Initiating Coverage | 16 January 2018
Sector: Healthcare
Laurus Labs
Formulation
Synthesis
Ingredients
Hep C API
Oncology
API
ARV API
Angling for growth
Tushar Manudhane - Research analyst
(Tushar.Manudhane@MotilalOswal.com); +91 22 6129 1536
Rajat Srivastava - Research analyst
(Rajat.Srivastava@motilaloswal.com); +91 22 3010 2511
Investors are advised to refer through important disclosures made at the last page of the Research Report.
Motilal Oswal research is available on www.motilaloswal.com/Institutional-Equities, Bloomberg, Thomson Reuters, Factset and S&P Capital.

Laurus Labs
Contents | Laurus Labs: Angling for growth
Summary ............................................................................................................. 3
Current business structure .................................................................................... 5
Adding formulations to strong API business .......................................................... 6
Volume growth to drive ARV and Hep-C base business .......................................... 8
Synthesis/Ingredient business - another growth trigger ...................................... 12
Robust financial performance to continue........................................................... 14
SWOT ANALYSIS ................................................................................................. 19
Manufacturing facilities and inspection details .................................................... 20
Sensitivity analysis implies limited downside ...................................................... 21
Valuation and view............................................................................................. 22
About the company ............................................................................................ 24
Annexure 1: Combinations of products used to treat HIV..................................... 25
Annexure 2: Commercial aspect of HIV medicines ............................................... 28
Financials and Valuations ................................................................................... 32
16 January 2018
2

Initiating Coverage | Sector:Laurus Labs
Healthcare
Laurus Labs
BSE Sensex
34,844
S&P CNX
10,742
CMP: INR532
TP: INR651(+22%)
Buy
Angling for growth
Cost efficient + Strong Chemistry skills + Forward integration
Stock Info
Bloomberg
Equity Shares (m)
52-Week Range (INR)
1, 6, 12 Rel. Per (%)
M.Cap. (INR b)
M.Cap. (USD b)
Avg Val, INRm
Free float (%)
LAURUS IN
106
640 / 419
0/-19/-17
57.8
0.9
101
69.4
Financial Snapshot (INR b)
Y/E Mar
FY18E FY19E FY20E
Net Sales
21.9 26.3 30.3
EBITDA
4.6
6.0
7.1
PAT
2.2
3.3
4.0
EPS (INR)
21.0 31.3 37.8
Gr. (%)
17.8 49.4 20.6
BV/Sh (INR)
146.3 177.0 214.0
RoE (%)
15.4 19.4 19.3
RoCE (%)
11.9 14.8 15.3
P/E (x)
25.4 17.0 14.1
P/BV (x)
3.6
3.0
2.5
Shareholding pattern (%)
As On
Sep-17 Jun-17
Promoter
30.6
30.6
DII
41.4
43.8
FII
10.7
9.3
Others
17.3
16.2
FII Includes depository receipts
Laurus Lab (LAURUS) is a young, R&D led, pharma company. LAURUS is one of the
leading API manufacturers for ARV (Antiretrovirals) and Hep-C (Hepatitis C). LAURUS
has leveraged chemistry skills towards synthesis services and manufacture specialty
ingredients. LAURUS is also forward integrating to formulations for regulated markets.
We expect LAURUS to deliver 16.7% CAGR in sales to INR30b and 28% CAGR in PAT
to INR4b by FY20, led by addition of formulations and healthy momentum in base
API business.
LAURUS is targeting 30 ANDA filings (six filed till date) over the next 2-3 years and
accordingly expanding capacity from 1b units/year to 5b units/year. We expect its
US sales to multiply from INR20m in FY17 to INR1.3b by FY20. It is also forward
integrating in ARVs for further improvement in profitability.
Consolidation of distributors in US has lowered scope of negotiation on product
prices and regulatory hurdles have affected ongoing and/or future business of
various pharma companies. We believe LAURUS is in a sweet spot to get the
business in regulated market due to its cost efficiency and consistent compliance.
LAURUS is on a strong footing in the API business, primarily led by cost efficiency.
We expect 12% revenue CAGR in this base business to INR24b by FY20, led by new
molecules and higher off-take by global procurement agencies.
We value LAURUS at 18x (20% premium to midcap average multiple of 15x) 12M
forward earnings to arrive at price target of INR651. We are positive on LAURUS’
forward integration to formulation in regulated markets and superior margins in
API business. Initiate with Buy.
Formulations business in take-off mode
LAURUS has developed and filed 42 DMFs and eight ANDAs till date with USFDA.
It intends to file 8-10 ANDAs annually, taking its cumulative filings to 30 in the
next three years. Specifically, it has tentative approval for g-Viread. Given that
facility compliance is in place and all USFDA queries have been resolved, final
approval would kick-start revenue from the US market. In addition, LAURUS
would incur total capex of INR3b (INR2b spent till date) to facilitate
manufacturing. Also, it is in the process of filing products to participate in global
tenders for ARV formulations. We expect strong growth in LAURUS’ formulations
business over the next 2-3 years.
Angling for growth
Laurus Labs
Steady API base business
LAURUS’ API sales have grown at a CAGR of 17% over FY14-17, led by increased
off-take of ARV and Hep C APIs, higher synthesis and oncology API business. The
company is adding new molecules in ARV/Oncology/Other APIs and traction from
the Aspen contract has increased. Post strong growth in Hep C business over the
last two years, we expect growth to taper due to sharp price erosion on
intensifying competition. Nevertheless, we expect LAURUS’ API sales to grow
from INR17.2b in FY17 to INR24.5b by FY20.
Tushar.Manudhane@MotilalOswal.com
Please click here for Video Link
Tushar Manudhane
+
91 22 3010 2498
16 January 2018
3

Laurus Labs
Good compliance track record augurs well for business in regulated markets
LAURUS’ facilities have been inspected multiple times in the last 8 years. The
company has cleared these inspections with minimal observations – Unit 1 and Unit
3 had two observations in Form 483 issued in August 2017. Recently, it received EIR
for the inspection conducted at Unit 2 in May 2017. This implies minimal regulatory
hurdles for LAURUS in the medium term.
Valuation and view
LAURUS’ earnings have grown at a CAGR of 21% over FY13-17. We expect 28%
earnings CAGR over FY17-20, led by product launches in the US, additional business
from tender awards in the ARV formulations/API space, new customer addition, as
well as new product additions in the synthesis and oncology space. With increasing
share of higher value products, we expect EBITDA margin to expand ~200bp over
FY17-20.
We value LAURUS at 18x 12-month forward earnings to arrive at a price target of
INR651, implying 22% upside. We value the stock at 20% premium to the midcap
average multiple of 15x to factor in relatively higher EBITDA margins in the API
business and forward integration to formulations in regulated markets. We initiate
coverage with a
Buy
rating.
16 January 2018
4

Laurus Labs
Current business structure
Exhibit 1:
Milestones
2006
2007
2008
2009
2010
2012
2013
2014
2015
2016
Set up R&D facility in Hyderabad
Started Onco APIs supply
Inv. of INR1bn by Aptuit in LAURUS
First DMF filed
Operations started for CRAMS and ingredients at Unit 1
Started supplies in ARV segment
Supplied company's first product to USA
Investment of INR490m by FIL capital and FIP in LAURUS
Crossed INR10b reveneues
~INR3bn inv. by Bluewater and acq. of significant stake of FIL by Bluewater
Commenced construction of FDF and API facility at Unit-2
Commercialization at Unit-3, for API, CRAMS and ingredients
Filed first ANDA; Filed first dossier with the WHO
Started operations at Unit 5
Source: Company, MOSL
16 January 2018
5

