Initiating Coverage |
13
June
2017
Sector:
Financials - NBFC
Cholamandalam Finance
Prepared, Equipped and Armed
Piran Engineer
(Piran.Engineer@MotilalOswal.com); +91 22 3980 4393
Alpesh Mehta
(Alpesh.Mehta@MotilalOswal.com); +91 22 3982 5415
Investors are advised to refer through important disclosures made at the last page of the Research Report.
Motilal Oswal research is available on www.motilaloswal.com/Institutional-Equities, Bloomberg, Thomson Reuters, Factset and S&P Capital.

Cholamandalam Investment & Finance
Contents | Cholamandalam Investment & Finance
Summary ............................................................................................................. 3
Well positioned to deliver high growth ................................................................. 5
SWOT analysis .................................................................................................... 13
Structural improvement in operating expenses ................................................... 14
Asset quality better than peers ........................................................................... 18
Strong earnings visibility..................................................................................... 20
Valuation and view............................................................................................. 24
Bull & Bear case
................................................................................................. 26
Company background ......................................................................................... 27
Key risks............................................................................................................. 28
Financials and valuations .................................................................................... 29
13 June 2017
2

Cholamandalam Investment & Finance
BSE Sensex
31,213
S&P CNX
9,647
Cholamandalam Investment & Finance
Initiating Coverage | Sector: Financials - NBFC
CMP: INR1,040
TP: INR1,250 (+20%)
BUY
Stock Info
Bloomberg
Equity Shares (m)
52-Week Range (INR)
1, 6, 12 Rel. Per (%)
M.Cap. (INR b)
M.Cap. (USD b)
Avg Val, INRm
Free float (%)
Prepared, Equipped and Armed
CIFC IN
156.3
1244 / 805
-1/17/-4
163
2.5
361
46.9
On path to become one of India’s finest multi-product lenders
Financial Snapshot (INR b)
Y/E March
2017 2018E
NII
23,473 28,492
PPP
14,162 18,035
Adj. PAT
7,187 8,861
46.0
56.7
EPS (INR)
26.3
23.3
EPS Gr. (%)
274
323
BV (INR)
2.6
2.8
RoAA (%)
18.1
19.0
RoE (%)
Valuations
P/E (x)
22.8
18.5
3.8
3.2
P/BV (x) Div.
0.5
0.6
Yield (%)
2019E
33,870
22,200
11,044
70.6
24.6
386
3.0
19.9
14.9
2.7
0.7
From a niche vehicle financier, Cholamandalam Investment and Finance
Corporation (CIFC) has transformed into a diversified asset finance play, with
vehicle finance (VF) now comprising 69% of the loan book, followed by home
equity (HE; 28%) and new business segments (home loan/MSME financing; ~3%).
Over the past five years, CIFC has delivered 20% AUM CAGR, driven by 19% CAGR
in VF and 25% in HE. However, EPS compounded at 30% over the same time
period. We believe CIFC has built the foundation to achieve 19% AUM CAGR and
23% PAT CAGR over FY17-20.
CIFC also improved its expense ratio by 60bp to 3.2% over FY12-17, driven by
better use of technology. We believe CIFC is well poised to reap further benefits of
operating leverage due to better employee productivity, enhanced use of
technology for loan sourcing and moderation in recovery expenses. We expect the
expense ratio to decline from 3.2% to 2.7% over FY17-20.
The structural decline in opex ratios following productivity improvement should
elevate RoA/RoE from 2.6%/18% in FY17 to 3.0%/20% in FY20. The stock price has
consolidated over the past year, which provides an attractive entry point. We
initiate coverage with a Buy rating and a target price of INR1,250 (3.2x FY19E BV).
Shareholding pattern (%)
As On
Mar-17 Dec-16 Mar-16
Promoter
53.1
53.1
53.1
DII
15.9
16.7
24.4
FII
20.7
17.8
15.3
Others
10.3
12.5
7.2
FII Includes depository receipts
Cholamandalam Investment
& Finance
Prepared, Equipped and Armed
Strong foundation to deliver 18-20% AUM growth over the foreseeable future
CIFC was an early entrant in the loans against property (LAP) business, which has
helped it to navigate the downturn in the CV cycle over 2012-14. The LAP book
has now grown to INR96b (28% of AUM). Conversely, the subsequent pick-up in
the vehicle finance segment over the past 6-8 quarters has helped it to navigate
the slowdown in LAP. CIFC has also started MSME financing and home loans.
Both these segments are growing at a fast pace (albeit off a low base – INR9b
cumulative). Given the sheer market opportunity in home loans, combined with
the fact that most financiers focus on the salaried segment, management
believes that the home loan book could be as big as the home equity book in five
years.
We believe CIFC has enough levers to maintain 18-20% AUM growth
over the foreseeable future without compromising on underwriting standards.
Structural decline in opex ratios to drive improvement in RoA/RoE to 3%/20%
Despite investing in branch expansion and technology, CIFC improved its
expense ratio by 60bp to 3.2% over FY12-17. However,
employee productivity,
as measured by disbursements per employee, declined from INR15.6m in FY13
to INR11.4m in FY15, given increased focus on recoveries. Recovery costs more
than doubled from INR650m in FY13 to INR1.4b in FY15.
However, with stable
asset quality, we expect moderation in recovery costs. Employee productivity
has also picked up over the past two years, but is still below FY13 levels. CIFC has
been able to cut down on overhead expenses with the use of technology.
We
expect further decline in the expense ratio from 3.2% to 2.7% over FY17-20.
Piran Engineer
+
91 22 3980 4393
Piran.Engineer@motilaloswal.com
Please click here for Video Link
13 June 2017
3

Cholamandalam Investment & Finance
Stock Performance (1-year)
Diversified asset finance play; ~20% market share in LCV financing
CIFC has emerged a significant player in the commercial vehicle (CV) finance market
by carving a niche in light commercial vehicle (LCV) finance.
It is the largest player in
the LCV finance market, with a market share of ~20%, as per our calculations.
CIFC
has built a diversified vehicle finance portfolio across M&HCVs, LCVs, tractors, used
CVs, etc., making it one of India’s most diversified vehicle finance players. In
addition to product diversification, the overall loan portfolio is also geographically
well spread out, with presence across 25 states – the largest state accounts for just
12% of its loan book. Such diversification provides flexibility in re-orienting the
portfolio based on market opportunity.
Asset quality superior to most peers; NPL recognition ahead of schedule
CIFC enjoys excellent asset quality;
its GNPL ratios of 4.2% in VF and 5.7% in LAP
(90dpd) are better than most of its asset financing peers.
This is due to its
conservative underwriting standards, stringent loan appraisals, and proactive default
detection and action upon early warning signals. CIFC disburses home equity loans at
an average LTV of 55%, lower than most of its peers. With rising stress in this market
in north India, CIFC has scaled back on disbursements there. While the shift to 90dpd
NPA recognition has increased headline NPAs, we do not expect any significant
impact on net credit losses. Additionally,
CIFC is now authorized to use SARFAESI for
defaulters in its LAP segment and has already sent 100+ notices. We expect
resolution of many of these cases in FY18. As a result, credit cost should remain
stable at ~1% over FY18-20.
Valuation and view: Strong performance to support premium valuation
CIFC is set to deliver 18-20% AUM growth over FY17-20, driven by its diversification
into newer segments and geographies.
The structural decline in opex ratios
following productivity improvements, along with stable credit costs, should
elevate RoA from 2.6% in FY17 to 3.0% in FY20.
Asset quality would remain largely
stable and better than most peers. The housing finance business, which is at a
nascent stage, would be a key value driver over the next 3-5 years. The stock has
witnessed some consolidation over the past year, which provides an attractive entry
point. We use an RI model with Rf of 7%, CoE of 13% and terminal growth rate of 5%
to arrive at a target price of INR1,250 (3.2x FY19E BV). Initiate with a
Buy
rating.
Exhibit 1: Valuation comparison
Price
SCUF
STF
BAF
MMFS
CIFC
2,433
987
1,363
351
1,040
RoA
FY17
2.7
2.0
3.3
1.0
2.6
FY18E
3.6
2.6
3.5
1.7
2.8
FY19E
3.9
2.9
3.6
1.8
3.0
FY17
11.8
11.7
21.7
6.4
18.1
RoE
FY18E
16.2
14.5
24.0
10.9
19.0
FY19E
17.8
16.3
26.2
12.9
19.9
FY17
3.2
2.0
7.8
3.1
3.8
P/B
FY18E
2.8
1.8
6.3
2.9
3.2
FY19E
2.4
1.6
5.0
2.7
2.7
FY17
28.8
17.8
40.6
49.5
22.6
P/E
FY18E
18.7
12.9
29.0
27.1
18.4
FY19E
14.8
10.2
21.4
21.4
14.7
Source: Company, MOSL
13 June 2017
4

