Initiating Coverage | 22 November 2017
Sector: Retail
PC Jeweller
Shining bright
Vishal Punmiya- Research Analyst
(Vishal.Punmiya@MotilalOswal.com); +91 22 3980 4261
Krishnan Sambamoorthy - Research Analyst
(Krishnan.Sambamoorthy@MotilalOswal.com); +91 22 3982 5428
Investors are advised to refer through important disclosures made at the last page of the Research Report.
Motilal Oswal research is available on www.motilaloswal.com/Institutional-Equities, Bloomberg, Thomson Reuters, Factset and S&P Capital.

PC Jeweller
Contents | PC Jeweller: Shining bright
Summary ............................................................................................................. 2
Big opportunity unfolding for growth.................................................................... 4
Key operating numbers of PCJL versus peers ....................................................... 13
~30% EPS CAGR achievable over FY17-20 ............................................................ 14
Initiating coverage with Buy ............................................................................... 17
Porter’s five forces framework analysis ............................................................... 19
SWOT analysis .................................................................................................... 20
Bull & Bear case ................................................................................................. 21
Annexure 1: Fragmentation giving way to consolidation ...................................... 22
Annexure 2: Value migrating to organized segment............................................. 24
Annexure 3: Shift accelerated by regulatory changes ........................................... 28
Annexure 4: Indian gold demand to continue increasing...................................... 30
Annexure 5: PCJL a well-established national player ............................................ 32
Financials and valuations .................................................................................... 35
22 November 2017
1

PC Jeweller
Initiating Coverage | Sector: Retail
PC Jeweller
BSE Sensex
33,562
S&P CNX
10,342
CMP: INR361
TP: INR490 (+36%)
Buy
Shining bright
Play on value migration
Stock Info
Bloomberg
Equity Shares (m)
52-Week Range (INR)
1, 6, 12 Rel. Per (%)
M.Cap. (INR b)
M.Cap. (USD b)
12M Avg Val (INR M)
Free float (%)
PCJL IN
394.2
399 / 172
-4/51/70
142.5
2.2
505
39.5
We see an enormous opportunity unfolding in Indian Jewelry as a result
of value migration towards organized players. Among all Consumer
categories, Jewelry has the largest share of the unorganized segment,
both in absolute terms (at INR1.4t) and percentage terms (at 70%).
PC Jeweller (PCJL), India's second-largest Jewelry Retailer with a strong
presence in the North and Wedding Jewelry, is expanding aggressively to
leverage the ongoing value migration.
We initiate coverage on PCJL with a BUY rating. Our target price of
INR490 implies 36% upside.
Financial Snapshot (INR Million)
Y/E Mar
2018E 2019E 2020E
Sales
103.6 123.9 149.8
EBITDA
10.2
12.1
14.7
NP
5.9
7.3
9.3
EPS (Rs)
15.1
18.4
23.5
EPS Growth (%)
41.0
22.3
27.8
BV/Share (Rs)
97.7 112.5 131.1
P/E (x)
24.0
19.6
15.4
P/BV (x)
3.7
3.2
2.8
EV/EBITDA (x)
13.8
11.4
9.3
EV/Sales (x)
1.3
1.1
0.9
RoE (%)
16.5
17.5
19.3
RoCE (%)
17.5
18.0
19.5
Shareholding pattern %
Sep-17 Jun-17
Promoter
60.5
66.6
DII
2.4
1.2
FII
31.0
24.6
Others
6.1
7.7
Massive value migration from unorganized to organized
A spate of regulatory changes in the last few years has driven a tectonic shift in
the Jewelry sector in India. The industry was already witnessing a gradual shift
towards the organized segment, which now constitutes about 30% of the INR2t
domestic Jewelry market. The government’s initiatives, aimed at protecting
customers and clamping down on black money, have added momentum to this
shift. Actions such as (1) the levy of 1% excise duty on gold jewelry, (2)
requirement of PAN for jewelry purchases of over INR200k, (3) demonetization,
and (4) implementation of 3% GST have permanently dented the advantages
that unorganized, unbranded and local players had.
Large nation-wide chains have been taking steps to leverage this shift
Large nation-wide players like Tanishq and PCJL have been taking steps to
leverage the enormous opportunity unfolding in Indian Jewelry. Among the
initiatives they have taken over the last few years are increased focus on store
addition, increasing use of franchisees (particularly true for PCJL), greater focus
on studded jewelry (currently ~30% of sales), developing jewelry attuned to
regional tastes, higher investments in brand building, and increasing launches of
new collections.
Sep-16
70.6
0.1
21.3
8.0
PC Jeweller
Shining bright
PCJL’s growth has been remarkable thus far…
PCJL has grown from a small player in 2006 to the second-largest Jewelry
Retailer in India. Significant store expansion, opening of large-format destination
stores, superior gold hedging policies compared to unorganized players,
dedicated focus on Wedding Jewelry and Diamond Jewelry, banking on the trust
factor built through best practices and brand investments, wide range to cater
to diverse customers have all played a major role in driving rapid sales growth of
22.8% CAGR over FY12-17.
+
91 22 3980 4261
Vishal.Punmiya@MotilalOswal.com
Please click here for Video Link
22 November 2017
2

PC Jeweller
Stock Performance (1-year)
…and its future prospects appear even brighter
For PCJL, we expect strong 27% CAGR over FY17-20 in the domestic business (64% of
consolidated sales in FY17) resulting in more than doubling of the segment sales
over FY17-20. This results in 21% consolidated sales CAGR, 24% EBITDA CAGR and
30% adjusted PAT CAGR over the next three years. RoCE is likely to improve from
16.9% in FY17 to 19.5% in FY20, mainly led by increasing store-level sales and
profitability as well as higher use of franchisees, making the business asset-light.
Faster growth in domestic business will also marginalize the lower-margin exports
business to 24% of sales by FY20.
Initiating coverage with a Buy rating
Organized players have only ~30% share of the INR2t Jewelry market in India, with
the national players having <10% share. However, armed as they are with the
advantages of scale, technology, brand trust, superior hedging policies, wider variety
and huge marketing muscle, nation-wide players like PCJL will continue to take share
away from the unorganized players for whom the pressures of compliance have
whittled away at their ability to offer lower rates to consumers. The value migration
to organized players is so strong that Titan and PCJL are expected to report by far
the highest EPS CAGR over FY17-20 in our Consumer and Retail universe.
While PCJL might not have had the first mover advantage that Tanishq had, it has
emerged as India’s second-largest Jewelry Retailer in little over a decade. Valuing
the company at 22x December 2019E EPS (30% premium to three-year average
multiple; implying 50% discount to our target multiple of 45x for Titan), we get a
target price of INR490 for PCJL – an upside of 36%. Initiate coverage with BUY.
Exhibit 1: PCJL looks attractive from relative valuation
FY17
129,789
15.1
23.6
8.9
8,017
20.6
89.9
Titan
FY18E
162,559
25.2
33.9
9.5
11,107
23.4
64.9
FY19E
199,383
22.7
26.6
9.8
14,102
25.5
51.1
FY17
84,796
16.1
0.9
9.0
4,210
14.6
33.8
PC Jeweller
FY18E
FY19E
103,577
123,902
22.1
19.6
32.8
19.0
9.8
9.8
5,935
7,259
16.5
17.5
24.0
19.6
FY17
16,998
2.7
87.8
4.1
147
3.3
58.8
TBZ*
FY18E
20,452
20.3
27.4
4.3
276
6.0
31.7
FY19E
25,088
22.7
36.9
4.8
530
10.8
16.5
Sales (INR m)
Sales growth (%)
EBITDA growth (%)
EBITDA margin (%)
PAT (INR m)
RoE
P/E
*Bloomberg estimates
Source: Company, MOSL
22 November 2017
3

PC Jeweller
Big opportunity unfolding for growth
Massive value migration from unorganized to organized
Value migration in the Indian jewellery industry
Aggressive expansion plans through franchisee route and small format stores
High growth in domestic business and improvement in store level profitability to aid
mix
Getting ready for future– Digitizing inventory, online-offline integration, virtual try-
ons, kiosks, etc
EPS CAGR of 30% over FY17-FY20 achievable
Value migration in the Indian jewellery industry; big opportunity unfolding
for organized players
There is a marked shift that is happening in the INR 2t domestic jewelry retailing
market. A spate of recent regulations with a view to protect the customer as well as
moves to curb black money is leading to a massive value migration towards the
organized players.
Share of organized jewelers is only ~30% of the domestic jewelry market of which
national chains have less than 10% market share (more details in annexure). Thus
not only is the unorganized proportion among the highest in percentage terms
compared to most consumer plays, but the sheer size of the category at INR 2t (USD
31b) with INR 1.4t (USD 22b) unorganized segment presents a tremendous
opportunity for growth.
Exhibit 2: Jewelry market in 2000
Regional
chains
5%
Exhibit 3: Jewelry market in 2015
National
chains
7%
Regional
chains
23%
Stand alone
jewellers
and
medium
retailers
95%
Source: WGC, Company, MOSL
Stand alone
jewellers
and
medium
retailers
70%
Source: WGC, Company, MOSL
Even if the industry reports moderate or flat growth going forward, the regulations
in the last few years including (a) requirement of PAN card for transaction over INR
200,000; (b) demonetization; (c) GST implementation with 3% effective rate, have
dealt an enormous blow to the large unorganized segment increasing their cost of
compliance thereby affecting their ability to out-price organized players. Likely
newer regulations on (a) mandatory hallmarking likely from 1st January 2018 and (b)
more stringent provisions under Prevention of Money Laundering Act (PMLA) likely
in the next few months will lead to even higher levels of operational difficulty for
unorganized players.
22 November 2017
4

PC Jeweller
Meanwhile the organized players, particularly the national players like Tanishq
(Titan) and PCJL have considerably upped the ante on store expansion, wider
offerings catering to regional tastes, new collections and massive marketing on
national level to take advantage of the plight of the unorganized players thereby
trying to ensure a seismic shift in the Indian jewelry segment over the next few
years. With both Tanishq and PCJL reporting consistently over 30% growth in the
domestic jewelry business over the past 3-4 quarters the momentum is already
building up quite well.
Exhibit 4: Reasons for shift in trade to organized segment over the years
Higher
Urbanisation
Government
policies
trust
Change in
consumer
preferences
Brand
creation
Store
addition
Innovative
customer
outreach
Source: MOSL
22 November 2017
5