Laurus Labs
Adding formulations to strong API business
Revenue segment in form of US formulations would be pick-up FY18 onwards
Forward integration in ARV would aid more business and profitability
We expect LAURUS’ formulations sales to multiply from just INR20m in FY17 to
INR1.3b by FY20, led by new product approvals in the US market and forward
integration in the ARV category.
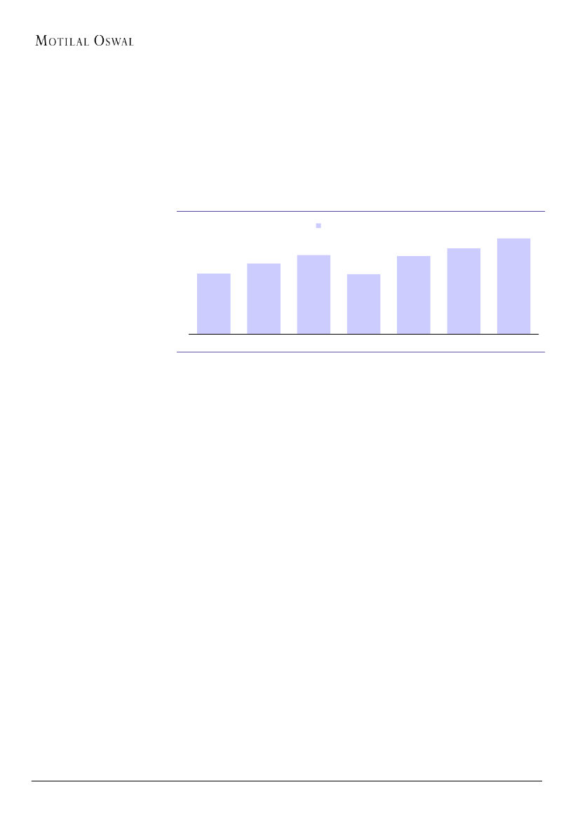
Exhibit 2:
Expect strong growth in formulations over the next three years
Formulations (INR m)
20
FY16
20
FY17
140
FY18E
1,210
FY19E
1,335
FY20E
Source: Company, MOSL
R&D efforts of past 3-4 years to start delivering results now
LAURUS has incurred R&D expenditure of INR3b on its product pipeline over the last
four years. Having filed its first DMF in 2008, LAURUS has 42 DMFs till date. It has
eight ANDAs filed with USFDA and has guided 8-10 ANDAs annually, with a
cumulative target of 30 ANDAs over the next 2-3 years. It is targeting ARVs, anti-
diabetic, cardiovascular and proton pump inhibitors as therapy categories for the
formulations segment.
One of the ANDA approval expected for LAURUS is of Metformin. The target action
date for the same was in November 2017. No approval for this product from USFDA
implies additional queries to be responded by LAURUS. This might delay approval by
2-3 months. Despite this delay, it remains interesting product as it has been already
genericized and delay for approval would not result in immediate increase in
intensity of competition. It has built a dedicated block for Metformin, with a
capacity of 2,500MT/annum.
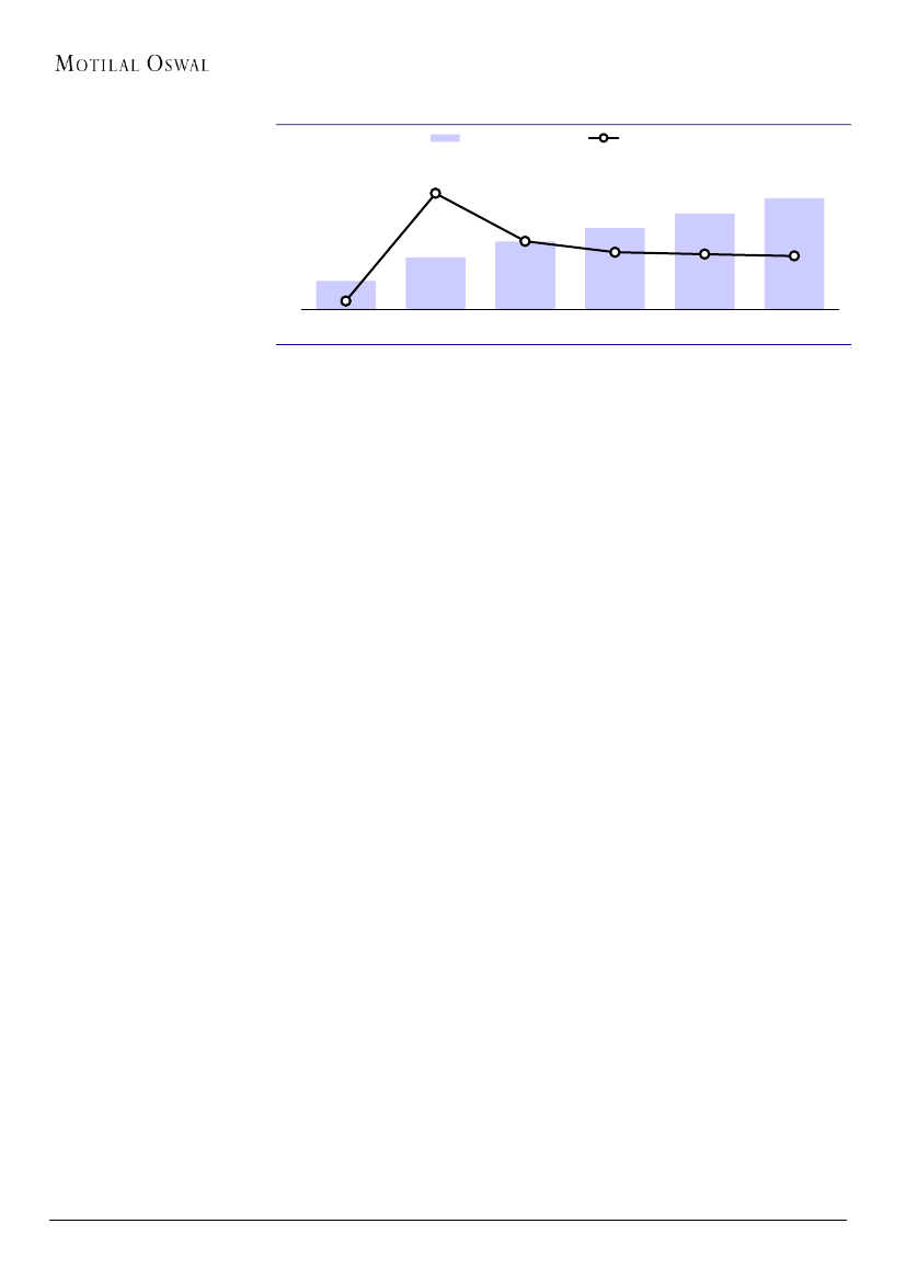
Exhibit 3:
Stable Metformin sales in US market
Total Prescription Dollars (Mn)
Exhibit 4:
Market share concentrated among 5 companies
Others
28%
Amneal
Pharma
18%
Heritage
Pharma
16%
Legacy
Pharma
12%
Aurobindo
Pharm
15%
Source: MOSL, Bloomberg
516
476
536
529
Zydus
Pharma
11%
Source: MOSL, Bloomberg
16 January 2018
6

Laurus Labs
Though multiple companies have received final approval for Metformin, market
share is concentrated among five companies, as can be seen in Exhibit 4. With cost
efficiency in place for LAURUS as indicated in other products and it being fully
integrated company for this product, we expect LAURUS to gradually gain decent
market share post approval. We expect LAURUS to garner USD5-8m from this
opportunity on annualized basis post approval.
Moving towards formulations in ARV products
LAURUS has significant market share in the API segment in the ARV category, mainly
due to its cost efficiency. It is leveraging its API skills and forward integrating to
supply finished dosages, which would enable LAURUS to expand margins. With the
formulations facility in place and one dossier filed with the WHO, LAURUS plans to
supply to LMIC countries through the tender process. Also, LAURUS has entered into
an agreement with Dr Reddy’s Laboratories for developing and marketing of several
ARV formulations on profit and cost sharing basis.
LAURUS intends to complete product filings with the WHO over the next 6-9
months. It would take 9-12 months post filing for acceptance of filing and
participation in the tender process. We believe LAURUS would be able to grab
considerable market share in the formulations segment as well, given that it is fully
integrated and continues to strive towards reducing cost of manufacturing.
LAURUS has filed g-Viread ANDA for the US market, for which it has received
tentative approval. All patents related to Viread would expire by 25 January 2018,
providing LAURUS with the opportunity to supply the generic version, subject to
final approval. The annual market size for Viread is about USD1.2b. We expect at
least five generics post patent expiry. Assuming 10% market share and 90% price
discount, we expect LAURUS to garner annual sales of USD6m-7m from this product.
Given the scenario of pricing pressure in base business due to consolidation of
distributors and increased efficiency of USFDA for granting final approval, LAURUS is
in sweet position to have the benefit from the same. It would have minimal impact
of pricing pressure due to nil base business and reduced time for approval taken by
USFDA would enable faster entry for LAURUS to US market.
Also, LAURUS intends to tap opportunities arising from the expiry of key ARV
products in the US market over the next 2-3 years. The key products in this category
going off-patent over the next 2-3 years are g-Atripla (annual sales: USD3.5b, CY16),
g-Stribild (annual sales: USD1.2b, CY16) and g-Complera (annual sales: USD1.2b,
CY16).
Integrated manufacturing capacity in place; to remain cost-efficient
supplier
LAURUS has invested INR2b in building formulations facility at Vishakapatnam and
expanded capacity from 1b tablets per year to 5b tablets per year. The additional
capital investment for this project would be about INR1b over two years.
16 January 2018
7

Laurus Labs
Volume growth to drive ARV and Hep-C base business
Rising patient base remains key for ARV business
LAURUS is well-prepared to supply existing as well as new combination medicines
Pricing pressure continues; volume growth to drive Hep-C business.
LAURUS commenced commercial operations in the ARV API segment in 2009, and
within a short span of 8 years, it has scaled the business to INR12.2b in FY17. ARV
API constituted 64% of total sales in FY17. The share of ARV API in consolidated sales
has been reducing due to addition of new business segments. ARV API sales grew at
a CAGR of 16.7% over FY14-16 and ARV API volumes grew at 21% CAGR. In FY17,
ARV API sales declined 3.3%, despite volume growth remaining intact implies lower
realization for LAURUS. The lower realization is on the back of lower raw material
prices. Around 40% of ARV sales are exports.
Exhibit 5:
Addition of new molecules to help drive ARV sales
ARV API sales (INR b)
13.4
15.0
16.8
9.3
10.8
12.6
12.2
FY14
FY15
FY16
FY17
FY18E
FY19E
FY20E
Source: Company, MOSL
The key molecules that LAURUS sells in this segment are Efavirenz, Tenofovir,
Disoproxil, Fumarate, and Emitracitabine.
Efavirenz remains WHO’s preferred drug in combination form
There has been significant pick-up in volumes of Efavirenz consumed by human
immunodeficiency virus (HIV) patients. This is mainly due to preferred NNRTI (Non-
nucleoside reverse-transcriptase inhibitors) status given to Efavirenz by the WHO in
2013. As a result, aggregate volume off-take of Efavirenz grew sharply from ~900MT
in 2013 to 2200 in 2016.
Exhibit 6:
Industry report implies EFV sales to taper down
EFV (in MT)
2500 2600
Exhibit 7:
LAURUS continues to have major share of EFV
sales in ARV API category
Laurus EFV sales (MT)
1,295
1,230
1,183
1,169
1900
1200
2200
2300
1900
1500
848
1,110
933
900
2013 2014 2015 2016 2017 2018E 2019E 2020E 2021E
Source: Industry
2014
2015
2016
2017
2018E
2019E
2020E
Source: Company, MOSL
16 January 2018
8

Laurus Labs
LAURUS has been enjoying almost 50% market share in supplying Efavirenz API since
2013. This is largely due to its lowest cost producing capability. Though most
companies supplying formulations in the ARV market are integrated, LAURUS’
significant market share in API implies that formulators outsource considerable API
from LAURUS due to relatively lower cost.
Though market reports implies EFV volume to be on gradual downtrend
based on superiority of other drugs…
The ARV market report estimates that Efavirenz volume would reduce due to
continued momentum around accelerated development and market availability of
EFV400 (reduced dose compared to current dose of EFV600). In addition, WHO
guidelines have included EFV400 as a first-line option. Pharmacokinetic (PK) studies
in pregnant women and TB co-infected patients for EFV400 are also underway. If the
test results are favorable, the WHO would be able to suggest this option as the
preferred treatment dose without restrictions in its next guidelines.
Also, DTG has been recommended as an alternate for first-line adult treatment in
2015 WHO guidelines. The superiority of DTG and better tolerability over EFV also
implies that off-take of EFV would be lower, going forward.
For further details
please refer Annexure 1.
…Current higher cost of other drugs may lead to sustained off-take of EFV
over medium term
40-50% of HIV patients are also infected by TB. For HIV/TB patients, the preferred
course of treatment involves a single-tablet regimen of Dolutegravir and a triple
combination of Dolutegravir, Lamivudine and Tenofovir. This is costlier than the
Tenofovir, Lamivudine and Efavirenz combination.
Also, ongoing efforts by various agencies to ensure that additional patients get
treated by first-line drugs would aid growth in combination drugs and provide a
business opportunity for LAURUS.
Even if the cost reduces going forward, LAURUS is prepared to supply Dolutegravir
and the triple combination API at the lowest cost to gain maximum share of
business.
Growth in the ARV API segment is expected to be led by stable EFV sales,
introduction of Lamivudine/Dolutegravir and other combinations.
Volume growth to drive Hep C API business
LAURUS’ Hep C business largely involves manufacturing and selling Hepatitis C APIs
comprising of Sofosbuvir, Ledipasvir, Daclatasvir and Velpatasvir to Natco Pharma.
The deal with Natco Pharma gives LAURUS two revenue streams: (1) sale of API to
Natco Pharma, and (2) share of profit from Natco Pharma on sale of formulations.
Also, LAURUS has to share profits with Natco Pharma if it sells API to third parties.
This agreement is on the back of a long-term license agreement with Gilead Sciences
for the manufacture and sale of Sofosbuvir, Ledipasvir, and Velpatasvir within
specified jurisdictions. LAURUS also has a tripartite sublicense and technology
transfer agreement with Bristol-Myer-Squibb and Medicines Patent Pool Foundation
to manufacture and sell Daclatasvir for ultimate use in specified jurisdictions.
16 January 2018
9

