Initiating Coverage | 27 December 2017
Sector: Automobile
Mahindra CIE
Strategic
M&As
Focus on high
growth
segments
New
customers,
products &
technology
New CEO &
Organization
structure
Streamlining
operations
Streamlining
Bal. Sheet
Streamlining
mgmt.
bandwidth
All set for growth phase
Jinesh Gandhi - Research Analyst
(Jinesh@MotilalOswal.com); +91 22 3982 5416
Deep Shah - Research Analyst
(Deep.Shah@MotilalOswal.com) |
Suneeta Kamath - Research Analyst
(Suneeta.Kamath@MotilalOswal.com)
Investors are advised to refer through important disclosures made at the last page of the Research Report.
Motilal Oswal research is available on www.motilaloswal.com/Institutional-Equities, Bloomberg, Thomson Reuters, Factset and S&P Capital.

Mahindra CIE
Contents: Mahindra CIE | All set for growth phase
Summary ............................................................................................................. 3
Mahindra CIE: Business structure .......................................................................... 5
Story in charts ...................................................................................................... 6
Consolidation done; all set for growth .................................................................. 8
India – focused on fast-growing segments ........................................................... 16
Bill Forge – an excellent strategic fit .................................................................... 21
EU business: Mix optimization, op. lev. to drive margins ..................................... 25
Consol. EPS to grow 29% CAGR CY17-19E ............................................................ 29
Valuation & view: Consolidation done, all set for growth .................................... 32
Bull and bear case .............................................................................................. 34
SWOT ANALYSIS ................................................................................................. 35
Financials and Valuations ................................................................................... 39
27 December 2017
2

Mahindra CIE
Initiating Coverage | Sector: Automobile
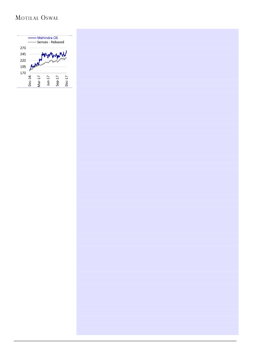
Mahindra CIE
Buy
BSE Sensex
33,912
S&P CNX
10,491
CMP: INR 250
TP: INR297 (+19%)
Mahindra CIE (MACA) is a multi-technology automotive components supplier, with
annual revenue of INR53b in CY16. It is one of the top manufacturers of forging parts in
Stock Info
Bloomberg
Equity Shares (m)
52-Week Range (INR)
1, 6, 12 Rel. Per (%)
M.Cap. (INR b)
M.Cap. (USD b)
Avg Val, INRm
Free float (%)
India (leader in crankshafts and stub axles) and the EU. India contributes 38% of MACA’s
MACA IN
overall business, while the EU contributes the rest. It caters to top customers like
Maruti, M&M, Tata Motors and Hero Moto Corp in India. MACA acquired Bill Forge (BFL)
in India at INR13b in 2016, enabling it to diversify further.
378.1
270 / 174
1/-2/11
94.6
1.5
41
30.1
All set for growth phase
Benefits of consolidation + operating leverage to drive ~29% EPS CAGR
MACA is all primed for a growth phase, after three years of consolidation. We
Financial Snapshot (INR b)
Y/E December
CY17E CY18E
Net Sales
60.7 65.7
EBITDA
7.6
9.2
NP
3.4
4.5
EPS (INR)
9.0
12.0
EPS Gr.%
94.3 33.0
BV/Share (INR)
95.4 107.3
P/E (x)
27.8 20.9
P/BV (x)
2.6
2.3
RoE (x)
9.9
11.8
RoCE (x)
8.3
10.0
CY19E
70.7
10.7
5.6
14.9
24.3
122.2
16.8
2.0
12.9
11.3
Shareholding pattern (%)
As On
Sep-17 Jun-17 Sep-16
Promoter
69.9
69.9
74.7
DII
6.4
6.6
7.6
FII
5.5
4.9
5.6
Others
18.3
18.6
12.1
FII Includes depository receipts
believe all ingredients are in place for sustained growth: (a) India business high
dependence on fast growing segments, (b) scope to add customers in Metalcastello
and focus on value add at MFE, (c) limited growth capex, (d) supportive parent, and
(e) focused M&A strategy.
A strong, focused and disciplined parent, CIE has instilled financial discipline and
high focus on delivering value-accretive growth. MACA would play an important
role in CIE attaining its 2020 targets of doubling profits and RoNA of 20-25%.
We estimate consolidated revenue CAGR of ~8% over CY17-19E, EBITDA margin
expansion of ~260bp to ~15.1% by CY19E and EPS CAGR of ~29%. Strong earnings
growth and limited capex (5-6% of sales) would drive improvement in capital
efficiencies (RoEs to improve 630bp to 12.9%).
We initiate coverage with a Buy rating and target price of INR297 (20x CY19E EPS),
implying 19% upside.
Consolidation done; all set for growth
In the last three years since it acquired MACA, CIE embarked upon restructuring
and consolidation of operations under MACA. With phase-1 of consolidation
largely done, MACA is now focused on growth in phase-2. In the India business, it
is targeting organic as well as inorganic growth (to gain access to key PV
customers in India, plastic and aluminum technologies, and SE Asian markets). In
the Europe business, it would be investing selectively for growth. MACA is CIE's
vehicle to expand in SE Asia and forgings technology worldwide. To achieve these
objectives, CIE has implemented a new organization structure at MACA, headed
by a new CEO from CIE, supported by key CIE senior executives in key positions.
Mahindra CIE
All set for growth phase
India (ex BFL) – focused on fast-growing segments
Jinesh Gandhi
+
91 22 3980 5416
Jinesh.Gandhi@motilaloswal.com
Please click here for Video Link
MACA's India (ex BFL) business is focused on fast-growing/recovering segments
of UVs, LCVs and Tractors, which contribute nearly 2/3rd of revenue. Top-2
customers, M&M and Tata Motors, which contribute over 55% to revenue (ex
BFL), are witnessing good recovery in volumes, driven by product lifecycle as well
as rural recovery (for M&M). MACA's India (ex BFL) operations would also benefit
from (a) problem with debt-laden Amtek Auto, (b) new products/customers,
3
27 December 2017

Mahindra CIE
Stock Performance (1-year)
(c) focus on product-process-location optimization, and (d) focus on increasing
exports. We estimate 8.8% CAGR in India (ex BFL & gears) operations over CY17-19.
Benefit of operating leverage and improvement in mix would drive ~310bp
expansion in EBITDA margin to ~12.7% by CY19. The share of India business is likely
to grow from 38% to 48% by CY19, with the BFL acquisition driving higher growth
and margin expansion.
BFL – an excellent strategic fit; opens up newer avenues for MACA
The Bill Forge (BFL) acquisition is an excellent strategic fit for MACA. It adds
Japanese/Korean PV OEM, 2W and PV driveline products, higher machining mix and
higher exports. BFL offers strong growth potential, given its association with the
strongest players in PVs (Maruti, Hyundai, etc) and 2Ws (Hero, HMSI, etc). Also,
continued ramp-up in exports and Mexico plant would drive strong revenue growth.
We estimate 19% revenue CAGR and 31% PAT CAGR over CY17-19E.
EU business - mix optimization, operating leverage to drive margins
MACA’s European business is likely to grow slightly ahead of the underlying industry
CAGR of 2-4% in EUR terms. Revenue growth in near term would be higher due to
low base of CY16. While revenues for Metalcastello would grow faster than the
industry, CIE Forgings would grow in-line whereas focus at MFE would be on
sustenance of current revenues. We expect further improvement in margins for
European operations, driven by (a) full benefit of restructuring, (b) product-process-
location optimization, and (c) operating leverage. We expect European business
revenue to grow at 3% CAGR (in EUR terms) over CY17-19E; EBIT margin is likely to
expand by 180bp to ~10.5% by CY19, implying PAT CAGR of ~22%.
Several levers to improve margins; expect strong 29% EPS CAGR
MACA has several levers to expand margins in both Indian as well as European
business. Margin expansion would be driven by (a) improvement in mix, (b) product-
process-location optimization, and (c) operating leverage. We estimate consolidated
revenue CAGR of ~8% over CY17-19E, EBITDA margin expansion of ~260bp to
~15.1% by CY19E and EPS CAGR of ~29%.
Initiate with Buy and TP of ~INR297
MACA is all primed for growth phase, after three years of consolidation. It has all
ingredients in place for sustained growth over the next few years: (a) India business
high dependence on fast growing segments and players with favorable product
lifecycle, (b) scope to add customers in Metalcastello and add value at MFE, (c)
limited growth capex, (d) supportive parent, and (e) focused M&A strategy for
access to technologies (plastic & aluminum), customers (Maruti, Hyundai) or
markets (SE Asia). Strong earnings growth and limited capex would drive
improvement in capital efficiencies and FCF, and reduce gearing. The stock is trading
at 20.9x CY18E and 16.8x CY19E consolidated EPS. We value MACA at 20x CY19E
consolidated EPS (~20% discount to Bharat Forge’s target multiple of ~25x, given
relatively weaker, though improving, capital efficiency).
We initiate coverage with a
Buy rating and target price of INR297 (20x CY19E EPS), implying 19% upside.
Key
risks: (a) slowdown in key markets and customers, and (b) faster than expected
electrification of autos (~19% of CY16 revenue could be at risk).
27 December 2017
4

Mahindra CIE
Mahindra CIE: Business structure
Mahindra CIE
CONSOL REVENUES – CY16 INR53.2B | CY19E INR70.7B [8% CAGR]
CONSOL EBITDA – CY16 INR5.3B | CY19E INR10.7B [18.5% CAGR]
India
Contribution
– CY16 * Revenues 43% | EBITDA 46%
CY19E Revenues 48% | EBITDA 48%
Europe
Contribution
– CY16 Rev 57% | EBITDA 54%
CY19 Rev 52% | EBITDA 52%
Composites
Rev. Contbn –
2%
Focus:
Autos,
Non-autos
Rev.
Contbn – 2%
Focus:
4Ws,
2Ws
Forgings
Rev. Contbn – 18%
Rev. Contbn –
12%
Focus:
4Ws
Stamping
Rev. Contbn –
7%
Focus:
4Ws,
OTR, Tractors
Castings
Rev. Contbn –
2%
Focus:
4Ws,
Tractors
Gears
Magnets
Forgings
Rev. Contbn – 50%
Rev. Contbn
– 7%
Focus:
OTR
Gears
Bill Forge
Focus:
4W,
2W
Others
Focus:
PV,
Tractors
MFE
Focus:
HCVs
CIE (Spain,
Lithuania)
Focus:
4W
Exhibit 1: MACA’s revenues are broad based (% of sales)…
6
24
26
13
12
12
7
CY16E *
* Consolidating BFL for full CY16
6
23
23
13
12
14
8
CY19E
Forgings (Ex BFL)
Forgings (BFL)
Stampings
India - Others
EU (MFE) - Forgings
EU (CIE) Forging
EU - Gears
Source: Company, MOSL
Exhibit 2: …so is EBITDA mix (% of EBITDA)
11
43
4
20
22
CY16E *
* Consolidating BFL for full CY16
8
30
13
3
20
25
CY19E
India (ex BFL, Gears)
BFL
Gears
EU (MFE) - Forgings
EU (CIE) Forging
EU - Gears
Source: Company, MOSL
22 December 2017
5