PC Jeweller
Established credentials in north and central India; Banking on small format
and franchisee model to reach tier-II/III cities
PCJL has opened 54 stores since its IPO, with around half of this stores (~28) added
in CY16 and YTDCY17 (including 9 franchisee stores). In YTD FY17, it has added nine
stores (including four franchisee stores). It has initially focused on large format
showrooms (average size of 5,000sf) to establish a strong presence in the wedding
segment. This has proven to be a successful strategy for PCJL to tap this segment,
which now contributes 85% of its domestic jewelry sales. Even Tanishq (Titan), has
concentrated on opening large format showrooms since FY12.
Exhibit 5: PCJL has expanded its geographical footprint pan India
Source: Company, MOSL
Exhibit 6: PCJL has opened 54 stores since its IPO
No of retail Outlets
Total Carpet Area ('000' sq.ft)
352
387
405
Exhibit 7: PCJL expected to open its 100 store by FY18 end
Own stores
Franchisee stores
th
138
24.0
190
250
313
30.0
41.0
50.0
60.0
75.0
84.0
24
30
41
50
1
59
5
70
20
80
48
92
76
104
Source: Company, MOSL
22 November 2017
Source: Company, MOSL
6

PC Jeweller
With a massive opportunity opening up as a result of government reforms, PCJL is
now adding smaller stores, both in smaller towns and as spokes for larger stores in
cities it is already present in. It has an ambitious store addition target (higher focus
on North and Central India) and is focusing more on tapping newer mass markets
were the opportunity of gaining share from the unorganized segment is high.
PCJL has started opening smaller format stores in tier-II and tier-III locations, with
average store size of 1,500-2,000sf. Along with its own stores in these smaller
markets, PCJL will also use the franchising model to expand. Traditionally, PCJL has
not franchised a lot, but it now sees very high growth opportunity from unorganized
players wishing to tie up with large players.
Post demonetization and GST implementation, PCJL has been receiving increased
queries for franchising from standalone smaller players. These players are mostly
from smaller areas and see no future for standalone stores. Their local expertise and
best practices from PCJL will create a win-win situation for both parties. Franchised
stores will help PCJL gain scale with less capital expenditure. This will in turn
improve return ratios. The franchisees will work on profit-sharing basis, but will have
to bear inventory. The franchise owner will be free to decide product mix for his
store. Advertisement spends will also have to be incurred by franchise partners. All
training will be provided by PCJL and staff uniform will be that of PCJL.
The company has also lined up aggressive expansion plans to diversify its geographic
presence and capitalize on the growing consumerism in the branded jewelry space.
It aims to add 25 stores in FY18 and 35-40 going ahead every year instead of the
historical target of 12-13. Of the 25 stores targeted in FY18, 10 will be owned and
the remaining 15 will be franchised (already opened 9 store including 4 franchisee
stores in 1HFY18). Going forward 70% of the store additions will be through the
franchisee route. As these stores will be opened in tier-II and tier-3 cities, store size
will be smaller and thus the average store size will come down even further.
Exhibit 8: The pace of store additions to be much faster
going ahead
No of retail Outlets
Total Carpet Area ('000' sq.ft)
539
633
Exhibit 9: Average store size will come as they explore tier II
and tier III cities
Average store size sq. ft.
138
24.0
190
30.0
250
41.0
313
352
387
445
50.0
60.0
75.0 100.0 140.0 180.0
Source: Company, MOSL
Source: Company, MOSL
22 November 2017
7

PC Jeweller
Sales mix and store level profitability set to improve; Branding investments
to restrict operating margin improvement
#1 Exports contribution to decline
Apart from retailing jewelry in India, PCJL also exports jewelry to international
distributors in Dubai, Hong Kong and Singapore. This was the original business of the
promoters, who have over two decades of experience in this business. Exports
contributed 36% of consolidated sales (~34% of standalone business) in FY17 and is a
low margin business (6-7% EBIT margin) as PCJL exports only plain gold jewelry, where
margins are limited. Growth in exports is also muted, but capital employed is low.
Higher growth in the domestic business will mean than that the relatively low
margin exports business contribution to the overall business is set to come down.
We expect exports as a percentage of overall business to reduce from current 34.1%
(as on FY17) to around 24.6% by FY20. In first half of FY18, the domestic business
saw a growth of 31% versus 10% growth posted by the exports business thus the
salience of exports came down to 31.8% in 1HFY18 from 35.6% in 1HFY17.
Exhibit 10: Exports contribution to overall standalone
business to come down to 24.6% by FY20
Domestic (% of standalone sales)
Exports (% of standalone sales)
10.4
67.0
74.3
75.2
71.5
71.1
65.9
69.4
72.4
75.4
7.9
5.7
7.9
6.7
Exhibit 11: Exports has been a lower margin business
historically
Export EBIT margin (%)
12.4
33.0
25.7
24.8
28.5
28.9
34.1
30.6
27.6
24.6
Source: Company, MOSL
Source: Company, MOSL
PCJL also plans to gradually create more value addition in its exports business. It is
exploring newer markets for high end jewellery and is also looking at starting B2C
(retail) sales in the US, UK, South East Asian and Gulf countries for its
Azva
and
Flexia
ranges to improve the margin profile of this business.
#2 Store level profitability to improve
Apart from lower proportion of exports business, margins will also be a driven by
operating leverage to some extent and improvement in store level profitability. We
expect the benefit from operating leverage to be limited for a business in which raw
material contributes ~87% of sales and see improvement in store level profitability
as a major factor for gross margin improvement going forward.
22 November 2017
8

PC Jeweller
Exhibit 12: Gross margin to expand 100bp over FY17-20
17.2
Gross margin (%)
Exhibit 13: Fixed costs as % of sales to come down
Fixed & Semi-fixed cost (% of consol. sales)
16.3 15.9
15.2
14.0
12.4
13.0 13.2 13.4
5.3
2.8
3.4
2.7
2.9
2.8
2.5
2.5
2.5
Source: Company, MOSL
Source: Company, MOSL
Store level profitability will improve going forward as company increase the share of
studded jewellery and high end wedding jewellery. There is a 3.5x gross margin
differential between plain gold jewelry and studded jewelry – diamond jewelry
enjoys gross margin of ~35%, compared to the 11-12% enjoyed by plain gold
jewelry. The contribution of diamond-studded jewelry in PCJL’s overall domestic
revenue has risen from 17.9% in FY10 to 30% in FY17. The company has improved its
retail mix in favor of diamond jewelry faster than peers.
Exhibit 14: Store level profitability improvement led by
jewellery mix
Domestic revenue per sq. ft. (INR '000)
Growth in domestic revenue per sq. ft. (%)
14.9
6.7
(0.2)
(11.3)
171
182
182
161
154
(4.1)
(6.5)
68.5
144
166
176
186
72.9
68.5
71.8
70.0
69.3
68.7
68.0
5.9
6.0
31.5
27.1
Exhibit 15: Salience of diamond jewelry to increase, going
ahead
Diamond as a % of standalone sales
Gold as a % of standalone sales
31.5
28.2
30.0
30.7
31.3
32.0
Source: Company, MOSL
Source: Company, MOSL
PCJL’s strategy to boost diamond jewelry sales includes: (1) investments in
advertising for diamond-studded jewelry, (2) promotion schemes for diamond
jewelry, (3) display of diamond jewelry on the ground floor of its multistoried
showrooms (already implemented), (4) new launches with penetrative price points
to entice even entry-level buyers, and (5) cross-selling of diamond jewelry to gold
jewelry customers.
Wedding jewelry accounts for 80-85% of PCJL’s domestic jewelry sales and will
remain a big component of its sales, as the segment has huge scope in the Indian
scenario. India sees 8m-10m weddings a year and the opportunity is huge, with the
size of the wedding jewelry market at ~INR1.5tn. The wedding segment constitutes
60-70% of the overall jewelry demand. Focus on large format showrooms has
proven to be a successful strategy for PCJL to tap this segment. Even Titan, the
leader in the branded jewelry space, has concentrated on opening large format
22 November 2017
9

PC Jeweller
showrooms since FY12 and now sees a big opportunity in the wedding jewelry
segment, as well.
Within India, it also intends to take its premium brand,
Azva
(acquired from WGC) to
50 retailers by the end of FY18 (30 currently). High-end diamond jewelry is currently
not available in many chained stores, where it is seeking to introduce the
Azva
brand.
Exhibit 16: Premium collection under Azva
Source: Company, MOSL
While diamond and wedding jewelry will remain its key focus area, PCJL does not
want to lose out on the huge millennials opportunity. To tap the young generation
and also occasions other than weddings and festivals, it has introduced a range of
light-weight jewelry collections. It is successfully running collections like
Flexia
detachable jewelry,
Shakuntalam, Inayat, Grecia, Amalia, Mother,
and
Tatvam
among others. It is also in the process of launching smart jewelry in FY18.
Exhibit 17: Flexia collection
Source: Company, MOSL
22 November 2017
10

PC Jeweller
Exhibit 18: PCJL Inayat collection
Source: Company, MOSL
We build in gross margin improvement of 100bp YoY over FY17-20 and also believe
that company will use this to increase its advertising, which are lower than listed
peers at 0.4% of consolidated sales (ad spends + marketing expenses) as at March
2017. While sales and EBITDA growth will be high, we are not building in any
material EBITDA margin expansion, going forward.
Exhibit 19: Ad spends and marketing expenses combined are
expected to increase to 0.9% of sales (currently 0.4%)..
Ad spends+Marketing expense (% of consol. sales)
0.9
0.7
0.7
0.9
0.6
0.4
0.6
0.8
0.9
10.9
12.0
11.0
Exhibit 20: ..which will restrict EBITDA margin expansion
EBITDA margin (%)
11.5
10.4
9.8
9.8
9.8
9.0
Source: Company, MOSL
Source: Company, MOSL
22 November 2017
11

PC Jeweller
Getting ready for the future; leveraging technology for a better consumer
experience
PCJL has taken several initiatives to build a future-ready jewelry business. Some of
its initiatives are:
Its e-commerce portal (under WOS-Transforming Retail Private Limited) is
integrated with its offline stores and will deliver an omnichannel experience.
PCJL recently revamped its online business by rebranding it as
www.Aucent.com,
now a jewelry-discovery platform. E-commerce foray is also
intended to build familiarity and relevance with young buyers, who may migrate
from current low-ticket purchases to high-ticket wedding purchases.
Exhibit 21: PCJL’s recently revamped online platform “Aucent”
Source: Company, MOSL
PCJL is looking to leverage technology at the store level by:
1.
Digitizing inventory across stores – It will help PCJL to expand reach without
any investment in physical assets like inventory, retail stores, etc, as
inventory at all showrooms will be visible to customers at every showroom.
2.
Online kiosks– This will aid online-offline integration.
3.
Virtual try-ons – This will help improve customer experience through
augmented reality via tabs. Consumer can try more number of jewellery
without actually trying it physically. The company introduced this in
Delhi/NCR region on a trial basis and has received positive response.
4.
Virtual reality zones at showrooms – These are aimed at giving consumers a
new shopping experience and reducing working capital needs for inventory.
It is also looking to use technology in manufacturing facilities to increase
productivity.
Investment in advanced CRM systems to improve marketing, communication
and targeting strategies – this will help target specific customers based on their
buying patterns.
Focus on digital marketing to be present on consumers’ mind through social
media, digital branding and youth marketing initiatives.
We are not building in any revenue upside from these initiatives, but believe these
are catalysts for future growth in an ever-evolving branded jewelry space.
22 November 2017
12

