s regulated businesses in FY16
Mumbai business is coming under pressure as (a) capitalization, which drives
regulated equity, declines on network roll-out issues and (b) stricter operating norms.
Mumbai generation’s (Trombay) extension of 1.4GW PPA (of 1.8GW capacity) beyond
FY18 could be at risk due to non-competitive cost. Generation assets represent ~50%
of Mumbai business regulated equity.
Delhi business is (a) already suffering from disallowance of capex pending physical
verification of assets and (b) declining regulatory asset base as per the tariff policy.
We expect only a modest growth in distribution businesses.
Strategic engineering division has tailwind of high growth from defense opportunity
but it contributes just 1-2% of EBITDA.
TPWR has electricity distribution licenses for parts of Mumbai and Delhi. The
company competes with Reliance Infrastructure in the Mumbai distribution circle.
Its Mumbai business, part of the standalone entity, also includes the integrated
generation and transmission assets. The Delhi distribution business is operated
through a 51% joint venture (JV), the other partner being the Government of Delhi.
Regulated equity of the two businesses combined represented ~70% of the
company’s regulated businesses in FY16. Regulated business provides an assured
15.5%-16% return on equity, along with incentives for efficient operation (linked to
AT&C losses, generation efficiency, working capital efficiency and others).
Mumbai: Growth to slow down, led by moderating capex and
stricter norms; risk of generation PPAs expiring
Capex growth moderating on supply issues with competitors
TPWR competes with Reliance Infrastructure in Mumbai distribution. Due to issues
pertaining to change-over of customers from competitor network, non-fulfillment of
universal service obligation, duplication of network addition and resultant additional
cost burden on consumers, etc., the company’s network roll-out plan in Mumbai is
in jeopardy. We believe TPWR’s network roll-out plan (a committee has been set-up
to take a decision on network roll-out) is likely to be constrained as one of the
conditions set by the regulator is to avoid duplication where competitor’s network
exist (Reliance Infra has a well-established network in Mumbai). Regulated equity
growth through network addition is the key earnings driver for a distribution
business.
Capex approved by the regulator for the company’s Mumbai circle has declined
from a run-rate of ~INR7-8b p.a. in FY13-15 to ~INR3-5b p.a. over FY17-20. Lower
capex will lead to slower earnings growth in the Mumbai distribution business.
28 April 2017
8

Tata Power
Approved capex run-rate
declined from ~INR7-8b p.a.
in FY13-15 to ~INR3-5b over
FY16-20, which should
moderate earnings growth
Exhibit 8: Mumbai regulated business approved capex (Gen/Distri/Trans)
Mumbai regulated capex - INR m
39
23
13
6,154
FY13
12,470
FY14
8,676
FY15
5,656
FY16
9
4,256
FY17E
11
5,538
FY18E
8
4,273
growth over gross fixed assets - %
5
2,962
FY19E
FY20E
Source: MOSL, Company
Approved capex is
significantly lower than
proposed by the company
due to issues pertaining to
network roll-out
Exhibit 9: Mumbai distribution and transmission – approved and claimed capex
Capex approved - INR b
4.8
3.8
2.7
5.4
3.7
2.7
Capex claimed - INR b
6.4
7.4
FY17E
FY18E
FY19E
FY20E
Source: MOSL, Company
Stricter regulations to drag earnings in near term
The Maharashtra regulatory commission revised operating norms for the regulated
electricity businesses in its recent review for the period FY17-19. Norms pertaining
primarily to station heat rate (SHR) for generating plants, O&M allowance and
interest rate allowance were made stricter.
The change in interest rate allowance from SBI advance rate (~14%) to SBI base rate
(~9%) + 150bp on working capital and regulatory asset will impact the company’s
Mumbai business annual PBT by ~INR1.3b (or ~200-300bp on Mumbai business
regulated equity). We expect additional impact from changes in SHR/O&M norms.
Change in interest rate
allowance from ~14% to
~10.8% on working capital
and regulatory assets will
impact earnings by
~INR1.3b
Exhibit 10: Change in allowance of interest rate recovery will impact earnings
Recovery of interest on WC and regulatory asset - INR m
4,441
Recovery at SBI
Advanced Rate
(~14%)
FY16E
Decrease of INR 1.3b
or
~4% of the requlated
equity of INR36b
3,111
Recovery at SBI Base
Rate
(~10.8%)
FY17E
Source: MOSL, Company
28 April 2017
9

Tata Power
Exhibit 11: Operating norms for tariff period FY17-19 are made stricter
Old regulations FY13-16
Sharing of gains and losses
1/3rd of efficiency savings shared with customers
Sharing of saving in interest cost (through renegotiation)
No sharing
Working capital days
Receivables - 60 days
Secondary fuel oil consumption
Coal plants - 1ml/kWh
O&M allowance
No allowance was efficiency
Incentive for transmission business
HDVC line - 92-95% availability
AC systems - 98%
Interest rate on working capital and regulatory assets
State Bank Advance Rate (~14%)
Revised regulations FY17-19
2/3rd of efficiency savings shared with customers
1/3rd of saving to be shared
Receivables - 45 days
Coal plants - 0.5ml/kWh
O&M reduced by 1% p.a. for efficiency
HDVC line - 96% availability
AC systems - 99%
SBI Base Rate (~9.3%) + 150bps
Source: MOSL, Company
Risk of not getting extension to generation PPAs beyond 2018
TPWR’s Mumbai regulated generation assets have capacity of 1,877MW, which
comprises of 1,400MW (unit 5, 6, 7 and 8 - a mix of oil/gas/coal) and 447MW of
hydro assets. It has signed PPAs with Tata Power Mumbai Distribution and BEST,
which will expire in March 2018. We see a risk that PPAs for some of these units will
be not be extended. Except for the hydro assets, the other units have a variable
generation cost of more than INR3/kW. In its tariff filings, the company has not
sought extension of the PPA for Unit 6 (500MW) as it is in stand-by mode and rarely
used. The commission has asked TPWR to justify why the other units continue to be
the cheapest source of power, and why competitive bids should not be evaluated
when current PPAs expire. What benefits TPWR is that there are transmission
constraints in sourcing power from outside Mumbai, which could force extension of
the PPAs despite them not being competitive. However, we believe transmission
capacity can be enhanced in a couple of years through investment rather than
justifying extending the terms of uncompetitive PPAs.
The regulated equity of generation assets was ~INR19b, which represents ~50% of
the Mumbai business’ total regulated equity of ~INR38b in FY16. If PPAs are not
renewed, we see a significant risk to earnings of the standalone business. Our
estimates do not factor in this risk.
Generation business’
regulated equity represents
~50% of Mumbai’s
regulated equity; significant
risk to earnings if PPAs
expiring in March 2018 are
not extended
Exhibit 12: Mumbai generation business regulated equity as share of total
FY16 - INR b
~50% of regulated equity
of Mumbai business is in
generation
38
19
Generation reg. equity
Mumbai reg. equity
Source: MOSL, Company
28 April 2017
10

