Initiating Coverage | 16 October 2017
Sector: Media
Prime Focus
Set to run the show
Aliasgar Shakir - Research analyst
(Aliasgar.Shakir@motilaloswal.com); +91 022 6129 1565
Hafeez Patel - Research analyst
(Hafeez.Patel@motilaloswal.com); +91 22 6129 1568
Investors are advised to refer through important disclosures made at the last page of the Research Report.
Motilal Oswal research is available on www.motilaloswal.com/Institutional-Equities, Bloomberg, Thomson Reuters, Factset and S&P Capital.

Prime Focus
Contents : Prime Focus | Set to run the show
Summary ............................................................................................................. 3
Infographics ......................................................................................................... 5
Infographics ......................................................................................................... 6
Turns profitable ................................................................................................... 7
Creative Services – a strong driver of profitability ................................................. 9
Tech/Tech-enabled services – to remain steady .................................................. 23
Indian film business – a cash cow ........................................................................ 27
Improved balance sheet, healthy cash flow potential .......................................... 29
Bull & Bear case
................................................................................................. 37
Initiating coverage with a Buy rating ................................................................... 39
Risks .................................................................................................................. 41
Annexure ........................................................................................................... 42
Management profile........................................................................................... 44
Financials and Valuations ................................................................................... 45
October 2017
2

Prime Focus
Initiating Coverage | Sector: Media
Prime Focus
Buy
BSE Sensex
32,634
S&P CNX
10,231
CMP: INR89
TP: INR130 (+46%)
Set to run the show
Stock Info
Bloomberg
Equity Shares (m)
52-Week Range (INR)
1, 6, 12 Rel. Per (%)
M.Cap. (INR b)
M.Cap. (USD b)
Avg Val, INRm
Free float (%)
Forte in global media services to drive profitable growth
PRIF IN
298.9
124 / 63
-13/-25/5
27.4
0.42
11
65.0
Financial Snapshot (INR b)
Y/E MARCH
FY17 FY18E FY19E
Net Sales
21.5
24.7
28.4
EBITDA
4.8
5.5
6.5
Adj. NP
0.4
0.9
1.8
Adj.EPS (INR)
1.2
3.0
5.9
EPS Gr.%
LP 147.7
94.3
BV/Share
18.6
21.6
27.5
Adj. P/E (x)
73.0
29.5
15.2
P/BV (x)
4.8
4.1
3.2
EV/EBITDA (x)
8.5
7.0
5.4
RoE (x)
7.6
15.0
23.9
RoCE (x)
8.3
9.7
14.1
Shareholding pattern (%)
As On
Jun-17 Mar-17 Jun-16
Promoter
35.0
35.0
35.0
DII
0.0
0.0
0.0
FII
9.9
10.1
10.7
Others
55.1
54.9
54.3
FII Includes depository receipts
Prime Focus Ltd (PFL) is a full-service media player offering creative solutions,
including visual effects (VFX), animation, 3D conversion and media-focused ERP
solutions, in India and abroad.
The company turned profitable in FY17 post completion of the M&A integration in
FY15-16. In our view, the four M&A transactions in the last five years have allowed
PFL to become a strong media service player globally, which should drive 15%/18%
revenue/EBITDA CAGR over FY17-20E.
One of the top-4 Hollywood VFX service providers, PFL is well placed to benefit from
the steady rise in VFX budgets of the top Hollywood movie grossers.
We note that the demons of ~2.8x jump in net debt to INR13.9b and 50% equity
dilution over the last five years are now behind. Furthermore, improving EBITDA
and lower capex requirement are expected to help generate healthy FCF, improve
RoIC to 19% and reduce net debt by ~68% to INR4.5b by FY20.
We thus initiate coverage on PFL with a Buy rating and a target price of INR130 (46%
upside), based on SOTP-based valuation, ascribing 10x (industry average) on FY19E
EBITDA.
Full-service media player set to run the show
PFL, a full-service media player, has grown its revenue by 10x and EBITDA by 5x
over the past ten years. Post five years of strategic M&As (integration completed
in FY15-16), the company turned profitable in FY17. We believe M&A has
allowed PFL to become a strong player in the media service industry globally,
which should drive steady 15% revenue CAGR over FY17-20E to reach INR32.8b.
Besides this, the scale benefits and cost synergies, particularly in the Creative
segment, should drive 18% EBITDA CAGR to reach INR 7.8b over the same period.
Creative segment – Animating growth
Creative segment, which operates through its 80%-held subsidiary, Prime Focus
World (PFW), has significantly enhanced its competitive position post the merger
with Double Negative (DNeg), one of the top-4 Hollywood VFX service providers.
Enjoying a healthy USD250m order pipeline (v/s USD100m in FY14), Creative
segment (77% of revenues in FY17) is expected to exhibit revenue CAGR of 16%
over FY17-20E to reach INR26.2b. We note that 90% of the top 25 movie grossers
are VFX-heavy (in the last three years), and the budgets for the same continue
expanding (from 10% to 25-30% of top 25 movie grossers in last ten years). Thus,
Creative segment’s target market – Hollywood VFX industry – continues to grow
in high-single-digits. The segment’s cost synergies (as incremental projects
relocate to low-cost centers) should also drive steady margin improvement. We
expect EBITDA CAGR of 22% over FY17-20E to reach INR6.4b.
Prime Focus
Set to run the show
Aliasgar Shakir
+
91 22 3982 5423
aliasgar.shakir@motilaloswal.com
Please click here for Video Link
October 2017
3

Prime Focus
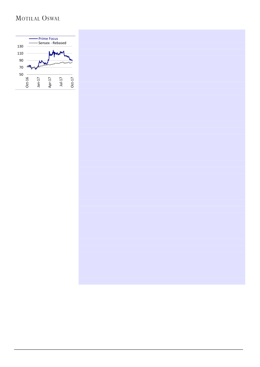
Stock Performance (1-year)
Tech and India FMS to remain steady
Tech business (16% revenue in FY17), which operates through its 74%-held
subsidiary, Prime Focus Technology (PFT), offers cloud-based media ERP solutions to
global media houses. Notably, the company does not face direct competition from
peers in this business. PFT’s content digitization endeavor has allowed it to become
a dominant player in India, and it has partnered with anchor broadcasters like Star
TV. Operating with an order book of ~USD200m, the company is expected to exhibit
revenue/EBITDA CAGR of 15%/16% over FY17-20 to reach INR5.3b/INR1.5b. PFT’s
recent investments in developed markets, breakthrough in Latin America and
inherent lumpy revenue growth profile have the potential to drive significantly
better-than-expected performance. Its other business, the India Film Management
Services (FMS) (7% revenue contribution in FY17), is a dominant pre- and post-
production equipment/service provider to the film industry. This business is
expected to grow its revenue and EBITDA at 8% and 3%, respectively, over FY17-20E
as large production houses turn to captive resources.
M&A phase behind; expect steady RoCE, FCF improvement
The company underwent 50% equity dilution, and grew gross debt from INR5.4b to
INR15.2b over FY12-17. This can be ascribed to the FCCB repayment woes, the four
M&A transactions over FY14-16 and also reclassification of INR2.4b preference
capital as debt (based on Ind-AS). However, with no further need for M&A,
incremental cash flow should be utilized toward debt repayment. Additionally,
provisioning of the long-pending INR2b debtors has lowered debtor days (from 130
in FY14 to ~40 in FY17). We expect moderate capex of INR1.75b (7% capex to sales),
and improving profitability on a leaner balance sheet should drive RoIC to 19% by
FY20. FCF generation (after deducting net interest cost) should increase to INR4.6b
in FY20 from INR0.7b in FY17. With cumulative FCF generation of INR12.0b over
FY17-20E, the current INR15.2b gross debt is expected to reduce significantly.
Valuation and view
The stock is trading at adj. P/E of 15.2x and EV/EBITDA of 5.4x on FY19E basis. Using
SOTP, we value Creative segment at 10x EV/EBITDA, Tech/Tech-enabled services at
10x EV/EBITDA
(industry average)
and Indian FMS at 6x EV/EBITDA, arriving at a TP of
INR130. The higher valuation multiple for Creative and Tech/Tech-enabled business
is attributed to its healthy profit growth and sturdy competitive position in both the
businesses. India FMS business also offers steady profitability, but limited growth
opportunities – and thus low valuations. We believe its improving return ratios and
FCF generation offer strong re-rating potential. We initiate coverage with a
Buy
rating and a target price of INR130, offering 46% upside.
October 2017
4

Prime Focus
Hollywood’s avg. movie budget of top-25 films
Others (Artist
Salary,
Marketing, etc)
35%
Infographics
Hierarchy of VFX industry
Technicolor
Weta Digital
Prime Focus (Double Negative)
Industrial Light & Magic
R&H
Target
Cinesite
Framestore
Imageworks
Snowball
Mr. X Inc.
Others
Share of VFX
spend
30%
Top 4
Players
Middle Segment
players (15-20)
Production cost
35%
Other Players (>500)
Maximizing global efficiencies
October 2017
5

Prime Focus
Resurgence in returns
35
30
25
20
15
10
5
0
(5)
ROE (%)
ROCE (%)
Infographics
ROIC (%)
Strong order book (USD m)
Creative
Tech
200
200
150
200
250
200
150
170
Revenue and EBITDA margin to increase steadily over FY17-20
Total Revenue (INRb)
33.2
28.7
26.4
23.0 22.1
15.3
EBITDA margin (%)
22.3 22.3 23.0 23.8
Creative Services to steer growth
Creative Services (INR b)
Creative Services % margin
22.5
23.5
24.5
28.7 30.7
13.6
18.2
20.7
19.2
16.3
15.5
21.3
4.5
5.0
9.3
14.2
16.8
19.5
22.6
26.2
Segment-wise contribution to revenue
India FMS %
Tech/Tech Enabled Revenue %
Creative Services %
35.8
4.4
59.9
30.4
10.6
21.2
19.2
75.8
76.9
77.4
77.9
78.3
9.5
17.6
8.4
15.8
7.2
15.9
6.7
15.8
6.3
15.8
5.9
15.7
Segment-wise contribution to EBITDA
India FMS %
Creative Services %
32.0
15.0
20.5
27.6
17.2
23.6
17.6
21.1
11.3
18.7
9.0
18.2
8.2
17.9
7.4
17.6
Tech/Tech Enabled Revenue %
59.0
59.6
72.9
53.0
51.9
59.2
61.3
70.0
72.8
74.0
75.1
October 2017
6

Prime Focus
Turns profitable
Full-service media solution provider – 18% EBITDA CAGR potential over FY17-20E
PFL is a strong media services player offering creative (visual effects, 3D conversion,
animation) and technology (media ERP, cloud-enabled services) services to Indian and
global film studios and broadcasting companies.
Over the next three years (FY17-20), PFL is well poised to witness strong revenue
CAGR of 15% to reach INR32.8b and EBITDA CAGR of 18% to reach INR7.8b.
PFL has delivered robust growth over the last six years, reaching revenues of INR21.5b
in FY17 (4.3x of FY11), led by its organic and inorganic growth strategies.
Outlook supported by margin-led growth in Creative segment
PFL operates under three businesses: Creative services (visual effects, 3D conversion
and animation), Technology (media ERP, cloud-enabled services) and India FMS
(production, post-production and creative services).
The company has delivered robust growth over the last six years, reaching revenue
of INR21.5b in FY17 (4.3x of FY11), led by its strategies (both organic/inorganic) to
strengthen its comprehensive bouquet of services to large studios and broadcasters
in India and globally. Notably, EBITDA and PAT jumped 2.9x and 1.7x over FY11-17.
Over the past ten years, PFL has made deep inroads and built a strong competitive
position in the Indian and global media service industry, becoming one of the top
four VFX providers for premium Hollywood studios. PFL derives 80%+ revenues from
overseas, servicing top Hollywood studios, broadcasters and M&E companies.
The acquisition of low-margin DNeg – a Hollywood-based VFX player – led to a net
loss in FY15 and FY16. However, the company exhibited a successful turnaround
with adjusted PBT of INR519m in FY17, backed by a large order book with strong
visibility, as well as increasing delivery from low-cost centers. Over the next three
years (FY17-20), PFL is well poised to witness strong revenue CAGR of 15% to reach
INR32.8b, and EBITDA CAGR of 18% to reach INR7.8b. Creative business, which has
fortified its relationships with some marquee clients over the last 2-3 years, should
allow it to take a high share of the premium market.
Exhibit 1:
Strong order book (USD m)
Creative
Tech
150
150
Mar'14
200
200
200
170
Mar'15
200
Mar'16
250
Mar'17
Source: MOSL, Company
October 2017
7