PC Jeweller
Key operating numbers of PCJL versus peers
Titan
Domestic revenues (INR mn)
Growth (%)
EBIT (INR mn)
EBIT margin (%)
Share of studded jewelry (%)
No. of showrooms (#)
Retail space (sq. ft.)
Growth (%)
Average store size (sq. ft.)
Average revenue/store (INR mn)
Average revenue/sq. ft. (INR)
PC Jeweller
Domestic revenues (INR mn)
Growth (%)
EBIT (INR mn)
EBIT margin (%)
Share of diamond jewelry (%)
No. of showrooms (#)
Retail space (sq. ft.)
Growth (%)
Average store size (sq. ft.)
Average revenue/store (INR mn)
Average revenue/sq. ft. (INR)
TBZ
Domestic revenues (INR mn)
Growth (%)
EBIT (INR mn)
EBIT margin (%)
Share of diamond jewelry (%)
No. of showrooms (#)
Retail space (sq. ft.)
Growth (%)
Average store size (sq. ft.)
Average revenue/store (INR mn)
Average revenue/sq. ft. (INR)
FY12
69,898
6,232
8.9
26%
163
387,000
2,374
429
208,030
20,395
2,009
9.9
27.4
24
137,937
5,747
850
170,579
13,855
1,195
8.6
25.0
14
47,796
3,414
990
289,872
FY13
80,324
14.9
8,152
10.1
28%
179
521,000
34.6
2,911
470
176,924
29,876
46.5
2,629
8.8
31.5
30
190,472
38.1
6,349
1,107
181,947
16,583
19.7
1,484
8.9
23.0
25
82,368
72.3
3,295
663
201,333
FY14
86,274
7.4
8,489
9.8
30%
198
632,000
21.3
3,192
458
149,652
40,021
34.0
3,186
8.0
27.1
41
250,398
31.5
6,107
1,127
181,554
18,181
9.6
1,346
7.4
21.0
27
88,093
7.0
3,263
673
206,388
FY15
94,206
9.2
9,348
9.9
31%
209
718,000
13.6
3,024
463
139,564
45,387
13.4
4,507
9.9
31.5
50
313,296
25.1
6,266
998
161,034
19,342
6.4
963
5.0
22.0
28
91,000
3.3
3,250
691
212,549
FY16
87,080
-7.6
7,847
9.0
28%
227
808,000
12.5
3,163
399
114,128
51,507
13.5
6,174
12.0
28.2
60
352,313
12.5
5,872
936
154,767
16,548
-14.4
394
2.4
22.0
30
98,200
7.9
3,273
552
168,511
FY17
102,373
17.6
10,387
10.1
29%
239
868,000
7.4
3,632
439
122,163
54,215
5.3
6,456
11.9
30.0
75
387,123
9.9
5,162
803
146,637
17,002
2.7
719
4.2
22.0
33
108,948
10.9
3,301
515
156,060
22 November 2017
13

PC Jeweller
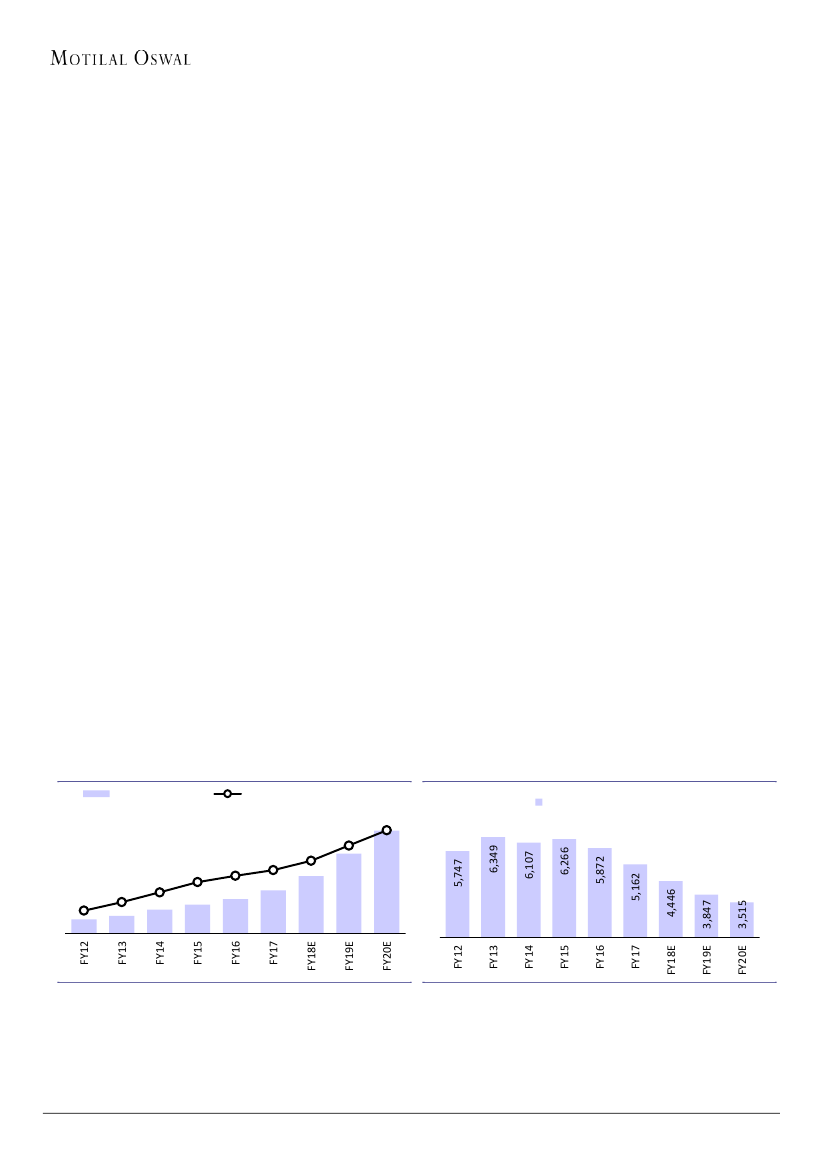
~30% EPS CAGR achievable over FY17-20
RoE to improve to ~19% by FY20 from 14.6% in FY17
PCJL has posted a CAGR of 22.8% in sales, 18.2% in EBITDA, and 12.8% in Adj. PAT
over FY12-17. Slowdown in discretionary consumption owing to weak macros and
several regulatory headwinds had impacted the jewelry sector over FY14-17.
Regulatory constraints seems have eased now.
The company targets franchisees to contribute 70% of the new store additions. It
has added 9 stores YTD in FY18, including four franchisee stores, and is confident of
achieving its FY18 target of 25 stores. We build in 25 store additions (including 15
franchisee stores) for FY18 and 40 stores (including 28 franchisee stores) for FY19 &
FY20 each.
Exhibit 22: Revenue/sf to grow sharply, as value migration
plays out
Domestic revenue per sq. ft. (INR '000)
Growth in domestic revenue per sq. ft. (%)
14.9
6.7
(0.2)
(11.3)
171
182
182
161
154
(4.1)
(6.5)
144
166
176
186
24
30
41
50
5.9
6.0
5
70
20
80
92
104
76
48
1
59
Exhibit 23: Expect PCJL to add 105 (including 71 franchisee)
stores over FY17-20
Own stores
Franchisee stores
Source: Company, MOSL
Source: Company, MOSL
We model healthy improvement in revenue/sf over the next three years, driven by
shift from unorganized to organized segment, better macros, improving consumer
sentiment and consequent pick-up in discretionary consumption. We expect
revenue/sf to grow 14.9% in FY18, 5.9% in FY19, and 6.8% in FY20. Thus giving
consolidated sales CAGR of 20.9% led by domestic sales CAGR of 26.9% over FY17-
20.
Exhibit 25: ..led by domestic sales CAGR of 26.9% over the
same period
Domestic sales (INR b)
46.5
34.0
53.4
13.4
30.4
40.2
53.2
63.6
73.0
84.8 103.6 123.9 149.8
20.4
29.9
40.0
45.4
13.2
3.9
51.4
69.0
86.4 109.0
Domestic sales growth (%)
Exhibit 24: PCJL to post 20.9% sales CAGR over FY17-20…
Total revenue (INR b)
32.1 32.5
19.5
14.8
Revenue growth (%)
22.1
16.1
19.6
20.9
29.2
25.2
26.3
Source: Company, MOSL
22 November 2017
Source: Company, MOSL
14

PC Jeweller
We expect EBITDA margin to expand from 9% in FY17 to 9.8% in FY18, FY19 and
FY20, led by high growth in revenue/sf, improving mix, higher ad spends, and higher
contribution of studded jewelry. In 1HFY18, EBITDA margins stood at 10.8% (up
80bp YoY) from 10% in 1HFY17. We believe marketing spends will restrict full year
EBITDA margin expansion to 9.8%.
Exhibit 27: …with 80bp EBITDA margin expansion over FY17-
20, but flattish over FY18-20, as we expect gross margin
benefit to be invested back in advertising and marketing
EBITDA margin (%)
10.9
19.0
3.8
7.6
0.9
7.6
21.8
12.0
11.0
11.5
10.4
9.8
9.8
9.8
Exhibit 26: EBITDA to deliver a CAGR of 24.4% over FY17-20
EBITDA (INR b)
45.3
32.8
22.0
24.2
EBITDA growth (%)
9.0
3.3
4.8
5.9
7.3
10.2
12.1
14.7
Source: Company, MOSL
Source: Company, MOSL
PCJL procures gold mostly via gold-on-lease mechanism (70-75%) for the domestic
business, and 100% on gold on lease for the exports business. This allows it to keep
interest cost and the cost of gold procurement under control.
We expect PCJL to deliver a CAGR of 30.1% in Adj. PAT over FY17-20. This will be led
by expansion plans and an improvement in sales mix, as diamond jewelry salience
moves up from 30% in FY17 to ~32% in FY20. Lower base of FY17 (adjusted PAT
grew 5.7%) should aid overall performance.
Exhibit 29: …with 120bp expansion in PAT margin over the
same period
Adj. PAT margin (%)
7.6
27.8
7.2
6.7
5.9
5.5
5.7
5.9
6.2
Exhibit 28: Adj PAT to grow 30.1% CAGR over FY17-20…
Adj. PAT (INR b)
Adj. PAT growth (%)
41.0
26.0
22.4
22.3
5.0
3.8
6.2
4.0
5.2
4.2
5.7
5.9
2.3
2.9
3.6
7.3
9.3
Source: Company, MOSL
Source: Company, MOSL
As the proportion of franchisee stores increases in new store additions, we expect
an improvement in working capital and capital efficiency ratios. We model net
working capital days to reduce from 116 in FY17 to 93 by FY20 and expect RoCE to
improve from 16.9% to 19.5% over FY17-20. PCJL has a net-debt-to-equity of -0.1x
as at March 2017. We do not see any material changes in this, going forward.
22 November 2017
15