Mahindra CIE
Story in charts
Exhibit 3: MCIE’s strategic guidelines for phase-2 with focus on growth
Strategic guidelines
New Organization
Areas
Initiatives taken so far
Already new organization structure in place to streamline operations to align more closely with CIE
New CEO to act as a bridge between MACA & CIE to facilitate
Transfer of technology
transfer of technology
Relationship strengthening with
CIE
Already launched 1 team in forgings, with experts from
Combined teams in each technology
several global operations of CIE.
Export ratio increase (orders
Indian production base
received from its EU operations)
Leverage India cost advantage for a) increasing direct exports
development
and b) optimizing product-process-location
Internal growth: Customer
(“make in India”)
diversification
Implement CIE's continuous improvement system (CONCOR)
in India
Continuous improvement in
Continuous improvement program
business efficiency
In Stampings, a team of experts from best stamping
operations of CIE Mexico to improve efficiency.
New team members integration
Develop commercial synergies between Indian operations of
Commercial synergies development
Integration of Bill Forge
BFL and MACA
Develop commercial synergies between Mexican operations
Addition of Celaya (Mexico) plant
of BFL and CIE
Analysis of potential strategic acquisitions to reinforce position
Source: Company, MOSL
Exhibit 4: CIE’s strategic targets for CY20
Segment
Organic revenue CAGR
Target EBIT margin
improvement (bp)
Target RONA ratio
Greenfield projects
MFE EU
2.2% vs 2% for the
Industry
300bp
~25%
Hatebur (2017)
Forging (2018)
Asia
10% vs 4% for the
Industry
400bp
~20%
Metal (2017)
Forging (2017)
Machining (2019)
Aluminum (2020)
Roof systems (2020)
Source: CIE Automotive, MOSL
Exhibit 5: MACA yet to have play in aluminum & plastics
Source: Company, MOSL
27 December 2017
6

Mahindra CIE
Exhibit 6: India (ex BFL) business derives nearly 2/3
revenue from fast growing segments…
% of CY16 sales
Off-road
2W
M&HCVs
Others
UVs
18.0
11.6
9.9
8.0
10.0
rd
Exhibit 7: …as reflected in our estimates for segmental
volume growth for the industry
MOSL FY17-20E Volume CAGR (%)
7.5
Cars
Tractors
LCVs
Source: Company, MOSL
Source: Company, MOSL
Exhibit 8: India operations have headroom to grow
80-85
1HCY17 Cap util (%)
80-85
Exhibit 9: India forgings (ex BFL) exports scope to improve
% of sales
40
38
30
70
70
70
70
70
8
BFL Forgings
Stampings
Composites
Gears India
Gears
Source: Company, MOSL
Magnets
Castings
Forgings (Ex BFL)
Source: Company, MOSL
Exhibit 10: BFL adds Maruti as well 2W business (% of sales)
Maruti
2W
33%
4W
67%
Others
Hero
Bajaj
HMSI
Source: Company, MOSL
Exhibit 11: European business revenues expected to grow
3% CAGR (EUR m)
MFE Forgings
496
49
193
464
49
199
216
CY16
CIE Forging
497
56
209
Metalcastello
528
511
59
220
63
233
Total EU
544
66
245
Exhibit 12: EBIT margin for EU business to improve, driven
by MFE (%)
CIE Forgings
14.8
11.0
5.7
4.5
MFE Forgings + Metalcastello
14.8
14.5
8.7
3.4
5.6
9.5
European Ops
10.5
6.8
11.1
7.6
255
CY15
232
CY17E
232
CY18E
233
CY19E
233
CY20E
(1.3)
CY15
(1.1)
CY16
CY17E
CY18E
CY19E
CY20E
Source: Company, MOSL
Source: Company, MOSL
27 December 2017
7

Mahindra CIE
Consolidation done; all set for growth
Key drivers: Enabling structure, alignment of portfolio with mega-trends, M&A
In the last three years since acquiring MACA, CIE embarked upon restructuring and
consolidation of all operations under MACA to (a) optimize India operations, (b) turn
around European operations, (c) attain CIE's financial benchmarks, and (d) diversify
products and customers. With phase-1 of consolidation largely done, MACA is now
focused on growth in phase-2.
In India business, it is targeting organic growth through (a) continued growth with
existing customers and products, (b) targeting new customers and products, and (c)
entry into new segments of plastics and aluminum – an area of strategic focus at
parent level.
In the European business, it would be investing selectively for growth. Higher focus
would be on redefining the product portfolio at MFE and Metalcastello, and on
optimizing product-process-location.
For M&A, it would focus on getting (a) deeper access to Japanese/Korean OEMs in
India, (b) access to plastics and aluminum components in India (in turn on re-aligning
product portfolio with parent), and (c) entry into ASEAN market.
MACA, which is CIE's vehicle to expand in South East Asia and forging technology
worldwide, would play an important role in CIE attaining its 2020 targets of doubling
profits and RoNA of 20-25%.
To achieve these objectives, CIE has implemented a new organization structure at
MACA, headed by a new CEO from CIE along with several key CIE senior executives in
key positions.
Phase-1 of consolidation done
After acquiring MACA, CIE embarked upon restructuring and consolidation of all
operations under MACA with the objective of:
Optimizing India operations
Turning around European operations (excluding merged CIE Forgings)
Attaining CIE’s benchmarks of balance sheet and capital efficiencies
Diversify products and customers
Over three years (CY14-17), it undertook several measures to:
Streamline operations:
Headcount reduction, closure of plant, outsourcing
of non-core activities, product-location optimization
Streamline management
bandwidth with dedicated management team
focused on turnaround
Streamline balance sheet through controlling capex,
working capital
(through new factoring agreements) and debt restructuring
Introduce new products and customers in both India and European
operations
During the phase of consolidation, MACA faced several challenges like labor
problems, late deliveries, quality issues, slowdown, etc, which prolonged the
consolidation phase and resulted in delayed benefits.
27 December 2017
8

Mahindra CIE
India business – Phase-1 strategy focused around growth
New
products
Forging:
Balancer Shaft
Castings:
Gear Carrier, Bearing Carrier, Turbo Manifold
Stampings:
Assembled Cabin, Cargo Body, Fuel Tank, Lower control arm and Semi Trailing Arm
Gears:
Transmission & engine gear
Magnetics
- Ramp up of Induction Lamps
Developed new 'complicated' products for non-Top 2 customer, but ramp-up yet to happen
New
customers
Breakthrough with a few 'Western OEMs', but ramp-up to take 2 years.
Gears:
Added Ordinance Board of India
Castings:
Added Ford, Linamar & Daimler
Stampings:
FCA for Jeep products
Gears India:
Diversification away from Tractors by ramping up sales to PVs
Market plus
growth
Participating on all new models of M&M and Tata Motors
Operational
optimization
to improve
margins
VRS in Magnets business
Restructing done at Gears and Composites business
Europe business - Phase-1 strategy focused on improving profitability
Cost reduction & turnaround
Closure of JECO plant, with separation to ~195 employees
Metalcastelo:
Organizational restructuring & personnel rationalization
Focus on headcount, downtime, power subsidy, procurement & sales price and productivity
Improve sales by diversifying customer portfolio
Forgings:
New products like truck crankshafts or car parts to be explored
Gears:
Explore new customers in existing segments
Gears:Enter
new market segments – Autos, Marine
Explore synergies with CIE Forgings
Dedicated ‘Forging’ Management Team - CIE’s global forgings head Justino Namuno in charge
Focus on optimizing product-process-location
Jeco products transferred to other German plants
Shifting of part of Caterpillar order of Metalcastello to India
Transfer of EUR5m forgings order from Germany to India
Outsourcing of part of machining and finishing
Portfolio review to eliminate lower margin parts
27 December 2017
9

Mahindra CIE
Phase-2 initiated with focus on growth, with full support of the parent
After consolidating and streamlining its operations since takeover, MACA is now
focused on growth in phase-2.
In India business, it is targeting organic growth through (a) continued growth
with existing customers and products, (b) targeting new customers and
products, and (c) entry into new segments of plastics and aluminum – an area of
strategic focus at parent level.
In the European business, it would be investing selectively for growth. Higher
focus would be on redefining product portfolio at MFE and Metalcastello, and
on optimizing product-process-locations.
Inorganically, it would focus on getting (a) deeper access to Japanese/Korean
OEMs in India, (b) access to plastics and aluminum components in India, and (c)
opportunities for entry in ASEAN market.
In Phase-3, it would look to consolidate CIE’s remaining forgings plants in Brazil,
Mexico and China into MACA.
To achieve these objectives, CIE has implemented a new organization structure
at MACA, headed by a new CEO from CIE, supported by key CIE senior
executives in important positions.
Exhibit 13: MACA’s strategic guidelines for phase-2 with focus on growth
Strategic guidelines
New Organization
Areas
Initiatives taken so far
Already new organization structure in place to streamline operations to align more closely with CIE
New CEO to act as a bridge between MACA & CIE to facilitate
Transfer of technology
transfer of technology
Relationship strengthening with
CIE
Already launched 1 team in forgings, with experts from
Combined teams in each technology
several global operations of CIE.
Export ratio increase (orders
Indian production base
received from its EU operations)
Leverage India cost advantage for a) increasing direct exports
development
and b) optimizing product-process-location
Internal growth: Customer
(“make in India”)
diversification
Implement CIE's continuous improvement system (CONCOR)
in India
Continuous improvement in
Continuous improvement program
business efficiency
In Stampings, a team of experts from best stamping
operations of CIE Mexico to improve efficiency.
New team members integration
Develop commercial synergies between Indian operations of
Commercial synergies development
Integration of Bill Forge
BFL and MACA
Develop commercial synergies between Mexican operations
Addition of Celaya (Mexico) plant
of BFL and CIE
Analysis of potential strategic acquisitions to reinforce position
Source: Company, MOSL
27 December 2017
10

Mahindra CIE
“Lastly, Ander Arenaza was
appointed the new CEO of
Mahindra CIE in September.
Since his appointment, the
new CEO has implemented
a new organizational
structure designed to
reinforce Mahindra CIE’s
integration within CIE
Automotive, while
accelerating growth and
driving margin expansion.”
Excerpt from CIE
Automotive’s 2016 Annual
Report
New CEO and organization structure as enabler for Phase-2 growth strategy
MACA has implemented a new organization structure to streamline operations
to align more closely with CIE.
In July 2016, CIE appointed Mr Ander Arenaza as new CEO of MACA. Mr Arenaza
comes with over 25 years of experience in the automotive industry, of which the
last 11 years have been at CIE Automotive.
Appointment of Mr Arenaza would strengthen integration with CIE management
culture and accelerate achievement of CIEs performance parameters.
Also, implementation of new organization structure would enable combined
teams in each technology areas and drive faster transfer of technology.
Under new organization structure, following restructuring has been done:
Mr Edmundo Fernandez introduced into Mahindra Forgings Europe and has
multiple spells with MFE. Mr Fernandez is one of the best CIE’s executives
and is nicknamed ‘cost killer’ for his specialty in turnaround. Also, he would
overlook India forgings, foundry and magnets business.
Mr Justino Unamuno to lead European CIE Forgings in Spain and Lithuania
Mr Romesh Kaul to head India Forging Unit, Composites and Stampings
business.
Mr Stefano Scutigliani to lead Gears business in India and Metalcatello.
Mr Manoj Menon to lead Foundry and Magnets business.
Exhibit 14: Key changes at top level to expedite growth
Mahindra CIE – Chairman
Hemant Luthra
CEO
Ander Arenaza
CIE Forgings
(Europe)
J. Unamuno
Mahindra
Forgings Europe
(MFE)
E. Fernandez
Forgings
India
Stampings
Composites
R.Kaul
Bill Forge
A. Haridas
Gears
(India+EU)
S. Scutlgliani
Foundries &
Magnets
M. Menon
Source: Company, MOSL
27 December 2017
11

