Initiating Coverage |4 July 2017
Sector: Healthcare
Jubilant Life Sciences
Lower financial
leverage
Unique
portfolio
Growth
visibility
Attractive
valuation
High entry
barriers
Promising formulation
Tushar Manudhane
(Tushar.Manudhane@motilaloswal.com); +91 22 3010 2498
Rajat Srivastava
(Rajat.Srivastava@motilaloswal.com); +91 22 3010 2511
Investors are advised to refer through important disclosures made at the last page of the Research Report.
Motilal Oswal research is available on www.motilaloswal.com/Institutional-Equities, Bloomberg, Thomson Reuters, Factset and S&P Capital.

Jubilant Life Sciences
Contents
Promising formulation .......................................................................................... 3
Current business description in charts ................................................................... 5
Story till date in charts (till FY17) .......................................................................... 6
Investment Argument 1: Pharmaceuticals to fire on all cylinders ........................... 7
1.1 Radiopharma: A promising space to watch for ........................................... 10
1.2 Allergy business: Ample scope and renewed focus to drive business .......... 13
1.3 CMO: Healthy orderbook and client addition are key ................................. 14
1.4 API: Debottlenecking and capacity increase to improve sales ..................... 15
1.5 SDF & DDS: Product pipeline strong for SDF, good option for outlicensing in
DDS ................................................................................................................ 16
Investment Argument 2: Specialty intermediates to drive LSI business ................ 18
Manufacturing facilities and inspection status..................................................... 22
Financial performance to improve with revenue growth kicking in ...................... 23
Financial leverage and interest cost to decline .................................................... 25
Return ratios to exhibit upward trajectory .......................................................... 27
Valuation ........................................................................................................... 29
About Jubilant Life Science ................................................................................. 31
Financials and Valuations ................................................................................... 33
4 July 2017
2

Jubilant Life Sciences
BSE Sensex
31,210
S&P CNX
9,613
Initiating CoverageJubilant Life Sciences
| Sector: Healthcare
CMP: INR692
TP: INR905 (+31% )
Buy
Promising formulation
Multiple triggers in place to drive earnings
Stock Info
Bloomberg
Equity Shares (m)
52-Week Range (INR)
1, 6, 12 Rel. Per (%)
M.Cap. (INR b)
M.Cap. (USD b)
Avg Val, INRm
Free float (%)
JOL IN
159.3
879 / 298
-6/-20/104
110.2
1.71
667
46.0
n
Financial Snapshot (INR b)
Y/E MARCH
FY17 FY18E FY19E
Net Sales
60.1 65.9 72.9
EBITDA
13.5 15.7 17.7
NP
5.8
7.4
8.8
EPS (INR)
37.0 47.3 56.7
EPS Gr.%km
37.5 28.0 19.8
BV/Share
220.7 263.3 314.4
P/E (x)
18.7 14.6 12.2
P/BV (x)
3.1
2.6
2.2
RoE (x)
18.1 19.6 19.6
RoCE (x)
11.0 12.0 13.0
Shareholding pattern (%)
As On
Mar-17 Dec-16 Mar-16
Promoter
54.0
54.0
54.0
DII
3.7
3.1
0.1
FII
22.9
25.7
29.9
Others
19.3
17.2
16.0
FII Includes depository receipts
n
n
n
Jubilant Life Sciences
Promising formulation
n
n
tushar.manudhane@motilaloswal.com
Please click here for Video Link
Tushar Manudhane
+
91 22 3010 2498
Jubilant Life Sciences (JLS), part of Jubilant Bhartia Group, is an integrated
pharmaceuticals and life sciences company engaged in the manufacture of
radiopharmaceuticals, allergy products, generics, advance intermediates,
nutritional products and life science chemicals. JLS also provides services
in contract manufacturing and drug discovery solutions. JLS’ operations
are spread across the world, including India, the US, Canada, Europe and
other countries.
All sub-segments in pharmaceuticals (52% of total sales) are well poised
for growth, in our view. Compared to peers, JLS has a unique portfolio of
specialty pharmaceuticals, which includes radiopharmaceuticals, allergy
products and CMO. We expect the company’s differentiated products &
distribution strategy and long-term contracts to lead to 18% CAGR (FY17-
20) in radiopharmaceuticals sales, while enhanced marketing efforts to
improve productivity should lead to 20% CAGR (over FY17-20) in allergy
products sales. High entry barriers for developing and manufacturing are
expected to further improve profitability.
JLS is also expected to perform well in the life science ingredients (LSI)
segment (45% of total sales), driven by product launches and price hikes in
key products. Post 4.2% compounded decline in revenues over FY14-17
due to product-specific issues, LSI is expected to post revenue CAGR (FY17-
20) of 10.2% to INR36.2b.
JLS has successfully cleared US FDA inspections at its various facilities in
the past three years. Notably, it resolved warning letters at Spokane and
Montreal within 12-15 months. While peers are faced with numerous
regulatory headwinds, we believe JLS has minimal regulatory risks over the
medium term.
The company’s debt-reduction program (from internal accruals) remains
on track. This is expected to reduce financial leverage from 1.1x in FY17 to
0.4x in FY20. This, along with lower-cost debt, is expected to improve the
interest coverage ratio from 3.1x in FY17 to 6.6x by FY20. Overall, for JLS,
we expect PAT CAGR (FY17-20) of 22.9%.
We value JLS on an SOTP basis, assigning 11x EV/EBITDA to the pharma
business and 4.5x EV/EBITDA to the LSI business. We value the pharma
business at industry average, as the share of high-margin segments is
increasing in the pharma portfolio. Accordingly, we initiate coverage on
JLS with a Buy rating and a price target of INR905.
4 July 2017
3

Jubilant Life Sciences
Stock Performance (1-year)
Pharmaceuticals – the key growth driver
n
n
n
n
LSI segment to support overall growth in medium term
n
n
JLS has a segment-specific strategy in place to deliver a better performance in
pharmaceuticals.
With long-term contracts in place for the radiopharma portfolio, the company’s
owned distribution network (via the acquisition of Triad), along with ongoing
efforts toward commercializing RUBY-FILL and selling via its own distribution
network, is expected to significantly boost its radiopharma revenues over the
next 4-5 years.
Increased marketing effort in the allergy business and better visibility for the
CMO business with improved margins would drive growth in specialty
pharmaceuticals.
De-bottlenecking, cost efficiency and a healthy product pipeline are expected to
facilitate healthy growth in API and formulations business of pharma generics.
JLS has lined up seven new product launches in FY18 to aid growth in specialty
intermediates. There has been capacity expansion as well, led by retrofitting.
Although capacity has been fully utilized for nutritional products, JLS is likely to
drive growth via price hikes over the medium term.
JLS has reduced net debt by INR8.7b over the past two years, and guided for
further payment of ~INR3b on annualized basis over the next two years.
It is also trying to convert high-cost debt to low-cost one. As a result, JLS has
been able to not only reduce interest cost, but also improve profitability.
JLS successfully resolved warning letters at its Spokane and Montreal facilities in
2014 and 2015, respectively. Since then, it is FDA-compliant at all other facilities.
Most of the facilities have been re-inspected successfully in the past six months.
JLS has exhibited considerable improvement in its financial performance, led by
margin improvement over the past two years. In addition, based on
management outlook, there are enough levers in place to gain further traction
in earnings via revenue and margins improvement.
We expect revenue CAGR of 11% to reach INR82b in FY20. We also expect
EBITDA CAGR of 14.4%, led by improved efficiency. Further reduction in interest
outgo, coupled with EBITDA growth, is expected to lead to PAT CAGR of 22.9%
to INR10.6b by FY20.
We value the pharma business at 11x 12M forward EBITDA, which is industry
average multiple, to arrive at pharma EV of INR151b. We value the LSI business
at 4.5x 12M forward EBITDA to arrive at LSI EV of INR25.7b. Reducing the net
debt, we arrive at an SOTP-based valuation of INR141b. We thus initiate
coverage on JLS with a
Buy
rating and a target price of INR905.
A miss on execution expectations would result in lower growth in revenues from
radiopharma and allergy products.
Lower-than-expected acceptance of innovative radiopharma products may
impact revenue and profit growth.
Delay in ANDA approvals in the US market may result in loss of opportunity and
thus reduce profitability of formulation generics.
4
Ongoing debt-reduction program to enhance profitability
n
n
Inspection performance has been good over past three years
n
n
n
Valuation
n
n
Risks
n
n
n
4 July 2017

Jubilant Life Sciences
Current business description in charts
Exhibit 1: Pharmaceuticals contribute 52% of total revenues for FY17…
Source: MOSL, Company
4 July 2017
5