Laurus Labs
Exhibit 8:
Pricing pressure to keep sales on a moderate growth trajectory of around 8%
Hep-C API sales (INR b)
2.5
2.0
2.8
3.0
3.1
0.0
FY14
0.2
FY15
FY16
FY17
FY18E
FY19E
FY20E
Source: MOSL, Company
LAURUS started this business in FY15 with a turnover of INR231m; in FY17, sales
from this segment were INR2.5b. Being early to market, sales were led by significant
ramp-up in volume offtake. These sales are largely in India.
Key growth drivers for LAURUS’ Hep C business have been:
Increased affordability
Improved formulation
Increased screening and novel ways for access to treatment, thereby reducing
cost of diagnosis as well
Early mover advantage along with sufficient capacity to cater to concerned
market
Sofosbuvir is considered to be the most effective directly acting anti-viral (DAA) drug
and promises higher cure rates. Patients on DAA are estimated to grow at a CAGR of
23.4% and patients on Sofosbuvir and its combinations are estimated to grow at a
CAGR of 24.5% over 2016-21.
Exhibit 9:
Patient base expected to increase over next three
years
Sofosbuvir and Sofosbuvir+Daclatasvir
Harvoni
Total
Exhibit 10:
Industry Volumes to grow at a CAGR of 24.5%
Volume of sofosbuvir pills in millions
58.2
47
37.9
19.4
24.3
30.3
2016
2017
2018E
2019E
2020E
2021E
2016
2017
2018E
2019E
2020E
2021E
Source: Industry
Source: Industry
Though volume growth remains strong, the growth in LAURUS’ revenue from this
segment is likely to moderate, primarily due to declining prices. Prices have been
declining due to increased competition.
16 January 2018
10

Laurus Labs
New molecules to drive growth in Oncology API segment
The key API molecules sold by LAURUS in this segment are Imatinib Mesylate and
Gemcitabine HCL. Currently, Imatinib Mesylate is largely sold in the domestic
market, while Gemcitabine HCL is exported.
LAURUS’ Oncology API revenue grew at a CAGR of 14% over FY14-16, largely led by
pick-up in Gemcitabine volumes. Gemcitabine is a higher value product than
Imatinib.
Exhibit 11:
Oncology sales reviving; expect moderate growth over FY18-20
Oncology API sales (INR b)
1.3
1.4
1.1
1.4
1.5
1.7
1.1
FY14
FY15
FY16
FY17
FY18E
FY19E
FY20E
Source: Company, MOSL
However, sales declined in FY17 due to change in inventory policy by one customer
and regulatory challenges for another customer. Both these factors have been
resolved and this is reflected in 1QFY18 revenue from this segment, which grew 83%
YoY to INR441m.
Going forward, growth would be led by launch of new molecules, capacity
expansion and increased traction from existing molecules. LAURUS intends to launch
a couple of products every year for the next 2-3 years.
16 January 2018
11

Laurus Labs
Synthesis/Ingredient business - another growth trigger
LAURUS has strong chemistry skills which would lead Synthesis/Ingredient business
LAURUS has a robust pipeline of molecules to be supplied to innovators under
contract manufacturing
We expect LAURUS to deliver 50%/18% CAGR in Synthesis/Ingredient business
LAURUS leverages its strong chemistry skills to provide contract development and
manufacturing services to pharmaceutical companies. It provides analytical and
research services, clinical research supplies, and commercial-scale contract
manufacturing services. Its focus has been to supply key starting materials and
intermediates for NCEs. The quantum of revenue would increase, as the molecule
moves to commercial manufacturing stage.
Exhibit 12:
New products and increased traction in existing ones to drive strong 50% CAGR
for FY17-20
138
Synthesis (INR b)
Growth % (YoY)
70
50
26
0.5
FY15
0.8
FY16
1.0
FY17
1.5
FY18E
2.4
FY19E
3.4
FY20E
Source: Company, MOSL
55
45
As at the end of 2QFY18, LAURUS has a good spread between phase-I, phase-II and
phase-III molecules in the synthesis segment. Specifically, it has an Oncology NCE
molecule in phase-II and would be supplying phase-III batch quantities in 4QFY18.
Pick-up in commercial operation from contract with Aspen to also support
growth in synthetic business
LAURUS has entered into a toll manufacturing and supply agreement with an Aspen
group entity, under which it would manufacture and supply certain hormonal
intermediates to the entity. It has built unit-5 and a dedicated block in unit-1 for this
task. The investment of about EUR26m in unit 5 was funded by Aspen. Unit-1 is
already commercialized and unit-5 became operational from November 2016. The
validation batches are progressing and commercialization would be in 1QFY19.
We expect LAURUS to maintain strong momentum in this segment on the back of
NCE molecules moving to higher clinical phase and higher capacity utilization of
unit-5.
16 January 2018
12

Laurus Labs
Exhibit 13:
Ingredients business expected to grow at a CAGR of 18% over FY17-20
Ingredients (INR b)
82
32
Growth % (YoY)
20
18
16
(32)
0.3
FY15
0.5
FY16
0.6
FY17
0.7
FY18E
0.9
FY19E
1.0
FY20E
Source: Company, MOSL
Extending chemistry skills led LAURUS to initiate its ingredients business. We expect
18% CAGR in this business, led by new products and better market share in existing
products.
16 January 2018
13

Laurus Labs
Robust financial performance to continue
LAURUS had delivered strong financial performance in the past
We expect momentum to continue with addition of formulation, new molecule
addition and increased traction in existing molecules in API segment
Segment-wise breakup for FY17
Synthesis
6%
FDF
0%
API
91%
Ingredients
3%
Revenue growth on strong footing
Over FY14-17, LAURUS has delivered 18% CAGR in revenue to INR19b and 25% CAGR
in PAT to INR1.9b. The strong growth has been on the back of new API launches/
healthy growth in base API business and meaningful addition in ingredients and
synthesis business over the past two years.
The strong offtake of ARV APIs, early mover advantage in Sofosbuvir and addition of
Imatinib Mesylate in Oncology API led growth in
overall API
sales. Even the
ingredients and synthesis business has seen good traction, led by new customers,
new product additions, and better sales of existing products.
Exhibit 14:
Expect 17% CAGR over FY17-20
61.4
Total Revenue (INR b)
Growth % (YoY)
Source: Company, MOSL
34.0
14.4
7.1
14.8
20.4
15.1
11.6
FY14
13.3
FY15
17.8
FY16
19.0
FY17
21.9
FY18E
26.3
FY19E
30.3
FY20E
Source: Company, MOSL
Though the CAGR over FY12-17 has been strong, there have been segment specific
issues which led to moderate YoY growth in FY17 sales.
The ARV-API
sales reduced by 3.2% YoY in FY17. The key molecule in this
segment for LAURUS is Efavirenz. The off-take of Efavirenz, at industry level,
remained robust and grew by 15.6% YoY in CY16. With LAURUS having almost
50% market share in terms of Efavirenz API, it implies that LAURUS also had
strong volume growth in FY17. However, YoY sales reduction implies lower
realization for its products. We believe this is largely due to lower raw material
prices. With raw material prices reaching trough, we expect future growth to be
driven by volume growth. With commitment of funding by donar agencies in
place for next three years to not only provide medicines to existing patients but
also to increase number of patients for treatment, we expect volume led growth
momentum to continue for LAURUS over FY17-20.
There has been change in inventory policy and regulatory hurdles faced by
customer that led to 24% YoY decline in
oncology API sales
of LAURUS. With
issues resolved, we expect business to ramp up from existing products as well as
launch of new products.
16 January 2018
14

Laurus Labs
The synthesis business has become ~5x over FY14-17 to INR1b due to increase in
supplies of molecules which advanced to higher phases of clinical trials and inclusion
of newer molecules. The commercialization of products under Aspen contract would
also aid growth in synthesis business. Overall, we expect 50% CAGR in synthesis
business over FY17-20.
Even ingredient business is expected to show decent growth on back of new
molecules and increased off-take from existing molecules.
On overall basis, we expect LAURUS’ revenue to grow at a CAGR of 17% over FY17-
20, led by incremental sales from the formulations segment, better traction from
the Aspen contract, and restoration of momentum in API segments.
Margins to remain on uptrend
Gross margin has expanded 1000bp over FY14-17, led by increased share of higher
margin synthesis and Hep-C businesses. Accordingly, EBITDA margin increased by
314bp over FY14-17. The EBITDA margin increased at lower rate than gross margin
due to higher R&D spend towards product development and improving processes.
Exhibit 15:
Superior product mix to drive gross margin
Gross Margin
47.7
43.3
37.4
37.6
47.3
49.0
49.4
20.4
18.0
15.1
FY14
FY15
FY16
FY17
FY18E
FY19E
FY20E
FY14
FY15
FY16
FY17
FY18E
FY19E
FY20E
Exhibit 16:
Operational efficiency to drive EBITDA margin
EBITDA Margin
23.0
21.4
21.0
23.4
Source: Company, MOSL
Source: Company, MOSL
We expect gross margin to expand 200bp over the next 2-3 years due to addition of
formulations business and continued traction in synthesis business. While R&D
spent on absolute basis is expected to continue at ~INR1.4-1.5b, higher sales growth
would result in lower R&D spent as % of sales and aid improvement in EBITDA
margin. We expect EBITDA margin to increase by 200bp over FY17-20.
Exhibit 17: We expect 18% CAGR in gross profit over
FY17-20
Gross Profit (INRb)
12.9
7.7
4.3
5.0
9.1
10.3
2.1
2.0
15.0
3.6
4.1
4.6
Exhibit 18: We expect 20.2% CAGR in EBITDA over
FY17-20
EBITDA (INRb)
6.0
7.1
FY14
FY15
FY16
FY17
FY18E
FY19E
FY20E
FY14
FY15
FY16
FY17
FY18E
FY19E
FY20E
Source: Company, MOSL
Source: Company, MOSL
16 January 2018
15