Tata Power
Defense: ‘Make in India’ still has time to shape up
The company’s standalone operations also include the defense business (called
Strategic Engineering Division, or SED). Tata SED is one of the few private sector
contractors for the Ministry of Defense (MoD). With most of India’s defense needs
imported until now, the government’s ‘Make in India’ campaign presents significant
growth opportunities for players like Tata SED. The MoD has selected Tata SED-led
consortium as one of the developers of the INR500b Battlefield Management
System (BMS) project. Tata SED’s revenues have grown at a CAGR of ~18% to INR5b
over FY12-16. We estimate revenue CAGR of ~15% to INR10b over FY16-20E. While
we understand that the opportunity size is huge, MoD orders have been slow to
come, primarily due to fund constraints and bureaucratic decision-making. The
‘Make in India’ concept in the private sector (defense) is still maturing and would
take some time to gather steam, in our view. Moreover, defense orders have long
gestation periods, and it will take time before any potential future order contributes
meaningfully to TPWR’s consolidated profit.
Exhibit 13: Revenue – standalone non-power (INR b)
Electronics division (defence)
Others
10
2
7
11
3
8
13
3
10
325
401
581
855
637 1,083 1,243 1,430 1,644 1,891
11.0
Exhibit 14: EBITDA – standalone non-power (INR b)
17.5
EBITDA - INR m
18.6
14.2
9.6
EBITDA margin - %
15.0 15.0 15.0 15.0 15.0
2
0
1
4
1
3
4
1
3
5
1
3
7
1
5
7
2
5
8
2
6
Source: MOSL, Company
Source: MOSL, Company
Standalone: Stricter norms to impact earnings growth
We expect standalone business EBITDA to be impacted by slower capex growth in
the regulated business and lower incentives (as operating norms become stricter).
The impact could be partially mitigated by strong growth in defense and O&M
services, but would not be enough to offset the impact on its core operations. We
estimate standalone EBITDA to decline from INR26.6b (includes certain one-offs) in
FY16 to INR23.3b in FY17, and gradually grow to INR25.2b by FY20E.
Standalone core earnings
will be impacted on stricter
norms and slow growth in
regulated business
Exhibit 15: Standalone EBITDA – INR b
Standalone EBITDA - INR b
26.6
22.9
20.2
17.8
23.3
21.1
24.1
24.7
25.2
FY12
FY13
FY14
FY15
FY16
FY17E
FY18E
FY19E
FY20E
Source: MOSL, Company
28 April 2017
11

Tata Power
Delhi: Low RoEs on capital under-recovery
Delhi’s net asset model is structurally low-growth, but less capital intensive
The Delhi regulated distribution business is based on net asset model (as against
typical gross asset model followed by the CERC and most other state regulators for
regulated businesses). Under gross model, the regulated equity on which companies
earn RoE is ~30% of gross assets (30% of annual capex is addition to regulated equity
for the year). However, under net model, regulated equity is ~30% of net assets (i.e.
30% of depreciation for the year is also deducted from regulated equity). The net
asset model allows for re-use of capital, in effect lowering the incremental capital
and thus the absolute incremental earnings as compared to the gross asset model.
The RoE profile, however, in both the business models are similar.
Physical verification of assets leading to capital under-recovery
The Delhi regulator has disallowed a significant portion of TPWR’s investment in the
Delhi distribution circle. While gross block claimed by the company was ~INR56b in
FY16, the regulator has approved only ~INR42b. Similarly, while TPWR claims
regulatory assets of ~INR47b, the regulator has allowed only ~INR29b. Thus, while
the company’s total investment claim is ~INR103b, the regulator has approved only
~INR71b. The gap is primarily due to pending physical verification of assets and
disallowances of certain expenses. As earnings are based on approved
capex/expenses, the gap is causing under-recovery at Delhi and thus impacting
earnings and RoEs.
~30% of the company’s
investment is stuck due to
regulatory disallowance
Exhibit 16: TPWR Delhi: Claimed and approved gross block and regulatory assets
Gross fixed assets FY16 - INR b
103
47
Regulatory assets FY16 - INR b
71
29
56
42
Approved
Source: MOSL, Company
Claimed
Earnings growth to moderate as regulatory assets are recovered
TPWR Delhi earns RoE even on the equity component (@ 30%) of regulatory assets
(unlike Mumbai where it earns only debt returns). According to the National Tariff
Policy (NTP) 2016, regulatory assets are to be eliminated over next few years. The
increase in regulatory assets over last few years in TPWR Delhi drove regulated
equity base higher, driving earnings. However, with drawdown in the regulatory
asset base as per the NTP, regulated equity is expected to decline, leading to lower
earnings.
28 April 2017
12

Tata Power
Declining regulatory assets
in Delhi will impact earnings
Exhibit 17: TPWR Delhi regulatory asset gap (as approved)
Regulatory asset (as approved) - INR b
31
34
34
31
29
16
7
2
FY08
2
FY09
FY10
FY11
FY12
FY13
FY14
FY15
FY16
Source: MOSL, Company
Inferior RoEs and muted PAT due to under-recovery and lower regulatory
assets
TPWR Delhi’s RoEs declined from ~15-19% in FY11-13 to ~10% in FY16 due to under-
recovery on investments. Attributable PAT (ex-minority for TP) ranged from
~INR1.3-1.7b over this period. We expect the trend to continue, with RoEs of ~11-
12% over FY17-20E and PAT at ~INR1.7b, unless there is a favorable outcome of
physical verification of assets. TPWR Delhi follows low-growth net asset model (as
discussed earlier), with earnings growth is further constrained by a decline in
regulatory assets (and resultantly regulated equity).
TPWR Delhi’s RoE and
earnings likely to remain
muted due to under-
recovery on investments
and muted regulated equity
growth
Exhibit 18: TPWR Delhi’s attributable PAT (ex-minority shareholding) and RoE
Attributable adj. PAT - INR b
19.6
16.6
15.2
14.7
13.7
10.0
12.3
11.9
11.6
11.2
RoE - %
1.3
FY11
1.7
FY12
1.6
FY13
1.7
FY14
1.7
FY15
1.3
FY16
1.7
FY17E
1.7
FY18E
1.7
FY19E
1.7
FY20E
Source: MOSL, Company
Regulated business: Growth slowing
Besides the distribution business, the other regulated business of TWPR are the
Maithon Power Plant (1,050MW, 74% stake), Powerlinks Transmission (51% stake)
and IEL (captive power plants, 74% stake).
We estimate attributable PAT of Maithon Power plant to increase from INR1.4b
in FY16 to INR2.3b by FY19E on full benefit of the remaining 150MW PPA signed
in FY16 and capitalization of pending capex.
IEL attributable PAT is estimated to increase from INR0.5b in FY16 to INR0.8b by
FY19E on commissioning of capacity at Kalinganagar.
Powerlinks Transmission attributable PAT would remain steady at INR0.5b
13
28 April 2017

Tata Power
We estimate TWPR’s regulated business would represent ~64% of the consolidated
PAT in FY18E. We estimate only a modest ~5% cagr growth in PAT of regulated
business over FY16-19E on slowing growth in the electricity distribution business.
Exhibit 19: Regulated business share of PAT – FY18E
Exhibit 20: PAT by nature of business – INR b
Regulated
PAT by business - INR b
Others
36%
Regulated
64%
15.6
11.5
10.0
10.2
11.7
11.7
11.9
18.2
Others
18.9
20.0
Source: MOSL, Company
Source: MOSL, Company
28 April 2017
14

Tata Power
Mundra – Court denies tariff relief
Fuel cost under recoveries and declining fixed charge are key drags
Mundra UMPP was an aggressively bid out project by TPWR which is driving losses.
The fixed portion of the tariff is not enough to recovery of a reasonable IRR, implying
profitability of the project was hedged on coal prices.
The implication of an aggressive bid was exacerbated by the change in Indonesian law
for supply for coal. TPWR had entered into fixed price supply contract with Indonesian
mines, which become void due to change in law.
The Supreme Court has denied any tariff relief to Mundra.
We expect fuel cost under-recovery of ~INR14-15b in FY18/19E @ USD60/t Indonesian
5,400kCal coal prices.
EBITDA is estimated at ~INR6b in FY18/19E declining gradually and turning negative in
the final years of the PPA term due to rising under-recoveries as coal prices increase,
increase in O&M and decline in fixed capacity charge.
At 8.5% cost of debt we estimate the NPV of Mundra UMPP is negative INR5b.
The Mundra power plant is a 4,000MW UMPP won by TPWR under case-2 reverse
bidding in 2008. The project was gradually commissioned from FY12. It relies on
imported coal for fuel. Under case-2 bidding, companies bid for escalable and non-
escalable capacity, fuel, transport and other charges for each year of the project life.
The escalation rate is calculated by the CERC every six months.
While change in coal supply
rules by Indonesia did
impact Mundra’s
performance, the bigger
cause was the initial
aggressive bid
The Mundra UMPP has been a drag on the company’s operations, generating only
INR28b in EBITDA since its commissioning in FY12 on gross investment of ~INR190b.
The under-performance at Mundra is due to the initial aggressive bid to secure the
PPA. This was further exacerbated with the change in Indonesian law for coal supply
in 2012 (TPWR has secured coal mines in Indonesia to run the Mundra power plant).
The Indonesian law for coal supply was changed in 2012 which made all sale
contracts compulsorily linked to a benchmark market determined coal price, thus
nullifying all fixed-price coal supply agreements entered by companies.
Aggressive bid – primary cause of drag at Mundra
TPWR bid ~INR0.9/kWh as capacity charge, which declines to ~INR0.6/kWh over
last six years of the bid. The capacity charge in a bid should be so designed that
it is able to recovers the capital and other fixed costs of running the plant
irrespective of the plant getting schedule to run. However, in case of TPWR
Mundra assuming maximum potential generation, the quoted fixed charge and
INR2b on annual maintenance capex, the project IRR is just ~7%. The bid was
extremely aggressive from the beginning.
28 April 2017
15

