Piramal Enterprises
BSE SENSEX
30,435
S&P CNX
9,429
18 May 2017
Update
| Sector:
Financials
CMP: INR2,798
TP: INR3,044 (+9%)
Buy
Capitalizing on multiple opportunities
NBFC and Pharma are key value drivers
Our Initiating coverage report on
Piramal Enterprises
Stock Info
Bloomberg
Equity Shares (m)
52-Week Range (INR)
1, 6, 12 Rel. Per (%)
M.Cap. (INR b)
M.Cap. (USD b)
Avg Val, INRm
Free float (%)
PIEL IN
172.6
2942 / 1322
20/77/81
488.5
7.5
291
48.6
Piramal Enterprises (PIEL) has carved a niche for itself in wholesale lending, and is
now one of the dominant players in most of the segments in which it operates. In the
lending business, the company has one of the lowest GNPAs and the highest
profitability. Post the initial years of lower-tenure loan book, PIEL is moving toward
secured and higher-tenure products, which provides support to growth. We expect a
40% loan CAGR in the NBFC business.
The Pharma business has demonstrated strong growth and improvement in
profitability in recent years. With its focus on building a portfolio via inorganic
acquisitions and the impending closure of the imaging business, we expect a sharp
improvement in profitability.
Over last five years, the stock has delivered 44% CAGR returns, and since our
initiation three months ago (Initiation
report),
it has run up 54%. Led by strong macro
tailwinds and healthy profitability, we raise the target multiple for financial services
to 3.6x from 2.7x (in line with peers). Our revised SOTP is INR3,044. Our target price
does not factor in the proposed capital raise of INR50b (~10% dilution), which, in our
view, would be largely utilized for the financial services business.
Product diversification – key to its success story in NBFC space
Since its foray into the financial services business in FY12, PIEL has exhibited a loan
book CAGR of over 100%, mainly driven by its focus on catering to all the needs of
developers – right from equity capital for land purchase to last mile inventory
funding. The company has significantly expanded its product suite over the years,
with new products such as construction finance and LRD contributing to
incremental loan growth. We believe this has been the key to Piramal’s success
story, as product diversification reduces dependence on any single product for
growth and mitigates asset quality risks.
Financials Snapshot (INR b)
Y/E March
2017 2018E
Revenues
85.5 116.8
EBITDA
22.5
34.8
PAT
10.8
19.1
EPS (INR)
72.6 124.6
EPS Gr. (%)
38
72
BV/Sh. (INR)
768
850
Payout (%)
33.8
34.0
Valuations
P/E (x)
39.0
22.7
P/BV (x)
3.7
3.3
Div. Yield (%)
0.9
1.5
2019E
143.4
43.4
25.6
166.8
34
960
34.0
17.0
2.9
2.0
Pharma business on a turnaround path
We expect Pharma revenue CAGR of ~20% till FY20, driven by (1) recent
acquisitions (leading to an increase in the addressable market size to USD20b in
FY18 from USD1b in FY16), (2) expansion into new areas and ADC manufacturing
capacity and (3) capacity expansion at other facilities. The global pharma business
(90% of revenue) enjoys a strong operating margin of 20%+, but the domestic
business has a low-single-digit margin. Imaging business, which was a drag on
profitability, is likely to wind down by CY17, driving overall margins higher. We
expect a strong turnaround in this business, with the EBITDA margin expanding to
~20.5% by FY19 (up ~600bp v/s FY17) and a revenue CAGR of 20%.
Shareholding pattern (%)
As On
Mar-17 Dec-16 Mar-16
Promoter
51.4
51.4
51.6
DII
3.6
3.5
3.5
FII
28.7
28.5
28.2
Others
16.3
16.5
16.7
FII Includes depository receipts
Alpesh Mehta
(Alpesh.Mehta@MotilalOswal.com); +91 22 6129 1526 /
Kumar Saurabh
(Kumar.Saurabh @MotilalOswal.com); +91 22 6129 1519
Piran Engineer
(Piran.Engineer@MotilalOswal.com); +91 22 3980 4393 /
Ashish Chopra
(Ashish.Chopra@MotilalOswal.com); +91 22 6129 1530
Investors are advised to refer through important disclosures made at the last page of the Research Report.
Motilal Oswal research is available on www.motilaloswal.com/Institutional-Equities, Bloomberg, Thomson Reuters, Factset and S&P Capital.
 Motilal Oswal Financial Services
Piramal Enterprises
Stock Performance (1-year)
Proposed capital raise to drive strong growth in financial services business
PIEL is planning to raise up to INR50b (~10% dilution), which, in our view, would
support strong growth in the financial services business. The Pharma and IT
businesses are sufficiently capitalized, with a debt to equity ratio of ~1x (our
estimate). Our back-of-the-envelope calculations suggest that NBFC leverage in this
business is 5x+. Considering the wholesale nature of the business, we believe peak
leverage could be 6-7x. We have not factored in the capital raise, but, if accounted
for, our consolidated BV for FY18/19 would be ~INR1,040/1,150 v/s our estimate of
INR850/960 (under Indian GAAP).
Reiterate Buy; strong foundation for robust growth
PIEL has the distinction of being one of the few companies in India to generate 25%+
book value CAGR over past 25+ years. Post the sale of the domestic formulations
business, management chose to invest and compound the money, rather than
distributing it to shareholders. We believe the company has the DNA to incubate
and grow businesses in niche segments. Significant proportion of capital (INR45.3b
in Shriram Group + INR4b seed investment in PE business + INR40b in Pharma and
IT) generates less than 5% RoE, but could create significant value over the longer
term. Best talent, coupled with stringent underwriting, has enabled PIEL to build a
fast-growing, highly profitable franchise with robust asset quality. The planned
capital infusion (up to INR50b) will provide the much-needed ammunition to
continue on the robust growth path. We use SOTP to arrive at a target price of
INR3,044. Buy.
Exhibit 1: PIEL: SOTP - March 2019 (without factoring in the proposed capital raise of up to ~INR50b)
Value
(INR B)
273
81
7
164
525
483
8.8
Value
(USD B)
4.1
1.2
0.1
2.5
7.8
7.2
8.8
INR per
share
1,583
470
38
952
3,044
2,798
8.8
Source: Company, MOSL
%
To Total Rationale
52
3.6x PBV; ROA/ROE of ~4%/25%+ - Loan CAGR of 40% FY17-20
15
1
31
100
Based on our Target Multiple; Implied 1.8x of invested capital
7% AUM
Pharma EV/EBITDA 14x; IT EV/Sales of 4x
Implied 3.2x Consolidated BV
NBFC business
Shriram Investments
AMC
Pharma, IT and Others
Target Value
Current market cap.
Upside (%)
Exhibit 2: PIEL: SOTP - March 2020 (without factoring in the proposed capital raise of up to ~INR50b)
Value
(INR B)
355
94
8
202
658
483
36.3
Value
(USD B)
5.3
1.4
0.1
3.0
9.8
7
36.3
INR per
share
2,056
542
44
1,170
3,813
2,798
36.3
Source: Company, MOSL
%
To Total Rationale
54
3.6x PBV; ROA/ROE of ~4%/~25%+ - Loan CAGR of 40% FY17-20
14
1
31
100
Based on our Target Multiple; Implied 1.8x of invested capital
7% AUM
Pharma EV/EBITDA 14x; IT EV/Sales of 4x
Implied 3.5x Consolidated BV
NBFC business
Shriram Investments
AMC
Pharma, IT and Others
Target Value
Current market cap.
Upside (%)
18 May 2017
2
 Motilal Oswal Financial Services
Piramal Enterprises
Upping the ante in wholesale lending
Second largest real estate financier in the country
PIEL has grown from strength to strength to become the second largest real estate
lender in India, barely five years since its foray into the financial services business. It is
now a formidable player in this segment, with a clientele of ~100 top-tier developers.
This strong growth has been driven by its focus on catering to the needs of developers
across the entire lifecycle – from land purchase to last mile inventory funding. PIEL has
an unparalleled suite of products, ranging from pure equity to senior lending.
Despite strong growth over past five years, asset quality has remained best-in-class,
with GNPLs consistently less than 1%. The company follows prudent standard asset
provisioning of 2% of loans.
Backed by higher margins, a low cost-to-income ratio and negligible credit cost, the
business has exhibited a healthy RoA (pre-tax) of 5-6% and an RoE of 25%+. With the
addition of low-yielding and higher-duration products, we expect a healthy CAGR of
40%.
While new products are low-yielding, the benefit of capital raise (INR50b) would keep
RoAs largely stable. RoE, however, is expected to fall from 25%+ to ~18% due to large
capital infusion in this business.
PIEL is now among the top 3
real estate financiers in
India, with a loan book of
INR214b
Significant scale in financial services business
In a span of only five years, PIEL has evolved to become one of the largest real
estate financiers in India, with a loan book of over INR200b+ (100%+ five-year
CAGR). The company’s clientele includes tier-I developers in the top six metro
locations. Unlike most of its competitors which are engaged purely in construction
finance, PIEL offers a large suite of products across the entire real estate financing
spectrum. It has positioned itself as a one-stop shop for all capital needs of
developers – from preferred equity to senior debt. The company has expanded its
product suite over the years, with new products such as construction finance
contributing the most to incremental loan growth.