PC Jeweller
Exhibit 30: Cash conversion cycle to improve
Days
Inventory days
Debtor days
Creditor days
Cash conversion cycle
FY12
103
67
87
83
FY13
131
62
113
80
FY14
140
44
100
85
FY15
161
40
89
112
FY16
177
44
100
121
FY17
173
54
111
116
FY18E
FY19E
FY20E
162
157
148
57
57
60
114
114
115
105
100
93
Source: Company, MOSL
Exhibit 31: Material reduction in net debt/equity over FY12-17
0.9
Net Debt/Equity
Exhibit 32: RoCE improvement going forward
RoCE (%)
37.3
28.5
21.9
20.1
19.3
16.9
17.5
18.0
19.5
0.3
0.2
0.3
(0.1)
(0.3)
(0.1)
(0.1)
(0.1)
Source: Company, MOSL
Source: Company, MOSL
22 November 2017
16

PC Jeweller
Initiating coverage with Buy
Valuations imply 50% discount to Titan
The spate of government regulations aiming to curb black money, GST
implementation and increased aggression (in terms of store opening) from the
incumbent organized players have fundamentally altered the scenario in the
Indian jewelry sector. Organized regional and national players have ~30% share
in the INR2t market in India, with national players having less than 10% share.
Armed with advantages of scale, technology, brand trust, superior hedging
policies, wider variety and huge marketing muscle, nationwide players like PCJL
will continue to take market share away rapidly from the unorganized players
for whom the pressures of compliance have whittled away at their key strength
– the ability to offer lower rates to the consumer.
For PCJL, we expect strong 25-30% growth in domestic business (64% of sales in
FY17), resulting in more than doubling of the segment sales over FY17-20. This
will drive 21% consolidated sales CAGR, 24% EBITDA CAGR, and 30% Adj. PAT
CAGR over the next three years. Faster growth in the domestic business also
marginalizes the lower quality exports business to 24.6% of sales by FY20.
The value migration to organized players is so strong that Titan and PCJL are
expected to report by far the highest EPS CAGR over FY17-20 in our consumer
and retail universe. While PCJL may not have had the first mover advantage that
Tanishq had, in little over a decade, it has emerged as India’s second-largest
jewelry retailer.
Valuing the company at 22x December 2019 EPS (30% premium to three year
average multiple; implying 50% discount to our target multiple of 45x for Titan),
we get a target price of INR490 for PCJ, 36% upside to CMP. Initiate Coverage
with BUY.
Titan
FY18E
162,559
25.2
33.9
9.5
11,107
23.4
64.9
PC Jeweller
FY18E
FY19E
103,577
123,902
22.1
19.6
32.8
19.0
9.8
9.8
5,935
7,259
16.5
17.5
24.0
19.6
TBZ*
FY18E
20,452
20.3
27.4
4.3
276
6.0
31.7
Exhibit 33: PCJL looks attractive from relative valuation
FY17
129,789
15.1
23.6
8.9
8,017
20.6
89.9
FY19E
199,383
22.7
26.6
9.8
14,102
25.5
51.1
FY17
84,796
16.1
0.9
9.0
4,210
14.6
33.8
FY17
16,998
2.7
87.8
4.1
147
3.3
58.8
FY19E
25,088
22.7
36.9
4.8
530
10.8
16.5
Sales (INR m)
Sales growth (%)
EBITDA growth (%)
EBITDA margin (%)
PAT (INR m)
RoE
P/E
*Bloomberg estimates
Source: Company, MOSL
22 November 2017
17

PC Jeweller
Risks
Sharp correction in gold prices:
Gold demand can be adversely affected by high
volatility in gold prices. Also, a major correction in gold prices can impact
revenue, if not sufficiently compensated by higher volumes.
Regulation risk:
Any adverse change in regulations that govern gold
procurement could impact the industry’s profitability.
Execution risk:
We have assumed 25-40 new store additions over FY17-20; any
slowdown in demand may force the company to change its expansion plans
downward. Losing discipline on store opening parameters in a sectoral upturn is
also risk we foresee.
Unorganized competition:
If the unorganized segment continues to thrive in the
new GST regime by running end-to-end in the parallel economy with a small B2C
supply chain, it could pose a threat to the growth and profitability of large,
organized players.
22 November 2017
18

PC Jeweller
Porter’s five forces framework analysis
•Bargaining power of
suppliers is low, as the
value of orders is quite
high and the rates are
usually fixed.
Bargaining Power
of Suppliers - Low
Threat of New
Entrants -
Medium
•Threat of new entrants is
medium, as it is not very
difficult to set up a jewelry
business (requires low
capital); there aren’t any
restrictions on entrants as
such, but a jeweler
requires skilled and
trustworthy manpower as
well as technology (for
designs) to compete
with the big players.
Competitive Rivalry – High
Competitive rivalry is very high, as there are a large
number of players in the organized as well as
unorganized segment (having lower making charges)
with similar products and customers do not have a
switching cost. India also faces some competition from
international markets (China and Dubai) due to pricing
differential.
•While gold as an
investment can have
substitutes in the
form of other
investment avenues
(mutual funds, fixed
deposits, etc), there are
no substitutes for gold
jewelry for weddings,
festivals or other
occasions.
Threat of
Substitutes - Low
Bargaining Power
of Buyers - Low
•Buyers do not have
bargaining power, as the
price of gold is market-
regulated. The prices of
other gems and stones are
also fixed by the sellers
and are usually similar
across sellers.
22 November 2017
19

PC Jeweller
SWOT analysis
Established brand - successful expansion in other
parts of India
Experienced management team
Backward integration with strong manufacturing set-
up
Strength
Presence in exports segment which has lower
margins
Relatively Untested franchisee model
Weaknesses
Value migration towards branded jewelry
Domestic segment growth remains buoyant with
favorable demographics
Opportunities
Adverse government regulations
Adverse gold price movement to revenue forecast
No synergistic and expensive acquisition
Increase in supply of smuggled gold
Threats
22 November 2017
20

PC Jeweller
Bull & Bear case
Bull Case
In our bull case, we assume strong 30% CAGR In domestic standalone sales (vs
26.9% in our base case) leading to 23% sales CAGR in the consolidated business.
We also expect EBITDA margins to increase slightly to 10.4% by FY20E (vs 9.8%
in our base case), aided by gross margin improvement to 13.6% (vs 13.4% in our
base case).
We have also assumed higher store additions at 50 (vs 40 in our base case) for
FY19 and FY20.
This results in Adj. PAT CAGR of 36% (v/s 30% in our base case) over FY17-20E,
with RoE of 21.4% in FY20E.
Based on the above assumptions, we value PCJL at INR550 (22x December
2019E EPS) – an upside of 52%.
Bear Case
In our bear case, we assume 22.8% CAGR In domestic standalone sales (vs 26.9%
in our base case) leading to 18% sales CAGR in the consolidated business.
We also expect EBITDA margins to decline to 9.2% by FY20E (vs 9.8% in our base
case) with gross margin improvement to be subdued at 13.2% (vs 13.4% in our
base case).
We have also assumed lower store additions at 30 (vs 40 in our base case) for
FY19 and FY20.
This results in Adj. PAT CAGR of 22.6% (v/s 30% in our base case) over FY17-20E,
with RoE of 16.7% in FY20E.
Based on the above assumptions, we value PCJL at INR420 (22x December
2019E EPS) – an upside of 16%.
Exhibit 34: Scenario Analysis – Bull Case
Exhibit 35: Scenario Analysis – Bear Case
Bull case
FY18E
FY19E
FY20E Bear case
FY18E
FY19E
FY20E
Sales (INR m)
104,645 128,040 158,609 Sales (INR m)
102,510 121,207 139,671
Sales growth (%)
23.4
22.4
23.9 Sales growth (%)
20.9
18.2
15.2
Standalone domestic sales (INR m)
70,035 90,503 117,881 Standalone domestic sales (INR m)
67,899 83,670 98,943
Standalone domestic sales growth (%)
31.2
29.2
30.3 Standalone domestic sales growth (%)
27.2
23.2
18.3
Gross Profit (INR m)
13,604 17,157 21,571 Gross Profit (INR m)
13,326 15,757 18,437
Gross margin (%)
13.0
13.4
13.6 Gross margin (%)
13.0
13.0
13.2
EBITDA (INR m)
10,266 13,017 16,560 EBITDA (INR m)
10,050 11,456 12,867
EBITDA margin (%)
9.8
10.2
10.4 EBITDA margin (%)
9.8
9.5
9.2
EBITDA growth (%)
34.2
26.8
27.2 EBITDA growth (%)
31.4
14.0
12.3
Adj. PAT (INR m)
6,018
7,904 10,551 Adj. PAT (INR m)
5,852
6,711
7,766
Adj. PAT margin (%)
5.8
6.2
6.7 Adj. PAT margin (%)
5.7
5.5
5.6
Adj. PAT growth (%)
43.0
31.3
33.5 Adj. PAT growth (%)
39.0
14.7
15.7
EPS (INR)
15.3
20.1
26.8 EPS (INR)
14.8
17.0
19.7
Target multiple (x)
22 Target multiple (x)
22
Target Price (INR)
552 Target Price (INR)
419
Upside/downside
52% Upside/downside
16%
Source: Company, MOSL
Source: Company, MOSL
22 November 2017
21

PC Jeweller
Annexure 1: Fragmentation giving way to consolidation
Huge scope to grow for national players like PCJL
The domestic jewelry industry is estimated to be worth INR2b, but is highly
fragmented. Around 400k small standalone jewelers – mostly family jewelers –
dominate the market, with ~70% share. India is one of the biggest markets in the
world for gold jewelry, which is bought as much for its cultural value as for its
investment value. The fragmented nature of the industry is largely due to varied
regional tastes and smaller entities’ cost competitiveness. Over the years, however,
there is a visible shift towards national players and regional chains.
The share of standalone jewelers has declined from 95% of the market in 2000 to
~70% in 2015. Regional chains accounted for 23% and national players for ~7% of
the market in 2015. Given the dynamic changes in the industry over the past year
and a half, we wouldn’t be surprised if the total share of the organized players
(regional and national) is closer to 32% now. This share is likely to increase further,
with growing acceptance of branded contemporary jewelry.
Exhibit 36: Jewelry market in 2000
Regional
chains
5%
Regioanl
chains
23%
Exhibit 37: Jewelry market in 2015
National
chains
7%
Stand alone
jewellers
and
medium
retailers
95%
Source: WGC, Company, MOSL
Stand alone
jewellers
and
medium
retailers
70%
Source: WGC, Company, MOSL
The wide prevalence of under-caratage by the small unorganized players and rising
aspirations of Indian consumers have ensured a decisive and durable shift towards
the organized trade. The government has imposed several restrictions on cash
purchases of jewelry, with mandatory PAN card requirement on cash transactions of
over INR200k, imposition of excise duty et al. Demonetization and GST augur well
for branded, organized players. These two big reforms along with mandatory
hallmarking (expected from Jan’18) will increase the cost of doing business for
unorganized players.
The larger players have been growing faster than their smaller counterparts. Post
demonetization and GST, large listed jewelry players have seen even stronger
growth, as they were better prepared for GST. Smaller unorganized players
continue to face difficulties (a) in transition to the new tax regime due to higher
cost of compliance, and (b) due to significantly higher levels of scrutiny by
government authorities to curb black money, taking away their pricing power.
22 November 2017
22