Prime Focus
Exhibit 2:
Revenue and EBITDA margin to increase steadily over FY17-20
30.7
Total Revenue (INRb)
33.2
28.7
23.0 22.1
13.6
EBITDA margin (%)
22.3 22.3 23.0 23.8
28.7
26.4
15.3
18.2
2.0
2.2
3.5
4.5
5.0
7.7
7.6
8.3
12.9 19.0 21.5 24.7 28.4 32.8
Source: MOSL, Company
Exhibit 3:
Segment-wise contribution to revenue
Creative Services %
35.8
4.4
59.9
30.4
10.6
21.2
19.2
75.8
76.9
77.4
77.9
78.3
Tech/Tech Enabled Revenue %
9.5
17.6
8.4
15.8
7.2
15.9
6.7
15.8
India FMS %
6.3
15.8
5.9
15.7
59.0
59.6
72.9
FY12
FY13
FY14
FY15
FY16
FY17
FY18E
FY19E
FY20E
Source: MOSL, Company
Exhibit 4:
Segment-wise contribution to EBITDA
Creative Services %
32.0
15.0
20.5
27.6
17.2
23.6
Tech/Tech Enabled Revenue %
17.6
21.1
11.3
18.7
9.0
18.2
India FMS %
8.2
17.9
7.4
17.6
53.0
51.9
59.2
61.3
70.0
72.8
74.0
75.1
FY13
FY14
FY15
FY16
FY17
FY18E
FY19E
FY20E
Source: MOSL, Company
Exhibit 5:
Quarterly trend in revenue and margins
Total Revenue (INRb)
EBITDA margin (%)
Source: MOSL, Company
October 2017
8

Prime Focus
Creative Services – a strong driver of profitability
Among the top four Hollywood VFX service providers in a stable market
Over FY17-20, the Creative segment is expected to witness 16% revenue CAGR to
INR26.2b, and 22% EBITDA CAGR to INR6.4b on the back of its healthy USD400m order
book. The merger with DNeg and Gener8 has helped PFW (the company operates in this
segment through this subsidiary) create a strong competitive position in a sticky market.
The ~USD2.5-3b global VFX industry has grown at 10% CAGR over the last five years.
With 90% of the top-25 movie grossers being VFX-heavy and the budgets for special
effects increasing from 10% to 20-25% of the top-25 movie grossers in the last 10
years, the market potential appears promising.
Return on investment for the top-25 Hollywood movie grossers is as high as 10x. Thus,
the six ‘major’ film studios, which produce/distribute 75% of the top-25 Hollywood
grossers, have a very concentrated VFX provider base, given its high importance in a
movie’s success. PFW’s break into these top four players is a big success, in our view.
Furthermore, we note that 19 of the top-25 Hollywood films were released in the 3D
format, which indicates growing demand for 3D content.
Creative Services – gaining share in a steadily growing market
Creative Service, which operates under the company’s subsidiary Prime Focus World
(PFW), is among the top four specialized service providers, catering to the marquee
Hollywood studios that produce high-end VFX, 3D and animation-based movies. The
company has won two Oscar awards since the merger (three overall )– bagged its
second consecutive VFX Oscar for Ex Machina, following last year’s win for
Interstellar.
Creative Services’ revenue stood at INR16.8b in FY17 (up 3.6x over FY12-17), with an
order book of over USD250m (up from ~USD100m in 2014). Creative segment now
contributes ~77% of revenue, with EBITDA margin of 21.3% as of FY17. Of the total
Creative revenue, USD175m comes from VFX business and USD70m from 3D
conversion business. We believe Creative segment has the potential to grow
revenues at a steady rate of 16%, led by healthy industry growth of ~10% and the
increased share of premium VFX projects (attributed to its higher bandwidth and
cost synergy derived from its low-cost India center). Subsequently, we believe PFL
enjoys huge scale benefits, and has the potential to improve EBITDA margin by 300-
350bp from 21.3% in FY17.
Exhibit 6:
Strong order book (USD m)
250
170
200
150
Mar'14
Mar'15
Mar'16
Mar'17
Source: MOSL, Company
October 2017
9

Prime Focus
Exhibit 7:
Creative Services to steer growth
Creative Services (INR b)
20.7
Creative Services % margin
21.3
16.3
15.5
22.5
23.5
24.5
19.2
4.5
FY13
5.0
FY14
9.3
FY15
14.2
FY16
16.8
FY17
19.5
FY18E
22.6
FY19E
26.2
FY20E
Source: MOSL, Company
Exhibit 8:
Quarterly trend in revenue and margins
Creative Services (INR b)
28.3
19.4 20.2
12.7
17.3
20.7 19.3 19.2
25.2
15.9
4.1
1.2 1.0 1.0 1.3 1.1 1.2 1.4 1.4 1.2 2.7 2.5 3.0 4.0 3.4 3.4 3.5 4.0 3.5 3.8 5.4 4.0
24.0
Creative Services % margin
19.4
11.6 12.8
17.7 15.9 16.1
22.8
27.7
19.9
Source: MOSL, Company
A leading global VFX player enjoying top client relationships
PFW works closely and has deepened its engagement with leading Hollywood clients
like Warner Bros, Disney, Universal Studios, Paramount, Sony, Twentieth Century
Fox and Legendary Pictures. In 2014, PFW merged its operations with US-based
DNeg – a premiere VFX player having top-tier relationships with large studios. This
has provided a major facelift to its competitive standing in the US post-production
market, and also helped it become one of the top four VFX service providers (with
~25-30% market share) in the premium VFX market (top-25 grossing Hollywood
movies).
Exhibit 9:
Hollywood VFX market (USDm)
Premium movie budget
VFX budget (~25% of the total movie budget)
Top 25 movies' VFX share
VFX budget (Top 25 movies) (%)
Total US Film VFX market
Top 25 movies' VFX share
Top 4 service providers share (out of top 25 movies’ VFX budget) (%)
Top 4 service providers share
Prime Focus World VFX revenue
Prime Focus World VFX market share (Out of top 25 movies’ VFX share) (%)
150
38
938
30%
3,125
938
60%
563
175
19%
Source: Industry, MOSL
October 2017
10

Prime Focus
Exhibit 10:
Top-25 films comprise ~30% of production
budget for total films (%)
Exhibit 11:
Hollywood’s avg. movie budget of top25 film (%)
Share of VFX spend
30
Balance films
Top 25 films
70
35
30
Production cost
35
Others (Artist
Salary , Marketing,
etc)
Source: Industry, MOSL
Source: Industry, MOSL
A sticky service provider in a concentrated client market
The global VFX industry is highly fragmented, with a long tail of over 500 firms eying
for a share of the pie. However, the top production houses in the US have a sticky
and highly concentrated list of service providers. Given the high return potential of
the top-25 Hollywood movies (10x returns to investment), VFX directors/supervisors
are highly quality-conscious and very selective in setting the service provider
network. Thus, there is a clear segmentation among players, with key large players
doing around two thirds of the top 25 movies, and mid- to small-level players doing
the rest.
PFW has emerged as one of the top four global VFX players post the DNeg merger.
Its strategic partnership with Gener8 further augments its leading position in the
Hollywood stereo conversion (3D Conversion) segment, wherein both the
companies enjoy a combined share of 30%.
Exhibit 12:
VFX industry landscape
Revenue (USDm)
Top 4
Mid-size firms
New and small size firms
> USD 150m
USD 50 - 150m
< USD50m
Player
Industrial Light & Magic, Technicolor, PFW, Weta Digital
Sony Imageworks, Deluxe Entertainment, Cinesite, Framestore,
Digital Domain
Other fringe players
Control of market (%)
< 25-30%
< 20-25%
Balance 45-55%
Source: Industry, MOSL
Worked on Hollywood’s highest grossers
PFW has made its way into the list of tier-1 players, bagging high-end, high-value
VFX projects following the acquisition of DNeg. PFW has worked on numerous VFX
projects, including four of the ten highest-grossing movies of 2016 in Hollywood. It
has been consistently increasing share in the top-25 revenue grossers in the
industry. The company has won three Oscar awards since the merger – bagged its
second consecutive VFX Oscar for Ex Machina, following last year’s win for
Interstellar.
October 2017
11

Prime Focus
Healthy order visibility, bundled offerings to drive growth
Creative segment enjoys consistent revenues, led by a stable and long-term order
book of VFX projects. In VFX, an average project fetches revenue in the range of
USD5-40m and is executed over 6-9+ months. PFW has increased visibility on its
order book, with over USD250m of project work to be executed over the next 9-12
months. The company is also continuously increasing cross-sell via its bundled
offering (VFX and 3D conversion services).
In FY16, PFL offered bundled VFX and 3D offerings to blockbuster movies like
‘Captain America: Civil War’ (USD1,151m), ‘Batman v Superman: Dawn of Justice’
(USD872m), ‘Alice Through The Looking Glass’, ‘In The Heart Of The Sea’ and ‘The
Hunger Games: Mockingjay Part 2’. With steady 10-15% industry growth, deeper
inroads (led by bundling offerings) and a healthy order book, we expect revenue
CAGR of 16% over FY17-20 to reach INR26.2b.
Exhibit 13:
Robust order book of USD250m+
Source: MOSL, Company
October 2017
12

Prime Focus
Double Negative and Gener8 acquisition help Creative find place
in top VFX service provider list
Following the merger of PFW with DNeg, the Creative segment got a major facelift –
in 2014 and 2015, the company undertook the following key transformational
transactions:
In June 2014, PFW merged with DNeg, creating one of the largest independent
tier-I VFX services firm in Hollywood. The merger has a) provided much-needed
entry into the list of top-tier VFX providers of large Hollywood studios, b)
positioned the company closer to the customer and c) provided cross-sell
opportunities of 3D conversion and VFX services.
The acquisition of Gener8’s 3D business (a global leader in 3D conversion
market) further improved its leading position. The two companies together
enjoy a market share of ~30% in the Hollywood stereo conversion market.
With the help of these two major transactions, Creative segment grew from INR5b
in FY14 to INR16.8b in FY17 (via both organic as well as inorganic routes), implying
50% CAGR.
VFX market turning favorable for large service providers
VFX-heavy global box office grossers driving industry growth
The VFX film market globally is estimated at USD2.5-3b, growing at 10% CAGR over
the last five years. The market is expected to continue growing at a steady pace, as
VFX has become an integral part of the film production process. The point to note is
that 90% of the top-25 grossers in the last three years were VFX-heavy movies. This
indicates that large studios would continue focusing on VFX-heavy movies to drive
collections.
Exhibit 14:
Top grossers
2014
Transformers: Age of Extinction
The Hobbit: The battle of the
five armies
Guardians of the Galaxy
Maleficient
The Hunger Games: Mockingjay
- Part 1
X-men: Days of Future Past
Captain America: The Winter
Soldier
Dawn of the Planet of the Apes
The Amazing Spider-Man 2
Interstellar
USD m
1104
956
773
758
755
748
714
711
709
675
2015
Star Wars: The Force Awakens
Jurassic World
Furious 7
Avengers: Age of Ultron
Minions
Spectre
Inside Out
Mission Impossible - Rouge
Nation
The Hunger Games: Mockingjay
- Part 2
The Martian
USD m
2068
1670
1516
1405
1159
881
858
682
653
630
2016
Captain America: Civil War
Rouge One: A star Wars Story
Finding Dory
Zootopia
The Jungle Book (2016)
The Secret Life of pets
Batman v Superman: Dawn of
Justice
Fantastic Beasts and Where to
find them
Deadpool
Suicide Squad
USD m
1153
1050
1028
1024
967
876
873
811
783
746
Source: Industry, MOSL
Note: Highlighted areas in the table represent projects executed by PFL
October 2017
13

Prime Focus
Economics of VFX budget
Typically, out of a movie budget of USD150-200m, i) 25-30% is spent on VFX (10
years back, it was 10% of the budget; now some of the movies spend even about 60-
70%); ii) one-third of revenues are toward production cost, artist salary, shoot and
logistics; and iii) one-fourth of the cost is toward marketing, promotion (i.e. USD30-
50m).
The production house may bifurcate its USD50-70m VFX budget based on job
premiumization (USD20-30m worth of job done by 1-2 companies, remaining
USD30-40m by 5-7 companies). PFW can generate higher revenues by scaling up the
value chain and taking a higher share of the premium job.
Over the last few years, VFX genres like action and adventure are established as
leading genres in the US film industry, together contributing over 50% of the global
box office collections. VFX-heavy movies in the last 5-10 years have been the top
grossers in the year of their release, generating over 5-10x return on investments.
One of the key cause and effect factors that has led to its high grossing is the
Hollywood’s global content, which caters to wider population, not restricting to a
particular culture and ethos. This is also a key reason why most of the new
Hollywood productions are increasingly shifting focus to a globally targeted
storyline.
Exhibit 15:
Action & adventure comprising ~50% of global box office collection (%)
31
24
12
6
12
15
Other
Drama
Thriller /
Suspense/
Horror
Comedy
Action
Adventure
Source: Industry, MOSL
Ruled by major and mini major studios
Major and mini major studios account for a large proportion of the US film budget.
Six major studios – Walt Disney, Warner Bros, Fox Entertainment, Universal Studios,
Paramount and Sony Picture Motions – are involved in films that make-up more
than 75% of the overall production budget, either as a producer, co-producer or
distributor for the film. The prominent big film production companies referred as
mini major studios include Lions Gate, STC Entertainment, and MGM Holdings,
among others. Most big-budget movies every year are linked to one or combination
of majors. Many movies may not be directly produced by a major production house,
but being a key financer, it may be responsible and deeply involved in the selection
of service provider and marketing of the project. PFW is gaining strong competitive
edge by making inroads in top studios.
October 2017
14