Jubilant Life Sciences
Story in charts (till FY17)
Exhibit 2: Revenue CAGR has been moderate…
Total Revenue (INR b)
62.6
Exhibit 3: …however, margin has been on uptrend
EBITDA Margin (%)
60.1
57.9
54.3
Gross Margin (%)
63.5
66.7
43.0
51.7
58.0
58.3
58.0
60.1
20.4
20.4
17.4
22.0
11.8
22.4
Source: MOSL Company
Source: MOSL Company
Exhibit 4: R&D spend has been rising for future growth
R&D Expenditure (INR bn)
R&D as % of pharma sales
8.3
5.5
5.9
6.4
5.0
6.0
2.6
1.0
1.4
1.6
1.3
1.8
Exhibit 5: Interest coverage ratio improving
3.1
2.7
2.2
Interest Coverage Ratio
2.5
3.1
1.1
Source: MOSL Company
Source: MOSL Company
Exhibit 6: Margin expansion aids PAT growth…
PAT (INR bn)
Exhibit 7: … and return ratios as well
ROE
10.9
9.9
9.5
-4.2
-6.2
11.0
ROCE
15.6
5.8
7.0
4.4
7.2
18.1
1.5
2.6
2.5
-1.1
4.2
7.2
Source: MOSL Company
Source: MOSL Company
4 July 2017
6

Jubilant Life Sciences
Investment Argument 1:
Pharmaceuticals to fire on all cylinders
JLS has multiple levers in place in the major sub-segments of pharmaceuticals, which
should drive better growth, going forward. Actions taken by management are
already reflected to some extent in growth over the last two years.
Exhibit 9: Superior execution and capacity enhancement to
drive growth
27.0
3.7
Pharma INR bn
14.4
1.3
29.3
6.5
Yoy Growth (%)
Exhibit 8: Revenue composition of Pharma (FY17)
0.6%
7.8%
26.2%
26.1%
19.1%
20.2%
API
SDF
CMO
Radiopharma
Allergy Therapy
Indian Branded
Source: MOSL, Company
10.2 12.5 14.5
44.3
34.4 38.6
24.4
25.3
25.6
31.2
Source: MOSL, Company
JLS exhibited muted revenue growth in FY14 and FY15 due to segment-specific
issues. However, we note that these issues are not only largely resolved, but JLS has
added enough triggers of growth for the next 2-3 years.
4 July 2017
7

Jubilant Life Sciences
Exhibit 10: Added high-margin businesses via inorganic route
Completed the acquisition of
minority holding in Cadista;
$147m funding from IFC &
consolidated entire pharma
business Under Jubilant
Pharmaceutical
Commissioned
Sartans plant to
strengthen position
in API
Commissioned solid
dosage oral facility in
Roorkee
Acquired Draxis
(A Canadian CMO
service provider)
Acquired Hollister
Stier Lab in US
(A CMO service
provider)
Acquired Cadista
(generic
pharmaceutical
company in the US)
Acquired API
business -
Nanjungud
Source: MOSL, Company
4 July 2017
8

Jubilant Life Sciences
Within the pharmaceuticals business, specialty pharma is expected to lead growth
over the medium term. All the three sub-segments in specialty pharma are expected
to have better traction due to:
n
Commercial launch of NDA (RUBY-FILL) and acquisition of a distribution chain to
increase penetration in radiopharma.
n
Health order book and ramp-up of operations in CMO of sterile injectables.
n
Increased field force to enhance reach in allergy products.
Also, the other segment within pharmaceuticals – generics – is expected to show
revival in growth, led by:
n
Brownfield expansion and considerable capex lined up for future growth in API.
n
New product launches and increased traction in existing products, which should
drive growth in solid dosage formulation.
After growing sharply in FY17, the drug discovery solutions business is expected to
maintain its annual run-rate, led by out-licensing income and addition of new
customers. Each segment is explained in detail in the coming sections.
4 July 2017
9

Jubilant Life Sciences
1.1
Radiopharma: A promising space to watch for
Recent NDA approval and
subsequent
commercialization to boost
sales and profitability
Via the acquisition of Draxis in 2008, JLS entered into the business of developing,
manufacturing and commercializing radiopharmaceuticals used for diagnosis,
treatment and monitoring of diseases.
Exhibit 11: Innovative products and differentiated strategy to drive growth over 4-5 years
Radiopharma,
26.2%
Radiopharma (INR bn)
117.3
Yoy growth (%)
25.9
15.6
35.9
14.5
16.0
18.0
11.2
20.0
2.1
2.4
5.2
7.1
8.2
9.5
13.4
Source: MOSL, Company
Note: Radiopharma sales as a % of
pharmaceuticals sales in FY17.
Source: MOSL, Company
JLS currently supplies products to specialized radiopharmacies. Over the past five
years, this business has exhibited CAGR of 38% to reach INR8.2b. Notably, JLS is the
leader in North America for thyroid radiotherapy, lung, kidney and bone imaging. It
has facility in Montreal, Canada, where ~150 skilled employees are involved in the
manufacture of radiopharmaceutical products.
Warning letter issued by USFDA was closed out at Montreal in September 2014. Post
that, there has been renewed strategic focus based on value-based approach on
business which led to strong growth in revenues in FY15 and FY16. In addition, the
company adopted customer-specific targeting for radio-iodine therapy, which led to
further growth in this business.
Long-term contracts for radiopharma products provides good visibility of
business over medium term
JLS has signed long-term contracts with other distribution networks in the US for the
supply of radiopharma products for period of 39 months, effective January 2017.
Acquisition of Triad to provide own distribution network
JLS recently signed an asset purchase agreement with Triad Isotopes to acquire
substantially all of the assets that comprise the radio pharmacy business of the
latter. Triad has the second largest radio pharmacy network in the US. It had
generated revenue of USD225m with positive EBITDA in CY16. JLS would be able to
increase the reach of its radiopharma products through the Triad network, which
would aid growth in revenue and profitability.
In addition, JLS would also be approaching hospital based customers (nuclear
medicine physicians and technologists) through own distribution network. This
would also drive growth in radiopharmaceutical segment to considerable extent.
4 July 2017
10

Jubilant Life Sciences
Exhibit 12: Product profile (Diagnostic and Therapeutic)
Source: MOSL, Company
RUBY-FILL – another growth enabler in radiopharma
In October 2016, JLS received US FDA approval for RUBY-FILL, an innovative
technology for Positron Emission Technology (PET) myocardial perfusion imaging
(MPI).
About RUBY-FILL:
Comprised of Rubidium-82 generator and precedent setting
elution system, RUBY-FILL is used to produce a personalized patient dose of
Rubidium Rb 82 chloride used to evaluate regional myocardial perfusion in adult
patients with suspected or existing coronary artery disease (CAD), which is an
important component of diagnosing CAD.
Industry overview
The different methods of scanning include x-ray computed tomography (CT),
magnetic resonance imaging (MRI), functional magnetic resonance imaging (fMRI),
ultrasound, single-photon emission computed tomography (SPECT) and positron
emission tomography (PET). While scans such as CT and MRI isolate organic
anatomic changes in the body, PET and SPECT are capable of detecting areas of
molecular biology detail (even prior to anatomic change). The market size for PET
and SPECT was about
USD1.4b at the end of 2016.
About 95% of market in terms of
procedures for molecular biology detailing is dominated by SPECT. This is primarily
due to low cost of SPECT scans as they are able to use-longer lived more easily
obtained radioisotopes than PET.
4 July 2017
11

Jubilant Life Sciences
Exhibit 13: US diagnostic radiopharmaceuticals market size
PET ($bn)
SPECT ($bn)
1.4
0.5
0.9
1.4
0.5
0.9
1.5
0.6
0.9
1.8
0.7
1.1
1.9
0.7
1.2
2.0
0.7
1.3
2.1
0.7
1.4
Source: MOSL Company, Industry
Of the total US diagnostic radiopharma market, nuclear cardiology diagnostic PET
procedures
(market size of USD65m)
are largely performed by JLS’ competitor.
Advantage RUBY-FILL
Using RUBY-FILL, JLS has strategized to enter the PET category via marketing of new
products and technology, which the company claims to be superior to the existing
one. Also, the quality of imaging is expected to be much better.
In addition, JLS has a different strategy in place for RUBY-FILL in terms of selling the
product. JLS would be doing direct marketing (to hospitals/radio pharmacies) with
its own field force. Thus, JLS would not be involving distributors for this product.
Thus, superior technology and own distribution would help enhance sales and
profitability.
Product filings
JLS has product approvals in Canada, Europe and ROW. JLS continues to expand its
reach, gaining better traction from the launched products in these markets.
JLS has about 10 products under development, of which two are under review by
the US FDA. JLS has guided to file two products in FY18 and remaining over the next
three years.
Another NDA – I-131 MIBG
Specifically, JLS has received orphan drug status, with eligibility for accelerated
approval, no regulatory filing fees and seven years’ exclusivity for I-131 MIBG.
Enrolment for the phase-II trial is expected to start by 3QFY18, and there is a good
scope for fast-track approval post the trial.
Thus, based on its existing products, superior growth in RUBY-FILL, increased
advantage due to the acquisition of distribution network and healthy product
pipeline, as well as considering the management guidance, we expect the
radiopharma business to grow at 18% CAGR (FY17-20) to INR13.5b.
4 July 2017
12