PC Jeweller
Exhibit 38: Consumer demand for jewelry to bounce back
Gold consumer demand in India (tonnes)
Jewellery
349 368
196 135
Investment
312 331 208 195
Exhibit 39: Investment demand for gold declining
Investment demand as % of total gold demand
Jewellery demand as % of total gold demand
224
162
103
575 476 441 657 607 552 603 644 662 514
334
Source: WGC, Company, MOSL
Source: WGC, Company, MOSL
Demand for gold jewelry is likely to grow faster, going forward. However, demand
for gold as an investment could remain stagnant or decline in the near future. It is
interesting to note that demand for gold as an investment usually increases when
the price of gold rises – seen during the period between 2010 and 2012. In 1HFY18,
gold price declined 5% YoY, signaling that demand for gold as an investment might
decline or remain stagnant as a share of overall gold demand in the near future.
Exhibit 40: Average gold price down 5% YoY in 1HFY18
Average gold price (INR/10 gm)
30,122
28,867
9,962
Source: WGC, Company, MOSL
22 November 2017
23

PC Jeweller
Annexure 2: Value migrating to organized segment
Large players like PCJL to benefit
Most big branded jewelry players found it challenging at first to do business in the
domestic market, as the consumer did not readily accept the idea of large
contemporary stores selling Indian gold jewelry. However, their exports to the
Middle East, UK, US and Australia did well, giving them manufacturing scale and the
time to re-think their strategy on the domestic business front.
Over the last decade, the Indian gems and jewelry market has seen value migrating
from the unorganized to the organized segment. India’s organized jewelry market
has been growing at 30-40% annually compared to 10% growth for the overall gems
and jewelry sector. The share of the organized segment in the jewelry market has
grown from 5% in 2010 to 30% in 2015, and is expected to reach 40% by 2020.
Growth in the organized market was led by regional chains, whose share grew from
5% in 2010 to 23% in 2015 while the share of national chains grew from 0% to 7%.
After the government measures over the past few years and initiatives by organized
players, the share of regional and national players would have gone up further.
The shift could also be attributed to the initiatives taken by large pan-India players
and regional chains. The big players have been expanding their footprint by adding
stores not only in the metros but also in tier-I, tier-II and tier-III cities. This expansion
is not only through own stores but also through franchising. Their plans for the
current fiscal are also big and the data from the listed players shows that they are
actually on track to achieve their internal targets of store expansion.
Exhibit 41: Number of retail outlets in India
Company
Titan (Tanishq + Zoya + GoldPlus)
PC Jeweller
TBZ
Joyalukkas
Kalyan Jewellers
Malabar Gold & Diamond
FY17
239
74
33
66
82
85
Expected net
additions in FY18
16
25 (includes 15 franchisee)
6 (franchisee)
15
20
30
Source: Company, MOSL
To support their strong store expansions, the large companies have been spending
on advertising and promotion. The largest player, Titan incurred overall advertising
expenditure of INR4.6b (includes jewelry, watches and other businesses) in FY17.
We assume 80% (share of jewelry in FY17 sales) of this expenditure towards jewelry.
Other large listed players, PCJL and TBZ incurred INR3b-4b each in FY17.
In 2012, Kalyan Jewelers signed Mr Amitabh Bachchan to become the most
preferred brand in India. In May 2015, Deepika Padukone was named Tanishq’s
brand ambassador. PC Jewellers signed Akshay Kumar and Twinkle Khanna in
October 2017. Joyallukas has roped in Bollywood actress Kajol to promote its brand
and pegged marketing & promotion expenses at INR2b for FY19. This huge
investment behind brand building has helped create good recall among consumers,
who have largely preferred buying the traditional way.
22 November 2017
24

PC Jeweller
Exhibit 42: Brand ambassador for Tanishq
Source: Company, MOSL
Exhibit 43: Brand ambassador for PC Jewellers
Source: Company, MOSL
Large jewelers also run gold installment schemes (gold purchase schemes or gold
savings schemes), which work like bank recurring deposits. Through these schemes,
a person can deposit a fixed sum every month with the jeweler for a certain period
(usually a year), at the end of which he gets a bonus, usually one or two
installments. PCJL runs ‘Jewel for Less’, Tanishq offers ‘Golden Harvest’, and TBZ has
‘Kalpavruksha’.
Exhibit 44: Gold installment schemes offered by jewelers compared to bank deposits
Gold Installment Schemes
Name of the Scheme
Investment (INR/Month)
Tenure (Months)
Bonus/interest (INR)
Final Proceeds
Tanishq
Golden Harvest
Scheme
2,000
12
1,500
25,500
PC Jeweller
Jewels for less
Scheme
2,000
14
2,000
30,000
TBZ
Kalpavruksha
2,000
12
2,000
26,000
Joyalukkas
Easy Buy Gold
Purchase Plan
2,000
12
1,800
25,800
Bank
Recurring Deposit
(6.75%)
2,000
12
822
24,822
Source: Company, MOSL
22 November 2017
25

PC Jeweller
Recycling of gold plays an important role in India’s gold supply, fulfilling around 15%
of Indian jewelry fabrication needs since 1990. Gold can either be recycled for gold
or for cash. In a price conscious market like India, consumers usually sell gold to buy
gold jewelry (with added cost for making). Over the years, even organized players
have started selling gold jewelry in exchange for gold. Promotional offers, discounts
and other incentives are introduced to encourage customers to recycle gold, thus
driving footfalls when the price of gold is high.
Launch of new collections, reduction in making charges, various activations and
effective inventory management (leading to availability of a variety of designs) has
also led to these players growing faster than industry, thus gaining market share.
Exhibit 45: New collection by Tanishq (Shubham)
Exhibit 46: New collection by Tanishq (Queen
of Hearts)
Source: Company, MOSL
Source: Company, MOSL
Exhibit 47: Recent new launches by PC Jewellers
Source: Company, MOSL
22 November 2017
26

PC Jeweller
How Titan (Tanishq) led this value migration
Titan launched its jewelry division,
Tanishq
in 1996, with a range of jewelry and
ornate watches for the European and American markets. However, as demand
in the West declined due to slow economic growth followed by recession,
Tanishq
changed its business model and began focusing primarily on the Indian
jewelry market, which was primarily unorganized, highly localized, and had no
concept of branded jewelry. There were ~200k jewelers in India in late 1990s.
Since then, Titan has pioneered the branded jewelry concept in India, and has
created a sizable leadership presence in the jewelry segment, leveraging on its
Tata
brand equity. Competition exists in the segments, but Titan has continued
to gain market share. The following are the key elements that contributed
significantly to Titan’s value migration journey in the segment:
1.
Change in product positioning:
After realizing that it had gone wrong in
terms of product offering in the initial stages,
Tanishq
changed its brand
positioning from that of a westernized offering to an Indian traditional
branded jeweler.
2.
Gaining trust through purity:
There was no organized player in the jewelry
business in India before Titan’s
Tanishq
first set shop. Directly pitted against
traditional jewelers offering similar ornaments,
Tanishq
decided to address
the issue of gold purity to gain consumers’ trust. In 1999, it introduced the
concept of karatmeters in its retail stores to give consumers a more
trustworthy method to test the purity of gold than the traditional
touchstone method. This enabled it to finally make a dent in the consumers’
long-standing relationships with their traditional jewelers.
3.
Delivering value:
In 2000,
Tanishq
decided to have standard gold prices
across its showrooms throughout the country.
Tanishq
had set up an ultra-
modern, large-scale manufacturing unit in Hosur, Tamil Nadu, which helped
it to charge the same price across the country.
4.
Creating brand:
Titan has been creating brands over the years,
Tanishq
being the biggest. It caters to India’s mid-and-premium jewelry market, with
a large footprint of ~239 stores pan-India (including two
Zoya
stores) spread
across 111 towns.
5.
New collections:
Tanishq has been launching new collections almost every
quarter and the response to the same has been very good.
Exhibit 48: Changing landscape of Indian jewelry market
Traditional Practice
i.
Gold jewelry consumption emanates from traditional and
investment-related demand.
ii.
iii.
iv.
v.
Emerging Trend
i.
It is regarded as a fashion accessory by the growing young
population.
ii.
They still remain the main demand drivers but its use for
Demand peaks during weddings and festival seasons.
regular wearing and gifting has evened out the demand
throughout the year.
Consumption of pure gold - preferred 22-carat. Traditional
iii.
Lower caratage & light-weight jewelry preferred. Trend is
and Ethnic designs preferred.
more towards fashionable and contemporary designs.
Purchase from neighborhood jewelers dominated. Hence the iv.
Growing preference for brands, retail stores & e-retailing.
Industry lacked transparency.
Introduction of hallmarking & certifications.
v.
Acceptance of white gold, platinum and diamond-studded
Predominance of gold (yellow)-based jewelry.
jewelry. Even imitation jewelry is gaining acceptance.
Source: Company, MOSL
22 November 2017
27