Prime Focus
Exhibit 16:
Share of studios for top 500 film production
budget (2009-11) (%)
Exhibit 17:
Share among majors (2009-11) (%)
8
11
Major
Mini-major
Other independent
film studios
13
11
15
Walt Disney
Paramount
Warner Bros
15
Sony
Universal
20th Century Fox
81
13
14
Source: Industry, MOSL
Source: Industry, MOSL
Lead VFX service providers take the premium job
Typically, in a VFX project, the premium job will be taken up by the lead VFX service
provider, which will be directly contracted to manage the entire deliverable on the
project, with the support of 2-3 more VFX players. This is done either based on a
player’s specialization in certain library of work for select characters/shots. De-
risking the work is the main intension for the bifurcation.
Higher share of project work will be given to the lead VFX player. Low-skilled jobs
are usually sub-contracted to smaller VFX players, largely to manage timelines or
complete emergency work. PFL has gradually transformed itself from a VFX support
provider to a lead service provider in many of the top-25 grossers. This has
progressively improved its revenue share and profitability.
Exhibit 18:
VFX buying process
Customer / Decision maker
Director
Post-Production / VFX
supervisor
Production house /
Producer
Directly contracted (majority share of biz)
VFX 1(Lead contributor)
VFX n
Sub contractors (small share of biz)
VFX x
VFX y
Source Industry, MOSL
October 2017
15

Prime Focus
Concentrated service provider network
Top 4-5 players operate as lead VFX service provider
Top and mid-tier VFX players get majority of the work from major and mini-
major studios. The top 4-5 VFX operators include ILM, Weta, Double Negative
(now Prime Focus) and Technicolor – they are the lead players for specific
studios, mainly because of their existing strong relationships and established
capabilities. Among these four, only Technicolor and Prime Focus are
independent players, while ILM is owned by Disney and Weta is backed by
renowned producer/director Peter Jackson. Typically, independent visual effect
providers are preferred by studios, given their high skill nature of business and
concerns around conflict of interest. These top four players have been involved
in about two thirds of the top 25 VFX-heavy movies over the last five years. For
instance, ILM is the lead contributor for Pirates of the Caribbean, Technicolor for
Harry Potter and Avatar, Double Negative for ‘2012’, and Weta for X-Men.
2
nd
tier players manage specialized work
Certain VFX providers specialize in select characters or scenes hired by major
and mini-majors for their library. Some of the key players are R&H, Framestore,
Image Works, Deluxe, Cinesite, and Point 360, among others. They usually play a
supporting role along with top players in executing large VFX projects. For
instance, R&H worked as a support VFX service provider for The Wolf Man,
Framestore for Prince of Persia, and Image Works for Green Lantern. A long tail
of over 500 small VFX service providers works largely for TV shows and
commercial ads, including a few in-house VFX set-ups of production houses.
They typically work on low-budget films or as a support with certain top players.
Exhibit 19:
Hierarchy of VFX industry
•Technicolor
•Weta Digital
•Prime Focus (Double Negative)
•Industrial Light & Magic
•R&H
•Target
•Cinesite
•Framestore
•Imageworks
•Snowball
•Mr. X Inc.
•Others
Top 4
Players
Middle Segment
players (15-20)
Other Players (>500)
Source: Industry, MOSL
October 2017
16

Prime Focus
Quality of service – key criteria to decide VFX partners
Relationship, talent
VFX is a highly relationship-based business. Strong association with creative
personnel, editors and VFX experts in studios drives the business. Given the
critical nature of the business and potential to make 5-10x return on the cost,
the creative heads from studios are very particular about the quality of work.
Project, pipeline management
Typically, one of the key ways in getting the highest share of VFX business in a
project or to be a lead VFX player is to be part of the project during the story
boarding and ensure it is integrated with the entire film making. To ensure
timely delivery, the lead VFX operator coordinates with other VFX players and
sub-contractors tied with the project.
Technology
Proprietary workflow management to ensure seamless multi-located delivery,
and access to latest VFX technology are key.
Pricing
Pricing is the last priority in the VFX business and is not the key value
proposition in getting fresh projects. However, given the increasing pricing
pressures, players have started evaluating low-cost avenues like the UK, Canada
(tax incentives), India, China, Philippines (low labor cost).
Exhibit 20:
Key buying criteria
Talent
•Creative individual & editors
•VFX experts
Project / Pipeline Mgmt
•End-to-end support
•Deliver on time
Technology
•Latest technology
Price
Source: Industry, MOSL
Growing demand for 3D content led by higher-ticket revenues
Biggest advantages of 3D movies are: (i) it has higher-ticket pricing due to its
superior viewing experience, and (ii) there is limited piracy risk due to unavailability
of 3D content.
October 2017
17

Prime Focus
3D box office collection in the US/Canada was USD1.6b in 2016, accounting for 14%
of total box office. The number of 3D film releases in the US and Canada was 52 in
2016 v/s 40 in 2015. In 2016, 9 out of the top 10 and 19 out of top 25 films (based
on gross collection) were released in 3D (v/s 6 and 14, respectively, in 2015).
Exhibit 21:
19 of top 25 films released in 3D (2016)
Sr. No
1
2
3
4
5
6
7
8
9
10
11
12
13
14
15
16
17
18
19
20
21
22
23
24
25
Movie
Finding Dory
ouge One: A star Wars Story
Captain America: Civil War
The Secret Life of pets
The Jungle Book (2016)
Deadpool
Zootopia
Batman v Superman: Dawn of Justice
Suicide Squad
Star Wars: The Force Awakens
octor Strange
Fantastic Beasts and Where to find them
Moana
The Revenant
Jason Bourne
Star Trek Beyond
X-Men: Apocalypse
Sing
Trolls
Kung Fu Panda 3
Ghostbusters
Central Intelligence
The Legend of Tarzan
Sully
Bad Moms
3D
Source: MPAA Theatrical Market Statistics 2016, MOSL
In 2016, global growth in digital 3D screens was 17% v/s 15% in 2015. The global
proportion of 3D digital screens increased to 56% of all digital screens. Asia-Pacific
has the highest proportion of 3D digital screens at 78%.
Exhibit 22:
Worldwide digital 3D screens (‘000)
U.S / Canada
EMEA
Asia Pacific
Latin America
35.8
27.5
14.7
14.0
2012
14.2
2.6
15.8
15.8
2013
17.7
3.7
16.1
4.3
16.4
4.7
16.7
5.2
46.9
16.9
2014
17.6
2015
18.3
2016
Source: MPAA Theatrical Market Statistics 2016, MOSL
3D market steadily growing
3D movies account for over 15-20% of the US box office collections. The total
market potential for 3D films is in the range of 55-65 movies annually. On average,
one 3D film gets released each week, with some potential upside during the holiday
season.
October 2017
18

Prime Focus
Penetration of 3D screens has increased sustainably over the past few years. Around
100 films each year have a budget of over USD30m, of which a majority are of action
and adventure genre, which can be released in 3D.
Growth in 3D has been driven by the launch of new and existing titles by major
production houses. Over 50% of the 3D films are released by the major film studios;
over one third of these are animation movies, which are easier to be made in 3D
while in production.
Exhibit 23:
Moviegoers as % of population by age (2016)
55
41
45
37
40
30
20
2-11
12-17
18-24
25-39
40-49
50-59
60+
Source: MPAA Theatrical Market Statistics 2016, MOSL
3D conversion a preferred route v/s native 3D photography
There are two competing processes: 2D to 3D conversion, and 3D photography.
Conversion from 2D to 3D is the preferred route as it provides the option of
shooting with standard equipment, and provides flexibility to adjust the depth and
volume of each object in the scene, making it easy to handle.
On the contrary, 3D photography requires lot of infrastructure, time and expertise,
making it more complex procedure. The key reason that goes in favor of native 3D
photography is that complex 3D scenes like smoke, reflections and rain can be
better captured in the stereo images format.
Exhibit 24:
2D-3D conversion process
Assign depth
budget to shots
• Defining the output
• Done in presence of
director / producer
Roto scoping
Creating depth
Adding Volume &
shape
• Connecting multiple
images at various
depths together
Adjustments &
cleanup
• Reconstruction of
areas not filled by
stereo generator
Source: Industry, MOSL
• Accounts for major
chunk of the entire
process
• Done in presence of
director
2D to 3D conversion – a concentrated market
2D to 3D conversion is largely a two-player market (accounting for 97% of industry
revenue), with PFL holding ~50% market share, followed by Legend (~47%) and
others (~3%).
PFL, which uses its own in-house technology in 3D called ‘View D’, acquired Gener8,
one of the leading 3D players, to strengthen its foothold in the market.
October 2017
19

Prime Focus
Exhibit 25:
Share of 3D films (%, US production)
Exhibit 26:
2D-3D conversion market share (%)
Legend 3D + Stereo D
15
New releases
18
66
Library Conversion
Potential upside
50
3
47
Prime Focus
Others (Speedshape,
Rocket Science 3D)
Source: Industry, MOSL
Source: Industry, MOSL, Company
Margin-led growth in Creative Services
Outsourcing to drive margins
Creative segment’s global delivery model of 22 offices in all major content markets
with 8,000+ workforce facilitates rapid scaling, execution and high profitability by
sharing work across lower-cost regions. This has enabled steady improvement in
EBITDA margin from mid-teens in FY15 to 21.3% in FY17, and ~10% above range of
other VFX providers operating from the developed regions.
Further, its higher content delivery from India should drive EBITDA margin further
closer to 30%. We expect the Creative segment to drive 450-500bp EBITDA margin
improvement reaching 26% by FY20.
Creative segment’s extensive network helps to maximize global efficiencies such as
low-cost skilled labor, and other economic factors such as tax breaks and low trade
tariffs. For example:
The US – Largest Hollywood market, HQs of larger M&E players, sales, client
engagement, TV content production and VFX
Canada – Tax incentives, cultural synergy
The UK – Tax incentives, local TV and commercial market, leading to higher
utilization
India – low-cost skilled labor
October 2017
20

Prime Focus
Exhibit 27:
Maximizing global efficiencies
Source: MOSL, Company
Most of the VFX players have been shifting their base to cost-efficient locations in a
bid to improve margins. For instance, TechniColor started a base in Bangalore with
500 people in five years. This is still significantly lower than PFL’s scale of about
5,500 people in India.
Exhibit 28:
Peers mostly operate from local offices (contrary to PFL)
Company
Industrial Light & Magic
Technicolor
Weta Digital
Digital Domain
Sony Imageworks
No of offices Locations
4
San Francisco, Singapore, Vancouver & London
NA
Present in 32 Countries
1
2
2
New Zealand
Los Angeles & Vancouver
Vancouver & Culver City
Comments
NA
Operating at EBITDA margin of 7%
NA
Posted de-growth and
losses of USD23m in 2015
NA
Source: MOSL, Company
Offshoring trends to be beneficial for India
VFX companies operate on wafer-thin, low-single-digit profit margins. Given the
volatile nature of the movie business, large studios, despite being quality-conscious,
are unwilling to increase their cost budgets due to uncertainty in profitability. This
leaves limited room for any production delay, which makes it difficult to
accommodate high operating costs, including employee cost. High tax benefits in
destinations like the UK and Canada have made London and Vancouver as major
destinations for post-production activities. Companies like DNeg (led by Prime
Focus) and Technicolor have used labor-intensive destinations like India, Korea and
Philippines, operating at 60-70% lower costs.
October 2017
21

Prime Focus
Exhibit 29:
Key offshoring geographies
Source: Industry, MOSL
Low-skilled process shifted to cost-effective regions
In a typical VFX activity map, low-skilled, labor-intensive activity with limited
creativity requirements can be outsourced to low-priced regions (e.g. Rotoscoping,
which largely involves digital altercation of scenes already shot, cutting and cropping
of images, is usually offshored). Similarly, parts of computer graphics creation like
adding non-live pictures to shots (like fire, smoke, water, lights) and color/surface
details to scenes can be offshored, while complex shots can be done onshore in
presence of the director and photography head.
Exhibit 30:
VFX process flow
Story
Boarding
Defining
VFX
shots
Roto
Scoping
Editing of
shots
Computer
graphics
creation
Ancillary
inputs to
shots
Colour
correction
&
composting
Final
touches
to meet
expectati
ons
Source: Industry, MOSL
Limited risk of competition from low-cost region players
Existing players are driving cost efficiencies through offshoring; however, given that
quality and relationships take priority over pricing gains, smaller players from low-
cost regions have had limited success, and thus, do not pose threat to the existing
players.
October 2017
22

