Thematic Study | December 2017
22ND ANNUAL WEALTH CREATION STUDY
(2012-2017)
CAP & GAP
Power of longevity in Wealth Creation
HIGHLIGHTS
Longevated profit growth companies are few. Understanding of Competitive
Advantage Period (CAP) and Growth Advantage Period (GAP) improves the chances
of finding them.
Moat without growth will underperform; growth without moat will end soon.
Longevity and speed of growth are inversely correlated.
Three characteristics of CAP-cum-GAP companies are –
Clear
strategy,
High
growth mindset, and
High-growth
industry situations.
"The strategy is to find a good business – and one that I can understand why it's good – with
a durable competitive advantage, run by able and honest people, and available at a price
that makes sense. Because we are not going to sell the business, we don't need something
with earnings that go up the next month or the next quarter; we need something that will
earn more money 10 and 20 and 30 years from now."
– Warren Buffett, in Forbes Magazine's 100th Anniversary Issue
TOP 10 WEALTH CREATORS (2012-2017)
THE BIGGEST
Wealth
Rank Company
Created
(INR b)
1
TCS
2,499
2
HDFC Bank
2,315
3
Reliance Industries
1,888
4
ITC
1,594
5
Maruti Suzuki
1,413
6
HDFC
1,350
7
IOCL
1,219
8
Hindustan Unilever
1,081
9
Kotak Mahindra Bank 1,050
10
HCL Technologies
884
THE FASTEST
Company
Ajanta Pharma
KRBL
Bajaj Finance
Dalmia Bharat
Symphony
Alembic Pharma
Eicher Motors
Natco Pharma
Vakrangee
Aurobindo Pharma
5-Year
Price
CAGR (%)
96
88
71
69
68
67
67
64
64
63
THE MOST CONSISTENT
Appeared
Company
in WC
Study (x)
Asian Paints
10
Titan Company
10
HDFC Bank
10
Kotak Mahindra Bank
10
Bosch
10
Sun Pharma
10
Dabur India
10
ITC
10
Cummins India
10
Axis Bank
10
10-Year
Price
CAGR (%)
30
27
22
22
21
21
19
19
17
17
Raamdeo Agrawal
(Raamdeo@MotilalOswal.com) /
Shrinath Mithanthaya
(ShrinathM@MotilalOswal.com)
We thank Mr Dhruv Mehta (Dhruv.Mehta@dhruvmehta.in), Investment Consultant, for his invaluable contribution to this report.
2
Investors are advised to refer through important disclosures made at the end of the Research Report.

22nd Annual Wealth Creation Study (2012-2017)
Motilal Oswal 22nd Annual Wealth Creation Study
Page
Wealth Creation Study:
Objective, Concept & Methodology
....................... 1
Wealth Creation 2012-17:
Findings Summary
............................................ 2-3
Theme 2018:
CAP & GAP – Power of longevity in Wealth Creation
....... 4-37
Wealth Creation 2012-17:
Detailed Findings
......................................... 38-51
Appendix 1:
MOSL 100 – Biggest Wealth Creators
................................ 52-53
Appendix 2:
MOSL 100 – Fastest Wealth Creators
................................ 54-55
Appendix 3:
MOSL 100 – Wealth Creators (alphabetical)
.......................... 56
Abbreviations and Terms used in this report
Description
Reference to years for India are financial year ending March, unless otherwise stated
Average
Compound Annual Growth Rate
Loss to Profit / Profit to Loss. In such cases, calculation of PAT CAGR is not possible
Indian Rupees in billion
In the case of aggregates, Price CAGR refers to Market Cap CAGR
Wealth Created
Increase in Market Capitalization over the last 5 years, duly adjusted for corporate
Wealth Created
events such as fresh equity issuance, mergers, demergers, share buybacks, etc.
Note:
Capitaline database has been used for this study. Source of all exhibits is MOSL analysis, unless otherwise stated
Abbreviation / Term
2007, 2012, 2017, etc
Avg
CAGR
L to P / P to L
INR b
Price CAGR
WC

22nd Annual Wealth Creation Study (2012-2017)
Wealth Creation Study
Objective, Concept & Methodology
Objective
The foundation of Wealth Creation is to buy businesses at a price substantially lower than their
"intrinsic value" or "expected value". The lower the market value compared to the intrinsic value,
the higher is the margin of safety. Every year, as in the past 22 years, we endeavor to cull out the
characteristics of businesses that create value for their shareholders.
As Phil Fisher says, "It
seems logical that even before thinking of buying any common stock, the
first step is to see how money has been most successfully made in the past."
Our Wealth Creation
studies are attempts to study the past as a guide to the future, and gain insights into the various
dynamics of stock market investing.
Concept & Methodology
Wealth Creation is the process by which a company enhances the market value of the capital
entrusted to it by its shareholders. It is a basic measure of success for any commercial venture.
For listed companies, we define Wealth Created as the difference in market capitalization over a
period of last five years, after adjusting for equity dilution.
We rank the top 100 companies in descending order of absolute Wealth Created,
subject to the
company's stock price at least outperforming the benchmark index (BSE Sensex in our case).
These top 100 Wealth Creators are also ranked according to speed (i.e. price CAGR during the
period under study).
Report structure
We present the 2012-2017 Wealth Creation study highlights in pages 2-3. The detailed findings
are presented in pages 38-51. Appendix 1 (pages 52-53) ranks the top 100 Wealth Creators by
size, and Appendix 2 (pages 54-55) ranks the same 100 Wealth Creators by speed.
This year’s theme study titled “CAP
& GAP – Power of longevity in Wealth Creation”
is featured
in pages 4-37.
8 December 2017
1

22nd Annual Wealth Creation Study (2012-2017)
Wealth Creation 2012-2017
Highlights
TCS is the Biggest Wealth Creator for the fifth time in a row
TCS
has emerged as the biggest Wealth Creator for the period 2012-17, retaining the top spot
it held in the previous four study periods (2011-16, 2010-15, 2009-14 and 2008-13).
Reliance Industries
has muscled its way to No.3 after not featuring in the Wealth Creators
list in the previous study.
Exhibit 1
Top 10 Biggest Wealth Creators (2012-17)
Rank Company
1 TCS
2 HDFC Bank
3 Reliance Inds
4 ITC
5 Maruti Suzuki
6 HDFC
7 Indian Oil
8 Hind. Unilever
9 Kotak Mahindra
10 HCL Tech
Total of Top 10
Total of Top 100
Wealth Created
INR b % share
2,499
6.4
2,315
5.9
1,888
4.8
1,594
4.1
1,413
3.6
1,350
3.5
1,219
3.1
1,081
2.8
1,050
2.7
884
2.3
15,292 39.3
38,927
100
CAGR (%)
Price
PAT
16
20
23
24
12
10
13
11
35
32
17
15
24
13
17
11
26
22
29
29
19
16
22
15
P/E (x)
2017 2012
19
22
24
23
14
13
33
29
31
26
22
18
9
6
45
34
33
22
15
14
20
18
22
16
RoE (%)
2017 2012
30
35
17
17
11
11
22
32
16
10
18
23
20
18
64
71
13
14
26
25
18
17
17
18
Ajanta Pharma is the Fastest Wealth Creator for the third time in a row
Ajanta Pharma
has emerged as the Fastest Wealth Creator for the third time in a row, with
2012-17 stock price multiplier of 29x (96% CAGR).
Eicher Motors
is among the top 10 Fastest Wealth Creators for the last 6 studies, and
Bajaj
Finance
in the last 4.
5 of the 10 stocks were trading at single-digit P/E in 2012.
Exhibit 2
Top 10 Fastest Wealth Creators (2012-17)
Rank Company
1
2
3
4
5
6
7
8
9
10
Ajanta Pharma
KRBL
Bajaj Finance
Dalmia Bharat
Symphony
Alembic Pharma
Eicher Motors
Natco Pharma
Vakrangee
Aurobindo Pharma
Price Appn.
(x)
29
23
15
14
13
13
13
12
12
11
CAGR (%)
Price
PAT
96
45
88
34
71
35
69
13
68
23
67
25
67
42
64
52
64
50
63
65
Mkt Cap (INR b)
2017
2012
155
5
97
4
646
34
175
12
107
8
118
9
695
54
148
11
174
14
396
35
P/E (x)
2017
2012
31
7
24
5
35
8
62
8
70
15
29
7
42
19
30
19
34
20
17
19
Asian Paints is the Most Consistent Wealth Creator again
Asian Paints
is the Most Consistent Wealth Creator for the second time in succession by –
1. Appearing among top 100 Wealth Creators in each of the last 10 studies; and
2. Recording the highest Price CAGR of 30% over the 10-year period 2007 to 2017.
8 of the top 10 Most Consistent Wealth Creators are consumer-facing companies
8 December 2017
2

22nd Annual Wealth Creation Study (2012-2017)
Exhibit 3
Top 10 Most Consistent Wealth Creators (2012-17)
Rank
1
2
3
4
5
6
7
8
9
10
Company
Asian Paints
Titan Company
HDFC Bank
Kotak Mahindra
Bosch
Sun Pharma
Dabur India
ITC
Cummins India
Axis Bank
Appeared in 10-yr Price 10-yr PAT
WC Study (x) CAGR (%) CAGR (%)
10
30
21
10
27
22
10
22
30
10
22
25
10
21
11
10
21
26
10
19
16
10
19
14
10
17
11
10
17
20
P/E (x)
2017 2007
53
26
52
35
24
27
33
30
54
25
24
29
40
30
33
21
36
20
30
21
RoE (%)
2017 2007
25
37
19
32
17
18
13
16
15
22
19
26
25
57
22
26
19
26
7
19
Banking & Finance is the biggest Wealth Creating sector
Banking & Finance
has emerged as India’s biggest Wealth Creating sector over 2012-17
dethroning Consumer/Retail.
Sector
(No of companies)
Banking & Fin. (22)
Cons. & Retail (21)
Auto (13)
Oil & Gas (5)
Technology (4)
Healthcare (13)
Cement (5)
Capital Goods (5)
Metals / Mining (2)
Telecom & Media (3)
Utilities (1)
Others (6)
Total
WC Share of WC % CAGR 12-17 (%)
(INR b)
2017
2012
Price
PAT
9,346
24
23
27
16
6,913
18
21
21
13
4,898
13
10
26
3
4,397
11
6
17
17
3,757
10
11
20
22
3,301
8
7
27
23
1,686
4
3
25
6
1,355
3
4
17
7
942
2
13
18
11
734
2
-
27
42
479
1
1
16
17
1,119
3
1
27
20
38,927
100
100
22
15
P/E (x)
2017
2012
23
14
41
30
28
10
11
11
18
19
26
22
33
14
28
18
16
12
39
67
14
15
22
17
22
16
RoE (%)
2017
2012
15
19
26
31
15
27
16
12
27
32
17
14
11
15
13
16
19
14
21
6
15
14
20
19
17
18
Exhibit 4
Banking & Finance is the top Wealth Creating sector
Cyclical downturn drives Wealth Destruction
The total Wealth Destroyed during 2012-17 is INR 6 trillion, and is led by
cyclical downturn.
Exhibit 6
Top Wealth Destroying Sectors
Price
CAGR (%)
Exhibit 5
Top Wealth Destroying companies
Company
Wealth Destroyed
INR b
% Share
Sector
Metals/Mining
Trading
Banking & Finance
Constn./Real Estate
Utilities
Capital Goods
Telecom
Textiles
Technology
Others
Total
MMTC
Jindal Steel
Coal India
BHEL
NMDC
Reliance Power
Hindustan Copper
JP Associates
Adani Enterprises
Reliance Comm.
Total of Above
Total Wealth Destroyed
722
393
349
230
219
193
186
160
143
139
2,734
6,006
12
7
6
4
4
3
3
3
2
2
46
100
-40
-26
-3
-9
-4
-16
-24
-30
-19
-15
Wealth
Destroyed
(INR b)
1,535
923
890
517
474
460
247
169
110
681
6,006
%
Share
26
15
15
9
8
8
4
3
2
11
100
For detailed findings, please see pages 38-51.
8 December 2017
3

22nd Annual Wealth Creation Study (2012-2017)
Theme 2018
8 December 2017
4

22nd Annual Wealth Creation Study (2012-2017)
CAP & GAP
Power of longevity in Wealth Creation
If you don’t have competitive edge, do not compete.
— Jack Welch
If you don’t have growth advantage, do not invest.
— Raamdeo Agrawal
1. Preamble
Why study Longevity
Longevity is defined simply as “duration of anything”. For the purposes of this study, Longevity
refers to the sustenance of a company’s competitive advantage and earnings growth.
Why study Longevity? It is well known that equities as an asset class has the power to deliver very
high returns for a very long period of time (Exhibit 1).
Exhibit 1
Long-term investment returns of select companies
Stock
Infosys
Emami
Eicher Motors
Shree Cement
Sun Pharma
HDFC Bank
HDFC
Asian Paints
Britannia Inds
Period of investment
From
To
Jun 1993 Oct 2017
Oct 1995 Oct 2017
Jan 1990 Oct 2017
Jan 1990 Oct 2017
Dec 1994 Oct 2017
May 1995 Oct 2017
Jan 1990 Oct 2017
Jan 1988 Oct 2017
Jan 1988 Oct 2017
Amount
Invested
10,000
10,000
10,000
10,000
10,000
10,000
10,000
10,000
10,000
Final
Amount
29,730,645
5,228,958
20,179,688
19,127,722
2,610,377
2,246,957
4,878,143
5,903,500
5,683,802
Number
of years
24.0
22.0
27.5
27.5
23.0
22.5
28.0
30.0
30.0
Price
Multiple
CAGR
2,973
39%
523
33%
2,018
32%
1,913
32%
261
27%
225
27%
488
25%
590
24%
568
24%
However, such longevated high-return opportunities are few. For instance, of the 613 companies
listed for 20 years from 1997 to 2017, only 87 companies had Price CAGR > 25%. Likewise, only
89 companies managed Profit CAGR > 25% (Exhibit 2).
Exhibit 2
1997-2017: Distribution of Profit CAGR and Price CAGR
Price CAGR
<= 0%
0-15%
15-25%
25-35%
> 35%
No. of cos. % of total
41
7%
292
48%
193
31%
70
11%
17
3%
613
100%
Profit CAGR
<= 0%
0-15%
15-25%
25-35%
> 35%
No. of cos. % of total
167
27%
243
40%
114
19%
32
5%
57
9%
613
100%
Hence, to earn high long-term returns in equities, two key questions need to be answered
regarding the companies invested in –
Whether – and how long – will the company survive? and
How long will it profitably grow?
8 December 2017
5

22nd Annual Wealth Creation Study (2012-2017)
Every company has a lifecycle (Exhibit 3). Along this lifecycle, ascertaining a company’s high
profit-growth phase and its longevity is very important. This is because growth in the company’s
profits is the most important variable for increasing its value. Stock prices are primarily a
reflection of underlying value. So, if we seek multifold increase in stock prices, it is obvious that
we need to invest in companies during their phase of multifold increase in profits.
Exhibit 3
Typical company lifecycle
Seeking multifold increase in profits is easier said than done. This is because there is no science
for accurately predicting profit growth which is complex and multivariate. As a result, stock
markets are unable to appropriately value long-term profitable growth. Looking back 10 years, in
many stocks, markets could have afforded to pay significantly higher prices and multiples than
they actually did (Exhibit 4).
Exhibit 4
Hindsight stock price and P/E of select stocks
EPS CAGR Stock price Stock price in Actual price
Price
Hindsight
2007
in
Mar-2007 for
in
Difference
P/E
to
Mar-2017 return CAGR Mar-2007
(x)
2017
of 15% *
Asian Paints
22%
1,074
265
76
248%
97
HDFC Bank
24%
1,443
357
191
87%
52
Maruti Suzuki
16%
6,016
1,487
820
81%
27
Sun Pharma
22%
688
170
106
61%
43
* Return CAGR is taken at 15% as this is the long-period return on the benchmark indices.
(INR)
Actual
P/E
(x)
28
28
15
27
Given the mystique surrounding growth, any insight into estimating the length of growth, the
height of growth and limits of growth is useful. Further, growth is of value only so long as it
generates (or leads to) return on capital higher than cost of capital. This is possible only if the
company enjoys a distinct competitive advantage over its rivals. Hence, in studying longevity of
a company’s earnings growth, one also needs to study durability of its competitive advantage.
This study attempts to –
1. Measure longevity of both, competitive advantage and earnings growth; and
2. Combine the learnings to identify characteristics of companies with long-term profit growth.
8 December 2017
6

22nd Annual Wealth Creation Study (2012-2017)
2. Two dimensions of Longevity
Moat & Growth
There are two dimensions of a company’s Longevity –
1. Longevity of competitive advantage (popularized by Warren Buffett as “Economic Moat” or
simply “Moat”); and
2. Longevity of a company’s earnings growth.
A moat protects a company’s profits and profitability from being attacked by competitors for an
extended period. Companies with strong moats enjoy a high quality of business – healthy RoEs
and cash flows relative to peers. Even as moats are extremely important (“to finish first, you have
to first finish!”), in equity investing, returns are highly correlated to earnings growth.
Exhibit 5 captures the inter-relationship between Moat and Growth. Companies with a strong
moat but no growth are “Quality
Traps”
– their stocks are to likely underperform benchmark
indices. On the other hand, companies with mere growth but without strong moat are “Growth
Traps”
– their stocks may at best be transitory multi-baggers. Unless sold at the right price levels,
these stocks may slip all the way back to where they started off from, or even lower.
Exhibit 5
The Moat-Growth Matrix
High
GROWTH TRAPS
Transitory
Multi-baggers
TRUE WEALTH CREATORS
Enduring
Multi-baggers
GROWTH
Low
WEALTH DESTROYERS
Permanent capital loss
QUALITY TRAPS
Underperformers
Weak
Strong
MOAT
Having conceptually established that both longevated moat/competitive advantage and
longevated earnings growth are important, it would be very useful to attempt to objectively
measure them as well. Longevity of Moat can be measured as
CAP (Competitive Advantage
Period),
and longevity of earnings growth can be measured as
GAP (Growth Advantage Period).
8 December 2017
7