We believe this has been the key
to Piramal's success story – product diversification reduces dependence on any
single product for growth and also mitigates asset quality risks.
Exhibit 4: Break-up of loan book as of FY17
Special
Situations,
12%
Others,
38%
Exhibit 3: Loan book trend (INR b) (incl. special situations)
244
130
48
Constructio
n Finance,
50%
Source: MOSL, Company; Note: Others include equity and
mezzanine debt offerings
4
FY12
20
FY13
29
FY14
FY15
FY16
FY17
Source: MOSL, Company
18 May 2017
3
 Motilal Oswal Financial Services
Piramal Enterprises
Exhibit 5: Loan book trend (INR b)
Real estate lending
SFG lending
25
30
Exhibit 6: Alternative asset management AUM (INR b)
84
87
89
86
87
87
73
70
72
4
43
8
69
11
80
11
100
15
115
16
145
22
170
202
214
Source: MOSL, Company
Source: MOSL, Company
Exhibit 7:
Comparison of corporate loan portfolio with peers (INR b)
874
244
HDFC
PEL
201
101
DHFL
44
PNBHF
Source: MOSL, Company
IHFL
Exhibit 8: PIEL caters to end-to-end capital needs of developers
Particulars
Stages of lending
for a project
Private Equity
Primarily for land
purchase
Mezzanine Lending Construction Finance LRD
Housing Finance
Post land purchase
For construction of
Lease rental
till
projects
discounting for
commencement of
commercial
construction
projects
(Phase of
obtaining
approvals)
Off Balance Sheet
On Balance Sheet
On Balance Sheet
On Balance Sheet
Applied for HFC license
(Third Party Funds
in 2017. Awaiting
with PEL sponsor
approval from NHB.
commitment upto
7.5%)
Started in 2006;
2011
2015
2016
acquired by PEL in
2011
INR62b
INR79b
INR122b
INR12b
20-24%
4-6 years
17-19%
3-5 years
14-16%
4-6 years
11-12%
9-12 years
Current Size
Year of
commencement
Current Size
Average Yield / IRR
Tenor
18 May 2017
4
 Motilal Oswal Financial Services
Piramal Enterprises
Exhibit 9: Financial services business – snapshot
FINANCIAL
SERVICES
LENDING (INR244b)
ALTERNATIVE AUM
(INR72b)
INVESTMENT
IN SHRIRAM
(INR46b)
HOUSING FINANCE
(INR10b*)
REAL ESTATE
(INR213b)
STRUCTURED
FINANCE
(INR30b)
MEZZANINE (INR
79b)
CONSTRUCTION
FINANCE (INR122b)
LRD (INR 12b)
MEZZANINE
SENIOR (INR
14b)
RESIDENTIAL
(INR103b)
COMMERCIAL
(INR19b)
ACQUISITION
FUNDING
LAS
Source: MOSL, Company; *INR10b committed to the retail housing finance business
PIEL now caters to the
capital needs of businesses
across various sectors
From a pure residential RE financier to a diversified wholesale lender
In FY12, PIEL acquired teams from leading financial services companies to run its
NBFC business. It forayed into special-situation investing/lending (mezzanine
financing) in 2013. This product has high yield, low tenure (18-24 months) and
higher risk. Leveraging on its relationships, PIEL started with construction finance
from January 2015 (low risk, but high maturity period of 4-5 years).
The company forayed into commercial real estate financing in January 2016.
Construction finance and lease rental discounting (7-10 year tenure - recently
added) are the key products. It has recently launched a flexible LRD product for
completed commercial real estate projects. Management is bullish on the prospects
of LRD, expecting this book to grow to INR100b by end-FY18.
By March 2018, we expect PIEL to have a strong diversified residential and
commercial RE loan book. The company is looking at portfolios of other NBFCs to
make inroads into strong projects and better developers. PIEL intends to do more
business with existing clients rather than acquiring new clients. It is capitalizing on
the opportunities available around existing relationships (e.g. refinancing,
construction finance). Recently, the special investment group merged with the RE
financing division. With this, PIEL is looking at wholesale lending across sectors.
PIEL has successfully scaled
up its commercial
construction finance
business over the past year
Construction finance and LRD driving incremental growth
From a business model perspective, PIEL’s loans used to get refinanced by banks
(due to lower cost) post completion of certain milestones. However, by introducing
construction finance, PIEL is able to retain relationships with developers till the end
of the project lifecycle. With strong disbursements in construction finance over past
two years, this segment now accounts for 56% of the outstanding real estate loan
book. While earlier the company was involved only in residential construction
finance, it has started with commercial construction finance a year ago. This book
now stands at INR19b.
5
18 May 2017
 Motilal Oswal Financial Services
Piramal Enterprises
PIEL introduced its LRD product in FY17, which has scaled up well with the total loan
book at INR12b. Both construction finance and LRD are lower-yielding products than
other forms of wholesale lending (structured debt). Yields in construction finance
range from 14-16%, while those in LRD are ~11-12%.
Sector-agnostic lending in
the SFG segment led to
100% YoY growth in the
loan book
Scaling up the structured finance group business
Along with wholesale financing for real estate developers, PIEL offers financing for
special situations (Structured Investment Group recently merged with PIEL) –
promoter financing, bridge funding for cash flow mismatches and financing for
regulatory arbitrage opportunities. While the focus earlier was on opportunities in
infrastructure, the company is now following a sector-agnostic lending mantra. It
has exposure across the infrastructure, cement, renewables, transportation and
entertainment sectors.
PIEL used to do mezzanine financing earlier; however, it now also does senior
lending, LAS and promoter funding. The senior lending book now accounts for 47%
of the total SFG portfolio, leading to a better risk profile. Total loan book doubled in
FY17 to INR30b. The business has healthy security and cash cover of 1.5-2x. Yields
range from 13% to 20%, depending on product offerings and sector dynamics.
Exhibit 10: Best-in-class financial metrics (%)
Loan Yield
C/I ratio
GNPA
RoA
RoE
Leverage
FY16
17%
7%
0.9%
7%
25%
3.5x
FY17
16%
9.7%
0.4%
5.3%
25%+
5.0x
We expect the loan book to
grow at 40%+ CAGR over
the next three years to
INR690b
Given the lack of availability of capital for real estate projects, multitude of
opportunities in other sectors for stressed asset financing and the introduction of
retail housing finance, we expect the loan book to continue growing at a rapid pace
over the medium term. We believe growth will also be driven by its focus on
catering to tier-I developers in non-metro cities. We expect the total loan book to
reach INR690b+ by FY20, with further upside potential from fast ramp-up of the
housing finance business and better-than-expected impact/benefit of RERA on tier I
developers.
Exhibit 11:
Strong AUM growth expected over medium term
Loan book (INRb)
174
Growth (%)
67
42
29
FY14
48
FY15
130
FY16
87
50
244
FY17E
366
FY18E
40
512
FY19E
35
692
FY20E
35
934
FY21E
Source: MOSL, Company; Note: Strong growth in FY16 due to introduction of construction finance
18 May 2017
6
 Motilal Oswal Financial Services
Piramal Enterprises
Partnering with the best
Forging alliances with several reputed global firms for various opportunities
The strength of PIEL’s robust business model is evidenced by its partnerships with
global firms of repute.
The alliances cater to a variety of segments, including infrastructure, real estate and
distressed situations.
In February, the company partnered with Ivanhoe Cambridge for providing finance to
the residential real estate segment.
Finding opportunities for
shareholder value creation
Partnerships across the spectrum
Special situations:
PIEL has a strategic alliance with APG for mezzanine lending
in special situations in the infrastructure segment. Both entities have committed
to USD375m under this alliance. Total outstanding disbursements under this
fund are INR9.7b (for each entity) as of March 2017.
Real estate financing:
The company entered into a joint venture with CPPIB in
FY14 to provide INR debt financing to residential projects in urban geographies.
It also entered into an alliance with Ivanhoe Cambridge in February 2017 for
providing equity financing to tier-I residential developers across the top five
metros in India.
Distressed asset investing:
PIEL has recently partnered with Bain Capital Credit
to make debt/equity investments in restructuring/distressed situations (barring
real estate) in India. Each party has committed to an initial contribution of
USD200m. Investments are expected to generate an IRR of 16-18% over a period
of 4-5 years. PIEL has made several key hires for this JV.
18 May 2017
7
 Motilal Oswal Financial Services
Piramal Enterprises
Entering retail financing via organic and inorganic ways
HFC subsidiary and Shriram Group investments to be the key value drivers
Over 2013-14, PIEL forayed into the retail financing segment by acquiring a 10% stake
each in Shriram Transport Finance and Shriram City Union Finance. In addition, it
acquired a 20% stake in Shriram Capital.
We do not expect the merger of both entities with the parent in the near term, as it
would involve significant management attention. In both, retail as well as the
wholesale lending business, growth opportunities are immense.
PIEL has also applied for an HFC license with the NHB. It has committed INR10b to the
HFC, and has also made key hires in this segment. Build-out of the systems and
technology is underway.
PIEL acquired 10% stake in
SHTF in 2013, followed by
20% stake in Shriram
Capital and 10% stake in
SCUF
Shriram Group stakes – indirect entry into retail financing
PIEL has been the quintessential M&S specialist. It prefers the M&A route to build
long-gestation businesses. The company forayed into the retail financing business by
acquiring stakes in Shriram Group companies. It has acquired 10% each in Shriram
Transport (for INR16.4b in 2013) and Shriram City Union Finance (for INR8b in 2014).