Cholamandalam Investment & Finance
Well positioned to deliver high growth
Strong branch expansion and new product addition to drive growth
CIFC has built a diversified portfolio within vehicle financing with presence across the
spectrum. In addition, the LAP portfolio offers further loan book diversification and
helped the company during the years of the CV industry downturn (FY13-14). The
company disburses LAP from only 123 branches (out of 703), thus providing immense
scope for growth without further branch expansion.
While the company curtailed its branch expansion over FY13-16, it has now adding to
its branch network, especially in rural areas. It expects to take the total branch count
to 800 from 703 in FY18.
While demonetization impacts disbursements in the near term, the medium-term
growth story is structurally intact. Growth in the medium term will also be aided by
new products, namely SME financing and home loans.
With an AUM of more than
INR235b, CIFC is among the
largest players in the
vehicle financing industry
Diversified vehicle finance exposure protects it from cyclicality
CIFC is among the largest commercial vehicle financiers with a diversified product
suite with presence across M&HCVs, LCVs, tractors, used CVs, passenger cars, three-
wheelers, MUVs as well as used vehicles. It is the largest player in the light
commercial vehicle (LCV) segment, with ~20% market share. In addition, it has
increased its market share in the M&HCV segment from 3% to 6% over the past five
years. It is now the third largest vehicle finance player among NBFCs in India.
Exhibit 2: Vehicle Finance (ex-2W) AUM of key players (INR b)
813
788
457
309
292
236
200
HDFCB
SHTF
MMFS
IIB
KMB
CIFC
SUF
Source: MOSL, Company; Note: KMB numbers are consolidated
CIFC is well-diversified
geographically with no state
accounting for more than
12% of AUM
CIFC has aggressively expanded its branch network and is geographically well
diversified with presence across 25 states and no single state accounting for more
than 12% of the loan book. We believe this is one the biggest strengths of CIFC
versus other peers that are more concentrated in particular regions. Such
diversification provides flexibility in reorienting the portfolio based on market
opportunity and optimizes the risk-return profile. In addition, over 90% of its
branches are in semi-urban and rural areas. CIFC has strategically positioned itself in
the middle-to-lower end of the opportunity pyramid by targeting small road
transport operators (SRTO) for new vehicles, first-time users and small-ticket
operators (for used vehicles).
13 June 2017
5

Cholamandalam Investment & Finance
Well-diversified VF loan
book provides greater
stability
Exhibit 3: Diversified loan book provides greater stability in down-cycles
LCV
15
12
10
13
9
14
27
15
13
10
13
8
15
26
MUV
15
12
10
13
8
15
26
Cars & 3W
15
13
10
13
7
16
25
Used CV
15
14
10
13
7
16
24
15
14
10
13
7
16
25
Tractor
14
16
9
13
6
16
24
HCV
14
16
9
14
6
17
23
Refinance
14
16
9
13
6
17
23
CE
13
17
9
13
6
17
22
Q3FY15 Q4FY15 Q1FY16 Q2FY16 Q3FY16 Q4FY16 Q1FY17 Q2FY17 Q3FY17 Q4FY17
Source: MOSL, Company
Exhibit 4: Competitive positioning in the vehicle finance segment
Source: MOSL, Company
Underwriting is
conservative with 80-85%
LTV for new vehicles and
70% for used vehicles
Exhibit 5: Vehicle financing snapshot
Category
LCV
MUV
Cars & 3W
Used CV
Tractor
HCV
Refinance
% of Portfolio
22
17
6
13
9
17
13
% of disbursement
20
16
5
15
8
16
17
Avg ticket size (INR m)
0.45
0.40
0.40
0.18
0.38
1.20
NA
Source: MOSL, Company
13 June 2017
6

Cholamandalam Investment & Finance
90%+ of branches are in
rural and semi-urban areas
Pan-India presence with 90%+ branches in Tier-II and III cities
As of March 2017, the company has 703 branches across 25 states in India.
Currently, over 90% of CIFC’s branches are based in semi-urban and rural areas,
where it has operated for more than two decades and carved a niche in vehicle
financing. CIFC has a strong presence in southern, northern and western regions,
and is also expanding its footprint in the eastern markets.
Exhibit 7: 90%+ branches are in semi-urban and rural areas
Rural
23
24
24
29
FY17
FY12
FY13
FY14
FY15
FY16
FY17
71
71
71
71
19
10
19
10
Urban
19
10
19
10
Semi-Urban
20
10
16
8
Exhibit 6: Geographically well-spread branch network
South
15
21
23
40
FY12
17
24
24
35
FY13
North
19
24
24
33
FY14
West
21
26
26
27
FY15
21
26
26
27
FY16
East
70
76
Source: MOSL, Company
Source: MOSL, Company
No state accounts for more
than 12% of AUM
Exhibit 8: Loan book well spread geographically
Haryana, 3
Orissa,
5 UP, 6
KTK, 5
Other States, 13
TN, 8
AP, 4
MAH, 12
MP, 6
Delhi, 3
WB, 5
Kerala, 4
GUJ, 5
Chattisgarh, 7
Source: MOSL, Company
RAJ, 10
PUN, 4
The LCV segment has begun
to witness a turnaround in
the past few quarters
The turnaround in HCV sales volumes in the past year, the gradual pickup in
industrial activity with the government’s thrust on infrastructure (such as improved
road development) will likely provide significant opportunities for CIFC in the vehicle
finance segment. CIFC’s LCV segment, which witnessed declining AUM in FY15/16,
has begun to turnaround in the past 4-5 quarters. Generally, a turnaround in the LCV
segment comes with a lag over the M&HCV segment. We believe sustained pick-up
in the HCV segment and stabilization in fuel costs should likely lead to a turnaround
in the LCV segment too.
Market leader in Light Commercial Vehicles (LCV)
LCV has historically been an important segment for the company. However, the
segment’s contribution to overall AUM has dropped to 22% in FY17 from 29% in
FY14. Yet, the portfolio grew at 2% Cagr, which comfortably exceeds the volume
decline of 5% for auto manufacturers in the segment over the same time period.
13 June 2017
7

Cholamandalam Investment & Finance
Exhibit 9: Market share in LCV and M&HCV
19
18
LCV
18
M&HCV
15
19
19
CIFC is a leader in LCV
financing and has
maintained its market share
over the years
FY12
3
4
4
4
6
6
FY13
FY14
FY15
FY16
FY17
Source: MOSL, Company
Several indicators point to sustained pick-up in vehicle financing
While disbursements in the vehicle financing business grew at 31% Cagr over FY08-
13, it came to a grinding halt over the next two years driven by the down-cycle in
the CV industry. Disbursements contracted 5% over FY13-15, with LCV
disbursements contracting over 30% over the two-year period. However, with the
government’s thrust on infrastructure, M&HCV volumes turned, leading to a 16%
CAGR in HCV disbursements over FY15-17. With stable freight rates, significant focus
on road construction and pick-up in mining activity, we expect CV volumes to
continue to deliver robust growth over the medium term.
Sharp slowdown in VF
disbursements in FY14 and
FY15 due to lack of
industrial capex and impact
of mining ban
Exhibit 10: VF disbursements has witnessed a pick-up in the past two years
57
63
VF disbursements (INRb)
Growth(%)
35
2
45
FY11
73
FY12
99
FY13
101
FY14
32
17
(8)
94
FY15
124
FY16
145
FY17
Source: MOSL, Company
Government’s thrust on
infrastructure (especially
road construction and
affordable housing) bodes
well for the CV industry
One of the significant focus areas of the current Union Government has been on
road building. Road construction target has increased from less than 10km/day in
2014 when the current government was elected to 40km/day. Recently, the
government also cleared a proposal wherein the NHAI/Govt Agency would have to
pay 75% of dues payable to road contractors in matters of arbitration. This would
help contractors deleverage their balance sheets as well as bid for new road
projects. We believe this is a significant step towards increasing private sector
participation in infrastructure development. We believe the CV industry is a direct
beneficiary of increased investments in infrastructure.
13 June 2017
8

Cholamandalam Investment & Finance
Pickup in LCV segment comes with a lag
While growth in M&HCV sales has picked up smartly over the past two years, the
LCV sales have lagged it. It has been observed that generally, a pick-up in LCV sales
happens with a lag over M&HCV sales. In addition, the ratio of LCVs sold to M&HCVs
sold in India was 1.4x in FY17, significantly below the average of 3.0x in developed
countries. While the ratio has gradually improved over the past decade, it is still
below its peak of 2.2x in FY14. With a fourth of the VF book comprising LCV
financing, we expect CIFC to be a key beneficiary of the expected growth in LCVs
over the medium term, due to reasons mentioned above.
Exhibit 11: LCV growth has lagged M&HCV growth in the recent past
60
40
20
0
-20
-40
M&HCV growth %
LCV growth %
9
1
Source: MOSL, Company
Ratio of LCVs to M&HCVs
sold at 1.4x is way below
historical average
Exhibit 12: Sales of LCVs per M&HCV – Long-term trend on an upswing (x)
2.0
1.2
1.3
2.2
1.6
1.1
0.6
0.6
0.7
0.7
0.8
1.1
1.2
1.4
Source: MOSL, Company, SIAM
Early entrant in the Home Equity (LAP) segment
CIFC entered the Home
Equity (LAP) segment in
2007, in order to diversify
the business
CIFC entered the home equity (loans against property) business in 2007 in order to
provide stability to its loan growth and earnings. Over the past few years, the
company has built capabilities in assessing underlying assets and cash flows of
borrowers. The company has been operating in this segment for the past nine years
and has grown steadily without much asset quality issues.
Over FY11-16, the home equity portfolio grew at more than 33% CAGR, driven by
the disbursement CAGR of 23%. With the slowdown in the vehicle finance segment,
the home equity proportion in CIFC’s AUM mix increased from 22% to 29% over the
same time period. Management took a cautious stance in LAP in FY17 (given early
signs of stress) resulting in 12% YoY decline in disbursements in FY17. However,
management is confident of a return to normalcy in 1-2 quarters. We expect the
13 June 2017
9