22nd Annual Wealth Creation Study (2012-2017)
3. Measuring Longevity of Moat
CAP – Competitive Advantage Period
3.1 What is CAP?
Competitive Advantage Period (CAP) is the time during which a company generates returns on
investment that exceed its cost of capital. If a company earns above-average return on its
invested capital, it will attract competitors who will be willing to operate at lower returns,
eventually driving down overall industry returns to economic cost of capital, and sometimes even
below it. In effect, CAP is a measure of longevity of a company’s Moat.
Exhibit 6
Graphical representation of CAP
Rate of
Return
In the diagram, WACC
Competitive forces work to
bring down excess return
stands for Weighted
Average Cost of Capital,
calculated after considering
both debt and equity.
Excess
Return
For the purposes of this
study, we have used RoE as
the proxy for WACC.
WACC
Return = WACC
CAP
Further, we have
considered Cost of Equity
as 15%, which is the long-
period return on the
benchmark indices.
0
Time (in years)
Exhibits 7 and 8 present real-life examples of CAP. As the exhibits note, stock returns during the
CAP period tend to be meaningfully higher than the non-CAP period.
Exhibit 7
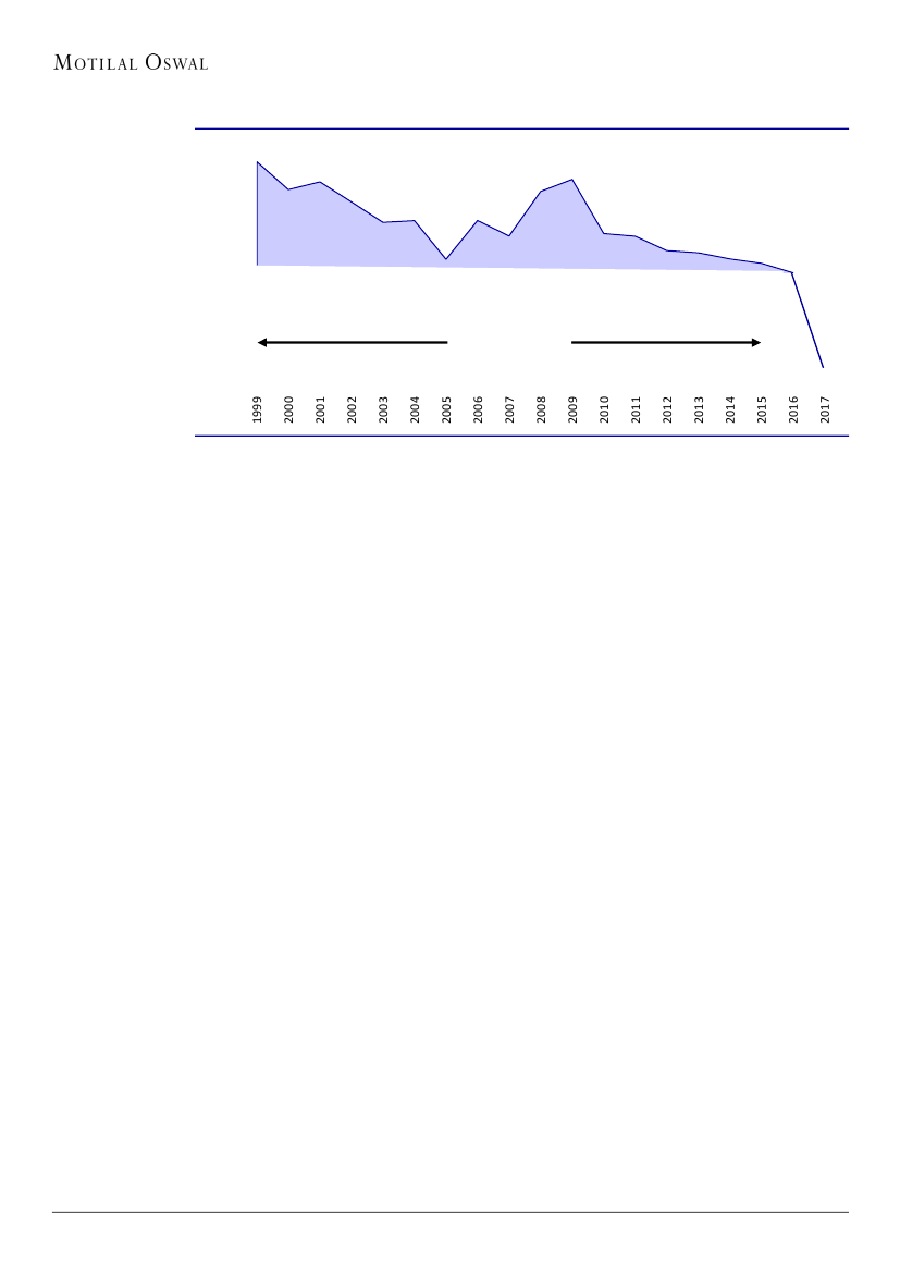
ACC enjoyed a CAP of 10 years from 2004 to 2013
50%
40%
30%
20%
10%
0%
-10%
ACC - RoE trend
Price CAGR -
1999-2003
: 3%
2004-2013 (CAP) : 26%
2014-2017
: –2%
Excess
returns
15% RoE threshold (Cost of equity)
10-year CAP
8 December 2017
8

22nd Annual Wealth Creation Study (2012-2017)
Exhibit 8
Cipla enjoyed a CAP of 15 years from 1999 to 2013
40%
Cipla - RoE trend
30%
Price CAGR -
1999-2013 (CAP) : 18%
2014-2017
: 12%
20%
Excess returns
15% RoE threshold (Cost of equity)
10%
15-year CAP
0%
3.2 Factors determining CAP
There are two major factors which determine CAP – (1) Attractiveness of industry structure and
(2) Effectiveness of a company’s own strategy.
3.2.1 Industry structure
The Five Forces framework of Michael Porter is ideal to assess the attractiveness of industry
structure. Exhibit 9 presents the diagrammatic representation of the Five Forces.
Exhibit 9
Porter’s Five Forces framework
NOTE:
In their book
Playing to
Win,
authors A G Lafley and
Roger Martin highlight that –
(1) The interplay of forces along
the vertical axis decides how
much value will get created
in the industry; and
(2) The interplay of forces along
the horizontal axis decides
how the industry value will
get distributed among the
players, the customers and
the suppliers.
3.2.1.1 Porter’s Five Forces – Implications & Examples
FORCE #1 – Inter-firm rivalry
Implication:
This lies at the core of the industry structure analysis. Higher the rivalry among
incumbents, lower the industry attractiveness and vice-versa.
8 December 2017
9

22nd Annual Wealth Creation Study (2012-2017)
Examples:
The Indian Wireless Telecom sector is a huge growth opportunity and currently has
just 3 major players. Yet the rivalry between them is so intense that the players’
profits are on a declining trend (Exhibit 10).
In contrast, the Indian Mortgage sector also is a huge growth opportunity but with
a very large number of players. Yet, the benign rivalry between them ensures that
sector profit growth remains healthy (Exhibit 11).
Exhibit 11
Mortgage sector profits (INR b)
Exhibit 10
Bharti Airtel + Idea profits (INR b)
99
67
77
77
188
160
120
134
49
31
46
41
99
44
62
73
2010 2011 2012 2013 2014 2015 2016 2017
2010 2011 2012 2013 2014 2015 2016 2017
FORCE #2 – Threat of new entrants
Implication:
The threat of new entrants compels incumbents to operate at low profitability as
a strategy to ward them off.
Examples:
The Realty sector is constantly under threat of new entrants, hurting profits of
incumbents (Exhibit 12).
In contrast, distribution-intensive sectors like Paints are unlikely to see new
entrants, implying steady growth in sector profits (Exhibit 13).
Exhibit 12
Realty sector profits (INR b)
Exhibit 13
Paints sector profits (INR b)
30
27
59
88
63
45
21
39
34
41
12
13
15
16
18
20
23
6
2009 2010 2011 2012 2013 2014 2015 2016 2017
2009 2010 2011 2012 2013 2014 2015 2016 2017
FORCE #3 – Threat of substitute products or services
Implication:
Like the threat of new entrants, the threat of substitutes also compels incumbents
to operate at low profitability. However, this is relatively rare.
Examples:
Print media and TV sectors are being substituted by the internet. Likewise, within
two-wheelers, scooters are substituting motorcycles in India (Exhibit 14).
8 December 2017
10

22nd Annual Wealth Creation Study (2012-2017)
Exhibit 14
Scooters market share up from 12% in 2007 to 31% in 2017
India's 2-wheeler sales mix
100%
Motorcycles
Scooters
80%
60%
40%
20%
0%
2007
2008
2009
2010
2011
2012
2013
2014
2015
2016
2017
FORCE #4 – Bargaining power of customers
Implication:
Higher the bargaining power of customers, lower the sector attractiveness and vice
versa. If the customers are large and concentrated, their bargaining power tends
to be high, whereas fragmented customers tend to have lower bargaining power.
High brand pull and high switching costs also imply lower bargaining power of
customers.
Examples:
Auto ancillaries supply to large OEMs and have low profit margins (Exhibit 15).
In contrast, the Cars sector supplies branded products to a large number of retail
customers, and hence enjoys superior margins (Exhibit 16).
Exhibit 15
Auto ancillary sector PAT margin trend
Exhibit 16
Cars sector PAT margin trend
8.7%
5.8%
5.2%
4.0%
4.1%
4.1%
3.8%
3.9%
4.7%
8.1%
6.0%
3.8%
4.6%
6.5%
5.2%
8.0%
2010 2011 2012 2013 2014 2015 2016 2017
2010 2011 2012 2013 2014 2015 2016 2017
FORCE #5 – Bargaining power of suppliers
Implication:
Higher the bargaining power of suppliers, lower the sector attractiveness and vice
versa. If the suppliers are large and concentrated, their bargaining power tends to
be high, whereas fragmented suppliers tend to have lower bargaining power.
Examples:
The packaging sector buys its raw materials from large suppliers e.g. polymer and
aluminum manufacturers. Hence, sector profit margins are low (Exhibit 17).
In contrast, the Cigarettes sector buys tobacco from a large number of growers
who have low bargaining power. Hence profit margins are high (Exhibit 18).
8 December 2017
11

22nd Annual Wealth Creation Study (2012-2017)
Exhibit 17
Packaging sector PAT margin trend
12.0%
Exhibit 18
Cigarettes sector PAT margin trend
21.8%
4.2%
2.0%
0.6% 0.4%
23.2%
23.0%
22.7%
22.6%
22.2%
20.5%
2.8%
3.2%
20.8%
5.6%
2010 2011 2012 2013 2014 2015 2016 2017
2010 2011 2012 2013 2014 2015 2016 2017
3.2.2 Corporate Strategy
Corporate Strategy is the second determinant of CAP. Strategy is all about maintaining or
improving the company’s competitive advantage vis-à-vis rivals. Companies with a sound strategy
are likely to enjoy extended CAP and vice versa. According to Michael Porter, there are 3 broad
strategies – (1) Differentiation, (2) Low cost, and (3) Focus.
3.2.2.1 Differentiation
A differentiated strategy is all about offering customers a unique value proposition which is not
easy to replicate by competition. This leads to customer loyalty, ensuring sales and profits.
Example:
Most consumer-facing companies follow a strategy of differentiation. Be it
products like toothpaste, cola and biscuits, or even services like restaurants, banks
and airlines, companies aspire to offer a unique product/service/experience to
customers to retain their loyalty.
3.2.2.2 Low cost
In sectors where customers are unable to differentiate between products/services offered by the
various players, having the lowest cost compared to peers is the only way to sustain competitive
advantage.
Example:
Commodity products like steel, cement and paper are undifferentiated in the eyes
of the customer. Hence, companies in these sectors will need to aspire to be the
lowest cost producer in order to maintain or gain market share.
3.2.2.3 Focus
This is a special case of companies focused on just one segment of product, customers or
geography i.e. a niche.
Example:
Companies like Symphony, which is focused only on air-coolers or Jammu &
Kashmir Bank, which is focused only in the state of Jammu & Kashmir.
3.2.2.4 Stuck-in-the-middle
Porter uses “Stuck-in-the-middle” to describe companies which do not seem to have adopted any
of the above strategies.
Example:
Many state-owned companies fall into this category – they are neither
differentiated, nor have low cost nor focus.
8 December 2017
12

22nd Annual Wealth Creation Study (2012-2017)
3.3 The CAP Matrix
We have combined Industry Structure with Company Strategy to arrive at the CAP Matrix (Exhibit
19). Industry structure can be Favorable (F) or Unfavorable (U). Further, Company Strategy can
also be Favorable (F) or Unfavorable (U). This gives rise to 4 quadrants with associated CAPs –
F-F
– Longest CAP
U-F
– Long CAP
F-U
– Short CAP
U-U
– Shortest CAP.
The Indian experience of these 4 quadrants is covered in Section 4.
Exhibit 19
The CAP Matrix
Favorable
U-F
(Long CAP)
F-F
(Longest CAP)
Company
Strategy
Unfavorable
U-U
(Shortest CAP)
F-U
(Short cap)
Unfavorable
Favorable
Industry structure
3.4 Why CAP may end
CAP tends to be sticky, especially in secular, consumer-facing businesses. However, the factors
which could adversely affect CAP are: (1) Disruptive competition, (2) Business downcycles,
(3) Regulatory shocks, and (4) Capital misallocation.
3.4.1 Disruptive competition
The entry of Amazon was initially disruptive for America’s largest book chain Barnes & Noble
(Exhibit 20). Amazon is now affecting even well-established general retailers like Wal-Mart. Back
home, the entry of Reliance Jio offering free voice calls is disrupting the Indian wireless sector,
and is likely to hurt the potential CAP of incumbents.
8 December 2017
13

22nd Annual Wealth Creation Study (2012-2017)
Exhibit 20
Barnes & Noble’s PAT & RoE trend: Disrupted by Amazon
Barnes & Noble, US
200
150
PAT (US$ mn)
RoE (RHS)
20%
10%
0%
100
50
0
-50
-100
-150
-10%
-20%
-30%
-200
3.4.2 Business downcycles
Business downcycles tend to drag down CAP. For instance, Siemens RoE stayed well above 15%
from 2000 to 2012, after which it was hit by a business downcycle (Exhibit 21).
Exhibit 21
Siemens’ PAT & RoE trend: Hit by business downcycles
Siemens
10
8
6
4
PAT (INR bn)
RoE (RHS)
50%
40%
30%
20%
2
0
10%
0%
3.4.3 Regulatory shocks
Regulatory shocks can adversely affect CAP. Oil marketing companies like BPCL were adversely
affected during the price control regime (2008 to 2013), before prices were deregulated.
Exhibit 22
BPCL’s PAT & RoE trend: Adversely affected by pricing control during 2008-13
BPCL
100
PAT (INR bn)
RoE (RHS)
40%
35%
30%
25%
20%
15%
80
60
40
20
10%
5%
0
0%
8 December 2017
14

22nd Annual Wealth Creation Study (2012-2017)
3.4.4 Capital misallocation
All the above CAP-enders were external to the company. Capital misallocation is the only internal
factor that can end CAP. For instance, Tata Steel’s RoE was steadily rising from 2002 to 2006. In
late 2006, it acquired Corus in the UK for over US$ 8 billion. Since then, its PAT and RoE have
slipped significantly (Exhibit 23).
Exhibit 23
Tata Steel’s PAT & RoE trend: Hurt by mega US$ 8 billion acquisition of Corus
Tata Steel
100
50
PAT (INR bn)
RoE (RHS)
80%
60%
40%
0
20%
0%
-50
-20%
-100
-40%
4. CAP – The Indian context
Our research methodology and findings
4.1 Our shortlisting methodology
We applied the CAP concept to India Inc numbers. Our shortlisting methodology –
Starting database:
We started with 20-year data (1997-2017) for about 2,700 companies.
Shortlisting:
For a meaningful number of companies to study, we shortlisted 223 companies
which have achieved PAT of at least INR 5 billion over the 20-year period.
CAP definition:
We deem Cost of Equity in India to be about 15% i.e. the long-period return
of benchmark indices, Sensex and Nifty. Given this,
we defined CAP as the successive number
of years for which companies have clocked RoE higher than 15%.
CAP study list:
Of the 223, companies, 171 had a CAP of 5 years or higher. We further
shortlisted this to 116 companies which were listed before the start of their CAP.
4.2 CAP companies – Key findings
As noted earlier, the key determinants of CAP are Industry Structure and Corporate Strategy. So,
we analyzed our 116 CAP shortlisted companies on both these criteria.
First, we rated all industries based on Porter’s Five Forces to arrive at Industry Structure Score
(Exhibit 24). Industries with rating higher than 2.5 were rated Favorable (F) and those with
rating of 2.5 or lower were rated Unfavorable (U).
We classified all 116 companies into relevant industries and assigned the Industry Score.
We then assessed the strategy of each company – whether Differentiated, Low-cost or Stuck-
in-the-middle. Those companies with strategy were rated Favorable (F) and those without an
apparent strategy were rated Unfavorable (U).
With the above methodology, the CAP Matrix got populated as shown in Exhibit 25.
8 December 2017
15

22nd Annual Wealth Creation Study (2012-2017)
Exhibit 24
Industry Structure Score for major industries based on Porter’s Five Forces
SCORING
METHODOLOGY:
Each of the Five
Forces is rated 0 or
1 with a middle
score of 0.5.
As an illustration,
for an industry, if
Bargaining Power of
Customers is high,
that industry gets 0
for that Force.
Conversely, if
Bargaining Power of
Customers is low,
the industry gets 1.
If Bargaining Power
is balanced, the
industry gets 0.5.
Every Force is rated
this way, and the
sum total of all Five
Forces is the
Industry Structure
Score.
Sector
Agri & related
Alcoholic Beverages
Auto Ancillaries
Automobiles - 2-wheelers
Automobiles - Cars/UVs
Automobiles - LCVs/HCVs
Automobiles - Tractors
Aviation
Banks - Private Sector
Banks - Public Sector
Cables
Capital Goods
Cement
Ceramic Products
Chemicals
Cigarettes
Construction
Consumer - FMCG
Consumer Durables
Engineering
Fertilizers
Gas Distribution
Gems & Jewelry
Hospitals/Diagnostics
Hotels & Restaurants
IT - Software
Logistics
Media - Print/TV
Mining & Mineral products
NBFC
NBFC - Housing
NBFC - Insurance
Non Ferrous Metals
Oil & Gas - Downstream
Oil & Gas - Upstream
Packaging
Paints
Paper
Pharmaceuticals
Plastic Products
Ports & related
Power
Realty
Retail
Shipping
Steel
Sugar
Telecom
Textiles
Travel
Tyres
Bargaining Power of
Customers Suppliers
1
1
0.5
1
0
0
1
1
0.5
1
0.5
1
0.5
1
1
0
0.5
1
0.5
1
0
0
0
1
1
1
0.5
0.5
0
1
1
1
0
0.5
1
1
0.5
1
0
1
1
0
1
0
0.5
0.5
0.5
0.5
0
1
0
1
0
0.5
0
1
0.5
0.5
0.5
0.5
1
0.5
0.5
1
1
0.5
1
0.5
1
0
0
0
1
1
0
0.5
1
1
0.5
0
0.5
1
1
0.5
0
1
0
0.5
0
0.5
0.5
1
0
0
0.5
0.5
0
0
0
0.5
0
0
Threat of
Entrants Substitutes
0
0.5
1
1
1
1
0.5
1
0.5
1
0
1
1
1
0.5
1
0.5
1
0.5
1
0.5
0.5
0
1
0
1
0.5
1
0
1
1
1
0
1
1
1
0
1
0
1
1
1
1
0.5
0
1
0
1
0.5
1
1
0
0
1
0.5
0.5
0.5
1
0
1
0
1
0.5
1
0
0.5
1
0.5
0.5
1
0.5
0.5
1
1
1
1
0
0.5
0.5
1
1
1
0
0
0
1
0.5
0.5
0.5
0.5
0
0.5
0
1
1
1
0
1
0.5
1
0.5
1
Inter-firm
Rivalry
0
0.5
0.5
0.5
0
0
0
0
0
0
0
0
0
0
0
1
0
0.5
0
0
0
1
0
0.5
0
1
0
0
0.5
0
0
0
0.5
1
0.5
0
1
0
0.5
0
0.5
0
0
0.5
0
0
0
0
0
0
0.5
TOTAL
SCORE
2.5
4.0
2.5
4.0
3.0
2.5
3.5
2.5
3.0
3.0
1.0
2.0
3.0
2.5
2.0
5.0
1.5
4.5
2.5
2.0
3.0
3.5
2.0
2.5
2.5
3.0
1.5
2.0
3.0
2.0
2.5
3.0
2.5
4.0
3.0
1.0
5.0
2.5
3.0
2.0
4.0
1.5
2.0
2.0
1.5
2.0
1.0
3.0
1.0
2.0
2.0
16
8 December 2017