PIEL also acquired a 20% stake in these two companies’ parent, Shriram Capital (for
INR21.5b in 2014). Altogether, it has invested INR45.8b (34% of net worth) in these
companies.
Shriram Transport (SHTF), Shriram Group’s flagship company, is involved in
commercial vehicle financing. It is the only organized player that offers old vehicle
(8-10 years vintage) financing. With a turnaround in the CV industry, SHTF is well
poised for growth over the medium term. SHTF’s return ratios are just off cyclical
lows, with decadal high credit cost and NPLs. We believe the worst of asset quality
troubles is behind, and the company should witness improving return ratios due to
lower credit costs. Additionally, we believe margin compression fears are
overplayed with the company yet to reap significant benefit on CoF.
SHTF and SCUF are at
inflection points, where
return ratios are expected
to improve due to lower
credit costs
Shriram City Union (SCUF) is a multi-line financier dealing in SME, two-wheeler and
gold loans. It offers SME loans with ticket sizes lower than its peers. It does not rely
on DSAs for customer acquisition, but rather mines the large customer base of
Shriram Chits. SCUF is a pioneer in 2W financing, and is one of the largest in the
country in this space. It is a niche play in the retail NBFC space, with high growth
potential, strong profitability and low competition. While the company has
maintained GNPL (180dpd) <4.0% over the cycle, we expect it to rise to ~8% by FY19
on account of migration to 90dpd and some lingering impact of demonetization. Yet,
loan loss provisioning is expected to decline as SCUF has best-in-class PCR of 73%,
more than peers. We believe this is a 3.5-4.0%+ RoA business on a run-rate basis.
After all the impact of NPA migration is over, we expect RoA/RoE of 3.9%/17.8% in
FY19.
18 May 2017
8
 Motilal Oswal Financial Services
Piramal Enterprises
Exhibit 12: SHTF – AUM trend
24
AUM (INR b)
23
14
14
Growth (%)
20.6
16.3
12
7
497
FY13
531
FY14
11
8
4.0
FY13
3.1
FY14
2.5
FY15
2.1
FY16
2.0
FY17
2.6
FY18E
2.9
FY19E
2.6
FY20E
Exhibit 13: SHTF – return ratios bottoming out
RoA (%)
RoE (%)
16.3
16.7
14.1
12.2
11.7
14.5
591
FY15
728
FY16
788
FY17E
883
FY18E
1,003
FY19E
1,146
FY20E
Source: MOSL, Company
Source: MOSL, Company
Exhibit 14: SCUF – AUM trend
AUM (INR b)
18
14
(7)
17
18
Growth (%)
20
18
18
Exhibit 15: SCUF – return ratios bottoming out
RoE (%)
3.8
3.7
3.4
3.5
3.5
3.0
RoA (%)
3.6
2.7
3.9
3.9
FY13
FY14
FY15
FY16
FY17
FY18E
FY19E
FY20E
Source: MOSL, Company
Source: MOSL, Company
HFC license – another avenue for sustainable growth
PIEL has applied for an HFC license with the NHB and is awaiting approval for the
same. The company has made key hires in this segment, and already chalked out the
business strategy with work on systems and technology underway. We expect the
company to receive the HFC license shortly. Given the strong execution skills of
management, we believe this book could grow to a sizeable amount over next five
years. While margins in this segment will be lower, credit costs will also be lower
and leverage will be higher. We believe PIEL could deliver 15%+ sustainable RoE in
this business post the initial scale-up.
18 May 2017
9
 Motilal Oswal Financial Services
Piramal Enterprises
Financials and valuations – NBFC
INCOME STATEMENT
Y/E MARCH
Interest Income
Interest Expense
Net interest income
Change (%)
AMC Fees
Fee income
Other income
Net Income
Change (%)
Operating Expenses
Change (%)
Operating Profits
Change (%)
Total Provisions
% to operating income
PBT
Tax
Tax Rate (%)
PAT
Change (%)
BALANCE SHEET
Y/E MARCH
Networth
Borrowings
Change (%)
Other liabilities
Change (%)
Total Liabilities
Customer assets
Change (%)
Other assets
Change (%)
Total Assets
RATIOS
Y/E MARCH
Spreads Analysis (%)
Avg. Yield on loans
Avg. Cost of funds
Interest Spreads
Net Interest Margins
Profitability Ratios (%)
RoE
RoA
Cost to Income Ratio
2015
7,426
505
6,921
1,201
381
363
8,866
1,819
7,047
473
6.7
6,575
2,301
35.0
4,274
2016
14,766
5,857
8,909
28.7
1,287
891
454
11,540
30.2
1,655
-9.0
9,885
40.3
1,700
17.2
8,185
2,865
35.0
5,320
24.5
2017E
29,958
13,183
16,775
88.3
1,204
1,872
481
20,332
76.2
1,972
19.2
18,360
85.7
4,119
22.4
14,241
4,984
35.0
9,256
74.0
2018E
47,275
21,259
26,016
55.1
1,155
3,050
638
30,858
51.8
2,469
25.2
28,389
54.6
6,100
21.5
22,289
7,801
35.0
14,488
56.5
2019E
63,684
30,126
33,558
29.0
1,328
4,392
789
40,067
29.8
3,205
29.8
36,861
29.8
8,784
23.8
28,077
9,827
35.0
18,250
26.0
(INR Million)
2020E
84,290
41,769
42,521
26.7
1,527
6,021
932
51,001
27.3
4,080
27.3
46,921
27.3
12,041
25.7
34,879
12,208
35.0
22,672
24.2
2015
28,886
28,172
0
57,058
47,660
9,398
57,058
2016
34,206
108,088
283.7
0
142,293
130,480
173.8
11,813
25.7
142,293
2017E
43,119
237,508
119.7
0
280,627
244,000
87.0
36,627
210.0
280,627
2018E
57,607
329,400
38.7
15,593
402,600
366,000
50.0
36,600
-0.1
402,600
2019E
75,857
473,970
43.9
13,813
-11.4
563,640
512,400
40.0
51,240
40.0
563,640
2020E
98,529
639,860
35.0
22,526
63.1
760,914
691,740
35.0
69,174
35.0
760,914
2015
2016
2017E
16.0
7.6
8.4
9.0
2018E
15.5
7.5
8.0
8.5
2019E
14.5
7.5
7.0
7.6
2020E
14.0
7.5
6.5
7.1
23.9
4.4
9.7
28.8
4.2
8.0
27.3
3.8
8.0
26.0
3.4
8.0
18 May 2017
10
 Motilal Oswal Financial Services
Piramal Enterprises
Healthcare: Rebuilding a niche franchise
Following the sale of its domestic formulations business to Abbott in FY11, Piramal
Enterprises (PIEL) has re-built its healthcare business. Over last five years, the
company recorded healthcare revenue CAGR of high-teens, reaching INR39.7b in
FY17 (~46% of total revenue). PIEL’s pharma revenue grew 14% YoY in FY17, led by
new product acquisitions (from Janssen and Mallinckrodt) and >25% organic growth
in its Indian consumer business. In 4QFY17, the pharma business revenue grew
~29% YoY, driven by a strong order book and acquisition of niche products.
EBITDA margin for the global pharma business has more than doubled over last five
years, from 10% in FY12 to ~20% in FY17, primarily driven by the focus on high-
margin niche branded generic product portfolios and cost efficiencies.
We expect robust pharma revenue CAGR of ~20% till FY20, driven by (1) recent
acquisitions (leading to an increase in the addressable market size to USD20b in
FY18 from USD1b in FY16), (2) expansion into new areas and ADC manufacturing
capacity and (3) debottlenecking/capacity expansion at other facilities. Global
pharma business (90% of revenues) enjoys a strong operating margin of more than
20%; however, the domestic business has a margin of low-single-digits. Imaging
business, which was a key drag on profitability, is likely to wind down by CY17,
driving overall margins higher. Overall, we expect a strong turnaround in this
business, with the EBITDA margin expanding to ~20.5% by FY19 (~600bp
improvement v/s FY17), with revenue CAGR of 20%.
18 May 2017
11
 Motilal Oswal Financial Services
Piramal Enterprises
Piramal Healthcare – Rebuilding a niche franchise
Healthcare 2.0
Following the sale of its domestic formulations business to Abbott in FY11, PIEL has
re-built its healthcare business. Over last five years, the company recorded
healthcare revenue CAGR of 17%, reaching INR39.7b in FY17 (~46% of total
revenue). PIEL operates under two broad divisions in the healthcare segment: (1)
global pharma (constituting pharma solutions & critical care; ~90% of pharma
revenues) and (2) consumer products (~10%).
Exhibit 16: Healthcare business revenue (INR b)
Healthcare (INR b)
50.2
28.2
31.2
34.9
38.9
57.1
Exhibit 17: Healthcare business – revenue composition (%)
Global Pharma
10
Domestic Products
19.9
24.4
90
Source: MOSL, Company
Source: MOSL, Company
PIEL is one of the few large
integrated CDMOs in the
world, offering both APIs
and formulations
PIEL is one of the few large integrated contract development and manufacturing
organizations (CDMOs) in the world, offering both APIs and formulations through its
11 sites across North America, Europe and India. We expect this business to deliver
robust mid-teens growth over next three years, driven by (1) ramp-up of injectables
business, (2) expansion into new areas, including high-potency APIs, (3) expansion of
ADC manufacturing capacity and (4) debottlenecking/capacity expansion at other
facilities.