Prime Focus
Tech/Tech-enabled services – to remain steady
Dedicated media ERP solution provider
The Tech/Tech enabled segment is expected to grow revenue and EBITDA at 15% and
16% CAGR, respectively, over FY17-20E.
PFT garners 65% revenues from India. The strategic acquisition of DAX (Mar-14)
helped PFT expand its portfolio as well as global footprint.This, coupled with recent
senior management hiring, offers strong growth potential in the overseas market.
Uniquely positioned to offer customized ERP solutions to media firms
Prime Focus Technologies (PFT) offers cloud-based media ERP solutions for the
global media & entertainment (M&E) industry, which manages content and
enterprise workflows. It also offers SLA (service-level agreement)-based suite of
media processing and monetization services. PFT grew ~10x in the last five years to
record revenue of INR3.5b in FY17, and employed ~ 2,200 people. We expect the
segment to grow at a steady 15% CAGR over the next three years to reach INR5.3b
in FY20. EBITDA margin should improve 90bp to 28.5% during the same period.
Exhibit 31:
Tech segment to witness an uptick
Tech/Tech Enabled Revenue (INR b)
32.5
31.7
26.9
25.6
Tech/Tech Enabled Revenue % margin
27.6
27.5
28.0
28.5
0.8
FY13
1.6
FY14
2.2
FY15
3.0
FY16
3.5
FY17
4.0
FY18E
4.6
FY19E
5.3
FY20E
Source: MOSL, Company
Exhibit 32:
Quarterly trend in revenue and margins
Tech/Tech Enabled Revenue (INR b)
Tech/Tech Enabled Revenue % margin
36.1
35.0 33.3
32.3 30.2 30.5
32.1
30.3
28.4
28.3 27.1
27.6
26.1 28.1 27.6
25.9
25.7
25.6 25.9
22.5
21.4
0.2 0.2 0.2 0.2 0.3 0.4 0.4 0.4 0.5 0.5 0.6 0.7 0.7 0.7 0.8 0.8 0.8 0.9 0.9 0.9 0.8
Source: MOSL, Company
October 2017
23

Prime Focus
Service biz driving technology offtake
PFT provides two key offerings (Services and Products) to the media companies.
Service segment:
It streamlines the content based on a broadcaster’s
requirements. Scope of work includes: i) converting content into digital formats,
ii) offering metadata services like tagging and creating data modules, iii) content
localization by adding subtitles, dubbing and close captioning, and iv)
transformation services like on-air promos (OAP), re-mastering, quality check
(QC), editorial and packaging.
Technology:
It provides cloud-based media ERP solutions apart from cloud
operations and data management products to digital and OTT platforms.
Exhibit 33:
PFT offerings
Products
Cloud Media ERP
Cloud MAM
Broadcast Cloud
DX Production Cloud
Distribution Cloud
Playout Cloud
Playout Monitoring
Content Localization
Content Transformation
Digital & OTT platforms
Digitization & QC
Content Preparation
Content Remastering
Editorial & Packaging
Source: MOSL, Company
Services
Data Services
Meta-data
Analytics
Operations Cloud
Exhibit 34:
Comparison of services provided
Company
PFT
Deluxe
Key Geographies
Media Asset
Management
Media ERP
Services
Available on
Transformation Localization
cloud
Services
Services
Data Analytics
Services
India, US, UK & South Africa
US & UK
US, UK, Germany , France,
Ericsson
Spain
D alet
US, UK, Ge man y, Fr ance
Avid
Nor th Am erica, Europe
Accenture
North Amer ica , Europe, Asia
Extreme Reach North Ame rica
Encompass
North Am erica, Euro pe
SDI Media
North Americ a, Europe
Source: Industry, MOSL
Strong Indian contracts testify product capabilities
PFT has made deep inroads in the Indian market, partnering with big broadcasters
like Star TV, Color TV/Viacom and Sony. Nearly 70% of revenue is generated in India,
while rest is generated in the US. The opportunity for ERP solutions in the media
industry is huge, given that despite digital content evolution most of the
broadcasters in India and globally depend on legacy systems, and there are no direct
peer offering complete solutions on the line of PFT.
October 2017
24

Prime Focus
Fast-growing clientele
PFT works with major content owners like broadcasters, studios and OTT players in
India and overseas. Growth in the PFT segment is led by both farming existing clients
by increasing content delivery offerings and hunting new clients in the overseas
market, given strong product positioning, low absorption and limited direct
competition.
Exhibit 35:
Strong clientele
Broadcasters
STAR TV
Star Sports
Discovery Channel
National Geographic Channel
HBO
BBC
Sony Entertainment
Colors
Starz Entertainment
Tru TV
SABC
Global Eagle Entertainment
Cricket Australia
FX Network
Miramax
Crown Media
OTT players
Google
Amazon
Unilever
Hindustan Unilever Limited
Nestle
JWT
Amazon Prime
Turner and Amazon
Hotstar
Voot
HOOQ
Studios
Disney
Warner Bros
Legendary Pictures
Fox
Eros International
Source: Industry, MOSL
Recent DAX acquisition and high-profile hiring to provide global
inroads
Key benefits of DAX acquisition
In March 2014, the company acquired DAX, a cloud-based ERP solution provider
offering pre-production film modules to studios.
Product offering:
It offers dailies and production workflows, optimizer for
AmazonWeb Services, and promo operations for Adobe Premier Pro. DAX offers
complementary products in comparison to PFT’s in-house clear module, which
largely supports post-production processes. DAX provides processes catering
from the time of shooting to the implementation of the project.
Strong client inroads:
DAX has deep client relations with studios in North
America. Thus, the acquisition is expected to offer client penetration via cross-
selling services to DAX’s clients.
Growth drivers for Tech business
Sticky revenue model, robust order book to drive growth
PFT has high annuity revenue contribution of 71%, along with 34% contribution from
international revenue. The business has significant stickiness with ~71% annuity mix.
PFT has tasted good success in the Indian market, with Star being its anchor client
(accounting for 40-50% of revenues). PFT has a robust order book of over USD200m
to be executed over the next 2-3 years, with strong contribution from the annuity
business. It is now replicating its domestic success globally, and has built a robust
order book of USD200m and sustained EBITDA margin of 25-30%.
PFT’s growth going forward will be led by the inroads made in US broadcasters, film
and ad market, whereas the Indian segment should witness 10-15% growth. We
October 2017
25

Prime Focus
believe the gestation period for overseas growth is near to its end, with multiple
management initiatives like:
a. Completion of product and client integration of the recently acquired DAX in the
last 6-9 months
b. High-profile sales resource investment
c.
Inroads with large clients like Turner (Latin America) and Warner Bros
This should allow it to get faster client access and thus drive sales.
Well funded for growth
PFT raised USD10m from Ambit Pragma PE at an enterprise valuation of USD200m in
August 2016. The capital will be used for gaining deeper penetration and growth in
strategic markets such as North America & EMEA with increased sales and
marketing efforts.
Huge white space in global markets; Piecemeal peer offerings
weakens competitive landscape
To meet increasing demand for digital content with low cost of ownership, content
creators and distributors need to automate functions and workflows. Merely
converting content into digital form may not be enough. With 800m iTunes users,
75m subscribers on Netflix, 6b hours of video watched/month on YouTube, and 19%
of US millennial using Amazon Prime, there is a need for content enterprises to
become hyper-digital, bringing together departments, providers and distributors
under one system to access, alter and operate the same content.
By virtualizing content supply chain operations and implementing business process
management modules across the enterprise, the ERP solution can free up human
bandwidth (maximizing operational efficiencies), bring in savings in operating costs,
and enable monetization and addition of new revenue streams.
October 2017
26

Prime Focus
Indian film business – a cash cow
Dominant player in the moderate growth market
Post the acquisition of RMW in July 2014, PFL has established itself as a dominant
player in the India film market, offering both pre- and post-production
equipment/services.
We expect the segment to witness moderate revenue/EBITDA CAGR of 8%/3% over
FY17-20E as majority of the market turns captive.
Exhibit 36:
Margins to range between ~31-33%
India FMS (INR b)
36.1
24.2
21.3
40.5
India FMS % margin
36.6
32.0
32.0
32.0
2.3
FY13
1.8
FY14
1.2
FY15
1.6
FY16
1.6
FY17
1.7
FY18E
1.8
FY19E
2.0
FY20E
Source: MOSL, Company
Exhibit 37:
Quarterly trend in revenue and margins
India FMS (INR b)
32.0
28.5 29.1 24.8
9.9
India FMS % margin
50.6
45.6 43.6
44.2
39.9 37.7 37.2
38.7
33.4
30.8
27.3
39.8
21.0
22.8
17.0
19.1
0.5 0.7 0.7 0.5 0.5 0.4 0.3 0.5 0.3 0.3 0.4 0.3 0.4 0.4 0.4 0.4 0.4 0.4 0.4 0.3 0.4
Source: MOSL, Company
Offering complete bouquet of media services
India FMS segment offers complete media services across the spectrum, including
production (equipment rental and line production), post-production (digital
intermediate/color grading and pictures) and creative (visual effects, 3D conversion
and animation) services.
Stable growth, healthy margin
India FMS segment dominates the Indian M&E market, with revenue of INR1.7b as
of FY17 (8% of the company’s overall revenues). It has garnered high EBITDA margin
in the range of 30-40% over the past few years. Indian FMS is its oldest business,
operating with Bollywood projects. The segment operates on a rental business,
offering post-production studio services for movies, TV and ad projects. This
business is expected to grow revenues at 10% and sustain its current EBITDA margin
of ~35%.
October 2017
27

Prime Focus
Dominant player in India
PFL is one of the largest camera equipment rental companies in India with its huge
inventory of over 40 high-end film cameras. PFL owns a dedicated 10,000 sq.ft.
integrated studio, accounting for ~25% of capacity of the Mumbai studio market.
The company is pioneer of digital intermediate technology in the Indian film
industry, and has provided color grading services for almost 500 films.
Steady annuity business
In India FMS business, revenue per project is increasing on the back of its
comprehensive offering, including production, post production and creative
services. Films contribute ~50% of the market and should drive overall growth as
production budgets continue to rise and VFX/post-production services substitute
live production.
Exhibit 38:
India post-production by category, 2015 (%)
Others, 5
TVC, 39
Films, 52
TV, 4
Source: Industry, MOSL
October 2017
28

Prime Focus
Improved balance sheet, healthy cash flow potential
RoIC to reach 19% by FY20E led by steady OCF and moderate capex
PFL witnessed ~ 2.8x increase in net debt to INR 13.9b and 50% equity dilution over
the last five years on the back of the FCCB repayment woes and four M&A
transactions. However, improving operating cash flows should ensure steady
deleveraging.
Post the provisioning of INR2b debtors in FY16, debtor days have reduced from 108 in
FY15 to ~40 in FY17.
Savings on capex and lower working capital should help FCF reach new highs from its
lows. We expect FCF generation of INR4.6b by FY20 and return ratios to resurge, with
RoIC growing to 19% by FY20.
Debtor days reduced – legacy working capital issues addressed
Debtor days, which were over 130 in FY13-14, have reduced to ~40. The legacy
issues have been addressed, with PFL provisioning INR2b debtors in FY16 and thus
cleaning the balance sheet. Working capital days over the last two fiscal years have
been in the 60-90 range.
In 2012-13, in order to take advantage of the new 3D vogue in the market, PFW tied
up for 3D conversion of Bollywood movies on a revenues sharing model, which did
not take off in the global markets as 3D ecosystem for home viewing failed to pick
up. Lucasfilm (acquired by Disney in 2012) and Warner too shelved plans after
offering three and one movie contracts, respectively. With huge bench strength and
investment, debtors to the tune of INR2b were not recovered toward the revenue
sharing of Bollywood 3D movies, bloating the balance sheet and raising corporate
governance concerns. However, with INR2b debtor provisioning, the balance sheet
has turned much leaner.
Capex to sales likely to taper off
As the company concluded the inorganic investments, the focus should shift toward
leveraging the full potential of the transactions by bringing operational synergies.
Subsequently, we expect the company to not involve in heavy capex over the next 2-
3 years. Capex reduced from an average of INR3b over FY14-16 to INR1.5b in FY17.
We have factored in INR1.75b annual capex over FY18-20E. Capex to sales has
reduced from 34% in FY14 to 7% in FY17, which should further reduce to 5-6% over
FY18-20E.
October 2017
29

Prime Focus
Exhibit 39:
Capex to sales to continue reducing
Capex INRb)
0.34
0.25
0.12
0.11
0.07
0.06
0.05
Capex to Sales (%)
2.87
FY14
3.20
FY15
2.23
FY16
2.33
FY17
1.75
FY18E
1.75
FY19E
1.75
FY20E
Source: MOSL, Company
Acquisition spree
PFL has grown 10x over the last 10 years (since IPO), both organically and
inorganically. The company’s inorganic growth was largely in the developed nation
to seek inroads in the premium VFX/3D market, which remains concentrated with
high competitive barriers, but offers huge potential to grow. Characterized by deep
client relationships, past experience and quality, the US/UK post-production market
has seen limited entry of new players. PFL’s acquisition in that context was
justifiable to make inroads in the high profitable developed market. The acquisitions
of Double Negative and Gener8 were the biggest growth drivers, providing entry
into the top Hollywood Studio’s VFX/3D projects with investment support from
RMW.
We believe, going forward, growth should be largely driven organically, given its
strong foothold in the premium VFX market in the US.
Healthy CFO can manage debt repayment obligation
Over the past few quarters, the company has utilized proceeds from the sale of non-
core assets to reduce debt.
Sold LA building worth USD20m (~INR 1.3b); sales proceed were primarily used
toward debt reduction.
Divested illiquid stake in Digital Domain subsidiary in exchange for net stake
worth of USD30m (marketable securities) in Digital Domain; proceeds used
mainly to retire debt.
Second part of the transaction for USD20m in marketable securities is still in
process.
Debtor days reduced.
PFL has net debt of INR 13.9b and net debt to equity of 2.5x, with net debt to
EBITDA of 2.1x on FY18E. The company has INR1.9b repayment in November 2017
and additional INR1.9b in November 2018.
We believe, over the next 2-3 years, steady operating cash flow should allow it to
deleverage the balance sheet. We expect OCF generation of INR5.2b/5.7b in
FY18/19E. Post interest and capex, estimated FCF for FY18/19 stands at
INR3.4b/4.0b. This should partly allow it to fulfill FY18 and FY19 debt repayment
of INR1.9b each.
October 2017
30