Jubilant Life Sciences
1.2
Allergy business: Ample scope and renewed focus to
drive business
Another leg of growth in
specialty pharma
JLS entered the allergy business via the acquisition of HollisterStier in 2007, and is
now the leading immunotherapy player in the US market with strong presence
across product segments. JLS’s allergic business encompasses over 200 allergenic
extracts and mixes, along with specialized skin test diagnostic devices.
Exhibit 14: Higher prescription through increased reach and productivity to drive growth
Allergy
Therapy,
7.8%
Allergy Therapy Products (INR bn)
21.7
8.6
3.7
1.8
1.8
2.3
1.9
2.0
2.4
20.0
Yoy Growth (%)
18.0
20.0
22.0
2.9
3.5
4.2
Source: MOSL, Company
Note: Allergy Therapy sales as a % of
pharmaceuticals sales in FY17.
Source: MOSL, Company
Growth was muted in FY14 due to a weak performance in diluent products – a sub-
segment of allergy products. There was recall and re-introduction of diluent
products, which impacted overall growth of the allergy segment. There was six-week
shutdown at the beginning of FY15, which coupled with the exercise to improve
efficiencies, led to subdued growth in FY15 as well. However, there has been strong
uptrend in growth since FY16 due to increased prescription, led by better sales
reach and increased field force.
Our channel checks suggest that JLS is the third largest player in the allergy business,
with ~15% market share (note that there is significant gap between JLS and the
second largest player). To gain further traction in this business, the company is now
focusing on improving field force productivity. JLS is also in the process of increasing
penetration in the geographies outside of the US (e.g. Canada, New Zealand, France,
South Korea and Australia). In this segment, JLS also focuses on patient education,
availability of physician resources and allergy consulting. Considering this, we expect
the allergy therapy business to record a CAGR (FY17-20) of 20% to INR4.2b.
4 July 2017
13

Jubilant Life Sciences
1.3
CMO: Healthy orderbook and client addition are key
JLS entered the CMO business in 2007 via the acquisition of HollisterStier. The
company provides sterile manufacturing services for phase-I through commercial
liquid and lyophilized products in vials and ampoules, as well as ophthalmic and
optic solutions. JLS also offers non-sterile manufacturing services for ointment,
cream and liquid products.
Exhibit 15: Manufacturing facilities for CMO business
Facility
Spokane, USA
Montreal, Canada
Description
Phase 1 commercial sterile injectable and lyophilisation (vials), laboratory
services
Commercial sterile injectable (vials and ampoules), lyophilization, sterile
ophthalmics and optics (tubes and bottles), non-sterile topical and liquids
(tubes, bottles, jars, applicators), laboratory services
Source: MOSL, Company
Time for growth after
improving profitability in
FY16 & FY17
As shown in exhibit 6, growth in the CMO business was adversely impacted in FY14
and FY15 due to warning letter by the US FDA for its Spokane facility in December
2013 and voluntary shutdown of facility for period of four months. As a result, the
company’s CMO sales declined from INR7.1b in FY13 to INR4.5b in FY15.
Exhibit 16: After focusing on profits for past two years, it’s time to focus on growth
CMO,
19.1%
14.3
(2.0)
CMO sales (INR bn)
27.3
4.5
(35.7)
Yoy Growth (%)
11.0
11.5
12.0
7.1
7.0
4.5
5.7
6.0
6.6
7.4
8.2
Source: MOSL, Company
Note: CMO sales as a % of
pharmaceuticals sales in FY17.
Source: MOSL, Company
However, JLS implemented remediation measures and resolved the regulatory
issues, which resulted in up-gradation of the facility to Voluntary Action Initiated
(VAI) status in June 2015. Ramp-up in operations post this led to 27% YoY growth in
revenue to INR5.7b in FY16. Growth, however, again fell in FY17 due to the
company’s focus on profitability, rather than just revenue growth.
With ongoing cost-efficiency measures, a healthy order book and client additions,
we expect JLS to record better revenue growth going forward with improved
profitability.
4 July 2017
14

Jubilant Life Sciences
1.4
API: Debottlenecking and capacity increase to
improve sales
JLS has been into the API business since 2003 with a focus on production for the
cardiovascular system (CVS) and central nervous system (CNS) therapeutic areas,
besides some anti-infective, analgesic and antispasmodic products.
In terms of geographies, JLS supplies APIs to markets like North America, South
America, Europe, Japan, Korea, Commonwealth of Independent States (CIS)
countries, the Middle East, and Australia.
JLS has an API facility at Nanjangud, with very large capacities for Carbamazepine,
Oxcarbazepine, Citalopram, Lamotrigine, Donepezil, Pinaverium Bromide, Meclizine,
Escitalopram and Azithromycin Monohydrate.
Decent growth as capacity
constraint eases
JLS has 40 commercial APIs emphasizing on CVS, CNS, anti-infective and anti-
ulcerants, which are marketed to some leading generics companies. The company
has also filed for 88 drug master files (DMFs).
Exhibit 17: API sales to rise on capacity increase and new product launches
API,
20.2%
API sales (INR bn)
13.3
4.0
(2.7)
5.8
6.3
13.3
8.0
Yoy Growth (%)
10.0
15.0
18.0
5.1
5.3
5.1
6.9
8.0
9.4
Source: MOSL, Company
Note: API sales as a % of
pharmaceuticals sales in FY17.
Source: MOSL, Company
The facility is utilized for captive and third-party sales. There was downtrend in API
sales growth in FY15 due to capacity constraints. However, addition of a new block
led to sale of incremental volumes, resulting in good growth in FY16. The ongoing
exercise of debottlenecking of the existing plant, improving efficiency and new
product launches are expected to drive JLS’ API sales growth in FY18 and FY19.
JLS has earmarked capex of INR2-2.5b over the next two years, which is expected to
lead to better growth FY19 onward.
4 July 2017
15

Jubilant Life Sciences
1.5
SDF & DDS: Product pipeline strong for SDF, good
option for outlicensing in DDS
JLS’ primary focus is on developing, manufacturing and sale of proprietary solid
dosage formulations (SDF), including value-added formulations for CVS, CNS and
anti-allergy categories.
JLS enjoys leadership in the US for methylprednisolone, terazosin and lamotrigine,
as well as meclizine, cyclobenzaprine, prochlorperazine, donepezil and HCTZ caps. In
Europe, the company’s key strengths include regulatory affairs services, formulation
development and licensing of marketing authorizations, in addition to supplies of
SDF to makers of generic products.
JLS supplies formulations through Roorkee (Uttarakhand, India) and Salisbury
(Maryland, USA).
About 70% of SDF are sold in the US market, while the rest are sold in the ROW
market. JLS’ SDF segment continues to deliver ~20-25% YoY growth in the ROW
market due to its country-specific strategy of marketing & distribution.
In Japan, JLS has been pursuing product-specific partnerships with local players,
supported by in-house, country-specific product development. The company is
strengthening its pipeline and distribution partnership in the Australia market.
Branding and new product launches have been its focus areas in Asia, Middle-East
and South Africa.
JLS to have good ANDA
filing rate going forward
However, overall growth in the SDF segment has been impacted due to pricing
pressure in its key products (like methylprednisolone) and industry wide
consolidation in the US market. As a result, overall annual run-rate of SDF sales has
remained stable over the past 3-4 years.
Exhibit 18: Healthy product pipeline to aid future growth, subject to approval
SDF,
26.1%
55.0
SDF sales (INR bn)
Yoy Growth (%)
5.3
0.3
8.8
(3.5)
8.5
(3.9)
8.1
2.0
8.3
2.5
8.5
3.5
8.8
8.3
8.8
Source: MOSL, Company
Note: SDF sales as a % of
pharmaceuticals sales in FY17.
Source: MOSL, Company
There would some improvement in growth, as JLS has a strong pipeline of 81 ANDAs
filed (30 pending for approval as on 31 March 2017).
4 July 2017
16

Jubilant Life Sciences
Exhibit 19: 81 ANDAs filed, with a strong pipeline of 30 awaiting approval
Filings
Approved
72
38
72
44
81
51
48
19
58
25
65
28
Source: MOSL, Company
We expect moderate 3% CAGR (FY17-20) in SDF business sales to INR9.2b.
Increased high-margin products to drive pharma EBITDA margin
JLS delivered highest-ever EBITDA margin in the pharma segment in FY17 due the
increased share of the high-margin specialty business compared to generics.
Exhibit 20: Pharma EBITDA margin to gradually inch upward
EBITDA Margin (%)
30.3
24.2
17.4
30.5
31.3
33.4
34.7
36.1
Source: MOSL, Company
EBITDA margin contracted in FY15, largely due to the adverse impact of warning
letter for its Spokane facility and one-off expenses. However, implementation of
remediation measures, close-out of warning letter and increased traction in the
specialty segment led to improvement in margins in FY16 and FY17.
We expect EBITDA margin to expand further, albeit at slower pace compared to
previous years, due to:
Ø
Focus on reducing cost associated with manufacturing in CMO business
Ø
Robust growth in high-margin radiopharma business
Ø
Increased traction in allergy products due to improved reach
Ø
Improved volumes in API segment and further economies of scale, led by
debottlenecking.
Overall, we expect EBITDA margin to expand 480bp to 36.1% over FY17-20E.
4 July 2017
17