Laurus Labs
EBITDA growth is led by 17% CAGR in sales coupled with about 200bp increase in
EBITDA margin. The better-than-company growth in relatively high margin business
of oncology API, Hep C API and synthesis business is expected to drive margin over
next 2-3 years. The pick-up in formulation business is also expected to aid
improvement in margins of the company going forward.
R&D spend expected to be stable on absolute basis
LAURUS remains on track to file 30 ANDAs on cumulative basis over next 2-3 years.
Accordingly, LAURUS has increased its R&D spent from INR0.4b to INR1.2b in FY17.
Annual R&D spent is expected to be about INR1.2-1.4b over next 2-3 years to
support product development for regulated market, development of products in
synthesis business and newer molecules in oncology segment.
Exhibit 19: R&D as % of sales to reduce going forward
R&D Spend (INR b)
7.0%
4.4%
5.1%
as a % of sales
6.2%
5.3%
4.8%
3.7%
0.4
FY14
0.6
FY15
0.9
FY16
1.2
FY17
1.4
FY18
1.4
FY19
1.5
FY20
Source: MOSL, Company
Interest outgo to reduce going forward
We expect not only improvement in operating performance, but also reduction in
finance cost, thereby driving PBT of LAURUS over FY17-20. Finance cost has reduced
in 1HFY18 due to ratings upgrade, which has resulted in lowering of cost of
borrowing. We expect interest outgo to reduce from ~INR1b in FY17 to INR731m in
FY18. In 1HFY18, interest outgo was INR386m implying benefit of rating upgrade
already kicking-in for LAURUS. Accordingly, we expect interest coverage ratio to
improve sharply from 3x in FY17 to 7.1x by FY20.
Exhibit 20:
Higher capital expenditure led to increased
debt; to decline over FY18-20
14.2
Net Debt (INR bn)
14.1
12.3
11.2
Interest as a % of debt
12.0
7.7
8.2
8.8
3.0
2.8
1.3
2.9
FY13
5.2
FY14
7.5
FY15
9.9
FY16
8.3
FY17
9.1
9.0
8.4
FY13
FY14
FY15
FY16
FY17
FY18E FY19E FY20E
2.5
3.0
4.6
Exhibit 21:
Interest coverage ratio to improve owing to
increased EBITDA
Interest Coverage Ratio
6.0
7.1
FY18E FY19E FY20E
Source: MOSL, Company
Source: MOSL, Company
16 January 2018
16

Laurus Labs
The effective tax rate is expected to increase from 18.4% in FY17 to 24% in FY18 due
to reduction in R&D weighted deduction. However, we expect effective tax rate to
reduce FY19 onwards as SEZ led benefit to accrue due to commercialization of Unit
3 and Unit 5.
On the basis of sales growth, improving margins, reduced financial leverage and
lower tax rate, we expect PAT CAGR to be 28% to INR4b over FY17-20.
Capex to continue, at lower rate, to support growth
The capex over FY14-17 was largely towards building formulation and API facility
(Unit 2) and Unit 5, which is dedicated facility for Aspen. Specifically for formulation
facility, LAURUS has spent about INR3b till date. LAURUS spent about INR1.5b
towards unit 5. LAURUS spent about 1.8b for unit III, which is for API and
ingredients. Remaining amount was spent was largely for Unit IV, which is also for
API and ingredients. LAURUS has guided for annual capex of about INR2.5-2.7b to be
spent over next 3 years, primarily for further enhancing capacity for API business.
We believe that internal accrual and marginal increase in debt would be sufficient to
fund capex needs, thereby not impacting financial leverage meaningfully.
Exhibit 22:
Capex intensity to remain steady over next few years
3,635
2,927
Capex (INRm)
3,025
2,750
2,500
2,500
704
1,198
FY13
FY14
FY15
FY16
FY17
FY18E
FY19E
FY20E
Source: Company, MOSL
Working capital would increase with rise in share of formulation business
Working capital days have increased from 95 in FY13 to 169 in FY17 due to increase
in receivables in API segment. We expect further increase due to additional
formulations business, where working capital requirement is higher.
Exhibit 23:
API and formulation led increase in working capital
Working Capital Days
158
95
100
153
169
174
180
190
FY13
FY14
FY15
FY16
FY17
FY18E
FY19E
FY20E
Source: Company, MOSL
16 January 2018
17

Laurus Labs
Free cash flow to turnaround from FY19
Free cash flow has been negative over FY12-16, primarily due to higher capital
expenditure compared to operating cash flow. Even working capital was on rise due
to higher receivable days for API business.
This led to higher debt and part of the gap between capital expenditure and
operating cash flow was funded through equity raised in FY15.
Free cash flow was positive in FY17 at INR546m. However, we expect negative free
cash flow in FY18, though FY19 and FY20 would see positive free cash flow, as
EBITDA from formulations segment improves due to increase in its base. Even the
share of higher margin synthesis business is expected to increase from 5.4% in FY17
to 11% by FY20, driving higher operating cash flow.
Exhibit 24:
Increase in share of higher margin business and lower capex needs to improve
FCF
Free CashFlow
546
-1,846
-4,468
FY14
FY15
FY16
FY17
FY18E
-1,443
-249
537
1,056
FY19E
FY20E
Source: Company, MOSL
Return ratios to improve on higher asset utilization
LAURUS had phenomenal revenue and PAT growth during FY11-14 due to significant
traction in API business and partly on low base. With considerable capex cycle
starting in FY14, the return ratios lowered during FY14-17 compared to FY11-14
period. As considerable capex now behind, we expect return ratios to improve FY19
onwards on the back of better capacity utilization as well as improvement in
profitability.
Exhibit 25:
Better margins and increased capacity utilization to drive ROE over FY17-20
ROE (%)
ROCE (%)
19.4
16.9
14.4
12.6
FY15
13.4
FY17
17.4
15.4
14.8
13.0
FY16
11.9
FY18E
FY19E
FY20E
Source: Company, MOSL
15.3
19.3
16 January 2018
18

Laurus Labs
SWOT ANALYSIS
Strength
• Promoters’ superior technical background has helped in early identification of business
opportunities.
• Strong R&D skills have led LAURUS to become a low cost supplier of APIs. This skill would
also enable it to gain considerable share in the formulations business in regulated markets.
• Consistent regulatory compliance in terms of product quality and good manufacturing
practices considerably reduces the scope of adverse impact on existing business or new
approvals due to regulatory hurdles.
• Superior margins despite API business accounting for most of LAURUS’ revenue – this
implies that LAURUS is a cost-efficient producer of APIs.
Weaknesses
• Current ANDA pipeline is small compared to peers. LAURUS has guided about 30 filings
within the next three years.
• LAURUS derives most of its revenue from the ARV API segment. It continues to reduce
its exposure to ARV APIs by adding newer business segments.
• LAURUS does not have much pricing power in products in which it has significant
market share.
Opportunities
• Starting at low base in US market would prevent adverse impact of pricing pressure,
which is faced by peers having high base. Also, reduced timeline for ANDA approval by
USFDA would drive US sales at higher pace.
• Forward integration into formulations for US sales would not only drive sales but also
improve margins, going forward.
• Forward integration in ARV segment would also aid margin improvement.
• Increased traction in synthesis business on the back of R&D skills and availability of
manufacturing capacity.
Threats
Delays in regulatory approvals
may increase competition and reduce LAURUS’
profitability.
• Higher than expected price erosion in Hep C or oncology products, or delays in
execution of contracts in synthesis business may adversely affect financial performance.
Significant portion of revenue is derived
from few customers without any long-term
agreement. Loss of such customer/s or financial deterioration may adversely affect
LAURUS’ business.
16 January 2018
19

Laurus Labs
Manufacturing facilities and inspection details
Exhibit 26:
USFDA inspection history
Unit-2 (API & FDF)
- FDF facility
- API facility
Unit-1&3 (API)
Hyderabad site
(R&D/Kilolab)
Inspected in Nov-Dec 2016; EIR received in May'17
Inspected in May'17; EIR received in Sep'17
Surveillance Inspection in Aug'17 & Issued Form-483 with 2 observations
Received EIR in Nov'17
Surveillance Inspection in Apr'15 with no observations
Issued EIR in Jul-15
Surveillance Inspection in Nov'12 &
Issued Form-483 with 10 observations
Received EIR in May'13
Pre Approved Inspection in Oct'09 with no observations
EIR Received in Feb'10
Surveillance Inspection in Jun-2016 with zero observations
Received EIR in October-2016
Surveillance Inspection in April-2014 & issued form 483 with 4 observations
Received EIR in November-2014
Pre-approval Inspection in February 2011 with no observations
Received EIR in June-2011
Source: Company, MOSL
Exhibit 27:
Facility-wise product details and compliance status
Facility
Unit-1
Remarks
Audits
300 reactor with 1140 KL
latest successful audit by
API, Ingredients, synthesis & Contract US FDA, WHO, PmDA, KFDA, NIP
capacity
US FDA and WHO-Geneva
Manufacturing
Spread across 34 acres with
Hungary
was in April 2015
1000+ employees
FDF capacity of 1b
BfArM, US FDA inspection
tablets/year
FDF & API
EIR received in May-17
completed in Dec’16
API block with 12 reactors
and capacity of 84KL
The latest successful audit
API, Ingredients, synthesis & Contract
110 reactors with a total
US FDA and WHO
by US FDA and WHO
Manufacturing
capacity of 729 Kilo Litres.
Geneva was in April 2015
Construction commenced
Nutraceuticals, Intermediaries & API
Under construction
and will be operational in
2017-18
48 reactors of 138 Kilo Liters
Operations commenced in
API (Dedicated to Aspen)
capacity in two
December 2016
manufacturing buildings.
Source: Company
Type
Approvals
Unit-2
Unit-3
Unit-4
Unit-5
16 January 2018
20

Laurus Labs
Sensitivity analysis implies limited downside
In our base case, we factor in 16.7% CAGR in revenue to INR30.3b and 28% CAGR in
PAT to INR3.9b over FY17-20, led by increased business in US formulations,
synthetics and ARV API. We expect EBITDA margin to expand from 21.4% in FY17 to
23.4% by FY20.
Bear Case
In our bear case, sales and PAT CAGR would reduce to 14.2% and 23%,
respectively, led by delays in ANDA approval for US market and lower than
expected business in ARV category. Accordingly, 12-month forward EPS would
be INR30, and the price target would be INR535, implying limited downside.
Bull Case
In our bull case, sales would grow at a CAGR of 19.8% to INR32.7b and PAT
would grow at a CAGR of 35% to INR4.4b over FY17-20 on faster approval,
followed by subsequent better traction in products in US market and higher
market share in ARV tender business. Accordingly, 12-month forward EPS would
be INR36, and the price target would be INR769, implying 44.5% upside.
Exhibit 28:
Sensitivity Analysis
Bear Case
Revenue (INR m)
EBITDA (INR m)
EBITDA margin (%)
PBT (INR m)
Tax rate (%)
PAT (INR m)
EPS
Target Multiple
Target Price
% Return
25,917
5,746
22.2
4,035
21.5
3,156
30
17
535
0.0
Base Case
26,308
6,043
23.0
4,234
21.5
3,312
31.3
18
651
22.0
Bull Case
27,431
6,576
24.0
4,891
21.5
3,828
36
19
769
44.5
Source: MOSL
16 January 2018
21