22nd Annual Wealth Creation Study (2012-2017)
Exhibit 25
The CAP Matrix in the Indian context
U-F
(Long CAP)
F-F
(Longest CAP)
38
No. of cos.
45
Favorable
No. of cos.
Median CAP
9
Median CAP
11
Company
Strategy
U-U
(Shortest CAP)
F-U
(Short cap)
No. of cos.
17
16
Unfavorable
No. of cos.
Median CAP
6
Median CAP
7
Unfavorable
Favorable
Industry structure
A granular reading of the CAP distribution is even more interesting (Exhibit 26) –
Beyond 8 years, most of the CAP companies are in the F-F or U-F quadrant i.e. with strong
corporate strategy.
Further, all the 16 companies with a full 20-year CAP are in the F-F quadrant i.e. Favorable
Industry Structure
and
Favorable Corporate Strategy.
Exhibit 26
Year-wise analysis of CAP companies
Quadrant
F-F
U-F
F-U
U-U
Total cos.
No. of
cos.
45
38
17
16
116
5
2
4
8
14
6
7
5
2
3
17
7
4
5
5
3
17
8
4
6
3
2
15
9
2
3
1
6
10
4
3
1
8
CAP in years
11
12
2
1
3
2
13
2
14
1
3
1
5
15
2
2
16
1
1
17
1
1
20
16
5
3
2
4
2
2
16
Exhibit 27 profiles the 16 companies with a full 20-year CAP. Taken as a 16-company portfolio,
it handsomely beat the benchmark over the 20-year period, both in terms of earnings as well as
returns.
8 December 2017
17

22nd Annual Wealth Creation Study (2012-2017)
Exhibit 27
Brief profile of 16 companies will full 20-year CAP
Company
Infosys
HDFC Bank
Sun Pharma
Wipro
Hero MotoCorp
Pidilite Inds
Britannia Inds
Marico
Asian Paints
ITC
Dabur India
Torrent Pharma
Nestle India
Hind. Unilever
Colgate-Palmolive
Castrol India
MEDIAN
Sensex
1997-2017 CAGR
PAT
Price
35%
32%
35%
29%
28%
33%
28%
31%
24%
26%
22%
29%
22%
26%
20%
26%
19%
25%
18%
19%
18%
24%
18%
29%
16%
18%
12%
13%
10%
10%
10%
10%
19%
26%
8%
11%
RoE
1997
39%
17%
33%
29%
43%
21%
18%
30%
26%
30%
24%
23%
22%
43%
32%
35%
29%
2017
22%
18%
23%
17%
37%
28%
37%
37%
28%
24%
28%
24%
32%
67%
50%
115%
28%
P/E (x)
1997
2017
21
16
23
24
8
24
9
15
12
18
13
42
25
46
16
50
19
53
25
33
16
40
5
30
38
61
28
45
47
47
27
28
20
37
Market Cap (INR b)
1997
2017
7
2,345
9
3,696
4
1,650
6
1,253
6
644
2
358
4
406
3
380
11
1,027
88
3,407
7
488
2
262
20
581
118
1,969
37
272
26
188
7
613
In a backtesting exercise, we did the CAP analysis of the top 200 market cap companies in 2007,
and examined the 2007-17 performance of stocks in the 4 groups (F-F, U-F, F-U and U-U).
As Exhibit 28 suggests –
The F-F group had the longest cap and U-U the shortest.
Further, the 2007-17 PAT CAGR and Price CAGR also stacked up perfectly.
In fact, the F-F portfolio of 54 stocks outperformed the Sensex both in terms of PAT CAGR
and Price CAGR.
Exhibit 28
CAP analysis of top 200 market cap stocks as on March 2007
Quadrant
F-F
U-F
F-U
U-U
No. of
cos.
54
59
23
64
200
%
27%
30%
12%
32%
100%
CAP
8
4
3
2
Sensex
2007-17 Median
PAT CAGR
Price CAGR
14%
16%
8%
8%
1%
4%
-4%
-1%
6%
9%
4.3 CAP companies – Key takeaways
Companies with a sharp strategy in a favorable industry structure are likely to enjoy a
longevated CAP (i.e. sustain RoEs higher than Cost of Equity for a long time).
A portfolio of such long-CAP companies has the potential to meaningfully outperform
benchmark indices.
8 December 2017
18

22nd Annual Wealth Creation Study (2012-2017)
5. Measuring Longevity of Growth
GAP – Growth Advantage Period
5.1 What is GAP?
Growth Advantage Period (GAP) is the time during which a company grows its profits at a faster
rate than that of the benchmark indices. Pace of wealth creation in a stock is typically highest
during its (GAP). As stock returns are correlated with profit growth, it is logical that stocks
outperform the benchmark during their GAP.
Exhibit 29
Graphical representation of GAP
Rate of
Growth
For the purposes of this
Competitive forces & base effect
bring down growth rates
study, we have used long-
period benchmark PAT
growth rate of 15%. This is
the same as Cost of Equity.
Excess
Growth
Thus, CAP and GAP are
both closely linked to Cost
Growth = Benchmark rate
Benchmark
Growth Rate
of Equity –
CAP is RoE > Cost of
Equity
GAP is Earnings Growth
> Cost of Equity.
GAP
0
Time (in years)
Exhibits 30 and 31 present real-life examples of GAP. As noted therein, the stock returns during
GAP are significantly higher than during the non-GAP.
Exhibit 30
Infosys’ enjoyed 11-year GAP from 1999 to 2009, a period of superior returns
120%
Infosys PAT Growth
90%
Price CAGR -
1999-2009 (GAP) : 33%
2009-2017
: 15%
11-year GAP
60%
Excess
growth
30%
0%
15% threshold (benchmark growth rate)
8 December 2017
19

22nd Annual Wealth Creation Study (2012-2017)
Exhibit 31
Axis Bank enjoyed a 17-year GAP from 1999 to 2015, a period of superior returns
90%
Axis Bank PAT Growth
60%
30%
Excess
growth
15% threshold (benchmark growth rate)
Price CAGR -
1999-2015 (GAP) : 33%
2015-2017
: –6%
0%
-30%
17-year GAP
-60%
5.2 Factors determining GAP
The 3 major factors determining GAP are: (1) CAP, (2) Industry growth, and (3) Company growth
mindset.
5.2.1 CAP (Competitive Advantage Period)
In most cases, CAP is the foundation for sustained GAP. Further, a random portfolio of CAP
companies in the F-F quadrant (from Exhibit 28) itself ensures a certain level of growth in profits.
Beyond that, if factors (2) and (3) fall in place, earnings growth can be much higher for an
extended period.
5.2.2 Industry growth
Industry growth is a key driver of GAP. Industry growth, in turn, is determined by various growth
situations. The most important ones of these are:
1. Global and/or domestic economic growth
2. Value Migration
3. Low market penetration
4. New industry or industry segment
5. Change in any of the Five Forces of industry structure
6. Regulatory changes.
5.2.2.1 Global and/or domestic economic growth
This is the most fundamental driver of growth for most industries. Domestically, rising per capita
incomes lead to exponentially higher spend on discretionary goods and services (Exhibit 32).
Further, a healthy rate of savings and investment leads to higher derived demand for capital
goods, construction, engineering, etc.
8 December 2017
20

22nd Annual Wealth Creation Study (2012-2017)
Exhibit 32
Linear growth in per capita income leads to exponential growth for discretionaries
Basic spend
Discretionary spend
100
900
10x
1,000
1,000
GDP p.c. $1,000
GDP p.c. $2,000
India, for instance, took almost 60 years for its first trillion dollars of GDP in fiscal 2008. Ever since,
it is adding / expected to add the next trillion dollar of GDP in successively shorter periods of time
(Exhibit 33). This implies huge potential demand for a wide range of goods and services.
Exhibit 33
India is adding the next trillion dollar of GDP in successively shorter periods of time
The Next Trillion Dollar opportunity
India GDP trend (USD bn)
2nd US$ tn
7 years
1st US$ tn
58 years
3rd US$ tn
5 years
4th US$ tn
4 years
5.2.2.2 Value Migration
In his book
Value Migration,
author Adrian J Slywotzky says, “Value migrates from outmoded
business designs to new ones that are better able to satisfy customers' most important
priorities.” Value Migration results in a gradual yet major shift in how the current and future
profit pool in an industry is shared.
Value Migration is one of the most potent drivers of GAP, as it creates a sizable and sustained
business opportunity for its beneficiaries. It has two broad varieties –
1. Global Value Migration
e.g. value in IT and healthcare sectors migrating to India, global
manufacturing value migrating to China, etc.
2. Local Value Migration
e.g. value in telephony migrating from wired networks to wireless
networks; value in Indian banking migrating from public sector banks to private banks.
8 December 2017
21

22nd Annual Wealth Creation Study (2012-2017)
Exhibit 34
Examples of Value Migration
Sector/Company
IT Services
Pharmaceuticals
Banking
Telecom
e-tailing
Gems & Jewelry
Aviation
Value migration from
Developed world
Developed world
State-owned banks
Fixed line networks
Brick-and-mortar retailing
Unorganized jewelry market
Full service airlines and railways
Value migration to
Low labor-cost countries
Low-cost chemistry countries
Private banks
Wireless networks
Online retailing
Organized jewelry retailing
Low cost airlines
5.2.2.3 Low market penetration
Industries whose products have a low penetration enjoy high level of growth for a prolonged
period. For instance, penetration of products like cars and air-conditioners in India is very low
compared to peer countries like China. Companies in such industries will have a favorable GAP.
5.2.2.4 New industry or industry segment
Completely new industries or industry segments will have a huge run of growth till they reach the
maturity phase. Companies in such industries will enjoy a high level of GAP. Examples are launch
of IPod in the US and air-coolers in India.
5.2.2.5 Change in industry structure
Any change in industry structure will have a favorable or unfavorable impact on GAP as the case
may be. For instance, Nestle’s pullout of its malted drink
Milo
from India was highly positive for
GlaxoSmithKline Consumer’s competing brand
Horlicks.
In contrast, entry of Patanjali into several
consumer segments will have an adverse impact on GAP of incumbents like Colgate, Unilever and
Dabur.
5.2.2.6 Regulatory changes
Favorable or unfavorable changes in business regulations have a corresponding impact on GAP.
For instance, price deregulation of petroleum products in India is a huge boost to oil marketing
companies like IOC, BPCL and HPCL. In contrast, persistent price control on essential drugs is
hurting growth of domestic-facing pharma companies like GlaxoSmithKline Pharma.
Having covered factors driving industry growth (external to the company), we now examine
“Company Growth Mindset”, which is completely internal.
5.2.3 Company Growth Mindset
External factors apart, a company’s growth mindset has a significant influence on its GAP.
What is growth mindset? Psychologists talk of two kinds of mindset: (1) Fixed mindset and (2)
Growth mindset. At the personal level, a fixed mindset assumes that our character, intelligence,
and creative ability are static givens which we cannot change in any meaningful way. Such a
mindset views success as an affirmation of that inherent intelligence. Hence, all efforts are
towards avoiding failure at any cost. A “growth mindset,” on the other hand, thrives on challenge
and sees failure not as evidence of unintelligence but as an opportunity for growth and for
stretching existing abilities. Hence, companies with growth mindset are likely to be more
entrepreneurial and risk-taking than companies with fixed mindset.
8 December 2017
22

22nd Annual Wealth Creation Study (2012-2017)
A company’s growth mindset may take several forms, mainly, (1) Aggressive capacity expansion,
(2) Active inorganic growth strategy, and (3) Operating/financial leverage.
5.2.3.1 Aggressive capacity expansion
Companies with growth mindset may resort to aggressive capacity expansion to gain market
share, sometimes even ahead of time to be prepared for future growth in demand. For example,
Shree Cement’s cement capacity share has consistently risen, driving profit growth even as
industry profit growth remains muted.
Exhibit 35
Shree Cement: Rising capacity share drives profit trajectory
Shree Cement
1,600
PAT (INR bn)
Capacity share (RHS)
8%
1,200
6%
800
4%
400
2%
0
2007
2008
2009
2010
2011
2012
2013
2014
2015
2016
2017
0%
5.2.3.2 Active inorganic growth strategy
Companies with growth mindset may practice an active inorganic growth strategy to grow their
profits at a fast pace, irrespective of the industry growth rate. For instance, judicious overseas
acquisitions are integral to Motherson Sumi’s growth strategy.
Exhibit 36
Motherson Sumi: Inorganic growth strategy boosts profits
25
Motherson Sumi (INR bn)
20
Standalone PAT
15
10
5
0
-5
Inorganic PAT
2003 2004 2005 2006 2007 2008 2009 2010 2011 2012 2013 2014 2015 2016 2017
5.2.3.3 Operating & Financial leverage
Operating and financial leverage is usually the happy outcome of pursuing an aggressive growth
strategy. However, some companies actively engineer such leverage by way of stringent cost
control and planned debt reduction. For instance, Bata India slashed employee costs from 28%
of sales in 2003 to 11% of sales in 2013, in the bargain moving from loss to huge profit.
8 December 2017
23

22nd Annual Wealth Creation Study (2012-2017)
Exhibit 37
Bata India: Operating leverage at work
Bata India
2,000
1,500
PAT (INR mn)
Employee Cost / Sales (RHS)
30%
25%
1,000
500
20%
15%
0
-500
-1,000
2002
2003
2004
2005
2006
2007
2008
2009
2010
2011
2012
2013
10%
5%
0%
5.3 Two dimensions of GAP – Length and Height
There are two dimensions of GAP – Length (i.e. duration of growth) and Height (i.e. magnitude of
growth). Our findings suggest that supernormal high growth rates tend to sustain only for a short
period of time, predominantly for cyclical companies and for secular companies at their early
stage. Investment in such stocks implies that the sell decision is as important as the buy decision,
else there is a risk of retracing of all the gains or even going lower than the purchase price.
5.4 The GAP Matrix
We have combined Industry growth with Company Growth Mindset to arrive at the GAP Matrix
(Exhibit 38). The Indian experience of this is covered in Section 6.
Exhibit 38
The GAP Matrix
High
L-H
(High PAT growth)
H-H
(Highest PAT growth)
Company Growth
Mindset
Low
L-L
(Lowest PAT growth)
H-L
(Lower PAT growth)
Low
High
Industry growth
8 December 2017
24

22nd Annual Wealth Creation Study (2012-2017)
5.5 Why GAP may end
The three major reasons for GAP to end are (1) End of CAP, (2) Maturity of industry, and
(3) High-base effect.
5.5.1 End of CAP
End of CAP is a certain cause for end of GAP. End of CAP implies RoE slipping below of Cost of
Equity which necessarily signals low or negative profit growth. Hence, all factors which lead to
end of CAP (discussed earlier) also lead to end of GAP.
5.5.2 Maturity of industry
Industries moving from growth phase to maturity phase can slow down growth for players in that
industry, ending GAP. Consumer segments like salt, toothpaste, soaps & detergents and tea fall
into this category.
5.5.3 High-base effect
Even if an industry has not reached maturity, large companies in it can start to slow down because
of their high base. The classic example is that of the Indian IT sector. Here, the opportunity
remains global and large, but all the leading companies (TCS, Infosys, Wipro, HCL Tech) are seeing
significant growth slowdown.
6. GAP – The Indian context
Our research methodology and findings
6.1 Our shortlisting methodology
We applied the GAP concepts to India Inc numbers. Our shortlisting methodology –
Starting database:
We started with 20-year data (1997-2017) for about 2,700 companies.
Shortlisting:
For a meaningful number of companies to study, we shortlisted 223 companies
which have achieved PAT of at least INR 5 billion over the 20-year period.
GAP definition:
The long-period earnings growth rate of Indian benchmark indices is about
15%. Hence, we defined GAP as the successive number of years for which companies had a
rolling 5-year PAT CAGR of 15%, with no year’s PAT lower than the previous year.
GAP study list:
The above GAP definition led to a shortlist of 145 companies with GAP of 5
years or higher. Of the 145 companies, 112 were listed at the start of their GAP period.
We focused our analysis on these 112 companies.
6.2 GAP companies – Key findings
As noted earlier, the key determinants of GAP are (1) Industry growth and (2) Company Growth
Mindset. For our 112 GAP Universe, we computed growth in Industry PAT during their respective
GAP. Growth rates over 15% were rated High (H) and less than 15% were rated (L). We also
assessed the Company Growth Mindset as High (H) or Low (L).
Exhibit 39 shows their plot on the GAP Matrix.
8 December 2017
25

22nd Annual Wealth Creation Study (2012-2017)
Exhibit 39
The GAP Matrix in the Indian context
L-H
(High PAT growth)
H-H
(Highest PAT growth)
No. of cos.
during GAP
56
39%
Median PAT CAGR
15
High
No. of cos.
Median PAT CAGR
during GAP
37%
Company Growth
Mindset
L-L
(Lowest PAT growth)
H-L
(Lower PAT growth)
No. of cos.
during GAP
35
31%
Median PAT CAGR
6
25%
Low
No. of cos.
during GAP
Median PAT CAGR
Low
High
Industry growth
A granular reading of the above matrix highlights the importance of Company Growth Mindset
(Exhibit 40) –
Sustaining 15% CAGR beyond 9 years is challenging. Of the 112 companies, only 30 (27%)
enjoyed GAP of over 9 years.
Further, of these 30 companies, 20 (67%) were in the H-H quadrant and another 4 in the L-H
quadrant i.e. 80% companies with GAP over 9 years were those with high Growth Mindset.
Of the 41 companies with low Growth Mindset (H-L and L-L), 26 companies (63%) could not
sustain GAP beyond 7 years. Further, of these 26 companies, 23 (~90%) could make it only
because they enjoyed high industry growth.
The two outlier companies in the L-L quadrant which enjoyed GAP of 11 years are Colgate
and GlaxoSmithKline Consumer.
Exhibit 40
Year-wise analysis of GAP companies
Quadrant
H-H
L-H
H-L
L-L
Total cos.
No. of
cos.
56
15
35
6
112
5
9
3
12
24
6
9
3
6
3
21
7
3
2
5
10
8
9
1
4
14
9
6
2
4
1
13
10
3
2
5
GAP in years
11
12
13
7
5
1
1
1
2
10
5
2
14
2
15
1
16
1
17
1
18
1
20
2
2
1
1
1
1
2
We further classified the 112 GAP companies into Secular or Cyclical businesses (Exhibits 41 and
42). The key takeaways –
This cut re-confirms that sustaining GAP beyond 9 years is challenging, whether for cyclical
or secular companies.
Of the 30 companies which did sustain growth beyond 9 years, 24 (i.e. 80% were secular).
8 December 2017
26