Cholamandalam Investment & Finance
share of LAP to remain largely stable going forward. In addition, of the 703
branches, home equity loans are disbursed from only 123 branches. This provides
immense opportunity to scale up the HE business without geographic concentration.
Exhibit 13: HE disbursements up almost 3x over FY11-16
HE Disbursements (INRb)
23
24
41
30
8
14
(12)
12
15
22
28
30
35
31
22
31
43
59
73
90
Growth (%)
Exhibit 14: Resulting in >30% CAGR in HE AUM over FY11-16
49
Home Equity AUM (INRb)
42
41
35
24
24
6
96
Growth (%)
Source: MOSL, Company
Source: MOSL, Company
The share of HE loan book
increased from 22% in FY11
to 27% in FY17
Exhibit 15: Loan book mix trend
Vehicle Finance (%)
12
22
5
24
2
25
2
24
Home Equity (%)
2
29
4
29
Others (%)
0
1
27
27
2
26
66
71
72
74
68
68
72
73
71
Source: MOSL, Company
CIFC is a conservative player
in LAP, offering loans with
average ticket size of INR5m
at LTV of 50-60% with yields
of 14-15%
CIFC offers its home equity products through 109 branches and primarily targets
self-employed non-professional individuals in the middle socio-economic class with
self-occupied residential properties. The loans carry yield of ~13% incrementally,
with LTVs in the range of 50-60%, tenures of 5-7 years and the average ticket size of
INR5m. The focus is predominantly on self-occupied residential properties (88% of
AUM).
Exhibit 16: 88% of portfolio comprises self-occupied residential property
Self Occupied
Residential
Property
88%
Commercial,
7%
Others,
5%
Source: MOSL, Company
13 June 2017
10

Cholamandalam Investment & Finance
Home Equity loans have a
lower yield than VF loans;
however, operating costs as
well as credit costs are
lower too
Home equity loans are sticky (with higher tenure of up to 7 years vs 3 years for
vehicle finance) and hence help the company to build scale. Yields in the home
equity loans business are lower than those in the vehicle finance business -
however, this is compensated by lower operating costs, led by a larger ticket size
and lower collection costs. The foray into this business has particularly benefited
credit costs, which, despite hardening, are significantly lower than the vehicle
finance business.
Exhibit 18: … compensated by lower expense ratio
NIM - HE
Opex - VF
Opex - HE
3.8 3.8 3.8 3.8 3.8 3.7 3.8
3.5 3.3 3.5 3.5 3.6 3.7
Exhibit 17: Lower NIMs in HE….
NIM - VF
7.1 6.7 6.9 7.2 7.5
8.1 8.1 8.2 8.5 8.1 8.1 8.2 8.4
5.6 5.3 5.3 5.3 5.4 5.1 5.1 5.1 5.1
4.5 4.5 4.4 4.4
1.6 1.4 1.4
1.3 1.3 1.2 1.2 1.2 1.2 1.1 1.2 1.2 1.2
Source: MOSL, Company
Source: MOSL, Company
Exhibit 19: Lower credit cost in HE
Credit cost VF (%)
Credit cost HE (%)
2.2 2.1 2.1
1.9 1.8 1.9 2.0
1.6
1.7
1.4 1.4
1.3
1.3
0.2 0.2
0.5 0.4 0.5 0.4
0.7 0.7
0.9 1.0
0.7 0.8 0.9
Exhibit 20: RoA depressed in near term due to yield pressure
VF RoA (PBT) (%)
3.8 3.7
3.7
3.4 3.6
3.4
HE RoA (PBT) (%)
3.1 3.2 3.2 3.1
3.0
2.4
2.1
2.0 2.2 2.2
1.6 1.6 1.8
2.6
3.1 3.1
3.2
2.3 2.3 2.2
Source: MOSL, Company
Source: MOSL, Company
Expertise in assessing cash flows of borrowers
65-70% of credit decisions
in home equity are taken at
the branch level
CIFC does not rely solely on the assessment of the collateralized asset for credit
sanction. Rather, the appraisal of the business and its cash flows are key factors of
the appraisal exercise. Most SMEs do not disclose their entire income in the
financial statements and assessing cash flows thus becomes challenging. The
appraisal team at CIFC forecasts cash flows of businesses with analysis done via site
visits, local intelligence and reference checks. Moreover, the company has not
restricted itself to any particular segment, but has developed expertise in
understanding business dynamics of several SME segments. Around 65-70% of
credit decisions are taken at the branch level. Generally credit decisions for cases
with large ticket sizes, high LTVs or specific industries which branch level credit
managers do not have strong understanding of, are taken at the head office levels.
13 June 2017
11

Cholamandalam Investment & Finance
Slowdown in growth due to hyper-competitive environment
Over the past few years, several new players entered the home equity market, given
the high risk-adjusted returns it offered. Our interaction with management suggests
that the northern markets have now started to witness early signs of stress. Chola
has been proactive in scaling back from these markets resulting in AUM growth in
the LAP segment declining from 25% a few quarters back to 14% in 3QFY17. There
has been pressure on yields in the past few quarters for CIFC as the company has
been unwilling to compromise on underwriting standards. Demonetization, too, has
had an impact on growth as well as collections in this segment. Management
believes that recovery is still another 2-3 quarters away.
Pick up in loan growth from FY18 onwards
We expect sustained turnaround in the CV segment, scale-up of home equity in new
geographies and thrust on new segments (home loan and MSME financing) to drive
loan book CAGR of 19% over FY17-FY20E.
Exhibit 21: CIFC’s AUM should pick up in FY18 and grow at 18%+ YoY
44
41
AUM (INR b)
Growth (%)
22
9
135
FY12
191
FY13
233
FY14
255
FY15
17
15
342
FY17
18
20
19
298
FY16
404
FY18E
484
FY19E
575
FY20E
Source: MOSL, Company
13 June 2017
12

Cholamandalam Investment & Finance
SWOT analysis
Unique and sound business model, presence in high yield,
high growth business segments and superior sustainable
returns
Most diversified asset financier both in term of products as
well as geographies, which helps mitigate risks
CIFC has invested heavily on technology as a strategic
enabler which has helped it to race ahead of peers.
Strength
Operates in a high risk segments particularly in pre-
Weaknesses
owned commercial vehicles. Asset quality in these
segments remain susceptible to volatility
Dependence on wholesale funding is high. The company
is trying to reduce this by exploring the NCD route
The customer segment it caters too does not have
adequate documentation
Operates in business segments with huge growth
potential and is adequately capitalized to maintain
business momentum
Forayed into SME and home loan segment, both of
which offer huge potential
Opportunities
Threats
CIFC operates in lucrative high yielding segments
which could attract stiff competition from small
finance banks and other specialized NBFCs.
In case of economic slowdown or dip in income levels,
NPA accretion could be high
Changes in regulatory guidelines could impact the
business performance
13 June 2017
13

Cholamandalam Investment & Finance
Structural improvement in operating expenses
Significant productivity gains to lower costs over medium term
Over FY11-14, CIFC more than doubled its branch count as well as employee base. It
also spent heavily on upgrading its technology. As a result operating expenses grew at
~40% CAGR over FY111-14.
Over FY14-16, branch count was largely stable as the company focused more on
recoveries and deepening penetration. The company has just started growing its
branch network in FY17, particularly in rural areas. However, with low set-up costs
and 3-4 employees per branch, growth in operating expenses is expected to moderate
significantly. Recovery expenses, too, are expected to remain stable going forward.
With strong AUM growth over the medium term coupled with moderate growth in
operating expenses, we expect expense ratio to decline 50bps to 2.7% over FY17-20.
Over FY11-14, the company
more than doubled branch
network and headcount
Over FY11-15, CIFC more than doubled its branch count as well as workforce.
Moreover, it has spent heavily on technology upgrade, leading to a CAGR increase of
~31% over FY12-15 in IT expenses, while expenses related to recoveries went up by
~35% CAGR v/s a 20% CAGR in overall expenses.
After rapid capacity addition up to FY14, the company went into consolidation mode
over the next 2 years, with branch count largely stable over FY14-16. The company
resumed branch opening in FY17, taking the branch count from 534 in FY16 to 703
in FY17. Management has guided to reaching a branch network of 800 branches by
1HFY18. However, most of the new branches will be Class ‘E’ branches, i.e. smallest
type of branches with 2-4 employees only, mostly in rural areas. Additionally, the
share of branches opened in eastern geographies will be higher than other
geographies.
Management expects the
branch count to reach 800
branches by 1HFY18
Exhibit 22: Aggressive branch addition during FY10-14
Branch Network
518
375
251
60
FY10
FY11
FY12
FY13
FY14
FY15
FY16
FY17
574
534
534
703
Source: MOSL, Company
However, while number of branches remained largely constant over FY13-16, some
branches were made larger and more employees were added to the branches.
Hence, operating expenses grew at 14% CAGR over FY13-16 despite stable branch
count.
13 June 2017
14