PC Jeweller
Annexure 3: Shift accelerated by regulatory changes
Demonetization and GST key drivers
First phase of regulatory changes was negative…
The Indian jewelry sector was impacted by several punitive measures in FY13, FY14
and 1HFY15. To curb gold consumption, and in turn, current account deficit, the
government imposed several restrictions on the Jewelry sector. Key restrictions:
Import restrictions via 80:20 rule:
Of the total quantum of imported gold, 20%
had to be compulsorily exported. The nominated agency could import the next
tranche of gold only after exporting 20% of the lot imported earlier. This
resulted in shortage of gold supply, and consequently, higher gold premiums.
Import duty hike:
The government increased the import duty on gold from 2%
to 10% in 18 months (the last hike being from 8% to 10% in August 2013) to
reduce the pressure on the current account deficit.
Ban on imports of gold coins and minted bars:
This was one of the many
measures to curb demand for bullion (second-biggest import after oil), as the
government looked to reduce its record trade deficit in 2013.
Ban on gold-on-lease scheme:
The
RBI also banned the gold-on-lease scheme.
Gold on lease is a low-cost effective hedging tool employed by branded jewelers
like Titan and PCJL. Jewelers had to purchase gold by upfront payment without
any credit, resulting in higher interest costs, working capital and debt.
Exhibit 49: Movement of India’s current account deficit versus Gold import over the years
(USD Bn)
35
30
25
20
15
10
5
0
CAD
Gold imports
20
15
10
5
0
Source: Company, MOSL
…but the second phase is uniformly positive
The Indian jewelry industry has been highly regulated. The regulatory decisions
made by the government over the last few years aim to make the industry more
transparent and complaint. Key regulatory changes in the last few years:
Reversal of 80:20 ruling on gold imports.
Reversal of abolition of gold-on-lease scheme.
Mandatory hallmarking (expected from Jan’18).
Quoting of PAN for jewelry purchases of over INR200k.
Imposition of 1% excise duty for the first time on the jewelry industry.
Announcement of demonetization in 3QFY17.
3% goods and services tax (GST) from July 01, 2017.
22 November 2017
28

PC Jeweller
These regulations have made the industry transparent to some extent and also
increased the compliance costs of the unorganized players. We believe these
changes are structural and will benefit the industry in the longer term. Organized
players like Titan and PCJL will be able to unlock huge growth potential in the
coming years. PCJL believes that the Indian jewelry market is huge and can easily
accommodate another 10-15 organized players.
22 November 2017
29

PC Jeweller
Annexure 4: Indian gold demand to continue increasing
Demographic factors in favor of the industry
While the shift towards the organized segment is happening (confirmed by
companies) and will only accelerate, the category itself presents an inherent
growth opportunity, as gold continues to an intrinsic part of the Indian culture. A
mix of long-term factors (growing population, rising income levels and higher
proportion of millennials) and short-term factors (inflation, gold price movement
and excess rainfall) will lead to an increase in gold demand in the country.
Exhibit 50: India is the second-largest jewelry market in the world
Source: WGC, Company, MOSL
India is the second-largest jewelry market in the world (China is the largest). Gold
consumption is ingrained in India’s culture – traditions, festivals and other
important family and social occasions warrant donning of gold jewelry.
Exhibit 51: Rising share of India’s middle class
India’s share of middle class consumption in the world (%)
17
9
5
2015
2020
2030
Source: IBEF, Company, MOSL
India is demographically well-placed (increasing middle class population, rising
income levels, good population of millennials) for sustained consumption growth.
India’s current middle class population stands at 200m-250m, which is expected to
exceed 500m by 2025. The increasing middle class population symbolizes an
22 November 2017
30

PC Jeweller
increase in income levels of the population, and income is a major driver of
demand for gold and jewelry. Income levels are the most significant long-term
determinant of consumer gold demand: holding all else equal, a 1% rise in income
leads to a 1% rise in gold demand. As income rises, so do savings, and Indians
prefer buying gold with their savings. They consider gold as an important form of
investment, as it acts as a hedge when other investment avenues underperform.
Exhibit 52: Wedding jewelry holds a major portion of the overall jewelry market
Source: WGC, Company, MOSL
Exhibit 53: Jewelry buying peaks in the second half of the year (CY)
Source: WGC, Company, MOSL
The jewelry market in India is incredibly diverse. Each region is varied in terms of
taste and also in terms of the appetite for purchasing gold jewelry. Besides the
diversity, the industry is also seasonal. Demand for gold jewelry spikes during the
festive season, marriage season and the harvesting season. 22k plain gold jewelry
is the most prominent in terms of sales. With a huge population of millennials, the
dynamics of the industry are changing. People have become more adventurous
and are not afraid of experimenting. In urban India, the share of diamond-studded
jewelry has been increasing as has demand for high-value wedding jewelry.
Our base case builds in value migration opportunity in the Indian jewellery sector
and does not takes into account any sharp improvement in the industry growth. If
there is significant upturn in the domestic jewellery segment then it will be positive
risk to our assumed growth.
22 November 2017
31

PC Jeweller
Annexure 5: PCJL a well-established national player
Set to exploit the opportunity of formalizing of sector
PC Jeweller (PCJL), incorporated in 2005, is a leading organized jewelry retailer, with
a strong brand presence in North and Central India. Its operations include
manufacturing, retailing and export of jewelry. It has 84 showrooms (including 9
franchisee stores) in >62 cities and >18 states, with an operational space of 405ksf
as of October 2017.
Exhibit 54: PC Jeweller – key metrics over FY12-20E (standalone)
Cumulative store count
Revenues per store (domestic)
Revenue per sqft
Total revenue (INR m)
Growth YoY (%)
Domestic Revenue (INR m)
Growth YoY (%)
Export revenue (INR m)
Growth YoY (%)
FY15
50
998
161,034
63,485
19.2
45,387
13.4
18,098
36.8
FY16
60
934
154,415
72,321
13.9
51,390
13.2
20,931
15.7
FY17
75
791
144,380
81,040
12.1
53,380
3.9
27,660
32.1
FY18E
100
788
165,837
99,393
22.6
68,967
29.2
30,426
10.0
FY19E
140
720
175,672
119,225
20.0
86,365
25.2
32,860
8.0
FY20E
180
681
186,191
144,527
21.2
109,038
26.3
35,489
8.0
Source: Company, MOSL
PCJL retails a wide range of gold, diamond and other jewelry, including silver
articles, under the brands
PCJ, Flexia, PCJL Inayat
and
Azva.
Gold jewelry contributes
~70% of its domestic revenue (as at FY17), and diamond jewelry the rest.
Exhibit 55: Key brands -
PCJ, Flexia, PCJL Inayat
and
Azva,
and e-com portal
wearyourshine.com
Source: Company, MOSL
Apart from retailing jewelry in India, PCJL also exports jewelry to international
distributors in Dubai, Hong Kong and Singapore. This was the original business of the
promoters, who have over two decades of experience in this business. Exports
contributed 36% of sales in FY17 and are a low margin business (6-7% EBIT margin)
as PCJL exports only plain gold jewelry, where margins are limited. Growth in
exports is also muted, but capital employed is low. PCJL is also exploring newer
markets and is looking at starting B2C (retail) sales in the US, UK, and South East
Asian and Gulf countries for its
Azva
and
Flexia
ranges to improve the margin profile
of this business.
22 November 2017
32

PC Jeweller
Exhibit 56: Exports salience stood high at 34% in FY17 as
domestic growth remain muted
Domestic (% of standalone sales)
Exports (% of standalone sales)
10.4
74.3
75.2
71.5
71.1
65.9
7.9
5.7
7.9
6.7
Exhibit 57: Export EBIT margins are low compared to
domestic margins
Export EBIT margin (%)
12.4
25.7
FY13
24.8
FY14
28.5
FY15
28.9
34.1
FY12
FY13
FY14
FY15
FY16
FY17
FY16
FY17
Source: Company, MOSL
Source: Company, MOSL
PCJL has five manufacturing units that cater to 65-70% of its domestic retail and
export footprint; the remaining 30-35% production is outsourced. It increased its
manufacturing capacity by 29% in FY17 to 107ksf and is looking to add further
capacity in two years, with an investment of ~INR3b through internal accruals. In
2QFY18, company acquired a 13ksft built up space (expandable to 30ksft) in
jewellery manufacturing zone in Jaipur. This facility is expected to be operational by
3QFY18. The company also has plans to add another facility by end of FY18.
It also has a strong in-house designing team, with 60-70 designers, including manual
and computer aided designers (CAD). The designers also go on the field to study
design trends and competitor offerings to keep PCJL abreast with evolving consumer
needs.
Exhibit 58: South Extension store in Delhi
Exhibit 59: Noida plant, which has ~350 employees
Source: Company, MOSL
Source: Company, MOSL
Exhibit 60: Revenues of wholly-owned subsidiaries
Subsidiaries (INR m)
PC Universal Pvt ltd
Transforming Retail Private Limited
Luxury Products Trendsetter Private Limited
PC Jeweller Global DMCC
Principal activities
Jewelry Manufacturing & Export
Online Retail Trading in Jewelry
Jewelry Manufacturing & Trading
Jewelry Trading
FY15
128
0
0
0
FY16
698
111
0
0
FY17
3,020
97
152
581
Source: Company, MOSL
22 November 2017
33

PC Jeweller
Exhibit 61: Details of Board of Directors
Name
Mr. Padam Chand Gupta
Mr. Balram Garg
Mr. Manohar Lal Singla
Mr. Krishan Kumar
Khurana
Mr. Miyar Ramanath
Nayak
Mr. Suresh Kumar Jain
Mr. Ramesh Kumar
Sharma
Designation
Chairman
Managing Director
Independent Director
Independent Director
Independent Director
Independent Director
ED & COO
Description
He has more than 20 years of experience in the jewelry industry and is part of the
company since incorporation.
He is involved in the company since incorporation and has over 20 years of experience in
the jewelry industry.
He has over 25 years of experience in academics and is currently a professor of
management at Faculty of Management Studies, New Delhi.
He has over 25 years of experience in the legal services industry and is a practicing
advocate of the Supreme Court of India and the High Court of New Delhi.
He was associated with the banking industry for over 40 years and has experience in the
field of gold banking, treasury and forex operations, credit risk management and branch
banking.
He has over 36 years of experience as banker in domestic and international markets.
He has over 29 years of experience in foreign exchange, credit and administration
services
Source: Company, MOSL
Exhibit 62: Shareholding pattern (as on 30th Sep'17)
Particulars
Foreign (Promoter & Group)
Indian (Promoter & Group)
Individuals / Hindu Undivided Family
Total of Promoter
Non Promoter (Institution)
Foreign Institutional Investors
Financial Institutions / Banks
Mutual Funds / UTI
Non Promoter (Non-Institution)
NRIs/Foreign Individuals/Foreign Nationals
Bodies Corporate
Clearing Members
Individuals holding nominal share capital in excess of INR 1 lakh
Individuals holding nominal share capital up to INR 1 lakh
Trust & Foundation
Non Promoter Non Institution Others
Total Non-Promoter
Total Promoter & Non Promoter
Custodians (Against Depository Receipts)
Grand Total
No of Shares
0
238,584,482
238,584,482
238,584,482
131,742,925
122,116,858
5,525,067
4,101,000
24,027,793
356,745
8,057,520
603,800
10,682,352
4,324,536
540
2,300
155,770,718
394,355,200
0
394,355,200
% of holding
0.0
60.5
60.5
60.5
33.4
31.0
1.4
1.0
6.1
0.1
2.0
0.2
2.7
1.1
0.0
0.0
39.5
100.0
0.0
100.0
Source: Company, MOSL
22 November 2017
34