Prime Focus
Exhibit 40:
FCF to touch new highs
Free Cash Flow (INR b)
6.9
4.4
1.6
(0.9)
0.8
(2.5)
0.2
3.2
(0.9)
2.4
(0.1)
2.3
Net Debt / EBITDA (x)
5.2
3.8
(1.2)
4.2
4.2
0.7
(3.3)
(0.9)
(0.6)
2.9
3.4
2.1
4.0
1.3
4.6
0.6
FY07 FY08 FY09 FY10 FY11 FY12 FY13 FY14 FY15 FY16 FY17 FY18E FY19E FY20E
Source: MOSL, Company
Exhibit 41:
Deleveraging in sight
Net Debt (INR b)
Net Debt / Equity (x)
3.4
2.5
1.8
1.1
1.0
1.2
1.0
0.8
8.9
13.7
13.9
11.6
1.0
0.4
8.5
4.5
2.1
1.6
2.0
0.2
0.4
3.0
3.7
3.8
4.0
5.1
6.6
7.7
FY07 FY08 FY09 FY10 FY11 FY12 FY13 FY14 FY15 FY16 FY17 FY18E FY19E FY20E
Source: MOSL, Company
Margin accretion, improved asset turns should support FCF generation and
return profile
Recovery of profitability and improved asset turns should drive healthy FCF
generation and return profile over the next three years. PFL’s EBITDA is expected to
grow ~1.6x from INR4.8b in FY17 to INR7.8b in FY20, growing at 18% CAGR. Asset
turns have improved over the last three years from 0.6x in FY15 to 1.1x in FY17. We
expect asset turns to be maintained at current level, as PFL plans to drive synergy
gains for inorganic growth over the last 3-4 years. Subsequently, improving margin
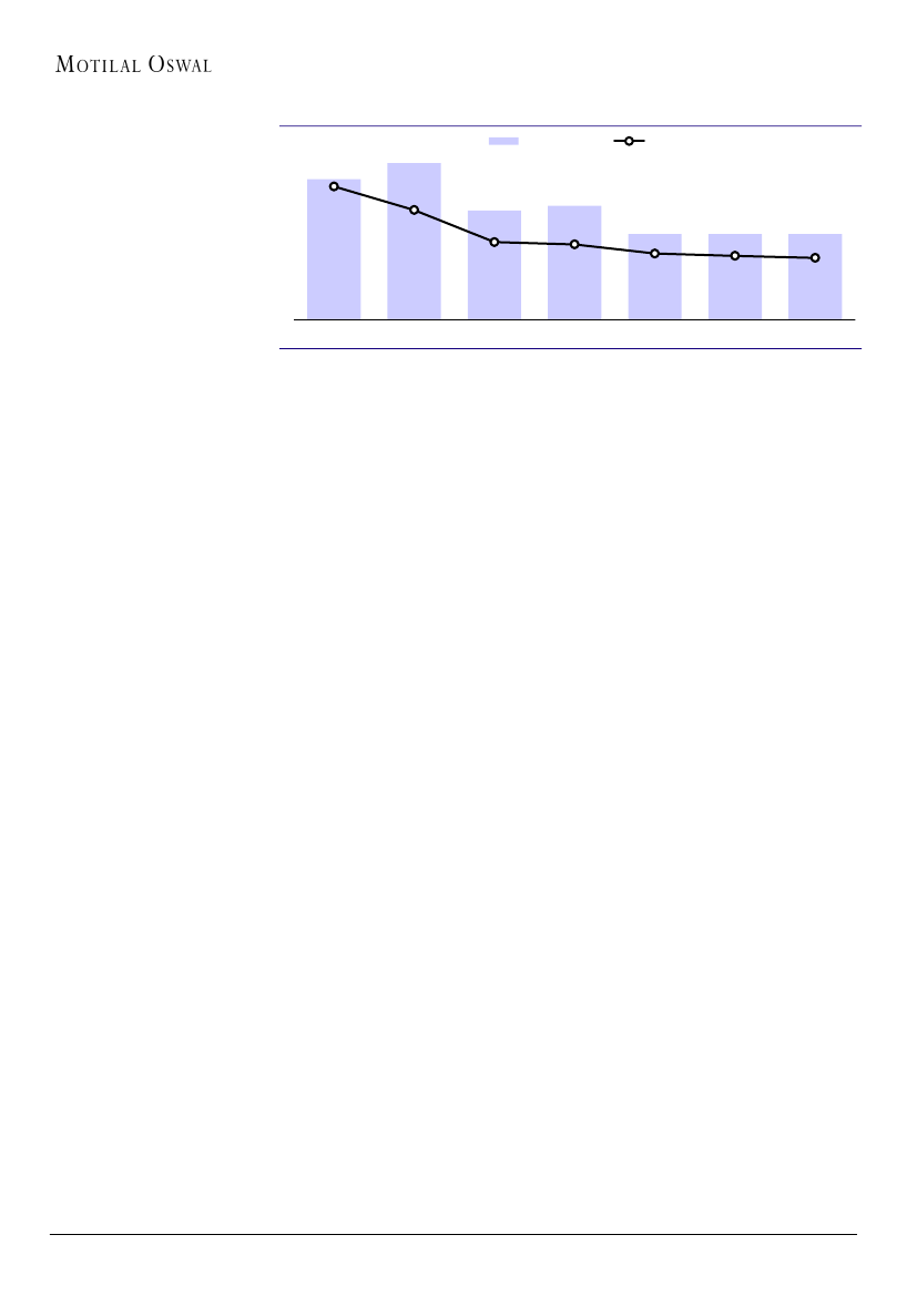
and stable asset turns are likely to drive RoIC from 11% in FY17 to 19% in FY20E. RoE
should also improve from 8% to 29% over the same period.
Exhibit 42:
Resurgence in returns
35.0
25.0
15.0
5.0
-5.0
FY08 FY09 FY10 FY11 FY12 FY13 FY14 FY15 FY16 FY17 FY18E FY19E FY20E
Source: MOSL, Company
ROE (%)
ROCE (%)
ROIC (%)
October 2017
31

Prime Focus
6% dilution led by ESOPs offer
The company had approved an ESOP plan in August 2014, where up to 6% of the
paid-up capital of the company (post the preferential allotment in 2015),
aggregating to 17.9m stock options, is to be paid to all eligible employees of the
company, subsidiaries and associates. While the company has not disclosed details
of this ESOP plan, we believe that a bulk of the ESOPs has been already granted, and
with a vesting period of 3-5 years should start hitting the share count in FY20E.
Promoter’s pledge reduced
Prime Focus being a service-oriented company has limited fixed assets for
hypothecation of loans. This had forced the promoters to pledge shares as
hypothecation for business loans. Promoter shares pledged pertain to the term loan,
working capital loans, cash credits/overdraft from banks. In FY13, the pledge
increased further to cover MTM as the stock remained volatile on the back M&A
activity, which worsened the leverage position. However, with the operational
momentum regained and share price back to INR100 level, the promoter pledge has
reduced from the peak of 74% in FY15 to 38% in Sept-17, and could come down
further.
Exhibit 43:
Promoter shareholding and shares pledged
Sharesholding (%)
71.0
61.9
49.7
40.1
40.9
41.6
Shares pledged (%)
74.0
69.0
52.9
44.0
35.0
35.0
35.0 38.0
FY12
FY13
FY14
FY15
FY16
FY17
Sept-17*
*As on 21/09/17
Source: MOSL, Company
October 2017
32

Prime Focus
Corporate restructuring
Over the last 10 years, since IPO, the company has been involved in five
acquisitions/M&As – DAX, Gener8, Double Negative, RMW, Frantic Films and Post
Logics Studios. Each of these has been pivotal in helping it make inroads in the
global market. Given its limited size, it has used external sources of funding. We
have outlaid each transaction below, along with its purpose.
Merger & acquisitions
Gener8
It was acquired in March 2015 for an enterprise value of CAD16.5m, of which
CAD6.5m was upfront payment and additional CAD2m was annual payment for
five years. The amount was settled for total 7m in April 2017. The purpose of the
acquisition was to consolidate its position in the 3D Hollywood market. The two
companies together enjoy market share of ~50% in the Hollywood stereo
conversion market.
Reliance Media Work (RMW)
In July 2014, RMW merged with PFL. RMW was issued equity in PFL of INR3.5b
with fresh equity of 67.3m at INR52/share (enterprise value of INR5.5b).
Additionally, INR2b debt is not yet absorbed – the timing for this depends on the
transfer of Film City lease, which is currently in RMW’s books. This could be
absorbed in a couple years, when the lease gets transferred. The merger with
RMW provided PFL with:
Studios with 200,000 sq. ft. located in Film City, Mumbai
90,000 sq. ft. SEZ in Navi Mumbai and 75,000 sq. ft. facility in Film City,
Mumbai
Lowry Digital’s Image processing unit
30% stake in Digital Domain
The merger also facilitated additional INR1.2b equity investment by RMW,
which was utilized for upfront payment for DNeg merger. The merger trigged a
mandatory open offer, which took its total shareholding to 45%, of which 9.75%
was later acquired by Standard Chartered Private Equity, reducing RMW’s stake
to 35.1%. The merger also allowed PFL to turn into a full-service FMS provider in
India, including creative, technology, production and post-production services.
October 2017
33

Prime Focus
Exhibit 44:
Shareholding snapshot of pre- and post-RMW merger transaction
Stage Particulars
I
Pre RMW transaction
Shares (m)
% of total shares
II
New shares issued (m) @ INR52/share
Reliance Capital (worth INR1200m)
RMW (worth INR3500m)
Promoter (worth INR1200m)
III
IV
V
VI
VII
Post RMW transaction
Shares (m)
% of total shares
Open offer
Shares acquired (m)
% of total shares
Post open offer
Shares (m)
% of total shares
Stake sale
RMW's part stake sale to SCPE (shares in m)
% of total shares
Post stake sale
Shares (m)
% of total shares
Total
185.4
23.1
67.3
23.1
113.5
298.9
48.1
16.1%
Promoter
77.1
41.6%
-
-
23.1
23.1
100.2
33.5%
4.4
1.5%
104.6
35.0%
29.1
9.8%
-
104.6
35.0%
SCPE
36.5
19.7%
-
-
-
0.0
36.5
12.2%
0.0
0.0%
36.5
12.2%
29.1
9.8%
RMW
-
0.0%
23.1
67.3
-
90.4
90.4
30.2%
43.7
14.6%
134.1
44.9%
-29.1
-9.8%
65.7
104.9
22.0%
35.1%
Source: MOSL, Company
Double Negative
PFL’s subsidiary PFW merged with Double Negative (DNeg) in June 2014,
ascribing the latter with an enterprise value of GBP55m, of which GBP12m was
debt and GBP24m was upfront cash. Of the rest, GBP7m was 7% equity stake in
PFW and GBP12m was deferred payment, of which GBP4m is currently
outstanding.
DNeg is one of the top four independent providers of visual effects for films,
operating from London and Singapore. It has worked on a series of top-grossing
Hollywood VFX movies. The merger provides PFW with strong inroads in the
premium Hollywood VFX market. Additionally, it can leverage its low-cost, set-
up to improve synergies and garner better EBITDA margin.
DAX
PFL’s subsidiary PFT acquired DAX in April 2014 for an EV of USD 12.5m, of
which USD 2.5m was debt and 1m cash, while the rest was deferred payment.
Currently, USD3m is payable. DAX’s Digital Dailies product is a key provider of
production workflow and media asset management applications and services to
large media companies. The company’s complementary product profile and
deep client inroads supported PFT’s strategy to penetrate the US market.
Frantic Films and Post Logic Studios
This company was acquired in April 2008 for an EV of USD43m, paid in cash, to
make inroads in Hollywood’s VFX market. The acquisition was funded by raising
FCCBs (details mentioned below).
VTR Plc
It was acquired in May 2006 for an EV of GBP6m to make inroads in the UK TV
market. It was funded through an IPO issue of INR1b.
October 2017
34