Laurus Labs
Valuation and view
Despite multiple headwinds for pharma industry…
Pharma industry has been facing multiple headwinds over past two years in US,
which has been focus market for most of the Indian pharma companies.
Supply chain consolidation:
There has been considerable price erosion on
products due to consolidation of distributors in US market.
Regulatory hurdles: The increasing compliance requirement by regulatory
agencies and inconsistency shown by pharma companies have impacted
either existing business or affected future approvals.
Faster approvals:
There has been increase in efficiency of USFDA paving
faster approvals which has led to rise in competition.
Even emerging markets had country specific issues like temporary hurdles
(demonetization and GST led disruption) in India, lower crude oil prices affecting
economy of African countries and currency headwinds in Asia market.
All these factors led to flat to deterioration in financial performance in FY18 till
date.
Pharma companies have increased R&D spent towards building portfolio of
complex molecules. This would not only extend period of better sales but also
enable companies to have better margins.
Companies have upped their efforts to increase the bar of compliance. This is
through automation as well as improving the culture to have consistency in
compliance.
This would not only extend period of better sales but also enable companies to
have better margins. Thus US generics remains an interesting market for Indian
pharma companies.
With streamlining of government administrative systems post demonetization
and implementation of GST, we expect pick-up in growth in India pharma
market. Also, stable crude oil prices and currencies to enable growth in other
emerging markets.
We like LAURUS as a midcap pharma story due to:
Its ability of superior operating margins in API segment. Unlike peers,
LAURUS has been enjoying 18-20% EBITDA margin in its business, which is
currently dominated by API segment. This is on the back of highly cost
efficient processes implemented by LAURUS.
LAURUS is in process of transforming itself from pure API play to formulator
by forward integration and building product pipeline for regulated as well as
emerging markets.
We expect 16.7% CAGR in revenue and 21% CAGR in EBITDA over FY17-20.
Though growth in revenue moderated to 7% in FY17, we expect a pick-up in
2HFY18 and considerable improvement in FY19.
We value LAURUS at 20% premium to the midcap average multiple of 15x due to
superior margins in API business and forward integration to formulations. Our
price target is INR651 on 12M forward earnings, implying upside of 22% from
current levels.
22
…the structural growth story remains intact
LAURUS – well placed for robust growth
16 January 2018

Laurus Labs
We expect upside to be much higher over 4-year horizon. We expect stock to
double on current levels over next four years as significant benefit, from capex
done till date, to accrue FY19 onwards. The increased share of higher margin
business would drive profitability at higher rate than sales growth.
Initiate with
Buy.
Exhibit 30:
EV
16
15
14
EV/EBITDA (x)
Min (x)
Avg (x)
+1SD
Max (x)
-1SD
Exhibit 29:
P/E
27
25
23
21
19
17
P/E (x)
Min (x)
Avg (x)
+1SD
26.1
24.9
22.2
Max (x)
-1SD
15.0
14.2
13.0
19.5
18.6
18.6
13
12
11
11.9
11.6
11.6
Source: Company, MOSL
Source: Company, MOSL
Exhibit 31: Peer Comparison
INR b
Ajanta
Natco
Alembic
Jubilant
Shilpa Medicare
Strides
Granules
Laurus Labs
MCap
INR b
132
191
103
132
48
72
36
57
FY17
20.0
20.7
31.0
58.6
7.8
34.8
14.4
19.0
Sales
FY18E
20.9
21.6
30.8
71.3
8.7
40.4
16.1
21.9
FY19E FY17
24.8
6.9
27.4
6.9
35.2
6.1
83.7 13.5
10.9
1.8
49.4
6.4
21.3
3.0
26.3
4.1
EBITDA
FY18E
6.2
7.5
6.1
15.0
2.0
7.8
3.3
4.6
PAT
P/E (x)
FY19E FY17 FY18E FY19E FY17 FY18E
7.6
5.1
4.7
5.7
26.3 28.6
10.2
4.9
5.1
7.1
35.3 34.8
7.2
4.1
4.1
4.7
25.4 25.3
17.4
5.8
6.9
8.6
22.7 18.9
2.7
1.1
1.5
2.4
43.2 33.4
10.4
2.9
3.7
6.2
25.2 22.4
4.6
1.7
1.6
2.3
18.7 19.7
6.0
1.9
2.2
3.3
30.5 25.9
ROE (%)
FY19E FY17 FY18E FY19E
23.5 36.7 26.4 25.7
27.5 33.0 27.6 28.2
22.0 23.0 19.9 19.8
15.2 18.0 18.4 19.2
20.3 14.4 14.7 20.5
13.0 10.8 12.9 18.3
15.1 21.1 14.2 15.5
17.3 17.4 15.4 19.4
Source: Company, MOSL
Risks
Delay in ANDA approvals may impact overall revenue growth and profitability.
Higher than expected competition in ARV business may affect profitability.
Regulatory hurdles may impact regulated market business.
16 January 2018
23

Laurus Labs
About the company
LAURUS is an R&D-driven pharmaceutical company. It has grown consistently to
become one of the leading manufacturers of APIs for anti-retroviral (ARV) and
Hepatitis C. It has leveraged its strong process chemistry skills to provide synthesis
services to global pharma companies and specialty ingredients for use in
nutraceuticals, dietary supplements, and cosmetics. LAURUS is also forward
integrating to sell formulations in regulated markets.
Key personnel
Dr Satyanarayana Chava, Founder & CEO
Dr Satyanarayana holds a Master’s degree in Science from Andhra University. He
was a research scholar at the College of Science and Technology, Andhra University
from 1985 to 1992 and went on to obtain his PhD in 1992. He has overall experience
of 23 years with companies like Ranbaxy, Vera labs, and Vorin Labs. He was also CEO
of Matrix Laboratories. He has 103 patents filed across the world to his name.
Dr Raju S Kalidindi, ED & Head – Generics API & Ingredients
Dr Raju Srihari Kalidindi holds a Master’s degree in Science from the University of
Roorkee and a PhD from Andhra University. He has over 23 years of experience in
Research and the Pharmaceutical industry, with more than 10 years at Hospira,
Australia. His areas of expertise include R&D, operations, sourcing & business
development. He has 11 patents filed across the world to his name. He has been a
Director with LAURUS since April 2006.
Mr V V Ravi Kumar, ED & CFO
Mr V V Ravikumar is a member of the ICWAI. He also holds a Master’s degree in
Commerce from Andhra University. He has over 25 years of experience in the field
of finance. Prior to joining LAURUS, he was the Vice President – Finance of Matrix
Laboratories. He oversees the Finance and Human Resources functions at LAURUS.
He has also handled Supply Chain Management for a significant time. He has been a
Director with LAURUS since November 2006.
Mr Chandrakanth Chereddi, ED & Head – Generics FDF & Synthesis
Mr Chandrakanth Chereddi oversees Strategy and Operations. He holds a Master’s
degree in Science in Electrical and Computer Engineering from the University of
Illinois. He has over eight years of experience in the field of project management.
Prior to joining LAURUS, he was an associate with McKinsey & Company. He has
been associated with LAURUS since February 2012 and a Director since August 2016.
Dr Lakshman Chunduru, Ex VP - Quality
Dr Lakshmana Rao C V has been associated with LAURUS since February 2007. He
holds a Master’s degree in Science and a PhD from the Andhra University. He has
over 13 years of experience in product development. Before joining LAURUS, he was
associated with Mayne Health Pty Ltd.
16 January 2018
24

Laurus Labs
Annexure 1: Combinations of products used to treat HIV
Medically, two ways to stop spread of virus in human body
Both the NRTIs (Nucleoside reverse transcriptase inhibitor) and the NNRTIs (Non-
nucleoside reverse transcriptase inhibitor) interact with the reverse transcriptase to
stop its working. This stops the replication of HIV and the virus in the body. The
difference between NNRTIs and NRTIs is how they stop reverse transcriptase from
working.
NRTIs work in different ways, but one of the main ways is to compete with reverse
transcriptase for their interaction site with HIV genetic material. This is like trying to
zip up a jacket with more than one set of zips. So NRTIs are like another zip giving
the zipper another track to follow.
NNRTIs work by sitting in a binding site in the virus structure and this is a bit like
having an object that blocks the teeth of the zipper, so the zipper cannot get past
the block.
The most preferred NNRTI treatment is EFV (Efavirenz) and EFV based
combination, followed by NVP (Nevirapine) based combination.
Both these
treatments are expected to lose their market to DTG in the coming years. DTG is
expected to have 59% market share by 2021.
TDF (Tenofovir Disproxil Fumarate) based combination is the most preferred NRTI
treatment,
accounting for almost 85% share in 2017. TDF is expected to remain the
dominant drug, maintaining 80% of the first-line market. However, in subsequent
years, TAF is expected to almost completely replace TDF due to its price and clinical
advantages.
EFV volume at risk due to lower dosage requirement and better alternative
According to the ARV market report, it is estimated that Efavirenz (EFV) volume
would reduce due to continued momentum around accelerated development and
market availability of EFV400 (reduced dose) compared to current dose of EFV600.
In addition, WHO guidelines have included EFV400 as alternative option in first line.
Pharmacokinetic (PK) studies in pregnant women and TB co-infected patients for
EFV400 are also underway. If the test results are favorable, then WHO would be
able to suggest this option as the preferred treatment dose without restrictions in
the next guidelines.
Also, DTG has been recommended as an alternate for first-line adult treatment in
2015 WHO guidelines. The superiority of DTG and better tolerability over EFV also
implies that offtake of EFV would be lower, going forward.
16 January 2018
25

Laurus Labs
Exhibit 32:
DTG’s share to rise in NNRTI category
EFV
NVP
16.1
14%
DTG
17.7
14%
12%
74%
Number of patients
19.0
30%
10%
9%
60%
43%
2020
8%
34%
2021
Source: CHAI
2015
2016
2017
2018
2019
2020
Source: CHAI
77%
81%
85%
87%
88%
80%
20.3
49%
21.5
59%
1%
22%
1%
17%
Exhibit 33:
TAF to gradually replace TDF
TDF
AZT
ABC
1%
12%
TAF
1%
1%
11%
10%
1%
9%
12.9
21%
79%
2015
14.5
17%
83%
1%
14%
86%
2016
2017
2018
2019
Higher cost of other drugs may lead to sustained offtake of EFV over
medium term
Tenofovir, Lamivudine and Efavirenz combination is the current preferred choice of
treatment. There is enough scope for adding Dolutegravir to be used in combination
replacing Efavirenz due to superior efficacy.
About 40-50% of HIV patients are infected by TB also. For HIV/TB patients, the
preferred course of treatment involves a single-tablet regimen of Dolutegravir and
triple combination of Dolutegravir, Lamivudine and Tenofovir. This is costlier
compared to the existing Tenofovir, Lamivudine and Efavirenz combination.
LAURUS positioned well for business opportunity from any of the products
Also, ongoing efforts by various agencies to have additional patients treated by first-
line drugs would aid growth in combination drugs, providing a business opportunity
for LAURUS.
Even if the cost of Dolutegravir based combination reduces going forward, LAURUS
is prepared to supply Dolutegravir and triple combination API at the lowest cost to
gain maximum share of business.
Tenofovir-based regimens are projected to continue growing in market share.
Tenofovir Alafenamide Fumarate (TAF) is an alternative pro-drug of Tenofovir, with
the potential to reduce treatment costs.
Exhibit 34:
TDF demand to remain robust over medium term
TDF API (in MT)
1400
1600
1700
1900
2200
Exhibit 35:
EFV volume offtake to be on downtrend
EFV (in MT)
2500 2600
2300
1900
1500
950
480
680
1100
1250
1900
1200
900
2013 2014 2015 2016 2017 2018E 2019E 2020E 2021E
Source: CHAI
2013 2014 2015 2016 2017 2018E 2019E 2020E 2021E
Source: CHAI
16 January 2018
26