22nd Annual Wealth Creation Study (2012-2017)
The outlier cyclical companies which enjoyed GAP beyond 9 years are – NMDC and Bhushan
Steel (10 years), UPL and Bharat Electronics (11 years), and Container Corporation and L&T
(12 years).
In terms of GAP height (i.e. PAT CAGR), cyclicals tend to grow faster than seculars in short
bursts, presumably at the start of business upcycle. However, longer the period, higher is the
growth of the seculars.
Exhibit 41
Length analysis of GAP companies by business cycle
Cyclical
Secular
Total cos.
No. of
cos.
43
69
112
5
14
10
24
6
6
15
21
7
5
5
10
8
6
8
14
9
6
7
13
10
2
3
5
GAP in years
11
12
13
2
2
8
3
2
10
5
2
14
2
2
15
1
1
16
1
1
17
1
1
18
1
1
20
2
2
Exhibit 42
Height analysis (PAT CAGR) of GAP companies by business cycle
PAT
CAGR
Cyclical
Secular
Overall
5
42%
39%
39%
6
44%
28%
32%
7
55%
27%
41%
8
53%
32%
36%
9
36%
38%
36%
10
40%
44%
41%
GAP in years
11
12
13
26% 23%
31% 35% 27%
27% 27% 27%
14
22%
22%
15
26%
26%
16
42%
42%
17
31%
31%
18
20%
20%
Overall
38%
28%
33%
28% 35%
20
Exhibit 43 profiles the top 15 companies with the longest GAP, and Exhibit 44 profiles the top 15
companies with the highest GAP. The takeaway is very clear –
Long GAP companies are typically those with secular businesses, and will deliver reasonably
high profit growth over an extended period.
High GAP companies are predominantly with cyclical businesses, and will deliver super-
normal profit but in a very short burst.
Exhibit 43
Brief profile of top 15 companies with longest GAP
GAP
GAP
Over the Growth Advantage Period
Company
(years)
during PAT CAGR Price CAGR Start RoE End RoE Start MC End MC
HDFC Bank
20
1998-17
35%
29%
17%
18%
9
3,696
HDFC
20
1998-17
21%
22%
16%
16%
33
2,387
ITC
18
1998-15
20%
20%
30%
33%
88
2,609
Dewan Housing
17
2001-17
31%
22%
18%
22%
1
115
Infosys
16
1998-13
42%
39%
39%
27%
7
1,659
Godrej Consumer
15
2003-17
26%
30%
158%
27%
4
569
Dabur India
14
2003-16
24%
27%
17%
33%
16
438
Marico
14
2004-17
21%
37%
30%
37%
4
380
Emami
13
2003-15
31%
52%
44%
51%
1
228
Cipla
13
1998-10
23%
27%
31%
21%
12
271
Shriram Transport
12
2002-13
46%
49%
25%
22%
0.2
158
Sun Pharma
12
1998-09
35%
39%
33%
30%
4
230
Larsen & Toubro
12
2002-13
27%
31%
7%
14%
55
840
TCS
12
2006-17
23%
17%
119%
34%
688
4,790
Container Corpn.
12
1998-09
19%
11%
43%
23%
28
93
MEDIAN
14
26%
29%
30%
27%
9
438
Note:
MC stands for Market Cap in INR billion
8 December 2017
27

22nd Annual Wealth Creation Study (2012-2017)
Exhibit 44
Brief profile of top 15 companies with highest GAP
Company
Unitech
Hindustan Zinc
Manappuram Fin.
HPCL
Ramco Cement
Vedanta
Jindal Poly Film
ACC
Coromandel Inter
Aurobindo Pharma
Uflex
Bajaj Finance
Adani Enterprises
Dena Bank
JBF Inds
MEDIAN
GAP
(years)
5
5
5
5
5
8
5
5
6
5
6
9
8
7
6
5
GAP
Over the Growth Advantage Period
during PAT CAGR Price CAGR Start RoE End RoE Start MC End MC
2004-08
155%
284%
8%
58%
1
448
2003-07
130%
73%
6%
80%
15
238
2008-12
123%
70%
52%
27%
0
26
2013-17
114%
39%
1%
44%
103
534
2004-08
98%
58%
5%
50%
4
40
2004-11
91%
93%
11%
41%
1
252
2007-11
76%
24%
6%
45%
8
19
2004-08
74%
49%
7%
35%
24
192
2004-09
67%
39%
12%
56%
1
13
2013-17
65%
63%
8%
28%
35
396
2006-11
65%
22%
9%
48%
2
10
2009-17
65%
49%
2%
22%
12
646
2004-11
62%
79%
9%
19%
3
727
2007-13
61%
14%
3%
18%
10
31
2004-09
61%
22%
7%
24%
0
2
74%
49%
7%
41%
4
192
Note:
MC stands for Market Cap in INR billion
7. Putting it all together
The CAP-GAP confluence
In this section, we combine the learnings of CAP and GAP to –
1. Determine the key characteristics of CAP-cum-GAP companies; and
2. Apply the same to Nifty stocks to suggest likely
earnings growth
outperformers among them.
7.1 1. Determining the key characteristics of CAP-cum-GAP companies
Of our list of 112 GAP companies, 103 of them also had CAP. We plotted these 103 companies on
the CAP-GAP confluence matrix (Exhibit 45).
Exhibit 45
The CAP-GAP confluence – No. of companies
CAP
Quadrants
F-F
U-F
F-U
U-U
Total cos.
H-H
21
23
4
4
52
GAP Quadrants
L-H
H-L
9
16
1
6
0
8
4
2
14
32
L-L
5
0
0
0
5
Total cos.
51
30
12
10
103
How to read this table – Illustrative example
Of the 52 companies with High Industry Growth and High Company Growth Mindset (GAP Quadrant H-H):
21 have Favorable Industry Structure and Favorable Company Strategy (CAP Quadrant F-F).
23 have Unfavorable Industry Structure but Favorable Company Strategy (CAP Quadrant U-F).
4 have Favorable Industry Structure but Unfavorable Strategy (CAP Quadrant F-U) and
4 have Unfavorable Industry Structure and Unfavorable Strategy (CAP Quadrant U-U).
8 December 2017
28

22nd Annual Wealth Creation Study (2012-2017)
The maximum number of observations lie in the two shaded cells. Hence, they determine the
characteristics to identify companies with CAP-cum-GAP –
Look for high-growth situations in Industries (first H).
In such high-growth situations, look for companies with high Growth Mindset (second H).
Look for companies with a Favorable Strategy (second F).
In short, the three key characteristics of CAP-cum-GAP companies are –
Clear strategy, High growth mindset, and High-growth industry situations.
Two of the three characteristics above – Strategy and Growth Mindset – relate to the company
management. Hence, a very high level of understanding and assessment of the company
management is a non-negotiable aspect of investing success. As Phil Fisher says in his book,
Path
To Wealth Through Common Stocks,
“in
evaluating a common stock, the management is 90%,
industry is 9% and all other factors are 1%.”
Exhibit 46 lists the 44 H-H + F-F/U-F companies. Their median PAT CAGR is a healthy 39% and
Price CAGR 36%. It may be argued that 44 is a very small number of companies over 20 years, and
that finding such companies is akin to finding a needle in a haystack. However, it must be
remembered that these 44 companies appeared from a significantly curtailed list of 223
companies which had earned profit of at least INR 5 billion during 1997-2017. By relaxing this
criteria, there is a strong possibility of several more CAP-GAP confluence companies emerging.
Exhibit 46
The CAP-GAP confluence list
Company
HDFC Bank
ITC
Infosys
Sun Pharma
Torrent Pharma
Hero MotoCorp
Wipro
Asian Paints
Dewan Housing
Lupin
Divi's Labs
Container Corpn.
GSK Pharma
Opto Circuits
Cadila Healthcare
Balkrishna Inds
Shriram Transport
Motherson Sumi
Hindustan Zinc
TCS
Cummins India
Titan Company
LIC Housing Finance
CAP
(years)
20
20
20
20
20
20
20
20
17
17
17
16
15
15
15
15
14
14
14
13
13
12
12
GAP
(years)
20
18
16
12
11
9
8
6
17
10
6
12
8
8
6
5
12
9
5
12
6
10
6
GAP Period CAGR
PAT
Price
35%
29%
20%
20%
42%
39%
35%
39%
39%
34%
38%
46%
26%
19%
25%
33%
31%
22%
39%
43%
22%
19%
19%
11%
32%
12%
60%
65%
33%
31%
39%
105%
46%
49%
41%
56%
130%
73%
23%
17%
32%
24%
44%
43%
37%
30%
CAP
Company
(years)
HDFC
11
Coromandel Inter
11
Manappuram Finance
11
Yes Bank
10
BHEL
10
Larsen & Toubro
9
Vedanta
9
UPL
8
Bhushan Steel
8
CG Power
8
Eicher Motors
7
Reliance Inds
7
Adani Enterprises
7
Tata Steel
7
Aurobindo Pharma
7
IndusInd Bank
6
Sintex Inds
6
Bharat Forge
6
Piramal Enterprises
6
Ashok Leyland
5
Unitech
5
MEDIAN
12
GAP GAP Period CAGR
(years)
PAT
Price
20
21%
22%
6
67%
39%
5
123%
70%
11
45%
28%
9
33%
31%
12
27%
31%
8
91%
93%
11
23%
23%
10
38%
63%
8
57%
69%
11
39%
50%
11
25%
32%
8
62%
79%
7
55%
20%
5
65%
63%
9
50%
38%
9
42%
58%
6
56%
53%
5
39%
12%
8
25%
23%
5
155%
284%
9
39%
36%
8 December 2017
29

22nd Annual Wealth Creation Study (2012-2017)
7.2 Applying the CAP-cum-GAP learnings to Nifty stocks
We applied the CAP-cum-GAP learnings to Nifty stocks as follows –
Determining GAP Quadrants
We assigned an Industry to each of the Nifty constituent companies.
For every industry, we calculated the base PAT growth rate over 20 years (1997 to 2017).
All PAT growth rates above 15% were rated High (H) and less than 15% Low (L).
We then rated all companies on Growth Mindset as High (H) or Low (L).
This gave us the GAP Quadrants – H-H, L-H, H-L and L-L.
Exhibit 47
High base-rate sectors
Sector
Hospitals/Diagnostics
Glass & Glass Products
Aviation
IT - Software
Consumer Durables
Ports & related
Banks - Private Sector
Media - Print/TV
Automobiles - 2-wheelers
Tyres
NBFC - Rating
Agri & related
Realty
NBFC - Housing
Exhibit 48
Low base-rate sectors
PAT CAGR
1997-17
L to P
L to P
54%
31%
29%
27%
27%
25%
24%
24%
23%
23%
23%
22%
Sector
Retail
Pharmaceuticals
Leather
Cigarettes
Mining & Mineral products
Gems & Jewelry
Sugar
Refractories
Paints
Plastic products
Cement
Oil & Gas - Downstream
NBFC
Automobiles - Tractors
PAT CAGR
1997-17
22%
21%
18%
18%
18%
18%
17%
17%
17%
17%
16%
16%
15%
15%
PAT CAGR
Sector
1997-17
Sector
Non Ferrous Metals
14%
Rubber
Auto Ancillaries
14%
Capital Goods
Consumer - FMCG
14%
Diversified
Automobiles - Cars/UVs
13%
Entertainment
Logistics
13%
Education
Gas Distribution
13%
Trading
Travel
13%
Textiles
Engineering
12%
Fertilizers
Oil & Gas - Upstream
12%
Shipping
Automobiles - LCVs/HCVs
12%
Hotels & Restaurants
Power
12%
Construction
Chemicals
12%
IT - Hardware
Ceramic Products
11%
Telecom
Packaging
11%
Banks - Public Sector
Cables
10%
Steel
Alcoholic Beverages
10%
Paper
Note:
L to P is Loss to Profit and P to L is Profit to Loss
PAT CAGR
1997-17
9%
9%
9%
8%
8%
7%
6%
4%
2%
-5%
P to L
P to L
P to L
P to L
P to L
P to L
Determining CAP Quadrants
8 December 2017
We assigned the Industry Score to each company based on Exhibit 24.
We rated all scores above 2.5 as Favorable (F) and equal or below 2.5 as Unfavorable (U).
30

22nd Annual Wealth Creation Study (2012-2017)
We then rated all companies on strategy – Differentiation or Low cost or Stuck-in-the-middle.
Companies with a clear strategy were rated Favorable (F) and others Unfavorable (U).
This gave us the CAP Quadrants – F-F, U-F, F-U and U-U.
Putting GAP & CAP together
Of the 50, we first selected only H-H companies (30).
Of these, we selected F-F or U-F companies (29).
Of these, we unselected 8 companies where we believe the future growth rate is evidently
going to be slower than the base rate – IT (5 companies), two-wheelers (2 companies) and
Reliance (given uncertainty over its telecom venture).
We also added Maruti Suzuki back to the list, as we believe future growth is evidently going
to be faster than the industry base rate.
That left us with 22 companies which we believe will grow earnings faster over the long term
than the 28 excluded companies.
We list both the sets of companies below.
Exhibit 49
Nifty 50:
Likely earnings growth outperformers …
2012-17 TTM PAT TTM
Company
PAT CAGR YoY
P/E (x)
Adani Ports
28%
8%
21
Ambuja Cements
-4%
34%
31
Asian Paints
15%
0%
54
Aurobindo Pharma
65%
5%
16
Bajaj Finance
35%
39%
54
Dr Reddy's Labs
-2%
3%
31
Eicher Motors
42%
31%
43
HDFC
15%
3%
23
HDFC Bank
24%
18%
31
ICICI Bank
6%
-22%
20
Indiabulls Housing
63%
25%
15
IndusInd Bank
29%
25%
35
ITC
11%
8%
35
Kotak Mahindra
22%
31%
39
Lupin
24%
-35%
20
Maruti Suzuki
32%
14%
44
Sun Pharma
23%
-45%
28
UltraTech Cement
4%
-4%
43
UPL
26%
91%
19
Vedanta
16%
-17%
8
Yes Bank
28%
29%
21
Zee Entertainment
17%
54%
38
MEDIAN
23%
11%
31
… and underperformers
2012-17 TTM PAT
Company
PAT CAGR YoY
Axis Bank
-1%
-43%
BPCL
63%
-5%
Bajaj Auto
5%
-9%
Bharti Airtel
2%
-66%
Bharti Infratel
19%
-8%
Bosch
4%
-29%
Cipla
-5%
34%
Coal India
-9%
-29%
GAIL (India)
-6%
13%
HPCL
114%
16%
HCL Technologies
29%
13%
Hero MotoCorp
10%
-3%
Hind. Unilever
11%
8%
Hindalco Inds
-12%
58%
IOCL
13%
-1%
Infosys
11%
2%
Larsen & Toubro
5%
46%
M&M
2%
7%
NTPC
2%
-1%
ONGC
-5%
2%
Power Grid Corpn
17%
17%
Reliance Inds
10%
12%
State Bank of India -67%
P to L
Tata Motors
-14%
-25%
Tata Steel
-22%
L to P
TCS
20%
2%
Tech Mahindra
20%
0%
Wipro
8%
0%
MEDIAN
1%
11%
TTM
P/E (x)
32
13
24
91
28
47
41
20
24
8
13
23
75
29
10
15
23
26
14
11
15
18
148
14
15
19
15
16
20
8 December 2017
31

22nd Annual Wealth Creation Study (2012-2017)
8. Case study: HDFC Group
The financial powerhouse
The HDFC Group’s performance on the CAP and GAP front is worth highlighting.
HDFC Bank
is in the list of full 20-year CAP companies i.e. RoE > 15% for every single year
from 1998 to 2017. (HDFC missed figuring on the list by a whisker, as its 2009 RoE dipped
marginally below 15% given fund-raising in 2008.)
Exhibit 50
HDFC Bank has a 20-year CAP, HDFC misses it due to a 2009 aberration
30%
35%
HDFC Bank RoE trend
25%
20%
15%
30%
25%
20%
15%
HDFC RoE trend
10%
5%
10%
5%
0%
0%
Both
HDFC
and
HDFC Bank
are the only two companies with a full 20-year GAP i.e. rolling
5-year PAT CAGR > 15% for every year through 1997 to 2017. In fact,
HDFC’s
GAP period starts
as far back as 1980. Its 37-year PAT CAGR is a robust 30%, and
HDFC Bank’s
20-year PAT CAGR
is a handsome 35%.
Exhibit 51
HDFC’s 37-year PAT CAGR at 30%; HDFC Bank’s 20-year PAT CAGR at 35%
120
100
160
HDFC Adjusted Consol PAT
(INR bn)
140
120
HDFC Bank PAT
(INR bn)
80
60
40
20
100
80
60
40
20
0
0
Given
HDFC
and
HDFC Bank’s
superior performance on both fronts (RoE and PAT growth),
it’s little wonder that their stock market performance is commendable.
HDFC’s
stock has
delivered long-period return CAGR of 25% and
HDFC Bank’s
27%.
8 December 2017
32

22nd Annual Wealth Creation Study (2012-2017)
Exhibit 52
HDFC and HDFC Bank’s stocks have delivered handsome long-period returns
2,000
2,000
1,500
HDFC Stock Price
(INR)
1,500
HDFC Bank Stock Price
(INR)
1,000
1,000
500
500
0
0
The above performance is not restricted to just the flagship companies.
GRUH Finance
(58%
subsidiary of HDFC) has an equally blazing track record (it did not make it to our CAP and GAP
study because it has not yet clocked PAT of INR 5 billion, our cut-off level.)
Exhibit 53
GRUH Finance following the high standards of its illustrious group companies
3,500
3,000
600
GRUH Finance PAT
(INR mn)
500
400
300
GRUH Finance Stock Price
(INR)
2,500
2,000
1,500
1,000
500
200
100
0
0
There’s significantly more to follow from the HDFC financial powerhouse. Already
HDFC
Standard Life
has had a successful IPO and listing. Next in line to go public will be
HDFC Asset
Management Company.
It FY17 PAT is already a healthy INR 5.5 billion, and it has clocked
10-year PAT CAGR of 23%. At a later date even
HDFC Ergo General Insurance
may be a
candidate to be listed.
8.1 What is the secret sauce behind HDFC Group’s exceptional track record?
We list out some key industry- and company-level factors which may well serve as a checklist to
evaluate the long-term prospects of all companies in general.
8.1.1 Huge profitable business opportunity
Financial services is a hugely profitable and growing business opportunity not only in India but
also worldwide. There indeed are many players in the sector, but the opportunity is so vast that
players do not need to engage in zero-sum competition.
Implication for investing:
A high-growth industry with a favorable competitive structure gives
companies – both old and new – enough headroom for sustained high and profitable growth.
8 December 2017
33

22nd Annual Wealth Creation Study (2012-2017)
8.1.2 Consumer-facing business
HDFC Group has carefully ensured that most of its businesses are consumer-facing.
Implication for investing:
As a thumb rule, consumer-facing businesses tend to more secular in
nature. Also, if companies offer a unique value proposition, it creates customer loyalty and
potential for repeat and word-of-mouth business.
8.1.3 Strong leader
The legacy of HDFC founder Mr H T Parekh is well perpetuated by current group chairman
Mr Deepak Parekh. Further, individual group companies have dynamic leaders – Mr Keki Mistry
in HDFC, Mr Aditya Puri in HDFC Bank, Mr Amitabh Chaudhry in HDFC Standard Life, and so on.
Implication for investing:
A strong leader with an entrepreneurial mindset is a singular common
feature across most high CAP and GAP companies.
8.1.4 Clear understanding of 90% rule
Every business has a “90% rule” i.e. that one factor which holds the key to success. In most
financial services businesses, that 90% rule is “Underwrite well”. Nobody understands this rule
better than HDFC Group.
Implication for investing:
It is advisable that investors know the 90% rule for businesses that they
wish to invest in, and ensure that the management has a deep understanding of the same.
8.1.5 Judicious capital allocation
HDFC Group is highly judicious with its capital allocation. Starting with housing finance, it has
focused all its capital allocation to fortify itself as a financial powerhouse – banking, life insurance,
general insurance, asset management, education financing, etc.
Implication for investing:
As mentioned earlier, capital misallocation is one of key factors which
leads to break down of CAP, and in turn, GAP. Investors are best advised to avoid bad capital
allocating companies, and also exit companies on the first signs of capital misallocation.
8.1.6 Corporate culture
HDFC is celebrating its 40
th
anniversary in 2017. Chairman Deepak Parekh writes in the FY07
Annual Report, “What differentiates HDFC is perhaps not our products or strategy. It is our culture
… Our culture is our binding force. Our only ask of our employees is integrity, transparency and
honesty in all dealings. These attributes are our non-negotiables … Culture is the invisible force
that lends consistency and endurance. The assurance I offer investors is that as long as our culture
remains sacred, HDFC will keep creating shareholder value for the years to come.”
Implication for investing:
Investors should thoroughly examine investee companies for culture,
especially, one of integrity and transparency. Even if all other factors are in place, lack of integrity
will come to haunt the stock prospects, sooner rather than later.
8.2 HDFC Case Study: In sum
Just four listed companies give the HDFC Group a combined market cap of INR 8.3 trillion
(US$ 128 billion), making it one of India’s largest conglomerate. Companies and business groups
are well-advised to imbibe most of its key success factors. Investors are well-advised to look for
as many of these factors as possible in their investee companies.
8 December 2017
34