PIEL is the third largest player in the global inhalation anesthesia space (after Abbott
and Baxter). It has a 12% market share in this space, which has increased from ~3%
in FY09, led by a strong product portfolio, competitive pricing, consistent supply of
products and a robust distribution network. Launch of Desflurane, cost reduction
and entry into new markets should help the company achieve 17-18% CAGR over
next three years. PIEL is actively looking at both organic and inorganic opportunities
to add other critical-care products to its portfolio.
The company has expanded its OTC product portfolio, now featuring among the top-
7 players in this space. Notably, it has done well to climb up the ladder from 40
th
rank in 2007. PIEL has expanded its distribution reach to 1,500 towns (~480 in FY15),
with a field force of ~2,000 (~800 in FY15). We expect margin in this business to
expand (achieved breakeven in FY16), led by positive operating leverage
(distribution expansion largely done) and sales force automation (to facilitate
efficient productivity).
18 May 2017
12
 Motilal Oswal Financial Services
Piramal Enterprises
We expect EBITDA margin
of global pharma business
(Ex India) to jump to ~21%
v/s ~16% in FY16.
Invested ~INR30b toward seven acquisitions in pharma
Over last two years, PIEL has invested heavily in the pharma business. It has spent
~INR30b to acquire seven assets across geographies in different areas of the
business. It acquired two pharma businesses – Coldstream into injectables and Ash
Stevens into high-potency API. Both of these are in the US. Two pharma product
portfolios containing differentiated branded generic products were acquired from
Janssen, and the latest one was acquired from Mallinckrodt. In the consumer
products portfolio in India, it acquired four brands from Pfizer, five brands from
Organon India and MSD, and the baby-care brand ‘Little’s’. Because of these
acquisitions, pro forma revenue for FY16 would go up to INR43b from ~INR39b
currently. Similarly, EBITDA margin of global pharma business (Ex India) will jump to
~21% v/s ~16% in FY16.
Exhibit 18: Invested ~INR30b to do seven acquisitions in pharma
Source: MOSL, Company
Exhibit 19: Pro forma revenue increase led by seven
acquisitions (INR b)
32.06 35.17
43.2
Exhibit 20: Pro forma EBITDA margin expansion led by seven
acquisitions
17%
9%
10%
11%
12%
16%
20%
21%
14.09
17.68
27.65
21.69 25.06
Source: MOSL, Company
Source: MOSL, Company
18 May 2017
13
 Motilal Oswal Financial Services
Piramal Enterprises
We expect the Global
Pharma business to deliver
20% CAGR till FY20, led by
acquisitions, launch of
Desflurane and ramp-up of
the CRAMs business
Global pharma business – adding niche capabilities
The company’s global pharma business recorded a 15% CAGR over last five years.
We expect this business to deliver 20% CAGR till FY20, led by its recent acquisitions,
launch of Desflurane and ramp-up of the CRAMs business.
Exhibit 21: Global pharma – the largest segment within healthcare (90% of FY17 revenue)
Pharma Solutions (INR mn)
21,690
FY13
25,060
FY14
27,645
FY15
32,060
FY16
35,170
FY17
45,721
FY18E
51,436
FY19E
57,866
FY20E
Source: MOSL, Company
PIEL has end-to-end manufacturing and service delivery capabilities both for APIs
and formulations, including niche capabilities in injectables, high-potency API,
antibody drug conjugates, inhalation anesthesia, etc. It also has a large global
distribution network, reaching over 100 countries through dedicated sales
force/distributors with a strong presence in key geographies of North America,
Europe, India and Japan.
Exhibit 22: Global pharma – adding capabilities in niche areas
Product Portfolio
Inhalation Anaesthesia
Injectable Anaesthesia /
Pain Management
Intrathecal Severe
Spasticity / Pain
Management
Gablofen
Products under
development
Announced acquisition
from Mallinckrodt LLC in
Jan 2017
Acquired from Janssen
Pharmaceutica in
Oct 2016
Other Products
Desflurane
Isoflurane
Sevoflurane
Halothane
To be launched
in FY17-18
Sublimaze*
Sufenta*
Repifen*
Dipidolor*
Hypnomidate*
* Controlled substances
API Generics
Vitamins
Differentiated
branded hospital
generics
Source: MOSL, Company
18 May 2017
14
 Motilal Oswal Financial Services
Piramal Enterprises
Niche capabilities across product segments
Grangemouth (ADC):
PIEL has a facility in Grangemouth (Scotland) for antibody
drug conjugates (ADC – a delivery system where the drug attaches itself to dead
cancer cells and then bursts, thereby minimizing toxicity). It acquired this facility
5-6 years ago.
Coldstream Laboratories (sterile injectables):
In FY15, PIEL acquired US-based
Coldstream Laboratories, a specialty pharmaceutical CDMO focused on the
development and manufacture of sterile injectable products. This acquisition
has strengthened its position in the injectables market, complementing its
sterile injectables development capability at Mumbai. There is significant
traction at Coldstream, with its order book running full. To cater to commercial
demand from existing and new projects, it is implementing a USD12m capacity
expansion project.
Ash Stevens:
PIEL is set to acquire US-based full-service CDMO, Ash Stevens. It
develops and manufactures high-potency active pharmaceutical ingredients
(HPAPIs). This is one of the fastest growing segments in the pharmaceuticals
sector, and over 50% of the HPAPIs are anti-cancer drugs.
NCE:
The company has scaled back NCE R&D, and is now looking to divest these
assets to suitable buyers. All assets are in phase-1 trials.
18 May 2017
15
 Motilal Oswal Financial Services
Piramal Enterprises
Key business drivers in global pharma business
New product launch, JV
with NavinFluorine and
strong hospital network to
drive global pharma
business
Desflurane launch in the US (USD200m market):
PIEL is expected to launch its
next-generation product, Desflurane, in the US in CY17. Currently, there is no
generic substitute for this product in the US. Besides the launch of the first
generic Desflurane in the US and other key geographies, growth would also be
driven by the increasing share in the inhalation anesthesia market and the
launch of existing products in new geographies.
JV with NavinFluorine:
PIEL would be collaborating with NavinFluorine to
manufacture APIs in India, which would further lower manufacturing costs
(procurement savings). It would be able to gain market share within the global
inhalation anesthesia market by further lowering its selling prices.
Leveraging strong hospital network:
PIEL would be expanding its portfolio
beyond inhalation anesthetics to injectable anesthetics, pain management, and
other hospital and veterinary injectable products used in critical care. This
would enable it to push products to hospitals where its sales force has
relationships, and thus achieve higher sales and profitability.
Ramp-up of acquired products from Janssen and Mallinckrodt:
PIEL acquired
five injectable anesthesia/pain management products from Janssen in October
2016. Four of these five products are controlled substances, and will remain
limited competition products. PIEL has marketing authorization in >50 countries
for these products. PIEL also acquired Gablofen, and two pain management
products from Mallinckrodt.
Consumer business
Strong brand portfolio
PIEL’s consumer product
business is the seventh
largest among all OTC
companies in India
PIEL’s consumer product business is the seventh largest among all OTC companies in
India. It has a good portfolio of high-ranked brands – Saridon (analgesic), Lacto
Calamine (skincare), i-pill (oral contraceptive), Polycrol (antacid), Tetmosol
(dermatology) and Jungle Magic. PIEL intends to be either number 1 or 2 in each
category where it operates. As at end-FY16, six of PIEL’s 11 brands featured among
the top-100 Indian OTC brands.
Exhibit 23:
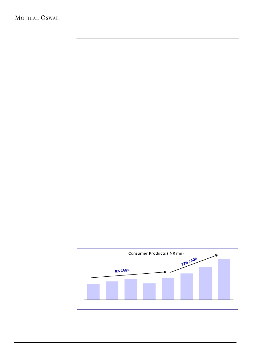
Consumer products – PIEL targets INR10b revenue in 2020 (incl. Allergan sales)
2,720
FY13
3,140
FY14
3,565
FY15
2,799
FY16
3,750
FY17
4,500
FY18E
5,625
FY19E
7,031
FY20E
Note: Consumer business excludes JV sales from Allergan – ~INR1.6b in FY17
Source: MOSL, Company
18 May 2017
16
 Motilal Oswal Financial Services
Piramal Enterprises
Exhibit 24: Consumer products portfolio
Source: MOSL, Company
Key business drivers
Accrual of operating leverage benefits to boost profitability:
PIEL has made the
necessary investments in terms of ramping up its distribution network and
expanding its field force. These investments appear to be yielding results. The
business achieved EBITDA breakeven in FY16. Profitability (return ratios) could
improve further if the company is able to leverage the investments made in
distribution over past few years and sweat its resources efficiently by enhancing
its product basket.