Laurus Labs
Exhibit 36:
NVP volume declining, as it is no more part of
WHO regime
630
640
NVP (in MT)
Exhibit 37:
DTG volume to pick up from FY19
DTG API (in MT)
140
180
400
340
320
290
280
250
220
20
2018E
70
0
2013 2014 2015 2016 2017 2018E 2019E 2020E 2021E
Source: CHAI
2016
0
2017
2019E
2020E
2021E
Source: CHAI
Approximately 93% of the GA LMIC ARV market is captured by the generic
formulation players and innovators have a small share of approximately 7%. The
generic market participants (Mylan Laboratories Limited, Hetero Drugs Limited,
Aurobindo Pharma Limited, and Cipla Limited) controlled approximately 70% of the
market share both in terms of revenue and volume in 2014 and other generic Indian
formulation manufacturers accounted for approximately 6% of the market share by
volume and revenue. A smaller share of 17% is captured by the non-Indian generic
manufacturers and distributors, of which approximately 40-41% by volume was
captured by Aspen Pharma Limited.
Exhibit 38:
Market share by revenue of formulators
Others
23%
Mylan
31%
Exhibit 39:
Market share by volume of formulators
Others
26%
Mylan
27%
Aspen
6%
Cipla
7%
Aurobindo
13%
Hetero
20%
Source: Industry
Aspen
7%
Cipla
9%
Hetero
19%
Aurobindo
12%
Source: Industry
16 January 2018
27

Laurus Labs
Annexure 2: Commercial aspect of HIV medicines
Government as well as private agencies targets to maximum patients on ART
With its new “treat all” recommendation, the WHO has removed all limitations on
eligibility for antiretroviral therapy (ART) among people living with HIV. With this,
the number of people eligible for ART has increased from 28m to all 37m.
The 90–90–90 targets include 90% of the people living with HIV that know their HIV
status, 90% of the people who know their HIV status that are receiving ART, and
90% of the people receiving ART that have suppressed viral loads.
Exhibit 40:
54% HIV patients in 2015 were yet to receive ART in the 90-90-90 targets
100%
Gap
50%
36.7
Gap
(60%)
10.9
Gap
22.2
12.7
(46%)
17
0
In millions (90-90-90)
Number of people living
with HIV
People living with HIV
who know their status
(38%)
People who know the
status and receiving ART
Source: WHO
Scale-up of ART is on a fast-track trajectory that has surpassed expectations. Global
coverage of ART reached 46% at the end of 2015. Gains were greatest in the world’s
most affected regions – eastern and southern Africa.
The 90-90-90 targets aim at reducing number of people acquiring HIV to less than
0.5m by 2020 and less than 0.2m by 2030.
Exhibit 41:
The number of people newly infected to go down
Annual number of people newly infected with HIV (in Millions)
3.2
2.5
2.2
2.1
11.7
0.5
2000
2005
2010
2015
2020
0.2
2030
Source: WHO
2013
2014
2015
2016
2017E 2018E 2020E 2030E
Source: WHO
17
19.4
21.5
Exhibit 42:
Treatment coverage doubling every five years
Cumulative Number of People on ART (In Millions)
30
23.5
33
14.2
The global number of people receiving ART rose by nearly 2.5x from 2010, when
7.5m people were receiving ART to 18.2m in mid-2016. However, almost 20m
people living with HIV were not receiving ART at the end of 2015, and many people
16 January 2018
28

Laurus Labs
are not being retained on treatment and in care. At best, the world has only just
passed the halfway mark towards ending the AIDS epidemic by the end of 2015.
The fast-track targets call for reducing the number of people dying from HIV-related
causes to less than 0.5m globally in 2020. This will require almost doubling the
number of people receiving ART within five years from an estimated 18.2m in mid-
2016 to about 30m in 2020.
Scarce funding compared to demand determines business opportunity for
ARV drugs manufacturers
Despite significant progress in combatting HIV, driven in large part by increased
investments, the epidemic remains a global emergency and several challenges
threaten future progress. One such challenge is an ongoing resource gap; UNAIDS
estimates that although USD19.1b from both international and domestic sources
was available to address HIV in low-and-middle-income countries in 2016, USD26.2b
will be needed annually by 2020 (to be gradually reduced by 9% by 2030) to meet
global targets to end AIDS as a global public health threat by 2030. While funding
from all sources is critical to achieving further progress, funding from donor
governments represents a significant share of the total and is particularly important
in the lowest income countries.
Exhibit 43:
Funding break-up 2016 (total: USD8.1b)
Bilateral Funding
1.3, 16%
0.08, 1%
Global Fund
UNITAID
Others
Exhibit 44:
US and UK account for 90% of bilateral funding
Netherlands ,
0.18, 3%
UK, 0.54,
10%
Others , 0.38,
7%
1.3, 16%
5.4, 67%
USA, 4.3,
80%
Source: UNAIDS
Source: UNAIDS
Donor government funding for HIV in low-and-middle-income countries declined by
USD511m in 2016, dropping from USD7.5b in 2015 to USD7b in 2016 (-7%). The
2016 decline is due to several factors: actual decreases in both bilateral and
multilateral funding, accounting for an approximate net 50% of the decline;
exchange rate fluctuations (20%); and the timing of US contributions to the Global
Fund (30%) due to US law that limits its funding to one-third of total contributions to
the Global Fund.
The Global Fund, the single largest financier for HIV, provides more than 20% of all
international financing for HIV programs, and has disbursed more than USD18.1b for
HIV programs in more than 100 countries over 2002-17 (this does not include
TB/HIV programs).
16 January 2018
29

Laurus Labs
Exhibit 45:
Global fund disbursements declining
Global fund disbursements for HIV/AIDS in USDb (Yearly)
2.1
1.6
1.1
0.6
0.7
1.3
1.3
1.5
1.7
1.6
1.6
1.5
1.1
2005
2006
2007
2008
2009
2010
2011
2012
2013
2014
2015
2016
2017
Source: Global Fund
Large portions of Global Fund spend go into buying of ARVs (78% of total
contributions in 2015). Roughly 11m out of 18.2m people in 2016 were on ARV
treatment through Global Fund supported programs.
Exhibit 46:
Global Fund spend break-up in 2015
125, 12%
40, 4%
800, 78%
Prevention
60, 6%
Medicines for
opportunistic
infections
Source: Global Fund
3.1
3.5
ARV medicines
Diagnostics
5.3
6.5
Exhibit 47:
More than 50% people on ARV are through GF
People currently on ARV therapy through Global Fund
Supported Programs (In Millions)
9.2
11.0
8.0
2010
2011
2012
2013
2014
2015
2016
Source: Global Fund
55m ARV packs were procured by the Global Fund in 2015 and roughly 58m in 2016.
Within different combination of ARV packs, TLE combination had the maximum
procurement of around 36m packs in 2016.
This was for adults as well as children
Exhibit 48:
ARV packs demand by GF in 2015 (in millions)
Others , 7.7
TEE , 2.8
TL, 2.2
LZ , 2.8
EFV, 2.8
LZN, 6.1
TLE, 30.8
Exhibit 49:
ARV packs demand by GF in 2016 (in millions)
Others , 7.0
TEE, 2.3
TLE, 1.7
LZ, 2.3
EFV , 2.9
LZN, 5.8
TLE, 36.0
Source: Global Fund
Source: Global Fund
Note: TDF – Tenofovir Disproxil Fumarate, 3TC - Lamivudine, EFV - Efavirenz, TLE – TDF+3TC+EFV, LZ - Lamivudine-Zidovudine, ZLN –
Zidovudine-Emitricitabine-Nevirapine, FTC - Emitrcitabine, TEE – TDF+FTC+EFV
16 January 2018
30

Laurus Labs
In terms of purchasers, The Global Fund, the RSA and PEPFAR are the biggest buyers
of ARV products. It is expected that together they will purchase approximately 117m
ARV packs in 2018.
Exhibit 50:
Overall demand forecast for ARV packs of three major buyers
The Global Fund
36
6
12
18
4QCY17
38
9
13
16
1QCY18E
29
6
13
10
2QCY18E
13
14
3QCY18E
28
1
22
9
12
4QCY18E
RSA
PEPFAR
Total
1
Source: PEPFAR, RSA, Global Fund
Within the ARV packs procured, the three most preferred treatments are
TLE, ZLN
and TEE
as highlighted in exhibit 39 and 41.
Exhibit 51:
First-line adult regimens in GA LMIC; patient growth and share
TDF+3TC+EFV
TDF+FTC+EFV
AZT+3TC+NVP
Others
Number of patients (in Millions)
11.6
19%
20%
32%
29%
2014
12.9
12%
16%
29%
43%
2015
8%
14%
29%
49%
2016
Source: CHAI
16 January 2018
31