Tata Power
Exhibit 21: Mundra UMPP fixed recovery – INR/kWh
Fixed charge less O&M - INR/kWh
Exhibit 22: Mundra UMPP fixed recovery and IRR
Fixed charge recovery (net of O&M and INR2b in annual capex) -
INR b
IRR of ~7%
on
gross block of
INR190b in
FY14
Source: MOSL, Company
Source: MOSL, Company
TPWR was aggressive even in bidding for fuel cost. When bidding in 2008, it kept
~55% of fuel cost fixed and remaining ~45% was linked to movement in
international coal prices. However, it hedged back-to-back at fixed cost only
~35% of its coal requirement. This basic flaw in its bid exposed it to significant
increase in coal prices. Thus, even if Indonesian law had not changed, we believe
in an inflationary coal price situation, TPWR would have gained revenue benefit
only on 45% of its generation, but cost would have increased on 65% of
generation, driving under-recovery at Mundra.
With change in Indonesian law in 2012 to supply of coal at market-determined
prices, TPWR’s fixed coal purchase contract became void, exposing it to volatility
on its full coal cost (as against 65% had the law not changed).
The Supreme Court denies tariff relief for losses at Mundra
After a number of years of litigation seeking relief, the Supreme Court in a judgment
dated April 11
th
, 2017 denied any tariff relief for the losses at Mundra. The Court
said that
The change in Indonesian law is not a Force Majeure event as it does not impact
TPWR Mundra’s delivery on the contract
It is not a change in law event unless the event pertains to India
And, the PPA conditions do not require the developer to source coal from
Indonesia. The developer is free to source coal from any other country, if the
law in Indonesia has changed. The responsibility of sourcing coal was of the
developer and not the DISCOMs and thus any benefit/impact cannot be
transferred on to the DISCOMs.
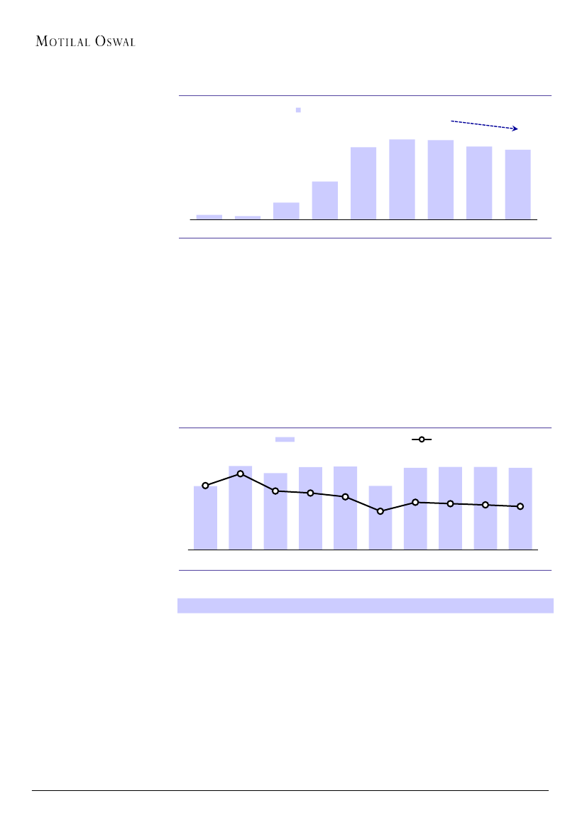
EBITDA to decline on increasing coal prices, O&M and lower fixed charge
We estimate Mundra to have a fuel cost under-recovery of ~INR14-15b in FY18/19E
@ USD60/t Indonesia 5,400kCal FoB coal price. EBITDA is estimated at ~INR6b. WE
estimate the EBITDA to decline gradually and turn a significant negative by the end
of the PPA term in FY37 driven by
(a) Increase in fuel cost under-recovery due to ~2% annual expected increase in
coal prices. With inflation, the under-recovery at Mundra increases at a higher
rate due to the structure of escalable and non-escalable fuel charge in tariff.
(b) Increase in O&M expenses by ~3% annual, lower than the expected inflation
expectation for India
28 April 2017
16

Tata Power
(c) And a flat fixed capacity charge recovery which declines sharply in the last few
years of the PPA
The NPV of the EBITDA @8.5% cost of debt fund is estimated at negative ~INR5b.
Even including the proportionate share of profit of coal assets (i.e. profit for the
share of coal consumed by Mundra to total coal mining volumes) the NPV is
~INR98b. This compares to the net debt of ~INR151b in FY18E.
Exhibit 23: Mundra EBITDA
Mundra EBITDA - INR b
3 5
9
11
6 6 5 5 4 3 3 2 1 1
0 -1 -2 -3 -4
-4
-12 -14
-11
-16
-13
-15
-8
-15
-9
-3
-11
Exhibit 24: Mundra PAT
PAT - INR b
-12
-12
-12
Source: MOSL, Company
Source: MOSL, Company
Options being evaluated to reduce losses
Post the Supreme Court judgment TPWR is evaluation various alternatives to reduce
the losses at Mundra. It includes:
Sourcing coal from some other countries where it can be sourced cheaply than
Indonesia. We believe the sea-borne market is well inter-linked. The gains, if
any, will be limited.
Using the losses at Mundra to get income tax offset at some of the profit making
operations. This could drive some gains. However, the opportunity size is
limited. Most of the profits making operations of TPWR are regulated nature
where any tax savings is a pass-through in tariff. Renewable energy business is
an option but considering TPWR’s long-term goal to divest this business in a
separate entity, clubbing the volatility of Mundra would not be a favorable
choice.
28 April 2017
17

Tata Power
Coal – tide has turned
Coal business profit to double led by higher coal prices
The decline in coal prices over past few years has been a major drag on the company’s
performance. EBITDA from coal assets declined from INR23b in FY12 to INR13b in FY16
on account of lower coal prices.
Coal prices have recovered from lows of ~USD50/t due to China’s policy actions. China,
which consumes more than 50% of global coal, has constrained local production to
improve supply/profitability of local mines.
We estimate thermal coal prices for 6,000kCal coal to stabilize around USD70/t
(Indonesian coal trades at a discount), in line with the policy limits set by China.
TPWR’s EBITDA from coal assets is expected to double from INR13b in FY16 to INR25b
in FY17/18, led by higher prices and production. The coal business is a key driver of
improvement in the company’s consolidated earnings.
TPWR has invested in thermal coal mines with cumulative annual production of ~80-
90mt. It operates as a JV partner (with a 26-30% stake) in all its coal assets. The
objective of investing in coal mines was to hedge its imported coal requirement at
Mundra UMPP, Tata Trombay Power Plant and other planned imported coal-based
plants. However, the plans for other imported coal-based plants (other than
Mundra) have since been shelved, resulting in the company turning net long in
thermal coal. TPWR effectively produces ~24-27mt of coal annually (@30% stake),
as against its requirement of ~10mt at Mundra, resulting in ~14-17mt net long
position in coal.
Exhibit 25: TPWR overseas coal assets
Coal assets
Kaltim
Arutmin
BSSR
Stake
%
30
30
26
Production
est. - mt
50 - 60
20 - 30
7-8
Source: MOSL, Company
TPWR invested ~USD1.1b in 2007 toward acquiring coal assets. The investment has
been profitable, having generated ~USD2.6b in effective EBITDA over FY08-16. At
the peak of post-crisis coal price in FY12, EBITDA from coal represented ~45% of the
company’s consolidated EBITDA.
Exhibit 26: Coal EBITDA and benchmark prices
Coal EBITDA - INR m
77
89
70
64
55
47
Indocoal 5,400kCal - USD/t
38
Exhibit 27: Coal’s share of consolidated EBITDA – %
Coal's share of consol. EBITDA - %
46
40
26
18
32
24
22
14
5
16
12
19
23
21
16
14
13
FY08
FY09
FY10
FY11
FY12
FY13
FY14
FY15
FY16
FY08 FY09 FY10 FY11 FY12 FY13 FY14 FY15 FY16
Source: MOSL, Company
Source: MOSL, Company
28 April 2017
18