Brand acquisitions:
The company’s non-compete agreement with Abbot expires
in 2018. Until then, it cannot enter the domestic prescription (Rx) market. Its
medium-term strategy is to drive growth through acquisition of Rx brands that
have strong legacy and brand recall, and re-launch them as OTC products. The
typical acquisition cost paid by the company is ~3x sales. Another strategy PIEL
employs is to acquire strong regional brands and expand reach pan-India,
leveraging its strong distribution network. Some of its recent acquisitions are:
Baby-care brand – Little’s:
In November 2015, PIEL acquired the baby-care
brand,
Little’s.
The
Little’s
range, which includes products across the non-
food baby-care category, is preferred by mothers of babies in the age group
of 0-4 years. The company already caters to children in the age group of 5-
10 years through its in-house
Jungle Magic
brand. With this acquisition, it
now has offerings for babies/children in the age group of 0-10 years.
Five brands in gastro-intestinal (GI) segment:
In December 2015, PIEL
acquired five brands from Organon India Private Limited and MSD BV. These
include
Naturolax, Lactobacil
and
Farizym,
which the company intends to
continue in the GI segment through the OTC route. These brands have a rich
legacy in India and high consumer pull. PIEL already has an antacid brand,
Polycrol,
in the GI segment.
Polycrol
is the number one brand in east India.
With these additions, PIEL has enlarged its basket of offerings in the GI
market.
18 May 2017
17
 Motilal Oswal Financial Services
Piramal Enterprises
Four brands from Pfizer:
In May 2016, PIEL entered into an agreement to
acquire four brands from Pfizer –
Ferradol, Neko, Sloan’s
and
Waterbury’s
Compound.
The agreement includes the trademark rights for
Ferradol
and
Waterbury’s Compound
also for Bangladesh and Sri Lanka. These brands
hold a rich legacy of 30+ years and enjoy high consumer pull.
18 May 2017
18
 Motilal Oswal Financial Services
Piramal Enterprises
PIEL Information Management – Opening new avenues
DRG’s revenue grew at a
CAGR of 11% over FY14-17.
PIEL’s Information Management business (PIM) comes from the acquisition of DRG
(Decision Resources Group), which is a decision-support platform in the healthcare
information services space. The company provides Consulting Services, Research
Products, and Data & Analytics to life sciences companies, enabling them to make
informed decisions around investment, cost containment and strategy.
PIEL acquired the DRG core business in 2012, which primarily provided
syndicated content to life sciences customers. DRG’s products and services are
built around proprietary data, algorithms, primary research and domain
expertise.
The business is headquartered in Burlington, Massachusetts, with strong
presence in North America, Europe and Asia. Recently, the company leveraged
its existing capabilities to establish presence in China, which will help it cater to
a large part of emerging markets. It now has 15 office locations globally.
In FY17, DRG’s revenue grew 6% to INR12.2b. Over FY14-17, it grew at a CAGR of
11%. The company has capabilities across the customers’ product life cycle, and
employs ~900 people (CY15), globally.
Exhibit 25: Revenue CAGR of 11% since first full year of DRG acquisition
Revenue (INR m)
8,993
4,827
5,227
6,462
6,496
10,196
11,563
12,224
FY10
FY11
FY12
FY13
FY14
FY15
FY16
FY17
Source: MOSL, Company
PIM works with several leading life sciences companies, and has 10+ year
relationships with all of the top-10 customers. The stickiness is reflected in the
fact that it had 96% client retention (by value) in CY15, and 100% among its top-
20 customers. It derives 37% of its revenue from its top-10 customers, and 57%
from its top-20.
18 May 2017
19
 Motilal Oswal Financial Services
Piramal Enterprises
Exhibit 26: Top-10 (20) customers contribute 37% (57%) of
revenue
4.8
4.7
4.7
4
3.6
3.5
3.4
62.8
2.7
Source: MOSL, Company
2.9
2.8
Data &
Analytics,
43
Research
products,
35
Source: MOSL, Company
Exhibit 27: Well-balanced composition of service lines
Global
consulting
services, 22
Strategy based on four pillars
PIM’s strategy is based
on the dual intent of
revenue growth and
profitability
improvement
PIM’s strategy is based on the dual intent of revenue growth and profitability
improvement. It has been increasing its addressable market through acquisitions
and product innovation, and the focus on profitability improvement is visible
through its efforts to augment presence in India, and realize operational synergies.
Its strategy is based on the following four pillars:
1.
Expanding market size and geographical presence:
HBI acquisition to enable
entry into provider market; acquisition of Adaptive Software to enable entry
into payers market.
2.
Continued development of cost and operational synergies:
DRG India office is
on target, with 250+ positions on-boarded in two offices. The company is
leveraging India and reviewing cost structure to identify margin enhancement
opportunities. Leadership team is progressing well on integrating products and
services under one brand.
3.
Inorganic growth opportunities:
Continues to look at attractive opportunities to
enhance capabilities/expand geographically through acquisitions. Four
acquisitions since 2015 have bolstered DRG’s Analytics, Provider, Payer, and
Data Capabilities and Resources.
4.
Product innovation:
PIM has launched a new delivery platform for all DRG
research reports. There are multiple new product ideas in the pipeline. PIM is
increasingly focused on strategic partnerships and JVs to enhance product
innovation, data capabilities and sales into new channels.
Inorganic growth has been a crucial driver
Acquisitions have been a key strategy to growth in the past. After PIEL’s acquisition
of DRG, the latter added six companies, thereby expanding the addressable market
by ~2.7x (to USD16b from USD6b earlier).
18 May 2017
20
 Motilal Oswal Financial Services
Piramal Enterprises
Exhibit 28: Addressable market expanded through multiple acquisitions
Addressable market (USDb)
16
6
2
Past
Present
Future
Source: MOSL, Company
Addressable market could
be USD16b in the future
While previous acquisitions have been towards adding/augmenting service lines, the
two latest companies acquired give PIM access to the healthcare provider and payer
space. Entry into these markets has been the key driver of the multifold expansion
in addressable market. Acquisitions post PIEL taking control include:
1.
Walnut Medical:
UK-based data company that provides access to key European
hospital-level data – to enhance and expand data and analytics offerings
2.
Abacus International:
Gave access to European Health Economics and
Outcomes Research (HEOR) market
3.
Relay Technology Management:
Enabled DRG to supply clients with premier
analytics
4.
Activate Networks:
Expanded DRG’s analytics capabilities; supports clients with
sales force targeting
5.
HealthHiway:
Strength in providing analytics & solutions to Indian healthcare
providers
6.
Healthcare Business Insights:
Trusted provider of best practice research,
training & services to >1,400 hospitals in the US; marks company’s entry into
provider space
7.
Adaptive Software:
Leading solutions for Health Plans and Pharmacy Benefit
Managers; marks company’s entry into payer space
The company has opened
offices in Bengaluru and
Gurugram in the past two
years
India expansion to accelerate product development and profitability
In FY17, PIM continued its expansion in India. It opened offices in Bengaluru and
Gurugram in January 2015 and February 2016, respectively. It has hired 250+
employees in India so far.
The objective of this initiative has been towards accelerating growth through
accessing talent, increasing capabilities beyond existing products and services,
improving customer delivery and response time, and realizing cost efficiencies.
It will continue to capitalize on its India operations to drive innovation, enhance
revenue, expand margins, and promote cost efficiencies.
Performance demonstrative of strategy enablement
Revenue growth of 13% in FY16 was a function of growth in Data & Analytics and
the HBI acquisition. This slowed down slightly to 6% in FY17. The company has high
revenue visibility – driven by 96% retention rate in FY16 and continued addition in
new customers. Moreover, the newly-entered provider and payer markets give an
additional impetus to growth opportunities.
18 May 2017
21
 Motilal Oswal Financial Services
Piramal Enterprises
DRG’s new, dynamic and web-based insight platform for DRG research reports was
launched in FY17. The DRG Insights Platform combines Google-like search
capabilities with a highly-intuitive user interface. This will help customers identify
and explore highly-relevant content. The platform will transform the way customer’s
access and consume DRG content.
Global peers trade at 4-8x EV/Sales valuation
PIEL had acquired DRG for a
total consideration of
USD635m, valuing the
transaction at ~5x EV/Sales
PIEL has stated its intent to demerge its diverse business segments to unlock
shareholders’ value. PIEL had acquired DRG for a total consideration of USD635m,
valuing the transaction at ~5x EV/Sales. This is in line with global M&A transactions
that are directly comparable to the operations of DRG.
Exhibit 29: DRG's peer comparison
Veeva Systems Inc
Verisk Analytics, Inc
Medidata Solutions, Inc
Athenahealth, Inc
Inovalon Holdings, Inc
IMS Health
Median
EV/Revenue (x)
8.1
7.7
6.0
5.8
4.8
4.3
5.9
EV/EBITDA (x)
28.0
18.0
27.0
29.0
14.0
14.0
23.0
EV (USDm)
3,297
15,924
2,362
5,336
2,092
12,542
Source: MOSL, Company
Exhibit 30: M&A valuation multiples
Target
iHealth
Heartbeat Experts
Vitruvian
IMS Health
Altegra
Truven Health
Merge Healthcare
Median
Buyer/
Investor
Connolly
Truven
CRF
Quintiles
Emdeon
IBM Watson
IBM Watson
Acquisition
price (USDm)
1,200
136
374
13,346
910
2,600
1,000
Value/LTM
revenue (x)
7.5
5.2
4.5
4.4
4.3
4.2
4.2
4.4
Transaction value
/LTM EBITDA (x)
14.0
22.0
18.0
15.0
16.0
17.0
24.0
17.0
Source: MOSL, Company
Value DRG conservatively at 4x forward sales
Assuming DRG grows at a CAGR of 12% (versus 17% CAGR over CY05-15, and 11%
since FY14 – first full year of acquisition revenues), we expect sales of USD229m in
CY18. We value it at 4x forward sales at USD690m, which would imply ~4.5x LTM
sales of USD182m. We peg DRG inline with peers, which trade at a median value of
4.4x LTM revenue to factor in slower sales growth post acquisition in recent years.