Prime Focus
Fund raising
Ambit Pragma
In August 2016, PFT raised USD10m from Ambit Pragma to intensify the
development of SaaS products, including CLEAR Media ERP (technology used to
tap the digital consumer landscape by enhancing efficiencies), thereby providing
impetus to gain deeper penetration in the strategic markets.
RMW and Promoters
In July 2014, PFL raised INR 1.2b each from RMW and Promoter Group, issuing
23.1m shares at INR52. The cash was utilized to pay INR2.4b upfront toward the
merger of DNeg.
Macquarie
In June 2013, PFL’s subsidiary PFW issued USD38m convertible redeemable
preference shares (tenure of ~4 years) to Macquarie at 13% IRR by FY17. These
shares were compulsorily convertible on a potential IPO of PFW. In 2017, PFW
redeemed preference share by paying USD45m in cash (5% IRR) and issued stock
worth USD22mn in PFW (4% stake). The funds were utilized largely towards
repayment of debt and to grow PFW’s VFX business.
AID
In March 2013, PFW issued preference shares worth INR10m to AID at an EV of
USD250m, diluting 3% stake in PFW. The funds were utilized toward growth of
PFW’s VFX business.
Standard Chartered Private Equity (SCPE):
Raised INR3.9b (INR1.9b equity and INR 1.9b debt) to repay the FCCB due in
December 2012.
a. In November 2012, PFL raised USD35m (INR1.9b) through fresh issue of
36.5m shares (at INR51.75/share), taking 19.7% stake in PFL.
b. Borrowed USD35m (INR 1.9b) non-convertible debentures (NCDs) at YTM of
13.5%. This would be partly redeemable in November 2017 with interest -
INR1.9b and additional INR1.9b will be paid in November 2018.
QIP
In November 10, the company raised INR730m by issuing 10.6m shares (at
INR68.58/share). The amount was raised to fund growth of the business.
FCCB
a. Raised USD55m (INR2.2b) in December 2007, with a redemption period of
five years and amount of USD79m. The optional conversion price was
INR138.68, while CMP at the time of raising the FCCB was INR112. The FCCB
was raised to acquire Frantic Films & Post Logic (VFX and 3D player) to enter
the attractive Hollywood VFX market.
b. At the time of redemption in December 2012, the stock price reduced to
INR47, which compelled investors to seek debt redemption of USD79m
(INR4.2b). PFL subsequently raised INR 3.9b from SCPE to settle the FCCB
payment on the original due date at the original terms.
IPO
PFL had an IPO in Jun 2006, raising INR1b by issuing 24m shares (at
INR41.7/share). The funds were used to acquire VTR Plc. to enter the post
production space in the UK’s TV industry.
October 2017
35

Prime Focus
SWOT analysis
Strong order book
Globally well
positioned
Quality of service
(won OSCAR’s in
past)
No direct peer
offering for tech
business
Low capex needs
India FMS segment
offers complete
media services
High leverage
position
Limited tangible fixed
assets for
hypothecation of
loans
Concentrated VFX
service provider market
Growing demand for 3D
content
High demand for digital
content management
systems
Unsatisfactory/delayed
projects could spoil
client relationship.
Pricing pressure in
Hollywood
and
Bollywood industry
Volatility in foreign
exchange
October 2017
36

Prime Focus
Bull & Bear case
Bull case
In the bull case, we are assuming a boost in demand from the global VFX
industry which has historically grown at 10% CAGR over the last five years, to
continue its pace. Furthermore, we note that 19 of the top-25 Hollywood films
in 2016 were released in the 3D format indicating the growing demand for 3D
content resulting in a further more robust order book for creative segment.
Over FY17-20, we assume revenue CAGR of 17% (15% in base case) and with
economies of scale, we expect the EBITDA CAGR of 24% (22% in base case).
We assume that PFL with a range of service and technology products under the
Tech/Tech enabled umbrella is well poised to reap benefits of the latent
demand from the broadcasters in India and globally (dependent on legacy
systems). We expect the Tech segment order book to get a fillip resulting in
revenue CAGR of 16% over FY17-20 (15% in base case) and EBITDA CAGR of 18%
over FY17-20 (16% in base case).
Accordingly, we are assuming 270bp EBITDA margin expansion (150bp in base
case) to 25.0% over FY17-20. This will lead to EBITDA CAGR of 21% over FY17-20.
Assuming a target multiple of 11x in the bull case for creative segment (instead
of 10x base case), we get a bull case target price of INR148 (upside of 62% to
CMP) instead of the base case target price of INR130 (upside of 46%), based on
FY19E EBITDA.
Bear case
In the bear case, we are assuming lower growth in global VFX and 3D conversion
industry leading to a stable order book. Further, increasing competition in the
Hollywood and Bollywood industry impacts pricing, and in turn, margins. Any
decline in consumer preference for 3D could impact the company’s revenue
growth. Over FY17-20, we assume revenue CAGR of 13% (16% in base case),
EBITDA CAGR of 11% (22% in base case).
We assume that the company will face pressure from new entrants in the tech
business which would restrict the company to sustain large orders. We assume
revenue CAGR of 12% over FY17-20 (15% in base case) and EBITDA CAGR of 8%
(16% in base case).
Accordingly, we are assuming 220bp EBITDA margin dip (150bp expansion in
base case) to 20.1% over FY17-20. This will lead to EBITDA CAGR of 7% over
FY17-20.
Assuming a target multiple of 9x for creative and tech (instead of 10x base case),
we get a bear case target price of INR92 (+0%), instead of the base case target
price of INR130 (upside of 46%), based on FY19E EBIDTA.
October 2017
37

Prime Focus
Scenario Analysis – Bull Case
Sales (INR m)
Sales growth (%)
EBITDA (INR m)
EBITDA Margin (%)
EBITDA growth (%)
PAT (INR m)
PAT Margin (%)
PAT growth (%)
EPS (INR)
Target EV/EBITDA multiple (x)
Target price (INR)
Upside/downside (%)
FY17
21,536
13.3
4,770
22.1
45%
1,275
1.7
-255.8
1.2
FY18E
25,001
16.1
5,748
23.0
20%
1,077
4.3
195.0
3.6
FY19E
29,038
16.1
7,026
24.2
22%
2,263
7.8
110.1
7.6
10
148
62
Scenario Analysis – Bear Case
Sales (INR m)
Sales growth (%)
EBITDA (INR m)
EBITDA Margin (%)
EBITDA growth (%)
PAT (INR m)
PAT Margin (%)
PAT growth (%)
EPS (INR)
Target EV/EBITDA multiple (x)
Target price (INR)
Upside/downside (%)
FY17
FY18E
FY19E
21,536 24,067 27,074
13.3
11.7
12.5
4,770
4,843
5,439
22.1
20.1
20.1
45%
2%
12%
1,275
430
947
1.7
1.8
3.5
-255.8
17.6
120.4
1.2
1.4
3.2
9
92
+/-0
Source: Company, MOSL
Source: Company, MOSL
October 2017
38

Prime Focus
Initiating coverage with a Buy rating
SOTP-based target price of INR130
We initiate coverage on PFL with a Buy rating and a TP of INR130 (46% upside).
We believe that improving return ratios and FCF generation offer strong re-rating
potential.
Valuations – SOTP-based value of INR130
The stock is trading at adj. P/E of 15.2x and EV/EBITDA of 5.4x on FY19E basis. Based
on our SOTP valuation, we arrive at a TP of INR130, with an implied EV/EBITDA of
10x on FY19E EBITDA.
We have valued Creative and Tech/Tech-enabled business at 10x EV/EBITDA. This is
on based on a.) Average valuation of media companies in India, as Prime Focus does
not have a direct competitor in India, while global peers are small segment in large
conglomerates. b.) PFL’s last 5-6 year’s one year forward EV/EBITDA is ~7.5x.
However, we think, recovery of profits in FY17 and Creative and Tech business’s
steady 20% EBITDA CAGR for over FY17-19E and PFL’s 24% ROE in FY19E should
create a strong and sustainable economic moat for the company. The India FMS is
valued at 6x EV/EBITDA due to its lower scale and moderate growth expectation.
Exhibit 45:
Turnaround in bottom line
PAT (INR b)
10.9
13.3
4.1
0.2
0.3
0.1
7.4
0.3
0.8
1.0
-2.7
-0.2
15.1
12.9
4.0
0.3
-6.8
-3.2
-0.9
-16.9
FY07 FY08 FY09 FY10 FY11 FY12 FY13 FY14 FY15 FY16 FY17 FY18E FY19E FY20E
Source: MOSL, Company
5.9
1.3
3.7
0.9
6.2
1.8
8.3
2.7
PAT margin (%)
Implied P/E on our estimates works out to be 22.1x/15.1x on FY19/20E. The
company’s turnaround in earnings should be further supported by margin-led
improvement in profitability. Subsequently, improving return ratios and FCF
generation should provide strong rerating potential. We initiate coverage with a Buy
rating and a TP of INR130 (46% upside).
October 2017
39

Prime Focus
Exhibit 46:
SOTP based on FY19E (INRm)
EBITDA
Creative Services
Tech and Tech Enabled
Indian FMS
Total Value
4,845
1,195
535
6,574
EV /
EBITDA
(x)
10
10
6
10
Enterprise Net
Ownership Proportionate SH
SH Value
Value
(%)
Debt
Value
49,414
11,950
3,208
64,573
3,929
4,544
0
8,473
45,485
7,406
3,208
56,100
80
74
100
36,388
5,481
3,208
45,077
Value/Share Holding co. Value/Share
(INR)
discount
(INR)
(Gross)
(%)
(Net)
122
15
104
18
15
16
11
0
11
151
130
Source: MOSL, Company
Exhibit 47:
Implied PE Multiple
TP (INR)
EPS (INR)
Multiple (x)
CMP (INR)
Upside/ (Downside) (%)
FY18E
130
3
42.9
89
46%
FY19E
130
6
22.1
89
46%
FY20E
130
9
15.1
89
46%
Source: MOSL, Company
Exhibit 48:
Prime Focus Ltd- 1yr forward EV/EBITDA (x)
EV/EBITDA (x)
9.5
8.0
6.5
5.0
3.5
Avg (x)
Max (x)
Min (x)
9.2
6.7
6.1
4.0
Source: MOSL, Company
October 2017
40

Prime Focus
Risks
Pricing pressure in Hollywood and Bollywood industry
Increasing competition in the Hollywood and Bollywood industry impacts
pricing, and in turn, margins.
Mitigation: The risk is mitigated by offshoring parts of the project to cost-
effective locations (PFL has a unique world sourcing model, with a global
network of 22 offices across all major content markets, employing over 8,000
people).
Lumpy nature of 3D projects
The company’s stereo conversion business is project-driven. Thus, any delay in
the project on the part of the filmmaker effects revenue growth of the company
and adds to lumpiness on a quarter-on-quarter basis.
Mitigation: The risk is mitigated by increasing share of VFX contracts in the order
book, which are long-term in nature, and of PFT (71% annuity revenue) on
account of a continued non-linear growth rate.
Changing consumer preference for 3D content
After the success of Avatar, the success of 3D movies did not pick up as
expected. Any decline in consumer preference for 3D could impact the
company’s revenue growth.
Mitigation: There has been a huge revival in 3D demand over the past few years;
8 of the 10 highest grossing films of 2015 were released in 3D.
Volatility in foreign exchange
Sharp currency movements could impact the company’s profitability, given that
a major chunk of revenue is generated in the UK and North America, while a
majority of the costs are in Indian Rupee.
Mitigation: The Company has an experienced foreign exchange management
team undertaking continuous monitoring of currency markets.
October 2017
41

Prime Focus
Annexure
PFL shareholding, corporate structure and corporate transactions
Exhibit 49:
Prime Focus shareholding
RMW (35%)
SCPE (22%)
Promoters
(35%)
Prime
Focus Ltd
Public (8%)
Source: MOSL, Company
Exhibit 50:
Prime Focus corporate structure
Prime Focus Ltd
Prime Focus World
Prime Focus
Technologies
Ramki and Initial
Founders group
(21%)
Prime Focus Ltd (80%)
D.Neg (6%)
Prime Focus
Ltd (74%)
Macquarie (4%)
AID (3%)
ESOP (1%)
Ambit (4%)
ESOP (7%)
Source: MOSL, Company
October 2017
42