Laurus Labs
Financials and Valuations
Consolidated - Income Statement
Y/E March
Total Income from Operations
Change (%)
Raw Materials
Employees Cost
Other Expenses
Total Expenditure
% of Sales
EBITDA
Margin (%)
Depreciation
EBIT
Int. and Finance Charges
Other Income
PBT bef. EO Exp.
EO Items
PBT after EO Exp.
Total Tax
Tax Rate (%)
Minority Interest
Reported PAT
Adjusted PAT
Change (%)
Margin (%)
FY13
7,185
59.4
4,123
764
851
5,737
79.8
1,448
20.2
226
1,222
412
51
861
0
861
-21
-2.5
0
882
882
308.9
12.3
FY14
11,597
61.4
7,259
1,041
1,208
9,509
82.0
2,089
18.0
329
1,760
639
88
1,209
0
1,209
236
19.6
0
972
972
10.2
8.4
FY15
13,266
14.4
8,284
1,328
1,652
11,264
84.9
2,002
15.1
615
1,387
1,062
341
666
0
666
-15
-2.3
-2
683
683
-29.7
5.2
FY16
17,776
34.0
10,082
1,885
2,187
14,154
79.6
3,622
20.4
864
2,758
1,111
44
1,690
0
1,690
349
20.6
4
1,337
1,337
95.7
7.5
FY17
19,046
7.1
9,968
2,462
2,540
14,970
78.6
4,076
21.4
1,060
3,016
999
334
2,352
0
2,352
439
18.7
11
1,903
1,903
42.3
10.0
FY18E
21,857
14.8
11,519
2,826
2,929
17,273
79.0
4,584
21.0
1,228
3,356
731
306
2,931
0
2,931
703
24.0
11
2,216
2,216
16.5
10.1
FY19E
26,308
20.4
13,417
3,401
3,446
20,264
77.0
6,043
23.0
1,432
4,611
772
395
4,234
0
4,234
910
21.5
12
3,312
3,312
49.4
12.6
(INR Million)
FY20E
30,279
15.1
15,321
3,914
3,967
23,202
76.6
7,077
23.4
1,636
5,441
763
424
5,102
0
5,102
1,097
21.5
12
3,993
3,993
20.6
13.2
Consolidated - Balance Sheet
Y/E March
Equity Share Capital
Preference Capital
Total Reserves
Net Worth
Minority Interest
Total Loans
Deferred Tax Liabilities
Capital Employed
Gross Block
Less: Accum. Deprn.
Net Fixed Assets
Goodwill on Consolidation
Capital WIP
Total Investments
Curr. Assets, Loans&Adv.
Inventory
Account Receivables
Cash and Bank Balance
Loans and Advances
Curr. Liability & Prov.
Account Payables
Other Current Liabilities
Provisions
Net Current Assets
Appl. of Funds
E: MOSL Estimates
FY13
152
625
1,816
2,593
0
2,921
-118
5,396
3,303
948
2,356
0
728
0
3,833
1,562
1,567
27
678
1,521
1,322
114
85
2,312
5,396
FY14
154
625
2,806
3,584
0
5,428
118
9,131
6,230
1,240
4,989
3
1,161
0
6,578
3,281
1,949
232
1,117
3,601
2,275
1,218
109
2,977
9,131
FY15
155
666
6,419
7,241
0
8,211
113
15,565
9,865
1,855
8,010
0
1,097
74
9,757
4,755
2,851
589
1,562
3,373
2,308
922
143
6,383
15,565
FY16
158
666
7,744
8,568
0
10,277
-549
18,296
11,063
853
10,210
0
696
70
10,710
4,871
4,449
288
1,103
3,390
2,476
770
144
7,320
18,296
FY17
1,058
0
12,247
13,304
0
8,417
-699
21,023
14,088
1,886
12,202
97
1,433
34
12,069
5,090
5,676
41
1,262
4,812
2,631
1,988
193
7,257
21,023
FY18E
1,058
0
14,419
15,477
0
9,417
-699
24,195
16,609
3,114
13,495
97
1,662
34
14,446
5,874
6,813
311
1,448
5,539
3,036
2,282
221
8,907
24,195
FY19E
1,058
0
17,665
18,723
0
9,417
-699
27,441
19,189
4,546
14,643
97
1,582
34
17,659
6,891
8,633
392
1,743
6,574
3,561
2,746
266
11,085
27,441
(INR Million)
FY20E
1,058
0
21,578
22,636
0
9,417
-699
31,355
21,705
6,182
15,523
97
1,566
34
21,679
7,890
10,766
1,018
2,006
7,545
4,078
3,161
307
14,134
31,355
16 January 2018
32

Laurus Labs
Financials and Valuations
Ratios
Y/E March
Basic (INR)
EPS
Cash EPS
BV/Share
DPS
Payout (%)
Valuation (x)
P/E
Cash P/E
P/BV
EV/Sales
EV/EBITDA
Dividend Yield (%)
FCF per share
Return Ratios (%)
RoE
RoCE
RoIC
Working Capital Ratios
Fixed Asset Turnover (x)
Asset Turnover (x)
Inventory (Days)
Debtor (Days)
Creditor (Days)
Leverage Ratio (x)
Current Ratio
Interest Cover Ratio
Net Debt/Equity
FY13
8.3
10.5
24.5
0.0
0.0
FY14
9.2
12.3
33.9
0.0
0.0
FY15
6.5
12.3
68.5
0.0
0.0
82.3
43.3
7.8
4.8
31.9
0.0
-42.3
12.6
14.4
14.0
1.3
0.9
131
78
64
2.9
1.3
1.0
FY16
12.4
20.6
81.0
0.3
2.8
42.8
25.8
6.6
3.7
18.3
0.1
-13.6
16.9
13.0
14.6
1.6
1.0
100
91
51
3.2
2.5
1.2
FY17
17.8
27.8
125.8
0.3
2.0
29.9
19.1
4.2
3.4
15.9
0.1
5.2
17.4
13.4
13.5
1.4
0.9
98
109
50
2.5
3.0
0.6
FY18E
21.0
32.6
146.3
0.3
2.0
25.4
16.3
3.6
3.0
14.3
0.1
-2.4
15.4
11.9
12.2
1.3
0.9
98
114
51
2.6
4.6
0.6
FY19E
31.3
44.9
177.0
0.5
2.0
17.0
11.9
3.0
2.5
10.8
0.1
5.1
19.4
14.8
15.2
1.4
1.0
96
120
49
2.7
6.0
0.5
FY20E
37.8
53.2
214.0
0.6
2.0
14.1
10.0
2.5
2.1
9.1
0.1
10.0
19.3
15.3
15.8
1.4
1.0
95
130
49
2.9
7.1
0.4
0.0
-2.9
41.2
27.6
36.7
2.2
1.3
79
80
67
2.5
3.0
1.1
0.0
-17.5
31.5
20.5
25.4
1.9
1.3
103
61
72
1.8
2.8
1.4
Consolidated - Cash Flow Statement
Y/E March
OP/(Loss) before Tax
Depreciation
Interest & Finance Charges
Direct Taxes Paid
(Inc)/Dec in WC
CF from Operations
Others
CF from Operating incl EO
(Inc)/Dec in FA
Free Cash Flow
(Pur)/Sale of Investments
Others
CF from Investments
Issue of Shares
Inc/(Dec) in Debt
Interest Paid
Dividend Paid
Others
CF from Fin. Activity
Inc/Dec of Cash
Opening Balance
Closing Balance
FY13
861
226
341
-184
-405
839
43
882
-1,186
-304
-57
59
-1,184
0
669
-325
0
0
344
42
93
136
FY14
1,209
329
515
-234
-593
1,225
-13
1,212
-3,058
-1,846
-60
-28
-3,146
1
2,503
-474
0
0
2,030
96
136
232
FY15
666
615
862
-168
-2,507
-531
-116
-647
-3,821
-4,468
-148
112
-3,858
2,944
2,745
-828
0
0
4,861
356
232
588
FY16
1,690
864
1,038
-333
-1,544
1,716
103
1,820
-3,262
-1,443
140
-34
-3,156
3
2,063
-1,033
0
2
1,035
-301
588
287
FY17
2,352
1,060
931
-501
-525
3,317
3
3,320
-2,774
546
-113
-143
-3,030
2,860
-2,387
-950
-59
-1
-537
-247
287
40
FY18E
2,931
1,228
425
-703
-1,380
2,501
0
2,501
-2,750
-249
0
306
-2,444
0
1,000
-731
-44
-11
213
270
40
311
FY19E
4,234
1,432
378
-910
-2,096
3,037
0
3,037
-2,500
537
0
395
-2,105
0
0
-772
-66
-12
-850
82
311
392
(INR Million)
FY20E
5,102
1,636
339
-1,097
-2,424
3,556
0
3,556
-2,500
1,056
0
424
-2,076
0
0
-763
-80
-12
-855
625
392
1,018
16 January 2018
33