18 May 2017
22
 Motilal Oswal Financial Services
Piramal Enterprises
Valuation and view
SOTP of INR3,044; implied P/BV of 3.2x FY19E
Post the sale of its domestic formulations business, PIEL has invested in fast-growing,
profitable businesses. Starting with wholesale lending from scratch, it has now grown
to become one of the top players in real estate financing. With the best talent,
coupled with stringent underwriting and rigorous post-disbursal monitoring, PIEL has
built a fast-growing, highly profitable franchise, with robust asset quality. We expect
this business to deliver 40%+ loan book CAGR over FY17-20.
The fund management business has AUM of INR70b+, and the company has seeded
investments into each of the funds. We value this business at 7% AUM.
We believe the financial services business is a key growth driver and value contributor
for PIEL. This business constitutes ~70% of our SOTP valuation.
Investment of INR46b in Shriram Group is valued at ~INR81b (FY19E), based on a
target multiple of 2x for SHTF and 2.5x for SCUF. We have removed PIEL's investment
in Shriram Group from net worth.
Invested capital employed in the healthcare and IT businesses stands at INR120b+. We
have allocated INR40b+ of net worth to these businesses. We have valued the
healthcare business based on EV/EBITDA and the IT business based on EV/sales. Both
these businesses together contribute ~30% of SOTP.
Financial services business contributes ~70% of SOTP value
The financial services segment is a key value contributor for PIEL. It has
demonstrated its ability to grow faster than competitors and, at the same time,
generate best-in-class return ratios with robust asset quality. Over past few years, it
has gained a significant market share. The size of its loan book is comparable to the
developer loan book of Indiabulls Housing Finance and is bigger than the developer
loan books of Dewan Housing Finance and LIC Housing Finance. The company also
generates significant fee income from its asset management business. The business
generates a pre-tax RoA of 5%+ and an RoE of 25%+, with a C/I ratio of ~9%.
Given strong growth the business has demonstrated over past few years as well as
the immense opportunity available, we expect 40%+ loan CAGR over FY17- 20. We
expect the proposed capital raise of INR50b+ to be used to support such high loan
growth. We expect RoA/RoE (post 35% tax rate) to be ~3.4%/25%+ by FY19. Asset
quality should remain robust, given the best practices followed by the company. We
have not factored in proposed capital raise in our estimates.
Our valuation is based on P/BV of 2.5x for SCUF and 2x for SHTF. Total AUM of PIEL’s
alternate funds is INR70b+. Under some funds, PIEL has put the seed investment.
We have factored in 15%+ CAGR in funds under management, and value this
business at 7% AUM. We have deducted the seed investment from net worth to
arrive at the allocated net worth to the financial services business. This business
contributes ~1% of overall SOTP.
On a blended basis, we value the NBFC business at 3.6x March 2019E BV –
INR1,583/share (~50% of SOTP). The implied value of Shriram Group investments is
~1.8x invested capital. Pharma and IT contribute ~20% of SOTP. Total capital
employed in Pharma and IT businesses stands at INR120b+ as of FY17. Pharma
18 May 2017
23
 Motilal Oswal Financial Services
Piramal Enterprises
business has become profitable, and we expect it to deliver EBITDA margin of ~20%
and revenue CAGR of ~19% over FY17-20. EBITDA growth is expected to be ~40%
over FY17-20. On a blended basis, we have valued this business at EV/EBITDA of 14x.
Over FY17-20, the IT business is expected to grow at a CAGR of 8-10% and EBITDA is
likely to be ~16%. We value this business at EV/sales of 4x.
Exhibit 31: PIEL: SOTP - March 2019 (without factoring in the proposed capital raise of up to ~INR50b)
NBFC business
Shriram Investments
AMC
Pharma, IT and Others
Target Value
Current market cap.
Upside (%)
Value
(INR B)
273
81
7
164
525
483
8.8
Value
(USD B)
4.1
1.2
0.1
2.5
7.8
7.2
8.8
INR per
share
1,583
470
38
952
3,044
2,798
8.8
%
To Total
52
15
1
31
100
Rationale
3.6x PBV; ROA/ROE of ~4%/25%+ - Loan CAGR of 40% FY17-20
Based on our Target Multiple; Implied 1.8x of invested capital
7% AUM
Pharma EV/EBITDA 14x; IT EV/Sales of 4x
Implied 3.2x Consolidated BV
Source: Company, MOSL
Exhibit 32: PIEL: SOTP - March 2020 (without factoring in the proposed capital raise of up to ~INR50b)
NBFC business
Shriram Investments
AMC
Pharma, IT and Others
Target Value
Current market cap.
Upside (%)
Value
(INR B)
355
94
8
202
658
483
36.3
Value
(USD B)
5.3
1.4
0.1
3.0
9.8
7
36.3
INR per
share
2,056
542
44
1,170
3,813
2,798
36.3
%
To Total
54
14
1
31
100
Rationale
3.6x PBV; ROA/ROE of ~4%/~25%+ - Loan CAGR of 40% FY17-20
Based on our Target Multiple; Implied 1.8x of invested capital
7% AUM
Pharma EV/EBITDA 14x; IT EV/Sales of 4x
Implied 3.5x Consolidated BV
Source: Company, MOSL
18 May 2017
24
 Motilal Oswal Financial Services
Piramal Enterprises
Capital raise to drive strong growth in financial services
BV accretion of ~20% post capital raise
PEL is planning to raise upto INR50b (~10% dilution) which in our view would
support the strong growth in financial services business. The pharma and IT
businesses are sufficiently capitalized, with a debt to equity ratio of ~1x (our
estimate). Our back of the envelope calculations suggest that NBFC leverage in this
business is 5x+. Considering wholesale nature of the business, we believe peak
leverage could be 6-7x. While we have not factored in the capital raise, if accounted
for our consolidated BV for FY18/19 would be ~INR1040/1150 vs our estimate of
INR850/960 (under Indian GAAP). Below we show the sensitivity of capital raise to
target price based on different multiples for financial services business.
Exhibit 33: PIEL: SOTP - March 2019 (If proposed capital raise of INR50b factored in) – FS multiple of 2.5x
NBFC business
Shriram Investments
AMC
Pharma, IT and Others
Target Value
Current market cap.
Upside (%)
Value
(INR B)
324
81
7
164
576
533
8.2
Value
(INR B)
389
81
7
164
641
533
20.4
Value (USD
B)
4.8
1.2
0.1
2.5
8.6
8.0
8.2
Value (USD
B)
5.8
1.2
0.1
2.5
9.6
8.0
20.4
INR per
share
1,704
426
35
863
3,028
2,798
8.2
INR per
share
2,044
426
35
863
3,368
2,798
20.4
% To Total
56
14
1
29
100
Rationale
2.5x PBV; ROA/ROE of ~4%/~16% - Loan CAGR of 40% FY17-20
Based on our Target Multiple; Implied 1.8x of invested capital
7% AUM
Pharma EV/EBITDA 14x; IT EV/Sales of 4x
Implied 2.6x Consolidated BV
Exhibit 34: PIEL: SOTP - March 2019 (If proposed capital raise of INR50b factored in) – FS multiple of 3.0x
NBFC business
Shriram Investments
AMC
Pharma, IT and Others
Target Value
Current market cap.
Upside (%)
% To Total
61
13
1
26
100
Rationale
3x PBV; ROA/ROE of ~4%/~16% - Loan CAGR of 40% FY17-20
Based on our Target Multiple; Implied 1.8x of invested capital
7% AUM
Pharma EV/EBITDA 14x; IT EV/Sales of 4x
Implied 2.9x Consolidated BV
Source: Company, MOSL
Exhibit 35: PIEL: SOTP - March 2019 (If proposed capital raise of INR50b factored in)- FS multiple of 3.6x
NBFC business
Shriram Investments
AMC
Pharma, IT and Others
Target Value
Current market cap.
Upside (%)
Value
(INR B)
467
81
7
164
719
533
35.0
Value (USD
B)
7.0
1.2
0.1
2.5
10.7
8.0
35.0
INR per
share
2,453
426
35
863
3,777
2,798
35.0
% To Total
65
11
1
23
100
Rationale
3.6x PBV; ROA/ROE of ~4%/~16% - Loan CAGR of 40% FY17-20
Based on our Target Multiple; Implied 1.8x of invested capital
7% AUM
Pharma EV/EBITDA 14x; IT EV/Sales of 4x
Implied 3.3x Consolidated BV
Source: Company, MOSL
Exhibit 36: PIEL: SOTP - March 2019 (If proposed capital raise of INR50b factored in) – FS multiple of 4x
NBFC business
Shriram Investments
AMC
Pharma, IT and Others
Target Value
Current market cap.