Tata Power
The contribution from coal assets, however, has declined sharply since its peak in
FY12 due to a fall in global coal prices. Coal EBITDA dropped from INR23b in FY12 to
INR13b in FY16, while as a share of consolidated EBITDA, it has declined from 46% to
just 14%. The decline in profitability of coal assets has been one of the key drivers of
the company’s under-performance over past few years.
Recovery in coal prices on China’s policy action
Global thermal coal prices have recovered from their lows of ~USD50/t in 1Q-
2QCY16 to more than USD80/t (Richards Bay FoB, 6,000kCal). While overall
sentiment for coal remains negative amid rising affordability of renewables, two
factors have driven the recent sharp increase in coal prices: (i) increase in coal
demand in China and (ii) production restrictions in China. We note that as China
consumes ~50% of global coal, its actions have significant influence on prices. We
estimate thermal coal prices for 6,000kCal coal to stabilize around USD70/t
(Indonesian coal trades at a discount), in line with policy limits set by China.
China consumes ~50% of
global coal and thus has
significant influence on
global prices
Exhibit 28: Share of global coal consumption by China (in Mtoe terms) - %
Others, 50
China, 50
Source: MOSL, BP
Exhibit 29: Coal imports in China are rising
Coal imports (mt)
YoY (%)
16%
52%
67%
64%
Exhibit 30: On demand and production cuts
-1
-3
0
Coal Production (YoY %)
-5
-11
-16 -17
-13
-11
-12 -12
-5
-3
Source: MOSL, Company
Source: MOSL, Company
Operating efficiency has improved led by cost cuts
Amid falling global coal prices, TPWR’s coal mines have significantly trimmed
production cost, partially offsetting the impact of lower prices. Reported cost of
goods sold (COGS) has declined from USD39/t in FY14 to USD27/t in FY17. While
COGS is likely to increase as thermal coal prices and certain input costs (like diesel)
rise, we expect the company coal mines to largely maintain their margins.
28 April 2017
19

Tata Power
Operating efficiencies,
exchange rate and lower
input prices drove COGS
lower. We expect cost
efficiencies to be largely
retained even at higher coal
prices
Exhibit 31: TPWR’s coal mines’ COGS, and Indonesia 5,400kCal benchmark coal prices
Indonesia 5,400kCal benchmark - USD/t
39
33
30
32
COGS - USD/t
33
33
27
64
FY14
55
FY15
47
FY16
56
FY17E
60
FY18E
61
FY19E
62
FY20E
Source: MOSL, Company
Higher coal prices to boost profitability
We estimate profitability of TPWR’s coal business to almost double from INR13b in
FY16 to INR25b in FY17, led by higher coal prices and higher production. Coal
business is the key driver of improvement in the company’s consolidated
performance.
Exhibit 32: Coal business EBITDA – INR b
89
Coal business EBITDA - INR b
70
64
Indonesia 5,400kCal benchmark - USD/t
60
61
62
55
47
56
23
FY12
21
FY13
16
FY14
14
FY15
13
FY16
22
FY17E
25
FY18E
25
FY19E
25
FY20E
Source: MOSL, Company
Sale of Arutmin and related assets not factored in
TPWR entered into an agreement with Indonesia’s Bakrie Group in November 2016
for sale of its 30% stake in PT Arutmin coal mining assets along with related
infrastructure. Aggregate consideration is ~USD400m, which is expected to be
received in a phased manner. While specific details are not available, we believe the
transaction should be value-accretive as Arutmin mines have high operating cost (in
FY16, Arutmin reported PAT loss of INR1.3b). We, however, have not factored in the
deal in our estimates due to the history of the transaction. The sale of Arutmin was
first agreed in January 2014, but due to certain legal issues and unhealthy financial
condition of the buyer, the transaction was delayed. We will factor in the deal in our
estimates once the first tranche of purchase consideration is received by the
company.
28 April 2017
20

Tata Power
Overseas generation – will now start delivering
Assets commissioning in FY17-18
TPWR has also invested in generation assets outside India. It has invested in three
projects (total of ~USD1b), where it is a partner with 40-50% stake.
Exhibit 33: TPWR overseas generation assets
Plant
Georgia
South Africa
Zambia
Hydro
Wind
Hydro
Capacity
MW
185
229
120
TP stake
%
40
40
40
Project cost
USD m
404
500
200
Comm.
FY18
FY17
FY17
Profile
Merchant basis
20 years PPA
25 years PPA
Source: MOSL, Company
The plants will be commissioned in FY17-FY18. We estimate EBITDA from overseas
generation assets to increase from ‘nil’ in FY16 to INR4.6b by FY19. Capital
employed in overseas generation represents ~4-5% of the company’s consolidated
capital employed. We estimate overseas assets to generate RoE of ~14%.
Exhibit 34: EBITDA from overseas generation
EBITDA overseas generation - INR b
4.5
3.7
4.2
4.6
4.5
Exhibit 35: Capital employed in overseas generation
Overseas generation capital employed - INR b
% of consolidated CE
5.0
5.0
4.8
4.6
0.0
FY16
FY17E
FY18E
FY19E
FY20E
23.1
FY16
32.7
FY17E
33.3
FY18E
32.0
FY19E
30.6
FY20E
Source: MOSL, Company
Source: MOSL, Company
28 April 2017
21

Tata Power
RE – driving growth
Interest cost arbitrage driving value in Welspun acquisition
The acquisition of Welspun assets was completed in 3QFY17. With that, TPWR was
able to create one of the largest RE businesses in India.
Better leveraging and TPWR’s credit profile are driving value in Welspun acquisition.
We estimate the Welspun acquisition to generate equity IRR of ~15%.
With one of the largest scale and strong credit profile, TPWR’s RE business has
competitive edge in sourcing debt.
The company’s RE PAT is expected to grow from INR0.2b in FY16 to INR3.5b by FY20,
led by the acquisition of Welspun, capacity addition and lower interest cost.
Share of RE in TPWR’s consolidated PAT is estimated to increase from ~2% in FY16 to
more than ~18% by FY20.
However, project IRRs would be relatively low at ~12% due to aggressive competition.
Welspun: Driving value through interest cost arbitrage
TPWR acquired Welspun’s renewable asset portfolio of 1,140MW in early FY17. The
transaction was completed by 3QFY17 at an enterprise value of ~INR 92b. The assets
include a wind plant of 146MW and solar power plants of 1,286MW. While specific
capital cost (on transaction value) is significantly higher at INR81m/MW relative to
replacement cost, the tariff on these plants is equivalently higher at +INR8/kWh
(compared to recent solar tariffs of INR3-4/kWh).
We estimate Welspun acquisition to generate equity IRR of ~15%. The company is
likely to generate value through better leveraging and a healthier credit profile. At
80:20 debt:equity and 7.5% cost of debt at a tax rate of ~25%, we estimate the
equity IRR on the acquisition is ~15%. Our estimates are based on detailed tariff
study of individual assets, a degradation factor for solar panels of 0.5% per annum,
and PLF on the solar plant in the first year of acquisition of 18%. The company
recently raised bonds and bridge finance at a cost of 7.5-8%. The higher tariff of
these plants does not pose off-take risk as renewable assets have a must-run status.
We estimate Welspun
acquisition to generate
equity IRR of ~15%
Exhibit 36: FCFE on Welspun assets (INR m)
Debt:Equity - 80:20
Interest cost: 7.5%
FCFE - INR m
Equity IRR - 15%
Source: MOSL, Company
28 April 2017
22