22nd Annual Wealth Creation Study (2012-2017)
9. Summary & Conclusions
CAP & GAP help harness the power of longevity in Wealth Creation
In closing, we highlight the key takeaways from our study –
Longevated profit growth companies are few. CAP and GAP frameworks increase the
probability of finding them, and help harness the power of longevity in Wealth Creation.
CAP (Competition Advantage Period) is the time during which a company’s Return on Equity
remains higher than Cost of Equity. Favorable industry structure coupled with clear company
strategy ensures longevated CAP.
GAP (Growth Advantage Period) is the time during which a company’s earnings growth
remains higher than that of the benchmark indices. High industry growth coupled with high
Company Growth Mindset ensures longevated GAP.
There are two dimensions to GAP: (1) Length (i.e. longevity) and (2) Height (i.e. speed).
Longevity and speed of growth are inversely correlated.
The three key characteristics of CAP-cum-GAP companies are –
Clear strategy, High growth mindset, and High-growth industry situations.
Two of the three characteristics above relate to company management. Hence, a thorough
assessment of the management holds the key to successful investing. As Phil Fisher has said,
"In evaluating a common stock, the management is 90%, industry is 9%, and all other factors
are 1%."
8 December 2017
35

22nd Annual Wealth Creation Study (2012-2017)
Annexure: Full list of 171 CAP and 145 GAP companies
Companies with at least 5 successive years of RoE > 15% are deemed to be CAP companies
Companies with at least 5 year run of rolling PAT CAGR > 15% with no year’s PAT lower than the previous year are
deemed to be GAP companies
CAP
20
20
20
20
20
20
20
20
20
20
20
20
20
20
20
20
20
20
19
19
18
18
17
17
17
17
17
16
16
16
16
15
15
15
15
15
15
15
15
15
14
14
14
14
14
14
From
1998-17
1998-17
1998-17
1998-17
1998-17
1998-17
1998-17
1998-17
1998-17
1998-17
1998-17
1998-17
1998-17
1998-17
1998-17
1998-17
1998-17
1998-17
1999-17
1999-17
1999-16
1998-15
1998-14
2001-17
1998-14
2001-17
2001-17
2002-17
1998-13
1998-13
1998-13
2001-15
1999-13
2003-17
1999-13
2003-17
2003-17
1999-13
2003-17
2003-17
1999-12
2002-15
2001-14
2004-17
1998-11
2001-14
GAP
20
18
16
14
14
13
12
11
11
11
9
9
8
6
6
6
6
11
10
19
10
17
10
7
6
6
15
13
13
12
11
8
8
8
6
6
6
5
13
12
12
9
9
6
From
1998-17
1998-15
1998-13
2003-16
2004-17
2003-15
1998-09
2006-16
2000-10
2006-16
1998-06
2006-14
2004-11
2003-08
2012-17
1998-03
2012-17
2007-17
2000-09
1998-16
2000-09
2001-17
2006-15
2001-07
2011-16
2006-11
2003-17
1998-10
2000-12
1998-09
2005-15
1998-05
2002-09
2005-12
2006-11
2010-15
2000-05
2004-08
2000-12
2003-14
2002-13
2009-17
2003-11
1998-03
Company
Tech Mahindra
Hindustan Zinc
TCS
Bharat Electronics
L & T Infotech
Siemens
Cummins India
Oil India
GSK Consumer
Titan Company
LIC Housing Finance
Alkem Labs
HDFC
PNB Housing
IOCL
Canara Bank
Coromandel Inter.
Biocon
Manappuram Fin.
Suzlon Energy
Bosch
Glenmark Pharma
MOIL
Yes Bank
MphasiS
BHEL
Grasim Inds
Muthoot Finance
ACC
Union Bank
Bajaj Auto
Havells India
Petronet LNG
Rajesh Exports
Adani Ports
Larsen & Toubro
ABB
IOB
Jubilant Life
Vedanta
Wockhardt
Shree Renuka Sugar
Zee Entertainment
UPL
Bhushan Steel
CG Power
CAP
14
14
13
13
13
13
13
13
12
12
12
12
11
11
11
11
11
11
11
11
11
11
11
10
10
10
10
10
10
10
10
10
10
10
9
9
9
9
9
9
9
9
9
8
8
8
From
1998-11
2004-17
2005-17
2000-12
2005-17
2000-12
2005-17
2001-13
2006-17
2006-17
2006-17
2003-14
1998-08
2006-16
1998-08
2002-12
2005-15
2002-12
2002-12
1998-08
2003-13
1998-08
2004-14
2008-17
2005-14
2004-13
2003-12
2005-14
2004-13
2002-11
2008-17
1999-08
2006-15
2004-13
2009-17
2004-12
2002-10
2001-09
2002-10
2004-12
2001-09
2003-11
2009-17
2004-11
2004-11
2004-11
GAP
6
5
12
11
10
8
6
5
11
10
6
20
12
7
6
6
5
5
5
11
10
9
9
8
5
5
12
12
9
9
8
8
5
11
10
8
From
1998-03
2003-07
2006-17
1998-08
2005-14
2001-08
2004-09
2008-12
2006-16
2006-15
2006-11
1998-17
2006-17
1998-04
2006-11
2004-09
2007-11
2008-12
2004-08
2007-17
2002-11
2004-12
2000-08
2006-13
2004-08
2007-11
2006-17
2002-13
2001-09
2001-09
2001-08
2004-11
2002-06
2005-15
2003-12
2004-11
Company
HDFC Bank
ITC
Infosys
Dabur India
Marico
Emami
Sun Pharma.
City Union Bank
Colgate-Palmolive
Torrent Pharma
Hero MotoCorp
Nestle India
Wipro
Asian Paints
Britannia Inds
Hindustan Unilever
Pidilite Inds
Castrol India
Rural Elec. Corp.
Oracle Financial
Axis Bank
NMDC
Dewan Housing
Lupin
GAIL (India)
Divi's Labs
Sun TV Network
Godrej Consumer
Cipla
Punjab Natl. Bank
Container Corpn
Shriram City Union
Andhra Bank
GSK Pharma
Opto Circuits
Cadila Healthcare
Indraprastha Gas
Syndicate Bank
Balkrishna Inds
Exide Inds
Jindal Steel
M & M Financial
Shriram Transport
HCL Technologies
Motherson Sumi
ONGC
8 December 2017
36

22nd Annual Wealth Creation Study (2012-2017)
Annexure: Full list of 171 CAP and 145 GAP companies (continued)
Company
Karur Vysya Bank
Tata Chemicals
BPCL
M&M
SRF
State Bank of India
Apollo Tyres
Bajaj Finserv
Birla Corp
Coal India
Interglobe Aviation
MRPL
MRF
UltraTech Cement
Eicher Motors
Power Finance Corp.
Reliance Inds
Bajaj Finance
Indian Bank
J & K Bank
Adani Enterprises
South Indian Bank
Corporation Bank
Dena Bank
Tata Steel
Dr Reddy's Labs
Rolta India
Alembic Pharma
Aurobindo Pharma
Engineers India
Ambuja Cements
GMDC
Rain Industries
SAIL
Tata Motors
IndusInd Bank
Sintex Inds.
TI Financial
Amtek Auto
Bank of Baroda
Indiabulls Housing
Vakrangee
Bharat Forge
Bharti Airtel
Sundaram Finance
Mindtree
Natl. Aluminium
Piramal Enterprises
Ramco Cement
CAP
8
8
8
8
8
8
8
8
8
8
8
8
8
8
7
7
7
7
7
7
7
7
7
7
7
7
7
7
7
7
7
7
7
7
7
6
6
6
6
6
6
6
6
6
6
6
6
6
6
From
2006-13
2005-12
1998-05
2004-11
2005-12
2002-09
2010-17
2010-17
2004-11
2010-17
2010-17
2004-11
2010-17
2006-13
1999-05
2010-16
2003-09
2011-17
2007-13
1998-04
2005-11
2008-14
1998-04
2007-13
2003-09
2010-16
2005-11
2011-17
1998-04
2008-14
2007-13
2008-14
2007-13
2004-10
2010-16
2010-15
2006-11
2011-16
2003-08
2008-13
2012-17
2012-17
2003-08
2005-10
2010-15
2012-17
2003-08
2000-05
2005-10
GAP
8
8
7
5
5
5
11
11
11
9
9
9
8
8
7
7
7
6
6
5
5
5
9
9
9
7
7
7
7
6
6
6
5
5
5
5
From
2006-13
2002-09
1998-04
2010-14
2003-07
2006-10
2007-17
2006-16
1998-08
2009-17
2003-11
2006-14
2004-11
2007-14
2006-12
2007-13
2003-09
2010-15
2004-09
2012-16
2013-17
2008-12
2009-17
2003-11
1999-07
2002-08
2006-12
2011-17
2011-17
2003-08
2005-10
2010-15
2012-16
2003-07
2000-04
2004-08
Company
CPCL
GSFC
GE Shipping Co
ICICI Pru Life
Jindal Saw
Oberoi Realty
Pun. & Sind Bank
SCI
IDFC
Allahabad Bank
Ashok Leyland
Cholamandalam Inv
Vijaya Bank
Bajaj Holdings
JBF Inds
Maruti Suzuki
Edelweiss Financial
IIFL Holdings
JP Associates
Unitech
HDIL
Hindalco Inds
IFCI
JSW Energy
JSW Steel
Nava Bharat Vent.
NLC India
Oriental Bank
Tata Comm
UCO Bank
ICICI Bank
Power Grid Corpn
Bharti Infratel
Kotak Mahindra
Reliance Infra
L&T Fin. Holdings
Guj. State Petronet
IRB Infra
Tata Power
Torrent Power
Uflex
HPCL
IDBI Bank
Jindal Poly Film
NTPC
Vardhman Textiles
Welspun India
MEDIAN
CAP
6
6
6
6
6
6
6
6
5
5
5
5
5
5
5
5
5
5
5
5
5
5
5
5
5
5
5
5
5
5
9
From
2003-08
2004-09
2004-09
2012-17
2003-08
2006-11
2006-11
2004-09
2004-08
2004-08
2004-08
2013-17
2001-05
2003-07
2007-11
2004-08
2004-08
2004-08
2004-08
2005-09
2005-09
1998-02
2008-12
2007-11
2004-08
2007-11
2001-05
2002-06
1998-02
2008-12
GAP
10
8
8
7
7
6
6
6
5
5
5
5
18
14
8
8
8
7
6
6
6
6
6
5
5
5
5
5
5
8
From
2004-13
2001-08
2001-08
2011-17
1998-04
2002-07
2004-09
2003-08
2013-17
2013-17
2004-08
2004-08
1998-15
2004-17
2009-16
2010-17
2004-11
2011-17
2006-11
2008-13
2006-11
2007-12
2006-11
2013-17
2008-12
2007-11
2004-08
2003-07
2003-07
8 December 2017
37

22nd Annual Wealth Creation Study (2012-2017)
2012-17 Wealth
Creation Study:
Detailed findings
8 December 2017
38

22nd Annual Wealth Creation Study (2012-2017)
#1
Trend in Wealth Creation
INR 38.9 trillion Wealth Created during 2012-17
The top 100 Wealth Creators created INR 38.9 trillion of wealth during 2012-17.
This is the highest ever quantum of Wealth Created.
Pace of Wealth Creation is also robust at 22% CAGR whereas the benchmark Sensex CAGR is
only 11%.
Exhibit 1
2012-17 Wealth Created at INR 38.9 trillion is the highest ever
Wealth Created Trend
(INR
trillion)
Wealth Created
(INR
trillion)
38.9
34.2
29.4
25.4
16.3
9.7
26.5
22.1
14.3
16.2
28.4
18.4
Exhibit 2
2012-17 pace of Wealth Creation is healthy at 22% CAGR vis-à-vis benchmark’s 11% CAGR
(26%)
36%
(30%)
40%
(39%)
49%
(Figures in brackets is Sensex CAGR)
Wealth
Pace of Wealth Creation
Created CAGR (%)
(18%)
33%
(12%)
19%
(22%)
26%
(12%)
17%
(10%)
25%
(5%)
18%
(6%)
19%
(4%)
17%
(11%)
22%
Key Takeaway
Forget markets, think stocks
Wealth Creating stocks can be found in all kinds of market conditions. So, it is advisable that
investors focus in identifying such stocks to invest in, rather than timing the markets.
8 December 2017
39

22nd Annual Wealth Creation Study (2012-2017)
#2
The Biggest Wealth Creators
TCS is the Biggest Wealth Creator for the fifth time in a row
TCS
has emerged as the biggest Wealth Creator for the period 2012-17, retaining the top spot
it held in the previous four study periods (2011-16, 2010-15, 2009-14 and 2008-13).
Reliance Industries
has muscled its way to No.3 after not featuring in the Wealth Creators
list in the previous study.
Share of Top 10 Wealth Creators in the overall Wealth Creation is continuously declining
(Exhibit 4). This suggests rising democratization of Wealth Creation.
Exhibit 3
Top 10 Biggest Wealth Creators (2012-17)
Rank Company
1 TCS
2 HDFC Bank
3 Reliance Inds
4 ITC
5 Maruti Suzuki
6 HDFC
7 Indian Oil
8 Hind. Unilever
9 Kotak Mahindra
10 HCL Tech
Total of Top 10
Total of Top 100
Wealth Created
INR b % share
2,499
6.4
2,315
5.9
1,888
4.8
1,594
4.1
1,413
3.6
1,350
3.5
1,219
3.1
1,081
2.8
1,050
2.7
884
2.3
15,292 39.3
38,927
100
CAGR (%)
Price
PAT
16
20
23
24
12
10
13
11
35
32
17
15
24
13
17
11
26
22
29
29
19
16
22
15
P/E (x)
2017 2012
19
22
24
23
14
13
33
29
31
26
22
18
9
6
45
34
33
22
15
14
20
18
22
16
RoE (%)
2017 2012
30
35
17
17
11
11
22
32
16
10
18
23
20
18
64
71
13
14
26
25
18
17
17
18
Exhibit 4
Share of top 10 Wealth Creators is continuously declining
76%
53%
Share of Top 10 Wealth Creators
59%
50%
45%
51%
49%
41%
42%
41%
48%
47%
43%
41%
39%
Key Takeaway
Will the next study see a new Wealth Creation leader?
Five years is the longest run of the top Wealth Creator –
Reliance
from 2007 to 2011 and
TCS
from 2013 to 2017.
HDFC Bank
is within striking distance of the top spot in this study itself.
Given the ongoing slowdown in IT even as private banking continues to grow, the next study
may well see a new Wealth Creation leader.
8 December 2017
40

22nd Annual Wealth Creation Study (2012-2017)
#3
The Fastest Wealth Creators
Ajanta Pharma is the Fastest Wealth Creator for the third time in a row
Ajanta Pharma
has emerged as the Fastest Wealth Creator for the third time in a row, with
2012-17 stock price multiplier of 29x (96% CAGR).
Eicher Motors
is among the top 10 Fastest Wealth Creators for the last 6 studies, and
Bajaj
Finance
in the last 4.
4 of the top 10 Fastest Wealth Creators are pharma companies.
The base 2012 market cap of 7 stocks was less than INR 20 billion.
5 of the 10 stocks were trading at single-digit P/E in 2012.
INR 100 invested equally in these 10 stocks would have expanded to INR 1,550 delivering a
return CAGR of 73%. Over the same period, INR 100 invested in the Sensex would have
expanded to only INR 169 (11% return CAGR).
Exhibit 5
Top 10 Fastest Wealth Creators (2012-17)
Rank Company
1
2
3
4
5
6
7
8
9
10
Ajanta Pharma
KRBL
Bajaj Finance
Dalmia Bharat
Symphony
Alembic Pharma
Eicher Motors
Natco Pharma
Vakrangee
Aurobindo Pharma
Price Appn.
(x)
29
23
15
14
13
13
13
12
12
11
CAGR (%)
Price
PAT
96
45
88
34
71
35
69
13
68
23
67
25
67
42
64
52
64
50
63
65
Mkt Cap (INR b)
2017
2012
155
5
97
4
646
34
175
12
107
8
118
9
695
54
148
11
174
14
396
35
P/E (x)
2017
2012
31
7
24
5
35
8
62
8
70
15
29
7
42
19
30
19
34
20
17
19
Exhibit 6
History of Fastest Wealth Creators
Year
1996
1997
1998
1999
2000
2001
2002
2003
2004
2005
2006
Company
Dr Reddy's Labs
Cipla
Satyam Computers
Satyam Computers
SSI
Infosys
Wipro
e-Serve
Matrix Labs
Matrix Labs
Matrix Labs
Price
Multiple (x)
30
7
23
75
223
66
69
50
75
136
182
CAGR
97%
48%
87%
137%
195%
131%
133%
119%
137%
167%
183%
Year
2007
2008
2009
2010
2011
2012
2013
2014
2015
2016
2017
Company
B F Utilities
Unitech
Unitech
Unitech
Sanwaria Agro
TTK Prestige
TTK Prestige
Eicher Motors
Ajanta Pharma
Ajanta Pharma
Ajanta Pharma
Price
Multiple (x)
665
837
54
28
50
24
28
27
50
53
29
CAGR
267%
284%
122%
95%
119%
89%
95%
94%
119%
121%
96%
Key Takeaway
Small size + Scalability + Sound management = Superior Wealth Creation
All the Top 10 Fastest Wealth Creators were small in the base year (2012) and operating either
in a large sector (pharma, finance, autos, IT) or scalable niche (air-coolers, branded rice). Under
a sound management, such companies are able to clock a scorching pace of earnings growth.
This in turn also drives up valuations, leading to superior Wealth Creation.
8 December 2017
41