Prime Focus
Exhibit 51:
Corporate Transactions
Transaction
type
Apr-06 Acquisition
Equity
May-06
Funding
Debt
Dec-07
Funding
Year
Apr-08
Nov-10
Dec-10
Oct-12
Mar-13
Jun-13
Apr-14
Jun-14
Jul-14
Jul-14
Jul-14
Company
VTR Plc
IPO
FCCB
Value
Funding Source/Usage
(INR m)
416 IPO
IPO of 23.9m equity shares (FV INR10)
999
@ issue price of INR41.7
2,163
1,699
730
518
1,891
544
2,091
760
4,984
1,200
1,200
3,500
506
600
FCCB worth USD55m
FCCB worth USD55m
Reason
Inroads in the UK TV market
Expansion of India and worldwide operations
Acquisition of Frantic Films & Post Logic Studios
Enter the attractive Hollywood VFX market.
Frantic Films &
Acquisition Post Logic
Studios
Equity
QIP
Funding
Equity
Funding
Equity
Funding
Equity
Funding
Equity
Funding
Promoter
SCPE Investment
AID Partners
Capital Limited
Macquarie
Capital
Acquisition DAX
Merger -
Paid
Equity
Funding
Equity
Funding
Merger -
Paid
Double Negative
Promoter
Reliance Capital
QIP of 10.6m equity shares (FV INR1) @
Expand operations
INR 68.6
Issued 1m warrants @ INR555 to Mr
Namit Malhotra (converted to equity
Expand operations
shares in April-12)
Repayment of FCCB borrowed in Dec-07 worth
Issued 36.6m equity shares @ INR51.8 USD79m (Principal-USD55m + premium on
redemption-USD24m)
187,500 class B convertible redeemable
Investment of $10m in PFW to implement next
preferred shares of PFW (convertible
phase of growth
into 4% equity)
827,781 of class A convertible
Investment of $38m in PFW to implement next
redeemable preferred shares of PFW
phase of growth
Acquisition of DAX ($9.1m) with a vision to
Internal Accrual / Debt
virtualize the content supply chain before,
during and after the production phase.
Merger of DNeg. (£55m), forming world’s
Promoter and Reliance Capital
largest integrated VFX, stereo conversion and
animation services company
Issued 23.1m equity shares @ INR52
Issued 23.1m equity shares @ INR52
Funding for acquisition of DNeg. & DAX
Funding for acquisition of DNeg. & DAX
Reliance Media
works
Gener8 Digital
Mar-15 Acquisition Media Corp
Limited
Equity
Aug-16
Ambit Pragma PE
Funding
Issued 67.3m equity shares @ INR52 for Merger with Reliance Media Works to offer “all
30.2% stake
under one roof” bundled services to clients.
Internal Accrual / Debt
Equity funding in PFT
Secure an exclusive license to use Gener8’s
proprietary 3D conversion technology G83DTM.
Working capital in overseas markets
Source: MOSL, Company
October 2017
43

Prime Focus
Management profile
Namit Malhotra
Founder, Executive Chairman and Global CEO
As the founder of Prime Focus, Namit has been responsible for the strategy, growth
and success of Prime Focus from its modest beginnings in Mumbai in 1997 to its
current position as the world’s largest independent and integrated media services
powerhouse. He also serves as Chief Executive Officer at Prime Focus World, N.V.
Ramki Sankaranarayanan
Managing Director (Also, Founder and CEO, PFT)
In his role as managing director, Ramki spearheads the group’s operational planning
that reflect the longer-term objectives and priorities established by the board.
Ramki has 18 years of IT industry experience. Prior to starting PFT in 2007, he was
CEO of Subex Technologies and before that, Global Head of Sales and Marketing for
Product R&D Services at Tata Elxsi. Ramki is an engineering graduate from BITS
Pilani and an MBA from SP Jain Institute of Management & Research, India.
Nishant Fadia
Group Chief Operating Officer
Nishant took up this role in August 2014. Before this, for 14 years as its first CFO,
Nishant was the face of Prime Focus to the financial community. He took the
company public in 2006. Nishant is a Chartered Accountant from ICAI and CPA from
the American Institute of Certified Public Accountants (AICPA) in the US.
Vikas Rathee
Group Chief Financial Officer
Vikas has over 17 years in Corporate Finance, TMT (Telecom, Media and
Technology) Investment Banking, Capital Markets and M&A across US, Europe and
Asia. Before this, Vikas was Head - Corporate Finance and M&A at Suzlon Energy,
Principal - TMT Investment Banking at Bank of America Merrill Lynch and Executive
Director - TMT Investment Banking at ABN AMRO. Vikas is a CFA, an MBA in Finance
from the R.H. Smith School of Business, University of Maryland and an Engineering
graduate from Delhi Institute of Technology, Delhi University.
Alex Hope
Managing Director, Double Negative
Alex is a veteran in the VFX industry. Prior to this, he was at MPC, where he served
as the board director for 2years and as producer for 5 years. Alex was also the co-
author of the 2010 DCMS-commissioned Next Gen Report and is a Board Director of
Creative Skillset.
Matthew Holben
Co-Head of VFX, CEO and Co-founder Double Negative
Mathew primarily oversees management and business development for Double
Negative. He has been instrumental in the setup of the company’s new state-of-the-
art London facility and the launch of three important divisions: Double Negative
Films, Double Negative TV and Feature Animation.
October 2017
44

Prime Focus
Financials and Valuations
Consolidated - Income Statement
Y/E March
Total Income from Operations
Change (%)
Employees Cost
Other Expenses
Total Expenditure
% of Sales
EBITDA
Margin (%)
ESOP
Foreign exchange gain/(loss)
Depreciation
EBIT
Int. and Finance Charges
Other Income
PBT bef. EO Exp.
EO Items
PBT after EO Exp.
Total Tax
Tax Rate (%)
Minority Interest
Reported PAT
Adjusted PAT
Change (%)
Margin (%)
FY15
12,889
54.4
8,133
3,053
11,186
86.8
1,703
13.2
0.0
80.5
1,716
67
648
277
-304
-971
-1,275
-296
23.2
-106
-873
-127
-133.3
-1.0
FY16
19,010
47.5
11,560
4,153
15,713
82.7
3,297
17.3
37.0
-38.9
2,796
425
1,074
51
-598
-2,428
-3,026
696
-23.0
-501
-3,221
-234
84.1
-1.2
FY17
21,536
13.3
12,533
4,233
16,766
77.9
4,770
22.1
257.0
-413.9
2,546
1,553
1,279
245
519
968
1,488
90
6.0
123
1,275
365
LP
1.7
FY18E
24,662
14.5
14,194
4,975
19,169
77.7
5,493
22.3
250.0
0.0
2,911
2,332
1,208
116
1,240
0
1,240
248
20.0
87
905
905
147.7
3.7
FY19E
28,436
15.3
15,755
6,132
21,887
77.0
6,550
23.0
200.0
0.0
3,078
3,272
1,038
175
2,409
0
2,409
482
20.0
169
1,758
1,758
94.3
6.2
(INR m)
FY20E
32,798
15.3
17,488
7,503
24,991
76.2
7,806
23.8
0.0
0.0
3,244
4,563
868
299
3,993
0
3,993
998
25.0
263
2,732
2,732
55.4
8.3
Consolidated - Balance Sheet
Y/E March
Equity Share Capital
Eq. Share Warrants & App. Money
Total Reserves
Net Worth
Minority Interest
Total Loans
Deferred Tax Liabilities
Capital Employed
Gross Block
Less: Accum. Deprn.
Net Fixed Assets
Goodwill on Consolidation
Capital WIP
Total Investments
Curr. Assets, Loans&Adv.
Inventory
Account Receivables
Cash and Bank Balance
Loans and Advances
Curr. Liability & Prov.
Account Payables
Other Current Liabilities
Provisions
Net Current Assets
Appl. of Funds
FY15
299
0
10,819
11,118
1,540
10,375
-492
22,542
24,826
11,478
13,348
8,030
445
857
10,616
6
3,756
616
6,238
10,754
2,505
8,099
150
-138
22,542
FY16
299
0
3,783
4,082
700
15,710
822
21,314
26,462
12,938
13,524
9,698
508
888
8,833
6
1,911
1,135
5,781
12,137
2,012
10,056
69
-3,304
21,314
FY17
299
0
5,266
5,565
1,142
15,218
687
22,610
29,770
15,485
14,286
8,188
197
40
10,302
5
2,694
1,259
6,344
10,402
1,297
8,849
257
-100
22,610
FY18E
299
0
6,170
6,469
1,229
13,218
687
21,602
31,520
18,396
13,125
8,188
197
40
11,741
5
2,703
1,602
7,433
11,689
1,689
9,797
202
53
21,602
FY19E
299
0
7,928
8,227
1,398
11,218
687
21,529
33,270
21,473
11,797
8,188
197
40
14,396
5
3,116
2,705
8,570
13,088
1,948
10,907
233
1,308
21,529
(INR m)
FY20E
299
0
10,660
10,959
1,661
9,218
687
22,524
35,020
24,717
10,303
8,188
197
40
17,993
5
3,415
4,690
9,884
14,196
2,246
11,681
269
3,796
22,524
October 2017
45

Prime Focus
Financials and Valuations
Ratios
Y/E March
Basic (INR)
EPS
Cash EPS
BV/Share
DPS
Payout (%)
Valuation (x)
P/E
Cash P/E
P/BV
EV/Sales
EV/EBITDA
Dividend Yield (%)
FCF per share
Return Ratios (%)
RoE
RoCE
RoIC
Working Capital Ratios
Fixed Asset Turnover (x)
Asset Turnover (x)
Inventory (Days)
Debtor (Days)
Creditor (Days)
Leverage Ratio (x)
Current Ratio
Interest Cover Ratio
Net Debt/Equity
FY15
-0.4
5.3
37.2
0.0
0.0
-209.2
16.8
2.4
2.8
21.4
0.0
-3.0
-1.4
1.4
-0.1
0.6
0.7
0
105
47
1.0
0.1
0.8
FY16
-0.8
8.6
13.7
0.0
0.0
-113.6
10.4
6.5
2.2
12.5
0.0
-1.9
-3.1
2.8
3.1
0.8
1.0
0
54
43
0.7
0.4
3.4
FY17
1.7
10.2
18.6
0.0
0.0
73.0
9.2
4.8
1.9
8.5
0.0
2.3
7.6
8.3
10.5
0.8
0.9
0
39
28
1.0
1.2
2.5
FY18E
3.0
12.8
21.6
0.0
0.0
29.5
7.0
4.1
1.6
7.0
0.0
11.5
15.0
9.7
10.1
0.9
1.1
0
40
22
1.0
1.9
1.8
FY19E
5.9
16.2
27.5
0.0
0.0
15.2
5.5
3.2
1.2
5.4
0.0
13.3
23.9
14.1
14.5
0.9
1.2
0
37
23
1.1
3.2
1.0
FY20E
9.1
20.0
36.7
0.0
0.0
9.8
4.5
2.4
1.0
4.0
0.0
15.2
28.5
18.4
18.9
0.9
1.2
0
36
23
1.3
5.3
0.4
Consolidated - Cash Flow Statement
Y/E March
OP/(Loss) before Tax
Depreciation
Interest & Finance Charges
Direct Taxes Paid
(Inc)/Dec in WC
CF from Operations
Others
CF from Operating incl EO
(Inc)/Dec in FA
Free Cash Flow
(Pur)/Sale of Investments
Others
CF from Investments
Issue of Shares
Inc/(Dec) in Debt
Interest Paid
Dividend Paid
Others
CF from Fin. Activity
Inc/Dec of Cash
Opening Balance
Closing Balance
FY15 (15M)
-2,806
2,211
668
-287
702
490
1,638
2,127
-3,025
-898
-34
-1,137
-4,197
2,394
798
-650
0
2
2,544
475
141
616
FY16 (9M)
-3,006
2,031
2,620
-154
-1,272
220
76
296
-870
-574
-1
108
-762
0
1,919
-685
0
12
1,246
780
355
1,134
FY17
1,487
2,546
1,279
-80
-2,069
3,163
-251
2,912
-2,238
674
1,917
-354
-674
0
-825
-1,047
0
-15
-1,887
351
908
1,259
FY18E
1,240
2,911
1,208
-248
190
5,301
-116
5,185
-1,750
3,435
0
116
-1,634
0
-2,000
-1,208
0
0
-3,208
343
1,259
1,602
FY19E
2,409
3,078
1,038
-482
-152
5,892
-175
5,716
-1,750
3,966
0
175
-1,575
0
-2,000
-1,038
0
0
-3,038
1,103
1,602
2,705
(INR m)
FY20E
3,993
3,244
868
-998
-504
6,603
-299
6,304
-1,750
4,554
0
299
-1,451
0
-2,000
-868
0
0
-2,868
1,985
2,705
4,690
October 2017
46