Tata Power
We estimate annual
degradation of solar panel
@0.5%, driving lower
generation over the years
Exhibit 37: Welspun assets – generation profile
Generation - MU
Source: MOSL, Company
Size and credit profile drive competitive advantage; RE driving capex
With the Welspun acquisition, TPWR has created one of the largest RE businesses in
India with capacity of ~1.8GW (excluding 500MW RE assets in standalone business).
Steady cash generation on these assets, along with the backing of TPWR’s strong
credit profile, is likely to provide its RE business a competitive cost advantage in
sourcing debt. With ~80% of capital cost in RE projects typically backed by debt,
competitive debt sourcing is a key differentiator. The company plans to annually add
~400MW of renewable generation capacity. We are building in capital cost of INR50-
55m/MW and tariff of INR5/kWh on incremental capacities. While these could
change with rapidly declining costs, we believe that in the long term TPWR RE’s
competitive cost advantage will allow it to earn IRR of ~12% on incremental
capacities, despite an extremely competitive RE market in India. However, in the
near-to-medium term reasonable IRR growth opportunities would depend on the
competition in the market. Recent solar bids suggest that developers are taking
aggressive bids on decline in solar panel prices, interest rate and probably are
comfortable with lower equity IRRs. This could hinder near-to-medium term
reasonable growth opportunities for TPWR.
We estimate 400MW
addition to RE annually
Exhibit 38: TPWR’s renewable capacity (excluding assets in standalone business)
Capacity - MW
2,234
1,834
1,434
2,634
0
FY12
0
FY13
0
FY14
164
FY15
294
FY16
FY17E
FY18E
FY19E
FY20E
Note: Excludes 500MW RE assets part of standalone operations
Source: MOSL, Company
RE getting larger at TPWR; share of PAT to increase to ~18% by FY20E
We estimate TPWR RE’s PAT to grow from INR0.2b in FY16 to INR3.5b by FY20, led
by the acquisition of Welspun, capacity addition and lower interest cost. RoE of the
business is estimated to improve from ~3% over last few years to ~10-11% by
FY19/20E. A solar project typically has a lower RoE profile in the initial few years, as
28 April 2017
23

Tata Power
interest cost takes away a larger share of operating cash flow. It increases gradually
over the years as interest cost declines. From an insignificant ~2% of TPWR’s
consolidated PAT, we estimate the share of RE to increase to ~18% by FY20. The
growth in RE would however not be RoE accretive as IRRs on RE projects is low due
to competition.
Contribution of TPWR’s RE
to consolidated PAT to
increase to ~18% by FY20E
Exhibit 39: TPWR’s renewable PAT (INR m)
PAT - INR m
3,540
2,839
2,090
1,219
10
FY12
11
FY13
44
FY14
63
FY15
193
FY16
FY17E
FY18E
FY19E
FY20E
Note: Excludes 500MW of RE assets part of standalone operations
Source: MOSL, Company
28 April 2017
24

Tata Power
RoE improving but hardly covers cost of equity
Value at 1x FY19E P/BV on low ROE and growth; Initiating with Sell
TPWR’s adjusted consolidated PAT declined from ~INR21b in FY11 to a loss of
~INR3b in FY14 before recovering partially to ~INR12b in FY16. Capital employed
during this period increased ~60% to INR553b (in FY16). RoE has languished below
~9%. A number of factors drove the under-performance:
(a) The contribution of coal, which at its peak in FY12 represented ~46% of the
consolidated EBITDA, declined to just ~14% in FY16 along with coal prices.
(b) The commissioning of loss-making Mundra UMPP, which incurred peak adj. PAT
loss of INR15b in FY14.
(c) Under-recoveries at Delhi, where PAT has languished despite doubling of capital
employed.
(d) Rise in interest cost.
Adj. PAT languished due to
lower coal prices, start of
unprofitable Mundra,
under-recovery at Delhi and
increase in interest cost
Exhibit 40: Adj. PAT contribution by major businesses – INR b
S/A (ex-rp income)
20.6
7.1
13
7
CGPL
Maithon
7.6
8
6
-8
Delhi
Others (primarily coal)
1.7
11.5
5
7
-3
-3.3
adj. PAT - INR b
5
4
-15
FY14
6
5
-4
5
2
-9
FY11
FY12
FY13
FY15
FY16
Source: MOSL, Company
The outlook for the business has somewhat improved led by increase in coal prices.
We estimate TPWR’s consolidated adj. PAT to increase by ~64% over FY16-19E to
~INR19b. The increase in PAT is also aided by growth in RE business, partially offset
by higher losses at Mundra. While earnings would improve, we expect the RoE
would remain below the cost of equity at ~10.5-11% over FY17-20E due to
significant under-recovery on Mundra UMPP and lower returns in the Mumbai
distribution business.
Improving profitability of
coal assets and
corresponding lower under-
recovery at Mundra UMPP
are key drivers for doubling
of consolidated PAT by
FY19E
Exhibit 41: Driver of consolidated PAT over FY16-19E (INR b)
Adj. PAT - INR b
11.9
11.5
PAT bridge
2.6
(8.7)
0.9
(0.4)
0.4
0.6
18.9
Source: MOSL, Company
28 April 2017
25

Tata Power
Exhibit 42: TPWR – consolidated adjusted PAT (INR b)
Adj. consolidated PAT - INR b
Exhibit 43: TPWR – consolidated adjusted RoE (%)
16.5
Adj. RoE - %
10.8 11.1 10.6 10.4
6.0
20.6
7.1
7.6
-3.3
1.7
11.5 15.6 18.2 18.9 20.0
7.0
1.4
-3.1
9.0
Source: MOSL, Company
Source: MOSL, Company
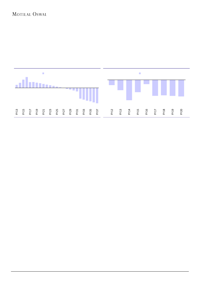
The leverage (net debt to equity) is high at ~2.7x in FY17E. It is expected to
normalize to ~2.1-2.3x by FY19/20E on increase in earnings.
Exhibit 44: Net debt to equity – x
Net debt to Equity - x
3.1
2.7
2.7
2.5
Exhibit 45: FCF (post-interest) – INR b
Adj. FCF (post interest) - INR b
INR20b WC release
2.5
2.3
2.1
-64
-40
19
0
Welspun
acq.
-78
4
7
2.9
2.4
1.5
-7
-72
-13
Source: MOSL, Company
*Does not incl. one-time CERC relief
Source: MOSL, Company
FCF generation would go into funding of RE expansion, distribution capex,
maintenance capex in coal assets and meeting the under-recoveries at Mundra.
While incremental capex is in higher RoE projects, the scale is small (less than 10%
of capital base) and the normalization of leverage is offsetting the gains. The high
leverage would impact TPWR’s ability to seek attractive growth opportunities in a
sector where most of the players are in financial stress. Coal business would
represent ~23-25% of TWPR’s consolidated EBITDA (under old accounting standards)
over FY17-20E. Such heavy reliance on volatile coal prices has its risk on the
deleveraging trajectory, increasing cost of equity
Increasing investments in RE (both organic and inorganic), slow growth in regulated
businesses and an improvement in non-regulated businesses (primarily coal) are
driving a gradual shift in TPWR’s business from regulated to unregulated. Approved
regulated equity represented ~47% of the company’s consolidated net worth in
FY16, which is expected to decline to ~34% by FY20. In terms of capital employed,
the share of regulated business is estimated to drop from ~53% in FY16 to ~44% by
FY20. The changing risk profile of the business needs to be adequately factored in
when determining TPWR’s cost of equity.
28 April 2017
26