Mahindra CIE
Brief on new CEO, Mr Ander Arenaza
CIE Automotive’s Managing Director for 10 years
In CIE Automotive since 2007
Since 2007, in charge of European Machining Division
Since 2009, in charge also of European Aluminum Division
Since 2012, Director of CIE Worldwide Machining and Aluminum Divisions
Successful track record in CIE; main achievements:
Turnaround of Aluminum Division in Europe; now benchmark in Europe
Turnaround of Machining and Aluminum plants in Mexico; now some of the
most profitable plants in CIE
New project developments, with high expectations, in both Divisions
Greenfield developments in Mexico, Russia, Spain, and Czech Republic
MACA to align its portfolio in-line with CIE, global demand drivers
Based on key demand drivers driven by evolution of automobile industry, CIE
has identified five technologies as its strategic focus areas globally. These areas
are (a) forgings, (b) machining, (c) stamping, (d) aluminum, and (e) plastics.
MACA is already present in the first three technologies. However, it is yet to
have a presence in the aluminum and plastic components space.
While it would leverage upon CIE’s technology and product portfolio in
aluminum and plastics, MACA is also focusing on inorganic approach to establish
its presence in these technologies in India.
Exhibit 15: CIE has aligned its product portfolio to key demand drivers for the component industry
Source: Company, MOSL
27 December 2017
12

Mahindra CIE
Exhibit 17: MACA yet to have presence in aluminum &
plastics
Exhibit 16: CIE’s focus technologies
Source: Company, MOSL
Source: Company, MOSL
Exhibit 18: CIE's strategic products in aluminum and plastic technologies
Strategic products with higher than market average growth and profitability, in which CIE is focusingSource:
Company, MOSL
MACA – one of the key elements for CIE to attain its 2020 targets
CIE has a strategic goal of doubling profits by CY20, driven by organic revenue
CAGR of ~7%, EBIT margin of ~12% (v/s 9.7% in CY16) and RoNA of 20-25% (v/s
16% in CY16). It is targeting net debt/equity of <0.5x (v/s 1.86x as of CY16).
MACA is an important contributor for CIE to attain these goals, especially
considering potential of strong revenue growth along with substantial scope to
improve profitability.
MACA is CIE’s vehicle to expand business in South East Asia and forging
technology worldwide. Also, MACA would benefit from global vendor
consolidation due to CIE’s ability to service global OEMs from multiple locations
(where MACA plays important part in Asia and Europe).
Importance of MACA for CIE is evident in CIE deputing its key global senior
executives for managing MACA.
27 December 2017
13

Mahindra CIE
Exhibit 19: CIE’s strategic targets for 2020 v/s where MACA is currently
Segment
Organic revenue CAGR
Target EBIT margin improvement (bp)
Target RONA ratio
Greenfield projects
MFE EU
Asia
2.2% vs 2% for the
10% vs 4% for the Industry
Industry
300bp (on ~6% in CY15) 400bp (on ~5.5% in CY15)
~25%
~20%
Hatebur (2017)
Metal (2017)
Forging (2018)
Forging (2017)
Machining (2019)
Aluminum (2020)
Roof systems (2020)
Source: CIE Automotive, MOSL
M&A – important tool to achieve strategic objectives and growth
M&A has been an integral tool for MACA – not just under CIE parentage but also
prior to CIE’s entry. Prior to CIE takeover, Mahindra Systech was an
amalgamation of ~10 acquisitions in India and overseas since 2005 (refer
page36-37 for evolution of MACA).
Even M&A is an integral part of parent, CIE’s strategy, with a successful M&A
track record of over 70 M&A since 1996, with over 20,000 people integrated
across the globe. CIE has displayed strict acquisition discipline, with criteria of
<3x EV/EBITDA in three years and targets minimum RoI of ~20%.
CIE is targeting to add EUR700m revenue in the automotive segment by 2020
through M&A. This includes M&A by MACA.
For MACA, M&A would be a key driver to (a) fill gaps in areas of strategic
technologies – aluminum and plastics, (b) get access to key players in India PV
segment (Maruti, Hyundai, etc), and (c) enter ASEAN markets.
Apart from financial discipline, MACA’s preference for M&A would be:
Access to specialized technology/products and not commodity products
Good management with continuance of ‘skin in the game’
Profitable company and no turnaround cases
Exhibit 20: MACA's M&A framework
Focused Technology
•Aluminum
•Plastics
•Forgings
Philosophy
•Access
to technology
(Alu, Plastic)
•Access
to customer
(MSIL, Hyundai)
•Access
to market
(ASEAN)
Geography
•India
(for all focused
technologies)
•Asia
(for all focused
technologies)
•Global
(Forgings only)
Financial criteria
•Profitable
•EV/EBITDA ≤3 in 3 years
Source: MOSL
27 December 2017
14

Mahindra CIE
Exhibit 21: Mahindra Systech evolved through several acquisitions
Date of Acquisition
Jan-05
Apr-05
Jun-05
Jan-06
Feb-06
Nov-06
Dec-06
Jan-07
Jul-08
Aug-08
Company
SAR Transmissios
Vauxhall machining line
Amforge
Stokes Forgings
Plexion Technologies
Jeco Holding
Schoeneweiss & Co
Hinoday
Metalcastello
Engines Engineering
Business
Gears
Forgings
Forgings
Forgings
Engineering Services
Forgings
Forgings
Castings
Gears
Engineering Services
Source: Company, MOSL
Phase-3: Merging CIE’s forging plants at China, Mexico & Brazil with MACA
The three plants mentioned below
collectively represent revenue of EUR150m.
Mexican and Chinese plants are in the ramp-up phase and all of them are likely to be
merged with MACA at the appropriate time. This would result in consolidation of
entire forging operations of CIE in MACA.
Nanjing Automotive Forging (China):
NJF is a JV between CIE Automotive and
Donghua Automotive Industrial. It is a specialized forging parts manufacturing
enterprise for construction machinery and automotive companies, working
nationally and internationally. Some products are exported to Europe and America.
Nanjing Automotive Forging (NJF) is owned by CIE Automotive since the JV in 2012.
CIE Forjas de Celaya (Mexico):
CIE Forjas de Celaya started operations in October
2015. Its mission is to lead in the manufacturing of forged steel pieces by stamping
and extrusion, including finishing, fulfilling the most important quality certifications,
with the goal of satisfying the automotive market necessities in the Nafta Region.
CIE Autoforjas (Brazil):
CIE Autoforjas, incorporated in 1988, joined the CIE
Automotive Group in 2006. It is dedicated to forging and machining technologies.
We have not built any benefits from synergies from merger of global forging
operations in MACA estimates.
27 December 2017
15

Mahindra CIE
India – focused on fast-growing segments
Margin drivers: Mix improvement, cost control and operating leverage
MACA's India (ex BFL) business is focused on fast growing/recovering segments of UVs
(~18% CAGR over next three years), LCVs (~11.5% CAGR) and Tractors (~10% CAGR),
which contribute nearly 2/3rd to revenue.
More importantly, top-2 customers – M&M and Tata Motors, who contribute over
~55% to revenue (ex BFL), are witnessing good recovery in their volumes, driven by
product lifecycle as well as rural recovery (for M&M).
MACA's India (ex BFL) operations would also benefit from (a) problem with debt-laden
Amtek Auto, (b) new products/customers, (c) focus on product-process-location
optimization, and (d) focus on increasing exports.
We expect India (ex BFL and gears) operations revenue to grow at ~9% CAGR over
CY17-19E. This benefit of operating leverage (fixed cost at 23-24% of sales), coupled
with improvement in mix (optimization of product portfolio as well as focus on
increasing machining) would drive ~310bp improvement in EBITDA margin to ~12.7%
by CY19.
Focused on fast growing segments of automotive industry
MACA’s India (ex BFL) business is focused on fast growing/recovering segments
of UVs, LCVs and Tractors, which contribute nearly 2/3rd to revenue.
We expect these segments to continue growing faster over the next 2-3 years,
with our CAGR estimates for UVs at 18%, LCVs at ~11.5% and Tractors at ~10%.
Further, BFL acquisition adds 2Ws and cars, which are also expected to grow at
7-8% CAGR.
Exhibit 22: India (ex BFL) business derives nearly 2/3
revenue from fast growing segments…
% of CY16 sales
Off-road
2W
M&HCVs
Others
UVs
18.0
11.6
9.9
8.0
10.0
rd
Exhibit 23: …as reflected in our estimates for segmental
volume growth for the industry
MOSL FY17-20E Volume CAGR (%)
7.5
Cars
Tractors
LCVs
Source: Company, MOSL
Source: Company, MOSL
27 December 2017
16

Mahindra CIE
Exhibit 24: Diversified across segments and products, with dominant market share in most segments
India
Technology
Forgings
Bill Forge
Stampings
Castings
Main products
Crankshafts, Stub Axles
Steering races and engine valve
retainers, CV joints, tulips,
steering shafts, steering yokes
and wheel hubs
Sheet metal stampings,
components & assemblies
Turbocharger Housings, Axle &
Transmission Parts
Focus areas
PVs & Tractors
2W & PVs
PVs
Passenger & Utility Vehicles,
Construction Equipment &
Earthmoving , Tractors and Tier 1,
Exports
Key customers
MM, MSIL, TTMT
2W- Hero, Bajaj, HMSI &
TVS PVs- Ford, GKN, NTN,
Nexteer, Rane NSK
MM & TTMT
M&M, Hyundai, John
Deere, JCB, Cummins
Turbo
Denso, Varroc, Lucas TVS,
Nippon electricals, Baja
auto
L&T Switchgear, M&M,
Volvo Eicher
M&M, Turner, Eaton,
NHFI, Turk Tractor (CNH)
CY16 Revenues (INR m)
4,298
7,008
7,047
4,058
Magnets
Composites
Gears
Soft and Hard Magnets, Magnetic
Tier 1 of Passenger & Utility
Induction Lighting
Vehicles, Two Wheelers, Exports
Compounds, Components, and
Products
Engine Gears, Timing Gears,
Transmission Gears, Transmission
Drive Shafts
Electrical Switchgear, Auto
Components
Passenger & Utility Vehicles,
Tractors, Exports
1,487
978
1,593
Source: Company, MOSL
Exhibit 25: India business CY16 revenue break-up * (% of sales)
Composites
4
Magnets
6
Castings
15
Forgings
16
Gears
6
Bill Forge
26
Stampings
27
* Consolidating BFL revenue for entire CY16 Source: Company, MOSL
Recovery for key customers, ramp-up with new customers to drive growth
MACA’s India (ex-BFL) revenues are predominantly driven by M&M and Tata
Motors – these top-2 customers contribute over 55% to revenue (ex BFL).
Both M&M and Tata Motors are witnessing good recovery in their volumes,
driven by favorable product lifecycle as well as rural recovery (for M&M).
We estimate M&M’s UV and tractor volumes to grow at ~10.5% CAGR over
FY17-20. Tata Motors’ PV & LCV volumes are estimated to grow at 11.2% CAGR
over the same period.
Further, MACA would also benefit from shifting away of customers (like Maruti)
from debt-laden Amtek Auto.
In the medium term, the India business would also benefit from initiatives on
new product and new customer development. To reduce concentration risk,
MACA has been trying to diversify its customer base. With the help of CIE, it has
won new orders from a few western OEMs, though ramp-up will be gradual.
27 December 2017
17