22nd Annual Wealth Creation Study (2012-2017)
#4
The Most Consistent Wealth Creators
Asian Paints is the Most Consistent Wealth Creator again
Asian Paints
is the Most Consistent Wealth Creator for the second time in succession
by virtue of –
3. Appearing among top 100 Wealth Creators in each of the last 10 studies; and
4. Recording the highest Price CAGR of 30% over the 10-year period 2007 to 2017.
8 of the top 10 Most Consistent Wealth Creators are consumer-facing companies, with
Bosch
and
Cummins India
the only exceptions.
Exhibit 7
Top 10 Most Consistent Wealth Creators (2012-17)
Rank Company
1
2
3
4
5
6
7
8
9
10
Asian Paints
Titan Company
HDFC Bank
Kotak Mahindra
Bosch
Sun Pharma
Dabur India
ITC
Cummins India
Axis Bank
Appeared in 10-yr Price 10-yr PAT
WC Study (x) CAGR (%) CAGR (%)
10
10
10
10
10
10
10
10
10
10
30
27
22
22
21
21
19
19
17
17
21
22
30
25
11
26
16
14
11
20
P/E (x)
2017 2007
53
52
24
33
54
24
40
33
36
30
26
35
27
30
25
29
30
21
20
21
RoE (%)
2017 2007
25
19
17
13
15
19
25
22
19
7
37
32
18
16
22
26
57
26
26
19
Exhibit 8
Consumer-facing companies more likely to be Consistent Wealth Creators
Consistent Wealth Creators based on last 5 Studies
Consumer-facing
Non Consumer-facing
Consumer &
Healthcare
Asian Paints (5)
ITC (3)
Nestle (3)
Sun Pharma (5)
Dabur (3)
Titan (3)
Auto
M & M (3)
Financials
Axis Bank (5)
HDFC (1)
HDFC Bank (4)
Kotak Mah. (5)
Cummins (3)
Bosch (5)
Hind. Zinc (2)
NOTE:
Bracket indicates number of times appeared within top 10 in last 5 Wealth Creation Studies
Key Takeaway
Strong discretionary brand = Consistent Wealth Creation
Strong brands in basic goods (e.g. Colgate) fail to feature among Consistent Wealth Creators
given the missing element of growth. In contrast, discretionary brands (e.g. Asian Paints) enjoy
steady growth, translating to Consistent Wealth Creation.
8 December 2017
42

22nd Annual Wealth Creation Study (2012-2017)
#5
Wealth Creators Index (Wealthex) v/s BSE Sensex
Superior earnings and price performance over benchmark
We compare Wealthex (top 100 Wealth Creators Market Cap index) with the BSE Sensex on 3
parameters - (1) market performance, (2) earnings growth and (3) valuation.
Market performance:
Over 2012-17, Wealth Creating companies have delivered return CAGR
of 22% v/s 11% for the BSE Sensex. March 2017 over March 2012, Wealthex is up 175%
whereas the Sensex is up 70% i.e. 105% outperformance over 5 years.
Earnings growth:
Wealthex clocked 5-year earnings CAGR of 16% v/s 4% for BSE Sensex.
Further, YoY earnings growth for Wealthex is higher every year 2012 through 2017.
Valuation:
Wealthex and Sensex P/E trajectory is almost the same. Thus, the 11pp
outperformance of Wealthex is explained largely by the 12pp higher earnings CAGR.
Exhibit 9
Wealthex v/s Sensex: Superior market performance on the back of higher earnings growth
Mar-12
BSE Sensex
YoY (%)
Wealthex - based to Sensex
YoY (%)
Sensex EPS (INR)
YoY (%)
Wealthex EPS (INR)
YoY (%)
Sensex PE (x)
Wealthex PE (x)
17,404
17,404
1,111
1,062
16
16
Mar-13
18,836
8
20,945
20
1,180
6
1,264
19
16
17
Mar-14
22,386
19
26,462
26
1,330
13
1,450
15
17
18
Mar-15
27,957
25
37,957
43
1,351
2
1,636
13
21
23
Mar-16
25,342
-9
37,656
-1
1,331
-1
1,943
19
19
19
Mar-17
5 Year
CAGR (%)
29,621
11
17
47,880
22
27
1,346
4
1
2,251
16
16
22
7
21
5
Exhibit 10
Wealthex invariably outperforms benchmark indices handsomely
300
Wealthex - Rebased
Sensex - Rebased
105%
Outperformance
250
200
150
100
50
Key Takeaway
Sensex – a weak earnings machine; hence easy to outperform
Ever since the Lehman crisis of 2008, Sensex has been a weak earnings machine with single digit
earnings growth in most years. Investors with even modest stock-picking skills should find it
easy to outperform the Sensex.
8 December 2017
43

22nd Annual Wealth Creation Study (2012-2017)
#6
Wealth Creation: Sector analysis
Banking & Finance is the biggest Wealth Creating sector
Banking & Finance
has emerged as India’s biggest Wealth Creating sector over 2012-17
dethroning Consumer/Retail. The surge in Wealth Creator in the sector has been led by
private banks and NBFCs.
In terms of share of Wealth Created,
Metals/Mining
is the biggest loser over the last 5 years.
Oil & Gas is the biggest gainer led by refining & marketing companies.
Wealth Creation was highly concentrated
– top 5 sectors accounted for a high 76% of total
Wealth Created.
Exhibit 11
Banking & Finance is the top Wealth Creating sector
Sector
(No of companies)
Banking & Fin. (22)
Cons. & Retail (21)
Auto (13)
Oil & Gas (5)
Technology (4)
Healthcare (13)
Cement (5)
Capital Goods (5)
Metals / Mining (2)
Telecom & Media (3)
Utilities (1)
Others (6)
Total
WC Share of WC % CAGR 12-17 (%)
(INR b)
2017
2012
Price
PAT
9,346
24
23
27
16
6,913
18
21
21
13
4,898
13
10
26
3
4,397
11
6
17
17
3,757
10
11
20
22
3,301
8
7
27
23
1,686
4
3
25
6
1,355
3
4
17
7
942
2
13
18
11
734
2
-
27
42
479
1
1
16
17
1,119
3
1
27
20
38,927
100
100
22
15
P/E (x)
2017
2012
23
14
41
30
28
10
11
11
18
19
26
22
33
14
28
18
16
12
39
67
14
15
22
17
22
16
RoE (%)
2017
2012
15
19
26
31
15
27
16
12
27
32
17
14
11
15
13
16
19
14
21
6
15
14
20
19
17
18
Exhibit 12
Banking & Finance back on top after a 4-year gap
9,346
7,103
7,586
6,364
5,826
3,891
2,723
1,839
2,126
4,949
5,194
3,672
4,456
Oil &
Gas
Oil &
Gas
Oil &
Gas
Oil &
Gas
Oil &
Gas
Metals/ Banking Banking Cons.
Mining & Fin. & Fin. & Retail
IT
Cons. Cons. Banking
& Retail & Retail & Fin.
2005
2006
2007
2008
2009
2010
2011
2012
2013
2014
2015
2016
2017
Key Takeaway
State-owned banks are big losers
Even as Banking & Finance emerged the biggest Wealth Creating sector, not a single state-
owned bank features in the list of Wealth Creators.
LIC Housing Finance
and
Rural
Electrification Corporation
are the only face-savers in the NBFC space.
8 December 2017
44

22nd Annual Wealth Creation Study (2012-2017)
#7
Wealth Creation: Ownership – Private v/s PSU
PSUs remain insignificant in Wealth Creation, but there are signs of bottoming out
Though PSUs’ (public sector undertakings) Wealth Creation performance during 2012-17
continues to be weak, there are signs of the same bottoming out:
– The number of PSUs in the top 100 Wealth Creators is 9, up from 5 two years ago
– Wealth Created by these 9 PSUs is 10%, again higher than the previous two studies
– Finally, unlike in the past, PSUs’ 2012-17 PAT CAGR at 22% is significantly higher than
private sector’s 13%. This has led to PSUs matching private sector’s price CAGR at 22%.
The 9 Wealth Creating PSUs are
IOC, BPCL, HPCL, Petronet LNG, Concor, LIC Housing, Rural
Electrification Corporation, Bharat Electronics
and
Power Grid Corporation.
Exhibit 13
PSUs remain insignificant in Wealth Creation
49
51
36
25
No of PSUs
35
27
25
18
% Wealth Created
30
27
20
24
28
30
26
22
16
20
9
11
2
5
10
2
5
4
7
9
Exhibit 14
Robust PAT CAGR of 20% is the key
Exhibit 15
4 of the 9 PSU Wealth Creators are
driver of Wealth Creation for the 7 PSUs
2012-2017
PSU
Private
9
91
10
90
-1
12
22
13
22
22
10
17
10
25
14
19
21
16
in Oil & Gas (IOC, BPCL, HPCL, Petronet LNG)
Utilities
13%
No. of Wealth Creators in Top 100
Share of Wealth Created (%)
5-year Sales CAGR (%)
5-year PAT CAGR (%)
5-year Price CAGR (%)
P/E - 2012 (x)
P/E - 2017 (x)
RoE - 2012 (%)
RoE - 2017 (%)
Financials
9%
Oil & Gas
68%
Capital
Goods
7%
Others
3%
Key Takeaway
Is government focus driving PSU turnaround?
Fortunes of many PSUs hinge on performance of the economy, especially the industrial sector
– Coal India, BHEL, SBI, SAIL, etc. Measures to boost industrial recovery – “Make in India”, high
capex in roads and railways, bank recapitalization, etc– bode well for PSUs. All this coupled with
low valuations, hold the potential to trigger mean reversion in Wealth Creation by PSUs.
8 December 2017
45

22nd Annual Wealth Creation Study (2012-2017)
#8
Wealth Creation: Market Cap Rank Analysis
In our 2015 Wealth Creation Study, we called large, mid and small cap stocks as
Mega, Mid
and
Mini,
defined as under:
Mega –
Top 100 stocks by market cap rank for any given year
Mid
Next 200 stocks by market cap rank
Mini –
All stocks below the top 300 ranks.
Market cap ranks of companies change constantly. Over time, companies also cross over from
one category to another. For the period 2012-17, the market cap crossover matrix stands as
under –
Exhibit 16
2012-17: Market cap crossovers: No. of companies and average returns
FROM (in 2012)
Mini
Mid
Mega
New
TOTAL
TO (in 2017)
Mega
Avg Return
0
18
40%
76
13%
6
100
Mid
Avg Return
49
54%
107
18%
22
-6%
22
200
Mini
Avg Return
2,533
12%
74
-7%
2
-32%
593
3,202
Merger/
Delisting
148
1
0
-149
TOTAL
2,730
200
100
472
3,502
How to read the table
In 2012, there were 2,730 Mini companies (i.e. ranked beyond 300). Of these, 49 moved to
Mid category by 2017, delivering an average 54% return CAGR in the process. Next, 2,533
companies stayed as Mini and 148 got merged or delisted.
Likewise, of the 200 Mid companies in 2012, 18 moved to Mega by 2017, delivering an
average 40% return CAGR in the process. 107 Mid companies stayed as Mid and 74 slipped
to the Mini category.
Finally, of the 100 Mega companies in 2012, 76 stayed as Mega, 22 slipped to Mid, and
2 slipped to the Mini category.
46
8 December 2017

22nd Annual Wealth Creation Study (2012-2017)
We specifically analyzed the 3 positive crossovers –
1. Mini-to-Mega
2. Mini-to-Mid and
3. Mid-to-Mega.
8.1 Mini-to-Mega: No companies
During 2012-17, there was no company which moved from Mini to Mega.
8.2 Mini-to-Mid: 49 companies, 54% average Price CAGR
During 2012-17, 49 companies crossed over from Mini to Mid category, generating an
average return CAGR of 54%, v/s 11% for the Sensex.
Of these 67 Mini-to-Mid stocks, 10 feature in our list of 100 Biggest Wealth Creators.
7 of the top 10 fastest Wealth Creators are featured in the list.
Exhibit 17
Mini-to-Mid (2012-17): 10 of 49 Mini-to-Mid stocks feature among top 100 Wealth Creators
Ajanta Pharma
KRBL
Dalmia Bharat
Symphony
Alembic Pharma
Natco Pharma
Vakrangee
TVS Motor
P I Inds
IIFL Holdings
AVERAGE
Mkt Cap Rank
2017
2012
135
546
199
599
124
399
189
468
175
437
146
409
125
372
111
307
178
378
165
310
WC Rank *
Biggest Fastest
66
1
100
2
63
4
97
5
89
6
73
8
62
9
54
11
95
12
92
20
Price
CAGR %
96
88
69
68
67
64
64
60
51
43
67
PAT
CAGR %
45
34
13
23
25
52
50
28
41
38
35
P/E (x)
2017
2012
31
7
24
5
62
8
70
15
29
7
30
19
34
20
45
15
25
16
18
14
37
13
* 2012-17 Wealth Creation Rank
8.3 Mid-to-Mega: 18 companies, 40% average Price CAGR
During 2012-17, 18 companies crossed over from Mid to Mega (listed on next page).
All the 18 made it to this year’s list of 100 Biggest Wealth Creators.
The Mid-to-Mega portfolio delivered average return CAGR of 40% over 2012-17 v/s 11% for
Sensex.
Key Takeaway
Mid category: A good place to hunt for Wealth Creators
All the 18 Mid-to-Mega stocks have made it the list of top 100 Wealth Creators. Their portfolio
handsomely outperformed the benchmark. The strike rate is reasonable at 9% (18 of 200),
making the Mid category a good focused starting point to hunt for Wealth Creators.
8 December 2017
47

22nd Annual Wealth Creation Study (2012-2017)
Exhibit 18
Mid-to-Mega (2012-17): 18 companies, 40% average Price CAGR v/s 11% for Sensex
Bajaj Fin.
Eicher Motors
Aurobindo Pharma
Bajaj Finserv
Motherson Sumi
MRF
Britannia Inds
UPL
HPCL
Torrent Pharma
Havells India
Piramal Enterprises
Pidilite Inds
United Spirits
P & G Hygiene
Bharat Forge
Glenmark Pharma
Tech Mahindra
AVERAGE
* 2012-17 Wealth Creation Rank
Mkt Cap Rank
2017
2012
38
212
34
158
67
205
37
112
47
134
93
182
63
136
71
151
46
102
92
159
84
135
76
124
72
109
79
127
98
133
99
130
100
119
57
107
WC Rank *
Biggest Fastest
20
3
17
7
34
10
21
13
29
14
49
18
35
22
44
23
27
29
50
30
46
42
42
43
40
45
48
51
59
55
60
57
67
65
47
74
Price
CAGR %
71
67
63
47
47
44
42
41
39
38
33
32
32
29
27
27
23
21
40
PAT
CAGR %
35
42
65
11
44
34
37
26
114
22
8
74
22
7
19
8
20
20
34
P/E (x)
2017
2012
35
8
42
19
17
19
29
7
33
28
17
12
46
39
21
11
6
56
30
16
52
19
26
102
42
29
116
42
56
40
40
18
21
18
16
8
36
27
8 December 2017
48

22nd Annual Wealth Creation Study (2012-2017)
#9
Wealth Creation: Valuation parameters analysis
Payback ratio < 1 offers distinctly superior returns
During 2012-17, some valuation norms did not hold true e.g. companies in the Price/Book
range of 3-4x delivered much higher return than <1 and 2-3 range.
Every study invariably suggests that the highest return is generated when payback ratio is
less than 1x.
(Payback is a proprietary ratio of Motilal Oswal, defined as current market cap divided by
estimated profits over the next five years. For 2012, we calculate this ratio based on the
actual profits reported over the next five years).
Exhibit 19
Payback ratio less than 1x remains a sure shot formula for multi-baggers
Range
No. of
WC
% Share
CAGR (%)
RoE (%)
in 2012
Cos.
(INR b)
of WC
Price
PAT
2017
2012
P/E
<10
10-15
15-20
20-25
25-30
>30
Total
Price / Book
<2
2-3
3-4
4-5
5-6
>6
Total
19
23
23
14
8
13
100
4,905
7,777
7,351
9,235
4,946
4,713
38,927
13
20
19
24
13
12
100
27
19
25
22
22
24
22
7
11
16
20
18
33
15
17
13
16
20
20
31
17
24
14
17
23
22
12
18
29
23
14
11
7
16
100
9,162
7,416
5,826
5,939
2,263
8,320
38,927
24
19
15
15
6
21
100
23
21
31
25
25
18
22
18
6
19
20
20
16
15
16
14
17
18
20
28
17
12
20
19
20
23
36
18
Price / Sales
<1
1-2
2-3
3-4
4-5
>5
Total
Payback ratio
<1
1-2
2-3
>3
Total
8 December 2017
28
24
18
13
10
7
100
9,458
7,021
4,811
6,302
7,940
3,393
38,927
24
18
12
16
20
9
100
22
29
26
21
21
17
22
13
17
11
13
18
15
15
16
16
13
18
20
21
17
15
17
18
22
21
26
18
15
38
28
19
100
4,190
13,887
13,126
7,724
38,927
11
36
34
20
100
38
23
23
18
22
33
10
19
10
15
23
14
20
19
17
13
17
21
23
18
49

22nd Annual Wealth Creation Study (2012-2017)
#10
Those who missed the list
The big who didn’t beat the market
During 2012-17, the Sensex return CAGR was 11.2%.
10 companies (Exhibit 20 below) created enough wealth to qualify among the 100 biggest,
but failed to make it to the final list as their stock return CAGR was lower than the Sensex.
They made way for 10 others to join the list (Exhibit 21 below).
Exhibit 20
Those who missed the list …
Exhibit 21
… and those who made it
Infosys
SBI
ICICI Bank
Bajaj Auto
Hero Moto.
Wipro
Nestle
Siemens
Dr Reddy's
NHPC Ltd
GAIL (India)
Power Fin.
Hindalco
WC *
(INR b)
708
657
582
327
233
229
200
179
168
163
157
155
135
Price
Potential
CAGR (%) Size Rank **
7.3
13
6.9
18
9.3
23
10.8
39
9.4
48
3.3
51
7.7
58
10.7
62
8.4
69
10.3
71
6.0
74
9.7
75
8.6
84
Shriram Trans.
Alembic Pharma
Edelweiss Financial
Shriram City Union
IIFL Holdings
GSK Consumer
M & M Financial
P I Inds
Voltas
Symphony
Muthoot Fin.
Jubilant Life
KRBL
WC *
Price
(INR b) CAGR (%)
109
12
108
67
108
42
107
29
105
43
101
13
101
19
100
51
99
30
99
68
96
24
95
32
93
88
Size
Rank
88
89
90
91
92
93
94
95
96
97
98
99
100
* - Wealth Created; ** Size rank had the stock outperformed the benchmark
The fast who didn’t make it big
The 100th biggest Wealth Creator created Wealth of INR 93 billion. Over 470 more companies
beat the benchmark return CAGR 11.2% but did not make it to the list as they created
absolute wealth less than INR 93 billion.
The table below lists the top 20 among them.
Exhibit 22
The fast who didn’t make it big
CCL Products
La Opala RG
Sundaram Clayton
Price
Price
WC
CAGR (%) Mult. (x) (INR b)
91
25
44
90
88
25
24
28
68
K P R Mill Ltd
Heritage Foods
Wim Plast
Price
Price
CAGR (%) Mult. (x)
73
15
73
72
72
71
71
71
70
70
68
15
15
15
15
15
15
14
14
13
WC
(INR b)
47
23
17
46
14
46
15
18
58
13
Can Fin Homes
83
20
51
CEAT
Welspun India
81
19
84
Srikalahasti Pipes
Somany Ceramics
79
18
26
Johnson Controls
Granules India
76
17
28
Garware-Wall
Finolex Cables
75
17
74
Excel Crop Care
Relaxo Footwear
75
16
63
Astral Poly
Bodal Chemicals
73
16
16
Technocraft Inds
Note:
In choosing these companies, the conditions are:
(1) Base 2012 market cap of at least INR 1 billion and
(2) Wealth created of at least INR 1 billion.
8 December 2017
50