Tata Power
Exhibit 46: Share of net worth by businesses
Regulated %
RE %
Others %
Exhibit 47: Share of capital employed by businesses
INR m
Distr. & Trans.
Gen. ex-CGPL
RE
553
19
3
29
15
25
9
FY16
Integrated utility
CGPL
Others
700
19
22
23
11
19
6
FY20
Source: MOSL, Company
667
16
19
25
13
21
7
FY18
49
4
47
FY16
45
15
39
FY18
48
17
34
FY20
Source: MOSL, Company
Exhibit 48: Contributors of PAT – INR b
Regulated
16
12
4
0
10
-3
FY16
16
1
10
-12
FY17
RE
Coal & Bal.
18
16
2
12
-11
FY18
Mundra
19
16
3
12
-12
FY19
20
17
4
12
-12
FY20
Source: MOSL, Company
Value at 1x FY19E P/BV on low RoE and growth; Initiate with Sell
At current CMP, TPWR is trading at FY19E rich P/BV of 1.2x in view of its RoE
hovering around ~11% for next 2-3 years against cost of equity of ~12%. There
are limited growth opportunities that can boost RoE. Therefore, we believe the
stock is expensive. NTPC also trades at similar valuations but its RoE is expected
to increase on strong pipeline of high RoE projects.
The FCF (pre-interest) to Enterprise value yield (the cash return to the business)
is at just ~6% against ~10% for peers.
We value the stock at 1x FY19E P/BV implying a target price of INR69/sh. With
18% downside, we initiate with Sell.
The pending sale of stake in Arutmin coal mine (INR27b) and unlocking value
from sale of quoted investments (INR12b) and the 1.65% stake in Tata Sons
would be key towards value unlocking.
TPWR’s FCF to EV yield is
lower than its peers.
Exhibit 49: FCF (pre-interest) to EV yield - %
%
9.2
5.5
CESC
10.1
6.0
Tata Power
11.3
6.4
FY18E
FY19E
FY20E
Source: MOSL, Company
28 April 2017
27

Tata Power
The stock has traded at
relatively higher P/BV
despite expectation of
lower than CoE returns on
expectation of Mundra
resolution. With clarity of
Mundra and limited
earnings growth, we expect
stock to de-rate.
Exhibit 50: 1yr fwd P/BV, RoE
2.75
2.25
1.75
1.25
0.75
P/BV (x) - lhs
RoE (%) - rhs
CoE (%) - rhs
21
17
13
9
5
Source: MOSL, Bloomberg
28 April 2017
28

Tata Power
Risks
Higher than expected coal prices:
As mentioned earlier, coal business is one of
the key contributors to TPWR’s consolidated PAT. Our base Indonesia 5,400kCal
coal price estimate is ~USD60/t. If coal prices were to be higher by USD10/t with
no change in cost of production, the RoE in FY19E would stand increased to
~14% and TP by ~INR20/sh.
Resolution of physical asset verification at Delhi distribution in favor:
the
approved regulated equity in the Delhi distribution business is lower by ~INR30b
to the invested equity, due to pending physical verification of assets. Post the
physical verification, if the matter was to be in favor of TPWR and its actual
investment is approved the adjusted PAT would be higher by ~13-15%.
Conclusion of sale of Arutmin and non-core investments:
The conclusion of sale
of Arutmin (USD400m) and non-core investments (quoted ~INR11b and non-
quoted which includes 1.65% stake in Tata Sons) can unlock value and drive
faster deleveraging.
28 April 2017
29

Tata Power
Bulls and Bears
Bull Case
Under the bull case we estimate:
Indocoal 5,400kCal coal prices to average USD65/t (in-line with spot prices) in
FY18E (rising by ~2% p.a.) as against our base case estimate of USD60/t.
Valuing the proceeds from potential realization/sale of Arutmin/Quoted
Investments and stake in Tata Sons
Arutmin - USD400m or INR10/sh.
Quoted investments - INR12b or INR5/sh.
Higher coal prices would result in a ~12% increase to the adj. PAT estimate to
INR21b in FY19E (base ~INR19b).
The target price in bull case is INR91/sh.
Bear Case
Indocoal 5,400kCal coal prices to average USD50/t (the lowest annual average)
in FY18E (rising by ~2% p.a.) as against our base case estimate of USD60/t.
Value of investments in not realized in the outlook period.
Lower coal prices would result in a 16% downside to adj. PAT estimate to
INR16b in FY19E.
The target price in bear case is INR57/sh.
Exhibit 51: Bull and Bear case
FY18E
15
5.6
62
2.5
1.4
16
Bear
FY19E
16
5.8
66
2.4
1.3
15
FY20E
17
6.2
71
2.2
1.2
14
FY18E
18
6.7
63.1
2.5
1.4
13
Base
FY19E
19
7.0
68.6
2.3
1.3
12
FY20E
20
7.4
74.4
2.1
1.2
12
FY18E
20
7.5
64
2.5
1.4
12
Bull
FY19E
21
7.8
70
2.3
1.2
11
10
5
91
FY20E
22
8.2
77
2.1
1.1
11
Adj. PAT
EPS
Book value
Debt / Equity
P/BV
P/E
Arutmin consideration
Quoted investments
Target price
INR b
INR/sh.
INR/sh.
x
x
x
INR/sh.
INR/sh.
INR/sh.
57
69
Source: MOSL, Company
28 April 2017
30

Tata Power
Financials and Valuations
Income Statement
Y/E March
Net Sales
Change (%)
Total Expenses
EBITDA
% of Net Sales
Depn. & Amortization
EBIT
Net Interest
Other income
PBT before EO
Regulatory inc./(exp)
EO expense
PBT after EO
Tax
Rate (%)
Reported PAT
Minority and Associates
Adjusted PAT
Change (%)
(INR Million)
2020E
377,827
5.3
305,665
72,161
19.1
23,723
48,438
39,928
4,395
12,905
0
0
12,905
7,227
56.0
5,678
14,370
20,048
5.9
(INR Million)
2020E
72,161
117
0
-7,227
65,052
-32,851
32,200
14,479
0
0
-18,372
0
-872
-39,928
-5,339
0
-46,139
540
22,895
23,435
2015
337,276
-5.4
274,264
63,012
18.7
21,742
41,270
36,993
4,167
8,445
6,393
0
14,837
10,749
72.4
4,088
-2,410
1,678
-150.9
2016
374,802
11.1
286,876
87,926
23.5
23,764
64,162
34,765
2,970
32,367
-10,194
2,805
19,367
8,693
44.9
10,674
-1,940
11,539
587.5
2017E
315,112
-15.9
257,654
57,458
18.2
18,597
38,861
36,467
4,895
7,289
0
0
7,289
5,315
72.9
1,975
13,619
15,594
35.1
2018E
341,566
8.4
274,445
67,121
19.7
21,299
45,821
39,887
4,395
10,329
0
0
10,329
6,036
58.4
4,293
13,930
18,224
16.9
2019E
358,733
5.0
289,198
69,535
19.4
22,536
46,998
39,933
4,395
11,460
0
0
11,460
6,625
57.8
4,835
14,091
18,925
3.9
Cash flow statement
Y/E March
EBITDA
FX gain/loss
WC
Others
Direct taxes (net)
CF from Op. Activity
Capex
FCF
Int & div income
Investments(subs/JVs)
Others
CF from Inv. Activity
Share capital
Borrowings
Finance cost
Dividend
Others
CF from Fin. Activity
(Inc)/Dec in Cash
Opening balance
Closing balance (as per B/S)
2015
63,012
-5,611
10,493
-8,085
59,809
-34,936
24,873
2,078
0
-5,891
-38,749
20,692
-1,026
-33,842
-5,121
-3,089
-22,386
-1,326
13,845
12,519
2016
87,926
20,488
-6,583
-4,295
97,536
-39,864
57,672
2,141
0
-7,044
-44,767
149
-13,037
-33,515
-5,908
-3,369
-55,680
-2,911
12,616
9,706
2017E
57,458
-8,221
8,637
-5,315
52,560
-35,000
17,560
12,167
-92,490
20,977
-94,345
0
96,440
-36,467
-5,177
0
54,796
13,011
12,108
25,119
2018E
67,121
-4
0
-6,036
61,081
-35,358
25,723
14,199
0
0
-21,159
0
3,506
-39,887
-5,339
0
-41,721
-1,798
25,178
23,379
2019E
69,535
178
0
-6,625
63,087
-33,190
29,897
14,339
0
0
-18,850
0
552
-39,933
-5,339
0
-44,721
-485
23,379
22,895
28 April 2017
31