Mahindra CIE
Exhibit 26: MACA's India (ex BFL) business is heavily dependent on MM & TTMT
% of India (ex BFL) revenues
Top-2 (MM &
TTMT)
56
Others
44
Source: MOSL
Exhibit 27: India (Ex BFL) revenues were impacted by weak volumes of MM & TTMT…
Top-2 Clients Vol Growth (%)
MACA India's revenue growth Ex BFL (%)
29.2
21
10.8
1.8
(2)
(4.6)
9MCY15
3.7
0
2.7
10
CY16
1QCY17
2QCY17
3QCY17
Source: Company, MOSL
Exhibit 28: …which are expected to see sustainable recovery over next 2-3 years
Top-2 Clients Vol Growth (%)
13
11
7
2
CY16
CY17E
CY18E
CY19E
Source: Company, MOSL
11
10
10
7
MACA India's revenue growth Ex BFL (%)
India business to benefit from product-process-location optimization
Given the focus on optimizing product-process-location across the group, India
business is in sweet spot due to availability of relevant technologies, favorable
cost base and unutilized capacities.
While Metalcastelo has already outsourced part of its EUR15m Caterpillar order
to Gears India, MFE is in the process of shifting part of its Daimler order from
Germany to India forging plant.
Also, BFL is leveraging on utilizing MACA’s forging plant at Chakan.
27 December 2017
18

Mahindra CIE
Exhibit 29: India operations have headroom to grow from current capacities
80-85
1HCY17 Cap util (%)
80-85
70
70
70
70
70
BFL Forgings
India
Forgings (Ex
BFL)
Stampings
Castings
Composites
Magnets
Gears India
Source: Company, MOSL
Focus on increasing exports
Exports currently contribute 14% of the overall India business. Increasing
exports from India is one of the focus areas in phase-2 of growth.
The focus remains on export of forgings (contribute only 8% of total India
forgings business), as exports from other technologies are 30-40%.
BFL has won two large orders from Ford EU (for flanges) and Wabco EU (under
the 4W segment).
Exhibit 30: Forgings (ex BFL) exports are only ~8% of forgings revenues
% of sales
40
38
30
8
Gears
Magnets
Castings
Forgings (Ex BFL)
Source: Company, MOSL
Improving mix, operating leverage key to India business margin expansion
MACA has completed reviewing its customer/product portfolio and production
process to eliminate unprofitable parts of its business.
It has also restructured its Gears and Composites businesses.
MACA has developed new ‘complicated’ products for non-TTMT, non-MM
customers, though these products are yet to gain traction.
Further, focus is also to increase machining content in India Forgings (ex-BFL)
business.
Lastly, as utilization levels improve, India business would see benefit of
operating leverage, as fixed cost (including staff cost) is 23-24% of revenue.
We expect India (ex BFL & gears) business EBITDA margin to expand from ~9.6%
in CY17 to ~12.7% by CY19, on revenue CAGR of ~9% over CY17-19E.
27 December 2017
19

Mahindra CIE
Exhibit 31: Scope to increase machining levels in India (ex
BFL) forgings operations
75
Machining (% of segment revenues)
Exhibit 32: Fixed cost is 23-24% of S/A sales
% of CY16
S/A sales
Mfg. (Fixed) Other Fixed
cost
9
4
Mfg.
(Variable)
6
Staff
14
Energy
7
Source: Company, MOSL
35-40
20-25
RM Cost
51
BFL Forgings
MFE
India Forgings (Ex
BFL)
Source: Company, MOSL
Exhibit 33: India (excl BFL & Gears) operation revenue estimated to grow at ~9% CAGR & PAT at ~39% CAGR over CY17-19E
Y/E December | INR m
Revenue
Growth (%)
EBITDA
EBITDA margin (%)
EBIT
EBIT Margin (%)
PAT
Growth (%)
CY15 (9M)
12,035
-2.3
1,011
8.4
473
3.9
313
2.6
CY16
16,102
0.3
1,444
9.0
733
4.6
515
3.2
CY17E
18,688
16.1
1,794
9.6
1,079
5.8
732
42
CY18E
20,557
10.0
2,426
11.8
1,632
7.9
1,154
58
CY19E
22,142
7.7
2,812
12.7
1,916
8.7
1,411
22
CY20E
24,177
9.2
3,336
13.8
2,333
9.6
1,716
22
Source: Company, MOSL
27 December 2017
20

Mahindra CIE
Bill Forge – an excellent strategic fit
Opens up newer avenues for MACA
Bill Forge (BFL) acquisition is an excellent strategic fit for MACA. It adds
Japanese/Korean PV OEM, 2W and PV driveline products, higher machining mix, and
higher exports.
It has an excellent track record (revenue/EBITDA CAGR of 21%/33% over FY08-16) and
promoters continue to have ‘skin in the game’ – they independently manage BFL and
have ~8.46% stake in MACA acquired by investing ~INR3.4b.
BFL offers robust growth, given its strong presence with the strongest players in PVs
(Maruti, Hyundai, etc) and 2Ws (Hero, HMSI, etc). Continued ramp-up in exports and
commissioning of Mexico plant would drive strong revenue growth. MACA expects 15-
20% revenue CAGR for BFL over the next 3-4 years.
CIE can help to further improve operational and financial parameters by (a) leveraging
MACA’s unutilized forging capacity, (b) leveraging BFL’s specialized forging
technologies for products like wheel hubs, EPS components, etc, (c) cross-selling to PV
OEMs locally and globally (including Mexico plant), and (d) reducing BFL’s working
capital.
For BFL, we estimate ~19% revenue CAGR and ~31% PAT CAGR over CY17-19E.
Bill Forge acquisition – an excellent strategic fit
MACA acquired 100% stake in BFL for INR13.3b in September 2016. BFL is a
precision forging and machining company focused on 2W and passenger car
auto components, primarily for steering, transmission and wheel-related
assemblies.
It operates via its six manufacturing facilities across India (four in Bangalore, and
one each in Coimbatore and Haridwar). It has also recently set up a plant in
Celaya, Mexico.
It also brings in additional forging technology in the form of cold forgings and
warm forging.
It has attractive underlying OEM exposure – it does majority of its business with
India’s best-selling/fastest-growing OEMs like MSIL, Hyundai and Honda (for the
supply of products like steering races and engine valve retainers for two-
wheelers, and constant velocity joints, tulips, steering shafts, steering yokes and
wheel hubs for passenger cars).
BFL’s key 2W customers are HMCL, BJAUT, HMSI and TVSL, and its key 4W
customers are Ford, GKN, NTN, Nexteer, and Rane NSK.
Exhibit 34: BFL acquisition is an excellent fit, complementing MACA’s forging business
Key Parameters
Customer mix (Top-2)
Customer concentration
Products segment
Segment mix
Mfg. footprint
Value add (Machining as % of sales)
Exports (as % of revenues)
Access to customers
Access to technology
MACA Forgings
M&M, Tata Motors
Top 2: 55%
Crankshafts, Stub axles
4W: 47%, CVs: 26%, Off-roads: 16%
West India
20-25%
~8%
BFL
Maruti, Hero MotoCorp
Top 10: 72%
Driveline, steering & suspensions
4W: 67%, 2W: 33%
North & South India, Mexico
75%
18-20%
Maruti, Hyundai, 2W OEMs etc
Cold & Warm forgings
Source: Company, MOSL
27 December 2017
21

Mahindra CIE
Exhibit 35: Steering races and engine valve retainers for 2Ws; CV joints, steering shafts, steering yokes and hubs for PVs
Exhibit 36: Marquee customers across 4Ws and 2Ws
Excellent track record; promoters continue to have ‘skin in the game’
BFL has a strong history of growth and profitability. Over FY08-16, its revenue
grew at a CAGR of 21% and EBITDA grew at a CAGR of 33%. Its EBITDA margin
expanded from 9% to ~20%. Also, it enjoys RoNA of over 25%.
While MACA has paid cash for acquisition, BFL’s promoters have partly ploughed
back ~INR3.4b to acquire 8.46% stake in MACA.
Also, they continue to independently manage BFL.
Exhibit 37: BFL’s track record has been very good, with revenue CAGR of over 20%, EBITDA CAGR of 33% and PAT CAGR of
84% over FY08-16
Net revenue (INRm)
EBITDA Margin (%)
20.518.619.4
9.9 9.4
13.0
10.311.7
17.4
183 187
16 23
89
Profit After Tax (INRm)
519
383
256 280
Source: Company, MOSL
BFL offers strong growth
BFL derives 2/3rd of its revenue from PVs and 1/3rd from 2Ws. It is working with
most relevant players in both segments, resulting in strong growth.
27 December 2017
22

Mahindra CIE
MSIL is the largest and HMCL the second-largest customer of BFL. Both the
OEMs have given a robust growth outlook.
Also, exports of MACA stand at 17-18% of sales and are expected to grow faster
based on recent orders. BFL has recently won a large export order from Ford EU
(for Flanges) and Wabco EU (under the 4W segment).
MACA expects 15-20% revenue CAGR for BFL over the next 3-4 years.
Exhibit 38: Segment-wise break-up
Exhibit 39: Top-4 contribute ~50%
Exhibit 40: Exports at ~18% of sales
India
2W
33%
Others
4W
67%
HMSI
Source: Company, MOSL
Hero
Bajaj
FY16
CY16 (9 months)
Source: Company, MOSL
Maruti
2
10
3
APAC
Americas
2
13
3
EU
86
82
Source: Company, MOSL
BFL Mexico – annual revenue potential of USD20m
BFL’s Mexico plant commenced operations in 1QCY17. It has revenue potential
of ~USD20m per year for CV joints from its customer, GKN. It has also won an
order from Nexteer.
While first phase would fully ramp-up by 2HCY18, given the high demand for BFL
Mexico’s products, it is likely to evaluate phase-II expansion by 2HCY17.
CIE Mexico (owned by parent, CIE Automotive) enjoys ~23% EBITDA margin. The
management believes that once BFL Mexico ramps up, it will also garner EBITDA
margin of more than 20%.
Several synergies to be explored between BFL and MACA/CIE
MACA’s forgings facility at Chakan (Pune) has unutilized capacity. As utilization
at BFL’s facilities is high, it will be able to utilize the Chakan facility for its orders.
CIE Automotive manufactures wheel hubs globally (~8m units annually). CIE
would leverage upon BFL’s capabilities to offer cost-effective solution by
manufacturing wheel hubs in India for global and local markets. Also, given BFL’s
know-how on cold and warm forgings, it can also explore manufacturing of
components for electronic power steering.
Also, BFL can leverage on CIE’s strong presence in Celaya, Mexico, with five
plants and strong relationships with global OEMs and tier-1 vendors.
With BFL’s products and clients being different from those of MACA and CIE,
there is a huge opportunity for cross-selling within the PV segment.
With the help of CIE, BFL can work towards reducing working capital (partly high
due to higher exports).
27 December 2017
23

Mahindra CIE
Exhibit 41: Benefits of BFL acquisition
Diversification of MACA India:
Complementary product and customer mix
Adds customers
- Indirectly supplies to
Maruti, Hyundai and Honda
Increases exposure to PV segment
(now 52% of MACA India sales)
Entry into
'North region'
Entry into
'Two Wheelers'
Source: Company, MOSL
Exhibit 42: BFL – we estimate ~19% revenue CAGR and ~31% PAT CAGR over CY17-19
INR M
Net revenue (INR m)
Growth (%)
EBITDA
EBITDA Margin (%)
EBIT
EBIT Margin (%)
Profit After Tax (INR m)
Growth (%)
PAT margin (%)
FY14
3,932
8
804
20.5
574
14.6
256
37
6.5
FY15
4,982
27
928
18.6
638
12.8
280
10
5.6
FY16 CY16 (9M)
5,816
4,682
17
7
1,125
817
19.4
17.4
858
611
14.8
13.0
519
383
85
-2
8.9
8.2
CY17E
7,584
22
1,441
19.0
1,069
14.1
729
43
9.6
CY18E
9,101
20
1,843
20.3
1,406
15.5
970
33
10.6
CY19E
10,739
18
2,287
21.3
1,783
16.6
1,257
30
11.7
CY20E
12,135
13
2,645
21.8
2,087
17.2
1,477
17
12.2
Source: Company, Capital Line, MOSL
27 December 2017
24