Jubilant Life Sciences
Investment Argument 2:
Specialty intermediates to drive LSI business
In the life science ingredients (LSI) segment, specialty intermediates and nutritional
products (SINP) form ~52% of sales, while life science chemicals account for the
remaining ~48%.
As shown in the exhibit below, JLS has produced multiple products in LSI using
molasses, acetic acid, methanol and ammonia as major raw materials.
Exhibit 21: Flow chart of LSI products
Life Sciences Chemicals
Molasses
6
Specialty Gases
Ethanol
Acetic Acid
7
Ethyl Acetate + Acetic Anhydride
Backward Integration
Formaldehyde
Methanol
Acetaldehyde
Ammonia
5
Pyridine
Beta
Forward Integration
1
Fine
Ingredients
2
Crop Science
Chemicals
Vitamins
3
4
Animal
Nutrition
Specialty Ingredients & Nutrition
Source: MOSL, Company
Over the years, JLS has integrated its processes (both forward and backward) to not
only improve revenues but also profitability.
The key products in this space are fine ingredients, crop science chemicals,
nutritional products, ethyl acetate and acetic anhydride.
Fine ingredients, crop science chemicals and nutritional products are clubbed as
SNIP, while ethyl acetate and acetic anhydride are clubbed as life science chemicals.
New product launches and increased traction in existing products to
improve SNIP performance
4 July 2017
18

Jubilant Life Sciences
Specialty intermediates form ~67% of SNIP and nutritional products.
Exhibit 22: Revenue share more or less equal from both
segment
Exhibit 23: Growth to remain on uptrend
Life Science Ingredients revenue
19.1% 22.9%
Life Science
Chemicals ,
48%
Speciality
intermediates
& Nutritional
Products,
52%
2.2%
-12.6%
25.0
30.8
31.4
27.5
27.1
-1.5%
Growth
9.5% 10.1%
10.9%
36.2
29.7 32.6
Source: MOSL, Company
SNIP revenue (INR bn)
21.4
24.4
Source: MOSL, Company
Yoy Growth (%)
Exhibit 24: Growth expected to increase on account of capacity expansion/price hikes
11.0
(3.5)
17.2
16.6
(6.9)
15.5
(9.7)
14.0
11.5
12.5
13.9
15.5
17.3
19.5
Source: MOSL, Company
We note that growth in specialty intermediates and nutritional products has been
on downtrend due to:
n
Low demand for pyridine from China – a major market for JLS – due to the ban
on paraquat manufacturing in aqueous form for domestic use. Anti-dumping
duty imposed by China also impacted profitability in FY14 and FY15. Since then,
JLS has reduced its exposure to China for pyridine-based products, and with
increased business from other markets, there has been steady growth in the
past quarters.
n
However, JLS’ revenues declined again in FY17, largely due to lower input and
crude prices, which led to a reduction in finished product prices as well.
n
Technical issues led to lower capacity utilization for products in the crop science
category.
The nutritional products segment, however, delivered positive growth in FY14 and
FY15 due to volume growth and better capacity utilization. Revenues have been
stable in FY16 and FY17 due to maximum capacity utilization.
4 July 2017
19

Jubilant Life Sciences
Management has guided for better growth over the next 2-3 years, led by:
n
Capacity enhancement due to retrofitting, and new product launches are likely
to aid growth. JLS has guided for atleast seven new product launches in FY18.
JLS has commissioned an alpha gamma plant, and launched Alpha Picoline and
Gamma Picoline.
n
Management has taken price hikes, which is expected to drive growth over the
next two years in nutritional products.
Life science chemicals to maintain momentum over medium term
The LSC segment exhibited better growth in FY17 compared to the previous years
due to improved crude oil prices and higher demand from global agrochemical
customers. As a result, there has been increased demand for Ethyl Acetate and
acetic acid which are major products of JLS in life science chemical segment.
Exhibit 25: Stable growth going forward on account of demand
16.4
Life Science Chemicals Revenue (INR bn)
21.0
9.5
9.2
(19.0)
13.5
14.8
12.0
13.1
Yoy Growth (%)
8.0
8.5
9.0
11.2
14.1
15.3
16.7
Source: MOSL, Company
We expect revenue growth to be stable led by demand improvement; however,
revenue growth is also subject to the crude oil price trend.
4 July 2017
20

Jubilant Life Sciences
EBITDA margin in LSI segment to improve gradually
JLS has delivered better EBITDA margin in FY16 and FY17 v/s FY15, largely on
account of its focus on relatively high-margin products, cost-optimization initiatives
and improved process efficiencies.
Exhibit 26: Focus on high-margin products to lead to gradual rise in EBITDA margin
EBITDA Margin (%)
16.3
15.7
15.8
16.0
16.6
16.9
17.5
10.2
Source: MOSL, Company
EBITDA margin shrunk in FY15, largely due to unabsorbed cost in Symtet products in
the crop science segment. In addition, the anti-dumping duty imposed by China in
advanced intermediates led to volumes and margins contraction.
However, JLS has reduced exposure to China for pyriudine based products and
increased its business from other markets. Also, JLS has taken price hikes in
nutritional products, which would aid margins improvement. Furthermore, new
product launches would result in higher capacity utilization and better cost
efficiency, leading to better EBITDA margin in the crop science segment.
4 July 2017
21

Jubilant Life Sciences
Manufacturing facilities and inspection status
Exhibit 27: Manufacturing facilities
Name of the plant
Cadista (USA)
Roorkee (India)
Spokane (USA)
Montreal JDI (Canada)
Montreal (Canada)
Nanjanguda (India)
Remarks
Manufactures solid dosage formulations (Pharma generics)
Manufactures solid dosage formulations (Pharma generics)
CMO of sterile injectables
Develops, manufactures and markets radiopharmaceuticals
CMO of sterile injectables
API Manufacturing
Source: MOSL, Company
Exhibit 28: Inspection status
Last Inspected on
FDA (USA)
Health Canada (Canada)
PMDA (Japan)
SLA/CDSCO (India)
ANVISA (Brazil)
Tc Sagak (Turkey)
Cofepris (Mexico)
Mar'15
Aug'15
Source: MOSL, Company
Dec'15
Sep'15
May'16
Feb'17
Cadista-USA
March'17
Roorkee-India
March'17
CMO/Allergy-
Spokane
Nov'16
CMO-Montreal
Dec'16
Sep'15
JDI-Montreal Nanjangud-India
Dec'16
Apr'16
May'16
Sep'16
Mar'15
Oct'15
Exhibit 29: Capex outlook robust over next three years
17.1
Capex (INR b)
13.7
4.8
7.3
7.1
2.8
2.6
3.4
4.1
4.5
5.9
6.8
As % of sales
6.8
4.5
6.9
5.0
4.9
4.0
Source: MOSL, Company
JLS incurred total capex of INR4.1b in FY17 toward capacity enhancement and
maintenance of existing facilities. The company has guided for capex of INR9b over
the next 2-3 years, of which ~INR 2.5b would be spent on capacity expansion of API
facility, INR1b on other pharma business, and INR2.5b as annual maintenance capex
in both the pharma and LSI segments.
4 July 2017
22

Jubilant Life Sciences
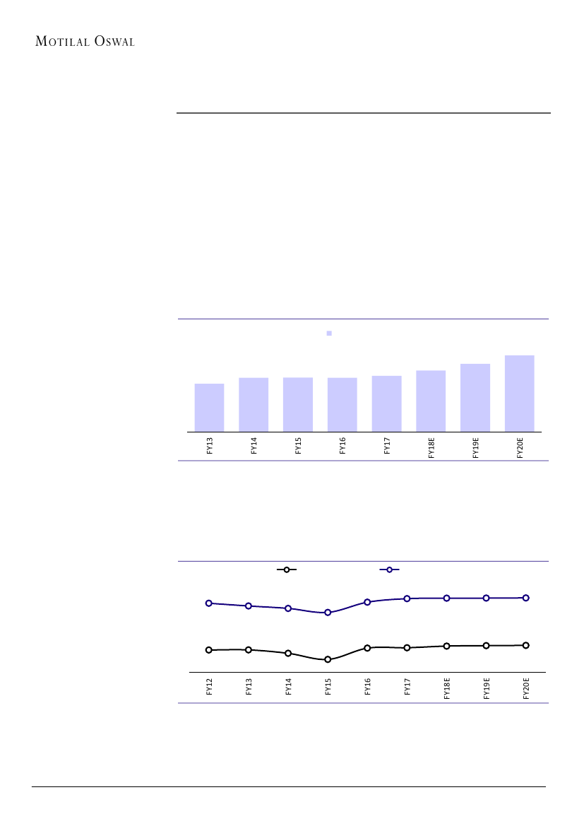
Financial performance to improve with revenue growth
kicking in
We expect JLS to post improved revenue growth over FY17-20, backed by superior
performance in the pharma and LSI segments. We expect overall revenue CAGR of
10.5% over FY17-20.
Within the pharma segment, we expect radiopharma, CMO, allergy and API to post
CAGR of 18%, 11.5%, 20% and 14%, respectively. This should lead to 12.4% CAGR in
the pharma segment.
Within the LSI segment, we expect specialty intermediates and nutritional products
to post CAGR of 10.3%, resulting in segment CAGR of 9.5%.
Exhibit 30: Revenue growth, which was subdued till FY17, to improve over next 3-4 years
Total Revenue (INR b)
51.7
58.0
58.3
58.0
60.1
65.9
72.9
82.2
Source: MOSL, Company
With better growth and a superior product mix, the gross margin is expected to
improve gradually to 67.4% in FY20 from 66.7% in FY17. In addition, cost efficiency
would lead to EBITDA margin improvement from 22.4% in FY17 to 24.5% in FY20.
Exhibit 31: Superior product mix and cost optimization to continue driving margins
EBITDA Margin (%)
62.6
60.1
57.9
54.3
63.5
Gross Margin (%)
66.7
67.1
67.2
67.4
20.4
20.4
17.4
22.0
11.8
22.4
23.9
24.3
24.5
Source: MOSL, Company
4 July 2017
23