Tata Power
Financials and Valuations
Ratios
Y/E March
Basic (INR)
EPS
Cash EPS
BV/Share
DPS
Payout (%)
Valuation (x)
P/E
Cash P/E
P/BV
EV/EBITDA
Dividend Yield (%)
FCF(pre-int) to EV yield(%)
Return Ratios (%)
RoE
RoCE (post-tax)
RoIC (post-tax)
Working Capital Ratios
Fixed Asset Turnover (x)
Asset Turnover (x)
Debtor (Days)
Inventory (Days)
Leverage Ratio (x)
Net Debt/EBITDA
Debt/Equity
2015
0.6
8.7
46.4
1.3
209.5
124.3
8.9
1.7
10.1
1.7
3.3
1.4
6.1
2.7
0.9
0.6
60
20
6.4
2.7
2016
4.3
13.1
48.5
1.3
30.5
15.2
5.0
1.3
6.8
2.0
8.8
9.0
9.9
8.0
0.9
0.6
51
18
4.5
2.5
2017E
5.8
12.6
58.0
1.3
22.5
14.6
6.6
1.4
12.5
1.5
-5.8
10.8
5.9
2.3
0.8
0.4
38
14
8.2
2.7
2018E
6.7
14.6
63.1
1.3
19.3
12.5
5.7
1.3
10.8
1.5
5.5
11.1
6.1
3.9
0.8
0.5
38
13
7.1
2.5
2019E
7.0
15.3
68.6
1.3
18.6
12.0
5.5
1.2
10.4
1.5
6.1
10.6
6.1
4.0
0.8
0.5
38
13
6.9
2.3
2020E
7.4
16.2
74.4
1.3
17.5
11.3
5.2
1.1
10.1
1.5
6.4
10.4
6.0
4.2
0.8
0.5
38
13
6.6
2.1
(INR Million)
2020E
2,705
198,634
201,339
22,311
507,942
30,907
762,499
665,783
218,066
447,717
21,750
16,982
178,998
237,281
13,170
39,849
31,750
152,513
140,230
51,757
88,473
97,052
762,499
Balance Sheet
Y/E March
Share Capital
Reserves
Net Worth
Minority Interest
Total Loans
Deferred Tax Liability
Capital Employed
Gross Block
Less: Accum. Deprn.
Net Fixed Assets
Capital WIP
Goodwill
Investments
Curr. Assets
Inventories
Account Receivables
Cash and Bank Balance
Others
Curr. Liability & Prov.
Account Payables
Provisions & Others
Net Curr. Assets
Appl. of Funds
2015
2,705
122,716
125,421
24,926
423,419
14,014
587,779
583,351
202,217
381,133
36,505
66,258
27,326
243,207
18,442
55,640
21,064
148,062
166,650
52,354
114,296
76,557
587,779
2016
2,705
128,434
131,139
25,814
416,209
14,875
588,037
617,804
202,550
415,254
45,441
46,767
28,855
240,748
18,061
52,042
16,740
153,905
189,029
61,277
127,752
51,720
588,037
2017E
2,705
154,096
156,800
18,205
504,757
30,907
710,669
564,384
150,507
413,877
21,750
16,982
158,974
230,605
11,801
32,799
33,493
152,513
131,520
43,048
88,473
99,085
710,669
2018E
2,705
168,100
170,805
19,652
508,263
30,907
729,626
599,741
171,807
427,935
21,750
16,982
165,668
232,553
12,476
35,870
31,694
152,513
135,262
46,790
88,473
97,291
729,626
2019E
2,705
182,806
185,511
20,991
508,814
30,907
746,223
632,931
194,343
438,589
21,750
16,982
172,273
234,243
12,794
37,726
31,210
152,513
137,614
49,141
88,473
96,629
746,223
28 April 2017
32