Mahindra CIE
EU business: Mix optimization, op. lev. to drive margins
Revenues to grow slightly ahead of industry growth
MACA's EU business (ex CIE Forgings) revenue over CY14-16 was impacted by ongoing
restructuring. With phase-1 of consolidation nearing an end, focus is back on growth
for the EU business as well.
European business is estimated to grow slightly ahead of the underlying industry
growth of 2-4% CAGR in EUR terms in the medium term. Revenue growth in the near
term would be higher due to low base of CY16 (due to Jeco closure-related loss of
revenue and discontinuation of low-margin products).
While revenues for Metalcastello would grow faster than the industry, CIE Forgings
would grow in-line whereas focus at MFE would be on sustenance of current revenues.
With large part of the consolidation behind, European operations have started
showing signs of sustained turnaround, as reflected in 9MCY17 EBIT margin of ~9%
(v/s ~6% in CY15). This has been largely driven by sharp turnaround at Metalcastello.
We expect further improvement in margins for European operations, driven by (a) full
benefit of above initiatives, (b) product-process-location optimization, and (c)
operating leverage (65-70% capacity utilization at MFE and Metalcastello).
Over CY17-19E, we expect EU business revenue to grow at 5% CAGR (in EUR terms),
EBIT margin to expand 180bp to ~10.5%, and PAT to grow at ~22% CAGR.
Revenue to grow slightly ahead of underlying industry growth
MACA’s EU business (ex CIE Forgings) revenue over CY14-16 was impacted by
ongoing restructuring (Jeco closure, organization restructuring at Metalcastello,
etc). With phase-1 of consolidation nearing an end, focus is back on growth for
the EU business as well.
At MACA’s European operations, Metalcastello is estimated to grow ahead of
the industry, CIE Forgings is expected to grow in-line with the Industry CAGR of
2-4% on constant currency basis in the medium term. Focus at MFE is on
sustaining current revenues.
Over long term (3-5 years), Metalcastello would be looking to diversify customer
base in non-autos and entry into new market segments like Autos and Marine.
While focus of MFE would be to sustain its current revenues in medium term, in
the long term it is working on optimizing its product portfolio. Over long term,
MFE is focusing on higher value added products like crankshafts for trucks and
car parts (like CV joints), as against front axle beams for trucks currently. Also,
MFE would benefit from increasing shift from captive manufacturing to
outsourcing.
For CIE Forgings, focus is on sustaining current performance on both revenue
growth and margins, as it already adheres to CIE’s benchmarks.
Revenue growth in CY17 would be higher due to low base of CY16 (due to Jeco
closure-related loss of revenue and discontinuation of low margin products.
We expect EU business revenue to grow at ~3% CAGR over CY17-19E on
constant currency basis.
27 December 2017
25

Mahindra CIE
Exhibit 43: European business revenue is estimated to grow at ~5% CAGR over CY17-20
Revenues (EUR m)
496
49
193
MFE Forgings
464
49
199
CIE Forging
511
497
56
209
59
220
Metalcastello
528
63
233
Total EU
544
66
245
255
CY15
216
CY16
232
CY17E
232
CY18E
233
CY19E
233
CY20E
Source: Company, MOSL
Exhibit 44: European portfolio of MACA
Europe
Technology
Germany + UK
(Forgings - MFE)
Spain + Lithuania
(Forgings – CIE)
Main products
Forged and Machined parts, Front Axle
Beams and Steel Pistons
Focus areas
Heavy CVs
Key customers
Daimler AG, Scania, Man,
DAF, KS, Mahle, ZF, KION,
Linde, AGCO
Main competitors
BF Kilsta, Raba forgings
Forged steel parts for Industrial Vehicles
VW, BMW, Mercedes, Audi, CDp Bharat Forge, Amtek
and Crankshafts, Common Rail, Stubs,
PVs
Renault, Fiat
Auto
Tulips for passenger cars
Engine Gears, Timing Gears,
Tractors, Construction
Italy
B&H Gears, FFG Werke,
Transmission Gears, Transmission Drive
& Earthmoving
John Deere, Eaton, CNH
(Gears – Metalcastello)
Gibbs Gears
Shafts
Equipment,
Source: Company, MOSL
Exhibit 45: Location and product portfolio
Source: Company, MOSL
27 December 2017
26

Mahindra CIE
Margins to revive after two years of restructuring
MACA’s European business (Ex CIE Forgings) has undergone significant
restructuring over CY14-16, with focus on improving efficiencies and reducing
cost. Key measures undertaken were:
Closure of Jeco plant by December 2015
Metalcastello’s organizational restructuring and personnel rationalization
Employee count was reduced in MFE Germany from 1,078 in 2014 to 876
employees in 2016
Renegotiating sales prices with key customers
Portfolio review to eliminate lower margin components
Outsourcing of part of machining and finishing
Restructuring of debt, resulting in 200bp savings in financial costs
These initiatives led to substantial pressure on operating performance of
European operations during the phase of consolidation.
However, with large part of consolidation behind us, European operations have
started showing signs of sustained turnaround, as reflected in 9MCY17 EBIT
margin of ~9% (v/s ~6% in CY15). This has been largely driven by sharp
improvement in margins at Metalcastello (from 3.4% in FY14 to 19.3% in CY16).
We expect further improvement in margins for European operations, driven by
(a) full benefit of above initiatives, (b) product-process-location optimization,
and (c) operating leverage (65-70% capacity utilization at MFE and
Metalcastello). MFE would be key driver of improvement in margins in Europe.
We expect EBIT margin to improve by 180bp to ~10.5% by CY19, implying PAT
CAGR of ~22% over CY17-19E.
Exhibit 46: Jeco plant closure had impacted MFE Germany’s CY15/CY16 operating performance
MFE Germany
RM costs as % of sales
Employee cost (EUR m)
Other operating costs (EUR m)
2014
52.8
65.5
31.2
2015
52.9
65.5
45.3
2016
56.3
54.9
38.4
Remarks
The increase in 2016 is mainly connected with operating
problems from the production of serial parts coming from Jeco
Avg. employees decreased from 995 to 876 in 2016
Restructuring costs were mainly recognized in 2015; reduction in
2016 was partly restricted by higher transport cost due to
transfer of Jeco plant
Source: Company, MOSL
Exhibit 47: European operations to witness continued recovery in profitability
EBITDA (INR m)
EBITDA margin (%)
15.3%
10.6%
7.6%
12.9%
13.7%
14.8%
2,736
CY15
3,657
CY16
4,626
CY17E
5,173
CY18E
5,857
CY19E
6,272
CY20E
Source: Company, MOSL
27 December 2017
27

Mahindra CIE
Exhibit 48: EBIT margin (%) for European business to improve, driven by MFE
CIE Forgings
14.8
11.0
5.7
4.5
MFE Forgings + Metalcastello
14.8
14.5
8.7
3.4
5.6
9.5
6.8
European Ops
10.5
7.6
11.1
(1.3)
CY15
(1.1)
CY16
CY17E
CY18E
CY19E
CY20E
Source: Company, MOSL
Metalcastello: A case study for turnaround
Metalcastello restructuring and reorganization commenced in CY14, and
continued until 1HCY15.
EBITDA margin contracted to 0.2% in FY15; however, post restructuring, the
margin started improving and reached 19% in CY16.
Post debt restructuring, interest-charges-to-sales fell from 4.2% in CY15 to 2.3%
in CY16, significantly improving profitability. RONA (ex-goodwill) also increased
to 29.6% in 2016 from 23.6% in 2015.
Metalcastello won EUR15m order from Caterpillar in CY16, for which it incurred
capex in that year. We expect this to contribute incremental revenues over
CY17-18.
Exhibit 49: Metalcastello has witnessed sharp improvement in performance post restructuring
EBITDA margin (%)
19.3
15.9
(4.4)
3.4
0.2
FY14
FY15
CY15 (9M)
CY16
FY14
FY15
CY15 (9M)
CY16
Source:Company, MOSL
(11.6)
1.4
4.6
PAT (EUR m)
27 December 2017
28

Mahindra CIE
Consol. EPS to grow 29% CAGR CY17-19E
Margin expansion, controlled capex to drive improvement in RoEs
MACA’s consolidated revenues are estimated to grow ~8% CAGR over CY17-19E to
INR70.7b, driven by 12% growth in India business and ~5% CAGR (in INR terms) in EU
business (on low base due to Jeco closure impact).
Consolidated EBITDA margins are estimated to improve 260bp to ~15.1% by CY19.
EBITDA margin improvement is across India (~340bp over CY17-19E) and EU (~190bp
over CY17-19E).
As a result, consol. EBITDA is estimated to grow at 18.5% CAGR over CY17-19E to
INR10.7b, translating into PAT CAGR of ~29% to ~INR5.6b by CY19E.
Consolidated capex over CY16-19E is estimated to remain under control at 5-6% of
sales. As a result, we estimate strong cumulative FCF generation of over ~INR8.9b over
CY17-19E, with CY19E FCF at ~INR4.8b (v/s ~INR1.1b in CY16).
Strong FCF generation would drive down leverage to ~0.1x net debt:equity or
~INR4.5b (v/s ~INR12.5b in CY16).
Strong operating performance and controlled capex would drive ~630bp improvement
in RoEs to ~12.9% by CY19E.
While our EBIT margin estimates are at ~10.7% v/s 10% target based on CIE’s 2020
strategic targets for India and EU, our consolidate RoNA (pre-tax) at 14.7% is well
below target of 20%/25% for India/European business.
Exhibit 50: Consolidated revenues estimated to grow ~8% CAGR over CY16-19E
Revenues
14.0
8.2
3.2
39
-7.5
CY15 (9M)
CY16
CY17E
CY18E
CY19E
Source: Company, MOSL
53
61
66
71
7.6
Growth (%)
Exhibit 51: Revenue growth to be driven by strong growth in India and recovery in MFE
3
-3
3
9
7
71
53
CY16
India (ex BFL)
BFL
MFE
CIE Forging
Others
CY19E
Source: Company, MOSL
27 December 2017
29

Mahindra CIE
Exhibit 52: Consol. EBITDA margins to improve 260bp to ~15.1% in CY19E…
EBITDA
EBITDA Margins (%)
12.5
7.9
4
4
FY15
CY15 (9M)
9.4
10.0
8
9
11
14.0
15.1
5
CY16
CY17E
CY18E
CY19E
Source: Company, MOSL
Exhibit 53: …driven by India (ex BFL), MFE & full year consolidation of BFL (EBITDA, INR b)
1.7
2.1
1.5
5.3
CY16
India (ex BFL)
BFL
MFE
0.6
-0.5
11
CIE Forging
Others
CY19E
Source: Company, MOSL:
Exhibit 54: EPS to grow at 29% CAGR over CY17-19E
EPS
94.3
Growth (%)
14.9
12.0
38.2
28.5
4.6
CY16
CY17E
CY18E
CY19E
CY20E
9.0
33.0
24.3
17.1
14.8
3.6
CY15 (9M)
Source: Company, MOSL
27 December 2017
30