22nd Annual Wealth Creation Study (2012-2017)
#11
Wealth Destruction: Companies & Sectors
The cyclical downturn continues
The total Wealth Destroyed during 2012-17 is INR 6 trillion, 15% of the total Wealth Created
by top 100 companies. Thanks to buoyant markets, both the quantum and the percentage
are much lower than in the previous two studies (Exhibit 23).
The broader theme of Wealth Destruction is
cyclical downturn
(Exhibits 24 and 25).
Metals/Mining is the biggest Wealth Destroying sector as was the case last two studies.
Trading sector is led by MMTC, whereas Banking & Finance mainly includes state-owned
banks at the wrong end of the NPA cycle. Capital Goods and Construction/Real Estate further
corroborate the cyclical downturn theme.
Exhibit 23
Level of Wealth Destruction sharply down
Wealth destroyed (INR B)
% of Wealth Created by top 100 Wealth Creators
93
33
2
15
14
43
1
1
18
43
56
15
0
Exhibit 24
Exhibit 25
Wealth Destroyed
INR b
% Share
Price
CAGR (%)
Cyclicals top Wealth Destroyers list
Company
MMTC
Jindal Steel
Coal India
BHEL
NMDC
Reliance Power
Hindustan Copper
JP Associates
Adani Enterprises
Reliance Comm.
Total of Above
Total Wealth Destroyed
722
393
349
230
219
193
186
160
143
139
2,734
6,006
12
7
6
4
4
3
3
3
2
2
46
100
-40
-26
-3
-9
-4
-16
-24
-30
-19
-15
The usual suspects at the sector level too
Wealth
%
Sector
Destroyed
Share
(INR b)
Metals/Mining
1,535
26
Trading
923
15
Banking & Finance
890
15
Constn./Real Estate
517
9
Utilities
474
8
Capital Goods
460
8
Telecom
247
4
Textiles
169
3
Technology
110
2
Others
681
11
Total
6,006
100
Key Takeaway
Cyclicals – Early signals of turnaround
Favorable global commodity cycle coupled with aggressive domestic capex (mainly by the
.
Indian government) are likely to herald at least near-term upturn for cyclicals. However,
predicting the next downturn is challenging. Thus, the only safe way to play cyclicals is to buy
them cheap during the downcycles.
8 December 2017
51

22nd Annual Wealth Creation Study (2012-2017)
Appendix 1: MOSL 100: Biggest Wealth Creators (2012-2017)
Rank
1
2
3
4
5
6
7
8
9
10
11
12
13
14
15
16
17
18
19
20
21
22
23
24
25
26
27
28
29
30
31
32
33
34
35
36
37
38
39
40
41
42
43
44
45
46
47
48
49
50
Rank
Company
TCS
HDFC Bank
Reliance Industries
ITC
Maruti Suzuki
HDFC
IOCL
Hind. Unilever
Kotak Mahindra Bank
HCL Technologies
Sun Pharma
Asian Paints
UltraTech Cement
BPCL
Hindustan Zinc
Larsen & Toubro
Eicher Motors
IndusInd Bank
Axis Bank
Bajaj Finance
Bajaj Finserv
Tata Motors
Yes Bank
Shree Cement
Power Grid Corpn.
Bosch
HPCL
Adani Ports
Motherson Sumi
Lupin
Godrej Consumer
Zee Entertainment
M&M
Aurobindo Pharma
Britannia Industries
Dabur India
Cadila Healthcare
JSW Steel
Marico
Pidilite Industries
Bharat Electronics
Piramal Enterprises
Grasim Industries
UPL
Cipla
Havells India
Tech Mahindra
United Spirits
MRF
Torrent Pharma
Company
Wealth Created
INR b
Share (%)
2,499
6.4
2,315
5.9
1,888
4.8
1,594
4.1
1,413
3.6
1,350
3.5
1,219
3.1
1,081
2.8
1,050
2.7
884
2.3
728
1.9
717
1.8
682
1.8
677
1.7
662
1.7
660
1.7
642
1.6
620
1.6
618
1.6
585
1.5
553
1.4
523
1.3
496
1.3
482
1.2
479
1.2
456
1.2
438
1.1
438
1.1
426
1.1
414
1.1
406
1.0
401
1.0
368
0.9
361
0.9
335
0.9
301
0.8
298
0.8
281
0.7
271
0.7
268
0.7
249
0.6
247
0.6
243
0.6
232
0.6
231
0.6
221
0.6
216
0.6
216
0.6
215
0.6
209
0.5
Wealth Created
INR b
Share (%)
CAGR (2012-17, %)
Price
PAT
Sales
16
20
19
23
24
21
12
10
-3
13
11
10
35
32
14
17
15
15
24
13
-3
17
11
7
26
22
21
29
29
18
19
23
32
27
15
12
21
4
6
30
63
-1
17
6
9
13
5
11
67
42
4
34
29
22
16
-1
15
71
35
36
47
11
55
11
-14
10
33
28
21
40
16
8
13
17
20
23
4
5
39
114
0
21
28
26
47
44
24
22
24
20
28
18
14
33
17
16
13
2
7
63
65
26
42
37
11
21
14
8
24
18
12
21
26
10
28
19
8
32
22
12
25
12
8
32
74
32
15
3
7
41
26
16
14
-5
16
33
8
-2
21
20
40
29
7
-1
44
34
7
38
22
17
CAGR (2012-17, %)
Price
PAT
Sales
RoE (%)
2017
2012
30
17
11
22
16
18
20
64
13
26
19
25
11
31
22
12
31
14
7
19
14
11
15
17
15
15
39
22
19
19
24
19
11
25
33
25
21
16
33
25
20
8
9
24
7
17
17
15
17
20
35
17
11
32
10
23
18
71
14
25
20
35
17
5
19
15
19
18
19
20
26
43
21
23
14
23
1
23
14
22
20
17
18
8
44
37
25
7
28
24
14
1
14
13
15
39
28
4
15
27
P/E (x)
2017
2012
19
22
24
23
14
13
33
29
31
26
22
18
9
6
45
34
33
22
15
14
24
24
53
32
41
19
10
30
18
11
25
18
42
19
29
19
30
11
35
8
29
7
20
5
21
13
45
18
14
15
54
24
6
56
18
23
33
28
25
27
44
29
40
20
23
14
17
19
46
39
40
29
30
24
13
14
50
34
42
29
23
14
26
102
18
10
21
11
53
21
52
19
16
8
116
42
17
12
30
16
P/E (x)
2017
2012
52
RoE (%)
2017
2012
8 December 2017

22nd Annual Wealth Creation Study (2012-2017)
Appendix 1: MOSL 100: Biggest Wealth Creators (2012-2017) … continued
Rank
51
52
53
54
55
56
57
58
59
60
61
62
63
64
65
66
67
68
69
70
71
72
73
74
75
76
77
78
79
80
81
82
83
84
85
86
87
88
89
90
91
92
93
94
95
96
97
98
99
100
Rank
Company
Titan Company
Berger Paints
Sun TV Network
TVS Motor Company
Biocon
Emami
LIC Housing Finance
Petronet LNG
P & G Hygiene
Bharat Forge
Rural Elec. Corpn.
Vakrangee
Dalmia Bharat
Kansai Nerolac
Bajaj Holdings
Ajanta Pharma
Glenmark Pharma
Ashok Leyland
Sundaram Finance
Tata Communication
Rajesh Exports
Page Industries
Natco Pharma
L&T Finance
Whirlpool India
Amara Raja Batteries
Max Financial
Cummins India
Container Corpn.
The Ramco Cement
GRUH Finance
Colgate-Palmolive
Cholamandalam Inv.
AIA Engineering
Supreme Industries
Bayer Crop Sciences
Balkrishna Industries
Shriram Transport
Alembic Pharma
Edelweiss Financial
Shriram City Union
IIFL Holdings
GSK Consumer
M & M Financial
P I Industries
Voltas
Symphony
Muthoot Finance
Jubilant Life
KRBL
TOTAL / AVG
Company
Wealth Created
INR b
Share (%)
206
0.5
198
0.5
192
0.5
186
0.5
179
0.5
179
0.5
178
0.5
176
0.5
171
0.4
168
0.4
164
0.4
158
0.4
157
0.4
155
0.4
151
0.4
149
0.4
149
0.4
148
0.4
142
0.4
142
0.4
140
0.4
134
0.3
132
0.3
131
0.3
130
0.3
127
0.3
127
0.3
125
0.3
125
0.3
123
0.3
122
0.3
120
0.3
118
0.3
115
0.3
112
0.3
112
0.3
110
0.3
109
0.3
108
0.3
108
0.3
107
0.3
105
0.3
101
0.3
101
0.3
100
0.3
99
0.3
99
0.3
96
0.2
95
0.2
93
0.2
38,927
100.0
Wealth Created
INR b
Share (%)
CAGR (2012-17, %)
Price
PAT
Sales
15
6
8
45
19
9
21
8
7
60
28
11
37
12
13
31
8
11
19
16
18
19
10
2
27
19
12
27
8
0
12
17
19
64
50
24
69
13
25
33
17
10
22
8
23
96
45
24
23
20
18
23
22
12
37
8
13
26
-183
4
36
25
57
40
24
25
64
52
31
21
18
23
44
20
9
43
17
18
28
-5
12
14
6
4
15
0
8
34
11
4
44
20
24
12
5
8
39
37
21
34
18
10
39
12
9
36
10
4
40
21
4
12
-1
12
67
25
16
42
37
32
29
11
18
43
38
21
13
13
8
19
-4
20
51
41
19
30
15
3
68
23
20
24
6
5
32
15
6
88
34
14
22
15
7
CAGR (2012-17, %)
Price
PAT
Sales
RoE (%)
2017
2012
19
41
22
23
25
28
20
18
13
15
22
36
17
16
20
30
82
26
15
19
19
19
25
17
6
5
16
20
14
20
32
26
26
19
24
19
14
21
20
-36
22
21
40
54
29
13
13
10
21
26
18
26
17
21
19
26
10
16
17
19
27
31
45
102
17
11
15
15
25
35
14
22
20
24
11
22
21
33
14
5
11
20
16
8
21
31
7
21
28
25
13
15
33
32
18
30
17
13
21
13
17
18
RoE (%)
2017
2012
P/E (x)
2017
2012
52
34
55
20
31
18
45
15
37
14
62
24
16
14
18
12
56
40
40
18
6
7
34
20
62
8
44
23
10
5
31
7
21
18
16
14
26
8
64
-
14
9
61
33
30
19
21
18
50
20
32
12
39
9
36
26
29
14
24
9
49
19
47
34
21
16
37
19
32
11
46
18
19
9
19
10
29
7
22
16
26
10
18
14
33
33
35
11
25
16
32
17
70
15
12
5
22
11
24
5
22
16
P/E (x)
2017
2012
53
8 December 2017

22nd Annual Wealth Creation Study (2012-2017)
Appendix 2: MOSL 100: Fastest Wealth Creators (2012-2017)
Rank Company
1
2
3
4
5
6
7
8
9
10
11
12
13
14
15
16
17
18
19
20
21
22
23
24
25
26
27
28
29
30
31
32
33
34
35
36
37
38
39
40
41
42
43
44
45
46
47
48
49
50
Rank
Ajanta Pharma
KRBL
Bajaj Finance
Dalmia Bharat
Symphony
Alembic Pharma
Eicher Motors
Natco Pharma
Vakrangee
Aurobindo Pharma
TVS Motor Company
P I Industries
Bajaj Finserv
Motherson Sumi
Berger Paints
GRUH Finance
Whirlpool India
MRF
Amara Raja Batteries
IIFL Holdings
Edelweiss Financial
Britannia Industries
UPL
Page Industries
Balkrishna Industries
Shree Cement
Supreme Industries
Cholamandalam Inv.
HPCL
Torrent Pharma
Sundaram Finance
Biocon
Bayer Crop Sciences
Rajesh Exports
Maruti Suzuki
IndusInd Bank
The Ramco Cement
AIA Engineering
Zee Entertainment
Yes Bank
Kansai Nerolac
Havells India
Piramal Enterprises
Jubilant Life
Pidilite Industries
Emami
BPCL
Voltas
Shriram City Union
HCL Technologies
Company
2012-17 Price
CAGR (%) Times (x)
96
28.9
88
23.3
71
14.8
69
13.7
68
13.4
67
12.9
67
12.9
64
12.0
64
11.9
63
11.4
60
10.5
51
7.9
47
6.8
47
6.8
45
6.4
44
6.2
44
6.2
44
6.1
43
6.1
43
6.0
42
5.7
42
5.7
41
5.6
40
5.4
40
5.4
40
5.3
39
5.2
39
5.2
39
5.2
38
4.9
37
4.9
37
4.8
36
4.7
36
4.6
35
4.5
34
4.4
34
4.4
34
4.4
33
4.2
33
4.2
33
4.2
33
4.1
32
4.1
32
4.0
32
3.9
31
3.9
30
3.7
30
3.7
29
3.6
29
3.6
2012-17 Price
CAGR (%) Times (x)
CAGR 12-17 (%)
PAT
Sales
45
24
34
14
35
36
13
25
23
20
25
16
42
4
52
31
50
24
65
26
28
11
41
19
11
55
44
24
19
9
20
24
20
9
34
7
17
18
38
21
37
32
37
11
26
16
24
25
21
4
16
8
12
9
37
21
114
0
22
17
8
13
12
13
10
4
25
57
32
14
29
22
11
4
18
10
17
16
28
21
17
10
8
-2
74
32
15
6
22
12
8
11
63
-1
15
3
11
18
29
18
CAGR 12-17 (%)
PAT
Sales
Wealth Created
INR b Share (%)
149
0.4
93
0.2
585
1.5
157
0.4
99
0.3
108
0.3
642
1.6
132
0.3
158
0.4
361
0.9
186
0.5
100
0.3
553
1.4
426
1.1
198
0.5
122
0.3
130
0.3
215
0.6
127
0.3
105
0.3
108
0.3
335
0.9
232
0.6
134
0.3
110
0.3
482
1.2
112
0.3
118
0.3
438
1.1
209
0.5
142
0.4
179
0.5
112
0.3
140
0.4
1,413
3.6
620
1.6
123
0.3
115
0.3
401
1.0
496
1.3
155
0.4
221
0.6
247
0.6
95
0.2
268
0.7
179
0.5
677
1.7
99
0.3
107
0.3
884
2.3
Wealth Created
INR b Share (%)
RoE (%)
2017 2012
32
26
21
13
19
20
6
5
33
32
21
33
31
19
29
13
25
17
25
8
20
18
28
25
14
26
19
14
22
23
27
31
21
26
17
15
18
26
16
8
14
5
33
44
24
13
40
54
20
24
17
23
25
35
17
11
39
1
20
27
14
21
13
15
14
22
22
21
16
10
14
18
17
19
15
15
19
17
15
21
16
20
17
39
8
1
17
13
25
24
22
36
31
5
13
15
11
20
26
25
RoE (%)
2017 2012
P/E (x)
2017
2012
31
7
24
5
35
8
62
8
70
15
29
7
42
19
30
19
34
20
17
19
45
15
25
16
29
7
33
28
55
20
49
19
50
20
17
12
32
12
18
14
22
16
46
39
21
11
61
33
19
9
45
18
32
11
21
16
6
56
30
16
26
8
37
14
46
18
14
9
31
26
29
19
24
9
37
19
40
20
21
13
44
23
52
19
26
102
22
11
42
29
62
24
10
30
32
17
26
10
15
14
P/E (x)
2017
2012
54
8 December 2017

22nd Annual Wealth Creation Study (2012-2017)
Appendix 2: MOSL 100: Fastest Wealth Creators (2012-2017) … continued
Rank Company
United Spirits
Godrej Consumer
Max Financial
Marico
P & G Hygiene
Asian Paints
Bharat Forge
Kotak Mahindra Bank
Tata Communication
Bharat Electronics
IOCL
Muthoot Finance
Cadila Healthcare
Ashok Leyland
Glenmark Pharma
HDFC Bank
Bosch
Lupin
Bajaj Holdings
UltraTech Cement
Adani Ports
Dabur India
JSW Steel
Tech Mahindra
Sun TV Network
L&T Finance
Sun Pharma
Petronet LNG
M & M Financial
LIC Housing Finance
HDFC
Hind. Unilever
Hindustan Zinc
Axis Bank
TCS
Container Corpn.
Titan Company
Grasim Industries
Cipla
Cummins India
GSK Consumer
ITC
M&M
Power Grid Corpn.
Larsen & Toubro
Shriram Transport
Colgate-Palmolive
Reliance Industries
Rural Elec. Corpn.
Tata Motors
TOTAL
Rank Company
51
52
53
54
55
56
57
58
59
60
61
62
63
64
65
66
67
68
69
70
71
72
73
74
75
76
77
78
79
80
81
82
83
84
85
86
87
88
89
90
91
92
93
94
95
96
97
98
99
100
2012-17 Price
CAGR (%) Times (x)
29
3.6
28
3.5
28
3.4
28
3.4
27
3.4
27
3.3
27
3.2
26
3.2
26
3.2
25
3.1
24
2.9
24
2.9
24
2.9
23
2.8
23
2.8
23
2.8
23
2.8
22
2.7
22
2.7
21
2.6
21
2.6
21
2.6
21
2.6
21
2.6
21
2.6
21
2.6
19
2.4
19
2.4
19
2.4
19
2.3
17
2.2
17
2.2
17
2.2
16
2.1
16
2.1
15
2.0
15
2.0
15
2.0
14
1.9
14
1.9
13
1.9
13
1.9
13
1.8
13
1.8
13
1.8
12
1.8
12
1.8
12
1.8
12
1.8
11
1.7
22
2.8
2012-17 Price
CAGR (%) Times (x)
CAGR (12-17, %)
PAT
Sales
7
-1
18
14
-5
12
19
8
19
12
15
12
8
0
22
21
-183
4
12
8
13
-3
6
5
18
12
22
12
20
18
24
21
4
5
24
20
8
23
4
6
28
26
14
8
26
10
20
40
8
7
18
23
23
32
10
2
-4
20
16
18
15
15
11
7
6
9
-1
15
20
19
0
8
6
8
3
7
-5
16
6
4
13
8
11
10
2
7
17
20
5
11
-1
12
5
8
10
-3
17
19
-14
10
15
7
CAGR (12-17, %)
PAT
Sales
Wealth Created
INR b Share (%)
216
0.6
406
1.0
127
0.3
271
0.7
171
0.4
717
1.8
168
0.4
1,050
2.7
142
0.4
249
0.6
1,219
3.1
96
0.2
298
0.8
148
0.4
149
0.4
2,315
5.9
456
1.2
414
1.1
151
0.4
682
1.8
438
1.1
301
0.8
281
0.7
216
0.6
192
0.5
131
0.3
728
1.9
176
0.5
101
0.3
178
0.5
1,350
3.5
1,081
2.8
662
1.7
618
1.6
2,499
6.4
125
0.3
206
0.5
243
0.6
231
0.6
125
0.3
101
0.3
1,594
4.1
368
0.9
479
1.2
660
1.7
109
0.3
120
0.3
1,888
4.8
164
0.4
523
1.3
38,927
100.0
Wealth Created
INR b Share (%)
RoE (%)
2017 2012
15
4
24
20
17
21
33
28
82
26
25
35
15
19
13
14
20
-36
20
14
20
18
18
30
21
25
24
19
26
19
17
17
15
23
19
22
14
20
11
17
22
23
25
37
16
7
17
28
25
28
13
10
19
20
20
30
7
21
17
16
18
23
64
71
22
19
7
19
30
35
10
16
19
41
9
14
7
15
19
26
21
31
22
32
11
18
15
14
12
15
11
22
45
102
11
11
19
19
11
43
17
18
RoE (%)
2017 2012
P/E (x)
2017
2012
116
42
44
29
39
9
50
34
56
40
53
32
40
18
33
22
64
-
23
14
9
6
12
5
30
24
16
14
21
18
24
23
54
24
25
27
10
5
41
19
18
23
40
29
13
14
16
8
31
18
21
18
24
24
18
12
35
11
16
14
22
18
45
34
18
11
30
11
19
22
29
14
52
34
18
10
53
21
36
26
33
33
33
29
23
14
14
15
25
18
19
10
47
34
14
13
6
7
20
5
22
16
P/E (x)
2017
2012
55
8 December 2017