REPORT GALLERY
RECENT INITIATING COVERAGE REPORTS
Rs

Disclosures
This document has been prepared by Motilal Oswal Securities Limited (hereinafter referred to as Most) to provide information about the company (ies) and/sector(s), if any, covered in the report and may be distributed by it
and/or its affiliated company(ies). This report is for personal information of the selected recipient/s and does not construe to be any investment, legal or taxation advice to you. This research report does not constitute an
offer, invitation or inducement to invest in securities or other investments and Motilal Oswal Securities Limited (hereinafter referred as MOSt) is not soliciting any action based upon it. This report is not for public distribution
and has been furnished to you solely for your general information and should not be reproduced or redistributed to any other person in any form. This report does not constitute a personal recommendation or take into
account the particular investment objectives, financial situations, or needs of individual clients. Before acting on any advice or recommendation in this material, investors should consider whether it is suitable for their
particular circumstances and, if necessary, seek professional advice. The price and value of the investments referred to in this material and the income from them may go down as well as up, and investors may realize losses
on any investments. Past performance is not a guide for future performance, future returns are not guaranteed and a loss of original capital may occur.
MOSt and its affiliates are a full-service, integrated investment banking, investment management, brokerage and financing group. We and our affiliates have investment banking and other business relationships with a some
companies covered by our Research Department. Our research professionals may provide input into our investment banking and other business selection processes. Investors should assume that MOSt and/or its affiliates are
seeking or will seek investment banking or other business from the company or companies that are the subject of this material and that the research professionals who were involved in preparing this material may educate
investors on investments in such business . The research professionals responsible for the preparation of this document may interact with trading desk personnel, sales personnel and other parties for the purpose of
gathering, applying and interpreting information. Our research professionals are paid on twin parameters of performance & profitability of MOSt.
MOSt generally prohibits its analysts, persons reporting to analysts, and members of their households from maintaining a financial interest in the securities or derivatives of any companies that the analysts cover.
Additionally, MOSt generally prohibits its analysts and persons reporting to analysts from serving as an officer, director, or advisory board member of any companies that the analysts cover. Our salespeople, traders, and
other professionals or affiliates may provide oral or written market commentary or trading strategies to our clients that reflect opinions that are contrary to the opinions expressed herein, and our proprietary trading and
investing businesses may make investment decisions that are inconsistent with the recommendations expressed herein. In reviewing these materials, you should be aware that any or all of the foregoing among other things,
may give rise to real or potential conflicts of interest. MOSt and its affiliated company(ies), their directors and employees and their relatives may; (a) from time to time, have a long or short position in, act as principal in, and
buy or sell the securities or derivatives thereof of companies mentioned herein. (b) be engaged in any other transaction involving such securities and earn brokerage or other compensation or act as a market maker in the
financial instruments of the company(ies) discussed herein or act as an advisor or lender/borrower to such company(ies) or may have any other potential conflict of interests with respect to any recommendation and other
related information and opinions.; however the same shall have no bearing whatsoever on the specific recommendations made by the analyst(s), as the recommendations made by the analyst(s) are completely independent
of the views of the affiliates of MOSt even though there might exist an inherent conflict of interest in some of the stocks mentioned in the research report
Reports based on technical and derivative analysis center on studying charts company's price movement, outstanding positions and trading volume, as opposed to focusing on a company's fundamentals and, as such, may not match with a report on a
company's fundamental analysis. In addition MOST has different business segments / Divisions with independent research separated by Chinese walls catering to different set of customers having various objectives, risk profiles, investment horizon,
etc, and therefore may at times have different contrary views on stocks sectors and markets.
Unauthorized disclosure, use, dissemination or copying (either whole or partial) of this information, is prohibited. The person accessing this information specifically agrees to exempt MOSt or any of its affiliates or employees
from, any and all responsibility/liability arising from such misuse and agrees not to hold MOSt or any of its affiliates or employees responsible for any such misuse and further agrees to hold MOSt or any of its affiliates or
employees free and harmless from all losses, costs, damages, expenses that may be suffered by the person accessing this information due to any errors and delays. The information contained herein is based on publicly
available data or other sources believed to be reliable. Any statements contained in this report attributed to a third party represent MOSt’s interpretation of the data, information and/or opinions provided by that third party
either publicly or through a subscription service, and such use and interpretation have not been reviewed by the third party. This Report is not intended to be a complete statement or summary of the securities, markets or
developments referred to in the document. While we would endeavor to update the information herein on reasonable basis, MOSt and/or its affiliates are under no obligation to update the information. Also there may be
regulatory, compliance, or other reasons that may prevent MOSt and/or its affiliates from doing so. MOSt or any of its affiliates or employees shall not be in any way responsible and liable for any loss or damage that may
arise to any person from any inadvertent error in the information contained in this report. MOSt or any of its affiliates or employees do not provide, at any time, any express or implied warranty of any kind, regarding any
matter pertaining to this report, including without limitation the implied warranties of merchantability, fitness for a particular purpose, and non-infringement. The recipients of this report should rely on their own
investigations.
This report is intended for distribution to institutional investors. Recipients who are not institutional investors should seek advice of their independent financial advisor prior to taking any investment decision based on this
report or for any necessary explanation of its contents.
Most and it’s associates may have managed or co-managed public offering of securities, may have received compensation for investment banking or merchant banking or brokerage services, may have received any
compensation for products or services other than investment banking or merchant banking or brokerage services from the subject company in the past 12 months.
Most and it’s associates have not received any compensation or other benefits from the subject company or third party in connection with the research report.
Subject Company may have been a client of Most or its associates during twelve months preceding the date of distribution of the research report
MOSt and/or its affiliates and/or employees may have interests/positions, financial or otherwise of over 1 % at the end of the month immediately preceding the date of publication of the research in the securities mentioned
in this report. To enhance transparency, MOSt has incorporated a Disclosure of Interest Statement in this document. This should, however, not be treated as endorsement of the views expressed in the report.
Motilal Oswal Securities Limited is registered as a Research Analyst under SEBI (Research Analyst) Regulations, 2014. SEBI Reg. No. INH000000412
Pending Regulatory inspections against Motilal Oswal Securities Limited:
SEBI pursuant to a complaint from client Shri C.R. Mohanraj alleging unauthorized trading, issued a letter dated 29th April 2014 to MOSL notifying appointment of an Adjudicating Officer as per SEBI regulations to hold inquiry
and adjudge violation of SEBI Regulations; MOSL replied to the Show Cause Notice whereby SEBI granted us an opportunity of Inspection of Documents. Since all the documents requested by us were not covered we have
requested to SEBI vide our letter dated June 23, 2015 to provide pending list of documents for inspection.
List of associate companies of Motilal Oswal Securities Limited -Click
here to access detailed report
Analyst Certification
The views expressed in this research report accurately reflect the personal views of the analyst(s) about the subject securities or issues, and no part of the compensation of the research analyst(s) was, is, or will be directly or
indirectly related to the specific recommendations and views expressed by research analyst(s) in this report. The research analysts, strategists, or research associates principally responsible for preparation of MOSt research
receive compensation based upon various factors, including quality of research, investor client feedback, stock picking, competitive factors and firm revenues
Tata Power
Disclosure of Interest Statement
Analyst ownership of the stock
No
Served as an officer, director or employee -
No
A graph of daily closing prices of securities is available at www.nseindia.com and http://economictimes.indiatimes.com/markets/stocks/stock-quotes
Regional Disclosures (outside India)
This report is not directed or intended for distribution to or use by any person or entity resident in a state, country or any jurisdiction, where such distribution, publication, availability or use would be contrary to law,
regulation or which would subject MOSt & its group companies to registration or licensing requirements within such jurisdictions.
For Hong Kong:
This report is distributed in Hong Kong by Motilal Oswal capital Markets (Hong Kong) Private Limited, a licensed corporation (CE AYY-301) licensed and regulated by the Hong Kong Securities and Futures
Commission (SFC) pursuant to the Securities and Futures Ordinance (Chapter 571 of the Laws of Hong Kong) “SFO”. As per SEBI (Research Analyst Regulations) 2014 Motilal Oswal Securities (SEBI Reg No. INH000000412) has
an agreement with Motilal Oswal capital Markets (Hong Kong) Private Limited for distribution of research report in Kong Kong. This report is intended for distribution only to “Professional Investors” as defined in Part I of
Schedule 1 to SFO. Any investment or investment activity to which this document relates is only available to professional investor and will be engaged only with professional investors.” Nothing here is an offer or solicitation
of these securities, products and services in any jurisdiction where their offer or sale is not qualified or exempt from registration. The Indian Analyst(s) who compile this report is/are not located in Hong Kong & are not
conducting Research Analysis in Hong Kong.
For U.S.
Motilal Oswal Securities Limited (MOSL) is not a registered broker - dealer under the U.S. Securities Exchange Act of 1934, as amended (the"1934 act") and under applicable state laws in the United States. In addition MOSL is
not a registered investment adviser under the U.S. Investment Advisers Act of 1940, as amended (the "Advisers Act" and together with the 1934 Act, the "Acts), and under applicable state laws in the United States.
Accordingly, in the absence of specific exemption under the Acts, any brokerage and investment services provided by MOSL, including the products and services described herein are not available to or intended for U.S.
persons.
This report is intended for distribution only to "Major Institutional Investors" as defined by Rule 15a-6(b)(4) of the Exchange Act and interpretations thereof by SEC (henceforth referred to as "major institutional investors").
This document must not be acted on or relied on by persons who are not major institutional investors. Any investment or investment activity to which this document relates is only available to major institutional investors
and will be engaged in only with major institutional investors. In reliance on the exemption from registration provided by Rule 15a-6 of the U.S. Securities Exchange Act of 1934, as amended (the "Exchange Act") and
interpretations thereof by the U.S. Securities and Exchange Commission ("SEC") in order to conduct business with Institutional Investors based in the U.S., MOSL has entered into a chaperoning agreement with a U.S.
registered broker-dealer, Motilal Oswal Securities International Private Limited. ("MOSIPL"). Any business interaction pursuant to this report will have to be executed within the provisions of this chaperoning agreement.
The Research Analysts contributing to the report may not be registered /qualified as research analyst with FINRA. Such research analyst may not be associated persons of the U.S. registered broker-dealer, MOSIPL, and
therefore, may not be subject to NASD rule 2711 and NYSE Rule 472 restrictions on communication with a subject company, public appearances and trading securities held by a research analyst account.
For Singapore
Motilal Oswal Capital Markets Singapore Pte Limited is acting as an exempt financial advisor under section 23(1)(f) of the Financial Advisers Act(FAA) read with regulation 17(1)(d) of the Financial Advisors Regulations and is a
subsidiary of Motilal Oswal Securities Limited in India. This research is distributed in Singapore by Motilal Oswal Capital Markets Singapore Pte Limited and it is only directed in Singapore to accredited investors, as defined in
the Financial Advisers Regulations and the Securities and Futures Act (Chapter 289), as amended from time to time.
In respect of any matter arising from or in connection with the research you could contact the following representatives of Motilal Oswal Capital Markets Singapore Pte Limited:
Varun Kumar
Varun.kumar@motilaloswal.com
Contact : (+65) 68189232
Office Address:21 (Suite 31),16 Collyer Quay,Singapore 04931
TATA POWER CO
Motilal Oswal Securities Ltd
28 April 2017
Motilal Oswal Tower, Level 9, Sayani Road, Prabhadevi, Mumbai 400 025
Phone: +91 22 3982 5500 E-mail: reports@motilaloswal.com
34