Jubilant Life Sciences
Overall R&D spend (including charged to P&L and capitalized) as % of pharma sales
has been increasing gradually. R&D spent increased to INR2.6b in FY17, accounting
for 7.9% of pharma sales, which was largely toward radiopharmaceuticals and
development of products for the US market. We expect R&D spend toward
radiopharmaceuticals to inch up further over FY18-20.
Exhibit 32: R&D spend to rise on absolute level and as % of pharma sales
R&D Expenditure (INR bn)
8.3
5.9
6.4
5.0
6.0
R&D as % of pharma sales
8.2
8.5
8.5
1.4
1.6
1.3
1.8
2.6
2.8
3.3
3.8
Source: MOSL, Company
4 July 2017
24

Jubilant Life Sciences
Financial leverage and interest cost to decline
Over the past two years, JLS has reduced its net debt by INR8.7b, which has not only
reduced financial leverage but also lowered interest burden. Also, there has been a
reduction in interest rate from 7.6% in FY16 to 6.8% in FY17 on a blended basis.
Exhibit 33: Debt composition
Particulars (In INR b)
Foreign Currency Loans
Rupee Loans
Gross Debt
Cash & Cash Equivalent
Net Debt
FY17
27.6
13.2
40.9
4.6
36.3
Source: MOSL, Company
As a result, overall interest outgo reduced from INR3.8b in FY16 to INR2.6b in FY17
on adjusted basis. Reported interest cost in FY17 is higher due to the inclusion of
charge from stock settlement instrument of INR540m and one-time cost of INR320m
due to the replacement of high-cost debt with low-cost debt. INR540m is non-cash
debit to P&L on account of convertible instrument issued to IFC of USD60m as a
mandatory conversion option at IPO of JPL.
Exhibit 34: Interest coverage ratio is increasing due to reduced debt and low cost
Interest Coverage Ratio
6.6
4.2
5.2
2.7
2.2
1.1
2.5
3.1
Source: MOSL, Company
JLS has guided for debt reduction of INR6bn over next 2 years
Conversion of IFC debt to shares – one way to reduce debt
Jubilant Pharma, a wholly owned subsidiary of JLS, has obtained unsecured loan of
USD60m from IFC, which is due for repayment on 15 June 2020 (50%) and 15 June
2021 (50%), along with repayment of premium in accordance with the terms of the
contract, if on or prior to such repayment date there has been (a) neither a private
equity (PE) investment nor a qualifying IPO, or (b) there has been a PE investment,
but IFC has not converted the entire loan into shares.
4 July 2017
25

Jubilant Life Sciences
Thus, one of the routes to reduce debt would be IPO of Jubilant Pharma to provide
exit option for IFC, which effectively would reduce book value of debt by USD60m.
Jubilant Pharma board has resolved in its meeting held in April 2017 that it would
evaluate option of fund raising through an IPO by listing in an international stock
exchange, including Singapore, in FY18, to strengthen balance sheet of Jubilant
Pharma (JPL) with dilution of not more than 15%.
Better revenue growth, coupled with improving margin, would result in improved
operating cash flow, which would also enable further debt reduction. This would
also improve overall profitability with lowering of interest outgo.
Exhibit 35: Some options available to reduce debt over 2-3 years
Gross Debt (INR bn)
7.0
5.5
42.4
43.9
47.9
45.1
40.8
7.4
7.4
Interest as a % of Average of gross Debt
8.4
8.4
8.0
8.0
8.0
38.2
36.8
33.8
30.8
Source: MOSL, Company
4 July 2017
26

Jubilant Life Sciences
Return ratios to exhibit upward trajectory
There has been a sharp improvement in the return ratios over the past two years,
primarily led by EBITDA margin expansion and debt reduction.
Exhibit 36: Better revenue growth and ongoing margin improvement to drive RoCE
ROE (%)
15.6
9.9
7.2
9.5
(4.2)
(6.2)
11.0
ROCE (%)
18.1
19.6
19.6
19.9
10.9
7.2
12.0
13.0
13.9
Source: MOSL, Company
EBITDA margin improved from 11.8% in FY15 to 22.4% in FY17, largely due EBITDA
margin expansion of 1,375bp in the pharma segment and 580bp in the LSI segment.
With improving operating margin and lower interest outgo, JLS delivered profit of
INR5.75b in FY17 from loss of INR578m in FY15.
We expect RoCE to further improve to 13.9% by FY20 from 11% in FY17, led by
revenue growth, better operating margin and lower interest outgo.
RoE is also expected to increase, although at a lower rate than RoCE, due to a
reduction in financial leverage. We expect RoE to increase from 18.1% in FY17 to
20% by FY20.
Sensitivity analysis
n
n
n
In our base case, we factor in revenue and PAT CAGR FY17-20E of 11% and
22.9% to INR82b and INR10.6b, respectively, led by increased business from the
pharma and LSI segments. We expect the EBITDA margin to continue its uptrend
to reach 24.5% by FY20 from 22.4% in FY17.
In our bear case, sales and PAT CAGR would reduce to 5.5% and 12.2%,
respectively, led by lesser-than-anticipated business from specialty pharma and
delay in new product launches in specialty ingredient/nutritional products.
Accordingly, 12M forward EPS would be INR48, and the price target would be
INR616, implying limited downside.
In our bull case, sales and PAT CAGR would be 13% and 27.6% to INR87b and
INR12b over FY17-20, respectively, led by better-than-anticipated business from
specialty pharma and superior execution in specialty ingredient/nutritional
products. Accordingly, 12M forward EPS would be INR65.4, and the price target
would be INR1,052, implying upside of 52% from current levels.
4 July 2017
27

Jubilant Life Sciences
Exhibit 37: Sensitivity analysis indicates limited downside from current levels
Sensitivity Analysis
Revenue (INR m)
EBITDA (INR m)
EBITDA margin %
PBT (INR m)
Tax rate (%)
PAT (INR m)
EPS
SOTP based Target price
% Return
Bear Case
66,102
15,336
23
9,352
22.1
7,296
46.9
616
-11.0
Base Case
72,949
17,727
25
11,760
25.0
8,831
56.7
905
30.8
Bull Case
75,201
18,274
25
12,328
22.1
9,614
61.7
1,052
52.0
Source: MOSL
4 July 2017
28

Jubilant Life Sciences
Valuation
n
n
n
n
JLS has exhibited considerable improvement in its financial performance, led by
margin improvement over the past two years. In addition, based on
management outlook, there are enough levers in place to gain further traction
in earnings via revenue and margins improvement. Compared to previous years,
margin improvement is expected to be gradual, but revenue growth should be
much higher.
The stock price has almost doubled in the past year and is up 15% in the past six
months. Despite this, we believe that the current price has not adequately
factored in the company’s current performance as well as future growth in
earnings. In addition to improving financials, there is reasonable valuation
comfort at these levels.
We expect revenue CAGR of 11% to reach INR82b in FY20. We also expect
EBITDA CAGR of 14.4%, led by improved efficiency. Further reduction in interest
outgo, coupled with EBITDA growth, is expected to lead to PAT CAGR of 22.9%
to INR10.6b by FY20.
We value the pharma business at 11x 12M forward EBITDA, which is industry
average multiple, to arrive at pharma EV of INR151b. We value the life science
intermediates business at 4.5x 12M forward EBITDA to arrive at life science
ingredient EV of INR25.8b. Reducing the net debt, we arrive at an SOTP-based
valuation of INR141b.
12M forward
13,787
11
151,662
5,729
4.5
25,781
177,443
36,250
141,193
905
692
30.8
Source: MOSL
Exhibit 38: We arrived at price target of INR905 on SOTP based valuation
Valuation
EBITDA of Pharma business (INR m)
EV/EBITDA multiple for JLS
EV of Pharma (INR m)
EBITDA of LSI business (INR m)
EV/EBITDA multiple for JLS
EV of LSI (INR m)
Total EV (INR m)
Net Debt
Market Cap (INR m)
Target Price (INR per share)
CMP
Potential upside (%)
n
We initiate coverage on JLS with a
Buy
rating and a target price of INR905.
A miss on execution expectations would result in lower growth in revenues from
radiopharma and allergy products.
Lower-than-expected acceptance of innovative radiopharma products may
impact revenue and profit growth.
Delay in ANDA approvals in the US market may result in loss of opportunity and
thus reduce profitability of formulation generics.
Risks
n
n
n
4 July 2017
29