REPORT GALLERY
RECENT INITIATING COVERAGE REPORTS
Rs

Disclosures:
The following Disclosures are being made in compliance with the SEBI Research Analyst Regulations 2014 (herein after referred to as the Regulations).
Motilal Oswal Securities Ltd. (MOSL) is a SEBI Registered Research Analyst having registration no. INH000000412. MOSL, the Research Entity (RE) as defined in the Regulations, is engaged in the business of providing Stock
broking services, Investment Advisory Services, Depository participant services & distribution of various financial products. MOSL is a subsidiary company of Motilal Oswal Financial Service Ltd. (MOFSL). MOFSL is a listed
public company, the details in respect of which are available on
www.motilaloswal.com.
MOSL is registered with the Securities & Exchange Board of India (SEBI) and is a registered Trading Member with National Stock
Exchange of India Ltd. (NSE) and Bombay Stock Exchange Limited (BSE), Metropolitan Stock Exchange Of India Ltd. (MSE) for its stock broking activities & is Depository participant with Central Depository Services Limited
(CDSL) & National Securities Depository Limited (NSDL) and is member of Association of Mutual Funds of India (AMFI) for distribution of financial products. Details of associate entities of Motilal Oswal Securities Limited are
available on the website at
http://onlinereports.motilaloswal.com/Dormant/documents/Associate%20Details.pdf
Pending Regulatory Enquiries against Motilal Oswal Securities Limited by SEBI:
SEBI pursuant to a complaint from client Shri C.R. Mohanraj alleging unauthorized trading, issued a letter dated 29th April 2014 to MOSL notifying appointment of an Adjudicating Officer as per SEBI regulations to hold
inquiry and adjudge violation of SEBI Regulations; MOSL requested SEBI to provide all documents, records, investigation report relied upon by SEBI which were referred in Show Cause Notice and also sought personal
hearing. The matter is currently pending.
MOSL, it’s associates, Research Analyst or their relative may have any financial interest in the subject company. MOSL and/or its associates and/or Research Analyst may have beneficial ownership of 1% or more securities in
the subject company at the end of the month immediately preceding the date of publication of the Research Report.
MOSL and its associate company(ies), their directors and Research Analyst and their relatives may; (a)
from time to time, have a long or short position in, act as principal in, and buy or sell the securities or derivatives thereof of companies mentioned herein. (b) be engaged in any other transaction involving such securities and
earn brokerage or other compensation or act as a market maker in the financial instruments of the company(ies) discussed herein or act as an advisor or lender/borrower to such company(ies) or may have any other
potential conflict of interests with respect to any recommendation and other related information and opinions.; however the same shall have no bearing whatsoever on the specific recommendations made by the analyst(s),
as the recommendations made by the analyst(s) are completely independent of the views of the associates of MOSL even though there might exist an inherent conflict of interest in some of the stocks mentioned in the
research report.
Research Analyst may have served as director/officer, etc. in the subject company in the last 12 month period. MOSL and/or its associates may have received any compensation from the subject company in
the past 12 months.
In the last 12 months period ending on the last day of the month immediately preceding the date of publication of this research report, MOSL or any of its associates may have:
a)
managed or co-managed public offering of securities from subject company of this research report,
b)
received compensation for investment banking or merchant banking or brokerage services from subject company of this research report,
c)
received compensation for products or services other than investment banking or merchant banking or brokerage services from the subject company of this research report.
d)
Subject Company may have been a client of MOSL or its associates during twelve months preceding the date of distribution of the research report.
MOSL and it’s associates have not received any compensation or other benefits from the subject company or third party in connection with the research report. To enhance transparency, MOSL has incorporated a Disclosure
of Interest Statement in this document. This should, however, not be treated as endorsement of the views expressed in the report. MOSL and / or its affiliates do and seek to do business including investment banking with
companies covered in its research reports. As a result, the recipients of this report should be aware that MOSL may have a potential conflict of interest that may affect the objectivity of this report. Compensation of Research
Analysts is not based on any specific merchant banking, investment banking or brokerage service transactions.
Terms & Conditions:
This report has been prepared by MOSL and is meant for sole use by the recipient and not for circulation. The report and information contained herein is strictly confidential and may not be altered in any way, transmitted to,
copied or distributed, in part or in whole, to any other person or to the media or reproduced in any form, without prior written consent of MOSL. The report is based on the facts, figures and information that are considered
true, correct, reliable and accurate. The intent of this report is not recommendatory in nature. The information is obtained from publicly available media or other sources believed to be reliable. Such information has not
been independently verified and no guaranty, representation of warranty, express or implied, is made as to its accuracy, completeness or correctness. All such information and opinions are subject to change without notice.
The report is prepared solely for informational purpose and does not constitute an offer document or solicitation of offer to buy or sell or subscribe for securities or other financial instruments for the clients. Though
disseminated to all the customers simultaneously, not all customers may receive this report at the same time. MOSL will not treat recipients as customers by virtue of their receiving this report.
Analyst Certification
The views expressed in this research report accurately reflect the personal views of the analyst(s) about the subject securities or issues, and no part of the compensation of the research analyst(s) was, is, or will be directly or
indirectly related to the specific recommendations and views expressed by research analyst(s) in this report.
Lupin
Disclosure of Interest Statement
Analyst ownership of the stock
Prime Focus
No
A graph of daily closing prices of securities is available at
www.nseindia.com, www.bseindia.com.
Research Analyst views on Subject Company may vary based on Fundamental research and Technical Research. Proprietary
trading desk of MOSL or its associates maintains arm’s length distance with Research Team as all the activities are segregated from MOSL research activity and therefore it can have an independent view with regards to
subject company for which Research Team have expressed their views.
Regional Disclosures (outside India)
This report is not directed or intended for distribution to or use by any person or entity resident in a state, country or any jurisdiction, where such distribution, publication, availability or use would be contrary to law,
regulation or which would subject MOSL & its group companies to registration or licensing requirements within such jurisdictions.
For Hong Kong:
This report is distributed in Hong Kong by Motilal Oswal capital Markets (Hong Kong) Private Limited, a licensed corporation (CE AYY-301) licensed and regulated by the Hong Kong Securities and Futures Commission (SFC)
pursuant to the Securities and Futures Ordinance (Chapter 571 of the Laws of Hong Kong) “SFO”. As per SEBI (Research Analyst Regulations) 2014 Motilal Oswal Securities (SEBI Reg No. INH000000412) has an agreement with
Motilal Oswal capital Markets (Hong Kong) Private Limited for distribution of research report in Hong Kong. This report is intended for distribution only to “Professional Investors” as defined in Part I of Schedule 1 to SFO. Any
investment or investment activity to which this document relates is only available to professional investor and will be engaged only with professional investors.” Nothing here is an offer or solicitation of these securities,
products and services in any jurisdiction where their offer or sale is not qualified or exempt from registration. The Indian Analyst(s) who compile this report is/are not located in Hong Kong & are not conducting Research
Analysis in Hong Kong.
For U.S.
Motilal Oswal Securities Limited (MOSL) is not a registered broker - dealer under the U.S. Securities Exchange Act of 1934, as amended (the"1934 act") and under applicable state laws in the United States. In addition MOSL is
not a registered investment adviser under the U.S. Investment Advisers Act of 1940, as amended (the "Advisers Act" and together with the 1934 Act, the "Acts), and under applicable state laws in the United States.
Accordingly, in the absence of specific exemption under the Acts, any brokerage and investment services provided by MOSL, including the products and services described herein are not available to or intended for U.S.
persons. This report is intended for distribution only to "Major Institutional Investors" as defined by Rule 15a-6(b)(4) of the Exchange Act and interpretations thereof by SEC (henceforth referred to as "major institutional
investors"). This document must not be acted on or relied on by persons who are not major institutional investors. Any investment or investment activity to which this document relates is only available to major institutional
investors and will be engaged in only with major institutional investors. In reliance on the exemption from registration provided by Rule 15a-6 of the U.S. Securities Exchange Act of 1934, as amended (the "Exchange Act") and
interpretations thereof by the U.S. Securities and Exchange Commission ("SEC") in order to conduct business with Institutional Investors based in the U.S., MOSL has entered into a chaperoning agreement with a U.S.
registered broker-dealer, Motilal Oswal Securities International Private Limited. ("MOSIPL"). Any business interaction pursuant to this report will have to be executed within the provisions of this chaperoning agreement.
The Research Analysts contributing to the report may not be registered /qualified as research analyst with FINRA. Such research analyst may not be associated persons of the U.S. registered broker-dealer, MOSIPL, and
therefore, may not be subject to NASD rule 2711 and NYSE Rule 472 restrictions on communication with a subject company, public appearances and trading securities held by a research analyst account.
For Singapore
Motilal Oswal Capital Markets Singapore Pte Limited is acting as an exempt financial advisor under section 23(1)(f) of the Financial Advisers Act(FAA) read with regulation 17(1)(d) of the Financial Advisors Regulations and is a
subsidiary of Motilal Oswal Securities Limited in India. This research is distributed in Singapore by Motilal Oswal Capital Markets Singapore Pte Limited and it is only directed in Singapore to accredited investors, as defined in
the Financial Advisers Regulations and the Securities and Futures Act (Chapter 289), as amended from time to time. In respect of any matter arising from or in connection with the research you could contact the following
representatives of Motilal Oswal Capital Markets Singapore Pte Limited:
Disclaimer:
The report and information contained herein is strictly confidential and meant solely for the selected recipient and may not be altered in any way, transmitted to, copied or distributed, in part or in whole, to any other person
or to the media or reproduced in any form, without prior written consent. This report and information herein is solely for informational purpose and may not be used or considered as an offer document or solicitation of
offer to buy or sell or subscribe for securities or other financial instruments. Nothing in this report constitutes investment, legal, accounting and tax advice or a representation that any investment or strategy is suitable or
appropriate to your specific circumstances. The securities discussed and opinions expressed in this report may not be suitable for all investors, who must make their own investment decisions, based on their own investment
objectives, financial positions and needs of specific recipient. This may not be taken in substitution for the exercise of independent judgment by any recipient. Each recipient of this document should make such investigations
as it deems necessary to arrive at an independent evaluation of an investment in the securities of companies referred to in this document (including the merits and risks involved), and should consult its own advisors to
determine the merits and risks of such an investment. The investment discussed or views expressed may not be suitable for all investors. Certain transactions -including those involving futures, options, another derivative
products as well as non-investment grade securities - involve substantial risk and are not suitable for all investors. No representation or warranty, express or implied, is made as to the accuracy, completeness or fairness of
the information and opinions contained in this document. The Disclosures of Interest Statement incorporated in this document is provided solely to enhance the transparency and should not be treated as endorsement of the
views expressed in the report. This information is subject to change without any prior notice. The Company reserves the right to make modifications and alternations to this statement as may be required from time to time
without any prior approval. MOSL, its associates, their directors and the employees may from time to time, effect or have effected an own account transaction in, or deal as principal or agent in or for the securities
mentioned in this document. They may perform or seek to perform investment banking or other services for, or solicit investment banking or other business from, any company referred to in this report. Each of these entities
functions as a separate, distinct and independent of each other. The recipient should take this into account before interpreting the document. This report has been prepared on the basis of information that is already
available in publicly accessible media or developed through analysis of MOSL. The views expressed are those of the analyst, and the Company may or may not subscribe to all the views expressed therein. This document is
being supplied to you solely for your information and may not be reproduced, redistributed or passed on, directly or indirectly, to any other person or published, copied, in whole or in part, for any purpose. This report is not
directed or intended for distribution to, or use by, any person or entity who is a citizen or resident of or located in any locality, state, country or other jurisdiction, where such distribution, publication, availability or use would
be contrary to law, regulation or which would subject MOSL to any registration or licensing requirement within such jurisdiction. The securities described herein may or may not be eligible for sale in all jurisdictions or to
certain category of investors. Persons in whose possession this document may come are required to inform themselves of and to observe such restriction. Neither the Firm, not its directors, employees, agents or
representatives shall be liable for any damages whether direct or indirect, incidental, special or consequential including lost revenue or lost profits that may arise from or in connection with the use of the information.
The
person accessing this information specifically agrees to exempt MOSL or any of its affiliates or employees from, any and all responsibility/liability arising from such misuse and agrees not to hold MOSL or any of its affiliates or
employees responsible for any such misuse and further agrees to hold MOSL or any of its affiliates or employees free and harmless from all losses, costs, damages, expenses that may be suffered by the person accessing this
information due to any errors and delays.
Registered Office Address: Motilal Oswal Tower, Rahimtullah Sayani Road, Opposite Parel ST Depot, Prabhadevi, Mumbai-400025; Tel No.: 022-3980 4263; www.motilaloswal.com. Correspondence Address: Palm Spring
Centre, 2nd Floor, Palm Court Complex, New Link Road, Malad (West), Mumbai- 400 064. Tel No: 022 3080 1000. Compliance Officer: Neeraj Agarwal, Email Id:
na@motilaloswal.com,
Contact No.:022-30801085.
Registration details of group entities.: MOSL: NSE (Cash): INB231041238; NSE (F&O): INF231041238; NSE (CD): INE231041238; BSE (Cash): INB011041257; BSE(F&O): INF011041257; BSE(CD); MSE(Cash): INB261041231;
MSE(F&O): INF261041231; MSE(CD): INE261041231; CDSL: IN-DP-16-2015; NSDL: IN-DP-NSDL-152-2000; Research Analyst: INH000000412. AMFI: ARN 17397. Investment Adviser: INA000007100. Motilal Oswal Asset
Management Company Ltd. (MOAMC): PMS (Registration No.: INP000000670) offers PMS and Mutual Funds products. Motilal Oswal Wealth Management Ltd. (MOWML): PMS (Registration No.: INP000004409) offers wealth
management solutions. *Motilal Oswal Securities Ltd. is a distributor of Mutual Funds, PMS, Fixed Deposit, Bond, NCDs, Insurance and IPO products. * Motilal Oswal Commodities Broker Pvt. Ltd. offers Commodities
Products. * Motilal Oswal Real Estate Investment Advisors II Pvt. Ltd. offers Real Estate products. * Motilal Oswal Private Equity Investment Advisors Pvt. Ltd. offers Private Equity products
11 October 2017
6