Upside (%)
Value
(INR B)
519
81
7
164
771
533
44.7
Value (USD
B)
7.7
1.2
0.1
2.5
11.5
8.0
44.7
INR per
share
2,726
426
35
863
4,050
2,798
44.7
% To Total
67
11
1
21
100
Rationale
4x PBV; ROA/ROE of ~4%/~16% - Loan CAGR of 40% FY17-20
Based on our Target Multiple; Implied 1.8x of invested capital
7% AUM
Pharma EV/EBITDA 14x; IT EV/Sales of 4x
Implied 3.5x Consolidated BV
Source: Company, MOSL
18 May 2017
25
 Motilal Oswal Financial Services
Piramal Enterprises
Financials and Valuations - Consolidated
INCOME STATEMENT
FY13
FY14
FY15
Revenues
35,440
45,030
51,230
Change (%)
50.7
27.1
13.8
HealthCare
24,410
28,200
31,210
Financial Services
3,930
7,260
9,371
Info Mgmt
6,510
8,900
10,196
Others
590
670
453
EBITDA*
4,331
4,314
8,698
Change (%)
30.3
-0.4
101.6
HealthCare
-92
947
299
Financial Services #
2,796
2,110
6,575
Info Mgmt
1,628
1,257
1,824
Depreciation
2,096
2,469
2,899
HealthCare
1,457
1,560
1,927
Financial Services
6
14
17
Info Mgmt
633
896
954
EBIT*
2,236
1,845
5,799
Change (%)
10.0
-17.5
214.4
HealthCare
-1,549
-613
-1,628
Financial Services #
2,790
2,096
6,557
Info Mgmt
995
361
870
Unallocated Inc/(Exp)
0
0
-2,407
Core PBT
2,236
1,845
3,392
Change (%)
10.0
-17.5
83.9
Exceptional Items
0
0
26,962
Reported PBT
2,236
1,845
30,354
Taxes
248
628
3,450
Tax Rate (%)
11.1
34.0
11.4
PAT
1,988
1,217
26,904
Change (%)
0.6
-38.8
2,110.3
Minority Interest
56
8
-3
Share from Asso. Co
-42
-31
1,593
PAT Post MI
1,890
1,178
28,500
Change (%)
-2.5
-37.7
2,318.7
Dividend (Including Tax)
3,533
10,599
4,154
* Ex Exceptional, # Post interest expenses; FY16 & FY17 nos based on IND AS
FY16
63,815
24.6
34,670
17,397
11,559
188
13,726
57.8
2,495
8,185
3,046
2,554
1,344
26
1,185
11,172
92.6
1,151
8,159
1,862
-4,028
7,144
110.6
457
7,600
495
6.5
7,105
-73.6
0
1,942
9,047
-68.3
3,635
FY17E
85,468
33.9
38,920
33,515
12,224
809
22,506
64.0
5,898
14,241
2,368
3,817
2,564
25
1,228
18,689
67.3
3,334
14,216
1,140
-5,487
13,202
84.8
-100
13,103
2,281
17.4
10,821
52.3
0
1,702
12,523
38.4
4,227
FY18E
116,837
36.7
50,221
52,117
13,691
809
34,826
54.7
9,500
22,314
3,012
3,397
2,094
25
1,278
31,429
68.2
7,406
22,289
1,734
-8,183
23,246
76.1
0
23,246
4,184
18.0
19,062
76.2
0
2,432
21,494
71.6
7,308
FY19E
143,396
22.7
57,061
70,193
15,334
809
43,354
24.5
11,878
28,102
3,373
3,697
2,344
25
1,328
39,657
26.2
9,534
28,077
2,045
-8,383
31,274
34.5
0
31,274
5,629
18.0
25,645
34.5
0
3,133
28,777
33.9
9,784
(INR M)
FY20E
175,649
22.5
64,897
92,769
17,174
809
52,546
21.2
13,864
34,904
3,778
3,997
2,594
25
1,378
48,549
22.4
11,269
34,879
2,400
-8,583
39,966
27.8
0
39,966
7,194
18.0
32,772
27.8
0
3,830
36,602
27.2
12,811
18 May 2017
26
 Motilal Oswal Financial Services
Piramal Enterprises
Financials and Valuations - Consolidated
BALANCE SHEET
Y/E MARCH
Equity Share Capital
Reserves and Surplus
Networth
Borrowings
Change (%)
Other liabilities
Change (%)
Total Liabilities
Loans+Investments
Change (%)
Goodwill
Fixed Assets
Other assets
Change (%)
Total Assets
* Under Indian GAAP
Profitability Ratios (%)
EBITDA Margin - IT
EBITDA Margin - Pharma
Core ROE
ROE
Valuations
Book Value (INR)
BV Growth (%)
Price-BV (x)
EPS (INR)
EPS Growth (%)
Price-Earnings (x)
DPS (INR)
Dividend Yield (%)
E: MOSL Estimates
FY13
345
106,891
107,236
76,881
275.6
18,404
26.0
202,521
114,613
-2.6
40,045
20,768
27,094
204.4
202,521
FY14
345
92,866
93,211
95,519
24.2
26,316
43.0
215,045
111,406
-2.8
44,236
22,585
36,818
35.9
215,045
FY15
345
117,014
117,359
73,061
-23.5
18,937
-28.0
209,358
115,153
3.4
52,393
21,031
20,781
-43.6
209,358
FY16*
345
123,876
124,221
162,545
122.5
21,591
14.0
308,356
199,609
73.3
57,141
26,532
25,075
20.7
308,356
FY17E*
345
132,173
132,518
291,966
79.6
25,710
19.1
450,193
313,129
56.9
57,141
29,185
50,739
102.3
450,193
FY18E
345
146,358
146,704
383,857
31.5
31,810
23.7
562,371
435,129
39.0
57,141
32,103
37,998
-25.1
562,371
FY19E
345
165,351
165,697
522,981
36.2
40,594
27.6
729,272
581,529
33.6
57,141
35,314
55,289
45.5
729,272
(INR M)
FY19E
345
189,143
189,488
683,970
30.8
52,635
29.7
926,093
760,869
30.8
57,141
38,845
69,239
25.2
926,093
25.0
-0.4
1.8
1.7
14.1
3.4
1.2
1.2
17.9
1.0
2.9
27.1
18.5
7.2
5.5
7.5
19.4
13.3
9.8
9.8
22.0
18.9
15.4
15.4
22.0
20.8
18.4
18.4
22.0
21.4
20.6
20.6
621
-4.6
11.0
-2
20
540
-13.1
6.8
-38
61
680
25.9
165.2
2,319
24
720
5.8
52.4
-68
21
768
6.7
3.7
72.6
38
39.0
24
0.9
850
10.7
3.3
124.6
72
22.7
42
1.5
960
12.9
2.9
166.8
34
17.0
57
2.0
1,098
14.4
2.6
212.1
27
13.3
74
2.6
18 May 2017
27
 Motilal Oswal Financial Services
Piramal Enterprises
NOTES
18 May 2017
28
 Motilal Oswal Financial Services
GALLERY
Piramal Enterprises
18 May 2017
29
 Motilal Oswal Financial Services
Disclosures
This document has been prepared by Motilal Oswal Securities Limited (hereinafter referred to as Most) to provide information about the company (ies) and/sector(s), if any, covered in the report and may be distributed by it
and/or its affiliated company(ies). This report is for personal information of the selected recipient/s and does not construe to be any investment, legal or taxation advice to you. This research report does not constitute an
offer, invitation or inducement to invest in securities or other investments and Motilal Oswal Securities Limited (hereinafter referred as MOSt) is not soliciting any action based upon it. This report is not for public distribution
and has been furnished to you solely for your general information and should not be reproduced or redistributed to any other person in any form. This report does not constitute a personal recommendation or take into
account the particular investment objectives, financial situations, or needs of individual clients. Before acting on any advice or recommendation in this material, investors should consider whether it is suitable for their
particular circumstances and, if necessary, seek professional advice. The price and value of the investments referred to in this material and the income from them may go down as well as up, and investors may realize losses
on any investments. Past performance is not a guide for future performance, future returns are not guaranteed and a loss of original capital may occur.
MOSt and its affiliates are a full-service, integrated investment banking, investment management, brokerage and financing group. We and our affiliates have investment banking and other business relationships with a some
companies covered by our Research Department. Our research professionals may provide input into our investment banking and other business selection processes. Investors should assume that MOSt and/or its affiliates are
seeking or will seek investment banking or other business from the company or companies that are the subject of this material and that the research professionals who were involved in preparing this material may educate
investors on investments in such business . The research professionals responsible for the preparation of this document may interact with trading desk personnel, sales personnel and other parties for the purpose of
gathering, applying and interpreting information. Our research professionals are paid on twin parameters of performance & profitability of MOSt.
MOSt generally prohibits its analysts, persons reporting to analysts, and members of their households from maintaining a financial interest in the securities or derivatives of any companies that the analysts cover.