Jubilant Life Sciences
Exhibit 39: Peer comparison
Sales
FY17
Ajanta
Dishman
Indoco
Natco
Unichem
Alembic
Biocon
Jubilant
Granules
FY18E
FY19E
20,020 22,628 27,519
16,339 18,557 20,982
10,694 12,560 14,458
20,650 21,498 25,602
15,195 18,043 20,683
31,013 36,205 42,251
38,760 48,901 60,180
60,063 65,860 72,949
14,353 17,051 23,390
EBITDA margin
FY17
34.9
28.4
14.6
33.1
12.5
19.7
24.1
22.4
20.8
FY18E
34.7
28.0
16.1
36.5
13.4
20.6
24.0
23.9
21.6
FY19E
34.2
29.2
17.0
37.5
14.2
21.7
25.5
24.3
22.4
FY17
5,168
1,454
771
4,860
1,087
4,068
6,118
5,756
1,654
PAT
FY18E
5,869
2,259
1,025
4,842
1,552
4,908
6,611
7,370
2,060
FY19E
7,063
2,977
1,337
5,811
1,946
6,052
8,980
8,831
2,883
FY17
26.4
33.43
24.19
36.06
22.51
23.3
32.5
18.7
18.4
P/E
FY18E
23.3
21.29
18.17
36.01
15.66
19.3
30.1
14.6
16.4
FY19E
19.3
15.84
13.92
28.76
12.49
15.7
22.2
12.2
11.7
EV/EBITDA
FY17
19.3
12.5
13.12
25.78
13.26
15.3
21.4
11
11.4
FY18E
16.9
10.93
10.12
22.42
10.38
12.6
17.2
9.1
9.3
FY19E
13.8
9.25
8.36
18.33
8.53
10.1
12.9
7.8
6.8
Source: MOSL, Bloomberg
4 July 2017
30

Jubilant Life Sciences
About Jubilant Life Science
n
n
n
Jubilant Life Sciences (JLS), one of the three flagship companies of Jubilant
Bhartia Group, is an integrated pharmaceuticals and life sciences company. It is
engaged in the manufacture of radiopharmaceuticals, allergy products, advance
intermediates, nutritional products and life science chemicals.
The company also provides services in contract manufacturing and drug
discovery solutions.
JLS’ operations are spread across the world, including India, the US, Canada,
Europe and other countries.
Key personnel at JLS
Shyam S Bhartia – Chairman
Shyam S Bhartia is chairman of JLS and Jubilant FoodWorks. He is also chairman &
managing director of Jubilant Pharma. Mr Bhartia holds bachelors’ degree in
commerce from St. Xavier’s College, Calcutta University. He is a qualified cost and
works accountant, and a fellow member of the Institute of Cost and Works
Accountants of India (ICWAI). He serves on the boards of several public, private and
foreign companies like Chambal Fertilizers and Chemicals Limited, India; Safe Food
Corporation, USA. Mr Bhartia was also director on the board of Air India.
Hari S Bhartia – Co Chairman & Managing Director
Hari S Bhartia is co-chairman & managing director of JLS, co-chairman of Jubilant
FoodWorks, and chairman of Jubilant Industries. A chemical engineering graduate
from the Indian Institute of Technology (IIT), Delhi, Mr Bhartia was conferred the
Distinguished Alumni award by his alma mater in 2000. He is former president of the
Confederation of Indian Industry (CII)(2010-2011) and a member of several
educational, scientific and technological programs of the Government of India. Mr
Bhartia is also a member of several CEO Forums, the prominent ones being India-
USA CEO Forum and India-France CEO Forum.
R Sankaraiah – Executive Director, Finance
Mr. R Sankaraiah, holds a Bachelor’s degree in Science and is a member of the
Institute of Chartered Accountants of India. He has been a member of the IFRS
advisory council of the International Accounting Standards Board, SEBI’s committee
on Disclosures and Accounting Standards as well as the member of CII National
Council on Corporate Governance and Regulatory Affairs. He has over 30 years of
experience in areas including M&A, financial engineering, profit management
systems, forex management and taxation.
G.P. Singh – CEO, Jubilant Pharma
GP Singh is CEO of Jubilant Pharma. Prior to joining Jubilant, he was serving as
president of Sun Pharma, USA. Mr Singh has extensively worked in various
leadership roles pertaining to strategy, M&A, commercial and operations with 23+
years of industry experience. He holds masters in pharmacy, pharmaceutical
chemistry from the Punjab University.
4 July 2017
31

Jubilant Life Sciences
Pramod Yadav – Whole-time director & co-CEO Life Science Ingredients
Pramod Yadav holds bachelor’s degree in technology from the Institute of Chemical
Technology, and master’s degree in marketing management from Jamnalal Bajaj
Institute of Management Studies. He has spent 21 years at JLS, and has more than
30 years of overall work experience.
Rajesh Srivastava – Co-CEO Life Sciences Ingredients
Rajesh Srivastava is the Co-CEO, Life Science Ingredients business of JLS. Rajesh’s
association with Jubilant is now over 16 years. Since his joining, he has led the
Company in charting growth strategies for JLS Ingredients business. As a Co-CEO of
Life Science Ingredients business, he is leading business operations of business
segments offering value added specialty ingredients & acetyls product range of
products used in various industries globally like Pharmaceuticals, Agrochemicals,
Personal Care and many such industries. He is an Engineer with specialization in
chemical technology from HBTI, Kanpur and Master in Marketing Management from
Jamnalal Bajaj Institute of Management Studies, Mumbai.
4 July 2017
32

Jubilant Life Sciences
Financials and Valuations
Consolidated - Income Statement
Y/E March
Total Income from Operations
Change (%)
Raw Materials
Employees Cost
Other Expenses
Total Expenditure
% of Sales
EBITDA
Margin (%)
Depreciation
EBIT
Int. and Finance Charges
Other Income
PBT bef. EO Exp.
EO Items
PBT after EO Exp.
Total Tax
Tax Rate (%)
Minority Interest
Reported PAT
Adjusted PAT
Change (%)
Margin (%)
FY13
51,660
20.1
20,609
9,626
10,866
41,101
79.6
10,559
20.4
2,538
8,021
2,987
299
5,333
-1,922
3,411
1,524
44.7
361
1,527
2,591
68.0
5.0
FY14
58,034
12.3
24,421
11,052
12,485
47,958
82.6
10,076
17.4
2,812
7,264
3,237
191
4,218
-2,145
2,073
696
33.6
286
1,090
2,515
-2.9
4.3
FY15
58,263
0.4
26,617
10,903
13,850
51,370
88.2
6,893
11.8
2,880
4,013
3,553
425
884
-481
403
805
199.6
176
-578
-1,057
-142.0
-1.8
FY16
58,023
-0.4
21,175
11,267
12,803
45,246
78.0
12,778
22.0
3,460
9,318
3,786
136
5,669
175
5,843
1,528
26.2
0
4,315
4,186
-496.1
7.2
FY17
60,063
3.5
19,995
12,310
14,306
46,611
77.6
13,452
22.4
2,914
10,538
3,411
249
7,376
0
7,376
1,630
22.1
-10
5,756
5,756
37.5
9.6
FY18E
65,860
9.7
21,668
13,304
15,148
50,119
76.1
15,740
23.9
3,240
12,501
2,962
273
9,812
0
9,812
2,453
25.0
-11
7,370
7,370
28.0
11.2
(INR Million)
FY19E
72,949
10.8
23,927
14,663
16,632
55,223
75.7
17,727
24.3
3,552
14,174
2,717
302
11,760
0
11,760
2,940
25.0
-11
8,831
8,831
19.8
12.1
FY20E
82,170
12.6
26,787
16,516
18,735
62,038
75.5
20,132
24.5
3,790
16,341
2,469
340
14,212
0
14,212
3,553
25.0
-12
10,671
10,671
20.8
13.0
Consolidated - Balance Sheet
Y/E March
Equity Share Capital
Total Reserves
Net Worth
Minority Interest
Total Loans
Deferred Tax Liabilities
Capital Employed
Gross Block
Less: Accum. Deprn.
Net Fixed Assets
Goodwill on Consolidation
Capital WIP
Total Investments
Curr. Assets, Loans&Adv.
Inventory
Account Receivables
Cash and Bank Balance
Loans and Advances
Curr. Liability & Prov.
Account Payables
Other Current Liabilities
Provisions
Net Current Assets
Appl. of Funds
FY13
159
24,602
24,761
1,115
42,452
2,922
71,251
50,244
19,027
31,217
18,457
4,369
256
29,409
11,162
7,086
3,561
7,601
12,458
6,893
2,167
3,398
16,951
71,251
FY14
155
26,111
26,265
1,579
43,953
2,371
74,168
53,614
22,319
31,295
19,693
4,724
340
32,587
13,414
8,059
4,795
6,318
14,471
7,498
2,205
4,768
18,116
74,168
FY15
159
24,376
24,535
0
47,931
2,380
74,847
54,245
24,508
29,737
19,376
5,966
395
30,714
12,353
8,193
3,944
6,225
11,342
7,669
2,028
1,645
19,372
74,847
FY16
159
28,936
29,096
0
45,167
3,269
77,532
58,129
27,705
30,425
20,489
5,936
361
32,260
12,161
9,297
3,445
7,357
11,938
6,204
2,936
2,799
20,321
77,532
FY17
156
34,205
34,360
-393
44,311
445
78,724
64,064
30,619
33,445
17,622
6,838
1,294
29,788
12,204
10,053
4,596
2,935
10,264
7,495
1,604
1,165
19,524
78,724
FY18E
156
40,839
40,995
-393
40,311
445
81,358
71,784
33,858
37,926
17,622
3,618
1,294
31,994
13,123
11,023
4,630
3,218
11,095
8,059
1,759
1,277
20,899
81,359
(INR Million)
FY19E
156
48,790
48,945
-393
37,311
445
86,308
77,178
37,411
39,767
17,622
3,224
1,294
36,644
14,459
12,210
6,411
3,564
12,243
8,880
1,948
1,415
24,401
86,309
FY20E
156
58,397
58,552
-393
35,311
445
93,916
81,757
41,201
40,556
17,622
2,645
1,294
45,563
16,243
13,753
11,551
4,015
13,764
9,976
2,195
1,594
31,799
93,916
4 July 2017
33