22nd Annual Wealth Creation Study (2012-2017)
Appendix 3: MOSL 100: Alphabetical order
WC Rank
Company
Adani Ports
AIA Engineering
Ajanta Pharma
Alembic Pharma
Amara Raja Batteries
Ashok Leyland
Asian Paints
Aurobindo Pharma
Axis Bank
BPCL
Bajaj Finance
Bajaj Finserv
Bajaj Holdings
Balkrishna Inds
Bayer Crop Sciences
Berger Paints
Bharat Electronics
Bharat Forge
Biocon
Bosch
Britannia Inds
Cadila Healthcare
Cholamandalam Inv.
Cipla
Colgate-Palmolive
Container Corpn.
Cummins India
Dabur India
Dalmia Bharat
Edelweiss Financial
Eicher Motors
Emami
GSK Consumer
Glenmark Pharma
Godrej Consumer
Grasim Industries
GRUH Finance
HDFC
HPCL
Havells India
HCL Technologies
HDFC Bank
Hind. Unilever
Hindustan Zinc
IOCL
IIFL Holdings
IndusInd Bank
ITC
JSW Steel
Jubilant Life
8 December 2017
Biggest Fastest
28
84
66
89
76
68
12
34
19
14
20
21
65
87
86
52
41
60
55
26
35
37
83
45
82
79
78
36
63
90
17
56
93
67
31
43
81
6
27
46
10
2
8
15
7
92
18
4
38
99
71
38
1
6
19
64
56
10
84
47
3
13
69
25
33
15
60
57
32
67
22
63
28
89
97
86
90
72
4
21
7
46
91
65
52
88
16
81
29
42
50
66
82
83
61
20
36
92
73
44
Wealth Created
Price
Price
INR b
CAGR % Mult. (x)
438
21
2.6
115
34
4.4
149
96
28.9
108
67
12.9
127
43
6.1
148
23
2.8
717
27
3.3
361
63
11.4
618
16
2.1
677
30
3.7
585
71
14.8
553
47
6.8
151
22
2.7
110
40
5.4
112
36
4.7
198
45
6.4
249
25
3.1
168
27
3.2
179
37
4.8
456
23
2.8
335
42
5.7
298
24
2.9
118
39
5.2
231
14
1.9
120
12
1.8
125
15
2.0
125
14
1.9
301
21
2.6
157
69
13.7
108
42
5.7
642
67
12.9
179
31
3.9
101
13
1.9
149
23
2.8
406
28
3.5
243
15
2.0
122
44
6.2
1,350
17
2.2
438
39
5.2
221
33
4.1
884
29
3.6
2,315
23
2.8
1,081
17
2.2
662
17
2.2
1,219
24
2.9
105
43
6.0
620
34
4.4
1,594
13
1.9
281
21
2.6
95
32
4.0
WC Rank
Company
Kansai Nerolac
Kotak Mahindra
KRBL
L&T Finance
Larsen & Toubro
LIC Housing Finance
Lupin
M&M
M & M Financial
Marico
Maruti Suzuki
Max Financial
Motherson Sumi
MRF
Muthoot Finance
Natco Pharma
P & G Hygiene
P I Industries
Page Industries
Petronet LNG
Pidilite Industries
Piramal Enterprises
Power Grid Corpn.
Rajesh Exports
Reliance Industries
Rural Elec. Corpn.
Shree Cement
Shriram City Union
Shriram Transport
Sun Pharma
Sun TV Network
Sundaram Finance
Supreme Industries
Symphony
Tata Communication
Tata Motors
TCS
Tech Mahindra
The Ramco Cement
Titan Company
Torrent Pharma
TVS Motor Company
UltraTech Cement
United Spirits
UPL
Vakrangee
Voltas
Whirlpool India
Yes Bank
Zee Entertainment
Biggest Fastest
64
9
100
74
16
57
30
33
94
39
5
77
29
49
98
73
59
95
72
58
40
42
25
71
3
61
24
91
88
11
53
69
85
97
70
22
1
47
80
51
50
54
13
48
44
62
96
75
23
32
41
58
2
76
95
80
68
93
79
54
35
53
14
18
62
8
55
12
24
78
45
43
94
34
98
99
26
49
96
77
75
31
27
5
59
100
85
74
37
87
30
11
70
51
23
9
48
17
40
39
Wealth Created
Price
Price
INR b
CAGR % Mult. (x)
155
33
4.2
1,050
26
3.2
93
88
23.3
131
21
2.6
660
13
1.8
178
19
2.3
414
22
2.7
368
13
1.8
101
19
2.4
271
28
3.4
1,413
35
4.5
127
28
3.4
426
47
6.8
215
44
6.1
96
24
2.9
132
64
12.0
171
27
3.4
100
51
7.9
134
40
5.4
176
19
2.4
268
32
3.9
247
32
4.1
479
13
1.8
140
36
4.6
1,888
12
1.8
164
12
1.8
482
40
5.3
107
29
3.6
109
12
1.8
728
19
2.4
192
21
2.6
142
37
4.9
112
39
5.2
99
68
13.4
142
26
3.2
523
11
1.7
2,499
16
2.1
216
21
2.6
123
34
4.4
206
15
2.0
209
38
4.9
186
60
10.5
682
21
2.6
216
29
3.6
232
41
5.6
158
64
11.9
99
30
3.7
130
44
6.2
496
33
4.2
401
33
4.2
56

Disclosures:
The following Disclosures are being made in compliance with the SEBI Research Analyst Regulations 2014 (herein after referred to as the Regulations).
Motilal Oswal Securities Ltd. (MOSL) is a SEBI Registered Research Analyst having registration no. INH000000412. MOSL, the Research Entity (RE) as defined in the Regulations, is engaged in the business of providing Stock
broking services, Investment Advisory Services, Depository participant services & distribution of various financial products. MOSL is a subsidiary company of Motilal Oswal Financial Service Ltd. (MOFSL). MOFSL is a listed
public company, the details in respect of which are available on
www.motilaloswal.com.
MOSL is registered with the Securities & Exchange Board of India (SEBI) and is a registered Trading Member with National Stock
Exchange of India Ltd. (NSE) and Bombay Stock Exchange Limited (BSE), Metropolitan Stock Exchange Of India Ltd. (MSE) for its stock broking activities & is Depository participant with Central Depository Services Limited
(CDSL) & National Securities Depository Limited (NSDL) and is member of Association of Mutual Funds of India (AMFI) for distribution of financial products. Details of associate entities of Motilal Oswal Securities Limited are
available on the website at
http://onlinereports.motilaloswal.com/Dormant/documents/Associate%20Details.pdf
Pending Regulatory Enquiries against Motilal Oswal Securities Limited by SEBI:
SEBI pursuant to a complaint from client Shri C.R. Mohanraj alleging unauthorized trading, issued a letter dated 29th April 2014 to MOSL notifying appointment of an Adjudicating Officer as per SEBI regulations to hold
inquiry and adjudge violation of SEBI Regulations; MOSL requested SEBI to provide all documents, records, investigation report relied upon by SEBI which were referred in Show Cause Notice and also sought personal
hearing. The matter is currently pending.
MOSL, it’s associates, Research Analyst or their relative may have any financial interest in the subject company. MOSL and/or its associates and/or Research Analyst may have beneficial ownership of 1% or more securities in
the subject company at the end of the month immediately preceding the date of publication of the Research Report.
MOSL and its associate company(ies), their directors and Research Analyst and their relatives may; (a) from
time to time, have a long or short position in, act as principal in, and buy or sell the securities or derivatives thereof of companies mentioned herein. (b) be engaged in any other transaction involving such securities and earn
brokerage or other compensation or act as a market maker in the financial instruments of the company(ies) discussed herein or act as an advisor or lender/borrower to such company(ies) or may have any other potential
conflict of interests with respect to any recommendation and other related information and opinions.; however the same shall have no bearing whatsoever on the specific recommendations made by the analyst(s), as the
recommendations made by the analyst(s) are completely independent of the views of the associates of MOSL even though there might exist an inherent conflict of interest in some of the stocks mentioned in the research
report.
Research Analyst may have served as director/officer, etc. in the subject company in the last 12 month period. MOSL and/or its associates may have received any compensation from the subject company in the past
12 months.
In the last 12 months period ending on the last day of the month immediately preceding the date of publication of this research report, MOSL or any of its associates may have:
a)
managed or co-managed public offering of securities from subject company of this research report,
b)
received compensation for investment banking or merchant banking or brokerage services from subject company of this research report,
c)
received compensation for products or services other than investment banking or merchant banking or brokerage services from the subject company of this research report.
d)
Subject Company may have been a client of MOSL or its associates during twelve months preceding the date of distribution of the research report.
MOSL and it’s associates have not received any compensation or other benefits from the subject company or third party in connection with the research report. To enhance transparency, MOSL has incorporated a Disclosure
of Interest Statement in this document. This should, however, not be treated as endorsement of the views expressed in the report. MOSL and / or its affiliates do and seek to do business including investment banking with
companies covered in its research reports. As a result, the recipients of this report should be aware that MOSL may have a potential conflict of interest that may affect the objectivity of this report. Compensation of Research
Analysts is not based on any specific merchant banking, investment banking or brokerage service transactions.
Terms & Conditions:
This report has been prepared by MOSL and is meant for sole use by the recipient and not for circulation. The report and information contained herein is strictly confidential and may not be altered in any way, transmitted to,
copied or distributed, in part or in whole, to any other person or to the media or reproduced in any form, without prior written consent of MOSL. The report is based on the facts, figures and information that are considered
true, correct, reliable and accurate. The intent of this report is not recommendatory in nature. The information is obtained from publicly available media or other sources believed to be reliable. Such information has not
been independently verified and no guaranty, representation of warranty, express or implied, is made as to its accuracy, completeness or correctness. All such information and opinions are subject to change without notice.
The report is prepared solely for informational purpose and does not constitute an offer document or solicitation of offer to buy or sell or subscribe for securities or other financial instruments for the clients. Though
disseminated to all the customers simultaneously, not all customers may receive this report at the same time. MOSL will not treat recipients as customers by virtue of their receiving this report.
Analyst Certification
The views expressed in this research report accurately reflect the personal views of the analyst(s) about the subject securities or issues, and no part of the compensation of the research analyst(s) was, is, or will be directly or
indirectly related to the specific recommendations and views expressed by research analyst(s) in this report.
Disclosure of Interest Statement
Analyst ownership of the stock
Companies where there is interest
No
A graph of daily closing prices of securities is available at
www.nseindia.com, www.bseindia.com.
Research Analyst views on Subject Company may vary based on Fundamental research and Technical Research. Proprietary
trading desk of MOSL or its associates maintains arm’s length distance with Research Team as all the activities are segregated from MOSL research activity and therefore it can have an independent view with regards to
subject company for which Research Team have expressed their views.
Regional Disclosures (outside India)
This report is not directed or intended for distribution to or use by any person or entity resident in a state, country or any jurisdiction, where such distribution, publication, availability or use would be contrary to law,
regulation or which would subject MOSL & its group companies to registration or licensing requirements within such jurisdictions.
For Hong Kong:
This report is distributed in Hong Kong by Motilal Oswal capital Markets (Hong Kong) Private Limited, a licensed corporation (CE AYY-301) licensed and regulated by the Hong Kong Securities and Futures Commission (SFC)
pursuant to the Securities and Futures Ordinance (Chapter 571 of the Laws of Hong Kong) “SFO”. As per SEBI (Research Analyst Regulations) 2014 Motilal Oswal Securities (SEBI Reg No. INH000000412) has an agreement with
Motilal Oswal capital Markets (Hong Kong) Private Limited for distribution of research report in Hong Kong. This report is intended for distribution only to “Professional Investors” as defined in Part I of Schedule 1 to SFO. Any
investment or investment activity to which this document relates is only available to professional investor and will be engaged only with professional investors.” Nothing here is an offer or solicitation of these securities,
products and services in any jurisdiction where their offer or sale is not qualified or exempt from registration. The Indian Analyst(s) who compile this report is/are not located in Hong Kong & are not conducting Research
Analysis in Hong Kong.
For U.S.
Motilal Oswal Securities Limited (MOSL) is not a registered broker - dealer under the U.S. Securities Exchange Act of 1934, as amended (the"1934 act") and under applicable state laws in the United States. In addition MOSL is
not a registered investment adviser under the U.S. Investment Advisers Act of 1940, as amended (the "Advisers Act" and together with the 1934 Act, the "Acts), and under applicable state laws in the United States.
Accordingly, in the absence of specific exemption under the Acts, any brokerage and investment services provided by MOSL, including the products and services described herein are not available to or intended for U.S.
persons. This report is intended for distribution only to "Major Institutional Investors" as defined by Rule 15a-6(b)(4) of the Exchange Act and interpretations thereof by SEC (henceforth referred to as "major institutional
investors"). This document must not be acted on or relied on by persons who are not major institutional investors. Any investment or investment activity to which this document relates is only available to major institutional
investors and will be engaged in only with major institutional investors. In reliance on the exemption from registration provided by Rule 15a-6 of the U.S. Securities Exchange Act of 1934, as amended (the "Exchange Act") and
interpretations thereof by the U.S. Securities and Exchange Commission ("SEC") in order to conduct business with Institutional Investors based in the U.S., MOSL has entered into a chaperoning agreement with a U.S.
registered broker-dealer, Motilal Oswal Securities International Private Limited. ("MOSIPL"). Any business interaction pursuant to this report will have to be executed within the provisions of this chaperoning agreement.
The Research Analysts contributing to the report may not be registered /qualified as research analyst with FINRA. Such research analyst may not be associated persons of the U.S. registered broker-dealer, MOSIPL, and
therefore, may not be subject to NASD rule 2711 and NYSE Rule 472 restrictions on communication with a subject company, public appearances and trading securities held by a research analyst account.
For Singapore
Motilal Oswal Capital Markets Singapore Pte Limited is acting as an exempt financial advisor under section 23(1)(f) of the Financial Advisers Act(FAA) read with regulation 17(1)(d) of the Financial Advisors Regulations and is a
subsidiary of Motilal Oswal Securities Limited in India. This research is distributed in Singapore by Motilal Oswal Capital Markets Singapore Pte Limited and it is only directed in Singapore to accredited investors, as defined in
the Financial Advisers Regulations and the Securities and Futures Act (Chapter 289), as amended from time to time. In respect of any matter arising from or in connection with the research you could contact the following
representatives of Motilal Oswal Capital Markets Singapore Pte Limited:
Disclaimer:
The report and information contained herein is strictly confidential and meant solely for the selected recipient and may not be altered in any way, transmitted to, copied or distributed, in part or in whole, to any other person
or to the media or reproduced in any form, without prior written consent. This report and information herein is solely for informational purpose and may not be used or considered as an offer document or solicitation of
offer to buy or sell or subscribe for securities or other financial instruments. Nothing in this report constitutes investment, legal, accounting and tax advice or a representation that any investment or strategy is suitable or
appropriate to your specific circumstances. The securities discussed and opinions expressed in this report may not be suitable for all investors, who must make their own investment decisions, based on their own investment
objectives, financial positions and needs of specific recipient. This may not be taken in substitution for the exercise of independent judgment by any recipient. Each recipient of this document should make such investigations
as it deems necessary to arrive at an independent evaluation of an investment in the securities of companies referred to in this document (including the merits and risks involved), and should consult its own advisors to
determine the merits and risks of such an investment. The investment discussed or views expressed may not be suitable for all investors. Certain transactions -including those involving futures, options, another derivative
products as well as non-investment grade securities - involve substantial risk and are not suitable for all investors. No representation or warranty, express or implied, is made as to the accuracy, completeness or fairness of
the information and opinions contained in this document. The Disclosures of Interest Statement incorporated in this document is provided solely to enhance the transparency and should not be treated as endorsement of the
views expressed in the report. This information is subject to change without any prior notice. The Company reserves the right to make modifications and alternations to this statement as may be required from time to time
without any prior approval. MOSL, its associates, their directors and the employees may from time to time, effect or have effected an own account transaction in, or deal as principal or agent in or for the securities
mentioned in this document. They may perform or seek to perform investment banking or other services for, or solicit investment banking or other business from, any company referred to in this report. Each of these entities
functions as a separate, distinct and independent of each other. The recipient should take this into account before interpreting the document. This report has been prepared on the basis of information that is already
available in publicly accessible media or developed through analysis of MOSL. The views expressed are those of the analyst, and the Company may or may not subscribe to all the views expressed therein. This document is
being supplied to you solely for your information and may not be reproduced, redistributed or passed on, directly or indirectly, to any other person or published, copied, in whole or in part, for any purpose. This report is not
directed or intended for distribution to, or use by, any person or entity who is a citizen or resident of or located in any locality, state, country or other jurisdiction, where such distribution, publication, availability or use would
be contrary to law, regulation or which would subject MOSL to any registration or licensing requirement within such jurisdiction. The securities described herein may or may not be eligible for sale in all jurisdictions or to
certain category of investors. Persons in whose possession this document may come are required to inform themselves of and to observe such restriction. Neither the Firm, not its directors, employees, agents or
representatives shall be liable for any damages whether direct or indirect, incidental, special or consequential including lost revenue or lost profits that may arise from or in connection with the use of the information.
The
person accessing this information specifically agrees to exempt MOSL or any of its affiliates or employees from, any and all responsibility/liability arising from such misuse and agrees not to hold MOSL or any of its affiliates or
employees responsible for any such misuse and further agrees to hold MOSL or any of its affiliates or employees free and harmless from all losses, costs, damages, expenses that may be suffered by the person accessing this
information due to any errors and delays.
Registered Office Address: Motilal Oswal Tower, Rahimtullah Sayani Road, Opposite Parel ST Depot, Prabhadevi, Mumbai-400025; Tel No.: 022-3980 4263; www.motilaloswal.com. Correspondence Address: Palm Spring
Centre, 2nd Floor, Palm Court Complex, New Link Road, Malad (West), Mumbai- 400 064. Tel No: 022 3080 1000. Compliance Officer: Neeraj Agarwal, Email Id:
na@motilaloswal.com,
Contact No.:022-30801085.
Registration details of group entities.: MOSL: SEBI Registration: INZ000158836; CDSL: IN-DP-16-2015; NSDL: IN-DP-NSDL-152-2000; Research Analyst: INH000000412. AMFI: ARN 17397. Investment Adviser: INA000007100.
Motilal Oswal Asset Management Company Ltd. (MOAMC): PMS (Registration No.: INP000000670) offers PMS and Mutual Funds products. Motilal Oswal Wealth Management Ltd. (MOWML): PMS (Registration No.:
INP000004409) offers wealth management solutions. *Motilal Oswal Securities Ltd. is a distributor of Mutual Funds, PMS, Fixed Deposit, Bond, NCDs, Insurance and IPO products. * Motilal Oswal Commodities Broker Pvt. Ltd.
offers Commodities Products. * Motilal Oswal Real Estate Investment Advisors II Pvt. Ltd. offers Real Estate products. * Motilal Oswal Private Equity Investment Advisors Pvt. Ltd. offers Private Equity products
6 December 2017
4

Motilal Oswal Wealth Creation Study Gallery