Mahindra CIE
Exhibit 55: Headroom to grow from existing capacities in most of the businesses
1HCY17 Cap util (%)
65-70
85
65-70
80-85
70
70
70
70
70
80-85
Source: Company, MOSL
Exhibit 56: Improving operating performance, controlled capex to drive FCF generation
CFO
6.8
3.2
1.1
-2.1
FY15
-2.0
CY15 (9M)
4.8
3.0
1.1
-2.0
CY16
1.7
-3.5
CY17E
2.3
-3.8
CY18E
-4.0
CY19E
Capex
FCF
8.8
5.2
6.1
4.8
Source: Company, MOSL
Exhibit 57: Capital efficiencies to improve, but still well below CIE’s benchmark of 20% RoNA
RoCE - Post tax (%)
RoE (%)
8.2
5.5
FY15
CY15 (9M)
5.7
CY16
8.3
10.0
11.3
7.7
7.0
6.6
CY16
9.9
11.8
12.9
CY17E
CY18E
CY19E
FY15
CY15 (9M)
CY17E
CY18E
CY19E
Source: Company, MOSL
27 December 2017
31

Mahindra CIE
Valuation & view: Consolidation done, all set for growth
Initiating coverage with a Buy rating
Strong, focused and disciplined parent:
CIE is a focused global player in auto
components, with diversified technologies and multi-location offering to
customers. It has demonstrated ability of acquisitive profitable growth across
geographies, at the same time delivering value-accretive growth adhering to
strict financial discipline. MACA is benefitting from CIE’s expertise in driving
operational improvement and is working towards achieving CIE’s financial
objectives.
Set for growth after three years of consolidation:
In the last three years since
acquiring MACA, CIE embarked upon restructuring and consolidation all
operations under MACA. With phase-1 of consolidation largely done, MACA is
now focused on growth in phase-2. In India business, it is targeting organic
growth as well inorganic growth. In European business, it would be investing
selectively for growth. MACA is CIE's vehicle to expand in South East Asia and
forging technology worldwide.
MACA important for CIE to attain 2020 targets:
MACA would play important
role in CIE attaining its 2020 targets of doubling profits and RoNA of 20-25%.
India is one of the fastest growing markets in CIE’s global operations. This
coupled with significant headroom to grow from existing capacities in India
would drive strong profit growth and drive improvement in capital efficiencies.
For MACA, CIE has set strategic targets of 10% revenue growth and 20% RoNA
(v/s ~10% currently) for India business, and ~25% RoNA (v/s ~15% currently) for
European operations for CY20.
Financial discipline key to M&A-led strategy:
M&A has been an integral tool for
MACA to achieve strategic objectives and growth. For MACA, M&A would be the
key driver to (a) fill gaps in the area of strategic technologies – aluminum and
plastics, (b) get access to key players in India PV segment (Maruti, Hyundai, etc),
and (c) enter ASEAN markets. CIE has displayed strict acquisition discipline, with
criteria of <3x EV/EBITDA in three years and targets minimum RoI of ~20%.
Several levers to improve margins; strong 46% EPS CAGR:
MACA has several
levers to improve margins in both Indian as well as European business. Margin
improvement would be driven by (a) improvement in mix, (b) product-process-
location optimization, and (c) operating leverage. For MACA, we estimate
consolidated revenue CAGR of ~9%, EBITDA margin expansion of ~260bp to
~15.1%, and EPS CAGR of ~29% over CY17-19E.
Initiate with Buy and TP of ~INR297:
We believe MACA is all primed for growth
phase, after three years of consolidation. It has all ingredients in place for
sustained growth over the next 2-3 years: (a) India business high dependence on
fast growing segments and players with favorable product lifecycle, (b) Scope to
add products/ customers in MFE and Metalcastello, (c) limited growth capex, (d)
27 December 2017
32

Mahindra CIE
supportive parent, and (e) focused M&A strategy to access technologies (plastic
& aluminum), customers (Maruti, Hyundai) or markets (SE Asia). Strong earnings
growth and limited capex would drive improvement in capital efficiencies and
FCF, and reduce gearing. The stock is trading at 20.9x CY18E and 16.8x CY19E
consolidated EPS. We value MACA at 20x CY19E consolidated EPS (~20%
discount to Bharat Forge’s target multiple of ~25x, given relatively weaker,
though improving, capital efficiency).
We initiate coverage with a Buy rating
and target price of INR297 (20x CY19E EPS), implying 19% upside.
Key risks
Slowdown in key markets and customers:
Weaker than estimated growth for
(a) key customers (MM and TTMT) in India business, and (b) weakness in Euro
zone volumes for PVs and CVs, resulting in lower than estimated revenue
growth and margin expansion.
Faster than expected electrification of autos:
Electrification of automobiles
would be a key threat to its forgings components used in engines and
transmission. As per management’s assessment, ~19% of CY16 consolidated
revenue (~10% in India, ~26% for European business) could be at risk due to
electrification. MACA is focusing to adding new forgings products that are fuel
agnostic and looking for M&A opportunities in plastic and aluminum
technologies, which would benefit from electrification-related light weighting.
Exhibit 58: Comparative Valuations
Company
Amara Raja
Exide Inds.
Bosch
Endurance Tech.
Wabco India *
Suprajit Engg. *
Bharat Forge
Ramkrishna Forgings *
Mahindra CIE
CMP
835
220
19907
1320
7050
313
728
849
250
Mcap
(INR b)
143
187
608
186
134
44
339
28
95
EPS CAGR
(FY17-20E)
14.4
12.6
15.4
27.4
24.0
16.9
37.2
43.5
47.6
FY18E
29.5
27.8
43.5
47.8
49.7
31.6
38.0
33.7
27.8
PE (x)
FY19E
24.4
22.8
33.0
36.0
39.7
25.1
28.0
21.0
20.9
P/BV (x)
FY20E FY18E FY19E FY20E
19.9
4.6
4.0
3.4
19.0
3.4
3.0
2.7
27.3
6.3
5.7
5.0
27.2
8.7
7.3
6.1
33.2
8.9
7.4
6.2
22.8
7.1
5.7
4.3
21.6
7.1
6.0
4.9
14.7
3.6
3.2
2.7
16.8
2.6
2.3
2.0
FY18E
17.3
12.5
15.2
20.5
19.1
24.2
20.1
10.8
9.9
ROE (%)
FY19E
18.1
13.7
18.1
22.8
19.9
25.2
23.2
15.1
11.8
FY20E
19.1
14.8
19.5
25.2
20.0
22.9
25.0
17.2
12.9
* Bloomberg consensus estimates
Source: Bloomberg, MOSL
27 December 2017
33

Mahindra CIE
Bull and bear case
Bull-case upside of 71% v/s Bear-case downside of 28%
Bull case – Upside of 71%
Our bull case scenario is driven by a) stronger growth with key customers in
India and ramp-up with new customers, b) stronger growth in EU business (ex
MFE) and c) sharp improvement in margins for MFE. This would lead to 9.4%
revenue CAGR (v/s ~8% in base case).
This would drive 380bp EBITDA margin improvement over CY17-19 (v/s 260bp in
base case), driving ~25% EBITDA CAGR. This would result in all businesses
(excluding MFE) attaining EBIT margins of >=10% by CY19E.
As a result, EPS would grow at CAGR of ~38% over CY17-19E.
This would lead to re-rating of the stock and assuming it trades at 25x (in-line
with BHFC’s target multiple of 25x), we get a bull case target price of INR429
(upside of 71%) based on CY19E EPS (v/s base case target price of INR297;
upside of 19%).
Bear case – Downside of 28%
Our bear case scenario is based on a) weaker growth with key customers in
India, b) Decline in EU car and CV volumes in CY18 and no growth in CY19, and c)
lower than base case improvement in MFE’s profitability. This would lead to 5%
revenue CAGR (v/s ~8% in base case).
This would result in just 130bp EBITDA margin improvement over CY17-19 (v/s
260bp in base case), implying ~10% EBITDA CAGR.
As a result, EPS would grow at CAGR of ~15% over CY17-19E.
In bear case, we assign PE multiple of 15x (~40% discount to BHFC’s target
multiple of 25x; in-line with RMKF’s FY20E multiple), implying target price of
INR180 (downside of 28%) based on CY19E EPS (v/s base case target price of
INR297; upside of 19%).
Exhibit 59: Scenario analysis
INR M
Revenues
Growth (%)
EBITDA
EBITDA Margin (%)
PAT
EPS (INR)
Growth (%)
Implied P/E (x)
Target multiple (x)
Target price (INR)
Upside (%)
CY17E
60,668
14.0
7,607
12.5
3,398
9.0
94.3
27.8
Bear Case
CY18E
63,447
4.6
8,420
13.3
3,940
10.4
16.0
24.0
CY19E
67,053
5.7
9,272
13.8
4,534
12.0
15.1
20.9
15
180
-28%
CY17E
60,668
14.0
7,607
12.5
3,398
9.0
94.3
27.8
Base Case
CY18E
65,673
8.2
9,191
14.0
4,520
12.0
33.0
20.9
CY19E
70,679
7.6
10,687
15.1
5,616
14.9
24.3
16.8
20
297
19%
CY17E
60,668
14.0
7,607
12.5
3,398
9.0
94.3
27.8
Bull Case
CY18E
66,306
9.3
9,514
14.3
4,763
12.6
40.2
19.9
CY19E
72,621
9.5
11,828
16.3
6,489
17.2
36.2
14.6
25
429
71%
Source: MOSL
27 December 2017
34

Mahindra CIE
SWOT ANALYSIS
Strong, focused and disciplined parent:
CIE is a focused global player in auto
components, with diversified
technologies and multi-location offering
to customers. It has demonstrated
ability of acquisitive profitable growth
across geographies.
Wide product basket across
technologies, with scope to tap into
parent’s portfolio.
Global manufacturing footprint for
forgings.
Financial discipline with high focus on
profitability (target of EBIT >=10%),
capital allocation (RONA >=20%) and
financial gearing (Net debt <2x EBITDA).
Customer concentration in India
business, as M&M and Tata Motors
contributing over 50% of India
revenues.
High dependence on M&A for growth
and entry in new technologies.
STRENGTHS
S
O
W
T
WEAKNESSES
OPPORTUNITIES
THREATS
Synergies with Parent in form
of access to its customers,
products and technologies.
MACA is vehicle of the parent to
expand in South East Asian market.
Entry in aluminum and plastic
technologies, areas of focus of parent
where MACA is not yet present.
Synergies with BFL in India and Mexico,
with opportunity to cross-sell and
leverage on existing client relationships.
Weaker than estimated growth for (a)
key customers (MM and TTMT) in India
business, and (b) weakness in Euro zone
volumes for PVs and CVs, resulting in
lower than estimated revenue growth
and margin expansion.
Electrification of automobiles would be
a key threat to its forgings components
used in engines and transmission. As
per management’s assessment, ~19% of
CY16 consolidated revenue (~10% in
India, ~26% for European business)
could be at risk due to electrification.
27 December 2017
35

Mahindra CIE
TIME-LINE – EVOLUTION OF MACA
27 December 2017
36

Mahindra CIE
POST CIE ACQUISITION
POST BILL FORGE *
* Note: MACA is in process of merging Mahindra Gears & Transmission Pvt Ltd. It has received regulatory
approvals and post completion of process, it would be merged into MACA.
27 December 2017
37