Cholamandalam Investment & Finance
While branch count
remained largely stable
over FY13-16, the number
of employees per branch
increased meaningfully
Exhibit 23: Employee/branch - Opex growth driven by adding more employees to branches
24.5 24.2 24.6 24.5
20.4 20.8 20.9 20.6
22.4
19.5
20.2 20.4
25.4 25.5
22.8
20.0
22.8
Source: MOSL, Company; Note: CIFC opened 149 branches in FY17, due to which the ratio dropped
Driven by improving efficiencies, CIFC’s cost ratios have improved over the past few
years — C/I ratio is down to 42% in FY17 from 56% in FY12, and cost-to-avg AUM is
down by 60bp to 3.2% over the same time period. Despite the improvement, CIFC’s
cost ratios remain elevated compared to peers. In spite of ~30% of the loan book
comprising LAP (which has a lower cost structure), CIFC’s overall expense ratio is still
higher than pure-play VF players like SHTF and MMFS.
Exhibit 24: Comparison of cost structure with peers (FY17)
Cost-to-Income (%)
3.3
3.2
2.4
1.6
42.9
41.7
36.9
22.0
MMFS
CIFC
SUF
SHTF
Source: MOSL, Company
Opex-to-Avg AUM (%)
Automation of loan
origination coupled with
lower growth in headcount
should result in slower opex
growth going forward
Management is very focused on cost reduction over the next 3 years. Loan
origination has been automated with the sales force fully tablet-equipped. Around
35-40% of credit decisions can be taken by the sales manager on the spot,
depending on a host of parameters fed into the tablet. In addition, there will be
slower growth in the employee base going forward as CIFC significantly added to
headcount over FY12-15. Management is confident that legal and recovery expenses
should moderate going forward with bottoming out in asset quality. As such, CIFC
should reap significant benefits from operating leverage in the next three years.
During the years of the CV downturn, recovery expenses increased
disproportionately. Employees were more involved in recoveries, resulting in lower
fresh disbursements per employee. With a turnaround in the CV industry, we expect
employee productivity (disbursements per employee) to improve significantly and
also expect recovery charges to remain largely stable over the medium term.
Employee productivity
(disbursements per
employee) declined over
FY13-16, as greater focus
was on recoveries
13 June 2017
15

Cholamandalam Investment & Finance
Exhibit 25: Disb per employee declined over FY13-15 (INR m)
15.6
13.7
12.4
11.4
12.5
(5)
(20) (22) (20) (17)
Exhibit 26: … but has picked up in the past few quarters
Disb/employee (TTM)
14
12 12 12 12
11 11 12 12
9
Growth %
20 19 21
14
14
9
14 14
(3) (4) 13
(8) (6)
FY13
FY14
FY15
FY16
FY17
Source: MOSL, Company
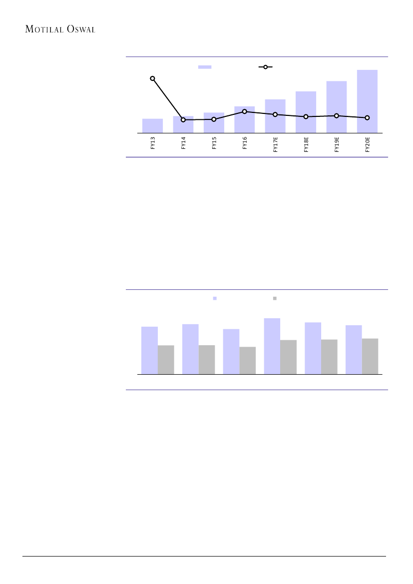
Source: MOSL, Company
Recovery charges almost
doubled from FY14 to FY15.
We expect recovery
expenses to moderate
Exhibit 27: Recovery expenses more than doubled over FY13-15
Recovery charges (INR b)
0.5
0.4
0.4
0.6
0.5
% of AUM
0.4
0.3
0.3
0.2
1.20
0.58
0.65
0.83
1.43
1.42
1.35
1.30
1.20
Source: MOSL, Company
If recovery costs decline to
FY13 levels, there would be
5% upside to FY18
estimates
Exhibit 28: Significant upside to FY18 EPS if recovery costs decline to FY13 levels
Base Case
Bear Case
Bull Case
Recovery Charges (INR b)
1.3
1.7
0.6
PAT (INR m)
8.9
8.6
9.3
EPS Impact (%)
0.0
(2.9)
4.8
Source: MOSL, Company
Exhibit 29: Disbursement growth has started exceeding growth in other opex
45
30
15
0
-15
Disb TTM growth %
Other opex TTM growth %
Source: MOSL, Company
13 June 2017
16

Cholamandalam Investment & Finance
Exhibit 30: Employee expense spike in FY17 due to induction of off-roll employees on to
the company’s rolls
Employee Expenses (INR b)
Business Origination Expenses (INR b)
Other Opex (INR b)
2.0
1.3
1.1
FY12
2.4
1.7
1.5
FY13
2.7
2.0
1.9
FY14
3.4
1.9
2.2
FY15
3.7
2.3
2.5
FY16
4.3
1.8
4.0
FY17
4.8
2.0
4.6
FY18E
5.3
2.2
5.3
FY19E
5.8
2.5
6.1
FY20E
Source: MOSL, Company
Growth in business
origination expenses and
other opex should
moderate going forward
Exhibit 31: With employees moving on-roll, growth in other opex will be moderate
29.5
FY12-17
FY17-20
15.0
7.0
11.3
16.7
10.6
Employee Expenses
Business Origination Expenses
Other Opex
Source: MOSL, Company
With lower estimated opex CAGR of 13% over FY17-20 (v/s 28% in FY12-17), we
expect the expense ratio to decline 50bp over FY17-20 to 2.7%.
Exhibit 32: Expense ratio to decline over the next two years
3.8
3.5
3.0
3.1
3.1
3.1
3.2
3.1
2.9
Cost to income (%)
Opex-to-Avg AUM Ratio (%)
2.7
40.0
FY11
56.1
FY12
49.8
FY13
44.1
FY14
43.3
FY15
39.4
FY16
41.7
FY17E
38.8
FY18E
36.6
FY19E
34.9
FY20E
Source: MOSL, Company
13 June 2017
17

Cholamandalam Investment & Finance
Asset quality better than peers
Moderation in credit cost going forward
With GNPA of 4.7% (90dpd basis), CIFC has superior asset quality to most of its NBFC
peers dealing in vehicle finance. This is aided by its diversified loan book and
conservative underwriting practices.
CIFC has witnessed significant improvement in the 30-day overdue bucket in the
vehicle finance segment in Jan/Feb 2017. In addition, it has recently started
implementing SARFAESI for NPL accounts in the home equity segment. Hence, we do
not expect deterioration in underlying asset quality.
We expect credit costs to remain largely stable over FY17-19.
GNPLs increased in the past
two years due to stress in
the home equity segment
Since FY14, CIFC has experienced elevated levels of credit costs with the operating
environment deteriorating significantly. A deceleration in economic activity and
increased delinquencies in the home equity segment resulted in a sharp increase in
NPA and loan loss provisions (LLP). GNPA increased from 1.0% in FY13 to 2.4% in
FY15 (both on 180dpd basis). Despite this, CIFC has adopted tougher NPA
recognition norms a year ahead of the RBI’s prescribed timeline (currently at 90dpd
against norm of 120dpd).
Exhibit 33: Increase in GNPA due to stress in LAP and migration to 120dpd NPA recognition
GNPA (%)
NNPA (%)
3.1
1.9
0.3
0.8
1.0
0.3
0.2
0.8
2.0
3.5
2.1
4.7
3.2
2.6
Source: MOSL, Company
Exhibit 34: While credit costs in vehicle finance have come off significantly , they have
increased in the home equity segment
Credit cost VF (%)
2.2
2.1
2.0
Credit cost HE (%)
2.1
1.7
1.3
0.8
1.3
0.9
1.4
0.9
1.4
1.9
1.8
1.9
0.2
0.5
0.4
0.5
0.4
0.7
0.7
0.7
1.0
Source: MOSL, Company
13 June 2017
18