PC Jeweller
Financials and valuations
Consolidated - Income Statement
Y/E March
Total Income from Operations
Change (%)
Raw Materials
Gross Profit
Margin (%)
Employees Cost
Other Expenses
EBITDA
Change (%)
Margin (%)
Depreciation
EBIT
Margin (%)
Int. and Finance Charges
Other Income
PBT after EO Exp.
Total Tax
Tax Rate (%)
Reported PAT
Adjusted PAT
Change (%)
Margin (%)
Consolidated - Balance Sheet
Y/E March
Equity Share Capital
Total Reserves
Net Worth
Total Loans
Deferred Tax Liabilities
Capital Employed
Gross Block
Less: Accum. Deprn.
Net Fixed Assets
Capital WIP
Total Investments
Current Investments
Curr. Assets, Loans&Adv.
Inventory
Account Receivables
Cash and Bank Balance
Loans and Advances
Curr. Liability & Prov.
Account Payables
Other Current Liabilities
Provisions
Net Current Assets
Appl. of Funds
E: MOSL Estimates
FY15
63,613
19.5
53,946
9,667
15.2
557
1,808
7,302
24.2
11.5
230
7,072
11.1
2,269
592
5,395
1,611
29.9
3,784
3,784
6.2
5.9
FY16
73,032
14.8
62,841
10,192
14.0
727
1,883
7,582
3.8
10.4
227
7,355
10.1
2,511
499
5,344
1,362
25.5
3,982
3,982
5.2
5.5
FY17
84,796
16.1
74,302
10,494
12.4
834
2,010
7,650
0.9
9.0
225
7,425
8.8
2,856
973
5,542
1,331
24.0
4,210
4,210
5.7
5.0
FY18E
103,577
22.1
90,112
13,465
13.0
932
2,375
10,158
32.8
9.8
289
9,868
9.5
2,425
1,036
8,479
2,544
30.0
5,935
5,935
41.0
5.7
FY19E
123,902
19.6
107,547
16,355
13.2
1,239
3,026
12,090
19.0
9.8
429
11,661
9.4
1,942
1,115
10,834
3,575
33.0
7,259
7,259
22.3
5.9
(INR Million)
FY20E
149,766
20.9
129,697
20,069
13.4
1,647
3,701
14,720
21.8
9.8
618
14,102
9.4
1,459
1,198
13,842
4,568
33.0
9,274
9,274
27.8
6.2
(INR Million)
FY20E
3,942
47,756
51,698
4,028
-334
55,392
3,979
1,786
2,192
694
94
94
108,517
64,748
27,902
9,712
6,155
56,105
51,799
3,084
1,222
52,412
55,392
0
FY15
1,791
18,115
19,906
6,819
-125
26,599
1,474
578
896
0
131
131
46,087
32,299
7,804
2,840
3,144
20,515
18,220
487
1,808
25,572
26,599
0
FY16
1,791
22,300
24,091
9,704
-120
33,676
1,138
226
912
0
81
81
56,397
38,672
9,760
3,416
4,549
23,714
21,777
668
1,269
32,683
33,676
0
FY17
1,791
31,728
33,519
8,028
-334
41,214
1,333
451
882
0
94
94
72,656
41,874
15,380
11,917
3,485
32,419
29,981
1,746
692
40,238
41,214
0
FY18E
3,942
34,559
38,501
7,028
-334
45,196
1,883
740
1,143
550
94
94
80,940
49,909
17,026
9,747
4,257
37,531
34,552
2,133
845
43,409
45,196
0
FY19E
3,942
40,388
44,330
5,028
-334
49,025
2,883
1,169
1,714
670
94
94
92,997
56,672
21,386
9,847
5,092
46,449
42,887
2,551
1,011
46,547
49,025
0
22 November 2017
35

PC Jeweller
Financials and valuations
Ratios
Y/E March
Basic (INR)
EPS
Cash EPS
BV/Share
DPS
Payout (%)
Valuation (x)
P/E
Cash P/E
P/BV
EV/Sales
EV/EBITDA
Dividend Yield (%)
FCF per share
Return Ratios (%)
RoE
RoCE
RoIC
Working Capital Ratios
Fixed Asset Turnover (x)
Asset Turnover (x)
Inventory (Days)
Debtor (Days)
Creditor (Days)
Leverage Ratio (x)
Current Ratio
Interest Cover Ratio
Net Debt/Equity
Consolidated - Cash Flow Statement
Y/E March
OP/(Loss) before Tax
Depreciation
Interest & Finance Charges
Direct Taxes Paid
(Inc)/Dec in WC
CF from Operations
Others
CF from Operating incl EO
(Inc)/Dec in FA
Free Cash Flow
(Pur)/Sale of Investments
Others
CF from Investments
Issue of Shares
Inc/(Dec) in Debt
Interest Paid
Dividend Paid
Others
CF from Fin. Activity
Inc/Dec of Cash
Opening Balance
Closing Balance
FY15
9.6
10.2
50.5
1.5
18.3
37.7
35.5
7.2
2.3
20.1
0.4
7.7
20.6
20.1
21.9
43.1
2.4
161
40
89
2.2
3.1
0.2
FY16
10.1
10.7
61.1
3.4
40.1
35.8
33.9
5.9
2.0
19.6
0.9
0.3
18.1
19.3
20.4
64.2
2.2
177
44
100
2.4
2.9
0.3
FY17
10.7
11.3
85.0
1.0
11.3
33.9
32.1
4.3
1.6
18.1
0.3
18.7
14.6
16.9
19.0
63.6
2.1
173
54
111
2.2
2.6
-0.1
FY18E
15.1
15.8
97.7
2.0
16.1
24.0
22.9
3.7
1.3
13.8
0.6
3.0
16.5
17.5
21.6
55.0
2.3
162
57
114
2.2
4.1
-0.1
FY19E
18.4
19.5
112.5
3.0
19.7
19.6
18.5
3.2
1.1
11.4
0.8
11.0
17.5
18.0
21.3
43.0
2.5
157
57
114
2.0
6.0
-0.1
FY20E
23.5
25.1
131.1
4.0
20.6
15.4
14.4
2.8
0.9
9.3
1.1
7.7
19.3
19.5
22.7
37.6
2.7
148
60
115
1.9
9.7
-0.1
(INR Million)
FY20E
13,842
618
260
-4,568
-6,000
4,152
0
4,152
-1,120
3,032
0
1,198
78
0
-1,000
-1,459
-1,906
0
-4,365
-135
9,847
9,712
FY15
5,395
230
1,986
-1,289
-2,931
3,391
-64
3,327
-289
3,039
1,853
295
1,859
0
-3,228
-2,105
-314
0
-5,648
-461
3,301
2,840
FY16
5,344
227
1,978
-1,395
-5,867
286
-126
160
-34
126
71
216
252
0
2,885
-2,032
-690
0
163
576
2,840
3,416
FY17
5,542
225
2,132
-1,826
2,066
8,138
-574
7,565
-191
7,373
-1
275
83
0
4,341
-2,766
-722
0
853
8,501
3,416
11,917
FY18E
8,479
289
1,389
-2,544
-5,341
2,273
0
2,273
-1,100
1,173
0
1,036
-64
0
-1,000
-2,425
-953
0
-4,378
-2,169
11,917
9,747
FY19E
10,834
429
827
-3,575
-3,039
5,476
0
5,476
-1,120
4,356
0
1,115
-5
0
-2,000
-1,942
-1,430
0
-5,372
99
9,747
9,847
22 November 2017
36