Mahindra CIE
Exhibit 60: Key operating metrics
INR m
Revenues
Forgings
Growth (%)
India (ex BFL)
Growth (%)
BFL
Growth (%)
MFE Europe
Growth (%)
CIE Europe
Growth (%)
Gears
Growth (%)
India
Growth (%)
Metalcastello
Growth (%)
Stampings
Growth (%)
Castings
Growth (%)
Composites
Growth (%)
Magnets
Growth (%)
Others
Growth (%)
Total Consol Revenues
Growth (%)
EBITDA Margins (%)
EBIT Margins (%)
Adj. EPS (INR/Sh)
Growth (%)
CY16
36,441
3,873
1,750
16,009
14,809
5,106
1,469
3,637
6,350
3,657
881
1,340
-577
53,199
10.0
5.6
4.6
CY17E
43,996
21
4,562
18
7,584
333
16,751
5
15,098
2
5,666
11
1,645
12
4,021
11
7,681
21
4,038
10
927
5
1,480
10
-3,119
441
60,668
14
12.5
8.2
9.0
94
CY18E
47,421
8
5,019
10
9,101
20
17,105
2
16,197
7
6,206
10
1,859
13
4,347
8
8,449
10
4,442
10
1,020
10
1,628
10
-3,493
12
65,673
8
14.0
9.6
12.0
33
CY19E
51,130
8
5,420
8
10,739
18
17,485
2
17,485
8
6,671
7
1,971
6
4,700
8
8,956
6
4,886
10
1,122
10
1,758
8
-3,843
10
70,679
8
15.1
10.7
14.9
24
Source: Company, MOSL
27 December 2017
38

Mahindra CIE
Financials and Valuations
Consolidated - Income Statement
Y/E December
Total Income from Operations
Change (%)
Total Expenditure
% of Sales
EBITDA
Margin (%)
Depreciation
EBIT
Int. and Finance Charges
Other Income
PBT bef. EO Exp.
EO Items
PBT after EO Exp.
Total Tax
Tax Rate (%)
Minority Interest
Reported PAT
Adjusted PAT
Change (%)
Margin (%)
FY14
25,908
16.9
24,820
95.8
1,088
4.2
1,200
-112
629
128
-614
-83
-697
118
-16.9
0
-815
-718
-36.4
-2.8
FY15
55,699
115.0
51,297
92.1
4,403
7.9
2,375
2,028
1,197
429
1,260
-2,261
-1,001
-219
21.9
-1
-781
985
-237.2
1.8
CY15
38,653
-30.6
35,022
90.6
3,632
9.4
1,630
2,002
504
287
1,785
-779
1,006
239
23.7
0
767
1,361
38.2
3.5
CY16
53,199
37.6
47,888
90.0
5,311
10.0
2,325
2,986
594
314
2,706
-90
2,616
926
35.4
0
1,690
1,748
28.5
3.3
CY17E
60,668
14.0
53,062
87.5
7,607
12.5
2,637
4,969
599
223
4,593
0
4,593
1,196
26.0
0
3,398
3,398
94.3
5.6
(INR Million)
CY18E
65,673
8.2
56,482
86.0
9,191
14.0
2,874
6,316
553
241
6,003
0
6,003
1,484
24.7
0
4,520
4,520
33.0
6.9
CY19E
70,679
7.6
59,992
84.9
10,687
15.1
3,148
7,539
514
319
7,343
0
7,343
1,727
23.5
0
5,616
5,616
24.3
7.9
Consolidated - Balance Sheet
Y/E December
Equity Share Capital
Eq. Share Warrants & App. Money
Total Reserves
Net Worth
Minority Interest
Total Loans
Deferred Tax Liabilities
Capital Employed
Gross Block
Less: Accum. Deprn.
Net Fixed Assets
Goodwill on Consolidation
Capital WIP
Total Investments
Curr. Assets, Loans&Adv.
Inventory
Account Receivables
Cash and Bank Balance
Loans and Advances
Curr. Liability & Prov.
Account Payables
Other Current Liabilities
Provisions
Net Current Assets
Appl. of Funds
E: MOSL Estimates
FY14
923
0
5,637
6,560
0
7,341
-600
13,302
27,396
21,516
5,880
6,234
291
578
6,528
3,683
1,610
436
800
6,209
2,642
1,577
1,991
319
13,302
FY15
3,230
0
15,635
18,865
155
15,491
-974
33,537
47,496
34,516
12,980
18,258
1,263
570
15,461
6,850
4,225
893
3,493
14,995
10,270
2,136
2,589
466
33,537
CY15
3,233
0
16,833
20,066
0
10,847
-1,429
29,484
16,500
2,935
13,565
19,364
559
671
15,844
7,189
3,831
502
4,323
20,520
14,063
3,299
3,158
-4,675
29,484
CY16
3,781
0
28,882
32,663
0
13,917
-1,436
45,144
22,914
6,730
16,185
28,551
967
389
20,154
8,352
5,219
981
5,602
21,101
15,530
2,534
3,037
-947
45,144
CY17E
3,781
0
32,279
36,060
0
12,917
-1,436
47,541
25,437
9,367
16,070
28,551
1,943
389
22,932
9,254
5,952
1,337
6,389
22,344
15,991
2,890
3,463
588
47,541
(INR Million)
CY18E
3,781
0
36,799
40,580
0
11,917
-1,436
51,061
28,867
12,241
16,625
28,551
2,264
389
25,583
9,851
6,443
2,374
6,916
22,352
15,475
3,128
3,749
3,232
51,061
CY19E
3,781
0
42,415
46,196
0
10,917
-1,436
55,677
32,678
15,389
17,288
28,551
2,453
389
30,834
10,463
6,934
5,994
7,443
23,837
16,436
3,367
4,034
6,996
55,677
27 December 2017
39

Mahindra CIE
Financials and Valuations
Ratios
Y/E December
Basic (INR)
EPS
Cash EPS
BV/Share
DPS
Payout (%)
Valuation (x)
P/E
Cash P/E
P/BV
EV/Sales
EV/EBITDA
Dividend Yield (%)
FCF per share
Return Ratios (%)
RoE
RoCE (Post-tax)
RoIC
Working Capital Ratios
Fixed Asset Turnover (x)
Asset Turnover (x)
Inventory (Days)
Debtor (Days)
Creditor (Days)
Leverage Ratio (x)
Current Ratio
Interest Cover Ratio
Net Debt/Equity
FY14
-1.9
1.3
17.4
0.0
0.0
FY15
2.6
8.9
49.9
0.0
0.0
96.1
28.2
5.0
2.0
24.8
0.0
3.0
7.7
8.2
7.4
1.2
1.7
45
28
67
1.0
1.7
0.7
CY15
3.6
7.9
53.1
0.0
0.0
69.5
31.6
4.7
2.7
28.9
0.0
12.7
7.0
5.5
5.2
2.3
1.3
68
36
133
0.8
4.0
0.5
CY16
4.6
10.8
86.4
0.0
0.0
54.1
23.2
2.9
2.0
20.3
0.0
2.8
6.6
5.7
5.5
2.3
1.2
57
36
107
1.0
5.0
0.4
CY17E
9.0
16.0
95.4
0.0
0.0
27.8
15.7
2.6
1.8
14.0
0.0
4.6
9.9
8.3
8.5
2.4
1.3
56
36
96
1.0
8.3
0.3
CY18E
12.0
19.6
107.3
0.0
0.0
20.9
12.8
2.3
1.6
11.3
0.0
6.2
11.8
10.0
10.6
2.3
1.3
55
36
86
1.1
11.4
0.2
CY19E
14.9
23.2
122.2
0.0
0.0
16.8
10.8
2.0
1.4
9.3
0.0
12.7
12.9
11.3
12.4
2.2
1.3
54
36
85
1.3
14.7
0.1
0.0
3.6
-10.2
0.1
-1.1
0.9
1.9
52
23
37
1.1
-0.2
1.0
Consolidated - Cash Flow Statement
Y/E December
OP/(Loss) before Tax
Depreciation
Interest & Finance Charges
Direct Taxes Paid
(Inc)/Dec in WC
CF from Operations
Others
CF from Operating incl EO
(Inc)/Dec in FA
Free Cash Flow
(Pur)/Sale of Investments
Others
CF from Investments
Issue of Shares
Inc/(Dec) in Debt
Interest Paid
Dividend Paid
Others
CF from Fin. Activity
Inc/Dec of Cash
Opening Balance
Closing Balance
FY14
-697
1,191
628
-68
1,215
2,270
-160
2,110
-733
1,377
-164
21
-876
9
-362
-810
0
0
-1,164
71
365
436
FY15
-1,001
2,375
1,095
-206
-1,103
1,160
2,062
3,223
-2,077
1,145
136
2,113
171
87
-1,803
-1,220
0
0
-2,937
457
436
893
CY15
1,006
1,630
504
-261
3,857
6,736
60
6,796
-2,006
4,790
-295
49
-2,252
28
-4,627
-337
0
0
-4,936
-391
893
502
CY16
2,616
2,325
594
-593
-1,881
3,060
-21
3,040
-1,979
1,061
285
-6,613
-8,308
4,525
1,816
-594
0
0
5,748
480
502
981
CY17E
4,593
2,637
376
-1,196
-1,179
5,232
0
5,232
-3,500
1,732
0
223
-3,277
0
-1,000
-599
0
0
-1,599
356
981
1,337
(INR Million)
CY18E
6,003
2,874
313
-1,484
-1,607
6,100
0
6,100
-3,750
2,350
0
241
-3,509
0
-1,000
-553
0
0
-1,553
1,037
1,337
2,374
CY19E
7,343
3,148
195
-1,727
-145
8,815
0
8,815
-4,000
4,815
0
319
-3,681
0
-1,000
-514
0
0
-1,514
3,620
2,374
5,994
27 December 2017
40