Cholamandalam Investment & Finance
CIFC enjoys superior asset
quality compared to most
of its peers
9.0
At 90dpd, CIFC enjoys significantly better asset quality than most of its peers given
its conservative underwriting practices and diversified loan book.
Exhibit 36: Credit costs in FY17 – Much lower than peers
4.1
6.7
3.2
Exhibit 35: CIFC’s asset quality is much better than peers
8.2
4.7
1.5
3.0
0.9
0.3
SCUF
SHTF
MMFS
CIFC
SUF
MMFS
SHTF
SCUF
CIFC
SUF
Source: MOSL, Company; MMFS, SHTF and SCUF GNPA is at 120dpd,
CIFC and SUF at 90dpd
Source: MOSL, Company
Credit costs will remain
stable going forward
Exhibit 37: Credit costs (on AUM) to remain stable
1.3
0.7
1.3
1.3
0.9
1.1
1.1
1.1
FY13
FY14
FY15
FY16
FY17E
FY18E
FY19E
FY20E
Source: MOSL, Company
Provisioning policy ahead of
that stipulated by RBI
Exhibit 38: Provisioning policy followed by CIFC
RBI Norms
Up to 5 months
From 5 months to 21 months
From 21 months to 33 months
From 33 months to 57 months
Beyond 57 months
New Vehicle Finance Business
Upto 4 months
From 4 months to 6 months
From 6 months to 2 years
Beyond 2 years
Used Vehicle Finance / Refinance Business
Upto 4 months
From 4 months to 6 months
From 6 months to 1 year
Beyond 1 year
Tractor Finance Business
Upto 4 months
From 4 months to 6 months
From 6 months to 1 year
From 1 year to 2 year
Beyond 2 years
LAP and Housing Business
Upto 4 months
From 4 months to 6 months
From 6 months to 2 year
From 2 year to 5 years
Beyond 5 years
Provisions
0
10
20
30
50
0
10
25
100
0
10
40
100
0
10
25
40
100
0
10
25
50
100
Source: MOSL, Company
13 June 2017
19

Cholamandalam Investment & Finance
Strong earnings visibility
Strong AUM growth and Operating leverage to drive earnings
We expect growth to rebound from FY18 onwards as the impact of demonetization
fades. Additionally, new products like home loans and MSME financing will help
support growth.
With several initiatives on cost-control, expense ratio is expected to reduce
significantly. At the same time, credit costs are expected to remain stable.
We expect a structural improvement in RoA from 2.6% in FY17 to 3.0% in FY20. Hence,
we expect a PAT CAGR of 23% over FY17-20.
Declining cost of funds to provide some respite to yield pressure
Share of bank borrowings
declined from 65% in FY14
to 35% in FY17.
The margin profile of CIFC is likely to remain largely stable over the medium term.
While there is pressure on yields in the home equity segment, management targets
to move more away from major towns/cities and into smaller areas and smaller
ticket sizes where yields are 50-100bps higher. However, there will be some
pressure on yields due to higher share of low-yielding home loans and MSME
financing going forward.
On the liability side, CIFC is poised to reap the benefits of falling interest costs as
well as diversifying liability mix. The company is resorting to higher quantum of
capital markets borrowings versus bank borrowings. Additionally, CIFC sells down a
large portion of loans every year (sell-down book is ~20% of total borrowings),
yielding significant reduction to its cost of funds. Upside to margins could accrue
from the potential upgrade of the credit rating for the company over the medium
term. CIFC is rated AA for its borrowing program; rating upgrade to AA+ could save
~10-20bp in terms for borrowing cost for the company.
Exhibit 39: Long-term credit ratings
Cholamandalam Investments
Shriram Transport
M&M Financials
Shriram City Union Finance
Sundaram Finance
CRISIL
AA
AA+
AA+
AA-
AA+
ICRA
AA
AA
-
AA
AA+
CARE
AA-
AA+
AAA
AA+
-
Source: MOSL, Company
Exhibit 40: Short-term credit ratings
Cholamandalam Investments
Shriram Transport
M&M Financials
Shriram City Union Finance
Sundaram Finance
CRISIL
A1+
A1+
A1+
A1+
A1+
ICRA
A1+
A1+
-
A1+
A1+
CARE
-
-
-
A1+
-
Source: MOSL, Company
13 June 2017
20

Cholamandalam Investment & Finance
Share of bank borrowings
have declined from 55% in
FY16 to 35% in 4QFY17
leading to reduction in cost
of funds
Exhibit 41: Gradually increased share of market borrowings (%)
Bank Loans
13
16
13
58
12
18
13
56
13
20
9
57
13
20
3
64
CP
13
25
9
54
Debentures
13
25
7
56
12
24
9
55
12
21
12
55
Sub Debt & PDI
11
27
10
52
11
32
14
44
12
37
16
36
12
43
11
35
Source: MOSL, Company
Exhibit 42: ALM pattern as of Dec 2016 (INR m)
Outflows
Inflows
Exhibit 43: ALM mismatch (Net Inflows, INR m)
Source: MOSL, Company
Source: MOSL, Company
Exhibit 44: NIM (on AUM) to remain largely stable (%)
6.7
6.3
6.6
6.7
6.7
7.5
7.6
7.6
7.6
7.6
Source: MOSL, Company
With 19% CAGR in AUM
coupled with reduction in
expense ratio and credit
costs, PAT is expected to
grow at 23% CAGR over
FY17-20
We forecast 23% CAGR in earnings for CIFC over FY17-20E, driven by 19% AUM
CAGR, stable margins and improvement in expense ratio. As CIFC has several levers
to pull for EPS growth, any negative surprises in any one factor is unlikely to alter
the earnings growth trajectory significantly, in our view. A negative surprise in LLP
could accrue from higher ultimate credit losses in the HE business.
13 June 2017
21

Cholamandalam Investment & Finance
Exhibit 45: PAT to grow at a CAGR of 23% over FY17-20
77
PAT (INR b)
Growth (%)
19
3.1
3.6
20
4.4
31
26
7.2
23
8.9
25
11.0
22
13.4
5.7
Source: MOSL, Company
CIFC raised INR5b from
Apax Partners in July 2015.
With a Tier I ratio of 13.6%
currently, it will not need
capital in the near term
CIFC’s capital adequacy ratio stands at 18.6%, significantly above the minimum
regulatory requirement of 15%. The Tier I ratio stands at 13.6%. The company had
issued Compulsorily Convertible Preference Shares (CCPS) worth INR5b to Apax
Partners in July 2014. CCPS were converted into 12.2m shares of common equity in
July 2015.
While we do not expect any further capital raise in the near term, we believe any
raise done at or near current market prices would be accretive to book value per
share, thus boosting shareholder return.
Exhibit 46: Trend in capitalization
CAR (%)
18.1
11.0
19.0
11.1
21.2
17.2
10.5
13.0
Tier I (%)
19.7
13.3
18.6
13.6
FY12
FY13
FY14
FY15
FY16
FY17
Source: MOSL, Company
13 June 2017
22

Cholamandalam Investment & Finance
RoA/RoE should reach
3.0%/20.3% by FY20
Exhibit 47: DuPont Analysis
Y/E March
Interest Income
Interest Expended
Net Interest Income
Income from Securitization
Other Operating Income
Other Income
Net Income
Operating Expenses
Operating Income
Provisions/write offs
PBT
Tax
Extraordinary Items
Reported PAT
Leverage
RoE
FY16
16.0
8.4
7.6
0.8
0.3
0.0
8.8
3.5
5.3
1.7
3.6
1.2
0.0
2.3
7.2
16.6
FY17
15.7
8.1
7.6
1.0
0.3
0.0
8.8
3.7
5.1
1.1
4.0
1.4
0.0
2.6
6.9
18.1
FY18E
15.7
7.7
8.0
1.1
0.3
0.0
9.4
3.6
5.7
1.4
4.3
1.5
0.0
2.8
6.7
19.0
FY19E
15.5
7.6
8.0
1.1
0.3
0.0
9.4
3.4
5.9
1.4
4.5
1.6
0.0
3.0
6.7
19.9
FY20E
15.3
7.5
7.9
1.1
0.3
0.0
9.3
3.2
6.0
1.4
4.6
1.6
0.0
3.0
6.7
20.3
Source: MOSL, Company
Exhibit 48: Return ratios on an upswing
RoA (%)
18.1
13.9
8.0
17.1
RoE (%)
18.1
19.0
19.9
20.3
15.9
16.6
0.8
FY11
1.6
FY12
2.0
FY13
1.9
FY14
2.0
FY15
2.3
FY16
2.6
FY17E
2.8
FY18E
3.0
FY19E
3.0
FY20E
Source: MOSL, Company
13 June 2017
23