PC Jeweller
NOTES
22 November 2017
37

REPORT GALLERY
RECENT INITIATING COVERAGE REPORTS
Rs

Disclosures:
The following Disclosures are being made in compliance with the SEBI Research Analyst Regulations 2014 (herein after referred to as the Regulations).
Motilal Oswal Securities Ltd. (MOSL) is a SEBI Registered Research Analyst having registration no. INH000000412. MOSL, the Research Entity (RE) as defined in the Regulations, is engaged in the business of providing Stock
broking services, Investment Advisory Services, Depository participant services & distribution of various financial products. MOSL is a subsidiary company of Motilal Oswal Financial Service Ltd. (MOFSL). MOFSL is a listed
public company, the details in respect of which are available on
www.motilaloswal.com.
MOSL is registered with the Securities & Exchange Board of India (SEBI) and is a registered Trading Member with National Stock
Exchange of India Ltd. (NSE) and Bombay Stock Exchange Limited (BSE), Metropolitan Stock Exchange Of India Ltd. (MSE) for its stock broking activities & is Depository participant with Central Depository Services Limited
(CDSL) & National Securities Depository Limited (NSDL) and is member of Association of Mutual Funds of India (AMFI) for distribution of financial products. Details of associate entities of Motilal Oswal Securities Limited are
available on the website at
http://onlinereports.motilaloswal.com/Dormant/documents/Associate%20Details.pdf
Pending Regulatory Enquiries against Motilal Oswal Securities Limited by SEBI:
SEBI pursuant to a complaint from client Shri C.R. Mohanraj alleging unauthorized trading, issued a letter dated 29th April 2014 to MOSL notifying appointment of an Adjudicating Officer as per SEBI regulations to hold
inquiry and adjudge violation of SEBI Regulations; MOSL requested SEBI to provide all documents, records, investigation report relied upon by SEBI which were referred in Show Cause Notice and also sought personal
hearing. The matter is currently pending.
MOSL, it’s associates, Research Analyst or their relative may have any financial interest in the subject company. MOSL and/or its associates and/or Research Analyst may have beneficial ownership of 1% or more securities in
the subject company at the end of the month immediately preceding the date of publication of the Research Report.
MOSL and its associate company(ies), their directors and Research Analyst and their relatives may; (a)
from time to time, have a long or short position in, act as principal in, and buy or sell the securities or derivatives thereof of companies mentioned herein. (b) be engaged in any other transaction involving such securities and
earn brokerage or other compensation or act as a market maker in the financial instruments of the company(ies) discussed herein or act as an advisor or lender/borrower to such company(ies) or may have any other
potential conflict of interests with respect to any recommendation and other related information and opinions.; however the same shall have no bearing whatsoever on the specific recommendations made by the analyst(s),
as the recommendations made by the analyst(s) are completely independent of the views of the associates of MOSL even though there might exist an inherent conflict of interest in some of the stocks mentioned in the
research report.
Research Analyst may have served as director/officer, etc. in the subject company in the last 12 month period. MOSL and/or its associates may have received any compensation from the subject company in
the past 12 months.
In the last 12 months period ending on the last day of the month immediately preceding the date of publication of this research report, MOSL or any of its associates may have:
a)
managed or co-managed public offering of securities from subject company of this research report,
b)
received compensation for investment banking or merchant banking or brokerage services from subject company of this research report,
c)
received compensation for products or services other than investment banking or merchant banking or brokerage services from the subject company of this research report.
d)
Subject Company may have been a client of MOSL or its associates during twelve months preceding the date of distribution of the research report.
MOSL and it’s associates have not received any compensation or other benefits from the subject company or third party in connection with the research report. To enhance transparency, MOSL has incorporated a Disclosure
of Interest Statement in this document. This should, however, not be treated as endorsement of the views expressed in the report. MOSL and / or its affiliates do and seek to do business including investment banking with
companies covered in its research reports. As a result, the recipients of this report should be aware that MOSL may have a potential conflict of interest that may affect the objectivity of this report. Compensation of Research
Analysts is not based on any specific merchant banking, investment banking or brokerage service transactions.
Terms & Conditions:
This report has been prepared by MOSL and is meant for sole use by the recipient and not for circulation. The report and information contained herein is strictly confidential and may not be altered in any way, transmitted to,
copied or distributed, in part or in whole, to any other person or to the media or reproduced in any form, without prior written consent of MOSL. The report is based on the facts, figures and information that are considered
true, correct, reliable and accurate. The intent of this report is not recommendatory in nature. The information is obtained from publicly available media or other sources believed to be reliable. Such information has not
been independently verified and no guaranty, representation of warranty, express or implied, is made as to its accuracy, completeness or correctness. All such information and opinions are subject to change without notice.
The report is prepared solely for informational purpose and does not constitute an offer document or solicitation of offer to buy or sell or subscribe for securities or other financial instruments for the clients. Though
disseminated to all the customers simultaneously, not all customers may receive this report at the same time. MOSL will not treat recipients as customers by virtue of their receiving this report.
Analyst Certification
The views expressed in this research report accurately reflect the personal views of the analyst(s) about the subject securities or issues, and no part of the compensation of the research analyst(s) was, is, or will be directly or
indirectly related to the specific recommendations and views expressed by research analyst(s) in this report.
PC Jeweller
Disclosure of Interest Statement
Analyst ownership of the stock
PC Jeweller
No
A graph of daily closing prices of securities is available at
www.nseindia.com, www.bseindia.com.
Research Analyst views on Subject Company may vary based on Fundamental research and Technical Research. Proprietary
trading desk of MOSL or its associates maintains arm’s length distance with Research Team as all the activities are segregated from MOSL research activity and therefore it can have an independent view with regards to
subject company for which Research Team have expressed their views.
Regional Disclosures (outside India)
This report is not directed or intended for distribution to or use by any person or entity resident in a state, country or any jurisdiction, where such distribution, publication, availability or use would be contrary to law,
regulation or which would subject MOSL & its group companies to registration or licensing requirements within such jurisdictions.
For Hong Kong:
This report is distributed in Hong Kong by Motilal Oswal capital Markets (Hong Kong) Private Limited, a licensed corporation (CE AYY-301) licensed and regulated by the Hong Kong Securities and Futures Commission (SFC)
pursuant to the Securities and Futures Ordinance (Chapter 571 of the Laws of Hong Kong) “SFO”. As per SEBI (Research Analyst Regulations) 2014 Motilal Oswal Securities (SEBI Reg No. INH000000412) has an agreement with
Motilal Oswal capital Markets (Hong Kong) Private Limited for distribution of research report in Hong Kong. This report is intended for distribution only to “Professional Investors” as defined in Part I of Schedule 1 to SFO. Any
investment or investment activity to which this document relates is only available to professional investor and will be engaged only with professional investors.” Nothing here is an offer or solicitation of these securities,
products and services in any jurisdiction where their offer or sale is not qualified or exempt from registration. The Indian Analyst(s) who compile this report is/are not located in Hong Kong & are not conducting Research
Analysis in Hong Kong.
For U.S.
Motilal Oswal Securities Limited (MOSL) is not a registered broker - dealer under the U.S. Securities Exchange Act of 1934, as amended (the"1934 act") and under applicable state laws in the United States. In addition MOSL is
not a registered investment adviser under the U.S. Investment Advisers Act of 1940, as amended (the "Advisers Act" and together with the 1934 Act, the "Acts), and under applicable state laws in the United States.
Accordingly, in the absence of specific exemption under the Acts, any brokerage and investment services provided by MOSL, including the products and services described herein are not available to or intended for U.S.
persons. This report is intended for distribution only to "Major Institutional Investors" as defined by Rule 15a-6(b)(4) of the Exchange Act and interpretations thereof by SEC (henceforth referred to as "major institutional
investors"). This document must not be acted on or relied on by persons who are not major institutional investors. Any investment or investment activity to which this document relates is only available to major institutional
investors and will be engaged in only with major institutional investors. In reliance on the exemption from registration provided by Rule 15a-6 of the U.S. Securities Exchange Act of 1934, as amended (the "Exchange Act") and
interpretations thereof by the U.S. Securities and Exchange Commission ("SEC") in order to conduct business with Institutional Investors based in the U.S., MOSL has entered into a chaperoning agreement with a U.S.
registered broker-dealer, Motilal Oswal Securities International Private Limited. ("MOSIPL"). Any business interaction pursuant to this report will have to be executed within the provisions of this chaperoning agreement.
The Research Analysts contributing to the report may not be registered /qualified as research analyst with FINRA. Such research analyst may not be associated persons of the U.S. registered broker-dealer, MOSIPL, and
therefore, may not be subject to NASD rule 2711 and NYSE Rule 472 restrictions on communication with a subject company, public appearances and trading securities held by a research analyst account.
For Singapore
Motilal Oswal Capital Markets Singapore Pte Limited is acting as an exempt financial advisor under section 23(1)(f) of the Financial Advisers Act(FAA) read with regulation 17(1)(d) of the Financial Advisors Regulations and is a
subsidiary of Motilal Oswal Securities Limited in India. This research is distributed in Singapore by Motilal Oswal Capital Markets Singapore Pte Limited and it is only directed in Singapore to accredited investors, as defined in
the Financial Advisers Regulations and the Securities and Futures Act (Chapter 289), as amended from time to time. In respect of any matter arising from or in connection with the research you could contact the following
representatives of Motilal Oswal Capital Markets Singapore Pte Limited:
Disclaimer:
The report and information contained herein is strictly confidential and meant solely for the selected recipient and may not be altered in any way, transmitted to, copied or distributed, in part or in whole, to any other person
or to the media or reproduced in any form, without prior written consent. This report and information herein is solely for informational purpose and may not be used or considered as an offer document or solicitation of
offer to buy or sell or subscribe for securities or other financial instruments. Nothing in this report constitutes investment, legal, accounting and tax advice or a representation that any investment or strategy is suitable or
appropriate to your specific circumstances. The securities discussed and opinions expressed in this report may not be suitable for all investors, who must make their own investment decisions, based on their own investment
objectives, financial positions and needs of specific recipient. This may not be taken in substitution for the exercise of independent judgment by any recipient. Each recipient of this document should make such investigations
as it deems necessary to arrive at an independent evaluation of an investment in the securities of companies referred to in this document (including the merits and risks involved), and should consult its own advisors to
determine the merits and risks of such an investment. The investment discussed or views expressed may not be suitable for all investors. Certain transactions -including those involving futures, options, another derivative
products as well as non-investment grade securities - involve substantial risk and are not suitable for all investors. No representation or warranty, express or implied, is made as to the accuracy, completeness or fairness of
the information and opinions contained in this document. The Disclosures of Interest Statement incorporated in this document is provided solely to enhance the transparency and should not be treated as endorsement of the
views expressed in the report. This information is subject to change without any prior notice. The Company reserves the right to make modifications and alternations to this statement as may be required from time to time
without any prior approval. MOSL, its associates, their directors and the employees may from time to time, effect or have effected an own account transaction in, or deal as principal or agent in or for the securities
mentioned in this document. They may perform or seek to perform investment banking or other services for, or solicit investment banking or other business from, any company referred to in this report. Each of these entities
functions as a separate, distinct and independent of each other. The recipient should take this into account before interpreting the document. This report has been prepared on the basis of information that is already
available in publicly accessible media or developed through analysis of MOSL. The views expressed are those of the analyst, and the Company may or may not subscribe to all the views expressed therein. This document is
being supplied to you solely for your information and may not be reproduced, redistributed or passed on, directly or indirectly, to any other person or published, copied, in whole or in part, for any purpose. This report is not
directed or intended for distribution to, or use by, any person or entity who is a citizen or resident of or located in any locality, state, country or other jurisdiction, where such distribution, publication, availability or use would
be contrary to law, regulation or which would subject MOSL to any registration or licensing requirement within such jurisdiction. The securities described herein may or may not be eligible for sale in all jurisdictions or to
certain category of investors. Persons in whose possession this document may come are required to inform themselves of and to observe such restriction. Neither the Firm, not its directors, employees, agents or
representatives shall be liable for any damages whether direct or indirect, incidental, special or consequential including lost revenue or lost profits that may arise from or in connection with the use of the information.
The
person accessing this information specifically agrees to exempt MOSL or any of its affiliates or employees from, any and all responsibility/liability arising from such misuse and agrees not to hold MOSL or any of its affiliates or
employees responsible for any such misuse and further agrees to hold MOSL or any of its affiliates or employees free and harmless from all losses, costs, damages, expenses that may be suffered by the person accessing this
information due to any errors and delays.
Registered Office Address: Motilal Oswal Tower, Rahimtullah Sayani Road, Opposite Parel ST Depot, Prabhadevi, Mumbai-400025; Tel No.: 022-3980 4263; www.motilaloswal.com. Correspondence Address: Palm Spring
Centre, 2nd Floor, Palm Court Complex, New Link Road, Malad (West), Mumbai- 400 064. Tel No: 022 3080 1000. Compliance Officer: Neeraj Agarwal, Email Id:
na@motilaloswal.com,
Contact No.:022-30801085.
Registration details of group entities.: MOSL: SEBI Registration: INZ000158836; CDSL: IN-DP-16-2015; NSDL: IN-DP-NSDL-152-2000; Research Analyst: INH000000412. AMFI: ARN 17397. Investment Adviser: INA000007100.
Motilal Oswal Asset Management Company Ltd. (MOAMC): PMS (Registration No.: INP000000670) offers PMS and Mutual Funds products. Motilal Oswal Wealth Management Ltd. (MOWML): PMS (Registration No.:
INP000004409) offers wealth management solutions. *Motilal Oswal Securities Ltd. is a distributor of Mutual Funds, PMS, Fixed Deposit, Bond, NCDs, Insurance and IPO products. * Motilal Oswal Commodities Broker Pvt. Ltd.
offers Commodities Products. * Motilal Oswal Real Estate Investment Advisors II Pvt. Ltd. offers Real Estate products. * Motilal Oswal Private Equity Investment Advisors Pvt. Ltd. offers Private Equity products
22 November 2017
39