REPORT GALLERY
RECENT INITIATING COVERAGE REPORTS
Rs

Disclosures:
The following Disclosures are being made in compliance with the SEBI Research Analyst Regulations 2014 (herein after referred to as the Regulations).
Motilal Oswal Securities Ltd. (MOSL) is a SEBI Registered Research Analyst having registration no. INH000000412. MOSL, the Research Entity (RE) as defined in the Regulations, is engaged in the business of providing Stock
broking services, Investment Advisory Services, Depository participant services & distribution of various financial products. MOSL is a subsidiary company of Motilal Oswal Financial Service Ltd. (MOFSL). MOFSL is a listed
public company, the details in respect of which are available on
www.motilaloswal.com.
MOSL is registered with the Securities & Exchange Board of India (SEBI) and is a registered Trading Member with National Stock
Exchange of India Ltd. (NSE) and Bombay Stock Exchange Limited (BSE), Metropolitan Stock Exchange Of India Ltd. (MSE) for its stock broking activities & is Depository participant with Central Depository Services Limited
(CDSL) & National Securities Depository Limited (NSDL) and is member of Association of Mutual Funds of India (AMFI) for distribution of financial products. Details of associate entities of Motilal Oswal Securities Limited are
available on the website at
http://onlinereports.motilaloswal.com/Dormant/documents/Associate%20Details.pdf
Pending Regulatory Enquiries against Motilal Oswal Securities Limited by SEBI:
SEBI pursuant to a complaint from client Shri C.R. Mohanraj alleging unauthorized trading, issued a letter dated 29th April 2014 to MOSL notifying appointment of an Adjudicating Officer as per SEBI regulations to hold
inquiry and adjudge violation of SEBI Regulations; MOSL requested SEBI to provide all documents, records, investigation report relied upon by SEBI which were referred in Show Cause Notice and also sought personal
hearing. The matter is currently pending.
MOSL, it’s associates, Research Analyst or their relative may have any financial interest in the subject company. MOSL and/or its associates and/or Research Analyst may have beneficial ownership of 1% or more securities in
the subject company at the end of the month immediately preceding the date of publication of the Research Report.
MOSL and its associate company(ies), their directors and Research Analyst and their relatives may; (a)
from time to time, have a long or short position in, act as principal in, and buy or sell the securities or derivatives thereof of companies mentioned herein. (b) be engaged in any other transaction involving such securities and
earn brokerage or other compensation or act as a market maker in the financial instruments of the company(ies) discussed herein or act as an advisor or lender/borrower to such company(ies) or may have any other
potential conflict of interests with respect to any recommendation and other related information and opinions.; however the same shall have no bearing whatsoever on the specific recommendations made by the analyst(s),
as the recommendations made by the analyst(s) are completely independent of the views of the associates of MOSL even though there might exist an inherent conflict of interest in some of the stocks mentioned in the
research report.
Research Analyst may have served as director/officer, etc. in the subject company in the last 12 month period. MOSL and/or its associates may have received any compensation from the subject company in
the past 12 months.
In the last 12 months period ending on the last day of the month immediately preceding the date of publication of this research report, MOSL or any of its associates may have:
a)
managed or co-managed public offering of securities from subject company of this research report,
b)
received compensation for investment banking or merchant banking or brokerage services from subject company of this research report,
c)
received compensation for products or services other than investment banking or merchant banking or brokerage services from the subject company of this research report.
d)
Subject Company may have been a client of MOSL or its associates during twelve months preceding the date of distribution of the research report.
MOSL and it’s associates have not received any compensation or other benefits from the subject company or third party in connection with the research report. To enhance transparency, MOSL has incorporated a Disclosure
of Interest Statement in this document. This should, however, not be treated as endorsement of the views expressed in the report. MOSL and / or its affiliates do and seek to do business including investment banking with
companies covered in its research reports. As a result, the recipients of this report should be aware that MOSL may have a potential conflict of interest that may affect the objectivity of this report. Compensation of Research
Analysts is not based on any specific merchant banking, investment banking or brokerage service transactions.
Terms & Conditions:
This report has been prepared by MOSL and is meant for sole use by the recipient and not for circulation. The report and information contained herein is strictly confidential and may not be altered in any way, transmitted to,
copied or distributed, in part or in whole, to any other person or to the media or reproduced in any form, without prior written consent of MOSL. The report is based on the facts, figures and information that are considered
true, correct, reliable and accurate. The intent of this report is not recommendatory in nature. The information is obtained from publicly available media or other sources believed to be reliable. Such information has not
been independently verified and no guaranty, representation of warranty, express or implied, is made as to its accuracy, completeness or correctness. All such information and opinions are subject to change without notice.
The report is prepared solely for informational purpose and does not constitute an offer document or solicitation of offer to buy or sell or subscribe for securities or other financial instruments for the clients. Though
disseminated to all the customers simultaneously, not all customers may receive this report at the same time. MOSL will not treat recipients as customers by virtue of their receiving this report.
Analyst Certification
The views expressed in this research report accurately reflect the personal views of the analyst(s) about the subject securities or issues, and no part of the compensation of the research analyst(s) was, is, or will be directly or
indirectly related to the specific recommendations and views expressed by research analyst(s) in this report.
Mahindra CIE
Disclosure of Interest Statement
Analyst ownership of the stock
Mahindra CIE
No
A graph of daily closing prices of securities is available at
www.nseindia.com, www.bseindia.com.
Research Analyst views on Subject Company may vary based on Fundamental research and Technical Research. Proprietary
trading desk of MOSL or its associates maintains arm’s length distance with Research Team as all the activities are segregated from MOSL research activity and therefore it can have an independent view with regards to
subject company for which Research Team have expressed their views.
Regional Disclosures (outside India)
This report is not directed or intended for distribution to or use by any person or entity resident in a state, country or any jurisdiction, where such distribution, publication, availability or use would be contrary to law,
regulation or which would subject MOSL & its group companies to registration or licensing requirements within such jurisdictions.
For Hong Kong:
This report is distributed in Hong Kong by Motilal Oswal capital Markets (Hong Kong) Private Limited, a licensed corporation (CE AYY-301) licensed and regulated by the Hong Kong Securities and Futures Commission (SFC)
pursuant to the Securities and Futures Ordinance (Chapter 571 of the Laws of Hong Kong) “SFO”. As per SEBI (Research Analyst Regulations) 2014 Motilal Oswal Securities (SEBI Reg No. INH000000412) has an agreement with
Motilal Oswal capital Markets (Hong Kong) Private Limited for distribution of research report in Hong Kong. This report is intended for distribution only to “Professional Investors” as defined in Part I of Schedule 1 to SFO. Any
investment or investment activity to which this document relates is only available to professional investor and will be engaged only with professional investors.” Nothing here is an offer or solicitation of these securities,
products and services in any jurisdiction where their offer or sale is not qualified or exempt from registration. The Indian Analyst(s) who compile this report is/are not located in Hong Kong & are not conducting Research
Analysis in Hong Kong.
For U.S.
Motilal Oswal Securities Limited (MOSL) is not a registered broker - dealer under the U.S. Securities Exchange Act of 1934, as amended (the"1934 act") and under applicable state laws in the United States. In addition MOSL is
not a registered investment adviser under the U.S. Investment Advisers Act of 1940, as amended (the "Advisers Act" and together with the 1934 Act, the "Acts), and under applicable state laws in the United States.
Accordingly, in the absence of specific exemption under the Acts, any brokerage and investment services provided by MOSL, including the products and services described herein are not available to or intended for U.S.
persons. This report is intended for distribution only to "Major Institutional Investors" as defined by Rule 15a-6(b)(4) of the Exchange Act and interpretations thereof by SEC (henceforth referred to as "major institutional
investors"). This document must not be acted on or relied on by persons who are not major institutional investors. Any investment or investment activity to which this document relates is only available to major institutional
investors and will be engaged in only with major institutional investors. In reliance on the exemption from registration provided by Rule 15a-6 of the U.S. Securities Exchange Act of 1934, as amended (the "Exchange Act") and
interpretations thereof by the U.S. Securities and Exchange Commission ("SEC") in order to conduct business with Institutional Investors based in the U.S., MOSL has entered into a chaperoning agreement with a U.S.
registered broker-dealer, Motilal Oswal Securities International Private Limited. ("MOSIPL"). Any business interaction pursuant to this report will have to be executed within the provisions of this chaperoning agreement.
The Research Analysts contributing to the report may not be registered /qualified as research analyst with FINRA. Such research analyst may not be associated persons of the U.S. registered broker-dealer, MOSIPL, and
therefore, may not be subject to NASD rule 2711 and NYSE Rule 472 restrictions on communication with a subject company, public appearances and trading securities held by a research analyst account.
For Singapore
Motilal Oswal Capital Markets Singapore Pte Limited is acting as an exempt financial advisor under section 23(1)(f) of the Financial Advisers Act(FAA) read with regulation 17(1)(d) of the Financial Advisors Regulations and is a
subsidiary of Motilal Oswal Securities Limited in India. This research is distributed in Singapore by Motilal Oswal Capital Markets Singapore Pte Limited and it is only directed in Singapore to accredited investors, as defined in
the Financial Advisers Regulations and the Securities and Futures Act (Chapter 289), as amended from time to time. In respect of any matter arising from or in connection with the research you could contact the following
representatives of Motilal Oswal Capital Markets Singapore Pte Limited:
Disclaimer:
The report and information contained herein is strictly confidential and meant solely for the selected recipient and may not be altered in any way, transmitted to, copied or distributed, in part or in whole, to any other person
or to the media or reproduced in any form, without prior written consent. This report and information herein is solely for informational purpose and may not be used or considered as an offer document or solicitation of
offer to buy or sell or subscribe for securities or other financial instruments. Nothing in this report constitutes investment, legal, accounting and tax advice or a representation that any investment or strategy is suitable or
appropriate to your specific circumstances. The securities discussed and opinions expressed in this report may not be suitable for all investors, who must make their own investment decisions, based on their own investment
objectives, financial positions and needs of specific recipient. This may not be taken in substitution for the exercise of independent judgment by any recipient. Each recipient of this document should make such investigations
as it deems necessary to arrive at an independent evaluation of an investment in the securities of companies referred to in this document (including the merits and risks involved), and should consult its own advisors to
determine the merits and risks of such an investment. The investment discussed or views expressed may not be suitable for all investors. Certain transactions -including those involving futures, options, another derivative
products as well as non-investment grade securities - involve substantial risk and are not suitable for all investors. No representation or warranty, express or implied, is made as to the accuracy, completeness or fairness of
the information and opinions contained in this document. The Disclosures of Interest Statement incorporated in this document is provided solely to enhance the transparency and should not be treated as endorsement of the
views expressed in the report. This information is subject to change without any prior notice. The Company reserves the right to make modifications and alternations to this statement as may be required from time to time
without any prior approval. MOSL, its associates, their directors and the employees may from time to time, effect or have effected an own account transaction in, or deal as principal or agent in or for the securities
mentioned in this document. They may perform or seek to perform investment banking or other services for, or solicit investment banking or other business from, any company referred to in this report. Each of these entities
functions as a separate, distinct and independent of each other. The recipient should take this into account before interpreting the document. This report has been prepared on the basis of information that is already
available in publicly accessible media or developed through analysis of MOSL. The views expressed are those of the analyst, and the Company may or may not subscribe to all the views expressed therein. This document is
being supplied to you solely for your information and may not be reproduced, redistributed or passed on, directly or indirectly, to any other person or published, copied, in whole or in part, for any purpose. This report is not
directed or intended for distribution to, or use by, any person or entity who is a citizen or resident of or located in any locality, state, country or other jurisdiction, where such distribution, publication, availability or use would
be contrary to law, regulation or which would subject MOSL to any registration or licensing requirement within such jurisdiction. The securities described herein may or may not be eligible for sale in all jurisdictions or to
certain category of investors. Persons in whose possession this document may come are required to inform themselves of and to observe such restriction. Neither the Firm, not its directors, employees, agents or
representatives shall be liable for any damages whether direct or indirect, incidental, special or consequential including lost revenue or lost profits that may arise from or in connection with the use of the information.
The
person accessing this information specifically agrees to exempt MOSL or any of its affiliates or employees from, any and all responsibility/liability arising from such misuse and agrees not to hold MOSL or any of its affiliates or
employees responsible for any such misuse and further agrees to hold MOSL or any of its affiliates or employees free and harmless from all losses, costs, damages, expenses that may be suffered by the person accessing this
information due to any errors and delays.
Registered Office Address: Motilal Oswal Tower, Rahimtullah Sayani Road, Opposite Parel ST Depot, Prabhadevi, Mumbai-400025; Tel No.: 022-3980 4263; www.motilaloswal.com. Correspondence Address: Palm Spring
Centre, 2nd Floor, Palm Court Complex, New Link Road, Malad (West), Mumbai- 400 064. Tel No: 022 3080 1000. Compliance Officer: Neeraj Agarwal, Email Id:
na@motilaloswal.com,
Contact No.:022-30801085.
Registration details of group entities.: MOSL: NSE (Cash): INB231041238; NSE (F&O): INF231041238; NSE (CD): INE231041238; BSE (Cash): INB011041257; BSE(F&O): INF011041257; BSE(CD); MSE(Cash): INB261041231;
MSE(F&O): INF261041231; MSE(CD): INE261041231; CDSL: IN-DP-16-2015; NSDL: IN-DP-NSDL-152-2000; Research Analyst: INH000000412. AMFI: ARN 17397. Investment Adviser: INA000007100. Motilal Oswal Asset
Management Company Ltd. (MOAMC): PMS (Registration No.: INP000000670) offers PMS and Mutual Funds products. Motilal Oswal Wealth Management Ltd. (MOWML): PMS (Registration No.: INP000004409) offers wealth
management solutions. *Motilal Oswal Securities Ltd. is a distributor of Mutual Funds, PMS, Fixed Deposit, Bond, NCDs, Insurance and IPO products. * Motilal Oswal Commodities Broker Pvt. Ltd. offers Commodities
Products. * Motilal Oswal Real Estate Investment Advisors II Pvt. Ltd. offers Real Estate products. * Motilal Oswal Private Equity Investment Advisors Pvt. Ltd. offers Private Equity products
27 December 2017
42