Additionally, MOSt generally prohibits its analysts and persons reporting to analysts from serving as an officer, director, or advisory board member of any companies that the analysts cover. Our salespeople, traders, and
other professionals or affiliates may provide oral or written market commentary or trading strategies to our clients that reflect opinions that are contrary to the opinions expressed herein, and our proprietary trading and
investing businesses may make investment decisions that are inconsistent with the recommendations expressed herein. In reviewing these materials, you should be aware that any or all of the foregoing among other things,
may give rise to real or potential conflicts of interest. MOSt and its affiliated company(ies), their directors and employees and their relatives may; (a) from time to time, have a long or short position in, act as principal in, and
buy or sell the securities or derivatives thereof of companies mentioned herein. (b) be engaged in any other transaction involving such securities and earn brokerage or other compensation or act as a market maker in the
financial instruments of the company(ies) discussed herein or act as an advisor or lender/borrower to such company(ies) or may have any other potential conflict of interests with respect to any recommendation and other
related information and opinions.; however the same shall have no bearing whatsoever on the specific recommendations made by the analyst(s), as the recommendations made by the analyst(s) are completely independent
of the views of the affiliates of MOSt even though there might exist an inherent conflict of interest in some of the stocks mentioned in the research report
Reports based on technical and derivative analysis center on studying charts company's price movement, outstanding positions and trading volume, as opposed to focusing on a company's fundamentals and, as such, may not match with a report on a
company's fundamental analysis. In addition MOST has different business segments / Divisions with independent research separated by Chinese walls catering to different set of customers having various objectives, risk profiles, investment horizon,
etc, and therefore may at times have different contrary views on stocks sectors and markets.
Unauthorized disclosure, use, dissemination or copying (either whole or partial) of this information, is prohibited. The person accessing this information specifically agrees to exempt MOSt or any of its affiliates or employees
from, any and all responsibility/liability arising from such misuse and agrees not to hold MOSt or any of its affiliates or employees responsible for any such misuse and further agrees to hold MOSt or any of its affiliates or
employees free and harmless from all losses, costs, damages, expenses that may be suffered by the person accessing this information due to any errors and delays. The information contained herein is based on publicly
available data or other sources believed to be reliable. Any statements contained in this report attributed to a third party represent MOSt’s interpretation of the data, information and/or opinions provided by that third party
either publicly or through a subscription service, and such use and interpretation have not been reviewed by the third party. This Report is not intended to be a complete statement or summary of the securities, markets or
developments referred to in the document. While we would endeavor to update the information herein on reasonable basis, MOSt and/or its affiliates are under no obligation to update the information. Also there may be
regulatory, compliance, or other reasons that may prevent MOSt and/or its affiliates from doing so. MOSt or any of its affiliates or employees shall not be in any way responsible and liable for any loss or damage that may
arise to any person from any inadvertent error in the information contained in this report. MOSt or any of its affiliates or employees do not provide, at any time, any express or implied warranty of any kind, regarding any
matter pertaining to this report, including without limitation the implied warranties of merchantability, fitness for a particular purpose, and non-infringement. The recipients of this report should rely on their own
investigations.
This report is intended for distribution to institutional investors. Recipients who are not institutional investors should seek advice of their independent financial advisor prior to taking any investment decision based on this
report or for any necessary explanation of its contents.
Most and it’s associates may have managed or co-managed public offering of securities, may have received compensation for investment banking or merchant banking or brokerage services, may have received any
compensation for products or services other than investment banking or merchant banking or brokerage services from the subject company in the past 12 months.
Most and it’s associates have not received any compensation or other benefits from the subject company or third party in connection with the research report.
Subject Company may have been a client of Most or its associates during twelve months preceding the date of distribution of the research report
MOSt and/or its affiliates and/or employees may have interests/positions, financial or otherwise of over 1 % at the end of the month immediately preceding the date of publication of the research in the securities mentioned
in this report. To enhance transparency, MOSt has incorporated a Disclosure of Interest Statement in this document. This should, however, not be treated as endorsement of the views expressed in the report.
Motilal Oswal Securities Limited is registered as a Research Analyst under SEBI (Research Analyst) Regulations, 2014. SEBI Reg. No. INH000000412
Pending Regulatory inspections against Motilal Oswal Securities Limited:
SEBI pursuant to a complaint from client Shri C.R. Mohanraj alleging unauthorized trading, issued a letter dated 29th April 2014 to MOSL notifying appointment of an Adjudicating Officer as per SEBI regulations to hold inquiry
and adjudge violation of SEBI Regulations; MOSL replied to the Show Cause Notice whereby SEBI granted us an opportunity of Inspection of Documents. Since all the documents requested by us were not covered we have
requested to SEBI vide our letter dated June 23, 2015 to provide pending list of documents for inspection.
List of associate companies of Motilal Oswal Securities Limited -Click
here to access detailed report
Analyst Certification
The views expressed in this research report accurately reflect the personal views of the analyst(s) about the subject securities or issues, and no part of the compensation of the research analyst(s) was, is, or will be directly or
indirectly related to the specific recommendations and views expressed by research analyst(s) in this report. The research analysts, strategists, or research associates principally responsible for preparation of MOSt research
receive compensation based upon various factors, including quality of research, investor client feedback, stock picking, competitive factors and firm revenues
Piramal Enterprises
Disclosure of Interest Statement
Analyst ownership of the stock
No
Served as an officer, director or employee -
No
A graph of daily closing prices of securities is available at www.nseindia.com and http://economictimes.indiatimes.com/markets/stocks/stock-quotes
Regional Disclosures (outside India)
This report is not directed or intended for distribution to or use by any person or entity resident in a state, country or any jurisdiction, where such distribution, publication, availability or use would be contrary to law,
regulation or which would subject MOSt & its group companies to registration or licensing requirements within such jurisdictions.
For Hong Kong:
This report is distributed in Hong Kong by Motilal Oswal capital Markets (Hong Kong) Private Limited, a licensed corporation (CE AYY-301) licensed and regulated by the Hong Kong Securities and Futures
Commission (SFC) pursuant to the Securities and Futures Ordinance (Chapter 571 of the Laws of Hong Kong) “SFO”. As per SEBI (Research Analyst Regulations) 2014 Motilal Oswal Securities (SEBI Reg No. INH000000412) has
an agreement with Motilal Oswal capital Markets (Hong Kong) Private Limited for distribution of research report in Kong Kong. This report is intended for distribution only to “Professional Investors” as defined in Part I of
Schedule 1 to SFO. Any investment or investment activity to which this document relates is only available to professional investor and will be engaged only with professional investors.” Nothing here is an offer or solicitation
of these securities, products and services in any jurisdiction where their offer or sale is not qualified or exempt from registration. The Indian Analyst(s) who compile this report is/are not located in Hong Kong & are not
conducting Research Analysis in Hong Kong.
For U.S.
Motilal Oswal Securities Limited (MOSL) is not a registered broker - dealer under the U.S. Securities Exchange Act of 1934, as amended (the"1934 act") and under applicable state laws in the United States. In addition MOSL is
not a registered investment adviser under the U.S. Investment Advisers Act of 1940, as amended (the "Advisers Act" and together with the 1934 Act, the "Acts), and under applicable state laws in the United States.
Accordingly, in the absence of specific exemption under the Acts, any brokerage and investment services provided by MOSL, including the products and services described herein are not available to or intended for U.S.
persons.
This report is intended for distribution only to "Major Institutional Investors" as defined by Rule 15a-6(b)(4) of the Exchange Act and interpretations thereof by SEC (henceforth referred to as "major institutional investors").
This document must not be acted on or relied on by persons who are not major institutional investors. Any investment or investment activity to which this document relates is only available to major institutional investors
and will be engaged in only with major institutional investors. In reliance on the exemption from registration provided by Rule 15a-6 of the U.S. Securities Exchange Act of 1934, as amended (the "Exchange Act") and
interpretations thereof by the U.S. Securities and Exchange Commission ("SEC") in order to conduct business with Institutional Investors based in the U.S., MOSL has entered into a chaperoning agreement with a U.S.
registered broker-dealer, Motilal Oswal Securities International Private Limited. ("MOSIPL"). Any business interaction pursuant to this report will have to be executed within the provisions of this chaperoning agreement.
The Research Analysts contributing to the report may not be registered /qualified as research analyst with FINRA. Such research analyst may not be associated persons of the U.S. registered broker-dealer, MOSIPL, and
therefore, may not be subject to NASD rule 2711 and NYSE Rule 472 restrictions on communication with a subject company, public appearances and trading securities held by a research analyst account.
For Singapore
Motilal Oswal Capital Markets Singapore Pte Limited is acting as an exempt financial advisor under section 23(1)(f) of the Financial Advisers Act(FAA) read with regulation 17(1)(d) of the Financial Advisors Regulations and is a
subsidiary of Motilal Oswal Securities Limited in India. This research is distributed in Singapore by Motilal Oswal Capital Markets Singapore Pte Limited and it is only directed in Singapore to accredited investors, as defined in
the Financial Advisers Regulations and the Securities and Futures Act (Chapter 289), as amended from time to time.
In respect of any matter arising from or in connection with the research you could contact the following representatives of Motilal Oswal Capital Markets Singapore Pte Limited:
Varun Kumar
Varun.kumar@motilaloswal.com
Contact : (+65) 68189232
Office Address:21 (Suite 31),16 Collyer Quay,Singapore 04931
Piramal Enterprises
Motilal Oswal Securities Ltd
Motilal Oswal Tower, Level 9, Sayani Road, Prabhadevi, Mumbai 400 025
Phone: +91 22 3982 5500 E-mail: reports@motilaloswal.com
18 May 2017
30