Jubilant Life Sciences
Financials and Valuations
Ratios
Y/E March
Basic (INR)
EPS
Cash EPS
BV/Share
DPS
Payout (%)
Valuation (x)
P/E
Cash P/E
P/BV
EV/Sales
EV/EBITDA
Dividend Yield (%)
FCF per share
Return Ratios (%)
RoE
RoCE
RoIC
Working Capital Ratios
Fixed Asset Turnover (x)
Asset Turnover (x)
Inventory (Days)
Debtor (Days)
Creditor (Days)
Leverage Ratio (x)
Current Ratio
Interest Cover Ratio
Net Debt/Equity
FY13
16.6
32.9
159.0
3.1
36.6
FY14
16.2
34.2
168.7
3.0
49.9
FY15
-6.8
11.7
157.6
3.1
-99.6
-102.0
59.1
4.4
2.6
22.0
0.4
27.9
-4.2
-6.2
-6.2
1.1
0.8
77
51
48
2.7
1.1
1.8
FY16
26.9
49.1
186.9
3.1
13.3
25.7
14.1
3.7
2.6
11.7
0.4
47.5
15.6
9.5
10.4
1.0
0.7
76
58
39
2.7
2.5
1.4
FY17
37.0
55.7
220.7
3.1
10.0
18.7
12.4
3.1
2.5
11.0
0.4
62.9
18.1
11.0
12.3
0.9
0.8
74
61
46
2.9
3.1
1.1
FY18E
47.3
68.1
263.3
3.9
10.0
14.6
10.2
2.6
2.2
9.1
0.6
47.8
19.6
12.0
13.6
0.9
0.8
73
61
45
2.9
4.2
0.8
FY19E
56.7
79.5
314.4
4.7
10.0
12.2
8.7
2.2
1.9
7.8
0.7
51.8
19.6
13.0
14.4
0.9
0.8
72
61
44
3.0
5.2
0.6
FY20E
68.5
92.9
376.1
5.7
10.0
10.1
7.5
1.8
1.6
6.5
0.8
66.3
19.9
13.9
15.9
1.0
0.9
72
61
44
3.3
6.6
0.4
0.4
34.2
10.9
7.2
7.6
1.0
0.7
79
50
49
2.4
2.7
1.6
0.4
33.9
9.9
7.2
7.6
1.1
0.8
84
51
47
2.3
2.2
1.5
Consolidated - Cash Flow Statement
Y/E March
OP/(Loss) before Tax
Depreciation
Interest & Finance Charges
Direct Taxes Paid
(Inc)/Dec in WC
CF from Operations
Others
CF from Operating incl EO
(Inc)/Dec in FA
Free Cash Flow
(Pur)/Sale of Investments
Others
CF from Investments
Issue of Shares
Inc/(Dec) in Debt
Interest Paid
Dividend Paid
Others
CF from Fin. Activity
Inc/Dec of Cash
Opening Balance
Closing Balance
FY13
3,411
2,538
2,874
-1,196
-40
7,587
2,112
9,699
-4,378
5,321
-54
123
-4,309
0
-992
-2,957
-548
0
-4,498
892
2,668
3,561
FY14
2,073
2,812
3,185
-809
-1,107
6,153
1,569
7,723
-2,438
5,285
-63
156
-2,344
0
-247
-3,345
-552
0
-4,144
1,235
3,561
4,795
FY15
403
2,880
3,491
-793
964
6,945
888
7,833
-3,491
4,341
-42
-125
-3,658
0
-1,136
-3,353
-538
0
-5,027
-852
4,795
3,944
FY16
5,843
3,460
3,758
-481
-1,467
11,114
-191
10,923
-3,532
7,391
257
76
-3,198
0
-4,319
-3,335
-569
0
-8,223
-499
3,944
3,445
FY17
7,376
2,914
3,163
-1,630
1,949
13,771
0
13,771
-3,970
9,801
-933
-2,881
-7,784
-4
-856
-3,411
-574
10
-4,835
1,152
3,445
4,597
FY18E
9,812
3,240
2,689
-2,453
-1,341
11,947
0
11,947
-4,500
7,447
0
273
-4,227
0
-4,000
-2,962
-735
11
-7,686
34
4,597
4,630
(INR Million)
FY19E
11,760
3,552
2,415
-2,940
-1,722
13,065
0
13,065
-5,000
8,065
0
302
-4,698
0
-3,000
-2,717
-881
11
-6,586
1,781
4,630
6,411
FY20E
14,212
3,790
2,129
-3,553
-2,257
14,321
0
14,321
-4,000
10,321
0
340
-3,660
0
-2,000
-2,469
-1,064
12
-5,521
5,140
6,411
11,551
4 July 2017
34