Cholamandalam Investment & Finance
Valuation and view
Strong growth and return ratios to sustain premium valuation
CIFC has a well-diversified portfolio, both geographically as well as product-wise. It is
further expanding into newer segments like home loans and MSME financing.
With strong branch expansion, focus on new products and improvement in the
broader economy, AUM is expected to grow at 19% CAGR over FY17-20. This would be
accompanied by a structural improvement in ROE to ~20% by FY19.
The stock has witnessed some consolidation over the past year, which provides an
attractive entry point. Initiate with BUY rating and a target price of INR1,250 (3.2x
FY19E P/B).
Strong performance over
the medium term would
help sustain premium
valuation
CIFC’s premium valuation as compared to peers reflects the optimism about the
evolving growth conditions and the improved outlook for the vehicle finance
business. Its valuation reflects the successful scaling up of its key businesses and the
robust profitability delivered by the company through revenue diversification and
higher operating efficiency.
Over FY10-17, margin expansion and the reduction in cost ratios were the key RoA
drivers. Over FY17-20E, we expect operating cost rationalization to be the key driver
of ROA expansion. This would improve ROA to 3.0% by FY20 from 2.6% in FY17. This
will be accompanied by stable asset quality.
The stock currently trades at 2.7x FY19 BVPS. We use a Residual Income model to
value the company with Rf: 7%, CoE: 13.0%, Terminal growth rate: 5.0% and arrive
at a price target of INR 1,250 (3.2x FY19E P/B).
BUY.
Exhibit 49: CIFC P/B (1 year forward)
4.5
3.0
1.5
0.0
P/B (x)
5 Yrs Avg(x)
Exhibit 50: BAF P/B (1 year forward)
8.0
6.0
P/B (x)
5 Yrs Avg(x)
6.1
2.2
3.2
4.0
2.0
0.0
2.9x
Source: MOSL, Company
Source: MOSL, Company
13 June 2017
24

Cholamandalam Investment & Finance
Exhibit 51: SHTF P/B (1 year forward)
4.0
3.0
2.0
1.0
0.0
1.9
P/B (x)
5 Yrs Avg(x)
Exhibit 52: MMFS P/B (1 year forward)
3.5
P/B (x)
2.5
5 Yrs Avg(x)
1.7
2.9
2.3
1.7
1.1
0.5
2.8
Source: MOSL, Company
Source: MOSL, Company
Exhibit 53: MUTH P/B (1 year forward)
3.0
2.5
2.0
1.5
1.0
0.5
1.4
P/B (x)
5 Yrs Avg(x)
Exhibit 54: SCUF P/B (1 year forward)
2.5
3.5
2.7
1.9
1.1
0.3
P/B (x)
5 Yrs Avg(x)
2.2
2.8
Source: MOSL, Company
Source: MOSL, Company
13 June 2017
25

Cholamandalam Investment & Finance
Bull & Bear case
Bull Case
In our bull case, we assume a strong AUM CAGR of 23% (vs. base case of 19%).
We believe the LAP financing segment could surprise on the upside.
We expect margins to increase to 7.9%
We expect significant cost control, with cost-to-income ratio declining to 30.1%
by FY20 (v/s 34.9% in base case)
Asset quality would show some improvement with GNPA of 3.0% by FY20 (v/s
4.0% in base case) on 90dpd basis.
This results in a PAT CAGR of 36% (vs. 23% in base case) over FY17-20 with
RoA/RoE in FY20 equal to 3.7%/25%
Based on the above assumptions, our bull case target multiple is 3.5x FY19 BV,
implying an upside of 64%.
Bear Case
In our bear case, we assume an AUM CAGR of 15% (vs. base case of 19%).
Sustained slowdown in the home equity segment could lead to such a scenario.
We expect margins to remain stable at 7.6%
We expect no cost control, with cost-to-income ratio remaining largely stable at
~41% over FY17-20 (v/s 34.9% by FY20 in base case)
Asset quality would worsen with GNPA of 4.8% by FY20 (v/s 4.0% in base case)
on 90dpd basis.
This results in a PAT CAGR of 10% (vs. 23% in base case) over FY17-20 with
RoA/RoE in FY20 equal to 2.4%/16%
Based on the above assumptions, our bear case target multiple is 2.25x FY20 BV,
implying a downside of 17%.
Exhibit 55: Scenario Analysis – Bull Case
Bull Case
NII (incl. securitization income)
Opex
Provisions
PBT
PAT
NIM - AUM (%)
Credit Cost (%)
RoA (%)
RoE (%)
EPS
BV
Target multiple
Target price (INR)
Upside
FY18E
29,791
11,444
3,543
15,772
10,254
7.9
0.9
3.2
21.6
65.6
332.2
3.5
1,806
64%
FY19E
37,025
12,737
3,927
21,503
13,979
8.0
0.8
3.6
24.0
89.4
412.0
FY20E
45,613
14,138
4,910
27,911
18,145
7.9
0.8
3.7
25.0
116.1
516.1
Exhibit 56: Scenario Analysis – Bear Case
Bear Case
NII (incl. securitization income)
Opex
Provisions
PBT
PAT
NIM - AUM (%)
Credit Cost (%)
RoA (%)
RoE (%)
EPS
BV
Target multiple
Target price (INR)
Upside
FY17E
27,447
11,839
6,286
10,290
6,690
7.5
1.6
2.2
14.7
42.8
309.4
2.25
908
-17%
FY18E
31,802
13,636
6,408
12,900
8,386
7.5
1.4
2.4
16.2
53.6
353.5
FY19E
36,516
15,623
7,346
14,892
9,681
7.6
1.4
2.4
16.4
61.9
403.3
Source: Company, MOSL
Source: Company, MOSL
13 June 2017
26

Cholamandalam Investment & Finance
Company background
CIFC was founded in 1978 as the financial services arm of the Murugappa Group of
companies. The promoters have ~53% stake in the company. CIFC commenced its
business as an equipment financing company and has now emerged as a
comprehensive financial services provider offering vehicle finance, home loans,
home equity loans, SME loans, investment advisory services, stock broking and a
variety of other financial services to customers.
CIFC is registered as an asset finance company with a focus on rural and semi-urban
markets, and it has 703 branches spread across 25 states.
CIFC began its operations as an equipment finance company and later diversified
into commercial vehicle financing in 1992. Presently, the company primarily deals in
vehicle finance and home equity loans. CIFC has two subsidiary companies which
provide stock broking and wealth management services. As of March 2017, the
company had an outstanding AUM of over INR340b. In June 2015, CRISIL upgraded
the long-term debt of the company from AA-/Positive to AA/Stable.
Key management personnel
Mr. Vellayan Subbiah currently serves as the Managing Director of the company. His
term expires in August 2017. Effective August 19, 2017, Mr. N Srinivasan will serve
as Executive Vice Chairman and Managing Director of the company.
Exhibit 57: Management
Name
Designation
Description
Has over 40 years of varied experience in fields of banking, finance, economics, technology,
Chairman &
human resource, marketing, treasury and administration. He has served as the former
Independent
Chairman and Managing Director of Canara Bank and Indian Bank. He joined CIFC’s Board
Director
in July 2010.
Has over 20 years of experience in the varied fields of technology, projects and financial
Managing
services. He has worked with Mckinsey and Company and Sundram Fasteners. He joined
Director
the Board of CIFC in August 2010.
Vice-Chairman
Has over 30 years of experience in the fields of corporate finance, legal, projects and
and Non-
general management. He has been on the board of CIFC since December 2006 and is a
Executive Director
director on the Board of several Murugappa group companies.
Graduate in Commerce, an Associate member of the Institute of Chartered Accountants of
Chief Financial
India. He has around 20 years of experience in fields of finance and strategy and has a long
Officer
association with Murugappa group. He has been serving as the CFO since October 2008.
Source: MOSL, Company
Mr. MBN Rao
Mr. Vellayan Subbiah
Mr. N. Srinivasan
Mr. D. Arul Selvan
13 June 2017
27

Cholamandalam Investment & Finance
Key risks
Asset quality risks in its LAP portfolio
Over the past few years, the large corporate segment, especially in the industrial
and infrastructure sectors, has witnessed tremendous stress. There has been some
trickle-down effect in the SME segment. There have been signs of stress in SME
financing in northern geographies (NCR, Punjab & Haryana). While CIFC remains one
of the most conservative players in the LAP segment with lower ticket sizes and
lower LTVs, it will not be totally immune to any wide-scale stress that could occur in
the future.
Slowdown in growth
We believe much of the re-rating in the stock over the past year is attributable to
strong growth outlook coupled with improving return ratios. A sustained slowdown
in growth, due to demonetization or severe competition, could lead to operating de-
leverage and thus, decline in RoA/RoE. As a result, the re-rating will not sustain.
Lack of operating leverage
Improvement in the expense ratio is a core part of the thesis. However, increased
costs of the tablet rollout or sluggish scaling-up of the new branches to be opened in
FY17/18 could hamper improvement in profitability over the near term.
13 June 2017
28