Laurus Labs
NOTES
16 January 2018
34

REPORT GALLERY
RECENT INITIATING COVERAGE REPORTS
Rs

Disclosures:
The following Disclosures are being made in compliance with the SEBI Research Analyst Regulations 2014 (herein after referred to as the Regulations).
Motilal Oswal Securities Ltd. (MOSL) is a SEBI Registered Research Analyst having registration no. INH000000412. MOSL, the Research Entity (RE) as defined in the Regulations, is engaged in the business of providing Stock
broking services, Investment Advisory Services, Depository participant services & distribution of various financial products. MOSL is a subsidiary company of Motilal Oswal Financial Service Ltd. (MOFSL). MOFSL is a listed
public company, the details in respect of which are available on
www.motilaloswal.com.
MOSL is registered with the Securities & Exchange Board of India (SEBI) and is a registered Trading Member with National Stock
Exchange of India Ltd. (NSE) and Bombay Stock Exchange Limited (BSE), Metropolitan Stock Exchange Of India Ltd. (MSE) for its stock broking activities & is Depository participant with Central Depository Services Limited
(CDSL) & National Securities Depository Limited (NSDL) and is member of Association of Mutual Funds of India (AMFI) for distribution of financial products. Details of associate entities of Motilal Oswal Securities Limited are
available on the website at
http://onlinereports.motilaloswal.com/Dormant/documents/Associate%20Details.pdf
Pending Regulatory Enquiries against Motilal Oswal Securities Limited by SEBI:
SEBI pursuant to a complaint from client Shri C.R. Mohanraj alleging unauthorized trading, issued a letter dated 29th April 2014 to MOSL notifying appointment of an Adjudicating Officer as per SEBI regulations to hold
inquiry and adjudge violation of SEBI Regulations; MOSL requested SEBI to provide all documents, records, investigation report relied upon by SEBI which were referred in Show Cause Notice. The matter is currently
pending.
MOSL, it’s associates, Research Analyst or their relative may have any financial interest in the subject company. MOSL and/or its associates and/or Research Analyst may have beneficial ownership of 1% or more securities in
the subject company at the end of the month immediately preceding the date of publication of the Research Report.
MOSL and its associate company(ies), their directors and Research Analyst and their relatives may; (a)
from time to time, have a long or short position in, act as principal in, and buy or sell the securities or derivatives thereof of companies mentioned herein. (b) be engaged in any other transaction involving such securities and
earn brokerage or other compensation or act as a market maker in the financial instruments of the company(ies) discussed herein or act as an advisor or lender/borrower to such company(ies) or may have any other
potential conflict of interests with respect to any recommendation and other related information and opinions.; however the same shall have no bearing whatsoever on the specific recommendations made by the analyst(s),
as the recommendations made by the analyst(s) are completely independent of the views of the associates of MOSL even though there might exist an inherent conflict of interest in some of the stocks mentioned in the
research report.
Research Analyst may have served as director/officer, etc. in the subject company in the last 12 month period. MOSL and/or its associates may have received any compensation from the subject company in
the past 12 months.
In the last 12 months period ending on the last day of the month immediately preceding the date of publication of this research report, MOSL or any of its associates may have:
a)
managed or co-managed public offering of securities from subject company of this research report,
b)
received compensation for investment banking or merchant banking or brokerage services from subject company of this research report,
c)
received compensation for products or services other than investment banking or merchant banking or brokerage services from the subject company of this research report.
d)
Subject Company may have been a client of MOSL or its associates during twelve months preceding the date of distribution of the research report.
MOSL and it’s associates have not received any compensation or other benefits from the subject company or third party in connection with the research report. To enhance transparency, MOSL has incorporated a Disclosure
of Interest Statement in this document. This should, however, not be treated as endorsement of the views expressed in the report. MOSL and / or its affiliates do and seek to do business including investment banking with
companies covered in its research reports. As a result, the recipients of this report should be aware that MOSL may have a potential conflict of interest that may affect the objectivity of this report. Compensation of Research
Analysts is not based on any specific merchant banking, investment banking or brokerage service transactions.
Terms & Conditions:
This report has been prepared by MOSL and is meant for sole use by the recipient and not for circulation. The report and information contained herein is strictly confidential and may not be altered in any way, transmitted to,
copied or distributed, in part or in whole, to any other person or to the media or reproduced in any form, without prior written consent of MOSL. The report is based on the facts, figures and information that are considered
true, correct, reliable and accurate. The intent of this report is not recommendatory in nature. The information is obtained from publicly available media or other sources believed to be reliable. Such information has not
been independently verified and no guaranty, representation of warranty, express or implied, is made as to its accuracy, completeness or correctness. All such information and opinions are subject to change without notice.
The report is prepared solely for informational purpose and does not constitute an offer document or solicitation of offer to buy or sell or subscribe for securities or other financial instruments for the clients. Though
disseminated to all the customers simultaneously, not all customers may receive this report at the same time. MOSL will not treat recipients as customers by virtue of their receiving this report.
Analyst Certification
The views expressed in this research report accurately reflect the personal views of the analyst(s) about the subject securities or issues, and no part of the compensation of the research analyst(s) was, is, or will be directly or
indirectly related to the specific recommendations and views expressed by research analyst(s) in this report.
Laurus Labs
Disclosure of Interest Statement
Analyst ownership of the stock
Laurus Labs
No
A graph of daily closing prices of securities is available at
www.nseindia.com, www.bseindia.com.
Research Analyst views on Subject Company may vary based on Fundamental research and Technical Research. Proprietary
trading desk of MOSL or its associates maintains arm’s length distance with Research Team as all the activities are segregated from MOSL research activity and therefore it can have an independent view with regards to
subject company for which Research Team have expressed their views.
Regional Disclosures (outside India)
This report is not directed or intended for distribution to or use by any person or entity resident in a state, country or any jurisdiction, where such distribution, publication, availability or use would be contrary to law,
regulation or which would subject MOSL & its group companies to registration or licensing requirements within such jurisdictions.
For Hong Kong:
This report is distributed in Hong Kong by Motilal Oswal capital Markets (Hong Kong) Private Limited, a licensed corporation (CE AYY-301) licensed and regulated by the Hong Kong Securities and Futures Commission (SFC)
pursuant to the Securities and Futures Ordinance (Chapter 571 of the Laws of Hong Kong) “SFO”. As per SEBI (Research Analyst Regulations) 2014 Motilal Oswal Securities (SEBI Reg No. INH000000412) has an agreement with
Motilal Oswal capital Markets (Hong Kong) Private Limited for distribution of research report in Hong Kong. This report is intended for distribution only to “Professional Investors” as defined in Part I of Schedule 1 to SFO. Any
investment or investment activity to which this document relates is only available to professional investor and will be engaged only with professional investors.” Nothing here is an offer or solicitation of these securities,
products and services in any jurisdiction where their offer or sale is not qualified or exempt from registration. The Indian Analyst(s) who compile this report is/are not located in Hong Kong & are not conducting Research
Analysis in Hong Kong.
For U.S.
Motilal Oswal Securities Limited (MOSL) is not a registered broker - dealer under the U.S. Securities Exchange Act of 1934, as amended (the"1934 act") and under applicable state laws in the United States. In addition MOSL is
not a registered investment adviser under the U.S. Investment Advisers Act of 1940, as amended (the "Advisers Act" and together with the 1934 Act, the "Acts), and under applicable state laws in the United States.
Accordingly, in the absence of specific exemption under the Acts, any brokerage and investment services provided by MOSL, including the products and services described herein are not available to or intended for U.S.
persons. This report is intended for distribution only to "Major Institutional Investors" as defined by Rule 15a-6(b)(4) of the Exchange Act and interpretations thereof by SEC (henceforth referred to as "major institutional
investors"). This document must not be acted on or relied on by persons who are not major institutional investors. Any investment or investment activity to which this document relates is only available to major institutional
investors and will be engaged in only with major institutional investors. In reliance on the exemption from registration provided by Rule 15a-6 of the U.S. Securities Exchange Act of 1934, as amended (the "Exchange Act") and
interpretations thereof by the U.S. Securities and Exchange Commission ("SEC") in order to conduct business with Institutional Investors based in the U.S., MOSL has entered into a chaperoning agreement with a U.S.
registered broker-dealer, Motilal Oswal Securities International Private Limited. ("MOSIPL"). Any business interaction pursuant to this report will have to be executed within the provisions of this chaperoning agreement.
The Research Analysts contributing to the report may not be registered /qualified as research analyst with FINRA. Such research analyst may not be associated persons of the U.S. registered broker-dealer, MOSIPL, and
therefore, may not be subject to NASD rule 2711 and NYSE Rule 472 restrictions on communication with a subject company, public appearances and trading securities held by a research analyst account.
For Singapore
Motilal Oswal Capital Markets Singapore Pte Limited is acting as an exempt financial advisor under section 23(1)(f) of the Financial Advisers Act(FAA) read with regulation 17(1)(d) of the Financial Advisors Regulations and is a
subsidiary of Motilal Oswal Securities Limited in India. This research is distributed in Singapore by Motilal Oswal Capital Markets Singapore Pte Limited and it is only directed in Singapore to accredited investors, as defined in
the Financial Advisers Regulations and the Securities and Futures Act (Chapter 289), as amended from time to time. In respect of any matter arising from or in connection with the research you could contact the following
representatives of Motilal Oswal Capital Markets Singapore Pte Limited:
Disclaimer:
The report and information contained herein is strictly confidential and meant solely for the selected recipient and may not be altered in any way, transmitted to, copied or distributed, in part or in whole, to any other person
or to the media or reproduced in any form, without prior written consent. This report and information herein is solely for informational purpose and may not be used or considered as an offer document or solicitation of
offer to buy or sell or subscribe for securities or other financial instruments. Nothing in this report constitutes investment, legal, accounting and tax advice or a representation that any investment or strategy is suitable or
appropriate to your specific circumstances. The securities discussed and opinions expressed in this report may not be suitable for all investors, who must make their own investment decisions, based on their own investment
objectives, financial positions and needs of specific recipient. This may not be taken in substitution for the exercise of independent judgment by any recipient. Each recipient of this document should make such investigations
as it deems necessary to arrive at an independent evaluation of an investment in the securities of companies referred to in this document (including the merits and risks involved), and should consult its own advisors to
determine the merits and risks of such an investment. The investment discussed or views expressed may not be suitable for all investors. Certain transactions -including those involving futures, options, another derivative
products as well as non-investment grade securities - involve substantial risk and are not suitable for all investors. No representation or warranty, express or implied, is made as to the accuracy, completeness or fairness of
the information and opinions contained in this document. The Disclosures of Interest Statement incorporated in this document is provided solely to enhance the transparency and should not be treated as endorsement of the
views expressed in the report. This information is subject to change without any prior notice. The Company reserves the right to make modifications and alternations to this statement as may be required from time to time
without any prior approval. MOSL, its associates, their directors and the employees may from time to time, effect or have effected an own account transaction in, or deal as principal or agent in or for the securities
mentioned in this document. They may perform or seek to perform investment banking or other services for, or solicit investment banking or other business from, any company referred to in this report. Each of these entities
functions as a separate, distinct and independent of each other. The recipient should take this into account before interpreting the document. This report has been prepared on the basis of information that is already
available in publicly accessible media or developed through analysis of MOSL. The views expressed are those of the analyst, and the Company may or may not subscribe to all the views expressed therein. This document is
being supplied to you solely for your information and may not be reproduced, redistributed or passed on, directly or indirectly, to any other person or published, copied, in whole or in part, for any purpose. This report is not
directed or intended for distribution to, or use by, any person or entity who is a citizen or resident of or located in any locality, state, country or other jurisdiction, where such distribution, publication, availability or use would
be contrary to law, regulation or which would subject MOSL to any registration or licensing requirement within such jurisdiction. The securities described herein may or may not be eligible for sale in all jurisdictions or to
certain category of investors. Persons in whose possession this document may come are required to inform themselves of and to observe such restriction. Neither the Firm, not its directors, employees, agents or
representatives shall be liable for any damages whether direct or indirect, incidental, special or consequential including lost revenue or lost profits that may arise from or in connection with the use of the information.
The
person accessing this information specifically agrees to exempt MOSL or any of its affiliates or employees from, any and all responsibility/liability arising from such misuse and agrees not to hold MOSL or any of its affiliates or
employees responsible for any such misuse and further agrees to hold MOSL or any of its affiliates or employees free and harmless from all losses, costs, damages, expenses that may be suffered by the person accessing this
information due to any errors and delays.
Registered Office Address: Motilal Oswal Tower, Rahimtullah Sayani Road, Opposite Parel ST Depot, Prabhadevi, Mumbai-400025; Tel No.: 022-3980 4263; www.motilaloswal.com. Correspondence Address: Palm Spring
Centre, 2nd Floor, Palm Court Complex, New Link Road, Malad (West), Mumbai- 400 064. Tel No: 022 3080 1000. Compliance Officer: Neeraj Agarwal, Email Id:
na@motilaloswal.com,
Contact No.:022-30801085.
Registration details of group entities.: MOSL: SEBI Registration: INZ000158836 (BSE/NSE/MSE); CDSL: IN-DP-16-2015; NSDL: IN-DP-NSDL-152-2000; Research Analyst: INH000000412. AMFI: ARN 17397. Investment Adviser:
INA000007100. Motilal Oswal Asset Management Company Ltd. (MOAMC): PMS (Registration No.: INP000000670) offers PMS and Mutual Funds products. Motilal Oswal Wealth Management Ltd. (MOWML): PMS
(Registration No.: INP000004409) offers wealth management solutions. *Motilal Oswal Securities Ltd. is a distributor of Mutual Funds, PMS, Fixed Deposit, Bond, NCDs, Insurance and IPO products. * Motilal Oswal
Commodities Broker Pvt. Ltd. offers Commodities Products. * Motilal Oswal Real Estate Investment Advisors II Pvt. Ltd. offers Real Estate products. * Motilal Oswal Private Equity Investment Advisors Pvt. Ltd. offers Private
Equity products
16 January 2018
36