REPORT GALLERY
RECENT INITIATING COVERAGE REPORTS
Rs

Disclosures
This document has been prepared by Motilal Oswal Securities Limited (hereinafter referred to as Most) to provide information about the company (ies) and/sector(s), if any, covered in the report and may be distributed by it
and/or its affiliated company(ies). This report is for personal information of the selected recipient/s and does not construe to be any investment, legal or taxation advice to you. This research report does not constitute an
offer, invitation or inducement to invest in securities or other investments and Motilal Oswal Securities Limited (hereinafter referred as MOSt) is not soliciting any action based upon it. This report is not for public distribution
and has been furnished to you solely for your general information and should not be reproduced or redistributed to any other person in any form. This report does not constitute a personal recommendation or take into
account the particular investment objectives, financial situations, or needs of individual clients. Before acting on any advice or recommendation in this material, investors should consider whether it is suitable for their
particular circumstances and, if necessary, seek professional advice. The price and value of the investments referred to in this material and the income from them may go down as well as up, and investors may realize losses
on any investments. Past performance is not a guide for future performance, future returns are not guaranteed and a loss of original capital may occur.
MOSt and its affiliates are a full-service, integrated investment banking, investment management, brokerage and financing group. We and our affiliates have investment banking and other business relationships with a some
companies covered by our Research Department. Our research professionals may provide input into our investment banking and other business selection processes. Investors should assume that MOSt and/or its affiliates are
seeking or will seek investment banking or other business from the company or companies that are the subject of this material and that the research professionals who were involved in preparing this material may educate
investors on investments in such business . The research professionals responsible for the preparation of this document may interact with trading desk personnel, sales personnel and other parties for the purpose of
gathering, applying and interpreting information. Our research professionals are paid on twin parameters of performance & profitability of MOSt.
MOSt generally prohibits its analysts, persons reporting to analysts, and members of their households from maintaining a financial interest in the securities or derivatives of any companies that the analysts cover.
Additionally, MOSt generally prohibits its analysts and persons reporting to analysts from serving as an officer, director, or advisory board member of any companies that the analysts cover. Our salespeople, traders, and
other professionals or affiliates may provide oral or written market commentary or trading strategies to our clients that reflect opinions that are contrary to the opinions expressed herein, and our proprietary trading and
investing businesses may make investment decisions that are inconsistent with the recommendations expressed herein. In reviewing these materials, you should be aware that any or all of the foregoing among other things,
may give rise to real or potential conflicts of interest. MOSt and its affiliated company(ies), their directors and employees and their relatives may; (a) from time to time, have a long or short position in, act as principal in, and
buy or sell the securities or derivatives thereof of companies mentioned herein. (b) be engaged in any other transaction involving such securities and earn brokerage or other compensation or act as a market maker in the
financial instruments of the company(ies) discussed herein or act as an advisor or lender/borrower to such company(ies) or may have any other potential conflict of interests with respect to any recommendation and other
related information and opinions.; however the same shall have no bearing whatsoever on the specific recommendations made by the analyst(s), as the recommendations made by the analyst(s) are completely independent
of the views of the affiliates of MOSt even though there might exist an inherent conflict of interest in some of the stocks mentioned in the research report
Reports based on technical and derivative analysis center on studying charts company's price movement, outstanding positions and trading volume, as opposed to focusing on a company's fundamentals and, as such, may not match with a report on a
company's fundamental analysis. In addition MOST has different business segments / Divisions with independent research separated by Chinese walls catering to different set of customers having various objectives, risk profiles, investment horizon,
etc, and therefore may at times have different contrary views on stocks sectors and markets.
Unauthorized disclosure, use, dissemination or copying (either whole or partial) of this information, is prohibited. The person accessing this information specifically agrees to exempt MOSt or any of its affiliates or employees
from, any and all responsibility/liability arising from such misuse and agrees not to hold MOSt or any of its affiliates or employees responsible for any such misuse and further agrees to hold MOSt or any of its affiliates or
employees free and harmless from all losses, costs, damages, expenses that may be suffered by the person accessing this information due to any errors and delays. The information contained herein is based on publicly
available data or other sources believed to be reliable. Any statements contained in this report attributed to a third party represent MOSt’s interpretation of the data, information and/or opinions provided by that third party
either publicly or through a subscription service, and such use and interpretation have not been reviewed by the third party. This Report is not intended to be a complete statement or summary of the securities, markets or
developments referred to in the document. While we would endeavor to update the information herein on reasonable basis, MOSt and/or its affiliates are under no obligation to update the information. Also there may be
regulatory, compliance, or other reasons that may prevent MOSt and/or its affiliates from doing so. MOSt or any of its affiliates or employees shall not be in any way responsible and liable for any loss or damage that may
arise to any person from any inadvertent error in the information contained in this report. MOSt or any of its affiliates or employees do not provide, at any time, any express or implied warranty of any kind, regarding any
matter pertaining to this report, including without limitation the implied warranties of merchantability, fitness for a particular purpose, and non-infringement. The recipients of this report should rely on their own
investigations.
This report is intended for distribution to institutional investors. Recipients who are not institutional investors should seek advice of their independent financial advisor prior to taking any investment decision based on this
report or for any necessary explanation of its contents.
Most and it’s associates may have managed or co-managed public offering of securities, may have received compensation for investment banking or merchant banking or brokerage services, may have received any
compensation for products or services other than investment banking or merchant banking or brokerage services from the subject company in the past 12 months.
Most and it’s associates have not received any compensation or other benefits from the subject company or third party in connection with the research report.
Subject Company may have been a client of Most or its associates during twelve months preceding the date of distribution of the research report
MOSt and/or its affiliates and/or employees may have interests/positions, financial or otherwise of over 1 % at the end of the month immediately preceding the date of publication of the research in the securities mentioned
in this report. To enhance transparency, MOSt has incorporated a Disclosure of Interest Statement in this document. This should, however, not be treated as endorsement of the views expressed in the report.
Motilal Oswal Securities Limited is registered as a Research Analyst under SEBI (Research Analyst) Regulations, 2014. SEBI Reg. No. INH000000412
Pending Regulatory inspections against Motilal Oswal Securities Limited:
SEBI pursuant to a complaint from client Shri C.R. Mohanraj alleging unauthorized trading, issued a letter dated 29th April 2014 to MOSL notifying appointment of an Adjudicating Officer as per SEBI regulations to hold inquiry
and adjudge violation of SEBI Regulations; MOSL replied to the Show Cause Notice whereby SEBI granted us an opportunity of Inspection of Documents. Since all the documents requested by us were not covered we have
requested to SEBI vide our letter dated June 23, 2015 to provide pending list of documents for inspection.
List of associate companies of Motilal Oswal Securities Limited -Click
here to access detailed report
Analyst Certification
The views expressed in this research report accurately reflect the personal views of the analyst(s) about the subject securities or issues, and no part of the compensation of the research analyst(s) was, is, or will be directly or
indirectly related to the specific recommendations and views expressed by research analyst(s) in this report. The research analysts, strategists, or research associates principally responsible for preparation of MOSt research
receive compensation based upon various factors, including quality of research, investor client feedback, stock picking, competitive factors and firm revenues
Jubilant Life Sciences
Disclosure of Interest Statement
Analyst ownership of the stock
No
Served as an officer, director or employee -
No
A graph of daily closing prices of securities is available at www.nseindia.com and http://economictimes.indiatimes.com/markets/stocks/stock-quotes
Regional Disclosures (outside India)
This report is not directed or intended for distribution to or use by any person or entity resident in a state, country or any jurisdiction, where such distribution, publication, availability or use would be contrary to law,
regulation or which would subject MOSt & its group companies to registration or licensing requirements within such jurisdictions.
For Hong Kong:
This report is distributed in Hong Kong by Motilal Oswal capital Markets (Hong Kong) Private Limited, a licensed corporation (CE AYY-301) licensed and regulated by the Hong Kong Securities and Futures
Commission (SFC) pursuant to the Securities and Futures Ordinance (Chapter 571 of the Laws of Hong Kong) “SFO”. As per SEBI (Research Analyst Regulations) 2014 Motilal Oswal Securities (SEBI Reg No. INH000000412) has
an agreement with Motilal Oswal capital Markets (Hong Kong) Private Limited for distribution of research report in Kong Kong. This report is intended for distribution only to “Professional Investors” as defined in Part I of
Schedule 1 to SFO. Any investment or investment activity to which this document relates is only available to professional investor and will be engaged only with professional investors.” Nothing here is an offer or solicitation
of these securities, products and services in any jurisdiction where their offer or sale is not qualified or exempt from registration. The Indian Analyst(s) who compile this report is/are not located in Hong Kong & are not
conducting Research Analysis in Hong Kong.
For U.S.
Motilal Oswal Securities Limited (MOSL) is not a registered broker - dealer under the U.S. Securities Exchange Act of 1934, as amended (the"1934 act") and under applicable state laws in the United States. In addition MOSL is
not a registered investment adviser under the U.S. Investment Advisers Act of 1940, as amended (the "Advisers Act" and together with the 1934 Act, the "Acts), and under applicable state laws in the United States.
Accordingly, in the absence of specific exemption under the Acts, any brokerage and investment services provided by MOSL, including the products and services described herein are not available to or intended for U.S.
persons.
This report is intended for distribution only to "Major Institutional Investors" as defined by Rule 15a-6(b)(4) of the Exchange Act and interpretations thereof by SEC (henceforth referred to as "major institutional investors").
This document must not be acted on or relied on by persons who are not major institutional investors. Any investment or investment activity to which this document relates is only available to major institutional investors
and will be engaged in only with major institutional investors. In reliance on the exemption from registration provided by Rule 15a-6 of the U.S. Securities Exchange Act of 1934, as amended (the "Exchange Act") and
interpretations thereof by the U.S. Securities and Exchange Commission ("SEC") in order to conduct business with Institutional Investors based in the U.S., MOSL has entered into a chaperoning agreement with a U.S.
registered broker-dealer, Motilal Oswal Securities International Private Limited. ("MOSIPL"). Any business interaction pursuant to this report will have to be executed within the provisions of this chaperoning agreement.
The Research Analysts contributing to the report may not be registered /qualified as research analyst with FINRA. Such research analyst may not be associated persons of the U.S. registered broker-dealer, MOSIPL, and
therefore, may not be subject to NASD rule 2711 and NYSE Rule 472 restrictions on communication with a subject company, public appearances and trading securities held by a research analyst account.
For Singapore
Motilal Oswal Capital Markets Singapore Pte Limited is acting as an exempt financial advisor under section 23(1)(f) of the Financial Advisers Act(FAA) read with regulation 17(1)(d) of the Financial Advisors Regulations and is a
subsidiary of Motilal Oswal Securities Limited in India. This research is distributed in Singapore by Motilal Oswal Capital Markets Singapore Pte Limited and it is only directed in Singapore to accredited investors, as defined in
the Financial Advisers Regulations and the Securities and Futures Act (Chapter 289), as amended from time to time.
In respect of any matter arising from or in connection with the research you could contact the following representatives of Motilal Oswal Capital Markets Singapore Pte Limited:
Varun Kumar
Varun.kumar@motilaloswal.com
Contact : (+65) 68189232
Office Address:21 (Suite 31),16 Collyer Quay,Singapore 04931
§
§
Jubilant Life Sciences
4 July 2017
Motilal Oswal Tower, Level 9, Sayani Road, Prabhadevi, Mumbai 400 025
Phone: +91 22 3982 5500 E-mail: reports@motilaloswal.com
Motilal Oswal Securities Ltd
36