Cholamandalam Investment & Finance
Financials and valuations
Income Statement
Y/E March
Interest Income
Interest Expenses
Net Interest Income
Change (%)
Income from securitisation
Net Interest Income (Incl. Sec. Inc.)
Change (%)
Other Operating Income
Other Income
Net Income
Change (%)
Total Operating Expenses
Change (%)
Employee Expenses
Business Origination Expenses
Other Operating Expenses
Operating Profit
Change (%)
Total Provisions
% of Operating Profit
PBT
Tax Provisions
PAT
Change (%)
Proposed Dividend
2013
24,316
14,110
10,206
46.2
566
10,771
48.1
652
19
11,443
47.0
5,696
30.4
1,531
1,744
2,421
5,747
68.2
1,243
21.6
4,504
1,443
3,062
77.4
475
2014
30,583
17,711
12,872
26.1
1,215
14,087
30.8
820
11
14,918
30.4
6,582
15.6
1,875
1,973
2,734
8,335
45.0
2,833
34.0
5,502
1,862
3,640
18.9
501
2015
34,600
19,604
14,996
16.5
1,435
16,431
16.6
870
7
17,308
16.0
7,489
13.8
2,217
1,870
3,402
9,819
17.8
3,247
33.1
6,572
2,221
4,352
19.5
503
2016
39,163
20,508
18,655
24.4
2,053
20,709
26.0
708
12
21,429
23.8
8,449
12.8
2,539
2,258
3,652
12,980
32.2
4,272
32.9
8,708
3,023
5,685
30.6
703
2017
43,134
22,308
20,826
11.6
2,647
23,473
13.3
814
8
24,296
13.4
10,133
19.9
4,027
1,784
4,323
14,162
9.1
3,106
21.9
11,056
3,868
7,187
26.4
782
2018E
49,315
24,296
25,019
20.1
3,473
28,492
21.4
961
8
29,461
21.3
11,426
12.8
4,630
1,998
4,797
18,035
27.3
4,405
24.4
13,629
4,769
8,861
23.3
938
(INR Million)
2019E
58,001
28,301
29,700
18.7
4,171
33,870
18.9
1,134
8
35,012
18.8
12,812
12.1
5,279
2,238
5,295
22,200
23.1
5,213
23.5
16,988
5,944
11,044
24.6
1,094
2020E
68,461
33,427
35,034
18.0
4,935
39,969
18.0
1,338
8
41,314
18.0
14,435
12.7
6,123
2,462
5,850
26,879
21.1
6,195
23.0
20,684
7,237
13,447
21.8
1,251
Balance Sheet
Y/E March
Share Capital
Reserves & Surplus
Net Worth for Equity Shareholders
Borrowings
Change (%)
Total Liabilities
Investments
Change (%)
Loans
Change (%)
Net Fixed Assets
Total Assets
E: MOSL Estimates
2013
1,432
18,216
19,648
152,890
33.6
172,538
2,245
263.9
166,802
35.4
707
172,538
2014
1,432
21,514
22,947
180,932
18.3
203,879
824
-63.3
194,973
16.9
729
203,879
2015
1,437
30,296
31,733
194,752
7.6
226,486
675
-18.1
222,422
14.1
683
226,486
2016
1,562
35,012
36,574
225,762
15.9
262,336
666
-1.3
259,732
16.8
1,113
262,336
2017
1,562
41,251
42,814
242,068
7.2
284,881
2,385
258.3
279,036
7.4
1,402
288,653
2018E
1,562
48,984
50,547
288,989
19.4
339,535
2,862
20.0
327,891
17.5
1,799
339,535
(INR Million)
2019E
1,562
58,711
60,274
346,993
20.1
407,266
3,435
20.0
393,417
20.0
2,110
407,266
2020E
1,562
70,653
72,217
412,719
18.9
484,934
4,122
20.0
467,951
18.9
2,362
484,934
13 June 2017
29

Cholamandalam Investment & Finance
Financials and valuations
Ratios
Y/E March
Spreads Analysis (%)
Avg. Yield on Loans
Avg Cost of Funds
Int. Spread on Financing Portfolio
NIM (on AUM)
NIM (on loans)
Profitability Ratios (%)
RoE
RoA
Int. Expended / Int.Earned
Other Inc. / Net Income
Efficiency Ratios (%)
Op. Exps. / Net Income
Empl. Cost/Op. Exps.
Asset-Liability Profile (%)
Loans/Borrowings Ratio
Net NPAs to Net Adv.
Assets/Equity
2013
16.8
10.6
6.2
6.6
7.0
2014
16.9
10.6
6.3
6.7
7.1
2015
16.6
10.4
6.1
6.7
7.2
2016
16.2
9.8
6.5
7.5
7.7
2017
16.0
9.5
6.6
7.6
7.7
2018E
16.3
9.2
7.1
7.6
8.2
2019E
16.1
8.9
7.2
7.6
8.2
2020E
15.9
8.8
7.1
7.6
8.1
18.1
2.0
58.0
5.9
17.1
1.9
57.9
5.6
15.9
2.0
56.7
5.1
16.6
2.3
52.4
3.4
18.1
2.6
51.7
3.4
19.0
2.8
49.3
3.3
19.9
3.0
48.8
3.3
20.3
3.0
48.8
3.3
49.8
26.9
44.1
28.5
43.3
29.6
39.4
30.1
41.7
39.7
38.8
40.5
36.6
41.2
34.9
42.4
109.1
0.2
8.8
107.8
0.8
8.9
114.2
2.0
7.1
115.0
2.1
7.2
115.3
3.2
6.7
113.5
3.1
6.7
113.4
2.8
6.8
113.4
2.6
6.7
Valuations
Book Value (INR)
BV Growth (%)
Price-BV (x)
EPS (INR)
EPS Growth (%)
Price-Earnings (x)
Dividend per share
Dividend Yield (%)
E: MOSL Estimates
137.2
28.4
21.4
64.4
3.5
0.3
160.2
16.7
25.4
18.8
3.5
0.3
203.1
26.8
30.3
19.2
3.5
0.3
233.9
15.2
36.4
20.1
28.8
4.5
0.4
273.9
17.1
3.8
46.0
26.3
22.8
5.0
0.5
323.3
18.1
3.2
56.7
23.3
18.5
6.0
0.6
385.5
19.2
2.7
70.6
24.6
14.9
7.0
0.7
461.9
19.8
2.3
86.0
21.8
12.2
8.0
0.8
13 June 2017
30

REPORT GALLERY
RECENT INITIATING COVERAGE REPORTS
Rs

Disclosures
This document has been prepared by Motilal Oswal Securities Limited (hereinafter referred to as Most) to provide information about the company (ies) and/sector(s), if any, covered in the report and may be distributed by it
and/or its affiliated company(ies). This report is for personal information of the selected recipient/s and does not construe to be any investment, legal or taxation advice to you. This research report does not constitute an
offer, invitation or inducement to invest in securities or other investments and Motilal Oswal Securities Limited (hereinafter referred as MOSt) is not soliciting any action based upon it. This report is not for public distribution
and has been furnished to you solely for your general information and should not be reproduced or redistributed to any other person in any form. This report does not constitute a personal recommendation or take into
account the particular investment objectives, financial situations, or needs of individual clients. Before acting on any advice or recommendation in this material, investors should consider whether it is suitable for their
particular circumstances and, if necessary, seek professional advice. The price and value of the investments referred to in this material and the income from them may go down as well as up, and investors may realize losses
on any investments. Past performance is not a guide for future performance, future returns are not guaranteed and a loss of original capital may occur.
MOSt and its affiliates are a full-service, integrated investment banking, investment management, brokerage and financing group. We and our affiliates have investment banking and other business relationships with a some
companies covered by our Research Department. Our research professionals may provide input into our investment banking and other business selection processes. Investors should assume that MOSt and/or its affiliates are
seeking or will seek investment banking or other business from the company or companies that are the subject of this material and that the research professionals who were involved in preparing this material may educate
investors on investments in such business . The research professionals responsible for the preparation of this document may interact with trading desk personnel, sales personnel and other parties for the purpose of
gathering, applying and interpreting information. Our research professionals are paid on twin parameters of performance & profitability of MOSt.
MOSt generally prohibits its analysts, persons reporting to analysts, and members of their households from maintaining a financial interest in the securities or derivatives of any companies that the analysts cover.
Additionally, MOSt generally prohibits its analysts and persons reporting to analysts from serving as an officer, director, or advisory board member of any companies that the analysts cover. Our salespeople, traders, and
other professionals or affiliates may provide oral or written market commentary or trading strategies to our clients that reflect opinions that are contrary to the opinions expressed herein, and our proprietary trading and
investing businesses may make investment decisions that are inconsistent with the recommendations expressed herein. In reviewing these materials, you should be aware that any or all of the foregoing among other things,
may give rise to real or potential conflicts of interest. MOSt and its affiliated company(ies), their directors and employees and their relatives may; (a) from time to time, have a long or short position in, act as principal in, and
buy or sell the securities or derivatives thereof of companies mentioned herein. (b) be engaged in any other transaction involving such securities and earn brokerage or other compensation or act as a market maker in the
financial instruments of the company(ies) discussed herein or act as an advisor or lender/borrower to such company(ies) or may have any other potential conflict of interests with respect to any recommendation and other
related information and opinions.; however the same shall have no bearing whatsoever on the specific recommendations made by the analyst(s), as the recommendations made by the analyst(s) are completely independent
of the views of the affiliates of MOSt even though there might exist an inherent conflict of interest in some of the stocks mentioned in the research report
Reports based on technical and derivative analysis center on studying charts company's price movement, outstanding positions and trading volume, as opposed to focusing on a company's fundamentals and, as such, may not match with a report on a
company's fundamental analysis. In addition MOST has different business segments / Divisions with independent research separated by Chinese walls catering to different set of customers having various objectives, risk profiles, investment horizon,
etc, and therefore may at times have different contrary views on stocks sectors and markets.
Unauthorized disclosure, use, dissemination or copying (either whole or partial) of this information, is prohibited. The person accessing this information specifically agrees to exempt MOSt or any of its affiliates or employees
from, any and all responsibility/liability arising from such misuse and agrees not to hold MOSt or any of its affiliates or employees responsible for any such misuse and further agrees to hold MOSt or any of its affiliates or
employees free and harmless from all losses, costs, damages, expenses that may be suffered by the person accessing this information due to any errors and delays. The information contained herein is based on publicly
available data or other sources believed to be reliable. Any statements contained in this report attributed to a third party represent MOSt’s interpretation of the data, information and/or opinions provided by that third party
either publicly or through a subscription service, and such use and interpretation have not been reviewed by the third party. This Report is not intended to be a complete statement or summary of the securities, markets or
developments referred to in the document. While we would endeavor to update the information herein on reasonable basis, MOSt and/or its affiliates are under no obligation to update the information. Also there may be
regulatory, compliance, or other reasons that may prevent MOSt and/or its affiliates from doing so. MOSt or any of its affiliates or employees shall not be in any way responsible and liable for any loss or damage that may
arise to any person from any inadvertent error in the information contained in this report. MOSt or any of its affiliates or employees do not provide, at any time, any express or implied warranty of any kind, regarding any
matter pertaining to this report, including without limitation the implied warranties of merchantability, fitness for a particular purpose, and non-infringement. The recipients of this report should rely on their own
investigations.
This report is intended for distribution to institutional investors. Recipients who are not institutional investors should seek advice of their independent financial advisor prior to taking any investment decision based on this
report or for any necessary explanation of its contents.
Most and it’s associates may have managed or co-managed public offering of securities, may have received compensation for investment banking or merchant banking or brokerage services, may have received any
compensation for products or services other than investment banking or merchant banking or brokerage services from the subject company in the past 12 months.
Most and it’s associates have not received any compensation or other benefits from the subject company or third party in connection with the research report.
Subject Company may have been a client of Most or its associates during twelve months preceding the date of distribution of the research report
MOSt and/or its affiliates and/or employees may have interests/positions, financial or otherwise of over 1 % at the end of the month immediately preceding the date of publication of the research in the securities mentioned
in this report. To enhance transparency, MOSt has incorporated a Disclosure of Interest Statement in this document. This should, however, not be treated as endorsement of the views expressed in the report.
Motilal Oswal Securities Limited is registered as a Research Analyst under SEBI (Research Analyst) Regulations, 2014. SEBI Reg. No. INH000000412
Pending Regulatory inspections against Motilal Oswal Securities Limited:
SEBI pursuant to a complaint from client Shri C.R. Mohanraj alleging unauthorized trading, issued a letter dated 29th April 2014 to MOSL notifying appointment of an Adjudicating Officer as per SEBI regulations to hold inquiry
and adjudge violation of SEBI Regulations; MOSL replied to the Show Cause Notice whereby SEBI granted us an opportunity of Inspection of Documents. Since all the documents requested by us were not covered we have
requested to SEBI vide our letter dated June 23, 2015 to provide pending list of documents for inspection.
List of associate companies of Motilal Oswal Securities Limited -Click
here to access detailed report
Analyst Certification
The views expressed in this research report accurately reflect the personal views of the analyst(s) about the subject securities or issues, and no part of the compensation of the research analyst(s) was, is, or will be directly or
indirectly related to the specific recommendations and views expressed by research analyst(s) in this report. The research analysts, strategists, or research associates principally responsible for preparation of MOSt research
receive compensation based upon various factors, including quality of research, investor client feedback, stock picking, competitive factors and firm revenues
Disclosure of Interest Statement
Cholamandalam Investment & Finance
Analyst ownership of the stock
No
Served as an officer, director or employee -
No
A graph of daily closing prices of securities is available at www.nseindia.com and http://economictimes.indiatimes.com/markets/stocks/stock-quotes
Cholamandalam Investment & Finance
Regional Disclosures (outside India)
This report is not directed or intended for distribution to or use by any person or entity resident in a state, country or any jurisdiction, where such distribution, publication, availability or use would be contrary to law,
regulation or which would subject MOSt & its group companies to registration or licensing requirements within such jurisdictions.
For Hong Kong:
This report is distributed in Hong Kong by Motilal Oswal capital Markets (Hong Kong) Private Limited, a licensed corporation (CE AYY-301) licensed and regulated by the Hong Kong Securities and Futures
Commission (SFC) pursuant to the Securities and Futures Ordinance (Chapter 571 of the Laws of Hong Kong) “SFO”. As per SEBI (Research Analyst Regulations) 2014 Motilal Oswal Securities (SEBI Reg No. INH000000412) has
an agreement with Motilal Oswal capital Markets (Hong Kong) Private Limited for distribution of research report in Kong Kong. This report is intended for distribution only to “Professional Investors” as defined in Part I of
Schedule 1 to SFO. Any investment or investment activity to which this document relates is only available to professional investor and will be engaged only with professional investors.” Nothing here is an offer or solicitation
of these securities, products and services in any jurisdiction where their offer or sale is not qualified or exempt from registration. The Indian Analyst(s) who compile this report is/are not located in Hong Kong & are not
conducting Research Analysis in Hong Kong.
For U.S.
Motilal Oswal Securities Limited (MOSL) is not a registered broker - dealer under the U.S. Securities Exchange Act of 1934, as amended (the"1934 act") and under applicable state laws in the United States. In addition MOSL is
not a registered investment adviser under the U.S. Investment Advisers Act of 1940, as amended (the "Advisers Act" and together with the 1934 Act, the "Acts), and under applicable state laws in the United States.
Accordingly, in the absence of specific exemption under the Acts, any brokerage and investment services provided by MOSL, including the products and services described herein are not available to or intended for U.S.
persons.
This report is intended for distribution only to "Major Institutional Investors" as defined by Rule 15a-6(b)(4) of the Exchange Act and interpretations thereof by SEC (henceforth referred to as "major institutional investors").
This document must not be acted on or relied on by persons who are not major institutional investors. Any investment or investment activity to which this document relates is only available to major institutional investors
and will be engaged in only with major institutional investors. In reliance on the exemption from registration provided by Rule 15a-6 of the U.S. Securities Exchange Act of 1934, as amended (the "Exchange Act") and
interpretations thereof by the U.S. Securities and Exchange Commission ("SEC") in order to conduct business with Institutional Investors based in the U.S., MOSL has entered into a chaperoning agreement with a U.S.
registered broker-dealer, Motilal Oswal Securities International Private Limited. ("MOSIPL"). Any business interaction pursuant to this report will have to be executed within the provisions of this chaperoning agreement.
The Research Analysts contributing to the report may not be registered /qualified as research analyst with FINRA. Such research analyst may not be associated persons of the U.S. registered broker-dealer, MOSIPL, and
therefore, may not be subject to NASD rule 2711 and NYSE Rule 472 restrictions on communication with a subject company, public appearances and trading securities held by a research analyst account.
For Singapore
Motilal Oswal Capital Markets Singapore Pte Limited is acting as an exempt financial advisor under section 23(1)(f) of the Financial Advisers Act(FAA) read with regulation 17(1)(d) of the Financial Advisors Regulations and is a
subsidiary of Motilal Oswal Securities Limited in India. This research is distributed in Singapore by Motilal Oswal Capital Markets Singapore Pte Limited and it is only directed in Singapore to accredited investors, as defined in
the Financial Advisers Regulations and the Securities and Futures Act (Chapter 289), as amended from time to time.
In respect of any matter arising from or in connection with the research you could contact the following representatives of Motilal Oswal Capital Markets Singapore Pte Limited:
Varun Kumar
Varun.kumar@motilaloswal.com
Contact : (+65) 68189232
Office Address:21 (Suite 31),16 Collyer Quay,Singapore 04931
Motilal Oswal Securities Ltd
Motilal Oswal Tower, Level 9, Sayani Road, Prabhadevi, Mumbai 400 025
Phone: +91 22 3982 5500 E-mail: reports@motilaloswal.com
13 June 2017
32